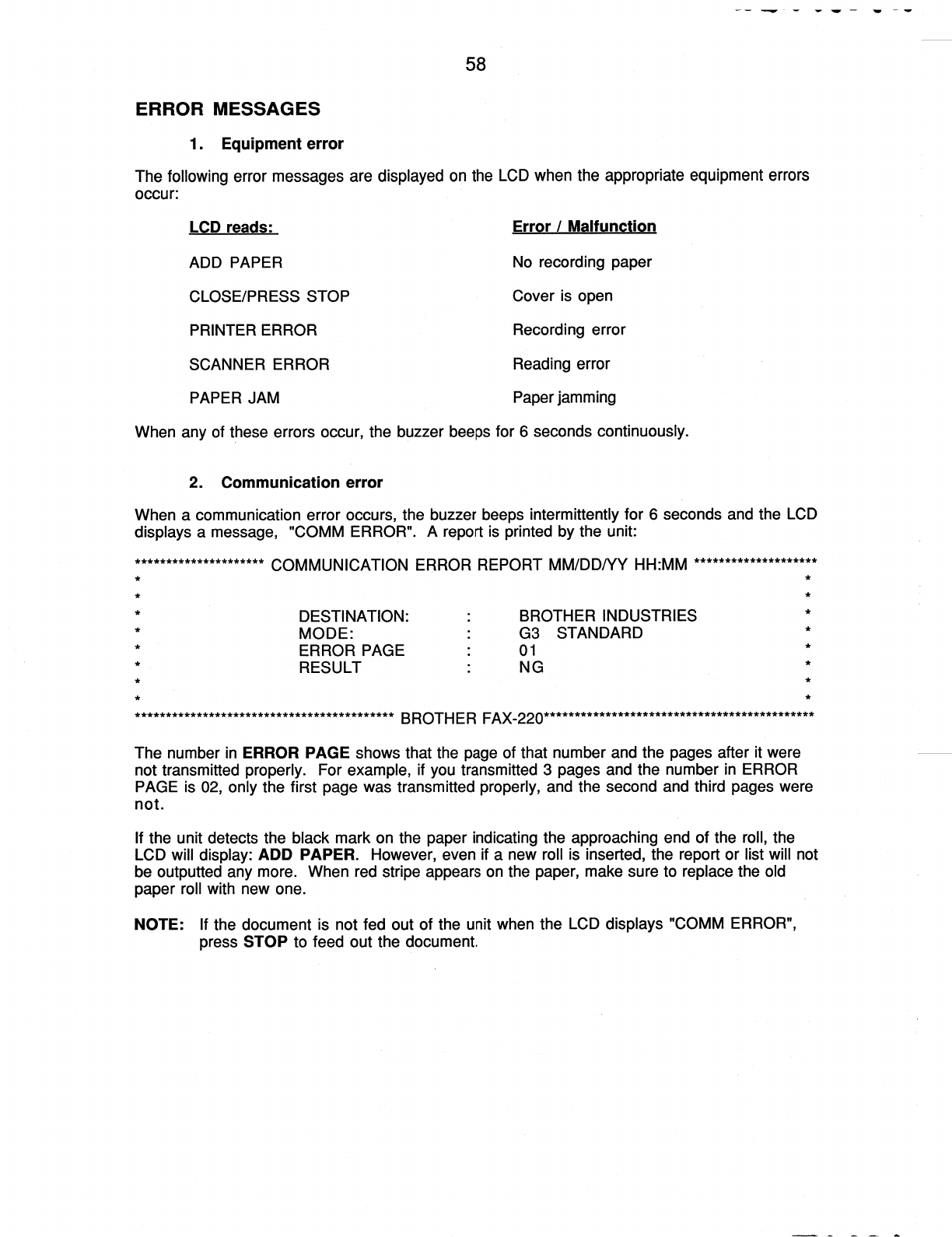
Brother Intellifax 620 Owner S Manual
Brother FAX-220 Fax Machine User’s Manual UM_FAX_220_EN_57 Troubleshoot Brother FAX-220 Fax Machine |
FAX-220 to the manual 5301c820-418a-53c4-3d8f-cef497b95b5d
2014-07-05
: Brother Brother-Intellifax-620-Owner-S-Manual brother-intellifax-620-owner-s-manual brother pdf
Open the PDF directly: View PDF
.
Page Count: 76











































































