Process 2 Instructions 0
Process%20%202%20-%20Instructions_0
Process%20%202%20-%20Instructions_0
User Manual: Pdf
Open the PDF directly: View PDF
.
Page Count: 9

info@blueprism.com • +44 (0)870 879 3000 • Centrix House, Crow Lane East, Newton-le-Willows, WA12 9UY
Process Template 2 - Instructions
Commercial In Confidence, © Blue Prism
The Operational Agility Software Company
Introduction
Process Template 2 Overview
This document is distributed alongside Process Template 2 to aid in its understanding and use.
Process Template 2 is a multi-purpose template designed to be modified into the foundation of numerous
different styles of process.
Process Template 2 offers the following in additional to Process Template 1:
Variations to how the Main Page of the process works
Additional Sub-Pages that can be used in your processes
Templates Overview
Templates are intended as a base for starting a new processes, the idea being that ‘save as’ is used to
make a copy of a diagram to work on.
Using a template as the basis of building a new process has the following benefits:
Decrease Process development time
Provide consistency across all Processes, allowing easier understanding and support
Assist developers in keeping to best practice and to work within the Development Methodology
of an organisation
The Blue Prism process templates are provided as a generic starting point. It is expected that these
templates may need modification to create a template that fits the requirements and methodologies of
your organisation.
All Blue Prism Process Templates follow a similar basic structure, the ‘Process Template 1 –
Instructions’ document should therefore be read and understood before advancing to use
Process Template 2.

info@blueprism.com • +44 (0)870 879 3000 • Centrix House, Crow Lane East, Newton-le-Willows, WA12 9UY
Commercial In Confidence, © Blue Prism
The Operational Agility Software Company
Table of Contents
Introduction ................................................................................................................................... 1
Process Template 2 Overview ................................................................................................ 1
Templates Overview ............................................................................................................... 1
Table of Contents ......................................................................................................................... 2
How to use Process Template 2 ................................................................................................... 3
Generic Main Page features ......................................................................................................... 4
Process Template 2 Example Main Pages .................................................................................... 6

info@blueprism.com • +44 (0)870 879 3000 • Centrix House, Crow Lane East, Newton-le-Willows, WA12 9UY
Commercial In Confidence, © Blue Prism
The Operational Agility Software Company
How to use Process Template 2
This section describes how to use Process Template 2 to create a new process.
Process Template 2 contains many different example Main Pages, each called EXAMPLE Main Page,
and with a description of the page in brackets. These example main pages are aimed to fit many
different scenarios for processes that you may want to create.
To use the template to create a new process the modification procedure is as follows.
Select most appropriate ‘example’ page.
Copy the contents of the selected ‘example’ page on to the Main page.
Delete all ‘example’ pages.
Save as.
Note: The process you are creating may require logic from more than one of the Example Main Pages. If
this is the case, you will need to create your own unique main page by copying parts of different example
pages into your Main Page.

info@blueprism.com • +44 (0)870 879 3000 • Centrix House, Crow Lane East, Newton-le-Willows, WA12 9UY
Commercial In Confidence, © Blue Prism
The Operational Agility Software Company
Generic Main Page features
This section describes features that are generic across all the example Main Pages provided in Process
Template 2.
Features that are also common to Process Template 1 have not been described again here, please refer
to ‘Process Template 1 – Instructions’ for instructions on configuration that is common across all Blue
Prism templates.
Exception Control Settings Data Items
Data Item Name
Data Item Type
Description
Stop After
Failure To
Control
Applications
Global
The Main Page in Process Template 2 calls a page called
Control Applications, which has the aim of maintaining the
target applications.
The initial value of this flag informs the Control Applications
sub-page should throw an exception if one of the target
applications cannot be controlled. If set to False, the sub-page
will instead keep trying to control the applications.
Stop After
Consecutive
Exceptions
Global
This data item is used by the Mark Item As Exception sub-
page to indicate if the process should terminate after the
Consecutive Exception Limit has been reached, or if only an
alert email should be sent.
Consecutive
Exception Limit
Global
This data item resided on the Mark Item As Exception page in
Process Template 1, but has been moved to the Main Page in
Process Template 2.
The initial value of this data item should be set to the maximum
number of times you want the process to try and work
subsequent work queue items that have the same System
Exception.
The default initial value is set to 3.
Differences to Process Template 1.
This table outlines differences between the main pages in Process Template 2 to the Main Page in
Process Template 1.
Stage Name
Description
Sub Page - Load Queue
This sub-page contains the logic to load new cases into a work queue.
In Process Template 1 this page was named ‘Populate Queue’ and it was
called from the Start Up sub-page.
Sub Page - Get Next Item
This sub-page contains the logic to get the next case from the work queue.

info@blueprism.com • +44 (0)870 879 3000 • Centrix House, Crow Lane East, Newton-le-Willows, WA12 9UY
Commercial In Confidence, © Blue Prism
The Operational Agility Software Company
In Process Template 1 there was not a separate page for this logic.
Sub Page – Control
Applications
This sub-page contains which has the aim of maintaining the target
applications.
Notification Email
This logic catches an exception that is about to cause the process to
terminate. The Notify Termination sub-page is called to send an alert (i.e.
an email) to the Blue Prism controllers.
Notes:
This template logic may be improved to remove the risk of an infinite loop if
there is an exception thrown by the Notify Termination page.
For processes that will be ruin on a high number of resource pcs this logic
maybe improved to prevent the same alert being sent from lots of different
sessions.
Sub Page – Unpack Item
This sub-page exists for you to place logic to cast the item data into data
items for use within your process.
Sub Page – Validate Item
This sub-page exists for you to place logic that validates the Work Queue
item data. You should ensure that all the information required by your
process has been provided and is in the correct format.

info@blueprism.com • +44 (0)870 879 3000 • Centrix House, Crow Lane East, Newton-le-Willows, WA12 9UY
Commercial In Confidence, © Blue Prism
The Operational Agility Software Company
Process Template 2 Example Main Pages
This section describes each EXAMPLE Main Page provided in Process Template 2.
EXAMPLE Main Page (stop when no queue items available)
This is the most basic example Main Page, similar to the basic template provided in Process Template 1,
but with the few differences that were outlined in the previous section.
The Work Queue is only populated once by calling the ‘Load Queue’ sub-page on once, near the start of
the process flow.
EXAMPLE Main Page (stop after consecutive exceptions)
This Main Page is identical to the previous ‘stop when no queue items available’ example main page, but
with the addition of a note stage explaining that the ‘Stop After Consecutive Exceptions’ data item is set
to True.
EXAMPLE Main Page (perform additional steps after exception)
This sub-page contains additional process flow stages after an exception has been recovered by the
main ‘Work Item’ exception block.
The sub-pages should be amended to include any
process logic that is required before the Mark Item
As Exception page is called.
Examples may be:
A note needs to be added to an
application only when an exception
occurs
Some MI information needs to be
added to a database only when an
exception occurs.
EXAMPLE Main Page (poll for work when queue is empty)
This Main Page contains logic to continuously work and load Work Queue items up until the process
stops, rather than simply loading work once at the start of the process and completing once work runs
out.

info@blueprism.com • +44 (0)870 879 3000 • Centrix House, Crow Lane East, Newton-le-Willows, WA12 9UY
Commercial In Confidence, © Blue Prism
The Operational Agility Software Company
If there are no more Work Queue items a sub-
page called ‘Poll’ is called.
The Poll sub-page will contain logic to:
Call the Load Queue sub-page to
attempt to get work
Wait for a short period of time if there is
no work found to load
Perform any actions that need to be
performed in applications if there are no
work, such as call the Control
Applications sub-page to keep the
systems in a usable state
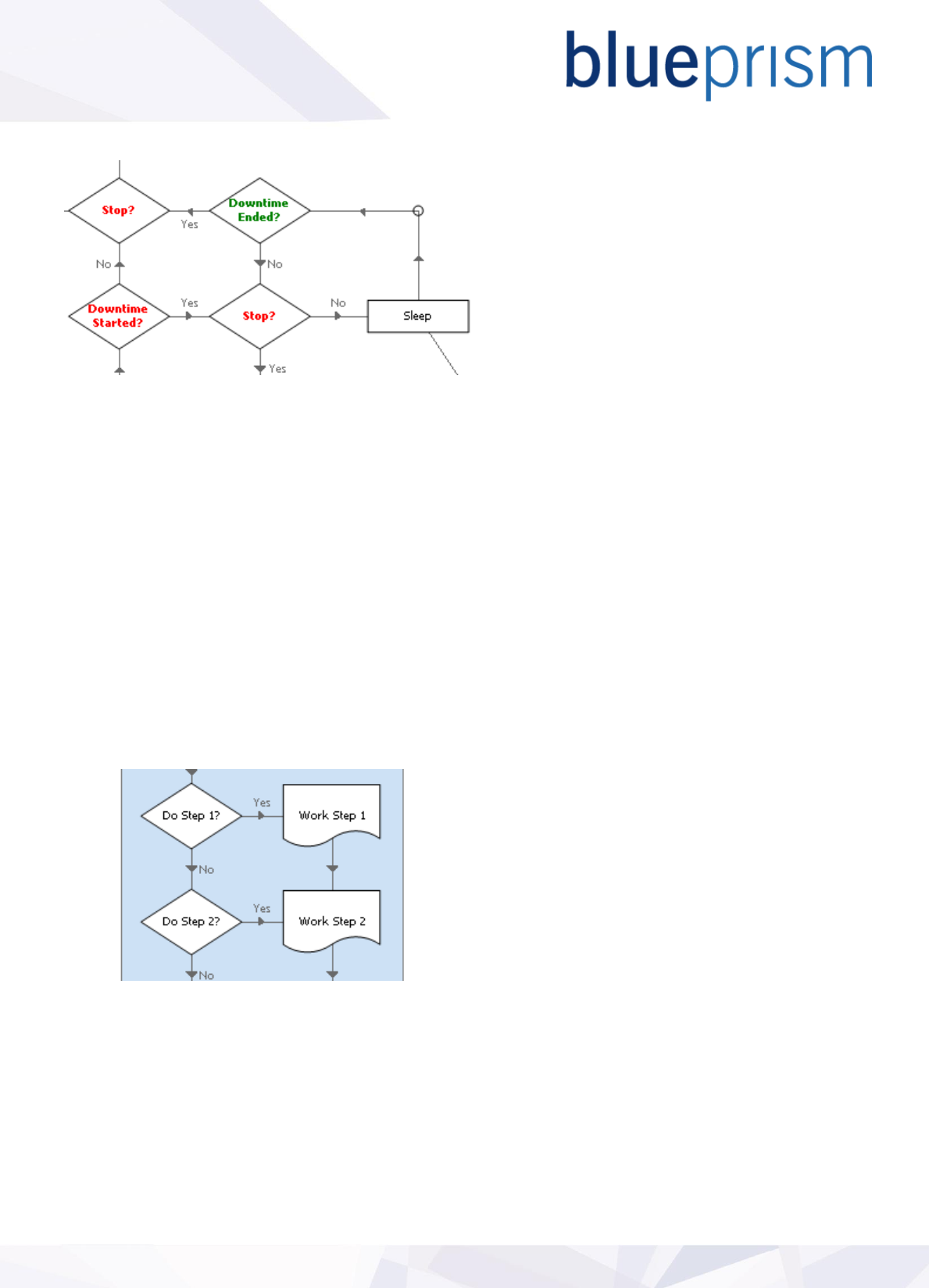
EXAMPLE Main Page (sleep during downtime)
This Main Page contains logic to stop working Work Queue items for a pre-configured period of time, and
then resuming until the configured stop time.
An example of when this logic might be used is if a system owner does not wish for the process to do
any updates during a peak usage time period.
Additional data items
Data Item Name
Data Item Type
Description
Downtime Start
Local
This time data item should be set to the time that the downtime
period should start.
Downtime End
Local
This time data item should be set to the time that the downtime
period should end.
Sleep Interval
Local
This number data item should be set to the number of seconds
that the process should periodically sleep before checking if
the Downtime End time has passed.

info@blueprism.com • +44 (0)870 879 3000 • Centrix House, Crow Lane East, Newton-le-Willows, WA12 9UY
Commercial In Confidence, © Blue Prism
The Operational Agility Software Company
Once the Downtime Start time has passed the
process enters a loop that simply sleeps for
short periods of time and checks if the
Downtime End time has passed.
Once the Downtime End time has passed, the
process will continue to process cases.
Note: If the downtime period is long, this process logic might be improved by calling the Close Down and
Start Up pages before and after the downtime period.
EXAMPLE Main Page (work items from multiple start points)
This main page has a number of decision stages next to each Work Step sub-page. If the decision is
true the Work Step page is called, if the decision is false, the process will skip the page.
Reasons for wanting to skip Work Step pages may include:
Different Work Queue items need working in different ways depending upon the work scenario
that they fit.
You want to enable the Work Queue item to be retried and worked again from the start of the
process, skipping any updates that have already been performed. This might occur if the
Controller selects ‘Force Retry’ for a work queue item.
The expression within each of the ‘Do Step’
decision stages will need updating to be the
condition you require to go to the Work Step page.
The decisions could be based upon:
The work queue status, which is used
to store what work steps have already
been completed
Work Queue tags, that identify the work
type of the item
Logic unique to your process
Add or remove as many ‘Do Step’
decisions as you need for your
process.

info@blueprism.com • +44 (0)870 879 3000 • Centrix House, Crow Lane East, Newton-le-Willows, WA12 9UY
Commercial In Confidence, © Blue Prism
The Operational Agility Software Company
EXAMPLE Main Page (complete items early)
This main page has decision stages in its flow to decide if the item has completed without needing to
perform all the remaining work steps.
Potential reasons for not performing all the Work Steps for an item might include:
After reading information from the systems, the process finds that the item no longer needs to be
processed because the required system updates have already been done and are therefore not
required again. The process skips all the update steps and simply marks the item as complete
rather than performing.
Some final steps are only required for some scenarios. For example, it be that an alert needs to
be sent if specific case scenario if found.
The expression within each of the ‘Complete?’
decision stages will need updating to be the
condition you require.
Add or remove as many ‘Complete?’ decisions as
you need for your process.
EXAMPLE Main Page (start only if work available)
For this Example Main Page the Load
Queue has been moved to be the very first
sub-page called by the process.
If there are no cases to work the process
ends, without starting the any systems.