Casio Fx 3650P Users Manual Fx3650/3950P_Cover_Web
Fx3650-3950P-E fx3650-3950p-e
User manual fx3650_3950P_E Casio fx3650P Calculator User Manuals and Instruction Guides
fx-3950P to the manual 9d58927e-f682-4754-b80a-59182b2ae0e6
fx-3650P_3950P fx-3650P_3950P_EN fx-3650P | Calculators | Manuals | CASIO
2015-01-21
: Casio Casio-Fx-3650P-Users-Manual-242787 casio-fx-3650p-users-manual-242787 casio pdf
Open the PDF directly: View PDF
.
Page Count: 61

fx-3650P
fx-3950P
User's Guide
Guía del usuario
http://world.casio.com/edu_e/
E S

CASIO ELECTRONICS CO., LTD.
Unit 6, 1000 North Circular Road,
London NW2 7JD, U.K.

E-1
ENGLISH

E-2
Safety Precautions
Be sure to read the following safety precautions before using this calculator.
Keep this manual handy for later reference.
Caution
This symbol is used to indicate information that can result in personal
injury or material damage if ignored.
Batteries
•After removing the battery from the calculator, put it in a safe place
where it will not get into the hands of small children and accidentally
swallowed.
•Keep batteries out of the reach of small children. If accidentally
swallowed, consult with a physician immediately.
•Never charge batteries, try to take batteries apart, or allow batteries to
become shorted. Never expose batteries to direct heat or dispose of
them by incineration.
•Misuse of batteries can cause them to leak and damage nearby items,
and can create the risk of fire and personal injury.
•Always make sure that the battery’s positive k and negative l ends
are facing correctly when you load it into the calculator.
•Remove the battery if you do not plan to use the calculator for a long
time (fx-3950P).
•Use only the type of battery specified for this calculator in this manual.
Disposing of the Calculator
•Never dispose of the calculator by burning it. Doing so can cause
certain components to suddenly burst, creating the risk of fire and
personal injury.
•The displays and illustrations (such as key markings) shown in this User’s
Guide are for illustrative purposes only, and may differ somewhat from the
actual items they represent.
•The contents of this manual are subject to change without notice.

E-3
•In no event shall CASIO Computer Co., Ltd. be liable to anyone for
special, collateral, incidental, or consequential damages in connection
with or arising out of the purchase or use of these materials. Moreover,
CASIO Computer Co., Ltd. shall not be liable for any claim of any kind
whatsoever against the use of these materials by any other party.
Handling Precautions
•Be sure to press the 5 key before using the calculator for the first
time.
•Even if the calculator is operating normally, replace the battery at
least once every three years.
A dead battery can leak, causing damage to and malfunction of the
calculator. Never leave a dead battery in the calculator.
•The battery that comes with this unit discharges slightly during
shipment and storage. Because of this, it may require replacement
sooner than the normal expected battery life.
•Low battery power can cause memory contents to become corrupted
or lost completely. Always keep written records of all important data.
•Avoid use and storage in areas subjected to temperature extremes.
Very low temperatures can cause slow display response, total failure of
the display, and shortening of battery life. Also avoid leaving the calculator
in direct sunlight, near a window, near a heater or anywhere else it might
be exposed to very high temperatures. Heat can cause discoloration or
deformation of the calculator’s case, and damage to internal circuitry.
•Avoid use and storage in areas subjected to large amounts of
humidity and dust.
Take care never to leave the calculator where it might be splashed by
water or exposed to large amounts of humidity or dust. Such conditions
can damage internal circuitry.
•Never drop the calculator or otherwise subject it to strong impact.
E-4
•Never twist or bend the calculator.
Avoid carrying the calculator in the pocket of your trousers or other tight-
fitting clothing where it might be subjected to twisting or bending.
•Never try to take the calculator apart.
•Never press the keys of the calculator with a ballpoint pen or other
pointed object.
•Use a soft, dry cloth to clean the exterior of the calculator.
If the calculator becomes very dirty, wipe it off with a cloth moistened in a
weak solution of water and a mild neutral household detergent. Wring out
all excess moisture before wiping the calculator. Never use thinner,
benzene or other volatile agents to clean the calculator. Doing so can
remove printed markings and can damage the case.

E-5
Contents
Safety Precautions ....................................................... 2
Handling Precautions .................................................. 3
Before getting started... ............................................... 7
kKey Markings ....................................................................................... 7
kModes .................................................................................................. 8
kInput Capacity ...................................................................................... 9
kMaking Corrections During Input ......................................................... 9
kReplay Function ................................................................................... 9
kError Locator ...................................................................................... 10
kExponential Display Formats ............................................................. 10
kInitializing the Calculator (Reset Operation) ...................................... 11
Basic Calculations ..................................................... 11
kArithmetic Calculations ...................................................................... 11
kFraction Operations ........................................................................... 12
kPercentage Calculations .................................................................... 13
kDegrees, Minutes, Seconds Calculations .......................................... 14
kFIX, SCI, RND ................................................................................... 14
Memory Calculations ................................................. 15
kAnswer Memory ................................................................................. 16
kConsecutive Calculations .................................................................. 16
kIndependent Memory ......................................................................... 16
kVariables ............................................................................................ 17
Complex Number Calculations ................................. 17
kAbsolute Value and Argument Calculation ......................................... 18
kRectangular Form ↔ Polar Form Display .......................................... 18
kConjugate of a Complex Number ...................................................... 19
Base-n Calculations ................................................... 19
Scientific Function Calculations............................... 21
kTrigonometric/Inverse Trigonometric Functions ................................. 21
kHyperbolic/Inverse Hyperbolic Functions .......................................... 22
kCommon and Natural Logarithms/Antilogarithms .............................. 22
E-6
kSquare Roots, Cube Roots, Roots, Squares, Cubes, Reciprocals,
Factorials, Random Numbers, π, and Permutation/Combination ....... 23
kAngle Unit Conversion ....................................................................... 24
kCoordinate Conversion (Pol (x, y), Rec (r,
θ
)) .................................. 24
kEngineering Notation Calculations ..................................................... 25
Statistical Calculations .............................................. 25
Standard Deviation ................................................................................ 25
Regression Calculations ........................................................................ 28
Differential Calculations ............................................ 34
Integration Calculations ............................................ 34
Programming a Calculation ...................................... 35
Storing a Program .................................................................................. 36
kEditing a Program .............................................................................. 38
Executing a Program ............................................................................. 38
Deleting a Program ................................................................................ 40
Useful Program Commands ................................................................... 40
kProgram Command Menus ................................................................ 40
kUnconditional Jump ........................................................................... 41
kConditional Jump Using a Relational Operator .................................. 42
kOther Program Statements ................................................................ 42
Statistical Data Memory and Program Memory ....... 44
kStatistical Data ................................................................................... 44
kPrograms ........................................................................................... 45
Technical Information ................................................ 46
kWhen you have a problem...... ........................................................... 46
kError Messages ................................................................................. 46
kOrder of Operations ........................................................................... 47
kStacks ................................................................................................ 49
kInput Ranges ..................................................................................... 50
Power Supply .............................................................. 52
Specifications ............................................................. 54
Practical Examples .................................................. A-1
kProgram Library ............................................................................... A-1

E-7
Before getting started...
kKey Markings
Many of the calculator’s keys are used to perform more than one function.
The functions marked on the keyboard are color coded to help you find the
one you need quickly and easily.
M– M
DT CL
A
Function Color Key Operation
1M+ |
2M– Orange A |
Press A and then the key to perform
the marked function.
3MRed p |
Press p and then the key to perform
the marked function.
4DT Blue In the SD and REG Modes:
|
5CL Orange In the SD and REG Modes:
A |
In blue Press A and then the key to perform
brackets the marked function.
6∠Orange In the CMPLX Mode:
A D
In purple Press A and then the key to perform
brackets the marked function.
7ARed p D
Press p and then the key to
In green specify variable A.
brackets
D
In the BASE Mode, press the key
without pressing p.

E-8
kModes
Before starting a calculation, you must first enter the correct mode as
indicated in the table below.
• Pressing the F key more than three times displays additional setup
screens. Setup screens are described where they are actually used to
change the calculator setup.
• In this manual, the name of the mode you need to enter in order to
perform the calculations being described is indicated in the main title of
each section.
Example:
Note!
• To return the calculation mode and setup to the initial defaults shown
below, press A B 2(Mode) <.
Calculation Mode: COMP
Angle Unit: Deg
Exponential Display Format: Norm 1
Complex Number Display Format: a+bi
Fraction Display Format: ab/c
•Mode indicators appear in the upper part of the display, except for the
BASE indicators, which appear in the exponent part of the display.
To perform this type of Perform this To enter
operation: key operation: this mode:
Basic arithmetic calculations F 1COMP
Complex number calculations F 2CMPLX
Standard deviation F F 1SD
Regression calculations F F 2REG
Base-n calculations F F 3BASE
Program editing F F F 1PRGM
Program execution F F F 2RUN
Program deletion F F F 3PCL
Complex Number Calculations
CMPLX
E-9
•You cannot make changes to the angle unit or other display format (Disp)
settings while the calculator is in the BASE Mode.
•The COMP, CMPLX, SD, and REG modes can be used in combination
with the angle unit settings.
•Be sure to check the current calculation mode (SD, REG, COMP, CMPLX)
and angle unit setting (Deg, Rad, Gra) before beginning a calculation.
kInput Capacity
•The memory area used for calculation input can hold 79 “steps.” One step
is taken up each time you press a number key or arithmetic operator key
( +, ,, -, \ ). A A or p key operation does not take up a step, so
inputting A D, for example, takes up only one step.
•You can input up to 79 steps for a single calculation. Whenever you input
the 73rd step of any calculation, the cursor changes from “_” to “k” to let
you know memory is running low. If you need to input more than 79 steps,
you should divide your calculation into two or more parts.
•Pressing the g key recalls the last result obtained, which you can use in
a subsequent calculation. See “Answer Memory” for more information
about using the g key.
kMaking Corrections During Input
•Use e and r to move the cursor to the location you want.
•Press [ to delete the number or function at the current cursor position.
•Press A K to change to an insert cursor t. Inputting something while
the insert cursor is on the display inserts the input at the insert cursor
position.
•Pressing A K, or < returns to the normal cursor from the insert cursor.
kReplay Function
•Every time you perform a calculation, the replay function stores the
calculation formula and its result in replay memory. Pressing the [ key
displays the formula and result of the calculation you last performed.
Pressing [ again back steps sequentially (new-to-old) through past
calculations.

E-10
•Pressing the e or r key while a replay memory calculation is on the
display changes to the editing screen.
•Pressing the e or r key immediately after you finish a calculation
displays the editing screen for that calculation.
•Pressing t does not clear replay memory, so you can recall the last
calculation even after you press t.
•Replay memory capacity is 128 bytes for storage of both expressions and
results.
•Replay memory is cleared by any of the following actions.
When you press the 5 key
When you initialize modes and settings by pressing A B 2 (or 3) <
When you change from one calculation mode to another
When you turn off the calculator.
kError Locator
•Pressing r or e after an error occurs displays the calculation with the
cursor positioned at the location where the error occurred.
kExponential Display Formats
This calculator can display up to 10 digits. Larger values are automatically
displayed using exponential notation. In the case of decimal values, you can
select between two formats that determine at what point exponential
notation is used.
•To change the exponential display format, press the F key a number of
times until you reach the exponential display format setup screen shown
below.
•Press 3. On the format selection screen that appears, press 1 to select
Norm 1 or 2 for Norm 2.
1
2
3
Fix Sci
N
or
m

E-11
uNorm 1
With Norm 1, exponential notation is automatically used for integer values
with more than 10 digits and decimal values with more than two decimal
places.
uNorm 2
With Norm 2, exponential notation is automatically used for integer values
with more than 10 digits and decimal values with more than nine decimal
places.
•All of the examples in this manual show calculation results using the Norm
1 format.
kInitializing the Calculator (Reset Operation)
•Performing the key operation below initializes the calculation mode and
setup, and clears replay memory, variables, and all programs.
A B 3(All) <
Basic Calculations
kArithmetic Calculations
Use the F key to enter the COMP Mode when you want to perform
basic calculations.
COMP ............................................................................................ F 1
•Example 1: 3(510–9)
1.5
10
–8
3 - 5 e D 9 <
•Example 2: 5(97)
80
5 - R 9 + 7 T <
•You can skip all T operations before <.
COMP

E-12
kFraction Operations
uFraction Calculations
•Values are displayed in decimal format automatically whenever the total
number of digits of a fractional value (integer + numerator + denominator
+ separator marks) exceeds 10.
•Example 1: 2 C 3 + 1 C 5 <
•Example 2: 3 1
4
3 C 1 C 4 +
1 C 2 C 3 <
•Example 3: 2 C 4 <
•Example 4: 1.6
2.1
1 C 2 + 1.6 <
•Results of calculations that mix fraction and decimal values are always
decimal.
uDecimal ↔ Fraction Conversion
•Use the operation shown below to convert calculation results between
decimal values and fraction values.
•Note that conversion can take as long as two seconds to perform.
•Example 1: 2.75 2 (Decimal → Fraction)
2.75 <
2.75
C
A B
•Example 2: ↔ 0.5 (Fraction ↔ Decimal)
1 C 2 <
C
C
1
5
2
313 15.00
13
15
1
2
4 11 12.00
2
3
1
4
11
12
2
4
1
2
2 3 4.00
11 4.00
3
4
11
4
1 2.00
1
2
0.500
1 2.00

E-13
uMixed Fraction ↔ Improper Fraction Conversion
•Example: 1 ↔1 C 2 C 3 <
A B
A B
•You can use the display setup (Disp) screen to specify the display format
when a fraction calculation result is greater than one.
•To change the fraction display format, press the q key a number of times
until you reach the setup screen shown below.
•Display the selection screen.
1 (or
1 r in the CMPLX Mode)
•Press the number key (
1 or 2) that corresponds to the setting you want
to use.
1(ab/c): Mixed fraction
2(d/c): Improper fraction
•An error occurs if you try to input a mixed fraction while the d/c display
format is selected.
kPercentage Calculations
•Example 1: To calculate 12% of 1500
(180)
1500 - 12 A v
•Example 2: To calculate what percentage of 880 is 660
(75%)
660 \ 880 A v
•Example 3: To add 15% onto 2500
(2875)
2500 - 15 A v +
•Example 4: To discount 3500 by 25%
(2625)
3500 - 25 A v ,
•Example 5: To discount the sum of 168, 98, and 734 by 20%
(800)
168 + 98 + 734 < g A j 1
p 1 - 20 A v ,
5 3.00
1 2 3.00
5
3
2
31 2 3.00
1
Disp
*

E-14
*As shown here, if you want to use the current Answer Memory value in a
mark up or discount calculation, you need to assign the Answer Memory
value into a variable and then use the variable in the mark up/
discount calculation. This is because the calculation performed when v is
pressed stores a result to Answer Memory before the , key is pressed.
•Example 6: If 300 grams are added to a test sample originally weighing
500 grams, what is the percentage increase in weight?
(160%)
300 + 500 A v
•Example 7: What is the percentage change when a value is increased
from 40 to 46? How about to 48?
(15%, 20%)
46 , 40 A v
e e e e e e 8 <
kDegrees, Minutes, Seconds Calculations
•You can perform sexagesimal calculations using degrees (hours), minutes,
and seconds, and convert between sexagesimal and decimal values.
•Example 1: To convert the decimal value 2.258 to a sexagesimal value
and then back to a decimal value
2.258 <
2.258
A O
2°15°28.8
I
2.258
•Example 2: To perform the following calculation: 12°34’56” 65°43’21”
12 I 34 I 56 I
+ 65 I 43 I 21 I <
78°18°17
kFIX, SCI, RND
•To change the settings for the number of decimal places, the number of
significant digits, or the exponential display format, press the F key a
number of times until you reach the setup screen shown below.
1
2
3
Fix Sci
N
or
m

E-15
•Press the number key (
1, 2, or 3) that corresponds to the setup item
you want to change.
1
(Fix): Number of decimal places
2
(Sci): Number of significant digits
3
(Norm): Exponential display format
•Example 1: 200 7 14 200 \ 7 - 14 <
(Specifies three decimal places.) F..... 1(Fix) 3
(Internal calculation continues using 12 digits.) 200 \ 7 <
- 14 <
The following performs the same calculation using the specified number of
decimal places.
200 \ 7 <
(Internal rounding) A Q
- 14 <
•Press F
.....3(Norm) 1 to clear the Fix specification.
•Example 2: 1 3, displaying result with two significant digits (Sci 2)
F..... 2(Sci) 2 1 \ 3 <
•Press F
.....3(Norm) 1 to clear the Sci specification.
Memory Calculations
Use the F key to enter the COMP Mode when you want to perform a
calculation using memory.
COMP ............................................................................................ F 1
28.57100
400.00000
400.00
400.00000
FIX
28.57100
28.57100
399.99400
COMP
3.3 ×10
–01
SCI

E-16
kAnswer Memory
•Whenever you press < after inputting values or an expression, the
calculated result automatically updates Answer Memory contents by
storing the result.
•In addition to <, Answer Memory contents are also updated with result
whenever you press A v, |, A {, or A j followed by a letter (A
through D, or M, X, or Y).
•You can recall Answer Memory contents by pressing g.
•Answer Memory can store up to 12 digits for the mantissa and two digits
for the exponent.
•Answer Memory contents are not updated if the operation performed by
any of the above key operations results in an error.
kConsecutive Calculations
•You can use the calculation result that is currently on the display (and also
stored in Answer Memory) as the first value of your next calculation. Note
that pressing an operator key while a result is displayed causes the
displayed value to change to Ans, indicating it is the value that is currently
stored in Answer Memory.
•The result of a calculation can also be used with a subsequent Type A
function (x2, x3, x–1, x!, DRG'), +, –, ^(xy), x, , , nPr and nCr.
kIndependent Memory
•Values can be input directly into memory, added to memory, or subtracted
from memory. Independent memory is convenient for calculating
cumulative totals.
•Independent memory uses the same memory area as variable M.
•To clear independent memory (M), input 0 A j 3.
•Example: 23 9
32
23 + 9 A j3
53 6
47
53 , 6 |
)45 2
90
45 - 2 A{
(Total)
–11
03

E-17
kVariables
•There are seven variables (A through D, M, X and Y), which can be used
to store data, constants, results, and other values.
•Use the following operation to delete data assigned to a particular
variable: 0 A j 1. This operation deletes the data assigned to
variable A.
•Perform the following key operation when you want to clear the values
assigned to all of the variables.
A B 1(Mcl) <
•Example: 193.2 23
8.4
193.2 A j 1 \ 23 <
193.2 28
6.9
p 1 \ 28 <
Complex Number Calculations
Use the F key to enter the CMPLX Mode when you want to perform
calculations that include complex numbers.
CMPLX .......................................................................................... F 2
•The current angle unit setting (Deg, Rad, Gra) affects CMPLX Mode
calculations.
•Note that you can use variables A, B, C, and M only in the CMPLX Mode.
You cannot use variables D, X, and Y.
•The indicator “R↔I” in the upper right corner of a calculation result display
indicates a complex number result. Press A r to toggle the display
between the real part and imaginary part of the result.
•You can use the replay function in the CMPLX Mode. Since complex
numbers are stored in replay memory in the CMPLX Mode, however, more
memory than normal is used up.
•Example: (23i)(45i)
6
8
i
(Real part 6) 2 + 3 i + 4 + 5 i <
(Imaginary part 8i)A r
CMPLX

E-18
kAbsolute Value and Argument Calculation
Supposing the imaginary number expressed by the rectangular form
z = a + bi is represented as a point in the Gaussian plane, you can
determine the absolute value (r) and argument (
) of the complex
number. The polar form is r⬔
.
•Example 1: To determine the absolute value (r) and argument (
) of
3 + 4i (Angle unit: Deg) (r =
5
,
=
53.13010235
°)
(r
5
)A A R 3 + 4 i T <
(
53.13010235
°)A a R 3 + 4 i T <
•The complex number can also be input using the polar form r⬔
.
•Example 2: 2 ⬔ 45
1
i
(Angle unit: Deg) L 2 A Q 45 <
A r
kRectangular Form ↔ Polar Form Display
You can use the operation described below to convert a rectangular form
complex number to its polar form, and a polar form complex number to its
rectangular form. Press A r to toggle the display between the absolute
value (r) and argument (
).
•Example: 1
i ↔
1.414213562 ⬔ 45
(Angle unit: Deg) 1 + i A Y < A r
L 2 A Q 45 A Z < A r
Imaginary axis
Real axis

E-19
BASE
•You select rectangular form (a+bi) or polar form (r⬔
) for display of
complex number calculation results.
F
..... 1(Disp)
1(a+bi):Rectangular form
2(r⬔
):Polar form (indicated by “r⬔
” on the display)
kConjugate of a Complex Number
For any complex number z where z = a+bi, its conjugate (z) is z = a–bi.
•Example: To determine the conjugate of the complex number 1.23 + 2.34i
(Result:
1.23 – 2.34
i)
A S R 1 l 23 + 2 l 34 i T <
A r
Base-n Calculations
Use the F key to enter the BASE Mode when you want to perform
calculations using Base-n values.
BASE ....................................................................................... F F 3
•In addition to decimal values, calculations can be performed using binary,
octal and hexadecimal values.
•You can specify the default number system to be applied to all input and
displayed values, and the number system for individual values as you
input them.
•You cannot use scientific functions in binary, octal, decimal, and
hexadecimal calculations. You cannot input values that include decimal
part and an exponent.
•If you input a value that includes a decimal part, the unit automatically
cuts off the decimal part.
•Negative binary, octal, and hexadecimal values are produced by taking the
two’s complement.
•You can use the following logical operators between values in Base-n
calculations: and (logical product), or (logical sum), xor (exclusive or), xnor
(exclusive nor), Not (bitwise complement), and Neg (negation).

E-20
•The following are the allowable ranges for each of the available number
systems.
Binary 1000000000 ⬉ x ⬉1111111111
0 ⬉ x ⬉0111111111
Octal 4000000000 ⬉ x ⬉7777777777
0 ⬉ x ⬉3777777777
Decimal –2147483648 ⬉ x ⬉2147483647
Hexadecimal 80000000 ⬉ x ⬉FFFFFFFF
0 ⬉ x ⬉7FFFFFFF
•Example 1: To perform the following calculation and produce a binary
result:
101112 110102
110001
2
Binary mode: t b
0.
b
10111 + 11010 <
110001.
b
•Example 2: To convert the value 2210 to its binary, octal, and hexadecimal
equivalents.
(10110
2
, 26
8
, 16
16
)
Binary mode: t b
0.
b
l l l 1(d) 22 <
10110.
b
Octal mode: o
26.
o
Hexadecimal mode: h
16.
H
•Example 3: To convert the value 51310 to its binary equivalent.
Binary mode: t b
0.
b
l l l 1(d) 513 <
aMthERROR
b
•You may not be able to convert a value from a number system whose
calculation range is greater than the calculation range of the resulting
number system.
•The message “Math ERROR” indicates that the result has too many digits
(overflow).

E-21
•Example 4: To perform the following calculation and produce an octal
result:
76548
÷ 1210
516
8
Octal mode: t o
0.
o
l l l 4 (o) 7654 \
l l l 1 (d) 12 <
516.
o
•Example 5: To perform the following calculation and produce a
hexadecimal and a decimal result:
12016 or 11012
12d
16
301
10
Hexadecimal mode: t h
0.
H
120 l 2
(or)
l l l 3
(b) 1101 <
12d.
H
Decimal mode: K
301.
d
Scientific Function Calculations
Use the F key to enter the COMP Mode when you want to perform
basic arithmetic calculations.
COMP ............................................................................................ F 1
•Certain types of calculations may take a long time to complete.
•Wait for the result to appear on the display before starting the next
calculation.
•
π
= 3.14159265359
kTrigonometric/Inverse Trigonometric Functions
•To change the default angle unit (degrees, radians, grads), press the F
key a number of times until you reach the angle unit setup screen shown
below.
COMP
1
2
3
Deg Rad
G
ra

E-22
•Press the number key (1, 2, or 3) that corresponds to the angle unit
you want to use.
(90° =
radians = 100 grads)
•Example 1: sin 63°5241
0.897859012
q ..... 1(Deg)
S 63 I 52 I 41 I <
•Example 2: cos
(
rad
)
0.5
q ..... 2(Rad)
W R A x \ 3 T <
•Example 3: cos1
0.25
π (rad)
(
(rad)
)
q ..... 2 (Rad)
A V R L 2 \ 2 T < g \ A x <
•Example 4: tan1 0.741
36.53844577
°q ..... 1(Deg)
A g 0.741 <
kHyperbolic/Inverse Hyperbolic Functions
•Example 1: sinh 3.6
18.28545536
M S 3.6 <
•Example 2: sinh1 30
4.094622224
M A j 30 <
kCommon and Natural Logarithms/Antilogarithms
•Example 1: log 1.23
0.089905111
R 1.23 <
•Example 2: In 90 (= loge 90) =
4.49980967
T 90 <
ln e
1
T p P <
•Example 3: e10
22026.46579
A U 10 <
•Example 4: 101.5
31.6227766
A Q 1.5 <
•Example 5: (–2)4
16
R D 2 T W 4 <
•Negative values included in a calculation must be enclosed in parentheses.
For details, see “Order of Operations” on page 47 for more information.
π
2
π
3
π
4
2
2

E-23
kSquare Roots, Cube Roots, Roots, Squares,
Cubes, Reciprocals, Factorials, Random Numbers,
π
, and Permutation/Combination
•Example 1: 2 3 5
5.287196909
L 2 + L 3 - L 5 <
•Example 2: 35 3 27
–1.290024053
A D 5 + A D D 27 <
•Example 3: 7 123 ( = 123 )
1.988647795
7 A H 123 <
•Example 4: 123 302
1023
123 + 30 K <
•Example 5: 123
1728
12 N <
•Example 6:
12
R 3 a , 4 a T a <
•Example 7: 8!
40320
8 A f <
•Example 8: To generate a random number between 0.000 and 0.999
A M <
(The above value is a sample only. Results differ each time.)
•Example 9: 3π
9.424777961
3 A x <
•Example 10: To determine how many different 4-digit values can be
produced using the numbers 1 through 7
•Numbers cannot be duplicated within the same 4-digit value (1234 is
allowed, but 1123 is not).
(840)
7 A m 4 <
•Example 11: To determine how many different 4-member groups can be
organized in a group of 10 individuals
(210)
10 A n 4 <
(
1
7
)
1 1
3 4
1
0.66400

E-24
kAngle Unit Conversion
•Press A v to display the following menu.
•Pressing 1, 2, or 3 converts the displayed value to the corresponding
angle unit.
•Example: To convert 4.25 radians to degrees
q ..... 1(Deg)
4.25 A v 2(R) <
kCoordinate Conversion (Pol (x, y), Rec (r,
θ
))
•Calculation results are automatically assigned to variables X and Y.
•Example 1: To convert polar coordinates (r 2,
60°) to rectangular
coordinates (x, y) (Angle unit: Deg)
x
1
A F 2 P 60 T <
y
1.732050808
0 y
•Press 0 x to display the value of x, or 0 y to display the value of y.
1
2
3
D R G
243.5070629
4
.
2
5
r
u Rectangular Coordinates u Polar Coordinates

E-25
•Example 2: To convert rectangular coordinates (1, 3) to polar
coordinates (r,
) (Angle unit: Rad)
r
2
A f 1 P L 3 T <
θ
1.047197551
0 y
•Press 0 x to display the value of r, or 0 y to display the value of
.
kEngineering Notation Calculations
•Example 1: To convert 56,088 meters to kilometers
→
56.088
10356088 < J
•Example 2: To convert 0.08125 grams to milligrams
→
81.25
10–3 0.08125 < J
Statistical Calculations
Standard Deviation
Use the F key to enter the SD Mode when you want to perform
statistical calculations using standard deviation.
SD ........................................................................................... F F 1
•Always start data input with A B 1
(Scl) < to clear statistical memory.
•Input data using the key sequence shown below.
<x-data> S
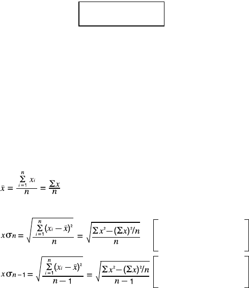
•Input data is used to calculate values for n, Σx, Σx2, o, σn and σn-1, which
you can recall using the key operations noted nearby.
SD REG
SD
To recall this type of value: Perform this key operation:
Σx2A U 1
ΣxA U 2
nA U 3
oA X 1
σnA X 2
σn–1 A X 3
(km)
(mg)

E-26
•Example: To calculate σn1, σn, o, n, Σx, and Σx2 for the following data :
55, 54, 51, 55, 53, 53, 54, 52
In the SD Mode:
A B 1
(Scl) < (Stat clear) 55 S
Each time you press S to register your input,
the number of data input up to that point is
indicated on the display (n value).
54 S 51 S 55 S
53 S S 54 S 52 S
Sample Standard Deviation (σn1) =
1.407885953
A X 3 <
Population Standard Deviation (σn) =
1.316956719
A X 2 <
Arithmetic Mean (o) =
53.375
A X 1 <
Number of Data (n) =
8
A U 3 <
Sum of Values (Σx) =
427
A U 2 <
Sum of Squares of Values (Σx2) =
22805
A U 1 <
•After inputting data, you can perform the key operations that calculate
statistical results (standard deviation, mean, etc.) in any order. You do not
need to follow the order shown above.
Data Input Precautions
•To input the same data twice: <x-data> S S
•To input multiple entries of the same data by specifying the “frequency”:
<x-data> A G <frequency> S
Example: To input the data 110 ten times 110 A G 10 S
•While inputting data or after inputting data is complete, you can use the
[ and ] keys to scroll through data you have input. If you input multiple
entries of the same data using A G to specify the data frequency
(number of data items) as described above, scrolling through data shows
both the data item and a separate screen for the data frequency (Freq).
•You can then edit the displayed data, if you want. Input the new value and
then press the < key to replace the old value with the new one. This also
means that if you want to perform some other operation (calculation, recall
of statistical calculation results, etc.), you should always press the t key
first to exit data display.
•Pressing the S key instead of
< after changing a value on the display
registers the value you input as a new data item, and leaves the old value
as it is.
1.
n=
SD

E-27
•You can delete a data value displayed using [ and ] by pressing A
U. Deleting a data value causes all values following it to be shifted up.
•Data values you register are normally stored in calculator memory. The
message “Data Full” appears and you will not be able to input any more
data if there is no memory left for data storage. If this happens, press the
< key to display the screen shown below.
Press 2 to exit data input without registering the value you just input.
Press 1 if you want to register the value you just input, without saving it
in memory. If you do this, however, you will not be able to display or edit
any of the data you have input.
•For information about the number of data items that can be stored in
memory, see “Statistical Data Memory and Program Memory” on page 44.
•To delete data you have just input, press A U.
•After inputting statistical data in the SD Mode or REG Mode, you will be
unable to display or edit individual data items any longer after perform
either the following operations.
Changing to another mode
Changing the regression type (Lin, Log, Exp, Pwr, Inv, Quad)
uArithmetic Mean
1
2
Ed i t
O
FF
ES
C
uStandard Deviation
Sample data for a
population is used to
estimate the standard
deviation for the population.
All the data of a finite
population is used to
calculate the standard
deviation for the population.

E-28
r
e
Regression Calculations
Use the F key to enter the REG Mode when you want to perform
statistical calculations using regression.
REG .......................................................................................... F F 2
•Entering the REG Mode displays screens like the ones shown below.
To recall this type of value: Perform this key operation:
Σx2A U 1
ΣxA U 2
nA U 3
Σy2A U r 1
ΣyA U r 2
Σxy A U r 3
oA X 1
xσnA X 2
xσn-1 A X 3
pA X r 1
REG
1
2
3
Lin Log
E
xp
1
2
3
P
w
r Inv
Q
uad
•Press the number key (
1, 2, or 3) that corresponds to the type of
regression you want to use.
1(Lin)
:Linear regression
2(Log)
:Logarithmic regression
3(Exp)
:Exponential regression
r 1(Pwr)
:Power regression
r 2(Inv)
:Inverse regression
r 3(Quad)
:Quadratic regression
•Always start data input with A B 1
(Scl) < to clear statistical memory.
•Input data using the key sequence shown below.
<x-data> P <y-data> S
•The values produced by a regression calculation depend on the values
input, and results can be recalled using the key operations shown in the
table below.

E-29
•The values in the above tables can be used inside of expressions the
same way you use variables.
uLinear Regression
•The regression formula for linear regression is: y = A + Bx.
•Example: Atmospheric Pressure vs. Temperature
Perform linear regression to determine the
regression formula terms and correlation
coefficient for the data nearby. Next, use
the regression formula to estimate
atmospheric pressure at 18°C and
temperature at 1000 hPa. Finally, calculate
the coefficient of determination (r2) and
sample covariance .
•The following table shows the key operations you should use to recall
results in the case of quadratic regression.
To recall this type of value: Perform this key operation:
yσnA X r 2
yσn-1 A X r 3
Regression coefficient A A X r r 1
Regression coefficient B A X r r 2
Regression calculation other than quadratic regression
Correlation coefficient rA X r r 3
mA X r r r 1
nA X r r r 2
To recall this type of value: Perform this key operation:
Σx3A U r r 1
Σx2yA U r r 2
Σx4A U r r 3
Regression coefficient C A X r r 3
m1A X r r r 1
m2A X r r r 2
nA X r r r 3
Temperature Atmospheric
Pressure
10°C1003 hPa
15°C1005 hPa
20°C1010 hPa
25°C1011 hPa
30°C1014 hPa

E-30
In the REG Mode:
1(Lin)
A B 1
(Scl) <
(Stat clear) 10 P1003 S
Each time you press S to register your input,
the number of data input up to that point is
indicated on the display (n value).
15 P 1005 S
20 P1010 S 25 P 1011 S
30 P 1014 S
Regression Coefficient A =
997.4
A X r r 1 <
Regression Coefficient B =
0.56
A X r r 2 <
Correlation Coefficient r =
0.982607368
A X r r 3 <
Atmospheric Pressure at 18°C =
1007.48
18 A X r r r 2 <
Temperature at 1000 hPa =
4.642857143
1000 A X r r r 1 <
Coefficient of Determination =
0.965517241
A X r r 3 K <
Sample Covariance =
35
E A U r 3 ,
A U 3 - A X 1 -
A X r 1 F \
E A U 3 , 1 F <
uLogarithmic, Exponential, Power, and Inverse Regression
•Use the same key operations as linear regression to recall results for
these types of regression.
•The following shows the regression formulas for each type of regression.
Logarithmic Regression y A B
ⴢ
In x
Exponential Regression y A
ⴢ
eB·x (In y In A + Bx)
Power Regression y A
ⴢ
xB (In y In A + BIn x)
Inverse Regression y A B
ⴢ
1/x
1.
n=
REG

E-31
xi yi
29 1.6
50 23.5
74 38.0
103 46.4
118 48.0
uQuadratic Regression
•The regression formula for quadratic regression is: y = A + Bx + Cx2.
•Example:
Perform quadratic regression to determine the regression
formula terms for the data nearby. Next, use the
regression formula to estimate the values for n
(estimated value of y) for xi = 16 and m (estimated value
of x) for yi = 20.
In the REG Mode:
r 3(Quad)
A B 1
(Scl) < (Stat clear)
29 P 1.6 S 50 P 23.5 S
74 P 38.0 S 103 P 46.4 S
118 P 48.0 S
Regression Coefficient A =
–35.59856934
A X r r 1 <
Regression Coefficient B =
1.495939413
A X r r 2 <
Regression Coefficient C =
–
6.71629667
×
10
–3
A X r r 3 <
n when xi is 16 =
–13.38291067
16 A X r r r 3 <
m1 when yi is 20 =
47.14556728
20 A X r r r 1 <
m2 when yi is 20 =
175.5872105
20 A X r r r 2 <
•After inputting data, you can perform the key operations that calcutate
statistical results (regression coefficients, n, m1, etc.) in any order. You do
not need to follow the order shown above.
Data Input Precautions
•To input the same data twice: <x-data> P <y-data> S S
•To input multiple entries of the same data by specifying the “frequency”:
<x-data> P <y-data> A G <frequency> S
Example: To input the data X = 20, Y = 30 five times
20 P 30 A G 5 S
•Precautions when editing data input for standard deviation also apply for
regression calculations.

E-32
u Correlation coefficient
r
u Regression coefficient A
A = exp
(
)
n
Σ
ln
y – B.Σx
u Regression coefficient B
B =
n.Σx
2
–
(
Σx
)
2
n.Σx
ln
y – Σx.Σ
ln
y
r
=
{
n.Σx
2
–
(
Σx
)
2
}{
n.Σ
(ln
y
)
2
–
(
Σ
ln
y
)
2
}
n.Σx
ln
y – Σx.Σ
ln
y
u Correlation coefficient r
u Regression coefficient A
A = exp
(
)
n
Σlny – B.Σlnx
u Regression coefficient B
B =n.Σ(lnx)2 – (Σlnx)2
n.Σlnxlny – Σlnx.Σlny
r =
{n.Σ(lnx)2 – (Σlnx)2}{n.Σ(lny)2 – (Σlny)2}
n.Σlnxlny – Σlnx.Σlny
u Correlation coefficient
r
u Regression coefficient A
A =
n
Σy – B.Σx
u Regression coefficient B
B =
n.Σx
2
– (Σx)
2
n.Σxy – Σx.Σy
r =
{n.Σx
2
– (Σx)
2
}{n.Σy
2
– (Σy)
2
}
n.Σxy – Σx.Σy
u Correlation coefficient r
u Regression coefficient A
A =n
Σy – B.Σlnx
u Regression coefficient B
B =n.Σ(lnx)2 – (Σlnx)2
n.Σ(lnx)y – Σlnx.Σy
r =
{n.Σ(lnx)2 – (Σlnx)2}{n.Σy2 – (Σy)2}
n.Σ(lnx)y – Σlnx.Σy
2Logarithmic Regression y = A + B.ln x
1Linear Regression y = A + Bx
3Exponential Regression y = A.eB·x (ln y = ln A + Bx)
4Power Regression y = A.xB (ln y = ln A + Bln x)

E-33
u Regression coefficient C
u Regression coefficient A
A = – B
(
)
– C
(
)
n
Σy
n
Σx
n
Σx2
u Regression coefficient B
B = (Sxy.Sx2x2 – Sx2y.Sxx2) ÷ {Sxx.Sx2x2 – (Sxx2)2}
(Σx)2
(Σx.Σx2)
C = Sx2y.Sxx – Sxy.Sxx2
Sxx = Σx2– , Sxy = Σxy –
Sxx2 = Σx3
– , Sx2x2 = Σx4
–
Sx2y = Σx2y –
n
n
(Σx2)2
n
n
(Σx2.Σy)
n
(Σx.Σy)
5Inverse Regression y = A + B
ⴢ
1/x
u Correlation coefficient
r
u Regression coefficient A
A =n
Σy – B.Σx–1
u Regression coefficient B
B =Sxx
Sxy
r =
Sxx = Σ(x–1)2 – , Syy = Σy2–
Sxy = Σ(x–1)y –
Sxx.Syy
Sxy
n
(Σx–1)2
n
Σx–1.Σy
n
(Σy)2
6Quadratic Regression y = A + Bx + Cx2

E-34
COMP
Differential Calculations
The procedure described below obtains the derivative of a function.
Use the F key to enter the COMP Mode when you want to perform a
calculation involving differentials.
COMP ............................................................................................. F 1
•Three inputs are required for the differential expression: the function of
variable x, the point (a) at which the differential coefficient is calculated,
and the change in x (∆x).
A J expression P a P ∆x T
•Example: To determine the derivative at point x = 2 for the function
y = 3x2– 5x + 2, when the increase or decrease in x is ∆x = 2 × 10-4
(Result:
7
)
A J 3 p x K , 5 p x + 2 P 2 P 2 e D 4 T <
•You can omit input of
∆
x, if you want. The calculator automatically
substitutes an appropriate value for
∆
x if you do not input one.
•Discontinuous points and extreme changes in the value of x can cause
inaccurate results and errors.
Integration Calculations
The procedure described below obtains the definite integral of a function.
Use the F key to enter the COMP Mode when you want to perform
integration calculations.
COMP ............................................................................................ F 1
•The following four inputs are required for integration calculations:
a function with the variable x; a and b, which define the integration range
of the definite integral; and n, which is the number of partitions (equivalent
to N = 2n) for integration using Simpson’s rule.
d expression P a P b P n F
• Example: ∫
(2x2 + 3x + 8) dx =
150.6666667
(Number of partitions n = 6)
d 2 p x K + 3 p x + 8 P 1 P 5 P 6 T <
COMP
5
1

E-35
Note!
•You can specify an integer in the range of 1 to 9 as the number of
partitions, or you can skip input of the number of partitions entirely, if you
want.
•Internal integration calculations may take considerable time to complete.
•Display contents are cleared while an integration calculation is being
performed internally.
•The conditions described below can cause reduced calculation precision
or slower calculation speed.
PRGM PCL
RUN
1
2
3
P
RGM RUN PCL
1 (PRGM) .... Edit Prog Mode for inputting and editing programs.
2 (RUN) ....... Mode for running programs.
3 (PCL) ....... Clear Prog Mode for deleting programs.
Condition
Minute shifts in the integration
interval, which causes large
change in the integration value
Periodic functions, or positive and
negative integration values
depending on the interval
Countermeasure
Divide the integration interval,
dividing sections that fluctuate
widely into smaller intervals.
Separate positive and negative
parts, and add each together.
Programming a Calculation
•This section describes how to store a calculation program for instant recall
whenever you need it.
•The program storage area has about 360 bytes, which can be divided
among up to four different programs named P1, P2, P3, and P4.
•To perform program calculation operations, press F F F, which
displays the screen shown below. Next, press the number key that
corresponds to the mode you want to select.

E-36
Storing a Program
Use the following procedure to specify the Edit Prog Mode and store a
program in memory.
Edit Prog ............................................................................. F F F 1
•Example: To create a program that uses Heron’s formula to calculate the
area of a triangle based on the lengths of its three sides
Formula: S = s (s – A)(s – B)(s – C) Note that: s = .
1. Enter the Edit Prog Mode, which displays the screen shown below.
(A + B + C)/2
2. Select the program number (P1 to P4) to which you want to assign the
program.
Ex.: 2 (Program P2)
P–
1234 308
Ed i t Prog
PRGM
If there is already a
program in memory, its
number appears on the
display.
Remaining capacity (bytes)
–
000
PRGM
Number of bytes used by program P2.
PRGM
3. Input the program.
Program
?→A: ?→B: ?→C: (A + B + C) ÷ 2→D^D × (D – A) × (D – B) × (D – C):
Ans
•To input a colon (:), press <.
•To input “→A”, press A j q.
•You can also input a variable name using the p key. To input “X” for
example, press p x.
E-37
•To input a question mark (?), right arrow (→), colon (:), or output
command (^), press A ?, and then use number keys 1 through
4 to select the mark or command you want. See “Useful Program
Commands” on page 40 for more information.
4. Press t F F F 2 to exit program input.
uProgram Storage Notes
•Use the syntax below to prompt for input of a value by the person running
the program, which will be assigned to the variable whose name is
indicated by the program.
?→ <variable name>
You can normally specify the variable names A, B, C, D, X, Y, and M
(independent memory). In the CMPLX Mode, however, you can use only
A, B, C, or M, because the other variables are used to store mode data.
•Use a colon (:) to link statements into multi-statements. A “statement” can
be a calculation expression or function (such as Fix 3 or Deg). Note that
you do not need to include a colon (:) at the end of the program.
•If you want execution of a program to pause at any point part way
through, insert an output command (^) at the end of a statement instead
of a colon (:). Note that you do not need to include an output command
(^) at the end of the program.
•You can also specify a mode when inputting a program. The mode you
specify is stored along with the program. You can specify different modes
for programs P1, P2, P3, and P4. While the Edit Prog screen in step 1
under “Storing a Program” (page 36) is on the display, use the F key to
specify the mode you want. The following are the modes that you can
specify for a program: COMP, CMPLX, SD*, REG*, BASE.
* Data input for statistical calculations is always retained in memory, even
after calculation is complete. Statistical data remaining in memory can
cause calculation errors when you run a program that includes statistical
calculations. Because of this, you should press A B 1
(Scl) <
before executing such a program, or you should include the Scl
command at the beginning of the program to make sure that statistical
data memory is cleared.
•During program input, the cursor normally appears as a flashing underline
mark (_). When there are eight bytes or less of memory remaining,
however, the cursor changes to a flashing black box (k). If the remainder
of the program you are inputting is larger than remaining memory

E-38
capacity, you will need to free up more memory capacity by deleting
programs or statistical data you no longer need.
•See page 44 for information about how bytes are counted and how
memory is shared by statistical data.
kEditing a Program
•While a program’s contents are on the display in the Edit Prog Mode, you
can use e and r to move the cursor to the location you want to edit.
•Press [ to delete the function at the current cursor location.
•Use the insert cursor (page 9) when you want to insert a new statement
into a program.
Executing a Program
The procedure in this section shows how to execute a program in the
COMP Mode.
Perform the following key operation to enter the COMP Mode.
COMP .............................................................................................F 1
•Example: To create a program that uses Heron’s formula to calculate the
area of a triangle whose three sides measure A = 30, B = 40, C = 50
1. Execute the program.
(In the COMP Mode) > 2
Specify the number of the program you want to execute.
2. Input the values required for the calculation.
A? 30 <
B? 40 <
C? 50 <
RUN
60.
(A+B+C)쐦2
→
D
Disp
(Assigns the result of
D = (A + B + C) ÷ 2 to
variable D.)

E-39
3. Press < to resume program execution.
uProgram Execution Notes
•Pressing < after program execution finishes causes the same program
to be executed again.
•You can also run a program from the Run Prog screen by using number
keys 1 through 4 to specify a program number (P1 through P4). You
can display the Run Prog screen by pressing t < from the Edit Prog
screen after step 3 of the procedure under “Storing a Program” on page
36.
•You can use the following keys on the currently displayed value while
program execution is paused by the output command (^).
J, I, C, r, F*
*Note that you can use the F key to select the settings shown below
only. Program execution is automatically cancelled if you try to select any
other mode or setting.
Deg, Rad, Gra, Fix, Sci, Norm, Dec, Hex, Bin, Oct
•To cancel further program execution, press t.
uErrors During Program Execution
•If an error message appears on the display during program execution,
press the e or r key to automatically enter the Edit Prog Mode. The
location of the error with the cursor located there will appear on the
display at this time. Determine the cause of the error and edit the program
as required.
•Pressing the t key while an error message is on the display clears the
message and terminates program execution.
600.
Ans
The program number disappears after
program execution is complete.
(Area)

E-40
Deleting a Program
Use the following procedure to specify the Clear Prog Mode and delete a
program from memory.
Clear Prog .......................................................................... F F F 3
•You can also enter the Clear Prog Mode by pressing [ while the Edit
Prog screen is on the display.
•You can select programs individually by specifying a program number from
P1 through P4.
1. Enter the Clear Prog Mode, which displays the screen shown below.
2. Select the program number (P1 to P4) of the program you want to delete.
•Example: 1 (Program P1)
•The number of the program you selected disappears from the upper part
of the display, and remaining memory capacity increases by the size of the
deleted program.
•Note that the only way to delete all the programs in memory (P1 through
P4) is to perform the reset operation (page 11).
Useful Program Commands
In addition to mathematical calculations, there are also a number of useful
program commands you can use to perform loops and define conditions.
kProgram Command Menus
Press A ? to display a menu of available program commands.
•The program command menu has three screens. Use the e and r keys
to display the menu screen you want.
•To input one of the commands currently on the screen, press a number
key from 1 through 5.
P–
1234 247
C
l ea r P r og
PRGM
PCL

E-41
uBasic Commands
1 (?) .......... Operator input command
2 (→)........ Assign to variable command
3 (:) ........... Multi-statement separator code
4 (^)........ Output command
uConditional Jump Commands
1 (S)........ Jump code (when condition is met)
2 (=).......... Relational operator
3 (G)......... Relational operator
4 (>).......... Relational operator
5 (>).......... Relational operator
uUnconditional Jump Commands
1 (Goto) .... Jump command
2 (Lbl) ....... Label
kUnconditional Jump
•When the unconditional jump command (Goto n) is executed, processing
jumps to the label (Lbl n) whose n value matches the n value of the
unconditional jump command. You can specify an integer from 0 to 9 for n.
•You can also use the unconditional jump command and label to create an
unconditional loop, which repeat a part of the program a specific number
of times. To do this, put a label (such as Lbl 1, which is used in the
example below) at the beginning of the part you want to repeat, and end
the repeated part with an unconditional jump command (Goto 1, in the
example).
1 2 3 4
? → : ^
1 2 3 4 5
S
= G > >
1 2
G
o t o L b l

E-42
•Example: Use Heron’s formula to perform a series of calculations to
determine the area of triangles for which the length of side A is fixed, and
the lengths of sides B and C are variable.
Program
?→A: Lbl 1: ?→B: ?→C: (A + B + C) ÷ 2→D^D × (D – A) × (D – B) ×
(D – C): Ans^Goto 1
kConditional Jump Using a Relational Operator
You can use relational operators so program execution compares two
values and then decides which processing should be performed based on
the relationship between the two values.
•Example: To create a program that calculates the total of a series of input
values, with calculation being terminated whenever zero is input
Program
0→B: Lbl 1: ?→A: A = 0 S Goto 2: B + A →B: Goto 1: Lbl 2: B
12
Statement 1 Statement 2
3
1Assigns 0 to variable B.
2Assigns the input value to variable A.
3If A = 0 is true, Statement 1 (Goto 2) is executed. If false, execution
advances to Statement 2 without executing Statement 1.
uRelational Operator Notes
•The relational operators you can use in a program are: =, G, >, >.
•A relational operation that is true returns a value of 1, while a false
relational operation returns a value of 0. For example, executing 3 = 3
would return a result of 1, while 1 > 3 returns a result of 0.
kOther Program Statements
uF Key Settings
The items shown below can be included as statements inside of a program.
You can input one of these statements using the same procedure as you do
for normal calculation. That is, press the F key to display a selection
screen and then press the number key that corresponds to the setting you
want.
Deg, Rad, Gra, Fix, Sci, Norm, Dec, Hex, Bin, Oct
•Example: Deg: Fix 3

E-43
uInputting Statistical Data
If you select the SD Mode or REG Mode before specifying a program
number (P1 through P4), you can input statistical data as part of your
program.
•Input statistical data using the S key, just as you normally do (page 25).
•In addition to values, you can also input calculation expressions as data.
•Example 1: To determine o of the following data (
oo
oo
o
=
30.875
)
(SD Mode) Scl: 30; 2 DT: 27 DT: 32; 5 DT: o
*
*You do not need to specify the frequency when inputting a data item that
has a single occurrence.
•Example 2: To determine regression coefficients A, B, and C for the
following data (
A = 3, B = –2, C = 1
)
(REG (Quad) Mode) Scl: 3,6; 2 DT: 4,11 DT: 6,27; 2 DT: A^B^C
***
**A, B, and C are not variable names. They are regression coefficients.
uMemory Calculations
You can perform memory calculations in a program by inserting M+ and M–.
•Example: ... : 2 × 3 M+ : ...
uPercent Calculations
You can perform percent calculations in a program by inserting %.
•Example: ... : 250 + 280 % : ...
Note that you cannot perform percent calculations like the following in a
program: a × b%+, a × b%–.
uRnd
You can round a value by using Rnd in a program.
•Example: 1 ÷ 3 : Rnd: ...
xFrequency
30 2
27 1
32 5
xyFrequency
362
4111
6272

E-44
Statistical Data Memory and
Program Memory
The following shows how the calculator uses memory for storage of
statistical data and programs.
Statistical
Data
Programs
(a) Statistical data only
(256 bytes)
(b) Shared between statistical data
and programs (360 bytes)
(c) Shared between program management
and statistical data (24 bytes)
←
kStatistical Data
•Each x-data or y-data (for regression calculations) item and each
frequency value (other than 1) that you input uses up eight bytes of
memory.
Example: Inputting the following in the SD Mode uses 40 bytes of
memory: 30 A G 2 S 27 A G 1 S 32 A G 5 S
•The memory area indicated as (a) in the above illustration is exclusively
for statistical data items. Since this area has 256 bytes, it can contain up
to 32 individual (frequency = 1) x-data items (256 bytes 8 bytes per
data item = 32).
•When memory area (a) becomes full, statistical data items are stored in
the free space (space not being used for program storage) of memory
area (b), if there is any. If there are no programs currently stored in
memory, memory area (c) is also used to store statistical data items.
Memory areas (a), (b), and (c) have a total capacity of 640 bytes, so there
is enough total memory to store up to 80 individual (frequency = 1) x-data
items (640 bytes 8 bytes per data item = 80).
E-45
•Trying to input a data item that takes up more bytes than are currently
available in memory area (b) causes the message “Data Full” to appear on
the display. If this happens, you can press < 1 to select “EditOFF.”
Though this will allow you to input more statistical data items (and free up
memory area (b) for program storage), it also deletes the data items that
are currently stored in memory areas (a) and (b). Also, the data items you
input after pressing < 1 will not be saved. This means you will not be
able to view or edit individual data items after you input them.
•To input new statistical data when editing is turned off (EditOFF), press
A B 1
(Scl) < to delete statistical data currently stored in memory
and turn editing on (EditON). You will be able to input statistical data into
the statistical data area (a) and the program memory area (b) that does
not contain program data. You can also delete program data you no longer
need to free up space for further statistical data input.
kPrograms
• Each function you input into program memory takes up either one byte or
two bytes of memory, as shown below.
• 1-byte Functions: sin, cos, log, (, ), :, ^, A, B, C, 1, 2, Fix 3 etc.
• 2-byte Functions: Goto 1, Lbl 2 etc.
•Pressing e or r while a program is on the display causes the cursor to
jump one byte in the direction indicated by the arrow.
•Inputting the first program while there are no other programs in memory
causes 24 bytes of memory to be reserved automatically as a program
management area (area (c) on page 44).
•A newly input program is stored in free space (space not currently being
used for program storage or statistical data storage) that is available in the
program memory area (area (b) on page 44). All 360 bytes of the program
memory area are available for program storage when there is no statistical
data stored in the program memory area.

E-46
Technical Information
kWhen you have a problem......
If calculation results are not what you expect or if an error occurs, perform
the following steps.
1. Press A B 2(Mode) < to initialize all modes and settings.
2. Check the formula you are working with to confirm it is correct.
3. Enter the correct mode and try performing the calculation again.
If the above steps do not correct the problem, press the 5 key. The
calculator performs a self-check operation and deletes all data stored in
memory if any abnormality is detected. Make sure you always keep written
copies of all important data.
kError Messages
The calculator is locked up while an error message is on the display. Press
t to clear the error, or press e or r to display the calculation and
correct the problem. See “Error Locator” for details.
Math ERROR
•Causes
•Calculation result is outside the allowable calculation range.
•An attempt to perform a function calculation using a value that exceeds
the allowable input range.
•An attempt to perform an illogical operation (division by zero, etc.)
•Action
•Check your input values and make sure they are all within the allowable
ranges. Pay special attention to values in any memory areas you are
using.
Stack ERROR
•Cause
•The capacity of the numeric stack or operator stack is exceeded.
•Action
•Simplify the calculation. The numeric stack has 10 levels and the
operator stack has 24 levels.

E-47
•Divide your calculation into two or more separate parts.
Syntax ERROR
•Cause
•A calculation formula or program formula contains an error.
•There is a colon (:) or output command (^) at the end of the program.
•Action
•Press e or r to display the calculation with the cursor located at the
location of the error and make required corrections.
•Delete the colon (:) or output command (^) at the end of the program.
Arg ERROR
•Cause
•Improper use of an argument
•Action
•Press e or r to display the location of the cause of the error and make
required corrections.
Go ERROR
•Cause
•A Goto n command does not have a corresponding Lbl n label.
•Action
•Correctly input an Lbl n label that corresponds to the existing Goto n
command, or delete the Goto n command if it is not required.
kOrder of Operations
Calculations are performed in the following order of precedence.
1Coordinate transformation: Pol (x, y), Rec (r,
θ
)
Differentials: d/dx
Integrations: ∫dx
2Type A functions:
With these functions, the value is entered and then the function key is
pressed.
x3, x2, x1, x!, ° ’ ”
m, m1, m2, n

E-48
Angle unit conversions (DRG')
3Powers and roots: ^
(xy), x
4ab/c
5Abbreviated multiplication format in front of π, e (natural logarithm base),
memory name, or variable name: 2π, 3e, 5A, πA, etc.
6Type B functions:
With these functions, the function key is pressed and then the value is
entered.
, 3, log, In, ex, 10x, sin, cos, tan, sin1, cos1, tan1, sinh, cosh,
tanh, sinh1, cosh1, tanh1, (), d, h, b, o, Neg, Not, arg, Abs, Conjg
7Abbreviated multiplication format in front of Type B functions: 2 3, Alog2,
etc.
8Permutation and combination: nPr, nCr
∠
9,
0,
!,
@, G
#and
$xnor, xor, or
•Operations of the same precedence are performed from right to left.
exIn 120 → ex{In( 120)}
•Other operations are performed from left to right.
•Operations enclosed in parentheses are performed first.
•When a calculation contains an argument that is a negative number, the
negative number must be enclosed within parentheses. The negative sign
(–) is treated as a Type B function, so particular care is required when the
calculation includes a high-priority Type A function, or power or root
operations.
Example: ( –2)4 = 16
–24 = –16

E-49
Numeric Stack Command Stack
1
2
3
4
5
2
3
4
5
4
1
2
3
4
5
6
7
•Example:
12345
1 2 3 4 5 6 7
kStacks
This calculator uses memory areas, called “stacks,” to temporarily store
values (numeric stack) and commands (command stack) according to their
precedence during calculations. The numeric stack has 10 levels and the
command stack has 24 levels. A stack error (Stack ERROR) occurs
whenever you try to perform a calculation that is so complex that the
capacity of a stack is exceeded.
•Calculations are performed in sequence according to “Order of
Operations.” Commands and values are deleted from the stack as the
calculation is performed.

E-50
k Input Ranges
Internal digits: 12
Accuracy*: As a rule, accuracy is ±1 at the 10th digit.
Functions Input Range
DEG 0 x 4.4999999991010
sinxRAD 0 x 785398163.3
GRA 0 x 4.9999999991010
DEG 0 x 4.5000000081010
cosxRAD 0 x 785398164.9
GRA 0 x 5.0000000091010
DEG Same as sinx, except when x= (2n-1) 90.
tanxRAD Same as sinx, except when x= (2n-1) π/2.
GRA Same as sinx, except when x= (2n-1) 100.
sin–1x0 x 1
cos–1x
tan–1x0 x 9.9999999991099
sinhx0 x 230.2585092
coshx
sinh–1x0 x 4.9999999991099
cosh–1x1 x 4.9999999991099
tanhx0 x 9.9999999991099
tanh–1x0 x 9.99999999910–1
logx/lnx0 x 9.9999999991099
10x–9.9999999991099 x 99.99999999
ex–9.9999999991099 x 230.2585092
x0 x 1 10100
x2x 1 1050
1/xx 1 10100 ; x G 0
3xx 1 10100

E-51
Functions Input Range
x!0 x 69 (x is an integer)
nPr0 n 11010, 0 r n (n, r are integers)
1 {n!/(n–r)!} 110100
nCr0 n 11010, 0 r n (n, r are integers)
1 [n!/{r!(n–r)!}] 110100
Pol (x, y)x, y 9.9999999991049
(x2+y2) 9.9999999991099
Rec(r,
)0 r 9.9999999991099
θ: Same as sinx
a, b, c 110100
°’ ” 0 b, c
x110100
Decimal ↔ Sexagesimal Conversions
0°0°0° x 999999°59°
x0: –110100ylogx100
^(xy)x0: y0
x0: yn, (n, m are integers)
However: –110100 ylogx100
y0: x G 0, –1101001/x logy100
xyy0: x0
y0: x2n1, (n G 0; n is an integer)
However: –110100 1/x logy100
ab/c
x 11050
SD y 11050
(REG) n 110100
xn, yn, o, p : n G 0
xn–1, yn–1, A, B, r : n G 0, 1
Total of integer, numerator, and denominator must be 10
digits or less (including division marks).
m
2n+1
1
n

E-52
*For a single calculation, calculation error is ±1 at the 10th digit. (In the
case of exponential display, calculation error is ±1 at the last significant
digit.) Errors are cumulative in the case of consecutive calculations, which
can also cause them to become large. (This is also true of internal
consecutive calculations that are performed in the case of ^(xy), xy , x!,
3, nPr, nCr, etc.)
In the vicinity of a function’s singular point and point of inflection, errors
are cumulative and may become large.
Power Supply
The type of battery you should use depends on the model number of your
calculator.
fx-3650P
The TWO WAY POWER system actually has two power supplies: a solar
cell and a G13 Type (LR44) button battery. Normally, calculators equipped
with a solar cell alone can operate only when relatively bright light is
present. The TWO WAY POWER system, however, lets you continue to use
the calculator as long as there is enough light to read the display.
•Replacing the Battery
Either of the following symptoms indicates battery power is low, and that
the battery should be replaced.
•Display figures are dim and difficult to read in areas where there is little
light available.
•Nothing appears on the display when you press the 5 key.

E-53
•To replace the battery
1Remove the six screws that hold the back
cover in place and then remove the back
cover.
2Remove the old battery.
3Wipe off the sides of new battery with a dry,
soft cloth. Load it into the unit with the
positive k side facing up (so you can see it).
4Replace the back cover and secure it in place
with the six screws.
5Press 5 to turn power on. Be sure not to
skip this step.
fx-3950P
This calculator is powered by single G13 Type (LR44) button battery.
•Replacing the Battery
Dim figures on the display of the calculator indicate that battery power is
low. Continued use of the calculator when the battery is low can result in
improper operation. Replace the battery as soon as possible when display
figures become dim.
• To replace the battery
1Press A i to turn off power.
2Remove the screw that holds the battery
cover in place and then remove the battery
cover.
3Remove the old battery.
4Wipe off the sides of new battery with a dry,
soft cloth. Load it into the unit with the positive
k side facing up (so you can see it).
5Replace the battery cover and secure it in
place with the screw.
6Press 5 to turn power on.
Screw Screw
Screw

E-54
Auto Power Off
Calculator power automatically turns off if you do not perform any operation
for about six minutes. When this happens, press 5 to turn power back on.
Specifications
Power Supply:
fx-3950P: Single G13 Type button battery (LR44)
fx-3650P: Solar cell and a single G13 Type button battery (LR44)
Battery Life:
fx-3950P: Approximately 9,000 hours continuous display of flashing
cursor.
Approximately 3 years when left with power turned off.
fx-3650P: Approximately 3 years (1 hour use per day).
Dimensions: 11.8 (H) 80 (W) 159 (D) mm
7/16⬙ (H) 31/8⬙ (W) 61/4⬙ (D)
Weight: 100 g (3.5 oz) including battery
Power Consumption: 0.0002 W
Operating Temperature: 0°C to 40°C (32°F to 104°F)

A-1
Practical Examples/Ejemplos prácticos
kProgram Library kBiblioteca de programas
Problem: Quadratic Equation
Create a program that solves the quadratic equation ax2 + bx + c = 0 for x,
when values are provided for a, b, and c.
Problema: Ecuación cuadrática
Crear un programa que resuelva la ecuación cuadrática ax2 + bx + c = 0
para x, cuando se proporcionan valores para a, b y c.
x = (–b ± b2 – 4ac)/2a (b2 – 4ac > 0)
Program
Press F F F 1 to display the Edit Prog screen. Input a value from 1 to
4 to select a program number (P1 through P4), and then input the program
below.
Programa
Presione F F F 1 para visualizar la pantalla Edit Prog. Ingrese un
valor de 1 a 4 para seleccionar un número de programa (P1 a P4), y luego
ingrese el programa siguiente.
Lbl 0: ? → A: ? → B: ? → C: Bx2 – 4AC → D: D = 0 S Goto 1: D > 0 S
Goto 2: Goto 0: Lbl 2: (– B – √
–
D) ÷ (2A) → X: X ^Lbl 1: (– B + √
–
D) ÷ (2A)
→ X: X

A-2
Program Execution / Ejecución de programa
Display / Presentación Operation / Operación
> 1(Example: Program P1)
(Ejemplo: Programa P1)
A? 2 <
B? D 7 <
C? 6 <
X = 1.5 <
(Value appears in line 2 of display.)
(El valor aparece en la línea 2 de la
presentación.)
X = 2
(Value appears in line 2 of display.)
(El valor aparece en la línea 2 de la
presentación.)

A-3
Problem: Solution of a Triangle when Two Sides and Their Angle are
Known
Problema: Solución de un triángulo cuando se conocen dos lados y su
ángulo.
Create a program that calculates the remaining side and two angles of a
triangle when the length of two sides (a, b) and the angle they form (
γ
) are
known.
Crear un programa que calcule el lado restante y dos ángulos de un
triángulo, cuando se conocen la longitud de los dos lados (a y b) y el
ángulo que forman (
γ
).
Program
Press F F F 1 to display the Edit Prog screen. Input a value from 1 to
4 to select a program number (P1 through P4), and then input the program
below.
Programa
Presione F F F 1 para visualizar la pantalla Edit Prog. Ingrese un
valor de 1 a 4 para seleccionar un número de programa (P1 a P4), y luego
ingrese el programa siguiente.
Deg: ? → A: ? → B: ? → D: A × B × sin D ÷ 2^ Ans → X: ( A x2 + B x2 –
cos D × 2 × A × B) → C^ sin–1 (X × 2 ÷ B ÷ C) → Y: Y > 90 S Bx2 + Cx2 >
Ax2 S Y – 90 → Y: 90 > Y S Ax2 > Bx2 + Cx2 S Y + 90 → Y: Y^ 180 – Y –
D
γ
a
S
β
α
c
b
65°41' 23"
67°58' 1.54" 46°20' 35.46"
32
40.30827888
41
S = 597.8321153
S = bc sin
1
2
α
cos =
2bc
b
2
+ c
2
– a
2
α

A-4
Program Execution / Ejecución de programa
Display / Presentación Operation / Operación
> 2(Example: Program P2)
(Ejemplo: Programa P2)
A? 32 <
B? 41 <
D? 65 I 41 I 23 I <
597.8321153 (Area)/(Area) <
40.30827888 (Length of side c)<
(Longitud de lado c)
46.34318362 (Angle
α
)/(Angulo
α
)A O
46°20°35.46 <
67.96709416 (Angle
β
)/(Angulo
β
)A O
67°58°1.54
Note
•The conditional jump in the latter part of the program performs a process
that determines whether angle
α
is an acute angle or an obtuse angle.
First it checks whether the sum of the squares of side b and side c, which
form angle
α
, is greater than or less than the square of side a. That way it
can tell if angle
α
is an acute angle or an obtuse angle. Next, it uses the
formula S = to determine whether the result matches the
value calculated for
α
. If it does not match, it changes the value of
α
to
an acute angle if it is currently an obtuse angle, or to an obtuse angle if it
is currently an acute angle.
Nota
•El salto condicional en la parte posterior del programa realiza un proceso
que determina si un ángulo
α
es un ángulo agudo o un ángulo obtuso.
Primero verifica si la suma de los cuadrados del lado b y lado c, que
forman el ángulo
α
, es mayor o menor que el cuadrado del lado a. De
esta manera puede indicar si un ángulo
α
es un ángulo agudo o un
ángulo obtuso. Luego, utiliza la fórmula S = para determinar
si el resultado coincide con el valor calculado para
α
. Si no coincide,
cambia el valor de
α
a un ángulo agudo si actualmente es un ángulo
obtuso, o a un ángulo obtuso si actualmente es un ángulo agudo.
1
–– bc sin α
2
1
–– bc sen α
2

SA0207-C Printed in China
RCA 500003-001V01
CASIO COMPUTER CO., LTD.
6-2, Hon-machi 1-chome
Shibuya-ku, Tokyo 151-8543, Japan