Korea Data Systems Co KD-1911 User Manual 59172
Korea Data Systems Co Ltd 59172
UserManual.wiki
>
Korea Data Systems Co
>
KD 1911 User Manual HTML Version
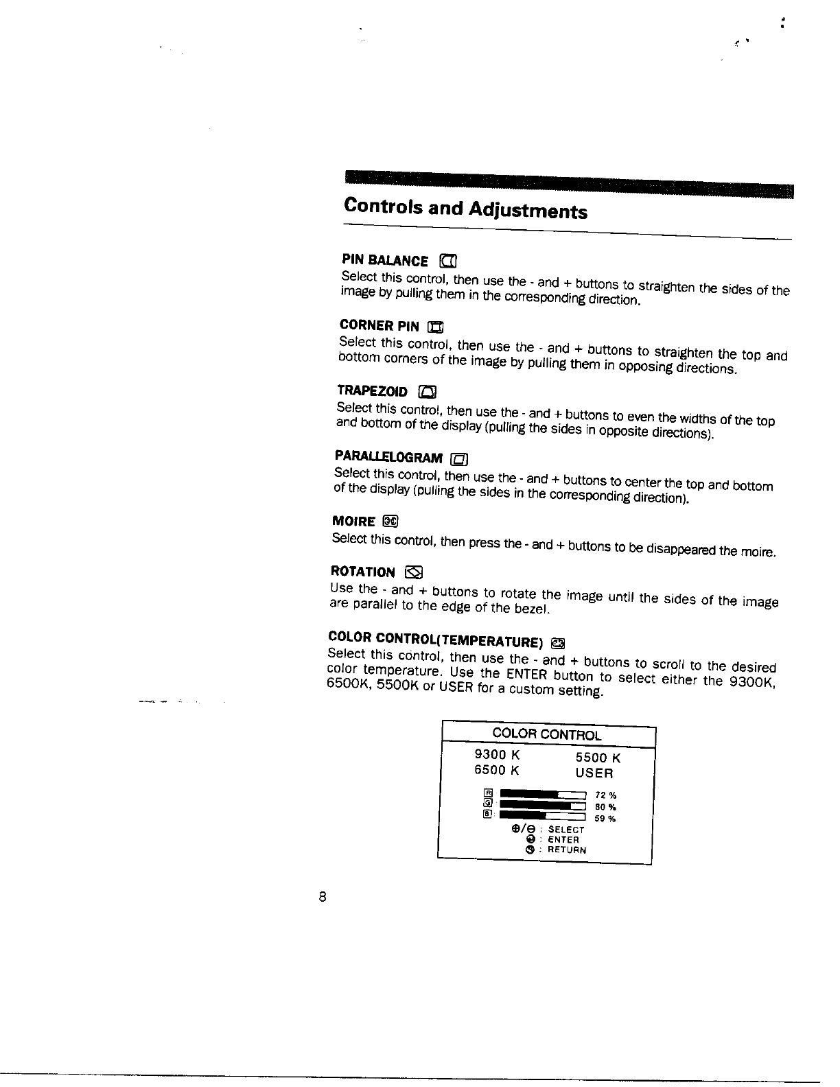
8
Navigation menu
Upload a User Manual
Namespaces
Wiki Guide
HTML
PDF
Info
Views
User Manual
Discussion / Help
Navigation