Advanced Sterilization 02532480 RFID User Manual
Advanced Sterilization Products RFID
User Manual

STERRAD® 100NX® Sterilization System
User’s Guide
Ref 99994
M-99994_03
May 2014
DRAFT

STERRAD® 100NX® Sterilization System
User’s Guide
1-888-STERRAD ASP U.S.A. Professional Services
ASP International 949-581-5799
Please visit www.aspjj.com
For warranty information, please visit our website or contact ASP Professional Services.
ASP International Customer Support; call your local ASP Representative
©. 2008-2014 Division of Ethicon. All rights reserved. STERRAD®, CYCLESURE®, SEALSURE®, APTIMAX® and 100NX®
are registered trademarks of Advanced Sterilization Products (ASP). Teflon®, Delrin®, and Tyvek® are registered trademarks of
E.I. du Pont de Nemours and Company. Radel® is a registered trademark of Solvay SA. Kraton® is a registered trademark of
Kraton Polymers LLC. Santoprene™ is a trademark of ExxonMobil Corporation. Ultem® is a registered trademark of SABIC. da
Vinci® is a registered trademark of Intuitive Surgical, Inc. Other products mentioned in this publication are trademarked by their
respective owners. Please note: the screen displays shown in this guide are for reference only. The actual displays on your system
may be slightly different depending on your system’s configuration and software revision. Reproduction, adaptation, or translation
of this publication without prior written permission is prohibited. Printed in the U.S.A.
DRAFT

STERRAD® 100NX® User’s Guide 1
Contents
Chapter 1. Introduction . . . . . . . . . . . . . . . . . . . . . . . . . . . . . . . . . . . . . . 5
How to Use This Guide . . . . . . . . . . . . . . . . . . . . . . . . . . . . . . . . . . . . . . . . . . . . . . 5
Intended Use . . . . . . . . . . . . . . . . . . . . . . . . . . . . . . . . . . . . . . . . . . . . . . . . . . . . . . 5
The STERRAD® Sterilization Process . . . . . . . . . . . . . . . . . . . . . . . . . . . . . . . . . . 6
If You Have Questions . . . . . . . . . . . . . . . . . . . . . . . . . . . . . . . . . . . . . . . . . . . . . . 6
Chapter 2. Safety Information . . . . . . . . . . . . . . . . . . . . . . . . . . . . . . . . 7
Personal Safety and First Aid . . . . . . . . . . . . . . . . . . . . . . . . . . . . . . . . . . . . . . . . . 7
Personal Protective Equipment . . . . . . . . . . . . . . . . . . . . . . . . . . . . . . . . . . . . . . . . 9
Device Safety . . . . . . . . . . . . . . . . . . . . . . . . . . . . . . . . . . . . . . . . . . . . . . . . . . . . . . 9
Warnings, Cautions, and Notes . . . . . . . . . . . . . . . . . . . . . . . . . . . . . . . . . . . . . . . . 12
Symbols . . . . . . . . . . . . . . . . . . . . . . . . . . . . . . . . . . . . . . . . . . . . . . . . . . . . . . . . . . 13
Chapter 3. Load Preparation . . . . . . . . . . . . . . . . . . . . . . . . . . . . . . . . . . 15
Load Weight Requirements . . . . . . . . . . . . . . . . . . . . . . . . . . . . . . . . . . . . . . . . . . . 15
Cycles and Materials Processing . . . . . . . . . . . . . . . . . . . . . . . . . . . . . . . . . . . . . . . 18
Recommended Materials . . . . . . . . . . . . . . . . . . . . . . . . . . . . . . . . . . . . . . . . . . . . . 22
Thermoplastics . . . . . . . . . . . . . . . . . . . . . . . . . . . . . . . . . . . . . . . . . . . . . . . . . . 22
Thermoplastic Elastomers . . . . . . . . . . . . . . . . . . . . . . . . . . . . . . . . . . . . . . . . . 22
Thermosetting Elastomers . . . . . . . . . . . . . . . . . . . . . . . . . . . . . . . . . . . . . . . . . 23
Glass . . . . . . . . . . . . . . . . . . . . . . . . . . . . . . . . . . . . . . . . . . . . . . . . . . . . . . . . . . 23
Metal . . . . . . . . . . . . . . . . . . . . . . . . . . . . . . . . . . . . . . . . . . . . . . . . . . . . . . . . . 23
Items Not To Be Processed . . . . . . . . . . . . . . . . . . . . . . . . . . . . . . . . . . . . . . . . . . . 23
Do Not Process in the EXPRESS Cycle . . . . . . . . . . . . . . . . . . . . . . . . . . . . . . 24
Do Not Process in the DUO Cycle . . . . . . . . . . . . . . . . . . . . . . . . . . . . . . . . . . 24
Guidelines for Preparing Items to Be Sterilized . . . . . . . . . . . . . . . . . . . . . . . . . . . 25
Cleaning, Rinsing, and Drying . . . . . . . . . . . . . . . . . . . . . . . . . . . . . . . . . . . . . . . . 25
Packaging and Loading . . . . . . . . . . . . . . . . . . . . . . . . . . . . . . . . . . . . . . . . . . . . . . 27
Instrument Trays . . . . . . . . . . . . . . . . . . . . . . . . . . . . . . . . . . . . . . . . . . . . . . . . 27
Tray Mats . . . . . . . . . . . . . . . . . . . . . . . . . . . . . . . . . . . . . . . . . . . . . . . . . . . . . . 27
Packaging . . . . . . . . . . . . . . . . . . . . . . . . . . . . . . . . . . . . . . . . . . . . . . . . . . . . . . 27
Loading . . . . . . . . . . . . . . . . . . . . . . . . . . . . . . . . . . . . . . . . . . . . . . . . . . . . . . . 28
Chemical Indicators . . . . . . . . . . . . . . . . . . . . . . . . . . . . . . . . . . . . . . . . . . . . . . 29
Special Considerations for Flexible Endoscopes . . . . . . . . . . . . . . . . . . . . . . . . 29
DRAFT

2STERRAD® 100NX® User’s Guide
Chapter 4. Operation . . . . . . . . . . . . . . . . . . . . . . . . . . . . . . . . . . . . . . . . 31
Before You Start . . . . . . . . . . . . . . . . . . . . . . . . . . . . . . . . . . . . . . . . . . . . . . . . . . . 31
Start and Warm-up . . . . . . . . . . . . . . . . . . . . . . . . . . . . . . . . . . . . . . . . . . . . . . . . . . 31
Biological Indicators . . . . . . . . . . . . . . . . . . . . . . . . . . . . . . . . . . . . . . . . . . . . . . . . 31
Login . . . . . . . . . . . . . . . . . . . . . . . . . . . . . . . . . . . . . . . . . . . . . . . . . . . . . . . . . . . . 32
Entering Load Information . . . . . . . . . . . . . . . . . . . . . . . . . . . . . . . . . . . . . . . . . . . 33
Enter Load Item Data . . . . . . . . . . . . . . . . . . . . . . . . . . . . . . . . . . . . . . . . . . . . . 33
Cycle Notes . . . . . . . . . . . . . . . . . . . . . . . . . . . . . . . . . . . . . . . . . . . . . . . . . . . . 34
Loading the Chamber . . . . . . . . . . . . . . . . . . . . . . . . . . . . . . . . . . . . . . . . . . . . . . . . 36
Selecting and Starting a Cycle . . . . . . . . . . . . . . . . . . . . . . . . . . . . . . . . . . . . . . . . . 40
System Ready Screen . . . . . . . . . . . . . . . . . . . . . . . . . . . . . . . . . . . . . . . . . . . . . 41
Inserting a Cassette . . . . . . . . . . . . . . . . . . . . . . . . . . . . . . . . . . . . . . . . . . . . . . 41
Cycle in Progress . . . . . . . . . . . . . . . . . . . . . . . . . . . . . . . . . . . . . . . . . . . . . . . . . . . 42
Canceling a Cycle . . . . . . . . . . . . . . . . . . . . . . . . . . . . . . . . . . . . . . . . . . . . . . . 43
Cycle Completed . . . . . . . . . . . . . . . . . . . . . . . . . . . . . . . . . . . . . . . . . . . . . . . . . . . 45
Processing a Sterilized Load . . . . . . . . . . . . . . . . . . . . . . . . . . . . . . . . . . . . . . . . . . 46
Inspecting Chemical Indicators . . . . . . . . . . . . . . . . . . . . . . . . . . . . . . . . . . . . . 46
Processing Biological Indicators . . . . . . . . . . . . . . . . . . . . . . . . . . . . . . . . . . . . 46
Chapter 5. Troubleshooting . . . . . . . . . . . . . . . . . . . . . . . . . . . . . . . . . . . 49
Running Diagnostics . . . . . . . . . . . . . . . . . . . . . . . . . . . . . . . . . . . . . . . . . . . . . . . . 49
System Message Table . . . . . . . . . . . . . . . . . . . . . . . . . . . . . . . . . . . . . . . . . . . . . . . 50
Temperature Messages . . . . . . . . . . . . . . . . . . . . . . . . . . . . . . . . . . . . . . . . . . . 50
Messages Not In This Table . . . . . . . . . . . . . . . . . . . . . . . . . . . . . . . . . . . . . . . 50
Call Your ASP Representative . . . . . . . . . . . . . . . . . . . . . . . . . . . . . . . . . . . . . . . . 54
Chapter 6. Sterilizer Overview . . . . . . . . . . . . . . . . . . . . . . . . . . . . . . . . 55
Sterilizer Cycles . . . . . . . . . . . . . . . . . . . . . . . . . . . . . . . . . . . . . . . . . . . . . . . . . . . . 55
Sterilizer Features . . . . . . . . . . . . . . . . . . . . . . . . . . . . . . . . . . . . . . . . . . . . . . . . . . 56
Cassette . . . . . . . . . . . . . . . . . . . . . . . . . . . . . . . . . . . . . . . . . . . . . . . . . . . . . . . 57
Cassette Disposal Box . . . . . . . . . . . . . . . . . . . . . . . . . . . . . . . . . . . . . . . . . . . . 58
Touch Screen and Speaker . . . . . . . . . . . . . . . . . . . . . . . . . . . . . . . . . . . . . . . . . 58
Chamber . . . . . . . . . . . . . . . . . . . . . . . . . . . . . . . . . . . . . . . . . . . . . . . . . . . . . . . 59
Printer . . . . . . . . . . . . . . . . . . . . . . . . . . . . . . . . . . . . . . . . . . . . . . . . . . . . . . . . . 60
Touch Screen Data Entry . . . . . . . . . . . . . . . . . . . . . . . . . . . . . . . . . . . . . . . . . . 61
DRAFT

STERRAD® 100NX® User’s Guide 3
Chapter 7. Maintenance . . . . . . . . . . . . . . . . . . . . . . . . . . . . . . . . . . . . . . 63
Automatic Maintenance . . . . . . . . . . . . . . . . . . . . . . . . . . . . . . . . . . . . . . . . . . . . . 63
Automatic Lamp Adjustment . . . . . . . . . . . . . . . . . . . . . . . . . . . . . . . . . . . . . . . 63
Manual Maintenance . . . . . . . . . . . . . . . . . . . . . . . . . . . . . . . . . . . . . . . . . . . . . . . . 64
Disposing of Cassettes . . . . . . . . . . . . . . . . . . . . . . . . . . . . . . . . . . . . . . . . . . . . . . . 64
Removing a Cassette Disposal Box . . . . . . . . . . . . . . . . . . . . . . . . . . . . . . . . . . 65
Replacing the Printer Paper . . . . . . . . . . . . . . . . . . . . . . . . . . . . . . . . . . . . . . . . . . . 66
Cleaning the Sterilizer Exterior . . . . . . . . . . . . . . . . . . . . . . . . . . . . . . . . . . . . . . . . 69
Cleaning the Hydrogen Peroxide Monitor Detector Lens . . . . . . . . . . . . . . . . . . . . 70
PCMCIA Card Handling and Replacement . . . . . . . . . . . . . . . . . . . . . . . . . . . . . . . 71
Data Transfer Using a Memory Stick . . . . . . . . . . . . . . . . . . . . . . . . . . . . . . . . 72
Rebooting the System . . . . . . . . . . . . . . . . . . . . . . . . . . . . . . . . . . . . . . . . . . . . . . . 73
Sterilizer Disposal . . . . . . . . . . . . . . . . . . . . . . . . . . . . . . . . . . . . . . . . . . . . . . . . . . 73
Chapter 8. Reports and Files . . . . . . . . . . . . . . . . . . . . . . . . . . . . . . . . . . 75
Displayed Reports . . . . . . . . . . . . . . . . . . . . . . . . . . . . . . . . . . . . . . . . . . . . . . . . . . 75
Cycle History . . . . . . . . . . . . . . . . . . . . . . . . . . . . . . . . . . . . . . . . . . . . . . . . . . . 75
Printed Reports . . . . . . . . . . . . . . . . . . . . . . . . . . . . . . . . . . . . . . . . . . . . . . . . . . . . 77
Short Report . . . . . . . . . . . . . . . . . . . . . . . . . . . . . . . . . . . . . . . . . . . . . . . . . . . . 77
Parametric Report . . . . . . . . . . . . . . . . . . . . . . . . . . . . . . . . . . . . . . . . . . . . . . . 77
Long Report . . . . . . . . . . . . . . . . . . . . . . . . . . . . . . . . . . . . . . . . . . . . . . . . . . . . 77
Chapter 9. Access Levels and Supervisor Tasks . . . . . . . . . . . . . . . . . 79
Overview . . . . . . . . . . . . . . . . . . . . . . . . . . . . . . . . . . . . . . . . . . . . . . . . . . . . . . . . . 79
Access Levels . . . . . . . . . . . . . . . . . . . . . . . . . . . . . . . . . . . . . . . . . . . . . . . . . . . . . 79
Additional Utilities Menu . . . . . . . . . . . . . . . . . . . . . . . . . . . . . . . . . . . . . . . . . . . . 80
Date and Time Settings . . . . . . . . . . . . . . . . . . . . . . . . . . . . . . . . . . . . . . . . . . . . . . 81
Set Date . . . . . . . . . . . . . . . . . . . . . . . . . . . . . . . . . . . . . . . . . . . . . . . . . . . . . . . 82
Set Time . . . . . . . . . . . . . . . . . . . . . . . . . . . . . . . . . . . . . . . . . . . . . . . . . . . . . . . 82
Time Zone . . . . . . . . . . . . . . . . . . . . . . . . . . . . . . . . . . . . . . . . . . . . . . . . . . . . . 82
Date Format . . . . . . . . . . . . . . . . . . . . . . . . . . . . . . . . . . . . . . . . . . . . . . . . . . . . 82
Time Format . . . . . . . . . . . . . . . . . . . . . . . . . . . . . . . . . . . . . . . . . . . . . . . . . . . 82
Cancel/Done . . . . . . . . . . . . . . . . . . . . . . . . . . . . . . . . . . . . . . . . . . . . . . . . . . . . 82
System Configuration . . . . . . . . . . . . . . . . . . . . . . . . . . . . . . . . . . . . . . . . . . . . . . . 83
Access Control Option . . . . . . . . . . . . . . . . . . . . . . . . . . . . . . . . . . . . . . . . . . . . 83
IMS . . . . . . . . . . . . . . . . . . . . . . . . . . . . . . . . . . . . . . . . . . . . . . . . . . . . . . . . . . 83
Vacuum Units . . . . . . . . . . . . . . . . . . . . . . . . . . . . . . . . . . . . . . . . . . . . . . . . . . 83
Load Data Entry Option . . . . . . . . . . . . . . . . . . . . . . . . . . . . . . . . . . . . . . . . . . . 84
Load Removal Option . . . . . . . . . . . . . . . . . . . . . . . . . . . . . . . . . . . . . . . . . . . . 84
Notepad Option . . . . . . . . . . . . . . . . . . . . . . . . . . . . . . . . . . . . . . . . . . . . . . . . . 84
Network Option . . . . . . . . . . . . . . . . . . . . . . . . . . . . . . . . . . . . . . . . . . . . . . . . . 84
DRAFT

4STERRAD® 100NX® User’s Guide
Alarm Volume . . . . . . . . . . . . . . . . . . . . . . . . . . . . . . . . . . . . . . . . . . . . . . . . . . 84
Backlight Conservation (Minutes) . . . . . . . . . . . . . . . . . . . . . . . . . . . . . . . . . . . 84
Language Selection . . . . . . . . . . . . . . . . . . . . . . . . . . . . . . . . . . . . . . . . . . . . . . 84
Sterilizer Settings . . . . . . . . . . . . . . . . . . . . . . . . . . . . . . . . . . . . . . . . . . . . . . . . 85
Printer Settings . . . . . . . . . . . . . . . . . . . . . . . . . . . . . . . . . . . . . . . . . . . . . . . . . . 86
Transfer Settings . . . . . . . . . . . . . . . . . . . . . . . . . . . . . . . . . . . . . . . . . . . . . . . . 87
Cancel/Done . . . . . . . . . . . . . . . . . . . . . . . . . . . . . . . . . . . . . . . . . . . . . . . . . . . . 87
User Administration . . . . . . . . . . . . . . . . . . . . . . . . . . . . . . . . . . . . . . . . . . . . . . . . . 88
Add User . . . . . . . . . . . . . . . . . . . . . . . . . . . . . . . . . . . . . . . . . . . . . . . . . . . . . . 89
Modify User . . . . . . . . . . . . . . . . . . . . . . . . . . . . . . . . . . . . . . . . . . . . . . . . . . . . 90
Upload User Data . . . . . . . . . . . . . . . . . . . . . . . . . . . . . . . . . . . . . . . . . . . . . . . . 91
Steps to Upload a User Database . . . . . . . . . . . . . . . . . . . . . . . . . . . . . . . . . . . . 92
Cassette Functions . . . . . . . . . . . . . . . . . . . . . . . . . . . . . . . . . . . . . . . . . . . . . . . . . . 93
Dispose Cassette . . . . . . . . . . . . . . . . . . . . . . . . . . . . . . . . . . . . . . . . . . . . . . . . 94
Peroxide Clearance . . . . . . . . . . . . . . . . . . . . . . . . . . . . . . . . . . . . . . . . . . . . . . 95
Network . . . . . . . . . . . . . . . . . . . . . . . . . . . . . . . . . . . . . . . . . . . . . . . . . . . . . . . . . . 96
Diagnostics . . . . . . . . . . . . . . . . . . . . . . . . . . . . . . . . . . . . . . . . . . . . . . . . . . . . . . . . 96
Diagnostic Tests . . . . . . . . . . . . . . . . . . . . . . . . . . . . . . . . . . . . . . . . . . . . . . . . . 97
Service Functions . . . . . . . . . . . . . . . . . . . . . . . . . . . . . . . . . . . . . . . . . . . . . . . . . . . 97
File Management . . . . . . . . . . . . . . . . . . . . . . . . . . . . . . . . . . . . . . . . . . . . . . . . . . . 98
Calibration Files . . . . . . . . . . . . . . . . . . . . . . . . . . . . . . . . . . . . . . . . . . . . . . . . . 98
Diagnostic Files . . . . . . . . . . . . . . . . . . . . . . . . . . . . . . . . . . . . . . . . . . . . . . . . . 98
Upload File . . . . . . . . . . . . . . . . . . . . . . . . . . . . . . . . . . . . . . . . . . . . . . . . . . . . . . . 99
Input/Output Doors . . . . . . . . . . . . . . . . . . . . . . . . . . . . . . . . . . . . . . . . . . . . . . . . . 100
Product Options . . . . . . . . . . . . . . . . . . . . . . . . . . . . . . . . . . . . . . . . . . . . . . . . . . . . 100
Appendix A. Sterilizer Specifications . . . . . . . . . . . . . . . . . . . . . . . . . . . 103
Appendix B. Consumables, Accessories, and Additional Parts . . . . . . 107
DRAFT

Introduction
1
STERRAD® 100NX® User’s Guide 5
Chapter 1.
Introduction
How to Use This Guide
If you are a STERRAD® 100NX® Sterilizer operator, you must read
the “Safety Information, “ the “Introduction,” “Load Preparation,” and
“Operation” chapters prior to operating the sterilizer. This “Introduction”
explains the features and parts of the sterilizer. “Load Preparation” explains
how to prepare and package instruments for processing. “Operation” explains
how to operate the sterilizer and obtain optimal results.
If you are a supervisor overseeing the STERRAD® 100NX® Sterilizer, you
should read the entire user’s guide and pay particular attention to the chapter
featuring “Access Levels and Supervisor Level Tasks.” This chapter describes
tasks and options that are only available through “Supervisor Level” access.
Intended Use
The STERRAD® 100NX® Sterilization System is a general purpose,
low temperature sterilizer which uses the STERRAD® 100NX® Process to
inactivate microorganisms on a broad range of medical devices and surgical
instruments.
When used as directed by the instructions in this user’s guide, the
STERRAD® 100NX® Sterilization System will sterilize both metal and
nonmetal medical devices at low temperatures. Please review “How to
Determine What Can Be Sterilized in the STERRAD® 100NX® Sterilizer” in
the “Load Preparation” chapter along with the cycle information to make sure
you follow the directions for processing items in each type of cycle.
DRAFT

1
Introduction
6STERRAD® 100NX® User’s Guide
The STERRAD® Sterilization Process
The STERRAD® 100NX® Sterilizer sterilizes medical devices by diffusing
hydrogen peroxide vapor into the chamber and then electromagnetiy exciting
the hydrogen peroxide molecules into a low-temperature plasma state. The
combined use of hydrogen peroxide vapor and plasma safely and rapidly
sterilizes medical instruments and materials without leaving toxic residue. All
stages of the sterilization cycle operate within a dry environment at a low
temperature, and thus the cycle is not damaging to compatible instruments
that are sensitive to heat and moisture.
The STERRAD® 100NX® Sterilizer can be used for both metal and nonmetal
devices, and can also sterilize instruments that have difficult-to-reach
(diffusion-restricted) spaces, such as hinges on forceps. Refer to the
“Safety Information” chapter for more information on device safety.
The sterilizer consistently provides a Sterility Assurance Level (SAL) of 10-6,
as defined by U.S. Food and Drug Administration (FDA) and international
standards, for clinical use on all allowed substrates within the limits of the
claims for materials and geometries when used in accordance with the
directions in this user’s guide.
If You Have Questions
If you have questions about the STERRAD® 100NX® Sterilizer or questions
about which items may be safely sterilized by the STERRAD® Process,
please call your local Advanced Sterilization Products (ASP) Representative
or visit our website at www.aspjj.com.
DRAFT

Safety Information
2
STERRAD® 100NX® User’s Guide 7
Chapter 2.
Safety Information
Your safety is of primary concern to Advanced Sterilization Products (ASP).
This chapter provides information on safely using the STERRAD® 100NX®
Sterilizer. You must read and understand the safety information in this
chapter before operating the sterilizer. Always pay attention to the
warnings, cautions and notes throughout this user’s guide. This information is
for your safety and to ensure that you receive the most benefit from the safe
operation of your STERRAD® 100NX® Sterilization System.
Personal Safety and First Aid
WARNING! HYDROGEN PEROXIDE IS CORROSIVE
Concentrated hydrogen peroxide is corrosive to skin, eyes, nose, throat, lungs, and
the gastrointestinal tract. Always wear chemical resistant latex, PVC (vinyl), or nitrile
gloves while removing items from the sterilizer following a cancelled cycle or if any
moisture is noted on items in the load following a completed cycle.
WARNING! HYDROGEN PEROXIDE IS AN OXIDIZER
Hydrogen peroxide is strong oxidizing agent and poses a hazard for fire, explosion, or
container rupture. Avoid allowing hydrogen peroxide to contact organic materials,
including paper, cotton, wood, or lubricants. Do not use or store near heat or open
flame. Shoes, clothing, or other combustible material that have come into contact with
hydrogen peroxide must be immediately and thoroughly rinsed with water to avoid a
potential fire hazard. In case of fire, use only water to extinguish.
WARNING! RISK OF EYE INJURY
Direct hydrogen peroxide contact with eyes can cause irreversible tissue damage.
If contact with eyes occurs, hold the eyes open and flush with large amounts of water
for at least 15-20 minutes. Remove contact lenses, if present, and then continue
rinsing the eyes. Consult a physician immediately after flushing the eyes.
DRAFT

2
Safety Information
8STERRAD® 100NX® User’s Guide
WARNING! RISK OF SKIN INJURY
Direct hydrogen peroxide contact with the skin can cause severe irritation. Wear
chemical resistant latex, PVC (vinyl) or nitrile gloves when handling used cassettes or
ejected cassettes, items from a cancelled cycle, or items that have moisture present
after a completed cycle. Immediately take off contaminated clothing and rinse
thoroughly with water to avoid potential fire hazard and was before re-use.
WARNING! RISK OF RESPIRATORY IRRITATION
Inhalation of hydrogen peroxide mist can cause severe irritation of lungs, throat, and
nose. If inhalation occurs, move to the person to fresh air. If the person is not
breathing, call for emergency medical attention, or an ambulance, then give artificial
respiration, preferably mouth-to-mouth, if possible. Consult a physician immediately.
WARNING! CONCENTRATED HYDROGEN PEROXIDE IS TOXIC
Ingestion of hydrogen peroxide may be life-threatening. If swallowed, call a “poison
control” center or physician immediately for treatment advice. Have the person drink
plenty of water if the person is able to swallow. Do not give anything by mouth to an
unconscious person. Do not induce vomiting unless instructed to do so by the poison
control center or physician.
WARNING! HEATED STERILIZATION SURFACES
At the end of a cycle, the interior of the sterilizer may be hot. Do not touch the inside
of the chamber or door with your bare or gloved hands. Allow the sterilizer to cool
before touching interior surfaces.
WARNING! AVOID EXPOSURE TO ULTRAVIOLET LIGHT
The hydrogen peroxide monitor uses an ultraviolet light source located inside the
chamber behind the door. To avoid eye injury, do not stare directly at the ultraviolet
light source for an extended period of time.
WARNING! HYDROGEN PEROXIDE MAY BE PRESENT
If white residue is visible on the load, this is residue from the hydrogen peroxide
stabilizer. Wear chemical resistant latex, PVC (vinyl), or nitrile gloves when removing
a load with visible white residue. White residue can be minimized by making sure
regular Planned Maintenance procedures are performed on your system. The system
will inform you when Planned Maintenance is due. Please schedule your PM service
in a timely manner.
DRAFT

Safety Information
2
STERRAD® 100NX® User’s Guide 9
WARNING! RISK OF BREATHING DIFFICULTIES
On rare occasions, the outlet filter on the vacuum pump can prematurely fail. If this
occurs, you may see mist or what some users have described as “haze” or “smoke” in
the room where the sterilizer is operating. The chemical composition of the mist is
primarily airborne mineral oil with trace amounts of other compounds. Oil mist
exposure may, theoretically, pose an increased risk to people with certain respiratory
conditions, such as asthma, and they should take special precautions not to be exposed
to the mist. If you observe these conditions, personnel should leave the room as a
precaution and discontinue use of the STERRAD® System until the system is
repaired. Personnel should avoid working in the room until the mist has cleared.
Please note that all STERRAD® Sterilizers should be used and installed in a well-
ventilated environment (a minimum of 10 air exchanges per hour).
Personal Protective Equipment
WARNING! HYDROGEN PEROXIDE MAY BE PRESENT
Wear chemical resistant latex, PVC (vinyl), or nitrile gloves whenever handling a load
after a cycle cancellation. Hydrogen peroxide liquid may be present on the load or in
the chamber.
Device Safety
WARNING! RISK OF INJURY OR DAMAGE TO STERILIZER
The STERRAD® 100NX® Sterilizer should not be used stacked with other
equipment.
CAUTION: RISK OF DAMAGE TO LOAD
Metal objects must not come into contact with the chamber walls, the door, or the
electrode. Contact with the walls, door, or electrode could damage the sterilizer or
the metal objects.
DRAFT

2
Safety Information
10 STERRAD® 100NX® User’s Guide
CAUTION: KNOW WHAT YOU CAN PROCESS
Before processing any item in the STERRAD® 100NX® Sterilizer, make sure you
know how the STERRAD Sterilization Process will affect the item. Read, understand,
and follow the medical device manufacturers’ instructions for their products. This
guide lists certain types of items and materials that can be safely processed in certain
cycle choices. Make sure you understand the parameters of each cycle type before
processing your items. This guide is not intended to replace any medical device
manufacturers’ instructions. If you have questions, or if you are in doubt about the
materials in your devices, contact the medical device manufacturer or your ASP
Customer Representative for more information.
CAUTION: RISK OF VIOLATION OF WARRANTY
Improper processing may limit our liability for damage to processed instruments.
Improper processing may also violate your instrument warranty.
CAUTION: RISK OF DAMAGE TO LOAD – METAL OBJECTS
Metal objects must not come into contact with the chamber walls, the doors, or the
electrode. Contact with the walls, doors, or electrode could damage the sterilizer or the
metal objects.
CAUTION: RISK OF DAMAGE TO LOAD – VENTING CAPS
Take special care to confirm that venting caps are placed according to the
manufacturers’ instructions. Venting caps are intended to prevent damage to
flexible scopes that are being exposed to a vacuum, regardless of the sterilant used.
CAUTION: RISK OF DAMAGE TO LOAD – IMMERSION CAPS
You must remove the water-resistant immersion cap (if present) prior to processing
in the sterilizer. If the immersion cap is not removed prior to processing in the
STERRAD® 100NX™ Sterilizer, it will damage the flexible scope due to the inability
to properly vent.
CAUTION: KNOW WHAT YOU CAN PROCESS – FLEXIBLE
ENDOSCOPES
Prior to processing flexible endoscopes in the STERRAD® 100NX® Sterilizer, you
must read, understand, and follow the medical device manufacturer's instructions for
use for the particular scope to be processed. Please contact the medical device
manufacturer for more information on what can be processed in the STERRAD®
100NX® Sterilizer.
CAUTION: RF COMMUNICATIONS EQUIPMENT
Portable and mobile RF communications equipment can affect medical
electrical equipment.
DRAFT

Safety Information
2
STERRAD® 100NX® User’s Guide 11
System is configured with FCC ID: AXJ100NXRFID or
FCC ID: AXJ02532480
System is configured with IC Certification Number:
10207A-100NXRFID or IC Certification Number:
10207A-02532480
WARNING! (PART 15.21) RISK OF NON-COMPLIANCE
Changes or modifications not expressly approved by Advanced Sterilization Products
could void the user’s authority to operate the equipment. Manufacturer is not
responsible for any radio or TV interference caused by unauthorized modifications to
this equipment.
Guidance And Declaration-Electromagnetic Emissions
The STERRAD® 100NX® Sterilizer is intended for use in the electromagnetic environment specified below.
Assure that it is used in such an environment.
Emissions Test Compliance Electromagnetic Environment - Guidance
RF emissions CISPR 11 Group 1 The STERRAD® 100NX® Sterilizer uses RF energy
only for its internal function. Therefore, its RF
emissions are very low and are not likely to cause any
interference in nearby electronic equipment.
RF emissions CISPR 11 Class A The STERRAD® 100NX® Sterilizer is suitable for use
in all establishments other than domestic and those
directly connected to the public low-voltage power
supply network that supplies buildings used for
domestic purposes.
Harmonic emissions
IEC 61000-3-2
Class A
Voltage fluctuations/flicker
emissions
IEC 61000-3-3
Complies
DRAFT

2
Safety Information
12 STERRAD® 100NX® User’s Guide
FCC Rules and Industry Canada (IC) Regulatory
Information
Compliance Statement (Part 15.19)
The equipment device complies with Part 15 of the FCC Rules. Operation is
subject to the following two conditions: (1) This device may not cause
harmful interference, and (2) This device must accept any interference
received including interference that may cause undesired operation.
Compliance Statement (Part 15.105(b))
Note: This equipment has been tested and found to comply with the limits for
a Class A digital device, pursuant to part 15 of the FCC Rules. These limits
are designed to provide reasonable protection against harmful interference
when the equipment is operated in a commercial environment. This
equipment generates, uses, and can radiate radio frequency energy and, if not
installed and used in accordance with the instruction manual, may cause
harmful interference to radio communications. Operation of this equipment in
a residential area is likely to cause harmful interference in which case the user
will be required to correct the interference at his own expense.
This device complies with Industry Canada license-exempt RSS standard(s).
Operation is subject to the following two conditions: (1) this device may not
cause interference, and (2) this device must accept any interference, including
interference that may cause undesired operation of the device.
Le présent appareil est conforme aux CNR d'Industrie Canada applicables aux
appareils radio exempts de licence. L'exploitation est autorisée aux deux
conditions suivantes : (1) l'appareil ne doit pas produire de brouillage, et (2)
l'utilisateur de l'appareil doit accepter tout brouillage radioélectrique subi,
même si le brouillage est susceptible d'en compromettre le fonctionnement.
Class A digital device notice “CAN ICES-3 (A)/NMB-3(A)”
RF Radiation Exposure Statement
This equipment complies with the FCC/IC radiation exposure limits set forth
for portable transmitting devices operation in a controlled environment. End
users must follow the specific operating instructions to satisfy RF exposure
compliance.
The equipment should only be used where there is normally at least 20cm
separation between the antenna and all person/user.
This transmitter must not be co-located or operation in conjunction with any
other antenna or transmitter.
Any changes or modifications not expressly approved by the party
responsible for compliance could void the user’s authority to operate this
equipment.
DRAFT

Safety Information
2
STERRAD® 100NX® User’s Guide 13
Warnings, Cautions, and Notes
Warnings and cautions are accompanied by symbols surrounded by a triangle or a
square and are printed in the text in bold. Warnings indicate events or conditions that
can result in serious injury or death. Cautions indicate events or conditions that can
result in severe damage to the equipment.
Notes are printed in italics and have a checkmark in front of the word “Note.”
Notes highlight specific information about the proper use and maintenance of the
sterilizer.
DRAFT

2
Safety Information
14 STERRAD® 100NX® User’s Guide
Symbols
Hot surfaces present.
Do not touch without protection.
Hazardous chemical present.
Use personal protective equipment.
Corrosive chemical present.
Use personal protective equipment.
Oxidizing chemical present.
Avoid exposure, contact, or ingestion.
Use personal protective equipment.
WEEE Symbol
Toxic chemical present.
Avoid exposure, contact, or ingestion.
Ultraviolet (UV) light hazard.
Do not look at the light without UV eye protection.
High voltage hazard.
I/O On/Off.
Alternating current.
DRAFT

Load Preparation
3
STERRAD® 100NX® User’s Guide 15
Chapter 3.
Load Preparation
The STERRAD® 100NX® Sterilizer is designed for sterilization of both
metal and nonmetal medical devices at low temperatures. The STERRAD®
sterilization process is a multiphase sterilization process that utilizes a
combination of exposure to hydrogen peroxide vapor and plasma to safely
sterilize medical instruments and materials without leaving toxic residue.
Because the cycle operates within a dry environment and at low temperatures,
it is especially suitable for instruments sensitive to heat and moisture.
CAUTION: KNOW WHAT YOU CAN PROCESS
Before processing items in the sterilizer, make sure you know how the STERRAD®
Sterilization Process will affect the item. When constructing your load, the total
weight of the load to be sterilized should not exceed the load requirements for the
specific cycle. If you have questions, or if you are in doubt about the materials in your
devices, contact the medical device manufacturer or your ASP Customer
Representative for more information.
CAUTION: RISK OF VIOLATION OF WARRANTY
Improper processing may limit our liability for damage to processed instruments.
Improper processing may also void your instrument warranty.
Load Weight Requirements
The weight of the items to be sterilized must conform to the weights used for
validating the sterilizer processes. These weights are listed in the following
table. The weight of the load depends on the cycle selected and whether one
or both shelves are used.
Cycle Type Weight Shelves
STANDARD Cycle 9.7 kg (21.4 lbs) total weight 1 or 2 shelves
DUO Cycle 6.0 kg (13.2 lbs) total weight 1 or 2 shelves
EXPRESS Cycle 4.9 kg (10.7 lbs) total weight Bottom shelf only
FLEX Cycle 9.7 kg (21.4 lbs) total weight 1 or 2 shelves
DRAFT

3
Load Preparation
16 STERRAD® 100NX® User’s Guide
STANDARD Cycle Processing
The STERRAD® 100NX® Sterilizer can sterilize instruments which have
diffusion-restricted spaces, such as the hinged portion of forceps and scissors.
Medical devices with the following materials and dimensions can be
processed in the STERRAD® 100NX® Sterilizer STANDARD cycle:
Single channel stainless steel lumens with an inside diameter of 0.7 mm
or larger and a length of 500 mm or shorter.†
Processing Tubing
ASP has validated the processing of non-reusable polyethylene and
Teflon® (polytetrafluoroethylene) medical grade tubing with the
dimension and cycles listed below. (These tubing claims have not been
reviewed by the Food and Drug Administration (FDA) as the FDA does
not classify tubing as medical devices.):
An inside diameter of 1 mm or larger and a length of 1000 mm or
shorter can be processed in the STERRAD® 100NX® Sterilizer
STANDARD cycle.*
DUO Cycle Processing
Medical devices, including many flexible endoscopes with accessory devices
such as light cords and cameras with the following material and dimensions
can be processed in the STERRAD® 100NX® DUO Cycle.
Single channel polyethylene and Teflon® (polytetrafluoroethylene)
flexible endoscopes with an inside diameter of 1 mm or larger and a
length of 875 mm or shorter.
Cameras.
Accessory light cords.
Flexible endoscopes without lumens.
Note: Do not include more than 2 flexible endoscopes per
load.
†The validation testing for this lumen size was conducted using a maximum of 10 lumens in the
USA; 40 lumens for markets outside the USA. Your loads should not exceed the validated
maximum number of lumens.
*Sterilize without any additional load. Up to 20 pieces of tubing may be sterilized at one time.
DRAFT

Load Preparation
3
STERRAD® 100NX® User’s Guide 17
EXPRESS Cycle Processing
The following types of medical devices can be sterilized in the EXPRESS
Cycle:
General medical devices requiring surface sterilization, or sterilization of
mated titanium and stainless steel surfaces.
Rigid or semi-rigid endoscopes without lumens; for example da Vinci®
endoscopes.
FLEX Cycle Processing
Medical devices, including most flexible endoscopes, with the following
materials and dimensions can be processed in the STERRAD® 100NX®
Sterilizer FLEX cycle:
Single channel polyethylene and Teflon® (polytetrafluoroethylene)
flexible endoscope with an inside diameter of 1 mm or larger and length
of 850 mm or shorter.**
Flexible endoscopes without lumens.
Note: Do Not process more than 2 flexible endoscope per
load.
Check the medical device manufacturer’s instructions before loading any
item into the STERRAD® 100NX® Sterilizer.
**One or two flexible endoscopes can be processed per sterilization cycle. No additional load.
DRAFT

3
Load Preparation
18 STERRAD® 100NX® User’s Guide
Cycles and Materials Processing
CAUTION: RISK OF DAMAGE TO LOAD OR STERILIZER.
Do not attempt to sterilize items or materials that do not comply with the guidelines
specified in this user’s guide. Consult the medical device manufacturer’s instructions
or call your ASP Representative to determine if an item can be sterilized by the
STERRAD® 100NX® Sterilization System.
This chapter includes cycle information regarding recommended items,
materials, and some typical devices that can be sterilized in each of the cycles
on the STERRAD® 100NX® Sterilizer. Please refer to these pages whenever
you need materials information.
Check the medical device manufacturer’s instructions before loading any
item into the STERRAD® 100NX® Sterilizer.
There is a wide variety of materials and devices that can be sterilized in the
STERRAD® 100NX® Sterilizer. For more information contact your local
ASP Representative or visit our website at www.aspjj.com. Information may
also be obtained from the device manufacturer.
DRAFT

Load Preparation
3
STERRAD® 100NX® User’s Guide 19
DRAFT

3
Load Preparation
20 STERRAD® 100NX® User’s Guide
DRAFT

Load Preparation
3
STERRAD® 100NX® User’s Guide 21
DRAFT

3
Load Preparation
22 STERRAD® 100NX® User’s Guide
Recommended Materials
There is a wide variety of materials and devices that may be sterilized in the
sterilizer. The materials listed below are commonly found in medical devices
and represent typical classes of materials used to construct medical devices.
The items marked with an asterisk (*) may have limited life after repeated
sterilization.
Please contact your ASP Representative for more information. Information
may also be obtained from the device manufacturer.
Thermoplastics
Ethylvinyl Acetate (EVA)
Kraton® Polymers
Liquid Crystal Polymer (LCP)
Polyacetal (Delrin® acetal resin)*
Polyamide (Nylon)*
Polycarbonate
Polyetheretherketone (PEEK)
Polyetherimide (ULTEM® Polymers)
Polyethylene
Polymethyl methacrylate (PMMA)*
Polyphenylene sulfone (Radel®)*
Polypropylene
Polystyrene
Polytetrafluoroethylene (Teflon®)
Thermoplastic Elastomers
Santoprene™
DRAFT

Load Preparation
3
STERRAD® 100NX® User’s Guide 23
Thermosetting Elastomers
Silicone
Polyurethane
PVC
Glass
Glass
Metal
Aluminum
Brass
Gold
Stainless steel
Titanium
Items Not To Be Processed
Single use items for which the manufacturer does not recommend
resterilization.
Liquids and powders.
Items or materials that absorb liquids.
Items made of materials that contain cellulose, such as cotton, paper or
cardboard, linens, huck towels, gauze sponges, or any item containing
wood pulp
Paper instrument count sheets or lot stickers.
Items with hinged/mated nylon surfaces.
Instruments and devices that cannot withstand a vacuum and are labeled
for gravity steam sterilization methods only.
Items whose design permits the surfaces to collapse onto each other
unless some method is used to keep the surfaces separated.
Devices with dead-end lumens.
DRAFT

3
Load Preparation
24 STERRAD® 100NX® User’s Guide
Devices with internal parts, such as sealed bearings, that cannot be
immersed, may present difficulties in cleaning and should not be
processed in the STERRAD® 100NX® Sterilizer.
Implants for which the manufacturer has not specifically recommended
sterilization in the STERRAD® 100NX® Sterilizer.
Do Not Process in the EXPRESS Cycle
Items made of nylon cannot be processed in the EXPRESS Cycle.
Items made of Kraton® cannot be processed in the EXPRESS Cycle.
Items made of Polyurethane cannot be processed in the EXPRESS Cycle.
Items with mated Delrin® surfaces cannot be processed in the EXPRESS
Cycle.
Items with mated anodized aluminum surfaces cannot be processed in the
EXPRESS Cycle.
Items with mated Radel® surfaces cannot be processed in the EXPRESS
Cycle.
Items with mated Ultem® surfaces cannot be processed in the EXPRESS
Cycle.
Items with lumens cannot be processed in the EXPRESS Cycle.
Do Not Process in the DUO Cycle
Items with mated anodized aluminum surfaces cannot be processed in the
DUO Cycle.
DRAFT

Load Preparation
3
STERRAD® 100NX® User’s Guide 25
Guidelines for Preparing Items to
Be Sterilized
Note: All items must be cleaned, rinsed, and thoroughly
dried before being placed in the STERRAD® 100NX®
Sterilizer. Loads containing moisture may cause
cycle cancellations.
Cleaning, Rinsing, and Drying
Cleaning and sterilization are two separate processes. Proper cleaning of
instruments and devices is a critical and necessary step prior to sterilization.
All items including accessories must be thoroughly cleaned, rinsed, and
dried before loading into the sterilizer.
Carefully inspect all instruments, devices, and accessories for cleanliness
and dryness prior to packaging. If visible soil is present, the item must be
re-cleaned and dried prior to sterilization. If moisture is present, dry the
item thoroughly prior to sterilization.
Carefully inspect all instruments, devices, and accessories for flaws or
damage prior to packaging. Items with flaws or damage should be
replaced or repaired before using.
Note: Periodic careful inspection of items after repeated
exposure to disinfectant/cleaner/sterilant is necessary,
due to the potential damaging effects of the chemical
agents.
Cleaning is necessary to remove organic and inorganic soil and debris from
equipment. This process also removes many microorganisms from the surface
of the items. Sterilization then inactivates all remaining spores and live
microorganisms.
Clean your devices according to the medical device manufacturers'
instructions. You must remove all blood, tissue, and soil from items using
appropriate detergents, cleansers and/or methods.
Rinse items thoroughly to remove detergent or cleanser residue. Use
treated water that is of a quality that ensures hard water stains do not
occur. Failure to remove all organic materials or detergents may result in
the formation of light-colored residue on the devices. If residue is visible,
you should clean, rinse, dry, and resterilize the device prior to use.
DRAFT

3
Load Preparation
26 STERRAD® 100NX® User’s Guide
Dry all items thoroughly. An acceptable method for drying is to blow
compressed gas through the lumen until no moisture exits the distal end of
the device. Please ensure that any method used to dry the devices is in
accordance with the manufacturers' instructions for use or contact the
device manufacturer to obtain appropriate and safe procedures. It is
necessary to remove moisture from all parts of the items. Only dry items
should be loaded into the sterilization chamber to prevent cycle
cancellation.
WARNING! POSSIBLE RESIDUAL HYDROGEN PEROXIDE CONTACT!
Failure to ensure that instruments are completely dry before they are processed in
the STERRAD® sterilizer may result in residual hydrogen peroxide being present
on the surface of the load after the cycle is complete. This may cause contact burns
when the surface of the load is handled.
Some complex reusable medical devices may require disassembly for
proper cleaning and sterilization. It is very important that you follow the
device manufacturers' recommendations concerning cleaning and
sterilization. In the absence of STERRAD® System-specific instructions,
please contact the relevant medical device manufacturer.
WARNING! POSSIBLE NON-STERILE DEVICE!
Loads containing moisture may result in either a non-sterile device or cycle
cancellation. Wear chemical resistant gloves when handling items from any load
containing moisture.
DRAFT

Load Preparation
3
STERRAD® 100NX® User’s Guide 27
Packaging and Loading
If you choose to package the instruments (highly recommended), proper use
and preparation of trays, pouches, and instruments can minimize or prevent
cycle cancellations and positive biological indicator (BI) results due to load-
related problems. All instruments must be cleaned, rinsed, and thoroughly
dried before loading into the sterilizer.
Special considerations for loading and processing flexible endoscopes are
presented at the end of this chapter.
Instrument Trays
Only STERRAD® Instrument Accessories and APTIMAX® Instrument
Trays, are recommended for use in the STERRAD® 100NX® Sterilizer.
These instrument trays are specially designed to allow diffusion of
hydrogen peroxide and plasma around every item in the load.
Tray Mats
Instrument trays should only be padded with STERRAD® Instrument
Mats or polypropylene sterilization wrap. Never use linen, cellulose, or
any materials listed in the “Items Not To Be Processed” section.
Follow the Instructions for Use included with the STERRAD®
Instrument Mats to determine the number of mats that can be used at one
time in the chamber. Do not use more than the recommended amount of
mat material in the chamber at any time.
Cycle Name Square Centimeters Square Inches
STANDARD 2250 349
DUO 2774 430
FLEX 2250 349
EXPRESS 1387 215
Do not use foam pads in instrument trays as they may absorb the
hydrogen peroxide.
Packaging
Use only STERRAD® Sterilizer-compatible polypropylene sterilization
wrap and Tyvek® pouches.Tyvek® Pouches and Rolls with STERRAD®
Chemical Indicators are the only pouches and rolls available on the
market that are validated by ASP. They are the only pouches and rolls
validated by ASP for efficacy and stability.
DRAFT

3
Load Preparation
28 STERRAD® 100NX® User’s Guide
Do not use paper pouches or sterilization wraps containing cellulose
or cotton.
Do not use any wraps or packaging that are not approved by ASP or
materials listed in the “Items Not To Be Processed” section. In the USA,
use only FDA-cleared polypropylene wraps.
Properly arrange the items or the scope in a tray to ensure adequate
diffusion of hydrogen peroxide throughout the load.
Place peel pouches on edge, if possible. Arrange them so that the
transparent side of a pouch faces the opaque side of the next pouch.
Do not stack pouches on top of each other.
Do not stack instruments inside the trays. Do not stack trays. Do not stack
trays within trays. Do not wrap instruments within a wrapped tray.
If you are using rigid containers cleared by the FDA for use in the
STERRAD® 100NX® Sterilizer, follow the Instructions for Use provided
by the rigid container manufacturer. Verify that the rigid containers are
cleared for use in each sterilization cycle. Remember the following:
Do not stack instruments inside the containers.
Do not stack containers.
Do not stack containers within containers.
Do not wrap instruments within the containers.
Place STERRAD® Chemical Indicator Strips inside trays and pouches
as needed.
Loading
Do not allow any item to touch the walls of the sterilization chamber,
door, or electrode.
STANDARD and FLEX Cycles Loading Preparation
The STERRAD® 100NX® Sterilizer STANDARD and FLEX Cycles
were validated using a load weight of 4.9 kg (10.7 lbs) per shelf. When
constructing your load, the total weight of the load to be sterilized should
not exceed 9.7 kg (21.4 lbs).
DUO Cycle Loading Preparation
The STERRAD® 100NX® Sterilizer DUO Cycle was validated using a
total load weight of 6.0 kg (13.2 lbs). When constructing your load, the
total weight of the load to be sterilized should not exceed 6.0 kg (13.2
lbs).
DRAFT

Load Preparation
3
STERRAD® 100NX® User’s Guide 29
EXPRESS Cycle Loading Preparation
The STERRAD® 100NX® Sterilizer EXPRESS Cycle was validated
using a load weight of 4.9 kg (10.7 lbs) on the bottom shelf only. When
constructing your load, the total weight of the load to be sterilized should
not exceed 4.9 kg (10.7 lbs).
CAUTION: RISK OF DAMAGE TO LOAD OR STERILIZER.
Do not allow metal objects to come into contact with the walls of the chamber, door,
or electrode. Contact with the walls, door, or electrode can cause a cycle cancellation,
and/or damage the item or the sterilizer. Provide at least 25 mm (1 inch) of space
between the load and the electrode.
Chemical Indicators
STERRAD® Chemical Indicator Strips and STERRAD® SEALSURE®
Chemical Indicator Tape offer a method to verify that the load has been
exposed to hydrogen peroxide in the sterilizer. Chemical indicators are not a
substitute for biological indicators. If you use chemical indicator strips or
chemical indicator tape, follow the Instructions for Use that accompany these
items as you prepare the load.
Place STERRAD® Chemical Indicator Strips inside trays and
Tyvek®pouches or follow your facility’s procedures.
Secure all wraps with STERRAD® SEALSURE® Chemical Indicator
Tape.
Do not use chemical indicators or tape designed for other sterilization
processes.
Special Considerations for Flexible Endoscopes
Flexible endoscopes are sensitive and complex medical instruments. Read the
flexible endoscope manufacturer’s instructions for each endoscope before
preparation and loading into the sterilizer. Take special care to confirm that
venting caps are placed according to the manufacturer’s instructions. Venting
caps are intended to prevent damage to scopes that are being exposed to a
vacuum, regardless of the sterilant used.
In addition, if you are processing a flexible endoscope containing a water-
resistant “immersion” cap, you must remove the immersion cap prior to
processing. If the immersion cap is not removed prior to processing, it will
damage the scope due to the inability to properly vent.
DRAFT

3
Load Preparation
30 STERRAD® 100NX® User’s Guide
FLEX Cycle: A maximum of 2 flexible endoscopes can be processed per
load, with or without silicone mats. Do not add any additional items to the
load.
DUO Cycle: A maximum of 2 flexible endoscopes can be processed per load,
with or without silicone mats. You can also process 1 flexible endoscope with
its light cord and a camera.
CAUTION: RISK OF DAMAGE TO LOAD
Prior to processing flexible endoscopes in the STERRAD® 100NX® Sterilizer, please
contact the medical device manufacturer, or your ASP Customer Representative.
DRAFT

Operation 4
STERRAD® 100NX® User’s Guide 31
Chapter 4.
Operation
Before You Start
Each time you use the STERRAD® 100NX® Sterilizer, follow the
instructions provided in the “Load Preparation” chapter. It is your
responsibility to be familiar with the load preparation and safety
information provided in this user’s guide.
Start and Warm-up
1. Turn on the main power switch located on left front side panel (as you
face it) of the sterilizer.
2. The sterilizer begins by warming up. The warm-up can take up to 1 hour.
Note: The sterilizer should not be turned off during warm-up.
3. “Touch Screen to Start” appears on the display when the sterilizer is ready
for use.
Biological Indicators
Biological indicators are an important method of confirming that sterilization
was achieved during a cycle. ASP recommends using the STERRAD®
CYCLESURE® 24 Biological Indicator (BI). Contact your ASP
Representative regarding biological indicators specifically designed for use
in the STERRAD® 100NX® Sterilizer.
Place a STERRAD CYCLESURE® 24 BI in the chamber at the back of the
bottom shelf. Biological testing should be performed at least once per day or
as specified by your facility’s policy. Review the Instructions For Use
included with the biological indicator to ensure its proper use.
DRAFT

4
Operation
32 STERRAD® 100NX® User’s Guide
For the STERRAD® 100NX® DUO cycle in the United States, the
STERRAD® CYCLESURE 24 BI should only be used in a test pack
configuration. Instructions for use are provided in the test pack.
Login
Note: If your sterilizer has been configured not to require
operator login, the login screen will not appear. Skip to
the subsection titled Entering Load Information.
When you touch the “Touch Screen to Start” screen, the sterilizer displays the
Operator Login screen.
Figure 1. Operator Login Screen.
1. Touch the Operator field. The cursor appears in the field.
Note: Operator and Password fields are case-sensitive.
2. Use the on-screen keyboard to type your assigned operator identification.
3. Touch the ENTER key. The cursor jumps to the Password field.
4. Type your password. The screen displays a series of “*” characters in
place of the characters you type. This is done to keep others from reading
your password.
5. When you have finished entering your password, touch the ENTER key.
DRAFT

Operation 4
STERRAD® 100NX® User’s Guide 33
Entering Load Information
Note: If your sterilizer has been configured not to require
load item data, this screen will not appear. Skip to the
subsection titled Cycle Notes.
Enter Load Item Data
The Load Item Data screen allows you to enter information about the contents
of the load. This can be done for tracking and traceability or may be useful for
inventory purposes.
Items can be typed into the screen or selected from a predefined list of items.
This information is stored and printed on a cycle report. It can also be
transferred to a host computer over a network connection.
Figure 2. Enter Load Item Data.
1. To enter items not in the database, type the item information in the
“Enter Items Here” field. Touch ENTER to accept the item. Repeat for
additional items always touching ENTER after each item. Touch Done
when the list is complete.
2. An optional barcode scanner can be used to enter load item data. You may
use this feature if your sterilizer is equipped with this option.
DRAFT

4
Operation
34 STERRAD® 100NX® User’s Guide
Select From List
If a database has been established containing frequently used load
information, you can select that information using the following steps:
1. Touch Select From List.
2. Scroll up or down the load item menu list to the desired item.
3. Touch the items you wish to add to your current list and touch Select.
4. Touch Done to complete the list.
5. Touch Keyboard to return to the keyboard entry fields or to use a
barcode scanner.
Cycle Notes
Note: If your sterilizer has been configured not to require
cycle notes, this screen will not appear.
The Cycle Notes screen allows you to enter information about the cycle.
For example; record information about biological indicators used in the
cycle or other information that should be stored in the cycle history file.
This information is printed on the cycle report, and can be transferred to
a host computer over a network connection.
Figure 3. Cycle Notes.
1. Touch the Enter Notes for Cycle field. The cursor appears in the field.
DRAFT

Operation 4
STERRAD® 100NX® User’s Guide 35
2. Use the on-screen keyboard to type your notes.
3. When data entry is complete, touch the Done button.
4. If conditions exist which prevent a sterilization cycle from starting; e.g.,
no cassette, hydrogen peroxide monitor is blocked, etc., a message is
displayed on the screen.
5. The program displays the System Ready screen.
6. Touch Back to return to the previous screen.
DRAFT

4
Operation
36 STERRAD® 100NX® User’s Guide
Loading the Chamber
Note: The door is equipped with a safety mechanism that
prevents it from closing if it encounters an obstruction.
If this occurs, the door stops immediately. You must use
the touch screen to open the door.
1. Open the active chamber door by pressing the Open Door foot pad, or by
touching Open Door on the display, and place your load on the shelves.
Figure 4. Touch the Foot Pad to Open the door.
Note: If necessary, the top shelf can be removed to
accommodate a large load placed on the bottom shelf.
Figure 5. Do Not Block the UV Lamp.
DRAFT

Operation 4
STERRAD® 100NX® User’s Guide 37
2. When placing the load on the shelves, make certain that you do not
block the ultraviolet lamp beam in the front right (your right) side of
the chamber. Make sure the load is centered on the shelves and that the
shelves are centered in the chamber.
Figure 6. The Load Should NOT Touch the Electrode.
3. Do not allow any part of the load to touch the electrode, the back wall of
the chamber, or the inside of the door.
4. Leave at least 1 inch (25 mm) of free space between the load and the
electrode to allow hydrogen peroxide to diffuse around the load.
Figure 7. Do NOT Stack Trays.
DRAFT

4
Operation
38 STERRAD® 100NX® User’s Guide
Figure 8. Load Correctly Placed for STANDARD Cycle Processing
Figure 9. Load Correctly Placed for DUO and FLEX Cycle Processing
5. When you are finished loading the chamber, close the door by tapping the
foot pad or pressing the Close Door button on the touch screen.
6. If a message requesting that the door be closed is displayed, the door is
not securely closed. Make certain that nothing is caught in the door seal.
DRAFT

Operation 4
STERRAD® 100NX® User’s Guide 39
Loading Requirements for the EXPRESS Cycle
Only the bottom shelf of the STERRAD® 100NX® Sterilizer should be used
when processing loads in the EXPRESS Cycle. The following figure shows a
correctly placed load.
Figure 10. Load Correctly Placed for EXPRESS Cycle Processing
DRAFT

4
Operation
40 STERRAD® 100NX® User’s Guide
Selecting and Starting a Cycle
When the load has been placed in the chamber, and the door has been closed,
use the System Ready screen to start the cycle. The following display shows
all the cycles available for the STERRAD® 100NX® Sterilizer. You may
have one or more cycles installed and enabled on your system. Make sure you
understand the differences in the cycles and what types of materials can be
sterilized in each cycle
Figure 11. Touch the Screen to Start Your Cycle.
The screen displays the message “Please Insert New Cassette” if a new
cassette is required, if the cassette in the sterilizer is expired, or if there is
no cassette installed in the sterilizer. Follow the instructions in the next
section to insert a new cassette.
Touch your choice of cycle from those displayed and then touch confirm to
start the cycle; the cycle starts.
Note: When alternating between cycle types, the system
needs a few minutes to adjust. This adjustment period
does not apply when processing consecutive
STANDARD and FLEX, or DUO and EXPRESS
Cycles.
Note: If a cycle installed on your system does not appear on
the cycle selection screen, this cycle may have been
disabled by the supervisor. See Supervisor Level
information to learn how to enable/disable an installed
cycle.
DRAFT

Operation 4
STERRAD® 100NX® User’s Guide 41
System Ready Screen
The System Ready screen displays a number of buttons allowing you to select
cycles based on the cycles that are loaded and enabled on your sterilizer.
Cycle Types
STANDARD cycle sterilizes the load in about 47 minutes. This cycle is
installed on all systems.
DUO cycle is for sterilization of flexible endoscopes with their light cords
and cameras.It sterilizes the load in about 60 minutes.
FLEX cycle is specifically designed for flexible endoscopes and sterilizes
the load in about 42 minutes.
EXPRESS cycle is for surface sterilization of general medical devices,
rigid and semi-rigid endoscopes without lumens; and sterilization of
mated stainless steel and titanium devices. It sterilizations the load in
about 24 minutes.
Functions
Logout is used when the current operator is finished using the sterilizer
and the option is enabled. When Logout is selected, you must re-login to
use the sterilizer.
Cycle History displays the Select Cycle History screen. This screen
allows you to select a cycle history file and view or print it.
Utilities are available only to operators with Supervisor-level access.
It displays the Additional Utilities Menu.
Door Open opens the active door.
Door Close closes the active door.
Inserting a Cassette
1. Take a new STERRAD® 100NX® Cassette out of the shipping carton.
2. Look at the package carefully before opening it. The indicator strip
should be white. If the indicator strip is red, or if you see droplets
of moisture, do not open the package – it is possible that hydrogen
peroxide has leaked inside the package. Refer to the cassette Instructions
for Use for proper handling instructions.
3. If the indicator strip is white, open the cassette package.
4. Position the cassette so that the arrows are pointing towards the sterilizer.
DRAFT

4
Operation
42 STERRAD® 100NX® User’s Guide
5. Insert the cassette into the cassette slot until it stops moving. Do not use
force to push the cassette into the machine.
Figure 12. Inserting the Cassette into the Slot.
6. After a slight pause, the sterilizer pulls the cassette through the slot and
the slot door closes. Cassette loading is now complete.
Cycle in Progress
When you touch the Start Cycle button (after selecting the cycle type), the
sterilizer starts a “countdown clock” and begins the sterilization cycle.
Figure 13. Cycle In Progress. The Countdown Clock is Displayed.
DRAFT

Operation 4
STERRAD® 100NX® User’s Guide 43
The clock displays the estimated number of minutes and seconds remaining
before the cycle is finished. The “Time Remaining” field updates as the
sterilization cycle progresses. As each sterilization cycle stage runs, the
screen displays the name of the stage. A moving bar graph also displays the
percent of the cycle that is complete. For details about the current stage
information, refer to the printouts in the “Reports and Files” chapter.
Canceling a Cycle
There may be occasions when it is necessary to cancel a cycle before
it is completed.
To cancel a cycle, do the following:
1. Touch the Cancel Cycle button. The screen displays a
confirmation message.
Figure 14. Cancel Cycle Confirmation. Touch Yes or No.
DRAFT

4
Operation
44 STERRAD® 100NX® User’s Guide
2. Touch No to continue with the cycle. Touch Yes to cancel the cycle. Once
the cycle cancellation sequence begins, the screen turns red and the
cancellation sequence cannot be interrupted. The cancellation sequence
may take up to ten minutes to complete.
Figure 15. Cycle Cancellation In Progress. Cancellation Has Been Confirmed.
Loads from canceled cycles should be rewrapped using new packaging
materials, STERRAD® Chemical Indicator Strips, and STERRAD®
SEALSURE® Chemical Indicator Tape. If a biological indicator was used
in the canceled load, the previously used biological indicator must be
discarded and a new biological indicator must be placed in the chamber
before restarting the new cycle.
WARNING! HYDROGEN PEROXIDE MAY BE PRESENT.
If a cycle cancels and the items in the load appear wet, hydrogen peroxide may be
present. Wear chemical resistant latex, PVC (vinyl), or nitrile gloves while removing
the items from the chamber, and while wiping off the items with a damp cloth.
Discard contaminated cloth according to your facility’s procedures.
DRAFT

Operation 4
STERRAD® 100NX® User’s Guide 45
Cycle Completed
When the cycle is complete, the Cycle Completed screen is displayed. The
background of the screen is green to indicate a successfully completed cycle.
The loudspeaker emits one long beep to indicate successful cycle completion.
Figure 16. Successful STANDARD Cycle Completed.
1. Touch the View Details button to display the cycle history file for the
just-completed cycle.
2. Touch the Done button to proceed.
Processing a Sterilized Load
When you touch the Done button, how the sterilizer responds depends upon
the configuration of your sterilizer.
If login is required before the door can be opened, the Login screen
is displayed. When this occurs, enter your operator identification and
password and touch Enter. The door opens and the load can be removed.
The operator’s name appears on the printout acknowledging the
completion of the cycle.
If no login is required for load removal, the door opens and the load can
be removed.
DRAFT

4
Operation
46 STERRAD® 100NX® User’s Guide
WARNING! HYDROGEN PEROXIDE MAY BE PRESENT
If white residue is visible on the load, this is residue from the hydrogen peroxide
stabilizer. Wear chemical resistant latex, PVC (vinyl), or nitrile gloves when
removing a load with visible white residue. White residue can be minimized by
making sure regular Planned Maintenance procedures are performed on your
system. The system will inform you when planned maintenance is due. Please
schedule your PM service in a timely manner.
Refer to the cycle completion flowcharts for additional information.
Inspecting Chemical Indicators
After ensuring that the chemical indicators exhibit the correct color change,
and the cycle printout shows that all the necessary cycle parameters were met,
the sterilized load is ready for immediate use, following your facility’s policy.
If the chemical indicators do not exhibit the correct color change, investigate
the cause, repackage, and then reprocess the load.
Processing Biological Indicators
Remove the biological indicator from the load and process it per its
Instructions for Use. Refer to the flowcharts on the following pages
for additional information.
DRAFT

Operation 4
STERRAD® 100NX® User’s Guide 47
Cycle Completion Flowchart
DRAFT

4
Operation
48 STERRAD® 100NX® User’s Guide
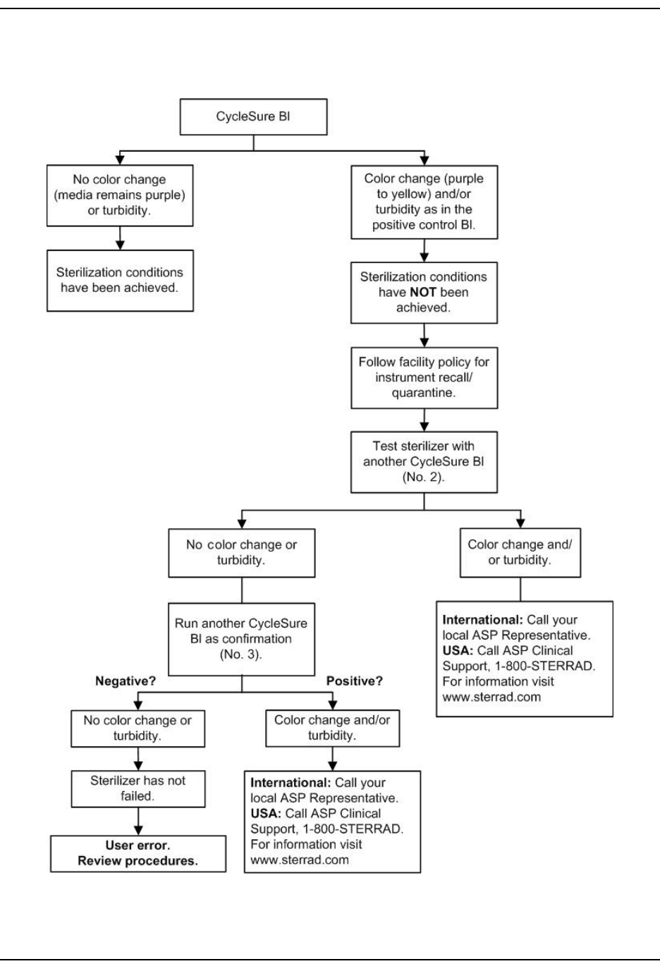
STERRAD® CYCLESURE® 24 Biological Indicator Flowchart
DRAFT

Troubleshooting
5
STERRAD® 100NX® User’s Guide 49
Chapter 5.
Troubleshooting
Note: Repairs and adjustments should only be made by ASP
trained and authorized personnel.
Most sterilizer operating problems are accompanied by a system message.
These messages are useful in determining the source of the problem.
In many cases you can take remedial actions to return the sterilizer to
normal operation. Because load related issues are the most frequent cause
of cycle cancellation, the easiest solution is to repackage the load and restart
the sterilizer when a cycle cancels. Be sure to replace biological and chemical
indicators with new ones. In other cases, the problem may be caused by a
component failure that requires adjustment or repair by an ASP Service
Representative. Call your local ASP Representative for service information.
In the following table are messages that are displayed by the system.
The messages are listed in alphabetical order. Some messages do not
require action on your part and are merely statements of the system status.
Other messages require that you insert a cassette, remove the cassette
disposal box, or other such action. The display directs you what steps to
take. If the cycle had cancelled, wear chemical resistant latex, PVC (vinyl)
or nitrile gloves when removing the load.
Running Diagnostics
If the sterilizer or the information in the following table directs you to run
diagnostics, remove the load and touch Other Tests from the Diagnostics
menu. If you have received a message containing the word “temperature,”
touch Temperature Tests. (See the section on “Access Levels and Supervisor
Tasks” for information on how to navigate to the Diagnostics menu.) If you
run Diagnostics and the tests show that there are errors, contact your ASP
Representative and report the diagnostic results. If the diagnostic tests pass
with no errors, you can run cycles with your normal load.
DRAFT

5
Troubleshooting
50 STERRAD® 100NX® User’s Guide
System Message Table
Temperature Messages
WARNING! HOT SURFACES.
When a temperature message is displayed, this may mean that the interior of the
sterilizer may be very hot. Do not touch the inside of the chamber, electrode, or
doors with your bare or gloved hands. Allow the sterilizer to cool before touching
interior surfaces.
A number of displayed messages concern the temperature of the
system; e.g., doors, vaporizer, electrode, etc. These messages contain
the word “temperature” and require that you run the temperature test in
diagnostics. If the temperature test fails, or if the message is repeated,
call your ASP Representative for further action.
Messages Not In This Table
If a displayed message is not found in the following table, there is no remedy
available that you may safely perform. Call your ASP Representative for
further action.
If this message appears. . . Do this . . .
Cannot Dispose Cassette,
Run Diagnostics The cassette did not drop into the disposal box. Remove the load
and run diagnostics.
Cannot Eject Cassette, Run Diagnostics The cassette did not eject out the cassette slot. Remove the load
and run diagnostics.
Cassette Accepted, Positioning No action required.
Cassette Detected, Verifying No action required.
Cassette Did Not Index A cassette was unable to advance to the next cell. Remove the
load and run diagnostics.
Cassette Expired, Disposing Cassette Insert a new cassette.
Cassette Expiry Found During
Start Cycle The cassette was found to be expired when the Start Cycle
button was pressed. Dispose of the cassette and insert new
cassette.
Cassette Out Of Date,
Disposing Cassette The cassette has been in the sterilizer for 10 days or the cassette
has expired. Insert new cassette.
DRAFT

Troubleshooting
5
STERRAD® 100NX® User’s Guide 51
Cassette System Timeout
When Piercing The delivery subsystem is not responding. Remove the load and
run diagnostics.
Cassette Used, Disposing The inserted cassette does not have any unused cells remaining.
Insert a new cassette.
Control Available On Other Side Use the other side of the sterilizer to access the touch screen.
Cycle Canceled By Operator The operator canceled the cycle. Repackage the load. Restart the
cycle after cancellation is complete.
Delivery System Not Ready Delivery system not responding. Remove the load and
run diagnostics.
Disposing Cassette No action required.
Door Opened Door open sensor malfunction. Remove the load and
run diagnostics.
Door Sensor Fault Door malfunction. Reboot the system. If the message persists,
call your ASP Representative.
Function Available on Other Side Only Control of the sterilizer is on the other side of the unit.
H2O2 Adjustment In Progress The intensity of the UV lamp is being adjusted. Wait 5 minutes
for adjustment to be completed.
H2O2 Bulb Warming Up, Please Wait… No action needed.
H2O2 Bulb/Detector Fault H2O2 detector malfunction. Run diagnostics.
H2O2 Curve Area Too Low. Verify That
The Load Is Not Blocking The UV
Light Path
Load is absorbing too much peroxide. Remove absorbing
materials from the load, repackage, and restart the cycle. If the
problem persists, call your ASP Representative.
H2O2 Monitor Failure H2O2 bulb or detector malfunction. Remove the load and
run diagnostics.
WARNING! HYDROGEN PEROXIDE MAY BE PRESENT.
Wear chemical resistant latex, PVC (vinyl), or nitrile gloves whenever handling
a load after a cycle cancellation. Hydrogen peroxide liquid may be present on
the load or in the chamber.
H2O2 Peak Too Low The load is absorbing too much peroxide. Remove the absorbent
materials from the load, repackage, and restart the cycle. If the
problem persists, call your ASP Representative.
H2O2 Rate Constant Too High The load is decomposing the H2O2. Check the load for absorbent
materials. Repackage, and restart the cycle. If the problem
persists, call your ASP Representative.
If this message appears. . . Do this . . .
DRAFT

5
Troubleshooting
52 STERRAD® 100NX® User’s Guide
WARNING! HYDROGEN PEROXIDE MAY BE PRESENT.
Wear chemical resistant latex, PVC (vinyl), or nitrile gloves whenever handling
a load after a cycle cancellation. Hydrogen peroxide liquid may be present on
the load or in the chamber.
H2O2 Rate Outside the
Calibrated Range
Reboot the system. If the problem persists, call your ASP
Representative.
H2O2 Sensor Fault Reboot the system. If the problem persists, call your
ASP Representative.
High Plasma Power The plasma power is out of specification. Remove the load and
run diagnostics.
Invalid Key Code. Please Enter A
Valid Code Press the OK button and reenter a valid key code.
Invalid Load Items File Press the Back button and reinsert the USB memory stick.
Less Number of Cells Available, Please
Dispose the Cassette The system will automatically move the cassette to the
disposal box.
WARNING! HYDROGEN PEROXIDE MAY BE PRESENT.
Wear chemical resistant latex, PVC (vinyl), or nitrile gloves whenever handling
a load after a cycle cancellation. Hydrogen peroxide liquid may be present on
the load or in the chamber.
Load May Contain H2O2Residual peroxide may be present on the load or chamber walls
due to a cancelled cycle or system malfunction. Wearing
chemical resistant latex, PVC (vinyl), or nitrile gloves,
repackage the load and restart the cycle. If the problem persists,
call your ASP Representative.
WARNING! HYDROGEN PEROXIDE MAY BE PRESENT.
Wear chemical resistant latex, PVC (vinyl), or nitrile gloves whenever handling
a load after a cycle cancellation. Hydrogen peroxide liquid may be present on
the load or in the chamber.
Low Plasma Power The plasma power is out of specification. Remove the load and
run diagnostics.
Memory Card Full Initiate backup to the memory card or press OK and the system
will delete the oldest file.
No File Found Press OK. Reinsert the USB memory stick.
Other Door Is Open Close the door on the other side of the sterilizer.
Please Close Door Touch the close door display or the door foot pad to close
the door.
If this message appears. . . Do this . . .
DRAFT

Troubleshooting
5
STERRAD® 100NX® User’s Guide 53
Please Enter Valid User Name
and Password After the valid user name and password are entered, press OK.
Please Insert New Cassette Insert a new, unused cassette.
Please Remove Cassette And Verify
Cassette Type Wrong cassette type. Confirm that the cassette is a STERRAD®
100NX® cassette.
Please Wait While Graph Loads No action required.
WARNING! HYDROGEN PEROXIDE MAY BE PRESENT.
Wear chemical resistant latex, PVC (vinyl), or nitrile gloves whenever handling a
load after a cycle cancellation. Hydrogen peroxide liquid may be present on the
load or in the chamber.
Power Fail Cancellation A power failure occurred during a cycle. Repackage the
load and restart the cycle. If the problem persists, call your
ASP Representative.
WARNING! HYDROGEN PEROXIDE MAY BE PRESENT.
Wear chemical resistant latex, PVC (vinyl), or nitrile gloves whenever handling a
load after a cycle cancellation. Hydrogen peroxide liquid may be present on the
load or in the chamber.
Pressure Check Failed Load is absorbing too much peroxide. Remove absorbing
materials from the load, repackage, and restart the cycle.
If the problem persists, call your ASP Representative.
Pressure Out Of Range (High) Vacuum system malfunction. Remove the load and run
diagnostics.
Pressure Out Of Range (Low) Vacuum system malfunction. Remove the load and run
diagnostics.
Printer Is Out Of Paper. Please Load A
New Roll. Load paper into the printer.
Printing Is In Progress No action required.
RFID Data Error, Ejecting Cassette,
Verify Cassette Orientation Cassette will automatically eject. Insert a valid cassette
Stage Timeout Remove the load and run diagnostics.
WARNING! HYDROGEN PEROXIDE MAY BE PRESENT.
Wear chemical resistant latex, PVC (vinyl), or nitrile gloves whenever handling a
load after a cycle cancellation. Hydrogen peroxide liquid may be present on the
load or in the chamber.
If this message appears. . . Do this . . .
DRAFT

5
Troubleshooting
54 STERRAD® 100NX® User’s Guide
Call Your ASP Representative
If you encounter a problem or a system message that is not covered in the
this user’s guide, do not attempt to perform repairs or adjustments to the
STERRAD® 100NX® Sterilizer.. Call your local ASP Representative for
more information.
Unable to Evacuate Chamber . . .
Ensure Load is Dry before Starting
Cycle
Remove the load and run diagnostics. Reboot the system.
If the problem persists, call your ASP Representative.
Unable to Open One Second Data File Replace the PCMCIA card with a new one.
UV Path Is Blocked, Open Door And
Clear Pathway Object is blocking the UV path. Verify that the shelves and/or
the load are not blocking the path. If the problem persists, call
your ASP Representative.
Warming Up, Please Wait… No action needed.
WARNING! HYDROGEN PEROXIDE MAY BE PRESENT.
Wear chemical resistant latex, PVC (vinyl), or nitrile gloves whenever handling a
load after a cycle cancellation. Hydrogen peroxide liquid may be present on the
load or in the chamber.
Would You Like to Troubleshoot? Remove the load and run diagnostics. If the problem persists,
call your ASP Representative.
If this message appears. . . Do this . . .
DRAFT

Sterilizer Overview
6
STERRAD® 100NX® User’s Guide 55
Chapter 6.
Sterilizer Overview
Sterilizer Cycles
The following display shows all the cycles available for the STERRAD®
100NX® Sterilizer. This guide contains detailed instructions for each cycle.
Make sure you understand the differences in the cycles and what types of
instruments can be sterilized in each cycle.
Figure 17. Select Cycle Display Showing All Cycles. Your display
may be different depending on the cycles installed and enabled
for use. Supervisor Access is required to enable installed cycles.
DRAFT

6
Sterilizer Overview
56 STERRAD® 100NX® User’s Guide
Sterilizer Features
The cassette slot, the cassette drawer, the touch screen, PCMCIA slot (inside
the access panel), the chamber door, the printer, and the foot pad are found on
the input side of the sterilizer (the front of single-door units). On a two door
unit the touch screen, chamber door, foot pad, and printer are found on both
the input and output sides. The main power switch is located on the left (your
left) front side of the sterilizer. The I/O interface is located on the right (your
right) front side of the sterilizer. See the sections on Data Transfer and
Rebooting the System for locations of the power switch and USB port.
.
Figure 18. The STERRAD® 100NX® Sterilizer.
Not shown: The power switch is at the lower left and
the USB port is at the lower right.
The sterilizer is operated by using the touch screen to begin a cycle, enter
load information, monitor the cycle and perform diagnostics.
A cassette is inserted into the sterilizer through the cassette slot.
Access
Panel
Cassette
Slot LCD Touch
Screen Display
Door
Printer Access
Foot Pad
DRAFT

Sterilizer Overview
6
STERRAD® 100NX® User’s Guide 57
The items to be sterilized are placed on the shelves and the door is closed
using either the close door button on the touch screen or by tapping the
foot pad with your foot. The foot pad is located on the lower portion of
the front panel.
Load information and cycle notes are entered if desired, a cycle is selected
and the chosen cycle is then started. At the conclusion of the cycle the items
are removed and are ready for storage or immediate use.
If the system is equipped with 2 doors, the load is inserted from the input side
and removed from the output side. On 2 door units, the touch screen and door
can be used only from the active side; both doors cannot be opened at the
same time.
Cassette
The cassette contains sealed capsules of hydrogen peroxide solution. Each
cassette has coded information that provides displayed details on the cassette
expiration date, manufacturer, and cell status including cycle completion
information. The sterilizer pulls the cassette through the slot and moves it into
the machine, keeping it there until the cassette has been used.
Figure 19. Inserting a Cassette.
WARNING! HYDROGEN PEROXIDE IS CORROSIVE.
Concentrated hydrogen peroxide is corrosive to skin, eyes, nose, throat, lungs, and
the gastrointestinal tract. Always wear chemical resistant latex, PVC (vinyl), or
nitrile gloves while removing items from the sterilizer following a cancelled cycle.
Following a cancelled cycle, if items in the load show any visible moisture or liquid,
hydrogen peroxide may be present.
DRAFT

6
Sterilizer Overview
58 STERRAD® 100NX® User’s Guide
Cassette Disposal Box
After processing of the cassette, the sterilizer automatically discards it into
the cassette disposal box. The cassette disposal box holds 2 used cassettes.
When the box has the maximum number of cassettes, the sterilizer displays a
message indicating that the box must be replaced. The cassette disposal box
must be closed to permit safe disposal of cassettes. Refer to the
“Maintenance” chapter for additional information.
Figure 20. Cassette Disposal Box.
Touch Screen and Speaker
The sterilizer displays information and allows you to enter commands on the
color touch screen display. By touching buttons displayed on the screen, you
can enter letters and numbers, make selections, and start and stop the
sterilizer.
DRAFT

Sterilizer Overview
6
STERRAD® 100NX® User’s Guide 59
Figure 21. Using the Touch Screen.
An internal loudspeaker emits “beep” tones to call for user attention or
indicate errors. A single long beep indicates a successfully completed cycle.
A series of ten short beeps indicates a canceled cycle.
Chamber
The load is placed in the chamber for sterilization. The chamber walls and
doors contain heaters that keep the chamber interior warm during operation.
When the chamber door(s) are closed, a vacuum-tight seal is created, allowing
the chamber atmosphere to be evacuated during operation.
Figure 22. The STERRAD® 100NX® Chamber Empty and With a Typical
Standard Cycle Load Correctly Placed.
The chamber contains 2 slide-out shelves to permit efficient loading. Inside
the chamber, surrounding the shelves is a metal screen (the electrode) that
helps generate plasma during operation.
DRAFT

6
Sterilizer Overview
60 STERRAD® 100NX® User’s Guide
Printer
The sterilizer has an integrated internal printer located in the front panel.
On two door units, a printer is located in the main panel on each side.
The printer prints cycle reports and other information on a roll of thermal
paper. The printer features easy, drop-in paper loading and requires no ink
cartridges. (The system is also designed to interface to a second, external
printer that is USB-compliant and supports PCL-3 protocol.)
The handle is squeezed and the door is pulled toward you to open the
printer door for printer paper replacement.
The top button advances the paper.
Figure 23. STERRAD® 100NX® Printer Paper Advance Button.
DRAFT

Sterilizer Overview
6
STERRAD® 100NX® User’s Guide 61
Touch Screen Data Entry
The following figure shows a typical data entry screen. The typewriter “keys”
input the indicated character each time a key is touched. Touch the screen to
move the cursor from place-to-place. The load list can be predefined and
used repeatedly.
Figure 24. Example of a Data Entry Screen.
DRAFT

6
Sterilizer Overview
62 STERRAD® 100NX® User’s Guide
Function Buttons
Most screens provide function buttons that display other screens or
select sterilizer functions. Common function buttons are shown in the
following table.
Button Function
Done. Touch this button to indicate that you are finished using
the screen.
Back. Touch this button to return to a prior screen.
View. Touch this button to view the selected report or file.
Print. Touch this button to print the selected report or file.
Cancel. Touch this button to cancel the entry you just made.
DRAFT

Maintenance
7
STERRAD® 100NX® User’s Guide 63
Chapter 7.
Maintenance
Note:Repairs and adjustments should only be attempted
by experienced technicians who are fully trained to
maintain and repair the STERRAD® 100NX®
Sterilizer. Use of unauthorized parts for maintenance
or repair could cause personal injury, result in costly
damage, or sterilizer malfunction and voids the
warranty.
Automatic Maintenance
The adjustment of the hydrogen peroxide monitoring lamp is performed
automatically by the sterilizer software. The user does not have to perform
any task to start this procedure.
Automatic Lamp Adjustment
When the sterilizer shows the System Ready screen, the message “Auto
Adjustment in Progress” will be displayed while the sterilizer adjusts the
intensity of the UV lamp. This function can take approximately 5 minutes
to complete. The automatic adjustment will take place if the lamp voltage is
below a preset limit.
DRAFT

7
Maintenance
64 STERRAD® 100NX® User’s Guide
Manual Maintenance
The following maintenance procedures are performed by the user:
Disposing of cassettes.
Inserting a new cassette disposal box.
Replacing the printer paper roll.
Cleaning the sterilizer exterior.
Cleaning the hydrogen peroxide monitor detector lens.
Replacing the air filter.
Replacing the PCMCIA card (if desired).
Disposing of a sterilizer.
These tasks are performed when needed. The printer paper is replaced
when the roll is empty. The sterilizer exterior should be cleaned only when
necessary. This chapter provides step-by-step instructions on how to perform
these maintenance tasks. Information on inserting a cassette box follows the
disposal section.
Disposing of Cassettes
When a cassette is empty the sterilizer automatically moves it to the cassette
disposal box. The screen displays a message instructing you which actions to
take next. When the cassette disposal box contains 2 cassettes, it is full, and
you must dispose of the full cassette disposal box. For safety reasons, you
must use the cassette disposal box to dispose of cassettes. Never reuse a
cassette disposal box. Once a cassette disposal box has been removed, a
new cassette disposal box must be inserted.
DRAFT

Maintenance
7
STERRAD® 100NX® User’s Guide 65
Removing a Cassette Disposal Box
WARNING! HYDROGEN PEROXIDE MAY BE PRESENT.
Wear chemical resistant latex, PVC (vinyl), or nitrile gloves. This will protect you
from contact with any residual hydrogen peroxide that may be present in the
cassettes.
1. Open the cassette access door. Pull the tab on the cassette disposal box to
more easily slide it completely out.
Figure 25. Open the Access Panel and Remove the Used Cassette Box.
2. Close the lid by pinching it shut along the edge.
Figure 26. Pinch the Edge of the Lid to Close the Box.
3. Dispose of the closed cassette box according to your facility’s policy.
DRAFT

7
Maintenance
66 STERRAD® 100NX® User’s Guide
4. Insert a new box making sure the lid is open and not caught in the
opening, and the tab is facing you.
Figure 27. Insert the New Cassette Box with the Lid Open
so the Tab is on the Left.
5. Close the access panel.
Replacing the Printer Paper
When the printer paper roll is empty, the sterilizer displays a message “Printer
is out of paper. Please load a new roll.”
1. Open the printer by pushing or squeezing up on the handle as shown. The
printer door opens toward you.
Figure 28. Open the Printer.
2. The empty paper roll rests on the bottom of the printer door. Remove the
empty roll.
DRAFT

Maintenance
7
STERRAD® 100NX® User’s Guide 67
Figure 29. Remove the Empty Paper Roll.
3. Insert a new paper roll as shown in the following figure. The paper should
feed from the top of the roll.
Figure 30. Insert a New Paper Roll.
4. Pull a short length of paper over the top of the printer door.
5. Align the paper so that it fits between the two paper guides on the top of
the printer door.
DRAFT

7
Maintenance
68 STERRAD® 100NX® User’s Guide
6. Push the door shut making sure the paper stays in place.
Figure 31. Make sure the Printer Door Latches Securely
and the Paper is in Place.
7. Press the paper advance button. Check the alignment of the paper and
make certain it does not jam or misfeed.
Figure 32. Press the Paper Advance Button.
8. When the paper has advanced normally, tear off the used strip in an
upward direction. Paper replacement is now complete.
DRAFT

Maintenance
7
STERRAD® 100NX® User’s Guide 69
Cleaning the Sterilizer Exterior
Note:Do not attempt to clean the chamber, door, interior
surfaces, shelves, or electrode. If these items need
cleaning, call your local ASP Representative for
assistance.
The sterilizer exterior can be cleaned with a soft cloth and a mild, nonabrasive
detergent solution if necessary. When cleaning the sterilizer exterior, follow
these guidelines:
1. Turn off the power to the sterilizer before cleaning the exterior.
2. Never allow cleaning solution or water to enter the interior or chamber.
Moisten a cloth with nonabrasive detergent solution and use the damp
cloth to clean the surfaces.
3. Do not spray cleaning solution directly on the touch screen. Use a
dampened cloth to clean the screen.
4. If you have any questions about proper cleaning techniques, in the U.S.A.
please call your local ASP Representative before proceeding. Failure
to follow these guidelines may result in damage to the sterilizer and may
void the warranty.
DRAFT

7
Maintenance
70 STERRAD® 100NX® User’s Guide
Cleaning the Hydrogen Peroxide Monitor
Detector Lens
The hydrogen peroxide monitor lens is located on the input side of the
sterilizer. The lens must be kept clean. Wipe off the lens once every three
months or when an accumulation of debris is noted. This is shown in the
following figure.
Figure 33. Cleaning the Hydrogen Peroxide Monitor Lens.
1. Always use a lint-free cloth to clean the lens.
2. Moisten the cloth with isopropyl alcohol. Never use an abrasive cleanser.
3. Wipe the lens to remove any accumulated debris.
DRAFT

Maintenance
7
STERRAD® 100NX® User’s Guide 71
PCMCIA Card Handling and Replacement
The PCMCIA card contains the flash memory used to store cycle data. It
should not be removed arbitrarily. If you need to remove or replace it, use the
following steps:
1. Turn off the sterilizer, or go to the “Additional Utilities” menu and press
the PCMCIA button. Either method allows you to safely remove the
PCMCIA card.
2. Open the cassette access door.
3. Eject the PCMCIA card by pressing the eject button on the top of the card
slot (see the following figure).
Figure 34. Press the Button at the Top of the Card Slot
to Eject the PCMCIA Card.
To reinsert the PCMCIA card, do the following:
1. Examine the PCMCIA card and note the location of the label.
2. Orient the PCMCIA card so that the side of the card with the label
faces left.
DRAFT

7
Maintenance
72 STERRAD® 100NX® User’s Guide
3. Insert the card into the PCMCIA card slot.
4. Press the end of the PCMCIA card until the card is firmly seated in
the slot (you will feel a “click” as the card is seated in the connector).
Figure 35. Insert the PCMCIA Card Correctly.
Note: The STERRAD® 100NX® Sterilizer will not operate
unless the PCMCIA card is properly installed.
Data Transfer Using a Memory Stick
A memory stick can be inserted in to the USB port located on the right
(your right) side of the sterilizer. Go to the Cycle History screen and
select Data Transfer, then USB Save. Select cycle data to be transferred
and data type.
Figure 36. Insert the Memory Stick into The USB Port.
DRAFT

Maintenance
7
STERRAD® 100NX® User’s Guide 73
Rebooting the System
If it becomes necessary to reboot the system, flip the main switch on the
sterilizer to turn off the system and then turn it back on.
Figure 37. The Main Power Switch/Circuit Breaker is
Located on the Side of the Sterilizer at your Left.
Sterilizer Disposal
Applicable in the EU: All electrical and electronic equipment (including
batteries) must be returned to a waste collection system or treatment and
recycling facility. Follow decontamination instructions before returning waste.
Contact your ASP Representative if you need assistance.
Other Countries: Prior to disposal of the sterilizer, user must follow
decontamination instructions. The disposal of infectious waste, electronic
circuit boards and other electronic components (including batteries) are
regulated in many countries; (e.g., by the US Environmental Protection
Agency). Please ensure compliance with all International, Federal, State, and
Local regulations before disposal. Contact your ASP Representative for
additional information.
Main Circuit
Breaker
DRAFT

7
Maintenance
74 STERRAD® 100NX® User’s Guide
DRAFT

Reports and Files
8
STERRAD® 100NX® User’s Guide 75
Chapter 8.
Reports and Files
Displayed Reports
Users with Operator-level access can display the Cycle History files. Users
with Supervisor-level access can display the Cycle History files, as well as
Calibration files and Diagnostic files.
All files that are displayed can be printed by touching the Print button on the
file display screen.
Cycle History
Cycle history data is stored in the sterilizer’s memory. The memory holds data
from the last 200 cycles. After 200 cycles are completed, the oldest cycle
history record is overwritten with new data from the 201st cycle. If your
sterilizer is configured with the optional network connection, cycle history
data can be periodically uploaded to a host computer and preserved
permanently if desired.
When you touch the View Cycle History button on any screen where the
button appears, the program displays the Select Cycle History screen. The list
box shows the cycle number, status, completion date and time, and reason
for cancellation (if applicable) for all cycle history records currently in the
sterilizer’s memory.
DRAFT

8
Reports and Files
76 STERRAD® 100NX® User’s Guide
Touch the scroll bars to scroll through the list. Touch the line you wish
to select.
Figure 38. Select Cycle History File.
Print List prints a list of all cycle history files stored in the sterilizer.
View Cycle displays the selected Cycle History file on the screen.
Print Cycle (Short) prints a short-format report of the selected cycle
history file.
Print Cycle (Long) prints a long-format report of the selected cycle
history file.
Parametric Print prints a parameter format report of the selected cycle
history file (external printer required).
Data Transfer – allows you to transfer the cycle information to a USB
memory stick or to a networked PC.
Back returns you to the previous screen.
DRAFT

Reports and Files
8
STERRAD® 100NX® User’s Guide 77
Printed Reports
Every time a cycle is completed, a cycle completion report is printed.
Depending upon how your sterilizer has been configured, the report will
either be a short-format report, a parametric report, or a long-format report.
Each report extracts data from the cycle history record created by the cycle.
The short-format report indicates the cycle status (Passed or Failed), date,
time, operator and load information. The parametric report contains much
more detail than the short report, but is less extensive than the long-format
report. The long-format report includes all of the data in the short report
plus detailed information about each stage of the sterilization cycle.
Short Report
The short-format report lists identifying information about the cycle, shows
the cycle status, lists the date and duration of the cycle, and shows operator
and load identifying information. The short-format report is useful for record
keeping purposes and providing traceability of sterilized loads.
Parametric Report
The parametric format report shows single-point values for a certain number
of parameters. It is a more confined report than the long printout and contains
a table of all critical parameters and their values. It is only available if an
external printer is attached.
Long Report
The long-format report lists detailed information about the cycle, shows the
cycle status, lists the date and duration of the cycle, shows operator and load
identifying information, and provides detailed data about the operation of
the sterilizer, including temperatures, pressures, plasma measurements, and
sterilant concentrations throughout the cycle. The long-format report is
useful for detailed cycle quality control and contains valuable diagnostics
information for ASP Service Representatives.
DRAFT

8
Reports and Files
78 STERRAD® 100NX® User’s Guide
DRAFT

Access Levels and Supervisor Tasks
9
STERRAD® 100NX® User’s Guide 79
Chapter 9.
Access Levels and
Supervisor Tasks
Overview
Users with Supervisor-level access privileges (see below) are permitted to
perform a set of restricted sterilizer functions. These functions are not used
in daily sterilizer operation and some of them are designed to control access,
manage system records, and perform advanced diagnostic functions.
Access Levels
The STERRAD® 100NX™ Sterilizer can be configured to require that all
users enter a valid operator identification and password before operating the
sterilizer. This access control is enabled through the System Configuration
screen and user identifications, passwords, and access levels are assigned
and maintained through the User Administration screens.
There are three levels of access available. Each is associated with a different
subset of permitted operations.
Operator-level access is designed to permit a user to perform tasks
associated with the daily operation of the sterilizer. These privileges
allow a user to:
Select, start, and cancel a cycle.
Enter load item information and cycle notes.
Print a cycle history report and view cycle history files.
Run diagnostics when a cycle cancels.
Supervisor-level access includes all of the privileges of Operator-level access
and additionally provides the ability to:
Add, delete, and modify user names, passwords, and access levels.
DRAFT

9
Access Levels and Supervisor Tasks
80 STERRAD® 100NX® User’s Guide
Select, view, and print all sterilizer files.
Run diagnostic tests and print reports.
Set date and time.
Configure sterilizer features.
Configure the network connection and upload data to the network.
Service-level access is only for use by ASP Service Representatives.
Additional Utilities Menu
The Additional Utilities Menu is available only to users with Supervisor-
or Service-level access privileges. If a user with Operator-level privileges
touches an Additional Utilities button on any screen, the Login screen will be
displayed with the message: “Supervisor- or Service-Level Login Required.”
The Additional Utilities Menu allows supervisors to configure the sterilizer
and the network connection, set the date and time, set up and maintain
user privileges, view and print files, perform diagnostic tests, and dispose
of cassettes.
Figure 39. Additional Utilities Menu.
Date & Time allows you to set the date, time, time zone, and formats used for
displaying and printing date and time.
System Config allows you to set sterilizer features.
User Admin allows you to add, delete, or modify operator identifications,
passwords, and access levels.
DRAFT

Access Levels and Supervisor Tasks
9
STERRAD® 100NX® User’s Guide 81
Cassette Functions allows you to automatically dispose a cassette into the
collection box or perform the peroxide clearance procedure.
Network allows you to configure a network connection.
Diagnostics starts a sequence of operator-assisted diagnostic tests and prints a
diagnostic test report.
Service Functions are reserved for use by ASP Service Representatives.
File Management allows you to select, display, and print files.
Upload file reads the load items database file from a USB memory stick.
Input/Output door open opens the door on the input or output side.
Input/Output door close closes the door on the input or output side.
PCMCIA allows you to safely remove the PCMCIA card. Do not try to
remove the PCMCIA card without using this feature.
Product Options allows you to enable or disable certain feature upgrades.
The Back button returns you to the prior screen from which you originally
selected the Additional Utilities Menu screen.
Date and Time Settings
Use the Date and Time Settings screen to set the date and time, and select the
local time zone and display formats.
Figure 40. Date and Time Setting.
DRAFT

9
Access Levels and Supervisor Tasks
82 STERRAD® 100NX® User’s Guide
Set Date
Use the MM box to set the month (01-12), the DD box to set the day (01-31),
and the YY box to set the year.
Set Time
Use the HH box to set the hour (01-12 if 12-hour format is selected, 00-23 if
24-hour format is selected). Use the MM box to set the minute (00-59) and the
SS box to set the second (00-59). If 12-hour format is selected, you may only
select hours 01-12, and you must touch the AM or PM buttons to indicate the
correct time.
Time Zone
Scroll through the selections until your time zone is displayed.
Date Format
Select the desired format for the date. The formats that include “YYYY”
display a four-digit year.
Time Format
Select 12-hour or 24-hour format. If 12-hour format is selected, the AM and
PM buttons on the Set Time line are enabled. If 24-hour format is selected,
the AM and PM buttons are disabled.
Cancel/Done
To cancel the date or time setting, touch the Cancel button. When the
date and time settings are correct, touch the Done button to return to the
Additional Utilities menu.
DRAFT

Access Levels and Supervisor Tasks
9
STERRAD® 100NX® User’s Guide 83
System Configuration
Use the System Configuration screen to set sterilizer features. Selections
on this screen allow you to set the volume of the alarm loudspeaker, the
language used in displays and reports, and several access, report, and
connection features. The sterilizer comes configured with factory-set defaults.
If you want to change the default settings, select your preferred settings.
Figure 41. System Configuration.
Access Control Option
User Login requires that a user identification and password be entered before
the sterilizer can be loaded and run. This is the factory default setting.
No User Login allows any person to operate the sterilizer.
IMS
Enabled causes the system to capture data with an IMS system (optional).
Disabled causes the system to not capture data with an IMS system
(optional).
Vacuum Units
Torr/mTorr expresses vacuum measurements in torr and mtorr.
kPa/Pa expresses vacuum measurements in kilopascals and Pascals.
This is the factory default setting.
DRAFT

9
Access Levels and Supervisor Tasks
84 STERRAD® 100NX® User’s Guide
Load Data Entry Option
Enabled causes the Enter Load Item Data screen to be displayed after login.
This is the factory default setting.
Disabled skips the Enter Load Item Data screen.
Load Removal Option
With Login requires that a user enter a user identification and password to
open the sterilizer door when a cycle is complete.
Without Login allows any person to open the sterilizer door when a cycle is
complete. This is the factory default setting.
Notepad Option
Enabled causes the Cycle Notes screen to be displayed after login. This is the
factory default setting.
Disabled skips the Cycle Notes screen.
Network Option
Enabled allows the sterilizer to transmit data on a network.
Disabled disables the network connection. This is the factory default setting.
Alarm Volume
Touch the + or - buttons to adjust the volume of the alarm loudspeaker.
The factory default setting is in the middle of the scale.
Backlight Conservation (Minutes)
Touch the number of minutes; 15, 30, or 60, to indicate how long the splash
screen remains visible in the idle state before starting screen saver mode.
Language Selection
Scroll through the list to select the language used in displays and printed
reports. The factory default setting is English.
DRAFT

Access Levels and Supervisor Tasks
9
STERRAD® 100NX® User’s Guide 85
Sterilizer Settings
Touch Sterilizer Settings to display the following screen. The information
entered here is included in the printout, but its use is optional. Touch Done to
save the settings and return to the previous screen.
Figure 42. Sterilizer Settings.
Facility Name – Enter the name of the hospital or medical facility.
Department Name – Enter the name of the department you wish to use as an
identifier for the sterilizer.
Sterilizer ID – Enter an ID such as an asset tag number or other information
used to identify the sterilizer.
Sterilizer Serial Number – This is configured by the manufacturer and
cannot be altered.
DRAFT

9
Access Levels and Supervisor Tasks
86 STERRAD® 100NX® User’s Guide
Printer Settings
Touch Printer Settings to display the following screen: Touch Done to save
the changes.
Figure 43. Printer Settings
Internal Printer Input Side allows you to select the printer on the input side.
This is the default.
Internal Printer Output Side allows you to select the printer on the output
side (2 door configuration).
External Printer allows you to select an external printer connected to the
USB port.
Short Format instructs the sterilizer to print only the short report when a
cycle is complete. This is the factory default setting.
Long Format instructs the sterilizer to print only the long report when a cycle
is complete.
Parametric Format instructs the sterilizer to print only the parametric
report when the cycle is complete. This format is available only when an
external printer is selected.
Graphs of various functions are available for printing if an external printer is
selected. Touch the graph(s) desired.
IMS Printout Enabled prints the IMS information if an external printer is
selected.
IMS Printout Disabled does not print the IMS information.
DRAFT

Access Levels and Supervisor Tasks
9
STERRAD® 100NX® User’s Guide 87
Transfer Settings
When you touch Transfer Settings from the System Configuration menu, the
following screen appears. This screen displays selectable report types that
automatically transfer via a network to a remote PC upon cycle
completion.Touch Done to save the settings. Touch Cancel to return to the
previous screen.
Figure 44. Transfer Settings
Cancel/Done
To cancel system configuration (on the System Configuration Menu), touch
the Cancel button. When the system configuration settings are correct, touch
Done. Cancel and Done have the same function on all the other screens you
can access through the System Configuration menu.
DRAFT

9
Access Levels and Supervisor Tasks
88 STERRAD® 100NX® User’s Guide
User Administration
Use the User Administration screen to add, modify, or delete user names,
passwords, and access levels. A button on this screen allows you to upload
user information to a USB memory stick. Supervisor-level access allows you
to add, edit or delete a User or another Supervisor.
Note: It is very important that you, as an administrator,
keep track of your password. If you forget or lose your
password, a service call is necessary for you to regain
access to the supervisor area of the system.
Figure 45. User Administration.
Add User displays the Add User screen. On this screen you can set up a new
user’s operator identification, password, and access level.
Modify User displays the Modify User screen. On this screen you can modify
or delete an existing user’s identification, password, and access level. Touch
Edit User on this screen to change information.
Upload User Data causes the sterilizer to receive a complete database file of
user names, passwords, and access levels from a USB memory stick.
Back returns you to the Additional Utilities Menu.
DRAFT

Access Levels and Supervisor Tasks
9
STERRAD® 100NX® User’s Guide 89
Add User
Use the Add User screen to enter a new user’s identification, password, and
access level.
Figure 46. Add User.
1 Enter the user’s operator “identification” in the Operator field. The entry
must be alpha-numeric and no more than 10 characters.
Note: Operator and Password fields are case-sensitive.
2. Enter the user’s password in the Password field. The entry must be alpha-
numeric, no more than 10 characters.
3. Scroll through the Access Level selections and select an appropriate
access level. You may only choose “Operator” or “Supervisor.” Only
Service Users can select “Service” level access.
4. Touch the Cancel button to exit this screen and return to the User
Administration screen.
5. Touch the Done button when you have finished entering information for a
new user.
DRAFT

9
Access Levels and Supervisor Tasks
90 STERRAD® 100NX® User’s Guide
Modify User
Use the Modify User screen to modify an existing user’s identification,
password, and access level.
Figure 47. Modify User.
1 Touch the user’s name whose information you wish to edit or delete.
2. Touch Delete User to remove the user from the access list and revoke
access to sterilizer operation.
3. Touch Edit User to change the user’s information including access level.
DRAFT

Access Levels and Supervisor Tasks
9
STERRAD® 100NX® User’s Guide 91
4. Touch Done to return to the previous screen.
Figure 48. Edit User.
To modify the selected user’s information, touch the Edit User
button.
To change the user’s operator name, make changes in the Operator
field.
To change the user’s password, make changes in the Password field.
To change the user’s access level, select the desired Access Level.
You may only choose “Operator” or “Supervisor.” Only Service
Users can select “Service” level access.
5. Touch the Cancel button to exit this screen and return to the Modify
User screen.
6. Touch the Done button when you have finished – the Modify User screen
is displayed.
Upload User Data
You can also add up to 1000 user identifications by uploading them to the
sterilizer from a USB memory stick.
The user data must be formatted to be compatible with the STERRAD®
100NX® Database format for user information. It must include the Access
Level.
When the Upload User Data button is touched, the Upload User Data screen
is displayed.
DRAFT

9
Access Levels and Supervisor Tasks
92 STERRAD® 100NX® User’s Guide
Figure 49. Upload User Data.
If the user data shown is acceptable, touch Confirm. The following section
contains information on uploading user data.
Steps to Upload a User Database
To upload a list of user identifications and passwords, perform the
following steps:
1 Create an ASCII text file called “users.rec” that contains the user
identifications, passwords, and access levels. Use Microsoft Notepad to
create the entry. Save the file as “users.rec” and in the “Encoding” drop
down menu in Notepad Save, select UTF-8. Each entry should be
separated by a comma only (no spaces). Example:
USERNAME1,PASSWORD1,ACCESS-LEVEL1
USERNAME2,PASSWORD2,ACCESS-LEVEL2
where:
USERNAME must be alpha-numeric, no more than 10 characters
PASSWORD must be alpha-numeric, no more than 10 characters
ACCESS-LEVEL must be either 1, 2 (1=Operator, 2 = Supervisor)
2. Copy users.rec file to a USB memory stick and insert the memory
stick into the sterilizer’s port located on the lower right (your right)
side of the sterilizer.
DRAFT

Access Levels and Supervisor Tasks
9
STERRAD® 100NX® User’s Guide 93
3. On the sterilizer, touch the Upload User Data button. The information in
the file will be displayed with the password concealed by “*” characters.
You will receive an “INVALID STERRAD® 100NX® DATABASE
FILE” message if the password or user name is longer than the
permissible length, you have specified an invalid access level, or you
have used an invalid format.
4. Touch Confirm to accept the displayed data, logout the current user and
return to the prior screen.
Cassette Functions
WARNING! HYDROGEN PEROXIDE MAY BE PRESENT.
Wear chemical resistant latex, PVC (vinyl), or nitrile gloves whenever handling a
load after a cycle cancellation or when disposing of a cassette. Hydrogen peroxide
liquid may be present on the cassette, the load or in the chamber.
This function has two options: Dispose Cassette which is used to remove the
currently loaded cassette from the sterilizer to resolve an error message or to
move a cassette that may be stuck in place; and Peroxide Clearance which is
used to dispose of peroxide remaining in the sterilizer reservoir when the
peroxide has expired. Peroxide in the system expires after 10 days. The
system displays a message indicating that either of these functions need to be
performed.
Figure 50. Touch Cassette Functions to display this screen. Touch Dispose
Cassette or Peroxide Clearance.
DRAFT

9
Access Levels and Supervisor Tasks
94 STERRAD® 100NX® User’s Guide
Dispose Cassette
The Dispose Cassette function moves the cassette from inside the sterilizer
to the cassette box. The remaining volume of hydrogen peroxide is displayed
on the screen.
Touch Dispose Cassette to move the cassette into the cassette disposal box.
Figure 51. Press Dispose Cassette to Move the Cassette
Into the Cassette Disposal Box.
DRAFT

Access Levels and Supervisor Tasks
9
STERRAD® 100NX® User’s Guide 95
Peroxide Clearance
The DUO Cycle requires the sterilizer to hold peroxide in a reservoir to
optimize sterilization. If this peroxide expires, you must dispose of the
peroxide remaining in the system. “Peroxide Clearance,” must be performed
when a message appears or no subsequent DUO cycles can be run.
Note: Before you start Peroxide Clearance, ensure the
chamber is empty.
Figure 52. Typical Peroxide Clearance Message
Figure 53. Touch Peroxide Clearance to begin the procedure.
DRAFT

9
Access Levels and Supervisor Tasks
96 STERRAD® 100NX® User’s Guide
Network
STERRAD® 100NX™ Sterilizer can be configured to communicate with a
remote personal computer over a network. If you need to use this feature,
please contact Advanced Sterilization Products for details on performing
this setup.
Diagnostics
The diagnostics function prompts you to select one of two types of tests
(either Temperature Test or Other Tests). If Other Tests is selected, the
sterilizer runs ten operator-assisted tests of the sterilizer subsystems. You may
skip one or more tests in the automatic sequence by touching the Cancel
button when a test begins. This causes the program to advance to the next
test in the sequence.
The ten tests and the sterilizer elements that are tested are listed in the order in
which they occur in the following table.
Touch the Diagnostics button to start automatic diagnostic testing of the
sterilizer.
Note: The duration of the Temperature Test is a minimum of
11 minutes.
Figure 54. Touch Either Button to Run Tests Than Can Help You
Resolve System Messages.
DRAFT

Access Levels and Supervisor Tasks
9
STERRAD® 100NX® User’s Guide 97
Diagnostic Tests
* Times are approximate. If a failure is detected, the time may be extended.
The ten tests take approximately 23 minutes and 10 seconds to complete.
When the series of tests is complete, the sterilizer creates and stores a
diagnostics file and prints a report. When printing is complete, the
Additional Utilities menu is displayed.
Service Functions
The Service Functions button is reserved for use by ASP Service
Representatives.
Order Test Name What is tested Average Time
to Run*
1 Power Supply Test DC power supply 30 sec.
2 Vacuum Test Vacuum pump, pressure sensors and valves
(vacuum control, vent, inlet, transition, delivery,
and oil return)
12 min.
3 Door Test Door Motor and sensors 20 sec.
4 Plasma Test Plasma electrical subsystem
Electrode integrity 3 min. 20 sec.
5 Cassette Test Cassette electro-mechanical subsystem RFID
Reader 5 min.
6 H
2O2 Sensor Test Ultraviolet lamp and detector 20 sec.
7 Display Test Touch screen and display function 20 sec
8 Printer Test Printer function 10 sec.
9 Fan Test Fan function 10 sec.
10 Sound Test Loudspeaker function and volume 1 min.
DRAFT

9
Access Levels and Supervisor Tasks
98 STERRAD® 100NX® User’s Guide
File Management
Use the File Management screen to select and display calibration files or
diagnostic report files.
Figure 55. File Management.
Calibration Files
Touch the Calibration Files button to display a list of calibration files created
during a sterilizer calibration. Scroll through the list and touch the file name
you wish to view. Touch the View button to display the selected calibration
file. Touch the Back button to return to the Additional Utilities menu.
Diagnostic Files
Touch the Diagnostic Files button to display a list of reports created by the
Diagnostics function. Scroll through the list and touch the report you wish to
view. Touch the View button to display the selected report. Touch the Back
button to return to the Additional Utilities menu.
DRAFT

Access Levels and Supervisor Tasks
9
STERRAD® 100NX® User’s Guide 99
Upload File
This screen allows you to upload item information from a separate database to
the sterilizer using the USB memory port.
Figure 56. Load Items Files
1 Using Microsoft “Notepad,” create a list of load items similar to the
example shown in the figure. To obtain the above display; i.e.,
ENDOSCOPE1, ENDOSCOPE2, etc. Each load item must be entered on
the same line separated by a comma with no spaces before or after the
comma. Be sure to include a comma after the last load item. Up to 1000
load items can be defined.
2. Save the file with the file name “loaditems.txt” and use the “encoding”
drop down in Notepad to save the file encoded as UTF-8.
3. Insert the USB memory stick with the file loaditems.txt resident on the
stick into the sterilizer’s USB port located on the lower right side of the
front panel.
4. Select “Upload File” for the Additional Utilities men.
5. Review the database displayed on the screen and press Confirm to accept
the database into the sterilizer or press Back to cancel.
DRAFT

9
Access Levels and Supervisor Tasks
100 STERRAD® 100NX® User’s Guide
Input/Output Doors
The doors can be opened or closed via the foot pad that you tap with your foot
or by touching the Input or Output Door buttons. If the system has only one
door, only the Input Close Door and Input Open Door buttons are available
for use. Only one door can be opened at a time. For example, if the Input Door
is open, the Output Door cannot be opened at the same time.
The Input Open Door and Input Close Door buttons open and close the
input side of the sterilizer. That is the side where you load your instruments
for processing.
The Output Open Door and Output Close Door buttons open and close the
output or clean side of the sterilizer. This is the side, on a two door unit, where
you would remove your sterilized items. When the door is moving, the door
open and close buttons, and the foot pad, are disabled until the door has
completed its movement.
Product Options
When you select Product Options from the Additional Utilities Menu, and the
EXPRESS or DUO cycles are installed, the following is displayed after the
installation is complete, and every time you select Product Options after
installation. ENABLED is the default option. This feature is only available
with Supervisor-Level access.
Figure 57. Product Options
DRAFT

Access Levels and Supervisor Tasks
9
STERRAD® 100NX® User’s Guide 101
Install guides you to install any newly purchased features.
Back returns you to the Additional Utilities Menu.
Enabled displays any cycle in your sterilizer which can be selected (enabled).
The choices appear on the Start Cycle display.
Disabled removes the selected cycle buttons from the Start Cycle Screen.
These cycles are still available for future use by selecting Enabled on the
Product Options screen.
DRAFT

9
Access Levels and Supervisor Tasks
102 STERRAD® 100NX® User’s Guide
DRAFT

Specifications
A
STERRAD® 100NX® User’s Guide 103
Appendix A.
Sterilizer Specifications
Power The phase rotation is adjusted to match the system requirements
at installation.
208V 60 Hz Power: For versions employing 208V, 60 Hz power, the
sterilizer requires a NEMA L21-30 five-wire grounding twist lock outlet
attached to a dedicated 30 Amp 3 phase 208 Volt circuit with separate
neutral and ground conductors.
380 - 415V 50/60 Hz Power: The sterilizer requires a five-wire grounding
outlet attached to a dedicated 30 AMP, 3 phase, (200-240VAC, 380-415V)
±10%, 50/60 Hz ±5% circuit with separate neutral and ground conductors.
200V 50/60 Hz Power (Japan): The sterilizer requires a four-wire Delta
configuration to a dedicated 30 AMP circuit.
Dimensions H: 70.5 in. (179.1 cm), W: 30.5 in. (77.5 cm), D: 40 in. (102 cm).
Service clearances Front: 39.5 in. (100 cm); Back: 39.5 in (100 cm); Top: 39.5 in. (100 cm)
Left side: 39.5 in. (100 cm); Right side: 39.5 in. (100 cm).
Weight 425 kg, 938 lbs 1-Door system
457 kg, 1,006 lbs 2-Door system
Chamber volume 152 liters.W20.7 in. (51 cm), H16.1 in. (41 cm), D28.93 in. (73.5 cm).
Usable volume: 93.4 liters (3.3 cubic feet)
Chamber shelves Two shelves, W 17 in. (42.5 cm), D 28 in. (70 cm).
Shelf capacity: 55 lb. (25 kg) uniformly distributed.
Both shelves are removable.
Temperature Operating: 18°C - 35 C (64° - 95F).
Storage: -29°C - 70C (-20F - 158F)
DRAFT

A
Specifications
104 STERRAD® 100NX® User’s Guide
Humidity Operating: 10% – 85% up to 30oC.
linearly decreasing from 85% at 30oC to 70% at 40oC non-condensing
Storage: 10% – 100% (rainfall will be permitted).
Altitude/Pressure Operating altitude up to 3095 m (10,152 ft.).
Atmospheric pressure 520-775 torr
Cycle temperature 47°C – 56°C (116.6°F – 132.8°F)
Cycle time STANDARD Cycle - 47 minutes
DUO Cycle - 60 minutes
EXPRESS Cycle - 24 minutes
FLEX Cycle - 42 minutes
Connectors Network: RJ45; Barcode reader: USB.
Printer: USB
Main Power Cable 12 AWG (4 mm2), 3 m (9.84 feet) long, 5 conductors
NEMA L21 - 30P (USA and Canada.)
Each country is responsible for installing an appropriate 3 phase plug according to
their facility’s power requirements. The plug must match the phase rotation.
Mobility On wheels
Venting Requirements None required
Gas Tank
Requirements None required
Heat Generation Idle: 289 BTU/hour
In operation: 8,189 BTU/hour maximum
RF Generation Portable and mobile RF communications equipment can affect medical
Electrical Equipment.
DRAFT

Specifications
A
STERRAD® 100NX® User’s Guide 105
Medical Device
Requirements and
Guidelines
Medical Device Directive 2007/47/EC
IEC/EN 61010-1: Safety Requirements For Electrical Equipment For
Measurement, Control, And Laboratory Use – Part 1: General Requirements
EN 61010-2-040: Safety Requirements for Electrical Equipment, Control and
laboratory Use. Particular requirements for sterilizer and washer-disinfectors used
to treat medical devices.
IEC 60601-1: Medical Electrical Equipment – Part 1: General Requirements For
Safety (Japan Requirement)
EN 60601-1-2: Medical Electrical Equipment - electromagnetic Compatibility -
Requirements and Tests.
ANSI/AAMI/ISO 14937: Sterilization Of Health Care Products – General Criteria
For Characterization Of A Sterilizing Agent And Development, Validation, And
Routine Control Of A Sterilization Process
CAN/CSA C22.2 No. 61010-1.
UL 61010-1.
Medical Device
Agencies US: FDA (Food and Drug Administration)
EU: TUV Product Service (ASP’s Notified Body)
Japan: MHLW (Ministry of Health, Labor and Welfare)
Canada: TPP (Therapeutic Products Programme)
Australia: TGA (Therapeutic Goods Administration)
DRAFT

A
Specifications
106 STERRAD® 100NX® User’s Guide
DRAFT

Consumables, Accessories and Additional Parts
B
STERRAD® 100NX® User’s Guide 107
Appendix B.
Consumables, Accessories, and
Additional Parts
Consumable Products Product Code Description
STERRAD® 100NX® Cassette 10144 2 cassettes per case.
Thermal Printer Paper Roll-Case 10305 Used with the thermal printer to record
sterilizer information. 12 rolls/case
Cassette Disposal Box - Case 20227 This box is used to collect cassettes for
disposal. 10 boxes/case.
STERRAD® 100NX® EXPRESS Test
Pack
20123 Contains the BI and pouch.
STERRAD® 100NX® Test Pack for
STANDARD, FLEX and DUO Cycles
20243 Contains the test vials, pouch, mats, and BI.
STERRAD® CYCLESURE® 24
Biological Indicator
14324 Used as a standard method for frequent
monitoring of the STERRAD® Sterilizer
cycles.
STERRAD® SEALSURE® Chemical
Indicator Tape
14202 Used to seal packaged instruments, the tape
changes color when exposed to hydrogen
peroxide.
STERRAD® Chemical Indicator Strips 14100 Placed inside instrument packages, the
chemical indicator strips change color when
exposed to hydrogen peroxide.
Tyvek® Pouches and Rolls with
STERRAD® Chemical Indicator
Contact your ASP Representative for a
complete list of pouches, rolls, instrument
trays and accessories.
APTIMAX® Instrument Trays and
accessories
Contact your ASP Representative for a
complete list of pouches, rolls, instrument
trays and accessories.
DRAFT

B
Consumables, Accessories and Additional Parts
108 STERRAD® 100NX® User’s Guide
ASP offers a comprehensive line of consumables and accessories which have
been fully tested and validated for use with the STERRAD® 100NX®
Sterilizer. For more information on any of these products, contact your local
ASP Representative.
Barcode Reader 11142 Optional barcode scanner for tracking
instruments and other information in the
cycle history file.
Independent Monitoring System (IMS) 10140 For compliance with ISO 14937. The
Independent Monitoring System (IMS) is an
optional feature that may be purchased and
installed on the sterilizer. It is an
independent data collection system that can
be used for system validation or
requalification. All of the sensors are
independent from the system sensors and the
data collected from the IMS is identified
separately from the system’s one-second
data
Consumable Products Product Code Description
Additional Parts Part Number
Compact Flash Card and Adapter 04-53004-0-001
DRAFT