Homerider Systems TRAK Wireless Sensor User Manual Manual Fuel Trak

Homerider Systems Wireless Sensor Manual Fuel Trak

Contents

Manual Fuel Trak

  User Manual  FUEL TRAK      Date : 07/09/2003  Reference : ADH_HRS_FUELTRK_090703      V0.01 Author : Adnane Driouech - Technical Department State : Validated    Page : 1 / 14 Ce document est la propriété exclusive  de HOMERIDER SYSTEMS, il ne peut être reproduit ou communiqué sans son autorisation écrite.                                  HHoommeeRRiiddeerr    USER MANUAL  FUEL Trak
  User Manual  FUEL TRAK      Date : 07/09/2003  Reference : ADH_HRS_FUELTRK_090703      V0.01 Author : Adnane Driouech - Technical Department State : Validated    Page : 2 / 14 Ce document est la propriété exclusive  de HOMERIDER SYSTEMS, il ne peut être reproduit ou communiqué sans son autorisation écrite.     RECORD OF REVISIONS    Revision  Details  Author Validation  Date V0.01 Release 0.01  BMN  YES  mm/jj/2003                                                                                                   ABREVIATIONS           CR Call Rider Module  Trak or Call Rider Serial Number   RF address of a module SIHR HomeRider Server Trak Metering Equipment
  User Manual  FUEL TRAK      Date : 07/09/2003  Reference : ADH_HRS_FUELTRK_090703      V0.01 Author : Adnane Driouech - Technical Department State : Validated    Page : 3 / 14 Ce document est la propriété exclusive  de HOMERIDER SYSTEMS, il ne peut être reproduit ou communiqué sans son autorisation écrite.    CONTENTS     1 INTRODUCTION..........................................................................................................................................................4 2 TECHNICAL SPECIFICATIONS...............................................................................................................................5 2.1 Functional description....................................................................................................................................................5 2.2 Hardware specifications.................................................................................................................................................5 2.2.1 Mechanical specifications ..............................................................................................................................................5 2.2.2 Ambient conditions .........................................................................................................................................................7 2.2.3 Electrical specifications .................................................................................................................................................7 2.2.4 Radio specifications........................................................................................................................................................7 3 RF TRANSCEIVER ......................................................................................................................................................7 3.1 Protocole RF...................................................................................................................................................................7 3.1.1 Presentation....................................................................................................................................................................8 3.1.2 Structure..........................................................................................................................................................................8 3.1.3 Layer description............................................................................................................................................................9 3.1.4 Hardware interface.......................................................................................................................................................10 3.2 Software specifications.................................................................................................................................................11 4 INSTALLATION PROCESS ......................................................................................................................................12 5 PRODUCTION INFORMATION ..............................................................................................................................13 5.1 Components placement.................................................................................................................................................13 6 USER INFORMATION ..............................................................................................................................................14 6.1 Information to user. ......................................................................................................................................................14 6.2 Labelling requirements.................................................................................................................................................14
  User Manual  FUEL TRAK      Date : 07/09/2003  Reference : ADH_HRS_FUELTRK_090703      V0.01 Author : Adnane Driouech - Technical Department State : Validated    Page : 4 / 14 Ce document est la propriété exclusive  de HOMERIDER SYSTEMS, il ne peut être reproduit ou communiqué sans son autorisation écrite.   1 INTRODUCTION   The Fuel Trak Module is a system to manage the level of Fuel in a Tank. The module is intrinsic safety and is designed to operate in explosive area.  The module is powered by a battery that allow 10 years of operation.  Figure 1 : Fuel Trak
  User Manual  FUEL TRAK      Date : 07/09/2003  Reference : ADH_HRS_FUELTRK_090703      V0.01 Author : Adnane Driouech - Technical Department State : Validated    Page : 5 / 14 Ce document est la propriété exclusive  de HOMERIDER SYSTEMS, il ne peut être reproduit ou communiqué sans son autorisation écrite.   2 TECHNICAL SPECIFICATIONS  2.1 Functional description  The module Fuel Trak is designed to be installed on a Fuel Tank . The module read  level on the sensor every hour and memorize it. After 12 hour (12 reading) the module transmit a radio data frame with the level history of the last 12 hours to à C@llRider®. A C@llRider® is another part of the system that receive the data and then connect to internet and send the data over the net to the servers.  2.2 Hardware specifications  2.2.1 Mechanical specifications The electronic part is housed in a specific casing.  Figure 2 : Casing Bottom         Figure 3 : Casing Top
  User Manual  FUEL TRAK      Date : 07/09/2003  Reference : ADH_HRS_FUELTRK_090703      V0.01 Author : Adnane Driouech - Technical Department State : Validated    Page : 6 / 14 Ce document est la propriété exclusive  de HOMERIDER SYSTEMS, il ne peut être reproduit ou communiqué sans son autorisation écrite.                            Figure 4 : Soleplate
  User Manual  FUEL TRAK      Date : 07/09/2003  Reference : ADH_HRS_FUELTRK_090703      V0.01 Author : Adnane Driouech - Technical Department State : Validated    Page : 7 / 14 Ce document est la propriété exclusive  de HOMERIDER SYSTEMS, il ne peut être reproduit ou communiqué sans son autorisation écrite.    2.2.2 Ambient conditions  The module is designed to operate in a temperature range of –20 °C to 60 °C  2.2.3 Electrical specifications  The module is powered by a 3.6 Volts, 2,25 A/hour lithium battery.  2.2.4 Radio specifications  The radio part of the module use the 915 Mhz frequency range.   3 RF TRANSCEIVER  3.1 Protocole RF The objective of the present chapter is to describe the 915MHz low level protocole used for the Fuel Trak project. The restrictions are: •  FCC part 15 • Low power consumption • MSP430 family • ATMEL Transceiver •  Range 915 -> 921.3 Mhz
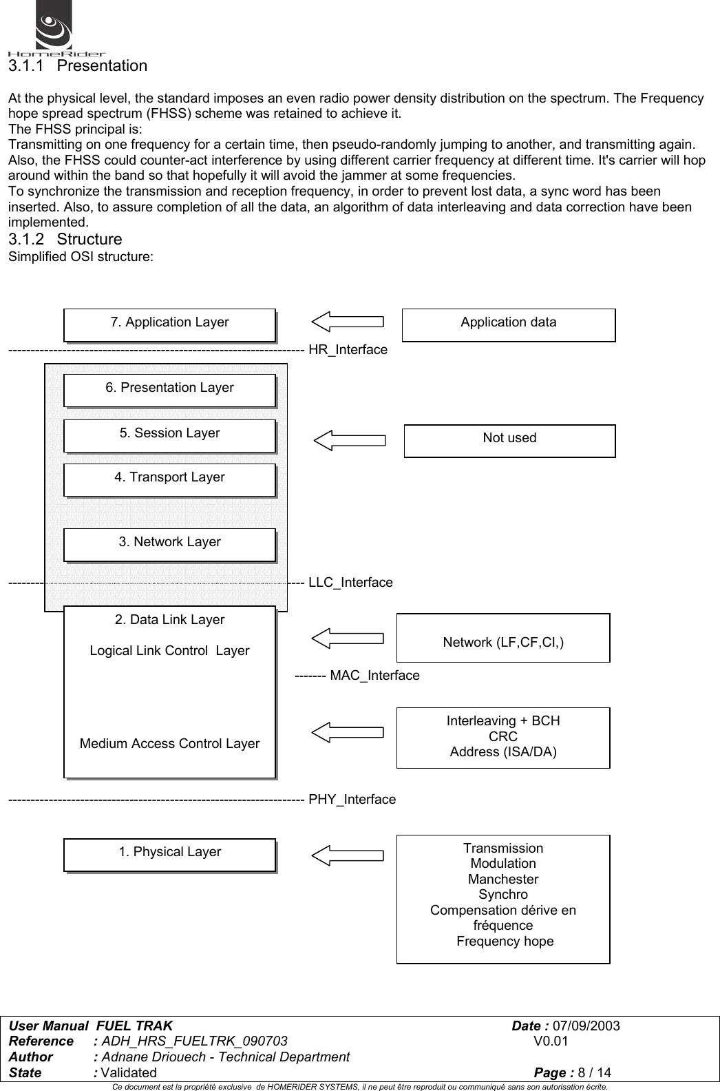
  User Manual  FUEL TRAK      Date : 07/09/2003  Reference : ADH_HRS_FUELTRK_090703      V0.01 Author : Adnane Driouech - Technical Department State : Validated    Page : 8 / 14 Ce document est la propriété exclusive  de HOMERIDER SYSTEMS, il ne peut être reproduit ou communiqué sans son autorisation écrite.  3.1.1 Presentation  At the physical level, the standard imposes an even radio power density distribution on the spectrum. The Frequency hope spread spectrum (FHSS) scheme was retained to achieve it. The FHSS principal is: Transmitting on one frequency for a certain time, then pseudo-randomly jumping to another, and transmitting again. Also, the FHSS could counter-act interference by using different carrier frequency at different time. It's carrier will hop around within the band so that hopefully it will avoid the jammer at some frequencies. To synchronize the transmission and reception frequency, in order to prevent lost data, a sync word has been inserted. Also, to assure completion of all the data, an algorithm of data interleaving and data correction have been implemented. 3.1.2 Structure Simplified OSI structure:      ------------------------------------------------------------------ HR_Interface                                           ------------------------------------------------------------------ LLC_Interface                  ------- MAC_Interface                  ------------------------------------------------------------------ PHY_Interface                                                 2. Data Link Layer  Logical Link Control  Layer       Medium Access Control Layer 4. Transport Layer 3. Network Layer 1. Physical Layer 7. Application Layer 6. Presentation Layer 5. Session Layer  Not used Application data  Interleaving + BCH  CRC  Address (ISA/DA)   Network (LF,CF,CI,)  Transmission  Modulation  Manchester  Synchro Compensation dérive en fréquence  Frequency hope
  User Manual  FUEL TRAK      Date : 07/09/2003  Reference : ADH_HRS_FUELTRK_090703      V0.01 Author : Adnane Driouech - Technical Department State : Validated    Page : 9 / 14 Ce document est la propriété exclusive  de HOMERIDER SYSTEMS, il ne peut être reproduit ou communiqué sans son autorisation écrite.  3.1.3 Layer description 3.1.3.1 Physical layer The physical layer assures the following: • Modulation •  Manchester coding (average energy) • Frequency hope • Synchronization •  Compensation of frequency shift due to T° and aging   3.1.3.1.1 Frame structure  The frame is composed of 2 successive “sub-frame” of fixed length: 1/ Beacon sub-frame The beacon sub-frame is composed of 64 bursts. Each burst consists of 48 chips (24bits). And for each burst, there’s a frequency hope Î 64 bursts for 64 frequencies. The beacon burst is composed of a preamble and a long sync word 2/ Data sub-frame  The data sub-frame is composed of 64 bursts. Each burst consists of 48 chips (24bits). And for each burst, there’s a frequency hope Î 64 bursts for 64 frequencies. The data burst is composed of a preamble, short sync word and 16 bits of data.  séquence            1                 2                  3                 4                 5                                   61              62               63               64               1                 2                 3                   4               5                                 61              burst baliseburst donnéfréquence           52              63                 3                 35               12                                 27             47               20               33               52               63                3                  35              12                               27               4séquence balise séquence donnée
  User Manual  FUEL TRAK      Date : 07/09/2003  Reference : ADH_HRS_FUELTRK_090703      V0.01 Author : Adnane Driouech - Technical Department State : Validated    Page : 10 / 14 Ce document est la propriété exclusive  de HOMERIDER SYSTEMS, il ne peut être reproduit ou communiqué sans son autorisation écrite.  Beacon Burst   long sy nc.p 16 chipsT.burstpream ble 32chips  Data Burst   dat a 16 bit s = 3 2chipssy nc 8 chipsT.burstpream ble 8chips      3.1.4 Hardware interface  The module is connected to the Keller sensor by a 6 wire cable. The length of cable is 4 m.
  User Manual  FUEL TRAK      Date : 07/09/2003  Reference : ADH_HRS_FUELTRK_090703      V0.01 Author : Adnane Driouech - Technical Department State : Validated    Page : 11 / 14 Ce document est la propriété exclusive  de HOMERIDER SYSTEMS, il ne peut être reproduit ou communiqué sans son autorisation écrite.   3.2 Software specifications  Figure 5 : Software bloc   The principle of the software is to read the sensor every hour and to memorize the value. After 12 hours, the module activate the radio to send a data frame with the last 12 hours inside. After the system return to sleep for one hour waiting the time for the next measure.
  User Manual  FUEL TRAK      Date : 07/09/2003  Reference : ADH_HRS_FUELTRK_090703      V0.01 Author : Adnane Driouech - Technical Department State : Validated    Page : 12 / 14 Ce document est la propriété exclusive  de HOMERIDER SYSTEMS, il ne peut être reproduit ou communiqué sans son autorisation écrite.   4 INSTALLATION PROCESS To install the module :  9  Fix the soleplate on the wall with 2 or more screw. 9  After having start the C@llRider® (see C@llRider® documentation)  9  place the magnet during 6 to 10 second to generate an INSTALL data radio frame.  9  Plug the module on the soleplate.   The installation is complete.
  User Manual  FUEL TRAK      Date : 07/09/2003  Reference : ADH_HRS_FUELTRK_090703      V0.01 Author : Adnane Driouech - Technical Department State : Validated    Page : 13 / 14 Ce document est la propriété exclusive  de HOMERIDER SYSTEMS, il ne peut être reproduit ou communiqué sans son autorisation écrite.   5 PRODUCTION INFORMATION   5.1 Components placement PCB TOP     PCB BOTTOM
  User Manual  FUEL TRAK      Date : 07/09/2003  Reference : ADH_HRS_FUELTRK_090703      V0.01 Author : Adnane Driouech - Technical Department State : Validated    Page : 14 / 14 Ce document est la propriété exclusive  de HOMERIDER SYSTEMS, il ne peut être reproduit ou communiqué sans son autorisation écrite.    6 USER INFORMATION 6.1   Information to user.      Any changes or modifications not expressly approved by the party responsible for compliance could void the user's authority to operate the equipment.   6.2    Labelling requirements.      This device complies with part 15 of the FCC Rules. Operation is subject to the following two conditions: (1) This device may not cause harmful interference, and (2) this device must accept any interference received, including interference  that may cause undesired operation.

Navigation menu