Askey Computer WLU3020 USB Adapter User Manual 41 XDW
Askey Computer Corp USB Adapter 41 XDW
UserManual.wiki
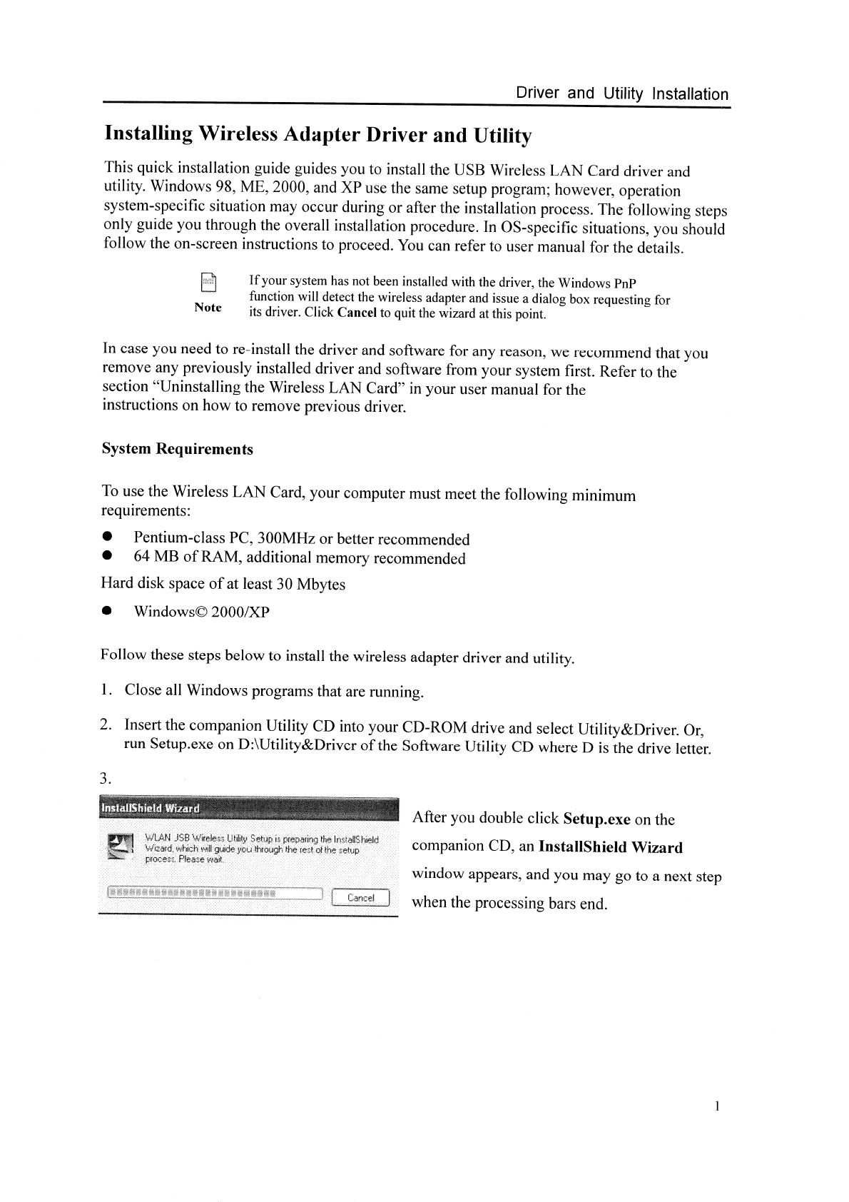
>
Askey Computer
>
WLU3020 User Manual HTML Version
User manual rev
Navigation menu
Upload a User Manual
Namespaces
Wiki Guide
HTML
PDF
Info
Views
User Manual
Discussion / Help
Navigation