Aviat Networks AN5030EX AN-50e/AN-30e System w/ T-58e Radio User Manual 70 00035 01

Redline Communications Inc. AN-50e/AN-30e System w/ T-58e Radio 70 00035 01

Contents

USERS MANUAL 1

 70-00035-01  Proprietary Redline Communications © 2004 November 2004 Page 1 of 104               AN-30e PTP System User Manual
  AN-30e user manual  70-00035-01  Proprietary Redline Communications © 2004 November 2004   Page 2 of 104   Copyright Information  All rights reserved June 2004. The information in this document is proprietary to Redline Communications Inc. This document may not in whole or in part be copied, reproduced, or reduced to any medium without prior consent, in writing, from Redline Communications Incorporated.  Copyright © 2004 Redline Communications Inc.  Contact Information  Redline Communications Inc. 302 Town Centre Blvd. Markham, ON Canada L3R 0E8 Web site:   http://www.redlinecommunications.com Sales Inquiries:  North American   Toll-free sales line  International  nainfo@redlinecommunications.com 1-866-633-6669 intlinfo@redlinecommunications.com Support:  Email  Telephone  support@redlinecommunications.com Contact your Redline Distributor Product Registration  http://www.redlinecommunications.com Click Support   User ID: Register  Password: Redline  Disclaimer The statements, configurations, technical data, and recommendations in this document are believed to be accurate and reliable, but are presented without express or implied warranty. Additionally, Redline makes no representations or warranties, either expressed or implied, regarding the contents of this product. Redline Communications shall not be liable for any misuse regarding this product. The information in this document is subject to change without notice.  70-00035_01_AN_30e_UserMan-041111a.doc
  AN-30e user manual  70-00035-01  Proprietary Redline Communications © 2004 November 2004   Page 3 of 104 TABLE OF CONTENTS 1 Important Safety & Service Notices....................................................... 9 1.1 Safety Warnings ........................................................................................ 9 1.2 Important Warning Symbols .................................................................... 10 1.3 Important Service Information ................................................................. 10 1.4 FCC Notice .............................................................................................. 11 1.5 UL Information ......................................................................................... 12 1.6 CE Notice ................................................................................................ 12 1.7 Lightning Protection................................................................................. 13 1.8 Product Information ................................................................................. 14 2 Getting Started....................................................................................... 15 2.1 Terms Used in this Manual...................................................................... 16 3 System Overview................................................................................... 17 3.1 TDM over Wireless .................................................................................. 18 3.1.1 Theory of Operation............................................................................. 18 3.1.2 TDM Configuration .............................................................................. 18 4 Physical Description ............................................................................. 21 4.1 Quick Install Guide .................................................................................. 21 4.2 Unpacking the AN-30e ............................................................................ 21 4.3 AN-30e Terminal ..................................................................................... 22 4.3.1 Mounting.............................................................................................. 22 4.3.2 Power Supply ...................................................................................... 22 4.3.3 Time Synchronization Port .................................................................. 22 4.3.4 Wireless Section.................................................................................. 22 4.3.5 Ethernet Section .................................................................................. 24 4.3.6 System Section.................................................................................... 26 4.3.7 The TDM Interface............................................................................... 27 4.4 System Radio .......................................................................................... 29 4.4.1 Transceiver.......................................................................................... 29 4.4.2 IF Port (Radio Control) ........................................................................ 29 4.4.3 RF Connector ...................................................................................... 29 4.4.4 Alignment Pin and Audible Signal........................................................ 29 4.4.5 Antenna ............................................................................................... 29 4.4.6 Antenna Mounting Bracket .................................................................. 30 5 Using the Web Interface........................................................................ 31 5.1 System Menu........................................................................................... 31 5.2 General Information................................................................................. 33 5.2.1 System................................................................................................. 33 5.2.2 Ethernet: .............................................................................................. 34 5.2.3 Wireless:.............................................................................................. 34 5.3 System Status ......................................................................................... 35 5.3.1 General Information:............................................................................ 35 5.3.2 Ethernet LAN Statistics:....................................................................... 36 5.3.3 Wireless Statistics: .............................................................................. 36 5.3.4 Statistics Control Button: ..................................................................... 36
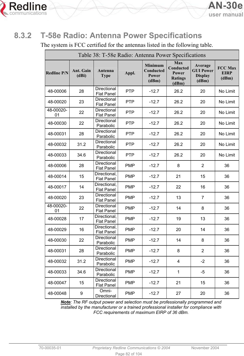
  AN-30e user manual  70-00035-01  Proprietary Redline Communications © 2004 November 2004   Page 4 of 104 5.4 System Logs............................................................................................ 37 5.5 Configure System .................................................................................... 38 5.5.1 Ethernet Configuration:........................................................................ 38 5.5.2 Wireless Configuration: ....................................................................... 41 5.5.3 System Configuration Buttons ............................................................. 46 5.6 Upload Software ...................................................................................... 47 5.7 Product Options....................................................................................... 48 5.7.1 Entering Option Keys........................................................................... 48 5.7.2 TDM Options ....................................................................................... 48 5.7.3 Ethernet Options.................................................................................. 48 5.8 System Password Screen ....................................................................... 49 5.9 TDM Configuration Settings .................................................................... 50 5.9.1 How to Use Apply and Save................................................................ 51 5.9.2 TDM Config - General Settings............................................................ 52 5.9.3 TDM Config - Port Settings.................................................................. 54 5.9.4 TDM Config - Bundle Selection ........................................................... 56 5.9.5 TDM System Configuration Control Buttons........................................ 59 5.10 TDM Statistics ......................................................................................... 60 5.10.1 TDM Statistics - Port Selection............................................................ 60 5.10.2 TDM Statistics - Statistics Screen........................................................ 61 6 TDM Over Wireless................................................................................ 63 6.1 Bandwidth Requirements ........................................................................ 63 6.1.1 Maximum Uncoded Burst Rates .......................................................... 63 6.1.2 Evaluating TDM Throughput Requirements ........................................ 64 6.1.3 Mobility Networks ................................................................................ 64 6.1.4 Enterprise Networks ............................................................................ 65 6.1.5 Evaluating Ethernet Throughput.......................................................... 67 6.1.6 Clock Synchronization ......................................................................... 68 7 Diagnostics and Troubleshooting ....................................................... 69 7.1 Factory Default Settings .......................................................................... 69 7.2 Troubleshooting the Web Interface ......................................................... 70 7.3 Troubleshooting The RF.......................................................................... 71 7.4 System Error Log Messages ................................................................... 73 7.5 Replacing System Fuse........................................................................... 75 8 Appendix ................................................................................................ 77 8.1 System Specifications ............................................................................. 77 8.2 DC Power Supply Cable Connections..................................................... 80 8.3 Antenna and Power Specifications.......................................................... 81 8.3.1 T-58 Radio: Antenna Power Specifications ......................................... 81 8.3.2 T-58e Radio: Antenna Power Specifications ....................................... 82 8.3.3 T-54 Radio: Maximum RF Power vs. Antenna Gain............................ 83 8.3.4 T-54 Radio: Operational Power (FCC) ................................................ 84 8.4 CLI Interface ............................................................................................ 85 8.4.1 Console (RS-232) Port ........................................................................ 85 8.4.2 Connecting via Telnet.......................................................................... 86
  AN-30e user manual  70-00035-01  Proprietary Redline Communications © 2004 November 2004   Page 5 of 104 8.4.3 CLI Commands.................................................................................... 86 8.4.4 Sample TDM CLI Setup Scripts........................................................... 96 8.5 About SNMP.......................................................................................... 100 8.6 Glossary Of Terms ................................................................................ 101
  AN-30e user manual  70-00035-01  Proprietary Redline Communications © 2004 November 2004   Page 6 of 104 LIST OF TABLES Table 1: Terms .................................................................................................... 16 Table 2: Wireless Link Diagnostics ..................................................................... 23 Table 3: Wireless Signal Diagnostics .................................................................. 24 Table 4: terminal LAN Ethernet Port Pinout ........................................................ 24 Table 5: Ethernet Link/Act Diagnostics ............................................................... 25 Table 6: Ethernet 100 Diagnostics ...................................................................... 25 Table 7: Ethernet Collision Diagnostics............................................................... 26 Table 8: System Power Diagnostics.................................................................... 26 Table 9: Front Panel Reset Switch...................................................................... 27 Table 10: TDM Port RJ-48 Pinout ....................................................................... 27 Table 11: TDM RJ-48 CPE Connection Cable .................................................... 28 Table 12: TDM Port Alarm Condition LEDs......................................................... 28 Table 13: Web Screens....................................................................................... 32 Table 14: Default System Users.......................................................................... 32 Table 15: CE: RF Channel Frequencies ............................................................. 43 Table 16: UK: RF Channel Frequencies ............................................................. 43 Table 17: North America: RF Channel Frequencies ........................................... 43 Table 18: Default Bundle Numbers ..................................................................... 58 Table 19: Achievable Uncoded Burst Rate (Mbps) ............................................. 63 Table 20: Wireless Link Bandwidth Requirements for T1 ................................... 64 Table 21: Wireless Link Bandwidth Requirements for E1 ................................... 64 Table 22: Mobility Backhaul Operating Characteristics....................................... 65 Table 23: AN-30e Operating Settings -- Mobility Backhaul ................................. 65 Table 24: Enterprise Backhaul Latency Requirements ....................................... 66 Table 25: Enterprise Backhaul Operating Parameters........................................ 66 Table 26: AN-30e Operating Settings -- Enterprise Backhaul............................. 66 Table 27: Data Rates Available when Using E1.................................................. 67 Table 28: Data Rates Available when Using E1.................................................. 67 Table 29: Stratum Clock Definitions .................................................................... 68 Table 30: Factory Default Settings ...................................................................... 69 Table 31: Web Interface Diagnostics .................................................................. 70 Table 32: RF Errors............................................................................................. 71 Table 33: RF Status Error Codes ........................................................................ 72 Table 34: System Log Messages ........................................................................ 73 Table 35: AN-30e Technical Specifications......................................................... 77 Table 36: DC Power Supply Cable Connections................................................. 80 Table 37: T-58 Radio: Antenna Power Specifications......................................... 81 Table 38: T-58e Radio: Antenna Power Specifications....................................... 82 Table 39: 5.4 GHz Band RF Power vs. Antenna Gain ........................................ 83 Table 40: 5.4 GHz -- Antenna Gain vs. Max. Op. Power .................................... 84 Table 41: Console (RS-232) Port Pinout............................................................. 85 Table 42: CLI - General Commands ................................................................... 87 Table 43: CLI - General Information Commands ................................................ 88 Table 44: CLI - System Status ............................................................................ 88
  AN-30e user manual  70-00035-01  Proprietary Redline Communications © 2004 November 2004   Page 7 of 104 Table 45: CLI - System Configuration ................................................................. 89 Table 46: CLI - TDM General Commands........................................................... 92 Table 47: CLI - TDM Set and Get Commands .................................................... 92 Table 48: CLI - TDM Serial Interface Commands ............................................... 93 Table 49: CLI - TDM DS0 Bundle Commands .................................................... 93 Table 50: CLI - TDM General Statistics Commands ........................................... 93 Table 51: CLI - TDM Ethernet Statistics Commands .......................................... 94 Table 52: CLI - TDM Statistics ............................................................................ 94 Table 53: TDM Save Command Error Codes ..................................................... 95 Table 54: E1 Framed Configuration Script .......................................................... 96 Table 55: T1 Framed Configuration Script .......................................................... 98 Table 56: Glossary of Terms ............................................................................. 101
  AN-30e user manual  70-00035-01  Proprietary Redline Communications © 2004 November 2004   Page 8 of 104 LIST OF FIGURES Figure 1: AN-30e System: Terminal, Transceiver, and Antenna......................... 15 Figure 2: AN-30e terminal ................................................................................... 17 Figure 3: AN-30e Ethernet/TDM Transport ......................................................... 18 Figure 4: AN-30e Multi-Hop Deployment Example ............................................. 20 Figure 5: Front Panel - Wireless LEDs................................................................ 23 Figure 6: RJ-45 Jack Face .................................................................................. 24 Figure 7: Front Panel: Ethernet LEDs ................................................................. 24 Figure 8: Front Panel: Reset Switch and System LEDs...................................... 26 Figure 9: Transceiver .......................................................................................... 29 Figure 10: One-Foot Flat Antenna....................................................................... 30 Figure 11: On-Screen Menu................................................................................ 31 Figure 12: General Information Screen ............................................................... 33 Figure 13: System Status Screen........................................................................ 35 Figure 14: System Logs Screen .......................................................................... 37 Figure 15: System Configuration Screen - Ethernet Settings.............................. 38 Figure 16: System Configuration Screen - SNMP Access .................................. 39 Figure 17: SNMP Configuration Screen .............................................................. 40 Figure 18: SNMP Community/Trap Settings Screen........................................... 41 Figure 19: System Configuration Screen - Wireless Settings ............................. 42 Figure 20: Upload Software Screen .................................................................... 47 Figure 21: AN-30e Product Options Screen........................................................ 48 Figure 22: System Password Screen .................................................................. 49 Figure 23: TDM System Configuration Screen.................................................... 50 Figure 24: TDM Editing Steps ............................................................................. 51 Figure 25: TDM General Configuration Settings ................................................. 52 Figure 26: TDM IP Address Settings................................................................... 53 Figure 27: TDM Port Configuration Settings ....................................................... 54 Figure 28: TDM Port Editing Screen ................................................................... 54 Figure 29: TDM Loopback: Local Mode .............................................................. 55 Figure 30: TDM Loopback: Subscriber Mode...................................................... 55 Figure 31: TDM Loopback: Payload Mode.......................................................... 56 Figure 32: TDM Bundle Selection ....................................................................... 56 Figure 33: TDM Bundle Editing Screen............................................................... 57 Figure 34: TDM Bundle Editing Dialog Box......................................................... 59 Figure 35: TDM Properties/Statistics Screen ...................................................... 60 Figure 36: TDM Port Statistics Screen ................................................................ 61 Figure 37: AN-30e Mobility Backhaul Deployment.............................................. 64 Figure 38: AN-30e Enterprise Deployment ......................................................... 66 Figure 39: Fuse Holder........................................................................................ 75 Figure 40: Connecting via Telnet ........................................................................ 86 Figure 41: CLI Help Screen................................................................................. 86 Figure 42: TDM Configuration Files .................................................................... 91
  AN-30e user manual  70-00035-01  Proprietary Redline Communications © 2004 November 2004   Page 9 of 104            Chapter 1 11  IImmppoorrttaanntt  SSaaffeettyy  &&  SSeerrvviiccee  NNoottiicceess  1.1 Safety Warnings -  Read this User Manual and follow all operating and safety instructions. -  Keep all product information for future reference. -  This product is supplied with a grounding power plug. Do not defeat this important safety feature. -  Power requirements are indicated on product-marking label. Do not exceed the described limits. -  Always replace the fuse with the correct type and current rating. -  Position the power cord to avoid possible damage; do not overload wall outlets. -  Do not place this product on or near a direct heat source, and avoid placing objects on the terminal. -  Do not operate this device near water or in a wet location. -  Use only a damp cloth for cleaning. Do not use liquid or aerosol cleaners. Disconnect the power before cleaning. -  Protect the terminal by disconnecting the power if not used for long periods. -  Locate the terminal on a stable horizontal surface or mount it securely in a 19-inch Telco rack. -  The radio transceiver units must not be located near power lines or other electrical power circuits. -  The radio transceiver must be properly grounded to protect against power surges and accumulated static electricity. It is the responsibility of the user to install this device in accordance with the local electrical codes: correct installation procedures for grounding of the transceiver unit, mast, lead-in wire and discharge unit, location of discharge unit, size of grounding conductors and connection requirements for grounding electrodes. It is recommended that the installation of the transceiver be contracted to a professional installer.
  AN-30e user manual  70-00035-01  Proprietary Redline Communications © 2004 November 2004   Page 10 of 104  1.2 Important Warning Symbols The following symbols may be encountered during installation or troubleshooting. These warning symbols mean danger. Bodily injury may result if you are not aware of the safety hazards involved in working with electrical equipment and radio transmitters. Familiarize yourself with standard safety practices before continuing.    Electro-Magnetic Radiation  High Voltage 1.3  Important Service Information 1.  Refer all repairs to qualified service personnel. Do not remove the covers or modify any part of this device, as this voids the warranty. 2.  Disconnect the power to this product and return it for service if the following conditions apply: a)  The terminal does not function after following the operating instructions outlined in this manual. b)  Liquid has been spilled, a foreign object is inside, or the terminal has been exposed to rain. c)  The product has been dropped or the housing is damaged. 3.  Locate the serial number of the terminal, antenna, and transceiver and record these on your registration card for future reference. Use the space below to affix serial number stickers. Also record the MAC address, located on the back of the terminal.
  AN-30e user manual  70-00035-01  Proprietary Redline Communications © 2004 November 2004   Page 11 of 104  1.4 FCC Notice 1.  The System is used as a fixed wireless Ethernet bridge that requires professional installation with specified antennas and output power levels certified under the FCC Grant for System for point-to-point mode of operations. 2.  FCC RF Exposure Requirements: T-54 and T-58: The antenna(s) used for these radios must be fixed-mounted on outdoor permanent structures. In point-to-point applications each antenna must be separated from all persons by a distance of at least 2.5 meters. In point-to-multipoint applications each antenna must be separated from all persons by a distance of at least 20 centimetres. T-58e: The antenna(s) used for this radio must be fixed-mounted on outdoor permanent structures. In point-to-point applications each antenna must be separated from all persons by a distance of at least 3.1 meters. In point-to-multipoint applications each antenna must be separated from all persons by a distance of at least 20 centimetres. 3.  The System is certified by the FCC and Industry Canada with the 5.4/5.8 GHz directional and parabolic antennas listed in the Appendix of this manual. 4.  For fixed, point-to-point mode of operations, the transmitting antennas must be directional as specified in this Users Manual; the use of omni-directional antenna is prohibit for point-to-point operation. 5.  For Class A Unintentional Radiators: This equipment has been tested and found to comply with the limits for a Class A digital device, pursuant to Part 15 of the FCC Rules. These limits are designed to provide reasonable protection against harmful interference when the equipment is operated in a commercial environment. This equipment generates, uses, and can radiate radio frequency energy and, if not installed and used in accordance with the instruction manual, may cause harmful interference to radio communications. Operation of this equipment in a residential area is likely to cause harmful interference in which case the user will be required to correct the interference at their expense. 6. Warning: Changes or modifications not expressly approved by Redline Communications Inc. could void the authority of the user to operate the equipment.
  AN-30e user manual  70-00035-01  Proprietary Redline Communications © 2004 November 2004   Page 12 of 104  1.5 UL Information -  The equipment must be properly grounded according with NEC and other local safety code requirements -  Caution for all AC and DC models: Double Pole/Neutral Fusing. -  The DC source must be fused at Time Delay 2.5A, 250V. -  The DC input wiring must be minimum 18 AWG. -  The DC input source must be SELV. -  The DC input source must comply with local electrical codes. -  To meet the over voltage safety requirements on the telecommunications cables, a minimum 26 AWG telecommunication line cord must be used. -  "Pour être en conformance avec les exigences finies de sûreté de sur-tension sur les câbles de télécommunications un fil de télécommunication ayant un caliber minimum de 26 AWG doit être utilisé." -  Reminder to all the BWA system installers: Attention to Section 820-40 of the NEC which provides guidelines for proper grounding and, in particular, specifies that the cable ground shall be connected to the grounding system of the building, as close to the point of cable entry as is practical. 1.6 CE Notice The AN-30e systems are CE certified for operation from 5.4 GHz to 5.8 GHz. The transceiver and antenna equipment must be installed by a qualified professional installer and must be installed in compliance with regional, national, and local regulations. It is the responsibility of the system installer and/or system operator to ensure the installed system does not exceed any operational constraints identified by local regulations.  Refer to the product User Manual for detailed information about the correct installation steps to ensure power and frequency settings are set correctly before connecting the antenna. Redline Communications Inc. wireless systems comply with the essential requirements of the Directive 1999/5/EC.  This product may be used in all EU countries (and other countries following the EU directive 1999/5/EC) that have implemented nationally a decision to allow use of the 5.8 GHz frequency band. Not all countries have allowed access to the frequency band and system installers should be aware of the regulations for any specific country prior to installation.
  AN-30e user manual  70-00035-01  Proprietary Redline Communications © 2004 November 2004   Page 13 of 104  1.7 Lightning Protection WARNING: The following notes are general recommendations for the system. The wireless equipment should be installed by a qualified professional installer and must follow local and national codes for electrical grounding and safety. Failure to meet safety requirements and/or use of non-standard practices and procedures could result in personal injury and damage to equipment. A direct lightning strike may cause serious damage even if these guidelines are followed. All outdoor wireless equipment is susceptible to lightning damage from a direct hit or induced current from a near strike. Lightning protection and grounding practices in local and national electrical codes serve to minimize equipment damage, service outages, and serious injury. Reasons for lightning damage are summarized as: -  Poorly grounded tower/antenna sites that can conduct high lightning strike energy into equipment. -  Lack of properly installed lightning protection equipment that can cause equipment failures from lightning induced currents. A lighting protection system provides a means by which the energy may enter earth without passing through and damaging parts of a structure. A lightning protection system does not prevent lightning from striking; it provides a means for controlling it and preventing damage by providing a low resistance path for the discharge of energy to travel safely to ground. Improperly grounded connections are also a source of noise that can cause sensitive equipment to malfunction. A good tower grounding system disperses most of the surge energy from a tower strike away from the building and equipment. The remaining energy on the IF cable shield and center conductor can be directed safely to ground by using a lightning arrestor in series with the IF cable. To limit the equipment damage due to a lightning strike, the following practices are recommended for the wireless system: -  Provide direct grounding from the antenna mounting bracket, the radio and antenna and the lightning arrestors to the same ground point at the base of the tower or a ground bus on the building. Use the grounding screws on the antenna bracket and the radio and antenna for terminating the ground wires. -  Install one RF lightning protector between the radio and antenna in series with the RF cable. -  A lightning arrestor in series with the IF cable at the point of entry to the building. -  Install a lightning arrestor in series with the IF cable at the transceiver on the tower/mast. -  The AC wall outlet ground for the terminal must be connected to the same grounding system as the radio and antenna lightning protectors. -  The ground connection on the back of the terminal should be connected to the same ground for the building.
  AN-30e user manual  70-00035-01  Proprietary Redline Communications © 2004 November 2004   Page 14 of 104  1.8 Product Information Use the following table to record important system information: Product Information  Terminal SN:         MAC Address      Transceiver SN:       Model #:           Antenna Model No.:        Antenna SN:          Serial Number Stickers
  AN-30e user manual  70-00035-01  Proprietary Redline Communications © 2004 November 2004   Page 15 of 104             Chapter 2 22  GGeettttiinngg  SSttaarrtteedd  Congratulations on your purchase of the Redline Access Node-30e wireless broadband system. Redline Communications is a world leader in design and production of Broadband Fixed Wireless (BFW) systems. The AN-30e system consists of an indoor terminal and outdoor radio (transceiver and antenna).  Figure 1: AN-30e System: Terminal, Transceiver, and Antenna A point-to-point (PTP) link is comprised of an AN-30e system configured as a sector controller (master-mode) and a single AN-30e configured as a subscriber station. The sector controller establishes a bi-directional data link with the subscriber station. The subscriber receives and sends data under the control of the sector controller.
  AN-30e user manual  70-00035-01  Proprietary Redline Communications © 2004 November 2004   Page 16 of 104  2.1  Terms Used in this Manual The following terms are used in this manual: Table 1: Terms Term  Description   AN-30e terminal Indoor unit   AN-30e System   AN-30e Radio Transceiver      +      Antenna                Sector Controller    Master-mode    The terminal is configured as a sector controller (base station). This system controls the wireless link polling and transmission opportunities. The sector controller is connected to customer Ethernet network and establishes a bi-directional data link over-the-air with one or more subscriber AN-30e systems.     Subscriber Station    Master-mode   The terminal configured as a subscriber station. The subscriber is connected to the customer Ethernet network, and both receives and sends data over-the-air under control of the sector controller.
  AN-30e user manual  70-00035-01  Proprietary Redline Communications © 2004 November 2004   Page 17 of 104             Chapter 3 33  SSyysstteemm  OOvveerrvviieeww  The AN-30e is a high-performance, high-speed wireless Ethernet bridge terminal providing a scalable multi-service platform from a common equipment infrastructure and management system. The AN-30e system is a Class A digital device for use in a commercial, industrial or business environment. The AN-30e system operates in the 5.4 GHz to 5.8 GHz band and includes advanced technologies to address inter-cell interference. The AN-30e can be equipped with a narrow beam antenna to provide high directivity for long-range operations in clear line of sight (LOS) conditions. The system also delivers enhanced security through a proprietary over-the-air encryption scheme.   Figure 2: AN-30e terminal The AN-30e system is equipped with dynamic frequency selection (DFS) to detect interference from other devices using the same frequency and automatically take a pre- selected action, such as disable transmission or relocate transmission to alternative frequency. The system also includes an automatic transmitter power control (ATPC) function to automatically adjust the transmit level of subscribers to match a selected RSSI value. The AN-30e PTP system operates using one end of the link designated as the sector controller (master) and the other end of the link as subscriber station. The sector controller MAC utilizes a request/grant polling mechanism to determine when the subscriber station requires bandwidth. When the subscriber station requests bandwidth, the sector controller MAC allocates uplink time slots based on current availability.
  AN-30e user manual  70-00035-01  Proprietary Redline Communications © 2004 November 2004   Page 18 of 104 3.1  TDM over Wireless The AN-30e terminal supports simultaneous transport of up to eight full or fractional rate E1/T1 lines. Optional high speed Ethernet access is also available to operate concurrently with the TDM transport. 3.1.1  Theory of Operation TDM transport is achieved through a form of circuit emulation specifically optimized for wireless operation. The TDM signals are received by the AN-30e at the serial port interfaces, sampled, and encapsulated within an Ethernet frame structure. The Ethernet encapsulated traffic is transported over the wireless link to another AN-30e where the TDM traffic is reconstructed by reversing the encapsulation process and re-clocking the TDM traffic. Regular CAS signaling is passed transparently in the TDM traffic, and is not monitored by the AN-30e system. For fractionalized E1, at least one bundle on each port must include the signaling channel to support this pass-through feature. 3.1.2 TDM Configuration TDM signals on the RJ-48/BNC interfaces are sampled and the data is encapsulated into Ethernet frames. This data is transmitted over the wireless link where the TDM traffic and clock synchronization are reconstructed. The TDM signals are transmitted in up to eight separate bundles. Each bundle may include data from up to 32 consecutive timeslots, allowing full or fractional transport. Each bundle may be assigned a separate AN-30e system destination address. Fractional nx64 services allow the user to conserve bandwidth by sending only a sub-set of channels (time-slots) to transport over the wireless link. The TDM channels can also be mapped to different timeslots/serial ports at subscriber AN-30e terminals, performing a cross-connect function over the air.  Figure 3: AN-30e Ethernet/TDM Transport
  AN-30e user manual  70-00035-01  Proprietary Redline Communications © 2004 November 2004   Page 19 of 104  Jitter Variable transmission delays are introduced by the simultaneous transmission of TDM and data traffic. To insure proper timing of reconstructed TDM traffic, the subscriber terminal employs a jitter buffer. The jitter buffer is an industry standard method used to compensate for delay variations that occur during transport of the encapsulated Ethernet traffic. Latency To achieve the lowest possible latency, the AN-30e must be used exclusively for TDM transport and the Ethernet data port must be inactive. Use of the Ethernet port for in-band management or user data transport requires higher jitter buffer settings proportional to the level of non-TDM throughput. QoS The AN-30e uses IEEE 802.1p to enforce QoS for TDM based applications such as mobility backhaul and enterprise PBX traffic. Traffic can be assigned to high or low priority queues. Ethernet packets are examined and queued according to the priority tag. All TDM traffic is assigned to be high priority. Flow Control The IEEE 802.3x standard provides a flow control method for improved traffic shaping. When the AN-30e terminal detects a high traffic condition, or the wireless throughput is decreased, an IEEE 802.3x pause control frame is sent to the upstream Ethernet device. This control command inhibits the Ethernet device from transmitting additional regular data packets for the period specified in the pause control frame, or another pause control frame is received with the time set to zero. Only flow control packets can be transmitted from a paused device. Deployment A typical PTP configuration may be used for backhauling full rate E1/T1 lines in a mobility application. All traffic is terminated at the same endpoints. The AN-30e can also be deployed in a cascaded multi-hop configuration with drop and insert points. In the following multi-hop example, the TDM data is encoded and sent over the wireless link to other AN-30e systems. Data received on the wireless link may be directed to a local TDM port for decoding and/or routed to the Ethernet port connected to another Redline system for retransmission on a separate wireless link.
  AN-30e user manual  70-00035-01  Proprietary Redline Communications © 2004 November 2004   Page 20 of 104   Figure 4: AN-30e Multi-Hop Deployment Example
  AN-30e user manual  70-00035-01  Proprietary Redline Communications © 2004 November 2004   Page 21 of 104            Chapter 4 44  PPhhyyssiiccaall  DDeessccrriippttiioonn  Important: The AN-30e system must be installed by a professional installer who is familiar with both data network issues and RF installations including grounding and lightning protection. 4.1 Quick Install Guide Experienced installers may refer to a copy of the guide "Redline AN-30e Quick Install Guide" provided on AN-30e CD-ROM. This guide provides instructions for basic system configuration and aligning the antennas. Additional detailed installation information is available in the manual titled "Installation Guidelines for Redline AN-30e PTP Systems" also provided on AN-30e CD-ROM. This guide provides instructions for site planning and installation including weatherproofing and antenna alignment. 4.2  Unpacking the AN-30e The system comes packaged with the following items: -  Quality inspection report -  Quick start installation guide - Documentation CD-ROM -  AN-30e terminal and mounting brackets -  T-54, T-58, or T-58e transceiver -  Antenna and mounting bracket -  RF and IF cables -  AC and/or DC power cables -  Optional items (such as lightning protectors) A complete list of items included in the system is available on the packing list included with the system.
  AN-30e user manual  70-00035-01  Proprietary Redline Communications © 2004 November 2004   Page 22 of 104 4.3 AN-30e Terminal The front panel includes the Ethernet port, the TDM ports, and three groups of LED indicators: System, Wireless, and Ethernet. The rear of the terminal includes the power supply connections, the IF port, the serial console port, and a BNC connector for the time synchronization signal (future release). 4.3.1 Mounting The terminal can be freestanding on a flat surface, or mounted into a standard 19-inch equipment rack. 4.3.2 Power Supply The AN-30e power supply connections are provided on the rear of the chassis. Separate connections are provided for each power supply. Grounding Connection A ground connection terminal is located on the back of the AN-30e system. Correct grounding is very important for safe operation of wireless equipment. Refer to the installation section for additional information. System Fuse Removable fuses located at the rear of the terminal protect the system power inputs. Refer to section 7.5: Replacing System Fuse on page 75 for additional information. 4.3.3  Time Synchronization Port The AN-30e has one BNC input on the rear panel for time synchronization. This port accepts a standard IRIG-B signal (1 pps) from a GPS satellite clock. This port is currently disabled and is enabled in a future software release. 4.3.4 Wireless Section This section describes the wireless port and LEDs. IF Port (Radio Control) The terminal has a female F-type connector (rear of chassis) for interconnection with the system radio. The IF cable carries the following signals between the terminal and the radio: -  OFDM IF signal at 815 MHz -  Local Oscillator (LO) signal at 2.5 GHz -  24 Volt DC voltage for the transceiver electronics -  Control signal between IDU and ODU
  AN-30e user manual  70-00035-01  Proprietary Redline Communications © 2004 November 2004   Page 23 of 104  Wireless LEDs There are two Link and Signal indicator LEDs on the front panel.  Figure 5: Front Panel - Wireless LEDs Link LED The Wireless Link LED lights solid green when the wireless link is established. When the Link LED is off, it is an indication there is a problem with either the terminal link, radio, or with the actual propagation path itself. Check the RF Status parameters in the System Status screen. The following table lists some of the potential causes. Table 2: Wireless Link Diagnostics Symptom  Possible Problem  Solution Subscriber terminal is not on or is malfunctioning. Verify operation of subscriber terminal. The propagation path is blocked. Clear path or re-locate antennas. The transceiver is mal-functioning. Repair or replace transceiver Antenna has moved and is no longer aligned with subscriber terminal. Re-align the antenna. Cable between transceiver and antenna or between transceiver and terminal not properly connected. Properly secure cables. Power not getting to the transceiver from the terminal. Repair or replace terminal. No wireless link (Link LED does not illuminate) Receiver and transmitter have been set to different RF channels. Make sure both terminals are operating on the same RF channel.  Signal LED When Adaptive Modulation is disabled, the Wireless Signal LED lights solid green if the system is operating at a BER of less than 1 x 10e-9. The LED flashes if the number of errors exceeds this limit. If the wireless link becomes very poor, the LED turns off. When Adaptive Modulation is enabled, the Wireless Signal LED lights solid green if the system is operating at a rate equal to or higher than the configured Uncoded Burst Rate. The LED flashes when the system is operating at a modulation scheme with a
  AN-30e user manual  70-00035-01  Proprietary Redline Communications © 2004 November 2004   Page 24 of 104 lower maximum burst rate. The Signal LED turns off if the system cannot maintain a link using the lowest modulation scheme. Intermittent flashing may not indicate a serious problem. Refer to the following table for additional information. Table 3: Wireless Signal Diagnostics Symptom  Possible Problem  Solution Obstructions in the propagation path causing signal degradation.  Try to remove obstacles or re-locate antenna.  Antenna moved, due to high winds. Re-align the antenna. Weak RF Link (Signal LED flashes) Poor cable connection between transceiver and antenna. Repair or replace the RF cable. 4.3.5 Ethernet Section This section describes the terminal Ethernet port and LEDs. Ethernet Data Port The Ethernet Data port is always enabled. The port can be set for automatic selection or set manually to operate in full duplex or half duplex mode at 10 Mbps or 100 Mbps.  Figure 6: RJ-45 Jack Face Table 4: terminal LAN Ethernet Port Pinout Jack Pin  Function 1 Rx + 2 Rx - 3 Tx + 6 Tx - Warning: Connecting a telephone cable to the Ethernet interface will damage the terminal. Ethernet LEDs The Ethernet portion of the front panel display has three LEDs.  Figure 7: Front Panel: Ethernet LEDs
  AN-30e user manual  70-00035-01  Proprietary Redline Communications © 2004 November 2004   Page 25 of 104 Link/Act LED The Link/Act LED lights solid green when the Local Area Network (LAN) connection is established, and there is no traffic. The Link LED flashes when the Local Area Network (LAN) connection is established and traffic is detected. The Link/Act LED is functioning properly and traffic is detected. If the LED is off, it may indicate one of the problems listed in the following table: Table 5: Ethernet Link/Act Diagnostics Symptom  Possible Problem  Solution Poor cable connection between terminal and computer/server or between terminal and switch/router. Carefully check all cable connections. Wrong type of Ethernet cable between terminal LAN port and host. If the terminal LAN port is connected to a host, then ensure a straight-through cable is used. Otherwise, to connect the terminal to a switch or router, ensure a crossover cable is used.  The auxiliary Network equipment may be malfunctioning. Repair or replace faulty terminals. No Ethernet Link (Link/Act LED off) Processor malfunction.  Try short reset or long reset.  100 LED The 100 LED lights solid green when the Ethernet port is operating at 100 Mb/s. The LED is not illuminated when the port is operating in 10 Mb/s mode. Table 6: Ethernet 100 Diagnostics Symptom  Possible Problem  Solution Ethernet connection manually set for 10Base-T operation. Change Ethernet Mode setting to Auto or 100 in the System Configuration web screen. Ethernet Link 100 LED off The connected Ethernet device may be operating at 10Base-T.  If the terminal LAN port is connected to a host computer or server operating at 10Base-T, you may have to change the settings for that device.  FD/Col LED The FD/Col LED lights solid green when the LAN connection is operating in Full Duplex mode and flashes when collisions are detected on the Ethernet port. When connected to a hub, it is typical for packet collisions to occur intermittently. On a Half-Duplex link, there are collisions. Some causes are listed in the following table.
  AN-30e user manual  70-00035-01  Proprietary Redline Communications © 2004 November 2004   Page 26 of 104  Table 7: Ethernet Collision Diagnostics Symptom  Possible Problem  Solution Collisions are normal for Half Duplex links. However, if the terminal is connected to is not configured for auto-negotiation, but manually set for Full Duplex, the terminal is not able to negotiate this mode and stays set to Half Duplex. This results in CRC errors on the network device port. Change the configuration from hard coded Full Duplex to auto-negotiation Link Collision (FD/Col LED flashes) Incompatible Ethernet port speed.  Confirm speed and duplex mode of devices. 4.3.6 System Section This section describes other general features of the front panel. System LEDs The System LEDs indicate power supply status, system faults, and synchronization status.  Figure 8: Front Panel: Reset Switch and System LEDs Pwr LED The Pwr LED lights solid green when the AC and/or DC power is properly applied to the terminal. The Pwr light does not illuminate if there is an internal power supply failure, if the power cables are disconnected, or the fuse is blown. Table 8: System Power Diagnostics Symptom  Possible Problem  Solution On/Off switch in Off position Turn power switch on at back of terminal. Fuse blown  Replace fuse (spares are provided). See section 7 for details. Power cord disconnected  Securely connect cord to terminal and outlet Pwr LED does not illuminate One of the dual power supplies is defective or powered off (redundant configuration). Schedule maintenance to replace defective power supply.
  AN-30e user manual  70-00035-01  Proprietary Redline Communications © 2004 November 2004   Page 27 of 104 Fault LED The Fault LED lights solid red to indicate a serious problem with the system software or hardware. Check the IF cable for loose connections. Also, refer to the System Logs screen and RF Status codes for additional information about the problem. Alternatively, if a short-reset or long-reset does not resolve the problem, contact your local representative.  Sync LED The Sync LED lights solid green when the AN-30e is synchronized with an external clock. The Sync port is currently disabled, and is enabled in a future software release. Reset Switch The reset button is recessed in the front panel of the terminal. To operate the switch, use a small narrow object (i.e., paper clip) to depress the switch. Depressing the reset button for less than five seconds activates a short-reset (equivalent to cycling power on the terminal). Depressing the reset button for longer than five seconds activates a long-reset and some parameters are changed to the factory default settings. Refer to the following table for details. Table 9: Front Panel Reset Switch Operation  Result Depress switch less than 5 seconds. Statistical values are reset. A short reset may also be activated remotely from the Web maintenance tool by clicking on the System Reset button at the bottom of the System Configuration screen. Depress switch longer than 5 seconds. Reload the factory default configuration for the following settings: IP Address, IP Subnet Mask, Channel, System Name, Username, and Password. Refer to section 69: Factory Default Settings on page 69. 4.3.7  The TDM Interface The TDM interface includes TDM ports to connect the terminal to a PBX or other TDM device. Each port has Alarm and Sync indicator LEDs. TDM Ports The TDM interface is equipped with eight RJ-48 ports. Entering the product options key selects the number of active ports. The following table lists the pinout for the TDM interface. Table 10: TDM Port RJ-48 Pinout Jack Pin  Function 1  Rx Data (R1) 2  Rx Data (T1) 4  Tx Data (R2) 5  Tx Data (T2)
  AN-30e user manual  70-00035-01  Proprietary Redline Communications © 2004 November 2004   Page 28 of 104 Interfacing from the RJ-48 TDM port to a CPE device (DSU/CSU or PBX) requires the use of a cross over cable, constructed using 24 AWG Cat 5 wiring. These cable connections are listed in the following table.  Table 11: TDM RJ-48 CPE Connection Cable Connector A  Connector B 1 4 2 5 4 1 5 2 TDM Alarm LEDs Each serial interface port has Alarm and Sync indicator LEDs mounted on the RJ-48 socket. These LEDs indicate the following alarm conditions on the TDM circuits: Table 12: TDM Port Alarm Condition LEDs Single Alarm Conditions Alarm  Sync LED (Green)  Alarm LED (Amber) No Alarm  On  Off LOS Off  On LFA Blink  On AIS Off  Off RAI On Flickering Multiple Alarm Conditions Multiple Alarm Conditions Alarm  Sync LED (Green)  Alarm LED (Amber) AIS + LFA  Blink  Off AIS + RAI  Off  Flickering RAI + LFA  Flickering  Flickering  Alarm conditions detected by the terminal are sent to the customer equipment using the TDM signaling channels. Refer to the following examples of AN-30e system behavior for additional information. Example 1: Loss of Tx to a subscriber CPE Loss of Tx to a subscriber CPE would result in RAI from the CPE to the subscriber terminal. This signal is annunciated using the LEDs at the subscriber terminal, and sent to the local terminal and the customer central office equipment. Example 2: Loss of Rx from a subscriber CPE Loss of Rx from a subscriber CPE would result in LOS being annunciated using the LEDs at the subscriber terminal, and AIS being sent to the local terminal and customer central office equipment. The RAI issued by the central office equipment would be registered at each of the terminals and propagated all the way back to the subscriber CPE.
  AN-30e user manual  70-00035-01  Proprietary Redline Communications © 2004 November 2004   Page 29 of 104 4.4 System Radio 4.4.1 Transceiver The radio transceiver is housed in an aluminum alloy case. The connectors are listed in the following sections.  Figure 9: Transceiver 4.4.2  IF Port (Radio Control) The transceiver IF port (female F-type connector) is for communications with the terminal. This port is connected with the terminal through coaxial cable. 4.4.3 RF Connector The transceiver RF port (female N-type connector) is for sending/receiving the RF signal to/from the antenna. A short coaxial cable is provided to connect the transceiver to the antenna. 4.4.4  Alignment Pin and Audible Signal For basic alignment using the received signal, an alignment buzzer (intermittent tone sweep generator) and a voltage pin is available on the ODU transceivers. The faster the repetition rate of the buzzer displays the stronger the signal received from the remote end. You can also adjust for a voltage peak using a DC voltmeter connected to the alignment voltage pin on the ODUs (if equipped). Use of either the buzzer or alignment pin is enabled using the software interface. Use the Web interface field General Antenna Alignment to enable and disable this feature (Refer to section 5.5: Configure System on page 38). 4.4.5 Antenna The same type of antenna can be used for both ends of any PTP deployment. Refer to section 8.3: Antenna and Power Specifications on page 81 for descriptions and specifications of available antennas
  AN-30e user manual  70-00035-01  Proprietary Redline Communications © 2004 November 2004   Page 30 of 104  Figure 10: One-Foot Flat Antenna The transceiver RF port (female N-type connector) is for sending/receiving the RF signal to/from the transceiver. A short coaxial cable is provided to connect the antenna to the transceiver. 4.4.6  Antenna Mounting Bracket A vertical mount bracket is provided with the system. The vertical mount bracket can accommodate 1 ¾" to 4 ½" (4.45 cm to 11.45 cm) OD masts found on many commercial tower installations.
  AN-30e user manual  70-00035-01  Proprietary Redline Communications © 2004 November 2004   Page 31 of 104             Chapter 5 55  UUssiinngg  tthhee  WWeebb  IInntteerrffaaccee  This section describes the procedures for configuring and operating the terminal via the web interface. Communication with the terminal is achieved over the Ethernet port using Hypertext Transfer Protocol (HTTP) over a TCP/IP connection. This offers the advantage of allowing the operator to access and control the terminal remotely from any geographical location having access to the Internet. 5.1 System Menu When the user is successfully logged in, the General information page is displayed. On the left is a menu of all available pages. The operator can point and click on any of the blue text lines in the menu to display the selected page.  Figure 11: On-Screen Menu The administrator (admin) has unrestricted access to all screens. All other users have restricted access. See the following table for details.
  AN-30e user manual  70-00035-01  Proprietary Redline Communications © 2004 November 2004   Page 32 of 104   Table 13: Web Screens Screen  Admin AccessUser AccessDescription General Information  X  X  View general system identification and configuration settings. System Status  X  X  View system information, Ethernet statistics, and wireless statistics. System Logs  X  X  View the last forty system activity and error messages recorded by the terminal. Configure System  X    View and adjust configuration settings for general system identification, IP address, management functions, and wireless. Upload Software  X    Upgrade the existing software load of the terminal with new software stored in a binary file on the server or host computer. Product Options  X    Upgrade the terminal with custom options. System Password  X  X  Change your login password. TDM Config  X    TDM Configuration TDM Stats  X    TDM Statistics  Table 14: Default System Users Username  Default Password  Description admin  admin  Access to all screens user  user  Access restricted to monitoring screens.
  AN-30e user manual  70-00035-01  Proprietary Redline Communications © 2004 November 2004   Page 33 of 104  5.2 General Information Click on General Information to view general system information, Ethernet LAN address information, and wireless settings. This page includes a view of the terminal front panel LEDs.  Figure 12: General Information Screen 5.2.1 System System Name: Displays the user-specified name for the local terminal. System Details: Displays the user-specified information such as location, telephone number, and/or contact number. Hardware Revision: Displays the detected hardware revision level for this terminal. Outdoor Unit Type: Displays the detected transceiver model number. Master-mode: Displays the user-specified operating mode of the terminal. Yes: System is configured as a sector controller. No: System is configured as a subscriber station. Software Version: Displays the detected software version in use. Time Since System Start: Displays the time [dd/hh/mm/ss] since the system started.
  AN-30e user manual  70-00035-01  Proprietary Redline Communications © 2004 November 2004   Page 34 of 104 5.2.2 Ethernet: Ethernet MAC Address: Displays the unique Ethernet address detected for this terminal. IP Address: Displays the user-specified IP address of the terminal. IP Subnet Mask: Displays the user-specified subnet for this terminal. Default Gateway Address: Displays the user-specified IP address of the default router/gateway on the local Ethernet segment. 5.2.3 Wireless: RF Link Established: Displays the status of the wireless link. Yes - RF link is established. No - RF link has not been established. Uncoded Burst Rate: Displays the measured uncoded burst rate for the link.
  AN-30e user manual  70-00035-01  Proprietary Redline Communications © 2004 November 2004   Page 35 of 104  5.3 System Status Click System Status in the menu to view system information and Ethernet and wireless statistics.  Figure 13: System Status Screen 5.3.1 General Information: System Name: Displays the user-specified name for the local terminal. Software Version: Displays the detected software version in use. RF Link Established: Displays the status of the wireless link. Yes - RF link is established. No - RF link has not been established. Uncoded Burst Rate [Mb/s]: Displays the uncoded burst rate for the link.  Master-mode: Displays the user-specified operating mode of the terminal. Yes: System is configured as a sector controller. No: System is configured as a subscriber station. Important: Only one terminal must be designated Master on each wireless link. RF Channel Frequency: Displays the user-specified channel center frequency. Tx Power: Displays the user-specified transmit power level. Cable Attenuation: Displays the measured attenuation level for the 800 MHz signal over the IF cable.
  AN-30e user manual  70-00035-01  Proprietary Redline Communications © 2004 November 2004   Page 36 of 104 Link Distance [Miles or Km]: Displays the user-specified distance between the two ends of the wireless link. RF Status [Error Code]: Displays an error code indicating the status of the system RF components. Code 'zero' indicates normal operation. See the RF Status Error Code Table 33: RF Status Error Codes on page 72 for details. Ethernet MAC Address: Displays the unique Ethernet address of this terminal. IP Address: Displays the user-specified IP address of this terminal. IP Subnet Mask: Displays the user-specified subnet mask. Default Gateway Address: Displays the user-specified IP address of the default router/gateway on the local Ethernet segment. 5.3.2  Ethernet LAN Statistics: Rx packets: Displays the number of non-errored packets received. Rx packets - Discarded: Displays the number of errored packets received. Tx Packets: Displays the total number of Ethernet packets transmitted. 5.3.3 Wireless Statistics: Received Signal Strength: Min: Displays the minimum received signal strength measured since the last screen refresh. Received Signal Strength: Mean: Displays the average received signal strength, computed since the last screen refresh. Received Signal Strength: Max: Displays the maximum received signal strength measured since the last screen refresh. SINADR: Displays the average signal to interference, noise and distortion ratio measured since the last screen refresh. Rx Packets: Displays the total number of wireless packets received over the air. Rx Packets: Retransmitted: Displays the number of wireless packets retransmitted over the air. Rx Packets: Discarded: Displays the number of wireless packets received over the air with errors due to degradation in the RF link. Tx Packets: Displays the number of wireless packets (including Ethernet frames and error correction bytes) successfully transmitted over the air. Tx Packets: Retransmitted: Displays the number of wireless packets retransmitted over the air. The retransmission scheme is based on the Automatic Repeat Request (ARQ) algorithm that detects when packets are lost, and makes a request to the MAC scheduler to repeat transmission of the lost packets. Tx Packets: Discarded: Displays the number of transmitted wireless packets discarded by the subscriber terminal, due to degradation in the RF link. 5.3.4  Statistics Control Button: Reset Statistics: Click this button to zero all counters.
  AN-30e user manual  70-00035-01  Proprietary Redline Communications © 2004 November 2004   Page 37 of 104  5.4 System Logs Click System Logs in the menu to view the last forty system activity and error messages recorded by the terminal.  Figure 14: System Logs Screen The logs also indicate if the following transactions were successfully completed: Save Configuration: Configuration screen. Upload:  Upload Software screen. Change Password:  System Password screen. Send Options Key:  AN-30e Options screen Refer to section 7.4: System Error Log Messages on page 73 for the full list of event messages.
  AN-30e user manual  70-00035-01  Proprietary Redline Communications © 2004 November 2004   Page 38 of 104  5.5 Configure System Click Configure System in the menu to view and adjust configuration settings for general system identification, Ethernet, and the wireless interface. Important: Ensure that all fields on the System Configuration Screen are filled out properly for local and subscriber terminals. Errors in these fields can result in the inability to establish a communication link. Please read carefully to ensure a quick, trouble-free deployment. 5.5.1 Ethernet Configuration: The IP address information must be set properly before the terminal is connected to the local Ethernet network, otherwise, address conflicts may occur with other devices on the network.  Figure 15: System Configuration Screen - Ethernet Settings System Name: User-specified name for the local terminal. Enter any combination of up to 20 letters and numbers. System Details: User-specified system description for the local terminal. Enter any combination of up to 20 letters and numbers. IP address: User-specified IP address for this terminal. The factory default address is 192.168.25.2. IP Subnet Mask: User-specified IP subnet mask. The factory default mask is 255.255.255.0 (Class C subnet). Default Gateway Address: User-specified IP address of the default gateway on the local Ethernet segment. Flow Control Enable: Check this box   to enable flow control on the terminal.
  AN-30e user manual  70-00035-01  Proprietary Redline Communications © 2004 November 2004   Page 39 of 104 When you enable the Flow Control option, the AN-50e tests the p (priority) setting for any 802.1Q packet received on the Ethernet port. If the packet priority is set to a value of zero to three, the data is assigned to a low priority queue. If the packet priority is set to a value of 4-7, the data is assigned to the high priority queue.   All high priority traffic is transmitted before any low priority traffic is transmitted. This ensures that high priority traffic (such as VoIP packets) receives priority over lower priority data-only traffic. Ethernet Mode: Select the operating mode of the Ethernet port. Auto - Auto-negotiate the speed connection speed. 10 Mbps HD - Operate at 10Base-T half duplex only. 10 Mbps FD - Operate at 10Base-T full duplex only. 100 Mbps HD - Operate at 100Base-T half duplex only. 100 Mbps FD - Operate at 100Base-T full duplex only. HTTP Server Enable: Check this box   to enable the HTTP (Web) interface. If this setting is disabled -- this screen is not available. Refer to the CLI commands section in the Appendix for methods to enable the HTTP interface using the Telnet interface or the console port. Telnet Enable: Check this box   to enable Telnet sessions. Refer to the CLI commands in the Appendix. Telnet Port: Enter the Telnet port address. The default Telnet port is 23. The port can be changed to any other number between 23 and 65,000, excluding port 80. SNMP Enable: Check this box   to enable the Simple Network Management Protocol (SNMP) agent. When this item is checked, clicking on the blue text [Configure SNMP] beside the checkbox displays the SNMP Configuration screen. See section 0: SNMP Settings on page 39 for additional information on setting up SNMP for the AN-30e. SNMP Settings Screen Click Configure SNMP (blue text) on the System Configuration screen to view and edit the SNMP settings. The blue text appears when the SNMP Enable box is checked.  Figure 16: System Configuration Screen - SNMP Access The SNMP Configuration screen displays a list of the current communities. The control buttons can be used to add, edit, or delete communities.
  AN-30e user manual  70-00035-01  Proprietary Redline Communications © 2004 November 2004   Page 40 of 104  Figure 17: SNMP Configuration Screen  SNMP Configuration: The list of defined communities is displayed in the Community Name table. Edit: Select a community from the pull down menu and click the Edit button to modify an existing community. The Community Configuration/Trap Configuration screen is displayed. Delete: Select the community from the pull down menu (bottom left of screen) and then click the Delete button to delete that community. Note that it is not possible to delete the public SNMP community, but the access level can be changed. Add Community: Click the Add Community button to add a new community. The Community Configuration/Trap Configuration screen is displayed. Add Community: To add a new community, click Add Community button. The Community Configuration/Trap Configuration screen is displayed. Community Configuration: Community Name: The SNMP community name.  Community Access - Read: Check the Read box to grant read access permission to members of this community. Uncheck this box ( ) to deny read permission. Community Access - Write: Check this box   to grant write access permission to members of this community. Uncheck this box ( ) to deny write permission. Trap Configuration Trap Enable: When the SNMP Agent in the terminal detects an error condition, a message known as a trap is sent. A Trap Host is an IP system/server that is set up to receive SNMP trap messages. Checking this option enables sending traps. Trap Destination (IP Addr. 1): Enter the IP address of the Trap Host in dotted decimal format. At least one (1) IP address is required. Trap Destination (IP Addr.2): Enter the IP address of the Trap Host in dotted decimal format. This address may be left blank. Trap Destination (IP Addr. 3): Enter the IP address of the Trap Host in dotted decimal format. This address may be left blank. Trap Destination (IP Addr. 4): Enter the IP address of the Trap Host in dotted decimal format. This address may be left blank.
  AN-30e user manual  70-00035-01  Proprietary Redline Communications © 2004 November 2004   Page 41 of 104 Save: Click Save to permanently save the current parameters and return to the main SNMP configuration screen.  Figure 18: SNMP Community/Trap Settings Screen  5.5.2 Wireless Configuration: The wireless parameters must be set properly before the terminal is allowed to transmit using the radio -- otherwise it may cause interference to other high frequency devices operating in the vicinity.
  AN-30e user manual  70-00035-01  Proprietary Redline Communications © 2004 November 2004   Page 42 of 104  Figure 19: System Configuration Screen - Wireless Settings RF Freq. [MHz]: The system is shipped with a default RF setting. This setting must be changed before allowing the radio to transmit. Channel availability is dependent on the regional regulatory requirements. Enter the channel center frequency of the system. The table below specifies the center frequencies of each permitted channel. To avoid interference, the channel frequencies of two links operating within close proximity must be separated at least twenty MHz. The availability of frequency bands listed in the following tables is based on the factory entered option key. Auto Scan: Check this box   to enable subscriber systems to scan the frequency band for active base stations. The availability of channels is limited by regional regulations. It is important that this feature is enabled on the subscriber system when the master-end system has DFS Action is set to Chg Freq. This setting allows automatic link recovery following a DFS event. Additional detailed installation information is available in the manual titled "Installation Guidelines for Redline AN-30e PTP Systems" also provided on AN-30e CD-ROM. This guide provides instructions for site planning and installation including weatherproofing and antenna alignment.
  AN-30e user manual  70-00035-01  Proprietary Redline Communications © 2004 November 2004   Page 43 of 104   The following table lists the 5.4 GHz channels available in CE regulated regions. Table 15: CE: RF Channel Frequencies  T-54 Radio: 5.4 GHz Center Frequency (GHz) Center Frequency (GHz) Center Frequency (GHz) 5.500 5.580 5.660 5.520 6.500 5.680 5.540 5.620 5.700 5.560 5.640   The following table lists the 5.8 GHz channels available in the United Kingdom. Table 16: UK: RF Channel Frequencies  T-58 Radio: 5.8 GHz  T-58e Radio: 5.8 GHz Center Frequency (GHz)  Center Frequency (GHz) 5.735 5.735 5.755 5.755 5.775 5.775  5.835  The following table lists the 5.8 GHz channels available in North America. Table 17: North America: RF Channel Frequencies T-54 Radio: 5.4 GHz T-58 Radio: 5.8 GHz T-58e Radio: 5.8 GHz 5.480 to 5.715 (steps of 5 MHz) 5.735 to 5.815 (steps of 5 MHz) 5.735 to 5.840 (steps of 5 MHz)  DFS Action: Select the mode of operation for DFS. The system set to master-mode monitors for interference from radar devices and other equipment using the same channel frequency. When interference is detected, the system automatically takes the action selected using the drop-down menu: Important: DFS Action selection should be set to None where DFS function is not required by regulations. DFS cannot be disabled where required by regional regulations.  None: DFS is disabled. Tx Off: Transmission is immediately disabled when radar signals are detected. This action is recorded in the message log and an SNMP trap message is sent (if SNMP enabled). Following an interval of thirty minutes, the same channel is monitored for one minute and if there are no DFS triggering events, the system resumes normal operation. If DFS trigger conditions are still detected, operation is suspended for an additional thirty minutes. This cycle continues until no DFS trigger events are detected or the operator manually reconfigures the system.
  AN-30e user manual  70-00035-01  Proprietary Redline Communications © 2004 November 2004   Page 44 of 104 Chg Freq: Relocate transmission to alternative frequency immediately when radar signals are detected. This action is recorded in the message log and a trap message is sent (if SNMP enabled). The new channel is selected based on allowable frequencies for the regulatory region of that installation. The channel is monitored for one minute before the system is allowed to transmit. If DFS triggering events are detected, the next available channel is selected and monitored. The system is not allowed to return to a channel on which DFS trigger events were detected for a period of thirty minutes. If DFS trigger events are detected on all channels the system suspends operation until the thirty-minute time interval expires for at least one channel. DFS Antenna Gain: Enter the gain (dBm) for the system antenna.  It is important that this value is set to correctly match the antenna gain. If the antenna gain is set higher than the actual antenna gain, the DFS is less sensitive to detecting interference, and the system is not operating in compliance with the UK/ETSI standard. If the antenna gain is set lower than the actual antenna gain, the DFS is more sensitive to detecting interference and may cause false triggers. Important: The DFS Antenna Gain must be set when DFS is required by regional regulations.  Tx Power [dBm]: Enter the default Tx power level (dBm). Section 8.3: Antenna and Power Specifications on page 81 lists the maximum transmit power setting based on the antenna gain for a series of frequency settings. There are restrictions on the maximum transmit power settings when operating at data rates above 24 Mb/s. Note: In some countries outside of North America, the maximum operational power per channel for a specific antenna is limited in accordance to maximum allowable EIRP levels for the region. Refer to the CE notice in the first section of this manual. ATPC Enable: Check this box   to enable the ATPC on the system operating in master-mode. Both systems automatically adjust the Tx power levels based on feedback received from the system at the other end of the link. Important: ATPC cannot be disabled where required by regional regulations. Adaptive Modulation: Check this box   to enable adaptive modulation mode. When adaptive modulation is enabled, the system measures RF performance (BER) and automatically adjusts to the highest available modulation/coding combination. If packet errors exceed one in one million, the system automatically steps down the modulation/coding to maintain the link at an acceptable BER rate. It is not recommended to enable adaptive modulation mode when using TDM traffic. Transient fade conditions may reduce the system throughput to a level incapable of supporting TDM transport. When dynamic modulation is disabled, the Uncoded Burst Rate and the Modulation Reduction Level settings must be set manually. Adequate testing must be performed to ensure that sufficient error-free bandwidth is available for the number of TDM channels to be deployed.
  AN-30e user manual  70-00035-01  Proprietary Redline Communications © 2004 November 2004   Page 45 of 104 Modulation Reduction Level: This manual setting specifies how many levels the system must drop in modulation during re-transmission of erroneous wireless packets. The level can be set from 0-7, with '2' being the recommended value. Valid only when Adaptive Modulation is disabled. Uncoded Burst Rate [Mb/s]: Select the desired uncoded burst rate for the link. Master-mode: Check this box   to operate this system as a sector controller. Each PTP link is comprised of a sector controller and a subscriber system. Check the Master tick box   in the Configure System screen of the web interface to configure a system to operate as a sector controller. The sector controller establishes and manages the bi-directional data link with the subscriber system. Uncheck the Master tick box  in the to configure the system to operate as the subscriber station. Important: Only one system in a wireless link must be set for Master-mode. Software Version: Select the version of the system software to be loaded when the system is rebooted. The system includes flash memory to hold two independent software images. This allows updates to be uploaded without disrupting operation of the system. See Upload Software Section 5.6: for additional details. Encryption Enable: Check this box   to enable over-the-air encryption. Encryption must be enabled or disable on both communicating or the system is unable to transfer any Ethernet packets. See also Encryption key following. Encryption Key: The correct encryption key must be entered on both communicating systems when encryption is enabled. Enter the MAC address of the communicating AN-30e system as the data encryption key for each system. Link Length Mode: Method for specifying the distance between AN-30e systems. Auto: Distance calculated automatically (recommended). Manual: Operator enters distance. Link Measurements Units: Select the units for the Link Length Mode field. Miles: Link distance is displayed in miles. Kilometers: Link distance is displayed in kilometers. Link Length: Enter the actual (maximum) distance between the pair of AN-30e systems. Valid only when Link Length Mode is set for Manual. General Antenna Alignment: Check this box   to enable the antenna alignment audible tone generator in the transceiver. Radio Enable: Check this box   to enable the radio transmitter.
  AN-30e user manual  70-00035-01  Proprietary Redline Communications © 2004 November 2004   Page 46 of 104  5.5.3 System Configuration Buttons Save: Click this button to save the current parameter settings. Note that changing some parameters initiates a system reboot. Test: Click this button to have the system activate the current configuration settings for a period of five minutes. Click Save at any time during this period to permanently save the current settings. Following this interval the system reboots and loads the previously saved settings (test settings are discarded). System Reset: Click this button to reboot the system. Resets all statistics and unsaved changes to the configuration are discarded.
  AN-30e user manual  70-00035-01  Proprietary Redline Communications © 2004 November 2004   Page 47 of 104  5.6 Upload Software Click Upload Software in the left hand menu to display the Upload AN-30e Software screen. The upload screen shown is used to upgrade the terminal with new software stored in a binary file on a server or host computer.  Figure 20: Upload Software Screen TFTP Server IP Address: IP address of the computer that runs the TFTP server that contains the upgrade software in binary format. Software File Name: Name of the binary file including the file extension. The terminal contains two non-volatile RAM banks for storing two versions of the software. The upload overwrites the non-operational (unselected) version. Trivial File Transfer Protocol (TFTP) is used to upload the new software image file from your computer to the AN-30e system. TFTP server software must be installed and running on the computer you are using to upload the new software file. In addition, the AN-30e software binary file must be located in the default upload directory for the TFTP server. 1.  Enter the TFTP Server IP Address and File Name. 2.  Click the Upload File button to begin the file transfer. The upgrade file size is approximately two Megabytes and takes approximately two to four minutes to download from the server to the terminal memory. 3.  When the file transfer is complete, the terminal verifies the integrity of the new software. If errors were introduced during the transfer process, the new software file is rejected and a warning is logged indicating the upgrade was unsuccessful. You must repeat the upload process. 4.  Use the System Configuration screen (section 5.5) to select the current operating version of system software.
  AN-30e user manual  70-00035-01  Proprietary Redline Communications © 2004 November 2004   Page 48 of 104  5.7 Product Options Click AN-30e Options in the menu (left side of screen) to enter an Option Key. An Options Key is a 32-character string, containing four dashes. Entering the options key is mandatory for system operation.  Figure 21: AN-30e Product Options Screen The option key is recorded on a sticker affixed to the terminal. A single key combines all Ethernet and TDM options purchased for the AN-30e terminal. If an upgrade is purchased after the system is installed, a new key combines all selected options.  Note: Each key is personalized to a specific terminal MAC address. Please ensure that the correct MAC address is provided when purchasing an upgrade option from your local representative. 5.7.1  Entering Option Keys Enter the key (case sensitive) and check to see that it is correct. Click Activate to enter the key. The key is case sensitive and must include hyphens. Click System Log in the left-hand menu to view the log. If the key was accepted there will be a message 109-Product Options Key activated. If the key was not accepted, try re-entering the key (possible typing error). 5.7.2 TDM Options The AN-30e unit is equipped from the factory with eight software-configurable TDM ports. The Options Key activates and configures the active TDM ports. Important: The option key must be entered before the TDM ports are connected to any external equipment. 5.7.3 Ethernet Options High-speed Ethernet options are provided to allow Ethernet data traffic and TDM data to be transmitted concurrently over the wireless link. Review the following section for additional information.
  AN-30e user manual  70-00035-01  Proprietary Redline Communications © 2004 November 2004   Page 49 of 104   5.8 System Password Screen Clicking on System Password in the left hand menu displays the System Password screen. This screen allows the operator to modify the system passwords.  Figure 22: System Password Screen To change the password, enter the username and the old password. Enter a new password in the two lower fields using any alphanumeric combination. Note the field is case sensitive and can be up to sixteen characters in length. Username: Enter user name. Old Password: Enter current password. New Password: Enter new password. Confirm New Password: Re-enter new password (avoids typing errors). Note: The original factory default passwords can be restored by depressing the front panel reset button for more that five seconds (long-reset). This also resets some other parameters to factory default settings.
  AN-30e user manual  70-00035-01  Proprietary Redline Communications © 2004 November 2004   Page 50 of 104  5.9 TDM Configuration Settings Click TDM Config in the menu (left side of screen) to view and modify the TDM settings. There are four sections in the TDM System Configuration screen:  Figure 23: TDM System Configuration Screen TDM General Configuration:  Global settings for the TDM interface. TDM Port Configuration:  Configure a specific port. TDM Bundle Configuration:  Configure a specific bundle on a port. TDM Controls:    Buttons to save or cancel changes.
  AN-30e user manual  70-00035-01  Proprietary Redline Communications © 2004 November 2004   Page 51 of 104  5.9.1  How to Use Apply and Save Configuration of the TDM module is a multi-step process. There are separate screens for configuring the general parameters, ports, and timeslots (bundles). To avoid creating instability during changes to the configuration, it is recommended to complete all editing steps before saving the changes. The AN-30e provides an editing template where all changes are made to the TDM configuration in an off-line mode. Changes to this template do not effect the operation of the TDM module. When TDM Config is selected in the main menu (left of screen) the AN-30e creates an offline-editing template using a copy of the current TDM settings. When any change is made to the general, port, or bundle settings, you must click Apply to save these changes to the offline-editing template. If you exit a TDM screen without clicking Apply, any changes made in that screen are discarded. When you click Save at the bottom of the TDM General Configuration screen, all settings in the offline-editing template are copied into permanent memory and loaded as the running parameters for the TDM module.   Figure 24: TDM Editing Steps
  AN-30e user manual  70-00035-01  Proprietary Redline Communications © 2004 November 2004   Page 52 of 104  5.9.2  TDM Config - General Settings The TDM General Configuration fields are in the main TDM System Configuration screen. The TDM General Settings apply to all TDM ports.  Figure 25: TDM General Configuration Settings Line Type: Select the type of the serial port interface. E1 Line: TDM port interface is E1. T1 Line: TDM port interface is T1. Clock: Set the TDM clocking mode for the TDM module. All TDM ports use the same clock for transmitting and receiving. In a typical link deployment, the AN-30e located closest to a master clock is set for Rx Loop, while the remote-end is set to adaptive clocking. Rx Loop: Select Rx Loop mode at the network (master clock) end of the wireless link. Only one AN-30e system should be set to Rx Loop mode.  In Rx Loop mode the AN-30e reference clock is derived from the receive signal of an active TDM port (see Sync On field). All TDM ports use this clock for transmission and reception. If there is no signal on the specified TDM port, then all ports default to using the internal AN-30e reference clock. Adaptive: Select adaptive mode at the remote-end (CPE end) of the link. In adaptive mode the AN-30e clock begins with a default clock speed and then continuously modifies the clock signal (adapting +/-) based on the jitter buffer level for the E1 port specified in the Sync On field. Internal: The AN-30e internal clock is used as the TDM clock. This setting is not recommended for in-service applications. Sync On: Select the TDM port to use for clock synchronization. The effect of this setting is dependent on the clock setting (above): If Rx Loop Mode is selected the AN-30e clock is derived from the receive signal on an active TDM port. At least one active bundle must be assigned to the selected port.
  AN-30e user manual  70-00035-01  Proprietary Redline Communications © 2004 November 2004   Page 53 of 104 If Adaptive Mode is selected the AN-30e clock is derived from the jitter buffer level of an active TDM port. A single active bundle must be assigned to the selected port. The designated TDM port must have only one active bundle assigned when the clock is set to adaptive mode. Idle Code: Enter the idle code value. This code can be changed to match the deployment network. The default is 255 decimal. An incorrect idle code may cause synchronization errors. The idle code is inserted into all unused time slots when the TDM signal is regenerated at the remote-end (fractional or buffer underrun). Software Version: This field displays the software version currently running on the TDM interface. TDM IP Address: Use this field to set the IP address of the TDM module. This IP address uniquely identifies the AN-30e TDM module. TDMPortsEthernetPortWirelessInterfaceAN-30eTDMPort IPEthernetPort IP Figure 26: TDM IP Address Settings The subnet mask is set as the default for the class of IP address entered. The mask value cannot be changed. Vlan Voice: Enter the tag number to use for TDM traffic. Enter any value from 0 to 2095. If a non-zero number is entered, the TDM traffic will be transported as high priority using the entered VLAN tag, and will not appear on the Ethernet port. If a value from 1 to 2095 is entered, the TDM traffic will be transported as regular Ethernet traffic, will appear on the Ethernet data port, and will have the same priority as other data traffic including in-band management. This setting is necessary in a multi-hop scenerio where the TDM traffic must be routed between local AN30e/AN-50e systems using the Ethernet data port. Send: Click Send to save the general settings. If you do not click Send, the changes will be discarded when you exit this screen. Note: Clicking Send does not permanently save the current settings or make these settings active. You must click Send and then click Save in the TDM General Configuration screen to permanently save any new settings for the TDM board.
  AN-30e user manual  70-00035-01  Proprietary Redline Communications © 2004 November 2004   Page 54 of 104 5.9.3  TDM Config - Port Settings Use the TDM Port Configuration fields to select and edit port settings. Step 1. Select a TDM Port Use the drop-down menu to in the TDM Port Configuration field to select a TDM port. Click the Config button to view the editing screen.  Figure 27: TDM Port Configuration Settings TDM Ports: Select the TDM interface port to configure. Config: Click the Config button to view the Configure Port dialog screen. Step 2. Edit Port Settings  Set the line characteristics for the selected TDM port. Selections will depend on the selected line type.  Figure 28: TDM Port Editing Screen Port ID: Displays the selected interface port (from 1 to 8). Coding: Select the line coding type for this interface. Available options depend on the interface line type. The selections for T1 are: AMI: Select this setting for Alternate Mark Inversion coding. B8ZS: Encoding where a special code is substituted whenever eight consecutive zeros are sent over the link. The selections for E1 are: AMI: Select this setting for Alternate Mark Inversion coding. HDB3: Select this setting for High-Density Bipolar 3 coding.  Framing: Select the type of framing the selected port. Available selections are dependent on the interface line type.
  AN-30e user manual  70-00035-01  Proprietary Redline Communications © 2004 November 2004   Page 55 of 104  The selections for T1 are: D4: The D4/Superframe format groups twelve T1 frames together and utilizes the twelve T1 framing bits to provide a repetitive pattern that allows other equipment on T1 line to lock onto the framing pattern. ESF: Extended SuperFrame framing format groups twenty-four T1 frames together. Allows optimization for framing on the T1 line. Adds additional features of CRC, FDL, and frame synchronization (like D4). unframed: The entire T1 signal is forwarded without modification.  The selections for E1 are: FAS: Framing scheme where timeslot zero of every even frame is reserved for the Frame Alignment Signal (FAS) code. CRC4: Cyclic Redundancy Check. unframed: The entire E1 signal is forwarded without modification.  Loopback: Select the testing mode for this port. Disabled: Serial interface is in normal operating mode Local: Equivalent to a physical RJ-48 loopback.     Framer Line 1 Line 2 Line 3 Line 4 ETH  AN30 Wireless  Figure 29: TDM Loopback: Local Mode Remote: Physical loopback at the analog part of a E1 line.     Framer Line 1 Line 2 Line 3 Line 4 ETH  AN30 Wireless  Figure 30: TDM Loopback: Subscriber Mode
  AN-30e user manual  70-00035-01  Proprietary Redline Communications © 2004 November 2004   Page 56 of 104  Payload: The framer rebuilds the coding/framing information.     Framer Line 1 Line 2 Line 3 Line 4 ETH  AN30 Wireless  Figure 31: TDM Loopback: Payload Mode Step 3. Save Settings Send: Click Send to save the general settings. If you do not click Send, the changes will be discarded when you exit this screen. Note: Clicking Send does not permanently save the current settings or make these settings active. You must click Send and then click Save in the TDM General Configuration screen to permanently save any new settings for the TDM board. 5.9.4  TDM Config - Bundle Selection The TDM Bundle Configuration settings allow you to send full or fractional channels over the wireless. Use of fractional channels can preserve bandwidth by sending data for only the designated sets of timeslots. The TDM Bundle Configuration settings allow you to specify up to eight full or fractional E1 bundles. Use of fractional services can save bandwidth by sending only the designated sets of timeslots. Framing must be selected on ports where fractional bundles are specified. TDM signals are transported by encapsulating timeslot data within Ethernet packets. The AN-30e supports multiple packet streams, each grouping one or more timeslots. Each bundle may be assigned a separate destination address. If Fractional E1 is used, multiple bundles can be defined to a single port. This feature allows multiple fractional channels from remote-end AN-30e systems to be combined onto a single port of a network-connected AN-30e system.  Figure 32: TDM Bundle Selection TDM Bundles: Use this drop-down menu to select a bundle. Config: Edit the selected bundle definition. Delete: Delete the selected bundle definition. Add: Create a new bundle definition.
  AN-30e user manual  70-00035-01  Proprietary Redline Communications © 2004 November 2004   Page 57 of 104 TDM signals are transported by sampling the TDM port signals, and encapsulating the timeslot data in Ethernet packets. The AN-30e supports up to eight separate packet streams, each grouping from one to thirty-two consecutive timeslots. Each bundle may be assigned to a separate destination IP address. If Fractional E1 is used, multiple bundles can be defined for a single port. This feature allows multiple fractional channels from one AN-30e system to be combined on a single port of a network-connected AN-30e system. Restrictions: -  Maximum of eight bundles for the terminal. -  Bundle definitions cannot span serial ports. -  Fractional bundle definitions on the same serial port must not overlap. -  You must specify the framing format for fractional bundles. The framing information is required to extract the timeslot data. -  Multiple fractional bundle definitions on the same serial port must not have the same destination port. Each bundle must specify a unique port at each termination point. -  Signaling is not monitored by the AN-30e system. If signaling is required for fractional E1, the signaling timeslot must be included in the bundle. Viewing and modifying the TDM bundle settings is a three-step operation: 1. Select a TDM bundle to view or change and click Config. 2. View and modify the bundle settings in the Configure Port screen. 3. Click Send in the Configure Bundle screen. To make these changes permanent you must also click Save in the TDM General Configuration screen. Step 1. Select a Bundle Use the drop-down menu to select a TDM bundle. Click Add to create a new definition or click Config to change an exiting bundle definition. Step 2. Edit Port Settings These settings apply only to the bundle selected by the Bundle ID drop-down selection in the TDM System Configuration screen.  Figure 33: TDM Bundle Editing Screen
  AN-30e user manual  70-00035-01  Proprietary Redline Communications © 2004 November 2004   Page 58 of 104 Bundle ID: This is the bundle identifier for the TDM port. Each port has a default bundle ID (see following table). There are 32 time-slots reserved for each port. The following table lists the time slot numbers assigned to each port. Table 18: Default Bundle Numbers Port  Bundle ID 1 1-32 2 33-64 3 65-96 4 97-128 5 129-160 6 161-192 7 193-224 8 225-256 The Bundle ID has a default name of the first time-slot for the port. If fractional channels are used, the first bundle must use the default name and any additional bundles defined for the same port should use the number of the first time-slot of that bundle. For example, fractionalizing port 1 into two channels could result in definitions of the first bundle ID = 1, and the second bundle ID = 16. Note: The same Bundle ID must be used at the destination AN-30e system. Dest Bundle: This is the bundle ID for the subscriber. The default value is the same as the Bundle ID. Begin TS: Enter the first active timeslot of this bundle. Framed: Begin TS selection is from 1 to 32. Framing is required when specifying fractional bundles. Unframed: Begin TS must be '0'. Time-slot 0 is required to transport timing and signaling information. Number TS: The number of contiguous time-slots in this bundle (starting at Begin TS). There are thirty-two time-slots reserved for each port. Framed: Number TS may be from 1 to 31. Unframed: Number TS must be set to 32. Dest IP: Enter the IP address of the destination TDM module. The Dest IP setting allows bundles to be sent to a specific TDM module on an AN-30e system. This IP address is the TDM IP Address set in the TDM General Configuration screen (not the IP address in the System Configuration screen).  Jitter Length: Specify the delay variation compensation for all ports on the OTM module (8 - 300 ms). The jitter buffer is used to compensate for delays in processing and transporting encapsulated TDM traffic between AN-30e systems. Using the Ethernet port for in-band management or user-data transport requires higher jitter buffer settings (proportional to the Ethernet throughput). The Jitter Length should be set to the lowest value possible that does not trigger errors on the TDM interfaces.
  AN-30e user manual  70-00035-01  Proprietary Redline Communications © 2004 November 2004   Page 59 of 104 Packet Length: Set the Ethernet packet length used by this bundle (from 128 to 1024 bytes). The Packet Length setting determines the amount of TDM timeslot data collected before the Ethernet packet is sent to the remote AN-30e system. Each timeslot sample requires eight bytes of data. Step 3. Save Settings Send: Click Send to save the general settings. If you do not click Send, the changes will be discarded when you exit this screen. Note: Clicking Send does not permanently save the current settings or make these settings active. You must click Send and then click Save in the TDM General Configuration screen to permanently save any new settings for the TDM board. 5.9.5  TDM System Configuration Control Buttons Use these control buttons at the bottom of the TDM General Configuration screen to test, save, or cancel changes to the TDM interface.  Figure 34: TDM Bundle Editing Dialog Box Save: Click Save to save the current parameter settings. Test: Click this button to have the system activate the current configuration settings for a period of five minutes. Click Save at any time during this period to permanently save the current settings. Following this interval the system reboots and loads the previously saved settings (test settings are discarded). Cancel: Click the cancel to discard all changes since the last save command.
  AN-30e user manual  70-00035-01  Proprietary Redline Communications © 2004 November 2004   Page 60 of 104  5.10 TDM Statistics Click TDM Stats in the menu (left side of screen) to view the TDM Statistics selection dialog screen. 5.10.1  TDM Statistics - Port Selection In the TDM System Configuration screen, use the TDM Statistics drop-down menu to select a TDM port. Click the Config button to view the statistics screen.  Figure 35: TDM Properties/Statistics Screen MAC Address: Displays the MAC address of the TDM interface. TDM Ports: Use the drop-down menu to select a port on the TDM interface. Show port Stats: Click Show Port Stats to view the Ethernet statistics for the TDM port selected in the TDM Ports field. Reset Port Stats: Click Reset Port Stats to zero all statistics counters for the TDM port selected in the TDM Ports field.
  AN-30e user manual  70-00035-01  Proprietary Redline Communications © 2004 November 2004   Page 61 of 104  5.10.2  TDM Statistics - Statistics Screen The TDM Port Statistics screen displays line statistics for the port selected in the TDM System Configuration screen.  Figure 36: TDM Port Statistics Screen Port ID: TDM interface port being monitored. Loss of Signal: No pulses are detected at the input port for a period of 175 bits. Loss of Frame Alignment: At least three consecutive FAS frames are received in error (E1). Loss of multiframe: Two consecutive multiframe alignment signals have been received with an error. Remote Alarm Indication: A red carrier-failure alarm exists at the remote network interface location. Alarm Indication Signal: AIS alarm is a notification sent to upstream devices to inform them that the originating signal has been lost. Errored second: An Errored Second has one or more of the following errors: Path Code Violation (PCV), Out of Frame defects (OOF), or Alarm Indication Signal (AIS). Framing error counter: Number of frames with errors. Code violation counter: A bipolar violation or a pulse-density violation. Reset Port Stats: Click to zero all statistics counters for this port.
  AN-30e user manual  70-00035-01  Proprietary Redline Communications © 2004 November 2004   Page 62 of 104
  AN-30e user manual  70-00035-01  Proprietary Redline Communications © 2004 November 2004   Page 63 of 104             Chapter 6 66  TTDDMM  OOvveerr  WWiirreelleessss  The AN-30e is designed to simultaneously transport TDM signals and Ethernet data traffic over a single converged link. The two common AN-30e deployments are for Mobility Backhaul (TDM-only) and Enterprise backhaul (TDM + data). The following sections describe the basic operating parameters for each of these two applications.  6.1 Bandwidth Requirements An adequate fade margin is needed to maintain the modulated burst rate required to successfully transport TDM traffic. The working system should be evaluated on the worst-case modulated burst rate. This consideration must include the possibility of asymmetrical modulated burst rates for the uplink and downlink, caused by interference affecting only one direction on the wireless link. 6.1.1  Maximum Uncoded Burst Rates It is important that adequate testing be performed to demonstrate that sufficient error-free bandwidth is available for the number of TDM channels to be deployed (see tables in this section). The following table lists the maximum uncoded burst rates based on SINADR values. Table 19: Achievable Uncoded Burst Rate (Mbps) SINADR      RSSI (dBm)       (dB)  -65  -70  -77  -81  -83  -84  -86 25  54 - - - - - - 23  48  48 - - - - - 18  36 36 36 -  -  -  - 15  24 24 24 24 -  -  - 12  18 18 18 18 18 -  - 11  12 12 12 12 12 12 - 8  6 6 6 6 6 6 6
  AN-30e user manual  70-00035-01  Proprietary Redline Communications © 2004 November 2004   Page 64 of 104  6.1.2  Evaluating TDM Throughput Requirements The modulation and coding settings are regulated by the options key and are specific for the number of enabled TDM ports (1, 2, 4 or 8). Each TDM port being operated requires a minimum amount of over-the-air bandwidth. If the actual deployed link budget is marginal, or you are also sending data traffic on the same link, you may have to purchase additional bandwidth (higher modulation/coding). The following tables list the required bandwidth for operating E1 and T1 over the wireless link. The values provided indicate the (error-free) bandwidth that must be available exclusively for the TDM traffic. Table 20: Wireless Link Bandwidth Requirements for T1 Number of Active T1 Ports Modulation/Coding  Uncoded Burst Rate (Mbps) 1 BPSK 3/4 9 2 QPSK 1/2 12 4 16QAM 1/2 24 8  64 QAM 2/3  48  Table 21: Wireless Link Bandwidth Requirements for E1 Number of Active E1 Ports Modulation/Coding  Uncoded Burst Rate (Mbps) 1 BPSK 1/2 6 2 BPSK 3/4 9 4 QPSK 3/4 18 8  64 QAM 2/3  48  6.1.3 Mobility Networks The AN-30e can be deployed in most mobility networks. Some networks can have characteristics that are exceptional and should be reviewed based on actual customer network configurations. The following figure illustrates a typical mobility backhaul deployment using the AN-30 wireless system.  Figure 37: AN-30e Mobility Backhaul Deployment
  AN-30e user manual  70-00035-01  Proprietary Redline Communications © 2004 November 2004   Page 65 of 104 Synchronization The accuracy requirement for this reference signal varies and depends on the mobility technology. When the reference signal is derived from the TDM network, the interface originating this signal must be a Stratum 3 clock (see Annex B). If the requirement is for a Stratum 1 clock, the reference signal is obtained from an external GPS system. Latency The standard for all mobility networks requires an RTD of less than 25 milliseconds (BSC-to-BTS value including all devices on the link). In some cases, specific vendor equipment may require an RTD of less than 25 milliseconds. It is not recommended to send data traffic for mobility network deployment. Transmitting Ethernet data will increase overall latency on the link. Also, do not use adaptive modulation, as the modulation/coding shifts introduce latency fluctuations that may introduce TDM synchronization errors. Table 22: Mobility Backhaul Operating Characteristics  Performance  GSM1 CDMA2 Required Reference Signal Stability Stratum 3  Stratum 1 & Stratum 3 Stratum 1 Customer Equipment Reference Signal Source GPS3 TDM trunks and/or GPS GPS Round-Trip-Delay (ms)  < 16  25  25 1. GSM, GPRS, UMTS 2. CDMAOne, CDMA2000 -1X, CDMA2000 1x EVDO 3. GPS source recommended for clock stability exceeding Stratum 3.  Table 23: AN-30e Operating Settings -- Mobility Backhaul Ethernet Port  10BaseT, Full Duplex1 Jitter Length (ms)  8 Packet Length (bytes)  E1 Unframed (framed):  248 (192) T1 Unframed (framed):  256 (200) 1. Management traffic only (i.e., HTTP Web interface).  6.1.4 Enterprise Networks Traditional TDM is used as a last mile transport for data, voice, and video traffic to Enterprises and private networks. The following figure illustrates a typical Frame Relay deployment using the AN-30 wireless system. Synchronization TDM devices operate in a master-slave relationship and use a reference clock derived from the TDM signal. The clock accuracy requirement on a TDM network is dependent on the distance from the equipment to the core. A typical requirement for enterprises and private networks is Stratum 4 clock.
  AN-30e user manual  70-00035-01  Proprietary Redline Communications © 2004 November 2004   Page 66 of 104  Latency Latency requirements vary and depend on the type of application. The following table lists the latency requirements for different TDM deployments. Table 24: Enterprise Backhaul Latency Requirements Application  PBX  VoIP  Data Latency1 <150 ms   <150 ms  Not sensitive 1: End-to-end latency values including all devices on the network.   The following figure illustrates a typical enterprise deployment using the AN-30 wireless system.  Figure 38: AN-30e Enterprise Deployment The following table lists the operating requirements for enterprise deployments. Table 25: Enterprise Backhaul Operating Parameters  AN-30e System Performance  Enterprise Network Frame Relay Network Required Reference Signal Stability Stratum 4  Stratum 4  Stratum 4 Customer Equipment Reference Signal Source GPS1 TDM TDM Return-Trip-Delay (ms)  < 60   300  Not Sensitive 1. GPS source recommended for clock stability exceeding Stratum 3. The following table lists the AN-30e operating settings for enterprise deployments. Table 26: AN-30e Operating Settings -- Enterprise Backhaul Ethernet Port  100BaseT, Full Duplex Jitter Length (ms)  30 Packet Length (bytes)  E1 Unframed (framed):  768 (744) T1 Unframed (framed):  600 (576)
  AN-30e user manual  70-00035-01  Proprietary Redline Communications © 2004 November 2004   Page 67 of 104 6.1.5  Evaluating Ethernet Throughput The Ethernet data throughput is dependent on protocol, packet size and transmission latency. The following tables list the Ethernet data throughput available based on the number of active TDM ports and the port speed (option key) installed on the AN-30e system.   Table 27: Data Rates Available when Using E1 Number of Active E1 Ports Data Option  Duplex Ethernet Throughput (Mbps) Modulation Mode Uncoded Burst Rate (Mbps)  1  17  16 QAM 1/2  24 1  2  27  16 QAM 3/4  36   3  43  64 QAM 3/4  54   1  13  16 QAM 1/2  24 2  2  24  16 QAM 3/4  36   3  38  64 QAM 3/4  54   1  16  16 QAM 3/4  36 4 2 N/A N/A N/A   3  32  64 QAM 3/4  54   1  10  64 QAM 3/4  54 8 2 N/A N/A N/A  3 N/A N/A N/A  Table 28: Data Rates Available when Using E1 Number of Active T1 Ports Data Option   Duplex Ethernet Throughput (Mbps)Modulation Mode   Uncoded Burst Rate (Mbps)    1  18  16 QAM 1/2  24 1  2  28  16 QAM 3/4  36   3  44  64 QAM 3/4  54   1  14  16 QAM 1/2  24 2  2  25  16 QAM 3/4  36   3  40  64 QAM 3/4  54   1  18  16 QAM 3/4  36 4 2  N/A  N/A  N/A   3  34  64 QAM 3/4  54   1  18  64 QAM 3/4  54 8 2  N/A  N/A  N/A  3  N/A  N/A  N/A
  AN-30e user manual  70-00035-01  Proprietary Redline Communications © 2004 November 2004   Page 68 of 104 6.1.6 Clock Synchronization The following table lists the Stratum clock requirements and definitions. Table 29: Stratum Clock Definitions Stratum  Accuracy & Adjustment Synchronization Accuracy Pull-In-Range  Time To First Frame Slip 1  1 x 10-11 N/A  N/A 72 Days 2  1.6 x 10-8  +/- 1.6 x 10-8  1 x 10-10 day 7 Days    3E  1.0 x 10-6  +/- 4.6 x 10-6  1 x 10-8 day 3.5 Hours 3  4.6 x 10-6  +/- 4.6 x 10-6  3.7 x 10-7 day 6 Minutes    4E  32 x 10-6  +/- 32 x 10-6 Same as Accuracy N/A 4  32 x 10-6  +/- 32 x 10-6 Same as Accuracy N/A
  AN-30e user manual  70-00035-01  Proprietary Redline Communications © 2004 November 2004   Page 69 of 104             Chapter 7 77  DDiiaaggnnoossttiiccss  aanndd  TTrroouubblleesshhoooottiinngg  Troubleshooting can be performed using the front panel LEDs and the host computer/server connected locally or remotely to the terminal. Before troubleshooting using the front panel LEDs, check that all cables are securely attached. Also, verify that all fields on the System Configuration page are correct for both communicating systems. Entry errors in these fields may cause the terminal to be unable to establish a communication link. This section provides basic diagnostic and troubleshooting procedures to help solve problems that may occur with the system. If, after reading this section, you are unable to get the system operating properly, please contact your local Redline representative. Include the model name and serial number of the system (located on the back of the terminal) in your communications. 7.1  Factory Default Settings The following parameters are the factory default setting for the terminal. These settings are restored when a long-reset is activated.  Table 30: Factory Default Settings Section  Item  Factory Default Setting System User Name  admin  Password   admin Ethernet  IP Address   192.168.25.2  Subnet Mask   255.255.255.0  Gateway   0.0.0.0 Wireless  RF Channel  5.765 GHz   Tx power   14 dBm
  AN-30e user manual  70-00035-01  Proprietary Redline Communications © 2004 November 2004   Page 70 of 104  7.2  Troubleshooting the Web Interface These troubleshooting hints assume that the status LEDs on the front panel of the terminal displays normal functionality. Table 31: Web Interface Diagnostics Symptom  Possible Problem Solution Incorrect IP address and/or Subnet Mask. Perform a ping test from the host computer command line. If the ping test is unsuccessful, then the problem is with the IP address. Perform a long reset to apply the default address (192.168.25.2) and Subnet Mask (255.255.255.0) Problems with host computer, or terminal. If the ping is successful try a short reset of the terminal, and/or reboot the host computer. Home Screen (General Information) cannot be accessed. Host PC ARP table is incorrectly configured Run the command 'arp: -d' whenever the terminal is swapped. Check that the subnet mask for the host PC matches the subnet mask of the terminal. Check that the host PCs address is 192.168.25.n, where n is not equal to 0,2, or 255.  Attempt to login to the terminal using a Web browser. Microsoft Internet Explorer is recommended. If the terminal does not respond by displaying the login dialog box, check that the correct IP address is being used. The value 192.168.25.2 is the factory default value and may have been changed during installation. The next test is to verify the IP address is reachable from the computer. Use the ping command to test the connection between the terminal and host computer. The system always responds to ping frames less that 577 bytes in length. >Ping 192.168.25.2 If the ping test is successful, the host computer was able to send and receive packets to/from the terminal. The problem may be with the Internet browser or related settings on the host computer. Re-boot the host computer to try to resolve the problem. If the ping is unsuccessful, there may be problems using that IP address; the IP address may be incorrect, or there may be a duplicate address. For correct operation the host computer and the terminal must appear to be on the same subnet. For example, if the terminal is using the factory default settings, the host computer could be set for an IP of 192.168.25.3 and a subnet mask of 255.255.255.0. If the correct IP address of the terminal cannot be determined, it is recommended to perform a long reset to restore the terminal to the default value. Warning: Performing a long reset restores the terminal IP address (192.168.25.2) and IP Subnet Mask (255.255.255.0) to the factory default value.
  AN-30e user manual  70-00035-01  Proprietary Redline Communications © 2004 November 2004   Page 71 of 104  7.3  Troubleshooting The RF RF Error Codes The terminal monitors the status of the outdoor transceiver unit and reports any fault conditions in the system logs. Table 32 lists the general fault conditions are reported by the system event log. Table 32: RF Errors Error Type  Description AN-30e PLL Error The PLL (Phase Locked Loop) section within the terminal experienced an error. The System Fault LED may light. Try resetting the terminal. Communication Error Over IF Cable Communication between the terminal and the transceiver failed. Check the IF cable and connectors. Radio High Temp. Warning The transceivers internal temperature rose above 185F / 85C. The transceiver shuts down for thirty seconds to allow cooling time. Radio Power Supply Fault Displays a fault in the transceivers power supply. This error could be due to a problem with the internal power supply, or with the power source from the terminal. If the Low DC Voltage At Radio error is also indicated, (see below) check the IF cable and connectors. If the Low DC Voltage At Radio error is not indicated, the transceiver requires servicing. Low DC Voltage At Radio Input The DC voltage at the transceiver (carried by the IF cable from the terminal) is lower than the required 24 VDC. Check the IF cable and connectors. The minimum required voltage for operation is 12 VDC.  See Table 33: RF Status Error Codes for a list of the thirty-two possible error codes.
  AN-30e user manual  70-00035-01  Proprietary Redline Communications © 2004 November 2004   Page 72 of 104  Table 33: RF Status Error Codes Error Code  Terminal PLL Error Comm Error Over IF Cable Radio High Temp. Warning Radio Power Supply Fault Low DC Voltage At Radio Input 0  No Errors  No Errors  No Errors  No Errors  No Errors 1      X 2     X  3     X X 4    X   5    X  X 6    X X  7    X X X 8   X    9   X   X 10   X  X  11   X  X X 12   X X   13   X X  X 14   X X X  15   X X X X 16  X     17  X    X 18  X   X  19  X   X X 20  X  X   21  X  X  X 22  X  X X  23  X  X X X 24  X X    25  X X   X 26  X X  X  27  X X  X X 28  X X X   29  X X X  X 30  X X X X  31  X X X X X
  AN-30e user manual  70-00035-01  Proprietary Redline Communications © 2004 November 2004   Page 73 of 104  7.4  System Error Log Messages The following table provides a brief description of the key messages recorded in the logs by the system. Table 34: System Log Messages Log Message  Description 100-Parameters loaded successfully! All system parameters have been successfully downloaded. 101-Firmware configuration OK!  The onboard firmware configuration has been properly set up. 102-Ethernet port configured!  The Ethernet port has been properly configured and is operational. 103-Parameters saved successfully! The latest configuration parameters have been successfully saved into the system memory. 104-Upgrade OK!  The software upgrade process completed successfully. 105-Password changed successfully!  The system password was successfully changed. 106-Firmware programmed OK!  The firmware was successfully programmed. 107-Statistics initialized!  Reset of statistics was successful. 108-Version control loaded successfully! Software version control data was successfully loaded. 109-Options Key activated!  Product Options Key was accepted. 110-Options Key already used!  The Product Options Key was not accepted because it was already used once. Contact your local Redline representative. 111-SNMP configuration loaded successfully! The SNMP configuration was successfully loaded. 201-EEPROM corrupted. Def. param. loaded! The memory area containing the system configuration has been corrupted. Default parameters loaded.  202-Error while saving parameters! The latest configuration parameters have not been successfully saved. In this case, repeat the save configuration process to try to resolve the problem. 203-Another upgrade in progress!  The system is already in upgrade mode, in the event the operator inadvertently invoked multiple simultaneous upgrades. 204-Invalid upgrade parameters!  The parameter entered is in error. If this message appears, check for typing errors.  205-Upgrade failed!  The software upgrade process completed unsuccessfully. 206-Password changed unsuccessfully!  The new password entered into the system was not successful. In this case, repeat the process. 207-Timeout on reading data packet! The system has timeout looking for packets from the host computer or server. Check for obvious problems such as disconnected or faulty cable. 209-TFTP error received!  The Trivial File Transfer Protocol (TFTP) routine used to download the software to the terminal during the Upgrade process failed. The most likely cause is a disconnected or faulty cable. 210-Error: TFTP unknown message! The TFTP client received an unknown message. In this case, repeat the upgrade process.
  AN-30e user manual  70-00035-01  Proprietary Redline Communications © 2004 November 2004   Page 74 of 104 Table 34: System Log Messages Log Message  Description 211-Error: while writing flash!  While writing the new software into terminal flash memory, an unexpected error occurred. Try to repeat the process and if the error persists, contact your local representative. 212-Error firmware configuration!  An unexpected error occurred while writing the onboard firmware configuration. Try to repeat the process. 213-Firmware programming failed! The firmware programming failed. 214-Error while loading version control! Software version control data was not loaded successfully. 215-Log buffer full!  The log buffer overflowed. 216-Invalid Options Key!  User entered an invalid Product Options key. 217- PLL unlocked!  One or more RF synthesizers unlocked. The unit stopped RF transmissions and attempted to reprogram the synthesizers. If this message repeats or if the RF link is not back on, try to reset the terminal. If the problem persists, contact customer support.  218-Outdoor unit over temperature! The internal temperature of the transceiver is above 185F / 85C. The transceiver shuts down for thirty seconds to allow cooling. 219-Excessive DC loss on IF cable! The DC voltage at the transceiver (carried by the IF cable from the terminal) is lower than the required 24 VDC. Check the IF cable and connectors. 220-Outdoor unit power supply fault! Displays a fault in the transceivers power supply. This error could be due to a problem with the internal power supply, or with the power source from the terminal. If error 219 (Excessive DC loss on IF cable) is also indicated, check the IF cable and connectors. Otherwise, the transceiver requires servicing. 221-\public\ community cannot be deleted! The default Public SNMP community cannot be deleted. 222-Max. community number already defined! No more communities may be defined, as the maximum number has been reached 223-Community name already defined! The name for the SNMP community has already been used. Choose another name. 224-MIB initialization error!  MIB construction process generated an error. Try to reset the terminal. If the problem persists, contact customer support. 225-Error while loading SNMP configuration! EEPROM memory was corrupted and the SNMP configuration could not be loaded. Default SNMP configuration was loaded. 226-Error while saving SNMP configuration! SNMP configuration saving process was not successfully. Try again. If the problem persists, contact customer support.
  AN-30e user manual  70-00035-01  Proprietary Redline Communications © 2004 November 2004   Page 75 of 104  7.5  Replacing System Fuse IMPORTANT: Always completely remove power from the AN-30e system before performing any maintenance on the terminal or transceiver.  To replace fuse: 1.  Disconnect power from the terminal. 2.  Pry off the black plastic cover located on the back panel beside the power switch and extract the red fuse holder. 3.  Use an approved tool to remove the glass-cased fuses from the holder. Be certain to replace the fuse(s) into the lower half of the holder, as shown in the diagram below. The fuse holder holds two fuses, both of which are active. Be certain to use fuses of the same type and rating.   Note space   Figure 39: Fuse Holder 4.  Replace the fuse holder in the system terminal and secure. 5.  Restore power to the AN-30e system.
  AN-30e user manual  70-00035-01  Proprietary Redline Communications © 2004 November 2004   Page 76 of 104
  AN-30e user manual  70-00035-01  Proprietary Redline Communications © 2004 November 2004   Page 77 of 104             Chapter 8  88  AAppppeennddiixx  8.1 System Specifications Table 35: AN-30e Technical Specifications Wireless System System Capability:  LOS, Optical-LOS, and Non-LOS RF Band:  T-54 Radio: 5.470 GHz to 5.725 GHz   T-58 Radio: 5.725 GHz to 5.825 GHz   T-58e Radio: 5.725 GHz to 5.850 GHz Center Frequency Steps:  5 MHz1 Channel Size:  20 MHz RF Dynamic Range:  > 50 dB Data Rate:  Up to 44 Mbps average Ethernet rate (varies with TDM activity) Max TX Power:  -20 dBm to 20 dBm (region specific)2 Rx Sensitivity:  -86 dBm @ 6 Mbps (based on BER of 1x10e-9) IF Cable:  Multiplexed IF, DC, control (Tx/Rx, AGC, APC),   Up to 76 m (250 ft) using RG-6U cable3, Up to 228 m (750 ft) using high-grade cable3 Network Attributes:  802.1p network traffic prioritization, 802.3x Ethernet flow control, Automatic Link Distance Ranging, DHCP pass through, Transparent bridge, VLAN pass through Dynamic Channel Control:  Dynamic Frequency Selection (DFS), Automatic Transmit Power Control (ATPC) Modulation/Coding Rates:  Adaptive Modulation (bi-directional burst to burst) auto selects: 1/2 BPSK, 3/4 BPSK, 1/2 QPSK, 3/4 QPSK, 1/2 16 QAM,    3/4 16 QAM, 2/3 64 QAM and 3/4 64 QAM Over The Air Encryption:  64-bit private key encryption MAC:  Point-to-Point and Point-to-Multipoint deployment, TDMA, Concatenation, Automatic Repeat Request (ARQ) error correction, Dynamic adaptive modulation (BPSK to 64 QAM) Range:  Over 25 km (15 miles) line-of-sight @ 33 dBm EIRP (for Europe), Over 80 km (50 miles) line-of-sight @ 48 dBm EIRP Network Services:  Framed/unframed, full/fractional E1 transport,
  AN-30e user manual  70-00035-01  Proprietary Redline Communications © 2004 November 2004   Page 78 of 104 Table 35: AN-30e Technical Specifications Transparent to 802.3 services and applications Duplex Technique:  Dynamic TDD (time division duplex) Wireless Transmission:  OFDM (orthogonal frequency division multiplexing) Network Connections:  E1 transport: framed and unframed, full and fractional (RJ-48c), 10/100 Ethernet (RJ-45) System Configuration:  HTTP (Web) interface, SNMP, CLI via Telnet/console  Network Management:  SNMP: standard and proprietary MIBs, Full management by RedAccess NMS Power Requirements:  Single/dual auto-sensing 110/220/240 VAC 50/60 Hz, Single/dual 18 VDC to 72 VDC, 49 W maximum, Redundant Power:  Optional dual AC or dual DC power supply (dual cord) with automatic fail-over Compliance:  EN 60950, EN 301 893, EN 301 390, EN 301 489-1 & 17, FCC part 15 Operating Temperature:  IDU Operating Cond.: 5 C to 40 C, IDU Short-Term Cond.: -5 C to 55 C for up to 16 hoursODU Operating Cond.: -40 C to 60 C Dimensions:  IDU: 431.8 mm x 304.8 mm x 44.45 mm (17" x 12" x 1.75") Weight:  2.5 Kg (5.5 lb) TDM Specifications:  Clocking: Adaptive/loopback/internal Diagnostics:  Remote loop and local loop testing, detects and generates LOS, AIS and RAI Interface Ports:  One to eight TDM ports, supports Fractional nx64 Services Jitter Buffering:  5-300 milliseconds Round Trip Delay (RTD):  Less than ten milliseconds Line Length:  2000 m using 22 AWG twisted pair cable  E1 Interfaces:  Connector: RJ-48c Data Rate:  2.048 Mbps Framing:  Unframed, CRC4, FAS/MFAS Jitter: ITU-T G.823 Line Code:  HDB3, AMI Line Impedance:  Balanced 120 Ohm Line Protection:  ITU-T K-20, K-21 Standards:  ETS TBR 12/13, ITU-T Rec., G.703, G.704, G.706, G.732, G.821, G.826 T1 Interfaces Connector: Balanced RJ-48c Data Rate:  1.544 Mbps Framing:  Unframed, D4 (SF), ESF Jitter:  AT&T TR-62411, ITU-T G.824
  AN-30e user manual  70-00035-01  Proprietary Redline Communications © 2004 November 2004   Page 79 of 104 Table 35: AN-30e Technical Specifications Line Build-out:  0 dB, -7.5 dB, -15 dB, –22.5 dB  Line Code:  AMI, B8ZS Line Impedance:  Balanced 100 ohm Line Protection:  Bellcore GR 1089 Standards:  ANSI T1.403, ITU-T Rec. G.703, G.704, G.733, G.821, G.826  1Center frequency is dependent on region. 2In some countries outside of North America, the maximum operational power per channel with a given antenna is limited in accordance to maximum allowable EIRP levels for the region. 3With two lightning arrestors installed. Subject to change without notice.
  AN-30e user manual  70-00035-01  Proprietary Redline Communications © 2004 November 2004   Page 80 of 104  8.2  DC Power Supply Cable Connections This section provides important instructions for connecting to a DC power source. The optional DC power supply is rated for operation over a range from 18 VDC to 72 VDC. Power is connected to the terminal via a fused power entry module located on the rear of the terminal. All DC terminals are shipped with a power cord assembly, consisting of the power entry modules mating dual pin polarized female plug, pre-crimped with 18 AWG blue and black insulated wires. All power wiring must be at least 18 AWG. The DC power input is floating (+Ve and -Ve not connected to chassis), allowing positive (minus to ground), negative (positive to ground) and floating power connections as required. Refer to table below for connection details. If the terminal does not power-on, it is possible that the blue and black wires are connected incorrectly resulting in a reversal of polarity. In this event, the diode protection prevents permanent damage to the power supply. Reverse the power connections and verify that the terminal powers up properly.  Table 36: DC Power Supply Cable Connections Wire Color  Negative DC Power (-18 to -72 VDC) Positive DC Power (+18 to +72 VDC) Blue  Negative power  Power Return Black  Power Return  Positive Power Schematics  Note: DC units are not equipped with power switches and activate immediately when connected to a power source.
  AN-30e user manual  70-00035-01  Proprietary Redline Communications © 2004 November 2004   Page 81 of 104  8.3  Antenna and Power Specifications 8.3.1  T-58 Radio: Antenna Power Specifications The system is FCC certified for the antennas listed in the following table.  Table 37: T-58 Radio: Antenna Power Specifications Redline P/N Ant. Gain (dBi) Antenna Type  Appl. Minimum Conducted Power (dBm) Max Conducted Power Ratings (dBm) Average GUI Power Display (dBm) FCC Max EIRP (dBm) 48-00006 28  Directional Flat Panel  PTP -20  26  20  No Limit 48-00020 23  Directional Flat Panel  PTP -20  26  20  No Limit 48-00030 22  Directional Parabolic  PTP -20  26  20  No Limit 48-00031 28  Directional Parabolic  PTP -20  26  20  No Limit 48-00032 31.2  Directional Parabolic  PTP -20  26  20  No Limit 48-00033 34.6  Directional Parabolic  PTP -20  26  20  No Limit 48-00006 28  Directional Flat Panel  PMP -20  8  2  36 48-00014 15  Directional, Flat Panel  PMP -20  21  15  36 48-00017 14  Directional, Flat Panel  PMP -20  22  16  36 48-00020 23  Directional Flat Panel  PMP -20  13  7  36 48-00028 17  Directional, Flat Panel  PMP -20  19  13  36 48-00029 16  Directional, Flat Panel  PMP -20  20  14  36 48-00030 22  Directional Parabolic  PMP -20  14  8  36 48-00031 28  Directional Parabolic  PMP -20  8  2  36 48-00032 31.2  Directional Parabolic  PMP -20  4  -2  36 48-00033 34.6  Directional Parabolic  PMP -20  1  -5  36 Note: The RF output power and selection must be professionally programmed and installed by the manufacturer or a trained professional installer for compliance with FCC requirements of maximum EIRP of 36 dBm.
  AN-30e user manual  70-00035-01  Proprietary Redline Communications © 2004 November 2004   Page 82 of 104  8.3.2  T-58e Radio: Antenna Power Specifications The system is FCC certified for the antennas listed in the following table. Table 38: T-58e Radio: Antenna Power Specifications Redline P/N  Ant. Gain (dBi) Antenna Type  Appl. Minimum Conducted Power (dBm) Max Conducted Power Ratings (dBm) Average GUI Power Display (dBm) FCC Max EIRP (dBm) 48-00006 28 Directional Flat Panel PTP -12.7 26.2  20 No Limit 48-00020 23 Directional Flat Panel PTP -12.7 26.2  20 No Limit 48-00020-01  22  Directional Flat Panel PTP -12.7 26.2  20 No Limit 48-00030 22 Directional Parabolic  PTP -12.7 26.2  20 No Limit 48-00031 28 Directional Parabolic  PTP -12.7 26.2  20 No Limit 48-00032 31.2 Directional Parabolic  PTP -12.7 26.2  20 No Limit 48-00033 34.6 Directional Parabolic  PTP -12.7 26.2  20 No Limit 48-00006 28 Directional Flat Panel PMP -12.7  8  2  36 48-00014 15 Directional, Flat Panel PMP -12.7  21  15  36 48-00017 14 Directional, Flat Panel PMP -12.7  22  16  36 48-00020 23 Directional Flat Panel PMP -12.7  13  7  36 48-00020-01  22  Directional Flat Panel PMP -12.7  14  8  36 48-00028 17 Directional, Flat Panel PMP -12.7  19  13  36 48-00029 16 Directional, Flat Panel PMP -12.7  20  14  36 48-00030 22 Directional Parabolic  PMP -12.7  14  8  36 48-00031 28 Directional Parabolic  PMP -12.7  8  2  36 48-00032 31.2 Directional Parabolic  PMP -12.7  4  -2  36 48-00033 34.6 Directional Parabolic  PMP -12.7  1  -5  36 48-00047 15 Directional Flat Panel  PMP -12.7  21  15  36 48-00048 9  Omni- Directional PMP -12.7  27  20  36 Note: The RF output power and selection must be professionally programmed and installed by the manufacturer or a trained professional installer for compliance with FCC requirements of maximum EIRP of 36 dBm.
  AN-30e user manual  70-00035-01  Proprietary Redline Communications © 2004 November 2004   Page 83 of 104  8.3.3  T-54 Radio: Maximum RF Power vs. Antenna Gain The following table provides the adjustment available for maximum RF power settings based on the angle of deployment. Applies to sectorized antennas only. Table 39: 5.4 GHz Band RF Power vs. Antenna Gain Angle (Degrees) A6017 RWS (dBm) A9016 RWS (dBm) A6015 MTS (dBm) A9014 MTS (dBm) 0 -1 0  4  2 1 0 1 5 3 2 1      4 3    5 4    6 ...     12 2    13 3    14 4    15 5    ...     24 6    25   2     26   3     27   4 6   28   5 7   29   6 8   ...     32    7 37    8 39    9 ...     45   7
  AN-30e user manual  70-00035-01  Proprietary Redline Communications © 2004 November 2004   Page 84 of 104  8.3.4  T-54 Radio: Operational Power (FCC) The following table provides the maximum RF power settings based on the gain of the antenna. Table 40: 5.4 GHz -- Antenna Gain vs. Max. Op. Power Ant. Gain (dBi) Max. Power (dBm)  Ant. Gain (dBi) Max. Power (dBm) 6.0 15  21.0  -1 6.5 15  21.5  -1 7.0 14  22.0  -2 7.5 14  22.5  -2 8.0 13  23.0  -3 8.5 13  23.5  -3 9.0 12  24.0  -4 9.5 12  24.5  -4 10.0 11  25.0  -5 10.5 11  25.5  -5 11.0 10  26.0  -6 11.5 10  26.5  -6 12.0 9  27.0  -7 12.5 9  27.5  -7 13.0 8  28.0  -8 13.5 8  28.5  -8 14.0 7  29.0  -9 14.5 7  29.5  -9 15.0 5  30.0  -9 15.5 5  30.5  -10 16.0 4  31.0  -10 16.5 4  31.5  -11 17.0 3  32.0  -11 17.5 3  32.5  -12 18.0 2  33.0  -12 18.5 2  33.5  -13 19.0 1  34.0  -13 19.5 1  34.5  -14 20.0 0  35.0  -14 20.5 0
  AN-30e user manual  70-00035-01  Proprietary Redline Communications © 2004 November 2004   Page 85 of 104     8.4 CLI Interface 8.4.1  Console (RS-232) Port All operator communications with the terminal may be made using a direct connection to the serial Console Port on the back of the terminal. This section describes the procedures for configuring and operating the terminal via the Console Port using the command line interface (CLI). Connect a PC/Terminal to the terminal serial port DB9 connector using a cross-connect or null modem cable (DB9 female-female). Set the PC/Terminal to emulate a VT-52 or VT-100 terminal, using the following port settings: Bits Per Second: 9600; Data Bits: 8; Parity: None; Stop Bits: 1; Flow Control: Hardware The following table lists the terminal 9 PIN D-SUB male connector pinout. Table 41: Console (RS-232) Port Pinout  Pin  Name  RS232  V.24  Description 1 CD  CF  109  Carrier Detect 2 RXD  BB  104  Receive Data 3 TXD  BA  103  Transmit Data 4  DTR  CD  108.2  Data terminal Ready 5 GND  AB  102  System Ground 6  DSR  CC  107  Data Set Ready 7  RTS  CA  105  Request to Send 8  CTS  CB  106  Clear to Send 9 RI  CE 125  Ring Indicator V.24 column is ITU-TSS V.24 circuit name. RS232 column is RS232 circuit name.
  AN-30e user manual  70-00035-01  Proprietary Redline Communications © 2004 November 2004   Page 86 of 104  8.4.2 Connecting via Telnet All operator communications with the terminal may be made using CLI over Telnet. This offers the advantage of allowing the operator to access and control the terminal remotely from any geographical location, without the need for a web browser. This section describes the procedures for configuring and operating the terminal via Telnet using the command line interface (CLI). To connect to the terminal, Telnet to the IP address of the terminal (default address shown below).  Figure 40: Connecting via Telnet When the command prompt screen appears, login using the Username: admin and Password: admin. The terminal may now be configured and queried using a set of CLI commands. Type 'help' for a list of general commands. 8.4.3 CLI Commands The following commands are available via Telnet and Console connections to the terminal. For online help, type 'help <command>' at the command prompt.  Figure 41: CLI Help Screen
  AN-30e user manual  70-00035-01  Proprietary Redline Communications © 2004 November 2004   Page 87 of 104  General Commands   Table 42: CLI - General Commands Command  Description chgver  Swaps the operating and secondary software versions  get  Get <parameter name> displays the value for a status parameter. For configuration parameters, use Set command. login  Allows login under a different username and password logout  Disconnects user from the terminal.  passwd  Change password for user. passwd <username> <newpassword> reboot  Reboots the terminal. Reboot <time in seconds> resetstats Resets all statistics save config  Permanently saves system configuration settings. This command is required to activate all Configuration settings set previously save snmp  Permanently saves SNMP configuration settings. This command is required to activate all SNMP settings set previously. set  Set one configuration parameter: <parameter name> [<value>] Without <value>, ‘set’ returns the actual value for configuration parameters. For status parameters, use the Get command. show config  Returns a list of all System Configuration parameters. show log  Returns a list of current system log entries. show snmp  Returns a list of all SNMP communities and settings. show stats  Returns a list of all System Status parameters. snmpaccess  Modify access rights for a community (see snmpcomm) snmpaccess <community name> <access>  snmpcomm  To add a new SNMP community: snmpcomm add <community name> <access>  <access> can be: r,w,t or any combination To delete an SNMP community snmpcomm del <community name> snmptrap  To add a trap destination for an SNMP community:  snmptrap add <community name> <IP destination> To delete a trap destination for an SNMP community:  snmptrap del <community name> <IP destination> test config  Allows testing of configuration settings for 5 minutes, after which the system reverts to the previously saved settings. To make settings permanent use 'save' command. upgrade  Begin a software upload. upgrade <ipaddr> <filename>
  AN-30e user manual  70-00035-01  Proprietary Redline Communications © 2004 November 2004   Page 88 of 104  General Information   Table 43: CLI - General Information Commands Command  Description gateway  The IP address of the default router ipaddr  The IP address used by the local terminal ipmask  The IP Subnet Mask used by the local terminal macaddr  The Ethernet MAC address used by local terminal master  Displays whether the system is operating as the sector controller. Important: For each set of Systems, only one terminal must be designated Master. rflink  Yes: RF link up / No: RF link down starttime  The time elapsed since the system started swver  The operating software version sysdetails  The location, telephone #, contact information, etc. sysname  Identifies the local terminal ubrate  Displays the current uncoded burst rate System Status   Table 44: CLI - System Status Command  Description cableattn  The attenuation of the signal over the IF cable erxpkt  Total packets successfully received locally erxpktd  Total packet errors received locally etxpkt  Total Ethernet packets transmitted gateway  The IP address of the default router ipaddr  The IP address used by the local terminal ipmask  The IP Subnet Mask used by the local terminal ll  Actual length of the path that the wave travels. macaddr  The Ethernet MAC address used locally master  Displays if the system is serving as the sector controller. Important: For each set of Systems, only one terminal must be designated Master. resetstats Resets all statistics rffreq  The center frequency of the channel in use rflink  Yes: RF link up. No: RF link down rfstatus  An error code (0-31), indicating the RF status rssimax  The maximum received signal strength rssimean  The average received signal strength rssimin  The minimum received signal strength sinadr  The number of successful wireless packets received over
  AN-30e user manual  70-00035-01  Proprietary Redline Communications © 2004 November 2004   Page 89 of 104 Table 44: CLI - System Status Command  Description the air swver  The operating software version sysname  Identifies the local terminal txpower  The actual current transmit power level wrxpkt  The number of successful wireless packets received over the air wrxpktd  The number of wireless packets received with errors over the air wrxpktr  The number of wireless packets retransmitted over the air wtxpkt  The number of wireless packets successfully transmitted over the air wtxptd  The number of transmitted packets discarded wtxpktr  The number of wireless packets retransmitted over the air System Configuration  Table 45: CLI - System Configuration Command  Description adaptmod  Enables Adaptive Modulation mode.  buzzer  Specifies whether the antenna buzzer is enabled - defaults to voltage. chgver  Change the operating software version encrypt Specifies whether over-the-air data encryption is enabled encryptkey  Enter the subscriber terminal MAC address if encryption is enabled flowctrl  Specifies if flow control is enabled on the Ethernet port  gateway  The IP address of the default router http  Specifies whether configuration over HTTP is enabled ipaddr  The IP address used by the local terminal ipmask  The IP Subnet Mask used by the local terminal llmod  Specifies if the link length is calculated automatically or manually. Available options: off for auto and on for manual. llmu  The current measurements units used for the link length. Available options: off for miles and on for kilometers. ll  Actual length of the path that the wave travels. macaddr  The Ethernet MAC address used by the local terminal master  Displays whether the system is operating as the sector controller. Important: For each set of Systems, only one terminal must be designated Master. modreduct  Used when AdaptMod is disabled.  radio  Specifies whether radio transmission is enabled reboot  Reset all statistics and reboot the terminal rfchannel  Available channel options: 1, 1A, 2, 2A, 3, 3A, 4, 4A, 5.
  AN-30e user manual  70-00035-01  Proprietary Redline Communications © 2004 November 2004   Page 90 of 104 Table 45: CLI - System Configuration Command  Description save config  Permanently saves configuration settings snmp  Specifies whether configuration over SNMP is enabled sysdetails  The location, telephone #, contact information, etc. sysname  Identifies the local terminal telnet  Specifies whether configuration over telnet is enabled telnetport  The TCP port used for telnet test config  Allows testing of these settings for 5 minutes, after which the system reverts to the previously saved settings. Use 'Save' to make permanently save settings. txpower  The maximum power level of the system ubrate  Sets the desired burst rate for the link.
  AN-30e user manual  70-00035-01  Proprietary Redline Communications © 2004 November 2004   Page 91 of 104  TDM CLI Commands The command line interface can be used to configure the E1 capabilities via the AN-30e console port or through a telnet session. The CLI command set is divided into five categories: 1. General 2. Control 3. Serial Interface 4. Bundle 5. Statistics. Subsequent sections discuss each of these commands in specific detail. TDM Commands The AN-30e maintains three TDM configuration images, - Startup Configuration - Running Configuration - Temporary Configuration These three distinct configuration images allow the operator to edit (temporary) and test (running) configuration profiles in advance of cutover without losing the default (startup) configuration settings. Temporary ConfigurationRunning ConfigurationStartup Configurationtdm_start tdm_savetdm_copyTemporary ConfigurationRunning ConfigurationStartup Configurationtdm_start tdm_savetdm_copy Figure 42: TDM Configuration Files The control commands are used to manipulate the contents of each of the configuration images as well as to save and activate a specific configuration. There are four control commands: copy: Copy current running configuration into the Startup configuration. exit: Discard all changes made to the temporary configuration. save: Copy the temporary configuration image to the running configuration image. start: Synchronize the temporary configuration with the running configuration.
  AN-30e user manual  70-00035-01  Proprietary Redline Communications © 2004 November 2004   Page 92 of 104 TDM General Commands Form of command is: tdm set command [param1] [param2] [param3] Table 46: CLI - TDM General Commands CLI Command  Description clock CLK_IND  Clocking mode on E1 module. fanstate FAN  Status of fan. gateway IPGATEWAY  IP address of the default gateway. hostname HOST  Hostname of the E1 module.  ipaddr IP  The IP address of the E1 module. ipmask IP  Network mask. key  Option key (permitted line types, number of lines, user data) on the E1 module. keyidlecode IDLECODE Idle code for unused timeslots on all of the serial interface ports. line LINE_TYPE  Line type on the E1 module (if permitted by the option key). 0=T1, 1=E1 showactivebundles  Total active bundles and list the IDs of those bundles. showgen CONFIG  General configuration parameters from running or startup config. softver  Coded software version. syncon SYNC_ON  The serial interface port to be used as clocking reference. vlandata VID_DATA  The VLAN ID used to tag all ingress traffic at the data port of the AN-30e. vlanvoice VID_VOICE  The VLAN ID used to tag all traffic from the E1 ports of the AN-30e.  TDM Set and Get operations The get operation returns values from the running configuration. The set operation applies changes only to the temporary configuration. Use the 'tdm test' command to try the settings for five minutes or the 'tdm save' command to save the changes permanently. All commands are of the following format: tdm set operator SN <optional parameters> tdm get operator SN command Table 47: CLI - TDM Set and Get Commands CLI Command  Description get   Retrieve the parameter value from a running configuration. set   Modify the specified parameter value in the temporary configuration. show  List all parameter values of the command category.
  AN-30e user manual  70-00035-01  Proprietary Redline Communications © 2004 November 2004   Page 93 of 104  TDM Serial Interface Commands These serial commands are used to configure the E1 ports. Table 48: CLI - TDM Serial Interface Commands CLI Command  Description coding SN COD_IND  Line coding type for the current serial interface on E1 module. 0=B8ZS, 1=AMI, 2=HDB3 framing SN FRM_IND  Framing type of the current serial interface on E1 module. 0=ESF, 1=D4, 2=CRC4, 3=FAS, 4=Unframed set lbo SN LBO_IND  LBO parameter of the current serial interface on T1 module. 0=0 dB, 1= -7.5 dB, 2= -15 dB, 3= -20 dB showserial SN CFG  Serial interface parameters pointed by SN from running or startup config.  TDM DS0 Bundle Commands All commands are of the following format:: tdm set operator BN <optional parameters> tdm get operator BN command Table 49: CLI - TDM DS0 Bundle Commands CLI Command  Description delbundle  Delete all settings of specified bundle. destbundle DESTB  Identifies the destination bundle that maps to the specified bundle. destip BN DEST_IP  Identifies the destination IP address (AN-30e) for the specified bundle. jitterbuf BN JBLEN   This command specifies the jitter buffer length for the specified bundle. packetlen BN PLEN  Defines the packet length to be used by the specified bundle. show BN CFG  Retrieve bundle parameters for the specified BN. tsbegin BN TSB  First active timeslot of the specified bundle. tsnum BN TSB  Number active timeslots in the specified bundle.  TDM Statistics Commands Table 50: CLI - TDM General Statistics Commands CLI Command  Description resetstat STAT  This command resets the module specific statistics selected by STAT. showstat STAT  This command requests the module specific statistics selected by STAT.
  AN-30e user manual  70-00035-01  Proprietary Redline Communications © 2004 November 2004   Page 94 of 104  Statistics The following tables describe the statistics available from the AN-30e. Ethernet Statistics Table 51: CLI - TDM Ethernet Statistics Commands Statistic  Description ethpmac MAC Address ethpmode  Mode: 0-Half Duplex, 1-Full Duplex ethprate  Rate: 0-10 Mbps, 1-100 Mbps ethpstate  State: 0-not connected, 1-connected (link up) ethsaerr Align errors ethsbtok  Bytes transmitted ok ethscerr CRC errors ethsfrok  Frames transmitted ok ethslcol Late collisions ethsmcol Multiple collisions ethsmfrok  Frames received ok ethsscol Single collisions ethstdef Transmission deferred tdethsbrok  Bytes received ok  TDM Statistics Table 52: CLI - TDM Statistics Statistic  Description tdmsais SN  Alarm indication signal tdmscvc SN  Code violation counter tdmses SN  Errored seconds tdmsfec SN  Framing error counter tdmslfa  Loss of framing alignment tdmslomf  Loss of multi framing tdmslos  Loss of signal tdmsrai SN  Subscriber alarm indication
  AN-30e user manual  70-00035-01  Proprietary Redline Communications © 2004 November 2004   Page 95 of 104  TDM Save Command Error Codes The error code returned by an unsuccessful save command contains three fields: LEVEL + NUMBER + ERROR_ID Table 53: TDM Save Command Error Codes Level  Number  Error ID  Definition 0 GENERAL_SYNCON Too many bundles: if user defines more than the internal bundle limit for the current software release 1  GENERAL_TOO_MANY_BUNDLES Line type (T1 or E1) is disabled in option key 0  (General)       Always 0 2 GENERAL_LINE_TYPE Error at syncon parameter: if clocking is loopback and the serial interface selected for synchronization has no bundles defined, or if clocking is adaptive and there is no exactly one bundle defined 0 SERIAL_BUNDLES_OVERLAP Bundles defined on the serial line 'x' have timeslots overlapping, x=1…4 1 SERIAL_TOO_MANY_BUNDLES The serial line 'x' is unframed and the user defined more than one bundle, x=1…4 2 SERIAL_CODING Wrong line coding for the serial line 'x', x=1…4 1  (Serial)    x Number of misconfigured serial interface (1-4) 3 SERIAL_FRAMING Wrong line framing for the serial line 'x', x=1…4 0 BUNDLE_TS0 The bundle 'y' contains timeslot 0 and the corresponding serial line is framed, y=1…128 2  (Bundle) y Number of the misconfigured bundle (1-128) 1 BUNDLE_MASK Too many timeslots selected for bundle 'y', y=1…128
  AN-30e user manual  70-00035-01  Proprietary Redline Communications © 2004 November 2004   Page 96 of 104  8.4.4  Sample TDM CLI Setup Scripts Example CLI Script -- E1 The following table contains sample CLI command scripts for configuring AN-30e system with eight E1 interface ports. Table 54: E1 Framed Configuration Script Local (Network) End AN-30e System  Remote End AN-30e System tdm start   tdm set line 1 tdm set clock 1 tdm set syncon 1 tdm set idlecode 255 tdm set ipaddr 192.168.100.192 tdm set vlanvoice 3   tdm set coding 1 2 tdm set framing 1 4 tdm set loopback 1 0   tdm set coding 2 2 tdm set framing 2 4 tdm set loopback 2 0 tdm set coding 3 2 tdm set framing 3 4 tdm set loopback 3 0   tdm set coding 4 2 tdm set framing 4 4 tdm set loopback 4 0 tdm set coding 5 2 tdm set framing 5 4 tdm set loopback 5 0   tdm set coding 6 2 tdm set framing 6 4 tdm set loopback 6 0 tdm set coding 7 2 tdm set framing 7 4 tdm set loopback 7 0   tdm set coding 8 2 tdm set framing 8 4 tdm set loopback 8 0 tdm set destbundle 1 1 tdm set tsbegin 1 0 tdm set tsnum 1 32 tdm set destip 1 192.168.100.199 tdm set jitterbuf 1 20 tdm set packetlen 1 256   tdm set destbundle 33 33 tdm set tsbegin 33 0 tdm set tsnum 33 32 tdm set destip 33 192.168.100.199 tdm set jitterbuf 33 20 tdm set packetlen 33 256 tdm start   tdm set line 1 tdm set clock 2 tdm set syncon 1 tdm set idlecode 255 tdm set ipaddr 192.168.100.199 tdm set vlanvoice 3   tdm set coding 1 2 tdm set framing 1 4 tdm set loopback 1 0   tdm set coding 2 2 tdm set framing 2 4 tdm set loopback 2 0   tdm set coding 3 2 tdm set framing 3 4 tdm set loopback 3 0   tdm set coding 4 2 tdm set framing 4 4 tdm set loopback 4 0   tdm set coding 5 2 tdm set framing 5 4 tdm set loopback 5 0   tdm set coding 6 2 tdm set framing 6 4 tdm set loopback 6 0   tdm set coding 7 2 tdm set framing 7 4 tdm set loopback 7 0   tdm set coding 8 2 tdm set framing 8 4 tdm set loopback 8 0   tdm set destbundle 1 1 tdm set tsbegin 1 0 tdm set tsnum 1 32 tdm set destip 1 192.168.100.192 tdm set jitterbuf 1 20 tdm set packetlen 1 256   tdm set destbundle 33 33 tdm set tsbegin 33 0
  AN-30e user manual  70-00035-01  Proprietary Redline Communications © 2004 November 2004   Page 97 of 104 tdm set destbundle 65 65 tdm set tsbegin 65 0 tdm set tsnum 65 32 tdm set destip 65 192.168.100.199 tdm set jitterbuf 65 20 tdm set packetlen 65 256   tdm set destbundle 97 97 tdm set tsbegin 97 0 tdm set tsnum 97 32 tdm set destip 97 192.168.100.199 tdm set jitterbuf 97 20 tdm set packetlen 97 256 tdm set destbundle 129 129 tdm set tsbegin 129 0 tdm set tsnum 129 32 tdm set destip 129 192.168.100.199 tdm set jitterbuf 129 20 tdm set packetlen 129 256   tdm set destbundle 161 161 tdm set tsbegin 161 0 tdm set tsnum 161 32 tdm set destip 161 192.168.100.199 tdm set jitterbuf 161 20 tdm set packetlen 161 256 tdm set destbundle 193 193 tdm set tsbegin 193 0 tdm set tsnum 193 32 tdm set destip 193 192.168.100.199 tdm set jitterbuf 193 20 tdm set packetlen 193 256   tdm set destbundle 225 225 tdm set tsbegin 225 0 tdm set tsnum 225 32 tdm set destip 225 192.168.100.199 tdm set jitterbuf 225 20 tdm set packetlen 225 256 tdm save   tdm copy tdm set tsnum 33 32 tdm set destip 33 192.168.100.192 tdm set jitterbuf 33 20 tdm set packetlen 33 256   tdm set destbundle 65 65 tdm set tsbegin 65 0 tdm set tsnum 65 32 tdm set destip 65 192.168.100.192 tdm set jitterbuf 65 20 tdm set packetlen 65 256   tdm set destbundle 97 97 tdm set tsbegin 97 0 tdm set tsnum 97 32 tdm set destip 97 192.168.100.192 tdm set jitterbuf 97 20 tdm set packetlen 97 256   tdm set destbundle 129 129 tdm set tsbegin 129 0 tdm set tsnum 129 32 tdm set destip 129 192.168.100.192 tdm set jitterbuf 129 20 tdm set packetlen 129 256   tdm set destbundle 161 161 tdm set tsbegin 161 0 tdm set tsnum 161 32 tdm set destip 161 192.168.100.192 tdm set jitterbuf 161 20 tdm set packetlen 161 256   tdm set destbundle 193 193 tdm set tsbegin 193 0 tdm set tsnum 193 32 tdm set destip 193 192.168.100.192 tdm set jitterbuf 193 20 tdm set packetlen 193 256   tdm set destbundle 225 225 tdm set tsbegin 225 0 tdm set tsnum 225 32 tdm set destip 225 192.168.100.192 tdm set jitterbuf 225 20 tdm set packetlen 225 256   tdm save   tdm copy    Where, LINE:1=E1 FRAMING:1=D4; 2=CRC4; 3=FAS; 4=Unframed CODING: 1=AMI; 2=HDB3 LOOPBACK: 0=loopback disable; 1=local; 2=remote; 3=payload
  AN-30e user manual  70-00035-01  Proprietary Redline Communications © 2004 November 2004   Page 98 of 104  Example CLI Script -- T1 The following table contains sample CLI command scripts for configuring an AN-30e system with eight T1 interface ports. Table 55: T1 Framed Configuration Script Local (Network) End AN-30e System  Remote End AN-30e System tdm start   tdm set line 0 tdm set clock 1 tdm set syncon 1 tdm set idlecode 255 tdm set ipaddr 192.168.100.192 tdm set vlanvoice 3   tdm set coding 1 0 tdm set framing 1 4 tdm set lbo 1 0 tdm set loopback 1 0   tdm set coding 2 0 tdm set framing 2 4 tdm set lbo 2 0 tdm set loopback 2 0 tdm set coding 3 0 tdm set framing 3 4 tdm set lbo 3 0 tdm set loopback 3 0   tdm set coding 4 0 tdm set framing 4 4 tdm set lbo 4 0 tdm set loopback 4 0 tdm set coding 5 0 tdm set framing 5 4 tdm set lbo 5 0 tdm set loopback 5 0   tdm set coding 6 0 tdm set framing 6 4 tdm set lbo 6 0 tdm set loopback 6 0 tdm set coding 7 0 tdm set framing 7 4 tdm set lbo 7 0 tdm set loopback 7 0   tdm set coding 8 0 tdm set framing 8 4 tdm set lbo 8 0 tdm set loopback 8 0 tdm set destbundle 1 1 tdm set tsbegin 1 0 tdm set tsnum 1 25 tdm set destip 1 192.168.100.199 tdm set jitterbuf 1 20 tdm set packetlen 1 200   tdm set destbundle 33 33 tdm set tsbegin 33 0 tdm set tsnum 33 25 tdm set destip 33 192.168.100.199 tdm set jitterbuf 33 20 tdm set packetlen 33 200 tdm set destbundle 65 65 tdm set tsbegin 65 0 tdm start   tdm set line 0 tdm set clock 2 tdm set syncon 1 tdm set idlecode 255 tdm set ipaddr 192.168.100.199 tdm set vlanvoice 3   tdm set coding 1 0 tdm set framing 1 4 tdm set lbo 1 0 tdm set loopback 1 0   tdm set coding 2 0 tdm set framing 2 4 tdm set lbo 2 0 tdm set loopback 2 0   tdm set coding 3 0 tdm set framing 3 4 tdm set lbo 3 0 tdm set loopback 3 0   tdm set coding 4 0 tdm set framing 4 4 tdm set lbo 4 0 tdm set loopback 4 0   tdm set coding 5 0 tdm set framing 5 4 tdm set lbo 5 0 tdm set loopback 5 0   tdm set coding 6 0 tdm set framing 6 4 tdm set lbo 6 0 tdm set loopback 6 0   tdm set coding 7 0 tdm set framing 7 4 tdm set lbo 7 0 tdm set loopback 7 0   tdm set coding 8 0 tdm set framing 8 4 tdm set lbo 8 0 tdm set loopback 8 0   tdm set destbundle 1 1 tdm set tsbegin 1 0 tdm set tsnum 1 25 tdm set destip 1 192.168.100.192 tdm set jitterbuf 1 20 tdm set packetlen 1 200   tdm set destbundle 33 33 tdm set tsbegin 33 0 tdm set tsnum 33 25 tdm set destip 33 192.168.100.192
  AN-30e user manual  70-00035-01  Proprietary Redline Communications © 2004 November 2004   Page 99 of 104 Table 55: T1 Framed Configuration Script Local (Network) End AN-30e System  Remote End AN-30e System tdm set tsnum 65 25 tdm set destip 65 192.168.100.199 tdm set jitterbuf 65 20 tdm set packetlen 65 200   tdm set destbundle 97 97 tdm set tsbegin 97 0 tdm set tsnum 97 25 tdm set destip 97 192.168.100.199 tdm set jitterbuf 97 20 tdm set packetlen 97 200 tdm set destbundle 129 129 tdm set tsbegin 129 0 tdm set tsnum 129 25 tdm set destip 129 192.168.100.199 tdm set jitterbuf 129 20 tdm set packetlen 129 200   tdm set destbundle 161 161 tdm set tsbegin 161 0 tdm set tsnum 161 25 tdm set destip 161 192.168.100.199 tdm set jitterbuf 161 20 tdm set packetlen 161 200 tdm set destbundle 193 193 tdm set tsbegin 193 0 tdm set tsnum 193 25 tdm set destip 193 192.168.100.199 tdm set jitterbuf 193 20 tdm set packetlen 193 200   tdm set destbundle 225 225 tdm set tsbegin 225 0 tdm set tsnum 225 25 tdm set destip 225 192.168.100.199 tdm set jitterbuf 225 20 tdm set packetlen 225 200 tdm save   tdm copy tdm set jitterbuf 33 20 tdm set packetlen 33 200   tdm set destbundle 65 65 tdm set tsbegin 65 0 tdm set tsnum 65 25 tdm set destip 65 192.168.100.192 tdm set jitterbuf 65 20 tdm set packetlen 65 200   tdm set destbundle 97 97 tdm set tsbegin 97 0 tdm set tsnum 97 25 tdm set destip 97 192.168.100.192 tdm set jitterbuf 97 20 tdm set packetlen 97 200   tdm set destbundle 129 129 tdm set tsbegin 129 0 tdm set tsnum 129 25 tdm set destip 129 192.168.100.192 tdm set jitterbuf 129 20 tdm set packetlen 129 200   tdm set destbundle 161 161 tdm set tsbegin 161 0 tdm set tsnum 161 25 tdm set destip 161 192.168.100.192 tdm set jitterbuf 161 20 tdm set packetlen 161 200   tdm set destbundle 193 193 tdm set tsbegin 193 0 tdm set tsnum 193 25 tdm set destip 193 192.168.100.192 tdm set jitterbuf 193 20 tdm set packetlen 193 200   tdm set destbundle 225 225 tdm set tsbegin 225 0 tdm set tsnum 225 25 tdm set destip 225 192.168.100.192 tdm set jitterbuf 225 20 tdm set packetlen 225 200   tdm save   tdm copy   Where, LINE:1=E1 FRAMING:1=D4; 2=CRC4; 3=FAS; 4=Unframed CODING: 1=AMI; 2=HDB3 LOOPBACK: 0=loopback disable; 1=local; 2=remote; 3=payload
  AN-30e user manual  70-00035-01  Proprietary Redline Communications © 2004 November 2004   Page 100 of 104  8.5 About SNMP SNMP (Simple Network Management Protocol) is a distributed network management system designed to monitor network infrastructure and application availability. SNMP has become the de facto standard for internetwork management. Network management systems consist of two primary elements: managers and agents. The manager is the console through which the network administrator performs network management functions. Agents are the entities that interface to the actual devices being managed. The AN-30e terminal is a managed device. Managed devices contain managed objects that may be hardware, configuration parameters, performance statistics, etc. that directly relate to the operation of the device in question, and are contained in a virtual information database known as a Management Information Base (MIB). SNMP allows managers and agents to communicate for accessing these objects. Management information bases (MIBs) are a collection of definitions that define the properties of the managed object within the device to be managed. Every managed device keeps a database of values for each of the definitions written in the MIB. The MIB is not the actual database itself - it is implementation dependant. The latest Internet MIB is given in RFC 1213, also referred to as MIB-II. The AN-30e operates with any third party network management system supporting SNMP v1 and MIB II. Most of the statistics and configuration parameters available through the web interface are supported via SNMP. The latest MIB file may be obtained by contacting your Redline certified partner or system integrator.
  AN-30e user manual  70-00035-01  Proprietary Redline Communications © 2004 November 2004   Page 101 of 104  8.6  Glossary Of Terms Table 56: Glossary of Terms Term  Definition Antenna Gain  The measure of antenna performance relative to a theoretical antenna called an isotropic antenna. ARQ  Automatic Repeat Request. This is the protocol used over the air for error correction. ATPC  Automatic Transmission Power Control. The link master-end system automatically adjusts the Tx level of subscriber to match a target RSSI value. Beamwidth   The angle of signal coverage provided by an antenna. BFW  Broadband Fixed Wireless Bps  Bits Per Second A unit of measurement for the rate at which data is transmitted.  BPSK  Binary Phase Shift Keying.  Channel  A communications path wide enough to permit a single RF transmission. dB  A ratio expressed in decibels.  dBi   A ratio, measured in decibels, of the effective gain of an antenna compared to an isotropic antenna. dBm  Decibels above a milliwatt DFS  DFS can detect interference from other devices using the same frequency and automatically take a pre-selected action such as disable transmission or relocate transmission to alternative frequency. DHCP  Dynamic Host Configuration Protocol. A DHCP server automatically issues IP addresses within a specified range to devices on a network. Directional Antenna  An antenna that concentrates transmission power into one direction. Encryption  For the purposes of privacy, the transformation of data into an unreadable format until reformatted with a decryption key.  Ethernet  A LAN architecture using a bus or star topology  FD  Full Duplex. Refers to the transmission of data in two directions simultaneously (i.e. a telephone) FWA  Fixed Wireless Access Gain  The ratio of the output amplitude of a signal to the input amplitude of a signal. Typically expressed in decibels (dB). Gateway  A network point that acts as an entrance to another network.  GHz  Gigahertz. 1,000,000,000 Hz, or 1,000 MHz GUI  Graphical User Interface IF Intermediate Frequency. IP  Internet Protocol. See TCP/IP.  Isotropic   A theoretic construct of an antenna that radiates its signal 360 degrees both vertically and horizontally—a perfect sphere. Generally used as a reference.
  AN-30e user manual  70-00035-01  Proprietary Redline Communications © 2004 November 2004   Page 102 of 104 Table 56: Glossary of Terms Term  Definition IXC  Inter-exchange Carrier. A long-distance phone company. LEC   Local Exchange Carriers. The traditional local wired phone company.  LED  Light Emitting Diode LOS   Line Of Sight. A clear direct path between two antennas, with no obstructions within the first Fresnel zone. MAC   Media Access Control. A unique number assigned to a network device. Corresponds to ISO Network Model Layer 2 data link layer.  MHz  Megahertz. 1,000,000 Hz Modem   MOdulator/DEModulator. A hardware device that converts digital data into analog and vice versa.  Modulation   Any of several techniques for combining user information with a transmitter carrier signal. Multipath   The radio echoes created as a radio signal bounces off objects. NVRAM  Non-volatile RAM. System parameters are stored in NVRAM. This data is not affected by powering off the system. NLOS  Non Line Of Sight. Completely obstructed path between two antennas. OFDM  Orthogonal Frequency Division Multiplexing. OFDM spreads data to be transmitted over a large number of orthogonal carriers.  OLOS  Optical Line Of Sight. A clear direct path between two antennas, with obstructions within the first Fresnel zone. Packet  A bundle of data organized in a specific way for transmission. The three principal elements of a packet include the header, the text, and the trailer (error detection and correction bits).  PHY   Physical Layer. Provides for the transmission of data through a communications channel by defining the electrical, mechanical, and procedural specifications.  PMP  Point to Multipoint PTP  Point to Point QAM  Quadrature Amplitude Modulation QPSK  Quadrature Phase Shift Keying Receiver Sensitivity  A measurement of the weakest signal a receiver can receive and still correctly translate it into data. RF Radio Frequency Rx Receiver S/N  Signal to Noise Ratio SINADR  Signal to noise and distortion ratio. TCP/IP   Transmission Control Protocol/Internet Protocol The standard set of protocols used by the Internet for transferring information between computers, handsets, and other devices.  TFTP  Trivial File Transfer Protocol Tx Transmitter
  AN-30e user manual  70-00035-01  Proprietary Redline Communications © 2004 November 2004   Page 103 of 104
  AN-30e user manual  70-00035-01  Proprietary Redline Communications © 2004 November 2004   Page 104 of 104    302 Town Centre • Suite 100 • Markham, Ontario • Canada • L3R 0E8 www.redlinecommunications.com

Navigation menu