Avitec CSFT1922 Extender GSM/EDGE User Manual New ation Structure

Avitec, AB Extender GSM/EDGE New ation Structure

Contents

Users Manual 1

Product Description and
User’s Manual
GSM-EDGE REPEATERS
GSM-EDGE Repeaters
PRODUCT DESCRIPTION AND USER’S MANUAL
© Avitec AB A1009300 A 1 (177)
GSM-EDGE
900, 1800 and 1900 Repeaters
Product Description and User’s Manual
This document is valid for Firmware version 1.03 and RMC version 2.12
This document is valid for the repeater models:
CSR 922, CSR924, CSR 924H
CSR 1822, CSR 1824
CSR 1922, CSR 1924
CSFT 922, CSFT 91822
CSFT 1822, CSFT 18922
CSFT 1922
CSF 922
Copyright © 2004 AVITEC AB
All rights reserved.
No part of this document may be copied, distributed, transmitted, transcribed, stored in a retrieval system,
or translated into any human or computer language without the prior written permission of Avitec AB.
The manufacturer has made every effort to ensure that the instructions contained in this document are
adequate and free of errors and omissions. The manufacturer will, if necessary, explain issues which may
not be covered by this document. The manufacturer's liability for any errors in the document is limited to
the correction of errors and the aforementioned advisory services.
This document has been prepared to be used by professional and properly trained personnel, and the
customer assumes full responsibility when using them. The manufacturer welcomes customer comments as
part of the process of continual development and improvement of the documentation in the best way
possible from the user's viewpoint. Please submit your comments to the nearest Avitec AB sales
representative.
GSM-EDGE Repeaters
PRODUCT DESCRIPTION AND USER'S MANUAL
© Avitec AB A1009300 A 2 (177)
Table of Contents
1 Repeater Technology ................................................................................................................ 13
1.1 Basic Features.................................................................................................................... 13
1.2 Repeater Types..................................................................................................................13
1.3 Repeater Applications ....................................................................................................... 17
1.4 Software Overview............................................................................................................ 20
2 Product Description.................................................................................................................. 21
2.1 Repeater Models................................................................................................................ 21
2.2 Characteristics ................................................................................................................... 22
2.3 Casing................................................................................................................................ 28
2.4 Connections....................................................................................................................... 30
2.5 Power and Back-up Battery............................................................................................... 34
2.6 Building Blocks.................................................................................................................34
2.7 Internal Connections.......................................................................................................... 40
2.8 Signal Paths....................................................................................................................... 42
3 Monitoring and Control ........................................................................................................... 46
3.1 Software Features.............................................................................................................. 46
3.2 RF Parameters ...................................................................................................................50
3.3 Hardware Identification..................................................................................................... 54
3.4 Alarm System....................................................................................................................55
3.5 Repeater Heartbeat ............................................................................................................ 65
3.6 Traffic Measurement ......................................................................................................... 66
3.7 Remote Communication.................................................................................................... 70
3.8 Upgrading Repeater Firmware .......................................................................................... 84
4 Installation................................................................................................................................. 85
4.1 Prepare the Site.................................................................................................................. 86
4.2 Install the Repeater.......................................................................................................... 104
4.3 Start-up the Repeater ....................................................................................................... 115
4.4 Configure the Repeater.................................................................................................... 120
4.5 Installation Checklists ..................................................................................................... 136
5 Maintenance ............................................................................................................................ 141
5.1 General ............................................................................................................................ 141
5.2 Preventive Maintenance .................................................................................................. 141
6 Specifications........................................................................................................................... 142
6.1 CSR 922 .......................................................................................................................... 142
6.2 CSR 924 .......................................................................................................................... 144
GSM-EDGE Repeaters
PRODUCT DESCRIPTION AND USER'S MANUAL
© Avitec AB A1009300 A 3 (177)
6.3 CSR 924 H....................................................................................................................... 146
6.4 CSR1822 ......................................................................................................................... 148
6.5 CSR1824 ......................................................................................................................... 150
6.6 CSR1922 ......................................................................................................................... 152
6.7 CSR1924 ......................................................................................................................... 154
6.8 CSFT 922 ........................................................................................................................ 156
6.9 CSFT 1822 ...................................................................................................................... 160
6.10 CSFT 1922 ...................................................................................................................... 164
6.11 CSFT 91822 .................................................................................................................... 168
6.12 CSFT 18922 .................................................................................................................... 172
6.13 CSF 922........................................................................................................................... 176
GSM-EDGE Repeaters
PRODUCT DESCRIPTION AND USER'S MANUAL
© Avitec AB A1009300 A 4 (177)
Safety Instructions and Warnings
Guarantees
All antennas must be installed with lightning protection. Damage to power modules, as a result of lightning
are not covered by the warranty.
Switching on AC or DC power prior to the connection of antenna cables is regarded as faulty installation
procedure and therefore not covered by the Avitec warranty.
Caution
This equipment has been tested and found to comply with the limits for a Class A digital device, pursuant to
part 15 of the FCC Rules. These limits are designed to provide reasonable protection against harmful
interference when the equipment is operated in a commercial environment. This equipment generates, uses,
and can radiate radio frequency energy and, if not installed and used in accordance with the instruction
manual, may cause harmful interference to radio communications. Operation of this equipment in a
residential area is likely to cause harmful interference in which case the user will be required to correct the
interference at his own expense.
Safety to Personnel
Before installing or replacing any of the equipment, the entire manual should be read and understood. The
user needs to supply the appropriate AC or DC power to the repeater. Incorrect power settings can damage
the repeater and may cause injury to the user.
Caution
Please be aware that the equipment may, during certain conditions become very warm
and can cause minor injuries if handled without any protection, such as gloves.
Throughout this manual, there are "Caution" warnings. "Caution" calls attention to a procedure or practice,
which, if ignored, may result in injury or damage to the system, system component or even the user. Do not
perform any procedure preceded by a "Caution" until the described conditions are fully understood and met.
Caution
This notice calls attention to a procedure or practice that, if ignored,
may result in personal injury or in damage to the system or system component.
Do not perform any procedure preceded by a “Caution” until described
conditions are fully understood and met.
Class IIIa Laser
Relevant for fibre fed repeaters only.
Caution
Un-terminated optical receptacles may emit laser radiation.
Do not stare into beam or view with optical instruments.
Optical transmitters in the opto module can send out high energy invisible laser radiation. There is a risk for
permanent damage to the eye.
GSM-EDGE Repeaters
PRODUCT DESCRIPTION AND USER'S MANUAL
© Avitec AB A1009300 A 5 (177)
Always use protective cover on all cables and connectors which are not connected. Never look straight into a
fibre cable or a connector. Consider that a fibre can carry transmission in both directions.
During handling of laser cables or connections ensure that the source is switched off. Regard all open
connectors with respect and direct them in a safe direction and never towards a reflecting surface. Reflected
laser radiation should be regarded as equally hazardous as direct radiation.
Safety to Equipment
When installing, replacing or using this product, observe all safety precautions during handling and operation.
Failure to comply with the following general safety precautions and with specific precautions described
elsewhere in this manual violates the safety standards of the design, manufacture, and intended use of this
product. Avitec AB assumes no liability for the customer's failure to comply with these precautions. This
entire manual should be read and understood before operating or maintaining the repeater.
Electrostatic Sensitivity
Observe electrostatic precautionary procedures.
Caution
ESD = Electrostatic Discharge Sensitive Device
Semiconductor transmitters and receivers provide highly reliable performance when operated in conformity
with their intended design. However, a semiconductor may be damaged by an electrostatic discharge
inadvertently imposed by careless handling.
Static electricity can be conducted to the semiconductor chip from the centre pin of the RF input connector,
and through the AC connector pins. When unpacking and otherwise handling the repeater, follow ESD
precautionary procedures including use of grounded wrist straps, grounded workbench surfaces, and
grounded floor mats.
GSM-EDGE Repeaters
PRODUCT DESCRIPTION AND USER'S MANUAL
© Avitec AB A1009300 A 6 (177)
References
[1] EN 301 502
Harmonized EN for Global System for Mobile communications (GSM); Base station and Repeater equipment
covering essential requirements under article 3.2 of the R&TTE directive (GSM 13.21 version 8.1.2. Release
1999)
[2] ETS 300 342-3
Radio Equipment and Systems (RES); Electro-Magnetic Compatibility (EMC) for European Digital Cellular
Telecommunications systems. Base Station Radio and ancillary equipment and Repeaters meeting phase 2
GSM requirements.
GSM-EDGE Repeaters
PRODUCT DESCRIPTION AND USER'S MANUAL
© Avitec AB A1009300 A 7 (177)
Contact Information
Phone +46 8 475 47 00
Fax +46 8 475 47 99
Email support@avitec.se
Web http://www.avitec.se
Address Avitec AB
Box 20116
S-161 02 Bromma
SWEDEN
GSM-EDGE Repeaters
PRODUCT DESCRIPTION AND USER'S MANUAL
© Avitec AB A1009300 A 8 (177)
Definitions, Abbreviations and Acronyms
AEM
Avitec Element Manager
A software tool for operation and monitoring a network consisting of Avitec
products.
ALC Automatic Limit Control
Antenna The part of a radio transmission system designed to radiate or receive
electromagnetic waves
Antenna
beamwidth More properly referred to as the half-power beamwidth, this is the angle of an
antenna pattern or beam over which the relative power is at or above 50% of the
peak power
Antenna
directivity This is the relative gain of the main beam of an antenna pattern to a reference
antenna, usually an isotropic or standard dipole
ARFCN Absolute Radio Frequency Channel Number. A channel numbering scheme used
to identify specific RF channels in a GSM radio system
Band In wireless communication, band refers to a frequency or contiguous range of
frequencies. Currently, wireless communication service providers use the 900
MHz, 1800 MHz and 1900 MHz bands for transmission
Base station The central radio transmitter/receiver that maintains communications with a
mobile radio equipment within a given range
BCCH Broadcast Control Channel. A downlink point to multipoint logical channel in
GSM used to send identification and organization information about common
control channels and cell services
BSR Band Selective Repeater
BTS Base Transceiver Station, one part of a base station.
A base station is composed of two parts, a Base Transceiver Station (BTS) and a
Base Station Controller (BSC). A base station is often referred to as BTS.
The BTS is also sometimes called an RBS or Remote Base Station.
Carrier recovery A technique for extracting the RF carrier from a modulated signal so that it can be
reinserted and used to recover the modulating signal
Carrier-to-
interference ratio,
C/I
The ratio of power in an RF carrier to the interference power in the channel
Carrier-to-noise
ratio, C/N The ratio of power in an RF carrier to the noise power in the channel
Channel In all Avitec documentation a channel is the same as a carrier.
Coverage area The geographical reach of a mobile communications network or system
Coverage hole An area within the radio coverage footprint of a wireless system in which the RF
signal level is below the design threshold. Coverage holes are usually caused by
physical obstructions such as buildings, foliage, hills, tunnels and indoor parking
garages
CSFT (Channel Selective) Frequency Translating Repeater
GSM-EDGE Repeaters
PRODUCT DESCRIPTION AND USER'S MANUAL
© Avitec AB A1009300 A 9 (177)
CSR Channel Selective Repeater. A repeater that operates on a specified channel
within the operating band of the repeater.
dB Decibel, A technique for expressing voltage, power, gain, loss or frequency in
logarithmic form against a reference.
dBi Decibels referenced to an isotropic antenna. A technique for expressing a power
gain measurement in logarithmic form using a theoretical isotropic antenna as a
reference
dBm Decibels referenced to 1 mW. A technique for expressing a power measurement in
logarithmic form using 1 mW as a reference.
Dead spot An area within the coverage area of a wireless network in which there is no
coverage or transmission falls off. Dead spots are often caused by electronic
interference or physical barriers such as hills, tunnels and indoor parking garages.
See also coverage area.
Distributed
antenna system A type of antenna system that is distributed or remotely located away from the
transmitter. Such an antenna or series of antennas can be connected via coaxial
cable, leaky feeder or optical fiber link.
DL, Downlink The transmission path from the base station down to the mobile station
EAM External Alarm Messaging
EDGE Enhanced Data for Global Evolution. A technology that gives GSM and TDMA
similar capacity to handle services for the third generation of mobile telecom.
EDGE was developed to enable the transmission of large amounts of data at a high
speed of 384 kilobit per second, or more.
EMC Electromagnetic Compatibility
The ability of a device or system to function in its intended electromagnetic
environment
ERP Effective Radiated Power
ETSI European Telecommunications Standard Institute. The European standardization
body for telecommunications
FH Frequency Hopping. A periodic changing of frequency or frequency set associated
with transmission. A sequence of modulated pulses having a pseudorandom
selection of carrier frequencies.
FSR Frequency Shifting Repeater
GND Ground
GSM Global System for Mobile Communication. Originally developed as a pan-
European standard for digital mobile telephony, GSM has become the world’s
most widely used mobile system. It is used on the 900 MHz and 1800 MHz
frequencies in Europe, Asia and Australia, and the 800 and 1900 MHz frequency
in North America and Latin America.
Hand-over The passing of a call signal from one base station to the next as the user moves out
of range or the network software re-routes the call
ISI Inter Symbol Interference. An interference effect where energy from prior
symbols in a bit stream is present in later symbols. ISI is normally caused by
filtering of the data streams
LED Light Emitting Diode
GSM-EDGE Repeaters
PRODUCT DESCRIPTION AND USER'S MANUAL
© Avitec AB A1009300 A 10 (177)
Link budget A calculation involving the gain and loss factors associated with the antennas,
transmitters, transmission lines and propagation environment used to determine
the maximum distance at which a transmitter and receiver can successfully
operate.
LMT Local Maintenance Terminal
LNA Low Noise Amplifier. A receive preamplifier having very low internal noise
characteristics.
LO-signal Local oscillator signal
Logical channel A communications channel derived from a physical channel. A physical channel,
i.e. RF channel, typically carries a data stream that contains several logical
channels. These usually include multiple control and traffic channels.
LOS Line of Sight. A description of an unobstructed radio path or link between the
transmitting and receiving antennas of a communications system
MS Mobile Station (e.g. mobile phone)
MTBF Meantime Between Failures
NA Not Applicable
NC Not Connected
NF Noise Figure
NMS Network Management System
Noise figure A figure of merit for receivers and preamplifiers representing the amount of
excess noise added to the signal by the amplifier or receiving system itself. The
lower the noise figure, the less excess noise is added to the signal
OFR On Frequency Repeater
OMC Operations and Maintenance Center. A location used to operate and maintain a
wireless network
PA Power Amplifier. A device for taking a low or intermediate-level signal and
significantly boosting its power level. A power amplifier is usually the final stage
of amplification in a transmitter.
PSTN Public Switched Telephone Network, standard domestic and commercial phone
service
Radio link The equipment and transmission path (propagation channel) used to carry on
communications. It includes the transmitting system, the propagation channel and
receiving system
Repeater A bi-directional Radio Frequency (RF) amplifier that can amplify and transmit a
received Mobile Station (MS) signal in the MS transmit band. Simultaneously it
amplifies and transmits a received Base Transceiver Station (BTS) RF signal in
the BTS transmit band.
RF Radio Frequency, 9 kHz – 300 GHz
Designation Abbreviation Frequencies
Very Low Frequency VLF 9 kHz - 30 kHz
Low Frequency LF 30 kHz - 300 kHz
GSM-EDGE Repeaters
PRODUCT DESCRIPTION AND USER'S MANUAL
© Avitec AB A1009300 A 11 (177)
Medium Frequency MF 300 kHz - 3 MHz
High Frequency HF 3 MHz - 30 MHz
Very High Frequency VHF 30 MHz - 300 MHz
Ultra High Frequency UHF 300 MHz - 3 GHz
Super High Frequency SHF 3 GHz - 30 GHz
Extremely High Frequency EHF 30 GHz - 300 GHz
RMC
Avitec Repeater Maintenance Console
Software tool to monitor and control Avitec repeaters via local or remote access
RS232 Serial interface standard
RS485 Serial Interface standard
SCPA Single Carrier Power Amplifier
SDCCH Slow Dedicated Control Channel. A low-speed bi-directional point-to-point
control channel used to transmit service request, subscriber authentication,
ciphering initiation, equipment validation and traffic channel assignment messages
between the mobile and the network
Service area The specified area over which the operator of a wireless communications network
or system provides services
Signal-to-
interference ratio,
S/I
The ratio of power in a signal to the interference power in the channel. The term is
usually applied to lower frequency signals, such as voice waveforms, but can also
be used to describe the carrier wave. See also carrier-to-interference ratio.
Signal-to-noise
ratio, S/N, SNR The ratio of power in a signal to the noise power in the channel. This term is
usually applied to lower frequency signals, such as voice waveforms. See also
carrier-to-noise ratio
SIM card Subscriber Identity Module Card. A small printed circuit board that must be
inserted in any GSM-based mobile phone when signing on as a subscriber. It
contains subscriber details, security information and memory for a personal
directory of numbers. A Subscriber Identity Module is a card commonly used in a
GSM phone. The card holds a microchip that stores information and encrypts
voice and data transmissions, making it close to impossible to listen in on calls.
The SIM card also stores data that identifies the caller to the network service
provider
SMS Short Messaging Service. A store and forward message service available on most
second generation digital systems that allows short messages (up to 160
characters) to be sent to the mobile and displayed on a small screen. The control
and signaling channels are normally used to deliver these messages
SMSC Short Messaging Service Center
SW Software
TCH Traffic Channel. A logical channel that allows the transmission of speech or data.
In most second generation systems, the traffic channel can be either full or half-
rate
Transceiver A transmitter and receiver contained in one package. A 2-way radio or cell phone
is an example of a transceiver
GSM-EDGE Repeaters
PRODUCT DESCRIPTION AND USER'S MANUAL
© Avitec AB A1009300 A 12 (177)
Transmitter Equipment which feeds the radio signal to an antenna, for transmission. It consists
of active components such as the mixer, driver and PA and passive components
such as the TX filter. Taken together, these components impress a signal onto an
RF carrier of the correct frequency by instantaneously adjusting its phase,
frequency, or amplitude and provide enough gain to the signal to project it through
the ether to its intended target
UL, Uplink The transmission path from the mobile station up to the base station
WDM Wavelength Division Multiplexing. A technology that uses optical signals on
different wavelengths to increase the capacity of fiber optic networks in order to
handle a number of services simultaneously
VSWR Voltage Standing Wave Ratio
GSM-EDGE Repeaters
PRODUCT DESCRIPTION AND USER'S MANUAL
© Avitec AB A1009300 A 13 (177)
1 Repeater Technology
1.1 Basic Features
A basic feature of a mobile communication system is to transmit RF signals between base stations and mobile
radio equipment. If there is a blocking object such as a mountain or a building preventing the base station
signal to reach the mobile equipment, a repeater can be used to extend the base station’s coverage area.
Repeater
BTS BTS
Donor antenna Server antenna
Undisturbed transmission Obstacle creating a coverage hole
MS MS
In the downlink path the repeater will pick up the signal from the existing transmitter via the donor antenna
(see illustration), amplify it and re-transmit it into the desired coverage area via the server antenna. In the
uplink path the repeater will receive signals from mobile transmitters in the covered area and re-transmit
them back to the base station.
Other repeater applications are indoor coverage, tunnel coverage, coverage extension in low traffic areas and
the possibility to install capacity in new locations without installing a new base station.
1.2 Repeater Types
1.2.1 Channel Selective Repeaters
Channel selective repeaters are mainly used for coverage of dead zones, shadows, in-building coverage or
other areas with inadequate signal strength. The output power of a channel selective repeater is sufficient to
cover an area shadowed by a building or other obstacle.
In a channel selective repeater each carrier is separately filtered, amplified and retransmitted. A channel
selective repeater from Avitec can have 1 to 4 channels.
BTS
Donor antenna Server antenna
F1 F1 F1
Repeater
MS
GSM-EDGE Repeaters
PRODUCT DESCRIPTION AND USER'S MANUAL
© Avitec AB A1009300 A 14 (177)
A channel selective repeater system consists of one repeater unit complemented with one antenna facing the
donor BTS and another antenna directed towards the coverage area. The repeater site needs to be located
where the BTS signal strength is large enough to be usable by the system. Ideally the repeater’s donor
antenna should have line of sight (LOS) contact with the BTS antenna. If the signal strength is high enough,
LOS may in some cases not be necessary.
The signal generated by the BTS is picked up at the repeater site via the donor antenna. The repeater filters
and amplifies the signal before retransmitting it at the same frequency over the server antenna.
The isolation between the antennas at the repeater site has to be high in order to prevent degradation of signal
quality and risk of oscillation. Ways to achieve this can be large physical separation between the antennas,
usage of highly directional antennas with good front-to-interference ratio or external shielding between the
antennas. Another option is to use a Frequency Translating repeater (see description below).
Channel selective repeaters may have higher output power per carrier and typically have better spurious
rejection than band selective repeaters. The maximum output power per carrier can be several watts.
1.2.2 Band Selective Repeaters
Band selective repeaters have the same functionality as channel selective repeaters. The difference is that
band selective repeaters do not separate out specific carriers but amplify and retransmit all signals within a
defined frequency band.
The risk for intermodulation distortion leads in most cases to a lower output power per carrier in a band
selective repeater than in a channel selective repeater.
1.2.3 Frequency Translating Repeaters
A frequency translating repeater provides output power levels comparable to a base station. The concept
allows for high gain without the high antenna isolation required for channel selective repeaters.
The frequency translating repeater consists of two units; one donor unit and one remote unit.
Donor Cell
Base Station
Remote unit
Server Antenna
F4 F4
F1
Donor unit
RF Link Path
F1
Link Antennas
Repeater units
The donor unit is mounted at the base station site where the signal enters the repeater via a directional
coupler. In the donor unit, the signal is translated into another frequency, the link frequency, amplified and
transmitted via a link antenna. At the remote site, a link antenna picks up the signal and feeds it to the remote
unit. The signal is translated back into the original frequency and retransmitted over the server antenna.
Only 2 guard channels are needed between the radio frequency and the link frequency.
The isolation between antennas at the remote site seldom needs to be more than 75dB. This value that can be
achieved with a limited antenna displacement, often as low as 3 meters. The relatively modest isolation
requirement allows the use of omni-directional antennas for the service area.
Important applications for frequency translating repeaters are road coverage, rural coverage or for
transferring capacity from a base station to another area.
GSM-EDGE Repeaters
PRODUCT DESCRIPTION AND USER'S MANUAL
© Avitec AB A1009300 A 15 (177)
Donor Unit
There are two types of donor units – single donor (SD) and double donor (DD).
A single donor (SD) unit has one input connector. The input signal from the BTS is split in two within the
repeater unit. In the opposite direction – in the uplink – the signals are combined within the repeater before
being sent to the BTS.
A double donor (DD) unit has dual inputs. This can be used in combination with a BTS that uses air
combining, and hence has a separate antenna for each TRU. A double donor unit can alternatively handle two
signals from two separate BTS.
Remote Unit
There are two types of remote units – internal combining (IR) and external combining (ER).
In an internal combining (IR) remote unit output from the power amplifiers in the downlink is combined and
filtered before being passed on to the server antenna. In the uplink the signal is separated within the remote
unit.
An external combining remote (ER) unit has two server antenna ports and the signal is combined in the air.
Since the ER model needs no combiner the output signal and gain is 3dB higher than in the IR model.
1.2.4 Band Translating Repeaters
Band translating repeaters are based on the same concept as frequency translating repeaters described above.
In contrast to a frequency translating repeater, which uses another frequency within the same band for the
link, a band translating repeater uses another band. For instance can a repeater operating on the 900MHz band
use the 1800MHz band for the link and vice versa. Other combinations are also possible.
Donor Cell
Base Station
Remote unit
Server Antenna
Band 2 Band 2
Band 1
Donor unit
RF Link Path
Band 1
Link Antennas
Repeater units
Link and Server Antenna on the
remote site can often be combined
By using another band for the link the isolation between antennas at the remote site becomes very low. It is
for most applications possible to use the same antenna for both the uplink and the downlink.
GSM-EDGE Repeaters
PRODUCT DESCRIPTION AND USER'S MANUAL
© Avitec AB A1009300 A 16 (177)
1.2.5 Fiber Fed Repeaters
The fiber fed repeater is primarily designed for coverage of tunnels and large buildings.
BTS BTS
Leaky Cables
(can be replaced by antennas)
Fiber Fed Repeaters
Tunnel
HUB/
OptoBox
Directional
Coupler
Optic Fiber
A fiber fed repeater can be either channel selective or band selective. It receives the RF signals from the base
station via a unit which translates the RF signal to an optical signal and sends it to the repeater via a fiber
optic cable. The repeater unit can be installed up to 20 km away from the base station.
Inside the tunnel leaky cables or antennas can be used for transmission to the mobile units.
GSM-EDGE Repeaters
PRODUCT DESCRIPTION AND USER'S MANUAL
© Avitec AB A1009300 A 17 (177)
1.3 Repeater Applications
1.3.1 Channel Selective Repeaters
1.3.1.1 Shadow Coverage and Gap Filling
When there are coverage holes caused by buildings or mountains, a channel selective repeater can be used to
extend coverage into the “dead zone”. The building can sometimes be used as physical shield to create the
necessary antenna isolation.
BTS
Repeater
Repeater
MS
MS
The terrain is often seen as a limiting factor when striving for flawless radio coverage. The gap-filler
repeaters can be used as a complement to the network of base stations.
1.3.2 Frequency Translating Repeaters
1.3.2.1 Low Traffic Coverage
The example shows coverage extension in an area with low traffic by using frequency translating repeaters.
A two sector BTS is extended with two frequency translating repeaters. Both donor units are mounted at the
base station site and connected to the base station via directional couplers.
Each repeater has a different link frequency and transmits the frequency of the opposite base station sector,
thus minimizing interference or multi-path propagation problems. A normal handover is performed between
the repeater coverage area and the neighboring base station coverage area.
BTS
Donor
Donor
Remote
Remote
RF Link Paths
F1
F1
F2
F8
F2
F4
F4
F8
Since the installation of frequency translating repeaters requires moderate antenna isolation, remote site
requirements are very moderate.
GSM-EDGE Repeaters
PRODUCT DESCRIPTION AND USER'S MANUAL
© Avitec AB A1009300 A 18 (177)
1.3.2.2 Highway Coverage
One two-sector BTS feeds two frequency translating repeaters, each covering an area comparable to the base
station. This is a way to get maximum coverage out of the one BTS, with one connection point for
transmission.
BTS
Since antenna isolation requirements are low for frequency translating repeaters, omni-directional antennas
can be used at the remote sites to achieve good coverage.
1.3.2.3 “Fake site” – Moving Capacity
In this application the BTS is upgraded with an additional “sector” used for feeding a frequency translating
repeater to cover an area up to 20km away from the BTS. This is an effective alternative when no
transmission point is available in the area to be covered. The frequency translating repeater “moves” capacity
from the base station site to the new location.
BTS
Remote
Donor
Fake Site
This type of installations uses takes full advantage of the high output power and high sensitivity of the
frequency translating repeater.
1.3.3 Band Translating Repeater
A band translating repeater can be used in the same way as a frequency translating repeater if the user has
access to frequencies on two different bands.
1.3.4 Fiber Fed Repeaters
1.3.4.1 Tunnel Coverage
Fiber optic fed repeaters makes it possible to cover long tunnels from one or two BTS sites nearby. The hub
unit at the BTS site can feed up to 24 repeaters. The repeaters distribute the signal in the tunnel with antennas
or radiating cables (leaky feeders).
Using leaky feeders is normally the most effective way to cover a tunnel, since the signal is evenly distributed
along the tunnel. Achieving good coverage in a train tunnel, for instance, using antennas can be difficult as
the trains tend to block signal propagation.
GSM-EDGE Repeaters
PRODUCT DESCRIPTION AND USER'S MANUAL
© Avitec AB A1009300 A 19 (177)
1.3.4.2 Open Area Coverage
A fiber optic fed repeater can be used in combination with a HUB or an OptoBox to move the repeater away
from the base station to avoid antenna isolation problems.
BTS
HUB/OptoBox
Fiber Fed
Repeater
Optical Fiber
Omnidirectional
Antenna
Directional Coupler
In this example a HUB/OptoBox is placed at the BTS site. The RF signal is tapped from the antenna by a
directional coupler, translated into an optical signal and sent to the repeater over a fiber optic link. At the
repeater site a fiber fed repeater receives the signal, translates it back to RF and sends it to the antenna. This
antenna can be for instance omni-directional because the distance to the BTS is no longer a problem.
GSM-EDGE Repeaters
PRODUCT DESCRIPTION AND USER'S MANUAL
© Avitec AB A1009300 A 20 (177)
1.4 Software Overview
Avitec mainly supplies three different types of software; Repeater firmware, Repeater Maintenance Console
and Avitec Element Manager.
1.4.1 Repeater Firmware
The repeater firmware is the software inside the Control Module of the repeater. It is command line based,
with simple SET and GET commands. A rich variety of commands are available to control and monitor all
subsystems of the repeater from a normal VT100 terminal emulation program, such as ProComm™ or
HyperTerminal™. This also means that any standard laptop is able to control a repeater without additional
software installed.
The repeater firmware has three main tasks:
! Set and configure parameters in the repeater, such as channel numbers, gain, power levels, and different
report configurations
! Monitor and measure alarm sources, alarm parameters and repeater utilization
! Send reports and alarms to the repeater OMC
Communication with the repeater can be performed either locally on site or remotely via a modem to the built
in GSM modem. For local communication a terminal with RS232 interface is needed. For remote
communication a computer with a modem is needed as well as a serial communications program such as
HyperTerminal™.
1.4.2 The RMC, Repeater Maintenance Console
RMC is an online software program with an intuitive graphical interface that simplifies control and
installation of the repeater. The RMC is a graphical shell for the repeater’s Control Module. It reads
commands and attributes from the repeater’s Control Module and displays them in an intuitive layout. This
eliminates the need to learn commands and attributes for controlling the repeater.
Login to the repeater can be made locally via the LMT port or remotely via a modem. As soon as the RMC is
connected it constantly polls the repeater for parameters such as power supply levels, in and out levels,
temperature, traffic, etc.
The program can be installed from diskette or a CD. It is a Windows based application that runs on Windows
NT4.0, Windows 2000 and Windows XP.
The Repeater Maintenance Console is available for all Avitec repeaters.
1.4.3 The AEM, Avitec Element Manager
AEM is a complete operations and maintenance centre for Avitec repeater networks.
The AEM takes control of the repeater once the installation at site is completed. The repeater gets integrated
into the network and will be controlled by the Element Manager. During integration all repeater parameters
and statuses are downloaded into a database. The database is regularly updated with all incoming alarms and
reports, and will hence contain a copy of the repeater configuration so that current repeater information will
be accessible without setting up communication with the repeaters.
Communication between the AEM and the repeaters are message based. This means that the operator does
not have to await message delivery, but will be informed when the message is delivered to the repeater
The Avitec Element Manager is a Windows™ based application that runs on Windows NT4.0, Windows
2000 and Windows XP.
For more information please refer to the separate AEM User’s Manual.
GSM-EDGE Repeaters
PRODUCT DESCRIPTION AND USER'S MANUAL
© Avitec AB A1009300 A 21 (177)
2 Product Description
2.1 Repeater Models
There are several repeater models in the Avitec GSM-EDGE program. This table provides an overview.
Channel Selective Repeaters
2 Channels 4 Channels
GSM-EDGE 900 CSR 922 CSR 924 / CSR 924H
GSM-EDGE 1800 CSR 1822 CSR 1824
GSM-EDGE 1900 CSR 1922 CSR 1924
Frequency Translating Repeaters* (2 Channels)
Donor Units Remote Units
SD DD IR ER
GSM-EDGE 900 CSFT922-SD CSFT922-DD CSFT922-IR CSFT922-ER
GSM-EDGE 1800 CSFT1822-SD CSFT1822-DD CSFT1822-IR CSFT1822-ER
GSM-EDGE 1900 CSFT1922-SD CSFT1922-DD CSFT1922-IR CSFT1922-ER
* Frequency Translating Repeaters consist of two units: one donor unit and one remote unit. There are two
versions of both the donor and the remote units.
Band Translating Repeaters* (2 Channels)
Donor Units Remote Units
SD DD IR ER
GSM-EDGE 900 CSFT91822-SD CSFT91822-DD CSFT91822-IR CSFT91822-ER
GSM-EDGE 1800 CSFT 18922-SD CSFT 18922-DD CSFT 18922-IR CSFT 18922-ER
* Band Translating Repeaters consist of two units: one donor unit and one remote unit. There are two
versions of both the donor and the remote units.
Fiber Fed Repeaters
2 Channels 4 Channels
GSM-EDGE 900 CSF 922 CSF 924
GSM-EDGE 1800 CSF 1822 CSF 1824
GSM-EDGE 1900 CSF 1922 CSF 1924
GSM-EDGE Repeaters
PRODUCT DESCRIPTION AND USER'S MANUAL
© Avitec AB A1009300 A 22 (177)
2.2 Characteristics
These are some of the most important characteristics of the Avitec GSM EDGE repeaters. For detailed
information please refer to chapter 6, Specifications, in this manual.
2.2.1 Channel Selective Repeaters
CSR 922
System GSM/EDGE 900MHz (E-GSM 900)
Channels 1-2 channels
Bandwidth The operational bandwidth is 35 MHz and the channels can be set with 200 kHz
channel spacing.
Output Power Per carrier uplink and downlink:
+37 dBm GSM/GMSK
+34 dBm EDGE / 8-PSK average power
Repeater Gain The repeater gain is 60 – 90 dB, adjustable in 1 dB steps
Power Supply The power supply is 110/230 VAC, 50/60 Hz or 48 VDC, and the power
consumption is 100 W typical / 200 W maximum (traffic dependent)
CSR 924
System GSM/EDGE 900MHz (E-GSM 900)
Channels 1-4 channels
Bandwidth The operational bandwidth is 35 MHz and the channels can be set with 200 kHz
channel spacing.
Output Power Per carrier uplink and downlink:
+34 dBm GSM/GMSK
+31 dBm EDGE / 8-PSK average power.
Repeater Gain The repeater gain is 54 - 84 dB, adjustable in 1 dB steps
Power Supply The power supply is 110/230 VAC, 50/60 Hz or 48 VDC, and the power
consumption is 180 W typical / 400 W maximum
CSR 924 H (High Power)
System GSM/EDGE 900 MHz (E-GSM 900)
Channels 1-4 channels
Bandwidth The operational bandwidth is 25 MHz and the channels can be set with 200 kHz
channel spacing.
Output Power Per carrier uplink and downlink:
+37 dBm GSM/GMSK
+34 dBm EDGE / 8-PSK average power
Repeater Gain The repeater gain is 63 - 93 dB, adjustable in 1 dB steps
Power Supply The power supply is 110/230 VAC, 50/60 Hz or 48 VDC, and the power
consumption is 180 W typical / 400 W maximum
GSM-EDGE Repeaters
PRODUCT DESCRIPTION AND USER'S MANUAL
© Avitec AB A1009300 A 23 (177)
CSR 1822
System GSM/EDGE 1800 MHz (DCS 1800)
Channels 1-2 channels
Bandwidth The operational bandwidth is 75 MHz and the channels can be set with 200 kHz
channel spacing.
Output Power Per carrier uplink and downlink:
+37 dBm GSM/GMSK
+34 dBm EDGE / 8-PSK average power
Repeater Gain The repeater gain is 60 - 90 dB, adjustable in 1 dB steps
Power Supply The power supply is 110/230 VAC, 50/60 Hz or 48 VDC, and the power
consumption is 100 W typical / 200 W maximum
CSR 1824
System GSM/EDGE 1800 MHz (DCS 1800)
Channels 1-4 channels
Bandwidth The operational bandwidth is 75 MHz and the channels can be set with 200 kHz
channel spacing.
Output Power Per carrier uplink and downlink:
+34 dBm GSM/GMSK
+31 dBm EDGE / 8-PSK average power
Repeater Gain The repeater gain is 54 -84 dB, adjustable in 1 dB steps
Power Supply The power supply is 110/230 VAC, 50/60 Hz or 48 VDC, and the power
consumption is 180 W typical / 400 W maximum
CSR 1922
System GSM/EDGE 1900 MHz (PCS 1900)
Channels 1-2 channels
Bandwidth The operational bandwidth is 60 MHz and the channels can be set with 200 kHz
channel spacing.
Output Power Per carrier uplink and downlink:
+37 dBm GSM/GMSK
+34 dBm EDGE / 8-PSK average power
Repeater Gain The repeater gain is 60 - 90 dB, adjustable in 1 dB steps
Power Supply The power supply is 110/230 VAC, 50/60 Hz or 48 VDC, and the power
consumption is 100 W typical / 200 W maximum
CSR 1924
System GSM/EDGE 1900 MHz (PCS 1900)
Channels 1-4 channels
Bandwidth The operational bandwidth is 60 MHz and the channels can be set with 200 kHz
channel spacing.
GSM-EDGE Repeaters
PRODUCT DESCRIPTION AND USER'S MANUAL
© Avitec AB A1009300 A 24 (177)
Output Power Per carrier uplink and downlink:
+34 dBm GSM/GMSK
+31 dBm EDGE / 8-PSK average power
Repeater Gain The repeater gain is 54 -84 dB, adjustable in 1 dB steps
Power Supply The power supply is 110/230 VAC, 50/60 Hz or 48 VDC, and the power
consumption is 180 W typical / 400 W maximum
2.2.2 Frequency Translating Repeaters
CSFT 922
System GSM/EDGE 900 MHz (E-GSM900)
Channels 1-2 channels
Bandwidth The operational bandwidth is 35 MHz and the channels can be set with 200 kHz
channel spacing
Per carrier downlink (ER):
+43 dBm GSM/GMSK
+40 dBm EDGE / 8-PSK average power
Per carrier downlink (IR):
+40 dBm GSM/GMSK
+37 dBm EDGE / 8-PSK average power
Output Power
Per carrier uplink (ER/IR):
+37 dBm GSM/GMSK
+34 dBm EDGE / 8-PSK average power
Downlink (ER) 78 – 108 dBm, adjustable in 1 dB steps
Downlink (IR) 75 – 105 dBm, adjustable in 1 dB steps
Uplink (ER) 78 - 108 dBm, adjustable in 1 dB steps
Repeater Gain
Uplink (IR) 75 - 105 dBm, adjustable in 1 dB steps
Power Supply The power supply is 110/230 VAC, 50/60 Hz or 48 VDC, and the power
consumption is 100 W typical / 200 W maximum
CSFT 1822
System GSM/EDGE 1800 MHz (DCS 1800)
Channels 1-2 channels
Bandwidth The operational bandwidth is 75 MHz and the channels can be set with 200 kHz
channel spacing
Per carrier downlink (ER):
+43 dBm GSM/GMSK
+40 dBm EDGE / 8-PSK average power
Per carrier downlink (IR):
+40 dBm GSM/GMSK
+37 dBm EDGE / 8-PSK average power
Output Power
Per carrier uplink (ER/IR):
+37 dBm GSM/GMSK
GSM-EDGE Repeaters
PRODUCT DESCRIPTION AND USER'S MANUAL
© Avitec AB A1009300 A 25 (177)
+34 dBm EDGE / 8-PSK average power
Downlink (ER) 78 – 108 dBm, adjustable in 1 dB steps
Downlink (IR) 75 – 105 dBm, adjustable in 1 dB steps
Uplink (ER) 78 – 108 dBm, adjustable in 1 dB steps
Repeater Gain
Uplink (ER) 75 – 105 dBm, adjustable in 1 dB steps
Power Supply The power supply is 110/230 VAC, 50/60 Hz or 48 VDC, and the power
consumption is 100 W typical / 200 W maximum
CSFT 1922
System GSM/EDGE 1900 MHz (PCS 1900)
Channels 1-2 channels
Bandwidth The operational bandwidth is 60 MHz and the channels can be set with 200 kHz
channel spacing
Per carrier downlink (ER):
+43 dBm GSM/GMSK
+40 dBm EDGE / 8-PSK average power
Per carrier downlink (IR):
+40 dBm GSM/GMSK
+37 dBm EDGE / 8-PSK average power
Output Power
Per carrier uplink (ER/IR):
+37 dBm GSM/GMSK
+34 dBm EDGE / 8-PSK average power
Downlink (ER) 78 – 108 dBm, adjustable in 1 dB steps
Downlink (IR) 75 – 105 dBm, adjustable in 1 dB steps
Uplink (ER) 78 – 108 dBm, adjustable in 1 dB steps
Repeater Gain
Uplink (IR) 75 – 105 dBm, adjustable in 1 dB steps
Power Supply The power supply is 110/230 VAC, 50/60 Hz or 48 VDC, and the power
consumption is 100 W typical / 200 W maximum
2.2.3 Band Translating Repeaters
CSFT 91822 (operates on 900 MHz, uses 1800 MHz for the link)
System GSM/EDGE 900 MHz (E-GSM900)
Link Frequency Range GSM/EDGE 1800 MHz
Channels 1-2 channels
Bandwidth The operational bandwidth is 35 MHz and the channels can be set with 200 kHz
channel spacing
Output Power Per carrier downlink (ER):
+43 dBm GSM/GMSK
+40 dBm EDGE / 8-PSK average power
GSM-EDGE Repeaters
PRODUCT DESCRIPTION AND USER'S MANUAL
© Avitec AB A1009300 A 26 (177)
Per carrier downlink (IR):
+40 dBm GSM/GMSK
+37 dBm EDGE / 8-PSK average power
Per carrier uplink (ER/IR):
+37 dBm GSM/GMSK
+34 dBm EDGE / 8-PSK average power
Downlink (ER) 78 – 108 dBm, adjustable in 1 dB steps
Downlink (IR) 75 – 105 dBm, adjustable in 1 dB steps
Uplink (ER) 78 - 108 dBm, adjustable in 1 dB steps
Repeater Gain
Uplink (IR) 75 - 105 dBm, adjustable in 1 dB steps
Power Supply The power supply is 110/230 VAC, 50/60 Hz or 48 VDC, and the power
consumption is 100 W typical / 200 W maximum
CSFT 18922 (operates on 1800 MHz, uses 900 MHz for the link)
System GSM/EDGE 1800 MHz (DCS 1800)
Link Frequency Range GSM/EDGE 900 MHz
Channels 1-2 channels
Bandwidth The operational bandwidth is 35 MHz and the channels can be set with 200 kHz
channel spacing
Per carrier downlink (ER):
+43 dBm GSM/GMSK
+40 dBm EDGE / 8-PSK average power
Per carrier downlink (IR):
+40 dBm GSM/GMSK
+37 dBm EDGE / 8-PSK average power
Output Power
Per carrier uplink (ER/IR):
+37 dBm GSM/GMSK
+34 dBm EDGE / 8-PSK average power
Downlink (ER) 78 – 108 dBm, adjustable in 1 dB steps
Downlink (IR) 75 – 105 dBm, adjustable in 1 dB steps
Uplink (ER) 78 - 108 dBm, adjustable in 1 dB steps
Repeater Gain
Uplink (IR) 75 - 105 dBm, adjustable in 1 dB steps
Power Supply The power supply is 110/230 VAC, 50/60 Hz or 48 VDC, and the power
consumption is 100 W typical / 200 W maximum
2.2.4 Fiber Fed Repeaters
CSF 922
System GSM/EDGE 900MHz (E-GSM 900)
Channels 1-2 channels
Bandwidth The operational bandwidth is 35 MHz and the channels can be set with 200 kHz
GSM-EDGE Repeaters
PRODUCT DESCRIPTION AND USER'S MANUAL
© Avitec AB A1009300 A 27 (177)
channel spacing.
Output Power Per carrier uplink and downlink:
+37 dBm GSM/GMSK
+34 dBm EDGE / 8-PSK average power
Repeater Gain The repeater gain is 38 - 68 dB, adjustable in 1 dB steps
Power Supply The power supply is 110/230 VAC, 50/60 Hz or 48 VDC, and the power
consumption is 100 W typical / 200 W maximum (traffic dependent)
GSM-EDGE Repeaters
PRODUCT DESCRIPTION AND USER'S MANUAL
© Avitec AB A1009300 A 28 (177)
2.3 Casing
Avitec repeaters are relatively small and have low power consumption (see table below). They are housed in
a die cast aluminum box which makes them light and offers good heat conduction and waterproofing.
Cooling is accomplished by convection.
The housing conforms to IP65 and NEMA 4 standards.
Dimensions, Weight and Power Consumption
Dimensions 470 x 340 x 145 mm
Weight 16 kg
2-channel repeaters
Power Consumption 100W typical / 200 W maximum
Dimensions 470 x 340 x 220 mm
Weight 30 kg
4-channel repeaters
Power Consumption 180 W typical / 400 W maximum
2-channel models consist of a box with a lid attached by hinges. 4-channel models consist of two identical
boxes, attached by hinges, where one box serves as a lid.
2-channel repeater 4-channel repeater
The repeaters can be closed by latches and locked with a key. The external connections at the bottom of the
repeater are protected from unauthorized access with a cover which can be locked with the same key as the
repeater.
Latches and
locks
Connector Cover
Connectors
GSM-EDGE Repeaters
PRODUCT DESCRIPTION AND USER'S MANUAL
© Avitec AB A1009300 A 29 (177)
The repeaters are designed to be mounted on a wall, on a pole or in a 19” rack. They should always be
mounted in a vertical position with the connectors facing downwards.
A label is attached to each repeater stating repeater type, frequency range and required power supply.
Label position Repeater label
GSM-EDGE Repeaters
PRODUCT DESCRIPTION AND USER'S MANUAL
© Avitec AB A1009300 A 30 (177)
2.4 Connections
All connections are placed at the bottom of the repeater. Depending on type of repeater there are connections
for antennas, directional coupler, fiber cable, power and external alarms.
Power Donor
antenna Ground Server
antenna External
alarms
2-channel Channel Selective repeater
Power Fiber
connector
Ground Server
antenna External
alarms
Fiber fed repeater for indoor application with FC/APC fiber
connector in the casing
Power Fiber cable
input Ground Server
antenna External
alarms
Fiber Connector,
FC/APC
The fiber is pulled
through the whole in
the bottom panel of the
repeater and connected
to this connector on
the opto module
Fiber fed repeater for outdoor application with Pg 16 fitting for fiber cable insertion in the casing and an
FC/APC connector on the opto module inside the repeater.
! Antenna connections are DIN 7/16” connectors, female
! Connector to the directional coupler (frequency or band translating repeaters donor unit) is N-type,
female
! Plinth connection for power is described in 4.2.6 Attach Fiber Cable
! Caution
! Un-terminated optical receptacles may emit laser radiation.
Do not stare into beam or view with optical instruments.
GSM-EDGE Repeaters
PRODUCT DESCRIPTION AND USER'S MANUAL
© Avitec AB A1009300 A 31 (177)
2.4.1.1 Fiber Connector in the Repeater Casing
Select fibre Recommended fiber cable is single mode 9/125.
Connect the fiber
cable Connect the fibre directly to the FC/APC connector in the casing.
Note! Clean the fiber connector before it is connected to the Opto module, see
instruction below.
Note! This installation is only suitable for indoor use. The IP 65 classification of the
repeater casing is no longer valid.
2.4.1.2 Fiber Connector in the Opto Module
Select fibre Recommended fiber cable is single mode 9/125.
Insert the fiber
into the repeater
via the fitting
The casing of the repeater is equipped with a Pg connector for attachment of a
corrugated hose (NW 17 mm, outer diameter 21.2 mm).
The hose, together with the Pg connector, meet the protection standard IP50.
Supplemented by O-rings, the protection standard IP67 is met.
Attach the fiber to
the connector in
the Opto Module
Make sure the fiber is not too sharply bent. Put the excess fiber cable in soft bends
in the repeater. See illustration. Fasten the cable to make sure it is not damaged
when the repeater lid is closed.
Note! Clean the fiber connector before it is connected to the Opto module, see
instruction below.
Make necessary
measurements Make necessary measurements to ensure a correct installation.
When the cable has been installed, the quality of the optical path should be checked
for optical path loss and magnitude and location of any reflections. This can be done
with an Optical Time Domain Reflectometer (OTDR). The total return loss should
be > 45 dB.
Optical reflections can degrade the noise and linearity of a fiber optic link. In
particular, reflections that reach the laser can be a problem. Keep all discrete
GSM-EDGE Repeaters
PRODUCT DESCRIPTION AND USER'S MANUAL
© Avitec AB A1009300 A 32 (177)
reflections to > 60 dB. The FC/APC connectors are polished to a return loss >60 dB.
Mount the hose to
the connector The casing of the repeater is equipped with a Pg connector for attachment of a
corrugated hose (NW 17 mm, outer diameter 21.2 mm). The hose, together with the
Pg connector, meet the protection standard IP50. Supplemented by O-rings, the
protection standard IP67 is met.
Seal the hose Seal the hose according to the demands at hand. If the IP classification of the casing
should be maintained O-rings should be used and both ends of the hose should be
sealed with for instance silicon (free of acetic acid).
If necessary to access the
repeater end of the hose,
the power plinth can be
loosened (two screws) and
moved forward.
The repeater seen from the
inside with the conduit
marked by an arrow.
(No fiber is present in this
illustration)
Cleaning Optical Connectors
Optical reflections from a discontinuity such as a poor connector interface appear on an RF spectrum
analyzer trace as stable variations in the noise floor amplitude that are periodic with RF frequency. If the
reflection is bad enough, it could impact the system performance. By far, the most common cause for a large
discrete reflection is a dirty optical connector. A bit of dust or oil from a finger can easily interfere with, or
block this light. Fortunately, it is very easy to clean the connector.
Be sure to use the correct procedure for the given connector. When disconnected, cap the FC/APC connector
to keep it clean and prevent scratching the tip of the ferrule.
Alternative 1
Swipe the tip of the ferule 2-3 times with a cotton
swab soaked in alcohol. Let it air dry.
GSM-EDGE Repeaters
PRODUCT DESCRIPTION AND USER'S MANUAL
© Avitec AB A1009300 A 33 (177)
Alternative 2
Use a product specially designed for the purpose.
! Supply Power to the Repeater
! Plinth connection for external alarms is described in 4.2.9 Connect External Alarms
! Fiber connector is FC/APC. It is placed on the repeater’s casing or on the opto module inside the
repeater
GSM-EDGE Repeaters
PRODUCT DESCRIPTION AND USER'S MANUAL
© Avitec AB A1009300 A 34 (177)
2.5 Power and Back-up Battery
The repeater can be fed by 110/230 VAC, 50/60 Hz or 48 VDC (to be specified on order). The input is
equipped with a surge, EMI, EMC suppression filter.
Power Supply
There is a back-up battery. In the event of a power disruption this battery will supply the modem and the
Control Module with power during enough time for the repeater to send out an alarm. The battery can be
separately switched off.
For more information see 2.6.5 PSUP, Power Supply.
2.6 Building Blocks
LIMPALIMPA
External
Alarms
Power Antenna
Connectors
FDMFDM FDMFDM
FDMFDM
PSUPPSUP
Control Module
Ref gen
EAIM
LIMPA
LIMPA
External
Alarms
Power Server
antenna
FDMFDM
PSUPPSUP
Control Module
Ref gen
EAIM
Opto Module
Fiber cable
input
Layout of a channel selective, frequency or band
translating repeater Layout of a fiber fed repeater
GSM-EDGE Repeaters
PRODUCT DESCRIPTION AND USER'S MANUAL
© Avitec AB A1009300 A 35 (177)
All repeaters are realized with the same basic modules. The illustration to the left shows a 2-channel repeater.
The FDM in the middle of the box is used in double donor units and in externally combined remote units for
frequency and band translating repeaters. 4-channel repeaters are built up of two similar units linked by
hinges to form one repeater box. In each part of a 4-channel repeater there is a splitter/combiner to distribute
the signals between the LIMPAs. See also 2.7 Internal Connections.
The illustration to the right shows a fibre fed repeater. The fibre module translates the input optical signal to
an RF signal in the downlink. In the uplink the translation is from RF to opto.
2.6.1 LIMPA, Leveling Intermediate frequency Module with
Power Amplifier
The module named LIMPA, Leveling Intermediate frequency Module with Power Amplifier, consist of 4
main components:
! Power Amplifier (PA)
! Channelizer
! Synthesizer
! Microcontroller for communications with the Control Module
The PA is designed using linear temperature-compensated gain
blocks and discrete RF-power transistors which are capable of
delivering the required output power.
The channelizer part consists of a down-converter with IF SAW filters, an up-converter and a post amplifier.
The channelizer also contains a power level and gain control unit.
The synthesizer feeds the up and down conversion mixers in the channelizer. The reference frequency for the
synthesizer is generated externally in the Reference Generator. The synthesizer generates two LO1-signals
used in the down- and up-conversion process. In conventional repeaters, the LO-signals have the same
frequency, but for frequency translating repeaters, the LO-signals will be set on different frequencies. The
synthesizer can be set with an increment of 200 kHz in accordance with GSM/EDGE channel spacing.
2.6.2 FDM, Filtering and Distribution Module
The module named FDM, Filtering and Distribution Module, consists of several parts:
! LNA, Low Noise Amplifier
! Splitter that divides the signal in two parts
! Combiner with high power capability that combines two
signals into one
! Duplex filter for separation of the up-link and down-link RF
signals with the given duplex distance. The filters consist of
band-pass filters that provide excellent rejection of out-of-
band signals.
! VSWR2 detectors to monitor reflected power level on antenna port (downlink)
! Microcontroller for communications with the Control Module
1 Local oscillator
2 Voltage standing wave ratio
GSM-EDGE Repeaters
PRODUCT DESCRIPTION AND USER'S MANUAL
© Avitec AB A1009300 A 36 (177)
2.6.3 Distribution Board
The distribution board serves as a distributor for power and
internal communication within the repeater.
2.6.4 Control Module
The Control Module monitors and controls the repeater. Data is collected from various modules such as
LIMPA, FDM and Power Supply utilizing a serial bus. The collected data is processed and if an error is
detected the Control Module may send an alarm via Data Call or SMS using the built in wireless GSM
modem to an Operations and Maintenance Center (OMC). The Control Module stores the latest 40 alarms in
an alarm log.
In addition to collecting data from all modules utilizing the internal serial bus, the controller also collects
status of four external alarm inputs connected to the External Interface board. The summary status of the
repeater can be indicated on a relay port, available on the external
interface connector. This relay can be used to indicate to external
equipment if the repeater is functioning properly.
The internal serial bus utilized to retrieve the data from the various
modules is master / slave based, where the Control Module is the master
and all other units are slaves. The bus is based on a 4-wire RS485 multi
drop bus. Communications protocol used between modules is the Avitec
proprietary protocol AviNet. In case communication with a module fails,
the module generates a communications alarm to the OMC.
The Control Module contains a RS232 port used for local access to the repeater. Furthermore, the GSM
modem can be used for remote access.
Power Supply 2
(4 Channel Rep)
LIMPA 1 UL
(2 UL Chains)
LIMPA 2 UL (4 Ch. rep)
(2 UL Chains)
LIMPA 1 DL
( 2 DL Chains)
LIMPA 2 DL (4 Ch. rep)
(2 DL Chains)
Power Supply 1
(2 and 4 Channel Rep)
Reference Generator
Filtering and
Distribution
Module DL 1
Filtering and
Distribution
Module DL 2
(ER only) Control
Module
Serial Bus
GSM
modem
External Alarm
Interface
General repeater block diagram (from a controller perspective)
On regular intervals, the Control Module sends a heartbeat message to the OMC to confirm that the repeater
is operational, and that the communications path between the repeater and the OMC is operational.
GSM-EDGE Repeaters
PRODUCT DESCRIPTION AND USER'S MANUAL
© Avitec AB A1009300 A 37 (177)
The Control Module collects statistics on how many timeslots are utilized in the uplink path of the repeater.
Once per day, a traffic report is sent to the OMC regarding the utilization of the repeater. This is used to get
an estimate on how much traffic is generated from the repeater coverage area.
The Control Module includes a Real Time Clock (RTC). The RTC keeps track of at what time alarms and
events occur. This RTC has its own backup battery in order to keep up proper time keeping even during long
power failures.
The power supply unit contains a battery, which is used to backup the Control Module. In case of a power
failure, the controller and built in wireless modem have sufficient power to report power failure alarms to the
repeater OMC.
Control Module LED
On the Control Module there are 3 LEDs to indicate the status.
LED 1: green
OFF GSM Module switched OFF
Permanent ON GSM Module Switched on, not registered on network
Slow Flash GSM Module switched on, registered on network (approximately 1
flash per second)
Quick flash Module switched on, registered on network, call active
(approximately 3 flashes per second)
LED 2: red
OFF Control Module switched OFF
Slow Flash Control Module switched on, status OK (once every 10 seconds)
Quick flash Control Module switched on, one or more errors / alarms detected
(except door status)
LED 3: blue
OFF Control Module switched OFF, or no one logged in
Slow Flash Control Module switched on, nobody logged in locally OK (once
every 10 seconds)
Quick flash Control Module switched on, someone logged in remotely or
locally
2.6.5 PSUP, Power Supply
The module named PSUP, Power Supply is dimensioned to handle a 2-channel repeater unit.
The PSUP is fed by 110/230 VAC, 50/60 Hz or 48 VDC. The
PSUP generates secondary DC voltages for the repeater modules.
The input is equipped with a surge, EMI, EMC suppression filter.
In the PSUP there is a backup battery module. It is consists of a
rechargeable battery pack, charging and supervision electronics.
This backup battery will provide the Control Module and wireless
modem with enough capacity to send an alarm in case of mains
power failure.
The power supply module is connected to all other electronic modules via the distribution board.
123
GSM-EDGE Repeaters
PRODUCT DESCRIPTION AND USER'S MANUAL
© Avitec AB A1009300 A 38 (177)
The power supply has a switch which allows it to be set in “on” position or in “stand by”.
Power Supply LED
The power supply has 4 LEDs to indicate the status.
LED 1: Mains Power , green
Slow flash Power supply unit operating on AC or DC
OFF Power supply unit not operating
LED 2: +6V, red
Slow flash (every 10 seconds) +6V power supply operating
Quick flash +6V power supply not operating or operating with malfunction
LED 3: +15V, red
Slow flash (every 10 seconds) +15V power supply operating
Quick flash +15V power supply not operating or operating with malfunction
LED 4: +28V, red
Slow flash (every 10 seconds) +28V power supply operating
Quick flash +28V power supply not operating or operating with malfunction
2.6.6 Ref Gen, Reference Generator Module
The module named Ref Gen, Reference Generator Module consists of 4 parts: crystal oscillator, 10 power
splitters, control circuitry and microcontroller for communication with
Control Module.
The reference generator provides a reference signal to the synthesizers
in the repeater and to the microcontrollers in the LIMPAs and FDMs.
Depending on repeater type, two different crystal oscillators exist:
! On-Frequency repeaters: TXCO, temperature compensated
crystal oscillator
! Frequency and Band Translating repeaters: OCXO oven
controlled crystal oscillator with ultra high stability
2.6.7 EAIM, External Alarm and Interface Module
Four external alarm sources can be connected to the alarm module, EAIM. These sources must generate a
voltage between 12 and 24 VDC. The presence or absence of this voltage will trigger the alarm depending on
how alarm thresholds have been configured in the controller
software.
The module can also supply +15V to external alarm sources. The
maximum allowed load on this supply is 50mA.
One relay contact closure is provided for external use.
For operations of external alarms see 3.4.7 External Alarms and 4.2.9
Connect External Alarms.
Mains
Power +6V +15V +28V
GSM-EDGE Repeaters
PRODUCT DESCRIPTION AND USER'S MANUAL
© Avitec AB A1009300 A 39 (177)
2.6.8 Split/Combiner
In 4-channel repeaters there are four LIMPAs. The split/combiners split and distribute the signals to the extra
two LIMPAs as well as combine the signals from the extra LIMPAs.
2.6.9 Opto Module
The Opto Module contains both a receiver and a transmitter. The two optical signals are combined utilizing
WDM technology (Wavelength Division Multiplexing). Hence only one fiber is necessary for transmission.
The Opto Module contains two alarm sources. These are alarms for transmitted and received optical signal
level. The levels of the received optical signals can be monitored on-line via the RMC. This is convenient
during installation and tuning of the system.
GSM-EDGE Repeaters
PRODUCT DESCRIPTION AND USER'S MANUAL
© Avitec AB A1009300 A 40 (177)
2.7 Internal Connections
2.7.1 Channel Selective Repeaters
Donor Antenna Server Antenna
UL2DL2 DL1 UL1
UL2 UL1 DL2 DL1
IN/OUT
IN/OUT
LIMPA LIMPA
FDM FDM
LIMPA and FDM Connections for a Channel Selective 2-channel repeater
Donor Antenna Server Antenna
UL 1+2DL 1+2
UL 1+2
IN/OUT
IN/OUT
DL 1+2
Splitter/
Combiner
Splitter/
Combiner
DL 3+4
UL 3+4
UL 3+4
DL 3+4
LIMPA
FDM
LIMPA LIMPA LIMPA
FDM
LIMPA and FDM Connections for a Channel Selective 4-channel repeater
GSM-EDGE Repeaters
PRODUCT DESCRIPTION AND USER'S MANUAL
© Avitec AB A1009300 A 41 (177)
2.7.2 Frequency and Band Translating Repeaters
UL2DL2 DL1 UL1
UL2 UL1 DL2 DL1
IN/OUT
IN/OUT
FDM
LIMPA
Donor Port Link Antenna
LIMPA
FDM
UL2DL2 UL1
UL2 DL2 DL1
IN/OUT
IN/OUT
UL1
DL1
FDM
LIMPA
Donor Ports Link Antenna
LIMPA
FDMFDM
LIMPA and FDM Connections for a
2-channel Single Donor (SD) unit LIMPA and FDM Connections for a
2-channel Double Donor (DD) unit
Link Antenna Server Antenna
UL2DL2 DL1 UL1
UL2 UL1 DL2 DL1
IN/OUT
IN/OUT
FDM
LIMPA LIMPA
FDM
Donor Antenna Server Antennas
DL2 UL1
UL2 DL1
IN/OUT
IN/OUT
UL1
DL1 UL2
DL2
FDM
LIMPA LIMPA
FDM FDM
LIMPA and FDM Connections for a 2-channel remote
unit with an Internal Combiner (IR) LIMPA and FDM Connections for a 2-channel remote
unit with an External Combiner (ER)
GSM-EDGE Repeaters
PRODUCT DESCRIPTION AND USER'S MANUAL
© Avitec AB A1009300 A 42 (177)
2.8 Signal Paths
2.8.1 Channel Selective Repeaters
LIMPA
Channelizer DL Power Amplifier DL
S C
C
D
S
D
Channelizer UL
Power Amplifier UL
Duplex Filter Duplex Filter
Combiner
Combiner
Splitter
Splitter
Uplink
Downlink
~~ ~~
Ref
~~ ~~
Ref
To Server
Antenna
To Donor
Antenna
FDM FDM
LIMPA
~
~
~
~
~
~
~~
~
~
~
~
~
~
~~
The signal from the antenna comes in to a duplex filter that separates and filters the uplink and downlink
signals. After filtering, the signal goes to a splitter which distributes the signal equally to the channelizers.
Each channelizer is configured to operate on a unique narrow frequency band. In the channelizer the signal is
mixed down to an intermediate frequency (IF), and is filtered on a GSM channel basis. After filtering, the
signal is mixed up to the original desired frequency and amplified.
The signal is amplified in the power amplifier. It is then fed to the combiner and further on via a duplex filter
to remove undesired out of band signals and intermodulated signals, to the antenna.
Four channel repeaters have the same layout as above but the signals are split/combined into four parallel
flows.
GSM-EDGE Repeaters
PRODUCT DESCRIPTION AND USER'S MANUAL
© Avitec AB A1009300 A 43 (177)
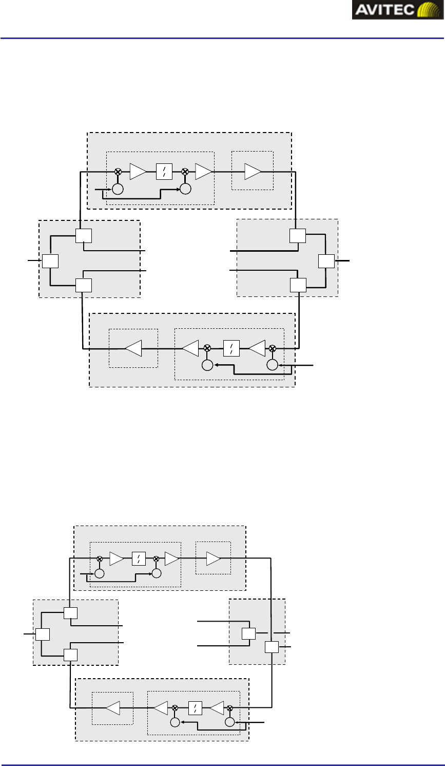
2.8.2 Frequency and Band Translating Repeaters,
Donor Unit
LIMPA
Channelizer DL Power Amplifier DL
S C
C
D
S
D
Channelizer UL
Duplex Filter Duplex Filter
Combiner
Combiner
Splitter
Splitter
Uplink
Downlink
~~ ~~
Ref
~~ ~~
Ref
To Link
Antenna
To Coupler
connected
to the BTS
FDM FDM
LIMPA
~
~
~
~
~
~
~~
~
~
~
~
~
~
~~
Single Donor
This illustration above shows a single donor unit where the signal from the base station is split into each
channelizer in the downlink. Another alternative is the double donor where the base station uses air
combining and hence has one antenna for each TRU and two signals are input to the repeater.
In the downlink the signal is mixed in the channelizer with a reference signal and transformed into another
frequency – the link frequency. In the uplink the original RF frequency is restored.
There is no power amplifier in the uplink. The signal is fed directly into the base station via a 30dB coupler
and hence doesn’t need a high output power.
LIMPA
Channelizer DL Power Amplifier DL
C
D
S
D
Channelizer UL
Duplex
Filter
Duplex Filter
Combiner
Splitter
Uplink
Downlink
~~ ~~
Ref
~~ ~~
Ref
To Link
Antenna
To Coupler
connected
to the BTS
FDM FDM
LIMPA
~
~
~
~
~
~
~~
~
~
~
~
~
~
~~
DL, Channel 2
UL, Channel 2
Channel 1
Channel 1
D
Double Donor
GSM-EDGE Repeaters
PRODUCT DESCRIPTION AND USER'S MANUAL
© Avitec AB A1009300 A 44 (177)
2.8.3 Frequency and Band Translating Repeaters,
Remote Unit
LIMPA
Channelizer DL Power Amplifier DL
S C
C
D
S
D
Channelizer UL
Power Amplifier UL
Duplex Filter Duplex Filter
Combiner
Combiner
Splitter
Splitter
Uplink
Downlink
~~ ~~
Ref
~~ ~~
Ref
To Server
Antenna
To Link
Antenna
FDM FDM
LIMPA
~
~
~
~
~
~
~~
~
~
~
~
~
~
~~
Remote unit
with Internal
Combining
A frequency or band translating repeater has a reference generator which feeds all channelizers with a
reference frequency. The channelizer contains two synthesizers, one for the down conversion from the input
frequency F1 to the intermediate frequency, and one for the up conversion to F2.
The illustration above shows a unit with internal combining, which means that in the downlink the output of
the power amplifiers are combined, filtered and sent to the antenna. In units with external combining, the
output from each amplifier is filtered separately and transmitted out on one antenna port each.
The output power in a –ER (external combiner) is roughly 3dB higher than in an –IR (internal combiner),
since the combiner causes 3dB losses.
LIMPA
Channelizer DL Power Amplifier DL
S
C
D
D
Channelizer UL
Power Amplifier UL
Duplex Filter
Duplex
Filter
Combiner
Splitter
Uplink
Downlink
~~ ~~
Ref
~~ ~~
Ref
To Server
Antennas
To Link
Antenna
FDM FDM
LIMPA
~
~
~
~
~
~
~~
~
~
~
~
~
~
~~
D
Channel 1
DL, Channel 2
Channel 1
UL, Channel 2
Remote unit
with External
Combining
GSM-EDGE Repeaters
PRODUCT DESCRIPTION AND USER'S MANUAL
© Avitec AB A1009300 A 45 (177)
2.8.4 Fiber Fed Repeaters
LIMPA
Channelizer DL Power Amplifier DL
S C
CS
D
Channelizer UL
Power Amplifier UL
Duplex Filter
Combiner
Combiner
Splitter
Splitter
Uplink
Downlink
~~ ~~
Ref
~~ ~~
Ref
To Server
Antenna
From
Hub/Opto
Box
Opto Modules FDM
LIMPA
~
~
~
~
~
~
~~
~
~
~
~
~
~
~~
O E
The signal from the Hub/Opto Box comes in to a converter that translates the optical signal to RF. The signal
goes to a splitter which distributes the signal equally to the channelizers.
Each channelizer is configured to operate on a unique narrow frequency band. In the channelizer the signal is
mixed down to an intermediate frequency (IF), and is filtered on a GSM channel basis. After filtering, the
signal is mixed up to the original desired frequency and amplified.
The signal is amplified in the power amplifier. It is then fed to the combiner and further on via a duplex filter
to remove undesired out of band signals and intermodulated signals, to the antenna.
In the uplink the same sequence is performed. At the end of the chain the signal is translated to an optical
signal and fed back to the Hub/OptoBox.
GSM-EDGE Repeaters
PRODUCT DESCRIPTION AND USER'S MANUAL
© Avitec AB A1009300 A 46 (177)
3 Monitoring and Control
Avitec GSM-EDGE repeaters contain a Control Module, see 2.6.4 Control Module, which controls all
parameters in the repeater, monitors alarm sources and sends reports and alarms to the AEM.
The repeaters can be accessed on site through the Local Maintenance Terminal (LMT) port or remotely over
a built in modem.
When a RS232 cable is plugged in to the LMT port, there are two options for communication; terminal mode
or RMC mode.
! Terminal mode is accessed by using a terminal emulation software, such as HyperTerminal™ or
ProComm™. Settings should be ANSI or VT100 emulation, baud rate 9600, 8 data bits, 1 stop bit, No
parity and No flow control. A simple command language is used to control the repeater in this mode.
! Repeater Maintenance Console (RMC) mode allows configuration and control of the repeater via a user
friendly Windows software.
Note! All instructions in this chapter assumes that the repeater is controlled using the Repeater Maintenance
Console, RMC.
For use of the terminal mode please refer to the document GSM-EDGE Repeater Command and Attribute
Summary which contains detailed description of all attributes and commands.
3.1 Software Features
This first chapter contains an overview of the repeater software features. More in-depth descriptions are to be
found in the following chapters.
Please also refer to the installation part of this manual for more information about repeater installation and
configuration.
3.1.1 User Access Levels
Only one user at a time can be logged in to each repeater. If someone is logged in locally to a repeater it will
not respond to remote access attempts until the local user has logged off or has been logged off by the system
after a configurable number of minutes of inactivity.
Four (4) different user accounts are available for a repeater. Two accounts have both read and write access,
and two have read only access. The Avitec Element Manager has a unique username (with full read and write
access).
These are the default usernames and passwords.
User Name Password Authority
USERNAM1 PASSWRD1 read/write
USERNAM2 PASSWRD2 read/write
USERNAM3 PASSWRD3 read only
USERNAM4 PASSWRD4 read only
The user names and passwords can be changed using the RMC. However, it is recommended to have a
centralized password policy managed from the Avitec Element Manager.
GSM-EDGE Repeaters
PRODUCT DESCRIPTION AND USER'S MANUAL
© Avitec AB A1009300 A 47 (177)
Change username or password
Go to the User
Access page Select “Console” mode
Select “Configuration” window
Select “Communication” page
Make the changes
3.1.2 RF-configurations, Statuses, Alarms and Levels
The firmware controls and monitors all repeater parameters. In the event of a failure, an alarm is logged in the
repeater. If the repeater is controlled by the AEM, the alarm is also transmitted to the Avitec Element
Manager.
The repeater can be configured to handle alarms concerning a number of different parameters. Each alarm
can also be individually configured in a number of ways.
All statuses and measured levels can be read online from the RMC. This includes for instance voltage levels,
RF-levels and temperatures.
3.1.3 Local Alarm Log
The repeater stores the latest 40 alarms in a local alarm log. The data that is stored for each alarm is the time
at which an alarm occurred and the alarm information which consists of alarm source, alarm severity, alarm
attributes and in some cases an additional alarm description.
If an alarm for some reason fails to be transmitted to the AEM, the repeater reads the alarm log entries and
tries to retransmit the alarms a configurable number of times to the AEM or until successfully delivered to the
AEM.
3.1.4 External Alarms
If the option for external alarms has been included four (4) external alarm sources can be connected to the
repeater. These can be for instance fire alarms or external door sensors. These alarms operate on a voltage
between 12 and 24VDC. The presence or absence of this voltage will trigger the alarm depending on how
alarm thresholds have been configured. The external alarms have only two states – “ok” or “error”.
As for all alarm sources a delay can be set that defines how many seconds an external alarm should be in
error state before an alarm is generated.
GSM-EDGE Repeaters
PRODUCT DESCRIPTION AND USER'S MANUAL
© Avitec AB A1009300 A 48 (177)
3.1.5 Relay Connection
The repeater contains a relay, located on the External Alarm and Interface Module. This relay can be used to
notify external monitoring equipment about malfunctions in the repeater
The relay can be configured to be activated on any number of external or internal alarms (while other alarm
sources leave the relay unaffected).
3.1.6 Heartbeat Reports
On regular intervals, the repeater sends a heartbeat report to the AEM to confirm that the repeater is
functioning. The heartbeat message contains information about the RF-configuration and the alarm sources. It
ensures that the data communication from the repeater to the AEM is working properly.
The heartbeat interval can be set from 1 to 1440 minutes. Setting the heartbeat to 0 disables the transmission
of heartbeats.
3.1.7 Traffic Measurements
Each uplink LIMPA contains circuitry to detect how many timeslots are active in the uplink path, i.e. detect
ongoing traffic. In 15-minute intervals the total number of active timeslots in each chain is calculated and
compared to the total number of timeslots. The percentage is saved in a log. Based on this information traffic
reports are sent to the AEM on a configurable time of the day.
3.1.8 Modem Control
The repeater contains a GSM modem built in to the Control Module, utilizing the actual GSM network for
remote communication with the repeater. The GSM modem should be equipped with a SIM-card when the
repeater is installed at site, see 4.4.3 Set Up Remote Access.
The Control Module is responsible for enabling the power to the modem, unlocking the SIM-card, using the
configured PIN-code and making sure the modem is logged in to the network correctly. Depending on
network configuration and modem usage, the modem might require different modem initialization strings to
work properly. This modem initialization string is set and verified during repeater setup.
At regular intervals, the Control Module polls the modem to see that the modem connection is functioning
properly.
To ensure that the repeater is always remotely accessible, the controller can be configured for scheduled
power cycling of the modem. This means that the modem is powered off, powered on, registered to the
network and put back on line.
3.1.9 Battery Backup for Control Module and Modem
The repeater contains a back-up battery, mounted in the main power supply. This battery backs up the
Control Module with the built in modem. In case of a power failure, the battery contains enough energy for
the repeater to dial up the repeater OMC and inform about the power supply disruption.
In case the battery is not plugged in correctly, or the battery charge is too low (broken battery), an alarm is
generated to the OMC.
3.1.10 SMS or Data Call for Alarms and Reports
The repeater can be controlled remotely via SMS or Data Call. If the repeater is configured to send alarms via
SMS, it can still communicate via Data Call. However, if the repeater is configured for Data Call, incoming
SMS messages will not be registered.
Please refer to 4.4.3 Set Up Remote Access for details about the remote communication using Data call and
SMS.
Note! Avitec Element Manager does not support alarms via SMS.
GSM-EDGE Repeaters
PRODUCT DESCRIPTION AND USER'S MANUAL
© Avitec AB A1009300 A 49 (177)
3.1.11 Full Repeater Configuration Available
The Control Module keeps track of the exact repeater type it is controlling, and its performance parameters,
including maximum uplink and downlink gain, serial number of repeater, software version in Control
Module, controller hardware version, as well as hardware version of all included components.
Within the repeater the Control Module communicates with other devices using their serial number as an
address. Serial numbers therefore have an important role in the repeater configuration.
3.1.12 Repeater Integration into AEM
When the repeater has been installed at site and the remote communication has been enabled, the repeater can
be integrated to the Avitec Element Manager. This is done by the operator of the AEM. After entering the
telephone number to the repeater, the AEM dials up the repeater, downloads all the repeater parameters and
statuses into a database. When all parameters have been downloaded, the AEM configures the repeater with
the telephone number where alarms and reports should be sent, and optionally with a secondary telephone
number where the repeater can dial in case connection to primary number fails.
When heartbeat reports and alarms are sent from the repeater to the AEM also the latest information about the
status and RF-configuration is included. This means that the AEM operator always has information about the
current status in the AEM database (and do not need to call the repeater to find this out).
Note! Once the repeater is integrated to the AEM, all changes to the repeater should preferably be done from
the Avitec Element Manager in order to ensure that the database always contains correct information.
3.1.13 Repeater ID and Tag
When the repeater is integrated into the Avitec Element Manager the repeater is assigned a repeater ID,
which is a unique identifier in the repeater network. This ID is used by the AEM to keep track of the
repeaters in the AEM database.
The repeater Tag can be used to give the repeater a more logical name, such as the site ID or installation
place. If Tag is set during site installation, this can easily be read by the AEM during AEM integration,
giving the AEM operator a clear identification of the site.
Refer to 4.4.2 Set Repeater Name (TAG) on how to set the repeater Tag.
3.1.14 Two separate software banks
The controller contains two different program banks. The software can be executed from one bank while new
software is downloaded to the other. When new software has been completely downloaded, the execution is
moved over to the new program bank. The software download can be done at site, or remotely via a modem.
See 3.8 Upgrading Repeater Firmware for description about how to upgrade the firmware.
Note! During software download no measurements will be made in the repeater. However, the RF
transmission will still be fully operational.
3.1.15 Real Time Clock
The Control Module contains a battery backed-up real time clock, which will stay active even during a power
failure. The real time clock is used for instance to keep track of when an alarm occurred, when to retransmit
an alarm and at what time of the day to send traffic report to the AEM.
If the repeater is controlled by the Avitec Element Manager, the AEM will automatically time synchronize
repeaters, to ensure that the time is always set correctly in the entire repeater network.
GSM-EDGE Repeaters
PRODUCT DESCRIPTION AND USER'S MANUAL
© Avitec AB A1009300 A 50 (177)
3.2 RF Parameters
3.2.1 Channel Assignments
Assigning channels to the repeater is easy using the Repeater Maintenance Console. Depending on the
repeater’s configuration there are different channel assignment options.
For channel selective repeaters with two or four channels only the repeated channels from the BTS need to be
configured. For frequency translating repeaters also the link channels between donor and remote unit need to
be configured. If some channels in the repeater are not used, these need to be switched off (see 4.4.1 Set up
RF Configuration, for details).
Channels and links are configured using the standard ARFCN conventions.
Note! To ensure signal quality in the coverage area, it is important that all channels and link channels are
separated by two guard channels. For example, if channel 34 is used, next allowed channel or link channel is
37.
Note! Always make sure that the BCCH channel is configured for chain one (1) in the repeater. The BCCH is
used to monitor the output power level for alarming purposes. The BCCH is also used for timing purposes in
traffic measurement.
3.2.2 Repeater Gain
Setting the gain in the repeater plays an important role in the
repeater configuration. Since the gain affects the coverage area of
the repeater, it is in most cases desired to have as high gain as
possible. However, since incorrect gain settings might cause the
repeater to oscillate, especially channel selective repeaters, it is
important to configure the gain carefully.
The gain is adjusted by changing the attenuation of the repeater. The
attenuation can be changed in 1 dB steps. If the attenuation for
example is set to 30 dB, the repeater is downgraded 30 dB from its
maximum performance. Maximum gain in the repeater can be read
from the Product Information menu (choose Configuration/Product).
See 4.1.5 Link Budget, for more information about gain settings.
GSM-EDGE Repeaters
PRODUCT DESCRIPTION AND USER'S MANUAL
© Avitec AB A1009300 A 51 (177)
3.2.3 Power Level
The repeater has a constant gain in both uplink and downlink paths. The gain is set by defining the
attenuation as described above.
The maximum output level from the repeater can also be defined. If the input signal amplified by the gain set
exceeds the set output limit, an ALC (Automatic Level Control) loop is activated. This ALC ensures that the
amplifier does not add distortion to the radio signal.
Gain : 108 dB
+43
-65
-70
+38
Input signal [dBm]
Output power[dBm] ALC
The maximum output power level is set in this RMC window. There
are three values to choose from. The maximum power level can be
set individually for uplink and downlink of each channel. The power
level can also be set to OFF, meaning that no output power is
transmitted out in the chain.
The power level in the downlink should be adjusted not to send
radio signals too far into neighbouring cells, but yet be enough to
cover the service area. In the uplink a signal from a user close to the
repeater should not cause a transmit of too high power into the BTS
antenna.
For frequency translating repeaters the signal strength of the link
channel should not be set too high – just enough to reach between
the donor and the remote site.
In channel selective repeaters, the uplink and downlink power levels
are normally set to the same value, while the values in the frequency
translating repeaters depend on the link budgets for the installation.
See 4.1.5 Link Budget.
Note! Chains not used in the repeater must have power level set to
OFF.
GSM-EDGE Repeaters
PRODUCT DESCRIPTION AND USER'S MANUAL
© Avitec AB A1009300 A 52 (177)
3.2.4 Amplifier Saturation
If the output power reaches a certain limit in the repeater the ALC is
activated, as described above. For alarm and RF configuration
purposes there is an Amplifier Saturation indicator and alarm
parameter implemented. This indicator detects problems with the
system setup or environment and can also be used during repeater
installation and configuration.
The indicator has four levels:
! below optimum settings (low)
! working in the optimum range (ok)
! going into saturation (high)
! well into saturation (critical)
When the repeater is configured the BCCH gain in the downlink
should be increased until the saturation indicator reaches the
optimum range. This ensures that the repeater has optimized gain
settings. See 4.1.5 Link Budget.
3.2.5 Input / Output Levels
The input and output power levels to and from the repeater are constantly
monitored for each chain separately. The input level is measured directly
at the input of the LIMPA. The output power is measured directly before
the output of the LIMPA.
The measurable input power to the repeater ranges from -110 dBm to
about -25 dBm. The output power level varies depending on repeater
model. The dynamic range on the output power is roughly 25 dB, meaning
that a repeater with a maximum output power of 37 dBm can detect output
power levels down to approximately 12 dBm. If the output power level is
lower than lowest detectable level, the RMC reports a dash.
By using these values together with the gain settings in the repeater it is
possible to monitor the functionality of the amplifier chains. A too low
output power in a chain might for instance indicate some problem with the
LIMPA.
These measurements can also be useful during installation of the repeater, for example by monitoring the
input signal level constantly while aiming antennas towards the donor unit detecting the direction for the
maximum signal level. Monitoring the output level is helpful in determining how much the gain must be
increased to reach maximum output power.
Note! The uplink power levels will only be displayed when there is a user in the repeater coverage area
generating traffic. Also, DTX (Discontinuous Transmission Mode) enabled networks will cause the mobiles
to generate traffic only when the subscriber is actually talking. This will cause the uplink meters to fluctuate a
lot. The same applies to the downlink channels not configured as BCCH, since RF is only transmitted in the
traffic channels if a call is handled by this TRX.
GSM-EDGE Repeaters
PRODUCT DESCRIPTION AND USER'S MANUAL
© Avitec AB A1009300 A 53 (177)
3.2.6 BCCH Configuration
The BCCH channel should always be configured to be transmitted through Chain 1. There are two major
reasons for this:
! The repeater monitors the BCCH output power to ensure that the power level stays above a configurable
threshold.
! The repeater extracts timing parameters for the traffic measurement system from the downlink BCCH
signal configured in Chain 1.
There a number of different ways to monitor the BCCH. Each chain
can be configured in three different ways:
Required the output power must be present on this chain
Either the output power must be above the threshold on
this or any of the other chains configured
Skip the output power is not measured on this chain
By default, the repeater is configured with “Required” in chain 1,
and “required” also in the other chains. This means that if the
BCCH drops in chain 1, an alarm is generated.
Examples of how to use the BCCH configuration:
! Two 1-channel sectors are to be transmitted through a frequency translating –ER repeater, where each
sector is transmitted out via separate antennas. Both channels need to have a constant output power
above the threshold. In this case both chains should be configured as ”Required”.
! The base station supports BCCH “fall-over”, where the BCCH will automatically switch over to TRX 2
in case the default BCCH TRX fails. Configuring the repeater as “Either” will cause the repeater to
require output power on chain 1 or 2. In this case the BTS will generate an alarm, why we do not need
an alarm in the repeater OMC as well.
Note! When the BCCH jumps to chain 2, the traffic synchronization will be lost. This means that
snapshot traffic data (number of timeslots used per frame) will be less accurate, but total traffic
measurement will stay correct.
3.2.7 Return Loss (VSWR)
The server FDMs contains circuitry to measure the reflected power levels back from the connected server
antenna cables. A too high level on the reflected power generates an alarm.
Typical reasons for a high reflected power level can be an antenna connector being improperly tightened, a
broken cable or a broken antenna.
Frequency Translating –ER repeaters contain two FDM’s, one for each server antenna, and hence two
reflected power levels are measured. All other repeater types contain only one server FDM.
The level for when to generate an alarm is configurable as number of dB’s difference between forward and
reflected power levels. Default level is 10 dB, and normally this value should not be changed.
GSM-EDGE Repeaters
PRODUCT DESCRIPTION AND USER'S MANUAL
© Avitec AB A1009300 A 54 (177)
3.3 Hardware Identification
3.3.1 Repeater Type Identification
When a login to a repeater is made using the Repeater Maintenance Console, the RMC detects the repeater
type and adjusts the user interface correspondingly. The same RMC can be used for all repeater types.
3.3.2 Hardware Inventory
A repeater contains a number of different building blocks such as FDMs, LIMPAs, Power Supply, etc. Some
of these are so called active devices meaning that they contain a micro controller used for monitoring of
module parameters. Some are passive devices, for example the distribution board.
The Control Module communicates with the active devices using a master/slave configuration, where the
Control Module is the master and the active devices are slaves. Each active device uses its serial number as
an address. A slave only replies to requests with the correct address information.
During production the repeater is configured with all the serial numbers of all the devices in the system. For
passive devices, the article number of the device is added. Once the system is configured, the Control Module
polls all the active devices for article numbers and production information as well as software versions and
statistics of the active devices.
Via the RMC the full repeater inventory can be read, including statistics of the active devices.
Repeater TAG
Repeater ID
List of all hardware in
the repeater
Control Module ID
List of all active
devices
Information about a
selected device
3.3.3 Replacing/Reconfiguring Hardware Modules
If a module needs to be changed it is important to update the repeater with the new hardware information. For
active devices this is crucial to ensure communication between the new module and the Control Module. For
all devices it gives an up-to date inventory of the entire network.
The hardware is reconfigured by logging in to the repeater via the RMC and switching to Terminal Mode. If
the change concerns an active or passive device the command syntax varies slightly.
GSM-EDGE Repeaters
PRODUCT DESCRIPTION AND USER'S MANUAL
© Avitec AB A1009300 A 55 (177)
Format:
HARDWARE REPLACE <OldSNO> <NewSNO> [Article Number]
<OldSNO> is the serial number of the module that has been removed
<NewSNO> is the serial number of the new module
[Article Number] is used if a passive module, such as a distribution board or external interface board is
changed.
Example 1:
HARDWARE REPLACE 2J3A 3ASA
replaces the broken module 2J3A with the new module 3ASA.
Example 2:
HARDWARE REPLACE 3AZC 3EEF J691001A
replaces the old module 3AZC with the new module 3EEF, with article number J691001A.
If the repeater is controlled by the Avitec Element Manager a refresh of the repeater should be initiated from
the AEM as soon as the hardware has been replaced and the repeater configuration has been updated. This
ensures that the AEM also contains the latest hardware configuration.
Note! The current hardware configuration can be displayed in terminal mode by entering the command
HARDWARE without parameters.
3.4 Alarm System
The Avitec repeaters contain a number of different alarm sources, both analog and digital, to ensure that the
repeater works with desired performance.
3.4.1 Alarms and End of Alarms
When the Control Module detects a failure in the repeater, an alarm is transmitted to the Avitec Element
Manager, informing the operator about the error condition. When the alarm has ceased, an end of alarm is
sent to the AEM, stating that the alarm source is now OK.
An alarm is sent when the level
has been above the threshold
for three seconds
An end of alarm is sent
as soon as status is OK
Time
Level
Each alarm and end of alarm updates the AEM database with the latest status of the alarm source, ensuring
that the AEM operator always has the correct repeater status in the system.
! To generate an alarm a number of consecutive measurements must first show an error state.
! To generate an end of alarm only one OK measurement is needed.
GSM-EDGE Repeaters
PRODUCT DESCRIPTION AND USER'S MANUAL
© Avitec AB A1009300 A 56 (177)
Alarms can be of five different severity levels
Severity Level Description
Critical A critical error has occurred which affects the functionality of the repeater. This type
of alarm requires immediate action.
Major A major error has occurred. This type of alarm should be investigated within a short
time.
Minor A minor error has occurred. This type of alarm should be investigated, but is not
urgent.
Warning Something has occurred that does not affect the operation of the repeater but may be
important to notice. For example, someone has logged on to the repeater.
Cleared A cleared alarm. This is the end of alarm.
Note! User related alarms (as described in 3.4.6 Alarm Sources) do not send an end of alarm.
3.4.2 Alarm Acknowledgements and Retransmissions
The 40 latest alarms and end of alarms are stored in the repeater’s local alarm log. In case an alarm is not
acknowledged (see below), the alarm will be retransmitted to the AEM after a configurable number of
minutes. The retransmission will be repeated a configurable number of times. Default retransmit interval is 10
minutes. Default number of retries is three.
Number of retransmissions
Repetition cycle
Alarm log
Repeater Message No
Date/Time
Description
Attribute/Alarm Source
Severity
Class
Alarm acknowledged
Acknowledgement using
RMC
GSM-EDGE Repeaters
PRODUCT DESCRIPTION AND USER'S MANUAL
© Avitec AB A1009300 A 57 (177)
3.4.2.1 Alarm Acknowledgement using the RMC
Each alarm can be manually acknowledged using the Repeater Maintenance Console. However, if the
repeater is controlled by the Avitec Element Manager, a manual acknowledgement of the alarm means that
the AEM will not be aware of the change in the repeater status.
3.4.2.2 Alarm Acknowledgement using the Avitec Element Manager
If the repeater is integrated to and controlled by the Avitec Element Manager, an alarm is considered
acknowledged when the repeater has dialed the AEM, logged in to the AEM and delivered the alarm. Once
delivered to the AEM, the acknowledgement of the event is taken care of locally at the AEM, why no dial-
back needs to be performed to acknowledge the alarms in the repeater.
3.4.2.3 Alarm Acknowledgement using SMS
If the repeater is configured to send alarms using SMS, alarm acknowledgement can be made in two different
ways.
! the alarm is acknowledged as soon as the alarm SMS is successfully received by the Short Message
Service Centre
or
! the alarm is acknowledged by sending a special alarm acknowledgement SMS back to the repeater from
the alarm destination.
Choose Configuration,/AEM Reports
pick one alternative from the drop-
down menu
All alarms transmitted from the repeater contain a message number. Acknowledgement of an alarm is done
by sending an SMS to the repeater containing this message number.
Note! Only the defined “Primary SMS address” can acknowledge alarms.
The table below displays the format of alarm acknowledgement messages.
Message field Format Description
Repeater ID XX-YY-ZZZZ ID of the repeater that the message is intended for
Message number NNNNN Message number from the main address (any 5-digit number)
Command ACT Action command
Argument ACK Acknowledge action
Argument MMMMM Message number of the alarm message to acknowledge
The message fields are separated with blanks.
For example, sending an SMS to the repeater with the text
01-42-4711 00242 ACT ACK 00023
will acknowledge alarm number 00023 from repeater 01-42-4711.
GSM-EDGE Repeaters
PRODUCT DESCRIPTION AND USER'S MANUAL
© Avitec AB A1009300 A 58 (177)
3.4.3 Alarm Repetition
As soon as the repeater detects an alarm or an end of alarm, a connection to the Avitec Element Manager is
established and the alarm event is reported. Many alarm sources are configured for the error to be present
during three seconds before an alarm is generated. End of alarm is triggered as soon as an OK state is
detected.
If an alarm should constantly toggle between OK and ERROR the communications interface might be
blocked. To prevent this there is a parameter called Minimum Alarm Repetition. This parameter defines how
many minutes must elapse before a new alarm can be transmitted from the same alarm source.
Alarm Threshold
An alarm is sent when
the level has been
above the threshold for
three seconds
An end of alarm is sent as
soon as status is OK
Time
Level
Three minutes have
elapsed and a new alarm
is transmitted
Min alarm repetition
The example shows an alarm source with an upper threshold, and a fluctuating level around the alarm
threshold. In this example, we will receive the first alarm as indicated, and also a new one that will be
transmitted after three minutes, when the minimum alarm repetition period has elapsed.
Minimum time between alarms
3.4.4 Relay Output
The repeater can be ordered with a relay option. The relay, located on the External Alarm and Interface
Module, can be used to indicate to external alarm equipment the summary status of the repeater. Each alarm
source can be configured to be affecting the relay or not, see next section. If one or more alarm sources in the
repeater are in error, the relay will be opened.
If the repeater is part of an antenna distribution system in for example a tunnel, all tunnel equipment can be
monitored from one central location using current loops. This means that the tunnel service engineers can
independently from the Avitec Element Manager staff be informed about the repeater status.
Each alarm source can be individually configured if the relay should be affected or not.
Note! The relay status is not affected by the login / logout alarm parameters.
For installation testing purposes, it is possible to test the open / close function of the relay. This test procedure
makes sure the relay is closed for 2.5 seconds, then opens for 10 seconds, and finally closes for 2.5 seconds
before going back to original state.
GSM-EDGE Repeaters
PRODUCT DESCRIPTION AND USER'S MANUAL
© Avitec AB A1009300 A 59 (177)
3.4.5 Alarm Configuration
A number of different parameters can be configured for how the alarms are transmitted to the repeater OMC.
Each alarm source can also be individually configured in a number of different ways.
Affect relay
Alarm
transmission
enabled
Requires
acknowledge-
ment
Lower threshold
Upper threshold
Number of faulty
measures
! Affect relay – If checked, an active alarm from the alarm source affects the relay status
! Enabl. – If checked, the alarm is transmitted to the repeater OMC
Note! This only affects the transmission of the alarm. The alarm is still measured, and corresponding
alarm status is still displayed in the repeater status screen and in the heartbeat reports transmitted to the
repeater OMC.
! Ack. – All alarms will by default be transmitted to the repeater OMC requiring acknowledgement (the
box is checked). Disabling this checkbox removes this requirement, which means that an alarm will only
be transmitted once, regardless if an acknowledgement is received or not.
! Lower – Lower threshold, not applicable for all alarm sources. Please refer to document GSM-EDGE
Repeaters Command and Attribute Summary for details on the usage of thresholds for each alarm
source.
! Upper – Upper threshold, not applicable for all alarm sources. Please refer to document GSM-EDGE
Repeaters Command and Attribute Summary for details on the usage of thresholds for each alarm
source.
! Time – Defines how many consecutive measurements from one alarm source that should be measured as
ERROR before an alarm is triggered.
Note! In most cases, all default alarm configurations can be left unchanged, except the BCCH alarm
configuration. Please refer to 3.2.6 BCCH Configuration for details about the BCCH alarm configuration.
GSM-EDGE Repeaters
PRODUCT DESCRIPTION AND USER'S MANUAL
© Avitec AB A1009300 A 60 (177)
3.4.6 Alarm Sources
Temperature Related Alarms
Alarm Code Description Trigger
Temperature TEM Measures the temperature in the repeater.
The temperature is located on the controller
board.
Temperature too
high or too low
Power Supply
Temperature PTM Measures the temperature in the repeater’s power
supply Temperature too
high or too low
Power Related Alarms
Alarm Code Description Trigger
Power Supply Level PSL Measures the mains power supply level.
This is used to detect if the power supply in to
the repeater is dropping too low or getting too
high.
Level too high or
too low
Power Supply 1 PW1 Measures the +28V generated by the repeater’s
power supply. Level too high or
too low
Power Supply 2 PW2 Measures the +15V generated by the repeater’s
power supply. Level too high or
too low
Power Supply 3 PW3 Measures the +6.45 V generated by the repeater’s
power supply Level too high or
too low
Power Supply 4 PW4 Measures the +6.45 V generated by the repeater’s
power supply feeding the controller Level too high or
too low
Battery for Mobile
Equipment BAT Measures the battery charge in the repeater’s
backup battery
Charge drops
below a defined
threshold or is too
high
User related Alarms
Alarm Code Description Trigger
Valid Login to
repeater VLI Detects a login to the repeater, either locally or
via remote connection. A successful login
User logged out from
repeater LGO Detects a logout from the repeater. A logout
Illegal Logins
exceeded limit ILI Detects and counts the number of failed login
attempts.
The counter is decreased by one every hour. A
threshold can be set for number of allowed
attempts before the login is blocked.
Threshold
exceeded
GSM-EDGE Repeaters
PRODUCT DESCRIPTION AND USER'S MANUAL
© Avitec AB A1009300 A 61 (177)
Changes made by
logged in user CLR Detects all changes made to repeater settings by a
user logged in to the repeater. NA
RF Related Alarms
Alarm Code Description Trigger
Antenna Isolation
Measurements AIM Measures the antenna isolation.
Two channels are used, one BCCH channel, and
one so called Listener channel. By default, these
channels are the ones configured in chain 1 and
two, but can be changed using the RMC.
The repeater can be configured to mea-sure the
antenna isolation on a certain time every day, and
in case the isolation is too low, an alarm is
generated.
Isolation is
outside defined
interval
Input Overload
Downlink IOD Detects input overload on the downlink chain.
This alarm is used to detect if there is other
equipment in the frequency band causing the
input of the repeater to be blocked, and hence
decreasing the repeater performance. This can for
example be a base station from another operator
being mounted too close to the repeater’s donor
antenna.
Overload
Input Overload
Uplink IOU Detects input overload on the uplink chain.
This alarm is used to detect if there is other
equipment within the frequency band causing the
input of the repeater to be blocked, and hence
decreasing the repeater’s performance. This can
for example be harmonics from TV-transmitters
or other strong radio signals.
Overload
Power Level BCCH
Downlink PDL Measures the output power of the BCCH channel
in the downlink. If the BCCH drops below the
configured threshold an alarm is generated.
Reasons for the BCCH dropping might be an
obstacle raised between the BTS and the
repeater, or a reconfiguration of the BTS where
the output power is decreased. A dropped BCCH
output power from the repeater will decrease the
repeater’s coverage area.
Output power
level BCCH too
low
Voltage Standing
Wave Ratio
Downlink
WRD Monitors the reflected power level at the server
antenna port (s).
An alarm might be caused by a broken antenna
cable, or the antenna connector not being
properly tightened.
The difference
between the
transmitted and
reflected power is
too low
GSM-EDGE Repeaters
PRODUCT DESCRIPTION AND USER'S MANUAL
© Avitec AB A1009300 A 62 (177)
Opto Related Alarms
Alarm Code Description Trigger
Fiber Optic Receiver
FRX Detects if the receiver is OK or not Received signal too
low
Fiber Optic
Transmitter
FTX Detects if the transmitter is OK or not Transmitted signal
too low
Repeater Performance Related Alarms
Alarm Code Description Trigger
Amplifier Chain
Downlink AMD This is a gain alarm.
The repeater measures the input signal level in
the downlink chains and compares it to expected
output power with regards to attenuation in
repeater. If the output power is too high or too
low, something might be failing in the amplifier
chain, and hence an amplifier chain alarm is
triggered.
Expected output
power too high or
too low compared
to calculated output
power.
Amplifier Chain
Uplink AMU This is a gain alarm.
The repeater measures the input signal level in
the uplink chains and compares it to expected
output power with regards to the attenuation in
repeater. If the output power is too high or too
low, something might be failing in the amplifier
chain, and hence an amplifier chain alarm is
triggered.
Expected output
power too high or
too low compared
to calculated output
power.
Amplifier Chain
Saturation Downlink ASD Measures saturation in the amplifier chain
downlink.
An amplifier chain going into saturation means
that the repeater input signal level and/or gain is
not set correctly. An amplifier going too deep
into saturation might cause the signal quality to
be decreased.
There are four levels:
! below optimum settings
! working in the optimum range
! going into saturation
! well into saturation
Saturation enters
defined level
Amplifier Chain
Saturation Uplink ASU Measures saturation in the amplifier chain
uplink. An amplifier chain going into saturation
means that the repeater input signal level and/or
gain is not set correctly. An amplifier going too
deep into saturation might cause the signal
quality to be decreased. There are four levels:
Saturation enters
defined level
GSM-EDGE Repeaters
PRODUCT DESCRIPTION AND USER'S MANUAL
© Avitec AB A1009300 A 63 (177)
! below optimum settings
! working in the optimum range
! going into saturation
! well into saturation
Synthesizer
Downlink SZD Detects if a synthesizer in the downlink is
unlocked Synthesizer
unlocked
Synthesizer Uplink SZU Detects if a synthesizer in the uplink is unlocked Synthesizer
unlocked
Communication
Between Controller
and Active Devices
COM Detects errors in the communication between
controller and active devices Errors in the
communication
Door Alarm
Alarm Code Description Trigger
Door DOO Checks if the repeater’s door is open or closed Door is open
3.4.7 External Alarms
If the option for external alarms has been included, four (4) external alarm sources can be connected to the
repeater. These can be for instance fire alarms or external door sensors. These alarms operate on a voltage
between 12 and 24VDC. The presence or absence of this voltage will trigger the alarm depending on how
alarm thresholds have been configured. The external alarms have only two states – “ok” or “error”.
As for all alarm sources a delay can be set that defines how many seconds an alarm should be in error state
before an alarm is generated
Alarm Code Description Trigger
External Alarm 1 EX1 Monitors any alarm source, for example fire alarms
or external door sensors connected to the external
interface.
Error from
alarm source
External Alarm 2 EX2 Monitors any alarm source, for example fire alarms
or external door sensors connected to the external
interface.
Error from
alarm source
External Alarm 3 EX3 Monitors any alarm source, for example fire alarms
or external door sensors connected to the external
interface.
Error from
alarm source
External Alarm 4 EX4 Monitors any alarm source, for example fire alarms
or external door sensors connected to the external
interface.
Error from
alarm source
3.4.8 Alarm Format
Each alarm transmitted from the repeater contains a number of fields, in detail describing the event that
caused the alarm. The alarm is transmitted as an ASCII text string, each field separated by a blank/white
space.
Using the Avitec Element Manager to control the repeater, the alarm string is delivered to the Transceiver for
further processing in the AEM system.
GSM-EDGE Repeaters
PRODUCT DESCRIPTION AND USER'S MANUAL
© Avitec AB A1009300 A 64 (177)
When SMS is used to control the repeater, the string is sent as clear text to the alarm address (main address).
Message field Format Description
Repeater ID XX-YY-ZZZZ ID of the repeater causing the alarm. When monitoring the repeater
using the AEM, this repeater ID is set by the AEM during the
repeater installation phase. Using SMS, this repeater ID should be
modified to uniquely identify the repeater in the network.
Message number NNNNN Message number from the repeater, increased for each message sent
to this address
Message type ALARM Means that the message is an alarm or end of alarm (alarm cease)
Date DDMMYY Day, month and year when the alarm was detected
Time HHMMSS Hour, minute and second when the alarm was detected
Alarm Source PW1, DOO… Code for alarm source. Please refer to GSM-EDGE Repeater
Command and Attribute Summary to obtain a detailed list of all
available alarm sources in the repeater.
Severity CC Abbreviation for severity of the alarm. This severity varies between
the different alarm sources.
CR = critical
MA = major
MI = minor
WA = warning
CL = cleared
When an and of alarm is sent, the severity is CL = cleared
Class CC Abbreviation for kind of alarm
CO = communication alarm
EN = environmental alarm
QS = quality of service alarm
PR = processing alarm
EQ = equipment alarm
Status C..C Status for the Alarm Source generating the alarm.
Please refer to document GSM-EDGE Repeater Command and
Attribute Summary to obtain detailed information about the status.
If for example Alarm Source is SZU (Synthesizer Uplink), status
parameter format is described in the SZU attribute in the GSM-
EDGE Repeater Command and Attribute Summary.
Additional alarm
text CC…CC This quoted string contains additional alarm information, such as
measured levels when the alarm condition was detected.
Example:
01-01-0001 00049 ALARM 251103 132137 WRD CR QS 1 “Current return loss is 9.0
dB”
This is an alarm message from repeater 01-01-0001, indicating that the reflected level (WRD) on the antenna
port is 9.0 dB.
GSM-EDGE Repeaters
PRODUCT DESCRIPTION AND USER'S MANUAL
© Avitec AB A1009300 A 65 (177)
3.5 Repeater Heartbeat
On regular intervals, the repeater sends a heartbeat report to the AEM to confirm that the repeater is
functioning. When monitoring the repeater using the Avitec Element Manager, the heartbeat reports play a
key role. They contain the repeater configuration and are transmitted between the repeater and the AEM on
regular intervals.
3.5.1 Heartbeat Tasks
With the heartbeat reports, a number of tasks are carried out.
3.5.1.1 Ensuring Repeater to AEM Communications path
By configuring the repeater to regularly establish a connection to the AEM, the functionality of the data
communications path between the repeater and the AEM is verified. This ensures that for instance the alarms
will be transmitted properly.
If an expected heartbeat is not received by the AEM, an alarm is generated to the AEM operator. Reasons for
a heartbeat message failing to be delivered can be:
! No power – the repeater site might experience a power failure, and the battery backing up the controller
and modem is empty
! Broken donor antenna – If the repeater antennas have been tampered with, the repeater might not get
adequate signal to establish a connection to the AEM
! Failing BTS – If the feeding BTS for some reason goes down, the repeater will loose its network
connection, and hence fail to establish a connection to the Avitec Element Manager.
3.5.1.2 AEM Database Synchronization
The Avitec Element Manager stores all repeater parameters in a database. This database is populated during
the repeater integration into the AEM, when the AEM downloads all the repeater parameters. If the AEM
operator wants to monitor the configuration of the repeater, the parameters can be read from the database
without having to connect to the repeater.
In case of an alarm, the AEM updates the database with the status of the alarm source. In case the repeater
failed to deliver the alarm to the AEM, there will be a discrepancy between the repeater configuration and the
configuration in the database. Furthermore, if a technician at site makes changes to the RF-configuration of
the repeater, the configuration will differ from the AEM configuration.
For this reason, each heartbeat report contains all the relevant RF-parameters and status of all the alarm
sources in the repeater. This means that each heartbeat report will update the AEM with all status and RF
parameters.
Note! Once the repeater is integrated to the Avitec Element Manager, it is recommended that all
reconfigurations are made from the AEM.
Note! If a user logs in to the repeater making changes, as soon as the user logs out, an alarm will be
transmitted to the AEM informing the operator that a change has been made. When this alarm is received, the
operator can initiate repeater synchronization where all repeater parameters will be updated.
3.5.1.3 Time Synchronization
Each heartbeat message transmitted to the AEM contains a time stamp of the local time inside the repeater.
Upon reception in the AEM, the time stamp is compared to the Avitec Element Manager time. If the
difference between the repeater and AEM time is too big, time synchronization is initiated by the AEM,
adjusting the time in the repeater. In this ways, we ensure that a repeater integrated to the Avitec Element
Manager always contains the correct time information.
Note! If the time is adjusted by a user logged in to the repeater, once the user logs out, a heartbeat is sent to
the AEM to ensure that the time is correctly synchronized.
GSM-EDGE Repeaters
PRODUCT DESCRIPTION AND USER'S MANUAL
© Avitec AB A1009300 A 66 (177)
3.5.2 Configuring the Heartbeat
The Heartbeat is configured to be transmitted on a regular interval. As soon as the report is successfully
delivered, the repeater will wait the configured interval before transmitting the report again. The interval can
be set from once per minute to once every 1440 minutes (24 hours). Setting the heartbeat interval to zero
disables transmission of the heartbeat reports.
If the heartbeat report was not successfully transmitted, it will be retransmitted again after a configurable
number of minutes. The Control Module will try a configurable number of times to transmit the report to the
Avitec Element Manager / repeater OMC.
Default retransmit interval is one minute, and three retries will be made to transmit the report. In this example
a heartbeat is sent every 24 hours and the number of retransmits has been set to 2 with a one minute interval.
Repetition cycle
Retransmissions
Repetition cycle for
retransmission
Note! The report retransmit interval and number of report retransmissions also applies to the traffic reports.
Note! When monitoring the repeater using the Avitec Element Manager, the heartbeat interval is decided by
the AEM operator as a part of the repeater to AEM integration procedure.
3.5.3 Heartbeat Format
The heartbeat report is transmitted as an ASCII text string, with a number of fields representing the RF-
configuration and status parameters, each field separated by a blank/white space.
Using the Avitec Element Manager to control the repeater, the heartbeat report is delivered to the Transceiver
for further processing in the AEM system.
When SMS is used to control the repeater, the report is sent as clear text to the main address.
Since the different EDGE-GSM repeater types contain different number of configurations and alarm
parameters, the formats of the heartbeats vary between repeater types Please refer to document GSM-EDGE
Repeater Command and Attribute Summary for details on the various heartbeat formats.
3.6 Traffic Measurement
Avitec repeaters constantly monitor the radio signal in the uplink path. By doing this, it is possible to detect
how much traffic is generated from within the repeater’s coverage area.
On a regular basis, a traffic report is transmitted to the Avitec Element Manager, allowing for traffic analysis
to identify peak hours and hotspots in the radio network covered by the Avitec repeaters.
3.6.1 Traffic Measurement Procedure
The repeater software allows for real time tracing of the repeater utilization in the uplink path of the repeater.
Each chain in the repeater/LIMPA contains an RSSI (Received Signal Strength Indicator), which detects the
input level. By monitoring this RSSI all the active timeslots in the uplink above a configurable threshold can
be detected. A counter inside the LIMPA microcontroller counts all the detected active timeslots on a chain
by chain basis.
GSM-EDGE Repeaters
PRODUCT DESCRIPTION AND USER'S MANUAL
© Avitec AB A1009300 A 67 (177)
Timeslot
RSSI
Traffic
Threshold
1 2 3 4 5 6 7 8
In the example above, timeslots 2, 4 and 8 are above the configured traffic threshold
When logged in to the repeater, real time tracking allows monitoring of how many timeslots in each GSM
frame is utilized. The frame time is extracted from the BCCH signal in the downlink path.
Note! In order to get accurate snapshot information on how many time slots are utilized, the BCCH should
always be configured for chain 1.
In case the frame time cannot correctly be extracted from the BCCH, the repeater will make an
approximation. This means that the snapshot information might not be entirely accurate. However, the total
number of detected timeslots does not require the BCCH to be properly configured.
Once every 15 minutes, the controller calculates the percentage of all active timeslots being above the
threshold. The result is stored in a traffic log. On a configurable time of the day, the utilization for the last 24
hours is transmitted to the repeater OMC, after which the log is cleared.
The utilization is calculated as:
Utilization = All detected timeslots / Total number of timeslots * 100
3.6.2 Active Intervals
The repeater calculates the utilization in the uplink for each 15 minute interval (96 intervals per day). An
active interval is defined as an interval where detected number of active timeslots is above a certain
threshold. By default, an interval is considered active when 8 timeslots or more are detected. This feature is
useful for trouble shooting purposes in low traffic areas. If no intervals have been active during the last day or
so, a suspicion might be that there is an erroneous configuration or a failing server antenna.
The repeater also saves the time point for when last timeslot was detected in the uplink path of the repeater.
GSM-EDGE Repeaters
PRODUCT DESCRIPTION AND USER'S MANUAL
© Avitec AB A1009300 A 68 (177)
3.6.3 Viewing Traffic Reports from the RMC
Traffic reports can be monitored via the RMC.
Current 15 minute
interval
Earlier intervals
Report to AEM
Real time traffic
3.6.4 Interpreting Traffic Data
The traffic data should not be treated as definite facts for two major reasons:
! Most GSM-EDGE networks today have DTX (Discontinuous Transmission Mode) enabled. When DTX
is enabled there is only transmission from the mobile station when the user is talking. This means that
even though there is a call going through the repeater there is no detectable traffic when the user is
silent.
! GPRS enabled networks can use one or more timeslots, depending on network configuration, mobile
type and subscriber activity.
It is not possible to make definite decisions as to how many calls are going through a repeater or if a repeater
site / base station is reaching its capacity limit, but gives a very good indication about trends on the site. For a
non-GPRS enabled network, reaching utilizations of up to 30% of the interval at the same time as the base
station indicates 100% utilization probably means that most calls are originated from within the repeater
coverage area.
GSM-EDGE Repeaters
PRODUCT DESCRIPTION AND USER'S MANUAL
© Avitec AB A1009300 A 69 (177)
3.6.5 Traffic Measurement Configuration
A number of different parameters are available in order to configure the behavior of the traffic measurements
and traffic reports.
Traffic Threshold
Active
Intervals
Traffic Reports
3.6.5.1 Traffic Threshold
A traffic threshold can be set to define on what level measured should start. The value is set in dBm. If the
traffic threshold is set to -85, any signal above -85 dBm is considered as traffic originated from within the
repeater’s coverage area.
3.6.5.2 Active Intervals
For each 15 minute interval, all timeslots are counted. If the number of timeslots is above the active interval’s
threshold, the current interval is considered as an Active Interval.
This threshold is set as number of timeslots. Default value is 8 timeslots.
3.6.5.3 Traffic Reports
The Traffic Report is configured to be transmitted on a fixed time point of the day. By default the repeater
transmits the traffic data at 02.00.00 in the morning. A recommendation is to transmit the traffic data to the
repeater OMC during low traffic hours, for example during night/early morning.
In case the traffic report was not successfully transmitted, it will be retransmitted again after a configurable
number of minutes. The controller will try a configurable number of times to transmit the report to the Avitec
Element Manager / repeater OMC.
Default retransmit interval is one minute, and three retries will be made to transmit the report. (Same setting
as for the heartbeat)
Note! The report retransmit interval and number of report retransmissions also applies to the heartbeat
reports.
Note! When monitoring the repeater using the Avitec Element Manager, the traffic report time point is
decided by the AEM operator as a part of the repeater to AEM integration procedure.
Note! By default, in frequency translating donor repeaters, transmission of traffic data to the AEM is
disabled. Since the same traffic should be transmitted through the remote and the donor unit, disabling the
traffic report eliminates redundant information in the Avitec Element Manager database.
3.6.6 Traffic Report Format
Each traffic report transmitted from the repeater describes the repeater utilization for the last 24 hours. The
traffic report is transmitted as an ASCII text string, with a number of fields describing the utilization in detail,
each field separated by a blank/white space.
Using the Avitec Element Manager to control the repeater, the traffic report is delivered to the Transceiver
for further processing in the AEM system.
When SMS is used to control the repeater, the string is sent as clear text to the main address.
GSM-EDGE Repeaters
PRODUCT DESCRIPTION AND USER'S MANUAL
© Avitec AB A1009300 A 70 (177)
Message field Format Description
Repeater ID XX-YY-ZZZZ ID of the repeater sending the traffic report. When monitoring
the repeater using the AEM, this repeater ID is set by the
AEM during the repeater installation phase. Using SMS, this
repeater ID should be modified to uniquely identify the
repeater in the network.
Message number NNNNN Message number from the repeater, increased for each
message sent to this address
Message type PERFO Means that this is a traffic report
Date DDMMYY Day, month and year when message is generated
Time HHMMSS Hour, minute and second when message is generated
First Measure Date DDMMYY Date of the first traffic measurement
First Measure Time HHMMSS Time of the first traffic measurement
Utilization Data M..M M..M shows information about the 96 measured 15 minute
intervals.
M = '0' means a utilization of 0% to 2%
M = '1' means a utilization of 2% to 4%
...
M = '9' means a utilization of 18% to 20%
M = 'A' means a utilization of 20% to 22%
M = 'B' means a utilization of 22% to 24%
...
...
M = 'T' means a utilization of 58% to 60%
M = 'a' means a utilization of 60% to 62%
M = 'b' means a utilization of 62% to 64%
M = 't' means a utilization of 98% to 100%
If no data is available, a dash ('-') is reported.
Example:
01-01-0323 00755 PERFO 270803 020001 260803 020000
00000001011212233468BCDCBCBDGHGKDFDEDFHJGFDCBCBA9BCBDEFGEGEFLKHEDEDA986867865
422321210100010000
This example shows a traffic report from the repeater 01-01-0323. First measurement is done at 2 AM, 26’th
of august 2003, and traffic report is transmitted 24 hours later.
3.7 Remote Communication
Avitec repeaters contain a GSM module for remote communication. There are two different ways of
communication:
! Using data call / modem connection.
Note! This requires the SIM-card in the GSM module to be configured with data service.
! Using SMS to configure the repeater with simple text messages.
The Avitec Element Manager always uses data call communication with the repeater, why all repeaters being
controlled by the AEM must have data service enabled on the SIM card.
Configuring the repeater to send alarms and reports via SMS it is still possible to establish data calls to the
repeater, as long as the SIM card is data service enabled.
GSM-EDGE Repeaters
PRODUCT DESCRIPTION AND USER'S MANUAL
© Avitec AB A1009300 A 71 (177)
The repeater contains a back-up battery, mounted in the main power supply. This battery backs up the
Control Module with the GSM module. In case of a power failure, the battery contains enough energy for the
repeater to dial up the repeater OMC and inform about the power supply disruption.
This section describes in detail how the remote communication works. For a step by step instruction on how
to configure the remote communication, please refer to 4.4.3 Set Up Remote Access.
3.7.1 Modem Control
Since repeaters might be installed in remote areas and be difficult to reach, it is important that the remote
communication is reliable and that a repeater can be recovered from network failures or power failures.
A number of features are implemented in order maximize the remote access availability.
3.7.1.1 Tracing Modem Activity
When no one is logged in to the repeater, all activity performed between the controller and the modem is sent
out via the LMT port. By connecting a cable to the LMT port and starting the RMC in Terminal Mode (or by
using a terminal emulation software as described in section 1.4.1 Repeater Firmware), all controller activity
can be traced. This is useful for troubleshooting the modem connection as described later.
3.7.1.2 GSM Module Initialization
After a power failure, and upon user request, the controller performs a full initialization of the GSM module.
This consists of three steps:
1. If the SIM-card in the GSM module has the PIN code enabled, the control module unlocks the PIN code.
In case wrong PIN-code is configured, the controller will not try to unlock the SIM again until the PIN-
code is changed. This avoids the SIM card being locked by a controller repeatedly trying to unlock the
SIM with the wrong PIN code.
2. Once the SIM is unlocked, the controller waits for the SIM to log in to the GSM network. Depending on
signal quality and network configuration this might take a while. The controller will wait a configure
number of the seconds (default 50 seconds) for the GSM-module to login to the network. In case no
network is found, a modem power cycle will be initiated.
3. When the module is successfully logged in to the network, the controller configures the modem with the
modem initialization string as configured when setting up the remote configuration. The modem
initialization string is a network dependent string. The default initialization string is suitable for most
networks, but some networks might require some tweaking of this string. Refer to section 3.7.5
Troubleshooting Remote Communication, for more information.
3.7.1.3 Monitoring Modem Connection
The controller constantly monitors the status of the modem connection to ensure that it is working properly,
and that the modem is logged in to the GSM network.
In case the modem is not registered to the network, or the controller cannot properly communicate with the
modem, a power cycling of the modem is initiated, after which the modem will reinitialized.
3.7.1.4 Scheduled Modem Power Cycling
In addition to polling the modem to ensure the repeater online status, the controller can be configured to
perform an automatic power cycling on a scheduled time of the day, see 4.4.3 Set Up Remote Access. Power
cycling the modem ensures the latest network configuration for the GSM module, such as the HLR Update
Interval etc.
Note! By default, the scheduled modem power cycling is disabled.
3.7.2 Local or Remote Access
The controller contains a connection manager that only allows for one connection at a time. This means that
if a user is logged in to the repeater locally the modem will not answer incoming calls. If someone is logged
GSM-EDGE Repeaters
PRODUCT DESCRIPTION AND USER'S MANUAL
© Avitec AB A1009300 A 72 (177)
in to the repeater over the modem or the controller is busy dialing the Avitec Element Manager to deliver
alarms and reports, no local login can be performed. To deliver an alarm or a report to the OMC takes from
20 to 50 seconds depending on network and modem configuration. Hence, the time the modem is occupied
reporting to the AEM is very short. The controller can only configure the modem when no user is logged in to
the system.
A trace of all modem initialization activities is sent out via the LMT port. This is useful when verifying and
trouble shooting the remote communication.
3.7.3 Remote Communication using Data Call
When the repeater is configured to use data call for remote communication, the modem connection is used for
delivering alarms and reports and for remote communication with the repeater.
Chapter 4.4.3 Set Up Remote Access contains step by step instruction for how to configure the repeater for
communication using data call.
3.7.3.1 Avitec Element Manager Addresses
The controller can be configured with two different addresses (telephone numbers) to which alarms and
reports are delivered. In case the repeater cannot deliver alarms and reports to the primary address, the next
call will be made to the secondary address.
A fallback functionality is available, which means that the controller falls back to the primary address after a
configurable number of minutes. If this interval is set to 0, the fallback will not be performed. A user can
always force the controller to fall back to the primary address.
Note! When the repeater is integrated to the Avitec Element Manager system, these addresses are set by the
AEM, why they need not be configured during site installation.
3.7.3.2 Verifying the Remote Communication
When the remote configuration has been set up and the user is logged out, the communication can be verified
using the modem feature of the RMC and dialing the data number. The remote communication is verified as
soon as a successful remote login to the repeater has been performed.
However, as a first step, it is recommended to verify that the modem is initialized correctly. After configuring
the modem using the RMC, make sure to initiate a power cycling of the modem. This is done from the RMC
menu.
Click on the drop-down menu Actions, choose
Power Cycle Modem on Logout
When the user logs out the controller power cycles the modem, after which the GSM modem is initialized
and registered onto the network. The modem is now ready for remote access.
In case the initialization procedure reports an error, please refer to Trouble Shooting section later in this
chapter.
Verify the remote communication either by having someone attempting to integrate the repeater from the
Avitec Element Manager, or by dialing the repeater using the Repeater Maintenance Console.
GSM-EDGE Repeaters
PRODUCT DESCRIPTION AND USER'S MANUAL
© Avitec AB A1009300 A 73 (177)
When a successful login is made, the controller
redirects the output to the modem, as in this
example.
Note! It is very important to dial the data number of the SIM. In case the voice number is dialed, the call is
answered, but almost immediately the call will be hung up.
3.7.3.3 SIM-card Using Single Numbering Scheme
If the network is configured using Single Numbering Scheme (SNS), some special considerations apply.
The Avitec repeaters are by default configured so that networks using SNS always will have calls routed to
the data service in the modem. When dialing from within the network to a repeater having an SNS-configured
SIM will operate normally, since the call originator informs the system that the bearer is of type DATA.
However, when dialing from outside the GSM-network trying to connect to the repeater can be difficult.
Depending on the interface to the roaming network or to the PSTN network if an analog modem is used, the
bearer type can default to voice. If the bearer is set to voice, the data service cannot be converted to DATA,
and a call setup cannot be completed.
Note! This is not a repeater related problem; the solution is to verify how the external network interfaces
handles the VOICE vs. DATA bearer type.
3.7.4 Remote Communication using SMS
By configuring the repeater to communicate using SMS it is possible to receive reports and alarms, and to
perform remote configuration of the repeater using simple SMS / text messages.
3.7.4.1 SMS Communications Overview
The SMS (Short Message Service) system in a GSM network is a point-to-point packed based messaging
system, which enables mobile phones to send and receive short text messages, SMS-messages. The SMS
packet can have a maximum length of 160 characters. Each message also contains information about the
originator address, where the telephone numbers are referred to as MSISDN addresses.
GSM-EDGE Repeaters
PRODUCT DESCRIPTION AND USER'S MANUAL
© Avitec AB A1009300 A 74 (177)
BTS BTS
SMS SMS
Short Message
Service Centre –
SMSC
Server
SMS
LAN/
WAN
Repeater
When the repeater wants to send a message to a mobile phone, the message is first sent to the Short Message
Service Center (SMSC). The SMSC communicates with the network to determine where the destination
mobile is located, after which the message is forwarded to the destination address as shown above. If the
destination mobile phone is not within coverage or turned off, the message will be stored in the SMSC. When
the mobile is turned on and logs in to the network, the SMSC will send the stored message(s) to the mobile.
The SMSC center will store undelivered messages for a configurable number of hours before they are
discarded (normally 3-5 days).
Optionally, a dedicated server having direct network (LAN/WAN) connection to the SMSC can be used as a
repeater OMC. This means that messages coming to the SMSC from the repeater will be forwarded to the
server. The server is assigned its own MSISDN within the network / SMSC, allowing for the same repeater
configuration to work in this setup.
Note! Avitec Element Manager does not support the SMSC interface or monitoring of repeaters using SMS.
3.7.4.2 Repeater Access Control using SMS
When configuring the repeater for SMS communication, a repeater access list is configured, containing up to
four different telephone numbers. Alarms and reports are always sent to a dedicated address, the Primary
Address.
Select “Configuration” window, “Communication”
page.
Choose SMS
Primary address
When SMS messages are sent to the repeater to read or write parameters, the repeater checks the MSISDN
for the originator of the message. If the message is any of the first two telephone numbers in the access list,
full access to the repeater is allowed (SET, GET and ACT messages). If the message is from any of the other
numbers in the list, read-only commands (GET). Messages from any other MSISDN than those four in the list
are discarded.
GSM-EDGE Repeaters
PRODUCT DESCRIPTION AND USER'S MANUAL
© Avitec AB A1009300 A 75 (177)
3.7.4.3 Message Formats for Repeater Configuration
Configuring the repeater is done by sending SET, GET and ACT commands in the same way as when
entering commands in terminal mode. For a detailed description of all available commands, refer to document
GSM- EDGE Repeaters Command and Attribute Summary.
Reading parameters will always return a reply, while setting parameters will not generate a reply message. If
the syntax of the message is wrong, the repeater will reply with a message explaining the syntax error.
Sending ACT (ACTion) messages will not return a reply, but might cause alarms or heartbeat reports to be
sent, depending on action request.
All messages to the repeater must start with the repeater ID. In case the repeater ID is set incorrectly, the
repeater replies back with an error reply containing the correct repeater ID.
All fields in the messages to and from the repeaters are separated by blanks. Maximum message length to and
from the repeater is always 160 characters.
Note! Please refer to separate chapters on alarm format and format on traffic and heartbeat reports.
Format on Sending Messages
Message field Format Description
Repeater ID XX-YY-ZZZZ ID of the repeater that the message is intended for
Message number NNNNN Message number from the main address (any 5-digit number)
Command GET, SET, ACT Command type
Attribute SSS A three letter attribute following the GET, SET or ACT
attribute
Parameters <Text> Optional parameters.
Repeater Reply Format
Message field Format Description
Repeater ID XX-YY-ZZZZ ID of the repeater sending the message
Message number NNNNN 5-digit message number increased for every message sent from
the repeater to this address.
Message Reference MMMMM This is a 5 digit number reference to the message number
sending the message generating this reply.
Command GET Command type sent to the repeater, originating the message.
Attribute SSS Attribute sent to the repeater
Reply <Text> Reply message.
Error Reply Format
Message field Format Description
Repeater ID XX-YY-ZZZZ ID of the repeater sending the message
Message number NNNNN 5-digit message number increased for every message sent from
the repeater to this address.
GSM-EDGE Repeaters
PRODUCT DESCRIPTION AND USER'S MANUAL
© Avitec AB A1009300 A 76 (177)
Text ERROR Text field indicating that this is an error message.
Message Reference MMMMM This is a 5-digit number reference to the message number
sending the message generating this reply.
Error Type SSS WID = Wrong repeater ID
VAL = Wrong value of parameter sent
COM = Command error. Unknown command or attribute.
Error Message <Text> A textual description of the error in the message.
Example 1:
Sending
01-01-0001 00003 GET TAG
gets the site tag / name as defined during repeater installation.
Reply:
01-01-0001 00017 00003 GET TAG RFID-2339
indicating that the name of this site is RFID-2339.
Example 2:
Sending
01-01-0001 00004 SET TAG RFID-2339-VALLEY
changes the site name to RFID-2339-VALLEY.
Example 3:
Sending
01-01-0001 00003 SET CHA 1 125
generates the reply
01-01-0001 00018 ERROR 281103 175900 00003 VAL Error(12): Illegal channel
number, channel number is from 1 to 124.
3.7.5 Troubleshooting Remote Communication
The Avitec Repeaters are equipped with a GSM module embedded on the Control Module of the repeater.
This allows for remote communication with the repeater over the GSM network. Since many networks have
their own “personality”, performing first time configuration of the remote communication sometimes requires
tweaking of the modem parameters.
This section describes some trouble shooting techniques if configuring the repeater for remote access fails.
GSM-EDGE Repeaters
PRODUCT DESCRIPTION AND USER'S MANUAL
© Avitec AB A1009300 A 77 (177)
Radio
LinkProtocol
(RLP)
Interworking
Function Unit
(IFU)
BTS
LaptopLaptop
Control module
in Avitec
Repeater
Switch
Centre
ModemModem
RS232
This illustration is a simplified schematic of the remote communication between a GSM module in a repeater
and an analog modem. The analog modem in the computer communicates with the Interworking Function
Unit (IFU), which is the GSM network analog network interface. The call is routed via the switch center over
the air interface to the data call number in the SIM-card of the GSM module.
The controller is responsible for establishing connections with the Avitec Element Manager, and to answer
incoming calls to the repeater.
As described in previous sections, the controller only accepts one login at a time, either via Local
Maintenance port (LMT) or modem connection. Hence, when verifying the remote access of the repeater, it is
important to log out from the repeater locally before trying to access the repeater remotely.
3.7.5.1 Modem Initialization Errors
As described in section 3.7.3.2 Verifying the Remote Communication, it is recommended to switch over to
terminal mode after doing the modem configuration, to log out from the repeater and observe the output from
the controller.
A number of different failure messages can be identified.
In this example the controller fails to initialize the
modem. The most common reason for this failure
is that the SIM-card is not inserted correctly, or
that the SIM is broken.
GSM-EDGE Repeaters
PRODUCT DESCRIPTION AND USER'S MANUAL
© Avitec AB A1009300 A 78 (177)
As stated in this screen dump, this failure is
caused by the wrong PIN-code being configured.
No more attempts will be made to unlock the PIN-
code until the code is reconfigured. Try
configuring the correct PIN-code by logging in to
the RMC again. Optionally, disable the PIN-code
request on the SIM. This is easiest configured by
disabling the PIN-code request of the SIM using a
normal GSM phone.
This error is reported when the wrong modem
initialization string is configured. Login to the
RMC and verify that the correct modem
initialization string is set. For details on the
different modem initialization strings, please refer
to the document GSM Module - AT Command
Reference.
The modem failing to register on the
network mainly depends on that the GSM
signal detected by the modem is too low.
The signal level might be too low because of some different reasons:
1. The GSM network is temporarily out of service.
2. Signal from the BTS is too low (misaimed antennas or broken feeder cables).
3. The modem cable between the Donor FDM and the modem has been tampered with.
GSM-EDGE Repeaters
PRODUCT DESCRIPTION AND USER'S MANUAL
© Avitec AB A1009300 A 79 (177)
Modem Cable
4. Modem broken.
The modem normally needs a signal level of -105 dBm or better to successfully log in to the network.
Please refer to 3.7.5.4 Common Problems, on how to read the modem signal level when logged in locally to
the repeater.
3.7.5.2 Direct Modem Access
To allow for advanced trouble shooting of the
communications, it is possible to access the modem
directly via the Control Module from a laptop.
Log in to the repeater as usual, either with RMC, or with a terminal emulation program, such as
HyperTerminal™. If using RMC. When the login is completed, select Terminal Mode, this will give access to
the repeater command prompt in the same way as with HyperTerminal.
When the repeater prompt is accessible, type in the command
ACCESS MODEM
press <Enter|>.
When typing ACCESS MODEM, the controller will send all the characters typed directly out the modem
port. All characters replied back from the modem will directly go out the LMT port back to the computer.
To abort an ACCESS MODEM session, press <Ctrl-C> or press three ‘-‘ in a row (all three within one
second) to come back to the repeater command prompt.
Note! When accessing the modem port the modem might be configured with “echo off”, meaning that the
characters entered will not be echoed back to the screen. In order to enable “echo”, press Enter.
After that, type
ATE1
(invisible), followed by Enter. The modem should then reply with
OK
indicating that the echo is enabled. All characters entered will now be echoed back to the terminal program.
3.7.5.3 Manually answering incoming calls
It is possible to manually answer incoming calls without involving the repeater software at all, to verify that
the remote access and the network itself works as intended. In order to verify the remote communication,
make sure to have someone stand by to dial up the repeater with a terminal emulation program, for example
HyperTerminal™.
Go in to Direct Modem Access as described earlier. When in direct access mode, ask the person standing by
to dial up the repeater.
As soon as a call is received, the text
RING
will repeatedly be displayed on the screen.
LaptopLaptop
RS232 cable
Control Module
GSM
Module
LMT Port
GSM-EDGE Repeaters
PRODUCT DESCRIPTION AND USER'S MANUAL
© Avitec AB A1009300 A 80 (177)
Type the modem command
ATA
press enter. This will inform the modem to answer (ATtention Answer).
When the connection is established, a connect message will be displayed including the connection speed.
Sometimes the information comes together with some miscellaneous information, such as error correction
protocols etc.
Note! Make sure the remote peer dials the Data Call number
As seen in the example, if the
voice number is dialed
instead of the data number, or
if the modem contains an
illegal modem initialization
string, the message
OK
or
NO CARRIER
will be displayed almost
immediately.
Try to change the modem initialization string. The modem initialization string mainly used to configure the
remote communication is AT+CBST.
Successful modem initialization strings used by Avitec includes (most common first):
AT+CBST=7,0,1
AT+CBST=0,0,1
AT+CBST=7,0,3
AT+CBST=7,0,1
Once the modem initialization string is entered, try again to dial up the repeater. For details on the different
modem initialization strings, please refer to the document GSM Module - AT command reference.
If the setup is successful, the connect message will be brought up;
CONNECT 9600
This means that an online connection is established to the remote peer. From now on, all characters typed on
the keyboard will end up on the remote peer’s screen. Similarly, all characters typed by the remote peer will
be displayed on the screen.
GSM-EDGE Repeaters
PRODUCT DESCRIPTION AND USER'S MANUAL
© Avitec AB A1009300 A 81 (177)
In the example, the incoming
call was successfully
answered, and the remote user
entered the text message.
In order to come back to modem command mode, press +++ (three pluses) rapidly (within one second).
Receiving
OK
means that the modem is back in command mode.
Typing
ATH
followed by <Enter> terminates the connection to the remote peer. The message
NO CARRIER
will be displayed.
3.7.5.4 Common Problems
Problem
When enabling the remote access for the repeater, the modem fails to log in to the network.
Solution
Signal strength from the donor site is too low. The signal strength can be read directly from the modem. Go
in to Direct Modem Access as described earlier. Use the command AT+CSQ (documented below) to read out
the signal strength.
In order to have good signal quality, Avitec recommends that the signal strength should be better than -95
dBm. If signal strength is lower, try to adjust the antennas to get a better signal strength from the donor.
GSM-EDGE Repeaters
PRODUCT DESCRIPTION AND USER'S MANUAL
© Avitec AB A1009300 A 82 (177)
Documentation of +CSQ command from modem manual
In the example the reply to
AT+CSQ is 0,7 meaning 7*2
dB above -113 dBm; the modem
detects a signal level of -99
dBm.
Problem 1
Repeater is configured properly, and answers the incoming call, but when trying to dial the repeater using an
analogue mode, no modem handshaking is heard from the dialing modem.
GSM-EDGE Repeaters
PRODUCT DESCRIPTION AND USER'S MANUAL
© Avitec AB A1009300 A 83 (177)
Problem 2
When dialing the repeater, the repeater answers the incoming call, but no connection is established, and after
a while the repeater disconnects the call.
Solution to the above problems
The most common cause is that the number called is the voice number of the SIM, not the data number.
Therefore, make sure to dial the data number.
If data call is used, the problem probably is an illegal modem initialization string.
In order to change the modem string, go to the repeater command prompt. Try changing the modem
initialization string and log out to let the controller reinitialize the modem.
If problem remains, try a few different modem initialization strings. Avitec have been successful with the
following modem initialization strings:
AT+CBST=7,0,1
AT+CBST=0,0,1
AT+CBST=7,0,3
AT+CBST=7,0,1
Please refer to the modem manual for detailed description of the modem initialization strings.
Problem
It is possible to call the repeater from another GSM mobile, but not from an analog modem.
Solution
This problem is most likely related to the modem configuration and/or the configuration of the IFU unit. Try
to decrease the communications speed and make sure that the modem error correction is supported by the
IFU. Verify the IFU configuration to see if there are any known problems with the modem connections.
Problem
When dialing the repeater, or when the repeater is dialing the Element Manager, the connection is terminated
before the handshaking is completed.
Solution
When a repeater is answering an incoming modem call, or calling up the OMC to deliver an alarm or a report,
the repeater will wait a configurable number of seconds for the call to be established. If no communication is
established within this time, the call will be hung up. If this interval is set too low, the handshaking is
terminated too fast. In the RMC, verify the Modem Connect Time to see that it is set to at least 30 seconds.
GSM-EDGE Repeaters
PRODUCT DESCRIPTION AND USER'S MANUAL
© Avitec AB A1009300 A 84 (177)
3.8 Upgrading Repeater Firmware
The software installed in the repeater is called firmware. Using the RMC it is possible to see what firmware is
installed, install upgrades etc
The firmware can be upgraded in the field while the repeater is operational.
The RMC is used to upload software to the controller. Since the controller contains two separate software
banks, software can be downloaded to one bank while executing from the other. Once software is
successfully uploaded, the new software is executed.
All repeater configurations remain unchanged when upgrading the software to a new version.
Firmware Control via RMC
View the currently
installed firmware 1. Open the Firmware upload view in RMC.
In the box labeled Installed Firmware information about the currently installed
firmware is displayed.
Upload new
firmware 1. Open the Firmware upload view in RMC. In the box labeled Firmware Location
select the directory where your firmware files (ARF files) are located.
2. Select the firmware to upload from the firmware list, labeled Select new firmware
to upload. For each firmware available, there is information about version and
compatibility with the repeater you are currently connected to. Below this list there
is a box with detailed information about the selected firmware.
3. Click Start Upload. During upload a status screen displays upload progress
information while you wait. The upload takes about 10 minutes with a local
connection and 15 minutes over the GSM network.
4. Upload completed.
5. The user is logged out and the new firmware is initiated.
GSM-EDGE Repeaters
PRODUCT DESCRIPTION AND USER'S MANUAL
© Avitec AB A1009300 A 85 (177)
4 Installation
4.1 Prepare the Site
4.1.1 Site Selection
4.1.2 Antennas
4.1.3 Antenna Isolation Test
4.1.4 Site Installation Advice
4.1.5 Link Budget
4.1.6 Engineering Considerations
4.2 Install Repeater
4.2.1 Unpack the Repeater
4.2.2 Mount the Repeater
4.2.3 Ensure Proper Grounding
4.2.4 Ensure Good EMV Protection
4.2.5 Attach Antenna Cables
4.2.6 Supply Power to the Repeater
4.2.7 Mount the Coupler
4.2.8 Connect External Alarms
4.3 Start up Repeater
4.4 Configure Repeater
4.4.1 Set up RF Configuration
4.4.2 Set Repeater Name
4.4.3 Set up Remote Access
4.4.4 Alarm Configuration
4.4.5 Heartbeat Configuration
4.4.6 AEM Report Configuration
4.5 Installation Checklists
GSM-EDGE Repeaters
PRODUCT DESCRIPTION AND USER'S MANUAL
© Avitec AB A1009300 A 86 (177)
4.1 Prepare the Site
4.1.1 Site Selection
Site selection is one of the most critical decisions affecting the overall performance of the system.
Repeater locations
These are examples of common repeater locations.
! roofs of buildings adjacent to the affected area with the antennas mounted to the penthouse or building
sides
! top of a hill that is obstructing the donor site’s coverage, with the antennas mounted on poles at ground
level
! a water tower with antennas mounted at the top
! an existing utility pole with equipment and antennas mounted below any existing power lines
! a newly installed pole or tower
Important Issues
There are a few important considerations to be made while choosing the best possible site for a repeater:
! Ensure access to commercial power (sun-panels is an option)
! Ensure adequate signal strength. For example: to obtain the maximum output, e.g. +37 dBm, from a
channel selective repeater an input signal of approximately -53 dBm is needed into the repeater3. To
obtain the maximum output from a Frequency Translating Repeater’s remote site, e.g. +40dBm, an input
signal of -65 dBm is needed.
! A conventional channel selective repeater must be located where the BTS signal strength is great enough
to be recognized by the system. It should also be located no more than 15 km from the donor site and 5
km from the furthest area to be served.
! Ensure line of sight (LOS) between the BTS antenna and the repeater’s donor antenna for channel
selective repeaters, and between the link antennas for frequency translating repeaters. If the signal
strength is adequate, LOS may in some cases not be necessary.
4.1.2 Antennas
Select antennas for the system with the proper directivity and high front-to-interference ratio in order to
optimize repeater coverage and system noise performance.
Ensure adequate antenna insulation for the chosen repeater type.
Link antennas typically have a narrow horizontal and vertical beam width (less than 35 degrees) and high
gain (15 – 25 dBi). The narrow horizontal beam width will keep interference from the repeater link channel to
a minimum. Parabolic disc antennas which offer beam widths of <10 degrees are ideal for both donor and
remote link antennas.
Server antennas are determined by the type of area to be covered. For a conventional repeater it can be any
standard GSM base station antenna that has a good front to back ratio (>=25 dB) and between 30 and 120
degrees horizontal beam width, depending on the desired coverage area. For a frequency translating antenna
it may be an omni antenna.
Use compass or planning tool to get the exact direction and tilt of the antenna
3 The input signal to the antenna needs to be -71 dBm if the antenna gain is 18dBi
GSM-EDGE Repeaters
PRODUCT DESCRIPTION AND USER'S MANUAL
© Avitec AB A1009300 A 87 (177)
Antenna Types
For server antenna purposes panel antennas are suitable for Channel Selective Repeaters and omni antennas
or directional antennas for Frequency Translating Repeaters.
Link antennas and pick-up antennas are often narrow beam panel antennas with high gain for Channel
Selective repeaters and narrow beam antennas with gain depending on distance for Frequency Translating
Repeaters
Antenna Direction
Direct repeater coverage away from the donor cell to minimize RF signal coverage overlap. If the BTS has
different sectors always choose to use the carriers used in the sector facing away from the remote site in order
to avoid inter symbol interference (ISI).
4.1.3 Antenna Isolation
The antenna isolation is the difference between the output signal on the server antenna and the signal leaking
into the donor or link antenna.
At a conventional installation with a channel selective repeater the antenna isolation needs to be large enough
not to cause any signal distortion. For EDGE-signals (8-PSK) as much as 25 dB of margin (antenna isolation
– repeater gain) may be required to maintain signal quality. At the remote site of a frequency translating
repeater installation the antenna isolation needs to be approximately 75dB.
Repeater
Computer
with RMC
Local or remote
connection
Signal leaking over to
the donor/link antenna
Server antenna
Donor or link antenna
The antenna isolation can be measured through the use of a function in the RMC. The measurement can be
made at the time the repeater is configured as well as regularly when the repeater is up and running. The
measurement can be made when the repeater is operational.
Note! The measurement only takes a few seconds, but if the repeater is operational at the time of the
measurement there is a risk of loosing calls during the time the parameters are changed.
GSM-EDGE Repeaters
PRODUCT DESCRIPTION AND USER'S MANUAL
© Avitec AB A1009300 A 88 (177)
Prepare for the
measurement Ensure that the BCCH is in chain 1.
Use a “silent” channel in chain 2. This channel will be used for detecting the
leaking signal and needs to be free of traffic.
Initiate a single
measurement
Select RMC “Console” mode and the “RF/status” window
Use the Actions drop down menu and select “Force Antenna Isolation
Measurement”
Click on to monitor the result
Initiate regular
measurements Select RMC “Console” mode
Select “Configuration” window
Select “Antenna Isolation Measurement” page
Tick “Enable Daily Antenna Measurement”. Set the time point for the
measurement and define the channels to be used. The default value is the BCCH.
GSM-EDGE Repeaters
PRODUCT DESCRIPTION AND USER'S MANUAL
© Avitec AB A1009300 A 89 (177)
4.1.3.1 Alternative method for antenna isolation measurement
The antenna isolation can also be measured by use of a signal generator and a spectrum analyzer. Use a signal
generator to generate a carrier wave signal on the server antenna, and a spectrum analyzer to measure the
signal leaking over to the donor antenna. The repeater does not need to be connected.
Repeater
Spectrum
Analyzer
Signal
Generator
Input to server
antenna
Measurement of
leaking signal
Signal leaking over
to donor antenna
GSM-EDGE Repeaters
PRODUCT DESCRIPTION AND USER'S MANUAL
© Avitec AB A1009300 A 90 (177)
4.1.4 Site Installation Advice
4.1.4.1 Channel Selective Repeaters
In a channel selective repeater there are two antennas – one donor antenna to pick up the signal from the BTS
and one server antenna to serve the coverage area.
An input signal to the repeater of more than -49 dBm must be present to obtain +37 dBm output. This
example illustrates the various signal levels and antenna gains needed to form a properly functioning repeater
system.
The donor antenna faces the BTS. Free line of sight is desirable but not necessary if the signal strength at the
exact location of the antenna is strong enough.
The server antenna may be mounted above or below the donor antenna depending on the site conditions.
Important is the vertical separation needed to achieve adequate isolation between antennas. The isolation has
to be at least 10-25 dB higher than the repeater gain (the higher number for EDGE). This may well be in the
region of 20 meters or more. Other alternatives are metal screening with wire mesh or horizontal antenna
separation.
A high gain antenna will help in minimizing the overall path loss to achieve the desired output power. Donor
antenna gains are typically 20 to 25 dBi, while server antennas are often 10 to 15 dBi. The server antenna
normally has a horizontal beam of 60° to 120°. Donor antennas should have a horizontal and vertical beam
width of less than 30° to correctly select the donor base station (instead of other nearby base stations).
This table can be used as a guideline for antenna separation. Antennas are assumed to be highly directional
and pointed in the opposite direction.
Vertical Antenna separation Horizontal Antenna Separation
Separation (m) Isolation (dB) Separation (m) Isolation (dB)
5 75 5 45.5
10 87.1 10 51,7
20 99,1 50 65,5
30 106.2 100 71.5
40 111,2 150 75,1
50 115 250 77,6
The table demonstrates that vertical separation is much more effective.
Received signal level -72 dBm
Donor antenna (4 ft dish) +25 dBi
Cable loss (100 ft of 7/8 inch) -2 dB
Input to repeater -49 dBm
Gain of repeater (example) +86 dB
Output from repeater +37 dBm
Cable loss (100 ft of 7/8 inch) -2 dB
Server antenna gain +13 dBi
Repeater ERP +48 dBm
GSM-EDGE Repeaters
PRODUCT DESCRIPTION AND USER'S MANUAL
© Avitec AB A1009300 A 91 (177)
The physical separation between the donor and server antennas has been calculated using the following
formulas.
Vertical Separation: I (dB) = 28 + 40 log (D/λ)
Horizontal Separation: I (dB) = 22 + 20 log (D/λ) – (Gd – Gs)
I = Isolation
D = Distance between donor and server antennas (m)
λ = Wavelength (m)
Gd = Gain of donor antenna facing server antenna (dB)
Gs = Gain of server antenna facing donor antenna (dB)
Site Installation Channel Selective Repeater
Donor Antenna
Server Antenna
Channel Selective
Repeater
7/16 type
connectors, female
Coaxial cable diameter of ½”
or more is recommended
Recommended isolation is
10-25dB higher than the
repeater gain (typically 25m)
Site installation for channel selective repeaters
4.1.4.2 Frequency Translating Repeaters
A Frequency Translating Repeater consists of two parts – a donor unit and a remote unit. The donor unit is
installed at the base station site and connected to the base station through a 30 dB RF coupler.
A separation of at least 2 carrier bands (600 kHz) is necessary between the link frequencies and the Broadcast
Frequencies. In the illustration below the link carriers are F6 and F7 and the Broadcast Carrier Frequencies
are F1 and F2 which gives more separation than is needed.
GSM-EDGE Repeaters
PRODUCT DESCRIPTION AND USER'S MANUAL
© Avitec AB A1009300 A 92 (177)
BTS
Link Antenna
16mm
2
Ground
Cable Repeater Donor Unit
Coupler
F1 and F2
Link Antenna
16mm
2
Ground
Cable
Repeater
Remote
Unit
F1 and F2
F6 and F7 Server Antenna
It is important to remember that a whole sector must be used when installing a Frequency Translating
Repeater. The base station sector using F1 and F2 is transmitted to the repeater. The base station sector used
must have the same number of carriers as the repeater.
At the remote site an input signal greater than -75dBm is desired. An input of -65 dBm is necessary to deliver
an output of +40dBm.
This example illustrates the signal levels and antenna gains needed to form a properly functioning repeater
system.
The isolation between antennas at the remote site seldom needs to be more than 75dB. This value can be
achieved with a limited antenna displacement, often as low as 3 meters. The relatively modest isolation
requirement allows the use of omni-directional antennas for coverage.
A high gain antenna will help in minimizing the overall path loss to achieve the desired output power. Donor
antenna gains are typically 20 to 25 dBi, while server antennas are often 10 to 15 dBi. The coverage antenna
normally has a horizontal beam of 60° to 120°. Donor antennas should have a horizontal and vertical beam
width of less than 30° to correctly select the donor base station (instead of other nearby base stations).
This table can be used as a guideline for antenna separation. Antennas are assumed to be highly directional
and pointed in the opposite direction.
Vertical Antenna separation Horizontal Antenna Separation
Separation (m) Isolation (dB) Separation (m) Isolation (dB)
5 75 5 45.5
Received signal level -87 dBm
Donor antenna (4 ft dish) +25 dBi
Cable loss (100 ft of 7/8 inch) -2 dB
Input to repeater -64 dBm
Gain of repeater (example) +105 dB
Output from repeater +41 dBm
Cable loss (100 ft of 7/8 inch) -2 dB
Server antenna gain +13 dBi
Repeater ERP +52 dBm
GSM-EDGE Repeaters
PRODUCT DESCRIPTION AND USER'S MANUAL
© Avitec AB A1009300 A 93 (177)
10 87.1 10 51,7
20 99,1 50 65,5
30 106,2 100 71,5
40 111,2 150 75,1
50 115 250 77,6
The table demonstrates that vertical separation is much more effective
The physical separation between the donor and server antennas has been calculated using the following
formulas.
Vertical Separation: I (dB) = 28 + 40 log (D/λ)
Horizontal Separation: I (dB) = 22 + 20 log (D/λ) – (Gd – Gs)
I = Isolation
D = Distance between donor and server antennas (m)
λ = Wavelength (m)
Gd = Gain of donor antenna facing server antenna (dB)
Gs = Gain of server antenna facing donor antenna (dB)
GSM-EDGE Repeaters
PRODUCT DESCRIPTION AND USER'S MANUAL
© Avitec AB A1009300 A 94 (177)
Site Installation Frequency Translating Repeater
BTS Antenna
Link Antenna
Single Donor Unit
BTS
Coupler
N-type connector, female
N-type
connector,
female
7/16 type
connector,
female
Coaxial cable diameter of ½” or
more is recommended
Cap
Site Installation for Frequency or Band Translating Repeater – Single Donor Unit
BTS
Antennas
Link Antenna
Double Donor Unit
BTS
Coupler
N-type connector, female
N-type
connectors,
female
7/16 type
connector,
female
Coaxial cable diameter of ½”
or more is recommended
Coupler
Cap
Tx/Rx 1 Tx/Rx 2
A double donor unit
can alternatively be
connected to two
different BTS
Site Installation for Frequency Translating Repeater – Double Donor Unit
GSM-EDGE Repeaters
PRODUCT DESCRIPTION AND USER'S MANUAL
© Avitec AB A1009300 A 95 (177)
Link Antenna
Server Antenna
7/16 type
connectors,
female
Coaxial cable diameter of ½”
or more is recommended
75dB (approximately
3 meters) is recommended
Link Antenna
Server Antennas
7/16 type
connectors,
female
Coaxial cable diameter
of ½” or more is
recommended
75dB (approximately
3 meters) is recommended
Site Installation for Frequency Translating
Repeater – Internal Combiner Unit (IR) Site Installation for Frequency Translating Repeater –
External Combiner Unit (ER)
4.1.4.3 Band Translating Repeaters
A Band Translating Repeater is identical with a frequency translating repeater; the only difference is that the
link is on another band than the broadcast frequency.
By using another band for the link the isolation between antennas at the remote site becomes very low. It is
for most applications possible to use the same antenna for both the link and the service area.
GSM-EDGE Repeaters
PRODUCT DESCRIPTION AND USER'S MANUAL
© Avitec AB A1009300 A 96 (177)
4.1.4.4 Fiber Fed Repeaters
A fiber fed repeater needs to be fed from a Hub or an Opto Box which translates the RF signal to an optical
signal.
The server antenna is often replaced by a leaky cable.
Hub or
Opto Box
Server Antenna
7/16 type
connector
Coaxial cable
diameter of ½”
or more is
recommended
Fiber Cable
FC/APC
Connectors
BTS
7/16 type
connector
Coupler
N-type connector, female
Cap
Fiber Fed
Repeater
BTS Antenna
Site installation for fiber fed repeaters
GSM-EDGE Repeaters
PRODUCT DESCRIPTION AND USER'S MANUAL
© Avitec AB A1009300 A 97 (177)
4.1.5 Link Budget
It is important to make a link budget before the installation is completed. This budget will give the necessary
input for tuning the system and to ensure good system performance.
In this example these fixed parameters are used:
4.1.5.1 Downlink Path
The Downlink path is quite straightforward to set up in a repeater installation, and also gives a good
indication of the actual path loss between the donor and the remote unit. The gain in the units is simply
adjusted until the desired output levels are achieved. This procedure is simplified by the built in monitoring
functions in the Avitec repeaters.
Remember though, that the repeater is not a piece of measurement equipment, and has a limited accuracy
when presenting input and output levels. (+/-3dB and +/-2dB respectively)
Here two different link path losses will be analyzed, representing two extremes regarding the distance
between the donor and remote unit: 6.5 and 26 kilometers. Free space path loss is assumed in both cases.
(Feeder losses are varied to get further extreme values).
Total Link loss (6.5km):
-0.5 + 15 -108 +15 - 0.5 = - 79dB
| | | | |
| | | | --------- Feeder loss between Remote unit and Link antenna
| | | ---------------- Link antenna at Remote site 15dBi
| | ----------------------Free space path loss at 925MHz / 6.5km
| ---------------------------Link antenna at Donor site 15dBi
---------------------------------Feeder loss between Donor unit and link antenna
Total Link loss (26km):
-2.5 + 15 -120 +15 - 2.5 = - 95dB
| | | | |
| | | | -------- Feeder loss between Remote unit and Link antenna
| | | ----------------Link antenna at Remote site 15dBi
| | ---------------------Free space path loss at 925MHz / 26km
| --------------------------Link antenna at Donor site 15dBi
---------------------------------Feeder loss between Donor unit and link antenna
The downlink path based on the above link loss calculation for 6.5 and 26 kilometers.
BTS sensitivity (without diversity gain) -106 dBm
BTS output Power +41 dBm
Donor unit output power +33 dBm
Remote unit output power +40 dBm
GSM-EDGE Repeaters
PRODUCT DESCRIPTION AND USER'S MANUAL
© Avitec AB A1009300 A 98 (177)
Note that the shorter link distance gives the opportunity to reduce the donor downlink gain and increase the
remote downlink gain. This will reduce the output power in the link antenna and minimize interference
caused by the link, and thereby simplify frequency planning.
The longer link distance is probably close to the maximum useful distance, since timing advance will only
allow a repeater cell radius of 5-6 kilometers in this case. (The delay through the repeater chain is typically 2
x 6 us, equal to an increase of timing advance by 6-7 units)
In the case of a BTS with extended range capability longer link paths are possible, but then link antennas with
more gain should be considered. 20dBi antennas have been used in some installations, reducing total link loss
by 10dB compared to the above numbers. Keeping everything else constant, this would allow for another
23km of link distance.
4.1.5.2 Uplink Path
The settings of the Repeater Uplink path requires much more careful planning than the Downlink. Very
different results can be obtained depending on the Repeater Uplink gain setting, and there will always be a
trade off situation between the Repeater cell sensitivity and BTS cell sensitivity. Low Repeater Uplink gain
will result in poorer Repeater cell sensitivity but only a small BTS cell sensitivity degradation. The opposite
is also true; high Repeater Uplink gain will result in good repeater cell sensitivity but a larger reduction in
BTS cell sensitivity.
The calculations to determine the sensitivity in the Repeater cell and the BTS cell is based on the formula for
determining the total noise figure for a cascade of amplifiers and attenuators:
NF1
G1 NF2
G2 NF3
G3 NF4
G4
! NFtot = NF1 + (NF2-1)/G1 + (NF3-1)/(G1*G2) + (NF4-1)/(G1*G2*G3 ) + … (units, not dB’s)
This equation is basically used to find the total noise figure at two points in the cascade made up by the
repeater installation. Note that if there is a device in the chain that is affected by thermal noise from an
BTS Coupler Donor Unit Remote UnitLink Path
G= xdB G=
-
30dB G=86dBG=22dB G=-79dB
P=+41dBm P=+33dBm P=+40dBm P=-46dBm
BTS Coupler Donor Unit Remote UnitLink Path
G= xdB G=
-
30dB G=102dBG=22dB G=-95dB
P=+41dBm P=+33dBm P=+40dBm P=-62dBm
GSM-EDGE Repeaters
PRODUCT DESCRIPTION AND USER'S MANUAL
© Avitec AB A1009300 A 99 (177)
antenna, the equation has to be modified for that device. E.g. if device 3 is connected via an aerial
connection, its contribution to the total gain is
NF3/(G1*G2).
5. The first point is the entire chain including the BTS receiver noise figure. This value is then directly
used to calculate the repeater cell sensitivity.
6. The second point is the same cascade excluding the BTS receiver and coupler noise figure. This noise
figure is, in combination with the gain to this point, converted to an equivalent noise floor. This is then
added to the BTS receiver equivalent noise floor. The sum of the noise is then converted back to a noise
figure used to calculate the BTS cell sensitivity.
First the equivalent BTS noise figure corresponding to the BTS sensitivity must be calculated from the
following equation:
Eq. BTS noise figure = -106 - ( -174 + 54 + 8 ) dB = 6 dB
C/N for 0.4% BER (ETSI ETR 103)
10 x log(BW) BW=251kHz (ETSI ETR 103)
Thermal noise floor
BTS sensitivity
This value is used in all calculations below.
Example 1: Rule of thumb setup with 26km link
As a starting point (”rule of thumb”) the uplink gain can be set equal to the downlink gain settings.
For the -95dB link this will give the situation shown in the figure below:
G=102dB
NF=3dB
G=-95dB
NF=95dB
Remote
Unit Link path Donor
Unit
G=22dB
NF=5dB
G=-30dB
NF=30dB
G=xdB
NF=6dB
Coupler BTS
NFtot=8,9dB
Gtot = -1dB
NFtot=4,2dB
The 8.9dB noise figure through the repeater chain corresponds to a sensitivity of
-174 + 54 + 8 + 8.9 dBm = -103.1 dBm
| | | |
| | | ---------------- Repeater chain total noise figure with BTS
| | --------------------- C/N for 0.4% BER (ETSI ETR 103)
| ---------------------------- 10 x log (BW) BW = 251kHz
---------------------------------- Thermal noise floor
GSM-EDGE Repeaters
PRODUCT DESCRIPTION AND USER'S MANUAL
© Avitec AB A1009300 A 100 (177)
The noise floor from the repeater chain at the BTS receiver input is:
-174 + 54 + 5.5 - 1 dBm = -115.5 dBm
| | | |
| | | ---------------- Total gain in Repeater chain
| | --------------------- Repeater chain total noise figure without BTS &
coupler
| ---------------------------- 10 x log (BW) BW = 251 kHz
---------------------------------- Thermal noise floor
This must now be added to the BTS receiver noise floor, which is:
-174 + 54 + 6 dBm = -114.0 dBm
| | |
| | --------------------- BTS receiver noise figure
| ---------------------------- 10 x log (BW) BW = 251 kHz
---------------------------------- Thermal noise floor
And when they are added the total noise floor at the BTS receiver input becomes:
10 * LOG [10^(-115.5/10) + 10^(-114.0/10) ] = -111.7 dBm
This is a 2.3dB higher BTS receiver noise floor compared to the starting value (114-111.7=2.3), which means
that the BTS receiver sensitivity has degraded from -106 dBm to -103.7dBm without diversity.
Summary of example 1:
The calculations in example 1 used a very simple setup technique for the uplink path. The gain in the Uplink
was simply set equal to the Downlink gain in both the Donor and Remote unit. This resulted in:
Sensitivity in Repeater cell = -103.1 dBm
Sensitivity in BTS cell = -103.7 dBm without diversity, a reduction of 2.3dB.
Note that the BTS Diversity receiver will maintain its original sensitivity of -106dBm since no Repeater noise
it emitted into its input. However, the diversity gain will be lower than normal because of the Repeater noise
emitted into the BTS main receiver input.
Also note that all traffic through the Repeater will only enter the BTS main receiver input, NOT the diversity
receiver input. This may cause a ”Diversity alarm” on some types of BTS’s. This is normal and should be a
simple matter of configuring the alarms in the BTS.
Example 2: 26km link with high Repeater cell sensitivity
To get good Repeater cell sensitivity, the Uplink gain must be increased compared to example 1. If the gain
from the Repeater server cell antenna to the BTS receiver antenna input is positive (larger than 0 dB), the
Repeater can in fact be considered to be Tower Mounted Amplifier (TMA). The major difference is of course
that the antenna is located 26km from the BTS in this case. The sensitivity of the original BTS cell will be
degraded more than in example 1 because the noise floor will be higher at the BTS receiver input.
The example 2 setup looks like the figure below:
GSM-EDGE Repeaters
PRODUCT DESCRIPTION AND USER'S MANUAL
© Avitec AB A1009300 A 101 (177)
G=105dB
NF=3dB
G=-95dB
NF=95dB
Remote
Unit Link path Donor
Unit
G=26dB
NF=4.5dB
G=-30dB
NF=30dB
G=xdB
NF=6dB
Coupler BTS
NFtot=5.3dB
Gtot = +6dB
NFtot=4.2dB
Doing the calculations yields:
Sensitivity in Repeater cell = -106.7 dBm
Sensitivity in BTS cell = -100.2 dBm without diversity, a reduction of 5.8dB.
It is obvious that the increased Uplink gain has improved Repeater cell sensitivity on the cost of the BTS cell
sensitivity.
Example 3: 6.5km link with 2dB lower gain in the downlink compared to uplink
G=84dB
NF=3dB
G=-79dB
NF=79dB
Remote
Unit Link path Donor
Unit
G=22dB
NF=5dB
G=-30dB
NF=30dB
G=xdB
NF=6dB
Coupler BTS
NFtot=10.5dB
Gtot = -3dB
NFtot=5.2dB
Doing the calculations yields:
Sensitivity in Repeater cell = -101.5 dBm
Sensitivity in BTS cell = -104.5 dBm without diversity, a reduction of 1.5dB.
This example shows a relatively small reduction in the BTS cell sensitivity on the cost of a rather poor
Repeater cell sensitivity. In this case however, it is possible to increase the Uplink gain in the Remote unit
and reduce it equally much in the Donor unit. This will improve the overall noise figure as dictated by the
NFtot equation on page 3. This is examined in the next example.
Example 4: 6.5km link with high BTS sensitivity and optimized Repeater
sensitivity
The Donor Uplink gain in example 3 was 22dB. Since the minimum configurable gain in the Donor unit is
12dB, it can be reduced by 10dB. This is compensated for in the Remote unit and this setup looks like:
G=94dB
NF=3dB
G=-79dB
NF=79dB
Remote
Unit Link path Donor
Unit
G=12dB
NF=10dB
G=-30dB
NF=30dB
G=xdB
NF=6dB
Coupler BTS
NFtot=10.1dB
Gtot = -3dB
NFtot=3.7dB
GSM-EDGE Repeaters
PRODUCT DESCRIPTION AND USER'S MANUAL
© Avitec AB A1009300 A 102 (177)
Doing the calculations yields:
Sensitivity in Repeater cell = -101.9 dBm
Sensitivity in BTS cell = -104.9 dBm without diversity, a reduction of 1.1dB.
Although the improvement compared to Example 3 is only a few tens of a dB, the ”cost” of the improvement
is just a few moments of calculations. With more total Uplink gain the improvement is larger. See the next
example.
Example 5: 6.5km link with optimised Repeater sensitivity
G=100dB
NF=3dB
G=-79dB
NF=79dB
Remote
Unit Link path Donor
Unit
G=12dB
NF=10dB
G=-30dB
NF=30dB
G=xdB
NF=6dB
Coupler BTS
NFtot=6.1dB
Gtot = +3dB
NFtot=3.2dB
Doing the calculations yields:
Sensitivity in Repeater cell = -105.9 dBm
Sensitivity in BTS cell = -102.9 dBm without diversity, a reduction of 3.1dB.
Compared to example 4, the repeater sensitivity has been improved by 4dB but the BTS sensitivity has been
reduced by 2dB.
Summary
It has been shown by several calculation examples that some care is needed when the Uplink gain is
configured in a CSFT installation if optimum sensitivity is desired. However, ”rule of thumb” setup will only
cause a small BTS sensitivity degradation with a typical BTS, but Repeater cell sensitivity will not be
optimum.
Note that feeder looses between Repeater server antenna and Remote unit are not included in the
calculations.
4.1.6 Engineering Considerations
4.1.6.1 Channel Separation
Avitec recommends a spacing of two GSM channels between the carriers in the amplifier chains. These two
"guard channels" create a centre-to-centre separation of 600 kHz.
Decreasing the spacing may lead to degraded performance.
4.1.6.2 Minimum Link Channel Spacing
When setting up a frequency translating repeater Avitec recommends a spacing of two GSM channels
between the link frequency and the radio frequency. These two "guard channels" create a centre-to-centre
separation of 600 kHz.
Decreasing the spacing may lead to degraded performance.
GSM-EDGE Repeaters
PRODUCT DESCRIPTION AND USER'S MANUAL
© Avitec AB A1009300 A 103 (177)
4.1.6.3 Gain Adjustment
Use only the required power to cover blind spots or coverage areas, to minimize border overlap with the
donor BTS
Optimize repeater gain levels to achieve system path balance and an acceptable noise level contribution
Reflections, phase fluctuations and other variables can all affect the quality of radio traffic and on site
adjustments and measurement will always have to be carried out to ensure reliable radio communication.
4.1.6.4 Overlapping Coverage
Ideally, the repeater system will be engineered with minimal overlapping coverage between the donor base
station and the repeater. However, the mobile unit will occasionally receive signals from both the donor and
the repeater at similar levels. This situation is comparable to a mobile receiving multiple signals at varying
times due to multi-path propagation.
The GSM standards require that systems must accommodate up to 16µs of multi-path delay for two received
signals that are less than or equal to 10dB apart. The CSR922 repeater contributes a maximum signal delay of
6µs.
4.1.6.5 Are calls possible on link frequencies for frequency translating
repeaters?
Calls cannot be connected via the link frequencies for the following reasons.
The mobile station (MS) searches for the Broadcast Control Channel (BCCH) beamed from the Base
Transceiver Station (BTS) Even though the MS may find the frequency translated link signal BCCH
transmission; it will not be possible to initiate a call through it.
When a call is initiated, the BTS switches from BCCH to the Stand Alone Control Channel (SDCCH), which
(apart from other information) instructs the MS which frequency (ARFCN) to use during the call. This makes
the MS switch back to the non-frequency translated ARFCN (BTS frequency), where it will find no BTS
signal and the call is aborted. The same is true when logging into the network.
Note! The BCCH, SDCCH, and TCH channels are logical GSM channels, not to be confused with Absolute
Radio Frequency Channels (ARFCN). Only the latter are associated with specific frequencies.
4.1.6.6 Frequency Hopping and Repeaters
Frequency hopping usually means that the input baseband traffic at frame level is switched between fixed
frequency RF-channels. In order for the hopping to be effective, four or more channels are used. The Avitec
channel selective repeater with appropriate number of channels can function with this kind of hopping.
However, frequency hopping can also mean that the frequency of each transceiver is changed in phase with
transmission frames. This is usually called synthesized hopping. Being more complex than the baseband type,
it has not been widely implemented in GSM networks.
When GSM is evolving into EDGE, traffic will be IP-packet based. IP-traffic studies show that frequency
hopping does not improve the capacity or performance of the channel. A tendency is that frequency hopping
will not be frequently used in EDGE networks.

Navigation menu