Bendix Commercial Vehicle Systems TX355MS Rim Mount Transmitter for the SmarTire Signal Pass User Manual FCC stmt on pg 1
Bendix Commercial Vehicle Systems LLC Rim Mount Transmitter for the SmarTire Signal Pass FCC stmt on pg 1
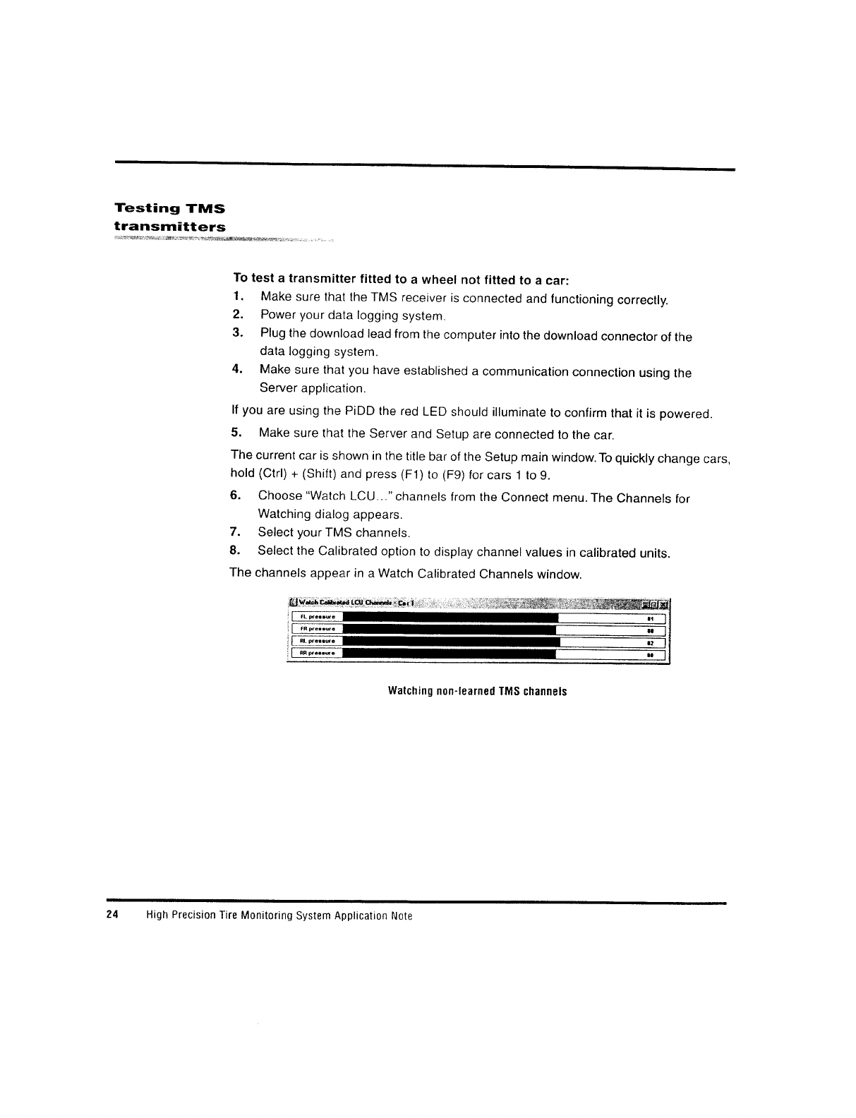
User manual FCC stmt on pg 1



































