Broadcast Microwave Services CCII-7 Carry Coder II User Manual 02 24 2005
Broadcast Microwave Services Inc Carry Coder II 02 24 2005
UserManual.wiki
>
Broadcast Microwave Services
>
CCII-7 User Manual
>
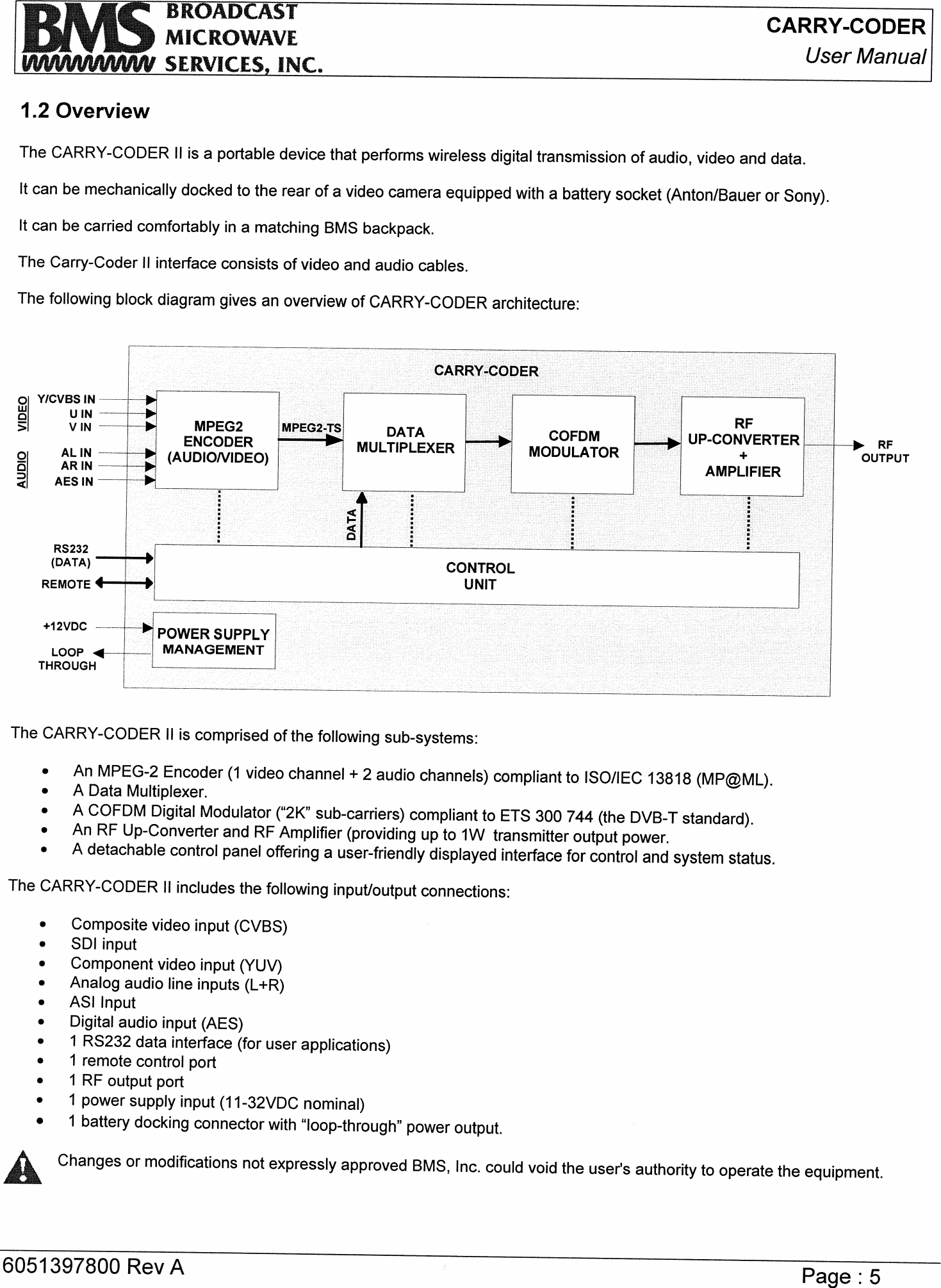
user manual part 1
Contents
1.
user manual part 1
2.
user manual part 2
user manual part 1
Navigation menu
Upload a User Manual
Namespaces
Wiki Guide
HTML
PDF
Info
Views
User Manual
Discussion / Help
Navigation