Aoc 919Swa Users Manual Monitor User Guide Operating Instructions
919swa 84ebb2f3-bee3-4c19-a318-463c60f98fa5 AOC Computer Monitor 919SWA User Guide |
2015-02-02
: Aoc Aoc-919Swa-Users-Manual-393103 aoc-919swa-users-manual-393103 aoc pdf
Open the PDF directly: View PDF
.
Page Count: 48

19" LCD Color Monitor AOC 919Swa
1
Service
Service
Service
Horizontal Frequency
30-80 kHz
TABLE OF CONTENTS
Description Page Description Page
SAFETY NOTICE
ANY PERSON ATTEMPTING TO SERVICE THIS CHASSIS MUST FAMILIARIZE HIMSELF WITH THE CHASSIS
AND BE AWARE OF THE NECESSARY SAFETY PRECAUTIONS TO BE USED WHEN SERVICING ELECTRONIC
EQUIPMENT CONTAINING HIGH VOLTAGES.
Table Of Contents.......…….................……...........…........1
Revision List.…........................………................……......2
1. Monitor Specification.................................………........3
2. LCD Monitor Description…………………………….......4
3. Operation Instruction…………...................…...........5
3.1 General Instructions.....................................…...........5
3.2 Control Button……………………………..……...........5
3.3 Adjusting the Picture...........................…............5
4. Input/Output Specification............……………............8
4.1 Input Signal Connector............…..……................8
4.2 Factory Preset Display Modes.........................8
5 Panel Specification.....…………………........................9
5.1 Display Characteristics………………………………9
5.2 Optical Characteristics………………………………..10
5.3 Electrical Characteristics……………….……………..11
6.Block Diagram…….…................………….........13
6.1 Software Flow Chat…….…..........………….........13
6.2 Electrical Block Diagram………...………...…......15
7. Schematic……………………………………………. 17
7.1 Main Board…………..............................................17
7.2 Power Board....……………....................................21
8. PCB Layout..………….......................................24
8.1 Main Board……………......................................24
8.2 Power Board…......................................................26
8.3 Key Board……………….....................................28
9. Maintainability……….......................................28
9.1. Equipments and Tools Requirement.....................29
9.2. Trouble Shooting…………....................................30
10. White-Balance, Luminance adjustment.................36
11.Monitor Exploded View……..……………............38
12. BOM List....……........................................... .........40
CAUTION: USE A SEPARATE ISOLATION TRANSFOMER FOR THIS UNIT WHEN SERVICING

19" LCD Color Monitor AOC 919Swa
2
Revision List
Revision Date Revision History Remark
T99LHDDBWKA1ANE
Initial release
T992HDDBWKA2ANE
IVO M190MWW3
A00 Dec.-25-2009
Panel list
TPV TPM190A1

19" LCD Color Monitor AOC 919Swa
3
1. Monitor Specifications
Model name 919Swa
Driving system TFT Color LCD
Viewable Image Size 48.1cm diagoanl
Pixel pitch 0.2835mm(H) x 0.2835mm(V)
Video R, G, B Analog lnterface
Separate Sync. H/V TTL
Display Color 16.7M Colors
LCD Panel
Dot Clock 135 MHz
Horizontal scan range 30 kHz - 83 kHz
Horizontal scan Size(Maximum) 408.24mm
Vertical scan range 55 Hz - 75 Hz
Vertical scan Size(Maximum) 255.15mm
Optimal preset resolution 1440 x 900 (60 Hz)
Plug & Play VESA DDC2B/CI
Input Connector D-Sub 15pin
Input Video Signal Analog: 0.7Vp-p(standard), 75 OHM
Power Source 100-240V~, 50/60Hz
Active < 37 W
Power Consumption Standby < 2 W
Resolution
Speakers 2 x 1W
Connector Type 15-pin Mini D-Sub
Signal Cable Type Detachable
Dimensions & Weight:
Height (with base) 365 mm
Width 439mm
Depth 190 mm
Weight (monitor only) 3.7 kg
Physical Characteristics
Weight (with packaging) 5.2kg
Temperature:
Operating 0° to 40°
Non-Operating -20°to 60°
Humidity:
Operating 10% to 85% (non-condensing)
Non-Operating 5% to 80% (non-condensing)
Altitude:
Operating 0~ 3000m (0~ 10000 ft )
Environmental
Non-Operating 0~ 5000m (0~ 15000 ft )

19" LCD Color Monitor AOC 919Swa
4
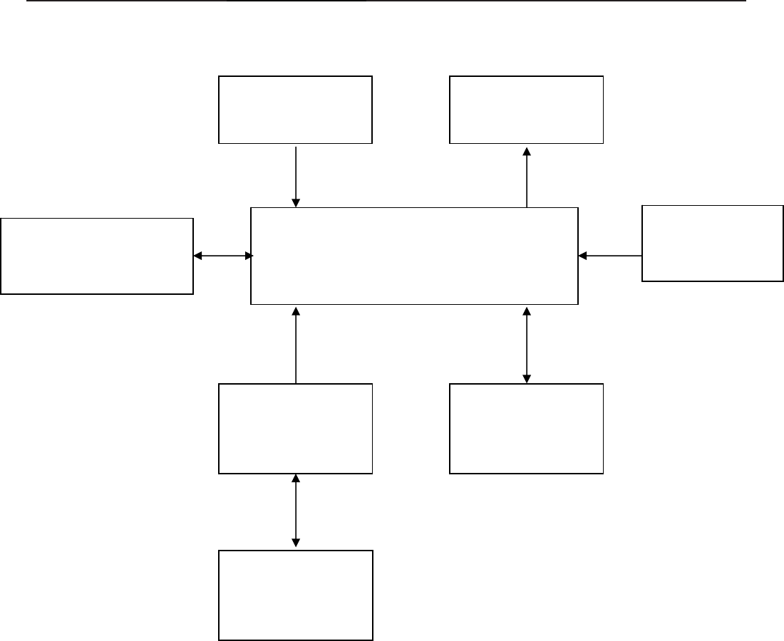
2. LCD Monitor Description
The LCD MONITOR will contain a main board, a power board, an audio board and a key board which house the flat
panel control logic, brightness control logic and DDC.
The power board will provide AC to DC Inverter voltage to drive the backlight of panel and the main board chips
each voltage.
HOST Computer
AC-IN
100V-240V
PWPC board
(Include: adapter, inverter)
Flat Panel and
CCFL backlight
Main Board RS232 Connector
For white balance
adjustment in factory
mode
CCFL Drive.
Video signal DDC
Monitor Block Diagram
Keyboard

19" LCD Color Monitor AOC 919Swa
5
3. Operating Instructions
3.1 General Instructions
Press the power button to turn the monitor on or off. The other control knobs are located at front panel of the monitor
(See Figure ). By changing these settings, the picture can be adjusted to your personal preferences.
* The power cord should be connected.
* Press the power button to turn on the monitor. The power indicator will light up.
3.2 Control Buttons
1. Auto / Exit
2. Eco mode / -
3. Volume / +
4. Menu / Enter
5. Power Button & Indicator
3.3 Adjusting the Picture
• Press the MENU-button to activate the OSD window.
• Press+ or - to navigate through the functions. Once the desired function is highlighted, press the
MENU-buttonto activate it.If the function selected has a sub-menu, press + or - again to navigate through
the sub-menu functions.Once the desired function is highlighted, press MENU-button to activate it.
• Press+ or - to change the settings of the selected function. To exit and save, select the exit function. If you
want to adjust any other function, repeat steps 2-3.
• OSD Lock Function: To lock the OSD, press and hold the Menu button while the monitor is off and then
press power button to turn the monitor on. To un-lock the OSD - press and hold the Menu button while the
monitor is off and then press power button to turn the monitor on.
• Eco Mode hot key : Press the Eco key continuously to select the Eco mode of brightness when there is no
OSD ( Eco mode hot key may not be available in all models).
• Volume adjustment hot key : When there is no OSD , press Volume (+) to active volume adjustment bar,
press - or + to adjust volume ( Only for the models with speakers).
• Auto configure hot key: When the OSD is closed, press Auto/Source button continuously about 2 second to
do auto configure.
Luminance Adjust Range Description
Brightness 0-100 Backlight Adjustment
Contrast 0-100 Contrast from Digital-register.
Standard
Standard Mode
Eco mode
Text Mode

19" LCD Color Monitor AOC 919Swa
6
Text
Internet
Internet Mode
Game
Game Mode
Movie
Movie Mode
Sports
Sports Mode
Gamma1 Adjust to Gamma1
Gamma2 Adjust to Gamma 2
Gamma
Gamma3 Adjust to Gamma 3
Off
Disable dynamic contrast ratio
DCR
On
Enable dynamic contrast ratio
Image Setup
Clock 0-100 Adjust picture Clock to reduce
Vertical-Line noise.
Phase 0-100 Adjust Picture Phase to reduce
Horizontal-Line noise
H.Position 0-100 Adjust the verticalposition of the
picture.
V.Position 0-100 Adjust the horizontal position of
the picture.
Color Temp.
Warm 6500K
Recall Warm Color Temperature
from EEPROM.
Normal 7300K
Recall Normal Color
Temperature from EEPROM.
Cool 9300K
Recall Cool Color Temperature
from EEPROM.
sRGB Recall SRGB Color
Temperature from EEPROM.
Red Red Gain from Digital-register
Green Green Gain Digital-register.
User
Blue Blue Gain from Digital-register
Color Boost
Full Enhance on or off Disable or Enable Full Enhance
Mode
Nature Skin on or off Disable or Enable Nature Skin
Mode
Green Field on or off Disable or Enable Green Field
Mode
Sky-blue on or off Disable or Enable Sky-blue
Mode

19" LCD Color Monitor AOC 919Swa
7
AutoDetect on or off Disable or Enable AutoDetect
Mode
Demo on or off Disable or Enable Demo
Picture Boost
Frame Size 14-100 Adjust Frame Size
Brightness 0-100 Adjust Frame Brightness
Contrast 0-100 Adjust Frame Contrast
H. position 0-100 Adjust Frame horizontal Position
V.position 0-100 Adjust Frame vertical Position
Bright Frame on or off Disable or Enable Bright Frame
OSD Setup
H.Position 0-100 Adjust the verticalposition of
OSD
V.Position 0-100 Adjust the horizontal position of
OSD
Timeout 5-120 Adjust the OSD Timeout
Transparence 0-100 Adjust the transparence of OSD
Off Timer Select the OSD language
Language 0~24hours Select timing to turn off the
monitor.
Extra
Input Select Analog Select Analog Sigal Source as
Input
Auto Config yes or no
A
uto adjust the picture to default
Image Ratio wide or 4:3 Select wide or 4:3 format for
display
DDC-CI yes or no Turn ON/OFF DDC-CI Support
Information
Show the information of the
main image and sub-image
source
Reset
Reset yes or no Reset the menu to default
Exit
Exit Exit the main OSD
LED Indicator
Status LED Color
Full Power Mode Green or Blue
Active-off Mode Orange or red

19" LCD Color Monitor AOC 919Swa
8
4. Input/Output Specification
4.1 Input Signal Connector
Pin Number 15-Pin Side of the Signal Cable Pin Number 15-Pin Side of the Signal Cable
1 Video-Red 9 +5V
2 Video-Green 10 Ground
3 Video-Blue 11 N.C.
4 N.C. 12 DDC-Serial data
5 Detect Cable 13 H-sync
6 GND-R 14 V-sync
7 GND-G 15 DDC-Serial clock
8 GND-B
4.2 Factory Preset Display Modes
STAND RESOLUTION
HORIZONTAL
FREQUENCY(kHZ)
VERTICAL
FREQUENCY(Hz)
Dos-mode 720 x 400 31.47 70
VGA 640 x 480 31.47 60
VGA 640 x 480 37.5 75
SVGA 800 x 600 37.879 60
SVGA 800 x 600 46.875 75
XGA 1024 x 768 48.363 60
XGA 1024 x 768 56.476 70
XGA 1024 x 768 60.02 75
XGA 1024 x 768 48.78 60
XGA 1024 x 768 60.241 75
SXGA 1280 x 1024 64 60
SXGA 1280 x 1024 80 75
WXGA 1440×900 55.93 60

19" LCD Color Monitor AOC 919Swa
9
5 Panel Specification
5.1 Display Characteristics
M190MWW3
The M190MWW3 is a color active matrix thin film transistor (TFT) liquid crystal display (LCD) that uses amorphous
silicon TFT as a switching device. It is composed of a TFT LCD panel, a timing controller, voltage reference,
common voltage, driver DC-DC converter, column driver, and row driver circuit. This TFT LCD has a 19-inch
diagonally measured active display area with WXGA+ resolution (1440 vertical by 900 horizontal pixel array).
TPM190A1
TPM190A1(M190A1-P0A) is a 19” wide TFT Liquid Crystal Display module with 4 CCFL Backlight unit and 30 pins
2ch-LVDS interface. This module supports 1440 x 900 WXGA+ mode and can display 16.7M colors. The front metal
frame for backlight is not built in, and need monitor front plastic bezel instead.

19" LCD Color Monitor AOC 919Swa
10
Note (1) Please refer to the attached drawings for more information of front and back outline dimensions.
5.2 Optical Characteristics
M190MWW3
TPM190A1

19" LCD Color Monitor AOC 919Swa
11
5.3 Electrical Characteristics
1.TFT LCD Module:
M190MWW3
Note:
A. If it exceeds MIN/MAX values, then "CCFL Life", "ON/OFF Cycle", and "SAFETY" will not be guaranteed.
B. CCFL Frequency should be carefully determined to avoid interference between inverter and TFT LCD.
C. The voltage over specified value (VCCFLi) should be applied to the lamp more than 1 second after startup.
Otherwise, the lamp may not be turned on. The used lamp current is the lamp typical current. The inverter should be
able to give out a power that has a generating capacity of over 1560 voltage. Lamp units need to over 1560 voltage
for ignition.
TPM190A1
2.Back Light Unit:
M190MWW3

19" LCD Color Monitor AOC 919Swa
12
TPM190A1

19" LCD Color Monitor AOC 919Swa
13
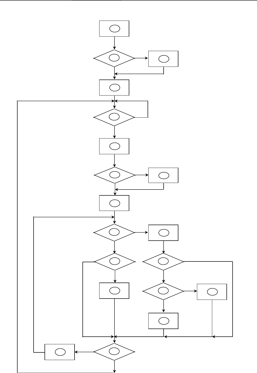
6. Block Diagram
6.1 Software Flow Chat
1
2
N
Y
5
Y
N
10
Y
N
12
Y
N
7
Y
N
6
4
3
8
9
14
11
13
Y
N
15
Y
N16
17
19
Y
N
18

19" LCD Color Monitor AOC 919Swa
14
REMARK:
1) MCU initialize.
2) Is the EPROM blank?
3) Program the EPROM by default values.
4) Get the PWM value of brightness from EPROM.
5) Is the power key pressed?
6) Clear all global flags.
7) Are the AUTO and SELECT keys pressed?
8) Enter factory mode.
9) Save the power key status into EPROM.Turn on the LED and set it to green color.Scalar initializes.
10) In standby mode?
11) Update the lifetime of back light.
12) Check the analog port, are there any signals coming?
13) Does the scalar send out an interrupt request?
14) Wake up the scalar.
15) Are there any signals coming from analog port?
16) Display "No connection Check Signal Cable" message. And go into standby mode after the message
disappear.
17) Program the scalar to be able to show the coming mode.
18) Process the OSD display.
19) Read the keyboard. Is the power key pressed?

19" LCD Color Monitor AOC 919Swa
15
6.2 Electric Block Diagram
6.2.1 Main Board
FLASH MEMORY
SST25LF020A-33-4C-SAE
(
U402
)
Scalar HX6803-A000LAG
(Include :MCU,ADC,OSD etc)
(U401)
Panel Interface
(CN405)
EEPROM
M24C04-WMN6TP
(U406)
D-Sub
Connector
(CN101)
EEPROM
M24C02-WMN6TP
(U101)
DDC1_SDA
DDC1_SCL
Key Control
Interface
(
CN408
)
Crystal 24.576MHz
(X401)

19" LCD Color Monitor AOC 919Swa
16
6.2.2 Inverter / Power Board
Audio
Feedback
Circuit
Transformer
(PT801)
MOSFET
(Q805,Q806)
Lamp
Output
Circuit
PWM Control IC
OZ9938GN
(IC801)
ON/OFF
DIM
PID
16V
EMI filter
Start Circuit
(R904,R905,
R906)
PWM Control IC
LD7576
(IC901)
Transformer
(T901)
A
C in
p
ut 16V
5V
Bridge
Rectifier,Filter Rectifier diodes
Power Switch
(Q901)
Photocoupler
(IC903)
Regulator
(IC904)
Audio Power Amplifier
APA2069JITUL
(IC601)
CN601(Phone Jack)
CN602
+5V

19" LCD Color Monitor AOC 919Swa
17
7. Schematic
7.1 Main Board
R125
4K7 1/16W 5%
VGA_PLUG
OEM MOD EL
Size
Rev
Date
Sheet
of
TPV MODEL
PCB NAME
称爹
T P V ( Top Victory Electronics Co . , Ltd. )
Key Component
絬
隔
瓜
絪
腹
AOC 931SN D
TBD B
25Monday , September 21, 2009
G2681-1-4 <
称爹
>
02.Input
G2681-1-4-X-1-090921
U101
M24C02-WMN6TP
A0
1
A1
2
A2
3
VSS
4SDA 5
SCL 6
WP 7
VCC 8
C120
10pF
B_GND
5V_ESD
C121
10pF
DSUB_SCL
DSUB_SDA
候綼
U103
G_GND
DSUB_5V
CMVCC1
DSUB_5V 5
CMVCC15
C122
10pF
R_GND
C110
0.047uF
VGA_R+ VGA_B+
VGA_G+
EDID_WP
V_Sy nc
C118
0.1uF/16V
D105
BAV70
3
1
2
候綼
U101
R121
10K 1/16W 5%
R120
10K 1/16W 5%
R119
4K7 1/16W 5%
DDC1_SCL3
DDC1_SDA3
DSUB_V 3
DSUB_H 3
DSUB_B+ 3
DSUB_SOG 3
DSUB_R+ 3
DSUB_G+ 3
DET_CABLE3
DDC1_SDA
DDC1_SCL
EDID_WP
H_Sy nc
Q410
2N3904S-RTK/PS
FB104
300 OHM
VGA_G+
B_GND
H_Sy nc
V_Sy nc
G_GND
VGA_B+
R_GND
VGA_B+
DSUB_5V
VGA_R+ VGA_G+
VGA_R+
DSUB_SDA
DSUB_SCL VGA_PLUG
C106
0.047uF
U102
AZC099-04S
I/O1
1
GND
2
I/O2
3I/O3 4
VDD 5
I/O4 6
R110
100R 1/16W 5%
ZD104
UDZSNP5.6B
1 2
U103
AZC099-04S
I/O1
1
GND
2
I/O2
3I/O3 4
VDD 5
I/O4 6
R124
CHIP BEAD
R122
CHIP BEAD
R112
75R 1/16W 5%
R103 1K 1/16W 5%
C115
NC
R101 80 OHM
CN101
DB15
1
6
2
7
3
8
4
9
5
11
12
13
14
15
10
17 16
R107
75R 1/16W 5%
R109
390 OHM 1/16W
R113
100R 1/16W 5%
R118
1K 1/16W 5%
R111
390R 1/16W 5%
C114
NC
C101
0.047uF
C102
22pF
C107
0.047uF
R115
390R 1/16W 5%
R102 1K 1/16W 5%
R123
CHIP BEAD
R105
2K2 1/16W 5%
R106
2K2 1/16W 5%
R116
75R 1/16W 5%
C103
22pF
ZD103
UDZSNP5.6B
1 2
R104
390R 1/16W 5%
DSUB_5V 5
VCC3.3 3,5
GND POWER DGND
VCC3.3
DSUB_5V
5V_ESD
ESD_5V
DDC1_SDA
DDC1_SCL

19" LCD Color Monitor AOC 919Swa
18
POWE R_KEY #
VCC3IO
C438
0.1uF/16V
C439
0.1uF/16V
KEY 1
SDO
CSN
SCK
SDI
GND
RST
PANEL_ID# 7
SDI
CSN
SCK
SDO
VCC3IO
XTAL_OUT
R469 0R05 1/16W
R456
1K 1/16W 5%
SPI_WP#
VCC1.85
R468 NCVCC3.3
GND
FB406
BEAD
1 2
OE M MOD EL
Size
Rev
Date Sheet of
TPV MOD EL
PCB NAME 称爹
T P V ( Top Victory Electronics Co . , Ltd. )
Key Component
絬
隔
瓜
絪
腹
AOC 931SN D
TBD Custom
35Monday, September 21, 2009
G2681-1-4 <
称爹
>
03.Scaler
G2681-1-4-X-1-090921
C442
10uF/10V
VSSA_AD
VSSP_AD
GNDIO
GNDIO
adj_BACKLIGH T 5
Mut e 5
VSSP_AD
Volume# 5
R462
10K 1/16W 5%
on_Panel 4
C441
10uF/10V
on_BACKLIGHT 5
R461
10K 1/16W 5%
GND
R460
10K 1/16W 5%
R471 100R 1/16W 5%
R472 100R 1/16W 5%
R473 100R 1/16W 5%
USRD_MSCL
C444
0.22UF 10V
C455
10uF/10V
DET_CABLE 2
VCC3.3
GND
R480 NC
R466
0R05 1/16W
C450
0.1uF/16V
R467 10K 1/16W 5%
R465
6K8 1/16W 5%
CMVCC
USER DATA
LVDS
X1 GROUNG
SHIELDING
VCCK
VCCLVPVCCP
CMVCC5
KEY 2
綼
IC PIN
綼
IC PIN
AC_DET
UDP_WP
KEY1
SPI_WP#
VDDA_AD
VCC3.3
C404
0.1uF/16V
VSSP_AD
C433
0.1uF/16V
VDDP_AD
POWER_KEY #
POWER_KEY #
PA4
PA5
PA[4..9]
R419 NC/61G0402101
PA6
PA7
PA9
PA8
VCC3.32,5
USRD_MSDA
LED_GRN/BLUE
PB[0..9]
PB1
PB0
PB4
PB2
PB3
PB5
SST-020A
ZD401
NC/UDZSNP5.6B
1 2
KEY2
PB6
PB9
PB8
CN408
CONN
1
2
3
4
5
6
PB7
CN409
NC/CONN
1
2
3
4
5
6
7
VSSA_AD
C436
0.1uF/16V
C437
0.1uF/16V
1
AC_D ET
DSUB_B+2
DSUB_G+2
DSUB_SOG2
DSUB_V2
DSUB_H2
DSUB_R+2
DDC1_SDA2
DDC1_SCL2
0
GND
R402
1K6 O HM 1/16W 5%
U406
M24C04-WMN6TP
NC 1
E1 2
E2 3
VSS 4
SDA
5SCL
6WC
7VCC
8
C409
0.1uF/16V
VDDP_AD
C405 0.01uF/25V
0
CMVCC
R488
10K 1/16W 5%
R487
10K 1/16W 5%
CN406
NC/CONN
1
2
3
4
5
6
7
8
C401
0.1uF/16V
R486 NC/1K 1/16W 5%
C402
4.7uF/16V
R455
1K 1/16W 5%
R454
NC
PA[4. . 9] 4
PB[0. . 9] 4
R401
1M 1/16W 5%
Q412
2N3904S-RTK/PS
VREF
PA[0..1]
CSNSDO SCK
R463 NC
R464 NC
RST
C456
1uF/16V
R485 NC/1K
PA0
POWER_ON_LATCH
PA[0. . 1] 4
Near to Connect
R450
5K1 O HM 1/16W 5%
VDDP_AD
VDDDP_AD
VDDA_AD
LED_ORANGE
VCCLVP
PA1
CN402
NC/CONN
1
2
3
4
5
6
VCCP
X401
24.576MHz
CN407
NC/CONN
1
2
3
4
5
6
7
Q402
PMBS3906
R427
3.9K OHM 1/16W
C407
0.1uF/16V
R407
10K 1/16W 5%
C412
33pF
FB404
NC
Q401
PMBS3906
C411
33pF
R428
3.9K OHM 1/16W
R416 4K7 1/16W 5%
R411 100R 1/16W 5%
R421
10K 1/16W 5%
C408
0.22uF16V
C403
0.1uF/16V
C445
NC
C413
0.1uF/16V
R410
120R 1/16W 5%
TOUCH_POWER
U402
SST25LF 020A-33-4C-SAE
CE# 1
SDO 2
WP#
3
VSS
4SDI 5
SCK 6
HOLD#
7VDD
8
R414
120R 1/16W 5%
C417
0.1uF/16V
C414
0.1uF/16V
R420 100R 1/16W 5%
C416
0.1uF/16V
HX6803-A000LAG
U401
VDDP_AD(3.3V) 13
VDDA_AD(3.3V) 10
HSYNC
11
SOG
8
VSY NC
12
R
9
G
7
VDDDP_AD(3.3V) 16
DDCA_SDA/RS232_TX/GPI O17
17
VREF (1. 25V)
4
VSSP_AD
15
FILT
14
USRD_MSCL/GPIO16 21
CSN
23 SDO
22
SCK
24
GPIO02/RS232_RX 27
SAR1 56
XTA L _ I N
1
VCCP(1.8V) 2
LVA2P 35
LVA2N 36
LVA1P 37
LVA1N 38
LVA0P 39
LVA0N 40
LVB3P 42
LVB3N 43
LVBCKP 44
LVBCKN 45
LVB2P 46
LVB2N 47
LVB1P 48
LVB1N 49
LVB0P 50
LVB0N 51
LVA3N 34
LVA3P 33
VSSA_AD
5
B
6
VCCK(1.8V) 32
GNDIO
31
VCCK(1.8V) 52
VCC3IO(3.3V) 30
DDCA_SCL/RS232_RX/GPIO18
18
GPIO00/PWMD 19
TSTMD
62
USRD_MSDA/GPIO15 20
GPIO03/PWMB 28
SAR0 55
PWMB/GPIO10 58
PWMC/GPIO11 59
PWMD/GPIO12 60
GPIO05 61
RST_N
63
XTA L _ O U T
64
SDI
25
GPIO01/RS232_TX 26
VCC3IO(3.3V) 54
VCC LVP(1. 8V) 41
GNDIO
53
GPIO04/PWMC 29
SAR2 57
GPIO06 3
C415
0.1uF/16V
R415 4K7 1/16W 5%
R418 NC/ 61G0402101
0
SCK
PMC,MXIC(2M) 1
SST-010A
R453
1K 1/16W 5%
C406
0.1uF/16V
1
0
0
0
0SST-010
0
CSN
R452
NC
R451
NC
1
PMC,MXIC(1M)
Spansion(2M)
POWER_ON_LATCH Setting
R412 100R 1/16W 5%
SPI-Flash
1
0
0
SDO
0
0
1
R404
10K 1/16W 5%
R490 NC/ 61G0402101
VDDDP_AD
VCC3.3
VCC3.3
VCC3.3 VCC3.3
VCC1.8
FB409
220OHM
1 2
VCCK
VCC3.3
VCC3.3
LED_GRN/BLUE
LED_OR ANGE
FB405
BEAD
1 2
TOUCH_POWER
VCC3.3
R457
10K 1/16W 5%
SPI_W P#
R482
10K 1/16W 5%

19" LCD Color Monitor AOC 919Swa
19
PB2
Ripple Current NG
PB4PB5
PB0
PB6
LVDS OUTPUT
on_Panel
OEM MODEL
Size
Rev
Date
Sheet
of
TPV MODEL
PCB NAME
称爹
T P V ( Top Victory Electronics Co . , Ltd. )
Key Component
絬
隔
瓜
絪
腹
AOC 931SN D
TBD A4
45Monday , September 21, 2009
G2681-1-4 <
称爹
>
04.Output
G2681-1-4-X-1-090921
on_Panel3
2
AO3401L
3
D
G
1
S
PANEL_VCC
C446
NC/65G0402104 15
C447
NC
PA1
PA0
R435
4K7 1/16W 5%
+
C421
100UF25V
FB402
120OHM
R436
51K OHM 1/16W
Q404
PMBS3906
VCC3.3D 5
Q405
AO3401
C420
0.1uF/16V
CN405
NC/33G801930F CH JS
1
2
3
4
5
6
7
8
9
10
11
12
13
14
15
16
17
18
19
20
21
22
23
24
25
26
27
28
29
30
R434
330 OHM 1/4W
C419
0.1uF/16V
R433
10K 1/16W 5%
PANEL_VCC
PANEL_VCC
CMVCCD 5
PB9
PB8
PB7
PA[0..1]
PB6
PA4
PA5
PA[4..9]
PA6
PA7
PA9
PA8
PB5
PB4
PA1
PA[0..1]3
PA[4..9]3
PB3
PB[0..9]
PB4
PB3
PB1
PB0
PB[0..9]3
PB5
PB2
PB8
PB9
PB6
PB7 PB2
PB1
PB2
PB1
PB9
PA9
PA6
PA0
PA5 PA4
PB7
PA8
PB8
PB0
PA7
PB3
PB3
PA9
PA8
PA7
PA6
PA5
R481
47K 1/16W 5%
PA4
PB3
CN403
CONN
2
4
6
8
10
12
14
16
18
20
22
24
26
28
30
1
3
5
7
9
11
13
15
17
19
21
23
25
27
29
PB2
PA1
PA0

19" LCD Color Monitor AOC 919Swa
20
U403
NC/AP1117D33LA
ADJ(GND)
1
VOUT
2
VIN
3
VCC3.3D
VCC3.3D 4
R478 NC
Q411
2N3904S-RTK/PS
R477
4K7 1/16W 5%
PANEL_ID#
VCC1.8 3
R441
1K 1/16W 5%
Q408
2N3904S-RTK/PS
D402
SR24
R447
NC
C432
0.1uF/16V
+
C424
100uF M 16V
+
C426
100uF M 16V
+
C423
100uF M 16V
R438
3.3 OHM 2W
D401
NC/BAV70//93G 64 42 P
3
1
2
R440
4K7 1/16W 5%
+
C427
100uF M 16V
R437
10K 1/16W 5%
R446
NC/10K 1/16W 5%
R439
10K 1/16W 5%
Q406
2N3904S-RTK/PS
C425
NC
U405
VI
3VO 2
GND
1
VO 4
U404
AP1117E33LA
VSS
1
VOUT 2
VIN
3
4
4
R448
4.7K 1/16W
C422
0.1uF/16V
R449
NC
C428
0.1uF/16V
C431
0.1uF/16V
MVCC
CMVCC
VCC3.3 VCC3.3
VCC3.3
VCC3.3 VCC3.3
VCC3.3
VCC1.8
CMVCC1
CMVCC1
DSUB_5V
CMVCC1
OEM MODEL
Size
Rev
Date
Sheet
of
TPV MOD EL
PCB NAME
称爹
T P V ( Top Victory Electronics Co . , Ltd. )
Key Component
絬
隔
瓜
絪
腹
931SN D
TBD B
55Monday, September 21, 2009
G2681-1-4 <
称爹
>
05.POWER
G2681-1-4-X-1-090921
D403
BAT54C
R476
0R05 1/16W
R491 NC
BKLT_VBRI
R475
10K 1/16W 5%
Mut e 3
adj_BACKLIGHT 3
Volume# 3
on_BACKLIGHT 3
CN404
CONN
1
2
3
4
5
6
7
8
9
FB408 NC,71G 56Z601
FB407 300 OHM
CMVCCD 4
ESD_5V 2
Volume
BKLT_EN
BKLT_VBRI
Mut e
BKLT_EN
Volume
CMVCC
CMVCC
CMVCC 3
CMVCC1 2
DSUB_5V2
VCC3.3 2,3
ESD_5V

19" LCD Color Monitor AOC 919Swa
21
7.2 Power Board
R821
1M 1/10W 5%
R816
10K 1/10W 1%
C807
1uF
D801 LL4148
R805
100R 1/10W 5%
R824
5K1 1/10W
R830
NC
OEM MOD EL
Size
Rev
Date
Sheet
of
TPV MODEL
PCB NAME
称爹
T P V ( Top Victory Electronics Co . , Ltd. )
Key Component
絬
隔
瓜
絪
腹
PWPC9941LHD1 2
Custom
24Monday , June 29, 2009
715G2824-2 ODM MODEL
02.Inverter
G2824-2-X-X-4-090627
919Swa
R828
6.2M OHM 1/2W
C808
180K 1/10W
CN801
1
2
Q801
PMBS3904
L801
L
1
2
4
3
R819
100K 1/10W 5%
R850
NC
C820
68pF/3KV
C821
68pF3KV
C822
68pF3KV
C819
68pF/3KV
D806 BAV70
3
1
2
C804
2.2uF/16V
C818
220pF
R813
470K 1/10W 5%
L802
L
1
2
4
3
Q803
RK7002
C805
10N
R829
6K8 1/8W
CN802
1
2
Q805
AM4502C-T1-PF
S
1G
2S
3G
4
D8
D7
D6
D5
R837
8K2 1/10W
R836
62K 1/10W 5%
CN803
1
2
R815
NC
C803
NC
R814
NC
CN804
1
2
R838 1M 1/10W 5%
R842
10K 1/10W 5%
R822
20K OHM 1% 1/8W
C813
33NF 25V
R807 100R 1/10W 5%
LV1
LV2
LV3
LV4
LV1
LV3
LV2
LV4
R827
NC
Q804
NC
C823
NC
R846
RST CHIP MAX 0R05 1/10W
D802 LL4148
D803 LL4148
D804 LL4148
R801
2.4K OHM 1/10W
D809
BAV99
3
1
2
C801
0.047uF
C802
0.047uF
R803
5K1 1/8W
R806 100R 1/8W
R804 5K1 1/8W
R808 100R 1/8W
PT801
POWER X'FMR
5
91
8
2
6
R825
550OHM 1/10W
IC801
OZ9938GN
DRV1
1
VDDA
2
TIMER
3
DIM
4
ISEN
5
VSEN
6
OVPT
7
NC1
8NC2 9
ENA 10
LCT 11
SSTCMP 12
CT 13
GNDA 14
DRV2 15
PGND 16
C811
0.1uF
+
C812
1000uF 25V
R818
100K 1/10W 5%
R843
10K 1/10W 5%
R845
10K 1/10W 5%
R844
10K 1/10W 5%
R817
1M 1/10W 5%
ZD802
RLZ5.6B
1 2
+16V
ON/OFF
DIM
ZD803
RLZ5.6B
1 2
R802
22R 1/8W
PID
C806
1uF/16V
Q806
AM4502C-T1-PF
S
1G
2S
3G
4
D8
D7
D6
D5
R847
NC
ZD801
RLZ5.6B
1 2
D805
LL4148
CT
SST
C816
22pF/6KV
R823
390R 1/10W 1%
R820
20K 1/10W 5%
D807 BAV70
3
1
2
R849
RST CHIP MAX 0R05 1/10W
C814
390P 50V
CT
SST
R826
1M 1/10W 5%
C815
0.047uF
C817
2PF/6KV
C824
22pF/6KV
D808 BAV70
3
1
2
R848
NC
Q802
RK7002
R840 1M 1/10W 5%
R839 1M 1/10W 5%
R841 1M 1/10W 5%
C809
560pF50V
C810
0.047uF

19" LCD Color Monitor AOC 919Swa
22
ZD921
RLZ 22B
1 2
R903
100K OHM 2W
L904
L
L903
L
FB903
BEAD
1 2
L905
L
OE M MOD EL
Size
Rev
Date
Sheet
of
TPV MOD EL
PCB NAME
称爹
T P V ( Top Victory Electronics Co . , Ltd. )
Key Component
絬
隔
瓜
絪
腹
PWPC9941LHD1 2
Custom
34Monday , June 29, 2009
715G2824-2 OD M MOD EL
03.Adapter
G2824-2-X-X-4-090627
919Swa
+16V
+5V
C921
NC
-+
BD901
GBU408
2
1
3
4
VOL
C912
0.001uF
R962 100 OHM 1/4W
+
C905
120uF/450V
R920100 OHM 1/4W
+5V1
IC901
LD7552DPS
GND
1COMP
2VCC
3RT
4NC 5
CS 6
VCC 7
OUT 8
!
ZD902
RLZ18B
MUTE
+
C908
22uF/50V
R938
10K 1/8W
!
!
FB902
80OHM
1 2
C909
470pF/25V
R910
10R 1/4W
R939
1K 1/8W
!
C901
1000PF/250VAC
!
R909
5.1 OHM 1/4W
!
!
C903
0.47uF/275V
C920
1000pF 250V
NR901
NTCR
C928
1000pF
!
D908
FCQ10U06
1
2
3
C907
0.1uF
F901
FUSE
!
CN901
SOCKET
12
3
R904
300K OHM 1/4W
R943
470R 1/8W
C932
0.001uF
F903 T4A 250V
L906
2.2uH
!
R925
1K 1/8W
!
C940
0.1uF
!
R940
NC
C900
2200pF 250V
Q903
PMBS3904
R942
1K 1/10W 1%
D903
LL4148
C906
1500pF2KV
+
C917
680uF25V
+
C918
680uF25V
C902
1000PF/250VAC
C930
0.1uF
FB901
BEAD
12
R946
150OHM2W
L901
30.0mH
1
4
2
3
R902
1M 1/4W
C931
0.1uF
+5V
CN902
CONN
1
2
3
4
5
6
7
8
9
10
11
12
13
+5V1
DIM
ON/OFF
T901
POWER X'FMR
1
3
4
5
6
7
8
9
10
11
12
+
C916
1000uF/25V
R912
220 OHM 1/4W
1500P/2KV
IC903
PC123X2Y FZOF
12
43
R924
330R 1/8W 5%
BOM
要变更
D907
31DQ06FC3
+
C915
470uF/16V
+
C939
1000uF/25V
R961 100 OHM 1/4W
IC904
AZ431AZ-AE1
R935 100 OHM 1/4W
D906
FCH10U15
1
2
3
R901
1M 1/4W
HS3 with Heat-sink(90G6263 1)
C929
0.001uF
GND 1 (009G6005 1)
GND 2 (009G6005 1)
HS4 with Heat-sink(90G6264 1)
c938
NC
D901
FR 103
ZD 922
RLZ5.6B
1 2
FOR D908 Heat-sink(90G6264 1)
R905
300K OHM 1/4W
R906
300K OHM 1/4W
R918100 OHM 1/4W
R919100 OHM 1/4W
+
C934
1000uF/25V
C924
0.1uF
Q901
STP9NK65ZFP
FB904
BEAD
1 2
R926
1K 1/10W 1%
F902 T4A 250V
R930
2.43K OHM 1% 1/10W
R949 100 OHM 1/4W
R950 100 OHM 1/4W
R951 100 OHM 1/4W
R914
0R43 5% 2W
C935
0.001uF
C904
NC
D900
PR1007R
PID
R927
2.43K OHM 1% 1/10W
C941
0.047uF/25V

19" LCD Color Monitor AOC 919Swa
23
OEM MOD EL
Size
Rev
Date
Sheet
of
TPV MODEL
PCB NAME
称爹
T P V ( Top Victory Electronics Co . , Ltd. )
Key Component
絬
隔
瓜
絪
腹
PWPC9941LHD1 2
A
44Monday , June 29, 2009
715G2824-2 ODM MODEL
04.AUDIO
G2824-2-X-X-4-090627
919swa
IC with Heat-sink(90G6295-3)
IC601
APA2069JITUL
SHUTDOWN
1BYPASS
2RIN-
3GND
4GND
5LIN-
6VOLUME
7SE/BTL
8LOUT- 9
VDD 10
LOUT+ 11
GND 12
GND 13
ROUT+ 14
VDD 15
ROUT- 16
Q601
PMBS3904
C612
0.1uF/16V
R610
10K 1/10W 5%
R609
10K 1/10W 5%
C613
0.1uF/16V
ROUT-
LOUT-
ROUT+
R608
0R05 1/8W
R606
6.2KOHM +-5% 1/10W
FB602
BEAD
1 2
C606 0.47uF/16V
CN602
CONN
1
2
3
4
C610 100pF
R605 10K 1/10W 5%
R601
10K 1/10W 5%
R607
6.2KOHM +-5% 1/10W
+
C604
100uF/25V
C601 0.47uF/16V
C609
1uF/25V
C603 0.47uF/16V
R603
10K 1/10W 5%
C611 100pF
R602
10K 1/10W 5%
C602 0.47uF/16V
+5V1
C608
1uF/25V
R604 10K 1/10W 5%
+5V1
CN601
PHONEJACK
1
2
3
4
5
+5V1
VOL
LOUT+
MU TE

19" LCD Color Monitor AOC 919Swa
24
8. PCB Layout
8.1 Main Board

19" LCD Color Monitor AOC 919Swa
25

19" LCD Color Monitor AOC 919Swa
26
8.2 Power Board

19" LCD Color Monitor AOC 919Swa
27

19" LCD Color Monitor AOC 919Swa
28
8.3 Key Board

19" LCD Color Monitor AOC 919Swa
29
9. Maintainability
9.1 Equipments and Tools Requirement
1. Voltmeter.
2. Oscilloscope.
3. Pattern Generator.
4. DDC Tool with an IBM Compatible Computer.
5. Alignment Tool.
6. LCD Color Analyzer.
7. Service Manual.
8. User Manual.

19" LCD Color Monitor AOC 919Swa
30
9.2 Trouble Shooting
9.2.1 Main Board
1. NO SCREEN APPEAR
No power
No power
Press power key and look if
the picture is normal
Please reinsert and make
sure the AC of 100-240 is
normal
Measure U404 Vout=3.3V
U405 Vout=1.8V
Reinsert or check the
power section
X401 oscillate waveforms
are normal
Replace
U404,U405,CN404
Replace U401
Replace X401
OK
OK
OK
NG
NG
NG
NG

19" LCD Color Monitor AOC 919Swa
31
No picture (LED orange)
No picture
OK
OK
NG
NG
Measure U404 Vout=3.3V
U405 Vout=1.8V
Replace
U404,U405,CN404
X401 oscillate waveforms are
normal
Replace X401
Check if the sync signal from
computer is output and video
cable is connected normally
Input the sync signal of
computer, or change the
cable
Replace U401
NG
OK

19" LCD Color Monitor AOC 919Swa
32
White Screen
White screen
Measure Q404base
is low level?
X401 oscillate
waveform is normal
Check FB402,Q405 is
broken,or CN405 solder?
Check Correspondent
component.
Replace PANEL
Check Correspondent
component.
Replace U401
OK
OK
OK Replace X401
OK
NG
NG
NG
NG
Check reset circuit of U401
is normal

19" LCD Color Monitor AOC 919Swa
33
9.2.2 Power Board
1. No Power
Check ZD902 = 16V
Check AC line volt 110V or 240V
Check AC input
Check the voltage of C905(+)
Check bridge rectified circuit and F901 circuit
Check start voltage for the pin3 of IC901
Check R904,R905,R906 and Change IC901
NG
Check the auxiliary voltage
1) Check IC901,T901
2) Check OVP circuit
OK
OK
NG
Check IC903,IC904,Q901,D906,D907
OK
Check IC901 pin8 PWM wave
OK
Check IC901
NG
NG
NG
OK
NG

19" LCD Color Monitor AOC 919Swa
34
2. W/LED No Backlight
Check C812 (+) =16V
NG
OK
Change adapter and MB
Check ON/OFF signal
Check main board
NG
OK
Check IC801 pin15=16V
NG
OK
Change Q801
Check the pin13 of IC801 have saw tooth wave
NG
Change IC801
Check PT801 have the output of square of wave at short
Change C819,C820,C821,C822
Check the output of PT801
OK
NG
OK
NG
Change PT801
Check connecter & lamp
OK

19" LCD Color Monitor AOC 919Swa
35
9.2.3 Key Board
OK
OK
OSD is unstable or not working
Is Keypad board connecting normally?
Is Button Switch normally?
Is Keypad board normally?
Check main board
Connect Keypad Board
Replace Button Switch
Replace Keypad Board
NG
NG
NG
OK

19" LCD Color Monitor AOC 919Swa
36
10. White- Balance, Luminance Adjustment
Approximately 30 minutes should be allowed for warm up before proceeding white balance adjustment.
Before started adjust white balance , please set the Chroma-7120 MEM Channel 3 to Warm (6500K) color, MEM
Channel 4 to Normal (7300K) color, MEM Channel 9 to Cool (9300K) color , and MEM Channel 10 to sRGB color
( our Warm color parameter is x = 283 ±30, y = 297 ±30, Y=180cd/m2; Normal color parameter is x = 301 ±30, y =
317 ±30, Y=190cd/m2; Cool color parameter is x = 313 ±30, y = 329 ±30, Y = 200 cd/m2; sRGB color parameter
is x = 313 ±30, y = 329 ±30, Y = 180cd/m2)
How to setting MEM channel you can reference to chroma 7120 user guide or simple use “ SC” key and
“ NEXT” Key to modify xyY value and use “ID” key to modify the TEXT description Following is the procedure
to do white-balance adjust .
2. Setting the color temp. you want
A. MEM.CHANNEL 3 (Warm color):
Warm color temp. parameter is x = 283 ±30, y = 297 ±30, Y=180cd/m2
B. MEM.CHANNEL 4 (Normal color):
Normal color temp. parameter is x = 301 ±30, y = 317 ±30, Y=190cd/m2
C. MEM.CHANNEL 9 (Cool color):
Cool color temp. parameter is x = 313 ±30, y = 329 ±30, Y = 200 cd/m2
D. MEM.CHANNEL 10 (sRGB color):
sRGB color temp. parameter is x = 313 ±30, y = 329 ±30, Y = 180cd/m2
3. Into Factory mode of AOC 919Swa
Press the MENU button, pull out the power cord, and then plug the power cord. Then the factory OSD will be at the
left top of the panel.
4. Bias adjustment:
Set the Contrast to 50; Adjust the Brightness to 90.
5. Gain adjustment:
Move cursor to “-F-” and press MENU key
A. Adjust Warm (6500K) color-temperature
1. Switch the chroma-7120 to RGB-Mode (with press “MODE” button)
2. Switch the MEM.channel to Channel 3 (with up or down arrow on chroma 7120)
3. The LCD-indicator on chroma 7120 will show x = 283 ±30, y = 297 ±30, Y=180cd/m2
4. Adjust the RED of color3 on factory window until chroma 7120 indicator reached the value R=100
5. Adjust the GREEN of color3 on factory window until chroma 7120 indicator reachedthe value G=100
6. Adjust the BLUE of color3 on factory window until chroma 7120 indicator reached the value B=100
7. Repeat above procedure (item 4,5,6) until chroma 7120 RGB value meet the tolerance =100±2
B. Adjust Normal (7300K) color-temperature
1. Switch the chroma-7120 to RGB-Mode (with press “MODE” button)
2. Switch the MEM.channel to Channel 4(with up or down arrow on chroma 7120)
3. The LCD-indicator on chroma 7120 will show x = 301 ±30, y = 317 ±30, Y=190cd/m2
4. Adjust the RED of color3 on factory window until chroma 7120 indicator reached the value R=100
5. Adjust the GREEN of color3 on factory window until chroma 7120 indicator reachedthe value G=100
6. Adjust the BLUE of color3 on factory window until chroma 7120 indicator reached the value B=100
7. Repeat above procedure (item 4,5,6) until chroma 7120 RGB value meet the tolerance =100±2

19" LCD Color Monitor AOC 919Swa
37
C. Adjust Cool (9300K) color-temperature
1. Switch the Chroma-7120 to RGB-Mode (with press “MODE” button)
2. Switch the MEM. Channel to Channel 9 (with up or down arrow on chroma 7120)
3. The LCD-indicator on chroma 7120 will show x = 313 ±30, y = 329 ±30, Y = 200 cd/m2
4. Adjust the RED of color1 on factory window until chroma 7120 indicator reached the value R=100
5. Adjust the GREEN of color1 on factory window until chroma 7120 indicator reached the value G=100
6. Adjust the BLUE of color1 on factory window until chroma 7120 indicator reached the value B=100
7. Repeat above procedure (item 4,5,6) until chroma 7120 RGB value meet the tolerance =100±2
D. Adjust sRGB color-temperature
1. Switch the chroma-7120 to RGB-Mode (with press “MODE” button)
2. Swit ch the MEM.channel to Channel 10 (with up or down arrow on chroma 7120)
3. The LCD-indicator on chroma 7120 will show x = 313 ±30, y = 329 ±30, Y = 180cd/m2
4. Adjust the RED of color3 on factory window until chroma 7120 indicator reached the value R=100
5. Adjust the GREEN of color3 on factory window until chroma 7120 indicator reachedthe value G=100
6. Adjust the BLUE of color3 on factory window until chroma 7120 indicator reached the value B=100
7. Repeat above procedure (item 4,5,6) until chroma 7120 RGB value meet the tolerance =100±2
E. Turn the Power-button off to quit from factory mode.

19" LCD Color Monitor AOC 919Swa
38
11. Monitor Exploded View

19" LCD Color Monitor AOC 919Swa
39
Item Description Item Description
1 BEZEL(L19WA-8Q1A) 11 HINGE
2 LENS 12 STAND TOP
3 KEY PAD 13 STAND
4 KEY BOARD 14 BASE8S2
5 PANEL 15 FOOT
6 POWERBOARD S1 SCREW
7 MAIN BOARD S2 SCREW
8 MAIN FRAME S3 SCREW
9 SPK S4 SCREW
10 REAR COVER19"

19" LCD Color Monitor AOC 919Swa
40
12. BOM List
Note: The parts information listed below are for reference only, and are subject to change without notice. Please go
to http://cs.tpv.com.cn/hello1.asp for the latest information.
T99LHDDBWKA1ANE
Location Part NO. Description Remark
040G 58162435A P/N LABEL FOR MANUAL PE BAG
041G780061553A TCO'03 CARD
050G 600 1 W WHITE STRAP (1G004991)
050G 600 3 HANDLE2
050G 600 4 HANDLE 1
052G 1150 C INSULATING TAPE
052G 1186 SMALL TAPE
052G 1207 A Conductive Tape 45mm *25mm *0.08mm
052G 1211 B Conductive Tape 85mm *40mm *0.09mm
052G 1211527 Conductive Tape 75mm *45mm *0.08mm
052G6019 1 INSULATING TAPE
E07801 078G 322514 K SPK 8 OHM 1.5W 43X18 280 320mm KUAIDA
089G 173 56 4B AUDIO CABLE
E08902 089G 715HAAE01 SIGNAL CABLE
089G179J30N517 FFC CABLE
E08901 089G404A15N IS POWER CORD
E09503 095G8014 6TE01 HARNESS 6P-6P 160MM
0D1G1730 8120 SCREW
0M1G 130 5120 SCREW
705GH834068 19" STAND ASS'Y
E750 750GLJ190W3011N000 PANEL M190MWW3 R01 KS IVO
AM1G1740 12 47 CR3 SCREW
H15G0245O02 MAIN FRAME
H26G 800504 2A barcode
H40G 19N61579A ID LABEL
H40G 582615 9B CARTON LABEL
H40G 58261510A TCO BASIC SILVE LABEL
H41G780061597A QSG
H44G9033101 EPS
H44G9033201 EPS
H44G9033615 5B CARTON
H45G 77 6 PE PACKING
H45G 87 18 4H A EPE COVER
H70G200961521C CD MANUAL
KEPC7QAK KEY BOARD
PWPC9941LHD1 POWER BOARD
Q33G0170ABJ 1L0100 key pad
Q33G0171 1 1C0100 LENS
Q34G0265ABJC8B0100 REAR COVER19"
Q34G0316BBLC1B0130 BEZEL(L19WA-8Q1A)
Q45G 76 28 H A PE BAG FOR MANUAL
Q50G 4 10 TIE (Y1900221)
Q52G 1185 99 big carton tape for aoc
AM1G1740 10120 SCREW(M4*10)
H34G0026AED 1B0100 STAND
Q34G0299AED 1B0130 BASE8S2
Q37G0067015 HINGE
756GH9CB A1048 MAIN BOARD-CBPC9HDA1H1
U402 056G1133 81 SST25LF020A-33-4C-SAE
SMTCR-U402 100GAHL9001W11 MCU ASS'Y-056G1133 81
CN408 033G3802 6B Y W WAFER

19" LCD Color Monitor AOC 919Swa
41
CN404 033G3802 9B Y W WAFER
CN405 033G801930F CH JS CONNECTOR
040G 45762412B CBPC LABEL
R438 061G152M33964L RST MOFR 3.3 OHM +-5% 2WS
CN101 088G 35315F XH D-SUB 15PIN VERTICAL CONN WITH SCREW
X401 093G 2258B J NXS24.576AC20F-KAB11
CN001 033G3802 6H WAFER 6P RIGHT ANGLE PITCH 2.0
D001 081G 12 1F GH LED 3Pin Φ3 黄绿双色 GHZYG603D2-5B
GND1 009G6005 1 GROUND TERMINAL
CN602 033G3802 4 WAFER PH-4
CN804 033G8021 2E F WAFER
CN803 033G8021 2E F WAFER
CN802 033G8021 2E F WAFER
CN801 033G8021 2E F WAFER
040G 45762412B CBPC LABEL
IC903 056G 139 3A IC PC123Y22FZ0F
NR901 061G 5810T RST NTCR 8 OHM +-20% 4A 13mm THINKING
C903 063G107K474 6S CAP X2 0.47UF K 275VAC
C822 065G 3J6806ET CAP CER 68PF J 3KV SL
C821 065G 3J6806ET CAP CER 68PF J 3KV SL
C820 065G 3J6806ET CAP CER 68PF J 3KV SL
C819 065G 3J6806ET CAP CER 68PF J 3KV SL
C817 065G 6J2096ET 2PF 5% SL 6KV
C824 065G 6J2206ET 22PF +-5% 6KV SL
C816 065G 6J2206ET 22PF +-5% 6KV SL
C902 065G305M1022BP Y2 1000PF M 250VAC Y5P
C901 065G305M1022BP Y2 1000PF M 250VAC Y5P
C920 065G306M1022BP 1000PF Y1.CAP
C900 065G306M2222BP 2200PF +-20% 250VAC
C905 067G 40Z12115K EC 120uF V 450V 20*40mm
C812 067G215H102 4K LOW ESR EC 1000UF 25V EB1E102M
C916 067G215P1023PV CAP 105℃ 1000UF M 16V
C934 067G215P1023PV CAP 105℃ 1000UF M 16V
C939 067G215P1024PV CAP 105℃ 1000UF M 25V
C915 067G215P4713PV CAP 105C 470UF M 16V
C918 067G215S6814KV CAP 105℃ 680uF M 25V
C917 067G215S6814KV CAP 105℃ 680uF M 25V
L905 073G 253 91 V CHOKE COIL 3.5uH+-10%
L904 073G 253 91 V CHOKE COIL 3.5uH+-10%
L903 073G 253 91 V CHOKE COIL 3.5uH+-10%
PT801 080GL19T 32 DN X'FMR 785mH TK.2027R.101
T901 080GL22T 3 N X'FMR 490uH YUVA-822
CN901 087G 501 32 DL AC SOCKET DIP 3PIN+2PIN GROUND
CN601 088G 30214K DC PHONE JACK 5PIN +开口向下弹片
D907 093G 60519 DIODE SR560 5A/60V DO-27 SECOS
CN902 095G 82014TE01 HARNESS 14P-9P 140MM
705GQ757014 Q901 ASS'Y
705GQ793054 D906 ASS'Y
705GQ793055 D908 ASS'Y
PW9941LHD1SMT POWER BOARD FOR SMT
HS1 Q90G6295 3 HEAT SINK
L802 S73G17435VA Transformer
L801 S73G17435VA Transformer
L901 S73L17440VG Transformer
IC601 056G 616 34 IC APA2069JITUL 2.6W*2 PDIP-16
BD901B 093G 50460911 BRIDGE GBU406 4A/800V

19" LCD Color Monitor AOC 919Swa
42
C423 067G 3051013PB EC 105℃ 100uF M 16V 5*11mm
C426 067G 3051013PB EC 105℃ 100uF M 16V 5*11mm
C424 067G 3051013PB EC 105℃ 100uF M 16V 5*11mm
C427 067G 3051013PB EC 105℃ 100uF M 16V 5*11mm
C421 067G 3151014KB EC 100uF M 25V 6.3*11
U405 056G 56327A IC AP1117E18LA SOT223-3L ANACHIP
U404 056G 563514 IC AZ1117H-3.3TRG1 1A/3.3V SOT223
U102 056G 662 13 IC AZC099-04S SOT23-6L
U103 056G 662 13 IC AZC099-04S SOT23-6L
U401 056G1126 48 IC HX6803-A000LAG LQFP-64
U406 056G1133 32 IC M24C04-WMN6TP SO8
U101 056G1133 34 M24C02-WMN6TP
U402 056G1133 81 SST25LF020A-33-4C-SAE
Q404 057G 417 6 PMBS3906/PHILIPS-SMT(06)
Q402 057G 417 6 PMBS3906/PHILIPS-SMT(06)
Q401 057G 417 6 PMBS3906/PHILIPS-SMT(06)
Q408 057G 417 12 T KEC 2N3904S-RTK/PS
Q412 057G 417518 TRA LMBT3904LT1G 200mA/40V SOT-23 LRC
Q411 057G 417518 TRA LMBT3904LT1G 200mA/40V SOT-23 LRC
Q410 057G 417518 TRA LMBT3904LT1G 200mA/40V SOT-23 LRC
Q406 057G 417518 TRA LMBT3904LT1G 200mA/40V SOT-23 LRC
Q405 057G 763 1 A03401 SOT23 BY AOS(A1)
R466 061G0402000 RST CHIP MAX 0R05 1/16W
R469 061G0402000 RST CHIP MAX 0R05 1/16W
R476 061G0402000 RST CHIP MAX 0R05 1/16W
R419 061G0402101 RST CHIPR 100 OHM +-5% 1/16W
R418 061G0402101 RST CHIPR 100 OHM +-5% 1/16W
R473 061G0402101 RST CHIPR 100 OHM +-5% 1/16W
R472 061G0402101 RST CHIPR 100 OHM +-5% 1/16W
R471 061G0402101 RST CHIPR 100 OHM +-5% 1/16W
R420 061G0402101 RST CHIPR 100 OHM +-5% 1/16W
R412 061G0402101 RST CHIPR 100 OHM +-5% 1/16W
R411 061G0402101 RST CHIPR 100 OHM +-5% 1/16W
R113 061G0402101 RST CHIPR 100 OHM +-5% 1/16W
R110 061G0402101 RST CHIPR 100 OHM +-5% 1/16W
R456 061G0402102 RST CHIPR 1 KOHM +-5% 1/16W
R455 061G0402102 RST CHIPR 1 KOHM +-5% 1/16W
R453 061G0402102 RST CHIPR 1 KOHM +-5% 1/16W
R441 061G0402102 RST CHIPR 1 KOHM +-5% 1/16W
R118 061G0402102 RST CHIPR 1 KOHM +-5% 1/16W
R103 061G0402102 RST CHIPR 1 KOHM +-5% 1/16W
R102 061G0402102 RST CHIPR 1 KOHM +-5% 1/16W
R461 061G0402103 RST CHIPR 10 KOHM +-5% 1/16W
R462 061G0402103 RST CHIPR 10 KOHM +-5% 1/16W
R467 061G0402103 RST CHIPR 10 KOHM +-5% 1/16W
R475 061G0402103 RST CHIPR 10 KOHM +-5% 1/16W
R482 061G0402103 RST CHIPR 10 KOHM +-5% 1/16W
R487 061G0402103 RST CHIPR 10 KOHM +-5% 1/16W
R488 061G0402103 RST CHIPR 10 KOHM +-5% 1/16W
R447 061G0402103 RST CHIPR 10 KOHM +-5% 1/16W
R449 061G0402103 RST CHIPR 10 KOHM +-5% 1/16W
R460 061G0402103 RST CHIPR 10 KOHM +-5% 1/16W
R120 061G0402103 RST CHIPR 10 KOHM +-5% 1/16W
R121 061G0402103 RST CHIPR 10 KOHM +-5% 1/16W
R404 061G0402103 RST CHIPR 10 KOHM +-5% 1/16W
R407 061G0402103 RST CHIPR 10 KOHM +-5% 1/16W

19" LCD Color Monitor AOC 919Swa
43
R421 061G0402103 RST CHIPR 10 KOHM +-5% 1/16W
R433 061G0402103 RST CHIPR 10 KOHM +-5% 1/16W
R437 061G0402103 RST CHIPR 10 KOHM +-5% 1/16W
R439 061G0402103 RST CHIPR 10 KOHM +-5% 1/16W
R457 061G0402103 RST CHIPR 10 KOHM +-5% 1/16W
R401 061G0402105 RST CHIPR 1MOHM +-5% 1/16W
R410 061G0402121 RST CHIP 120R 1/16W 5%
R414 061G0402121 RST CHIP 120R 1/16W 5%
R402 061G0402162 RST CHIP 1K6 1/16W 5%
R105 061G0402222 RST CHIPR 2.2 KOHM +-5% 1/16W
R106 061G0402222 RST CHIPR 2.2 KOHM +-5% 1/16W
R109 061G0402390 0F RST CHIP 390R 1/16W 1%
R115 061G0402391 JF RST CHIP 390R 1/16W 5% FENGHUA
R111 061G0402391 JF RST CHIP 390R 1/16W 5% FENGHUA
R104 061G0402391 JF RST CHIP 390R 1/16W 5% FENGHUA
R427 061G0402392 RST CHIP 3.9K 1/16W 5%
R428 061G0402392 RST CHIP 3.9K 1/16W 5%
R448 061G0402472 RST CHIPR 4.7 KOHM +-5% 1/16W
R477 061G0402472 RST CHIPR 4.7 KOHM +-5% 1/16W
R440 061G0402472 RST CHIPR 4.7 KOHM +-5% 1/16W
R435 061G0402472 RST CHIPR 4.7 KOHM +-5% 1/16W
R416 061G0402472 RST CHIPR 4.7 KOHM +-5% 1/16W
R415 061G0402472 RST CHIPR 4.7 KOHM +-5% 1/16W
R125 061G0402472 RST CHIPR 4.7 KOHM +-5% 1/16W
R119 061G0402472 RST CHIPR 4.7 KOHM +-5% 1/16W
R481 061G0402473 RST CHIPR 47 KOHM +-5% 1/16W
R450 061G0402512 RST CHIP 5K1 1/16W 5%
R436 061G0402513 RST CHIP 51K 1/16W 5%
R465 061G0402682 RST CHIP 6K8 1/16W 5%
R107 061G0402750 RST CHIPR 75 OHM +-5% 1/16W
R112 061G0402750 RST CHIPR 75 OHM +-5% 1/16W
R116 061G0402750 RST CHIPR 75 OHM +-5% 1/16W
R434 061G1206331 RST CHIPR 330 OHM +-5% 1/4W
C122 065G0402100 31 CAP 0402 10PF J 50V NPO
C121 065G0402100 31 CAP 0402 10PF J 50V NPO
C120 065G0402100 31 CAP 0402 10PF J 50V NPO
C405 065G0402103 32 0.01uF +-10% 16V X7R
C419 065G040210412K A CAP CHIP 0402 100nF K 16V X7R
C420 065G040210412K A CAP CHIP 0402 100nF K 16V X7R
C422 065G040210412K A CAP CHIP 0402 100nF K 16V X7R
C428 065G040210412K A CAP CHIP 0402 100nF K 16V X7R
C431 065G040210412K A CAP CHIP 0402 100nF K 16V X7R
C432 065G040210412K A CAP CHIP 0402 100nF K 16V X7R
C433 065G040210412K A CAP CHIP 0402 100nF K 16V X7R
C436 065G040210412K A CAP CHIP 0402 100nF K 16V X7R
C437 065G040210412K A CAP CHIP 0402 100nF K 16V X7R
C438 065G040210412K A CAP CHIP 0402 100nF K 16V X7R
C439 065G040210412K A CAP CHIP 0402 100nF K 16V X7R
C450 065G040210412K A CAP CHIP 0402 100nF K 16V X7R
C118 065G040210412K A CAP CHIP 0402 100nF K 16V X7R
C401 065G040210412K A CAP CHIP 0402 100nF K 16V X7R
C403 065G040210412K A CAP CHIP 0402 100nF K 16V X7R
C404 065G040210412K A CAP CHIP 0402 100nF K 16V X7R
C406 065G040210412K A CAP CHIP 0402 100nF K 16V X7R
C407 065G040210412K A CAP CHIP 0402 100nF K 16V X7R
C409 065G040210412K A CAP CHIP 0402 100nF K 16V X7R

19" LCD Color Monitor AOC 919Swa
44
C413 065G040210412K A CAP CHIP 0402 100nF K 16V X7R
C414 065G040210412K A CAP CHIP 0402 100nF K 16V X7R
C415 065G040210412K A CAP CHIP 0402 100nF K 16V X7R
C416 065G040210412K A CAP CHIP 0402 100nF K 16V X7R
C417 065G040210412K A CAP CHIP 0402 100nF K 16V X7R
C447 065G0402105 A5 CAP 0402 1UF K 10V X5R
C103 065G0402220 31 CHIP 22PF 50V NPO
C102 065G0402220 31 CHIP 22PF 50V NPO
C408 065G0402224 17 CAP CER 0.22UF -20%-80%
C444 065G0402224 A5 MLCC 0402 CAP 0.22UF K 10V X5R
C411 065G0402330 31 CHIP CAP 0402 33pF J 50V NPO
C412 065G0402330 31 CHIP CAP 0402 33pF J 50V NPO
C110 065G0402473 12 CHIP 0.047uF 16V X7R
C107 065G0402473 12 CHIP 0.047uF 16V X7R
C106 065G0402473 12 CHIP 0.047uF 16V X7R
C101 065G0402473 12 CHIP 0.047uF 16V X7R
C456 065G0805105 22 CAP CHIP 0805 1uF K 25V X7R
C455 065G0805106 A7 CHIP 10uF 10V Y5V 0805
C442 065G0805106 A7 CHIP 10uF 10V Y5V 0805
C441 065G0805106 A7 CHIP 10uF 10V Y5V 0805
C402 065G080547515K T CAP CHIP 0805 4.7UF K 16V X5R
FB407 071G 56G301 EA BEAD 300 欧
FB402 071G 56K121 M CHIP BEAD
FB104 071G 59G301 CHIP BEAD 300OHM
R124 071G 59K190 B 19 OHM BEAD
R123 071G 59K190 B 19 OHM BEAD
R122 071G 59K190 B 19 OHM BEAD
FB406 071G 59K190 B 19 OHM BEAD
FB405 071G 59K190 B 19 OHM BEAD
R101 071G 59K800 CHIP BEAD 80 OHM FCM1608K-800
FB409 071G 59S221 M CHIP BEAD 0603 220ohm+-25% 2A
D403 093G 60505 DIO SIG SM BAT54C(PHSE)R
D105 093G 64 42 P BAV70 SOT23 BY PAN JIT
ZD103 093G 39S 34 T UDZSNP5.6B ROHM
ZD104 093G 39S 34 T UDZSNP5.6B ROHM
D402 093G2004 2 DIODE SR24
715G2681 1 4 MAIN BOARD PCB
R003 061G0603000 1F RST CHIPR 0 OHM +-1% 1/10W
R005 061G0603100 1F RST CHIPR 1 KOHM +-1% 1/10W
R004 061G1206200 1F RST CHIPR 2.0 KOHM +-1% 1/4W
R002 061G1206200 1F RST CHIPR 2.0 KOHM +-1% 1/4W
Q901 057G 724 11 STP9NK65ZFP
0M1G 930 8120 SCREW
J90G0062 4 HEAT SINK
D906 093G 60245 SP10150 10A 150V ITO-220 BY SECOS
0M1G 930 8120 SCREW
Q90G6264 4 HEAT SINK
D908 093G 60526 SCHOTTKY MBRF1060CT ITO-220AB
0M1G 930 8120 SCREW
Q90G6263 6 HEAT SINK
IC901 056G 379 98 IC LD7552DPS SOP-8
IC801 056G 608 10 IC OZ9938GN-B-O-TR SOIC-16
Q601 057G 417 4 PMBS3904/PHILIPS-SMT(04)
Q801 057G 417 4 PMBS3904/PHILIPS-SMT(04)
Q903 057G 417 4 PMBS3904/PHILIPS-SMT(04)
Q802 057G 759 2 RK7002FD5T116 SOT-23 BY ROHM

19" LCD Color Monitor AOC 919Swa
45
Q803 057G 759 2 RK7002FD5T116 SOT-23 BY ROHM
Q805 057G 763905 FET FDS8958A SO-8
Q806 057G 763905 FET FDS8958A SO-8
R846 061G0603000 RST CHIP MAX 0R05 1/10W
R849 061G0603000 RST CHIP MAX 0R05 1/10W
R926 061G0603100 1F RST CHIPR 1 KOHM +-1% 1/10W
R942 061G0603100 1F RST CHIPR 1 KOHM +-1% 1/10W
R816 061G0603100 2F RST CHIPR 10K OHM +-1% 1/10W
R805 061G0603101 RST CHIPR 100 OHM +-5% 1/10W
R807 061G0603101 RST CHIPR 100 OHM +-5% 1/10W
R845 061G0603103 RST CHIPR 10 KOHM +-5% 1/10W
R844 061G0603103 RST CHIPR 10 KOHM +-5% 1/10W
R843 061G0603103 RST CHIPR 10 KOHM +-5% 1/10W
R842 061G0603103 RST CHIPR 10 KOHM +-5% 1/10W
R610 061G0603103 RST CHIPR 10 KOHM +-5% 1/10W
R609 061G0603103 RST CHIPR 10 KOHM +-5% 1/10W
R605 061G0603103 RST CHIPR 10 KOHM +-5% 1/10W
R604 061G0603103 RST CHIPR 10 KOHM +-5% 1/10W
R603 061G0603103 RST CHIPR 10 KOHM +-5% 1/10W
R602 061G0603103 RST CHIPR 10 KOHM +-5% 1/10W
R601 061G0603103 RST CHIPR 10 KOHM +-5% 1/10W
R819 061G0603104 RST CHIPR 100 KOHM +-5% 1/10W
R818 061G0603104 RST CHIPR 100 KOHM +-5% 1/10W
R841 061G0603105 RST CHIPR 1M OHM +-5% 1/10W
R840 061G0603105 RST CHIPR 1M OHM +-5% 1/10W
R839 061G0603105 RST CHIPR 1M OHM +-5% 1/10W
R838 061G0603105 RST CHIPR 1M OHM +-5% 1/10W
R826 061G0603105 RST CHIPR 1M OHM +-5% 1/10W
R821 061G0603105 RST CHIPR 1M OHM +-5% 1/10W
R817 061G0603105 RST CHIPR 1M OHM +-5% 1/10W
C808 061G0603184 RST CHIPR 180 KOHM +-5% 1/10W
R820 061G0603203 RST CHIPR 20 KOHM +-5% 1/10W
R801 061G0603242 RST CHIPR 2.4 KOHM +-5% 1/10W
R927 061G0603243 1F RST CHIPR 2.43K OHM +-1% 1/10W
R930 061G0603243 1F RST CHIPR 2.43K OHM +-1% 1/10W
R823 061G0603390 0F RST CHIPR 390 OHM +-1% 1/10W
R813 061G0603474 RST CHIPR 470 KOHM +-5% 1/10W
R824 061G0603510 1F RST CHIPR 5.1K OHM +-1% 1/10W
R825 061G0603511 RST CHIPR 510 OHM +-5% 1/10W
R606 061G0603622 RST CHIPR 6.2 KOHM +-5% 1/10W
R607 061G0603622 RST CHIPR 6.2 KOHM +-5% 1/10W
R836 061G0603623 RST CHIPR 62 KOHM +-5% 1/10W
R837 061G0603822 RST CHIPR 8.2 KOHM +-5% 1/10W
RJ610 061G0805000 RST CHIP MAX 0R05 1/8W
R608 061G0805000 RST CHIP MAX 0R05 1/8W
R806 061G0805101 1ST CHIPR 100 OHM +-5% 1/8W
R808 061G0805101 1ST CHIPR 100 OHM +-5% 1/8W
R939 061G0805102 RST CHIPR 1K OHM +-5% 1/8W
R925 061G0805102 RST CHIPR 1K OHM +-5% 1/8W
R938 061G0805103 RST CHIPR 10K OHM +-5% 1/8W
R822 061G0805200 2F RST CHIPR 20 KOHM +-1% 1/8W
R802 061G0805220 RST CHIPR 22 OHM +-5% 1/8W
R924 061G0805331 JT RST CHIP 330R 1/8W 5% TZAI YUAN
R943 061G0805471 RST CHIPR 470 OHM +-5% 1/8W
R803 061G0805512 RST CHIPR 5.1 KOHM +-5% 1/8W
R804 061G0805512 RST CHIPR 5.1 KOHM +-5% 1/8W

19" LCD Color Monitor AOC 919Swa
46
R829 061G0805682 RST CHIPR 6.8 KOHM +-5% 1/8W
RJ802 061G1206000 RST CHIP MAX 0R05 1/4W
J802 061G1206000 RST CHIP MAX 0R05 1/4W
RJ801 061G1206000 RST CHIP MAX 0R05 1/4W
RJ901 061G1206000 RST CHIP MAX 0R05 1/4W
RJ805 061G1206000 RST CHIP MAX 0R05 1/4W
RJ804 061G1206000 RST CHIP MAX 0R05 1/4W
FB902 061G12060004JF RST CHIPR MAX0R05 4A 1/4W FENGHUA
R910 061G1206100 RST CHIPR 10 OHM +-5% 1/4W
R962 061G1206101 RST CHIPR 100 OHM +-5% 1/4W
R961 061G1206101 RST CHIPR 100 OHM +-5% 1/4W
R951 061G1206101 RST CHIPR 100 OHM +-5% 1/4W
R950 061G1206101 RST CHIPR 100 OHM +-5% 1/4W
R949 061G1206101 RST CHIPR 100 OHM +-5% 1/4W
R935 061G1206101 RST CHIPR 100 OHM +-5% 1/4W
R920 061G1206101 RST CHIPR 100 OHM +-5% 1/4W
R919 061G1206101 RST CHIPR 100 OHM +-5% 1/4W
R918 061G1206101 RST CHIPR 100 OHM +-5% 1/4W
R901 061G1206105 1M 1206
R902 061G1206105 1M 1206
R912 061G1206221 RST CHIPR 220 OHM +-5% 1/4W
R906 061G1206304 RST CHIPR 300k OHM +-5% 1/4W
R904 061G1206304 RST CHIPR 300k OHM +-5% 1/4W
R905 061G1206304 RST CHIPR 300k OHM +-5% 1/4W
R909 061G1206519 RST CHIPR 5.1 OHM +-5% 1/4W
C611 065G0603101 31 CER1 0603 NP0 50V 100P PM5 R
C610 065G0603101 31 CER1 0603 NP0 50V 100P PM5 R
C932 065G0603102 32 1000PF +-10% 50V X7R
C805 065G0603103 32 CAP CHIP 0603 0.01UF K 50V X7R
C613 065G0603104 22 CAP CHIP 0603 0.1UF K 25V X7R
C612 065G0603104 22 CAP CHIP 0603 0.1UF K 25V X7R
C807 065G060310522K T CAP CHIP 0603 1UF K 25V X7R
C806 065G060310522K T CAP CHIP 0603 1UF K 25V X7R
C818 065G0603221 31 CER1 0603 NP0 50V 220P P
C815 065G0603473 32 CHIP 0.047UF 50V X7R
C810 065G0603473 32 CHIP 0.047UF 50V X7R
C602 065G0603474 12 MLCC 0603 0.47UF K 16V X7R
C601 065G0603474 12 MLCC 0603 0.47UF K 16V X7R
C606 065G0603474 12 MLCC 0603 0.47UF K 16V X7R
C603 065G0603474 12 MLCC 0603 0.47UF K 16V X7R
C928 065G0805102 31 CAP CHIP 0805 1000PF J 50V NPO
C811 065G0805104 32 CAP CHIP 0805 0.1uF K 50V X7R
C907 065G0805104 32 CAP CHIP 0805 0.1uF K 50V X7R
C924 065G0805104 32 CAP CHIP 0805 0.1uF K 50V X7R
C930 065G0805104 32 CAP CHIP 0805 0.1uF K 50V X7R
C931 065G0805104 32 CAP CHIP 0805 0.1uF K 50V X7R
C940 065G0805104 32 CAP CHIP 0805 0.1uF K 50V X7R
C608 065G080510522K T CAP CHIP 0805 1UF K 25V X7R
C609 065G080510522K T CAP CHIP 0805 1UF K 25V X7R
C804 065G080522512K T CAP CHIP 0805 2.2UF K 16V X7R
C813 065G080533332K F CAP CHIP 0805 33NF K 50V X7R
C814 065G080539131G CHIP 0805 390PF G 50V NPO
C909 065G0805471 31 CHIP 470PF 50V NPO
C801 065G0805473 32 CHIP 0.047UF 50V X7R
C802 065G0805473 32 CHIP 0.047UF 50V X7R
C941 065G0805473 32 CHIP 0.047UF 50V X7R

19" LCD Color Monitor AOC 919Swa
47
C809 065G080556131G MLCC 0805 560PF G 50V NPO
C935 065G1206102 72 CAP CHIP 1206 1000PF K 500V X7R
C929 065G1206102 72 CAP CHIP 1206 1000PF K 500V X7R
C912 065G1206102 72 CAP CHIP 1206 1000PF K 500V X7R
D808 093G 64 42 L DIODE LBAV70LT1G SOT-23 LRC
D807 093G 64 42 L DIODE LBAV70LT1G SOT-23 LRC
D806 093G 64 42 L DIODE LBAV70LT1G SOT-23 LRC
D903 093G 6432S 1N4148W
D805 093G 6432S 1N4148W
D804 093G 6432S 1N4148W
D803 093G 6432S 1N4148W
D802 093G 6432S 1N4148W
D801 093G 6432S 1N4148W
D809 093G 6433S DIODE BAV99 SEMTECH
ZD902 093G 39GA31 T ZENER DIODE RLZ18B SEMTECH
ZD921 093G 39S 20 T RLZ22B LLDS
ZD922 093G 39S 24 T RLZ 5.6B LLDS
ZD803 093G 39S 24 T RLZ 5.6B LLDS
ZD802 093G 39S 24 T RLZ 5.6B LLDS
ZD801 093G 39S 24 T RLZ 5.6B LLDS
PW9941LHD1AI POWER BOARD FOR AI
SW004 077G 603 AI HJ TACT SWITCH 2PIN
SW005 077G 603 AI HJ TACT SWITCH 2PIN
SW001 077G 603 AI HJ TACT SWITCH 2PIN
SW002 077G 603 AI HJ TACT SWITCH 2PIN
SW003 077G 603 AI HJ TACT SWITCH 2PIN
715G2835 2 KEY BOARD PCB
CN901 006G 31500 EYELET
T901 006G 31502 1.5MM RIVET
IC904 056G 158 10 T IC AS431AZTR-E1 TO-92
R903 061G152M10452T RST MOFR 100KOHM +-5% 2WS
R946 061G152M15152T RST MOFR 150 OHM +-5% 2WS
R914 061G152M43852T RST MOF 0R43 5% 2W
R828 061G212Y62552T SY RST MGFR 6.2MOHM +-5% 1/2W FUTABA
C906 065G 2K152 2T6921 CAP CER 1500pF K 2KV Y5P
C604 067G215Y1014KT EC CAP.105 度
C908 067G215Y2207KT CAP 105℃ 22UF M 50V KINGNICHI
FB602 071G 55 9 T FERRITE BEAD
FB904 071G 55 9 T FERRITE BEAD
FB901 071G 55 29 FERRITE BEAD
FB903 071G 55 29 FERRITE BEAD
L906 073G 54229 5T PEAKING COIL 2.2uH 5%
F901 084G 56 4 B FUSE 4A 250V
F902 084G 56 4 B FUSE 4A 250V
F903 084G 56 4 B FUSE 4A 250V
D901 093G 6038T52T FR103
D900 093G1100 1152T DIODE PR1007R 1A/1000V DO-41
J836 095G 90 23 JUMPER WIRE
J835 095G 90 23 JUMPER WIRE
J834 095G 90 23 JUMPER WIRE
J833 095G 90 23 JUMPER WIRE
J832 095G 90 23 JUMPER WIRE
J831 095G 90 23 JUMPER WIRE
J830 095G 90 23 JUMPER WIRE
J829 095G 90 23 JUMPER WIRE
J826 095G 90 23 JUMPER WIRE

19" LCD Color Monitor AOC 919Swa
48
J825 095G 90 23 JUMPER WIRE
J824 095G 90 23 JUMPER WIRE
J823 095G 90 23 JUMPER WIRE
J837 095G 90 23 JUMPER WIRE
J912 095G 90 23 JUMPER WIRE
J910 095G 90 23 JUMPER WIRE
J909 095G 90 23 JUMPER WIRE
J908 095G 90 23 JUMPER WIRE
J907 095G 90 23 JUMPER WIRE
J906 095G 90 23 JUMPER WIRE
J905 095G 90 23 JUMPER WIRE
J904 095G 90 23 JUMPER WIRE
J903 095G 90 23 JUMPER WIRE
J902 095G 90 23 JUMPER WIRE
J901 095G 90 23 JUMPER WIRE
J838 095G 90 23 JUMPER WIRE
J821 095G 90 23 JUMPER WIRE
J801 095G 90 23 JUMPER WIRE
J804 095G 90 23 JUMPER WIRE
J808 095G 90 23 JUMPER WIRE
J810 095G 90 23 JUMPER WIRE
J811 095G 90 23 JUMPER WIRE
J814 095G 90 23 JUMPER WIRE
J815 095G 90 23 JUMPER WIRE
J816 095G 90 23 JUMPER WIRE
J817 095G 90 23 JUMPER WIRE
J818 095G 90 23 JUMPER WIRE
715G2824 2 POWER BOARD PCB