Viking Manual Pt
User Manual: Pdf
Open the PDF directly: View PDF
.
Page Count: 39
Viking CPU - Manual de referência v0.4
Sérgio Johann Filho
19 de abril de 2018
Sumário
1 AarquiteturaViking.................................. 2
1.1 Registradores ...................................... 3
1.2 Formatosdeinstrução ................................. 3
1.2.1 InstruçõestipoR................................ 3
1.2.2 InstruçõestipoI ................................ 4
1.3 Modosdeendereçamento ............................... 5
1.4 Conjuntodeinstruções................................. 6
1.4.1 Computação .................................. 6
1.4.2 Deslocamento.................................. 10
1.4.3 Carga e armazenamento . . . . . . . . . . . . . . . . . . . . . . . . . . . . 10
1.4.4 Desvioscondicionais .............................. 11
1.5 Característicasúnicas ................................. 13
1.5.1 Cargadeconstantes .............................. 13
1.5.2 Extensãodesinal................................ 14
1.5.3 Desvioscondicionais .............................. 14
1.5.4 Outrasoperações................................ 14
1.6 Tiposdedados ..................................... 14
2 Síntese de pseudo operações . . . . . . . . . . . . . . . . . . . . . . . . . . . . . 16
2.1 Pseudooperaçõesbásicas ............................... 16
2.2 Operações de deslocamento . . . . . . . . . . . . . . . . . . . . . . . . . . . . . . 17
2.3 Pseudo operações não suportadas pelo montador . . . . . . . . . . . . . . . . . . 18
2.3.1 Testes, seleção e desvios (condicionais) . . . . . . . . . . . . . . . . . . . . 18
2.3.2 Operações condicionais equivalentes . . . . . . . . . . . . . . . . . . . . . 18
2.3.3 Desvios incondicionais . . . . . . . . . . . . . . . . . . . . . . . . . . . . . 19
2.3.4 Operações aritméticas adicionais . . . . . . . . . . . . . . . . . . . . . . . 19
3 Programando com o processador Viking . . . . . . . . . . . . . . . . . . . . . . 20
3.1 Controle de fluxo do programa . . . . . . . . . . . . . . . . . . . . . . . . . . . . 20
3.1.1 Seleção ..................................... 20
3.1.2 Repetição.................................... 22
3.2 Acesso à memória - variáveis . . . . . . . . . . . . . . . . . . . . . . . . . . . . . 23
3.3 Acessoàmemória-vetores .............................. 24
3.4 Chamadas de função e convenções de chamada . . . . . . . . . . . . . . . . . . . 25
3.4.1 Pilha....................................... 25
3.4.2 Registradores.................................. 25
3.4.3 Chamada e retorno de funções . . . . . . . . . . . . . . . . . . . . . . . . 26
4 Montagem de código e simulação . . . . . . . . . . . . . . . . . . . . . . . . . . 28
4.1 Montador ........................................ 28
4.1.1 Formato da linguagem de montagem . . . . . . . . . . . . . . . . . . . . . 28
4.1.2 Sintaxe de linha de comando . . . . . . . . . . . . . . . . . . . . . . . . . 29
4.2 Simulador........................................ 30
4.2.1 Mapadememória ............................... 31
4.2.2 Sintaxe de linha de comando . . . . . . . . . . . . . . . . . . . . . . . . . 31
1

Capítulo 1
A arquitetura Viking
Viking é uma arquitetura simples, construída de acordo com a filosofia RISC. Essa arquitetura foi
planejada com o objetivo de servir como ponto de partida para um conjunto de instruções básico
extensível, em que uma quantidade reduzida de hardware é necessário para implementar seu
conjunto de operações1, e ainda possuir funcionalidade suficiente para a execução de software de
alto nível. Por exemplo, o banco de registradores possui poucas entradas, poucos multiplexadores
são necessários, não existem qualificadores de estado de operações, unidades multiplicação e
divisão não foram definidas, tampouco uma unidade de deslocamento (barrel shifter). Esse
processador pode ser implementado em variantes de 16 e 32 bits, sendo que a diferença entre as
duas se dá apenas com relação ao tamanho dos registradores do seu banco, o que não altera o
conjunto de instruções básico.
Um pequeno número de operações é definido no conjunto de instruções da arquitetura Viking
(17 operações básicas). Apesar do pequeno número de instruções, estas são poderosas o suficiente
para realizarem todas as operações de máquinas com um maior número de instruções. Para que
isso seja possível, muitas vezes uma instrução é utilizada de modo pouco ortodoxo ou uma
combinação de instruções implementam um único comportamento. As operações são separadas
em quatro classes distintas:
1. Computação (AND, OR, XOR, SLT, SLTU, ADD, SUB, LDR, LDC)
2. Deslocamento (LSR, ASR)
3. Carga e armazenamento (LDB, STB, LDW, STW)
4. Desvios condicionais (BEZ, BNZ)
Seguindo a filosofia RISC, as instruções são definidas em uma codificação que utiliza apenas
dois formatos de instrução, com um tamanho fixo de 16 bits por instrução. Assim, a lógica
necessária para a decodificação de instruções é reduzida significativamente, comparado ao que
seria necessário para decodificar instruções com um tamanho variável. Além disso, um tamanho
de 16 bits permite uma boa densidade de código, quando comparado a outros ISAs que possuem
instruções de tamanho fixo porém com 32 bits.
1O conjunto de instruções foi definido com o intuito de minimizar a complexidade da arquitetura e de forma
que possa facilmente sintetizar operações mais complexas através de poucas operações básicas.
2

3
1.1 Registradores
Assim como outros processadores RISC, o processador Viking é definido como uma arquitetura
baseada em operações de carga e armazenamento (load/store) para acesso à memória de dados.
Para que operações lógicas e aritméticas possam ser executadas, é necessário que os operandos
sejam trazidos da memória ou carregados como constantes em um ou mais registradores de
propósito geral (GPRs).
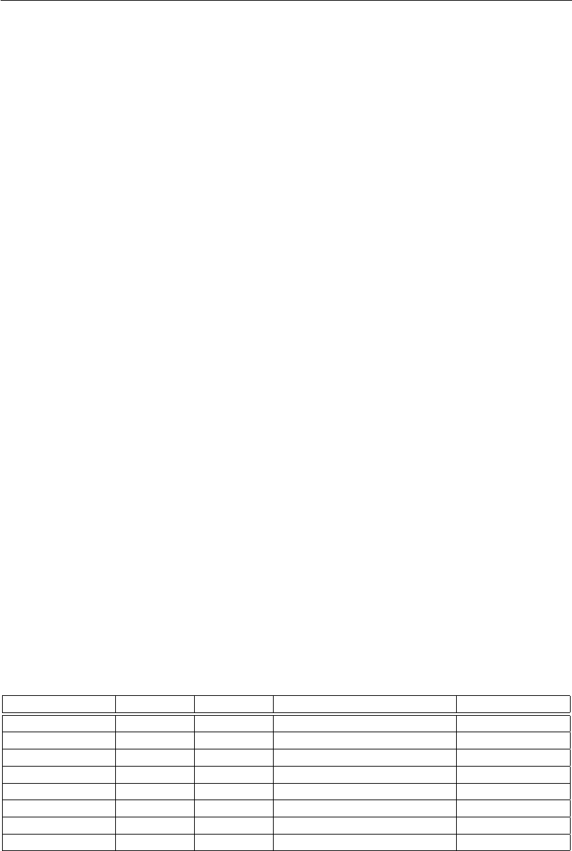
São definidos 8 registradores (r0 - r7 ) e estes podem ser utilizados para qualquer finalidade,
sendo apenas recomendado seu uso em função das convenções apresentadas na tabela abaixo
e detalhadas na Seção 3.4 para a chamada de funções. Os registradores r0 (at) e r7 (sp)
são respectivamente utilizados como temporário eponteiro de pilha. Esses registradores não
devem ser tratados da mesma forma que os outros. O temporário é usado por pseudo operações
(apresentadas na Seção 2) e o ponteiro de pilha para armazenamento de dados e chamadas de
função. Outro papel desse registrador é a implementação de desvios incondicionais, uma vez que
é seguro assumir que seu valor nunca será zero durante a execução normal de um programa.
Registrador Nome Apelido Papel
0 r0 at Especial
1 r1 r1 Uso geral
2 r2 r2 Uso geral
3 r3 r3 Uso geral
4 r4 r4 Uso geral
5 r5 sr Uso geral
6 r6 lr Uso geral
7 r7 sp Especial
Além dos 8 registradores de propósito geral (GPRs), é definido na arquitetura um registrador
com a finalidade de contador de programa (PC). Esse registrador aponta para a instrução corrente
do programa, e não pode ser modificado diretamente pelo programador. A cada instrução que é
decodificada, o PC avança para a próxima posição. Desvios condicionais podem fazer com que o
PC seja atualizado com o destino do desvio, caso tomado. As instruções possuem um tamanho
de 16 bits, portanto o contador de programa é incrementado com esse tamanho.
1.2 Formatos de instrução
Existem apenas dois formatos de instrução definidos na arquitetura Viking (tipos R e I). Em
instruções do tipo R, um registrador é definido como destino (Rst) e dois registradores são
definidos como fontes (RsA eRsB). Em instruções do tipo I, um registrador é definido como
fonte e destino da operação (Rst), e o segundo valor usado como fonte é obtido a partir do
campo Immediate codificado diretamente na instrução. Os índices utilizados para indexar o
banco de registradores são codificados na instrução em 3 bits cada, o suficiente para referenciar
8 registradores por operando ou destino para escrita do resultado.
1.2.1 Instruções tipo R
Em instruções do tipo R os campos Opcode (4 bits) e Op2 (2 bits) definem a operação específica.
Nesse tipo de instrução três registradores são referenciados, e o papel desses registradores depende

4
da classe à qual a instrução está associada. As instruções do tipo R possuem o campo Imm com
o valor fixo em 0.
I<15:12>I<11>I<10:8>I<7:5>I<4:2>I<1:0>
Opcode Imm Rst RsA RsB Op2
xxxx 0 rrr rrr rrr xx
A função dos campos adicionais em instruções do tipo R é definida como:
•Rst - registrador destino (alvo) da operação;
•RsA - registrador Fonte 1 (Operando A);
•RsB - registrador Fonte 2 (Operando B ou base);
- Operando B em operações da classe computação
- Endereço base para instruções de carga e armazenamento e desvios;
Para instruções de deslocamento, o registrador Fonte 2 deve ser sempre r0. O motivo para
isso é que não é necessário codificar a quantidade a ser deslocada, uma vez que a arquitetura
pode deslocar apenas 1 bit por instrução. Em instruções de carga, o registrador Fonte 1 deve ser
sempre r0 e em instruções de armazenamento e desvios condicionais, o registrador alvo é sempre
r0. Abaixo são apresentados alguns exemplos de instruções do tipo R, utilizando a sintaxe da
linguagem de montagem apresentada no Capítulo 4. Importante observar que em instruções de
armazenamento e desvios condicionais Rst deve ser r0, em instruções de carga RsA deve ser r0
e em deslocamentos RsB deve ser r0 2.
Operação Significado
add r3,r1,r2 r3 = r1 + r2
ldb r3,r0,r2 r3 = MEM[r2]
stw r0,r1,r2 MEM[r2] = r1
and r2,r3,r4 r2 = r3 and r4
bez r0,r2,r3 if (r2 == zero) PC = r3
slt r3,r1,r2 if (r1 < r2) r3 = 1, else r3 = 0
lsr r5,r3,r0 r5 = r3 >> 1
1.2.2 Instruções tipo I
Em instruções do tipo I o campo Opcode (4 bits) define a operação específica. Nesse tipo de
instrução um registrador é referenciado, e o papel desse registrador depende da classe à qual a
instrução está associada. As instruções do tipo I possuem o campo Imm com o valor fixo em 1.
I<15:12>I<11>I<10:8>I<7:0>
Opcode Imm Rst Immediate
xxxx 1 rrr iiiiiiii
A função dos campos adicionais em instruções do tipo I é definida como:
2O motivo para tais convenções é fixar no formato de instruções o papel dos registradores Rst,RsA eRsB,
evitando a utilização de multiplexadores adicionais. No tipo R, o primeiro registrador sempre é escrito, e os dois
últimos sempre lidos. No tipo I, o primeiro é sempre lido e escrito.

5
•Rst - registrador Fonte 1 e destino;
•Immediate - campo com valor imediato;
- Fonte 2 em instruções da classe computação;
- Endereço relativo ao contador de programa em desvios;
Para desvios condicionais, endereço efetivo é calculado somando-se o valor atual do contador
de programa (PC) ao campo Immediate (extendido em sinal3e representado em complemento
de 2). Dessa forma, é possível realizar desvios relativos ao PC de ±128 bytes4, o suficiente para
lidar com a maior parte dos casos que envolvem saltos de tamanho reduzido, como em comandos
de seleção e laços curtos. Abaixo são apresentados alguns exemplos de instruções do tipo I,
utilizando a sintaxe da linguagem de montagem.
Operação Significado
add r5,10 r5 = r5 + 10
or r2,1 r2 = r2 or 1
xor r5,-1 r5 = r5 xor -1 = not r5
ldr r3,5 r3 = 5
ldc r3,10 r3 = (r3 << 8) or 10
slt r4,10 if (r4 < 10) r4 = 1, else r4 = 0
bez r4,28 if (r4 == zero) PC = PC + 28
1.3 Modos de endereçamento
Apenas três modos de endereçamento são utilizados na arquitetura, sendo esses:
1. Registrador
2. Imediato
3. Relativo ao PC
O primeiro modo (registrador) é utilizado por instruções do tipo R apenas. Instruções que
fazem uso desse modo pertencem às classes computação, deslocamento, carga e armazenamento
e desvios condicionais. O segundo modo (imediato) é utilizado por instruções do tipo I apenas,
classe computação. O último modo (relativo ao PC) é utilizado por instruções do tipo I, classe
desvios condicionais.
Dois modos de endereçamento bastante comuns são os modos direto eindireto. A arquitetura
Viking não define esses modos de endereçamento, uma vez que a memória de dados é acessada
exclusivamente por operações de carga e armazenamento. No entanto, tais modos podem ser
emulados5com o uso de múltiplas instruções de carga, permitindo acesso à memória pelo número
indireções desejado. Outros modos de endereçamento como base + deslocamento,base + índice,
indireto à registrador,indireto à memória eauto incremento, entre outros, não foram definidos
com o objetivo de simplificar a arquitetura.
3A implementação de extensão de sinal é apresentada na Seção 1.5.2.
4No futuro o campo Immediate poderá codificar apenas a magnitude alinhada, o que aumenta o alcance dos
desvios relativos para ±256 bytes.
5No Capítulo 2 são apresentadas pseudo operações que emulam o modo de endereçamento direto.

6
1.4 Conjunto de instruções
O conjunto de instruções básico definido na arquitetura é apresentado a seguir. Diversos có-
digos de operação são reservados para extensões futuras, como operações aritméticas, carga e
armazenamento e desvios, além de instruções mais poderosas com tamanho de 32 bits.
As operações definidas no conjunto de instruções básico permitem que operações não elemen-
tares possam ser geradas a partir de sequências curtas. Como as instruções possuem tamanho
de 16 bits, a densidade do código é boa.
1.4.1 Computação
AND - bitwise logical product
Realiza o produto lógico de dois valores e armazena o resultado em um registrador.
•AND Rst, RsA, RsB
GPR[Rst] ←GPR[RsA] and GPR[RsB]
I<15:12>I<11>I<10:8>I<7:5>I<4:2>I<1:0>
Opcode Imm Rst RsA RsB Op2
0000 0 rrr rrr rrr 00
•AND Rst, Immediate
GPR[Rst] ←GPR[Rst] and ZEXT(Immediate)
I<15:12>I<11>I<10:8>I<7:0>
Opcode Imm Rst Immediate
0000 1 rrr iiiiiiii
OR - bitwise logical sum
Realiza a soma lógica de dois valores e armazena o resultado em um registrador.
•OR Rst, RsA, RsB
GPR[Rst] ←GPR[RsA] or GPR[RsB]
I<15:12>I<11>I<10:8>I<7:5>I<4:2>I<1:0>
Opcode Imm Rst RsA RsB Op2
0001 0 rrr rrr rrr 00
•OR Rst, Immediate
GPR[Rst] ←GPR[Rst] or ZEXT(Immediate)
I<15:12>I<11>I<10:8>I<7:0>
Opcode Imm Rst Immediate
0001 1 rrr iiiiiiii

7
XOR - bitwise logical difference
Realiza a diferença lógica de dois valores e armazena o resultado em um registrador. No tipo I,
o segundo valor possui extensão de sinal.
•XOR Rst, RsA, RsB
GPR[Rst] ←GPR[RsA] xor GPR[RsB]
I<15:12>I<11>I<10:8>I<7:5>I<4:2>I<1:0>
Opcode Imm Rst RsA RsB Op2
0010 0 rrr rrr rrr 00
•XOR Rst, Immediate
GPR[Rst] ←GPR[Rst] xor SEXT(Immediate)
I<15:12>I<11>I<10:8>I<7:0>
Opcode Imm Rst Immediate
0010 1 rrr iiiiiiii
SLT - set if less than
Compara dois valores (com sinal, em complemento de 2). Se o primeiro for menor que o segundo,
armazena 1 (verdadeiro) em um registrador. Senão, armazena 0 (falso). No tipo I, o segundo
valor possui extensão de sinal. O cálculo do valor dessa instrução é definido por SLT = N xor
V, resultante de uma subtração realizada internamente e avaliação da diferença lógica dos quali-
ficadores negative eoverflow, também internos a ULA. O valor da condição SLT é armazenado
no bit menos significativo do registrador destino, sendo os outros zerados.
•SLT Rst, RsA, RsB
if (GPR[RsA] < GPR[RsB]) GPR[Rst] ←1
else GPR[Rst] ←0
I<15:12>I<11>I<10:8>I<7:5>I<4:2>I<1:0>
Opcode Imm Rst RsA RsB Op2
0011 0 rrr rrr rrr 00
•SLT Rst, Immediate
if (GPR[RsA] < SEXT(Immediate) GPR[Rst] ←1
else GPR[Rst] ←0
I<15:12>I<11>I<10:8>I<7:0>
Opcode Imm Rst Immediate
0011 1 rrr iiiiiiii

8
SLTU - set if less than (unsigned)
Compara dois valores (sem sinal). Se o primeiro for menor que o segundo, armazena 1 (verda-
deiro) em um registrador. Senão, armazena 0 (falso). No tipo I, o segundo valor possui extensão
de sinal. O cálculo dessa instrução é definido por SLTU = C, resultante de uma subtração reali-
zada internamente e avaliação do qualificador carry interno a ULA. O valor da condição SLTU é
armazenado no bit menos significativo do registrador destino, sendo os outros zerados.
•SLTU Rst, RsA, RsB
if (GPR[RsA] < GPR[RsB]) GPR[Rst] ←1
else GPR[Rst] ←0
I<15:12>I<11>I<10:8>I<7:5>I<4:2>I<1:0>
Opcode Imm Rst RsA RsB Op2
0100 0 rrr rrr rrr 00
•SLTU Rst, Immediate
if (GPR[RsA] < SEXT(Immediate) GPR[Rst] ←1
else GPR[Rst] ←0
I<15:12>I<11>I<10:8>I<7:0>
Opcode Imm Rst Immediate
0100 1 rrr iiiiiiii
ADD - add
Soma dois valores e armazena o resultado em um registrador. No tipo I, o segundo valor possui
extensão de sinal.
•ADD Rst, RsA, RsB
GPR[Rst] ←GPR[RsA] + GPR[RsB]
I<15:12>I<11>I<10:8>I<7:5>I<4:2>I<1:0>
Opcode Imm Rst RsA RsB Op2
0101 0 rrr rrr rrr 00
•ADD Rst, Immediate
GPR[Rst] ←GPR[Rst] + SEXT(Immediate)
I<15:12>I<11>I<10:8>I<7:0>
Opcode Imm Rst Immediate
0101 1 rrr iiiiiiii

9
SUB - subtract
Subtrai dois valores e armazena o resultado em um registrador. No tipo I, o segundo valor possui
extensão de sinal.
•SUB Rst, RsA, RsB
GPR[Rst] ←GPR[RsA] - GPR[RsB]
I<15:12>I<11>I<10:8>I<7:5>I<4:2>I<1:0>
Opcode Imm Rst RsA RsB Op2
0110 0 rrr rrr rrr 00
•SUB Rst, Immediate
GPR[Rst] ←GPR[Rst] - SEXT(Immediate)
I<15:12>I<11>I<10:8>I<7:0>
Opcode Imm Rst Immediate
0110 1 rrr iiiiiiii
LDR - load register
Carrega uma constante de 8 bits em um registrador. O valor carregado possui extensão de sinal,
o que facilita a carga de constantes de pequeno valor (±128, em complemento de dois) com
apenas uma instrução.
•LDR Rst, Immediate
GPR[Rst] ←SEXT(Immediate)
I<15:12>I<11>I<10:8>I<7:0>
Opcode Imm Rst Immediate
1000 1 rrr iiiiiiii
LDC - load constant
Carrega uma constante em um registrador. O valor carregado não possui extensão de sinal.
Antes de carregar o valor nos 8 bits menos significativos de um registrador, o mesmo tem seu
conteúdo deslocado à esquerda, o que permite a carga de constantes de valores maiores que ±128
com múltiplas instruções.
•LDC Rst, Immediate
GPR[Rst] ←(GPR[Rst] << 8) + ZEXT(Immediate)
I<15:12>I<11>I<10:8>I<7:0>
Opcode Imm Rst Immediate
1001 1 rrr iiiiiiii

10
1.4.2 Deslocamento
LSR - logical shift right
Realiza a o deslocamento lógico por 1 bit à direita e armazena o resultado em um registrador.
•LSR Rst, RsA, r0
GPR[Rst] ←GPR[RsA] >> 1
I<15:12>I<11>I<10:8>I<7:5>I<4:2>I<1:0>
Opcode Imm Rst RsA RsB Op2
0000 0 rrr rrr 000 01
ASR - arithmetic shift right
Realiza a o deslocamento aritmético por 1 bit à direita e armazena o resultado em um registrador.
O valor armazenado tem seu sinal mantido.
•ASR Rst, RsA, r0
GPR[Rst] ←GPR[RsA] >> 1
I<15:12>I<11>I<10:8>I<7:5>I<4:2>I<1:0>
Opcode Imm Rst RsA RsB Op2
0001 0 rrr rrr 000 01
1.4.3 Carga e armazenamento
LDB - load byte
Carrega um byte da memória. O endereço é obtido a partir do registrador base RsB. O valor é
carregado na parte baixa do registrador destino Rst, e possui extensão de sinal.
•LDB Rst, r0, RsB
GPR[Rst] ←SEXT(MEM[GPR[RsB]]<7:0>)
I<15:12>I<11>I<10:8>I<7:5>I<4:2>I<1:0>
Opcode Imm Rst RsA RsB Op2
0000 0 rrr 000 rrr 10
STB - store byte
Armazena um byte na memória. O endereço é obtido a partir do registrador base RsB. O valor
armazenado encontra-se na parte baixa do registrador fonte RsA.
•STB r0, RsA, RsB
MEM[GPR[RsB]] ←GPR[RsA]<7:0>

11
I<15:12>I<11>I<10:8>I<7:5>I<4:2>I<1:0>
Opcode Imm Rst RsA RsB Op2
0001 0 000 rrr rrr 10
LDW - load word
Carrega uma palavra da memória. O endereço é obtido a partir do registrador base RsB e deve
estar alinhado ao tamanho da palavra (16 ou 32 bits). O valor é carregado no registrador destino
Rst.
•LDW Rst, r0, RsB
GPR[Rst] ←MEM[GPR[RsB]]
I<15:12>I<11>I<10:8>I<7:5>I<4:2>I<1:0>
Opcode Imm Rst RsA RsB Op2
0100 0 rrr 000 rrr 10
STW - store word
Armazena uma palavra na memória. O endereço é obtido a partir do registrador base RsB e
deve estar alinhado ao tamanho da palavra (16 ou 32 bits). O valor armazenado encontra-se no
registrador fonte RsA.
•STW r0, RsA, RsB
MEM[GPR[RsB]] ←GPR[RsA]
I<15:12>I<11>I<10:8>I<7:5>I<4:2>I<1:0>
Opcode Imm Rst RsA RsB Op2
0101 0 000 rrr rrr 10
1.4.4 Desvios condicionais
BEZ - branch if equal zero
Realiza um desvio condicional, caso o valor de Fonte 1 seja zero. O endereço é obtido a partir
do registrador base RsB ou relativo ao PC e deve estar alinhado ao tamanho de uma instrução
(16 bits).
•BEZ r0, RsA, RsB
if (GPR[RsA] == zero) PC ←GPR[RsB]
I<15:12>I<11>I<10:8>I<7:5>I<4:2>I<1:0>
Opcode Imm Rst RsA RsB Op2
1010 0 000 rrr rrr 11
•BEZ Rst, Immediate
if (GPR[Rst] == zero) PC ←PC + SEXT(Immediate)

12
I<15:12>I<11>I<10:8>I<7:0>
Opcode Imm Rst Immediate
1010 1 rrr iiiiiiii
BNZ - branch if not equal zero
Realiza um desvio condicional, caso o valor de Fonte 1 não seja zero. O endereço é obtido a partir
do registrador base RsB ou relativo ao PC e deve estar alinhado ao tamanho de uma instrução
(16 bits).
•BNZ r0, RsA, RsB
if (GPR[RsA] != zero) PC ←GPR[RsB]
I<15:12>I<11>I<10:8>I<7:5>I<4:2>I<1:0>
Opcode Imm Rst RsA RsB Op2
1011 0 000 rrr rrr 11
•BNZ Rst, Immediate
if (GPR[Rst] != zero) PC ←PC + SEXT(Immediate)
I<15:12>I<11>I<10:8>I<7:0>
Opcode Imm Rst Immediate
1011 1 rrr iiiiiiii
A tabela a seguir apresenta um resumo das operações definidas na arquitetura. Importante
observar que diversos opcodes não foram definidos, o que permite adição de novas instruções ao
conjunto básico.
Instrução Descrição Opcode Imm Op2
AND Logical product 0000 x 00
OR Logical sum 0001 x 00
XOR Logical difference 0010 x 00
SLT Set if less than 0011 x 00
SLTU Set if less than (unsigned) 0100 x 00
ADD Add 0101 x 00
SUB Subtract 0110 x 00
LDR Load register 1000 1 00
LDC Load constant 1001 1 00
LSR Logical shift right 0000 0 01
ASR Arithmetic shift right 0001 0 01
LDB Load byte 0000 0 10
STB Store byte 0001 0 10
LDW Load word 0100 0 10
STW Store word 0101 0 10
BEZ Branch if equal zero 1010 x 11
BNZ Branch if not equal zero 1011 x 11

13
1.5 Características únicas
1.5.1 Carga de constantes
A carga de constantes pode ser realizada com as instruções LDR e LDC. A instrução LDR
simplifica a carga de constantes com valor entre ±128 e outras com valor negativo e maior
magnitude. O objetivo de existir uma instrução específica para carga de valores pequenos é o
fato da maior parte das constantes terem um valor nessa faixa, além de inicializar com a extensão
de sinal a parte alta de um registrador. O valor -1 pode ser carregado diretamente com:
ldr r1,-1
Para constantes com valores fora da faixa de valores entre ±128 uma sequência de instruções
LDC (ou LDR + LDC) pode ser usada. Uma constante em uma arquitetura de 16 bits pode ser
carregada pela seguinte sequência. O valor a ser carregado é 123416 e os bytes são carregados a
partir do byte mais significativo6, sendo os valores especificados em decimal.
ldc r1,18
ldc r1,52
Para a carga da mesma constante em uma arquitetura de 32 bits, a sequência a seguir pode
ser utilizada.
ldc r1,0
ldc r1,0
ldc r1,18
ldc r1,52
É importante observar que com a carga de todo o registrador qualquer informação antiga terá
sido eliminada, uma vez que o registrador tem seu conteúdo deslocado à esquerda 8 bits a cada
instrução. Uma maneira mais eficiente seria (desde que o valor do primeiro byte seja menor que
128):
ldr r1,18
ldc r1,52
O valor -31073 pode ser carregado com o par de instruções a seguir (assumindo que a instrução
LDR utiliza uma constante sinalizada e LDC não):
ldr r1,-122
ldc r1,159
Outro exemplo seria a carga de constantes com valores de grande magnitude (32 bits). No
exemplo, o valor a ser carregado é 1234567816 (ou 30541989610).
ldc r1,0x12
ldc r1,0x34
ldc r1,0x56
ldc r1,0x78
6Mais detalhes sobre a ordem de bytes da arquitetura são apresentados na Seção 1.6.

14
Para o caso de uma arquitetura de 32 bits, de uma a quatro instruções podem ser utilizadas,
sendo que o número de instruções varia de acordo com a magnitude do valor da constante. Para
uma versão de 16 bits, duas instruções LDC podem ser utilizadas para a carga de constantes
fora da faixa de valor ±128.
1.5.2 Extensão de sinal
Para que valores imediados (instruções do tipo I) possam ser utilizados para aritmética, é neces-
sário que a sinalização adequada seja mantida (em complemento de dois). Para implementar a
extensão de sinal, o valor do oitavo bit do campo imediato (bit 7) é replicado para todos os bits
mais significativos de Fonte 2. O comportamento da extensão de sinal pode ser descrito como
SEXT(Immediate) ←Immediate<7> ... Immediate<7:0>. As únicas operações do tipo I que
não utilizam extensão de sinal, ou seja utilizam extensão por zero, são as instruções AND, OR
e LDC.
1.5.3 Desvios condicionais
São definidas duas instruções de desvios condicionais (BEZ e BNZ) na arquitetura, que compa-
ram o valor de um registrador com zero e realizam desvios condicionalmente. O motivo para a
definição dessas instruções, e não instruções mais genéricas que comparam o valor de um registra-
dor com qualquer valor (como BEQ e BNE) é simples. No tipo de instrução R, três registradores
são referenciados. Se dois valores a serem comparados estivessem em registrador, e mais um
registrador de endereços fosse referenciado na mesma instrução, seriam necessárias três portas
de leitura no banco de registradores. Além disso, seria necessário o uso de um multiplexador
adicional para modificar a semântica dos campos Rst,RsA eRsB em instruções de desvio.
1.5.4 Outras operações
Algumas operações elementares como complemento, deslocamentos à esquerda e outros tipos
de desvios são implementados na arquitetura com o uso de pseudo operações. Em algumas
operações, não existe vantagem alguma em incluir hardware adicional para o seu suporte, uma
vez que as mesmas podem ser sintetizadas diretamente por outras equivalentes. Um exemplo é
o deslocamento à esquerda, que pode ser obtido somando-se um valor a ele mesmo, não sendo
necessária uma instrução separada para implementar esse comportamento.
Outras operações podem ser sintetizadas com sequências de poucas instruções elementares.
Mais detalhes sobre tais operações são apresentadas no Capítulo 2.
1.6 Tipos de dados
Viking é uma arquitetura big-endian, ou seja, tipos compostos por múltiplos bytes possuem o
endereço alinhado com o byte mais significativo. Dessa forma, o primeiro byte de uma instrução
(mais significativo) é capaz de conter informação suficiente para definir operações que resultem
em instruções com tamanho maior que 16 bits, uma possível extensão do formato de instruções.
Na arquitetura Viking existem dois tipos de dados:
•Um byte possui 8 bits. Em operações de carga e armazenamento o byte mais significativo
de uma palavra (dados, bits <31:24> para 32 bits ou bits <15:8> para 16 bits) é acessado

15
quando o endereço estiver alinhado (endereço, bits <1:0> = 0 para 32 bits ou bit <0> =
0 para 16 bits) e o byte menos significativo é acessado quando os bits do endereço forem
<1:0> = 3 (para palavras de 32 bits) e <0> = 1 (para palavras de 16 bits).
•Uma palavra possui 32 ou 16 bits (dependendo da implementação). Esse tipo possui seu
byte mais significativo acessado na parte alta da palavra em operações de carga e armaze-
namento quando o endereço estiver alinhado (bits <1:0> = 0 para 32 bits ou bit <0> =
0 para 16 bits). Não são definidos acessos desalinhados para esse tipo.
Capítulo 2
Síntese de pseudo operações
Neste Capítulo são apresentadas diversas instruções que não fazem parte da arquitetura Viking,
mas que podem ser sintetizadas de maneira simples. As operações apresentadas correspondem a
instruções tipicamente encontradas em arquiteturas RISC, e servem para facilitar o desenvolvi-
mento de programas em linguagem de montagem ou para a simplificação das listagens resultantes
do processo de compilação.
Nas tabelas de instruções são apresentados o formato da instrução (pseudo operação) e a
sua equivalência em uma sequência de instruções suportadas pela arquitetura. Em instruções
que necessitam de um registrador temporário, at é utilizado para esse fim. O registrador lr é
utilizado como endereço de retorno.
2.1 Pseudo operações básicas
Instruções de complemento são sintetizadas com operações XOR e ADD. Deslocamentos à es-
querda são sintetizados com operações ADD. A carga de constantes é sintetizada de maneira
trivial pelo montador, no entanto uma sequência mais otimizada pode ser gerada, como apre-
sentado na Seção 1.5.1. O parâmetro const da pseudo operação LDI pode ser tanto um valor
numérico quanto um rótulo, tendo seu valor resolvido pelo montador.
Operações de carga e armazenamento e desvios podem ser especificadas com apenas dois
registradores, uma vez que para essas instruções um dos registradores não é utilizado fazendo
com que o formato com três registradores se torne pouco intuitivo. Os parâmetros addr das
operações BEZ e BNZ podem ser rótulos, sendo que essas operações fazem uso do registrador at
para a carga do endereço. Isso simplifica o código de montagem pois o programador não precisa
carregar o endereço manualmente. Outras operações que fazem uso de rótulos são LDB, STB,
LDW e STW. A operação HCF não é definida pela arquitetura, e possui funcionalidade apenas
no contexto de simulação (a simulação é abortada).
Nos formatos de pseudo operações suportadas pelo montador, o registrador r1 é exemplificado
como registrador destino ou fonte da operação, enquanto r2 é fonte. Em casos onde o endereço
necessita ser calculado em função de um rótulo, at é fonte.
16

17
Instrução Descrição Formato Equivalência
NOP No operation nop and r0,r0,r0
NOT One’s complement not r1 xor r1,-1
NEG Two’s complement neg r1 xor r1,-1
add r1,1
LSR Logical shift right lsr r1,r2 lsr r1,r2,r0
ASR Arithmetic shift right asr r1,r2 asr r1,r2,r0
LSL Logical shift left lsl r1,r2 add r1,r2,r2
LDI Load immediate ldi r1,const ldc r1,byte0
ldc r1,byte1
...
BEZ Branch if equal zero bez r1,r2 bez r0,r1,r2
bez r1,addr ldi at,addr
bez r0,r1,at
BNZ Branch if not equal zero bnz r1,r2 bnz r0,r1,r2
bnz r1,addr ldi at,addr
bnz r0,r1,at
LDB Load byte ldb r1,r2 ldb r1,r0,r2
ldb r1,addr ldi at,addr
ldb r1,r0,at
STB Store byte stb r1,r2 stb r0,r1,r2
stb r1,addr ldi at,addr
stb r0,r1,at
LDW Load word ldw r1,r2 ldw r1,r0,r2
ldw r1,addr ldi at,addr
ldw r1,r0,at
STW Store word stw r1,r2 stw r0,r1,r2
stw r1,addr ldi at,addr
stw r0,r1,at
HCF Halt and catch fire hcf 0x0003 (padrão)
2.2 Operações de deslocamento
Nas operações de deslocamento que envolvem múltiplos bits o registrador r1 é exemplificado
como fonte e destino e r2 contém o número de bits a serem deslocados. O conteúdo de r2
também é modificado como resultado do processamento.
Instrução Descrição Formato Equivalência
LSRM Logical shift right multiple lsrm r1,r2 lsr r1,r1,r0
sub r2,1
bnz r2,-6
ASRM Arithmetic shift right
multiple
asrm r1,r2 asr r1,r1,r0
sub r2,1
bnz r2,-6
LSLM Logical shift left multiple lslm r1,r2 add r1,r1,r0
sub r2,1
bnz r2,-6

18
2.3 Pseudo operações não suportadas pelo montador
2.3.1 Testes, seleção e desvios (condicionais)
Em pseudo operações que envolvem testes, os registradores r2 er3 são exemplificados como
operandos e r1 como alvo. As operações SLT e SLTU já fazem parte do conjunto de instruções
básico, e por isso não foram apresentadas na tabela.
Instrução Descrição Formato Equivalência
SEQ Set if equal seq r1,r2,r3 sub r1,r2,r3
sltu r1,1
SNE Set if not equal sne r1,r2,r3 sub r1,r2,r3
xor at,at,at
sltu r1,at,r1
SGE Set if greater equal sge r1,r2,r3 slt r1,r2,r3
ldr at,1
sub r1,at,r1
SGEU Set if greater equal (unsig-
ned)
sgeu r1,r2,r3 sltu r1,r2,r3
ldr at,1
sub r1,at,r1
Nos formatos de desvios condicionais, os registradores r1 er2 são exemplificados como ope-
randos, sendo o valor de r1 não preservado. Um endereço é definido no rótulo addr.
Instrução Descrição Formato Equivalência
BEQ Branch if equal beq r1,r2,addr ldi at,addr
sub r1,r1,r2
bez r0,r1,at
BNE Branch if not equal bne r1,r2,addr ldi at,addr
sub r1,r1,r2
bnz r0,r1,at
BLT Branch if less than blt r1,r2,addr ldi at,addr
slt r1,r1,r2
bnz r0,r1,at
BGE Branch if greater equal bge r1,r2,addr ldi at,addr
slt r1,r1,r2
bez r0,r1,at
BLTU Branch if less than (unsig-
ned)
bltu r1,r2,addr ldi at,addr
sltu r1,r1,r2
bnz r0,r1,at
BGEU Branch if greater equal
(unsigned)
bgeu r1,r2,addr ldi at,addr
sltu r1,r1,r2
bez r0,r1,at
2.3.2 Operações condicionais equivalentes
Outras operações condicionais são equivalentes às definidas anteriormente, sendo apenas neces-
sário inverter a ordem dos operandos. Por exemplo, a instrução BLE é a mesma que BGE porém
com os operandos invertidos.

19
Instrução Descrição Formato Equivalência
SGT Set if greater equal sgt r1,r2,r3 slt r1,r3,r2
SLE Set if less equal sle r1,r2,r3 sge r1,r3,r2
SGTU Set if greater than (unsig-
ned)
sgtu r1,r2,r3 sltu r1,r3,r2
SLEU Set if less equal (unsigned) sleu r1,r2,r3 sgeu r1,r3,r2
BGT Branch if greater than bgt r1,r2,r3 blt r2,r1,r3
BLE Branch if less equal ble r1,r2,r3 bge r2,r1,r3
BGTU Branch if greater than
(unsigned)
bgtu r1,r2,r3 bltu r2,r1,r3
BLEU Branch if less equal (un-
signed)
bleu r1,r2,r3 bgeu r2,r1,r3
2.3.3 Desvios incondicionais
Desvios incondicionais, assim como operações de chamada e retorno de subrotina podem ser
trivialmente emuladas. Assume-se que r7 (sp) seja sempre diferente de zero.
Instrução Descrição Formato Equivalência
JMP Jump jmp addr ldi at,addr
bnz r0,r7,at
JAL Jump and link jal addr ldi at,addr
ldi lr,raddr
bnz r0,r7,at
JMPR Jump register jmpr r1 bnz r0,r7,r1
JALR Jump and link register jalr r1 ldi lr,raddr
bnz r0,r7,r1
RET Return ret bnz r0,r7,lr
2.3.4 Operações aritméticas adicionais
Para operações de multiplicação, divisão e resto são necessárias chamadas para funções que
emulam tais instruções. Nessas operações, os registradores r2 er3 são exemplificados como
operandos e r1 como alvo. As rotinas mulsi3 (multiplicação), divsi3 (divisão) e modsi3 (resto)
são apresentadas no Apêndice B.
Instrução Descrição Formato Equivalência
MUL / DIV
/ REM
Multiply / Divide / Divi-
sion remainder
mul r1,r2,r3 /
div r1,r2,r3 / rem
r1,r2,r3
sub sp,2
stw r0,r2,sp
sub sp,2
stw r0,r3,sp
sub sp,2
stw r0,lr,sp
ldi lr,raddr
ldi sr,mulsi3 /
divsi3 / modsi3
bnz r0,r7,sr
ldw lr,r0,sp
add sp,6
add r1,r0,sr
Capítulo 3
Programando com o processador
Viking
Algumas estruturas de controle básicas para a programação do processador são apresentadas nas
próximas seções. Nos exemplos apresentados serão usadas apenas instruções suportadas nativa-
mente pela arquitetura e pseudo operações básicas suportadas pelo montador, com o objetivo de
ilustrar padrões simples para construção de código.
3.1 Controle de fluxo do programa
As estruturas de controle básicas de linguagem de alto nível como seleção e repetição podem ser
implementadas para o controle de fluxo de execução com apenas quatro instruções (SUB, SLT,
BNZ e BEZ) na arquitetura Viking.
3.1.1 Seleção
Igual a (==) e diferente de (!=)
Em um comando de seleção que utiliza uma comparação por igualdade (if (a == b)), são utiliza-
das instruções SUB e BEZ. A idéia é que se dois valores forem iguais (nesse caso, as variáveis ae
bestão armazenadas nos registradores r1 er2 respectivamente) a subtração de ambos resultará
em zero, e o desvio do fluxo de controle (condicional) será executado (if ).
sub r3,r1,r2
bez r3,if
else
...
if
...
Quando a comparação for por não igualdade (if (a != b)), utiliza-se uma instrução BNZ.
Neste caso, sempre que o resultado da subtração for diferente de zero (ou seja, se os valores de
aebforem diferentes) o desvio será executado.
20

21
sub r3,r1,r2
bnz r3,if
else
...
if
...
Menor que (<) e maior ou igual a (>=)
Para a implementação de seleção para uma comparação por menor que (if (a < b)) as instruções
SLT (ou SLTU, caso os valores a serem comparados não forem sinalizados) e BNZ são utilizadas.
Se o valor de r1 for menor que r2, o resultado da comparação será diferente de zero, e o salto
será executado.
slt r3,r1,r2
bnz r3,if
else
...
if
...
Em uma comparação por maior ou igual a (if (a >= b)) a lógica é a mesma, porém utiliza-se
uma instrução BEZ. Deve-se lembrar que se um número não for menor que outro (<) ele é maior
ou igual ao outro número (>=), então a única diferença entre as duas comparações deve ser a
instrução de salto.
slt r3,r1,r2
bez r3,if
else
...
if
...
Maior que (>) e menor ou igual a (<=)
Para a implementação de seleção para uma comparação por maior que (if (a > b)) as instruções
SLT (ou SLTU, caso os valores a serem comparados não forem sinalizados) e BNZ são utilizadas.
Se o valor de r2 for menor que r1, (ou seja, r1 for maior que r2 ) o resultado da comparação será
diferente de zero, e o salto será executado.
slt r3,r2,r1
bnz r3,if
else
...
if
...
Em uma comparação por menor ou igual a (if (a <= b)) a lógica é a mesma, porém utiliza-se
uma instrução BEZ. Deve-se lembrar que se um número não for maior que outro (>) ele é menor

22
ou igual ao outro número (<=), então a única diferença entre as duas comparações deve ser a
instrução de salto.
slt r3,r2,r1
bez r3,if
else
...
if
...
Alternativas para menor ou igual a (<=) e maior ou igual a (>=)
Versões alternativas para as operações de seleção maior ou igual a (>=) e menor ou igual a
(<=) podem ser usadas. Essas versões utilizam mais instruções, porém são mais simples de
serem verificadas mentalmente. Nessas versões, os testes são realizados de forma independente -
primeiramente o teste por menor que (<) é realizado (usando-se SLT e BNZ) pois cobre a maior
parte dos casos, e posteriormente o teste por igualdade (==) é realizado (usando-se SUB e BEZ).
A idéia é que qualquer uma das condições possa fazer com que o fluxo de execução seja desviado.
O exemplo abaixo realiza o teste para menor ou igual a (if (a <= b)). Para o teste de maior
ou igual a (if (a >= b), basta inverter a ordem de r1 er2 na primeira instrução (SLT).
slt r3,r1,r2
bnz r3,if
sub r3,r1,r2
bez r3,if
else
...
if
...
3.1.2 Repetição
Estruturas de controle de repetição em linguagem de montagem possuem uma estrutura seme-
lhante à estruturas de seleção, com a diferença de que normalmente o fluxo de execução será
redirecionado a um ponto do código percorrido anteriormente de maneira iterativa. Além da
operação de repetição (como um for,while ou do .. while), muitas vezes são utilizadas comandos
do tipo break (que quebra o laço incondicionalmente) e continue (que desvia incondicionalmente
para a próxima iteração do laço). Em todos os casos, são utilizadas estruturas semelhantes às
apresentadas anteriormente.
Repetição incondicional
Um comando simples de repetição incondicional pode ser implementado de acordo com o padrão
a seguir. Nesse exemplo, assume-se que o registrador r7 (ou sp) nunca tenha um valor zero. Esse
exemplo ilustra uma construção semelhante ao um laço while (1) { ... }.
while
...

23
bnz r7,while
endwhile
Repetição condicional
A implementação de um comando de repetição semelhante a while (a < b) { ... } é mostrado a
seguir. Nesse exemplo, as variáveis aebestão armazenadas nos registradores r1 er2 respecti-
vamente.
while
slt r3,r1,r2
bez r3,endwhile
...
bnz r7,while
endwhile
Importante observar no exemplo anterior que se a comparação a<bfor falsa (ou seja, zero),
o fluxo de execução será desviado para o final do laço. Enquanto a<b, o primeiro desvio não
será tomado, o corpo da repetição será executado e o último comando de desvio (incondicional)
irá desviar o fluxo de execução para o início do laço.
Para a implementação de um comando de repetição do tipo do ... while (a < b) basta que
o teste seja realizado no final do laço. Nesse exemplo, se a comparação a < b for verdadeira, o
fluxo de execução será desviado para o início do laço.
while
...
slt r3,r1,r2
bnz r3,while
endwhile
3.2 Acesso à memória - variáveis
Apenas um número limitado de registradores está presente na arquitetura Viking. Parte desses
registradores são usados para fins específicos (como apresentado na Seção 3.4.2), restando na
maior parte dos casos apenas os registradores r1 ar5 como temporários para o armazenamento
de variáveis.
A arquitetura realiza o acesso à memória de dados apenas com instruções carga e armaze-
namento (load / store). Dessa forma, os operandos precisam serem trazidos da memória, uma
vez que as operações lógicas e aritméticas são realizadas apenas nos registradores internos. Por
exemplo, para realizar uma operação de soma entre duas variáveis e armazenar o resultado em
uma terceira variável (C = A + B), é necessário um padrão semelhante ao apresentado abaixo,
que realiza 3 acessos à memória de dados.
ldw r1,A
ldw r2,B
add r3,r1,r2
stw r3,C

24
...
A 123
B 333
C 0
Caso uma variável seja utilizada frequentemente (um contador em um laço, por exemplo),
pode-se fixar temporariamente o uso de um dos registradores para evitar operações de acesso à
memória indesejáveis (carga da variável contador, incremento do contador e armazenamento da
variável contador).
3.3 Acesso à memória - vetores
O acesso à vetores pode ser realizado com o uso de ponteiros. Um ponteiro nada mais é que
uma variável (valor inteiro) que armazena um endereço de memória. Dessa forma, o ponteiro é
utilizado para referenciar uma posição de memória. Esse endereço pode ser qualquer posição na
memória, então um ponteiro pode referenciar o conteúdo de uma variável, ou elemento de um
vetor.
Um detalhe importante para acesso à memória utilizando o conceito de ponteiros é que é
necessário que o tipo de dados apontado seja conhecido. Por exemplo, na arquitetura Viking
inteiros possuem 2 ou 4 bytes (2 em uma arquitetura de 16 bits, como no exemplo abaixo) e
vetores de caracteres (strings) possuem 1 byte por elemento. Precisamos levar isso em conta
para calcular o deslocamento na memória durante o acesso à vetores.
Para o cálculo do deslocamento, usa-se a fórmula d=i∗ts, onde dé o deslocamento, ié o índice
do vetor e ts é o tamanho do tipo de dado armazenado no vetor. Sabendo-se o deslocamento,
é possível encontrar o endereço de memória efetivo de um determinado elemento em um índice
ide um vetor. Esse elemento ipode ser acessado por um ponteiro que contém o endereço do
primeiro elemento do vetor somado ao deslocamento (formando um endereço efetivo).
No exemplo abaixo, o quarto elemento de um vetor será acessado e nele armazenado o valor
123 (vetor[3] = 123. Assume-se que vetor possui o tipo inteiro e possui 5 elementos.
ldi r4,vet
add r4,3
add r4,3
ldi r3,123
stw r3,r4
...
vet 0 0 0 0 0
No código acima, o endereço do primeiro elemento do vetor é carregado em r4 com a instrução
LDI. O endereço efetivo é calculado somando-se o índice (nesse caso 3) duas vezes (ou seja, 3
multiplicado por 2 em função do tipo inteiro) ao endereço inicial. O acesso ao vetor é realizado
pela instrução STW, que armazena o valor de r3 no endereço efetivo armazenado em r4.
Para se realizar o acesso à um vetor de caracteres, o índice não precisa ser multiplicado pelo
tamanho do tipo. Além disso usam-se instruções LDB e STB para a leitura e escrita. No exemplo
abaixo o elemento vet[10] (um espaço em branco) é substituído por uma quebra de linha (’\n’).

25
ldi r4,vet
add r4,10
ldi r3,0xa
stb r3,r4
...
vet "fight fire with fire"
3.4 Chamadas de função e convenções de chamada
3.4.1 Pilha
Não há mecanismos ou instruções específicas para o gerenciamento da pilha. O programador é
responsável por fazer a gerência manualmente, utilizando o registrador r7 (sp) para essa finali-
dade. Por convenção, a pilha cresce do endereço mais alto para o endereço mais baixo, e esta
deve ser inicializada com o endereço do topo da pilha no início do programa. Para implementar o
comportamento de instruções estilo PUSH ePOP, pode ser usado o seguinte padrão de código:
sub sp,2 # PUSH r1
stw r1,sp
...
ldw r1,sp # POP r1
add sp,2
Importante observar que no código foi considerada uma implementação de 16 bits da arquite-
tura. Caso fossem utilizados registradores de 32 bits, seria necessário alocar / desalocar 4 bytes
na pilha, e não 2 como apresentado no exemplo.
3.4.2 Registradores
Um conjunto de 8 registradores de propósito geral é definido na arquitetura. Por questões
de interoperabilidade, as seguintes convenções são definidas para o uso de tais registradores.
Importante observar que os nomes alternativos podem ser utilizados para designar os papéis de
registradores específicos e tornar o código de montagem mais legível.
Registrador Nome Apelido Papel Preservado
0 r0 at Temporário (montador) Não
1 r1 r1 Variável local Chamado
2 r2 r2 Variável local Chamado
3 r3 r3 Variável local Chamado
4 r4 r4 Variável local Chamado
5 r5 sr Temporário Não
6 r6 lr Endereço de retorno Chamador
7 r7 sp Ponteiro de pilha Sim
Nos formatos de instruções em que um dos registradores especificado é fixo, deve-se utilizar
a notação r0. Pseudo operações podem ser usadas nesse caso para que a referência a r0 seja
omitida, uma vez que essa referência trata-se de um detalhe da arquitetura que não precisa ser
exposto ao programador. Nos outros casos, o registrador 0 deve ser referenciado por at. O

26
registrador at é reservado para a síntese de pseudo operações, e deve ser utilizado diretamente
pelo programador apenas em situações em que não estão envolvidas pseudo operações. Os
registradores r1 ar4 são de propósito geral e podem ser utilizados para avaliação de expressões
e passagem de parâmetros. O registrador sr é um registrador temporário, e pode ser utilizado
para qualquer finalidade. Para chamada de procedimentos e manipulação da pilha são utilizados
os registradores lr esp respectivamente.
Caso necessário, os registradores sr elr podem ser utilizados como registradores de propósito
geral. Para que o registrador lr possa ser utilizado com esse fim, seu conteúdo deve ser colocado
na pilha no início da função, e restaurado no final antes de efetuado o retorno de função. Quando
tratados como registradores de propósito geral, sr elr devem ser referenciados por seus nomes
r5 er6, ficando assim os registradores r1 ar6 (6 registradores) disponíveis para uso geral.
3.4.3 Chamada e retorno de funções
Em função do número reduzido de registradores na arquitetura, a passagem de parâmetros ocorre
normalmente pela pilha. Apenas em casos onde não é desejável a manipulação da pilha (pequenas
funções, por exemplo) os registradores r1 ar4 podem ser utilizados para essa finalidade. Nesse
caso, é responsabilidade tanto da função chamadora quanto da função chamada definirem o
protocolo adequado.
Não existem instruções nativas para o suporte de chamada e retorno de funções. Assim, para
realizar a passagem de parâmetros pela pilha são necessárias as seguintes convenções:
•Usar o registrador r5 (scratch register, sr) para o retorno de valores em funções. Se mais
valores de retorno forem necessários, deve-se utilizar a pilha;
•Usar o registrador r6 (link register, lr ) como um registrador de endereço de retorno, e
gerenciar o mesmo usando a pilha no caso de chamadas recursivas;
•Usar o registrador r7 (stack pointer, sp) como ponteiro de pilha e fazer a sua gerência
manualmente.
Uma chamada de função envolve gerenciar a passagem e retorno de parâmetros e endereços
de chamada e retorno de função. Considerando as limitações da arquitetura, o seguinte protocolo
pode ser usado:
1. Colocar os parâmetros na pilha (em ordem inversa);
2. Salvar lr na pilha;
3. Carregar lr com o endereço de retorno (um rótulo definido após a instrução de desvio que
salta para a função chamada);
4. Carregar sr com o endereço da função a ser chamada;
5. Saltar para sr (chamada de função). Na função:
(a) Salvar r1 até r4 na pilha, se necessário;
(b) (Fazer o que for necessário);
(c) Escrever o resultado pelos parâmetros (ponteiros) ou em sr;

27
(d) Restaurar registradores r1 até r4, se necessário;
(e) Saltar para lr (retorno);
6. Na função chamadora, restaurar lr da pilha;
7. Liberar da pilha os parâmetros.
Capítulo 4
Montagem de código e simulação
4.1 Montador
O montador possui uma sintaxe bastante simples, não sendo necessário definir regiões separadas
para código e dados e diretivas tradicionalmente utilizadas em montadores de outras arquiteturas.
O programa montador foi descrito com a linguagem Python, em função de sua facilidade natural
de manipular texto e poder servir como referência para implementações mais completas e com
um desempenho melhor.
4.1.1 Formato da linguagem de montagem
Rótulos são utilizados para declarar pontos específicos (deslocamentos) no código, como destinos
de saltos, endereço de entrada de funções ou procedimentos e também endereços de estruturas de
dados (variáveis e vetores). O montador é responsável por resolver o valor dos rótulos, permitindo
que as referências à memória assumam um valor numérico para a codificação das instruções em
linguagem de máquina.
Instruções são representadas por seus mnemônicos, e em sua maioria possuem parâmetros
que especificam o modo de endereçamento utilizado (R ou I) e operandos. Os mnemônicos que
representam instruções, assim como as referências à registradores, são traduzidos pelo montador.
Algumas poucas pseudo-operações não possuem parâmetros, como NOP e HCF. As regras para
um programa de montagem válido são:
•Comentários devem ser iniciados por um caracter ponto e vírgula seguido por um espaço
(; ) à esquerda, sem tabulações. Apenas caracteres da língua inglesa são reconhecidos.
•Rótulos devem ser declarados com alinhamento à esquerda, sem tabulações, e sem finali-
zador (dois pontos).
•Instruções devem ser alinhadas à esquerda, com uma única tabulação.
•Instruções devem ser representadas por dois campos: mnemônico e parâmetros (se existi-
rem). O separador dos dois campos pode ser um espaço ou uma tabulação.
•Os elementos que compõem parâmetros de uma instrução devem ser separados por vírgula
e sem espaços.
28

29
•Rótulos sem parâmetros definem endereços (deslocamentos ou alvo de desvios) no código,
e com parâmetros definem estruturas de dados e sua posição inicial na memória.
•Estruturas de dados são definidas por dois tipos básicos (byte e inteiro). No tipo byte, os
valores são representados por um conjunto de bytes e no tipo inteiro podem ser definidos
por apenas um valor numérico (variável) ou uma lista de valores separados por um espaço
(vetor de inteiros).
•Valores das estruturas de dados podem ser bytes (string) delimitados por aspas ou valores
numéricos, representados em decimal (123), hexadecimal (0x123), octal (0o123) ou binário
(0b1010).
•Caracteres especiais aceitos em strings são \t,\ne\r.Strings definem implicitamente o
terminador \0.
•Instruções e dados podem ser misturados.
Para a montagem de código, são realizadas três passadas em sequência. Cada uma possui um
papel fundamental na transformação do programa em linguagem de montagem para código de
máquina. A sequência para a montagem de um programa com relação às passadas pelo código
fonte em linguagem de montagem é a seguinte:
1. Pseudo-operações são convertidas para operações básicas equivalentes ou sequências (pa-
drões) de instruções suportadas pela arquitetura;
2. Rótulos são resolvidos (convertidos) para endereços e uma tabela de símbolos é montada;
3. Instruções e dados são montados (traduzidos), um a um, a partir da listagem gerada no
passo anterior e da tabela de símbolos.
4.1.2 Sintaxe de linha de comando
A entrada e saída padrão devem ser utilizadas para processar um arquivo em linguagem de
montagem e armazenar o código objeto gerado. Além disso, o script do montador deve ser
invocado com o interpretador Python (versão 2.7):
$ python assemble16.py < input.asm > output.out
O seguinte código em linguagem de montagem,
Listing 4.1: ninetoone.asm
1main
2ldi r1 , 9
3ldi r2 ,32
4loop
5ldw sr , writei
6stw r1 ,s r
7ldw sr , w r i t e c
8stw r2 ,s r
9sub r1 , 1
10 bnz r1 , loop
11 h c f
12

30
13 w r i t e c 0 x f0 0 0
14 w r i t e i 0 xf002
após ser processado pelo montador, resulta no seguinte código objeto:
Listing 4.2: ninetoone.out
10000 9900
20002 9909
30004 9 a00
40006 9 a20
50008 9800
6000 a 9824
7000 c 4502
8000 e 5036
90010 9800
10 0012 9822
11 0014 4502
12 0016 5056
13 0018 6901
14 001 a 9800
15 001 c 9808
16 001 e b020
17 0020 0003
18 0022 f0 0 0
19 0024 f0 0 2
O arquivo de entrada input.asm será processado e o código objeto (pronto para ser executado
no simulador) será armazenado em output.txt. Uma listagem completa é obtida (para depuração
do código, por exemplo), se o script for executado com o parâmetro debug:
$ python assemble16.py debug < input.asm > output.out
O resultado será uma listagem contendo além dos endereços e código objeto, os rótulos e
código intermediário do processo de montagem. O simulador não pode executar essa listagem
diretamente, no entanto.
Listing 4.3: ninetoone_debug.out
1main
20000 9900 l d c 0 r1 , 9
30002 9909 l d c 1 r1 , 9
40004 9 a00 l d c 0 r2 , 3 2
50006 9 a20 l d c 1 r2 , 3 2
6loop
70008 9800 l d c 0 at , writei
8000 a 9824 ldc1 at , writei
9000 c 4502 ldw sr ,r0 ,a t
10 000 e 5036 stw r0 ,r1 ,s r
11 0010 9800 l d c 0 at , w r i t e c
12 0012 9822 l d c 1 at , w r i t e c
13 0014 4502 ldw sr ,r0 ,a t
14 0016 5056 stw r0 ,r2 ,s r
15 0018 6901 sub r1 , 1
16 001 a 9800 ldc0 at , loop
17 001 c 9808 ldc1 at , lo o p
18 001 e b020 bnz r0 ,r1 ,a t
19 0020 0003 h c f r0 ,r0 ,r0
20
21 0022 f 0 00 w r i t e c 0 x f 00 0
22 0024 f 0 02 w r i t e i 0 xf002
Caso ocorra algum erro de montagem, o script irá terminar silenciosamente. Erros de monta-
gem podem ser verificados no código objeto gerado, onde nas linhas em que ocorreram erros será
apresentado um padrão **** ????. O código objeto resultante será rejeitado pelo simulador
caso exista algum erro na montagem.
Diversos arquivos de código fonte podem ser combinados (concatenados) e usados como uma
única entrada para o montador. A sintaxe é:
$ cat fonte1.asm fonte2.asm fonte3.asm | python assemble16.py > output.out
4.2 Simulador
Assim como o programa montador, o simulador foi implementado na linguagem Python. Apesar
da simulação ser bastante lenta em função do interpretador Python, a descrição mostrou-se

31
adequada para a verificação do comportamento da arquitetura. Esse implementação de referência
é simples de ser entendida, o que permite um porte fácil do simulador para outras linguagens de
alto desempenho (como C, por exemplo).
4.2.1 Mapa de memória
O simulador implementa o modelo de execução da arquitetura Viking, incluindo uma memória e
mecanismos básicos de entrada e saída. O espaço de endereçamento é compartilhado entre dados
e instruções, por questões de simplicidade. Os espaços de endereçamento possuem algumas
diferenças entre os simuladores da arquitetura de 16 e 32 bits.
Papel 16 bits 32 bits
Código + dados (início) 0x0000 0x00000000
Ponteiro de pilha 0xdffe 0x000ffffc
Saída (caracter) 0xf000 0xf0000000
Saída (inteiro) 0xf002 0xf0000004
Entrada (caracter) 0xf004 0xf0000008
Entrada (inteiro) 0xf006 0xf000000c
No início da simulação, o ponteiro de pilha (sp) é inicializado para o topo da pilha, que
coindide com o final da memória. A execução do programa começa a partir do endereço zero,
após o programa ser carregado para a memória.
4.2.2 Sintaxe de linha de comando
Assim como o montador, a entrada e saída padrão são usadas pelo simulador para a leitura
do código objeto e dispositivos de entrada e saída apresentados no mapa de memória. Para a
execução de um programa, o simulador deve ser invocado da seguinte forma:
$ python run16.py < output.out
[program (code + data): 38 bytes]
[memory size: 57344]
987654321
[ok]
112 cycles
Nesse caso, output.out foi gerado no processo de montagem e é usado como entrada para o
simulador. Caso seja necessário executar o programa instrução por instrução, pode-se usar o
parâmetro debug:
$ python run16.py debug < output.out
Case seja necessário montar o programa e executá-lo no simulador, é possível invocar o
montador e direcionar sua saída à entrada do simulador, através de um pipe. Com isso, evita-se
a necessidade de criação de um arquivo intermediário, e pode-se executar o programa a partir
de seu código de montagem:
$ python assemble16.py < input.asm | python run16.py

Apêndice A
Exemplos
Listing A.1: hello_world.asm
1main
2ldw sr , w r i t e c
3ldi r4 , s t r
4ldi r3 , loop
5loop
6ldb r2 ,r4
7stw r2 ,s r
8add r4 , 1
9bnz r2 ,r3
10 h c f
11
12 w r i t e c 0 x f0 0 0
13 s t r " h e l l o world ! "
Listing A.2: fibonacci.asm
1main
2xor r1 ,r1 ,r1
3ldi r2 , 1
4ldi r4 ,21
5fib_loop
6ldw sr , writei
7stw r1 ,s r
8ldw sr , w r i t e c
9ldi r3 ,32
10 stw r3 ,s r
11
12 add r3 ,r1 ,r2
13 and r1 ,r2 ,r2
14 and r2 ,r3 ,r3
15
16 sub r4 , 1
17 bnz r4 , fib_loop
18 h c f
19
20 w r i t e c 0 x f0 0 0
21 w r i t e i 0 xf002
Listing A.3: function_call.asm
1main
2ldi r1 , s t r 1
3sub sp , 2
4stw r1 ,sp
5sub sp , 2
6stw l r ,sp
7ldi l r , r e t _ p r i n t 1
8ldi sr , print_str
9bnz r7 ,s r
10 r e t _ p r i n t 1
11 ldw l r ,sp
12 add sp , 4
13
14 ldi r1 , s t r 2
15 sub sp , 2
16 stw r1 ,sp
17 sub sp , 2
18 stw l r ,sp
19 ldi l r , r e t _ p r i n t 2
20 ldi sr , print_str
21 bnz r7 ,s r
22 r e t _ p r i n t 2
23 ldw l r ,sp
24 add sp , 4
25
26 h c f
27
28 print_str
29 ldw sr , w r i t e c
30 sub sp , 2
31 stw r1 ,sp
32 sub sp , 2
33 stw r2 ,sp
34
35 and r1 ,sp ,sp
36 add r1 , 6
37 ldw r1 ,r1
32

33
38 print_loop
39 ldb r2 ,r1
40 stw r2 ,s r
41 add r1 , 1
42 bnz r2 ,−8
43
44 ldw r2 ,sp
45 add sp , 2
46 ldw r1 ,sp
47 add sp , 2
48 bnz r7 ,l r
49
50
51 w r i t e c 0 x f0 0 0
52 s t r 1 " t h i s i s the f i r s t c a l l \n"
53 s t r 2 "and t h i s i s the secon d ! \ n"
Listing A.4: mult.asm
1main
2ldw r2 , r e a d i
3ldw r2 ,r2
4ldw r3 , r e a d i
5ldw r3 ,r3
6
7sub sp , 2
8stw r2 ,sp
9sub sp , 2
10 stw r3 ,sp
11 sub sp , 2
12 stw l r ,sp
13 ldi l r , ret_addr
14 ldi sr , m u l si3
15 bnz r7 ,s r
16 ret_addr
17 ldw l r ,sp
18 add sp , 6
19
20 and r1 ,sr ,s r
21 ldw sr , writei
22 stw r1 ,s r
23 h c f
24
25 w r i t e i 0 xf002
26 r e a d i 0 x f0 06
Listing A.5: bubble_sort.asm
1main
2ldi l r , r e t _ p r i n t 1
3bnz r7 , print_numbers
4r e t _ p r i n t 1
5ldi l r , ret_sort
6bnz r7 , s o r t
7ret_sort
8ldi l r , r e t _ p r i n t 2
9bnz r7 , print_numbers
10 r e t _ p r i n t 2
11 h c f
12
13 print_numbers
14 ldi r1 , 0
15 ldw r2 ,N
16 ldi r3 , numbers
17 loop_print
18 ldw r4 ,r3
19 stw r4 ,0 xf002
20 ldi r4 ,32
21 stw r4 ,0 xf000
22 add r1 , 1
23 add r3 , 2
24 sub r5 ,r1 ,r2
25 bnz r5 , loop_print
26 ldi r4 ,10
27 stw r4 ,0 xf000
28 bnz r7 ,l r
29
30 s o r t
31 ldi r1 , 0
32 loop_i
33 ldw r3 ,N
34 sub r3 , 1
35 slt r3 ,r1 ,r3
36 bez r3 , end_i
37
38 xor r0 ,r0 ,r0
39 add r2 ,r1 ,r0
40 add r2 , 1
41 loop_j
42 ldw r3 ,N
43 slt r3 ,r2 ,r3
44 bez r3 , end_j
45
46 ldi r5 , numbers
47 add r3 ,r5 ,r1
48 add r3 ,r3 ,r1
49 ldw r3 ,r3
50 add r4 ,r5 ,r2
51 add r4 ,r4 ,r2
52 ldw r4 ,r4
53
54 slt r5 ,r4 ,r3
55 bez r5 , skip
56
57 xor r0 ,r0 ,r0
58 add r0 ,r3 ,r0
59
60 ldi r5 , numbers
61 add r3 ,r5 ,r1
62 add r3 ,r3 ,r1
63 stw r4 ,r3

34
64
65 add r4 ,r5 ,r2
66 add r4 ,r4 ,r2
67 stw r0 ,r4
68 skip
69 add r2 , 1
70 bnz r7 , loop_j
71 end_j
72 add r1 , 1
73 bnz r7 , loop_i
74 end_i
75
76 bnz r7 ,l r
77
78 N 10
79 numbers −5 8 −22 123 77 −1 99 −33 10 12

Apêndice B
Rotinas mulsi3,divsi3,modsi3 e
udivmodsi4
Listing B.1: mulsi3.asm
1mu l s i 3
2sub sp , 2
3stw r1 ,sp
4sub sp , 2
5stw r2 ,sp
6sub sp , 2
7stw r3 ,sp
8
9and r3 ,sp ,sp
10 add r3 ,10
11 ldw r2 ,r3
12 sub r3 , 2
13 ldw r3 ,r3
14
15 xor r1 ,r1 ,r1
16 bez r3 , 1 4
17 and sr ,r3 ,r 3
18 and sr , 1
19 bez s r , 2
20 add r1 ,r1 ,r2
21 l s l r2 ,r2
22 lsr r3 ,r3
23 bnz r7 ,−16
24
25 and sr ,r1 ,r 1
26 add sp , 2
27 ldw r3 ,sp
28 add sp , 2
29 ldw r2 ,sp
30 add sp , 2
31 ldw r1 ,sp
32
33 bnz r7 ,l r
Listing B.2: divsi3.asm
1divsi3
2sub sp , 2
3stw r1 ,sp
4sub sp , 2
5stw r2 ,sp
6sub sp , 2
7stw r3 ,sp
8
9and r2 ,sp ,sp
10 add r2 ,10
11 ldw r1 ,r2
12 sub r2 , 2
13 ldw r2 ,r2
14 xor r3 ,r3 ,r3
15
16 xor at ,at ,at
17 slt sr ,r1 ,a t
18 bez s r , 4
19 sub r1 ,at ,r1
20 or r3 , 1
21 slt sr ,r2 ,a t
22 bez s r , 4
23 sub r2 ,at ,r2
24 xor r3 , 1
25
26 sub sp , 2
27 stw r1 ,sp
28 sub sp , 2
29 stw r2 ,sp
30 sub sp , 2
31 ldr sr , 0
32 stw sr ,sp
33 sub sp , 2
34 stw l r ,sp
35

36
35 ldi l r , r e t _ d i v s i 3
36 ldi sr , udivmodsi4
37 bnz r7 ,s r
38 r e t _ d i v s i 3
39 ldw l r ,sp
40 add sp , 8
41 bez r3 , 4
42 xor at ,at ,at
43 sub sr ,at ,s r
44
45 add sp , 2
46 ldw r3 ,sp
47 add sp , 2
48 ldw r2 ,sp
49 add sp , 2
50 ldw r1 ,sp
51
52 bnz r7 ,l r
Listing B.3: modsi3.asm
1modsi3
2sub sp , 2
3stw r1 ,sp
4sub sp , 2
5stw r2 ,sp
6sub sp , 2
7stw r3 ,sp
8
9and r2 ,sp ,sp
10 add r2 ,10
11 ldw r1 ,r2
12 sub r2 , 2
13 ldw r2 ,r2
14 xor r3 ,r3 ,r3
15
16 xor at ,at ,at
17 slt sr ,r1 ,a t
18 bez s r , 4
19 sub r1 ,at ,r1
20 or r3 , 1
21 slt sr ,r2 ,a t
22 bez s r , 4
23 sub r2 ,at ,r2
24 xor r3 , 1
25
26 sub sp , 2
27 stw r1 ,sp
28 sub sp , 2
29 stw r2 ,sp
30 sub sp , 2
31 ldr sr , 1
32 stw sr ,sp
33 sub sp , 2
34 stw l r ,sp
35 ldi l r , ret_modsi3
36 ldi sr , udivmodsi4
37 bnz r7 ,s r
38 ret_modsi3
39 ldw l r ,sp
40 add sp , 8
41 bez r3 , 4
42 xor at ,at ,at
43 sub sr ,at ,s r
44
45 add sp , 2
46 ldw r3 ,sp
47 add sp , 2
48 ldw r2 ,sp
49 add sp , 2
50 ldw r1 ,sp
51
52 bnz r7 ,l r
Listing B.4: udivmodsi4.asm
1udivmodsi4
2sub sp , 2
3stw r1 ,sp
4sub sp , 2
5stw r2 ,sp
6sub sp , 2
7stw r3 ,sp
8sub sp , 2
9stw r4 ,sp
10
11 ldr r3 , 1
12 xor r4 ,r4 ,r4
13
14 and r2 ,sp ,sp
15 add r2 ,14
16 ldw r1 ,r2
17 sub r2 , 2
18 ldw r2 ,r2
19
20 s l t u sr ,r2 ,r 1
21 bez s r , 8
22 bez r3 , 6
23 l s l r2 ,r2
24 l s l r3 ,r3
25 bnz r7 ,−12
26 s l t u sr ,r1 ,r 2
27 bnz sr , 4
28 sub r1 ,r1 ,r2
29 add r4 ,r4 ,r3
30 lsr r3 ,r3
31 lsr r2 ,r2
32 bnz r3 ,−14
33
34 and sr ,sp ,sp
35 add sr ,10

37
36 ldw sr ,s r
37 bez s r , 4
38 and sr ,r1 ,r 1
39 bez s r , 2
40 and sr ,r4 ,r 4
41
42 ldw r4 ,sp
43 add sp , 2
44 ldw r3 ,sp
45 add sp , 2
46 ldw r2 ,sp
47 add sp , 2
48 ldw r1 ,sp
49 add sp , 2
50 bnz r7 ,l r
