Boschhome Bosch Appliances Clothes Dryer Wta 3500 Users Manual Use & Care For And WTL 5400 Dryers
1508953567WTA3500_WTL5400_manual BOSCH AXXIS WTL5410UC pdf | FreeUserManuals.com
WTA 3500 WTA3500_WTL5400_manual
wta35003 f43631f6-fbcf-4d7a-b34f-c2bcf22fe296 Bosch Appliances Clothes Dryer WTA 3500 User Guide |
2015-01-21
: Boschhome Boschhome-Bosch-Appliances-Clothes-Dryer-Wta-3500-Users-Manual-238664 boschhome-bosch-appliances-clothes-dryer-wta-3500-users-manual-238664 boschhome pdf
Open the PDF directly: View PDF
.
Page Count: 12

BOSCH
Use &Care Manual
Models
WTA3500
Electric Vented Dryer
WTL 5400
Electric Condensation Dryer
/
Quick Reference Index
IMPORTANT SAFETY INSTRUCTIONS 2-3
GROUNDING INSTRUCTIONS 3
ABOUT YOUR DRYER 4
GETTING TO KNOW YOUR DRYER 4
ENERGY SAVING TIPS 4
OPERATING TIPS 4
BEFORE USING THE FIRST TIME 5
GETTING STARTED 5
CYCLE SELECTION CHART, TABLE 1 6
OPERATION 6-8
CARE and CLEANING
LINT FILTER 9
HEAT EXCHANGER (WTL) 9
MOISTURE SENSOR 10
FROST PROTECTION 10
SERVICE and REPAIR 10
SELF-HELP, TABLE 2
11
WARRANTY 12
KEEP THESE INSTRUCTIONS FOR FUTURE REFERENCE.
(In case
of
change of ownership, manual should
be
conveyed with the dryer.) 1

2
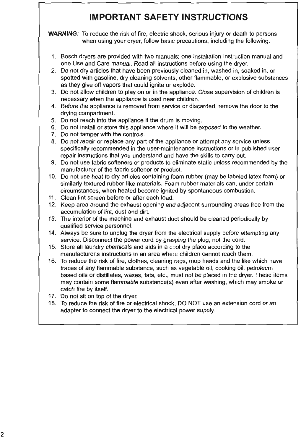
IMPORTANT SAFETY INSTRUCTIONS
WARNING:
To
reduce the risk
of
fire, electric shock. serious injury or death
to
persons
when using your dryer, follow basic precautions, including the following.
1.
Bosch dryers are provided with two manuals; one Installation Instruction manual and
one Use and Care manual. Read all instructions before using the dryer.
2.
Do not dry articles that have been previously cleaned in, washed in. soaked in. or
spotted with gasoline, dry cleaning solvents, other flammable, or explosive substances
as they give off vapors that could ignite or explode.
3.
Do
not allow children
to
play on
or
in the appliance. Close supervision of children is
necessary when the appliance is used near children.
4.
Before the appliance is removed from service or discarded, remove the door to the
drying compartment.
5.
Do not reach into the appliance
if
the drum is moving.
6.
Do
not install or store this appliance where it will
be
exposed
to
the weather.
7.
Do not tamper with the controls.
8.
Do not repair or replace any part
of
the appliance
or
attempt any service unless
specifically recommended
in
the user-maintenance instructions or
in
published user
repair instructions that you understand and have the skills to carry out.
9.
Do not use fabric softeners or products to eliminate static unless recommended by the
manufacturer of the fabric softener or product.
10. Do not use heat
to
dry articles containing foam rubber (may be labeled latex foam) or
similarly textured rubber-like materials. Foam rubber materials can, under certain
circumstances, when heated become ignited
by
spontaneous combustion.
11.
Clean lint screen before or after each load.
12. Keep area around the exhaust opening and adjacent surrounding areas free from the
accumulation of lint, dust and dirt.
13. The interior
of
the machine and exhaust duct should
be
cleaned periodically by
qualified service personnel.
14. Always
be
sure to unplug the dryer from the electrical supply before attempting any
service. Disconnect the power cord
by
grasping the plug, not the cord.
15. Store all laundry chemicals and aids in acool dry place according
to
the
manufacturer,s instructions in an area where children cannot reach them.
16.
To
reduce the risk
of
fire, clothes, cleaning rags, mop heads and the like which have
traces of any flammable substance, such as vegetable oil, cooking oil, petroleum
based oils or distillates. waxes, fats, etc., must not
be
placed
in
the dryer. These items
may contain some flammable substance(s) even after washing, which may smoke or
catch fire by itself.
17. Do not sit on top of the dryer.
18.
To
reduce the risk
of
fire or electrical shock, DO NOT use
an
extension cord or
an
adapter to connect the dryer to the electrical power supply.

IMPORTANT SAFETY INSTRUCTIONS (continued)
19. The dryer must only be used for its intended purpose.
20. Always check and empty pockets of any objects that may have been forgotten.
Cigarette lighters,
in
particular, present ahazard that can
be
avoided
by
this process.
21. Replace worn power cords and/or loose plugs.
22. Do not operate the dryer with any guards and/or panels removed.
23.
Do
not operate the dryer with missing or broken parts.
24. Do not bypass any safety devices.
25. Do not use plastic or non-metal flexible duct with this dryer. Plastic or non-metal
flexible duct presents apotential fire hazard.
26. Do not operate this dryer until you are sure the dryer has been installed according
to
the INSTALLATION INSTRUCTIONS and installation and grounding are in compliance
with all local codes and/or other applicable codes and requirements.
27. Failure to install, maintain and/or operate the dryer according to the manufacturer,s
instructions may result
in
conditions which can lead
to
bodily injury and/or property
damage.
Notes:
A.
The IMPORTANT SAFEGUARDS and WARNINGS presented
in
this manual do
not cover all possible conditions that may occur. Common sense, caution and
care must
be
exercised when installing, maintaining or operating the dryer.
B.
Always contact your dealer, distributor, service agent or the manufacturer about
any problems or conditions that you do not understand.
SAVE THESE INSTRUCTIONS
GROUNDING INSTRUCTIONS
This appliance must be grounded.
In
the event of malfunction or breakdown, grounding will
reduce the risk of electric shock by providing apath of least resistance for the electric
current. This appliance is equipped with acord having
an
equipment-grounding conductor
and agrounding plug. The plug must be plugged into
an
appropriate outlet that is properly
installed and grounded
in
accordance with all local codes and ordinances.
WARNING -Improper connection of the equipment-grounding conductor can result
in
a
risk
of
electric shock. Check with aqualified electrician or serviceman if you are
in
doubt
as
to
whether the washer
is
properly grounded.
DO NOT modify the plug provided with the appliance -if it will not
fit
the outlet have a
proper outlet installed
by
aqualified electrician.
3

17 16
1~
.,
13 12
9
~
__
=I-=rl
--
3
678
4 5
.,.,..
o..,Orr
-....0...
o0 0
BOSCH
-""
o
"1M!
o
WTA 3500 WTL 5400
Figure
1.
ABOUT YOUR DRYER
Congratulations
on
having selected aBosch clothes
dryer, the choice
of
those that demand exceptional
performance from their clothes dryer. The Bosch WTA
3500 and WTL 5400 dryers offer the following
standard features:
•High Efficiency Precision Drying System with
Duotronic
•Stainless Steel Drum
•Exceptionally Quiet Operation
•Condensation Drying allows vent free operation
•Reverse Tumble Action
•Sensor controlled Auto Cycles with 6drying
levels and Timed Cycles from 10 to 90 minutes.
GETTING TO KNOW
YOUR
DRYER
Above you will find an illustration, Figure
1,
showing
the location
of
the following:
1.
Door with lint filter
2.
Button to open the maintenance flap (WTL
models only)
3.
Heat Exchanger/lnlet panel (WTL models only)
4.
"ON/OFF" button
5.
"DOOR" button
6.
"START" button
7.
"DELICATES" button
8.
"END
of
CYCLE SIGNALnbutton
9.
"CYCLE TIME MINUTES" button
10.
Time Cycles Selector Knob
11.
Auto-Cycles Selector knob
12. Indicator lights for program selected
13. Indicator lights for time program selected
14. Lint Filter Cleaning indicator
15. Indicator lights for buttons
16. "Cycle Countdown Display"
17. Moisture Level indicator lights
18. Rating Plate location.
ENERGY SAVING TIPS
To
save energy, time and money, Bosch recommends
the following:
•Always spin dry the wash in the washer
at
the
highest recommended speed for the fabric type.
The highest spin speed will result
in
adryer load
and shorten the drying time and amount
of
energy required to dry the load.
•Spin dry delicate washing before tumble drying.
•Load the dryer properly. Do not exceed the
maximum load (see CYCLE SELECTION
CHART).
•Always clean the lint filter after each use of the
dryer.
OPERATING TIPS
•Follow the fabric care labels on the clothing.
•Avoid very small loads. When only one or two
items need drying, add afew similar items to
improve drying efficiency.
•Do not mix heavyweight and lightweight clothing.
•Do not dry wool or fabrics with awool content
•Do not dry fabrics that do not allow the free
passage
of
air (for example, GORTEX)
•Do not dry delicate fabrics such as, silk, synthetic
net curtains, etc.
4

BEFORE USING FOR THE FIRST TIME
Before beginning to use your dryer for the first
time:
1.
Check to make sure that the voltage on which
the dryer is to operate is the same as shown
on the rating plate.
GETTING STARTED
Below,
in
order to get started, you will find asummary
of how to operate the clothes dryer. Also, refer to the
CYCLE SELECTION CHART, Table
1.
•Turn On
the
Dryer
Press the "ON/OFF" button. The indicator light
will become illuminated and the indicator above
the "START" button will begin to flash.
•
Check
the
Lint
Filter
The lint filter, located in the door, should
be
cleaned after or before each load.
•Load
the
Dryer
Load the items
in
the dryer.
•
Add
Fabric
Softener
Sheet
If afabric softener sheet is to be added it should
be
done after loading the dryer.
•Close
the
Dryer
Door
•Select
Cycle
Desired
See CYCLE SELECTION CHART, Table
1,
and
following section titled OPERATION for program
recommendations.
•Select
Additional
Functions
(if
desired)
See following section titled OPERATION.
2.
Wipe the interior of the drum with adamp
cloth.
•Press
the
"START"
Button
The "START" indicator lamp will stop flashing and
the dryer will start. If one
of
the Auto-Cycles have
been selected the Duotronic system will monitor
the moisture level and display the progress
of
the
drying in the "Moisture Level Indicator Lights." If a
timed cycle has been selected the minutes
remaining will
be
displayed
in
the "Cycle
Countdown Display."
The cycle will continue to the end, when the
"End" indictor lamp will become illuminated. And,
if the "End
of
Cycle Signal" has been selected a
signal will sound. -See following section
OPERATION on how
to
set or turn of the "End
of
Cycle" signal.
•Depress
the
"DOOR"
Button
The door will open.
•Remove the
Laundry
from
the
Dryer
•Clean
the
Lint
Filter
•Turn Off the Dryer
Depress the "ON/OFF" button.
5

-
--
--
CYCLE SELECTION CHART (Recommendations)
-~--~
ELECTRONIC AUTO
DRY
CYCLES
Drying
t..eve/
Setting
Cotton
or
linen
items
(whites and coloreds),
full
load
*Regular/Cott.
Note: For heat-sensitive items press the "DELICATES" button.
Bed and table linen, towels for laundry which will be ironed with Damp Dry
amangle (rotary iron)
Bed and table linen, towels, T-shirts, for laundry which will be ironed with Econo Dry
work clothes asteam iron
T-shirts, trousers, work clothes, for laundry which will be ironed Light Dry
underwear lightly, or not at all
Bath towels, tea towels, hand towels, for laundry which will not be ironed Regular Dry
bed linen, underwear, cotton socks
Bath towels, tea towels, hand towels, for thick, multi-layered materials Very Dry
bed linen, underwear, cotton socks which will not
be
ironed
Flannel dressing gowns and bed linen particularly thick or multi-layered Extra Dry
(no underwear or socks) materials
Permanent
Press
items
(non-iron items) made
of
synthetic and mixed fibers
Permanent
Press
and non-iron cottons,
~
load
*
Note: For heat-sensitive fabrics press the "DELICATES" button.
Trousers, skirts, dresses, shirts for laundry which will be ironed with Econo Dry
asteam iron
Synthetic trousers, skirts, dresses, shirts, for laundry which will be ironed Light Dry
blouses, leggings and sportswear either lightly, or not at all
Shirts, blouses, sportswear for laundry that will not be ironed Regular Dry
Bed and table linen, jogging suits for thick, multi-layered materials Very Dry
(sweats) which will not be ironed
Parkas (anoraks), bed covers particularly thick or multi-layered Extra Dry
materials
Timed
Cycles
Pre-dried fabrics with low moisture content and separate, small items Heated
Dry:
10-90
min.
All fabrics or items needing freshening, tumbles without heat
Air
Fluff: 10-90
min.
• - Refers
to
full and half loads from Bosch tumble action clothes washer.
Table 1.
6
OPERATION
Below you will find amore detailed explanation of the
operation of your dryer:
1. Turn
the
machine
on
Depress the "ON/OFF" button. The indicator light
above the button will become illuminated
indicating that the machine is on and the light
above the "START' button will flash.
2.
Check
the
Lint
Filter.
The lint filter, located
in
the door, should be
cleaned after or before each load. Check the lint
filter and if it was not cleaned after last use clean it
now. Cleaning the filter will shorten drying times
and save energy.
Figure 2.

3.
Load
the
dryer
For best results it is recommended that the drying
load be sorted by fabric type and desired dryness
level. Also, close all zippers, hooks and eyelets
and tie loose belts and apron strings, etc. before
placing in the dryer.
a. Depress the "DOOR" button. The door will open
and the drum light will turn on.
b.
Check the drum interior for foreign objects
or
pets and remove any used fabric softener
sheets.
c.
Place laundry items to be dried loosely into the
drum
of
the dryer.
Timed
Cycles
0(9
Heated
Dry
o
Air
Fluff
o
Permanent
0.Regular/Cott.
Press
0
Extra
Dry
o
Very
Dry
•
Regular
Dry
o
Light
Dry
o
Econo
Dry
o
Damp
Dry
4.
Add
Fabric
Softener
Sheet, if
desired
If afabric softener sheet is to be added it should
be done after loading the dryer and before the
dryer and load become warm. This will prevent
greasy-looking softener stains.
5.
Close
the
Door
Check the area around the drum opening to make
sure that nothing is caught on the edge
or
hanging
outside the drum and close the door making sure
the door clicks into place and is fully closed.
Figure
3.
b.
To
use
Time
Cyles
(dryer runs for selected
length
of
time) activate by turning the time
program selector (see Figure 4):
i.
Heated
Dry
The Time Cycle's knob should be turned to
point to the right to select the Heated Dry
setting. Then depress the "Cycle Time
Minutes" button to set the time interval for
drying. The time can be set at 10 -
90
minutes in
10
minute steps.
or,
Note: The Auto-Program knob must be
pointing straight-up to use Time Cycles.
ii.
Air
Fluff
(cold)
The Time Cycle's knob should be turned to
point the left to select the Air Fluff setting.
Then depress the "Cycle Time Minutes"
button to set the time interval for drying. The
time can be set at
10
-
90
minutes in
10
minute steps.
,
aD
Permanent
0 0
Regular/Cotl.
Press
0
Extra
Dry
o
Very
Dry
o
Regular
Dry
o
Light
Dry
o
Econo
Dry
o
Damp
Dry
TImed
Cycles
.<.9
Heated
Dry
•
Air
Fluff
o
UntFilter
o
Cycle
Countdown
t.'iDO.i
.•.
J
<.9
:.~.:r1,
'!:::
=
=
I
Cycle
TIme
Minutes
•
Note:
If the door is not fully closed the dryer will
not operate.
6.
Select
the
Drying
Cycle
Desired
The Bosch dryers can be operated
in
either the
Electronic Auto Dry Cycle mode, which uses the
Duotronic moisture sensing system,
or
in Time
Cycle mode, which uses atimer to control the
length
of
the program. See below and CYCLE
SELECTION CHART, Table
1,
for program
recommendations:
a.
To
use
Electronic
Auto
Dry
Cycles
(dryer runs until the drying level selected has
been reached) activate by turning the Cycle
Selector knob (see Figure 3) to:
i.
Regular
/Cott.
The
Auto-Program dial should be turned to
point to the right to select Regular/Cott.
settings. As the knob is turned the lights
directly above the knob will illuminate to
indicate the level
of
dryness selected, from
Extra Dry through Damp Dry. See Table 1
for recommended settings for type
of
load
being dried.
or,
ii.
Permanent
Press
The Auto-Program knob should be turned to
point to the left to select Permanent Press
settings. As the knob is turned the lights
directly above the knob will illuminate to
indicate the level
of
dryness selected. See
Table 1for recommended settings for type
of
load being dried.
Figure
4.
7

The program will continue
to
the end, when the
"End" indicator lamp will become illuminated. And
if the "End
of
Cycle Signal" has been selected a
signal will sound.
Note: If the load
is
not removed, the drum will, for
the following 35 minutes, rotate at brief
intervals
to
prevent wrinkling (Anti-Crease).
After 35 minutes this feature will cease its
function.
It
is recommended that the dryer
be unloaded
no
later than 35 minutes after
completion of program to avoid wrinkling.
7.
Select ADDITIONAL FUNCTIONS,
if
desired
The additional functions available are accessible
by depressing the buttons:
"DELICATES"
The "DELICATES" button, see Figure
5,
will
reduce the drying temperature and lengthen the
drying time when depressed. It is recommended
that the "DELICATES" button
be
depressed when
drying heat sensitive fabrics, such as, acrylics. Be
sure to follow the instructions listed on the care
label instructions.
"END
OF
CYCLE SIGNAL"
When the "END of CYCLE SIGNAL" button, see
Figure
5,
is activated there will be asignal
sounded at regular intervals at completion of the
selected program.
The volume level
of
the sound may be changed by
holding the button
in
until desired volume level is
reached. This volume level will
be
stored for future
use until altered.
The end
of
cycle signal can be switched off by
depressing the button again. The indicator light
above the button will turn off
to
indicate that the
signal is no longer selected.
0ryInQ
Damp
DI)'
o0
~~
~
c=::::z=)
Figure
5.
R<9ula,
DI)'
Extra
Dry
Anti-Crease/End
000
IO
Start
I
Deli-
I
End
Df
Cycle
cales
Signal
o0
c:=:=::=> c::::;::::::::: c::::z::::::>
~~~
Cycle
Counldown
<9
I
Cycle
TIme
Minutes
o
=
=
8
8.
Press
the
"START"
Button
Depress the "START" button. The indicator light
above the "START" button will become illuminated
and the machine will start. If one of the Auto
Cycles has been selected the Duotronic system
will continuously monitor the moisture level of the
load and display the progress
in
the "Moisture
Level Indicator Lights." If atimed cycle has been
selected, either Heated Dry or Air Fluff, the
minutes remaining
in
the program will
be
shown in
the "Cycle Countdown Display."
9.
Depress the "DOOR" button
The door will open.
10. Remove the Laundry from the Dryer
11.
Clean the Lint Filter
The lint filter, located
in
the door, should
be
cleaned after each load. Cleaning the filter will
shorten drying times and save energy.
12. Turn Off the Dryer.
Depress the "ON/OFF" button.

CARE and CLEANING
The housing and control panel should only be
cleaned with asoft cloth rinsed in soapy water, or
with asolvent free, non-scouring cleaning agent.
Other areas requiring periodic leaning
or
maintenance are listed below:
Lint
Filter
The lint filter should be cleaned after each use, If the
"Lint Filter" light becomes illuminated and the buzzer
sounds during operation of the dryer:
1.
Immediately stop the dryer by depressing the
"ON/OFF" button.
2.
Depress the "DOOR" button and open the door.
3.
Remove the filter.
4.
Clean the filter.
5.
Replace the filter.
6.
Let the dryer cool down.
7.
Close the door.
8.
Press the "START" button to restart the dryer.
Heat
Exchanger
(WTL
models
only)
The heat exchanger should be cleaned 3-4 times a
year; more often if used frequently.
To
clean the heat
exchanger:
1.
With the dryer turned off and disconnected from
the electrical supply. Disconnect the power cord by
grasping the plug, not the cord.
2.
Depress the "DOOR" button and open the door.
3.
Press the button for opening the heat
exchanger/inlet panel, as shown
in
Figure
6.
Figure
6
4.
Open the panel fully.
5.
Turn the retainers on each side
of
the heat
exchanger towards each other,
in
the direction of
the arrows as shown
in
Figure
7.
6.
Remove the heat exchanger by slowly pulling it
forward and out
of
the dryer.
7.
Clean the heat exchanger thoroughly with water.
Allow the water to run freely through the heat
exchanger. See Figure
8.
Figure 7.
Figure
8.
8.
Allow heat exchanger to dry thoroughly before
reinserting into the dryer.
9.
Once the heat exchanger is completely dry,
reinsert it into the dryer. The handle must be
underneath the heat exchanger. Turn the
retainers back to their original position.
10. Close the heat exchanger/inlet panel by pressing
firmly on both the upper left and right hand sides,
as shown
in
Figure
9,
until it snaps into place.
Note: The dryer door will only be able
to
be closed if
the heat exchanger/inlet panel is properly
closed and locked
in
place.
Figure
9.
9

10
Moisture
Sensor
Occasionally the moisture sensors will need cleaning,
due to abuild-up of afine layer of lime scale
on
the
inside of the drum. This build-up of lime scale can be
easily removed by wiping the sensors, the metal
inserts
in
the paddles, and the inside of the drum with
asoft cloth soaked in vinegar (use white vinegar).
See Figure 10.
Figure 10.
SERVICE and REPAIR
The Bosch dryers require no special care other than
the care and cleaning noted above. If you are having
aproblem with your dryer, before calling for service
please refer
to
Table
2,
SELF-HELP section,
following. If service becomes necessary, contact your
dealer or installer or an authorized service center. Do
not attempt to repair the appliance yourself. Any work
performed by unauthorized personnel may void the
warranty.
If you are having aproblem with your Bosch washer
and are not pleased with the service you have
received:
•First, please contact your installer or the Bosch
Authorized Service Contractor
in
your area and
explain to them why you are not satisfied. This
will usually correct the problem.
•If after working with your installer or service
person the problem still has not been resolved to
your satisfaction, please let us know by either
writing to us at,
BSH Home Appliances
2800 South 25th Avenue
Broadview,
IL
60153
or,
calling us at,
1-800/944-2904.
Frost
Protection
(WTL models only)
The WTL models, since they remove moisture by
condensing the water out
of
the air and then pumping
the water to drain, should never
be
installed in
an
area subject
to
freezing. Also, if the dryer is
to
be
transported where it would be subjected
to
freezing
the dryer must
be
completely emptied of water before
transporting.
Please
be
sure
to
include,
if
writing, or have
available,
if
calling, the following information:
•Model Number
•Serial Number
•Date of Original Purchase
•Date Problem Originated
•Explanation of Problem
Also, if writing, please
be
sure
to
include adaytime
telephone number.
You
will find the model number and serial number
information
on
the rating plate located
on
the inside
of the door above the lint filter. See Figure
1.

SELF-HELP
Dryers may exhibit problems that are unrelated
to
amalfunction
of
the dryer itself. The following table may serve
to answer your question about aproblem you are having without having to call aserviceman.
PROBLEM POSSIBLE CAUSE
"On/Off' Indicator light do not •The "ON/OFF" has not been depressed
come on • A fuse may have blown
or
acircuit breaker tripped. Replace fuse or
reset circuit breaker at your fuse box/breaker box.
•The plug is not correctly or only loosely inserted into the receptacle.
Dryer does not start •Cycle has not been selected.
•"START" button has not been depressed.
•Door is not closed properly.
•Room temperature is below 32°F
(O°C)
•If necessary. switch the machine off and wait 5seconds before
switching it on again. Select the cycle again and depress "START".
Cycle is interrupted and "Lint •Clean Lint Filter as described
in
section titled CARE &CLEANING.
Filter" light is illuminated and •(WTA models) Check exhaust vent to see if it is blocked or too long.
buzzer sounds •(WTL models) Clean heat exchanger as described
in
section titled
CARE &CLEANING.
•(WTL models) Check air inlet to make sure it is not blocked.
Cycle is interrupted, buzzer •Indicates faulty operation:
sounds. one
or
several cycle -Clean the Lint Filter, check the exhaust duct length (WTA models).
indicators are flashing -Switch the dryer off, wait for it to cool down and then restart.
Drying level not reached
or
•Clean the Moisture sensors
in
the drum as described
in
section titled
drying time too long CARE &CLEANING.
•If there is apower failure for an extended period the cycle must be
restarted.
The laundry is not dry even •The drum is too full
though the highest drying level •The laundry was too wet when placed
in
the dryer
has been selected •The room is not adequately ventilated. Make sure there is
an
adequate supply
of
fresh air.
•The lint filter is blocked and should be cleaned.
•(WTA models) The exhaust vent is blocked
or
too long.
•(WTL models) The air inlet is blocked.
Drum light does not work •"ON/OFF" button has not been pressed
•Bulb has failed. For safety reasons the bulb must onjy be replaced by
an
authorized service agent. .,
Following
items
apply
only
to
the
WTL
(Condensation
Electric
Dryer)
models
Cycle is interrupted and "E1" •Water condensate hose is blocked
in
some way. Turn off dryer and
appears in display check hose.
Humidity level in room •The room is not adequately ventilated. Make sure there is an
increases greatly adequate supply
of
fresh air.
•Check air inlet to see if it is blocked
•The heat exchanger was removed but not replaced.
TABLE 2.
Il

12
STATEMENT OF WARRANTIES
BOSCH CLOTHES DRYERS
The
warranties provided by BSH
Home
Appliances ("Bosch") in this Statement
of
Warranties
apply
only
to Bosch clothes
dryers
sold to the first using purchaser
by
Bosch
or
its authorized dealers, retailers
or
service centers in the United States
or
Canada.
The
Warranties provided herein are not transferable.
LENGTH OF WARRANTY SCOPE OF WARRANTY
1Year Full Limited Warranty Bosch will repair
or
replace, free
of
charge, any
component
From
Date
of
Installation· part that proves defective
under
conditions
of
normal
home
use labor and shipping costs included. Warranty repair
service must be performed by an authorized Bosch Service
Center (excludes cosmetic parts).
2Year Limited Warranty Bosch will provide replacement parts, free
of
charge, for any
From Date
of
Installation· component part that proves defective
under
conditions
of
normal
home
use, shipping costs included.
5Year Limited Warranty on Electronics Bosch will repair
or
replace, free
of
charge,
any
From Date
of
Installation· microprocessor
or
printed circuit board that proves
defective
under
conditions
of
normal home use for aperiod
of
five years from the date
of
original installation, labor
charges excluded.
5Year Limited Warranty on
Motor
Bosch will repair
or
replace, free
of
charge, any
motor
or
From Date
of
Installation· component part
of
the motor that proves defective
under
conditions
of
normal home use for aperiod
of
five years
from the date
of
original installation, labor charges excluded.
5Year Limited Warranty on Cabinet Rust Bosch will replace any cabinet part, free
of
charge,
if
that
From Date
of
Installation· cabinet part should rust through under conditions
of
normal
home
use, labor charges excluded.
Lifetime Limited Warranty against Stainless Steel Rust Bosch will replace your clothes dryer, free
of
charge, with
Through the same model or acurrent model that is eqUivalent
or
From Date
of
Installation· better in functionality if the dryer
drum
should rust through
under
conditions
of
normal home use, labor charges
excluded.
•Date
of
installation shall refer to the earlier
of
the date the clothes dryer is installed
or
ten business days after the delivery date.
Exclusions.
This warranty
does
not
cover service calls or repairs
to
correct
the
installation of
the
clothes
dryer,
to
provide
instructions
on
the
use
of your
clothes
dryer,
to
replace house
fuses
or correct plumbing or
the
electric wiring
in
your
home
or
to
repair
any
clothes dryer that's
use
was
in
a
manner other
than
what
is
normal
and
customary
for
home
use.
In
addition,
the
warranties provided
in
this
Statement exclude any defects or
damage arising
from
accident, alteration,
misuse,
abuse,
improper installation, unauthorized service
work,
external
forces
beyond Bosch's
control,
such
as
fire,
flood,
and
other acts of
God,
or
installation
not
in
accordance
with
local
electrical
and
plumbing
codes.
Labor charges
incurred
in
the
repair or replacement of
any
clothes dryer after a
period
of
one
year
from
date
of installation
shall
not
be
covered
by
this
warranty.
Any
and
all
replaced and/or repaired parts shall assume
the
identity of
the
original
for
purposes of
the
applicable warranty period.
TO
THE
EXTENT PERMITIED
BY
LAW,
THIS
WARRANTY
IS
IN
LIEU
OF
ALL
OTHER EXPRESS
AND
IMPLIED
WARRANTIES,
INCLUDING
THE
IMPLIED
WARRANTIES
OF
MERCHANTABILITY
AND
FITNESS
FOR
A
PARTICULAR
PURPOSE.
BSH
DOES
NOT
ASSUME
ANY
RESPONSIBILITY
FOR
INCIDENTAL
OR
CONSEQUENTIAL
DAMAGES.
TO
OBTAIN
WARRANTY
SERVICE,
CONTACT
THE
NEAREST
BOSCH
AUTHORIZED
SERVICE
CENTER
OR
CALL
1-800-944-2904,
OR
WRITE
AT:
BSH
HOME
APPLIANCES, ATIN. SERVICE,
2800
SOUTH
25TH
AVENUE,
BROADVIEW,
ILLINOIS
60153.
BE
SURE
TO
PROVIDE
YOUR
CLOTHES DRYER'S
MODEL,
SERIAL
NUMBER,
PURCHASE
DATE
AND
THE
SELLER'S
NAME
AND
ADDRESS.
5080008
AA2