Action Technology 7106B 10" DROPDOWN LCD MONITOR & DVD Player User Manual ID F07447 F0732

Action Technology (Shenzhen) Co., Ltd. 10" DROPDOWN LCD MONITOR & DVD Player ID F07447 F0732

Users Manual

                  Page 31Action Technology (Shenzhen) Co., Ltd. 10" DROPDOWN LCD MONITOR AND DVD Player                                                                    FCC ID:RR87106B
                  Page 32Action Technology (Shenzhen) Co., Ltd. 10" DROPDOWN LCD MONITOR AND DVD Player                                                                    FCC ID:RR87106B
                  Page 33Action Technology (Shenzhen) Co., Ltd. 10" DROPDOWN LCD MONITOR AND DVD Player                                                                    FCC ID:RR87106B
                  Page 34Action Technology (Shenzhen) Co., Ltd. 10" DROPDOWN LCD MONITOR AND DVD Player                                                                    FCC ID:RR87106B
                  Page 35Action Technology (Shenzhen) Co., Ltd. 10" DROPDOWN LCD MONITOR AND DVD Player                                                                    FCC ID:RR87106B
                  Page 36Action Technology (Shenzhen) Co., Ltd. 10" DROPDOWN LCD MONITOR AND DVD Player                                                                    FCC ID:RR87106B
                  Page 37Action Technology (Shenzhen) Co., Ltd. 10" DROPDOWN LCD MONITOR AND DVD Player                                                                    FCC ID:RR87106B
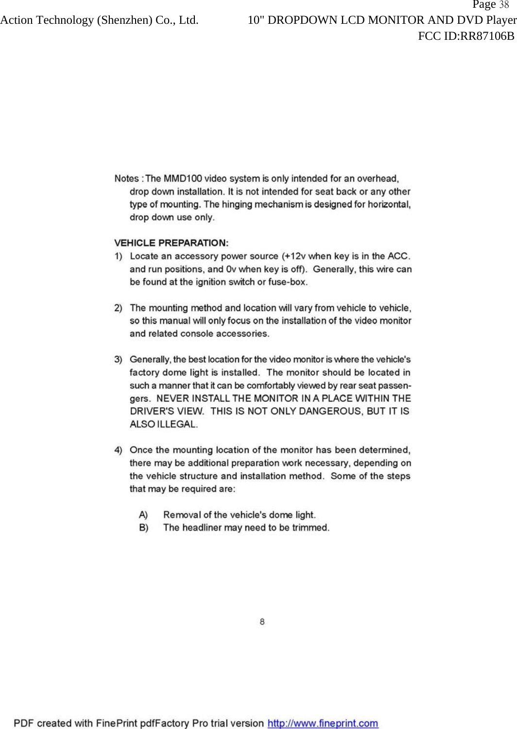
                  Page 38Action Technology (Shenzhen) Co., Ltd. 10" DROPDOWN LCD MONITOR AND DVD Player                                                                    FCC ID:RR87106B
                  Page 39Action Technology (Shenzhen) Co., Ltd. 10" DROPDOWN LCD MONITOR AND DVD Player                                                                    FCC ID:RR87106B
                  Page 40Action Technology (Shenzhen) Co., Ltd. 10" DROPDOWN LCD MONITOR AND DVD Player                                                                    FCC ID:RR87106B
                  Page 41Action Technology (Shenzhen) Co., Ltd. 10" DROPDOWN LCD MONITOR AND DVD Player                                                                    FCC ID:RR87106B
                  Page 42Action Technology (Shenzhen) Co., Ltd. 10" DROPDOWN LCD MONITOR AND DVD Player                                                                    FCC ID:RR87106B
                  Page 43Action Technology (Shenzhen) Co., Ltd. 10" DROPDOWN LCD MONITOR AND DVD Player                                                                    FCC ID:RR87106B
                  Page 44Action Technology (Shenzhen) Co., Ltd. 10" DROPDOWN LCD MONITOR AND DVD Player                                                                    FCC ID:RR87106B
                  Page 45Action Technology (Shenzhen) Co., Ltd. 10" DROPDOWN LCD MONITOR AND DVD Player                                                                    FCC ID:RR87106B
                  Page 46Action Technology (Shenzhen) Co., Ltd. 10" DROPDOWN LCD MONITOR AND DVD Player                                                                    FCC ID:RR87106B
                  Page 47Action Technology (Shenzhen) Co., Ltd. 10" DROPDOWN LCD MONITOR AND DVD Player                                                                    FCC ID:RR87106B
                  Page 48Action Technology (Shenzhen) Co., Ltd. 10" DROPDOWN LCD MONITOR AND DVD Player                                                                    FCC ID:RR87106B
                  Page 49Action Technology (Shenzhen) Co., Ltd. 10" DROPDOWN LCD MONITOR AND DVD Player                                                                    FCC ID:RR87106B
                  Page 50Action Technology (Shenzhen) Co., Ltd. 10" DROPDOWN LCD MONITOR AND DVD Player                                                                    FCC ID:RR87106B
                  Page 51Action Technology (Shenzhen) Co., Ltd. 10" DROPDOWN LCD MONITOR AND DVD Player                                                                    FCC ID:RR87106B
                  Page 52Action Technology (Shenzhen) Co., Ltd. 10" DROPDOWN LCD MONITOR AND DVD Player                                                                    FCC ID:RR87106B
                  Page 53Action Technology (Shenzhen) Co., Ltd. 10" DROPDOWN LCD MONITOR AND DVD Player                                                                    FCC ID:RR87106B
                  Page 54Action Technology (Shenzhen) Co., Ltd. 10" DROPDOWN LCD MONITOR AND DVD Player                                                                    FCC ID:RR87106B
                  Page 55Action Technology (Shenzhen) Co., Ltd. 10" DROPDOWN LCD MONITOR AND DVD Player                                                                    FCC ID:RR87106B
                  Page 56Action Technology (Shenzhen) Co., Ltd. 10" DROPDOWN LCD MONITOR AND DVD Player                                                                    FCC ID:RR87106B
                  Page 57Action Technology (Shenzhen) Co., Ltd. 10" DROPDOWN LCD MONITOR AND DVD Player                                                                    FCC ID:RR87106B
                  Page 58Action Technology (Shenzhen) Co., Ltd. 10" DROPDOWN LCD MONITOR AND DVD Player                                                                    FCC ID:RR87106B
                  Page 59Action Technology (Shenzhen) Co., Ltd. 10" DROPDOWN LCD MONITOR AND DVD Player                                                                    FCC ID:RR87106B
                  Page 60Action Technology (Shenzhen) Co., Ltd. 10" DROPDOWN LCD MONITOR AND DVD Player                                                                    FCC ID:RR87106B
                  Page 61Action Technology (Shenzhen) Co., Ltd. 10" DROPDOWN LCD MONITOR AND DVD Player                                                                    FCC ID:RR87106B
                  Page 62Action Technology (Shenzhen) Co., Ltd. 10" DROPDOWN LCD MONITOR AND DVD Player                                                                    FCC ID:RR87106B
                  Page 63Action Technology (Shenzhen) Co., Ltd. 10" DROPDOWN LCD MONITOR AND DVD Player                                                                    FCC ID:RR87106B
                  Page 64Action Technology (Shenzhen) Co., Ltd. 10" DROPDOWN LCD MONITOR AND DVD Player                                                                    FCC ID:RR87106B   FCC Statement  NOTE:    THE MANUFACTURER IS NOT RESPONSIBLE FOR ANY RADIO OR TV                 INTERFERENCE CAUSED BY UNAUTHORIZED MODIFICATIONS TO THIS                    EQUIPMENT. SUCH MODIFICATIONS COULD VOID THE USER’S  AUTHORITY TO OPERATE THE EQUIPMENT.  NOTE:    This equipment has been tested and found to comply with the limits for a Class B digital device, pursuant to part 15 of the FCC Rules. These limits are designed to provide reasonable protection against harmful interference in a residential installation. This equipment generates, uses, and can radiate radio frequency energy and, if not installed and used in accordance with the instructions, may cause harmful interference to radio communications. However, there is no guarantee that interference will not occur in a particular installation. If this equipment does cause harmful interference to radio or television reception, which can be determined by turning the equipment off and on, the user is encouraged to try to correct the interference by one of the following measures:     1) Reorient or relocate the receiving antenna.     2) Increase the separation between the equipment and receiver.     3) Connect the equipment into an outlet on a circuit different from that which the receiver is connected.   4) Consult the dealer or an experienced radio/TV technician for help.

Navigation menu