Aviat Networks AN80IC OFDM Broadband Wireless Transceiver User Manual 70 00072 01 05 DRAFT

Redline Communications Inc. OFDM Broadband Wireless Transceiver 70 00072 01 05 DRAFT

user manual

 70-00072-01-05-DRAFT  Proprietary Redline Communications © 2008  Page 1 of 94  January 22, 2008    RedCONNEXTM       AN-80i PTP & PMP System  User Manual
 RedCONNEX™    User  AN-80i Manual  70-00072-01-05-DRAFT  Proprietary Redline Communications © 2008  Page 2 of 94  January 22, 2008   Copyright Information All rights reserved January 22, 2008. The information in this document is proprietary to Redline Communications Inc. This document may not in whole or in part be copied, reproduced, or reduced to any medium without prior consent, in writing, from Redline Communications Incorporated.  Contact Information:   Redline Communications Inc.   302 Town Centre Blvd. Suite 100  Markham, ON   Canada L3R 0E8 Web site:   http://www.redlinecommunications.com  Sales Inquiries:  North American   nainfo@redlinecommunications.com  Toll-free sales   1-866-633-6669  International   intlinfo@redlinecommunications.com Support: www.redlinecommunications.com/support/support_portal.html Document Control: 70-00072-01-05-AN-80i_User_Manual-20080122a.doc  Disclaimer The statements, configurations, technical data, and recommendations in this document are believed to be accurate and reliable, but are presented without express or implied warranty. Additionally, Redline makes no representations or warranties, either expressed or implied, regarding the contents of this product. Redline Communications shall not be liable for any misuse regarding this product. The information in this document is subject to change without notice.
 RedCONNEX™    User  AN-80i Manual  70-00072-01-05-DRAFT  Proprietary Redline Communications © 2008  Page 3 of 94  January 22, 2008  TABLE OF CONTENTS 1 Important Safety & Service Notices....................................................... 8 1.1 Safety Warnings ........................................................................................ 8 1.2 Important Warning Symbols ...................................................................... 9 1.3 Important Service Information ................................................................... 9 1.4 Lightning Protection................................................................................... 9 1.5 FCC & IC Notice...................................................................................... 10 1.6 UL Information......................................................................................... 11 1.7 Product Information ................................................................................. 11 2 System Overview................................................................................... 12 2.1 Ethernet Port ........................................................................................... 13 2.2 RF Port .................................................................................................... 13 2.3 Mounting Brackets................................................................................... 13 2.4 Grounding Connection ............................................................................ 13 2.5 Indoor Power Block (PoE Power Adapter) .............................................. 14 2.6 Antenna Alignment .................................................................................. 15 2.6.1 Web Page Alignment........................................................................... 15 2.6.2 Audible Alignment................................................................................ 15 3 Web Interface - PTP............................................................................... 16 3.1 System Login........................................................................................... 16 3.2 System Menu .......................................................................................... 17 3.3 System Information ................................................................................. 18 General................................................................................................ 18 Ethernet............................................................................................... 19 Wireless............................................................................................... 19 3.4 System Status ......................................................................................... 20 General information............................................................................. 20 Ethernet LAN Statistics ....................................................................... 21 Wireless Statistics ............................................................................... 21 Controls ............................................................................................... 21 3.5 System Logs Screen ............................................................................... 22 3.6 System Configuration Screen.................................................................. 25 Ethernet Configuration ........................................................................ 25 Wireless Configuration ........................................................................ 28 Controls ............................................................................................... 33 3.7 Users Management ................................................................................. 34 3.8 AN-80i Product Options Screen .............................................................. 36 3.9 Upload Software...................................................................................... 37 3.10 SNMP Settings Screen............................................................................ 38 3.10.1 Change SNMP Community ................................................................. 39 3.10.2 Change SNMP Trap Configuration...................................................... 40 3.11 Spectrum Sweep ..................................................................................... 41 4 PMP Operation....................................................................................... 43 4.1 Introduction.............................................................................................. 43 4.2 PMP Menu............................................................................................... 43
 RedCONNEX™    User  AN-80i Manual  70-00072-01-05-DRAFT  Proprietary Redline Communications © 2008  Page 4 of 94  January 22, 2008 4.3 Functional Description............................................................................. 44 4.3.1 Overview.............................................................................................. 44 4.3.2 Minimum Setup Requirements ............................................................ 45 4.3.3 Packet Classification ........................................................................... 45 4.4 PMP Screens .......................................................................................... 46 4.4.1 Configuration Screen........................................................................... 46 4.4.2 Link Screen.......................................................................................... 47 4.4.3 Group Screen ...................................................................................... 48 Group .................................................................................................. 48 Wireless Traffic Parameters ................................................................ 49 4.4.4 Connection Screen .............................................................................. 50 Connection Configuration.................................................................... 50 Wireless Traffic Parameters ................................................................ 51 4.5 Browse Screens ...................................................................................... 52 4.5.1 Links Screen........................................................................................ 52 4.5.2 Groups Screen .................................................................................... 53 4.5.3 Connections Screen ............................................................................ 54 4.6 Statistics Screens.................................................................................... 55 4.6.1 Link Statistics....................................................................................... 55 4.6.2 Group Statistics.................................................................................. 56 4.6.3 Connection Statistics ........................................................................... 57 4.6.4 System Status - PMP Wireless Statistics ............................................ 58 4.7 Quick Configuration Guide ...................................................................... 58 4.7.1 Configure Pass-Through Operation..................................................... 59 Step 1: Create New Link for Each Subscriber..................................... 59 Step 2: Create Single Pass-through Group......................................... 60 Step 3: Create Connections ................................................................ 60 Step 4: Save Configuration ................................................................. 60 4.7.2 VLAN Configuration............................................................................. 61 Step 1: Change Group to VLAN Tagged............................................. 61 Step 2: Change Connections to VLAN Tagged................................... 61 Step 3: Save Configuration ................................................................. 61 5 CLI Interface........................................................................................... 62 5.1 CLI Command Summary......................................................................... 62 5.2 Connecting with Telnet............................................................................ 63 5.3 CLI Command Set................................................................................... 63 5.3.1 Chgver ................................................................................................. 63 5.3.2 Clear .................................................................................................... 64 5.3.3 Del ....................................................................................................... 64 5.3.4 Enable ................................................................................................. 64 5.3.5 Freq ..................................................................................................... 64 5.3.6 Get....................................................................................................... 65 5.3.7 Load..................................................................................................... 66 5.3.8 New ..................................................................................................... 67 5.3.9 Ping ..................................................................................................... 67 5.3.10 Reset ................................................................................................... 67 5.3.11 Save .................................................................................................... 67
 RedCONNEX™    User  AN-80i Manual  70-00072-01-05-DRAFT  Proprietary Redline Communications © 2008  Page 5 of 94  January 22, 2008 5.3.12 Script ................................................................................................... 67 5.3.13 Set ....................................................................................................... 68 5.3.14 Show.................................................................................................... 74 5.3.15 Snmpcommunity.................................................................................. 76 5.3.16 Snmptrap ............................................................................................. 77 5.3.17 Test...................................................................................................... 77 5.3.18 Upgrade............................................................................................... 77 5.3.19 User ..................................................................................................... 78 6 Diagnostics and Troubleshooting ....................................................... 79 6.1 Factory Default Settings .......................................................................... 79 6.2 Procedure to Restore Factory Settings ................................................... 80 6.3 Testing and Saving System Parameters ................................................. 81 6.3.1 CLI Interface ........................................................................................ 81 6.3.2 Web Interface ...................................................................................... 81 6.4 Status Codes........................................................................................... 83 6.4.1 PTP Status Codes ............................................................................... 83 6.4.2 PMP Status Codes .............................................................................. 84 7 Appendices............................................................................................ 85 7.1 AN-80i Technical Specifications.............................................................. 85 7.2 AN-80i PoE Power Adapter Specifications.............................................. 86 7.3 ETSI Certified Antennas.......................................................................... 87 7.3.1 5.4 GHz Radio: ETSI Certified Antennas ............................................ 87 7.3.2 5.8 GHz Radio: ETSI Certified Antennas ............................................ 87 7.4 FCC & IC Certified Antennas .................................................................. 88 7.4.1 5.4 GHz Radio: FCC & IC Certified Antennas ..................................... 88 7.4.2 5.8 GHz Radio: FCC & IC Certified Antennas ..................................... 88 7.4.3 4.9 GHz Radio: FCC & IC 'PENDING" PTP Antennas ........................ 89 7.5 Regional Codes....................................................................................... 90 7.6 Glossary Of Terms .................................................................................. 92   LIST OF TABLES Table 1: FCC & IC RF Recommended Safe Separation Distances .................... 10 Table 2: Web - System Log Messages ............................................................... 22 Table 3: Configuration - 802.1p Priority Settings ................................................ 26 Table 4: Web - Max. Power (in dBm) and Modulation Settings........................... 30 Table 5: Web - Ethernet Status Indication .......................................................... 32 Table 6: Web - Screens and User Access .......................................................... 35 Table 7: Web - Default System Users................................................................. 35 Table 8: Web - Performing a Spectrum Sweep................................................... 42 Table 9: PMP - Basic Pass-Through Group Settings.......................................... 45 Table 10: PMP - Packet Classification ................................................................ 45 Table 11: PMP Maximum Achievable UBR......................................................... 47 Table 12: PMP - Basic Pass-Through Group Configuration Settings.................. 60 Table 13: CLI - Command Summary .................................................................. 62 Table 14: CLI - Root Mode Commands .............................................................. 63
 RedCONNEX™    User  AN-80i Manual  70-00072-01-05-DRAFT  Proprietary Redline Communications © 2008  Page 6 of 94  January 22, 2008 Table 15: CLI - chgver......................................................................................... 63 Table 16: CLI - clear............................................................................................ 64 Table 17: CLI - del............................................................................................... 64 Table 18: CLI - enable......................................................................................... 64 Table 19: CLI - enable......................................................................................... 64 Table 20: CLI - get .............................................................................................. 65 Table 21: CLI - load............................................................................................. 66 Table 22: CLI - new............................................................................................. 67 Table 23: CLI - new............................................................................................. 67 Table 24: CLI - reset ........................................................................................... 67 Table 25: CLI - save............................................................................................ 67 Table 26: CLI - script........................................................................................... 67 Table 27: CLI - set............................................................................................... 68 Table 28: CLI - show ........................................................................................... 74 Table 29: CLI - snmpcommunity ......................................................................... 76 Table 30: CLI - snmptrap .................................................................................... 77 Table 31: CLI - test.............................................................................................. 77 Table 32: CLI - upgrade ...................................................................................... 77 Table 33: CLI - user ............................................................................................ 78 Table 34: Diag. - Factory Default Settings .......................................................... 79 Table 35: Diag. - Web Interface Diagnostics....................................................... 82 Table 36: Diag. - PTP Status Codes ................................................................... 83 Table 37: Diag. - PMP Status Code Bits ............................................................. 84 Table 38: Diag. - PMP Status Codes .................................................................. 84 Table 39: Spec. - AN-80i Technical Specifications ............................................. 85 Table 40: Spec. - AN-80i PoE Power Adaptor Specifications ............................. 86 Table 41: Spec. - ETSI Certified Antennas: 5.8 GHz Operation ......................... 87 Table 42: Spec. - ETSI Certified Antennas: 5.8 GHz Operation ......................... 87 Table 43: Spec. - FCC & IC Certified Antennas: 5.4 GHz Operation.................. 88 Table 44: Spec. - FCC & IC Certified Antennas: 5.8 GHz Operation.................. 88 Table 45: Spec. - FCC & IC Certified Antennas: 5.8 GHz PMP Operation ......... 89 Table 46: Spec. - FCC & IC 'PENDING' Antennas: 4.9 GHz PTP Operation...... 89 Table 47: Spec. - Regional Identification Codes ................................................. 90 Table 48: Spec. - Glossary.................................................................................. 92
 RedCONNEX™    User  AN-80i Manual  70-00072-01-05-DRAFT  Proprietary Redline Communications © 2008  Page 7 of 94  January 22, 2008   LIST OF FIGURES Figure 1: Intro - AN-80i Components .................................................................. 12 Figure 2: Intro - AN-80i with Integrated Antenna................................................. 13 Figure 3: Intro - Indoor Power-over-Ethernet (PoE) Module ............................... 14 Figure 4: Web - Login Screen ............................................................................. 16 Figure 5: Web - System Menu ............................................................................ 17 Figure 6: Web - General Information Screen ...................................................... 18 Figure 7: Web - System Status Screen............................................................... 20 Figure 8: Web - System Log Messages .............................................................. 22 Figure 9: Web - System and Network Configuration Screen............................... 25 Figure 10: Web - Wireless Configuration Screen................................................ 28 Figure 11: Web - Wireless Configuration Screen................................................ 29 Figure 12: Web - System Password Screen ....................................................... 34 Figure 13: Web - Product Options Screen .......................................................... 36 Figure 14: Web - Upload Software Screen ......................................................... 37 Figure 15: Web - SNMP Configuration Screen ................................................... 38 Figure 16: Web - SNMP Community Configuration Screen ................................ 39 Figure 17: Web - SNMP Trap Configuration Screen........................................... 40 Figure 18: Web - Spectrum Sweep Screen......................................................... 41 Figure 19: Web - Spectrum Sweep Results ........................................................ 42 Figure 20: PMP - Main Menu .............................................................................. 43 Figure 21: PMP - Basic Pass-through Group Configuration................................ 44 Figure 22: PMP - VLAN Tagged Traffic Example ............................................... 44 Figure 23: PMP - Wireless Settings .................................................................... 46 Figure 24: PMP - Link Configuration Screen....................................................... 47 Figure 25: PMP - Group Configuration Screen ................................................... 48 Figure 26: PMP - Connection Configuration Screen ........................................... 50 Figure 27: PMP - Links Browse Screen .............................................................. 52 Figure 28: PMP - Groups Browse Screen........................................................... 53 Figure 29: PMP - Connections Browse Screen................................................... 54 Figure 30: PMP - Link Statistics Screen.............................................................. 55 Figure 31: PMP - Group Statistics Screen .......................................................... 56 Figure 32: PMP - Connection Statistics Screen .................................................. 57 Figure 33: PMP - System Status Screen ............................................................ 58 Figure 34: PMP - Pass-through Only Deployment .............................................. 59 Figure 35: CLI - Connecting via Telnet ............................................................... 63 Figure 36: CLI - Recovering Lost IP Address...................................................... 80 Figure 37: Diag: - Saving Parameters in NVRAM ............................................... 81
 RedCONNEX™    User  AN-80i Manual  70-00072-01-05-DRAFT  Proprietary Redline Communications © 2008  Page 8 of 94  January 22, 2008            Chapter 1 11  IImmppoorrttaanntt  SSaaffeettyy  &&  SSeerrvviiccee  NNoottiicceess  1.1 Safety Warnings 1.  PoE power adapter caution:  Warning to Service Personnel: 48 VDC Customer equipment including personal computers, routers, etc., must be connected only to the INPUT (DATA) port on the PoE unit.  Only the outdoors Ethernet interface cable connecting to the AN-80i can be safely connected to the OUTPUT (DATA & POWER) connector. Connecting customer premises Ethernet equipment directly to the OUTPUT (DATA & POWER) connector on the Power-over-Ethernet power adapter may damage customer equipment.  2.  Installation of the system must be contracted to a professional installer. 3.  Read this user manual and follow all operating and safety instructions. 4.  Keep all product information for future reference. 5.  The power requirements are indicated on the product-marking label. Do not exceed the described limits. 6.  Use only a damp cloth for cleaning. Do not use liquid or aerosol cleaners. Disconnect the power before cleaning. 7.  Disconnect power when unit is stored for long periods. 8.  The AN-80i must not be located near power lines or other electrical power circuits. 9.  The system must be properly grounded to protect against power surges and accumulated static electricity. It is the user’s responsibility to install this device in accordance with the local electrical codes: correct installation procedures for grounding the AN-80i, mast, lead-in wire and discharge unit, location of discharge unit, size of grounding conductors and connection requirements for grounding electrodes.
 RedCONNEX™    User  AN-80i Manual  70-00072-01-05-DRAFT  Proprietary Redline Communications © 2008  Page 9 of 94  January 22, 2008  1.2 Important Warning Symbols The following symbols may be encountered during installation or troubleshooting. These warning symbols mean danger. Bodily injury may result if you are not aware of the safety hazards involved in working with electrical equipment and radio transmitters. Familiarize yourself with standard safety practices before continuing.   Electro-Magnetic Radiation  High Voltage 1.3  Important Service Information 1.  Refer all repairs to qualified service personnel. Do not remove the covers or modify any part of this device, as this action will void the warranty. 2.  Locate the serial numbers and record these on your registration card for future reference. Use the space below to affix serial number stickers. Also, record the MAC address located on the AN-80i. 3.  Redline does not endorse or support the use of outdoor cable assemblies: i) not supplied by Redline, ii) third-party products that do not meet Redline's cable and connector assembly specifications, or iii) cables not installed and weatherproofed as specified in the Installation Guidelines manual (70-00073-01-XX). Refer to the Redline Limited Standard Warranty and RedCare service agreements.  1.4 Lightning Protection WARNING: The following notes are general recommendations for the system. The wireless equipment should be installed by a qualified professional installer who must follow local and national codes for electrical grounding and safety. Failure to meet safety requirements and/or use of non-standard practices and procedures could result in personal injury and damage to equipment. A direct lightning strike may cause serious damage even if these guidelines are followed. All outdoor wireless equipment is susceptible to lightning damage from a direct hit or induced current from a near strike. Lightning protection and grounding practices in local and national electrical codes serve to minimize equipment damage, service outages, and serious injury. Reasons for lightning damage are summarized as: a)  Poorly grounded antenna sites that can conduct high lightning strike energy into equipment. b)  Lack of properly installed lightning protection equipment that can cause equipment failures from lightning induced currents. A lighting protection system provides a means by which the energy may enter earth without passing through and damaging parts of a structure. A lightning protection system does not prevent lightning from striking; it provides a means for controlling it and preventing damage by providing a low resistance path for the discharge of energy to travel safely to ground. Improperly grounded connections are also a source of noise that can cause sensitive equipment to malfunction. A good grounding system disperses most of the surge energy from a lightning strike away from the building and equipment. The remaining energy on the Ethernet cable shield and
 RedCONNEX™    User  AN-80i Manual  70-00072-01-05-DRAFT  Proprietary Redline Communications © 2008  Page 10 of 94  January 22, 2008 center conductor can be directed safely to ground by using a lightning arrestor in series with the cable. If you have determined that it is appropriate to install lightning protection for your system, the following general industry practices are provided as a guideline only: 1.  The AC wall outlet ground for the indoor POE adapter should be connected to the building grounding system. 2.  Install a lightning arrestor in series with the Ethernet cable at the point of entry to the building. The grounding wire should be connected to the same termination point used for the tower or mast. 3.  Install a lightning arrestor in series with the Ethernet cable as close to the AN-80i as practical. The grounding wire should be connected to the same termination point used for the tower or mast. 4.  Provide direct grounding from the AN-80i, the mounting bracket, the antenna, and the Ethernet cable surge protection to the same ground bus on the building. Use the grounding screws provided for terminating the ground wires.  1.5  FCC & IC Notice 1.  The Model AN-80i and its antenna must be professionally installed. 2.  WARNING -- FCC & IC RF Exposure Warnings To satisfy FCC and IC RF exposure requirements for RF transmitting devices, the following distances should be maintained between the antenna of this device and persons during device operation: Table 1: FCC & IC RF Recommended Safe Separation Distances  Frequency  Separation Distance 5.4 GHz  40 centimeters or more 5.8 GHz  20 centimeters or more (PMP) 310 centimeters or more (PTP) 4.9 GHz  FCC & IC APPROVALS PENDING  To ensure compliance, operation at closer than these distances is not recommended. The antenna used for this transmitter must not be collocated in conjunction with any other antenna or transmitter. 3.  High power radars are allocated as primary users (meaning they have priority) of 5250-5350 MHz and 5650-5850 MHz and these radars could cause interference and/or damage to LE-LAN devices. 4.  FCC Information to Users @ FCC 15.21 & 15.105: This equipment has been tested and found to comply with the limits for a Class A digital device, pursuant to Part 15 of the FCC Rules. These limits are designed to provide reasonable protection against harmful interference when the equipment is operated in a commercial environment. This equipment generates, uses, and can radiate radio frequency energy and, if not installed and used in accordance with the instruction manual, may cause harmful interference to radio communications. 5.  Warning: Changes or modifications not expressly approved by Redline Communications could void the user’s authority to operate the equipment.
 RedCONNEX™    User  AN-80i Manual  70-00072-01-05-DRAFT  Proprietary Redline Communications © 2008  Page 11 of 94  January 22, 2008 6.  Refer to FCC & IC Certified Antennas beginning on page 88 for a list of certified antennas. 7.  Where DFS is required by regional regulations, this function is permanently enabled at the factory and can not be disabled by the installer or end-user. 1.6 UL Information 1.  The suitability of the supplied Ethernet cable is subject to the approval of Authority Having Jurisdiction and must comply with the local electrical code. 2.  The equipment must be properly grounded according with NEC and other local safety code and building code requirements 3.  To meet the over-voltage safety requirements on the telecommunications cables, a minimum 26 AWG telecommunication line cord must be used. 4.  "Pour être en conformance avec les exigences finies de sûreté de sur-tension sur les câbles de télécommunications un fil de télécommunication ayant un calibre minimum de 26 AWG doit être utilisé." 5.  Reminder to all the BWA system installers: Attention to Section 820-40 of the NEC which provides guidelines for proper grounding and, in particular, specifies that the cable ground shall be connected to the grounding system of the building, as close to the point of cable entry as is practical. 6.  AN-80i must be installed in compliance with relevant articles in National Electrical Code-NEC (and equivalent Canadian Code-CEC) including referenced articles 725, 800 and 810 in NEC. 7.  RF coaxial cable connecting an antenna to AN-80i must comply with the local electrical code. 1.7 Product Information Use the following table to record important system information: Product Information  AN-80i SN:         MAC Address      PoE SN:         Model #:           Antenna Model No.:       Antenna SN:      Serial Number Stickers
 RedCONNEX™    User  AN-80i Manual  70-00072-01-05-DRAFT  Proprietary Redline Communications © 2008  Page 12 of 94  January 22, 2008            Chapter 2 22  SSyysstteemm  OOvveerrvviieeww  The Access Node 80i system is manufactured by Redline Communications -- a world leader in design and production of Broadband Fixed Wireless (BFW) systems.   Figure 1: Intro - AN-80i Components The AN-80i is a high-performance, high-speed wireless Ethernet bridge for use in a commercial, industrial, business, or government environment. The system can operate with a 4.9, 5.4, or 5.8 GHz radio (factory installed) using a time division duplexing (TDD) RF transceiver to transmit and receive on the same RF channel. The main AN-80i features include: advanced technologies to address inter-cell interference, enhanced security features through a proprietary over-the-air encryption scheme, and Automatic Transmitter Power Control (ATPC) to automatically achieve and maintain optimum performance. The AN-80i outdoor unit is housed in a weatherproof aluminum alloy case. The outdoor unit can be used with a selection of available external antennas. When equipped with a narrow beam antenna, the AN-80i supports long-range operations of over 50 miles (80 km) in clear line of sight (LOS) conditions. An indoor PoE power adapter provides operational power for the AN-80i and connection to the Ethernet network.
 RedCONNEX™    User  AN-80i Manual  70-00072-01-05-DRAFT  Proprietary Redline Communications © 2008  Page 13 of 94  January 22, 2008  Each wireless link requires two AN-80i units. One AN-80i is configured as the PTP Master (or PMP Sector Controller) and controls the wireless link. This function is transparent to all Ethernet operations. The sector controller AN-80i uses a scheduled request/grant mechanism to arbitrate requests for bandwidth from the remote unit -- providing non contention-based traffic with predictable transmission characteristics. The remote AN-80i operates as a PTP Slave (or PMP Subscriber).   Figure 2: Intro - AN-80i with Integrated Antenna 2.1 Ethernet Port The AN-80i receives DC power and exchanges data with the indoor network through the Ethernet port. The AN-80i Ethernet port connects to the PoE Adapter using a weatherproof Cat. 5e Ethernet cable. The Ethernet port is a female RJ-45 connector. 2.2 RF Port The RF port is used to send and receive RF signal to/from the antenna. A short coaxial cable is provided to connect the transceiver to an external antenna. The RF port is a female N-type connector. 2.3 Mounting Brackets There are two mounting brackets available for the AN-80i. The lightweight (two-point) antenna bracket provides convenient mounting of one foot flat panel antennas. The heavy-duty (four-point) antenna mounting bracket is available for mounting two foot flat panel and parabolic antennas. 2.4 Grounding Connection A ground-lug is provided on the AN-80i chassis. Use this connection to terminate a grounding wire.
 RedCONNEX™    User  AN-80i Manual  70-00072-01-05-DRAFT  Proprietary Redline Communications © 2008  Page 14 of 94  January 22, 2008  2.5  Indoor Power Block (PoE Power Adapter) The PoE power adapter provides operational power and connection to a local Ethernet network.  Warning to Service Personnel: 48 VDC Customer equipment including personal computers, routers, etc., must be connected only to the INPUT (DATA) port on the PoE unit.  Only the outdoors Ethernet interface cable connecting to the AN-80i can be safely connected to the OUTPUT (DATA & POWER) connector. Connecting customer premises Ethernet equipment directly to the OUTPUT (DATA & POWER) connector on the Power-over-Ethernet power adapter may damage customer equipment.   Figure 3: Intro - Indoor Power-over-Ethernet (PoE) Module  Important: PoE Adapter Type Use the AN-80i only with CINCON PoE Adapter Model TR60A-POE-L.   Warning to Service Personnel: 48 VDC Customer equipment including personal computers, routers, etc., must be connected only to the INPUT (DATA) port on the PoE unit.  Only the outdoors Ethernet interface cable connecting to the AN-80i can be safely connected to the OUTPUT (DATA & POWER) connector. Connecting customer premises Ethernet equipment directly to the OUTPUT (DATA & POWER) connector on the Power-over-Ethernet power adapter may damage customer equipment.
 RedCONNEX™    User  AN-80i Manual  70-00072-01-05-DRAFT  Proprietary Redline Communications © 2008  Page 15 of 94  January 22, 2008  2.6 Antenna Alignment The AN-80i includes both an audible antenna alignment tool and a web-based alignment tool to assist in pointing the antenna.   2.6.1  Web Page Alignment The most reliable method for obtaining optimum performance from a wireless link is to align the antenna to the position providing the highest RSSI value and the best SINADR ratio. The web page alignment tool provides continuous updates (1 second intervals) of the measured RSSI (received signal strength indication) and SINADR (Signal to noise and distortion ratio). This web page can be accessed from a laptop computer and most web-enabled handheld devices. Use the following URL to access the AN-80i alignment web page:   http:// [AN-80i IP Address] / usr / aa.html For example:  http://192.168.20.30/usr/aa.html 2.6.2 Audible Alignment The signal will sound infrequently when a low signal is detected, and more often as the signal strength increases. The audible signal is enabled and disabled through the user interface: Web: See Antenna Alignment Buzzer Enable on page 22 Telnet: See buzzer in CLI Set commands on page 68 The audible antenna alignment tool provides only rough adjustment for the subscriber antennas. It is recommended to monitor the RSSI measurements to achieve maximum signal strength when performing fine adjustments to the subscriber antenna. Refer to the AN-80i Installation Guidelines for detailed instructions.
 RedCONNEX™    User  AN-80i Manual  70-00072-01-05-DRAFT  Proprietary Redline Communications © 2008  Page 16 of 94  January 22, 2008            Chapter 3 33  WWeebb  IInntteerrffaaccee  --  PPTTPP  The Web Interface provides all required settings and statistics necessary to configure and monitor the operation of the AN-80i using a standard web browser. An operator can access and control the AN-80i remotely from any geographical location with HTTP connectivity to that unit. 3.1 System Login On the PC, open a browser (Internet Explorer 6 or higher recommended). For new systems, enter the default IP address (192.168.25.2). The following dialog should be displayed:  Figure 4: Web - Login Screen Login to the AN-80i using your user name and password. See Table 7: Web - Default System Users on page 35 for the factory default usernames and passwords. If the IP address, username and/or password have been modified since installation, contact the network administrator to determine the current settings. If the IP address, or the user name and password cannot be determined. See section 6.2: Procedure to Restore Factory Settings on page 80.
 RedCONNEX™    User  AN-80i Manual  70-00072-01-05-DRAFT  Proprietary Redline Communications © 2008  Page 17 of 94  January 22, 2008  3.2 System Menu Following a successful login, the General Information screen is displayed. On the left is a menu of all available screens. Point and click on the blue text of the menu to display that screen.  Figure 5: Web - System Menu The administrator (admin) has unrestricted access to all screens. All other users have viewing access only. See 3.7: Users Management on page 34 for details.
 RedCONNEX™    User  AN-80i Manual  70-00072-01-05-DRAFT  Proprietary Redline Communications © 2008  Page 18 of 94  January 22, 2008   3.3 System Information Click  General Information to view the system overview screen (read-only). Refer to the System Configuration screen for information about changing these settings.  Figure 6: Web - General Information Screen General System Name: User-assigned name for this AN-80i. System Details: User-assigned system details information. Contact: User-assigned contact information. Hardware Version: Displays the hardware version of the AN-80i. System Mode: The system designated as PTP Master establishes and manages the bi-directional data link with a remote end AN-80i. Only one system in a wireless link must be set for PTP Master mode. PTP Master: AN-80i begins transmitting automatically, sends poll messages to locate the remote AN-80i Slave, and negotiates operating settings for the link. PTP Slave: AN-80i waits passively, monitoring the selected channel(s) until polled by the PTP Master. Software Version: Displays the software version in use. Time Since System Start: Time since the system was last reset or powered-on.
 RedCONNEX™    User  AN-80i Manual  70-00072-01-05-DRAFT  Proprietary Redline Communications © 2008  Page 19 of 94  January 22, 2008 Ethernet Ethernet MAC Address: Hardware (MAC) address of this AN-80i. This address is also recorded on a label on the AN-80i chassis. IP Address: User-assigned IP address of this AN-80i. IP Subnet Mask: User assigned IP subnet mask. Default Gateway Address: User-assigned IP address of the default router or gateway. Wireless RF Link Established: Status of the wireless link. Yes - RF link successfully established with remote-end AN-80i. No - RF link not established with remote-end AN-80i. Uncoded Burst Rate: The current uncoded burst rate for the link.
 RedCONNEX™    User  AN-80i Manual  70-00072-01-05-DRAFT  Proprietary Redline Communications © 2008  Page 20 of 94  January 22, 2008  3.4 System Status Click System Status in the menu to view system, Ethernet statistics, and wireless interface statistics.  Figure 7: Web - System Status Screen General information System Name: Displays the user-assigned system name. Software Version: Displays the software version in use. RF Link Established: Status for the wireless link connection. Yes - RF link has been successfully established with the remote-end AN-80i. No - RF link has not been established with the remote-end AN-80i. Uncoded Burst Rate: The negotiated uncoded burst rate (UBR) for the link. System Mode: The PTP Master establishes and manages the wireless link with the remote end AN-80i. Each wireless link must have only one PTP Master. PTP Master: This unit begins transmitting automatically; sending poll messages to the remote AN-80i and negotiating the UBR (modulation and coding) for the wireless link. PTP Slave: This unit waits passively, monitoring the selected channel(s) until polled by the PTP Master. RF Channel Frequency: User-assigned RF channel. Tx Power: The current transmit power level. If ATPC is enabled, this value may be different than the Tx Power setting in the System Configuration screen.
 RedCONNEX™    User  AN-80i Manual  70-00072-01-05-DRAFT  Proprietary Redline Communications © 2008  Page 21 of 94  January 22, 2008 Link Distance [Miles or Km]: Distance between wireless systems. This may be the calculated or user-assigned distance (System Configuration screen). Status Code: Code indicating the condition of the AN-80i system. Status indications are specific for PMP and PTP operation. Ethernet MAC Address: System hardware address. This is also printed on a label affixed to the AN-80i. IP Address: User-assigned IP address of the AN-80i. IP Subnet Mask: User-assigned IP subnet mask. Default Gateway Address: User-assigned IP for the default router or gateway. Ethernet LAN Statistics Rx Packets: Total packets received on the Ethernet port. Rx Packets: Discarded: Total valid Ethernet frames received on the Ethernet port that are discarded due to lack of buffer space. Tx Packets: Number of packets transmitted on the Ethernet port (including Ethernet frames and error correction bytes). Wireless Statistics Received Signal Strength: Min: Minimum measured RSSI value. Received Signal Strength: Mean: Average measured RSSI value. Received Signal Strength: Max: Maximum measured RSSI value. SINADR: Average signal to interference, noise, and distortion ratio measured since the last screen refresh. Rx Packets: Total number of packets received over the wireless interface. Rx Packets:  Retransmitted Number of packets received over the wireless interface that were retransmitted by the remote-end system (ARQ mechanism re-transmitting unacknowledged packets). Rx Packets - Discarded: Number of received packets discarded due to errors. Tx Packets: Number of packets transmitted over the wireless interface. Tx Packets - Retransmitted: Number of packets re-transmitted over the wireless interface (ARQ mechanism re-transmitting unacknowledged packets). Tx Packets: Discarded: Total number of packets transmitted over the wireless interface that were not acknowledged (discarded by remote-end due to errors). Controls Reset Statistics: Click this button to zero the counters for the wireless and Ethernet LAN Statistics displayed on this page.
 RedCONNEX™    User  AN-80i Manual  70-00072-01-05-DRAFT  Proprietary Redline Communications © 2008  Page 22 of 94  January 22, 2008  3.5  System Logs Screen Click System Log in the menu to view the system activity and error messages recorded by the AN-80i.  Figure 8: Web - System Log Messages  The following table provides a brief description of the key messages recorded in the logs by the system. Table 2: Web - System Log Messages Log Message  Description 1001    System Configuration Load: OK 1002    System Configuration Save: OK 1003    EEPROM Directory Load: OK 1004    EEPROM Directory Save: OK 1005    User Configuration Load: OK 1006    User Configuration Save: OK 1007    Network Configuration Load: OK 1008    Network Configuration Save: OK 1009    Network Configuration: OK 1010    Version Ctrl Data Load: OK 1011    Version Ctrl Data Save: OK 1012    System Description Load: OK 1013    System Description Save: OK 1014    Options Key Load: OK 1015    Options Key Save: OK 1016    Options Key Properties Load: OK 1017    Options Key Properties Save: OK 1018    Options Key Activated: OK 1019    Data server started: OK 1021    Upgrade: OK
 RedCONNEX™    User  AN-80i Manual  70-00072-01-05-DRAFT  Proprietary Redline Communications © 2008  Page 23 of 94  January 22, 2008 Table 2: Web - System Log Messages Log Message  Description 1023    Firmware configuration: OK 1026    Factory Data Save: OK 1029    HTTP(User Mgm): Chg User Attributes: OK 1030    SNMP Configuration Load: OK 1031    SNMP Configuration Save: OK 1032    SNTP: Time received: OK 1033    DFS: Event Detected 1033    MAC Initialization: OK 1034    DFS: Event Detected 1035    ID deleted: OK 1036    Restart freq scan (RSSI) 1037    Restart freq scan (TimeOut) 1038    Reg Req (step 1) 1039    Reg Req (step 2  1040    Reg Req (step 2) 1041    Restart freq scan (!act links) 1042    ID tables saved: OK 1043    ID defined: OK 1044    ID tables not changed: OK 1045    ID modified: OK 1046    RF frequency validation: OK 2001    System Configuration Load: ERROR 2002    System Configuration Save: ERROR 2003    EEPROM Directory Load: ERROR 2004    EEPROM Directory Save: ERROR 2005    User Configuration Load: ERROR 2006    User Configuration Save: ERROR 2007    Network Configuration Load: ERROR 2008    Network Configuration Save: ERROR 2009    Network Configuration: ERROR 2010    Version Ctrl Data Load: ERROR 2011    Version Ctrl Data Save: ERROR 2012    System Description Load: ERROR 2013    System Description Save: ERROR 2014    Options Key Load: ERROR 2015    Options Key Save: ERROR 2016    Options Key Properties Load: ERROR 2017    Options Key Properties Save: ERROR 2018    Options Key Activated: ERROR
 RedCONNEX™    User  AN-80i Manual  70-00072-01-05-DRAFT  Proprietary Redline Communications © 2008  Page 24 of 94  January 22, 2008 Table 2: Web - System Log Messages Log Message  Description 2019    No Options Key 2020    Fail to start the data server 2021    Data server  2022    Data server  2023    Upgrade client start: ERROR 2024    Upgrade in progress 2025    Upgrade: FAIL 2026    Upgrade: ERROR  2028    Factory Data Corrupted (use fallback values) 2028    TFTP: ERROR 2029    Firmware configuration: ERROR 2031    Factory Data Save: ERROR 2034    HTTP(User Mgm): Invalid password 2035    HTTP(User Mgm): Invalid User 2036    HTTP(User Mgm): Chg User Attributes: ERROR 2037    SNMP Configuration Load: ERROR 2038    SNMP Configuration Save: ERROR 2039    Invalid Options Key 2039    SNTP: Time received: ERROR 2040    MAC Initialization: ERROR 2041    MAC Busy 2042    ID database corrupted 2043    Invalid ID 2044    Max. ID number reached 2045    Int Procs programming: ERROR 2046    Int Procs starrt: ERROR 2047    ID action not possible 2048    ID validation: ERROR 2049    HW validation: ERROR 2050    FTP: ERROR 2051    RF frequency validation: ERROR 2099    UNKNOWN MESSAGE
 RedCONNEX™    User  AN-80i Manual  70-00072-01-05-DRAFT  Proprietary Redline Communications © 2008  Page 25 of 94  January 22, 2008  3.6  System Configuration Screen  Click Configure System in the menu to view and adjust configuration settings for general system identification, Ethernet, and the wireless interface.  Figure 9: Web - System and Network Configuration Screen Ethernet Configuration System Name: Enter the name for this AN-80i. The name can be any combination of letters and numbers. System Details: Enter additional descriptive details about this AN-80i. The description can be any combination of letters and numbers. System Location: Enter additional descriptive details about this AN-80i. The description can be any combination of letters and numbers. Contact: Enter additional descriptive details about this AN-80i. The description can be any combination of letters and numbers. IP Address: Enter the IP address for this AN-80i. The IP address is routable through the Ethernet port and over the wireless interface.
 RedCONNEX™    User  AN-80i Manual  70-00072-01-05-DRAFT  Proprietary Redline Communications © 2008  Page 26 of 94  January 22, 2008 IP Subnet Mask: Enter the IP subnet mask. Default Gateway Address: Enter the IP address of the default gateway or router on the Ethernet segment connected to the AN-80i Ethernet port. Flow Control Enable: Check this box   to enable flow control functions (802.3x) on the AN-80i Ethernet port. Enabling this feature allows the AN-80i to request Ethernet devices to pause transmissions during busy periods. Prioritized Low Latency Mode Enable: Check this box   to enable priority handling of 802.1p tagged traffic. When enabled, this ensures prioritized traffic is transmitted with the lowest achievable latency, even under conditions of high IP data traffic loading. Table 3: Configuration - 802.1p Priority Settings Priority Setting Highest   6, 7  4, 5   0, 3, no tag Lowest   1, 2  SNTP Enable: Check this box   to enable the SNTP protocol support. This feature allows AN-80i systems to time-stamp log messages using a network time server. When enabled, you must enter the network address of the SNTP server in the SNTP Server IP Address field.  SNTP Server IP Address: Enter the network address of the SNTP server. Valid only when the SNTP Enable field is checked. Polling Interval: Enter the SNTP polling interval (hours). Time Zone (GMT): Enter the hours offset from GMT for this time zone. Valid only when the SNTP Enable field is checked. Syslog Enable: Check this box   to enable the Syslog protocol support. This feature allows AN-80i log messages to be saved in a central repository. When enabled, you must enter the network address of the Syslog server in the Syslog Server IP Address field. Syslog Server IP Address: Enter the network address of the Syslog server. Valid only when the Syslog Enable field is checked. Ethernet Mode: Select the operating mode of the Ethernet port. Auto - Auto-negotiate the speed connection speed. 10 - Operate at 10Base-T only. 100 - Operate at 100Base-T only. HD - Operate at half-duplex only. FD - Operate in full duplex only. Important: The auto-negotiate feature does not detect the speed and duplex of manually set Ethernet equipment. The auto-negotiate feature works correctly only when both communicating Ethernet devices are configured for auto-negotiate. Duplex mismatches may result in an unexpected loss of communications.  HTTP Enable: Check this box   to enable the HTTP (Web) interface. If the option is deselected, only CLI commands will be available.
 RedCONNEX™    User  AN-80i Manual  70-00072-01-05-DRAFT  Proprietary Redline Communications © 2008  Page 27 of 94  January 22, 2008 Telnet Enable: Check this box   to enable a Telnet access (CLI) to the AN-80i. Refer to the CLI commands in CLI Interface on page 62. Telnet Port: Enter Telnet port address (default is 23). SNMP Enable: Check this box   to enable the Simple Network Management Protocol (SNMP) agent. When this item is checked, click on the blue text [Configure SNMP] adjacent to the check box to display the SNMP Configuration screen. Mgmt. Tag Enable: Check   this box to enable VLAN tagged traffic. The Mgmt Tag Enable setting is disabled (factory default) when shipped from the factory or following a long-reset operation. In this mode the PTP Master and PTP Slave can be managed through the local Ethernet port using untagged traffic. Over-the-air management is possible only after creating a pass-through group and pass-through connections for each PTP Slave. When Mgmt Tag Enable is enabled, this PTP Master or PTP Slave can be managed only using VLAN traffic tagged with the value specified in the Mgmt. VID field. Over-the-air management is possible only after creating a VLAN tagged group and VLAN tagged connections for each PTP Slave. It is recommended to create and test a VLAN group for tagged management traffic before activating the Mgmt Tag Enable function. Set the associated QoS and priority values to ensure management traffic has adequate priority and bandwidth during system operation. Mgmt. VID: Enter the VLAN ID. When Mgmt. Tag Enable is selected, the system recognizes only management commands with this VLAN ID. Important: The VLAN network support should be verified before enabling this feature to ensure the AN-80i system will be reachable using the VLAN tagged traffic.
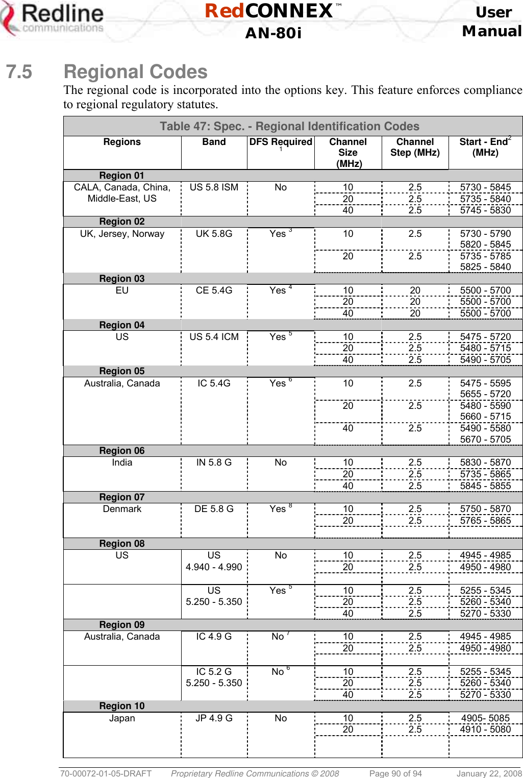
 RedCONNEX™    User  AN-80i Manual  70-00072-01-05-DRAFT  Proprietary Redline Communications © 2008  Page 28 of 94  January 22, 2008  Wireless Configuration Use settings on the following screen to configure the AN-80i wireless interface.  Figure 10: Web - Wireless Configuration Screen RF Freq. [MHz]: Enter the center frequency for the RF channel. This setting must be identical for both AN-80i systems operating as a wireless link. The options key controls channel availability. Refer to Table 47: Spec. - Regional Identification Codes on page 90 for available channels. Use the Autoscan feature to enable use of multiple channels. When the Auto Scan field is not checked, the PTP Slave will only register with a PTP Master operating at the frequency specified in the RF Freq. [MHz] field.  Important: To minimize interference, the channel frequencies for AN-80i links operating in close proximity should be separated by a minimum of the channel size in use (to avoid overlapping bands).
 RedCONNEX™    User  AN-80i Manual  70-00072-01-05-DRAFT  Proprietary Redline Communications © 2008  Page 29 of 94  January 22, 2008  Auto scan: Check this box   to enable the PTP Slave automatically scan available channels to locate and register with an AN-80i PTP Master. When the Auto Scan field is checked, click on the blue text [Frequency Ranges] adjacent to the check box to display the Frequency Management screen. Up to 32 frequency ranges may be specified. Frequency ranges may be entered on the PTP Master and the PTP Slave. Settings entered on the PTP Master will be downloaded and used by the PTP Slave.  Figure 11: Web - Wireless Configuration Screen Add Frequency Range Begin: Enter the lower limit of the frequency scan interval (MHz). The scan interval must be a subset of the region frequency range. End: Enter the upper limit of the frequency scan interval (MHz). The scan interval must be a subset of the region frequency range. Add: Click to check the range settings and add these to the Local Frequency Range list (if valid). To save changes to non-volatile memory, return to the Configuration Screen and click the Save button at the bottom of the screen. Delete Frequency Range Index: Select the index value for the scan interval delete from the Local Ranges table. Delete: Click the Delete button to permanently remove the selected scan interval. Local Frequency Ranges: These are the (optional) scan intervals for this PTP Slave. The last settings saved in non-volatile memory will be loaded when the PTP Slave is rebooted. Remote Frequency Ranges: When settings are displayed in this table, the frequency scan intervals have been downloaded from the PTP Master. Setting scan intervals in the PTP Master is optional.
 RedCONNEX™    User  AN-80i Manual  70-00072-01-05-DRAFT  Proprietary Redline Communications © 2008  Page 30 of 94  January 22, 2008 When present, these settings override the local settings and are used whenever the PTP Slave has deregistered and is scanning for a PTP Master. This list is not saved permanently, and is discarded when the PTP Slave is rebooted. Reload: Display the saved (Local) scan intervals. Save: Click to verify the range settings, and if valid, add these to the Local Frequency Range list. An event message will be entered in the system log indicating the results of the test. Important: Clicking the Save button does not save changes to non-volatile memory. To permanently save changes, click Save at the bottom of the System Configuration screen.  Test: Click to check the range settings and add these to the Local Frequency Range list (if valid). This action does not save the changes to non-volatile memory. Operating Notes If no scan intervals are defined, the PTP Slave will scan all frequency ranges for the enabled region. If scan intervals are defined, only the listed channels will be scanned for a PTP Master. If the PTP Slave checks all scan intervals three times without locating and registering with a PTP Master, the scanning mode is changed to include all frequency ranges for the enabled region (until registration or reboot). The PTP Master can also be programmed with a list of scan intervals. When the PTP Slave registers with a PTP Master that has frequency ranges defined, the list is transmitted to the PTP Slave and is displayed as Remote Frequency Ranges. When present, the scan intervals in the Remote Frequency Ranges table are used exclusively during autoscan (Local Frequency Ranges are ignored). The Remote Frequency Ranges remain in effect until the PTP Slave is rebooted.  Tx Power [dBm]: Enter the transmit power level (dBm). This setting is for the transceiver output only. The actual EIRP depends on the gain of the connected antenna. Important: Where required by local regulations, the maximum operational power per channel for a specific antenna must not exceed the maximum allowable EIRP levels. Refer to the FCC and CE notices in this manual. The RF output power settings must be professionally programmed by the manufacturer or a trained professional installer.  See Table 4: Web - Max. Power (in dBm) and Modulation to determine the maximum transmit power level available at each modulation setting. When ATPC is enabled, the Tx power will be automatically adjusted to achieve optimum performance. Table 4: Web - Max. Power (in dBm) and Modulation Settings Modulation  BPSK  QPSK  16 QAM  64 QAM Code Rate  1/2 3/4 1/2 3/4 1/2 3/4 2/3 3/4 Max Tx Power  20 20 20 20 20 20 17 17
 RedCONNEX™    User  AN-80i Manual  70-00072-01-05-DRAFT  Proprietary Redline Communications © 2008  Page 31 of 94  January 22, 2008  DFS Action: Select the mode of operation for DFS. The system set to PTP Master monitors for interference from radar devices and other equipment using the same channel frequency. When interference is detected, the system automatically takes the action selected using the drop-down menu. None: The DFS function is disabled. Tx Off: Transmission is disabled when radar signals are detected. This action is recorded in the message log and an SNMP trap message is sent (if SNMP enabled). Following an interval of thirty minutes, the same channel is monitored for one minute and if there are no DFS triggering events, the system resumes normal operation. If DFS trigger conditions are still detected, operation is suspended for an additional thirty minutes. This cycle continues until no DFS trigger events are detected or the operator manually reconfigures the system. Chg Freq: Relocate transmission to an alternative frequency immediately when radar signals are detected. This action is recorded in the message log and a trap message is sent (if SNMP enabled). The new channel is selected based on allowable frequencies for the regulatory region of that installation. The channel is monitored for one minute before the system is allowed to transmit. If DFS triggering events are detected, the next available channel is selected and monitored. The system is not allowed to return to a channel on which DFS trigger events were detected for a period of thirty minutes. If DFS trigger events are detected on all channels, operation is suspended until the thirty-minute time interval expires for at least one channel. Important:  Where DFS is required by regional regulations, this function is permanently enabled at the factory and can not be disabled by the installer or end-user.  Antenna Gain: Enter the gain (dBm) for the system antenna.  It is important that the Antenna Gain setting matches the actual antenna gain. If the antenna gain is set higher than the true antenna gain, the system is less sensitive to detecting interference, and is not operating in compliance with the UK/ETSI standard. If the antenna gain is set lower than the true antenna gain, the system is more sensitive to interference and this may result in false DFS triggers. ATPC Enable: Check this box   to enable the AN-80i to monitor the received signal and request that the remote system adjustment its transmit level for optimum performance. The ATPC feature must be enabled on both AN-80i units. Important:  When ATPC is enabled, best results are obtained by enabling adaptive modulation. Adaptive Modulation: Check this box   to enable the AN-80i to automatically adjust the transmission modulation and code settings to achieve the highest UBR that will operate with a packet error rate (PER at layer 2) of less than 1x10e-6. If the PER exceeds 1x10e-6, the AN-80i automatically adjusts the modulation and code settings downwards (i.e., from 16 QAM 3/4 to 16 QAM 1/2) to operate at a lower UBR where the PER is acceptable. When disabled, the modulation and code settings are entered manually using the Uncoded Burst Rate setting. See Table 4: Web - Max. Power (in dBm) and Modulation.
 RedCONNEX™    User  AN-80i Manual  70-00072-01-05-DRAFT  Proprietary Redline Communications © 2008  Page 32 of 94  January 22, 2008  Modulation Reduction Level: Enter the number of modulation/coding levels to step down during re-transmission of errored wireless packets. Each step down lowers the UBR. The level can be set from 0 to 7 (recommended value = 2). Uncoded Burst Rate [Mb/s]: Select the desired UBR for the link. If Adaptive Modulation is disabled, the AN-80i will transmit using only the specified settings. See Table 4: Web - Max. Power (in dBm) and Modulation. Channel Width [MHz]: Select the channel bandwidth. Refer to Table 47: Spec. - Regional Identification Codes on page 90 for available channel widths. Ethernet Follows Wireless: Check this box   to have the AN-80i disable and enable the Ethernet port function based on the status of the wireless interface. This feature allows switches and routers to trigger configuration changes based on changes to the AN-80i Ethernet port status. Disabled ( ): The AN-80i Ethernet port is always enabled. Enabled ( ): The Ethernet port is controlled based on the status of the wireless interface. See the following table. Table 5: Web - Ethernet Status Indication Configuration Setting  Wireless interface Status  Ethernet Port Status Ethernet Follows Wireless   Link Up  Enabled  Link Down Disabled   Important: The Ethernet Follows Wireless setting affects all data and management traffic (HTTP, TELNET, and SNMP). While activated, it is not possible to manage the AN-80i using the Ethernet port.  Ethernet follows wireless timeout [sec]: Enter the period (in seconds) the Ethernet port will remain disabled following loss of connectivity on the wireless interface. Following this interval, the Ethernet port will be automatically re-enabled to allow management of the AN-80i.  Important: When Ethernet Follows Wireless Timeout is enabled, external switches/routers monitoring the Ethernet port must be programmed to not switch automatically when the Ethernet port function is restored -- the wireless interface may not be operational.  System Mode: Set the operating mode for each AN-80i system. PTP Master: This unit begins transmitting automatically; sends poll messages to the remote AN-80i, and negotiates the wireless link. PTP Slave: This unit waits passively, monitoring the selected channel(s) until polled by the PTP Master, and participates in negotiating the wireless link. Software Version: Select the version of system software to load when the AN-80i is rebooted. The system holds two independent software images. Encryption Type: Select an encryption type for data transmitted over the wireless interface. When encryption is enabled, no Ethernet packets can be transferred over-the-air unless encryption is enabled on the remote-end AN-80i, and the correct Encryption Key is entered on both AN-80i units. None: Encryption is disabled.
 RedCONNEX™    User  AN-80i Manual  70-00072-01-05-DRAFT  Proprietary Redline Communications © 2008  Page 33 of 94  January 22, 2008 Redline 64-bit: Redline proprietary encryption scheme, compatible with AN-50e. AES 128-bit: Advanced Encryption Standard using 128-bit encryption. AES 192-bit: Advanced Encryption Standard using 192-bit encryption. AES 256-bit: Advanced Encryption Standard using 256-bit encryption. Encryption Key: The key is used to encrypt data in a way that can be decoded by the remote-end AN-80i. Enter the MAC address of the communicating AN-80i. Link Name: Enter the name to be used for both the local and remote-end system. A PTP wireless link can be established only between a pair of AN-80i systems where the Link Name field setting is identical. This feature ensures that on power-up, reboot, or auto scan (following deregistration or DFS event), wireless links will only register with designated remote-end units.  Important: To establish a PTP wireless link between an AN-50e and AN-80i system, the AN-80i Link Name field must be blank (delete all characters).  Link Length Measurement Mode: Select the mode for setting/measuring the distance between this and the remote-end AN-80i. Auto: Distance is calculated automatically by the AN-80i. Manual: Enter the link distance manually in the Link Length field. Link Length: Enter the actual length of the path that the radio wave travels between the two AN-80i units. The link length is used to calculate the transmission-to-response interval and reject reflections of the transmitted signal. This setting is valid only when the Link Length Mode is set to Manual. Link Length Measurements Unit: Select the units for the Link Length field. Mile: Link length distance is displayed in miles. Km: Link length distance is displayed in kilometers. Antenna Alignment Buzzer Enable: Check this box   to enable the antenna alignment audible tone generator in the transceiver. The rate of the tone is proportional to the receive signal strength (faster = stronger signal). Radio Enable: Check this box   to enable the radio transmitter. If this box is unchecked (), it will not be possible to establish a wireless link. Controls Save: Click to save settings currently displayed in the configuration screen. Changes to some parameters cause a system reset when the Save button is selected. Test: Click this button to load the current settings displayed in the configuration screen. The AN-80i will operate with these settings for a period of five minutes. During the 'test' period, you may click the Save button at any time to save this configuration permanently (also terminating the five minute timer). If the Save button is not selected, the previous saved settings are reloaded. System Reboot: Click this button to immediately reboot the AN-80i. All statistics counters are reset.
 RedCONNEX™    User  AN-80i Manual  70-00072-01-05-DRAFT  Proprietary Redline Communications © 2008  Page 34 of 94  January 22, 2008  3.7 Users Management Click  Users Management in the left hand menu to display the System Password screen. This screen allows the operator to modify the system passwords. The AN-80i supports two groups of users: admin and user. See Table 7: Web - Default System Users on 35 for the factory default login values. See Table 6: Web - Screens and User Access on page 35 for permissions associated with each group.   Important: There must always be at least one 'administrator' account active on the AN-80i. You can not manage the AN-80i if all accounts are 'user'.   Figure 12: Web - System Password Screen Change User Settings Use this dialog to change the settings for an existing user. User name: Select an existing user to be modified.  Group: Select the group to be associated with this username. New Password: Enter the new password for this user. Confirm Password: Re-enter new password for this user. Admin Password: Enter the administrator password (security feature). Change: Click the Change button to make these changes effective. Add User Use this dialog to add a new user. User name: Enter a name for the new user (15 characters max.). Group: Select a group for the new user. New Password: Enter a password for the new user (15 characters max.).
 RedCONNEX™    User  AN-80i Manual  70-00072-01-05-DRAFT  Proprietary Redline Communications © 2008  Page 35 of 94  January 22, 2008 Confirm Password: Re-enter the password for the new user. Admin Password: Enter the administrator password (security feature). Add: Click the Add button to make these changes effective. Delete User Use this dialog to delete an existing user. User name: Select an existing user. Admin Password: Enter the administrator password (security feature). Del: Click the Del button to make these changes effective. Group Permissions The following table lists the permissions associated with each group. Table 6: Web - Screens and User Access Screen Admin Access User Access Description General Information  X  X  View general system identification and configuration settings. System Status  X  X  View system information, Ethernet statistics, and wireless statistics. System Log  X  X  View the system status messages recorded by the AN-80i. Configure System   X    View and adjust configuration system, IP address, management, and wireless settings. Upload Software  X    Upload a new software binary file. Users Management  X X X  Change your login password. Add and delete users. Product Options  X    View and change the product options key. Spectrum Sweep  X    Scan a range of frequencies to detect other RF sources (interference). Links  X    Display user-defined Links. Groups  X    Display user-defined Groups. New Link  X    Create a new Link.  New Group  X    Create a new Group. New Connection  X    Create a new Connection. Save  X    Save changes to ID table (Links, Groups, etc). Clear All  X    Clear all entries in the ID table. The following table lists the default login names and passwords. Table 7: Web - Default System Users Group User Name Default Password user user user admin admin admin
 RedCONNEX™    User  AN-80i Manual  70-00072-01-05-DRAFT  Proprietary Redline Communications © 2008  Page 36 of 94  January 22, 2008  3.8  AN-80i Product Options Screen Click Product Options in the left hand menu to display the Product Options screen. The options keys (a string of numbers, letters, and dashes) enable AN-80i features including the maximum uncoded burst rate and frequency ranges (region codes). Options key are unique to a specific AN-80i (keyed to MAC address). At least one valid permanent options key must be purchased and installed before the AN-80i is placed in-service. A second options key (permanent or temporary key) may be added to trial new options without deleting the current key.  Important: If the AN-80i is placed in-service without first entering a purchased permanent Options Key -- you will experience a service outage on the wireless link.   Figure 13: Web - Product Options Screen Options Key 1: Enter a valid permanent or temporary options key.  Options Key 2: Enter a valid permanent or temporary options key. Active Options Key: The Active Options Key field selects the preferred key. If valid, the selected key will be activated immediately when the Activate button is clicked. This selection is not affected by switching software versions. If the selected key expires (temp) or the mode is changed (PTP/PMP) the AN-80i will switch to the standby key (if valid).  Important: If the active options key is a temporary key -- always enter and activate a purchased permanent options key before the temporary key expires -- otherwise you will experience a service outage on the wireless link.  Activate: Click the Activate button to validate, save, and activate new options keys or changes to the Active Options Key setting. All keys are validated when the Activate button is clicked. Invalid keys are discarded and an error message is recorded in the event log. If two keys are entered in the same session (before clicking Activate), values are saved only if both keys are valid.  Notes: 1.  Keys are shared between PMP and PTP operation. 2.  PTP mode has the following restricted operation when both options keys are invalid: 10 MHz channel, 3 Mbps UBR, DFS permanently enabled, region based common frequency range, no enhanced options (i.e., AES). 3.  A valid options key must be entered to enable PMP mode operation.
 RedCONNEX™    User  AN-80i Manual  70-00072-01-05-DRAFT  Proprietary Redline Communications © 2008  Page 37 of 94  January 22, 2008  3.9 Upload Software Click Upload Software in the left hand menu to display the Upload Software screen. This screen is used to upgrade the AN-80i with new software. The AN-80i contains non-volatile storage for two versions of the software. The upload overwrites the non-operational (unselected) version.  Figure 14: Web - Upload Software Screen TFTP Server IP Address: Enter the IP address of the computer with the software upgrade file. This computer must be running a TFTP server. Software File Name: Name of the software binary file (including file extension). Upgrade Steps Trivial File Transfer Protocol (TFTP) is used to upload the new software image file from your computer to the AN-80i. A TFTP server software must be installed and running on the computer you are using to upload the new software file. In addition, the AN-80i software binary file must be located in the default upload directory for the TFTP server. 1.  Enter the IP Address of the computer running the TFTP server. 2.  Enter the full name of the binary file (including the .bin extension). 3.  Click the Upload File button to begin the file transfer. The upgrade file size is approximately two Megabytes and takes a minimum of two to four minutes to transfer. Slower network connections may take longer -- do not interrupt the transfer process. 4.  When the file transfer is complete, the AN-80i verifies the integrity of the new software file. If errors were introduced during the transfer process, the software file is rejected and a warning message is registered in the event log, and you must repeat the upload. 5.  When the transfer has completed successfully, use the System Configuration screen to select which software version to load on the next system reboot (does not switch automatically following upload).
 RedCONNEX™    User  AN-80i Manual  70-00072-01-05-DRAFT  Proprietary Redline Communications © 2008  Page 38 of 94  January 22, 2008   3.10  SNMP Settings Screen Click Configure SNMP (blue text) on the System Configuration screen to view and edit the SNMP settings. The hyperlink appears only if the SNMP Enable box is checked. The SNMP protocol allows an application to interrogate the AN-80i for information saved in the MIB an to change enabled fields within the MIB. When the SNMP Agent in the AN-80i detects an error condition, a special message known as a trap can be sent (if enabled). A Trap Host is an IP system/server that is set up to receive SNMP trap messages. The SNMP Configuration screen displays a list of the current communities. The Chg buttons can be used to add, edit, or delete community settings.  Figure 15: Web - SNMP Configuration Screen  SNMP Community Management Community Name: Displays the SNMP community name for each entry (maximum of eight entries). Access: Displays the access permissions for each SNMP community. None: Deny read and write permission for this community. Read: Grant read access permission only for this community. Deny write permission. Write: Grant write access permission only for this community. Deny read permission. Read&Write: Grant read and write access permission for this community. Chg: Click the Chg button to modify the settings for the adjacent entry. Save Comm: Click the Save Comm button to save changes to the community settings. SNMP Traps Management IP Address(IPv4): IP address associated with this SNMP alarm. Port: Destination port address associated with this SNMP alarm. Community: Community associated with this SNMP alarm.
 RedCONNEX™    User  AN-80i Manual  70-00072-01-05-DRAFT  Proprietary Redline Communications © 2008  Page 39 of 94  January 22, 2008 Chg: Click the Chg button to modify the settings for the adjacent entry. SNMP Traps Enabled: Check this box   to enable SNMP traps to be sent. If the box is not checked, all SNMP traps are disabled. Link Up/Down Trap Enabled: Check this box   to enable an SNMP trap to be generated for each link up and link down event. Save Traps: Click the Save Traps button to save changes to the SNMP trap settings. 3.10.1  Change SNMP Community Each entry in the SNMP Community Management table may be changed individually. Click the Chg button adjacent to any entry to modify the settings.  Figure 16: Web - SNMP Community Configuration Screen  Index: Display the unique reference number for this entry. Community Name: Enter or modify the SNMP community name for this entry. Access Rights: Select the access permissions for this entry. None: Deny read and write permission for this entry. Read: Grant read access permission only for this entry. Deny write permission. Write: Grant write access permission only for this entry. Deny read permission. Read&Write: Grant read and write access permission for this entry. Change Community: Click the Change Community button to copy these settings to the community settings table. This action does not permanently save changes. To save changes to the community settings you must also click the Save Comm button in the SNMP Configuration screen.
 RedCONNEX™    User  AN-80i Manual  70-00072-01-05-DRAFT  Proprietary Redline Communications © 2008  Page 40 of 94  January 22, 2008  3.10.2  Change SNMP Trap Configuration Each of the eight entries in the SNMP Traps Management table may be changed individually. Click the Chg button to modify the settings for the adjacent entry.  Figure 17: Web - SNMP Trap Configuration Screen  Index: Display the table position number for this entry. Position 0 is the first entry. IP Address: Enter the IP address (IPv4) associated with this SNMP alarm. Port: Enter the destination port address associated with this SNMP alarm. Community Name: Enter the SNMP community name for this entry. Change Trap: Click the Change Trap button to copy these settings to the community settings table. This action does not permanently save changes. To save changes to the SNMP trap settings you must click the Save Traps button in the SNMP Configuration screen.
 RedCONNEX™    User  AN-80i Manual  70-00072-01-05-DRAFT  Proprietary Redline Communications © 2008  Page 41 of 94  January 22, 2008  3.11 Spectrum Sweep Click Spectrum Sweep in the left hand menu to display the Spectrum Sweep configuration screen. The spectrum sweep feature is an off-line RF survey tool to detect interference and evaluate spectrum availability. Configurable survey parameters include the high and low frequency limits, the step size, and the number of samples at each step. The output graph displays the maximum (red) and average (blue) RSSI for each step.  Figure 18: Web - Spectrum Sweep Screen  Start Frequency (MHz): Enter center frequency of the lowest channel to be scanned. See Table 47: Spec. - Regional Identification Codes on page 90. End Frequency (MHz): Enter center frequency of the highest channel to be scanned. See Table 47: Spec. - Regional Identification Codes on page 90. Step (MHz): Enter the frequency step (MHz) to use when scanning from the lowest to the highest frequency. The step selection must be a multiple of 2.5 MHz (i.e., 2.5, 5, etc). No. of acquisitions: Enter the number of times the frequency will be sampled at each step. The recommended range is 10 to 100 samples. When a potentially clear channel is identified, reduce the frequency range and step size while increasing the sample size to monitor the channel over a longer period.  Start: Left-click the Start button to begin the scan. Performing a Sweep The PTP Master or PMP Sector Controller transmitter is automatically disabled during the spectrum scan. If the scan is being performed from a PTP Slave or PMP Subscriber, the transmitter on the remote AN-80i for this link should be disabled for the duration of the test. Use the configuration Test feature (system configuration screen) to remotely (over-the-air) disable the remote transmitter for 5 minutes (uncheck   the Radio Enable field) and then recover automatically.
 RedCONNEX™    User  AN-80i Manual  70-00072-01-05-DRAFT  Proprietary Redline Communications © 2008  Page 42 of 94  January 22, 2008   Table 8: Web - Performing a Spectrum Sweep Setting Description System Mode: PTP Slave / PMP Subscriber No action required: Remote end will remain passive during sweep. System Mode: PTP Master /PMP Sector Controller Use Web/CLI to disable radio on remote-end. Use 'test' function to save and remote end will restore radio operation automatically after 5 minutes.   Figure 19: Web - Spectrum Sweep Results
 RedCONNEX™    User  AN-80i Manual  70-00072-01-05-DRAFT  Proprietary Redline Communications © 2008  Page 43 of 94  January 22, 2008             Chapter 4 44  PPMMPP  OOppeerraattiioonn  4.1 Introduction This section describes only the additional parameters required for configuring PMP support, and an overview about defining and using VLAN and pass-through groups. The AN-80i PMP software provides the following main features: -  IEEE 802.1Q standard compliance - VLAN Groups span subscribers - Multiple VLAN Connections per subscriber -  Multiple TLS transport based on VLAN ID classification  -  QoS provisioning with individual CIR setting per connection -  VLAN trunking with tag insert/delete/re-map -  VLAN tagged management traffic   4.2 PMP Menu The following menu items are available for configuring and monitoring the PMP functions. See Table 7: Web - Default System Users on page 35 for the factory default usernames and passwords.  Figure 20: PMP - Main Menu
 RedCONNEX™    User  AN-80i Manual  70-00072-01-05-DRAFT  Proprietary Redline Communications © 2008  Page 44 of 94  January 22, 2008  4.3 Functional Description 4.3.1 Overview The AN-80i can operate as a VLAN-aware wireless switch, as a standard wireless bridge (pass-through mode), or a combination of both. The following figure illustrates a simple pass-though configuration. This configuration does not use VLAN tagging or filter the Ethernet traffic.  Figure 21: PMP - Basic Pass-through Group Configuration   The following diagram illustrates a network implementation using two VLAN groups. The packets tagged with VID=107 are classified as data traffic, while the packets tagged with VID=108 are classified as voice traffic.    Figure 22: PMP - VLAN Tagged Traffic Example
 RedCONNEX™    User  AN-80i Manual  70-00072-01-05-DRAFT  Proprietary Redline Communications © 2008  Page 45 of 94  January 22, 2008  4.3.2  Minimum Setup Requirements A minimum set of parameters must be configured to enable data and management traffic on any PMP deployment:  1.  Create one or more Links to identify each subscriber in the sector, and set the wireless link operating characteristics, including the maximum uplink and downlink modulation. 2.  Create one or more Groups (VLAN or pass-through) and set the operating characteristics of this group. 3.  Create one or more Connections (to Groups) for each subscriber, to assign membership to at least one Group.  The following table provides a summary of the configuration shown in the pass-through configuration diagram above. The actual Group ID and Link ID values are not available until these items have been created during configuration of the system. This configuration passes all data traffic as a standard PMP configuration.  Table 9: PMP - Basic Pass-Through Group Settings Group Configuration (Sector Controller)  Connection Configuration (Subscriber) Group Name  Port Tagging Group VID  Connection Name  Port Tagging Link ID Group ID ConnectionVID SC-1 Pass Through NA SS-1 Pass Through [L-1] [SC-1]  NA    SS-2 Pass Through [L-2] [SC-1]  NA Notes: 1. The Group ID, Conn ID, and Link ID values are assigned automatically and must be read from the screen after items are created.   2. The QoS settings must be determined using the PMP Configuration Tool.  4.3.3 Packet Classification The AN-80i PMP deployment can be configured for use with VLAN tagged traffic, untagged traffic, or a combination these two types. Ingress packets received on the Ethernet port are classified into tagged or pass-through groups according to the criteria in the following table. The Group settings apply to packets processed at the sector controller, while Connection settings apply to packets processed at the subscriber. Table 10: PMP - Packet Classification Type Description  Tagged Traffic Packet has a VLAN tag and there is a Group/Connection configured for this VID. Sector Controller:  Packets are forwarded over the wireless link to all subscribers with Connections to this VLAN Group. Subscribers: Packets are forwarded to the sector controller. The sector controller forwards the packets to the local Ethernet port and subscribers with Connections to this VLAN Group.  Pass-Through Traffic The packet does not have a VLAN tag, or no Group/Connection exists for this VID.  If a pass-through Group has not been defined, unclassified packets are discarded. If a pass-through Group has been defined, classified packets are forwarded based on the rules for tagged traffic. The packet VLAN information is not modified.
 RedCONNEX™    User  AN-80i Manual  70-00072-01-05-DRAFT  Proprietary Redline Communications © 2008  Page 46 of 94  January 22, 2008  4.4 PMP Screens This section describes the configuration screens used to setup a PMP deployment. 4.4.1 Configuration Screen Click Configure System in the menu to view and adjust configuration settings for general system identification, Ethernet, and the wireless interface (partial screen shown below). The highlighted wireless settings are specific to PMP deployments.  Figure 23: PMP - Wireless Settings System Mode: The system designated as sector controller establishes and manages the bi-directional data link with a remote end AN-80i. Only one system in a wireless link must be set for Sector Controller mode. PTP Sector Controller: AN-80i begins transmitting automatically, sends poll messages to locate remote AN-80i subscribers, and negotiates operating settings for the link. PTP Subscriber: AN-80i waits passively, monitoring the selected channel(s) until polled by the PTP Sector Controller. Registration Period: The polling period for detecting new subscribers. Period is based on the number of wireless frames transmitted. Permitted values are 1 to 400. The recommended default registration period is 4. Max. Distance [km]: Enter the distance to the subscriber located farthest away from the sector controller (outer boundary of sector). This parameter is used to optimize communications with the subscribers.
 RedCONNEX™    User  AN-80i Manual  70-00072-01-05-DRAFT  Proprietary Redline Communications © 2008  Page 47 of 94  January 22, 2008  4.4.2 Link Screen Click New Link in the menu to add a new subscriber and choose the wireless parameters.  Figure 24: PMP - Link Configuration Screen  Link Name: Enter a name for this Link (15 characters max.). This Link name is displayed with the Link ID on information and statistics screens. Link ID: (Read only) A unique Link ID is generated automatically when a new link is added. Peer MAC: Enter the MAC address of the subscriber station. The sector controller only registers a subscriber station if the MAC address has been entered using the link configuration screen. Max. DL Burst Rate: Select the downlink burst rate for unicast traffic from the sector controller to the subscriber (based on link budget calculations). Max UL Burst Rate: Select the uplink burst rate for unicast traffic from the subscriber to the sector controller (based on link budget calculations). Table 11: PMP Maximum Achievable UBR Uncoded Burst Rate (Mbps) SINADR (dB) 54 25 48 23 36 18 24 15 18 11 12 9 9 9 6 7
 RedCONNEX™    User  AN-80i Manual  70-00072-01-05-DRAFT  Proprietary Redline Communications © 2008  Page 48 of 94  January 22, 2008  4.4.3 Group Screen Click New Group in the left-hand menu to display a blank Group configuration screen. The Group configuration defines how Ethernet packets are handled on the sector controller. A Group must be created for each VLAN to be transported across the wireless interface.  Figure 25: PMP - Group Configuration Screen  Group Group Name: Enter a name for this Group (15 characters max.). The Group name is displayed on configuration and statistics screens. Group ID: (Read only) A unique Group ID is generated automatically when a new Group is created. The Group ID number is required when associating Connections to this Group. Group Tagging Mode: Select the packet processing performed at the sector controller. Packets are forwarded unicast (known address) or multicast (unknown address). Further processing is performed at the subscriber based on the Connection configuration. Tagged: Select tagged to associate a unique VID with this Group. Packet received at sector controller Ethernet interface: A packet with this VID has the matching (outermost only) VLAN tag removed. The packet is forwarded over the wireless to all subscribers in this Group. Packet received at sector controller wireless interface (from subscriber): The packet belonging to this Group is forwarded unmodified over the wireless to all subscribers belonging to this Group.  If the sector controller Ethernet port is enabled, a VLAN tag is added (outermost) and set to the VID (Group VLAN ID field) for this Group and the packet is forwarded to the sector controller Ethernet Port. Pass-through: Select pass-through to create a Group to process all packets that do not have a VLAN ID, or the outermost VLAN ID tag does not match the VLAN ID for
 RedCONNEX™    User  AN-80i Manual  70-00072-01-05-DRAFT  Proprietary Redline Communications © 2008  Page 49 of 94  January 22, 2008 any Group. Only one pass-through Group can be defined for each sector controller. If a pass-through Group is not configured, all untagged packets received at the sector controller Ethernet ingress port are discarded.  Packet received at sector controller Ethernet interface: The packet is forwarded unmodified over the wireless to all subscribers in this Group. Packet received at sector controller wireless interface (from subscriber): The packet is forwarded unmodified over the wireless to all subscribers in this Group.  If the sector controller Ethernet port is enabled, the packet is also forwarded to the sector controller Ethernet port. Group VLAN ID: Enter the VID associated with this Group definition. This field is used only when 'Tagged' is selected in the Group Tagging Mode field. Default Priority: Enter the default 802.1p priority setting. The default priority setting is used only when the Group Tagging Mode is set to 'pass-through' mode and the associated Connection Tagging Mode is set to 'Tagged'. The Group Default Priority value is used when adding the 802.1Q tag (Connection VLAN ID) to the packet being forwarded. SC Ethernet Enable: Controls the sector controller Ethernet port. Check this box   to allow ingress and egress data traffic on the sector controller Ethernet interface. Uncheck this box ( ) to block all data traffic on the sector controller Ethernet interface. The sector controller Ethernet port remains available for management traffic. SS To SS Multicast Enable:  Check this box   to enable group multicast traffic between subscribers. Uncheck this box ( ) to block all multicast traffic between subscribers. Wireless Traffic Parameters Changes to these settings affect the CIR and PIR for all groups and connections on the wireless link. Group QoS Level: This setting represents the range of CIR available to Group members for downlink multicast/broadcast traffic.  It is strongly recommended to calculate the Group QoS Level using the Redline AN-80i PMP Configuration Tool -- the Group QoS level can be read from the QoS column in the Group ID Configuration section. To manually determine this setting, identify the member Link having the lowest UBR and calculate the Group QoS Level using the formula: Burst Rate - 1. A zero setting disables all DL broadcast and multicast traffic for this group. Rate: Enter the maximum downlink burst rate for this Group. It is recommended to use the 'auto' setting where the AN-80i selects the most reliable rate. To manually determine this value, identify the Group member having the lowest DL burst rate, and then set the Rate using the formula: Max DL Burst Rate - 1. For applications requiring a higher broadcast/multicast rate (e.g., video), a higher setting can be used at the risk of less reliable retransmissions.
 RedCONNEX™    User  AN-80i Manual  70-00072-01-05-DRAFT  Proprietary Redline Communications © 2008  Page 50 of 94  January 22, 2008  4.4.4 Connection Screen Click New Connection in the left-hand menu to display a blank Connection configuration screen. To view an existing Connection, click Groups or  Links, and then click Expand to display the Connections for that Group/link, and then click Config for the desired Connection. At least one Connection must be created for each VLAN to be transported across the wireless switch. The Connection configuration defines how Ethernet packets are handled on the subscribers. Each subscriber can participate in multiple VLANs.  Figure 26: PMP - Connection Configuration Screen  Connection Configuration Connection Name: Enter a name for this Connection (15 characters max.). The Connection name is displayed on configuration and statistics screens. Connection ID: (Read only) A unique Connection ID is generated automatically when a new link is created. The Connection ID number is required when assigning this Connection to a Group. Connection Tagging Mode: Select the packet processing at the subscriber. Tagged: Select tagged to associate a unique VID with this Connection. Further processing is performed at the sector controller based on the Group configuration associated with this Connection.
 RedCONNEX™    User  AN-80i Manual  70-00072-01-05-DRAFT  Proprietary Redline Communications © 2008  Page 51 of 94  January 22, 2008  Packet received at subscriber Ethernet interface: Each packet with this VID (Connection VLAN ID field) has the matching VLAN tag (outermost only) removed and is forwarded over the wireless interface to the sector controller.  Packet received at subscriber wireless interface (from sector controller): A VLAN tag is added (outermost) and set to the VID (Connection VLAN ID field) for this Connection. The packet is forwarded to the subscriber Ethernet port.  Pass-through: Select pass-through to create a Connection to process all untagged packets and packets where the outermost VLAN ID tag does not match the VID (Connection VLAN ID field) for with this Connection. Only one pass-through Connection can be defined for each subscriber. If a pass-through Group is not configured, all untagged packets received at the subscriber Ethernet ingress port are discarded. Packet received at subscriber Ethernet interface: The packet is forwarded unmodified over the wireless to the sector controller. Packet received at subscriber wireless interface (from sector controller): The packet is forwarded unmodified to the subscriber Ethernet port.  Connection VLAN ID: Enter the VLAN ID tag associated with this Connection definition. This field is used only when 'Tagged' is selected in the Connection Tagging Mode field.  Default priority: Enter the default 802.1p priority setting. The default priority setting is used only when the Connection Tagging is set to 'pass-through' mode and the associated Group Tagging Mode is set to 'Tagged'. The Connection Default Priority value is used when adding the 802.1Q tag (Group VLAN ID) to the packet being forwarded. Parent Link ID: Enter the Link ID for this Connection. This is the unique identification value created automatically when the subscriber Link was added. See Links List below. Links List: Click this text (right side of screen) to display a list of existing Link IDs. Parent Group ID: Enter the Group ID for this Connection. This is the unique identification value created automatically when the subscriber Link was added. See Groups List below. Groups List: Click this text (right side of screen) to display a list of existing Group IDs. Wireless Traffic Parameters The sector controller allocates bandwidth for all subscribers using the Weighted Round Robin algorithm with the combined total of all QoS levels acting as weights. The aggregate QoS settings affect packet delay and jitter values for the entire sector.  It is strongly recommended to calculate DL QoS and UL QoS levels using the Redline AN-80i PMP Configuration Tool -- the QoS levels for each Connection can be read directly from the QoS column in the Connection ID Configuration section. To manually determine these settings, identify the maximum UL and DL burst rate for the associated Link and calculate the highest available level using the formula: Burst Rate - 1. DL QoS Level: Enter the UBR for downlink unicast traffic for this connection. UL QoS Level: Enter the UBR for uplink unicast traffic for this connection.
 RedCONNEX™    User  AN-80i Manual  70-00072-01-05-DRAFT  Proprietary Redline Communications © 2008  Page 52 of 94  January 22, 2008  4.5 Browse Screens 4.5.1 Links Screen Click Links in the menu to display the links browse screen. This is a list of all configured wireless links.  Figure 27: PMP - Links Browse Screen ID: Unique number identifying each link. Name: User-assigned name for each link. Config: Click Config on any line to display the Link Configuration screen associated with that Link. Status: Click Status on any line to display the Link Statistics screen associated with that Link. This includes uplink and downlink statistics for the link. Expand: Click Expand on any line to display the Connections browse screen showing all Connections associated with that Link. Delete: Click Delete on any line to delete that Link. A link can not be deleted until all Connections referencing this link are deleted.
 RedCONNEX™    User  AN-80i Manual  70-00072-01-05-DRAFT  Proprietary Redline Communications © 2008  Page 53 of 94  January 22, 2008  4.5.2 Groups Screen Click  Groups in the menu to display the Groups browse screen. This is a list of all configured Groups.  Figure 28: PMP - Groups Browse Screen ID: Unique number identifying each Group. Name: User-assigned name for each Group. Config: Click Config on any line to display the Group Configuration screen associated with that Group. Status: Click Status on any line to display the Group Statistics screen associated with that Group. This includes uplink and downlink statistics for the Group. Expand: Click Expand on any line to display the Connections browse screen showing all Connections associated with that Group. Delete: Click Delete on any line to delete that Group. A Group can not be deleted until all Connections referencing this Group are deleted.
 RedCONNEX™    User  AN-80i Manual  70-00072-01-05-DRAFT  Proprietary Redline Communications © 2008  Page 54 of 94  January 22, 2008  4.5.3 Connections Screen The  Connections browse screen is accessible only from the Groups or Links browse screens. Click Groups or Links in the menu and then click Expand for any Group or Link.  Figure 29: PMP - Connections Browse Screen ID: Unique number identifying each Connection. Name: User-assigned name for each Connection. Group: Click the Group number (i.e., 4) on any line to display the Group associated with this Connection. Link: Click the link number (i.e., 5) on any line to display all Connections configuration for that link. Config (Configure): Click Config on any line to display the Link configuration screen for that item. Status (Statistics): Click Status on any line to display uplink and downlink statistics for that Connection. Expand: Click Expand on any line to display the Connections browse screen. Delete (Delete): Click Delete on any line to delete that Connection.
 RedCONNEX™    User  AN-80i Manual  70-00072-01-05-DRAFT  Proprietary Redline Communications © 2008  Page 55 of 94  January 22, 2008  4.6 Statistics Screens 4.6.1 Link Statistics The Link Statistics screen is accessible only from the Links browse screen. Click Links in the menu and then click Status to display the statistics screen.   Figure 30: PMP - Link Statistics Screen General Link Name: User-assigned name for this link. Link ID: Unique number identifying this link. Peer MAC: MAC Address of the subscriber. Active: Indicates if wireless link is operational (Active=YES). Link Up Time: Total time the wireless link has been operational. Link lost Count: Number of times link has been out of service. Status Code: Code indicating the condition of the AN-80i system. Status indications are specific for PMP and PTP operation.  Configured Connections: The number of Connections configured on this link. Wireless The following statistics are displayed for both uplink and downlink. Burst Rate: The current uncoded burst rate for the link. RSSI: RSSI measured since the last screen refresh. SINADR: Average signal to interference, noise, and distortion ratio measured since the last screen refresh. Lost Frames: Number of frames lost.
 RedCONNEX™    User  AN-80i Manual  70-00072-01-05-DRAFT  Proprietary Redline Communications © 2008  Page 56 of 94  January 22, 2008 Blocks Blocks Total: Total number of blocks retransmitted over the wireless interface. Blocks Retransmitted: Number of blocks retransmitted over the wireless interface. Blocks Discarded: Number of blocks discarded (could not be sent over the wireless). Controls Refresh: Click Refresh to update the statistics display. 4.6.2 Group Statistics Use the Group statistics screen to view statistics for all downlink traffic on Connections to this Group. Click Groups in the menu to display the Groups browse screen. Click Status to display downlink statistics for the selected Group.  Figure 31: PMP - Group Statistics Screen General Group Name: Name assigned to this Group. Group ID: Unique numeric identifier for this Group. Packet (Downlink) Packets Discarded: Number of Ethernet packets discarded (could not be sent over the wireless interface). Packets Transmitted: Number of Ethernet packets transmitted over the wireless interface. Packets Received: Number of Ethernet packets received over the wireless interface. Controls Reset: Click Reset to zero the statistics values. Refresh: Click Refresh to update the statistics display.
 RedCONNEX™    User  AN-80i Manual  70-00072-01-05-DRAFT  Proprietary Redline Communications © 2008  Page 57 of 94  January 22, 2008  4.6.3 Connection Statistics Use the Connection statistics screen to view statistics for all uplink and downlink traffic on the selected Connection. Click Groups in the menu to display the Groups browse screen. Click  Expand to display a list of Connections. Click Status to display statistics for the selected Group.  Figure 32: PMP - Connection Statistics Screen General Name: Name assigned to this Connection. ID: Unique numeric identifier for this Connection. Packet Packets Discarded: Number of Ethernet packets discarded (could not be sent over the wireless interface). Packets Transmitted: Number of Ethernet packets transmitted over the wireless interface. Packets Received: Number of Ethernet packets received over the wireless interface. Controls Reset: Click Reset to zero the statistics values. Refresh: Click Refresh to update the statistics display.
 RedCONNEX™    User  AN-80i Manual  70-00072-01-05-DRAFT  Proprietary Redline Communications © 2008  Page 58 of 94  January 22, 2008  4.6.4  System Status - PMP Wireless Statistics Click System Status in the menu to view system, Ethernet statistics, and wireless interface statistics. The sector controller status screen includes information about the PMP deployment.  Figure 33: PMP - System Status Screen Configured Stations: This is the number of Links defined (to subscribers). Configured Connections: The number of Connections defined for all subscribers. Active Wireless Links: The number of registered subscribers. Active Wireless Connections: The number of connections to registered subscribers. For all other statistics, refer to Wireless Statistics on page 21.  4.7 Quick Configuration Guide This procedure is to aid configuring point-to-multipoint (PMP) operation on AN-80i systems. For complete installation and operational procedures. refer to the AN-80i System User Manual, the AN-80i Quick Install Guide, and the Installation Guidelines provided on CD-ROM.  The VLAN tagging feature allows the user to configure and operate an AN-80i deployment as a VLAN-aware wireless switch. A 'group' is created at the sector controller for each VLAN to be transported, and 'connections' are added to enable data flow with any subscriber station participating in that VLAN. If VLAN is not required, a default group and set of connections must be setup to define the traffic characteristics. Prior to completing this setup, no Ethernet data traffic can be transmitted over the wireless interface.
 RedCONNEX™    User  AN-80i Manual  70-00072-01-05-DRAFT  Proprietary Redline Communications © 2008  Page 59 of 94  January 22, 2008  Figure 34: PMP - Pass-through Only Deployment The procedures provided below include steps to setup a basic working configuration for initial testing, and then to introduce VLAN traffic controls. 4.7.1  Configure Pass-Through Operation  For initial installation and testing, it is recommended to setup a PMP configuration without VLAN support. Use the following steps to configure a PMP pass-through link. Step 1: Create New Link for Each Subscriber 1. Click New Link to display the Link Configuration screen. 2. Enter a unique name for this link in the Link Name field. 3. Enter the MAC address of the subscriber station in the Peer MAC field. 4. Enter the UBR for this link (based on link budget calculations). 5. Use the default values for all other fields. 6. Click the Apply button to save and activate these settings. 7. Repeat steps 1 - 6 for each subscriber station.
 RedCONNEX™    User  AN-80i Manual  70-00072-01-05-DRAFT  Proprietary Redline Communications © 2008  Page 60 of 94  January 22, 2008  Step 2: Create Single Pass-through Group 1. Click New Group to display the Group Configuration screen. 2. Enter a unique name for this group in the Group Name field.  3. Set the Group Tagging Mode to Pass-through. 4. Check the SC Ethernet Enable box  . 5. Set the Group QoS value for sending multicasts (i.e., 5). A value of zero (0) disables all traffic. 6. Use the default values for all other fields. 7. Click the Apply button to save and activate these settings. Step 3: Create Connections 1. Click New Connection to display the Connection Configuration screen. 2. Enter a unique name for this connection in the Connection Name field. 3. Set the Connection Tagging Mode to Pass-through. 4. Enter the Link ID of a subscriber station in the Link ID field. 5. Enter the Group ID in the Group ID field. 6. Set the DL QoS Level and UL QoS Levels. Default values are MAX Burst Rate Value - 1. A value of zero (0) disables all traffic. 7. Click the Apply button to save and activate these connection settings. 8. Repeat steps 1 - 7 to add a connection for each subscriber station. Step 4: Save Configuration Click Save in the left-hand menu to permanently save all settings. The system will pass all tagged and untagged data and management traffic.  The following table provides sample settings for a pass-though group at the sector controller and connections to two subscriber stations. Table 12: PMP - Basic Pass-Through Group Configuration Settings Group Configuration (SC)  Connection Configuration (SS) Group Name  Group  Tagging Mode Group VLAN ID Connection Name  Connection Tagging Mode Link ID Group ID Connection VLAN ID SC-1 Pass Through NA SS-1  Pass Through [L-1]* [SC-1]*  NA     SS-2 Pass Through [L-2]* [SC-1]*  NA *The group ID and link ID are numbers generated automatically by the AN-80i.
 RedCONNEX™    User  AN-80i Manual  70-00072-01-05-DRAFT  Proprietary Redline Communications © 2008  Page 61 of 94  January 22, 2008  4.7.2 VLAN Configuration Use these steps to convert the system from pass-through operation to VLAN tagged connections. Step 1: Change Group to VLAN Tagged 1. Click Groups to display the Groups Configuration screen. 2. Click Config to edit the Group configuration. 3. Set the mode to Tagged in the Group Tagging Mode field. 4. Enter the VID for this group in the Group VLAN ID field. 5. Click the Apply button to save and activate these settings. Step 2: Change Connections to VLAN Tagged 1. Click Groups in the menu to display the Groups Configuration screen. 2. Click Expand to view all connections for that Group. 3. Choose a connection and click Config to edit the Connection Configuration. 4. Set the mode to Tagged in the Connection Tagging Mode field. 5. Enter the VLAN ID for this connection in the Connection VLAN ID field. 6. Click the Apply button to save and activate these settings. 7. Repeat steps 1 through 6 for each Connection in the Group. Step 3: Save Configuration Click Save in the left-hand menu to permanently save and activate all settings. The system will now pass only VLAN tagged traffic.
 RedCONNEX™    User  AN-80i Manual  70-00072-01-05-DRAFT  Proprietary Redline Communications © 2008  Page 62 of 94  January 22, 2008             Chapter 5 55  CCLLII  IInntteerrffaaccee  This section describes the procedures for configuring and operating the AN-80i using CLI over a Telnet Connection. 5.1  CLI Command Summary All commands are case-sensitive. Use the following general format:  command <Enter> Online help is available for all commands, and the Tab key can be used for auto-complete functions. The following table lists all AN-80i commands available from root mode (default mode when you login). Table 13: CLI - Command Summary PTP PMP  Command  Description √ √ chgver  Change the default version of software and reboot the AN-80i.  √ clear  Clear commands.  √ del  Delete an ID  √ enable  Enable an ID √   freq  Enter frequency ranges for autoscan and DFS √ √ get  Display the value of a statistic or read-only parameter (i.e., MAC).   √ load  Load commands.  √ new  Create a new ID √   ping  Send a ping message from the AN-80i system. √ √ reset  Reset the AN-80i statistics values. √ √ save  Save the selected configuration settings (i.e., SNMP settings)  √ script  Generate a configuration script. √ √ set  View/modify a system parameter value. √ √ show  View system compound objects (i.e., configuration settings). √ √ snmpcommunity  View/modify the SNMP community settings. √ √ snmptrap  View/modify the SNMP trap settings. √ √ test  Activate edited changes to the system configuration for a test period of five minutes. √ √ upgrade  Upload a software binary image to the AN-80i. √ √ user  View/modify the user/password configuration.
 RedCONNEX™    User  AN-80i Manual  70-00072-01-05-DRAFT  Proprietary Redline Communications © 2008  Page 63 of 94  January 22, 2008  Table 14: CLI - Root Mode Commands PTP PMP Command Description    Tab  When entering a command, hit the Tab key at any time to perform auto-complete or view available options. √ √ ?  Use the '?' character to display help for any command or mode. Example: From the root directory, enter the following command to list all parameters that can be changed using the 'set' command:  set ? √ √ CTRL-Z  Return to root mode. Cancel command entry (alternative to backspace delete). √ √ exit  Return to parent node / mode. all (exit all) Return to root mode. √ √ logout  Terminate this telnet session. May be entered from any mode.  5.2 Connecting with Telnet To connect to the AN-80i, open a Telnet session to the IP address of the AN-80i. On a Windows™ PC, open the Run command and type 'telnet' followed by the IP address of the AN-80i. When the command prompt screen appears, login to the AN-80i. The AN-80i may now be controlled using a set of CLI commands.  Figure 35: CLI - Connecting via Telnet The system will logout users automatically if no commands are received (idle) for five minutes. To exit immediately from the CLI, type the following command: logout [ENTER]  5.3  CLI Command Set 5.3.1 Chgver Use the chgver command to change the software version to loaded when you reboot the AN-80i. Also see the Get command 'swver'. Table 15: CLI - chgver PTP PMP Parameter/Description √ √  Enter this command to toggle between software versions. The setting will alternate between the two banks of memory (no parameters). chgver <Enter>
 RedCONNEX™    User  AN-80i Manual  70-00072-01-05-DRAFT  Proprietary Redline Communications © 2008  Page 64 of 94  January 22, 2008 5.3.2 Clear Use the clear command to delete all IDs from an ID table. Table 16: CLI - clear PTP PMP Parameter/Description  √ clear  idtable  - Clear all the IDs  5.3.3 Del Use the del command to delete a specific ID. Table 17: CLI - del PTP PMP Parameter/Description  √ del  <id>     - [id number]  5.3.4 Enable Use the enable command to re-enable a specific ID (that was disabled). Table 18: CLI - enable PTP PMP Parameter/Description  √ enable  <id>     - [id number]   5.3.5 Freq Use the freq command to configure frequency ranges when using autoscan or DFS. Table 19: CLI - enable PTP PMP Parameter/Description √   freq add  Add a frequency range (up to 32 ranges).   <begin>  - start frequency (MHz)   <end>    - end frequency (MHz) del  Delete a frequency validation range   <index>   - Frequency validation range index print  Print the list of frequency validation ranges.    Local frequency ranges:    <index> <begin> <end> reload  Reload the active list of frequency validation ranges.
 RedCONNEX™    User  AN-80i Manual  70-00072-01-05-DRAFT  Proprietary Redline Communications © 2008  Page 65 of 94  January 22, 2008  5.3.6 Get Use the get command to view system parameters. Use the following general format to view a parameter: get [field] <Enter> Table 20: CLI - get PTP PMP Parameter/Description √  calcdst: Calculated link distance between units. √ √ erxpkt: Number of Ethernet packets received. √ √ erxpktd: Number of Ethernet packets received that were discarded. √ √ etxpkt: Number of Ethernet packets transmitted. √ √ mac: AN-80i MAC address. √ √ radiotype: Radio type. √ √ rffreq: Current RF frequency setting. √  rflink: Status of the RF link. √ √ rfstatus: Status RF transmitter. √  rssimax: Maximum RSSI. √  rssimean: Mean RSSI. √  rssimin: Minimum RSSI. √  sinadr: Ration of signal to interference + noise. √ √ swver: List the downloaded software versions. √ √ sysuptime: Display the time since the last reboot. √ √ txpower: Current Tx power setting. √  ubrate: Current UBR value. √  wrxpkt: Number of wireless packets received. √  wrxpktd: Number of wireless packets received that were discarded. √  wrxpktr: Number of wireless packets that were retransmitted. √  wtxpkt: Number of wireless packets transmitted. √  wtxpktd: Number of wireless packets transmitted that were discarded. √  wtxpktr: Number of wireless packets that were retransmitted.  √ activeids: Number of active IDs.  √ activelinks: Number of the active links.  √ boardtype: Board type.  √ dldpkt: Downlink discarded packets counter.  √ dlrpkt: Downlink Rx packets counter.  √ dltpkt: downlink Tx packets counter.  √ idenable: ID status.  √ lactive: Link active status.  √ ldlblk: Downlink total blocks counter.  √ ldlbr: Downlink burst rate.
 RedCONNEX™    User  AN-80i Manual  70-00072-01-05-DRAFT  Proprietary Redline Communications © 2008  Page 66 of 94  January 22, 2008 Table 20: CLI - get  √ ldldblk: Downlink discarded blocks counter.  √ ldllfr: Downlink lost frames counter.  √ ldlrblk: Downlink retransmitted blocks counter.  √ ldlrssi: Downlink RSSI.  √ ldlsnr: Downlink SINADR.  √ llostc: Link lost Connection counter.  √ lrcon: Number of link registered Connections.  √ lscode: Link status code.  √ lulblk: Uplink total blocks counter.  √ lulbr: Uplink burst rate.  √ luldblk: Uplink discarded blocks counter.  √ lullfr: Uplink lost frames counter.  √ lulrblk: Uplink retransmitted blocks counter.  √ lulrssi: Uplink RSSI.  √ lulsnr: Uplink SINADR.  √ luptime: Link up-time.  √ regconn: Number of configured Connections.  √ regstations: Number of configured stations.  √ uldpkt: Uplink discarded packets counter.  √ ulrpkt: Uplink Rx packets counter.  √ ultpkt: Uplink Tx packets counter.  √ werxpkt: Wireless Eth Rx packets counter.  √ werxpktdis: Wireless Eth Rx discarded packets counter.  √ werxpkterr: Wireless Eth Rx packets with errors counter.  √ wetxpkt: Wireless Eth Tx packets counter.  √ wetxpktdis: Wireless Eth Tx discarded packets counter.  √ wetxpkterr: Wireless Eth Tx packets with errors counter.  5.3.7 Load Use the load command to load an ID table from non-volatile memory. Table 21: CLI - load PTP PMP Parameter/Description  √ load  idtable  - Load all IDs from saved (FLASH) memory.
 RedCONNEX™    User  AN-80i Manual  70-00072-01-05-DRAFT  Proprietary Redline Communications © 2008  Page 67 of 94  January 22, 2008  5.3.8 New Use the new command to create a new link, group, or connector ID. Table 22: CLI - new PTP PMP Parameter/Description  √ new  <id_type>  - [link | group | conn]  <id>     - <id number>  5.3.9 Ping Use the ping command to initiate an ICMP ping command from the AN-80i. Table 23: CLI - new PTP PMP Parameter/Description √   ping <address>  - Target IP address <count>  - Number of ICMP packets to send [1..16]. 5.3.10 Reset Use the reset command to set all AN-80i statistics values to zero. Table 24: CLI - reset PTP PMP Parameter/Description  √ √  stats: Reset the AN-80i statistics counters.  reset stats <Enter> 5.3.11 Save Use the save command to copy edited parameter settings into non-volatile memory.  save [option] <Enter> Table 25: CLI - save PTP PMP Parameter/Description √ √ config: Save Ethernet, wireless, and user configuration settings. snmp: Save SNMP settings. defaultconfig: Overwrite parameters with the factory default settings. The following settings are not affected: system name, location, details and contact, frequency list, SNMP configuration, IDs table (PMP only). 5.3.12 Script Use the script command to save a file containing a string of CLI commands that can be used to restore the current (active) configuration of the AN-80i.  Table 26: CLI - script PTP PMP Parameter/Description  √ script  <server>   - [server IP address]  <name>    - [script file name]
 RedCONNEX™    User  AN-80i Manual  70-00072-01-05-DRAFT  Proprietary Redline Communications © 2008  Page 68 of 94  January 22, 2008 5.3.13 Set Use the set command to view and/or change a parameter. View a parameter: set [field] <Enter> Change a parameter: set [field] [value] <Enter> Table 27: CLI - set PTP PMP Parameter/Description  √ activekey: Current active options key.  <active_idx>   - [ 0 | 1] √  adaptmod: Enable or disable the adaptive modulation function.  off - Disable  on - Enable When enabled, the AN-80i will automatically change the modulation to the highest setting that can sustain a packet error rate lower than 1x10e-6. If the packet error rate exceeds 1x10e-6, the system automatically steps down modulation/code rate (i.e., from 16 QAM 3/4 to 16 QAM 1/2 ) to maintain the wireless link quality. √  antgain: Enter value for antenna gain (dBi). When DFS is enabled, it is important that the Antenna Gain setting matches the true antenna gain. If the antenna gain is set higher incorrectly, the AN-80i is less sensitive to detecting interference, and is not operating in compliance with the UK/ETSI standard. √  atpc: Enable or disable the ATPC function. Both AN-80i units monitor Rx signal and automatically adjust the Tx level of the transmitting system to optimize system performance. The ATPC feature must be enabled on both ends of the link.  off - Disable  on - Enable  This mode can be changed only if allowed by the options key. If the options key does not allow changes: 1) value is specified by the options key, 2) executing a set command for this field will generate an error message. √ √ autoscan: Enable or disable the Autoscan function.  off - Disable  on - Enable  When enabled, the PTP Subscriber (system mode) AN-80i automatically scans available channels to locate the current operating frequency of the PTP Sector Controller system. Executing a set command this field on a PTP Sector Controller will generate an error message.  √ bsporten: Sector controller Ethernet port enable.  <id>     - [id number]  <mode>    - <on/off> √ √ buzzer: Enable or disable the audible alignment buzzer.  off - Disable  on - Enable When enabled, the rate of the tone is proportional to the receive signal strength (faster = stronger signal). √ √ chwidth: Enter the channel bandwidth in MHz. Valid entries are 10, 20, and 40.
 RedCONNEX™    User  AN-80i Manual  70-00072-01-05-DRAFT  Proprietary Redline Communications © 2008  Page 69 of 94  January 22, 2008 Table 27: CLI - set PTP PMP Parameter/Description  √ congid: Connection's group ID.  <id>     - [id number]  <gid>    - <gid>  √ conlid: Connection's Link ID.  <id>     - [id number]  <lid>    - <lid>  √ conpri: Connection priority.  <id>     - [id number]  <pri>    - <VLAN priority>  √ convid: Connection VLAN ID.  <id>     - [id number]  <vid>    - <VLAN ID>  √ conviden: Connection VLAN enable.  <id>     - [id number]  <mode>    - <on/off> √  dfsaction: Select the mode of operation for DFS. The system set to master-mode monitors for interference from radar devices and other equipment using the same channel frequency. When interference is detected, the system automatically takes the action selected using the drop-down menu:  <action>   - [none=0 | txoff=1 | chgfreq=2] None: The DFS function is disabled. Tx Off: Transmission is immediately disabled when radar signals are detected. This action is recorded in the message log and an SNMP trap message is sent (if SNMP enabled). Chg Freq: Relocate transmission to an alternative frequency immediately when radar signals are detected. This action is recorded in the message log and a trap message is sent (if SNMP enabled).  √ dlqos: Downlink QoS.  <id>     - [id number]  <qos>    - <QoS>  √ dlrate: Downlink rate.  <id>     - [id number]  <rate>    - <rate> √  dst: Enter the actual length of the path that the wave travels in order to establish the link. Units are defined by dstmu setting. This value is used to calculate the transmission-to-response interval and disregard reflections of the transmitted signal. Used only if dstmod is set to 'manual'. √  dstmode: Select the mode for determining the distance of the wireless link.  auto: Distance is calculated automatically by the AN-80i.  manual: Operator enters link distance. √  dstmu: Select the measurement unit for the link length (dstmode).  mile - dstmode units are miles  km - dstmode units are kilometers
 RedCONNEX™    User  AN-80i Manual  70-00072-01-05-DRAFT  Proprietary Redline Communications © 2008  Page 70 of 94  January 22, 2008 Table 27: CLI - set PTP PMP Parameter/Description √  efw: Enable or disable the Ethernet Follows Wireless function.  off - Disable  on - Enable When Ethernet Follows Wireless is enabled the Ethernet port status is controlled to reflect the status of the wireless interface. When the AN-80i detects that the wireless interface has failed (or is manually disabled), the local Ethernet port is immediately disabled. The Ethernet port is enabled when the AN-80i registers on the wireless link. √  efwtimeout: Enter the period (in seconds) the Ethernet port will remain disabled following loss of connectivity on the wireless interface. Following this interval, the Ethernet port will be automatically re-enabled to allow management of the AN-80i. √  encmode: Enable or disable the encryption function.  off - Disable  on - Enable If encryption is enabled, the correct encryption keys must be entered on both communicating systems. √  enckey: Enter the encryption key. If encryption is enabled, the correct encryption keys must be entered on both communicating systems. Used only if encmode is set to 'on'.  <mac>    - <MAC address> √ √ ethmode: Enter the Ethernet speed and duplex setting.  auto - Auto-negotiate  10hd - 10Base-T Half Duplex  10fd - 10Base-T Full Duplex  10hd - 100Base-T Half Duplex  100fd - 100Base-T Full Duplex √  exit: Exit from the current mode (go up one level). √ √ flowctrl: Enable or disable the flow control function. The Flow control feature enables the AN-80i to request other Ethernet devices to pause transmission during busy periods.  off - Disable  on - Enable √ √ gateway: Enter the IP address of the default gateway on this segment. √ √ gmt: Enter the time offset from GMT (i.e., -5 for EST).  √ grppri: Group priority.  <id>     - [id number]  <pri>    - <VLAN priority>  √ grpqos: Group QoS.  <id>     - [id number]  <qos>    - <QoS>  √ grprate: Group rate.  <id>     - [id number]  <rate>    - <group rate>  √ grpvid: Group VLAN ID.  <id>     - [id number]  <vid>    - <VLAN ID>
 RedCONNEX™    User  AN-80i Manual  70-00072-01-05-DRAFT  Proprietary Redline Communications © 2008  Page 71 of 94  January 22, 2008 Table 27: CLI - set PTP PMP Parameter/Description  √ grpviden: Group VLAN enable.  <id>     - [id number]  <mode>    - <on/off> √ √ http: Enable or disable the HTTP function. When disabled, the Web interface will not be available.  off - Disable  on - Enable  √ idname: ID name.  <id>     - [id number]  <name>    - <id name> - maximum 15 characters √  lkname: Link name.  <name>  - <id name> - maximum 15 characters √ √ ipaddr: Enter the IP address and subnet mask of the AN-80i. Address  - IP Address  Mask    - Subnet Mask  Yes    - Confirmation to proceed  √ maxdst: Maximum distance to a subscriber [Km].  <distance>  - Maximum distance from SC to SS [Km]. √ √ maxtxpower: Enter the Tx power level (dBm). This setting is for the transceiver output only. The actual EIRP depends on the gain of the connected antenna. See  ETSI Certified Antennas on page 87 for a list the maximum transmit power setting based on the antenna gain for a series of frequency settings. The maximum value for this field is determined by the options key.  √ mgmtag: Management VLAN enable.  <mode>  - [on | off]  √ mgmvid: Management VLAN ID.  <vlan_id>  - <VLAN ID> √  mrate: Enter the maximum uncoded burst rate (Mbps). Entry values are dependant on the channel bandwidth (chwidth).  10 MHz: 3, 4.5, 6, 9, 12, 18, 24 or 27   20 MHz: 6, 12, 18, 24, 30, 36, 48, or 54   40 MHz: 12, 24, 36, 48, 60, 72, 96, or 108  The maximum value for this field is determined by the options key. √ √ netmask: Enter the IP netmask. √ √ optionskey: Enter the options key string. <kIdx>    - Index of the options key [0 | 1]  <kStr>   - [<options_key_string>]  √ peermac: Peer MAC address.  <id>     - [id number]  <mac>   - <MAC address> √  pllm: Enable or disable prioritized low latency mode;  off - Disable  on - Enable √ √ radio: Enable or disable the radio transmitter.  off - Disable  on - Enable
 RedCONNEX™    User  AN-80i Manual  70-00072-01-05-DRAFT  Proprietary Redline Communications © 2008  Page 72 of 94  January 22, 2008 Table 27: CLI - set PTP PMP Parameter/Description √  ratedif: Enter the number of modulation levels to step down during re-transmission of errored wireless packets. The level can be set from 0 to 7 (recommended value = 2).  √ regper: Frames number between registrations.  <frames>   - The number of frames between registrations [4..100]. √ √ rffreq: Enter the center frequency for the RF channel. When operating multiple links in close proximity, channel frequencies should be separated by a minimum of the channel size to minimize interference. For example, when operating in with 20 MHz channels, the separation must be greater than 20 MHz. √ √ snmp: SNMP enable setting.  off - Disable the SNMP agent.  on - Enable the SNMP agent. √ √ snmptraplink: Enable or disable sending an SNMP trap message for each link-up and link-down event.  <setting>   - [on | off]  √ snmptraps: Status of the SNMP traps flag.  <mode>    - [on | off] √  snmptraps: Enable or disable sending all SNMP traps.  <setting>   - [on | off] √ √ sntp: SNTP enable setting.  off - Disable SNTP protocol support.  on - Enable SNTP protocol support. √ √ sntpip: Enter the SNTP server IP address. Valid only if sntp is enabled. √ √ sntppoll: Enter the interval to synchronize with the sntp server.  <polltime>   - SNTP polling interval [hours].  √ sstoss: Status of packet routing between SSs.  <id>     - [id number]  <mode>    - <on/off> - Route broadcast packets from SS to SS √ √ syscontact: Enter additional descriptive details about this AN-80i. The description can be any combination of up to 20 letters and numbers. √ √ sysdescr: Enter descriptive details about this AN-80i. The description can be any combination of up to 20 letters and numbers. √ √ sysloc: Enter descriptive details about the location of this AN-80i. The description can be any combination of up to 20 letters and numbers. √ √ syslog: Syslog enable setting.  off - Disable syslog server protocol support.  on - Enable syslog server protocol support. √ √ syslogip: Enter the syslog server IP address. Valid only if syslog is enabled.
 RedCONNEX™    User  AN-80i Manual  70-00072-01-05-DRAFT  Proprietary Redline Communications © 2008  Page 73 of 94  January 22, 2008 Table 27: CLI - set PTP PMP Parameter/Description √ √ sysmode: PTP Operation: ptpsector controller - The sector controller (base station) begins transmitting automatically; sending poll messages to locate the remote subscribers (ptpsubscriber). ptpsubscriber - Subscriber waits passively, monitoring the selected channel(s) until polled by the ptpsector controller (base station). PMP Operation: pmpsc - The sector controller (base station) begins transmitting automatically; sending poll messages to locate the remote subscribers (pmpss). pmpss - Subscribers wait passively, monitoring the selected channel(s) until polled by the pmpsc (sector controller). <SysMode>   - [pmpss | pmpsc] √ √ sysname: Enter the name for this AN-80i. The name can be any combination of up to 20 letters and numbers. √ √ telnet: Enable or disable the Telnet port. If the Telnet port is disabled, it will not be possible to use the CLI interface.  off - Disable  on - Enable Changes to this field are effective only following reboot. √ √ telnetport: Enter Telnet port address (default is 23).   √ ulqos: Uplink QoS.  <id>     - [id number]  <qos>    - <QoS>  √ ulrate: Set the uplink rate.  <id>     - [id number]  <rate>    - <rate>
 RedCONNEX™    User  AN-80i Manual  70-00072-01-05-DRAFT  Proprietary Redline Communications © 2008  Page 74 of 94  January 22, 2008  5.3.14 Show Use the show command to display system statistics. show <Enter>  Change to 'show' mode. show [field] <Enter>  Display values for the selected parameter. Table 28: CLI - show PTP PMP Description  √ config: list all system configuration information.   Example: 192.168.25.2(show)# config  System Information: sysname = 1234567890 sysdescr = b sysloc = c syscontact = d  Ethernet Configuration: ipaddr = 192.168.25.2 netmask = 255.255.255.0 gateway = 192.168.25.1 flowctrl = Off sntp   = On sntpip = 192.168.25.1 sntppoll = 24 gmt   = +0:00 syslog = Off syslogip = 192.168.25.1 ethmode = auto http   = On telnet = On telnetport = 23 snmp   = On snmptraps = On snmptraplink = On mgmtag = Off mgmvid = 0  Wireless Configuration: rffreq = 5610.0 autoscan = Off maxtxpower = 15 chwidth = 20 MHz sysmode = pmpsc swver  = 10.00.027 (other: 2.00.004) buzzer = On regper = 18 maxdst = 2 radio  = Off = 2 radio = Off  √ conns: list all Connections. <id>     - [id number] Example: 192.168.25.2(show)# conns 14  27 SS-001-Data Conn  √ groups: list all Groups. Example: 192.168.25.2(show)# groups  14   Data Group  15   Voice Group
 RedCONNEX™    User  AN-80i Manual  70-00072-01-05-DRAFT  Proprietary Redline Communications © 2008  Page 75 of 94  January 22, 2008 Table 28: CLI - show  √ idtable: list all system IDs. Example: 192.168.25.2(show)# idtable    ID   Name   Type  Status ----------------------------------------------------------------------------------------------------  4  Link    Not Enabled  5  Link    Not Enabled  14  Data  Group  Enabled  15  Voice  Group  Enabled  24  Conn    Not Enabled  25  Conn    Not Enabled  26  Subscriber-001 Link  Enabled  27  SS-001-Data Conn  Enabled  28  SS-001-Voice Conn  Enabled  √ links: list of links. Example: 192.168.25.2(show)# links  26 Subscriber-001 Link √ √ log: list the system log. Example: 192.168.25.2(show)# log 000d, 00:00:00   1005 - User Configuration Load: OK 000d, 00:00:00   1016 - Options Key Properties Load: OK 000d, 00:00:00   1014 - Options Key Load: OK 000d, 00:00:00   1018 - Options Key Activated: OK 000d, 00:00:00   1001 - System Configuration Load: OK 000d, 00:00:00   1030 - SNMP Configuration Load: OK 000d, 00:00:00   1012 - System Description Load: OK 000d, 00:00:00   1007 - Network Configuration Load: OK 000d, 00:00:00   1010 - Version Ctrl Data Load: OK 000d, 00:00:02   1009 - Network Configuration: OK 000d, 00:00:11   1023 - Firmware configuration: OK 000d, 00:00:26   1033 - MAC Initialization: OK 000d, 00:13:29   2039 - SNTP: Time received: OK 000d, 02:15:00   1006 - User Configuration Save: OK √ √ snmp: list the SNMP Configuration. Example: Trap Configuration: SNMP Enabled:    On Traps Enabled:   On Trap Link Up/Down Enabled: On 0: 192.168.23.254 : 162 : public
 RedCONNEX™    User  AN-80i Manual  70-00072-01-05-DRAFT  Proprietary Redline Communications © 2008  Page 76 of 94  January 22, 2008 Table 28: CLI - show √ √ stats  <id>     - <id> Example: (show)# stats 14  General Information: sysname = abcdef sysdescr = b sysloc = c syscontact = d mac   = 00:09:02:00:bb:77 boardtype = AN-80i Rev 1.0 radiotype = T54i swver  = 10.00.023 (other: 10.00.019) sysuptime = 8 day(s), 20 hr, 19 min sysstarttime = N/A sysmode = pmpsc rffreq = 5490.0 txpower = 10 chwidth = 20 MHz rfstatus = 0 *       Ethernet Statistics: erxpkt = 3081 erxpktd = 0 etxpkt = 8089  Wireless Statistics: regstations = 0 regconn = 0 activelinks = 0 activeids = 0  Wireless Ethernet Statistics: werxpkt = 4592 werxpktdis = 0 werxpkterr = 0 wetxpkt = 0 wetxpktdis = 0 wetxpkterr = 0 * Status codes are displayed in binary format. See section 6.4: Status Codes on page 83 for details of the RF status codes. 5.3.15 Snmpcommunity Use the snmpcommunity command to configure SNMP community permissions. Table 29: CLI - snmpcommunity PTP PMP Description √ √ add: add a new snmp community to the snmp community table. The index value is assigned automatically. Up to eight community entries can be entered in the table.   snmpcommunity add <name> <string> <Enter>   snmpcommunity add <rights> 0 | r | w | rw <Enter> Where. 0 (zero):Deny read and write permission. r: Grant read access permission only. Deny write permission. w: Grant write access permission only. Deny read permission. rw: Grant read and write access permission for this community.   default: Set all snmp parameters to factory default settings.   snmpcommunity default <idx> <Enter>   del: Delete the specified community entry.   snmpcommunity del <idx> <Enter>   print: List all SNMP communities and associated permissions.   snmpcommunity print <Enter>
 RedCONNEX™    User  AN-80i Manual  70-00072-01-05-DRAFT  Proprietary Redline Communications © 2008  Page 77 of 94  January 22, 2008  5.3.16 Snmptrap Use the snmptrap command to configure the SNMP trap message reporting. Table 30: CLI - snmptrap PTP PMP Description √ √ add: add a new snmp trap to the snmp trap table. The index value is assigned automatically. Up to eight settings can be entered.   snmptrap add <ipaddr> <port> <community> <Enter>   change: Modify the specified snmp setting.   snmptrap change <idx> [-p <port>] [-i <ip_add>] [-c <community] <Ent>   del: Delete the specified snmp setting.    snmptrap del <idx> <Enter>   print: List all SNMP trap settings.    snmptrap print <Enter>   5.3.17 Test Use the test command to load the current edited (but not permanently saved) configuration settings.  Table 31: CLI - test PTP PMP Parameter/Description √ √ config - AN-80i configuration settings  test config <Enter>  The AN-80i will operate with these settings for a period of five minutes. During the 'test' period, you may click the Save button at any time to save this configuration permanently (also terminating the five minute timer). If the Save button is not selected, the previous saved settings are reloaded. 5.3.18 Upgrade Use the upgrade command to upload a new software binary file to the AN-80i. Table 32: CLI - upgrade PTP PMP Description √ √   ipaddr: Enter the IP address of the TFTP server. filename: Enter the name of the binary file to be uploaded to the AN-80i.  upgrade <ipaddr> <filename> <Enter> You must specify the TFTP server address and the full name of the binary file (including .bin extension). The AN-80i software binary file must be located in the default directory of the TFTP server.
 RedCONNEX™    User  AN-80i Manual  70-00072-01-05-DRAFT  Proprietary Redline Communications © 2008  Page 78 of 94  January 22, 2008  5.3.19 User Use the user command to manage user accounts, passwords, and user Groups. When in user mode, only the <chgpasswd> field is available, since the user can change only his own password. The other commands are available only for members of the administrator Group. Table 33: CLI - user PTP PMP Description √ √ add: Administrators can use this command to add new user accounts. This option is available only for administrators.   user add <username> <usertype> <Enter>    chgpasswd: For the user accounts, the chgpasswd command must be executed without the <username> parameter -- user's can change only their own password.   user chgpasswd [<username>] <Enter> Administrators can change their own password, or specify a <username> to change the password of the specified user account.   user chgpasswd [<username>] <Enter>    del: Administrators can use this command to delete user accounts. This option is available only for administrators.   user del <username> <Enter>    print: Administrators can use this command to display a list of user accounts. This option is available only for administrators.   user print <Enter>
 RedCONNEX™    User  AN-80i Manual  70-00072-01-05-DRAFT  Proprietary Redline Communications © 2008  Page 79 of 94  January 22, 2008            Chapter 6 66  DDiiaaggnnoossttiiccss  aanndd  TTrroouubblleesshhoooottiinngg  This section provides basic diagnostic and troubleshooting procedures to help solve problems that may occur with the system. If the system is not operating correctly after applying the suggestions in this section, please contact your local Redline representative. Include the model name and serial number of the system in your communications.  6.1  Factory Default Settings The following parameters are the factory default settings for the AN-80i. Table 34: Diag. - Factory Default Settings Section  Item  Factory Default Setting System User Name  admin  Password   admin Ethernet  IP Address   192.168.25.2  Subnet Mask   255.255.255.0  Gateway   0.0.0.0 Wireless  RF Channel  Set by factory key.   Tx power   14 dBm   Encryption   Enabled / no key Note: Factory defaults can only be restored using the CLI 'save' command.
 RedCONNEX™    User  AN-80i Manual  70-00072-01-05-DRAFT  Proprietary Redline Communications © 2008  Page 80 of 94  January 22, 2008  6.2  Procedure to Restore Factory Settings The AN-80i features a method to gain access to the CLI command prompt for a unit where the IP address, username, and/or password is unknown. This method requires local access to the AN-80i PoE power adapter, the ability to power-cycle the AN-80i, a PC with a telnet client, and an Ethernet cable.   Figure 36: CLI - Recovering Lost IP Address Use the following steps to gain access to the CLI command prompt: 1.  Power-off the AN-80i PoE adapter. Remove the local network Ethernet cable and connect your computer directly to the PoE adapter DATA (INPUT) Ethernet port. 2.  Open a command prompt window on the PC and enter the command:   telnet 192.168.25.2  <Do not press Enter key at this time> 3.  Restore power to the AN-80i PoE adapter and wait for 10 seconds. 4.  Power-off the AN-80i PoE adapter for 5 seconds (7 seconds maximum). 5.  Restore power to the AN-80i PoE adapter and wait for approximately 20 seconds. 6.  Press the Enter key on the PC (start the Telnet session). When the login prompt appears, you have approximately 30 seconds to login using 'admin' as the user name and 'admin' as password. After login, all AN-80i CLI commands are available. If the login prompt does not appear, re-enter the Telnet command (up to 60 seconds from power-on). If this is not successful, repeat steps 2 to 6 using a wait time in step 5 (30 to 40 seconds). 7.  Use the following command to restore the default IP address, username and password:   save defaultconfig <Enter> Note: The following parameters are not affected by the 'save defaultconfig' command:  -  System Name, System Location, System Details and Contact -  Frequency list -  SNMP configuration -  ID table (PMP only) 8.  Power-off the PoE adapter and re-connect the network cable. Restore power to the PoE adapter.
 RedCONNEX™    User  AN-80i Manual  70-00072-01-05-DRAFT  Proprietary Redline Communications © 2008  Page 81 of 94  January 22, 2008  6.3  Testing and Saving System Parameters The AN-80i is a highly configurable communications device. All user settings are saved in non-volatile RAM. The system configuration and snmp settings are saved separately. 6.3.1 CLI Interface Use the 'test' command to have the AN-80i load the edited settings. The AN-80i will operate with these settings for a period of five minutes. During the test period, you may click the Save button at any time to save this configuration permanently. Otherwise, after five minutes, the AN-80i will reboot and load the previously saved settings. Note: Factory defaults can only be restored using the CLI commands.  Figure 37: Diag: - Saving Parameters in NVRAM 6.3.2 Web Interface The Test button is located on the System Configuration page. Click this button to have the AN-80i load the current settings displayed in the configuration screen. The AN-80i will operate with these settings for a period of five minutes. During the test period you may click the Save button at any time to save this configuration permanently (also terminating the five minute timer). After five minutes, if the Save function button has not been applied, the AN-80i will reboot and load the previously saved settings.
 RedCONNEX™    User  AN-80i Manual  70-00072-01-05-DRAFT  Proprietary Redline Communications © 2008  Page 82 of 94  January 22, 2008  The following table lists some common troubleshooting tips for the web interface. Table 35: Diag. - Web Interface Diagnostics Symptom Possible Problem Solution Incorrect IP address and/or Subnet Mask. Perform a ping test from the host computer command line. If the ping test is unsuccessful, then the problem is with the IP address. Perform a long reset to apply the default address (192.168.25.2) and Subnet Mask (255.255.255.0) Problems with host computer, or AN-80i. If the ping is successful, reset the AN-80i, and/or reset the host computer. General Information screen is not displayed Host PC ARP table is incorrectly configured Run 'arp -d' whenever the AN-80i is swapped. Check that the subnet mask for the host PC matches the subnet mask of the AN-80i. Check that the host PC's address is 192.168.25.n, where 'n' is not equal to 0,2, or 255.  Attempt to login to the AN-80i using a Web browser. Microsoft Internet Explorer is recommended. If the AN-80i does not respond by displaying the login dialog box, check that the correct IP address is being used. The value 192.168.25.2 is the factory default value and may have been changed during installation. Test is to verify the IP address is reachable from the computer. Use the ping command to test the Connection between the AN-80i and host computer. >ping 192.168.25.2 If the ping test is successful, the host computer was able to send and receive packets to/from the AN-80i. The problem may be with the Internet browser or related settings on the host computer. Reboot the host computer to try to resolve the problem. If the ping is unsuccessful, there may be problems using that IP address; the IP address may be incorrect, or there may be a duplicate address. For correct operation the host computer and the AN-80i must be on the same subnet. For example, if the AN-80i is using the factory default settings, the host computer could be set for an IP of 192.168.25.3 and a subnet mask of 255.255.255.0. If the correct IP address of the AN-80i cannot be determined, it is recommended to perform the IP recovery procedure. See section 6.2: Procedure to Restore Factory Settings on page 80.
 RedCONNEX™    User  AN-80i Manual  70-00072-01-05-DRAFT  Proprietary Redline Communications © 2008  Page 83 of 94  January 22, 2008  6.4 Status Codes 6.4.1  PTP Status Codes The PTP status code is displayed in a series of decimal characters representing the status of six different alarm conditions. The value '1' indicates the associated condition is active. All unused bits are set to zero.  To determine the status, the decimal number must be converted to binary notation. It is recommended to use a scientific calculator that supports binary notation (i.e., Windows on-screen calculator). Set the mode for decimal and enter the status code. Change the mode to binary and match active bits (1) to the following table. For example, if 'RF High Temp. Warning' (2) and ' PHY lock error' (1 0000) were active, the status code value would be 34 (binary 100010) (leading zeros are not displayed). Table 36: Diag. - PTP Status Codes Error Type  Error # Decimal*  Error # (binary) Description Tx Power  1  1 Power output is less than 10 dBm. This message may appear before the RF link is established. RF High Temp. Warning 2  10 The transceiver internal temperature rose above 185F / 85C. The transceiver will shut down for 30 seconds to allow cooling. RF PLL Lock Error 16  1 0000 The PLL (Phase Locked Loop) section within the AN-80i experienced an error. Reset the AN-80i. PHY lock error 32  10 0000 The PLL (Phase Locked Loop) section within the AN-80i experienced an error. Reset the AN-80i. 80 MHz PLL lock error 64  100 0000 The PLL (Phase Locked Loop) section within the AN-80i experienced an error. Reset the AN-80i. Firmware Configuration Error 128  1000 0000 Error detected in the AN-80i configuration file. *Displayed decimal value if this is the only active error condition.
 RedCONNEX™    User  AN-80i Manual  70-00072-01-05-DRAFT  Proprietary Redline Communications © 2008  Page 84 of 94  January 22, 2008  6.4.2  PMP Status Codes The PMP status code is displayed in a series of hexadecimal characters representing the status of different alarm conditions. The value '1' indicates the associated condition is active. All unused bits are set to zero.  To determine the status, the hexadecimal number must be converted to binary notation. It is recommended to use a scientific calculator that supports binary notation (i.e., Windows on-screen calculator). Set the mode for Hex and enter the status code. Change the mode to binary and match active bits (1) to the PMP Status Codes table. For example, if 'Radio Over Temperature' bit 1 and 'PLL Error' bit 4 were active, the status code value would be Hex '12' (binary 1 0010).   Table 37: Diag. - PMP Status Code Bits 31 30 29 28 27 26 25 24 23 22 21 20 19 18 17 16 15 14 13 12 11 9  8  7  6  5  4  3  2  1  0   Table 38: Diag. - PMP Status Codes Bit Description 1 Radio over-temperature 4, 5, 6  PLL Errors 8 Firmware Error 16  No Ethernet packets received by the wireless MAC 17, 18, 19, 20, 21, 22, 23, 24, 25, 26, 27, 28 MAC Internal Errors
 RedCONNEX™    User  AN-80i Manual  70-00072-01-05-DRAFT  Proprietary Redline Communications © 2008  Page 85 of 94  January 22, 2008            Chapter 7  77  AAppppeennddiicceess  7.1  AN-80i Technical Specifications Table 39: Spec. - AN-80i Technical Specifications System Capability:  LOS, Optical-LOS, and Non-LOS RF Band:  4.9-5.3 GHz Radio Installed:  4.900 - 5.350 GHz (TDD) 1   5.4 GHz Radio Installed:    5.470 - 5.725 GHz (TDD) 1   5.8 GHz Radio Installed:    5.725 - 5.850 GHz (TDD) 1 Center Frequency Steps:  2.5 / 20 MHz 2 Channel Size:  PTP: 10, 20, 40 MHz (software selectable) 1   PMP: 10, 20 MHz (software selectable) 1 RF:  > 50 dB Rx Dynamic Range   Maximum Tx Power: 25 dBm (Ave. Max.) 3,8   Minimum Tx Power: -10 dBi   Automatic Transmit Power Control (ATPC)   Dynamic Frequency Selection (DFS)   Automatic link distance ranging   Up to 80 km (50 mi) line-of-sight @ 48 dBm EIRP 3 Data Rate:  Up to 90 Mbps average Ethernet rate (40 MHz channel) 4 Rx Sensitivity:  -88 dBm @ 3 Mbps max. (based on BER of 1x10e-9) PoE Cable:  Up to 91 m (300 ft) 5 Network Attributes:  802.3x Ethernet flow control   DHCP pass-through, transparent bridge   802.1p network traffic prioritization 6   802.1Q VLAN classification 7 Modulation/Coding Rates:  BPSK 1/2, BPSK 3/4, QPSK 1/2, QPSK 3/4, 16 QAM 1/2, 16 QAM 3/4, 64 QAM 2/3 and 64 QAM 3/4 Over The Air Encryption:  Proprietary private key encryption   AES-128 and AES-256 options 6 MAC: Concatenation   Time Division Multiple Access (TDMA)   Automatic Repeat Request (ARQ) error correction   Dynamic adaptive modulation (bi-dir. burst to burst auto select) 6  Packet fragmentation 7 Network Services:  Transparent to 802.3 services and applications Duplex Technique:  Dynamic TDD (time division duplex) Wireless Transmission:  OFDM (orthogonal frequency division multiplexing) Network Connection:  10/100 Ethernet (RJ-45) System Configuration:  HTTP (Web) interface, SNMP, Telnet (CLI) Network Management:  SNMP V2: standard and proprietary MIBs Power Requirements:  Standard IEEE 802.3af (15.4 W Max.) Operating Temperature:  -40 C to 60 C
 RedCONNEX™    User  AN-80i Manual  70-00072-01-05-DRAFT  Proprietary Redline Communications © 2008  Page 86 of 94  January 22, 2008 Table 39: Spec. - AN-80i Technical Specifications Dimensions/Weight:  289 mm x 190 mm x 51.5 mm (11.38 in x 7.50 in x 2.03 in) Humidity:  0% to 95% Non-condensing Weight:  2 Kg (4.4 lb) without bracket or antenna Storage Temperature:  -50 C to 70 C Compliance:  Safety: IEC, EN, and UL/CSA 60950   EMC: EN 301 489-1, EN 301 489-17   5.8 GHz Radio: Industry Canada RSS 210, FCC part 15, ETSI EN 302 502   5.4 GHz Radio (with DFS): Industry Canada RSS 210, FCC part 15, ETSI EN 301 893   Ingress Protection: Surpasses IP65  1   Actual RF Band limited by regional regulations. Refer to Table 47: Spec. - Regional Identification Codes on page 90 for available channels. 2   Center frequency is dependent on region. 3   Maximum operational power per channel with a given antenna is limited in accordance to maximum allowable EIRP levels for the region. 4   Actual Ethernet data throughput is dependent on: protocols, packet size, burst rate, transmission latency, and link distance. 5   With lightning arrestor installed. 6   PTP Only 7   PMP Only 8   Maximum power based on radio type.  Specifications are subject to change without notice.  7.2  AN-80i PoE Power Adapter Specifications  Table 40: Spec. - AN-80i PoE Power Adaptor Specifications PoE Power Block:  CINCON Model TR60A-POE-L Input:  Auto-sensing 110/220/240 VAC 50/60 Hz Output:  48 VDC 1.2A Max. Load Environmental:  Operating temperature: 0 to 60 C   Storage Temperature: -50 to 70 C   Operating Humidity: 5% to 95%  Dimensions:  35 x 70 x 150 mm (1.38 x 2.76 x 5.91 in) Specifications are subject to change without notice.
 RedCONNEX™    User  AN-80i Manual  70-00072-01-05-DRAFT  Proprietary Redline Communications © 2008  Page 87 of 94  January 22, 2008  7.3  ETSI Certified Antennas 7.3.1  5.4 GHz Radio: ETSI Certified Antennas  The following table lists ETSI certified 5.4 GHz antennas. Table 41: Spec. - ETSI Certified Antennas: 5.8 GHz Operation Redline PN  Gain (dBi)  Antenna Type  App.  Tx Power Setting 48-00064-00  32  4 degree, 4.900-5.875 GHz, 3 ft, parabolic  PTP  -3 48-00032-00  31.2  4.2 degree,  5.250-5.850 GHz, parabolic  PTP  -1 48-00024-00  28  4.5 degree, 5.15-5.875 GHz, flat panel  PTP  +1 48-00063-00  29  6 degree, 4.900-5.875 GHz, parabolic  PTP  +10 48-00031-00  28  6.2 degree, 5.250-5.850 GHz, parabolic  PTP  +1 48-00021-02  22  9 degree, 5.15-5.875 GHz, flat panel  PTP  +8 48-00030-00  22  12 degree, 5.250-5.850 GHz, parabolic  PTP  +8 48-00067-00  17.5  62 degree, 4.9-5.9 GHz, sector flat panel  PMP  +2 48-00066-00  16.6  90 degree, 4.9-5.9 GHz, sector flat panel  PMP  +3 48-00065-00  15  120 degree, 4.9-5.9 GHz, sector flat panel  PMP  +5 48-00048-01  9  360 degree, 5.0 - 6.0 GHz, omni  PMP  +10 Note: The RF output power and selection must be professionally programmed and installed by the manufacturer or a trained professional installer. 7.3.2  5.8 GHz Radio: ETSI Certified Antennas  The following table lists ETSI certified 5.8 GHz antennas. Operation is restricted to 10 MHz and 20 MHz channel operation only. Table 42: Spec. - ETSI Certified Antennas: 5.8 GHz Operation Redline PN  Gain (dBi)  Antenna Type  App.  Tx Power Setting 48-00021-02  22  9 degree, 5.15-5.875 GHz, flat panel  PTP  -1 48-00030-00  22  12 degree, 5.250-5.850 GHz, parabolic  PTP  -1 48-00067-00  17.5  62 degree, 4.9-5.9 GHz, sector flat panel  PMP  +5 48-00066-00  16.6  90 degree, 4.9-5.9 GHz, sector flat panel  PMP  +7 48-00065-00  15  120 degree, 4.9-5.9 GHz, sector flat panel  PMP  +9 48-00048-01  9  360 degree, 5.0 - 6.0 GHz, omni directional  PMP  +13  Note:  The RF output power and selection must be professionally programmed and installed by the manufacturer or a trained professional installer.
 RedCONNEX™    User  AN-80i Manual  70-00072-01-05-DRAFT  Proprietary Redline Communications © 2008  Page 88 of 94  January 22, 2008  7.4  FCC & IC Certified Antennas 7.4.1  5.4 GHz Radio: FCC & IC Certified Antennas  This device has been designed to operate with the antennas listed below, and having a maximum gain of 22 dB. Antennas not included in this list or having a gain greater than 22 dB are strictly prohibited for use with this device. The required antenna impedance is 50 ohms. Table 43: Spec. - FCC & IC Certified Antennas: 5.4 GHz Operation Redline PN  Gain (dBi)  Antenna Type  App.  Tx Power Setting 48-00021-02  22  9 degree, 5.15-5.875 GHz, sector, flat panel  PTP  -1 48-00067-00  17.5  62 degree, 4.9-5.9 GHz, sector flat panel  PMP  +5 48-00066-00  16.6  90 degree, 4.9-5.9 GHz, sector flat panel  PMP  +7 48-00065-00  15  120 degree, 4.9-5.9 GHz, sector flat panel  PMP  +9 48-00048-01  9  360 degree, 5.0 - 6.0 GHz, omni directional  PMP  +13 Note:  The RF output power and selection must be professionally programmed and installed by the manufacturer or a trained professional installer.  7.4.2  5.8 GHz Radio: FCC & IC Certified Antennas  This device has been designed to operate with the antennas listed below, and having a maximum gain of 34.6 dB. Antennas having a gain greater than 34.6 dB are strictly prohibited for use with this device. The required antenna impedance is 50 ohms. The following table lists FCC and IC certified antennas: Table 44: Spec. - FCC & IC Certified Antennas: 5.8 GHz Operation Redline PN  Gain (dBi)  Antenna Type  App.  Minimum Conducted Power (dBm) Max Conducted Power Ratings (dBm) Ave. GUI Power Display (dBm) 48-00033-00 34.6  3.4 degree, 5.250-5.850 GHz, parabolic PTP -12.7  26.2  20 48-00064-00  32  4 degree, 4.900-5.875 GHz, parabolic  PTP -12.7  26.2  20 48-00032-00 31.2  4.2 degree, 5.250-5.850 GHz, parabolic PTP -12.7  26.2  20 48-00024-00  28  4.5 degree, 5.15-5.875 GHz, flat panel PTP  -12.7  26.2  20 48-00063-00  29  6 degree, 4.900-5.875 GHz, parabolic  PTP -12.7  26.2  20 48-00031-00 28  6.2 degree, 5.250-5.850 GHz, parabolic PTP -12.7  26.2  20 48-00021-02  22  9 degree, 5.15-5.875 GHz, flat panel  PTP  -12.7  26.2  20 48-00030-00  22  12 degree, 5.250-5.850 GHz, parabolic PTP  -12.7  26.2  20 Note: The RF output power and selection must be professionally programmed and installed by the manufacturer or a trained professional installer.
 RedCONNEX™    User  AN-80i Manual  70-00072-01-05-DRAFT  Proprietary Redline Communications © 2008  Page 89 of 94  January 22, 2008   Table 45: Spec. - FCC & IC Certified Antennas: 5.8 GHz PMP Operation Redline Part Number  Gain (dBi) Description App. GUI Settings Tx Peak Conducted Power (dBm) 48-00014-00  16  60 degree, 5.150-5.875 GHz, sector flat panel  PMP  8  18.3 48-00028-00  17  60 degree, 5.250-5.850 GHz, sector, flat panel  PMP  7  17.1 48-00067-00  17.5  62 degree, 4.9-5.9 GHz, sector flat panel  PMP  5  14.9 48-00066-00  16.6  90 degree, 4.9-5.9 GHz, sector flat panel  PMP  7  17.2 48-00017-00  14  90 degree, 5.150-5.875 GHz, sector flat panel  PMP  10  20.5 48-00029-00  16  90 degree, 5.250-5.850 GHz, sector, flat panel  PMP  8  18.3 48-00065-00  15  120 degree, 4.9-5.9 GHz, sector flat panel  PMP  9  19.4 48-00047-00  15  120 degree, 5.15-5.875 GHz, sector, flat panel  PMP  9  19.4 48-00048-01  9  360 degree, 5.0 - 6.0 GHz, omni directional  PMP  13  20.3 Note: The RF output power and selection must be professionally programmed and installed by the manufacturer or a trained professional installer.  7.4.3  4.9 GHz Radio: FCC & IC 'PENDING" PTP Antennas The following table lists 4.9 GHz antennas that are pending certification from FCC & IC.  Table 46: Spec. - FCC & IC 'PENDING' Antennas: 4.9 GHz PTP Operation Redline Part Number  Gain (dBi) Description App. GUI Settings  Tx Peak Conducted Power (dBm) 48-00064-00  32  4 degree, 4.900-5.875 GHz, 3 ft, parabolic  PTP  TBA TBA 48-00063-00  29  6 degree, 4.900-5.875 GHz, 2 ft parabolic  PTP  TBA TBA 48-00067-00 17.5  62 degree, 4.9-5.9 GHz, sector flat panel  PMP  TBA  TBA 48-00066-00 16.6  90 degree, 4.9-5.9 GHz, sector flat panel  PMP  TBA  TBA 48-00065-00  15  120 degree, .9-5.9 GHz, sector flat panel  PMP  TBA  TBA Note: The RF output power and selection must be professionally programmed and installed by the manufacturer or a trained professional installer.
 RedCONNEX™    User  AN-80i Manual  70-00072-01-05-DRAFT  Proprietary Redline Communications © 2008  Page 90 of 94  January 22, 2008  7.5 Regional Codes The regional code is incorporated into the options key. This feature enforces compliance to regional regulatory statutes. Table 47: Spec. - Regional Identification Codes Regions Band  DFS Required1 Channel Size  (MHz) Channel Step (MHz)  Start - End2 (MHz) Region 01           US 5.8 ISM  No  10  2.5  5730 - 5845     20  2.5  5735 - 5840 CALA, Canada, China, Middle-East, US     40  2.5  5745 - 5830 Region 02           UK 5.8G  Yes 3  10  2.5  5730 - 5790 5820 - 5845 UK, Jersey, Norway     20  2.5  5735 - 5785 5825 - 5840 Region 03           CE 5.4G  Yes 4  10  20  5500 - 5700     20  20  5500 - 5700 EU     40  20  5500 - 5700 Region 04           US 5.4 ICM  Yes 5  10  2.5  5475 - 5720     20  2.5  5480 - 5715 US     40  2.5  5490 - 5705 Region 05           IC 5.4G  Yes 6  10  2.5  5475 - 5595 5655 - 5720     20  2.5  5480 - 5590 5660 - 5715 Australia, Canada     40  2.5  5490 - 5580 5670 - 5705 Region 06           IN 5.8 G  No  10  2.5  5830 - 5870     20  2.5  5735 - 5865 India     40  2.5  5845 - 5855 Region 07           DE 5.8 G  Yes 8  10  2.5  5750 - 5870     20  2.5  5765 - 5865 Denmark       Region 08           US  No  10  2.5  4945 - 4985 4.940 - 4.990   20  2.5  4950 - 4980 US       US Yes 5  10  2.5  5255 - 5345 5.250 - 5.350   20  2.5  5260 - 5340      40  2.5  5270 - 5330 Region 09           IC 4.9 G  No 7  10  2.5  4945 - 4985     20  2.5  4950 - 4980 Australia, Canada       IC 5.2 G  No 6  10  2.5  5255 - 5345 5.250 - 5.350   20  2.5  5260 - 5340       40  2.5  5270 - 5330 Region 10           JP 4.9 G  No  10  2.5  4905- 5085     20  2.5  4910 - 5080 Japan
 RedCONNEX™    User  AN-80i Manual  70-00072-01-05-DRAFT  Proprietary Redline Communications © 2008  Page 91 of 94  January 22, 2008 Table 47: Spec. - Regional Identification Codes Region 11           CE .2 G  No  10  2.5  5155 - 5245 5.150 - 5.250   20  2.5  5160 - 5240 EU     40  2.5  5170 - 5230 CE Yes 4  10  2.5  5255 - 5345 5.250 - 5.350   20  2.5  5260 - 5340       40  2.5  5270 - 5330  Notes: 1.  Where DFS is required by regional regulations, this function is permanently enabled at the factory and can not be disabled by the installer or end-user. 2. Center frequencies. 3.  UK VNS 2107/ EN302 502 4.  ETSI EN301893 v1.3.1 5.  FCC Part 15 6. IC RSS-210 7. IC RSS-111 8.  TKG § 55/EN302 502
 RedCONNEX™    User  AN-80i Manual  70-00072-01-05-DRAFT  Proprietary Redline Communications © 2008  Page 92 of 94  January 22, 2008  7.6  Glossary Of Terms Table 48: Spec. - Glossary Term Definition Antenna Gain The measure of antenna performance relative to a theoretical antenna called an isotropic antenna. ARQ  Automatic Repeat Request. This is the protocol used over the air for error correction. ATPC  Automatic Transmission Power Control. The sector controller-end system automatically adjusts the RF transmit level of both systems to optimize performance of the link. Beamwidth   The angle of signal coverage provided by an antenna. BFW  Broadband Fixed Wireless Bps  Bits Per Second A unit of measurement for the rate at which data is transmitted.  BPSK  Binary Phase Shift Keying Channel  A communications path wide enough to permit a single RF transmission. CIR  Committed information rate dB  A ratio expressed in decibels.  dBi   A ratio, measured in decibels, of the effective gain of an antenna compared to an isotropic antenna. dBm  Decibels above a milliwatt DFS  Dynamic Frequency Selection (DFS) can detect interference from other devices using the same frequency (especially radar) and automatically take a pre-selected action such as disable transmission or relocate transmission to alternative frequency. DHCP  Dynamic Host Configuration Protocol. A DHCP server automatically issues IP addresses within a specified range to devices on a network. Directional Antenna  An antenna that concentrates transmission power into one direction. Encryption  For the purposes of privacy, the transformation of data into an unreadable format until reformatted with a decryption key.  Ethernet  A LAN architecture using a bus or star topology  FD  Full Duplex. Refers to the transmission of data in two directions simultaneously (i.e. a telephone) FWA  Fixed Wireless Access Gain  The ratio of the output amplitude of a signal to the input amplitude of a signal. Typically expressed in decibels (dB). Gateway  A network point that acts as an entrance to another network.  GHz  Gigahertz. 1,000,000,000 Hz, or 1,000 MHz GUI  Graphical User Interface IP  Internet Protocol. See TCP/IP.  Isotropic   A theoretic construct of an antenna that radiates its signal 360 degrees both vertically and horizontally—a perfect sphere. Generally used as a reference. IXC  Inter-exchange Carrier. A long-distance phone company. LEC   Local Exchange Carriers. The traditional local wired phone company.  LED  Light Emitting Diode
 RedCONNEX™    User  AN-80i Manual  70-00072-01-05-DRAFT  Proprietary Redline Communications © 2008  Page 93 of 94  January 22, 2008 Table 48: Spec. - Glossary Term Definition LOS   Line Of Sight. A clear direct path between two antennas, with no obstructions within the first Fresnel zone. MAC   Media Access Control. A unique number assigned to a network device. Corresponds to ISO Network Model Layer 2 data link layer.  MHz  Megahertz. 1,000,000 Hz Modem   MOdulator/DEModulator. A hardware device that converts digital data into analog and vice versa.  Modulation   Any of several techniques for combining user information with a transmitter carrier signal. Multipath   The radio echoes created as a radio signal bounces off objects. NVRAM Non-volatile RAM. System parameters are stored in NVRAM. This data is not affected by powering off the system. NLOS  Non Line Of Sight. Completely obstructed path between two antennas. OFDM  Orthogonal Frequency Division Multiplexing. OFDM spreads data to be transmitted over a large number of orthogonal carriers.  OLOS  Optical Line Of Sight. A clear direct path between two antennas, with obstructions within the first Fresnel zone. Packet  A bundle of data organized in a specific way for transmission. The three principal elements of a packet include the header, the text, and the trailer (error detection and correction bits).  PHY   Physical Layer. Provides for the transmission of data through a communications channel by defining the electrical, mechanical, and procedural specifications.  PIR  Peak Information Rate PMP  Point to Multipoint PTP  Point to Point QAM  Quadrature Amplitude Modulation QPSK  Quadrature Phase Shift Keying Receiver Sensitivity  A measurement of the weakest signal a receiver can receive and still correctly translate it into data. RF Radio Frequency RSSI  Received Signal Strength Indication Rx Receiver S/N  Signal to Noise Ratio SINADR  Signal to noise and distortion ratio. TCP/IP   Transmission Control Protocol/Internet Protocol The standard set of protocols used by the Internet for transferring information between computers, handsets, and other devices.  TFTP  Trivial File Transfer Protocol Tx Transmitter UBR  Uncoded Burst Rate
 70-00072-01-05-DRAFT  Proprietary Redline Communications © 2008  Page 94 of 94  January 22, 2008       302 Town Centre • Suite 100 • Markham, Ontario • Canada • L3R 0E8www.redlinecommunications.com

Navigation menu