Silex Technology ZXE00537A User Manual 8
Silex Technology, Inc. 8
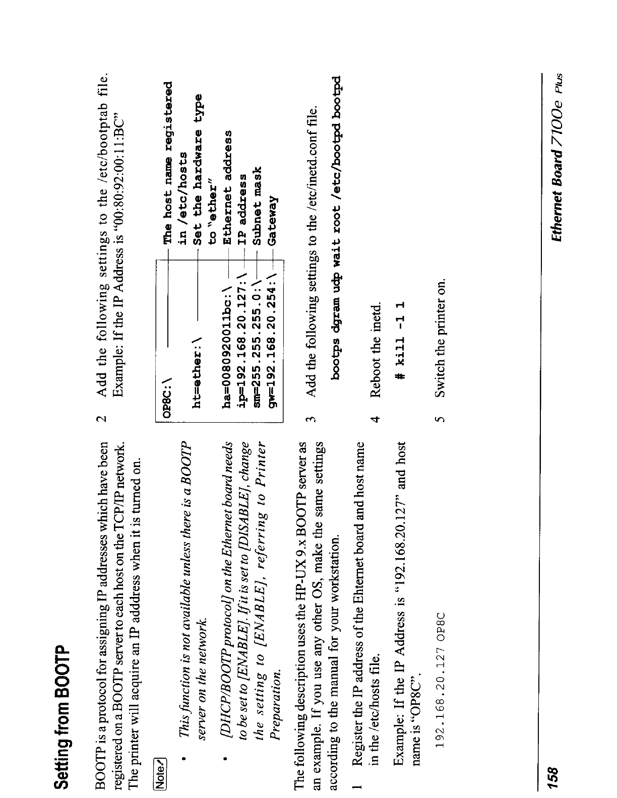
UserManual.wiki
>
Silex Technology
>
ZXE00537A User Manual
>
ZXE00537A 8 HTML Version
Contents
1.
8
2.
8a
8
Navigation menu
Upload a User Manual
Namespaces
Wiki Guide
HTML
PDF
Info
Views
User Manual
Discussion / Help
Navigation