Bendix Commercial Vehicle Systems RX355MS Receiver for the SmarTire Signal Passenger Car Tir User Manual FCC stmt on 1st page
Bendix Commercial Vehicle Systems LLC Receiver for the SmarTire Signal Passenger Car Tir FCC stmt on 1st page
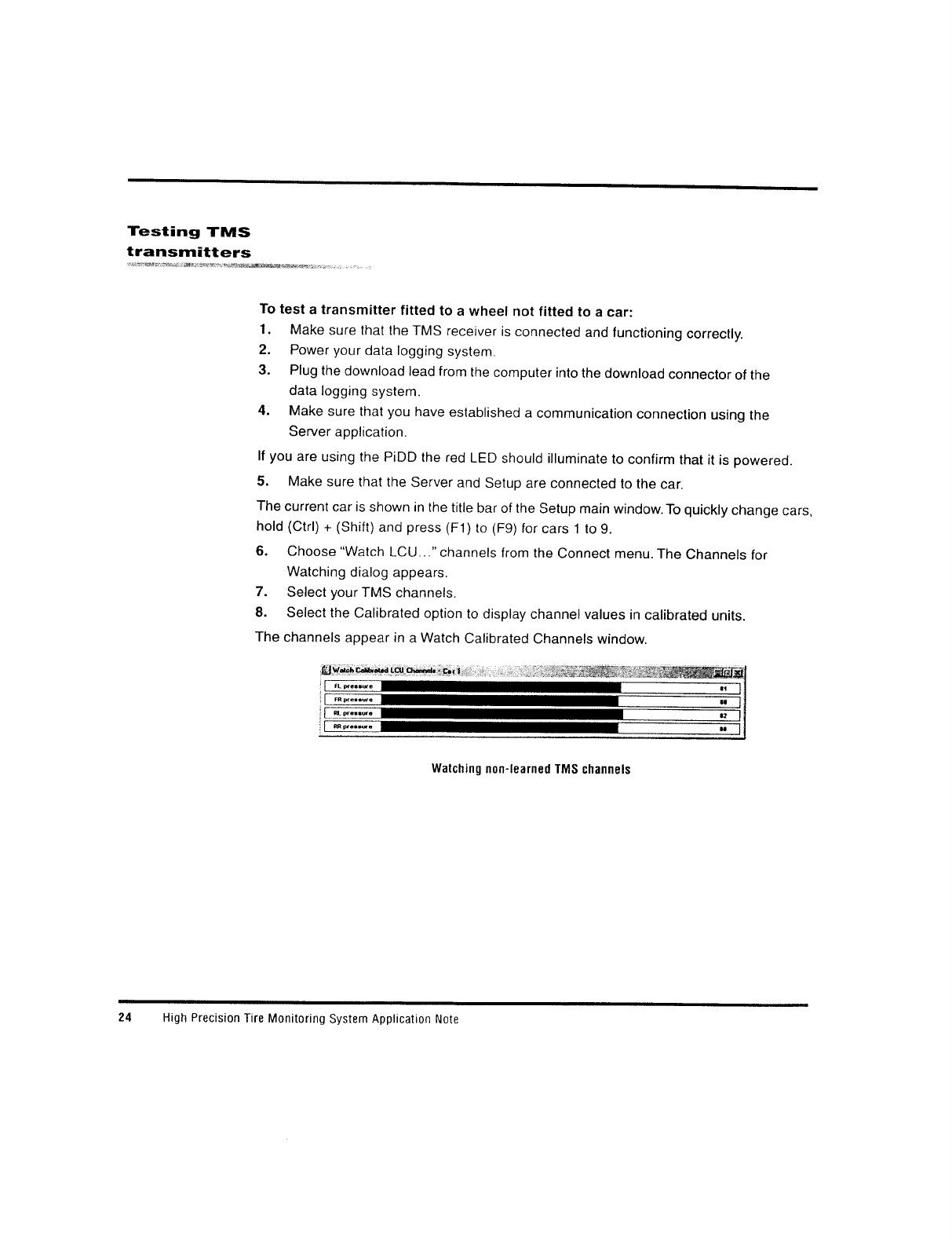
User Manual FCC stmt on 1st page



































