Adobe Water System Version Cue Cs3 Users Manual Client Programmer's Guide
Adobe Version Cue - CS3 - Client Programmer's Guide cs3_client-programmers Free User Guide for Adobe Version Cue Software, Manual
2015-02-02
: Adobe Adobe-Adobe-Water-System-Adobe-Version-Cue-Cs3-Users-Manual-413021 adobe-adobe-water-system-adobe-version-cue-cs3-users-manual-413021 adobe pdf
Open the PDF directly: View PDF
.
Page Count: 34
- Adobe Version Cue CS3 Client Programmer’s Guide
- Terminology
- Introduction
- Key Operations
- Version Cue Client Architecture
- Scripting Environment
- References

ADOBE VERSION CUE CS3
CLIENT PROGRAMMER’S GUIDE

© 2007 Adobe Systems Incorporated. All rights reserved.
Adobe Version Cue CS3 Client Programmer’s Guide
Technical note #10306
Adobe, the Adobe logo, Bridge, Creative Suite, Version Cue, and Version Cue Server are either registered trademarks or trademarks of Adobe
Systems Incorporated in the United States and/or other countries. Mac OS is a trademark of Apple Computer, Inc., registered in the United States
and other countries. Windows is either a registered trademark or a trademark of Microsoft Corporation in the United States and/or other countries.
Java is a trademark or registered trademark of Sun Microsystems, Inc. in the United States and other countries. All other trademarks are the property
of their respective owners.
The information in this document is furnished for informational use only, is subject to change without notice, and should not be construed as a
commitment by Adobe Systems Incorporated. Adobe Systems Incorporated assumes no responsibility or liability for any errors or inaccuracies that
may appear in this document. The software described in this document is furnished under license and may only be used or copied in accordance
with the terms of such license.

3
Terminology . . . . . . . . . . . . . . . . . . . . . . . . . . . . . . . . . . . . . . . . . . . . . . . . . . . . . . . . 5
Introduction . . . . . . . . . . . . . . . . . . . . . . . . . . . . . . . . . . . . . . . . . . . . . . . . . . . . . . . . 6
Key Operations . . . . . . . . . . . . . . . . . . . . . . . . . . . . . . . . . . . . . . . . . . . . . . . . . . . . . . 6
Customizing Asset Icons/ Thumbnails . . . . . . . . . . . . . . . . . . . . . . . . . . . . . . . . . . . . . 6
Custom Metadata. . . . . . . . . . . . . . . . . . . . . . . . . . . . . . . . . . . . . . . . . . . . . . . . . . 9
Modifying Project Capabilities . . . . . . . . . . . . . . . . . . . . . . . . . . . . . . . . . . . . . . . . . . 9
Downloading and Syndication . . . . . . . . . . . . . . . . . . . . . . . . . . . . . . . . . . . . . . . . 11
Customizing the Check-in Dialog: Metadata Capture and Enforcement. . . . . . . . . . . . . . . 14
Customizing Menus . . . . . . . . . . . . . . . . . . . . . . . . . . . . . . . . . . . . . . . . . . . . . . . 17
Customizing the Search Interface. . . . . . . . . . . . . . . . . . . . . . . . . . . . . . . . . . . . . . . 19
Version Cue Client Architecture . . . . . . . . . . . . . . . . . . . . . . . . . . . . . . . . . . . . . . . . . . . 21
Version Cue Integration . . . . . . . . . . . . . . . . . . . . . . . . . . . . . . . . . . . . . . . . . . . . . 21
Client Libraries. . . . . . . . . . . . . . . . . . . . . . . . . . . . . . . . . . . . . . . . . . . . . . . . . . . 22
Server-driven Scripting . . . . . . . . . . . . . . . . . . . . . . . . . . . . . . . . . . . . . . . . . . . . . 22
Multi-threading . . . . . . . . . . . . . . . . . . . . . . . . . . . . . . . . . . . . . . . . . . . . . . . . . . 23
Scripting Environment . . . . . . . . . . . . . . . . . . . . . . . . . . . . . . . . . . . . . . . . . . . . . . . . 25
Before you Begin . . . . . . . . . . . . . . . . . . . . . . . . . . . . . . . . . . . . . . . . . . . . . . . . . 25
ExtendScript: a JavaScript implementation. . . . . . . . . . . . . . . . . . . . . . . . . . . . . . . . . 25
Debugging, Logging, and Profiling with the Toolkit . . . . . . . . . . . . . . . . . . . . . . . . . . . 26
Preprocessor Directives in ExtendScript. . . . . . . . . . . . . . . . . . . . . . . . . . . . . . . . . . . 27
Application and Version Specifiers . . . . . . . . . . . . . . . . . . . . . . . . . . . . . . . . . . . . . . 27
Writing Client-side Scripts for the First Time . . . . . . . . . . . . . . . . . . . . . . . . . . . . . . . . 27
For More Information . . . . . . . . . . . . . . . . . . . . . . . . . . . . . . . . . . . . . . . . . . . . . . 33
References . . . . . . . . . . . . . . . . . . . . . . . . . . . . . . . . . . . . . . . . . . . . . . . . . . . . . . . . 34
Contents

Adobe Version Cue CS3 Client Programmer’s Guide 5
Adobe Version Cue CS3 Client Programmer’s Guide
Terminology
Adobe Version Cue CS3
Client Programmer’s Guide
This document describes the Adobe® Version Cue® client from a programmer’s perspective. It
is intended for system integrators integrating with Version Cue, who are already writing plug-
ins for Version Cue Server™.
This document describes the extensibility features enabled by Version Cue SDK at the Version
Cue clients such as Adobe Bridge® CS3, and how you can extend Version Cue clients to con-
nect Adobe Creative Suite® 3 to an external system; for instance, a digital asset management
(DAM) system.
The extensibility model for Version Cue client is based on server-driven scripting. JavaScript
code can be sent from a Version Cue Server plug-in to a Version Cue client, to modify the cli-
ent’s user interface and/or provide additional logic.
We describe the scripting interface at a conceptual level and indicate how to start writing the
JavaScript needed to integrate with and extend the Version Cue client. In addition to sending
scripts from the client to the Version Cue Server, you can also extend the SOAP protocol that
is used to communicate between the clients and Version Cue Server to enable your own cus-
tom operations to be triggered at the server-side and we discuss how this protocol extension
fits into the extensibility model.
It may also be necessary in some cases to add a client-side component that uses the Version
Cue client scripting interface but that you cannot deliver through a server-driven JavaScript.
For instance, if you want to add a new tabbed palette to the user interface of Adobe Bridge CS3
that was integrated with your external system through the Version Cue Server, then you would
have to install the JavaScript code to create this tabbed palette as a separate client-side compo-
nent. We provide some basic guidance on what you can achieve with the model of server-
driven JavaScript, and when you might have to add some client-side components that cannot
be delivered by server-driven scripts.
Terminology
zAdobe Bridge™ — Adobe Bridge CS3, a particularly privileged Version Cue client.
zExtendScript — An Adobe implementation ECMA-262 JavaScript specification, used by
Creative Suite applications.
zExtendScript Toolkit (ESTK) — An integrated development environment (IDE) developed
by Adobe for writing and debugging JavaScript code. To develop JavaScript code for Cre-
ative Suite CS3, you must use the latest version of ExtendScript Toolkit 2.0.
zVersion Cue client — The client component of Version Cue CS3. This is a point product in
Creative Suite CS3. This is a client of the Version Cue Server and uses the Version Cue pro-
tocol to communicate with the Version Cue Server.

Adobe Version Cue CS3 Client Programmer’s Guide
Introduction
6
zVersion Cue Server — The server component of Version Cue CS3.
zVersion Cue Server plug-in — A plug-in developed in Java™ using the Version Cue SDK,
conforming to the pattern required to be loaded and called by Version Cue Server.
NOTE:Unless noted otherwise, references to any Adobe product always mean the CS3
product.
Introduction
Version Cue clients, such as Adobe Bridge CS3 or Adobe InDesign® CS3, are integrated with
the Version Cue CS3 client libraries (Windows DLLs or Mac OS frameworks) and can be pro-
grammed through the scripting interface to these libraries, which is a JavaScript API. This
scripting interface allows you to customize the user interface of the Version Cue client and
have your own JavaScript code execute at the client. For details, see the Scripting Interface Ref-
erence, which is included in the Help system of the IDE for Version Cue SDK.
Point products in the Adobe Creative Suite CS3, like Adobe InDesign CS3 and Adobe Photo-
shop CS3, use the Adobe Common User Interface, such as the Adobe File > Open dialog. The
dialog enables end users to open a file with a uniform user experience on both Mac OS® and
Windows®. The Adobe Common User Interface is an alternative to platform-specific file-open
dialogs, with divergent behaviour on Mac OS and Windows.
Another key aspect of the Adobe Common User Interface is that it integrates with Version
Cue and enables end users to interact with Version Cue Server; for example, check out files for
editing, see historical versions of a file, check in a version to Version Cue Server, and search for
assets matching a specification on a Version Cue Server.
We recommend using Adobe Bridge CS3 to exercise Version Cue extensibility features illus-
trated by the Version Cue SDK sample plug-ins, as it has the deepest integration with Version
Cue. However, you should also try using the Adobe File > Open dialog and other elements of
the Adobe Common User Interface from point products in Creative Suite CS3, such as Adobe
InDesign CS3 or Adobe Photoshop CS3, to understand how the extensibility enabled by Ver-
sion Cue shows up in the other components of the Adobe user interface.
Key Operations
Customizing Asset Icons/ Thumbnails
A key aspect of Version Cue extensibility is customizing how assets appear in the Adobe Com-
mon User Interface; for example, providing your own choice of icons or thumbnails for
projects, folders, or files. The same extensibility mechanisms that operate in the Adobe Com-

Adobe Version Cue CS3 Client Programmer’s Guide 7
Adobe Version Cue CS3 Client Programmer’s Guide
Key Operations
mon User Interface also let you customize how assets appear in the user interface of Adobe
Bridge CS3, which is tightly integrated with Version Cue.
To see the the Adobe File > Open dialog from the Adobe Common User Interface, using a cli-
ent such as Adobe InDesign CS3. If the normal operating-system file-open dialog appears
instead of the Adobe dialog when you are trying this for the first time or after deleting prefer-
ences, click the button labelled “Use Adobe Dialog” in the bottom left-hand corner of the oper-
ating-system dialog. To browse Version Cue projects, select the Version Cue item in the left-
hand panel of this dialog and navigate to the Version Cue Server that you just launched, the
name of which should appear in bold.
If you are using Adobe Bridge CS3, then you can browse Version Cue Servers directly from the
Favorites panel, which should show a root node named Version Cue. If you click on this node,
then you will see the Version Cue Server instances that are visible from your client; these are
displayed within the Bridge Content pane. If you navigate into a specific Version Cue Server
by clicking on its icon, then the Version Cue projects on that Server can be seen in the Content
pane of Bridge, as in Figure 1.
FIGURE 1Custom Thumbnails for Version Cue Projects in Adobe Bridge CS3
Figure 1 shows a customized project appearance in the user interface of Bridge for “Sample
Custom Project”; note how the thumbnail differs in color and form from the other projects
shown.
Note that this custom appearance can be viewed in both Bridge and the Adobe Common User
Interface, in the context of the Adobe File > Open, File > Place and File > Save dialogs. Ideally,
your custom projects— connected to your own digital asset management system, say— will
have a different appearance than the standard Version Cue projects, as in this example.

Adobe Version Cue CS3 Client Programmer’s Guide
Key Operations
8
The custom project icon in Figure 1 is provided by a sample plug-in for Version Cue Server
named sample.customproject; this sample plug-in is the reference implementation for con-
necting to an external system and provides a model of how you would implement an adapter
between your external system and the Adobe Creative Suite CS3 point products.
Selecting projects in the Content pane of Bridge or the Adobe File > Open dialog and double-
clicking to explore them— or using the context-sensitive menu item Open— has the side effect
of mounting the projects, at which point resources may be sent by the Server to modify the user
interface to the project or contribute additional logic.
In addition to customizing the icons for projects, you can customize how folders display in the
Adobe user interface. Figure 2 shows an example of a standard Version Cue project displayed
in Adobe Bridge CS3, with a drop folder provided by the SDK sample named sample.drop-
folder. The folder named sample.dropfolder displays a different icon than a standard folder.
FIGURE 2Customized Icons for a Folder
You also can customize the thumbnails/icons displayed at the level of individual files. See the
SDK sample named sample.customproject for an example of providing custom thumbnails for
file-based assets; see the Thumbnail implementation class in that sample.
Note that there are extensibility mechanisms to enable you to customize the appearance of
assets in the Adobe user interface for both assets in your own external projects and standard
Version Cue projects. Note also that asset in the context of Version Cue is a generic term,
which can be used to refer to a project, a folder or a file.
For More Information
See the following resources:
zVersionCueSDK IDE Help > Version Cue SDK Help > Samples Guide > CustomProject
zVersionCueSDK IDE Help > Version Cue SDK Help > Samples Guide > DropFolder

Adobe Version Cue CS3 Client Programmer’s Guide 9
Adobe Version Cue CS3 Client Programmer’s Guide
Key Operations
Custom Metadata
Version Cue clients can display custom metadata provided by your Version Cue Server plug-
ins, in contexts such as the Inspector Panel of Adobe Bridge CS3 or the File Info area of the
Adobe File > Open dialog.
The Inspector Panel in Adobe Bridge CS3 is a read-only metadata view component of the
Bridge user interface, which lets per-asset metadata be visualized; it is entirely different from
the standard Bridge Metadata panel, which is used to display and edit XMP-based metadata.
Figure 3 shows a view of custom metadata for an asset selected in the Content pane of Adobe
Bridge CS3. The Inspector Panel displays custom metadata for a file selected in the Content
pane.
FIGURE 3Inspector Panel in Bridge showing Custom Metadata
Note that for a Version Cue Server plug-in to display metadata in a context such as the Inspec-
tor Panel, one of its responsibilities is to advertise a particular project capability to the Version
Cue clients; in this case, the capability to overwrite the metadata view at the Version Cue client
for assets within a particular project. In “Modifying Project Capabilities” on page 9, we exam-
ine what capabilities are in a little more detail.
For More Information
See VersionCueSDK IDE Help > Version Cue SDK Help > Samples Guide > Custom Metadata
Modifying Project Capabilities
In addition to advertising the additional capabilities a Version Cue Server plug-in supports for
a given project, the Version Cue Server plug-in also can restrict or remove capabilities from
the default set, or provide only a specific subset. For instance, this extensibility feature can be

Adobe Version Cue CS3 Client Programmer’s Guide
Key Operations
10
used to remove menu items from the context-sensitive menu shown when an asset is selected
in one of your custom projects, if some operations are not supported.
Figure 4 shows context-sensitive menu items when a file in a standard Version Cue project is
selected in Adobe Bridge CS3. Note how there are nearly twenty menu items shown for this
context-sensitive menu.
FIGURE 4Context-sensitive Menu for Standard Version Cue Project
Figure 5 shows the context-sensitive menu when an asset is selected in “Sample Custom
Project”; note there are only around ten context-sensitive menu items shown— around half
the number compared to a standard project as shown in Figure 4. The custom project has
reduced functionality compared to the standard project, and so the Version Cue Server plug-in
that provides the custom project needs some way to communicate to the Version Cue client
that the set of functionality has been restricted.

Adobe Version Cue CS3 Client Programmer’s Guide 11
Adobe Version Cue CS3 Client Programmer’s Guide
Key Operations
FIGURE 5Context-sensitive Menu for Custom Project
This is achieved by restricting the project capabilities that sample.customproject provides. See
the ProjectCapabilities class in that sample to discover why there are fewer menu items for the
context-sensitive menu on the custom project compared to the standard project.
For More Information
See VersionCueSDK IDE Help > Version Cue SDK Help > Samples Guide > CustomProject
To find out what capabilities exist in the API, look in the API Reference under ICapability; you
will see asset, metadata, project and search capabilities. These are of interest if you want to add
to or subtract from the default set of capabilities of a standard Version Cue project and you
need to know how to declare these.
Downloading and Syndication
Download and syndication of assets between an external project and a standard Version Cue
project is supported by drag and drop in the user interface of Adobe Bridge CS3 only. In this
process, assets are transferred from an external project, typically with read-only access, to a
standard project. Syndication is the process of transferring the asset. The destination (stan-
dard) project is referred to as the work-in-progress (WIP) project.
After syndication, the user can work on the asset in the standard project exactly as on any
other standard Version Cue asset and take advantage of all the Version Cue features that are
available, such as versioning assets. The Version Cue Server stores a back-link or external ref-
erence to the original external asset, by saving some asset-level metadata along with the asset in
the standard Version Cue project.

Adobe Version Cue CS3 Client Programmer’s Guide
Key Operations
12
Your Version Cue Server plug-in can use this external reference to propagate any changes to a
syndicated asset in the standard Version Cue project back to the external system. For example,
if your external DAM system supports versioning, you may want to create a new version of the
original asset in the external system when a Creative Suite end user saves a new version of the
syndicated asset to the standard project. This extensibility function is demonstrated by the
sample.customproject sample in the Version Cue SDK, which listens for new versions of an
asset being saved and propagates the newly saved version out to the external system.
When the user finishes working on a given asset, he could break the connection between the
asset in the standard project and the asset in the external system, and archive the asset to the
external system. This is referred to as de-syndication.
For CS3, client-side support syndication is implemented by drag-and-drop or copy-paste
within the Adobe Bridge CS3 user interface:
zYou can drag-drop or copy/paste files/ folders from an external project to a standard Ver-
sion Cue project. When the drag or paste is received by the standard Version Cue project, a
check-in dialog appears, and you can supply a check-in comment.
zAs a result of the gesture, the asset is shown in the standard (WIP) project. The Version
Cue Server stores the back-link (external reference) with the original asset in its database as
asset-level metadata, where the key is com.adobe.versioncue/externId.
zAfter syndication, the user should be able to work with the asset as usual; however, check-
ins also will affect the original asset in the DAM project. This behavior is implemented only
as part of this sample.customproject reference implementation, and developers outside
Adobe probably will use different mechanisms. No further de-syndication process is imple-
mented on the server side. For instance, end users cannot communicate with the Version
Cue Server directly via a user interface gesture that they want to de-syndicate— that is,
break the connection between asset in standard project and external project.
Figure 6 shows syndicating an asset from an external project named “Sample Custom Project”
to a standard Version Cue project, in this case named “StandardProject”. The asset on the left
is in the custom project, and the asset on the right is in the standard project.

Adobe Version Cue CS3 Client Programmer’s Guide 13
Adobe Version Cue CS3 Client Programmer’s Guide
Key Operations
FIGURE 6An Asset Syndicated from a Custom Project
In the CustomProject sample plug-in, the external asset and the asset in the standard (WIP)
project are kept in synchronization, using a storeContent listener. When a new version of the
asset in the standard project is saved, the external asset in the custom project from which it was
downloaded also is updated. To verify that the external asset— in the contentroot folder of this
CustomProject sample— and the standard (WIP) asset are kept in synchrony, follow these
steps:
1. Select the syndicated (standard) asset in the standard project in Content pane of Adobe
Bridge CS3, and check out the asset from the context-sensitive menu item.
2. Use Reveal in Explorer/ Finder to locate the checked-out local replica file.
3. Edit the local replica file in an appropriate application.
4. Save the edited file locally.
5. Synchronize back to the Version Cue Server by executing the context-sensitive menu item
“Synchronize” when the syndicated asset is selected.
6. Open the original external asset in the contentroot folder of the CustomProject sample in
an appropriate application and check that the changes were applied to this asset.

Adobe Version Cue CS3 Client Programmer’s Guide
Key Operations
14
Restrictions
The following restrictions apply to asset syndication through drag-and-drop or copy/paste in
the user interface of Adobe Bridge CS3:
zBoth source and target projects must be mounted before starting the drag-and-drop (or
copy/paste) operation.
zBoth source and target projects must have authentication switched off; that is, no login
should be required for either project to complete the gesture.
zNo conflict handling is implemented if an asset with the same name already exists in the
target project.
zDe-syndication is not supported through the user interface; there is no explicit gesture to
de-syndicate an asset.
For More Information
See the following resources:
zVersionCueSDK IDE Help > Version Cue SDK Help > Samples Guide > CustomProject
zVersionCueSDK IDE Help > Version Cue SDK Help > Samples Guide > BasicCustom-
Project
Customizing the Check-in Dialog: Metadata Capture and Enforcement
This feature provides the ability to extend and override the standard Adobe check-in dialog of
a Version Cue client with a customized check-in dialog; for instance, you may want to contrib-
ute your own check-in dialog when files are being added to a Version Cue project for the first
time, or every time a new version of a file is checked-in.
A customized check-in dialog can be seen if you are running Version Cue Server with the sam-
ple plug-in named sample.customdialog loaded, which is able to contribute resources to over-
ride the normal check-in dialog. General instructions on how to run samples are in Getting
Started with Adobe Version Cue CS3 Development (getting-started.pdf).
You can add assets en masse into Version Cue, using the ingest workflow; for instance, you can
drag-and-drop files from the desktop or from a folder in Adobe Bridge CS3 to a Version Cue
project, to add the files directly to the Version Cue Server without them being copied to the
local mount point of the project first. You have the opportunity to show a custom dialog when
adding files in this way, if you override the normal check-in dialog of Version Cue, as well as
when a new version of an existing file is being saved.
Figure 7 shows the dialog that is provided by sample.custommenu when adding files for the
first time to a Version Cue project. If you examine the JavaScript code supplied with this sam-
ple, which is sent from the Version Cue Server to the client when a user visits a project for the
first time, the code determines whether there is an existing version of the file on the Version
Cue Server using the client scripting interface (methods on the class VCVersion) and shows
one of two potential custom dialogs based on whether a file is just added or a new version of an
existing file.

Adobe Version Cue CS3 Client Programmer’s Guide 15
Adobe Version Cue CS3 Client Programmer’s Guide
Key Operations
FIGURE 7Custom Check-in Dialog on Ingest
To test the metadata capture enforcement feature and make the customized check-in dialog
appear, you need to open a file, modify it, and check in the modified version to a Version Cue
project.
1. Ensure Version Cue Server is running with a plug-in like sample.customdialog loaded for
the custom check-in dialog to appear.
2. Make sure you have at least one standard Version Cue project on the Version Cue Server,
with at least one file.
3. Navigate to the standard Version Cue project with at least one file, so that a file can be seen
in the Content pane of Bridge.
4. Select a file in the Content pane. Check-out the asset from the context-sensitive menu item.
5. With the checked-out file selected in the Content pane of Bridge, execute a right-mouse
click (or ctrl-click for a single-button mouse on Mac OS) to bring up a context-sensitive
menu. Use Reveal in Explorer to find out where the local replica file is located.
6. Modify the local replica file, and return to Bridge.
7. With the checked-out file selected, execute check-in from the context-sensitive menu asso-
ciated with the file.
8. At this point you should see a custom check-in dialog, similar to that shown in Figure 8.
9. Note that the dialog has logic to enforce that you enter a check-in comment; if you do not
do so, the OK button to dismiss the dialog is not enabled. This is a form of metadata
enforcement, since it requires you to supply metadata about the file being checked in before
you can successfully complete the check-in operation.

Adobe Version Cue CS3 Client Programmer’s Guide
Key Operations
16
FIGURE 8Custom Check-in Dialog
Figure 8 shows a custom check-in dialog provided by the sample plug-in for Version Cue
Server named sample.customdialog. The custom check-in dialog shows fields that include the
name of the user responsible for the check-in, status, a check-in comment, and a check box
indicating an operation that should be performed on check-in.
The OK button is enabled when data is entered into the name and check-in comment fields. A
check-in comment must be supplied before check-in can proceed; this is enforced by JavaS-
cript logic sent from the Server plug-in to the client— hence this is a form of metadata enforce-
ment.
Clicking the OK button submits the data to the Version Cue Server. The Version Cue Server
plug-in has a listener that gathers the data submitted through the custom dialog and creates a
check-in comment, based on the field values from the custom dialog. The information gath-
ered by the custom dialog is then visible in the version history.
The custom dialog is defined via an Adobe JavaScript library named ScriptUI and the JavaS-
cript code behind the dialog can modified to your own requirements. The script sent by the
Version Cue Server is located at the following path within the sample codebase for CustomDi-
alog:
<workspace>/sample.customdialog/data/scripts/SaveAVersion.jsx
where <workspace> is whatever you chose as the workspace when setting up the IDE of Ver-
sion Cue SDK.
If you modify the script when the Version Cue Server is running and the Version Cue client is
connected, you must re-launch the client. The client loads the script only once per session.

Adobe Version Cue CS3 Client Programmer’s Guide 17
Adobe Version Cue CS3 Client Programmer’s Guide
Key Operations
For More Information
See Help within the IDE of VersionCueSDK: Help > Version Cue SDK Help > Samples Guide
> CustomDialog
Customizing Menus
Version Cue extensibility enables you to contribute custom submenus and custom menu items
in the following contexts:
zTools menu in the Adobe File > Open dialog: Use the VersionCue.TOOLSMENU symbolic
constant for the menu base path in your scripts.
zWhen a file is selected in contexts like the Adobe File > Open dialog or the Adobe Bridge
CS3 content pane: use the VersionCue.CONTEXTMENU symbolic constant from your
scripts.
zSee the VersionCue.DOCUMENTMENU symbolic constant.
zSee the VersionCue.MENUBAR symbolic constant.
To see the feature being exercised, you need to have started Version Cue Server and loaded the
CustomMenu sample (sample.custommenu) from the Version Cue SDK.
Figure 9 shows the Bridge Content pane with a selected file, showing the context-sensitive
menu item decorated with a custom submenu, “SDK Server-side Rotate”, which offers options
to rotate the selected image. There is also a menu item “SDK Server-side Thumbnail”, which
creates a custom thumbnail.

Adobe Version Cue CS3 Client Programmer’s Guide
Key Operations
18
FIGURE 9Custom Menus within Adobe Bridge CS3 Content pane
The Version Cue client receives JavaScript code— using a JavaScript library from Adobe
named ScriptUI— that enables custom menus to be created when first visiting a Version Cue
project. To see the scripts associated with creating the user interface, see the data/scripts folder
of the sample.custommenu SDK sample. Note that you can add custom menu elements to
both standard Version Cue projects and external projects, although the underlying mecha-
nisms are slightly different in each case. See Case Study: Connecting to an External System
through Version Cue CS3 and examine the use cases associated withClient User Interface Cus-
tomization for more detail.
The operations triggered by selecting these custom menu items in Bridge are executed by the
sample plug-in named sample.custommenu on the Version Cue Server.
The code in sample.custommenu that executes on the Version Cue Server is invoked by receiv-
ing a custom SOAP message at the Server. The sample named sample.custommenu extends
the default Version Cue protocol between client and Version Cue Server, to enable parameters
to be passed from the clients like Bridge to control how the operation executes at the Server.
For instance, parameters passed back to the Server identify the asset that was selected in Bridge
and can specify other information like the angle of rotation or the quality and resolution of the
thumbnail to create.

Adobe Version Cue CS3 Client Programmer’s Guide 19
Adobe Version Cue CS3 Client Programmer’s Guide
Key Operations
Restrictions
Support for custom menus has some limitations:
zThe Version Cue client receives the custom menu information from the Version Cue
Server when you enter the project for the first time; for instance, by double-clicking the
project in the File > Open dialog. Before entering the project, the custom menu informa-
tion is not available, which means that you are not able to contribute custom menu items to
the context-sensitive menu shown when a project icon is selected in Adobe Bridge CS3 or
the Adobe Common User Interface File > Open dialog, say.
zThe menu information also is retrieved only once and cached at the Version Cue client. If
you change anything on the Version Cue Server related to custom menus, you must restart
the client to see the update.
zCustom menu information is not available for offline projects. This is as designed.
For More Information
See VersionCueSDK IDE Help > Version Cue SDK Help > Samples Guide > CustomMenu.
See Case Study: Connecting to an External System through Version Cue CS3, which is available
in PDF in the sdk.docs folder of the SDK and also accessible through VersionCueSDK IDE
Help > Version Cue SDK Help >
Customizing the Search Interface
You can customize the search user interface of the Version Cue client. The Version Cue client
can retrieve custom search criteria from Version Cue Server and send these custom criteria to
a Version Cue Server plug-in, which can then trigger execution of the search in an external
system, subject to the custom criteria. A search criterion contains the following key elements:
zA display name; for instance, “Processing Status.”
zAn operator; for instance, “contains.”
zOptional predefined values, such as “approved.”
The user interface of the standard Version Cue client—that is, other than Bridge—shows only
criteria of type “string” and “enum.” For criteria of type “string,” the user interface of the client
displays a text field and silently uses the operator “contains” for the search operation. For crite-
ria of type “enum,” the text field in the user interface of the client changes to a drop-down list,
which shows different predefined values; in this case, the operator “equals” is implicitly used
by the search operation.
With Bridge, search criteria of all types (not just “string” and “enum”) are shown, and end
users can specify the operator to use for a particular search operation. The other feature of
Bridge that is unavailable in other Version Cue clients is that Bridge can display multiple
search criteria and allow you to make logical compositions of these criteria (such logical OR /
logical AND) to create more complex search expressions.
Figure 10 shows custom search criteria, provided by a sample plug-in for Version Cue Server
named sample.customproject. Note the custom search categories: “Processing Status” and

Adobe Version Cue CS3 Client Programmer’s Guide
Key Operations
20
“Special Metadata”. The former is of type “enum”; the latter, “string.” You can select one of
those new categories and retrieve search results from the Version Cue Server.
FIGURE 10 Project Search over Sample Custom Project
If you have the plug-in loaded, to see this dialog, navigate within the Adobe Bridge CS3 to
“Sample Custom Project” and execute Edit > Find once the root folders of the project are visi-
ble in the Content pane of Bridge.
To change the default search results that are returned by sample.customproject, you must do
the following:
1. Update the values within the existing .txt files in the samples.customproject/data folder, or
add new .txt files to the data folder.
2. Restart the Version Cue Server.
3. Run the search query again.
Figure 11 shows an illustration of returned chunked or paged result sets to Adobe Bridge CS3;
note how there are controls to allow the user to navigate through the result set pages. You can
customize the size of these result sets sent from Version Cue Server to the Version Cue client—
for instance, you can return sets of partial search results rather than the complete set in one
message— if you support paged result sets in your custom search controller. For a sample
plug-in for Version Cue Server that implemented this scheme, see sample.searchpaging.

Adobe Version Cue CS3 Client Programmer’s Guide 21
Adobe Version Cue CS3 Client Programmer’s Guide
Version Cue Client Architecture
FIGURE 11 Project Search with Paged Result Set
For More Information
See the section on custom search criteria in the plug-in sample documentation: Version-
CueSDK IDE Help > Version Cue SDK Help > Samples Guide > Custom Project.
See the plug-in sample documentation: VersionCueSDK IDE Help > Version Cue SDK Help >
Samples Guide > Search Paging.
Version Cue Client Architecture
Version Cue Integration
Desktop applications in Creative Suite integrate with Version Cue; the depth of integration
varies between applications. Some of these applications support the basic File > Check-in func-
tion. Bridge has the deepest integration with Version Cue and exposes some features not
accessible through other clients.
Version Cue clients like InDesign and Photoshop are editing applications. Integration with
Version Cue enables version-controlled assets to be placed in InDesign documents, or differ-

Adobe Version Cue CS3 Client Programmer’s Guide
Version Cue Client Architecture
22
ent versions of an image to be created in Photoshop. Integration with Version Cue enables
InDesign to change the state of a link in its user interface when an asset is updated on a Ver-
sion Cue Server by another user, as if it were a local file (rather than a managed asset). The
Version Cue asset-management features are largely transparent to the end user of applications
like InDesign and Photoshop.
On the other hand, Adobe Bridge CS3 is primarily a file browser and searching tool, rather
than an editing application. It is a particularly privileged Version Cue client, and there are
many features of Version Cue that can be accessed only through Bridge; for instance, if you
want to compose a search based on more than one search criterion.
When using a Version Cue client, you can browse assets that are not on the Version Cue
Server (only in the local file system), as well as ones that are on the Version Cue Server and,
hence, version controlled. These assets appear quite similar in the Adobe Common User Inter-
face, except some status information, which distinguishes those managed by the Version Cue
Server from those solely in the local file system of the Version Cue client. This is the key bene-
fit of Version Cue from the end-user’s perspective; he does not have to learn a new idiom to
navigate through an asset management system, as it can look just like he is browsing through a
file system. In other words, Version Cue implements a virtual file system for its clients.
Client Libraries
Version Cue is a client-server application; see Adobe Version Cue CS3 Server Programmer’s
Guide for a discussion of its architecture. The server is Version Cue Server, and the clients are
desktop applications in Creative Suite.
Applications like InDesign and Photoshop are integrated with Version Cue via the Version
Cue client libraries. The libraries support features like asset management— such as check-out
and check-in from Version Cue— and communication with Version Cue Server. The libraries
also provide user interface dialogs, which enhance the normal operating system Open and
Save dialogs; for instance, these enable end users to place a file from Version Cue, search for
files, view collaboration status, and communicate with a Version Cue Server.
Client applications can use the Version Cue File > Open and File > Save dialogs in place of the
normal operating system dialogs. Version Cue also provides user interface elements to display
the historical versions of an asset and error conditions.
The details of the Version Cue client libraries are largely hidden from external developers,
although some description of the library components is given in the Adobe Version Cue CS3
Server Programmer’s Guide. The scripting interface to Version Cue enables you to create user
interface by using the Adobe ScriptUI, as well as to perform Version Cue specific operations
using the scripting interface to the VersionCueSDK client library.
Server-driven Scripting
The Version Cue client libraries expose a C++ API (the “Q-API”), which is used by the devel-
opers of Creative Suite applications to integrate with Version Cue. It would not be straightfor-
ward to use this C++ API to integrate with Version Cue as an external developer; you would
have to write a separate plug-in for each desktop application in Creative Suite. Since writing a

Adobe Version Cue CS3 Client Programmer’s Guide 23
Adobe Version Cue CS3 Client Programmer’s Guide
Version Cue Client Architecture
Version Cue Server plug-in provides a single point of integration with Version Cue for adding
server-side functionality, the same integration model is followed on the client side; that is, hav-
ing a single point of integration to add client-side functionality.
The mechanism that makes possible a single point of integration for client-side extensibility is
server-driven scripts sent to the client. This should not be confused with server-side scripting;
the scripts run at the client, but they are sent by the Version Cue Server to the client.
You can transmit JavaScript code from a Version Cue Server plug-in to Version Cue client
applications on certain events at the Version Cue Server. For instance, the first time an end
user of a Version Cue client application visits a standard Version Cue project, JavaScript code
can be sent from a Version Cue Server plug-in to the Version Cue client, to enable custom user
interface and logic to execute on particular events at the client.
To learn more about the architecture that supports this server-driven scripting integration
model, see Adobe Version Cue CS3 Server Programmer’s Guide.
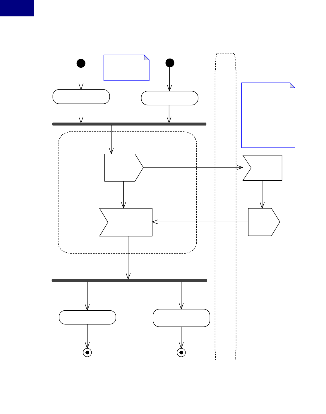
Multi-threading
Version Cue clients are Adobe applications that are integrated with the Version Cue client
libraries. The Version Cue client library has a multi-threaded core, but sending and receiving
SOAP messages is serialized: although a single Version Cue client can have multiple threads
executing the library code, only one of its thread is sending/receiving at any one time.
The critical section in the client is protected by a synchronization object, a “baton” or mutex.
In a relay race, even if there are four runners in the team, only one at a time can hold the baton,
and similarly with running threads and the mutex. In Figure 12, two hypothetical requests are
shown, both of which try to acquire the mutex synchronization object, protecting access to the
critical section. The first to acquire the mutex proceeds to execute in the critical section, while
the other thread is blocked.

Adobe Version Cue CS3 Client Programmer’s Guide
Version Cue Client Architecture
24
FIGURE 12 Conceptual Threading Model for Version Cue Client
network
critical-section
explore-assets get-preview
display-assets display-preview
send SOAP
request
process SOAP
request
(server)
«blocking-receive»
handle SOAP response
Send
SOAP
response
Version Cue Client
operations
Version Cue Server: performs
server-side processing to
handle the SOAP request
from the Version Cue Client,
obtain a list of assets given
request parameters (or
preview of those assets) and
create SOAP response given
the request, which is then
sent back to the Client

Adobe Version Cue CS3 Client Programmer’s Guide 25
Adobe Version Cue CS3 Client Programmer’s Guide
Scripting Environment
The thread executing in the critical section sends a SOAP request, receives a SOAP response
(or a time-out period is exceeded, if there is network congestion or a Version Cue Server is
unavailable), and leaves the critical section, releasing the mutex. The next thread acquires the
mutex, enters the critical section, sends the SOAP request, waits for a SOAP response (or time-
out period to be exceeded), and so on.
A single Version Cue client issues only one SOAP request at a time; however, if you have mul-
tiple Version Cue clients (such as Bridge and Photoshop) on one machine, they can issue con-
current requests to the Version Cue Server. There also can be multiple machines with Version
Cue clients issuing concurrent requests to a single Version Cue Server. To ensure responsive-
ness at each client, the Version Cue Server must support a high degree of request concurrency.
Scripting Environment
Before you Begin
To execute, test and debug Adobe ExtendScript and ScriptUI scripts as well as JavaScript code
that uses the Version Cue client scripting interface, you must install and use Adobe Extend-
Script Toolkit 2. Note that ExtendScript Toolkit 1, which was installed by Creative Suite CS2, is
not compatible with developing JavaScript code for Version Cue CS3 clients.
The ExtendScript Toolkit is a JavaScript integrated development environment (IDE); it is
described in more detail in the JavaScript Tools Guide in the Adobe Bridge CS3 SDK, which
describes developing JavaScript code with the ExtendScript Toolkit.
ExtendScript Toolkit is a source-level debugger for JavaScript; you can use it to execute and
debug JavaScript code written against the Version Cue client scripting interface— for instance,
you can set breakpoints and single-step through the JavaScript code. JavaScript code can be
opened and edited directly in the ExtendScript Toolkit or pasted into an open editor window
in the Toolkit from another editor if you prefer.
ExtendScript: a JavaScript implementation
ExtendScript is an implementation of the ECMA-262 JavaScript specification, developed by
Adobe and used by Creative Suite applications with a scripting interface. To support develop-
ing and debugging, ExtendScript provides features and utilities above and beyond the ECMA-
262 specification. ExtendScript also supports integration of XML data into JavaScript, accord-
ing to the ECMA-357 specification— it supports a subset of that implementation we call Mini-
E4X.

Adobe Version Cue CS3 Client Programmer’s Guide
Scripting Environment
26
For help in developing, debugging, and testing scripts, ExtendScript provides the following:
zThe ExtendScript Toolkit itself, which has a full-featured source-level debugger and devel-
opment environment for writing JavaScript code.
zA global debugging object, the dollar ($) object, which can emit trace to the JavaScript con-
sole in the ExtendScript Toolkit. See “Debugging, Logging, and Profiling with the Toolkit”
on page 26.
zA reporting utility for ExtendScript elements, the ExtendScript Reflection Interface. For
instance, this enables you to dump properties for any class.
To identify specific Creative Suite applications, scripts must use the correct application and
namespace specifiers, described in “Application and Version Specifiers” on page 27. These can
target not only an application at a specific version level, but also a particular localized version.
ExtendScript has a localization utility for providing user interface string values in different lan-
guages. ExtendScript supports preprocessor directives, to allow scripts to be combined using
#include and other directives; see “Preprocessor Directives in ExtendScript” on page 27. The
BridgeTalk component allows inter-application communication through scripting; for
instance, one Creative Suite application can send JavaScript code to another through this
BridgeTalk mechanism. This is described in the Bridge JavaScript documentation.
To find out more about ExtendScript, see the JavaScript Tools Guide in the Adobe Bridge CS3
SDK.
Debugging, Logging, and Profiling with the Toolkit
The ExtendScript Toolkit has a comprehensive set of features typical of an interactive source-
level debugger, including the following:
zSetting normal and conditional breakpoints within a script.
zA JavaScript console window, which shows trace output; for instance, emitted using the
Dollar object.
zInspecting the state of variables in a script halted within the script debugger.
zSingle-stepping through lines of script code: stepping into, over, and out of functions.
zDisplaying the call stack and letting you switch scope to different functions in the stack.
NOTE:You can’t just set a breakpoint through the IDE of ExtendScript Toolkit to break at
specific lines of code in your scripts when they are sent from the server. To debug
server-driven scripts for Version Cue, add “$.bp() ;” to set a breakpoint in your script
sent from the Version Cue Server to the Version Cue client. You also add
“VersionCue.debugLevel = 1;” to enable the debugger. When the script executes, this
will halt ExtendScript Toolkit at the line you added. See the JavaScript Tools Guide in
the Adobe Bridge CS3 SDK for more information on using the dollar object methods
and properties.
NOTE:The Version Cue client downloads the script when the project is first entered;
thereafter, the client needs to be restarted. This means if you change the script, you
must restart the client to have it execute the new script correctly.

Adobe Version Cue CS3 Client Programmer’s Guide 27
Adobe Version Cue CS3 Client Programmer’s Guide
Scripting Environment
The JavaScript console is a key feature of the Toolkit. In addition to seeing trace output, you
can use its command line to execute lines of JavaScript, in the current execution context, and
also see directly the results of executing JavaScript in the output field.
A key feature of ExtendScript for debugging is the built-in dollar object, used as follows:
$.writeln(...);
A profiling tool is built into the ExtendScript toolkit, letting you identify hot spots in executing
your JavaScript code.
For details about the features offered by the Toolkit to develop, debug, and test JavaScript
code, see the JavaScript Tools Guide in the Adobe Bridge CS3 SDK.
Preprocessor Directives in ExtendScript
By default, ExtendScript supports the use of certain preprocessor directives and import direc-
tives, to enable you to compose a script by including script fragments. This is particularly use-
ful to write object-oriented JavaScript, and perhaps keep one class per file, as in the Java model.
For details about this ExtendScript feature, see the JavaScript Tools Guide in the Adobe Bridge
CS3 SDK.
This feature is not likely to work in a server-driven scripting environment.
Application and Version Specifiers
If you have scripting code you want to run only in a particular client application—for example,
if you only want some JavaScript code to execute in the context of Adobe Bridge CS3— the
recommended way to write this is as follows:
if(BridgeTalk.appName == 'bridge') {
// Continue with the Bridge-specific logic here
}
You also can use another static property of the BridgeTalk class to determine which version of
an application is installed:
if(BridgeTalk.getSpecifier == 'photoshop', 10) {
// Continue with logic that depends on Photoshop CS3 here
}
Adobe BridgeTalk is an inter-application communication framework that can be used for
scripting; it is described in the JavaScript Tools Guide in the Adobe Bridge CS3 SDK.
Writing Client-side Scripts for the First Time
Using the Version Cue Client Scripting Engine
The recommended way to develop JavaScript code for CS3 clients is to use the ExtendScript
Toolkit 2, which is bundled with Creative Suite CS3 or can be separately installed. In this sec-
tion, we examine two different ways to develop and test JavaScript code using the ExtendScript
Toolkit.

Adobe Version Cue CS3 Client Programmer’s Guide
Scripting Environment
28
To exercise Version Cue features, use Adobe Bridge CS3 or other Version Cue clients such as
Adobe Photoshop CS3 and Adobe InDesign CS3.
Enabling the Version Cue Client Scripting Interface from other Scripting Contexts
There is one contract that you need to be aware of before using the client scripting interface to
Version Cue from a context such as a JavaScript running against the Adobe Bridge CS3 script-
ing engine. If you want to access the client scripting, you must explicitly load (and unload) the
shared library that contains the scripting wrapper layer. Note that when you navigate into a
custom project— for instance, “Sample Custom Project”, supported by the plug-in named
sample.customproject— this loading and unloading of the shared library containing the client
scripting interface is done for you.
VersionCueSDKLoader.jsx is a startup script that point products in Creative Suite (such as
InDesign, Bridge, Illustrator) load on startup. This file VersionCueSDKLoader.jsx contains
two methods, loadVCSDK and unLoadVCSDK, which you can use can use to load and unload
the VersionCue client SDK shared libraries (versioncuesdk.dll/framework) from your own
Javascript code using the ExternalObject mechanism. After loading these shared libraries, you
can use the Version Cue client scripting interface from your own JavaScript code. The reason
you may be doing this is because you want to write some code that runs within the Bridge
scripting engine, but still makes use of the Version Cue client scripting interface.
For instance, if you wanted to use the classes in the Version Cue client scripting interface from
Adobe Bridge CS3, you can load and use the Version Cue classes with something like this frag-
ment of JavaScript:
if(VersioncueSDKLoader.loadVCSDK() != null)
{
// Use Versioncue scripting interface classes here
...
VersionCueSDKLoader.unLoadVCSDK();
}
else
{
alert ( “Unable to load versioncueSDK”);
}
Example: Hello World
One of the most elementary scripts you might write is to display an alert with “Hello World”:
Window.alert("Hello World.");
To run this script within the Version Cue client scripting engine, follow these steps:
1. Launch a Version Cue client application.
2. Launch the installed ExtendScript Toolkit 2.0 if you have not already done so.
3. Set the target application in the Toolkit to be “Adobe Bridge.”
4. Within the Toolkit, select File > New JavaScript to get an empty editor window.

Adobe Version Cue CS3 Client Programmer’s Guide 29
Adobe Version Cue CS3 Client Programmer’s Guide
Scripting Environment
5. Enter the code below into the editor window:
Window.alert("Hello World.");
6. Within the Toolkit, run the script you just created, by selecting Debug > Run or using the
Run icon button on the toolbar (a rightward-pointing triangle).
7. Verify that you can see an alert popped from the context of the Version Cue client.
There is an even terser “Hello World” script we can write, using the dollar ($) object, which is
available as a debugging aid within the ExtendScript implementation of JavaScript and emits
output to the JavaScript console of the ESTK:
$.writeln("Hello World");
Follow these steps:
1. Launch the Version Cue client if it is not already running.
2. Launch the installed ExtendScript Toolkit 2, if you have not already done so.
3. Within the Toolkit, enter the script below directly into the command line of the JavaScript
Console (an edit-box at the top of the Console panel):
$.writeln("Hello World");
4. Press Return (Enter) to have the code execute and display its results to the JavaScript Con-
sole.
5. Verify that you see a message printed out, followed by “Result: undefined.” The writeln
function of the dollar class returns “undefined.”
Example: List Version Cue Servers
In the next example, we execute code to list the Version Cue Servers known to the CS3 client.
Note that this and also Example 2 you will execute directly against the Bridge main scripting
engine as if the script were installed on the client machine, rather than sent by a Version Cue
Server. This means you will be able to set break-points in them directly from the ExtendScript
Toolkit IDE, which you would not be able to do with a server-driven script— in the latter case,
you need to use $.bp().
NOTE:To make sure that the global objects added by the Version Cue client scripting interface
are available, you have to make sure that the Version Cue client SDK is loaded, if you
want to run this script in a context such as the main Adobe Bridge CS3 scripting
engine. See “Enabling the Version Cue Client Scripting Interface from other Scripting
Contexts” on page 28.
NOTE:Note that the shared library exposing the Version Cue client scripting interface is
loaded automatically when you navigate into a sample like Sample CustomProject.
Alternatively, you can call VersionCueSDKLoader.loadSDK() and then once you are
finished running client scripts, you can call VersionCueSDKLoader.unLoadSDK().

Adobe Version Cue CS3 Client Programmer’s Guide
Scripting Environment
30
Follow these steps:
1. If you have not already done so, launch the ExtendScript Toolkit 2.0.
2. To ensure you have at least one Version Cue Server available to the client, launch Version
Cue Server in the usual fashion, as described in Getting Started with Adobe Version Cue CS3
Development.
3. Enter the code shown in Example 1. Make sure “Adobe Bridge” is the target application in
the Toolkit.
4. Execute the script. You should see a list of Version Cue Servers accessible from the client.
The VCSession class used in Example 1 has only class methods and class-level properties; there
are no associated instance methods or instance properties on VCSession.
EXAMPLE 1
var flags = new Array();
flags[0] = VCFlagConstants.BROADCAST_SERVERS;
flags[1] = VCFlagConstants.DECLARED_SERVERS;
flags [2] = VCFlagConstants.VISITED_SERVERS;
var vcResult = VCSession.exploreServers(flags);
var status = vcResult.status;
if(status.isSuccess)
{
//serverList is the container to hold Servers
var servers = vcResult.serverList;
for(var cnt = 0; cnt < servers.size; cnt++)
{
var serObj = servers.getAt(cnt);
$.writeln(serObj.name);
}
}
else
{
Window.alert("ExploreServer call failed\n");
}
Figure 13 shows the result of running Example 1 in the ExtendScript Toolkit.

Adobe Version Cue CS3 Client Programmer’s Guide 31
Adobe Version Cue CS3 Client Programmer’s Guide
Scripting Environment
FIGURE 13 Running Example 1 in ExtendScript Toolkit
Example: List Projects in a Version Cue Server
In the next example, we execute code to list the names of projects in a Version Cue Server. We
assume that the client is Adobe Bridge CS3. Follow these steps:
1. Launch Version Cue Server, if you have not already done so.
2. Make sure you have at least one project in the Version Cue Server.
3. If you have not already done so, launch Adobe Bridge CS3.
4. Launch the installed ExtendScript Toolkit 2.0.
5. Enter the code shown in Example 2. Make sure “Adobe Bridge” is the target application in
the Toolkit.
6. Execute the script. You should see a list projects on the Version Cue Server.
Ideally, you should be handling error conditions in a more graceful way than in the code frag-
ment in Example 2, where detailed error handling is omitted in the interest of brevity. Note
that we declare the server as “VC20”, because assuming a CS3 server when it is really CS2 will
cause problems and in general you should always assume CS2 (and use “VC20”) until it is
proven otherwise.

Adobe Version Cue CS3 Client Programmer’s Guide
Scripting Environment
32
EXAMPLE 2
do {
// Visit our local Server
var serverURL = "http://localhost:3703";
var providerName = "VC20";
var server = VCSession.declareServer( serverURL, providerName);
// Determine that this is actually online
var flags = new Array;
flags[0] = VCFlagConstants.TRY_RECOVER_SERVER;
var status = server.verifyConnection(flags);
if(!status.isSuccess) break;
$.writeln("Connection to server verified...");
status = VCSession.visitServer(server);
if(!status.isSuccess) break;
$.writeln("Exploring projects on server...");
var explorePrjFlags = new Array();
explorePrjFlags[0] = VCFlagConstants.BROADCAST_PROJECTS;
explorePrjFlags[1] = VCFlagConstants.DECLARED_PROJECTS;
var result = server.exploreProjects(explorePrjFlags);
// The result is a VCResult instance
if(!result.status.isSuccess) break;
$.writeln("Exploring projects...");
var projectsContainer = result.projectList;
// Returned type is a VCProjectContainer, containing VCProject instances
for(var i=0; i < projectsContainer.size; i++) {
var prj = projectsContainer.getAt(i);
// This should be a VCProject instance
$.writeln(prj.name);
}
} while(false);
Figure 14 shows the result of running Example 2 in the ExtendScript Toolkit.

Adobe Version Cue CS3 Client Programmer’s Guide 33
Adobe Version Cue CS3 Client Programmer’s Guide
Scripting Environment
FIGURE 14 Running Example 2 in ExtendScript Toolkit
For More Information
See the following resources:
zThe Scripting Interface Reference in the Version Cue SDK, for information on working with
the scripting interface to the Version Cue client libraries.
zThe JavaScript Tools Guide CS3 in the Bridge CS3 SDK, for information on the Extend-
Script Toolkit and the Adobe JavaScript library for creating user interfaces named ScriptUI.
Note the ExtendScript File and Folder objects mentioned there are not implemented in the
Version Cue scripting interface.

Adobe Version Cue CS3 Client Programmer’s Guide
References
34
References
zECMA-262: ECMAScript Language Specification
http://www.ecma-international.org/publications/standards/Ecma-262.htm
zECMA-357: ECMAScript for XML (E4X) Specification
http://www.ecma-international.org/publications/standards/Ecma-357.htm
zAdobe Bridge CS3 SDK. Adobe Systems Inc., 2007.
zVersion Cue Client Scripting Interface Reference. Integrated with Help in the IDE of Adobe
Version Cue CS3 SDK.
