Allied Telesis Switch 2 6 1 Users Manual AT 8800 Series User Guide
2.6.1 to the manual 4bfdf42a-553b-49d8-874c-46355277f454
2015-02-02
: Allied-Telesis Allied-Telesis-Allied-Telesis-Switch-2-6-1-Users-Manual-414249 allied-telesis-allied-telesis-switch-2-6-1-users-manual-414249 allied-telesis pdf
Open the PDF directly: View PDF  .
.
Page Count: 118 [warning: Documents this large are best viewed by clicking the View PDF Link!]
- AT-8800 Series Switch User Guide- Introduction
- Getting Started with the Command Line Interface (CLI)
- Getting Started with the Graphical User Interface (GUI)
- Operating the switch
- Layer 2 Switching
- Layer 3
- Maintenance and Troubleshooting- This Chapter
- How the Switch Starts Up
- How to Avoid Problems
- What to Do if You Clear FLASH Memory Completely
- What to Do if the PPP Link Disconnects Regularly
- What to Do if Passwords are Lost
- Getting the Most Out of Technical Support
- Resetting Switch Defaults
- Checking Connections Using PING
- Troubleshooting IP Configurations
- Troubleshooting DHCP IP Addresses
- Troubleshooting IPX Configurations
- Using Trace Route for IP Traffic
 
 

AT-8800 SERIES SWITCH
USER GUIDE
Software Release 2.6.1

2
AT-8800 Series Switch User Guide for Software Release 2.6.1
Document Number C613-02039-00 REV A.
Copyright © 1999-2003 Allied Telesyn International, Corp.
960 Stewart Drive Suite B, Sunnyvale CA 94086, USA.
All rights reserved. No part of this publication may be reproduced without prior written 
permission from Allied Telesyn.
Allied Telesyn International, Corp. reserves the right to make changes in specifications 
and other information contained in this document without prior written notice. The 
information provided herein is subject to change without notice. In no event shall Allied 
Telesyn be liable for any incidental, special, indirect, or consequential damages 
whatsoever, including but not limited to lost profits, arising out of or related to this 
manual or the information contained herein, even if Allied Telesyn has been advised of, 
known, or should have known, the possibility of such damages.
All trademarks are the property of their respective owners.
Contents
CHAPTER 1 Introduction
Introducing the AT-8800 Series Switch  .............................................................. 7
Why Read this User Guide? ............................................................................... 7
Where To Find More Information  ...................................................................... 8
The AT-8800 Series Switch Documentation Set  ........................................... 8
Online Technical Support  ............................................................................ 9
Features of the AT-8800 Series Switch ............................................................... 9
Management Features .............................................................................. 10
Software Features  .................................................................................... 10
Special Feature Licences  ........................................................................... 11
Warning about FLASH memory  ....................................................................... 12
CHAPTER 2 Getting Started with the Command Line Interface (CLI)
This Chapter  ................................................................................................... 13
Connecting a Terminal or PC ........................................................................... 14
Terminal Communication Parameters  .............................................................. 14
Logging In  ...................................................................................................... 15
Assigning an IP Address  .................................................................................. 15
Setting Routes  ................................................................................................ 16
Changing a Password  ..................................................................................... 17
Choosing a Password ...................................................................................... 17
Using the Commands  ..................................................................................... 18
Aliases ...................................................................................................... 19
Getting Command Line Help  .......................................................................... 19
Enabling Special Feature Licences .................................................................... 20
Setting System Parameters .............................................................................. 20
CHAPTER 3 Getting Started with the Graphical User Interface (GUI)
This Chapter  ................................................................................................... 21
What is the GUI?  ............................................................................................ 22
Accessing the Switch via the GUI  .................................................................... 22
Browser and PC Setup .............................................................................. 22
Establishing a Connection to the Switch  ................................................... 24
Secure Access ........................................................................................... 29
System Status ........................................................................................... 31
Using the GUI: Navigation and Features  .......................................................... 32
The Configuration Menu  .......................................................................... 32
Using Configuration Pages  ....................................................................... 32
The Management Menu ........................................................................... 35
The Monitoring Menu  .............................................................................. 35

4AT-8800 Series Switch User Guide
Software Release 2.6.1
C613-02039-00 REV A
The Diagnostics Menu  .............................................................................. 36
Changing the Password ............................................................................ 36
Context Sensitive GUI Help ....................................................................... 36
Saving Configuration Entered with the GUI  .............................................. 37
Combining GUI and CLI Configuration  ..................................................... 37
Configuring Multiple Devices .................................................................... 37
Upgrading the GUI  ......................................................................................... 38
Troubleshooting .............................................................................................. 39
Deleting Temporary Files ........................................................................... 40
Accessing the Switch via the GUI .............................................................. 40
Traffic Flow ............................................................................................... 41
IP Addresses and DHCP  ............................................................................ 42
Time and NTP ........................................................................................... 42
Loading Software  ..................................................................................... 43
CHAPTER 4 Operating the switch
This Chapter  ................................................................................................... 45
User Accounts and Privileges ........................................................................... 45
Normal Mode and Security Mode  ................................................................... 47
Remote Management  ..................................................................................... 49
Storing Files in FLASH Memory ........................................................................ 49
Using Scripts ................................................................................................... 50
Saving the Switch’s Configuration  ............................................................ 51
Storing Multiple Scripts  ............................................................................ 51
Loading and Uploading Files  ........................................................................... 52
File Naming Conventions .......................................................................... 52
Loading Files  ............................................................................................ 53
Setting LOADER Defaults .......................................................................... 54
Example: Load a Patch File Using HTTP  ..................................................... 54
Uploading Files From the Switch ............................................................... 55
Example: Upload a Configuration File Using TFTP ...................................... 55
More information ..................................................................................... 55
Upgrading Switch Software  ............................................................................ 56
Example: Upgrade to a New Software Release Using TFTP ......................... 57
Example: Upgrade to a new patch file  ...................................................... 59
Using the Built-in Editor  .................................................................................. 60
SNMP and MIBs  .............................................................................................. 60
For More About Operations and Facilities ........................................................ 61
CHAPTER 5 Layer 2 Switching
Switch Ports .................................................................................................... 63
Enabling and Disabling Switch Ports  ......................................................... 63
Autonegotiation of Port Speed and Duplex Mode ..................................... 66
Port Trunking  ........................................................................................... 67
Packet Storm Protection  ........................................................................... 69
Port Mirroring  .......................................................................................... 70
Port security  ............................................................................................. 71
Virtual Local Area Networks (VLANs)  ............................................................... 72
VLAN Tagging  .......................................................................................... 73
VLAN Membership of Untagged Packets  .................................................. 76
Creating VLANs ........................................................................................ 77
Summary of VLAN tagging rules ............................................................... 79
Protected VLANs  ...................................................................................... 79
VLAN Interaction with STPs and Trunk Groups  .......................................... 79
Generic VLAN Registration Protocol (GVRP) ..................................................... 80
Layer 2 Switching Process  ............................................................................... 80
The Ingress Rules ...................................................................................... 80
The Learning Process  ................................................................................ 81

5
Software Release 2.6.1
C613-02039-00 REV A
The Forwarding Process ............................................................................ 82
Layer 2 Filtering ........................................................................................ 83
The Egress Rules ....................................................................................... 85
Quality of Service  ............................................................................................ 85
Spanning Tree Protocol (STP) ........................................................................... 86
Spanning Tree Modes  ............................................................................... 86
Spanning Tree and Rapid Spanning Tree Port States  .................................. 87
Configuring STP  ....................................................................................... 88
Interfaces to Layer 3 Protocols ......................................................................... 97
IGMP Snooping  .............................................................................................. 97
Triggers ......................................................................................................... 100
CHAPTER 6 Layer 3
Internet Protocol (IP)  ..................................................................................... 102
IP Multicasting  .............................................................................................. 102
Routing Information Protocol (RIP)  ................................................................ 103
Novell IPX  ..................................................................................................... 103
AppleTalk ...................................................................................................... 104
Resource Reservation Protocol (RSVP) ............................................................ 105
CHAPTER 7 Maintenance and Troubleshooting
This Chapter  ................................................................................................. 107
How the Switch Starts Up  ............................................................................. 108
How to Avoid Problems  ................................................................................ 109
What to Do if You Clear FLASH Memory Completely ..................................... 111
What to Do if the PPP Link Disconnects Regularly .......................................... 112
What to Do if Passwords are Lost .................................................................. 112
Getting the Most Out of Technical Support  ................................................... 112
Resetting Switch Defaults  ............................................................................. 113
Checking Connections Using PING ................................................................ 113
Troubleshooting IP Configurations  ................................................................ 114
Troubleshooting DHCP IP Addresses ..............................................................  115
Troubleshooting IPX Configurations  .............................................................. 116
Using Trace Route for IP Traffic ...................................................................... 117

Chapter 1
Introduction
Introducing the AT-8800 Series Switch
Congratulations on purchasing an AT-8800 Series Intelligent Workgroup 
Switch. The AT-8800 Series Switch has been developed to meet the 
exceptionally high performance demands of low to mid-range applications and 
deliver low-latency high-bandwidth wirespeed Layer 2 and 3 switching.
This guide introduces the AT-8800 Series Switch and will guide you through 
the most common uses and applications of your new switch. Getting started 
will not take long—many applications are set up in just a few minutes. If you 
have any questions about the switch, contact your authorised distributor or 
reseller.
Your AT-8800 Series Switch is supplied with default settings which enable it to 
operate as a Layer 2 switch immediately, without any configuration. Even if 
this is all you want to do, you should still gain access to the switch 
configuration, if only to change the manager password to prevent unauthorised 
access.
To change the switching configuration, and to take advantage of the advanced 
routing features, you will need to enter detailed configuration. The switch has 
both a Command Line Interface (CLI) and a Graphical User Interface (GUI) for 
configuration and management. Before you can use the GUI, you will need to 
login to the switch and use its CLI to allocate an IP address to at least one 
interface.
Why Read this User Guide?
Before you use your switch in a live network, please read this guide. The guide 
tells you how to access and use the Command Line Interface (CLI) and 
Graphical User Interface (GUI) to configure the switch software. It then 
introduces a number of common switch functions and how to configure them 
using the CLI. For more detailed descriptions of all commands, display 
outputs, and background information, see the Software Reference. For 
information on configuration using the GUI, see the context-sensitive online 
GUI help.

8AT-8800 Series Switch User Guide
Software Release 2.6.1
C613-02039-00 REV A
This user guide is organised into the following chapters:
■Chapter 1, Introduction gives an overview of the switch features and of the 
documentation supplied with your switch.
■Chapter 2, Getting Started with the Command Line Interface (CLI) describes 
how to gain access to the command lineinterface.
■Chapter 3, Getting Started with the Graphical User Interface (GUI) describes 
how to access and use the graphical user interface, including 
troubleshooting the GUI.
■Chapter 4, Operating the switch introduces general operation, management 
and support features, including loading and installing support files and 
new releases.
■Chapter 5, Layer 2 Switching describes how to configure Layer 2 switching 
features, including switch ports and VLANs.
■Chapter 6, Layer 3 outlines some of the switch’s Layer 3 features, including 
IP, IP multicasting, IPX and Appletalk.
■Chapter 7, Maintenance and Troubleshooting describes some of the commands 
you can use to monitor the switch and diagnose faults.
Where To Find More Information
Before installing the switch and any expansion options, read the important 
safety information in the AT-8800 Series Switch Safety and Statutory Information 
booklet. 
Follow the Quick Install Guide’s step-by-step instructions for physically 
installing the switch. 
The AT-8800 Series Switch Hardware Reference gives detailed information about 
the equipment hardware. 
The context-sensitive online GUI help gives descriptions of each page and 
element of the GUI.
Once you are familiar with the basic operations of the switch, use the AT-8800 
Series Switch Software Reference for full descriptions of routing features and 
command syntax. 
The AT-8800 Series Switch Documentation Set
The documentation set for the AT-8800 Series Switch includes:
■AT-8800 Series Switch Safety and Statutory Information
■AT-8800 Series Switch Quick Install Guide

Introduction 9
Software Release 2.6.1
C613-02039-00 REV A
■AT-8800 Series Switch Documentation and Tools CD-ROM
The AT-8800 Series Switch Documentation Set in Adobe Acrobat PDF 
format is bundled with every switch—the complete reference to installing, 
configuring and managing the switch, including detailed descriptions of all 
commands. 
The CD-ROM includes the following PDF documents:
• AT-8800 Series Switch Safety and Statutory Information
• AT-8800 Series Switch Quick Install Guide
• AT-8800 Series Switch Hardware Reference
• AT-8800 Series Switch Software Reference
The CD-ROM also includes:
• AT-TFTP Server for Windows, for downloading software releases, 
scripts and other files to or from an AT8800 switch.
• Adobe Acrobat Reader for Windows for viewing and printing the 
online documentation in PDF format. Get instant access to information 
with full-text searching of PDF documents by keyword or phrase.
•Microsoft Internet Explorer.
• A demonstration version of F-Secure’s Secure Shell client for Windows.
• Information about other Allied Telesyn routing and switching 
products.
Online Technical Support
For online support for your AT-8800 Series Switch, see our online support page 
at http://www.alliedtelesyn.co.nz/support/ar8800/
This page also contains the latest switch software releases, patches and GUI 
resource files. Use the LOAD command to download software upgrades 
directly from the Allied Telesyn web site to the router’s FLASH memory. Use 
the SET INSTALL command to enable the new software (see “Upgrading Switch 
Software” on page 56 for detailed instructions).
If you require further assistance, contact your authorised distributor or reseller.
Features of the AT-8800 Series Switch
There are two models in the AT-8800 Series, which provide either 48 or 24 
10/100 TX Fast Ethernet ports. Both models also feature:
•2 GBIC uplink ports
• Single PSU and redundant PSU (RPS)
• PAC interface connection
The software support provides wirespeed Layer 2 switching, including 
support for Virtual LANs, and wirespeed Layer 3 switching of IP and IP 
multicasting packets. In addition, the switch provides a wide array of 
multiprotocol routing, security and network management features.

10 AT-8800 Series Switch User Guide
Software Release 2.6.1
C613-02039-00 REV A
Management Features
The following features enhance management of the switch: 
■A sophisticated and configurable event logging facility for monitoring and 
alarm notification to single or multiple management centres.
■Triggers for automatic and timed execution of commands in response to 
events.
■Scripting for automated configuration and centralised management of 
configurations.
■Dynamic Host Configuration Protocol (DHCP) for IP and IPv6. DHCP lets 
you automatically assign IP addresses and other configuration information 
to PCs and other hosts on TCP/IP networks.
■Support for the Simple Network Management Protocol (SNMP), standard 
MIBs and the Allied Telesyn Enterprise MIB, enabling the switch to be 
managed by a separate SNMP management station.
■Telnet client and server.
■Secure Shell remote management.
■An HTTP client that allows the direct download of files from a web server 
to the router’s FLASH memory.
For complete descriptions of these software features, see the AT-8800 Series 
Switch Software Reference.
Software Features
AT-8800 Series Intelligent Workgroup Switches provide efficient and cost-
effective multiprotocol routing, terminal serving and integrated network 
management over wide area networks and LANs. All models can run the same 
software suite and can provide all of the following functions simultaneously 
(depending on the hardware configuration):
■Wide area networking via Point-to-Point Protocol.
■TCP/IP routing.
■Novell® IPX routing.
■AppleTalk routing.
■Generic Routing Encapsulation (GRE) protocols.
■IP multicast routing support, including Internet Group Management 
Protocol (IGMP), Distance Vector Multicast Routing Protocol (DVMRP) 
and Protocol Independent Multicast (PIM) Sparse and Dense Modes.
■Ping Polling for determining device reachability and responding when a 
device or link goes up or down.
■IPv6 routing support, including stateless address autoconfiguration, RIPv6 
and ICMPv6.
■IPv6 multicast routing support, including Multicast Listener Discovery 
(MLDv2) and Protocol Independent Multicast (PIM) Sparse and Dense 
Modes.
■OSPF, RIP (IP and Novell®), SAP (Novell®), EGP and BGP routing 
protocols.
■ARP, Proxy ARP and Inverse ARP address resolution protocols.

Introduction 11
Software Release 2.6.1
C613-02039-00 REV A
■Sophisticated packet filtering.
■Bridging.
■Van Jacobson’s header compression, STAC LZS and Predictor compression, 
and DES encryption.
■Terminal serving using Telnet, with local host nicknames.
■Access to network printers via LPD or TCP streams.
■Resource Reservation Protocol (RSVP) for delivering quality of service to 
application data streams.
■A fully featured, stateful inspection firewall.
■IPsec-compliant IP security services.
■Integration with a Public Key Infrastructure (PKI).
■Virtual Router Redundancy Protocol (VRRP).
■Border Gateway Protocol version 4 (BGP-4).
■Load Balancing for distributing traffic among multiple resources.
■Software Secure Sockets Layer (SSL).
■802.1x port authentication.
Special Feature Licences
You need a special feature licence and password to activate some special 
features over and above the standard software release. Typically, these special 
features are covered by government security regulations. Special feature 
licences and passwords are quite separate and distinct from the standard 
software release licences and passwords. Some of the software features that 
require a special feature licence are:
■Triple DES S/W
■Firewall SW
■Firewall SMTP Application Gateway
■Firewall HTTP Application Gateway
■DES encryption
■IPv6
■IP Multicast routing: DVMRP and PIM-Sparse Mode
■IPX routing
■IPX/SPX Spoofing
■IPX Filtering (not between switch ports)
■AppleTalk 
■BGP-4
■Load balancer

12 AT-8800 Series Switch User Guide
Software Release 2.6.1
C613-02039-00 REV A
Most software features that require a special feature licence are bundled into 
one of the following special feature licence packs:
■Full Layer 3 Feature Licence
■Advanced Layer 3 Feature Licence
■Security Pack Feature Licence
For more information about purchasing special feature licences, contact your 
Allied Telesyn authorised distributor or reseller. For information on how to 
enable special feature licences using the CLI, see “Enabling Special Feature 
Licences” on page 20.
Warning about FLASH memory
Before you start to configure your switch, note that it is possible to enter 
commands that can impact severely on your router’s performance.
DO NOT clear the FLASH memory completely. The software release files are 
stored in FLASH, and clearing FLASH memory would leave no software to run 
the switch.
While FLASH is compacting, do not restart the switch or use any commands 
that affect the FLASH file subsystem. Do not restart the switch, or create, edit, 
load, rename or delete any files until a message confirms that FLASH file 
compaction is completed. Interrupting flash compaction may result in damage 
to files. Damaged files are likely to prevent the switch from operating correctly.
For more information, see “How to Avoid Problems” on page 109 and “What to 
Do if You Clear FLASH Memory Completely” on page 111.

Chapter 2
Getting Started with the Command Line 
Interface (CLI)
This Chapter
This chapter describes how to access the switch’s CLI, and provides basic 
information about configuring the switch, including how to:
■Physically connect a terminal or PC to the switch (see “Connecting a 
Terminal or PC” on page 14 and the Quick Install Guide).
■Set the Terminal Communication parameters to match the router’s settings 
(see “Terminal Communication Parameters” on page 14).
■Log in to the switch as a manager (see “Logging In” on page 15). 
■Configure IP addresses on the switch interfaces over which you will 
manage the switch. This is necessary if you will access the switch using the 
GUI or Telnet (see “Assigning an IP Address” on page 15).
■Set routes (see “Setting Routes” on page 16)
■Change the management password to limit unauthorised access to the 
switch configuration (see “Changing a Password” on page 17). 
■Use the command line interface to control the switch software, including 
creating aliases for often used character sequences (see “Using the 
Commands” on page 18).
■Set the online help file to gain access to command syntax help (see “Getting 
Command Line Help” on page 19).
■Enable any special feature licences (see “Enabling Special Feature Licences” 
on page 20).
■Set the name, location and contact details for the switch (see “Setting 
System Parameters” on page 20).

14 AT-8800 Series Switch User Guide
Software Release 2.6.1
C613-02039-00 REV A
Connecting a Terminal or PC
The first thing to do after physically installing the switch is to start a terminal 
or terminal emulation session to access the switch. Then you can use the 
command line interface (CLI) to configure the switch. If you wish to configure 
the switch using the Graphical User Interface, you must first access the CLI and 
assign an IP address to at least one interface.
You can use a PC running terminal emulation software as the manager console 
instead of a terminal. Many terminal emulation applications are available for 
the PC, but the most readily available is the HyperTerminal application 
included in Microsoft® Windows™ 95, Windows™ 98, and Windows™ 2000. 
In a normal Windows™ installation HyperTerminal is located in the 
Accessories group. In Windows™ 2000, HyperTerminal is located in the Start > 
Programs > Accessories > Communications menu.
The key to successfully using terminal emulation software with the switch is to 
configure the communications parameters in the terminal emulation software 
to match the default settings of the console port on the switch. For instructions 
on how to configure HyperTerminal, see the AT-8800 Series Switch Hardware 
Reference.
To start a terminal session, connect to the switch in one of the following ways:
■Connect a VT100-compatible terminal to the RS-232 Terminal Port (asyn0), 
set the communications parameters on the terminal (Table 1 on page 14), 
and press [Enter] a few times until the router’s login prompt appears
OR
■Connect the COM port of a PC running terminal emulation software such 
as Windows Terminal or HyperTerminal to the RS-232 Terminal Port 
(asyn0), set the communications parameters on the terminal emulation 
software (Table 1 on page 14), and press [Enter] a few times until the 
router’s login prompt appears.
Terminal Communication Parameters
Check that the terminal or modem’s communication settings match the settings 
of the asynchronous port. By default, the asynchronous port (also known as the 
Console, RS-232, or Config port) on the switch is set to the parameters shown 
in Table 1 on page 14:
Refer to the user manual supplied with the terminal or modem for details of 
how to change the communications settings for the terminal or modem.
Table 1: Parameters for terminal communication
Parameter Value
Baud rate 9600
Data bits 8
Parity None
Stop bits 1
Flow control Hardware

Getting Started with the Command Line Interface (CLI) 15
Software Release 2.6.1
C613-02039-00 REV A
If a modem is connected, configure the switch to make and/or accept calls via 
the modem. To set the CDCONTROL parameter to “CONNECT” and the 
FLOW parameter to “HARDWARE”, enter the command:
SET ASYN CDCONTROL=CONNECT FLOW=HARDWARE
If the terminal or modem is used with communications settings other than the 
default settings, then configure the asynchronous port to match the terminal or 
modem settings using the SET ASYN command.
See the router’s online help or the Interfaces chapter in the AT-8800 Series Switch 
Software Reference for more information on how to configure the asynchronous 
port.
Logging In
When you access the switch from a terminal or PC connected to the RS-232 
terminal port (asyn0), or via a Telnet or HTTP connection, you must enter a 
login name and password to gain access to the command prompt. When the 
switch is supplied, it has a manager account with an initial password friend.
Enter your login name at the login prompt: 
login: manager
Enter the password at the password prompt: 
password: friend
After you log into the manager account you can enter commands from this 
document and from the AT-8800 Series Switch Software Reference.
Assigning an IP Address
To configure the switch to perform IP routing (for example, to access the 
Internet) you need to configure IP. You also need to configure IP if you want to 
manage the switch from a Telnet session or with the GUI. For detailed 
instructions on accessing the switch with the GUI, see “Establishing a 
Connection to the Switch” on page 24.
First enable IP, using the command:
ENABLE IP
Then, add an IP address to each of the switch interfaces that you want to 
process IP traffic (for example, the default VLAN (vlan1)).
For the default VLAN, use the command:
ADD IP INTERFACE=vlan1 IPADDRESS=ipadd MASK=mask
where:
■ipadd is an unused IP address on your LAN.
■mask is the subnet mask (for example 255.255.255.0)

16 AT-8800 Series Switch User Guide
Software Release 2.6.1
C613-02039-00 REV A
If IP addresses on your LAN are assigned dynamically by DHCP, you can set 
the switch to request an IP address from the DHCP server, using the 
commands:
ADD IP INTERFACE=vlan1 IPADDRESS=DHCP
ENABLE IP REMOTEASSIGN
You do not need to set the MASK parameter because the subnet mask received 
from the DHCP server is used.
If you use DHCP to assign IP addresses to devices on your LAN, and you want to 
manage the switch within this DHCP regime, it is recommended that you set your 
DHCP server to always assign the same IP address to the switch. This will enable you 
to access the GUI by browsing to that IP address, and will also let you use the switch as 
a gateway device for your LAN. If you need the switch's MAC address for this, it can be 
displayed using the command SHOW SWITCH.
To change the IP address for an interface, enter the command:
SET IP INTERFACE=interface IPADDRESS=ipadd MASK=ipadd
When you are configuring the switch remotely, if you change the configuration (for 
example, the VLAN membership) of the port over which you are configuring, the switch 
is likely to break the connection.
For more information about switch ports and Virtual LANs (VLANs), see 
Chapter 5, Layer 2 Switching in this document, and the Switching chapter in the 
AT-8800 Series Switch Software Reference. For more information about IP 
addressing and routing, see Chapter 6, Layer 3 in this document, and the Internet 
Protocol (IP) chapter in the AT-8800 Series Switch Software Reference.
Setting Routes
The process of routing packets consists of selectively forwarding data packets 
from one network to another. Your switch makes a decision to send a packet to 
a particular network on information it learns dynamically from listening to the 
selected route protocol and on the static information entered as part of the 
configuration process. In addition, you can configure user-defined filters to 
restrict the way packets are sent.
Your switch maintains a table of routes which holds information about routes 
to destinations. The route table tells the switch how to find a remote network or 
host. A route is uniquely identified by IP address, network mask, next hop, 
ifIndex, protocol and policy. A list of routes comprises all the different routes to 
a destination. The routes may have different metrics, next hops, policy or 
protocol. A list of routes is uniquely identified by its IP address and net mask. 
The routing table is maintained dynamically by using one or more routing 
protocols such as RIP, EGP and OSPF. These act to exchange routing 
information with other switches or hosts.
You can also add static routes to the route table to define default routes to 
external switches or networks and to define subnets.

Getting Started with the Command Line Interface (CLI) 17
Software Release 2.6.1
C613-02039-00 REV A
To add a static route, enter the command:
ADD IP ROUTE=ipadd INTERFACE=interface NEXTHOP=ipadd 
[CIRCUIT=miox-circuit] [DLCI=dlci] 
[MASK=ipadd][METRIC=1..16] [METRIC1=1..16] 
[METRIC2=1..65535][POLICY=0..7] [PREFERENCE=0..65535]
To displays the entire routing table, including both static and dynamic routes, 
enter the command:
SHOW IP ROUTE
For more information about setting IP routes, see the Internet Protocol (IP) 
chapter in the AT-8800 Series Switch Software Reference.
Changing a Password
You should change this password to prevent unauthorised access to the switch. 
Enter the command:
SET PASSWORD
The switch prompts you for the current password, for the new password, and 
for confirmation of the new password. The password can contain any printable 
characters, and must be at least a minimum length, by default six characters. 
(To change the default minimum length, see the SET USER command in the 
Operations chapter, AT-8800 Series Switch Software Reference.)
Choosing a Password
All users, including managers, should take care in selecting passwords. Tools 
exist that enable hackers to guess or test many combinations of login names 
and passwords easily. The User Authentication Facility (UAF) provides some 
protection against such attacks by allowing the manager to set the number of 
consecutive login failures allowed and a lockout period when the limit is 
exceeded.
However, the best protection against password discovery is to select a good 
password and keep it secret. When choosing a password:
■Do make it six or more characters in length. The UAF enforces a minimum 
password length, which the manager can change. The default is six 
characters.
■Do include both alphabetic (a–z) and numeric (0–9) characters.
■Do include both uppercase and lowercase characters. The passwords 
stored by the switch are case-sensitive, so “bgz4kal” and “Bgz4Kal” are 
different.
■Do avoid words found in a dictionary, unless combined with other random 
alphabetic and numeric characters.
■Do not use the login name, or the word “password” as the password.
■Do not use your name, your mother’s name, your spouse’s name, your 
pet’s name, or the name of your favourite cologne, actor, food or song.

18 AT-8800 Series Switch User Guide
Software Release 2.6.1
C613-02039-00 REV A
■Do not use your birth date, street number or telephone number.
■Do not write down your password anywhere.
Make sure you remember the new password created as you cannot retrieve a 
lost password. Recovery of access to the switch is complex. 
Once you have logged into the manager account you are able to enter 
commands from this guide and from the AT-8800 Series Switch Software 
Reference.
Using the Commands
You control the switch with commands described in this document and in the 
AT-8800 Series Switch Software Reference. While the keywords in commands are 
not case sensitive, the values entered for some parameters are (especially 
passwords). The switch supports command line editing and recall. Command 
line editing functions and keystrokes are shown in Table 2 on page 18.
The switch assumes that the width of the terminal screen is 80 characters, and 
performs command line wrapping at the 80th column regardless of the setting 
of the terminal. To execute a command the cursor does not need to be at the 
end of the line. The default editing mode is insert mode. Characters are 
inserted at the cursor position and any characters to the right of the cursor are 
pushed to the right to make room. In overstrike mode, characters are inserted 
at the cursor position and replace any existing characters.
Commands are limited to 1000 characters, excluding the prompt. Pathnames of 
up to 256 characters, including file names, and file names up to 16 characters 
long, with extensions of 3 characters, are supported.
Table 2: Command line editing functions and keystrokes .
Function VT100 Terminal Dumb terminal
Move cursor within command line ←, →Not available
Delete character to left of cursor [Delete] or [Backspace] [Delete] or [Backspace]
Toggle between insert/overstrike [Ctrl/O] Not available
Clear command line [Ctrl/U] [Ctrl/U]
Recall previous command ↑ or [Ctrl/B] [Ctrl/B]
Recall next command ↓ or [Ctrl/F] [Ctrl/F]
Display command history [Ctrl/C] or 
SHOW PORT HISTORY
[Ctrl/C] 
or SHOW PORT HISTORY
Clear command history RESET PORT HISTORY RESET PORT HISTORY
Recall matching command [Tab] or [Ctrl/I] [Tab] or [Ctrl/I]

Getting Started with the Command Line Interface (CLI) 19
Software Release 2.6.1
C613-02039-00 REV A
Aliases
The command line interface supports aliases. An alias is a short name for an 
often-used longer character sequence. When the user presses [Enter] to execute 
the command line, the command processor first checks the command line for 
aliases and substitutes the replacement text. The command line is then parsed 
and processed normally. Alias substitution is not recursive—the command line 
is scanned only once for aliases.
Aliases are created and destroyed using the commands:
ADD ALIAS=name STRING=substitution
DELETE ALIAS=name
Getting Command Line Help
Online help is available for all switch commands. A multilingual, language-
independent online help facility provides help information via the command:
HELP [topic]
If a topic is not specified, a list of available topics is displayed. The HELP 
command displays information from the system help file stored in FLASH 
memory. The help file uses a simple mark-up language to identify topics, 
access level (USER or MANAGER) and help text. Both standard ASCII and 
Unicode character encodings are supported. Alternate help files can be 
uploaded and stored in FLASH, then activated using the command:
SET HELP=helpfile
To display the current help file, enter the command:
SHOW SYSTEM
The help file is easily modified, for example to provide detailed site-specific 
support information. The mark-up language specification and preprocessor 
program are available from your authorised distributor or reseller.
Also, typing a question mark “?” at the end of a partially completed command 
displays a list of the parameters that may follow the current command line, 
with the minimum abbreviations in uppercase letters (see Figure 1). The 
current command line is then re-displayed, ready for further input.
Figure 1: Using the question mark character (“?”) to display help for the current command.
Manager > ADD ?
  Options : ACC APPletalk BGP CLASSifier BOOTp BRIDge DECnet FRamerelay GRE IP IPX
     ISDN LAPD LOG MIOX NTP OSPF PERM PPP RADius SA SCript SNmp STReam STT TRIGger
    TACacs USEr X25C X25T TDM
Manager > ADD ACC ?
  Options : CALL SCript DOmainname
Manager > ADD ACC CALL ?
  Options : DIrection DScript CScript RScript POrt ENcapsulation AUthentication
    DOmainname

20 AT-8800 Series Switch User Guide
Software Release 2.6.1
C613-02039-00 REV A
Enabling Special Feature Licences
You must enable the special feature licence you have purchased before you can 
use the licenced features. You will need the password provided by your 
authorised distributor or reseller. The advanced upgrade licence and password 
are different from the standard software release licence and password. The 
licence cannot be transferred from one switch to another. 
For software features that require a special feature licence see “Special Feature 
Licences” on page 11.
You must order passwords for special feature licences from your authorised distributor 
or reseller. You must specify the special feature licence bundle and the serial number(s) 
of the switch(s) on which the special feature licences are to be enabled.
The password for a special feature licence is a string of at least 16 hexadecimal 
characters. This password encodes the special feature, or features, covered by 
the license, and the switch serial number. The password information is stored 
in the router’s FLASH memory.
To enable or disable a special feature licence, enter the commands:
ENABLE FEATURE=feature PASSWORD=password
DISABLE FEATURE=feature
To list the current special feature licences, enter the command:
SHOW FEATURE[={featurename|index}]
Setting System Parameters
You can set some general system parameters to ensure the router’s 
compatibility with the public network, and to aid network administration.
System name, location and contact parameters can help a remote network 
administrator identify the switch. By convention the system name is the full 
domain name. Set the name and location of the switch, for example: 
SET SYSTEM NAME=nd1.co.nz
SET SYSTEM LOCATION=”Head Office, 3rd floor east”
and a contact name and phone number for the network administrator 
responsible for the switch, for example:
SET SYSTEM CONTACT=”Anna Brown 03-456 789”
The name, location, and contact are strings 1 to 80 characters in length of any 
printable character. If the string includes spaces enclose it in double quotes.
Set the router’s real time clock to the current local time in 24 hour notation 
(hh:mm:ss), and to the current date (dd-mmm-yy, or dd-mmm-yyyy), for 
example:
SET TIME=14:50:00
SET DATE=29-JAN-02 or
SET DATE=29-JAN-2003

Getting Started with the Graphical User Interface (GUI) 21
Software Release 2.6.1
C613-02039-00 REV A
Chapter 3
Getting Started with the Graphical User 
Interface (GUI)
This Chapter
This chapter describes how to access the switch’s HTTP-based Graphical User 
Interface (GUI), and provides basic information about using the GUI, 
including:
■What is the GUI?
• an introduction to the Graphical User Interface
■Accessing the switch via the GUI:
• browser and PC setup, including interaction with HTTP proxy servers
• establishing a connection to your switch, including an example of 
configuring SSL for secure access
• the System Status page, the first GUI page you see
■Using the GUI: navigation and features:
• an overview of the menus
• using configuration pages, with a description of key elements of GUI 
pages
• changing your password
• using the context sensitive online help
• saving your configuration
• combining GUI and CLI configuration
• configuring multiple devices
■Upgrading the GUI
■Troubleshooting
• diagnosing and solving connection problems
• using the GUI to troubleshoot the switch’s configuration.

22 AT-8800 Series Switch User Guide
Software Release 2.6.1
C613-02039-00 REV A
What is the GUI?
The GUI (Graphical User Interface) is a web-based device management tool, 
designed to make it easier to configure and monitor the switch. The GUI 
provides an alternative to the CLI (Command Line Interface). Its purpose is to 
make complicated tasks simpler and regularly performed tasks quicker.
The GUI relies on an HTTP server that runs on the switch, and a web browser 
on the host PC. When you use the GUI to configure the switch, the GUI sends 
commands to the switch and the switch sends the results back to your browser, 
all via HTTP.
The tasks you may perform using the GUI are not as comprehensive as the 
command set available on the CLI, but for some protocols, a few clicks of the 
mouse will perform many commands.
The GUI is stored on the switch in the form of an embedded resource file, with 
file extension rsc. Resource files are model-specific, with the model and 
version encoded in the file name.
Accessing the Switch via the GUI
To use the GUI to configure the switch, you use a web browser to open a 
connection to the switch’s HTTP server. Therefore, you need a PC, a web 
browser and the switch. Supported browsers and operating systems, and the 
settings you need on your PC and browser, are detailed in the following 
section. Switch setup is detailed in “Establishing a Connection to the Switch” on 
page 24.
Browser and PC Setup
The GUI requires a web browser installed on a PC. Table 3 shows supported 
combinations of operating system and browser. A copy of Internet Explorer can 
be found on the switch’s Documentation and Tools CD-ROM.
JavaScript must be enabled. To enable JavaScript in Internet Explorer:
1. From the Tools menu, select Internet Options
2. Select the Security tab
3. Click on the Custom Level button
4. Under the Scripting section, ensure that “Active scripting” is enabled.
Table 3: Supported browsers and operating systems
IE 5.0 IE 5.5 IE 6.0 NS 6.2.2 NS 6.2.3
Windows 95 !
Windows 98 !!!
Windows ME !!!!!
Windows 2000 !!!!!
Windows XP !!!!!

Getting Started with the Graphical User Interface (GUI) 23
Software Release 2.6.1
C613-02039-00 REV A
To enable JavaScript in Netscape 6.2.x:
1. From the Edit menu, select Preference
2. Select the Advanced menu option.
3. Ensure that the “Enable JavaScript for Navigator” checkbox is checked.
The minimum screen resolution on the PC is 800x600.
HTTP Proxy Servers
An HTTP proxy server provides a security barrier between a private network’s 
PCs and the Internet. The PCs send HTTP requests (and other web traffic) to 
the server, which then forwards the requests appropriately. Similarly, the server 
receives incoming HTTP traffic addressed to a PC on the private network, and 
forwards it to the appropriate PC. Proxy servers can be used to block traffic 
from undesirable websites, to log traffic flows, and to disallow cookies.
If your browser is configured to use a proxy server, and the switch is on your 
side of the proxy server, you will need to set the browser to bypass proxy 
entries for the IP address of the appropriate interface on the switch. (See 
“Establishing a Connection to the Switch” on page 24 for information about 
giving switch interfaces IP addresses.)
To ensure that your network’s security settings are not compromised, see your 
network administrator for information about bypassing the proxy server on 
your system.
To bypass the proxy server on Internet Explorer, if your browser administration 
does not use a script, and the PC and the switch are in the same subnet:
1. From the Tools menu, select Internet Options.
2. Select the Connections tab and click the LAN Settings button.
3. Check the “Bypass proxy server for local addresses” checkbox.
4. If necessary, click the Advanced button and enter a list of local addresses.
To bypass the proxy server on Netscape, if your browser does not use a script:
1. From the Edit menu, select Preferences
2. Click on the Advanced menu option to expand it.
3. Select the Proxies menu option
4. Enter the switch’s IP address in the “No Proxy for” list.

24 AT-8800 Series Switch User Guide
Software Release 2.6.1
C613-02039-00 REV A
Establishing a Connection to the Switch
Before you start, consider how the switch fits into your network. If you are 
installing a new switch, consider whether you want to configure it before 
deploying it into the LAN, or want to configure it in situ. If you want to access 
a switch that has already been configured, consider the relative positions of the 
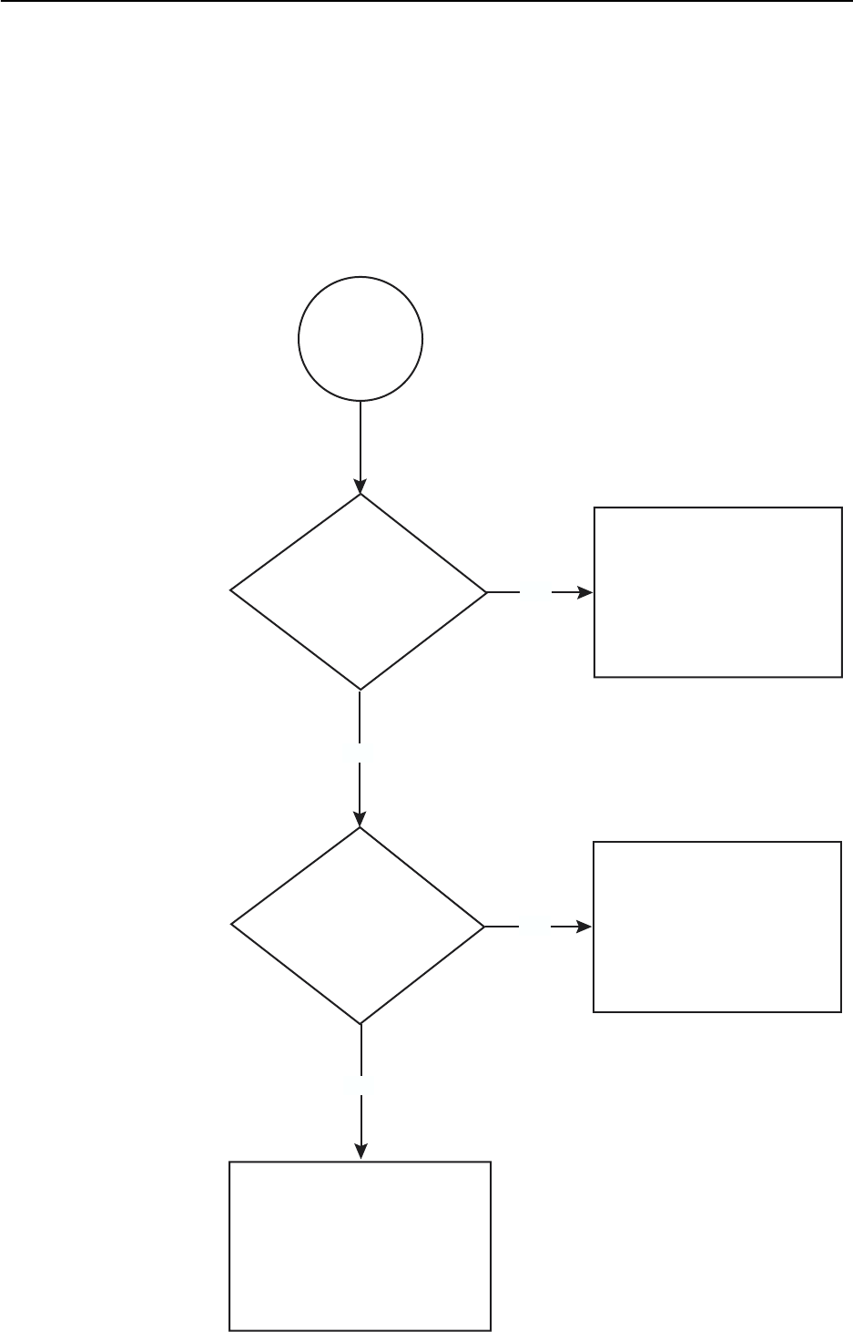
PC and the switch. The flow chart below summarises this process, and the 
procedures that follow take you through each possibility in detail.
Figure 2: A summary of the process for establishing a connection via the GUI.
Is the router
already installed and 
configured in 
the LAN?
Determine the IP address 
of an interface on the router 
and browse to it. 
No
Yes
Do you want
to configure the router
before installing it in
the LAN?
Connect your PC directly to
the router, give the router an
IP address and browse to it.
Install the router into the LAN,
give it an IP address and
browse to it.
No
Start here
Yes
See “Option 3: Connecting 
to an Installed Switch” on 
page 28.
See “Option 2: Installing 
the Switch into the LAN” 
on page 26.
See “Option 1: Configuring 
the Switch before 
Installation” on page 25.

Getting Started with the Graphical User Interface (GUI) 25
Software Release 2.6.1
C613-02039-00 REV A
Option 1: Configuring the Switch before Installation
Use this procedure if:
■You want to configure the switch before installing it in your LAN.
■You will be installing the switch at a remote office or a customer site and 
want to configure it first.
■You want a dedicated management PC permanently connected to the 
switch.
1. Select a PC to browse to the switch from
You can browse to the switch from any PC that is running a supported 
operating system with a supported browser installed. See “Browser and 
PC Setup” on page 22 for more information. 
You need to know the PC’s subnet.
2. Connect the PC to the switch
Use a straight-through Ethernet cable to connect an Ethernet card on the 
PC to any one of the switch ports (see Figure 3).
Figure 3: Connecting a PC directly to the switch.
You can browse to the switch through any VLAN, as long as you give that VLAN an IP 
address (see below). These instructions assume you will use vlan1. The switch ports all 
belong to vlan1 by default.
3. Access the switch’s command line interface
Access the CLI from the PC, as described in “Connecting a Terminal or PC” 
on page 14.
4. Enable IP
ENABLE IP
5. Assign the vlan1 interface an IP address in the same subnet as the PC
ADD IP INTERFACE=vlan1 IP=ipaddress MASK=mask
6. Save the configuration and set the switch to use it on bootup
CREATE CONFIG=your-name.cfg
SET CONFIG=your-name.cfg
7. On the PC, bypass the HTTP proxy server, if necessary
See “HTTP Proxy Servers” on page 23 for more information.
8. Point your web browser at the LAN interface’s IP address

26 AT-8800 Series Switch User Guide
Software Release 2.6.1
C613-02039-00 REV A
9. At the login prompt, enter the user name and password
The default username is manager:
User Name: manager
Password: friend
The System Status page is displayed (Figure 6 on page 31). Select options 
from the sidebar menu to configure and manage the switch.
Option 2: Installing the Switch into the LAN
Use this procedure if:
■You want to install the switch into the LAN before you configure it.
1. Select a PC to browse to the switch from
You can browse to the switch from any PC that is running a supported 
operating system with a supported browser installed, with JavaScript 
enabled. See “Browser and PC Setup” on page 22 for more information. 
You need to know the PC’s subnet.
2. Plug the switch into the LAN
To i n stall th e  switch into the same subnet as the PC:
Use an Ethernet cable to connect one of the switch ports to a device on the 
LAN segment, for example, a hub, router or switch (see Figure 4). 
Figure 4: Connecting the switch into the same LAN segment as the PC
To i n stall th e  switch into a different subnet than the PC:
Use an Ethernet cable to connect any one of the switch ports to a device on 
the LAN segment in which you require the switch to work, for example, a 
hub, router or switch (see Figure 5).
PC
AT-8800 Series Switch
Hub or Layer 2
Switch
3421
10BASE-T/100BASE-TX SWITCH PORTS
POWER
ON
OFF

Getting Started with the Graphical User Interface (GUI) 27
Software Release 2.6.1
C613-02039-00 REV A
Figure 5: Configuring the switch from a PC in another subnet. 
You can browse to the switch through any VLAN, as long as you give that VLAN an IP 
address (see below). These instructions assume you will use vlan1. The switch ports all 
belong to vlan1 by default.
3. Access the switch’s command line interface
Access the CLI from the PC, as described in “Connecting a Terminal or PC” 
on page 14.
4. Enable IP
ENABLE IP
5. Assign the vlan1 interface an IP address
ADD IP INTERFACE=vlan1 IP=ipaddress MASK=mask
If you use DHCP to assign IP addresses to devices on your LAN, and you want to 
manage the switch within this DHCP regime, it is recommended that you set your 
DHCP server to always assign the same IP address to the switch. This will enable you 
to access the GUI by browsing to that IP address, and will also let you use the switch as 
a gateway device for your LAN. If you need the switch's MAC address for this, you can 
display it using the command SHOW SWITCH. To set the interface to obtain its IP 
address by DHCP, use the commands: 
ADD IP INTERFACE=VLAN1 IPADDRESS=DHCP and 
ENABLE IP REMOTEASSIGN.
where:
•PC-subnet is the IP subnet address of the PC. For example, if the PC has 
an IP address of 192.168.6.1 and a mask of 255.255.255.0, its subnet 
address is 192.168.6.0.
•gateway-ipaddress is the IP address of the gateway device that connects 
the PC’s subnet with the switch’s subnet (Figure 5 on page 27).
6. If you want to be able to browse to the GUI securely, configure SSL (Secure 
Sockets Layer)
See “Secure Access” on page 29 for more information.
7. Save the configuration and set the switch to use it on bootup
CREATE CONFIG=filename.cfg
SET CONFIG=filename.cfg
subnetsubnet
gateway
AT-8800 Series Switch

28 AT-8800 Series Switch User Guide
Software Release 2.6.1
C613-02039-00 REV A
8. On the PC, bypass the HTTP proxy server, if necessary
See “HTTP Proxy Servers” on page 23 for more information.
9. Point your web browser at the LAN interface’s IP address
For normal access, point your web browser to
http://ip-address
For secure access, point your web browser to
https://ip-address
where ip-address is the interface’s IP address.
10. At the login prompt, enter the user name and password
The default username is manager:
User Name: manager
Password: friend
The System Status page is displayed (see Figure 6 on page 31). Select 
options from the sidebar menu to configure and manage the switch.
Option 3: Connecting to an Installed Switch
Use this procedure if:
■At least one interface on the switch already has an IP address, and the 
switch is already installed in a LAN.
1. Find out the IP address of the switch’s interface
Ask your system administrator. Alternatively, access the CLI, as described 
in “Connecting a Terminal or PC” on page 14, and enter the command:
SHOW IP INTERFACE
You can browse to the switch through any VLAN, as long as you give that VLAN an IP 
address (see below). These instructions assume you will use vlan1. The switch ports all 
belong to vlan1 by default.
2. Select a PC
You can browse to the GUI from any PC that:
• has an IP address in the same subnet as the switch, or that the switch 
has a route to
• is running a supported operating system
• has a supported browser installed, with JavaScript enabled
See “Browser and PC Setup” on page 22 for more information.
3. If necessary, bypass the HTTP proxy server
See “HTTP Proxy Servers” on page 23 for more information.

Getting Started with the Graphical User Interface (GUI) 29
Software Release 2.6.1
C613-02039-00 REV A
4. Browse to the switch
For normal access, point your web browser to
http://ip-address
where ip-address is the interface’s IP address.
To access the switch securely if SSL (Secure Sockets Layer) has been 
configured on the interface, point your web browser to
https://ip-address
For more information about secure access, see “Secure Access” on page 29.
5. At the login prompt, enter the user name and password
The default username is manager:
User Name: manager
Password: friend
The System Status page is displayed (see Figure 6 on page 31). Select 
options from the sidebar menu to configure and manage the switch.
If the Firewall and/or VPN (IPSec) have already been configured on the switch 
using the CLI, this configuration may conflict with the GUI. Do not attempt to 
modify existing CLI firewall or VPN configuration with the GUI. 
Secure Access
You can optionally browse to the switch using Secure Sockets Layer (SSL). This 
means that sensitive data including passwords and email addresses can not be 
accessed by malicious parties. This section details the required configuration. 
For information about SSL, refer to the Secure Sockets Layer (SSL) chapter of 
your Software Reference.
For this configuration to succeed your switch must have PKI, ISAKMP, SSH and SSL 
feature licences. If these licences are not already present on your switch, please contact 
your authorised distributor or reseller.
To secure your switch’s HTTP Server with SSL for secure switch 
management via the GUI.
1. Create a Security Officer user account
Only a user with Security Officer privilege can enable system security and SSL.
To add a user with the login name “CIPHER”, password “sbr4y3”, 
login=yes, and SECURITY OFFICER privilege, use the command:
ADD USER="CIPHER" PASSWORD="sbr4y3" 
PRIVILEGE=SECURITYOFFICER Login=yes
CREATE CONFIG=ssl.cfg
RESTART SWITCH

30 AT-8800 Series Switch User Guide
Software Release 2.6.1
C613-02039-00 REV A
2. Login as a Security Officer
To login as the user with Security Officer privilege called “CIPHER”, use 
the command:
LOGIN CIPHER
And then enter the password for “CIPHER”, “sbr4y3”.
3. Enable system security
To enable system security, use the command:
ENABLE SYSTEM SECURITY
4. Create an RSA key pair for this switch.
To create an RSA key pair, use the command:
CREATE ENCO KEY=0 TYPE=RSA LENGTH=1024
5. Set the switch’s distinguished name.
To set the switch’s distinguished name to 
"cn=switch1,o=my_company,c=us", use the command:
SET SYSTEM DISTINGUISHEDNAME="cn=switch1, 
o=my_company,c=us"
6. Set the UTC offset.
To set the Universal Coordinated Time to inform the switch that the 
difference between local time and GMT is 7 hours, use the command:
SET LOG UTCOFFSET=7
7. Create a self-signed certificate for the switch.
To create a PKI certificate without contacting a CA for browsing to the GUI, 
use the command:
CREATE PKI CERTIFICATE=cer_name KEYPAIR=0 
SERIALNUMBER=12345 SUBJECT="cn=172.30.1.105, 
o=my_company, c=us"
Using this command creates a certificate that is only suitable for secure switch 
management via the GUI. A pop-up message will appear in the browser 
window warning that the certificate is not issued by a trusted authority. You 
should create a certificate via a Certification Authority if you want to use SSL 
with the Load Balancer. For details, see the Public Key Infrastructure (PKI) 
chapter of your Software Reference.
8. Load self-signed switch certificate
To load the signed switch certificate onto the switch, use the command:
ADD PKI CERTIFICATE=cer_name LOCATION=cer_name.cer 
TRUST=YES
9. Enable SSL on the HTTP server
To enable SSL on the HTTP server with previously created SSL Key and the 
port 443, use the command:
SET HTTP SERVER SECURITY=ON SSLKEY=0 PORT=443

Getting Started with the Graphical User Interface (GUI) 31
Software Release 2.6.1
C613-02039-00 REV A
10. Configure an IP interface to run SSL over
To configure an IP interface that SSL will be run over, first enable IP using 
the command:
ENABLE IP
To make VLAN1 the IP interface, and 172.30.1.105 the interface’s IP address, 
use the command:
ADD IP INTERFACE=vlan1 IP=172.30.1.105
To add an IP route on this interface with a next hop of 172.30.1.254, use the 
command:
ADD IP ROUTE=0.0.0.0 INTERFACE=vlan1 NEXT=172.30.1.254
For this example to succeed, you would have to log in as "cipher" rather than "manager" 
when connecting to the switch with a web browser.
System Status
The GUI opens to display the System Status page. Figure 6 points out key 
information contained on the page.
Figure 6: The System Status page
Model name
Help, Save and Exit
Sidebar menu
System status
Port status
Software release

32 AT-8800 Series Switch User Guide
Software Release 2.6.1
C613-02039-00 REV A
Using the GUI: Navigation and Features
The GUI consists of a large number of pages, which you navigate between using 
the menu on the left of the browser window. This section describes how to use 
the GUI, and gives an overview of its functionality.
The Configuration Menu
You can use the GUI to configure:
• the system identity and mail server
• the system time, or NTP (Network Time Protocol)
• triggers, to automatically run scripts at a time you specify or in response 
to events you specify
• SNMP (Simple Network Management Protocol)
• switch port settings, including mirroring, trunking and storm limits
• 802.1x port security
• VLANs, STP and GARP
• Internet Protocol: interfaces, static routes, the preferences of dynamic 
routes, RIP, multicasting, and OSPF
•IPX
• Quality of Service and traffic filters
Using Configuration Pages
Most protocols are configured by creating or adding an entry - a VLAN, a 
firewall rule, a DHCP policy, and so on. For such protocols, configuration with 
the GUI is based on sets of three pages: first you see a “summary” page, and 
from that you access an “add” page and a “modify” page. Complex protocols 
are sub-divided into different tabs, each with their own summary, add and 
modify pages.
Only one person can configure a particular switch with the GUI at a time, to avoid 
clashes between configurations. Monitoring and diagnostics pages can be viewed by 
more than one user at a time.
Use the menus and buttons on the GUI pages to navigate, not your browser’s buttons, 
to ensure that the configuration settings are saved correctly.
The summary page displays a selection table of existing items and information 
about them (for example, existing PIM interfaces; see Figure 7 on page 33). 
Below the selection table is a row of buttons, labelled Add, Modify and 
Remove.
To add a new item, click the Add button. This opens the popup “add” page, 
which lets you create a new item (for example, configure a new PIM interface; 
see Figure 8 on page 33). 

Getting Started with the Graphical User Interface (GUI) 33
Software Release 2.6.1
C613-02039-00 REV A
To modify an existing item, select it by clicking on the option button at the 
beginning of its entry in the selection table. Then click the Modify button. This 
opens the popup “modify” page, which lets you expand or change the 
configuration (for example, change the Hello interval for a PIM interface; see 
Figure 9 on page 34).
To delete or destroy an item, select it by clicking on the option button at the 
beginning of its entry in the selection table. Then click the Remove button.
Figure 7: An example of a configuration page with a selection table
Figure 8: An example of a popup “add” page
Heading row
Add, Modify and
Remove buttons
Radio button
Tab s
Select list
Apply and Cancel
buttons
Checkbox
Text field

34 AT-8800 Series Switch User Guide
Software Release 2.6.1
C613-02039-00 REV A
Figure 9: An example of a popup “modify” page
Editable Fields
GUI pages allow you to enter values or select options through a range of field 
types. These include:
• text fields, to enter character strings or numbers, especially for fields 
where there are few limits on the entries (such as names). See the online 
help for valid characters and field length
• select lists, to select one option from a small number of possibilities. 
Only valid options are listed. For example, if you are asked to select an 
IP interface from a drop-down list, the only interfaces displayed will be 
those you have assigned an IP address to
• radio button lists, to choose one of a series of mutually-exclusive 
options
• checkboxes, to enable or disable features.
Ports Graphic
Pages on which you can select switch ports use a Ports graphic - a visual 
representation of the switch ports.To toggle through the selection options, click 
on the icon representing the port you want to select or deselect.
Non-editable field

Getting Started with the Graphical User Interface (GUI) 35
Software Release 2.6.1
C613-02039-00 REV A
Apply Button
An Apply button applies the configuration settings on the page or the section 
of the page. The new settings will take effect immediately, but are not 
automatically saved. To save the settings after clicking Apply, click the Save 
button above the menu.
Cancel Button
A Cancel button closes a popup page without making any changes to the 
configuration.
Close Button
A Close button closes a popup page, and conserves any changes that you made 
to the settings on the page by clicking on buttons like Add, Modify, Remove or 
Apply. Changes you made to editable fields will not be conserved when you 
click Close (unless you first clicked Apply).
The Management Menu
You can use the GUI to manage the switch itself, including:
• creating user accounts and enabling system security
• creating and editing files
• backing files up to the switch’s Flash memory or to a PC or TFTP server
• restoring the switch’s configuration from backup
• specifying which software and configuration files the switch uses on 
bootup, and displaying the currently-used files
• enabling software release and feature licences
• upgrading the switch’s software
The Monitoring Menu
When you browse to the GUI, the sidebar menu opens to display the 
monitoring menu, opened at the System > Status. From this menu, you can also 
check:
• information about the switch’s hardware
• information about traffic over each port
• the Layer 2 Forwarding Database, which shows the MAC addresses 
that the switch ports have learned, and out which port the switch will 
switch traffic to each MAC address
• information about Address Resolution Protocol (ARP) entries 
•the IP route table
• the log messages that the switch automatically generates. You can also 
set up filters to determine where messages are saved to and which 
messages are saved.

36 AT-8800 Series Switch User Guide
Software Release 2.6.1
C613-02039-00 REV A
The Diagnostics Menu
The GUI’s diagnostics pages enable you to troubleshoot network problems and 
observe traffic flow, including:
• displaying the number of good and bad packets received and 
transmitted over each switch port
• displaying the number and type of PPP packets received and 
transmitted
• displaying the number and type of packets received and transmitted by 
IP, and discarded by the IP gateway
• displaying the number and type of ICMP and UDP packets received 
and transmitted
• displaying the number and type of RIP packets received and 
transmitted; and the octets received and transmitted over each IP route
• displaying the contents of the switch’s file system and how much 
memory is used and available. You can also delete files
• an interface to the switch’s command line interface, allowing you to 
enter CLI commands.
Changing the Password
As a security precaution, change the password as soon as possible.
To change the password of the default Manager account, select Management > 
Users from the sidebar menu. Select the Manager account and click Modify.
For information about passwords, see “Changing a Password” on page 17.
Context Sensitive GUI Help
The GUI’s context-sensitive help system is displayed in a pop-up window 
which covers the title of the GUI page. You can move the banner to any part of 
your screen and/or resize it. To display the help, click on the Help button 
above the sidebar menu or on the page for which you require assistance. Three 
types of help are available:
■Click General Page Info to see brief background and process flow 
information. The General Page Info displays when you click the Help 
button.
■Click Page Element Info and roll your mouse over an element, to see 
information about that element. 
To freeze the banner’s display so that the help does not change when you 
move the mouse, press the [Ctrl] key. To unfreeze, press [Ctrl] again. Note 
that element information is not available for entries in tables. To see 
descriptions of the columns of tables, click Complete Help Page.
■Click Complete Help Page to see all available information, including the 
element information, in a separate printable window.
Help button

Getting Started with the Graphical User Interface (GUI) 37
Software Release 2.6.1
C613-02039-00 REV A
Saving Configuration Entered with the GUI
Configuration changes applied using the GUI can be saved to a configuration 
script by clicking the Save button at the top of the sidebar menu. A pop-up 
Save window gives you the option of saving to the current configuration file, 
another existing file, or a new file. You can also choose to use this configuration 
at bootup.
When the Save button is red, this indicates that changes have been made to the 
configuration and not yet saved. If you attempt to exit the GUI without saving 
the configuration, a pop-up window will allow you to choose whether or not to 
save.
Combining GUI and CLI Configuration
You can alternate between the GUI and the CLI without difficulty. Note that 
GUI pages will not automatically refresh to reflect changes in the CLI 
configuration; you must reload the relevant page (for example, by clicking the 
Refresh button on your browser).
Configuring Multiple Devices
If you are configuring a number of switches with similar requirements, you 
may wish to:
1. Configure one device, using either the CLI or the GUI
2. Save that configuration. This creates a configuration file, stored in the 
switch’s FLASH memory. The file consists of a sorted list of the CLI 
commands that make up the configuration
3. Upload that file to a PC, using either the CLI or the GUI
4. Open the file in a text editor, make changes as required, and download the 
file onto each switch you need to configure.
Save button

38 AT-8800 Series Switch User Guide
Software Release 2.6.1
C613-02039-00 REV A
Upgrading the GUI
You can download the latest GUI resource file from the support site at 
http://www.alliedtelesyn.co.nz. Before you start, ensure that the switch is running 
the most recent release and patch files. The GUI is not part of the firmware 
release file, but the most recent resource file will generally only be compatible 
with the most recent software release. To check which files the switch is 
running, refer to the “Current Install” section of the command:
SHOW INSTALL
If you are updating both the release and the resource file, set the preferred 
release and restart the switch before installing the GUI as described below.
To upgrade the GUI
1. If required, delete the old GUI resource file
If required, you can store more than one GUI resource file on the switch at 
a time. If you want to delete the previous GUI resource file (for example, to 
save memory), you must first disable the GUI, using the command:
DISABLE GUI
Then delete the GUI resource file, using the command:
DELETE FILE=old-gui.rsc
where:
•old-gui.rsc is the name of the GUI resource file that you are replacing.
Wait until FLASH compaction has finished. This will take several minutes.
Do not interrupt the switch’s power supply during FLASH compaction, under 
any circumstances.
If you have multiple valid resource files and releases stored on the switch, use the SET 
INSTALL command to change the release and resource file the switch uses (see below).
2. Load the new file onto the switch
Download the GUI resource file for your model of switch from the website 
to your TFTP server. Do not rename the file.
Resource files use a fixed naming convention, which includes a product code, a language 
code and a version code. For example, filenames for the AR450S are of the form 
d450se01.rsc. If you change the GUI resource file’s name, the switch will not recognise 
it as a valid file and you will be unable to use it for configuration.
Load the GUI resource file from your TFTP server to the switch, using the 
command:
LOAD FILE=filename.rsc SERVER=server
where:
•filename is the name of the GUI resource file, as shown on the support 
site for your switch. Do not rename the file.
•server is the IP address of the TFTP server the file is loaded from.

Getting Started with the Graphical User Interface (GUI) 39
Software Release 2.6.1
C613-02039-00 REV A
When the switch has loaded the file into its RAM, it displays the message 
“File transfer successfully completed”. It then writes the file to FLASH 
memory, which takes approximately 30 seconds after the message. Once 
the file has been copied to FLASH, you can enter commands that refer to it.
3. Install the new file as the preferred GUI
If you are updating both the release and the resource file, set the preferred 
release and restart the switch before installing the GUI as described below. 
To set the new GUI resource file as the preferred resource file, use the 
command:
SET INSTALL=preferred GUI=filename.rsc
You can use the GUI to load the new resource file onto the switch 
(Management > Software > Upgrade), but you need to use the CLI to 
install the new file.
If you disabled the GUI to delete the old resource file, enable it again, using 
the command:
ENABLE GUI
Check that the new GUI resource file is valid for your device, using the 
command:
SHOW GUI
If it is not, or if the file was corrupted during the download, disable the 
GUI, delete the file and try again.
4. Point your web browser at the switch’s IP address
Your browser may have a local copy of the old GUI file stored. If so, you 
need to delete these temporary files (see “Deleting Temporary Files” on 
page 40).
Troubleshooting
The GUI resource file has an 8-digit name, with the file extension rsc (for 
example, d450se01.rsc). To check which resource files are present on the 
switch use the command:
SHOW FILE
To see which GUI resource file the switch is currently using, and which it will 
use on bootup, use the command:
SHOW INSTALL
To display information about the GUI resource file that is currently installed, 
use the command:
SHOW GUI
In particular, this command lets you check the file’s validity. If the file is invalid 
or damaged, download a new file.
To display information about the switch’s HTTP server, use the commands:
SHOW HTTP SERVER
SHOW HTTP SERVER SESSION

40 AT-8800 Series Switch User Guide
Software Release 2.6.1
C613-02039-00 REV A
Deleting Temporary Files
Browsers store local copies of web pages as temporary files. If you upgrade to a 
new GUI resource file, or if you encounter problems in browsing to the GUI, 
you may need to delete these files (clear the cache). To clear the cache in 
Internet Explorer:
1. From the Tools menu, select Internet Options.
2. On the General tab, click the Delete Files button.
3. The Delete Files dialog box opens. Click the OK button.
To clear the cache in Netscape 6.2.x:
1. From the Edit menu, select Preferences
2. Click on the Advanced menu option to expand it.
3. Select the Cache menu option
4. Click the Clear Memory Cache and Clear Disk Cache buttons.
Accessing the Switch via the GUI
Problem You cannot browse to the switch.
Diagnosis Check if you can ping the switch’s interface from your PC. If you get a 
response, this indicates that the interface’s IP address is valid, and that your PC 
has a route to it.
Solution ■If you cannot ping the switch’s interface:
• Check that your PC’s gateway is correct, so that your PC has a route to 
the switch.
• The IP address of the switch’s interface may be incorrect. To correct this, 
access the CLI and use the IPADDRESS parameter of command SET IP 
INTERFACE
• The IP address of the switch’s default gateway may be incorrect, so that 
the switch does not have a route back to your PC’s gateway. To correct 
this, access the CLI and use the NEXTHOP parameter of the command 
ADD IP ROUTE or SET IP ROUTE. 
■If the switch should be dynamically assigned an IP address, check that the 
DHCP server can reach the switch, by pinging the switch from the DHCP 
server.
■If your PC accesses the Internet through a proxy server, you may need to 
set your browser to bypass the proxy when browsing to the switch’s IP 
address range. See “HTTP Proxy Servers” on page 23 for more 
information.
■If you cannot access the GUI because your username or password fails, 
check that you are spelling them correctly. The username “manager” will 
always be valid. Its default password is “friend”. Note that passwords are 
case sensitive.

Getting Started with the Graphical User Interface (GUI) 41
Software Release 2.6.1
C613-02039-00 REV A
Problem The GUI is behaving inconsistently, or you cannot access some pages. 
Solution ■Delete your browser’s temporary files (see “Deleting Temporary Files” on 
page 40) and try again.
■Check that you are trying to access the GUI from a supported operating 
system and browser combination. See “Browser and PC Setup” on page 22 
for more information.
■Check that JavaScript is enabled.
Problem The GUI does not seem to configure the switch correctly. 
Solution ■Use the buttons on the GUI pages to navigate, not your browser’s Back, 
Forward or Refresh buttons. The GUI’s navigation buttons perform aspects 
of the configuration.
Traffic Flow
Problem No traffic is passing through the switch to or from the LAN, the DMZ or 
both.
Solutions ■Check that the switch’s link to the LAN is functioning, by checking the 
interface status (Monitoring) and that the link LED is lit. If the LED is not 
lit, or the appropriate interfaces do not have an status of “active”:
• Check that the port is enabled (Configuration > Port > Settings)
• Check that the IP address of the interface is still valid.
• Check that the cables are connected correctly and function correctly.
■Check the RIP configuration (Configuration > Internet Protocol > RIP).
• Check that the RIP neighbour can reach the switch, by pinging the 
switch from the RIP neighbour.
• Any password and authentication settings must be configured on the 
neighbour as well as on this switch.
■Check that the switch is passing the correct DNS information to hosts on 
the LAN, if the switch is a DHCP server. If the switch acting as a DHCP 
client as well, and therefore is passing on DNS information from another 
DHCP server, check that this DHCP server is providing the switch with the 
correct information.

42 AT-8800 Series Switch User Guide
Software Release 2.6.1
C613-02039-00 REV A
IP Addresses and DHCP
Problem The switch is enabled as a DHCP server, but cannot assign an IP address to a 
host.
Solution ■Reboot the host machine.
■Check the host’s TCP/IP settings, to make sure that the host is set to obtain 
its IP address dynamically: 
In Windows 95/98, click Settings > Control Panel > Network. Select TCP/
IP and click Properties. Click Obtain an IP address automatically. 
In Windows 2000, click Settings > Control Panel > Network and Dial-up 
Connections > Local Area Connection > Properties. Select Internet 
connection (TCP/IP) and click Properties. Click Obtain an IP address 
automatically. 
■Check that the switch’s link to the LAN is functioning, by checking the 
interface status (Monitoring) and that the link LED is lit (see “Traffic Flow” 
on page 41). 
Time and NTP
Diagnosis The switch’s time is displayed on the Configuration > System > Time tab. It 
will also be included in log packets.
Problem The switch’s time does not change, even though you entered the correct time.
Solution Changing the time is a 3-step process. Select Configuration > System > Time. 
First, enter a time that is very shortly in the future (e.g. 20 seconds later than 
the current time). Then check Set time. Then wait until precisely the time you 
have entered, and click Apply.
Problem The switch is not assigning the time to devices on the LAN.
Solutions ■Check NTP is enabled (Configuration > System > Time).
■Check that the NTP peer’s IP address is entered correctly.
■Check that the NTP peer can reach the switch, by pinging the switch from 
the NTP peer.
■Check that the switch’s link to the LAN is functioning. See “Traffic Flow” on 
page 41.
Problem The switch’s clock does not synchronise with the NTP peer.
Solution ■The switch’s clock can only synchronise with the NTP peer if its initial time 
is similar to the NTP peer’s time (after setting the UTC offset). Manually 
set the switch’s time so that it is approximately correct, and enable NTP 
again.
■Check that the UTC offset is correct.
Problem The switch’s time is incorrect, even though it assigns the correct time to 
devices on the LAN. 
Solution The UTC offset is probably incorrect, or needs to be adjusted for the beginning 
or end of summer time. To correct this, select Configuration > System > Time 
and enter the correct offset.

Getting Started with the Graphical User Interface (GUI) 43
Software Release 2.6.1
C613-02039-00 REV A
Loading Software
Problem You have attempted to load a new release file onto the switch, but the load 
has failed and you cannot access the switch through the GUI.
Solution 1. Access the switch’s CLI (see “Connecting a Terminal or PC” on page 14).
If the switch has been switched off or has rebooted since you attempted to 
load the release file, it will boot up with the default installation. This 
contains the commands you require to load a file. 
Log into the switch using the manager account and password.
2. Download the release file to the switch. See “Example: Upgrade to a New 
Software Release Using TFTP” on page 57 for an example.

Chapter 4
Operating the switch
This Chapter
This chapter introduces basic operations on the switch, including: 
■“User Accounts and Privileges” on page 45
■“Normal Mode and Security Mode” on page 47
■“Remote Management” on page 49
■“Storing Files in FLASH Memory” on page 49
■“Using Scripts” on page 50
■“Loading and Uploading Files” on page 52
■“Upgrading Switch Software” on page 56
■“Using the Built-in Editor” on page 60
■“SNMP and MIBs” on page 60
User Accounts and Privileges
The switch software supports three levels of privilege for users: USER, 
MANAGER, and SECURITY OFFICER. By default, the switch has one account 
(manager) defined with manager privilege and the default password friend. The 
commands that a user can execute depends on the user’s privilege level and 
whether the switch is operating in normal or security mode (see “Normal Mode 
and Security Mode” on page 47). A USER level prompt looks like:
>
while a MANAGER prompt looks like:
Manager >
and a SECURITY OFFICER prompt looks like:
SecOff >
The MANAGER level has access to the full set of commands when the switch is 
in normal mode. When the switch is operating in security mode, users with 
MANAGER privilege cannot execute a subset of the commands known as the 
security commands (see “Normal Mode and Security Mode” on page 47).

46 AT-8800 Series Switch User Guide
Software Release 2.6.1
C613-02039-00 REV A
In normal mode, a user with manager privilege can create and delete accounts 
for users with any of these privilege levels. Users and passwords are managed 
by the User Authentication Facility. Users and passwords are authenticated 
using an internal database called the User Authentication Database, or by 
interrogation of external RADIUS (Remote Authentication Dial In User Service) or 
TACACS (Terminal Access Controller Access System) servers.
On the CLI, to use an account with manager privilege, log in to the account by 
entering the command:
LOGIN
The switch prompts you to enter a user name and password. To return to USER 
mode, enter the command:
LOGOFF
Make sure that you do not leave a manager session unattended. Unauthorised 
use of a manager session gives access to the User Authentication Database. To 
reduce the risk of unauthorised activity, a subset of manager commands have a 
security timer. These commands are shown in Table 4 on page 46. When you 
enter one of these commands from a manager session, the security timer is 
started and is then restarted each time you enter another of these commands. If 
you enter one of these commands after the timer has expired, you are 
prompted to re-enter the password. The secure delay timer is by default 60 
seconds. If the password is not entered correctly the password prompt is 
repeated a set number of times. If the correct password is still not entered a log 
message is generated and the session is logged off.
The security timer enables a manager to make successive additions and 
modifications to the database at one time without having to re-enter the 
password for every command.
The security timer does not provide a foolproof security mechanism. Managers 
should always attempt to log out of a manager session before leaving a 
terminal unattended.
If the switch is operating in security mode, the manager must also log in to a user 
account with SECURITY OFFICER privilege in order to execute any of the commands 
listed in Table 4 on page 46.
Table 4: Secure commands controlled by the security timer.
Command Description
ADD TACACS SERVER Adds a TACACS server to the list of TACACS servers used 
for user authentication.
ADD USER Adds a user to the User Authentication Database.
DELETE TACACS SERVER Deletes a TACACS server from the list of TACACS servers 
used for user authentication.
DELETE USER Deletes a user from the User Authentication Database.
PURGE USER Deletes all users except MANAGER from the User 
Authentication Database.
SET MANAGER PORT Assigns a port semipermanent MANAGER privilege.
SET USER Modifies a user record in the User Authentication Database.

Operating the switch 47
Software Release 2.6.1
C613-02039-00 REV A
See the Operations chapter in the AT-8800 Series Switch Software Reference for:
■More information about managing and using accounts with user, manager 
and security officer privileges
■A full list of commands that require security officer privilege when the 
switch is in secure mode
■Information about enabling a remote security officer. 
Normal Mode and Security Mode
The switch operates in one of two modes, either normal mode or security 
mode. By default, the switch is in normal mode. 
When the switch is in security mode, the command SHOW DEBUG does not display 
output of the SHOW FEATURE and SHOW CONFIGURATION DYNAMIC 
commands, or the current configuration in the SHOW SYSTEM output unless the 
SHOW DEBUG command is entered by a user with security officer privilege.
If you wish to use the following software features you need to enable security 
mode:
■IP authentication
■Secure Shell (see the Secure Shell chapter, AT-8800 Series Switch Software 
Reference)
■Encryption (see the Compression and Encryption Services chapter, AT-8800 
Series Switch Software Reference)
■IPsec (see the IP Security chapter, AT-8800 Series Switch Software Reference)
■Public Key Encryption (PKI) (see the Public Key Infrastructure chapter, AT-
8800 Series Switch Software Reference)
■Secure Sockets Layer (SSL) (see the Secure Sockets Layer chapter, AT-8800 
Series Switch Software Reference)
To enable security mode, first create a user with security officer privilege, then 
enter the command:
ENABLE SYSTEM SECURITY_MODE
To access secure functionality you will need to log in again as the security 
officer.
When the switch restarts, it restarts in the same normal mode or security mode 
as it was before restarting. To restore the switch to normal operating mode, 
enter the command:
DISABLE SYSTEM SECURITY_MODE
When security mode is disabled, the switch automatically deletes all sensitive 
data files, including encryption keys.
To display the current operating mode, enter the command:
SHOW SYSTEM

48 AT-8800 Series Switch User Guide
Software Release 2.6.1
C613-02039-00 REV A
When the switch is in security mode, a user with security officer privilege is the 
only person who can execute commands which affect switch security. Table 5 
on page 48 lists commands that only a security officer can execute when the 
switch is in security mode. A complete list of commands limited by security 
mode are listed in the Operation chapter in the AT-8800 Series Switch Software 
Reference.
Table 5: Commands requiring SECURITY OFFICER privilege when the switch is 
operating in security mode .
Command Specific Parameters
ACTIVATE SCR
ADD IP INT
ADD SCR
ADD USER
CREATE CONFIG
CREATE ENCO KEY
CREATE PPP
CREATE PPP TEMPLATE
CREATE SNMP COMMUNITY
DEACTIVATE SCR
DELETE FILE
DELETE SCR
DELETE USER
DISABLE USER
DUMP
EDIT 
ENABLE PPP DEBUG
ENABLE PPP TEMPLATE DEBUG
ENABLE SNMP
ENABLE USER
LOAD
MODIFY
PURGE USER
RENAME FILE 
RESET ENCO
RESET USER
SET CONFIG
SET INSTALL
SET IP INT
SET PPP
SET PPP TEMPLATE
SET SCR
SET SNMP COMMUNITY
SET USER
SHOW CONFIG

Operating the switch 49
Software Release 2.6.1
C613-02039-00 REV A
Remote Management
You can manage remote switches as easily as you manage the local switch a 
terminal is connected to. From a terminal connected to any port (with either 
USER or MANAGER privilege), enter the command:
TELNET ipadd
to Telnet to the remote switch, specifying the remote router’s IP address.
switchFor information about how to set routes and on how you assign an IP 
address to your switch, see “Setting Routes” on page 16 and “Assigning an IP 
Address” on page 15.
If the connection is successful, a login prompt from the remote switch is 
displayed. Login using a login name that has been defined with MANAGER 
privilege (such as the default MANAGER login name), and enter the 
password.
To return to the local switch and terminate the connection, enter the command:
LOGOFF
For more information about using Telnet, see the Terminal Server chapter in the 
AT-8800 Series Switch Software Reference.
Storing Files in FLASH Memory
When you purchase the switch, the switch software release, the online help 
files, and a default configuration file are stored in FLASH memory, where they 
are saved even if the switch is powered down. You will use the FLASH 
memory to store updated software releases or patches, and files that record the 
router’s configuration. FLASH memory is like a flat file system, with no 
subdirectories.
The switch also has Random Access Memory (RAM). The switch software uses 
RAM to run the switch. When you enter commands to configure the switch 
these commands affect the dynamic configuration in RAM.
FLASH memory is like a flat file system, with no subdirectories.
File names of up to 16 characters long, with extensions of 3 characters (DOS 
16.3 format), are supported on the switch. However, files on the switch are 
stored in FLASH using the DOS 8.3 format of 8 characters long, with 
SHOW FILE
SHOW PPP CONFIG
UPLOAD
Table 5: Commands requiring SECURITY OFFICER privilege when the switch is 
operating in security mode (Continued).
Command Specific Parameters

50 AT-8800 Series Switch User Guide
Software Release 2.6.1
C613-02039-00 REV A
extensions of 3 characters. For example, the file extralongfilenam.cfg may 
be saved as extral~1.cfg in the FLASH File System. Therefore, files can be 
accessed via two file names, either of which can be used for file management.
A translation table, named longname.lfn
, converts file names between 
DOS 
16.3 format and DOS 8.3 format. To reconcile file names the switch consults the 
translation table which is synchronised with file contents in memory. For more 
information about working with files see the Working With Files section, 
Operation chapter, AT-8800 Series Switch Software Reference.
To display the files in FLASH, enter the command:
SHOW FILE
Figure 10: Example output from the SHOW FILE command.
The Locks field indicates the number of concurrent software processes using the file.
The switch automatically compacts FLASH memory when a maximum 
threshold of deleted files is reached. Compaction frees space for new files by 
discarding garbage. A message will appear when FLASH compaction is 
activated. Another message appears when FLASH compaction is complete.
While FLASH is compacting, do not restart the switch or use any commands 
that affect the FLASH file subsystem. Do not restart the switch, or create, edit, 
load, rename or delete any files until a message confirms that FLASH file 
compaction is completed. Interrupting flash compaction may result in damage 
to files. 
Using Scripts
When you start or restart the switch, or when it automatically restarts, it 
executes the configuration commands in the boot script. A boot script is a text 
file containing a sequence of standard commands that the switch executes at 
startup. The default boot script is called boot.cfg. Commands run from a boot 
script are limited to 128 characters.
The commands you enter into the switch from the command line affect only 
the dynamic configuration in RAM, which is not retained over a power cycle. 
The switch does not automatically store these changes in FLASH memory. 
When the switch is restarted, it loads the configuration defined by the boot 
script, or if the switch was restarted using the RESTART command, any script 
file specified in the RESTART command.
Filename                Device        Size     Created                 Locks
----------------------------------------------------------------------------
28-72.pat               flash         111764   05-May-1997 12:41:42    0
28-74ang.rel            flash         2013756  09-May-1997 15:58:55    0
28f72-06.pat            flash         123268   18-Apr-1997 15:58:16    0
release.lic             flash         32       08-May-1997 16:43:49    0
test.cfg                flash         1698     09-May-1997 10:39:42    0
sixteenalongfile.scp    flash         24       30-May-1997 15:10:12    0
----------------------------------------------------------------------------

Operating the switch 51
Software Release 2.6.1
C613-02039-00 REV A
In addition to the boot configuration script that the switch automatically runs 
when it restarts, you can run a configuration script manually at any time, by 
entering the command:
ACTIVATE SCRIPT=filename
You can also set a trigger to automatically execute a configuration script when 
a specified event occurs.
For more information about how to create and run scripts, see the Scripting 
chapter in the AT-8800 Series Switch Software Reference. 
For information about creating triggers, see the Trigger Facility chapter in the 
AT-8800 Series Switch Software Reference.
Saving the Switch’s Configuration
To view the router’s current dynamic configuration, enter the command:
SHOW CONFIGURATION DYNAMIC
To save any changes made to the dynamic configuration after the switch last 
restarted (booted) across a restart or power cycle, and save the modified 
configuration as a script file, enter the command:
CREATE CONFIG=filename.scp
To set the switch to execute this script file when it restarts, enter the command:
SET CONFIG=filename.scp
The configuration file created by CREATE CONFIG command records passwords in 
encrypted form, not in cleartext. 
You can create a script file from any of the switch software commands. These 
are the same commands that are used to change the router’s configuration 
dynamically. Manually edit a configuration file using the router’s built in 
editor (see “Using the Built-in Editor” on page 60), or upload it to a PC using the 
UPLOAD command (see the Operation chapter, AT-8800 Series Switch Software 
Reference), edit it using any text editor, and download it again. Give 
configuration script files an extension of .scp or .cfg.
To display the name of the configuration file that is set to execute when the 
switch restarts, enter the command:
SHOW CONFIG=filename
Storing Multiple Scripts
You can store multiple configuration scripts on the switch. This allows you to 
test new configuration scripts once, before setting them as the default 
configuration. For example, to test the new configuration script test.cfg, 
enter the command:
RESTART SWITCH CONFIG=test.cfg
Storing multiple scripts also allows you to keep a backup switch with 
configuration scripts stored on it for every switch in the network to speed up 
network recovery time.

52 AT-8800 Series Switch User Guide
Software Release 2.6.1
C613-02039-00 REV A
Loading and Uploading Files
When you want to upgrade your switch to a new software patch or release, or 
use a new configuration file, load files onto the switch using the router’s 
LOADER module. You can also use the LOADER module to upload files, such 
as configuration files or log files, from the switch onto a host on the network.
File Naming Conventions
The file subsystem provides a flat file system—directories are not supported. 
Files are uniquely identified by a file name of the form:
[device:]filename.ext
where:
■device specifies the physical memory device on which the file is stored, 
FLASH. If device is specified, it must be separated from the rest of the file 
name by a colon (“:”). device is optional. If device is not specified, the default 
is FLASH.
■filename is a descriptive name for the file, and may be one to eight 
characters in length. Valid characters are lowercase letters (a–z), uppercase 
letters (A–Z), digits (0–9) and the hyphen character (-).
■ext is a file name extension, one to three characters in length. Some file 
name extensions are shown in Figure 6 on page 52. Valid characters are 
lowercase letters (a–z), uppercase letters (A–Z), digits (0–9) and the hyphen 
character (-). The extension is used by the switch to determine the data 
type of the file and how to use the file (Table 6 on page 52). If ext is 
specified, it must be separated from the filename portion by a period (“.”)
Table 6: File extensions and file types .
Extension File type/function
CER Public Key Infrastructure (PKI) certificate file.
CFG Configuration or boot script.
CRL PKI Certificate Revocation List file.
CSR PKI Certificate Signing Request file.
GIF (Graphics Interchange Format) graphic image file.
HLP CLI help file.
HTM HTML file used by the HTTP server.
INS Stores install information created by using the SET INSTALL 
command.
JPG (Joint Photographic Experts Group) graphic image file.
KEY Public portion of an RSA key.
LIC Licence information.
LOG Log file.
MDS Modem script.
REL Software release.
REZ Compressed release.
SCP Script.

Operating the switch 53
Software Release 2.6.1
C613-02039-00 REV A
You may see files on your switch with file name extensions not listed in Table 6 
on page 52. If you require more information about file types and file name 
extensions, contact your authorised distributor or reseller.
Do not change the header in a release or patch file. At best, this will cause the 
file load or install to fail, at worst the switch could be put into a state where it 
will not boot correctly until field service action is taken.
Loading Files
The LOADER module is responsible for loading and storing releases, patches, 
PKI certificates and other files into FLASH. The LOADER module uses the 
Trivial File Transfer Protocol (TFTP), Hypertext Transfer Protocol (HTTP), or 
ZMODEM over an asynchronous port, to retrieve files from a network host.
You can also load text files without using any of these protocols. For 
information about using Lightweight Directory Access Protocol (LDAP) to 
load PKI certificates or certificate revocation lists (CRLs), see the Operation 
chapter in the AT-8800 Series Switch Software Reference.
The router’s default download method is TFTP. To load a file onto the switch 
from a TFTP server using the TFTP protocol, enter the command:
LOAD [METHOD=TFTP] [DELAY=delay] [DESTFILE=destfilename] 
[DESTINATION={BOOTBLOCK|FLASH}] [SERVER={hostname|ipadd}] 
[SRCFILE|FILE=filename] 
To load a file onto the switch using the HTTP protocol, enter the command:
LOAD [METHOD={HTTP|WEB|WWW}] [DELAY=delay] 
[DESTFILE=destfilename] [DESTINATION=BOOTBLOCK|FLASH}] 
[HTTPPROXY={hostname|ipadd} [PASSWORD=password] 
[PROXYPORT=1..65535]] [SERVER={hostname|ipadd}] 
[SERVPORT={1..65535|DEFAULT}] [SRCFILE|FILE=filename] 
[USERNAME=username]
The switch can only load one file at a time. Wait for the current transfer to 
complete before initiating another transfer. To display the default configuration 
of the LOADER module, and the progress of any current transfer, enter the 
command:
SHOW LOADER
To stop a load at any time, leaving the LOADER module ready to load again, 
enter the command:
RESET LOADER
SPA Spam Mail Source files, listing email addresses, identified as spam 
mail sources, to be blocked by the firewall SMTP proxy, if it is 
active.
SPL VPN client.
TXT Generic text file.
VPF Future VPN client.
LFN Extension used for the long file name translation table
Table 6: File extensions and file types (Continued).
Extension File type/function

54 AT-8800 Series Switch User Guide
Software Release 2.6.1
C613-02039-00 REV A
Setting LOADER Defaults
You are likely to repeat the process of downloading files onto the switch using 
a similar method each time. You can set defaults for some or all of the LOADER 
parameters. You can then use or override some or all of these defaults for each 
particular load.
To set LOADER defaults, enter the command:
SET LOADER [ATTRIBUTE={CERT|CRL|CACERT|DEFAULT}] 
[BASEOBJECT={dist-name|DEFAULT}] [DELAY={delay|DEFAULT}] 
[DESTFILE=dest-filename] [DESTINATION={FLASH|DEFAULT}] 
[HTTPPROXY={hostname|ipadd|DEFAULT}] 
[METHOD={HTTP|LDAP|TFTP|WEB|WWW|ZMODEM|NONE|DEFAULT}] 
[PASSWORD=password] [PROXYPORT={1..65535|DEFAULT}] 
[{SCRFILE|FILE}=filename] 
[SERVER={host-name|ipadd|DEFAULT}] 
[SERVPORT={1..65535|DEFAULT}] [USERNAME=username]
You can set all parameters except DESTFILE, SCRFILE and FILE back to the 
factory defaults with the option DEFAULT.
For more information about setting the LOADER defaults on your switch, see 
the Operations chapter in the AT-8800 Series Switch Software Reference.
Example: Load a Patch File Using HTTP
This example loads a patch file onto the switch from an HTTP server on the 
network. Before following this procedure, make sure:
■The HTTP server is operating on a host with an IP address (for example 
192.168.1.1) on the network, and that the patch file is in the server’s HTTP 
directory.
■The switch has an IP address (for example 192.168.1.2) on the interface 
connecting it to the HTTP server, and that it can communicate with the 
server. 
■There is enough space in the router’s FLASH for the new patch file.
To load a patch file
1. Configure the LOADER.
Set the LOADER module with defaults to make the process of 
downloading files in future simpler.
SET LOADER METHOD=HTTP SERVER=192.168.1.1 
DESTINATION=FLASH
2. Download the patch file.
Download the patch file onto the switch, using the defaults set above.
LOAD FILE=52232-01.paz
When the download has completed, check that the file is in FLASH.
SHOW FILE
This shows the file 52232-01.paz is present.
To activate the patch see “To upgrade to a new patch file:” on page 59.

Operating the switch 55
Software Release 2.6.1
C613-02039-00 REV A
Uploading Files From the Switch
The LOADER can upload files from the switch to a network host, using TFTP 
or ZMODEM. Upload files using one of the commands:
UPLOAD [METHOD=TFTP] [FILE=filename] 
[SERVER={hostname|ipadd}]
UPLOAD [METHOD=ZMODEM] [FILE=filename] [ASYN=port]
The UPLOAD command uses defaults set with the SET LOADER command, 
for parameters not specified with the upload command. 
You can install Allied Telesyn’s Trivial File Transfer Protocol Server (AT-TFTP 
Server) on any PC or server running Windows. This will provide a simple way 
to make files available to all Allied Telesyn routers and layer 3 switches in your 
network. The TFTP Server, and a readme file describing how to install and use 
it, are provided on the AT-8800 Series Switch Documentation and Tools CD-ROM.
Example: Upload a Configuration File Using TFTP
This example uploads a configuration file from the switch to a TFTP server on 
the network. Before following this procedure, make sure:
■The TFTP server is operating on a host with an IP address (for example 
192.168.1.3) on the network.
■The switch has a valid IP address (for example 192.168.1.2) on the interface 
connecting it to the TFTP server, and that it can communicate with the 
server. 
■The configuration file is present in the router’s FLASH.
To upload a log file:
1. Configure the LOADER.
Set the LOADER module with defaults to make the process of 
downloading and uploading files in future simpler.
SET LOADER METHOD=TFTP SERVER=192.168.1.3
2. Upload the configuration file.
Upload the configuration file from the switch into the TFTP directory of the 
TFTP server on the network, using the defaults set above.
UPLOAD FILE=filename.cfg
Monitor the load progress.
SHOW LOAD
When the upload is complete, check that the file is in the TFTP directory on 
the network host. 
More information
For more information about loading files onto and uploading files from the 
switch, including using LDAP to load PKI certificate information, see the 
Operation chapter in the AT-8800 Series Switch Software Reference.

56 AT-8800 Series Switch User Guide
Software Release 2.6.1
C613-02039-00 REV A
Upgrading Switch Software
When you first start the switch, it automatically loads the software release from 
FLASH memory into RAM, where the CPU uses it to run all the router’s 
software features. The switch may also load a patch file to improve the main 
release. The software release and any patch files are current when the switch is 
produced at the factory.
When Allied Telesyn makes a new patch or release available, you may want to 
upgrade the software on your switch to use a new patch or release file. You can 
download the latest software patches, full software releases, and CLI help files 
from the support site at: http://www.alliedtelesyn.co.nz/support/ar400.
Make sure you download a patch or release file that matches your switch 
model. A patch or release file for AT-8800 Series Switch has 86 as the first two 
digits of the filename. Patch files have the file extension .paz and release files 
have the file extension .rez. For example, the Software Release 2.6.1 for the 
AR450S has the filename 86s-261.rez.
Release and patch files are compressed ASCII files, and consist of a header 
followed by a sequence of Motorola S-records containing the actual code for 
the release or patch. The header has a standard format, which provides 
information about the release or patch to the switch.
Do not change the header in a release or patch file. At best, this will cause the 
file load or install to fail, at worst the switch could be put into a state where it 
will not boot correctly until field service action is taken.
The current release and patch file are set as the preferred install. The switch 
also has a very limited version of the software stored in a specific part of 
FLASH (the FLASH boot block). You cannot delete this version as it is the 
default, or boot install. When you load a new software release or patch, you can 
set it to run once, the next time the switch reboots. This temporary install 
allows you to test run a new release or patch once, before you make it the 
preferred install. If the temporary install fails the switch will automatically run 
the preferred install if there is one, or otherwise the default install, the next 
time the switch reboots.
When the switch reboots, it checks the install information in a strict order: 
• Firstly, the switch checks the temporary install. If a temporary install is 
specified, the switch loads it into RAM and runs it. At the same time, it 
deletes the temporary install information so it will not load a second 
time. This information is deleted even if the temporary install triggers a 
fatal condition causing the switch to reboot immediately. 
• Secondly, if no temporary install is defined, or the install information is 
invalid, the switch checks the preferred install. If present, this install is 
loaded. The switch never deletes the preferred install information. 
• Thirdly, if neither a temporary install nor a preferred install is specified, 
the switch loads the default install. The default install is always present 
in the switch because if, for some reason, it is not, the INSTALL module 
will restore it.
The preferred install should not be set up with an untested release or patch. It 
is advisable to install new releases or patches as the temporary install, and 

Operating the switch 57
Software Release 2.6.1
C613-02039-00 REV A
when the switch boots correctly, to then set up the preferred install with the 
new release or patch.
To change the install information in the switch, enter the command:
SET INSTALL={TEMPORARY|PREFERRED|DEFAULT} 
[RELEASE={release-name|EPROM}] [PATCH=patch-name]
For security reasons the SET INSTALL command is only accepted if the user has 
SECURITY OFFICER privilege.
When you set a patch file as part of a temporary install or permanent install, 
you must also set the corresponding release file in the same command, if it has 
not already been set as part of that install. You can set the patch, but not the 
release (always EPROM), for the default install.
To delete a temporary install or preferred install, enter the command:
DELETE INSTALL={TEMPORARY|PREFERRED}
If a default install is set, only the patch information is deleted using the 
DELETE INSTALL command as the release information must always be left 
intact in the default install.
To display the current install information, including which install is currently 
running in the switch, and how the install information was checked at the last 
reboot, enter the command:
SHOW INSTALL
For more information about INSTALL commands, see the Operations chapter in 
the AT-8800 Series Switch Software Reference.
Example: Upgrade to a New Software Release Using 
TFTP
This example assumes the switch is correctly configured to allow TFTP to 
function. This means that IP is configured and the switch is able to 
communicate with the designated TFTP server. The TFTP server is assumed to 
function correctly and the release and patch files are assumed present in the 
server’s TFTP directory. The switch has no patch files, and is running the 
Software Release 2.6.1. The IP address of the server is 172.16.1.1. The name of 
the release file being loaded is 86s-262.rez.
To upgrade to a new software release:
1. Configure the LOADER.
The LOADER module is set up with defaults to make the process of 
downloading files in future simpler. All release and patch files in this 
switch are stored in FLASH.
SET LOADER METHOD=TFTP SERVER=172.16.1.1 DEST=FLASH
2. Load the new release file onto the switch.
Make sure there is space in FLASH for the new release file. Load the new 
file onto your switch. Make sure the release file matches your switch model 
(see “Upgrading Switch Software” on page 56). Load any patch files 
required, and the help file for the release (see “Loading and Uploading Files” 

58 AT-8800 Series Switch User Guide
Software Release 2.6.1
C613-02039-00 REV A
on page 52). To load the release file using your LOADER default settings, 
enter the command:
LOAD FILE=86s-262.rez
Wait for the release to load. This can take several minutes, even if you are 
loading the file over a high speed link. To see the progress of the load, enter 
the command:
SHOW LOAD
To check that the files are successfully loaded, enter the command:
SHOW FILE
3. Enter licence information for the release.
Enter the licence password for the software release.
ENABLE RELEASE=86s-262.rez PASSWORD=ce645398fbe 
NUMBER=2.6.2
The release licence password is provided by your authorised distributor or 
reseller and is unique for the release number (in this case 2.6.2), the file 
name and the router’s serial number.
Enter passwords for any special feature licences.
ENABLE FEATURE=feature PASSWORD=password
4. Test the release.
Set the new release to run as a temporary install. This sets the switch to 
load the new release once only when it reboots.
SET INSTALL=TEMPORARY RELEASE=86s-262.rez
If you want to use the current switch configuration again, store the 
dynamic configuration as a configuration script file and set the switch to 
use this configuration when it restarts. Releases are generally backward- 
compatible, so your current configuration should run with little or no 
modifications on the later release. 
CREATE CONFIG=myconfig.cfg
SET CONFIG=myconfig.cfg
The SET CONFIG information survives the release update.
Reboot the switch.
RESTART REBOOT
The switch reboots, loading the new release file and the specified 
configuration. Display the install history, and check that the temporary 
release was loaded. 
SHOW INSTALL
5. Make the release the default (permanent) release.
If the switch operates correctly with the new release, make the release 
permanent.
SET INSTALL=PREFERRED RELEASE=86s-262.rez
Every time the switch reboots from now on, it loads the new release from 
FLASH.

Operating the switch 59
Software Release 2.6.1
C613-02039-00 REV A
Example: Upgrade to a new patch file
Use this procedure to upgrade the software release currently running on the 
switch with a new patch. This example assumes that the current release, 
Software Release 2.6.1, is set as the preferred release.
To upgrade to a new patch file:
1. Load the new patch file onto the switch.
Load the new file onto your switch. See “Loading and Uploading Files” on 
page 52.
LOAD FILE=86261-01.paz
Check that the file is successfully loaded.
SHOW FILE
2. Test the patch.
Set the release to run as a temporary install, so that it loads the patch once 
only the next time it reboots.
SET INSTALL=TEMPORARY RELEASE=86s-261.rez 
PATCH=86261-01.paz
If you want to use the current switch configuration again, store the 
dynamic configuration as a configuration script file, and set the switch to 
use this configuration when it restarts.
CREATE CONFIG=myconfig.scp
SET CONFIG=myconfig.scp
Reboot the switch.
RESTART REBOOT
The switch reboots, loading the new patch file and the specified 
configuration. Check that the switch operates correctly with the new patch 
file.
3. Make the patch part of the default (permanent) release.
If the switch operates correctly with the new patch, make the release 
permanent.
SET INSTALL=PREFERRED RELEASE=86s-261.rez 
PATCH=86261-01.paz
Every time the switch reboots from now on, it loads the new release and 
patch from FLASH.
Do not set an untested patch as part of the preferred install. 

60 AT-8800 Series Switch User Guide
Software Release 2.6.1
C613-02039-00 REV A
Using the Built-in Editor
The AT-8800 Series Switch has a built-in full-screen text editor for editing script 
files stored on the switch file subsystem. Using the text editor you can run 
script files manually, or set script files to run automatically at switch restart, or 
on trigger events. Figure 11 on page 60 shows a example screen shot of the text 
editor. To start the editor with a new file or an existing file, enter the command:
EDIT [filename]
Figure 11: The editor screen layout.
The editor uses VT100 command sequences and should only be used with a 
VT100-compatible terminal, terminal emulation program or Telnet client.
To display editor Help at any time while in the editor press [Ctrl/K,H]; that is, 
hold down the Ctrl key and press in turn the K key then the H key. 
For more information about the inbuilt editor, see the Operation chapter in the 
AT-8800 Series Switch Software Reference.
SNMP and MIBs
You can remotely monitor some features of the switch using Simple Network 
Management Protocol (SNMP).
For information about the MIBs supported by the switch, see Appendix C: 
SNMP MIBs in the AT-8800 Series Switch Software Reference.
The SNMP agent is disabled by default. To enable SNMP, enter the command:
ENABLE SNMP

Operating the switch 61
Software Release 2.6.1
C613-02039-00 REV A
SNMP communities are the main configuration item in the router’s SNMP 
agent, and are defined in terms of a list of IP addresses which define the SNMP 
application entities (trap hosts and management stations) in the community. To 
create an SNMP community, enter the command:
CREATE SNMP COMMUNITY=name [ACCESS={READ|WRITE}] 
[TRAPHOST=ipadd] [MANAGER=ipadd] 
[OPEN={ON|OFF|YES|NO|TRUE|FALSE}]
The community name is a security feature and you should keep it secure.
To enable the generation of authentication failure traps by the SNMP agent 
whenever an SNMP authentication failure occurs, enter the command:
ENABLE SNMP AUTHENTICATE_TRAP
To enable the generation of link state traps for a specified interface, enter the 
command:
ENABLE INTERFACE=interface LINKTRAP
where interface is the name of an interface, such as “vlan11”.
For more information see the Simple Network Management Protocol (SNMP) 
chapter and the Interfaces chapter in the AT-8800 Series Switch Software Reference.
To display the current state and configuration of the SNMP agent, enter the 
command:
SHOW SNMP
For a detailed description of the output from the SHOW SNMP command, see 
the Simple Network Management Protocol (SNMP) chapter in the AT-8800 Series 
Switch Software Reference. 
For More About Operations and Facilities
For more detail about operating the switch, and for full command syntax 
definitions, see the Operation chapter in the AT-8800 Series Switch Software 
Reference, including: 
■How to use the User Authentication Facility, RADIUS, TACACs or 
TACACS+ for authenticating users who log on to the switch, and ensuring 
that only authorised login accounts are used.
■How to use the HTTP Client, which you can use to download software files 
onto the switch, and the HTTP Server.
■How to use the Mail Subsystem.
■How to use LDAP to load PKI certificates and CRLs onto your switch.
■Switch Startup Operations
■How to use FLASH compaction to regain storage space on the switch. Read 
“Warning about FLASH memory” on page 12 before you attempt to do this.
■How to set aliases to represent common command strings.
■How to define a remote security officer, so you can manage the security 
features remotely via Telnet.

62 AT-8800 Series Switch User Guide
Software Release 2.6.1
C613-02039-00 REV A
See other chapters in the AT-8800 Series Switch Software Reference for more 
information on how to: 
■Use the logging facility to monitor network activity and to select and 
display the results (see the Logging Facility chapter).
■Use SNMP to manage the switch remotely (see the Simple Network 
Management Protocol (SNMP) chapter and Appendix C: SNMP MIBs).
■Use the command line to create, delete and modify configuration scripts 
(see the Scripting chapter).
■Set up triggers to automatically run specified scripts at specified times, or 
at specified events (see the Trigger Facility chapter).
■Use NTP to synchronise your router’s time clock with those of other 
network devices (see the Network Time Protocol (NTP) chapter).
■Use software to test whether the router’s hardware functions correctly (see 
the Test Facility  chapter).

Chapter 5
Layer 2 Switching
This section describes the Layer 2 switching features on the AT-8800 Series 
Switch, and how to configure them.
Switch Ports
Each Ethernet switch port is uniquely identified by a port number. The switch 
supports a number of features at the physical level that allow it to be connected 
in a variety of physical networks. This physical layer (layer 1) versatility 
includes:
■Enabling and disabling of Ethernet ports.
■Auto negotiation of port speed and duplex mode for all 10/100 Ethernet 
ports.
■Manual setting of port speed and duplex mode for all 10/100 Ethernet 
ports.
■Link up and link down triggers.
■Port trunking.
■Packet storm protection.
■Port mirroring.
■Support for SNMP management
Enabling and Disabling Switch Ports
An switch port that is enabled is available for packet reception and 
transmission. Its administrative status in the Interfaces MIB is UP. Conversely, 
an Ethernet port that is disabled is not available for packet reception and 
transmission. It will not send or receive any frames; incoming STP BPDU 
packets are discarded. Its administrative status in the Interfaces MIB is DOWN. 
Every Ethernet port on the switch is enabled by default. Disabling a switch 
port does not affect the STP operation on the port. Enabling a switch port will 
allow the port to participate in spanning tree negotiation. A switch port that 
has been disabled by the Port Security feature cannot be enabled using the 
ENABLE SWITCH PORT command.

64 AT-8800 Series Switch User Guide
Software Release 2.6.1
C613-02039-00 REV A
To enable or disable a switch port, use the commands:
ENABLE SWITCH PORT={port-list|ALL}
DISABLE SWITCH PORT={port-list|ALL}
Resetting Ethernet ports at the hardware level discards all frames queued for 
reception or transmission on the port, and restarts autonegotiation of port 
speed and duplex mode. Ports are reset using the command:
RESET SWITCH PORT={port-list|ALL} [COUNTER]
To display information about switch ports, use the command:
SHOW SWITCH PORT[={port-list|ALL}]
Figure 12: Example output from the SHOW SWITCH PORT command.
Switch Port Information
---------------------------------------------------------------------------
 Port .......................... 1
   Description ................... To intranet hub, port 4
   Status ........................ ENABLED
   Link State .................... Up
   UpTime ........................ 00:10:49
   Port Media Type ............... ISO8802-3 CSMACD
   Configured speed/duplex ....... Autonegotiate
   Actual speed/duplex ........... 1000 Mbps, full duplex
   Configured master/slave mode .. Autonegotiate
   Actual master/slave mode ...... Master
   Acceptable Frame Types ........ Admit All Frames
   Broadcast rate limit .......... 1000/s
   Multicast rate limit .......... -
   DLF rate limit ................ -
   Learn limit ................... -
   Intrusion action .............. Trap
   Current learned, lock state ... 15, not locked
   Mirroring ..................... Tx, to port 22
   Is this port mirror port ...... No
   Enabled flow control .......... Pause
   Send tagged pkts for VLAN(s) .. marketing (87)
                                   sales (321)
   Port-based VLAN ............... accounting (42)
   Ingress Filtering ............. OFF
   Trunk Group ................... -
   STP ........................... company
   Multicast filtering mode ...... (B) Forward all unregister groups
---------------------------------------------------------------------------
Table 7: Parameters in the output of the SHOW SWITCH PORT command 
Parameter Meaning
Port The number of the switch port.
Description A description of the port.
Status The state of the port; one of “ENABLED” or “DISABLED”.
Link state The link state of the port, one of “Up” or “Down”.
Uptime The count in hours:minutes:seconds of the elapsed time 
since the port was last reset or initialised.
Port Media Type The MAC entity type as defined in the MIB object ifType.

Layer 2 Switching 65
Software Release 2.6.1
C613-02039-00 REV A
Configured speed/duplex The port speed and duplex mode configured for this port. 
One of “Autonegotiate” or a combination of a speed (one 
of “10 Mbps”, “100 Mbps” or “1000 Mbps”) and a duplex 
mode (one of “half duplex” or “full duplex”).
Actual speed/duplex The port speed and duplex mode that this port is actually 
running at. A combination of a speed (one of “10 Mbps”, 
“100 Mbps” or “1000 Mbps”) and a duplex mode (one of 
“half duplex” or “full duplex”).
Configured master/slave mode The master/slave mode configured for this port; one of 
“Autonegotiate’, “Master”, “Slave” or “Not applicable”.
Actual master/slave mode The master/slave mode actually selected; one of “-”, 
“Master”, “Slave” or “Not applicable”.
Acceptable Frames Types The value of the Acceptable Frames Type parameter, one of: 
“Admit All Frames” or “Admit Only VLAN-tagged Frames”.
Broadcast rate limit The limit of the rate of reception of broadcast frames for 
this port, in frames per second.
Multicast cast rate limit The limit of the rate of reception of multicast frames for this 
port, in frames per second.
DLF rate limit The limit of the rate of reception of DLF (destination lookup 
failure) frames for this port, in frames per second.
Learn limit The number of MAC addresses that may be learned for this 
port. Once the limit is reached, the port is locked against 
any new MAC addresses. One of “None” or a number from 
1 to 256.
Intrusion action  The action taken on this port when a frame is received from 
an unknown MAC address when the port is locked. One of 
“None”, “Discard”, “Trap” or “Disable”.
Current learned, lock state The number of MAC addresses currently learned on this 
port and the state of locking for this port. The lock state is 
one of “not locked”, “locked by limit” or “locked by 
command”.
Mirroring The traffic mirroring for traffic in and out of this port. One 
of “None”, “Rx” (for traffic received by this port), “Tx” (for 
traffic sent on this port) or “Both”. The port to which 
mirrored frames are being sent is also displayed.
Is this port mirror port Whether or not this port is a mirror port. One of “No” or 
“Yes”.
Enabled flow control(s) Flow control parameters set for the port; “Pause” or “-”. If 
flow control is implemented on the switch, then Pause flow 
control is applied to the port.
Send tagged pkts for VLAN(s) The name and VLAN Identifier (VID) of the tagged VLAN(s), 
if any, to which the port belongs.
Port-based VLAN The name and VLAN Identifier (VID) of the port-based VLAN 
to which the port belongs.
Ingress Filtering The state of Ingress Filtering: one of “ON” or “OFF”.
Trunk Group Name of trunk group to which the port belongs, if any.
STP The name of the STP to which the port belongs.
Table 7: Parameters in the output of the SHOW SWITCH PORT command 
Parameter Meaning

66 AT-8800 Series Switch User Guide
Software Release 2.6.1
C613-02039-00 REV A
Autonegotiation of Port Speed and Duplex Mode
Each of the switch ports can operate at either 10 Mbps or 100 Mbps, in either 
full duplex or half duplex mode. In full duplex mode a port can transmit and 
receive data simultaneously, while in half duplex mode the port can either 
transmit or receive, but not at the same time. This versatility makes it possible 
to connect devices with different speeds and duplex modes to different ports 
on the switch. Such versatility also requires that each port on the switch know 
which speed and mode to use. 
Autonegotiation allows the ports to adjust their speed and duplex mode to 
accommodate the devices connected to them. Each switch port can be either 
configured with a fixed speed and duplex mode, or configured to 
autonegotiate speed and duplex mode with a device connected to it to 
determine a speed and mode that will allow successful transmission. An 
autonegotiating port will adopt the speed and duplex mode required by 
devices connected to it. If another autonegotiating device is connected to the 
switch, they will negotiate the highest possible common speed and duplex 
mode (Table 8 on page 67). Setting the port to a fixed speed and duplex mode 
allows it to support equipment that cannot autonegotiate.
It is also possible to require a port to operate at a single speed without 
disabling autonegotiation by allowing the port to autonegotiate but constrain 
the speed/duplex options to the desired combination. For example, if one end 
of a link is set to AUTO and other to 100MFULL then the AUTO end will select 
100MHALF operation because without the other end autonegotiating the 
AUTO end has no way of knowing that the fixed end is full duplex capable. If a 
particular speed is required it is usually preferable to fix the speed/duplex 
combination using one of the autonegotiating speed values. Therefore, using 
100MFAUTO at one end of a link and will allow the AUTO end to 
autonegotiate 100MFULL. 
Switch ports will autonegotiate by default when they are connected to a new 
device. To change this setting, use the command:
SET SWITCH PORT={port-list|ALL} 
SPEED={AUTONEGOTIATE|10MHALF|10MFULL|10MHAUTO|10MFAUTO|10
0MHALF|100MFULL|100MHAUTO|100MFAUTO|1000MHALF|1000MFULL|1
000MHAUTO|1000MFAUTO}
Autonegotiation can also be activated at any time after this, on any port that is 
set to autonegotiate, by using the command:
ACTIVATE SWITCH PORT={port-list|ALL} AUTONEGOTIATE 
On the first switch, the gigabit uplink ports always use 1000 Mbps speed and 
operate in full duplex mode, but these ports can also autonegotiate with peers 
in order to successfully pass the negotiation phase to get to successful 
operation.

Layer 2 Switching 67
Software Release 2.6.1
C613-02039-00 REV A
The SHOW SWITCH PORT command displays the port speed and duplex 
mode settings.
Port Trunking
Port trunking, also known as port bundling or link aggregation, allows a 
number of ports to be configured to join together to make a single logical 
connection of higher bandwidth. This can be used where a higher performance 
link is required, and makes links even more reliable. 
The switch supports up to 6 trunk groups, of up to 8 switch ports each. The two 
gigabit Ethernet ports can also be grouped together to form a trunk group. It is 
not possible for a trunk group to include both 10/100 Ethernet and gigabit 
Ethernet ports. Ports in the trunk group do not have to be contiguous. Port 
trunking is supported between AR800 Series and Rapier switches, and may be 
compatible with trunking algorithms on third party devices.
Port trunk groups are created and destroyed on the switch using the 
commands:
CREATE SWITCH TRUNK=trunk [PORT=port-list] 
[SELECT={MACSRC|MACDEST|MACBOTH|IPSRC|IPDEST|IPBOTH}] 
[SPEED={10M|100M|1000M}]
DESTROY SWITCH TRUNK=trunk
Port trunk groups can only be destroyed on the switch if no ports belong to 
them.
All the ports in a trunk group must belong to the same VLAN. Ports in a trunk 
group can be added to other VLANs, either as individual ports or as an entire 
group. A port in a trunk group cannot be deleted from any of the VLAN(s) to 
Table 8: Port speed and duplex settings for Ethernet Ports .
Speed
AT-8824
AT-8848
10/100
10MHALF Yes
10MFULL Yes
100MHALF Yes
100MFULL Yes
1000MHALF No
1000MFULL No
10MHAUTO Yes
10MFAUTO Yes
100MHAUTO Yes
100MFAUTO Yes
1000MHAUTO No
1000MFAUTO No
AUTONEGOTIATE Yes

68 AT-8800 Series Switch User Guide
Software Release 2.6.1
C613-02039-00 REV A
which the whole trunk group belongs, unless it is first removed from the trunk 
group. The members of a trunk group can be specified when it is created, and 
ports can be added to or removed from a trunk group using the commands:
ADD SWITCH TRUNK=trunk PORT=port-list
DELETE SWITCH TRUNK=trunk PORT={port-list|ALL}
Ports which are members of a trunk group must operate in full duplex mode. 
When a port is added to a trunk group, the speed setting for the group 
overrides the speed setting previously configured for the port. When a port is 
removed from a trunk group, the port returns to its previously configured 
speed and duplex mode settings. 
The speed of the trunk group can either be specified when it is created, or set 
using the command:
SET SWITCH TRUNK=trunk 
[SELECT={MACSRC|MACDEST|MACBOTH|IPSRC|IPDEST|IPBOTH}] 
[SPEED={10M|100M|1000M}]
The SELECT parameter specifies the port selection criterion for the trunk 
group. Each packet to be sent on the trunk group is checked, using the selection 
criterion, and a port in the trunk group chosen down which to send the packet. 
If MACSRC is specified, the source MAC address is used. If MACDEST is 
specified, the destination MAC address is used. If MACBOTH is specified, 
both source and destination MAC addresses are used. If IPSRC is specified, the 
source IP address is used. If IPDEST is specified, the destination IP address is 
used. If IPBOTH is specified, both the source and destination IP addresses are 
used. The user of the switch should choose the value of this parameter to try to 
spread out the load as evenly as possible on the trunk group. The default for 
this parameter is MACDEST.
The SPEED parameter specifies the speed of the ports in the trunk group. For 
gigabit ports, only the value 1000M is allowed. For switch ports, values of 10M 
and 100M are allowed. The default is 100M. When a port is added to a trunk 
group, its current speed and duplex mode settings are ignored and the port 
uses the speed of the trunk group and full duplex mode.
To display information about trunks on the switch, use the command:
SHOW SWITCH TRUNK[=trunk]
To display the VLANs to which the ports in the trunk groups belong, use the 
command:
SHOW VLAN[=ALL]
Port trunking must be configured on both ends of the link, or network loops may result.

Layer 2 Switching 69
Software Release 2.6.1
C613-02039-00 REV A
Packet Storm Protection
The packet storm protection feature allows the user to set limits on the 
reception rate of broadcast, multicast and destination lookup failure packets. 
The software allows separate limits to be set for each port, beyond which each 
of the different packet types are discarded. The software also allows separate 
limits to be set for each of the packet types. Which of these options can be 
implemented depends on the model of switch hardware. 
By default, packet storm protection is set to NONE, that is, disabled. It can be 
enabled, and each of the limits can be set using the command:
SET SWITCH PORT=port-list [BCLIMIT={NONE|limit}] 
[DLFLIMIT={NONE|limit}] [MCLIMIT={NONE|limit}]
Packet storm protection limits cannot be set for each individual port on the 
switch, but can be set for each processing block of ports. The processing blocks 
are sets of 8 ports (e.g. as many as are applicable of ports 1-8, 9-16, 17-24, 25-32, 
33-40 and 41-48) and each uplink port is a further processing block. Therefore, a 
24-port switch has five processing blocks and a 48-port switch has eight. The 
two uplink ports are numbered sequentially after the last port, and therefore 
are 25 and 26 for a 24-port switch, and 49 and 50 for a 48-port switch. Only one 
limit can be set per processing block, and then applies to all three packet types. 
Thus each of the packet types are either limited to this value, or unlimited 
(NONE). 
The BCLIMIT parameter specifies a limit on the rate of reception of broadcast 
packets for the port(s). The value of this parameter represents a per second rate 
of packet reception above which packets will be discarded, for broadcast 
packets. If the value NONE or 0 is specified, then packet rate limiting for 
broadcast packets is turned off. If any other value is specified, the reception of 
broadcast packets will be limited to that number of packets per second. See the 
note below for important information about packet rate limiting. The default 
value for this parameter is NONE.
The DLFLIMIT parameter specifies a limit on the rate of reception of 
destination lookup failure packets for the port. The value of this parameter 
represents a per second rate of packet reception above which packets will be 
discarded, for destination lookup failure packets. If the value NONE or 0 is 
specified, then packet rate limiting for destination lookup failure packets is 
turned off. If any other value is specified, the reception of destination lookup 
failure packets will be limited to that number of packets per second. See the 
note after the BCLIMIT parameter description for important information about 
packet rate limiting. The default value for this parameter is NONE. If packet 
storm protection limits are set on the switch, the PORT parameter must specify 
complete processing blocks.
A destination lookup failure packet is one for which the switch hardware does not have 
a record of the destination address of the packet, either Layer 2 or Layer 3 address. These 
packets are passed to the CPU for further processing, so limiting the rate of reception of 
these packets may be a desirable feature to improve system performance.
The MCLIMIT parameter specifies a limit on the rate of reception of multicast 
packets for the port. The value of this parameter represents a per second rate of 
packet reception above which packets will be discarded, for multicast packets. 
If the value NONE or 0 is specified, then packet rate limiting for multicast 
packets is turned off. If any other value is specified, the reception of multicast 
packets will be limited to that number of packets per second. See the note after 

70 AT-8800 Series Switch User Guide
Software Release 2.6.1
C613-02039-00 REV A
the BCLIMIT parameter description for important information about packet 
rate limiting. The default value for this parameter is NONE. If packet storm 
protection limits are set on the switch, the PORT parameter must specify 
complete processing blocks.
The ability of the switch to limit packet reception rates for different classes of packets is 
dependent on the particular switch hardware. In particular, groups of ports may have to 
have the same limits set, and the same limit may be set for the different types of packets, 
depending on the hardware. Whenever packet rate limits are set on switches which have 
this type of constraint, the latest parameter values entered will supersede earlier values. 
When a command entered for specified ports changes the parameters for other ports, a 
message will indicate these changes. 
The SHOW SWITCH PORT command displays the packet storm protection 
settings (Figure 12 on page 64). 
SHOW SWITCH PORT=port-list
Port Mirroring
Port mirroring allows traffic being received and transmitted on a switch port to 
be sent to another switch port, the mirror port, usually for the purposes of 
capturing the data with a protocol analyser. This mirror port is the only switch 
port which belongs to no VLANs, and therefore does not participate in any 
other switching. Before the mirror port can be set, it must be removed from all 
VLANs except the default VLAN. The port cannot be part of a trunk group. 
To set the mirror port (and remove it from the default VLAN) use the 
command:
SET SWITCH MIRROR={NONE|port}
If another port was previously set as the mirror port, this command returns the previous 
mirror port to the default VLAN as an untagged port. Return this port to any VLANs 
to which it should belong, using the ADD VLAN PORT command, or set it as a tagged 
port using the SET VLAN PORT command if required. 
Either traffic received on a port or traffic transmitted by the port, or both, can 
be mirrored. This setting and the source port(s) from which traffic is sent to the 
mirror port are specified using the command: 
SET SWITCH PORT={port-list|ALL} MIRROR={NONE|RX|TX|BOTH}
Mirroring four or more ports may significantly reduce switch performance.
The MIRROR parameter specifies the role of these port(s) as a source of mirror 
traffic. If NONE is specified, no traffic received or sent on these port(s) will be 
mirrored. If RX is specified, all traffic received on these port(s) will be mirrored. 
If TX is specified, all traffic transmitted on these port(s) will be mirrored. If 
BOTH is specified, all traffic received and transmitted will be mirrored. Traffic 
will actually only be mirrored if there is a mirror port defined and if mirroring 
is enabled. The default is NONE.

Layer 2 Switching 71
Software Release 2.6.1
C613-02039-00 REV A
To send packets that match particular criteria to the mirror port, first create a 
classifier or classifiers using the command:
CREATE CLASSIFIER
Then create a hardware filter with the ACTION parameter set to 
SENDMIRROR, using the command: 
ADD SWITCH HWFILTER CLASSIFIER=classifier-list 
ACTION=SENDMIRROR
By default mirroring is disabled, no mirror port is set, and no source ports are 
set to be mirrored. Mirroring can only be enabled after the switch mirror port 
has been set to a valid port. If mirroring has been enabled but the switch mirror 
port is set to NONE, then mirroring will be disabled. Mirroring is enabled and 
disabled using the commands:
ENABLE SWITCH MIRROR
DISABLE SWITCH MIRROR
The SHOW SWITCH PORT and SHOW SWITCH commands display the 
switch and port mirroring settings.
Port security
The port security feature allows control over the stations connected to each 
switch port, by MAC address. If enabled on a port, the switch will learn MAC 
addresses up to a user-defined limit from 1 to 256, then lock out all other MAC 
addresses. One of the following options can be specified for the action taken 
when an unknown MAC address is detected on a locked port:
■Discard the packet and take no further action,
■Discard the packet and notify management with an SNMP trap,
■Discard the packet, notify management with an SNMP trap and disable the 
port.
To enable port security on a port, set the limit for learned MAC addresses to a 
value greater than zero, and specify the action to take for unknown MAC 
addresses on a locked port. To disable port security on a port, set the limit for 
learned MAC addresses to zero or NONE. Port security can be enabled or 
disabled on a port using the command:
SET SWITCH PORT={port-list|ALL} LEARN={NONE|0|1..256} 
[INTRUSIONACTION={NONE|DISCARD|TRAP|DISABLE}]
The INTRUSIONACTION parameter specifies the action taken when the 
port(s) receive packets from addresses which are not part of the learned list of 
addresses as specified by the LEARN parameter. If DISCARD is specified, 
packets received from MAC addresses not on the port’s learn list will be 
discarded. If TRAP is specified, packets received from MAC addresses not on 
the port’s learn list will be discarded and an SNMP trap will be generated. If 
DISABLE is specified, the first time a packet is received from a MAC address 
not on the port’s learn list, it will be discarded, an SNMP trap will be generated 
and the port(s) will be disabled. To re-enable the port, disable the Port Security 
function on the port. The default value for this parameter is DISCARD.
If INTRUSIONACTION is set to TRAP or DISABLE, a list of MAC addresses 
for devices that are active on a port, but which are not allowed or learned for 
the port, can be displayed using the command:
SHOW SWITCH PORT={port-list|ALL} INTRUSION

72 AT-8800 Series Switch User Guide
Software Release 2.6.1
C613-02039-00 REV A
Table 9: Example output from the SHOW SWITCH PORT INTRUSION command.
A switch port can be manually locked before it reaches the learning limit, by 
using the command:
ACTIVATE SWITCH PORT={port-list|ALL} LOCK
Addresses can be manually added to a port locked list up to a total of 256 MAC 
addresses, and the learning limit can be extended to accommodate them, by 
using the command:
ADD SWITCH FILTER ACTION={FORWARD|DISCARD} DESTADDRESS=macadd 
PORT=port [ENTRY=entry] [LEARN] [VLAN={vlanname|1..4094}] 
Learned addresses on locked ports can be saved as part of the switch 
configuration, so that they will be part of the configuration after a power cycle, 
using the command:
CREATE CONFIG=filename
If the configuration is not saved when there is a locked list for a port, the 
learning process begins again after the switch is restarted.
Virtual Local Area Networks (VLANs)
A Virtual LAN (VLAN) is a logical, software-defined subnetwork. It allows 
similar devices on the network to be grouped together into one broadcast 
domain, irrespective of their physical position in the network. Multiple VLANs 
can be used to group workstations, servers, and other network equipment 
connected to the switch, according to similar data and security requirements. 
Decoupling logical broadcast domains from the physical wiring topology 
offers several advantages, including the ability to:
■Move devices and people with minimal, or no, reconfiguration
■Change a device’s broadcast domain and access to resources without 
physically moving the device, by software reconfiguration or by moving its 
cable from one switch port to another
■Isolate parts of the network from other parts, by placing them in different 
VLANs
■Share servers and other network resources without losing data isolation or 
security
■Direct broadcast traffic to only those devices which need to receive it, to 
reduce traffic across the network
■Connect 802.1Q-compatible switches together through one port on each 
switch
Switch Port Information
----------------------------------------------------------------------------
Port 2 -    13 intrusion(s) detected
    00-00-c0-1d-2c-f8  00-90-27-87-a5-22  00-00-cd-01-00-4a
    00-d0-b7-4d-93-c0  08-00-5a-a1-02-3f  00-d0-b7-d5-5f-a9
    00-b0-d0-20-d1-01  00-90-99-0a-00-49  00-10-83-05-72-83
    00-00-cd-00-45-9e  00-00-c0-ad-a3-d0  00-a0-24-8e-65-3c
    00-90-27-32-ad-61
----------------------------------------------------------------------------

Layer 2 Switching 73
Software Release 2.6.1
C613-02039-00 REV A
Devices that are members of the same VLAN only exchange data with each 
other through the switch’s switching capabilities. To exchange data between 
devices in separate VLANs, the switch’s routing capabilities are used. The 
switch passes VLAN status information, indicating whether a VLAN is up or 
down, to the Internet Protocol (IP) module. IP uses this information to 
determine route availability.
The switch has a maximum of 255 VLANs, ranging from a VLAN identifier 
(VID) of 1 to 4094. When the switch is first powered up, a “default” VLAN is 
created and all ports are added to it. In this initial unconfigured state, the 
switch will broadcast all the packets it receives to the default VLAN. This 
VLAN has a VID of 1 and an interface name of vlan1. It cannot be deleted, and 
ports can only be removed from it if they also belong to at least one other 
VLAN. The default VLAN cannot be added to any STP, but always belongs to 
the default STP. If all the devices on the physical LAN are to belong to the same 
logical LAN, that is, the same broadcast domain, then the default settings will 
be acceptable, and no additional VLAN configuration is required.
VLAN Tagging
An Ethernet packet can contain a VLAN tag, with fields that specify VLAN 
membership and user priority. The VLAN tag is described in IEEE Standard 
802.3ac, and is four octets that can be inserted between the Source Address and 
the Type/Length fields in the Ethernet packet (Figure 13 on page 74). To 
accommodate the tag, Standard 802.3ac also increased the maximum allowable 
length for an Ethernet frame to 1522 octets (the minimum size is 64 octets). 
IEEE Standard 802.1Q specifies how the data in the VLAN tag is used to switch 
frames. VLAN-aware devices are able to add the VLAN tag to the packet 
header. VLAN-unaware devices cannot set or read the VLAN tag.
Table 10 on page 73 lists the meaning and use of the fields in the Ethernet 
frame. Figure 13 on page 74 shows the format of VLAN data in an Ethernet 
frame. Twelve bits of the tag are the VLAN Identifier (VID), which indicates the 
VLAN that the packet belongs to. Table 11 on page 74 lists the VLAN Identifier 
values that have specific meaning.
Table 10: Fields in the Ethernet frame for QoS and VLAN switching.
Field Length Meaning and use
TPID 2 octets The Tag Protocol Identifier (TPID) is defined by IEEE Standard 
802.1Q as 0x81-00.
User Priority 3 bits The User Priority field is the priority tag for the frame, which 
can be used by the switch to determine the Quality of 
Service to apply to the frame. The three bit binary number 
represents eight priority levels, 0 to 7.
CFI 1 bit The Canonical Format Indicator (CFI flag) is used to indicate 
whether all MAC address information that may be present 
in the MAC data carried by the frame is in canonical format.
VID 12 bits The VLAN Identifier (VID) field uniquely identifies the VLAN 
to which the frame belongs.

74 AT-8800 Series Switch User Guide
Software Release 2.6.1
C613-02039-00 REV A
Figure 13: Format of user priority and VLAN data in an Ethernet frame.
Ethernet packets which contain a VLAN tag are referred to as tagged frames, 
and switch ports that transmit tagged frames are referred to as tagged ports. 
Ethernet packets which do not contain the VLAN tag are referred to as untagged 
frames, and switch ports that transmit untagged frames are referred to as 
untagged ports. VLANs can consist of simple logical groupings of untagged 
ports, in which the ports receive and transmit untagged packets. Alternatively, 
VLANs can contain only tagged ports, or a mixture of tagged and untagged 
ports. 
The switch is VLAN aware. It can accept VLAN tagged frames, and supports 
the VLAN switching required by such tags. A network can contain a mixture of 
VLAN aware devices, for example, other 802.1Q-compatible switches, and 
VLAN unaware devices, for example, workstations and legacy switches that 
do not support VLAN tagging. The switch can be configured to send VLAN 
tagged or untagged frames on each port, depending on whether or not the 
devices connected to the port are VLAN aware. By assigning a port to two 
different VLANs, to one as an untagged port and to another as a tagged port, it 
is possible for the port to transmit both VLAN-tagged and untagged frames. A 
port must belong to a VLAN at all times unless the port has been set as the 
mirror port for the switch.
Table 11: Reserved VID values .
VID value (hexadecimal) Meaning and use of reserved VID values
0 The null VLAN ID. Indicates that the tag header contains only 
user priority information; no VLAN Identifier is present in the 
frame. This VID value must not be configured in any Forwarding 
Database entry, or used in any management operation. Frames 
that contain the null VLAN ID are also known as priority-tagged 
frames.
1 The default VID value used for classifying frames on ingress 
through an untagged switch port. 
FFF Reserved for implementation use. This VID value must not be 
configured in any Forwarding Database entry, used in any 
management operation, or transmitted in a tag header.
TPID
16 bits
1 bit
3 bits 12 bits
User 
Priority CFI VID
0x81-00
Preamble Destination
Address Source
Address Type/
Length Frame Data CRC
64 bits 48 bits 48 bits 16
bits 368-12000  32 bits
SWITCH6

Layer 2 Switching 75
Software Release 2.6.1
C613-02039-00 REV A
Every frame admitted by the switch has a VID associated with it. If a frame 
arrives on a tagged port, the associated VID is determined from the VLAN tag 
the frame had when it arrived. If a frame arrives on an untagged port, it is 
associated with the VID of the VLAN for which the incoming port is untagged. 
When the switch forwards a frame over a tagged port, it adds a VLAN tag to 
the frame. When the switch forwards the frame over an untagged port, it 
transmits the frame as a VLAN-untagged frame, not including the VID in the 
frame.
The VLAN tag that the switch adds to a frame on egress depends on whether 
the frame is switched in Layer 3 or Layer 2. In Layer 3 switching, the switch 
determines the destination VLAN from its routing tables. The VID of the 
destination VLAN will be added to the frame on egress. In Layer 2 switching, 
the frame’s source and destination VLANs are the same. The VID that was 
associated with the frame on ingress will be associated with it on egress.
VLAN Membership using VLAN Tags
Ports can belong to many VLANs as tagged ports. Therefore, when the VLAN 
tag is used to determine which VLAN a packet belongs to, it is easy to:
■Share network resources, such as servers and printers, across several 
VLANs
■Configure VLANs that span several switches
For tagged ports, the switch uses the VID of incoming frames, and the frame’s 
destination field to switch traffic through a VLAN aware network. Frames are 
only transmitted on ports belonging to the required VLAN. Other vendors’ 
VLAN aware devices on the network can be configured to accept traffic from 
one or more VLANs. A VLAN-aware server can be configured to accept traffic 
from many different VLANs, and then return data to each VLAN without 
mixing or leaking data into the wrong VLANs.
Figure 14 on page 76 shows a network configured with VLAN tagging. 
Table 12 on page 76 shows the VLAN membership. The server on port 2 on 
Switch A belongs to both the admin and marketing VLANs. The two switches 
are connected through uplink port 26 on Switch A and uplink port 25 on 
Switch B, which belong to both the marketing VLAN and the training VLAN, so 
devices on both VLANs can use this link.

76 AT-8800 Series Switch User Guide
Software Release 2.6.1
C613-02039-00 REV A
Figure 14:  VLANs with tagged ports.
VLAN Membership of Untagged Packets
A VLAN that does not send any VLAN-tagged frames is a logical grouping of 
ports. All untagged traffic arriving at those ports belongs to that VLAN.
VLANs based on untagged ports are limited, because each port can only 
belong to one VLAN as an untagged port. Limitations include:
■It is difficult to share network resources, such as servers and printers, 
across several VLANs. The routing functions in the switch must be 
configured to interconnect using untagged ports only. 
■A VLAN that spans several switches requires a port on each switch for the 
interconnection of the various parts of the VLAN. If there are several 
VLANs in the switch that span more than one switch, then many ports are 
occupied with connecting the VLANs, and so are unavailable for other 
devices.
Table 12: VLAN membership of example of a network using tagged ports.
VLAN Member ports
Training 3, 26 on Switch A
21, 22, 25 on Switch B
Marketing 2, 4, 26 on Switch A
23, 25 on Switch B
Admin 1, 2 on Switch A
Port 3
Training VLAN VID=3
411
SWITCH3
Marketing VLAN VID=4Admin VLAN VID=2
Switch A Switch B
VLAN-aware 
server
Port 4Port 1
Port 2
Port 26
Port 25
Port 22 Port 21
Port 23

Layer 2 Switching 77
Software Release 2.6.1
C613-02039-00 REV A
If the network includes VLANs that do not need to share network resources or 
span several switches, VLAN membership can usefully be based on untagged 
ports. Otherwise, VLAN membership should be determined by tagging (see 
“VLAN Tagging” on page 73).
Figure 15 on page 77 shows two port-based VLANs with untagged ports 
belonging to them. Ports 1-3 belong to the marketing VLAN, and ports 14-16 
belong to the training VLAN. The switch acts as two separate bridges: one that 
forwards traffic between the ports belonging to the marketing VLAN, and a 
second one that forwards traffic between the ports belonging to the training 
VLAN. Devices in the marketing VLAN can only communicate with devices in 
the training VLAN by using the switch’s routing functions.
Figure 15: VLANS with untagged ports. 
Creating VLANs
To briefly summarise the process of creating a VLAN:
1. Create the VLAN.
2. Add tagged ports to the VLAN, if required.
3. Add untagged ports to the VLAN, if required.
To create a VLAN, use the command:
CREATE VLAN=vlan-name VID=2..4094
Every port must belong to a VLAN, unless it is the mirror port. By default, all 
ports belong to the default VLAN as untagged ports. 
Training VLAN
Marketing VLAN
411
Port 14
SWITCH2
Port 15 Port 16
Port 1 Port 2 Port 3
Switch

78 AT-8800 Series Switch User Guide
Software Release 2.6.1
C613-02039-00 REV A
To add tagged ports to a VLAN, use the command:
ADD VLAN={vlan-name|1..4094} PORT={port-list|ALL} 
FRAME=TAGGED
A port can be tagged for any number of VLANs.
To add untagged ports to a VLAN, use the command:
ADD VLAN={vlan-name|1..4094} PORT={port-list|ALL} 
[FRAME=UNTAGGED]
A port can be untagged for zero or one VLAN. A port can only be added to the 
default VLAN as an untagged port if it is not untagged for another VLAN. A 
port cannot transmit both tagged and untagged frames for the same VLAN 
(that is, it cannot be added to a VLAN as both a tagged and an untagged port).
To remove ports from a VLAN, use the command:
DELETE VLAN={vlan-name|1..4094} PORT={port-list|ALL}
Removing an untagged port from a VLAN will return it to the default VLAN, 
unless it is a tagged port for another static VLAN. An untagged port can only 
be deleted from the default VLAN if the port is a tagged port for another static 
VLAN.
Ports tagged for some VLANs and left in the default VLAN as untagged ports will 
transmit broadcast traffic for the default VLAN. If this is not required, the unnecessary 
traffic in the switch can be reduced by deleting those ports from the default VLAN.
To change the tagging status of a port in a VLAN, use the command:
SET VLAN={vlan-name|1..4094} PORT={port-list|ALL} 
FRAME=TAGGED
To destroy a VLAN, use the command:
DESTROY VLAN={vlan-name|2..4094|ALL}
VLANs can only be destroyed if no ports belong to them.
To display the VLANs configured on the switch, use the command:
SHOW VLAN[={vlan-name|1..4094|ALL}]
Information which may be useful for trouble-shooting a network can be 
displayed with the VLAN debugging mode. This is disabled by default, and 
can be enabled for a specified time, disabled, and displayed using the 
commands:
ENABLE VLAN={vlan-name|1..4078|ALL} DEBUG={PKT|ALL} 
[OUTPUT=CONSOLE] [TIMEOUT={1..4000000000|NONE}]
DISABLE VLAN={vlan-name|1..4078|ALL} DEBUG={PKT|ALL}
SHOW VLAN DEBUG
To view packet reception and transmission counters for a VLAN, use the 
command (see the Interfaces chapter of the switch’s Software Reference):
SHOW INTERFACE=VLANn COUNTER

Layer 2 Switching 79
Software Release 2.6.1
C613-02039-00 REV A
Summary of VLAN tagging rules
When designing a VLAN and adding ports to VLANs, the following rules 
apply.
1. Each port, except for the mirror port, must belong to at least one static 
VLAN. By default, a port is an untagged member of the default VLAN. 
2. A port can be untagged for zero or one VLAN. A port that is untagged for 
a VLAN transmits frames destined for that VLAN without a VLAN tag in 
the Ethernet frame. 
3. A port can be tagged for zero or more VLANs. A port that is tagged for a 
VLAN transmits frames destined for that VLAN with a VLAN tag, 
including the numerical VLAN Identifier of the VLAN.
4. A port cannot be untagged and tagged for the same VLAN. 
5. The mirror port, if there is one, is not a member of any VLAN.
Protected VLANs
If a VLAN is Protected, Layer 2 traffic between ports that are members of a 
Protected VLAN is blocked. Traffic can be Layer 3 switched to another VLAN. 
This feature prevents members of a Protected VLAN from communicating with 
each other yet still allows members to access another network. Layer 3 Routing 
between Ports in a Protected VLAN can be prevented by adding a Layer 3 
filter. The Protected VLAN feature also allows all of the members of the 
Protected VLAN to be in the same subnet.
A typical application is a hotel installation where each room has a port that can 
be used to access the Internet. In this situation it is undesirable to allow 
communication between rooms.
To create a Protected VLAN, use the command:
CREATE VLAN=vlan-name VID=2..4094 [PROTECTED]
VLAN Interaction with STPs and Trunk Groups
Each VLAN and port can only belong to one Spanning Tree entity (STP). A port 
cannot be added to a VLAN that is in a different STP from the VLANs to which 
the port already belongs, with one exception. The exception is that an untagged 
port in the default VLAN can be moved from the default VLAN to any other 
VLAN in any STP, if the port belongs only to the default VLAN as an untagged 
port.
All the ports in a trunk group must have the same VLAN configuration: they 
must belong to the same VLANs and have the same tagging status, and can 
only be operated on as a group.

80 AT-8800 Series Switch User Guide
Software Release 2.6.1
C613-02039-00 REV A
Generic VLAN Registration Protocol 
(GVRP)
The GARP application GVRP allows switches in a network to dynamically 
share VLAN membership information, to reduce the need for statically 
configuring all VLAN membership changes on all switches in a network. See 
the Generic Attribute Registration Protocol (GARP) chapter in the Rapier Switch 
Software Reference.
Layer 2 Switching Process
The Layer 2 switching process comprises related but separate processes. The 
Ingress Rules admit or discard frames based on their VLAN tagging. The 
Learning Process learns the MAC addresses and VLAN membership of frames 
admitted on each port. The Forwarding Process determines which ports the 
frames are forwarded to, and the Quality of Service priority with which they are 
transmitted. Finally, the Egress Rules determine for each frame whether VLAN 
tags are included in the Ethernet frames that are transmitted. These processes 
assume that each station on the extended LAN has a unique data link layer 
address, and that all data link layer frames have a header which includes the 
source (sender’s) MAC address and destination (recipient’s) MAC address. 
The Ingress Rules
When a frame first arrives at a port, the Ingress Rules for the port check the 
VLAN tagging in the frame to determine whether it will be discarded or 
forwarded to the Learning Process.
The first check depends on whether the Acceptable Frame Types parameter is set 
to Admit All Frames or to Admit Only VLAN Tagged Frames. A port that transmits 
only VLAN tagged frames, regardless of which VLAN the port belongs to, will 
be automatically set to Admit Only VLAN Tagged Frames. The user cannot 
change this setting. Frames with a null numerical VLAN Identifier (VID) are 
VLAN-untagged frames, or frames with priority tagging only.
Every frame received by the switch must be associated with a VLAN. If a frame 
is admitted by the Acceptable Frame Types parameter, the second part of the 
Ingress Rules associates each untagged frame admitted with the VID of the 
VLAN for which the port is untagged.
Every port belongs to one or more VLANs, and therefore every incoming 
frame will have a VID to show which VLAN it belongs to. The final part of the 
Ingress Rules depends on whether Ingress Filtering is enabled for the port. If 
Ingress Filtering is disabled, all frames are passed on to the Learning Process, 
regardless of which VLAN they belong to. If Ingress Filtering is enabled, 
frames are admitted only if they have the VID of a VLAN to which the port 
belongs. If they have the VID of a VLAN to which the port does not belong, 
they are discarded.

Layer 2 Switching 81
Software Release 2.6.1
C613-02039-00 REV A
The default settings for the Ingress Rules are to Admit All Frames, and for 
Ingress Filtering to be OFF. This means that if no VLAN configuration has been 
done, all incoming frames pass on to the Learning Process, regardless of 
whether or not they are VLAN tagged. The parameters for each port’s Ingress 
Rules can be configured using the command:
SET SWITCH PORT={port-list|ALL} [ACCEPTABLE={VLAN|ALL}] 
[INFILTERING={ON|OFF}] [other-parameters...]
The ACCEPTABLE parameter sets the Acceptable Frame Types parameter, in 
the Ingress Rules, which controls reception of VLAN-tagged and VLAN-
untagged frames on the port. If ALL is specified, then the Acceptable Frame 
Types parameter is set to Admit All Frames. If VLAN is specified, the 
parameter is set to Admit Only VLAN-tagged Frames, and any frame received 
that carries a null VLAN Identifier (VID) is discarded by the ingress rules. 
Untagged frames and priority-tagged frames carry a null VID. Untagged 
frames admitted according to the ACCEPTABLE parameter have the VID of the 
VLAN for which the port is untagged associated with them. The 
ACCEPTABLE parameter can only be set if the port is untagged for one VLAN. 
In this case, the default is ALL, admitting all tagged and untagged frames. If 
the port is tagged for all the VLANs to which it belongs, the ACCEPTABLE 
parameter is automatically set to VLAN, and cannot be changed to admit 
untagged frames.
The INFILTERING parameter enables or disables Ingress Filtering of frames 
admitted according to the ACCEPTABLE parameter, on the specified ports. 
Each port on the switch belongs to one or more VLANs. If INFILTERING is set 
to ON, Ingress Filtering is enabled: any frame received on a specified port is 
only admitted if the port belongs to the VLAN with which the frame is 
associated. Conversely, any frame received on the port is discarded if the port 
does not belong to the VLAN with which the frame is associated. Untagged 
frames admitted by the ACCEPTABLE parameter are admitted, since they have 
the numerical VLAN Identifier (VID) of the VLAN for which the port in an 
untagged member. If OFF is specified, Ingress Filtering is disabled, and no 
frames are discarded by this part of the Ingress Rules. The default setting is 
OFF.
To display the current Ingress Rules, use the command:
SHOW SWITCH PORT=port-list
The Learning Process
The Learning Process uses an adaptive learning algorithm, sometimes called 
backward learning, to discover the location of each station on the extended LAN.
All frames admitted by the Ingress Rules on any port are passed on to the 
Forwarding Process if they are for destinations within the same VLAN. Frames 
destined for other VLANs are passed to the layer three protocol, for instance IP. 
For every frame admitted, the frame’s source MAC address and numerical 
VLAN Identifier (VID) are compared with entries in the Forwarding Database 
for the VLAN (also known as a MAC address table, or a forwarding table) 
maintained by the switch. The Forwarding Database contains one entry for 
every unique station MAC address the switch knows in each VLAN.

82 AT-8800 Series Switch User Guide
Software Release 2.6.1
C613-02039-00 REV A
If the frame’s source address is not already in the Forwarding Database for the 
VLAN, the address is added and an ageing timer for that entry is started. If the 
frame’s source address is already in the Forwarding Database, the ageing timer 
for that entry is restarted. By default, switch learning is enabled, and it can be 
disabled or enabled using the commands:
DISABLE SWITCH LEARNING
ENABLE SWITCH LEARNING
If the ageing timer for an entry in the Forwarding Database expires before 
another frame with the same source address is received, the entry is removed 
from the Forwarding Database. This prevents the Forwarding Database from 
being filled up with information about stations that are inactive or have been 
disconnected from the network, while ensuring that entries for active stations 
are kept alive in the Forwarding Database. By default, the ageing timer is 
enabled, and it can be disabled or enabled using the commands:
ENABLE SWITCH AGEINGTIMER
DISABLE SWITCH AGEINGTIMER
If switch learning is disabled and the ageing timer has aged out all dynamically learned 
filter entries, only statically entered MAC source addresses will be used to decide which 
packets to forward or discard. If the switch finds no matching entries in the Forwarding 
Database during the Forwarding Process, then all switch ports in the VLAN will be 
flooded with the packet, except the port on which the packet was received.
The default value of the ageing timer is 300 seconds (5 minutes), and this can 
be modified using the command:
SET SWITCH AGEINGTIMER=10..1000000
The Forwarding Database relates a station’s (source) address to a port on the 
switch, and is used by the switch to determine from which port (if any) to 
transmit frames with a destination MAC address matching the entry in the 
station map.
To display the contents of the Forwarding Database, use the command:
SHOW SWITCH FDB [ADDRESS=macadd] 
[DISCARD={SOURCE|DESTINATION}] [HIT={YES|NO}] 
[L3={YES|NO}] [PORT={portlist|ALL}] 
[STATUS={STATIC|DYNAMIC}] [VLAN={vlanname|1..4094}]
To display general switch settings, including settings for switch learning and 
the switch aging timer, use the command:
SHOW SWITCH
The Forwarding Process
The Forwarding Process forwards received frames that are to be relayed to 
other ports in the same VLAN, filtering out frames on the basis of information 
contained in the station map and on the state of the ports. If a frame is received 
on the port for a destination in a different VLAN, it is either Layer 3 switched if 
it is an IP packet, or looked up in the Layer 3 routing tables (see the Rapier 
Switch Software Reference.)
Forwarding occurs only if the port on which the frame was received is in the 
Spanning Tree ‘Forwarding’ state. The destination address is then looked up in 
the Forwarding Database for the VLAN. If the destination address is not found, 

Layer 2 Switching 83
Software Release 2.6.1
C613-02039-00 REV A
the switch floods the frame on all ports in the VLAN except the port on which 
the frame was received. If the destination address is found, the switch discards 
the frame if the port is not in the STP ‘Forwarding’ state, if the destination 
address is on the same port as the source address, or if there is a static filter 
entry for the destination address set to DISCARD (“Layer 2 Filtering” on 
page 83). Otherwise, the frame is forwarded on the indicated port.
This whole process can further be modified by the action of static switch filters. 
These are configurable filters which allow switched frames to be checked 
against a number of entries. 
The Forwarding Process provides storage for queued frames to be transmitted 
over a particular port or ports. More than one transmission queue may be 
provided for a given port. Which transmission queue a frame is sent to is 
determined by the user priority tag in the Ethernet frame, and the Quality of 
Service mapping.
Layer 2 Filtering
The switch has a Forwarding Database, entries in which determine whether 
frames are forwarded or discarded over each port. Entries in this Forwarding 
Database are created dynamically by the Learning Process. A dynamic entry is 
automatically deleted from the Forwarding Database when its ageing timer 
expires. Filtering is specified in the IEEE 802.1D Standard “Media Access Control 
(MAC) Bridges”. 
The user can configure static switch filter entries using the command line 
interface. Static switch filter entries associate a MAC address with a VLAN and 
a port in the VLAN. When the switch receives a frame with a destination 
address and VLAN Identifier that match those of a static filter entry, the frame 
can be either forwarded to the port specified in the static filter entry, or 
discarded.
The Forwarding Database supports queries by the Forwarding Process as to 
whether frames with given values of the destination MAC address field should 
be forwarded to a given port.
To add or delete static switch filter entries, use the commands:
ADD SWITCH FILTER DESTADDRESS=macadd ACTION={FORWARD|DISCARD} 
PORT[=port-list] [ENTRY=entry] [VLAN={vlanname|1..4094}]
DELETE SWITCH FILTER ENTRY=entry-list
The switch automatically deletes static filter entries for a port if the port is deleted from 
the specified VLAN.
To display current static switch filter entries, use the command:
SHOW SWITCH FILTER [DESTADDRESS=macadd] [ENTRY=entry] 
[PORT=port-list] [VLAN={vlanname|1..4094}]

84 AT-8800 Series Switch User Guide
Software Release 2.6.1
C613-02039-00 REV A
Figure 16: Example output from the SHOW SWITCH FILTER command.
For each VLAN, the destination MAC address of a frame to be forwarded is 
checked against the Forwarding Database. If there is no entry for the 
destination address and VLAN, the frame is transmitted on all ports in the 
VLAN that are in the ‘Forwarding’ or ‘Disabled’ states, except the port on 
which the frame was received. This process is referred to as flooding. If an entry 
is found in the Forwarding Database, but the entry is not marked as 
‘Forwarding’ or the entry points to the same port the frame was received on, 
the frame is discarded. Otherwise, the frame is transmitted on the port 
specified by the entry in the Forwarding Database.
A dynamic entry is automatically deleted from the Forwarding Database when 
its ageing timer expires.
 Switch Filters
---------------------------------------------------------------------------
 Entry             VLAN         Destination Address   Port  Action  Source
---------------------------------------------------------------------------
    0           default (1)       aa-ab-cd-00-00-01     1  Forward  static
    1           default (1)       aa-ab-cd-00-00-02     1  Forward  static
    0           marketing (2)     aa-ab-cd-00-00-01     2  Discard  static
    1           marketing (2)     aa-ab-cd-00-00-02     2  Discard  learn
---------------------------------------------------------------------------
Table 13: Parameters in the output of the SHOW SWITCH FILTER command
Parameter Meaning
Entry The number identifying the filter entry.
Destination Address The destination MAC address for the entry.
VLAN The VLAN name and identifier for the entry.
Port The outbound port to match for the filter entry to be applied.
Action The action specified by the filter entry; one of “Forward” or 
“Discard”.
Source This parameter is either “static” (indicating the filter is a static 
filter) or “learned” (indicating the filter is present either 
because it has been added with the LEARN parameter of the 
SET SWITCH PORT command, or has been dynamically learned 
during normal intrusion detection operation).

Layer 2 Switching 85
Software Release 2.6.1
C613-02039-00 REV A
The Egress Rules
Once the Forwarding Process has determined which ports and transmission 
queues to forward a frame from, the Egress Rules for each port determine 
whether or not the outgoing frame is VLAN-tagged with its numerical VLAN 
Identifier (VID). (See “Virtual Local Area Networks (VLANs)” on page 72).
When a port is added to a VLAN, it is configured to transmit either untagged 
or VLAN tagged packets, using the command:
ADD VLAN={vlanname|1..4094} PORT={port-list|ALL} 
[FRAME={TAGGED|UNTAGGED}]
This setting can be changed for a port which is already part of a VLAN, using 
the command:
SET VLAN={vlanname|1..4094} PORT={port-list|ALL} 
FRAME={UNTAGGED|TAGGED}
Quality of Service
The switch hardware has a number of Quality of Service (QOS) egress queues 
that can be used to give priority to the transmission of some frames over other 
frames on the basis of their user priority tagging. The user priority field in an 
incoming frame (with value 0 to 7) determines which of the eight priority levels 
the frame is allocated. When a frame is forwarded, it is sent to a QOS egress 
queue on the port determined by the mapping of priority levels to QOS egress 
queues. All frames in the first QOS queue are sent before any frames in the 
second QOS egress queue, and so on, until frames in the last QOS egress queue, 
which are only sent when there are no frames waiting to be sent in any of the 
higher QOS egress queues.
The mapping between user priority and a QOS egress queue can be configured 
using the command:
SET SWITCH QOS=P0,P1,P2,P3,P4,P5,P6,P7 
The switch has four QOS egress queues. It has a default mapping of priority 
levels to QOS egress queues as defined in IEEE Standard 802.1Q (Table 14).
Table 14: Default priority level to queue mapping for four QOS egress queues
Priority level QOS Egress Queue
01
10
20
31
42
52
63
73

86 AT-8800 Series Switch User Guide
Software Release 2.6.1
C613-02039-00 REV A
To display the mapping of user priority to QOS egress queues, use the 
command:
SHOW SWITCH QOS 
Figure 17: Example output from the SHOW SWITCH QOS command
Spanning Tree Protocol (STP)
The Spanning Tree Protocol (STP) makes it possible to automatically disable 
redundant paths in a network to avoid loops, and enable them when a fault in 
the network means they are needed to keep traffic flowing. A sequence of 
LANs and switches may be connected together in an arbitrary physical 
topology resulting in more than one path between any two switches. If a loop 
exists, frames transmitted onto the extended LAN would circulate around the 
loop indefinitely, decreasing the performance of the extended LAN. On the 
other hand, multiple paths through the extended LAN provide the opportunity 
for redundancy and backup in the event of a bridge experiencing a fatal error 
condition. 
The spanning tree algorithm ensures that the extended LAN contains no loops 
and that all LANs are connected by:
■Detecting the presence of loops and automatically computing a logical 
loop-free portion of the topology, called a spanning tree. The topology is 
dynamically pruned to a spanning tree by declaring the ports on a switch 
redundant, and placing the ports into a ‘Blocking’ state.
■Automatically recovering from a switch failure that would partition the 
extended LAN by reconfiguring the spanning tree to use redundant paths, 
if available.
Spanning Tree Modes
STP can run in STANDARD mode, or RAPID mode. Rapid mode allows for 
rapid configuration of the spanning tree. The Rapid Spanning Tree Protocol 
(RSTP) is specified in IEEE 802.1w.
Priority Level       QOS egress queue
-------------------------------------
0 ................... 1
1 ................... 0
2 ................... 0
3 ................... 1
4 ................... 2
5 ................... 2
6 ................... 3
7 ................... 3
Table 15: Parameters in the output of the SHOW SWITCH QOS command
Parameter Meaning
Priority level The priority level of the frame.
QOS egress queue The Quality Of Service egress queue that frames with this 
priority level join.

Layer 2 Switching 87
Software Release 2.6.1
C613-02039-00 REV A
A spanning tree running in standard mode can take up to one minute to rebuild 
after a topology or configuration change. The Rapid Spanning Tree algorithm 
provides for a more rapid recovery of connectivity following the failure of a 
bridge, bridge port, or a LAN. 
For information about RSTP see the Rapid Mode Spanning Tree Types section, 
Switch chapter in the Rapier Switch Software Reference.
Spanning Tree and Rapid Spanning Tree Port States
If STP is running in STANDARD mode, then each port can be in one of five 
Spanning Tree states, and one of two switch states. If STP is running in RAPID 
mode, then each port can be in one of four states. The state of a switch port is 
taken into account by STP. To be involved in STP negotiations, STP must be 
enabled on the switch, the port must be enabled on the switch, and enabled for 
the STP it belongs to.
The Spanning Tree states (see Table 16) affect the behaviour of ports whose 
switch state is enabled.
Table 16: Spanning tree port states .
State Meaning
DISABLED STP operations are disabled on the port. The port can still 
switch if its switch state is enabled.
LISTENING The port is enabled for receiving frames only.
LEARNING The port is enabled for receiving frames only, and the 
Learning Process can add new source address information 
to the Forwarding Database.
FORWARDING The normal state for a switch port. The Forwarding Process 
and the Spanning Tree entity are enabled for transmit and 
receive operations on the port.
BLOCKING The Spanning Tree entity has disabled the Forwarding 
process for transmit and receive operations on the port, but 
the Spanning Tree entity itself remains enabled for transmit 
and receive operations on the port.
Table 17:  Rapid Spanning Tree port states .
State Meaning
DISABLED STP operations are disabled on the port.
DISCARDING The port does not participate in frame relay. The forwarding 
process discards received frames and does not submit 
forwarded frames for transmission.
LEARNING The port is enabled for receiving frames only, and the 
Learning Process can add new source address information 
to the Forwarding Database. The port does not forward any 
frames.
FORWARDING The normal state for a switch port. The Forwarding Process 
and the Spanning Tree entity are enabled for transmit and 
receive operations on the port.

88 AT-8800 Series Switch User Guide
Software Release 2.6.1
C613-02039-00 REV A
To specify whether the STP will operate in STANDARD mode or RAPID mode, 
use the command:
SET STP={stp-name|ALL} [MODE={STANDARD|RAPID}] [other 
parameters]
The default is STANDARD. If the mode is changed while the algorithm is 
running then the STP is re-initialised.
To display the STP state of the switch ports (Figure 19 on page 94), use the 
command:
SHOW STP[={stp-name|ALL}] PORT={port-list|ALL}
A Rapier switch in default LAN configuration has a default Spanning Tree 
enabled, spanning only a single default VLAN, to which all ports belong. The 
switches in the LAN run a distributed Spanning Tree Algorithm to create a 
single Spanning Tree. In a network of Rapier switches with VLANs configured, 
all VLANs belong by default to a default Spanning Tree called default. Multiple 
Spanning Trees can be created with each Spanning Tree encompassing multiple 
VLANs (in networks switched exclusively by Rapier switches). 
For more information about multiple spanning trees, see the Switching chapter 
in the Rapier Switch Software Reference.
Configuring STP
By default, the switch has one default STP which cannot be destroyed. In most 
situations this default STP will suffice. 
By default, all VLANs, and therefore all ports, belong to the default STP. To add 
or delete a VLAN and all the ports belonging to it from any other STP, use the 
commands:
ADD STP=stpname VLAN={vlan-name|2..4094}
DELETE STP=stpname VLAN={vlan-name|2..4094|ALL}
The default STP is disabled by default at switch start up, and STPs created by a 
user are disabled by default when they are created. An STP must be enabled 
before STP can be enabled or disabled on particular ports belonging to it. To 
enable or disable STPs, use the commands:
ENABLE STP{=stpname|ALL}
DISABLE STP={stpname|ALL}
The Spanning Tree Protocol uses three configurable parameters for the time 
intervals that control the flow of STP information on which the dynamic STP 
topology depends: the HELLOTIME, FORWARDDELAY and MAXAGE 
parameters. All switches in the same spanning tree topology must use the same 
values for these parameters, but can themselves be configured with different, 
and potentially incompatible time intervals. The parameter values actually 
used by each switch are those sent by the root bridge, and forwarded to all 
other switches by the designated bridges.
The FORWARDDELAY parameter sets the time, in seconds, used to control 
how fast a port changes its spanning state when moving towards the 
Forwarding state. The value determines how long the port stays in each of the 
Listening and Learning states which precede the Forwarding state. This value 
is only used when the switch is acting as the Root Bridge. Any switch not 
acting as the Root Bridge uses a dynamic value for the FORWARDDELAY set 

Layer 2 Switching 89
Software Release 2.6.1
C613-02039-00 REV A
by the Root Bridge. The FORWARDDELAY, MAXAGE and HELLOTIME 
parameters are interrelated. See the note and formulae below. The default 
value for FORWARDDELAY is 15 seconds.
The HELLOTIME parameter sets the time, in seconds, between the 
transmission of switch spanning tree configuration information when the 
switch is the Root Bridge of the spanning tree or is trying to become the Root 
Bridge. The default value is 2 seconds.
The MAXAGE parameter sets the maximum age, in seconds, of Spanning Tree 
Protocol information learned over the network on any port before it is 
discarded. The default value is 20 seconds.
The FORWARDDELAY, MAXAGE and HELLOTIME parameters should be set 
according to the following formulae, as specified in IEEE Standard 802.1D:
2 x (FORWARDDELAY - 1.0 seconds) >= MAXAGE
MAXAGE >= 2 x (HELLOTIME + 1.0 seconds)
To modify the parameters controlling these time intervals, use the command:
SET STP={stp-name|ALL} [FORWARDDELAY=4..30] [HELLOTIME=1..10] 
[MAXAGE=6..40] [other parameters]
The value of the PRIORITY parameter is used to set the writable portion of the 
bridge ID, i.e. the first two octets of the (8-octet long) Bridge Identifier. The 
remaining 6 octets of the bridge ID are given by the MAC address of the 
switches. The Bridge Identifier parameter is used in all configuration Spanning 
Tree Protocol packets transmitted by the switch. The first two octets, specified 
by the PRIORITY parameter, determine the switch’s priority for becoming the 
root bridge or a designated bridge in the network, with a lower number indicating 
a higher priority. In fairly simple networks, for instance those with a small 
number of switches in a meshed topology, it may make little difference which 
switch is selected to be the root bridge, and no modifications may be needed to 
the default PRIORITY parameter, which has a default value of 32768. In more 
complex networks, one or more switches are likely to be more suitable 
candidates for the root bridge role, for instance by virtue of being more central 
in the physical topology of the network. In these cases the STP PRIORITY 
parameters for at least one of the switches should be modified. 
To change the STP priority value, use the command:
SET STP={stpname|ALL} PRIORITY=0..65535
The PRIORITY parameter sets the priority of the switch to become the Root 
Bridge. The lower the value of the Bridge Identifier, the higher the priority. If 
the PRIORITY parameter is set, either by specifying the PRIORTY or DEFAULT 
parameters, the specified STP is initialised. Counters for the STP are not 
affected. The default value for PRIORITY is 32768.
To restore STP timer and priority defaults, use the command:
SET STP={stpname|ALL} DEFAULT
Changing the STP PRIORITY using either of the previous commands initialises 
the STP, so that elections for the root bridge and designated bridges begin 
again, without resetting STP counters. To display general information about 
STPs on the switch, use the command:
SHOW STP[={stpname|ALL}] [SUMMARY]

90 AT-8800 Series Switch User Guide
Software Release 2.6.1
C613-02039-00 REV A
Figure 18: Example output from the SHOW STP command.
 STP Information
------------------------------------------------------------
 Name .................. grey
 Mode .................. Rapid
 RSTP Type ............. Normal
 VLAN members .......... vlan4 (4)
 Status ................ ON
 Number of Ports ....... 2
   Number Enabled ...... 2
   Number Disabled ..... 0
 Bridge Identifier ..... 32768 : 00-00-cd-05-19-28
 Bridge Priority ....... 32768
 Root Bridge ........... 32768 : 00-00-cd-05-19-28
 Designated Bridge ..... 32768 : 00-00-cd-05-19-28
 Root Port ............. (n/a)
 Root Path Cost ........ 0
 Max Age ............... 20
 Hello Time ............ 2
 Forward Delay ......... 15
 Switch Max Age ........ 20
 Switch Hello Time ..... 2
 Switch Forward Delay .. 15
 Transmission Limit .... 3
 Name .................. default
 Mode .................. Standard
 RSTP Type ............. (n/a)
 VLAN members .......... default (1)
                         vlan5 (5)
                         vlan6 (6)
                         vlan7 (7)
                         vlan8 (8)
                         vlan9 (9)
                         vlan10 (10)
                         vlan11 (11)
                         vlan12 (12)
                         vlan13 (13)
                         vlan14 (14)
 Status ................ OFF
 Number of Ports ....... 22
   Number Enabled ...... 0
   Number Disabled ..... 22
 Bridge Identifier ..... 32768 : 00-00-cd-05-19-28
 Bridge Priority ....... 32768
 Designated Root ....... 32768 : 00-00-cd-05-19-28
 Root Port ............. (n/a)
 Root Path Cost ........ 0
 Max Age ............... 20
 Hello Time ............ 2
 Forward Delay ......... 15
 Switch Max Age ........ 20
 Switch Hello Time ..... 2
 Switch Forward Delay .. 15
 Hold Time ............. 1

Layer 2 Switching 91
Software Release 2.6.1
C613-02039-00 REV A
Table 18: Parameters in the output of the SHOW STP command .
Parameter Meaning
STP Name The name of the Spanning Tree Protocol entity.
Mode Whether STP is running in standard, or rapid mode.
RSTP Type Whether RSTP is operating normally, or as STP compatible.  
In STP compatible mode, the rapid transitions to forwarding 
do not occur. 
VLAN members A list of the VLANs that are members of the STP. VLAN 
Identifiers are shown in brackets.
Status The status of the STP; either ON or OFF.
Number of Ports The number of ports belonging to the STP.
Number Enabled The number of ports that have been enabled using the 
ENABLE STP command and are being considered by the 
Spanning Tree Algorithm. 
Number Disabled The number of ports that have been disabled using the 
DISABLE STP command and are not being considered by the 
Spanning Tree Algorithm. 
Bridge Identifier The unique Bridge Identifier of the switch. This parameter 
consists of two parts, one of which is derived from the 
unique Switch Address, and the other of which is the 
priority of the switch.
Bridge Priority The settable priority component that permits the relative 
priority of bridges to be managed. The range of values is 
between 0 and 65535. A lower number indicates a higher 
priority.
Designated Root The unique Bridge Identifier of the bridge assumed to be 
the root, (Standard Mode only).
Root Bridge The unique Bridge Identifier of the bridge assumed to be 
the Root, (Rapid Mode only).
Designated Bridge The unique Bridge Identifier of the bridge assumed to be 
the designated bridge. Displayed when STP is set to RAPID 
mode, (Rapid Mode only).
Root Port The port number of the root port for the switch. If the 
switch is the Root Bridge this parameter is not valid, and 
(n/a) is shown.
Root Path Cost The cost of the path to the Root from this switch. If the 
switch is the Root Bridge this parameter is not valid and is 
not shown.
Max Age The maximum age of received Configuration Message 
information before it is discarded.
Hello Time The time interval between successive transmissions of the 
Configuration Message information by a switch which is 
the Root or which is attempting to become the Root.
Forward Delay In STP Standard mode, the time ports spend in the Listening 
state before moving to the Learning state and the Learning 
state before moving to the Forwarding state.  In Rapid 
mode, the maximum time taken to transition from 
Discarding to Learning and Learning to Forwarding. In both 
modes, the value is also used for the ageing timer for the 
dynamic entries in the Forwarding Database. 

92 AT-8800 Series Switch User Guide
Software Release 2.6.1
C613-02039-00 REV A
The various parameters used by the Spanning Tree Algorithm for the specified 
ports, or all ports within the specified STP, or all STPs, are set with the SET STP 
PORT command:
SET STP={stp-name|ALL} PORT={port-list|ALL}
A port can belong to a single STP. This means that if the port is member of 
multiple VLANs then all those VLANs must belong to the same STP. 
The STP parameter specifies an STP name. If no parameter is entered, the 
default value is ALL.
The PORT parameter specifies a list of ports that can belong to any STP. The 
default value is ALL.
Each port has a port priority, with a default value of 128, used to determine 
which port should be the root port for the STP if two ports are connected in a 
loop. The lower number indicates the higher priority. 
SET STP={stp-name|ALL} PORT={port-list|ALL} 
PORTPRIORITY=0..255 [other-parameters]
The PORTPRIORITY parameter sets the value of the priority field contained in 
the port identifier. The Spanning Tree Algorithm uses the port priority when 
determining the root port for each switch. The port with the lowest value is 
considered to have the highest priority. The default value is 128. Each STP has 
its own independent PORTPRIORITY parameter for each member port.
Each port also has a path cost, which is used if the port is the root port for the 
STP on the switch. The path cost is added to the root path cost field in 
configuration messages received on the port to determine the total cost of the 
path to the root bridge. The default PATHCOST values depend on the port 
speed, according to the formula: 
PATHCOST = 1000 / Port_Speed_in_MB_per_second
Switch Max Age The value of the Max Age parameter when this switch is the 
Root or is attempting to become the Root. This parameter 
is set by the MAXAGE parameter in the SET STP command.
Switch Hello Time The value of the Hello Time parameter when this switch is 
the Root or is attempting to become the Root. This 
parameter is set by the HELLOTIME parameter in the SET 
STP command.
Switch Forward Delay The value of the Forward Delay parameter when this switch 
is the Root or is attempting to become the Root. This 
parameter is set by the FORWARDDELAY parameter in the 
SET STP command.
Hold Time The minimum time in seconds between the transmission of 
configuration BPDUs through a given LAN Port. The value 
of this fixed parameter is 1, as specified in IEEE 802.1d. This 
parameter applies only to STP running in standard mode.
Transmission Limit In Rapid mode, this indicates the number of BPDUs that 
may be transmitted in the interval specified by Hello Time.  
The value of this fixed parameter is 3, as specified in IEEE 
802.1t.
Table 18: Parameters in the output of the SHOW STP command (Continued).
Parameter Meaning

Layer 2 Switching 93
Software Release 2.6.1
C613-02039-00 REV A
so that a port operating at 10Mbps has a default pathcost of 100, a port 
operating at 100 Mbps has a default pathcost of 10, and a port operating at 1 
Gbps has a default pathcost of 1. Setting the pathcost to a larger value on a 
particular port is likely to reduce the traffic over the LAN connected to it. This 
may be appropriate if the LAN has lower bandwidth, or if there are reasons for 
limiting the traffic across it. To modify the STP port pathcost, use the 
command:
SET STP={stp-name|ALL} PORT={port-list|ALL} 
PATHCOST=1..1000000 
If the PATHCOST of a port has not been explicitly set by the user, or the default 
values have been restored to the port, then the default PATHCOST for the port 
will vary as the speed of the port varies.
The default value for PATHCOST is set according to the speed. For a port 
operating at 100 Mbps, the default value is 19. For a port operating at 10 Mbps, 
the default value is 100. 
To restore default port pathcost and priority, use the command: 
SET STP={stp-name|ALL} PORT={port-list|ALL} DEFAULT
When an STP is enabled in a looped or meshed network, it disables and 
enables particular ports belonging to it dynamically, to eliminate redundant 
links. All ports in a VLAN belong to the same STP, and their participation in 
STP configuration, and hence the possibility of them being elected to the STP’s 
active topology is enabled by default. To enable or disable particular ports, use 
the commands:
ENABLE STP PORT={port-list|ALL}
DISABLE STP PORT={port-list|ALL}
To display STP port information, use the command:
SHOW STP[={stp-name|ALL}] PORT={port-list|ALL}

94 AT-8800 Series Switch User Guide
Software Release 2.6.1
C613-02039-00 REV A
Figure 19: Example output from the SHOW STP PORT command.
STP Port Information
------------------------------------------------------------
 STP ..................... grey
   STP Status ............ ON
   Port .................. 3
     RSTP Port Role ...... Disabled
     State ............... Discarding
     Point To Point ...... No (Auto)
     Port Priority ....... 128
     Port Identifier ..... 8003
     Pathcost ............ 200000
     Designated Root ..... 32768 : 00-00-cd-05-19-28
     Designated Cost ..... 0
     Designated Bridge ... 32768 : 00-00-cd-05-19-28
     Designated Port ..... 8003
     EdgePort ............ No
     VLAN membership ..... 1
   Port .................. 4
     RSTP Port Role ...... Disabled
     State ............... Discarding
     Point To Point ...... No (Auto)
     Port Priority ....... 128
     Port Identifier ..... 8004
     Pathcost ............ 200000
     Designated Root ..... 32768 : 00-00-cd-05-19-28
     Designated Cost ..... 0
     Designated Bridge ... 32768 : 00-00-cd-05-19-28
     Designated Port ..... 8004
     EdgePort ............ No
STP ..................... default
   STP Status ............ OFF
   Port .................. 1
     State ............... Disabled
     Port Priority ....... 128
     Port Identifier ..... 8001
     Pathcost ............ 19
     Designated Root ..... 32768 : 00-00-cd-05-19-28
     Designated Cost ..... 0
     Designated Bridge ... 32768 : 00-00-cd-05-19-28
     Designated Port ..... 8001

Layer 2 Switching 95
Software Release 2.6.1
C613-02039-00 REV A
The spanning tree algorithm can be recalculated at any time, and all timers and 
counters be initialised, using the command:
RESET STP={stpname|ALL}
To show STP counters, use the command:
SHOW STP[={stpname|ALL}] COUNTER
Table 19: Parameters displayed in the output of the SHOW STP PORT command .
Parameter Meaning
STP The name of the STP that the port is a member of.
STP Status Whether this STP is enabled or disabled; one of ON or OFF.
Port The number of the port.
RSTP Port Role The role of the port; one of Disabled, Alternate, Backup, 
Designated, or Root. (Rapid Mode only). 
State The state of the port; one of “Disabled”, “Blocking”, 
“Listening”, “Learning” or “Forwarding” for Standard 
mode, and one of; “Disabled”, “Discarding”, “Learning”, 
or “Forwarding” for Rapid mode. 
Point To Point Whether the port has a point to point connection with 
another bridge; one of NO or YES. (Rapid Mode only).
Port Priority The priority of the port. Used as part of the Port Identifier 
field. In Standard mode it forms the upper 8 bits of the Port 
Identifier field. In Rapid mode it forms the upper 4 bits of 
the Port Identifier field.
Port Identifier The unique identifier of the port. This parameter is used to 
determine the root port or designated port of the switch.
Pathcost The path cost of the port.
Designated Root The unique Bridge Identifier of the Root Bridge, as recorded 
in the configuration BPDU.
Designated Cost The Designated Cost for the port.
Designated Bridge Either the unique Bridge Identifier of the switch, or the 
unique Bridge Identifier of the switch believed to be the 
Designated Bridge for the LAN to which the port is 
attached. 
Designated Port The Port Identifier of the port on the Designated Bridge 
through which the Designated Bridge transmits 
Configuration BPDU information stored by this port. 
Edge Port An edge port is a port that attaches to a LAN that is known 
to have no other bridges attached; one of YES, or NO.

96 AT-8800 Series Switch User Guide
Software Release 2.6.1
C613-02039-00 REV A
Figure 20: Example output from the SHOW STP COUNTER command
STP Counters
------------------------------------------------------------
STP Name: default  
  Receive:                    Transmit:
  Total STP Packets      0    Total STP Packets          1677
  Configuration BPDU     0    Configuration BPDU         0
  TCN BPDU               0    TCN BPDU                   0
  RST BPDU               0    RSTP BPDU                  1677
  Invalid BPDU           0
 Discarded:
  Port Disabled          0
  Invalid Protocol       0
  Invalid Type           0
  Invalid Message Age    0
  Config BPDU length     0
  TCN BPDU length        0
  RST BPDU length        0
------------------------------------------------------------
Table 20: Parameters in the output of the SHOW STP COUNTER command .
Parameter Meaning
STP Name The name of the STP.
Receive STP packets received.
Total STP Packets The total number of STP packets received. Valid STP 
packets comprise Configuration BPDUs and Topology 
Change Notification (TCN) BPDUs.
Configuration BPDU The number of valid Configuration BPDUs received.
TCN BPDU The number of valid Topology Change Notification BPDUs 
received.
RST BPDU The number of valid Rapid Spanning Tree BPDUs received 
(RAPID mode only).
Invalid BPDU The number of invalid STP packets received.
Transmit STP packets transmitted.
Total STP packets The total number of STP packets transmitted.
Configuration BPDU The number of Configuration BPDUs transmitted.
TCN BPDU The number of Topology Change Notification BPDUs 
transmitted.
RST BPDU The number of valid Rapid Spanning Tree BPDUs 
transmitted (RAPID mode only).
Discarded STP packets discarded.
Port Disabled The number of BPDUs discarded because the port that the 
BPDU was received on was disabled.
Invalid Protocol The number of STP packets that had an invalid Protocol 
Identifier field or invalid Protocol Version Identifier field.
Invalid Type The number of STP packets that had an invalid Type field.
Invalid Message Age The number of STP packets that had an invalid message 
age.

Layer 2 Switching 97
Software Release 2.6.1
C613-02039-00 REV A
If necessary, all the STP configuration that users have created on the switch can 
be removed, so that all STPs except the default STP are destroyed, and all other 
defaults are restored, using the command: 
PURGE STP
The PURGE STP command should be used with caution, and generally only 
before major reconfiguration of the switch, as it removes all STP configuration 
entered on the switch.
Interfaces to Layer 3 Protocols
Interfaces can be configured to VLANs for IP, IPX and Appletalk routing 
protocols in the same way that other interfaces are created for other interface 
types. Concatenate VLAN with the VID of the VLAN giving VLANn, for 
instance:
INTERFACE=VLAN3
IGMP Snooping
IGMP (Internet Group Management Protocol) is used by IP hosts to report their 
multicast group memberships to routers and switches. IP hosts join a multicast 
group to receive broadcast messages directed to the multicast group address. 
IGMP is an IP-based protocol and uses IP addresses to identify both the 
multicast groups and the host members. For a VLAN-aware devices, this 
means multicast group membership is on a per-VLAN basis. If at least one port 
in the VLAN is a member of a multicast group, by default multicast packets 
will be flooded onto all ports in the VLAN.
IGMP snooping enables the switch to forward multicast traffic intelligently on 
the switch. The switch listens to IGMP membership reports, queries and leave 
messages to identify the switch ports that are members of multicast groups. 
Multicast traffic will only be forwarded to ports identified as members of the 
specific multicast group.
IGMP snooping is performed at Layer 2 on VLAN interfaces automatically. By 
default, the switch will only forward traffic out those ports with multicast 
listeners, therefore it will not act as a simple hub and flood all multicast traffic 
Config BPDU length The number of Configuration BPDUs that had an incorrect 
length.
TCN BPDU length The number of Topology Change Notification BPDUs that 
had an incorrect length.
RST BPDU length The number of Rapid Spanning Tree BPDUs that had an 
incorrect length (RAPID mode only).
Table 20: Parameters in the output of the SHOW STP COUNTER command 
Parameter Meaning

98 AT-8800 Series Switch User Guide
Software Release 2.6.1
C613-02039-00 REV A
out all ports. IGMP snooping is independent of the IGMP and Layer 3 
configuration, so an IP interface does not have to be attached to the VLAN, and 
IGMP does not have to be enabled or configured.
IGMP snooping is enabled by default. To disable it, use the command:
DISABLE IGMPSNOOPING
Disabling IGMP snooping may be useful if filters are used extensively, because 
IGMP snooping uses a Layer 3 filter. When IGMP snooping is disabled, this 
filter becomes available. See “Hardware Packet Filters” in the Switching chapter 
of your Software Reference for information about filters. Note that multicast 
packets will flood the VLAN when IGMP snooping is disabled.
IGMP is used in conjunction with limited static multicast settings, or with 
DVMRP or PIM Sparse Mode for full multicast support (IP Multicasting chapter 
in the Rapier Switch Software Reference).
IGMP is enabled and disabled using the commands:
ENABLE IP IGMP
DISABLE IP IGMP
IGMP snooping is then enabled or disabled on a VLAN using the commands:
ENABLE IP IGMP INTERFACE=interface [DLC=1..1024]
DISABLE IP IGMP INTERFACE=interface [DLC=1..1024]
The switch will snoop IGMP packets transiting the VLAN and only forward 
multicast packets to the ports which have seen a membership report from 
network devices connected to those ports, instead of being forwarded to all 
ports belonging to the VLAN.
The command:
SET IP IGMP TIMEOUT=1..65535 QUERYINTERVAL=1..65535
sets operational parameters for IGMP. The QUERYINTERVAL parameter 
specifies the time interval, in seconds, at which IGMP Host Membership 
Queries are sent if this switch is elected the designated router for the LAN. The 
default is 125.
The TIMEOUT parameter specifies the longest interval, in seconds, that a 
group will remain in the local group database without receiving a Host 
Membership Report. The default is 270. If a value is specified for 
QUERYINTERVAL without specifying a value for TIMEOUT, TIMEOUT is 
calculated as 2*(QUERYINTERVAL + 10). The 10 seconds is the variation that 
hosts use when sending Host Membership Reports. If a timeout interval is 
specified, it will override any calculated value.
The command:
SHOW IP IGMP [COUNTER] [INTERFACE=interface]
displays information about IGMP, IGMP snooping, and multicast group 
membership for each VLAN-based IP interface (Figure 21, Table 21 on 
page 99).

Layer 2 Switching 99
Software Release 2.6.1
C613-02039-00 REV A
Figure 21: Example output from the SHOW IP IGMP command.
IGMP Protocol
----------------------------------------------------------------------------------
Status ........................... Enabled
Default Query Interval ........... 125 secs
Default Timeout Interval ......... 270 secs
Last Member Query Interval ....... 10 (1/10secs)
Last Member Query Count .......... 2
Robustness Variable .............. 2
Query Response Interval .......... 100 (1/10secs)
Interface Name .......... vlan1               (DR)
Other Querier timeout ... 164 secs
IGMP Proxy .............. Upstream
Group List ..............
  Group. 224.0.1.22         Last Adv. 10.194.254.254     Refresh time 184 secs
  Ports  24
  All Groups                Last Adv. 10.116.2.1         Refresh time 254 secs
  Ports  24
Table 21: Parameters in the output of the SHOW IP IGMP command .
Parameter Meaning
Status The status of IGMP; one of “Enabled” or “Disabled”.
Default Query Interval The default interval at which Host Membership Queries are 
sent.
Default Timeout Interval The default interval after which entries will be removed 
from the group database, if no Host Membership Report is 
received.
Last Member Query Interval Max Response Time inserted into Group-Specific Queries 
sent in response to Leave Group messages, and is also the 
amount of time between Group-Specific Query messages.
Last Member Query Count The number of Group-Specific Queries sent before the 
switch assumes there are no local members.
Robustness Variable IGMP is robust to (Robustness Variable-1) packet losses.
Query Response Interval The Max Response Time (in 1/10 secs) inserted into the 
periodic General Queries.
Interface Name The name of an interface configured for IGMP.
Other Querier timeout The length of time that remains before a multicast router 
decides that there is no longer another multicast router 
which should be the querier.
IGMP Proxy The status of IGMP Proxy; one of “Off”, “Upstream” or 
“Downstream”.
Group List A list of multicast group memberships for this interface.
Group The group multicast address.
Last Adv. The last host to advertise the membership report.
Refresh time The time interval (in seconds) until the membership group 
will be deleted if it does not receive another membership 
report before then.
Ports The list of ports listening to this group.

100 AT-8800 Series Switch User Guide
Software Release 2.6.1
C613-02039-00 REV A
Triggers
The Trigger Facility can be used to automatically run specified command 
scripts when particular triggers are activated. When a trigger is activated by an 
event, global parameters and parameters specific to the event are passed to the 
script that is run. For a full description of the Trigger Facility, see the Tri gg er  
Facility chapter in the Rapier Switch Software Reference.
The switch can generate triggers to activate scripts when a fibre uplink port 
loses or gains coherent light. To create or modify a switch trigger, use the 
commands: 
CREATE TRIGGER=trigger-id MODULE=SWITCH 
EVENT={LIGHTOFF|LIGHTON} PORT=port [AFTER=hh:mm] 
[BEFORE=hh:mm] [DATE=date|DAYS=day-list] [NAME=name] 
[REPEAT={YES|NO|ONCE|FOREVER|count}] [SCRIPT=filename...] 
[STATE={ENABLED|DISABLED}] [TEST={YES|NO|ON|OFF}]
SET TRIGGER=trigger-id PORTS={port-list|ALL} [AFTER=hh:mm] 
[BEFORE=hh:mm] [DATE=date|DAYS=day-list] [NAME=name] 
[REPEAT={YES|NO|ONCE|FOREVER|count}] 
[TEST={YES|NO|ON|OFF}]
The following sections list the events that may be specified for the EVENT 
parameter, the parameters that may be specified as module-specific-parameters, 
and the arguments passed to the script activated by the trigger.
Event LINKDOWN
Description The port link specified by the PORT parameter has just gone down.
Parameters The following command parameter(s) must be specified in the CREATE/SET 
TRIGGER commands:
Script Parameters The trigger passes the following parameter(s) to the script:
Event LINKUP
Description The port link specified by the PORT parameter has just come up.
Parameters The following command parameter(s) must be specified in the CREATE/SET 
TRIGGER commands:
Script Parameters The trigger passes the following parameter(s) to the script:
Parameter Description
PORT=port The port on which the event will activate the trigger. 
Argument Description
%1 The port number of the port which has just gone down.
Parameter Description
PORT=port The port on which the event will activate the trigger. 
Argument Description
%1 The port number of the port which has just come up.
Chapter 6
Layer 3
The AT-8800 Series Switch routes IP and IP multicasting traffic at wire speed 
between VLANs, and supports a number of other Layer 3 protocols. Once a 
VLAN has been created (see “Virtual Local Area Networks (VLANs)” on page 72), 
the VLAN name can be used wherever a logical interface is required in 
commands for configuring routing protocols.
VLAN names are of the form:
VLAN-vlanname
or
VLANn
where vlanname is the manager-assigned name of the VLAN, and n is the 
VLAN identifier (VID).
For example, to create a VLAN called “admin” with a VID of 11, and add port 3 
to it, use the commands:
CREATE VLAN=admin VID=11
ADD VLAN=11 PORT=3
The following names can be used to identify this VLAN in routing commands:
vlan-admin
vlan11
The following sections illustrate the use of VLANs for IP, RIP, IPX, AppleTalk 
and RSVP. For a complete description of all the protocols supported by the 
switch, see the Rapier Switch Software Reference.

102 AT-8800 Series Switch User Guide
Software Release 2.6.1
C613-02039-00 REV A
Internet Protocol (IP)
The switch performs IP routing at wire speed between VLANs that have been 
configured as IP interfaces. For example, to add the admin VLAN as an IP 
interface, giving it an IP address of 192.168.163.39 in the subnet 192.168.163.0, 
first enable IP using the command:
ENABLE IP
Then use either of the following commands:
ADD IP INTERFACE=vlan-admin IPADDRESS=192.168.163.39 
MASK=255.255.255.0
ADD IP INTERFACE=vlan11 IPADDRESS=192.168.163.39 
MASK=255.255.255.0
The command:
SHOW IP INTERFACE
displays the interfaces enabled for IP routing (Figure 22).
Figure 22: Example output from the SHOW IP INTERFACE command.
IP Multicasting
Static multicast forwarding can be configured using the ADD IP INTERFACE 
or SET IP INTERFACE commands.
The switch supports dynamic IP multicast routing protocols:
■DVMRP (Distance Vector Multicast Routing Protocol)
■PIM-DM (Protocol Independent Multicast – Dense Mode)
■PIM-SM (Protocol Independent Multicast – Sparse Mode).
Management of group members is performed using IGMP (Internet Group 
Management Protocol). IGMP snooping reduces unnecessary multicast traffic 
between members of the same VLAN.
Full multicast functionality requires IGMP and at least one of DVMRP, PIM 
Dense Mode or PIM Sparse Mode. See the IP Multicasting chapter in the Rapier 
Switch Software Reference for detailed information about multicasting. 
Interface     Type     IP Address       Bc Fr PArp  Filt RIP Met.   SAMode  IPSc
Pri. Filt     Pol.Filt Network Mask     MTU   VJC   GRE  OSPF Met.  DBcast  Mul.
--------------------------------------------------------------------------------
LOCAL         -        Not Set          -  n  -     ---  -          -       --
---           ----     -                -     -     ---  -          -       ---
vlan11        Static   192.168.163.39   1  y  On    ---  01         Pass    --
---           ---      255.255.255.0    1500  -     ---  0000000001 No      On
ppp1          Dynamic  0.0.0.0          1  y  -     ---  01         Pass    --
---           ---      255.255.255.255  1500  Off   ---  0000000001 No      On
--------------------------------------------------------------------------------

Layer 3 103
Software Release 2.6.1
C613-02039-00 REV A
Routing Information Protocol (RIP)
Routing protocols such as RIPv1 and RIPv2 can be enabled on a VLAN. For 
example, to enable RIPv2 on the admin VLAN, use the command:
ADD IP RIP INTERFACE=vlan11 SEND=RIP2 RECEIVE=BOTH
To display information about RIP (Figure 23 on page 103), use the command:
SHOW IP RIP
Figure 23: Example output from the SHOW IP RIP command.
Novell IPX
The switch’s implementation of the Novell IPX protocol uses the term circuit to 
refer to a logical connection over an interface, similar to an X.25 permanent 
virtual circuit (PVC) or a Frame Relay Data Link Connection (DLC). The term 
interface is used to refer to the underlying physical interface, such as VLAN, 
Ethernet, Point-to-Point (PPP) and Frame Relay.
To create IPX circuit 1 with the Novell network number 129 over the admin 
VLAN, use the command:
ADD IPX CIRC=1 INTERFACE=vlan11 NETWORK=129 ENCAP=802.3
To display information about the circuits configured for IPX (Figure 24), use 
the command:
SHOW IPX CIRCUIT
Interface  Circuit/DLCI    IP Address     Send  Receive  Demand  Auth  Password
-------------------------------------------------------------------------------
vlan11     -               -              RIP2  BOTH     NO      NO
ppp0       -               172.16.249.34  RIP1  RIP2     YES     PASS  ********
-------------------------------------------------------------------------------

104 AT-8800 Series Switch User Guide
Software Release 2.6.1
C613-02039-00 REV A
Figure 24: Example output from the SHOW IPX CIRCUIT command.
AppleTalk
To create an AppleTalk port (interface) associated with the admin VLAN, use 
the command:
ADD APPLE PORT INTERFACE=vlan11
To display information about the ports configured for AppleTalk (Figure 25 on 
page 105), use the command:
SHOW APPLE PORT
IPX CIRCUIT information
Name ......................... Circuit 1
Status ....................... enabled
Interface .................... vlan11   (802.3)
Network number ............... c0e7230f
Station number ............... 0000cd000d26
Link state ................... up
Cost in Novell ticks ......... 1
Type20 packets allowed ....... no
On demand .................... no
Spoofing information
Keep alive spoofing .......... no
SPX watch dog spoofing ....... no
On SPX connection failure .... UPLINK
On end of SPX spoofing ....... UPLINK
RIP broadcast information
Change broadcasts ............ yes
General broadcasts ........... yes
General broadcast interval ... 60 seconds
Maximum age .................. 180 seconds
SAP broadcast information
Change broadcasts ............ yes
General broadcasts ........... yes
General broadcast interval ... 60 seconds
Maximum age .................. 180 seconds
Filter information
Filters ...................... none

Layer 3 105
Software Release 2.6.1
C613-02039-00 REV A
Figure 25: Example output from the SHOW APPLE PORT command.
Resource Reservation Protocol (RSVP)
The Resource Reservation Protocol (RSVP) enables the receiver of a traffic flow 
to make the resource reservations necessary to ensure that the receiver obtains 
the desired QoS for the traffic flow.
RSVP is disabled by default. To enable RSVP, use the command:
ENABLE RSVP
Each IP interface that is to receive and process RSVP messages and accept 
reservation requests must be enabled. To enable RSVP on the admin VLAN, 
use the command:
ENABLE RSVP INTERFACE=vlan11
To display information about the interfaces enabled for RSVP (Figure 26), use 
the command:
SHOW RSVP INTERFACE
Figure 26: Example output from the SHOW RSVP INTERFACE command.
Appletalk Port Details
------------------------------------
  Port Number .............. 1
  Interface ................ vlan11
  ifIndex .................. 1
  Node ID .................. 217
  Network Number ........... 22
  Network Range Start ...... 22
  Network Range End ........ 22
  State .................... ACTIVE
  Seed ..................... NO
  Seed Network Start ....... 0
  Seed Network End ......... 0
  Hint ..................... YES
  Hint Node ID ............. 179
  Hint Network ............. 22
  Default Zone ............. -
  Zone List is Empty
------------------------------------
RSVP Interfaces
                    Maximum       Reserved       No. Of
Interface  Enabled  Bandwidth(%)  Bandwidth(%)   Reservations  Debug     Encap
------------------------------------------------------------------------------
Dynamic      No        75             0              0         None      RAW
vlan11       Yes       75             0              1         None      RAW
ppp0         Yes       75             0              0         None      RAW
------------------------------------------------------------------------------

Chapter 7
Maintenance and Troubleshooting
This Chapter
If you are familiar with networking and switch operations, you may be able to 
diagnose and solve some problems yourself.
This chapter gives tips on how to:
■start your switch (see “How the Switch Starts Up” on page 108).
■avoid problems (see “How to Avoid Problems” on page 109).
■reconfigure your switch if you accidentally clear the FLASH memory (see 
“What to Do if You Clear FLASH Memory Completely” on page 111). 
■troubleshoot a PPP link that disconnects (see “What to Do if the PPP Link 
Disconnects Regularly” on page 112).
■reset passwords if they are lost (see “What to Do if Passwords are Lost” on 
page 112).
■gather information from your switch that support personnel need to 
provide accurate support tailored to your situation (see “Getting the Most 
Out of Technical Support” on page 112).
■restart the switch at any time with no configuration (see “Resetting Switch 
Defaults” on page 113).
■check whether there is a connection between the switch and another 
routing interface in the network (see “Checking Connections Using PING” on 
page 113).
■troubleshoot if no routes exists to the remote switch (see “Troubleshooting IP 
Configurations” on page 114 and “Troubleshooting IPX Configurations” on 
page 116).
■troubleshoot problems with DHCP IP addresses if the switch is acting as a 
client or as a server (see “Troubleshooting DHCP IP Addresses” on page 115) 
■examine the route that packets pass between two systems running the IP 
protocol (see “Using Trace Route for IP Traffic” on page 117).
Information gained from the LEDs on the front panel of the switch is described 
in the AT-8800 Series Switch Hardware Reference.

108 AT-8800 Series Switch User Guide
Software Release 2.6.1
C613-02039-00 REV A
How the Switch Starts Up
The sequence of operations that the switch performs when it boots are:
1. Perform startup self tests.
2. Perform the install override option.
3. Load the FLASH boot release as the INSTALL boot.
4. Inspect and check INSTALL information.
5. Load the required release as the main boot.
6. Start the switch.
7. Execute the boot script, if one has been configured.
If a terminal is connected to asyn0, a series of status and progress messages 
similar to those shown in Figure 27 on page 108 are displayed during the 
startup process.
Figure 27: switch startup messages.
The startup self tests check the basic operation of the switch. If your switch 
passes these tests the switch should be able to at least proceed far enough to 
perform the load of the FLASH boot release and to start operating.
The install override option is designed to allow a mandatory switch boot from 
the FLASH boot release. The message:
Force EPROM download (Y)?
is displayed on the terminal connected to asyn0 and the switch pauses. If you 
do not press a key within a few seconds, the startup process will continue and 
all steps in the sequence are executed. If the [Y], [S], [N] or [Ctrl/D] key on the 
terminal are pressed immediately after the message is displayed, you can alter 
the switch startup process (Table 22 on page 109).
INFO: Self tests beginning.
INFO: RAM test beginning.
PASS: RAM test, 4096k bytes found.
INFO: BBR tests beginning.
PASS: BBR test, 128k bytes found.
PASS: BBR test. Battery OK.
INFO: Self tests complete
INFO: Downloading router software.
Force EPROM download (Y) ?
INFO: Initial download succeeded
INFO: Executing configuration script <boot.cfg>
INFO: Router startup complete
Manager >

Maintenance and Troubleshooting 109
Software Release 2.6.1
C613-02039-00 REV A
When you start the switch the FLASH boot release is always loaded first. The 
FLASH boot release contains all the code required to obtain and check the 
INSTALL information. This first boot is known as the INSTALL boot. The 
INSTALL information is inspected and the switch is setup to perform another 
load. Even if the actual release required is the FLASH boot release, another 
load is always performed. At this point, if a patch load is required, it is also 
performed.
The switch startup occurs immediately after the install override option, or after 
the INSTALL information check. The INSTALL information check performs a 
full startup of switch software and initiates the normal operation of the switch.
Finally, if there is a defined boot script, this script is executed.
How to Avoid Problems
If you perform the following procedures you may help reduce the likelihood 
and impact of some future switch events.
Set system territory
Set the system territory to the country or region in which the switch is 
connected to the network. Some protocols are implemented in differently in 
some countries. To ensure that the switch uses variants that will work in the 
country your switch is routing in, enter the command: 
SET SYSTEM TERRITORY={AUSTRALIA|CHINA|EUROPE|JAPAN|KOREA|
NEWZEALAND|USA}
Backup software files
Store a backup of the current switch software. If the switch software is 
accidentally cleared from the router’s FLASH memory, you will need to reload 
the software release and patch files. If your access to the Internet is via the 
switch, then you will need the files on your LAN. You may wish to keep a copy 
of the current software and patch files on a TFTP server on your network. You 
can download switch software from the support site at 
http://www.alliedtelesyn.co.nz/support/ar400.
Backup configuration script
Store a backup of the latest configuration script, in case the configuration file 
on the switch is accidentally deleted or damaged.
Table 22: Switch startup sequence keystrokes.
Pressing key... Forces the switch to...
Y Load the FLASH boot release, with no patch, and skip straight to step 6.
S Start with the default configuration. Any boot script or NVS 
configuration is ignored.
N Configure from NVS, ignoring any boot script.
[Ctrl/D] Enter diagnostics mode.

110 AT-8800 Series Switch User Guide
Software Release 2.6.1
C613-02039-00 REV A
Backup switch
If your network has many switches, you may wish to keep a backup switch 
ready to replace any switch that malfunctions. When you upgrade the software 
release or patch on the other switches in the network, upgrade the backup too. 
Store on it one current config script for each switch in your network, so that 
when it is needed, you need only set the configuration file with which it boots 
to match the switch it replaces.
Configure logging
The logging facility stores log messages for events with a specified severity in a 
log file. You can change the size of the log file, and the kind of messages 
recorded. You can configure the switch to output log messages in several ways, 
including to a remote switch with a specified IP address, or as an email to a 
particular email address. The switch can also receive log messages from 
another switch. Set the Logging Facility to log and forward the log messages 
you need to monitor your network (see the Logging Facility chapter in the AT-
8800 Series Switch Software Reference). Inspect the log file from time to time, and 
if difficulties arise. 
Configure Firewall
The firewall facility is enabled with a special feature license. To obtain a special feature 
license contact an Allied Telesyn authorised distributor or reseller.
Use the Firewall to protect your network from several kinds of unwanted 
traffic or deliberate attacks (see the Firewall chapter in the AT-8800 Series Switch 
Software Reference. A special feature licence is required.
FLASH compaction
If the FLASH memory gets filled beyond a certain level, it will automatically 
activate FLASH compaction to recover any space that is made available from 
deleted files. You can also activate FLASH compaction manually if required. 
While FLASH is compacting, do not restart the switch or use any commands 
that affect the FLASH file subsystem. Do not restart the switch, or create, edit, 
load, rename or delete any files until a message confirms that FLASH file 
compaction is completed. Interrupting flash compaction may result in damage 
to files. Damaged files are likely to prevent the switch from operating correctly. 
Watch for software updates
From time to time patches may be released to improve the function of your 
switch software, and new software releases make new features available. 
Watch for patches and new software releases on the support site at 
http://www.alliedtelesyn.co.nz/support/ar400.

Maintenance and Troubleshooting 111
Software Release 2.6.1
C613-02039-00 REV A
What to Do if You Clear FLASH Memory 
Completely
DO NOT clear the FLASH memory completely. The software release files are 
stored in FLASH, and clearing it would leave no software to run the switch. 
If you accidentally do this, you will need to:
1. Boot with default configuration.
Reboot the switch from a terminal connected the asynchronous terminal 
port (not Telnet). Use the install override to run the default configuration 
(see “How the Switch Starts Up” on page 108). 
2. Log in.
Log in to the switch using the default password friend for the manager 
account.
3. Put current software release on server. 
Make sure you have the current software release and patch files on a server 
connected to the switch by the switch port or Ethernet port. Current 
software release and patch files are downloaded from the support site at
 http://www.alliedtelesyn.co.nz/support/ar400. 
4. Assign an IP address.
Assign an IP address to the switch interface over which the software files 
are downloaded (see “Assigning an IP Address” on page 15). 
5. Load software files onto switch.
Load the required software and patch onto the switch (see “Loading and 
Uploading Files” on page 52). 
6. Set the install information.
Set the switch to use the software installed (see “Upgrading Switch Software” 
on page 56). 
7. Reconfigure the switch. 
If you have a copy of the recent configuration file stored on your network, 
you can download this onto the switch too. Otherwise you will need to re-
enter all configuration.
While FLASH is compacting, do not restart the switch or use any commands 
that affect the FLASH file subsystem. Do not restart the switch, or create, edit, 
load, rename or delete any files until a message confirms that FLASH file 
compaction is completed. Interrupting flash compaction may result in damage 
to files. Damaged files are likely to prevent the switch from operating correctly. 
If you accidentally restart the switch, or use any commands that affect the 
FLASH file subsystem, contact your authorised distributor or reseller. You may 
have to return the switch to the factory.

112 AT-8800 Series Switch User Guide
Software Release 2.6.1
C613-02039-00 REV A
What to Do if the PPP Link Disconnects 
Regularly
If the device at the other end of the PPP link is not an ATR router or switch but 
is supplied by another vendor turn LQR (Link Quality Reporting) off on PPP 
links (LQR=OFF) and instead use LCP Echo Request and Echo Reply messages 
to determine link quality (ECHO=ON). Enter the command:
SET PPP=ppp-interface ECHO=ON LQR=OFF
What to Do if Passwords are Lost
If a user forgets their password, to reset the password from an account with 
MANAGER privilege, enter the command:
SET USER=login-name PASSWORD=password
You can reset passwords for accounts with MANAGER privilege with the same 
command, provided the manager can login to at least one account with 
MANAGER privilege.
If you require further assistance contact your authorised distributor or reseller.
Getting the Most Out of Technical 
Support
For online support for your switch, see our on-line support page at 
http://www.alliedtelesyn.co.nz/support/ar400. 
If you require further assistance, contact your authorised distributor or reseller. 
Gather as much of the following information from your switch and network as 
you can. This gives the support personnel as much information as possible to 
diagnose and solve your problem. They may ask you to send the information 
to them by email.
Gather this information:
■Your name, organisation and contact details.
■What is the make and model of your switch? Enter the command: 
SHOW SYSTEM
■Which software release and patch files is your switch running? For 
example, 86-261.rez, 86261-01.paz. Enter the command:
SHOW INSTALL
■What software configuration is currently running? Enter the command:
SHOW CONF DYN
■How is the switch connected to your network? A diagram showing the 
physical configuration of the network your switch is operating in may be 
useful. 

Maintenance and Troubleshooting 113
Software Release 2.6.1
C613-02039-00 REV A
■To get debugging output, enter the command:
SHOW DEBUG
■Depending on the problem, the support personnel may also ask you for the 
output from the following commands (see the Monitoring and Fault 
Diagnosis section in the Operations chapter, AT-8800 Series Switch Software 
Reference):
SHOW EXCEPTION
SHOW STARTUP
SHOW LOG
SHOW CPU
SHOW BUFFER
Resetting Switch Defaults
To restart the switch at any time with no configuration, enter the command:
RESTART SWITCH CONFIG=NONE
If boot.cfg has changed, to set it back to the default configuration by saving 
the default dynamic configuration to the boot.cfg file, enter the command:
CREATE CONFIG=boot.cfg
To set the switch to restart with the boot configuration file, enter the command:
SET CONFIG=boot.cfg
DO NOT clear the FLASH memory completely. The software release files are 
stored in FLASH, and clearing it would leave no software to run the switch. 
Checking Connections Using PING
If an aspect of the router’s configuration dependent on access to a server 
functions incorrectly, PINGing the server from the switch, and the switch from 
the server, is a useful first step in diagnosis.
You can use PING (Packet Internet Groper) to check whether there is a 
connection between the switch and another routing interface in the network. 
Use the router’s extended PING command over IPv4, IPv6, IPX and AppleTalk 
network protocols. PING sends echo request packets in the chosen format, and 
displays responses at the terminal. Enter the command:
PING [{[IPADDRESS=]ipadd|[IPXADDRESS=]network:station| 
[APPLEADDRESS=]network.node}] [LENGTH=number] 
[NUMBER={number|CONTINUOUS}] [PATTERN=hexnum] 
[{SIPADDRESS=ipadd|SIPXADDRESS=network:station|
SAPPLEADDRESS=network.node}] [SCREENOUTPUT={YES|NO}] 
[TIMEOUT=number] [TOS=number]

114 AT-8800 Series Switch User Guide
Software Release 2.6.1
C613-02039-00 REV A
To set PING defaults, enter the command:
SET PING [{[IPADDRESS=]ipadd|[IPXADDRESS=]network:station| 
[APPLEADDRESS=]network.node}] [LENGTH=number] 
[NUMBER={number|CONTINUOUS}] [PATTERN=hexnum] 
[{SIPADDRESS=ipadd|SIPXADDRESS=network:station|SAPPLEADDR
ESS=network.node}] [SCREENOUTPUT={YES|NO}] 
[TIMEOUT=number] [TOS=number]
To display the default PING settings and summary information, enter the 
command:
SHOW PING
The stop a PING that is in progress, enter the command:
STOP PING
If you can PING the end destination, then the physical and layer 2 links are 
functioning, and any difficulties are in the network or higher layers. 
If PING to the end destination fails, PING intermediate network addresses. If 
you can successfully PING some network addresses, and not others, you can 
deduce which link in the network is down. 
Note that if Network Address Translation (NAT) is configured on the remote switch, 
PINGing devices connected to it may give misleading information.
For more information about using PING, see the Internet Protocol (IP) chapter in 
the AT-8800 Series Switch Software Reference.
Troubleshooting IP Configurations
Telnet Fails
1. If Telnet to switch fails 
Check that the IP address you used matches the one assigned to the switch.
To check that RIP is configured correctly, enter the command:
SHOW IP RIP
To check that the IP Telnet server is enabled on each switch, enter the 
command.
SHOW IP
If the Telnet server is disabled, enable the Telnet server with the command:
ENABLE TELNETSERVER
2. If Telnet to host fails
If Telnet into a host on the remote LAN fails, but works into the remote 
switch, check that the IP address you are using is correct. To check that 
both switches are gateways, not servers, enter the command:
SHOW IP

Maintenance and Troubleshooting 115
Software Release 2.6.1
C613-02039-00 REV A
The “IP Packet Forwarding” field in the output should be set to “Enabled”. 
Refer to the documentation for the host TCP/IP software for more 
information about configuring a gateway.
The host’s TCP/IP software should be configured to use the Head Office 
switch as its gateway. Refer to the documentation for the host TCP/IP 
software for more information about configuring a gateway.
3. Contact your authorised distributor or reseller for assistance
If problems persist, contact your authorised distributor or reseller for 
assistance.
Troubleshooting DHCP IP Addresses
Your switch is acting as a DHCP client
If your switch is acting as a DHCP client the switch should receive its IP 
address dynamically. If your switch is not receiving an IP address, check that 
the domain name and host name are correct.
Your switch is acting as a DHCP server
If your switch is not assigning IP addresses to a host, or hosts, on the subnet 
perform this procedure:
1. Reboot the host machine, to force it to re-request IP settings.
2. Check the host’s TCP/IP settings. 
In Microsoft® Windows™ 95/98, click Settings → Control Panel → 
Network. Select TCP/IP and click Properties. Click Obtain an IP address 
automatically.
In Microsoft® Windows™ 2000, click Settings → Control Panel → 
Network and Dial-up Connections → Local Area Connection → 
Properties. Select Internet connection (TCP/IP) and click Properties. Click 
Obtain an IP address automatically. 
3. Check that the DHCP server has a large enough range of addresses. To 
assign a range, enter the command:
CREATE DHCP RANGE

116 AT-8800 Series Switch User Guide
Software Release 2.6.1
C613-02039-00 REV A
Troubleshooting IPX Configurations
No Routes are Visible to the Remote Router 
1. Check the PPP link
To check that the PPP link is active, enter the command:
SHOW PPP
The display should look like that shown in Figure 28 on page 116. The state 
of the IPX control protocol (IPXCP) should be “OPENED”. If not, then the 
fault lies with the connection between the two switches, or the PPP 
configuration at either end of the link. 
Figure 28: Example output from the SHOW PPP command for a basic Novell IPX network.
To interpret output from the SHOW PPP command see the Point-to Point 
(PPP) chapter in the AT-8800 Series Switch Software Reference.
2. Check IPX circuit configuration
To check that the IPX circuits are correctly configured on each switch 
repeat steps 1 through 3 above, or enter the command:
SHOW IPX CIRCUIT
Check that there are two circuits, and for each circuit check that the circuit 
is enabled, uses the correct interface and encapsulation (for Ethernet 
interfaces), the network number is correct and “On demand” is set to “no”. 
If not, then repeat steps 1 through 3. 
3. Contact your authorised distributor or reseller for assistance
If you still have no visible routes to the remote switch, contact your 
authorised distributor or reseller for assistance.
Local Workstations Can Not Access Remote Servers
A number of different events can cause this problem. The following list of 
events gives the most common:
1. Move workstation to server LAN
Check that when the workstation is moved to the same LAN as the file 
server, it is able to access the server. If not, the fault lies with the 
configuration of the workstation or file server. Check with your Novell 
network administrator. 
2. Check NET.CFG file
Take care with the workstation NET.CFG file. Always specify the 
encapsulation (frame) as different LAN card drivers use different default 
encapsulations.
Name            Enabled  ifIndex  Over                  CP           State
-----------------------------------------------------------------------------                                  
ppp0              YES      04                           IPXCP        OPENED
                                  isdn-roho             LCP          OPENED
-----------------------------------------------------------------------------

Maintenance and Troubleshooting 117
Software Release 2.6.1
C613-02039-00 REV A
3. Check for file server on Remote Office switch
Does the file server appear in the IPX service table of the Remote Office 
switch? If the server does not appear in the table, its presence is not 
advertised to the local LAN. To check this, enter the command:
SHOW IPX SERVICE
This should produce a display like that shown in Figure 29 on page 117. The 
important point is that the file server must appear in the service table on the 
Remote Office switch and there must be a route to the file server’s internal 
network number. If there is, and it still does not work, contact your 
authorised distributor or reseller for assistance.
Figure 29: Example output from the SHOW IPX SERVICES command for a basic Novell IPX network
To interpret output from the SHOW IPX SEVICES command see the Novell 
IPX chapter in the AT-8800 Series Switch Software Reference.
4. Check route tables
To check the route tables on both switches, enter the command:
SHOW IPX ROUTE
Check for the presence of networks on the remote side of the wide area 
network. If the remote network is missing from the route table on either 
switch, enter the command:
RESET IPX
which resets the IPX routing software and forces the switches to broadcast 
their routing and service tables.
Using Trace Route for IP Traffic
You can use trace route to discover the route that packets pass between two 
systems running the IP protocol. Trace route sends an initial UDP packets with 
the Time To Live (TTL) field in the IP header set starting at 1. The TTL field is 
increased by one for every subsequent packet sent until the destination is 
reached. Each hop along the path between two systems responds with a TTL 
exceeded packet and from this the path is determined. 
To initiate a trace route, enter the command:
TRACE [[IPADDRESS=]ipadd] [MAXTTL=number] [MINTTL=number] 
[NUMBER=number] [PORT=port-number] [SCREENOUTPUT={YES|NO}] 
[SOURCE=ipadd] [TIMEOUT=number] [TOS=number]
IPX services
Name                                                                     Age
  Address                      Server type            Circuit      Hops  Defined
--------------------------------------------------------------------------------
ACCOUNTS                                                                 0
  00007500:000000000001:0451   0004:Fileserver          1 (vlan1)    1   SAP
ACCOUNTS                                                                 0
  00007500:000000000001:8104   0107:RCconsole           1 (vlan1)    1   SAP
TYPISTS                                                                  0
  00000012:0080488018d8:0451   0004:FileServer          1 (ppp0)     2   SAP
--------------------------------------------------------------------------------

118 AT-8800 Series Switch User Guide
Software Release 2.6.1
C613-02039-00 REV A
Any parameters not specified use the defaults configured with a previous 
invocation of the command:
SET TRACE [[IPADDRESS=]ipadd] [MAXTTL=number] [MINTTL=number] 
[NUMBER=number] [PORT=port-number] [SCREENOUTPUT={YES|NO}] 
[SOURCE=ipadd] [TIMEOUT=number] [TOS=number]
As each response packet is received a message is displayed on the terminal 
device from which the command was entered and the details are recorded. To 
display the default configuration and summary information, enter the 
command:
SHOW TRACE
To halt a trace route that is in progress, enter the command:
STOP TRACE
For more information about trace route, see the Internet Protocol (IP) chapter in 
the AT-8800 Series Switch Software Reference.