Casio FC 100V_FC 200V 100V TW
User Manual: Casio FC-100V_FC-200V FC-100V, FC-200V | 計算機 | 說明書 | CASIO
Open the PDF directly: View PDF
.
Page Count: 144 [warning: Documents this large are best viewed by clicking the View PDF Link!]

E-1
●本使用手冊包括CASIO FC-200V和FC-100V型號計算
機的使用和操作說明,除非另外註明「只適用於FC-
200V」部份之外,否則這兩款機型的操作方法皆相
同。
●按鍵符號代表按鍵輸入之內容或執行功能。
例如:、、、、等。
●先按下 或 鍵,再按下欲操作之按鍵,即可執行
該鍵的第二功能。所謂的按鍵的第二功能是指位於按鍵
上方文字所表示之功能。
●在本使用手冊中,按鍵 操作以 表示,
按鍵 操作以 表示。
●本使用手冊中,按鍵第二功能的操作法如下所示。
範例: (S-MENU)
表示要使用這個功能,需按下前面兩個按鍵( )。
注意,這只是舉例說明,並非實際操作方式。
1 2 + -
AC
CTLG
按鍵主功能
按鍵第二功能
VARS Y
SHIFT ALPHA
●下表顯示按鍵第二功能文字顏色所代表的意義。
按鍵文字顏色 代表意義
黃色 按下 鍵再按下該按鍵即可執行
此功能
紅色 按下 鍵再按下該按鍵即可輸入
該變數或常數
SHIFT
ALPHA
SHIFT
SHIFT
ALPHA
ALPHA
SHIFT STAT
SHIFT STAT

E-2
●以下範例顯示本使用手冊中如何從畫面清單來選擇項
目。
範例: (1-VAR)
代表由括弧之前的數字按鍵來選擇此一清單選項
功能。注意,這只是舉例說明,並非實際操作方
式。
●如圖所示,方向鍵以四個箭頭來標示
,代表行進方向。在本使用手冊中,
方向鍵操作以下列圖示表示 、
和。
在本手冊中,有些範例會預先設定角度單位,此時會以下
列圖示表示。
:角度
:弧度
●本使用手冊的內容與圖示(例如按鍵符號)僅供舉例說
明,與實際情況可能不同。
●本使用手冊內容若有變更,恕不另行通知。
●無論任何情形,任何人因購買或使用本產品及其配件,
而遭受直接或間接之意外或連帶損害時,台灣卡西歐立
信股份有限公司皆不負任何責任。此外,任何第三者因
使用本產品及其配件,遭受損害而要求法律賠償時,台
灣卡西歐立信股份有限公司亦概不負責。
1
Deg
Rad

E-3
若您想進行計算機初始化,回復出廠時預設的計算模式與
設定,請依下列步驟操作。請注意,此項操作也會清除計
算機記憶體中的所有資料數據。
1. (CLR)
2. 「ALL:EXE「( ),然後按 鍵。
3. (Yes)
4.
●如果您要取消初始化步驟,請不要按 (Yes),改按
(Cancel)。
( )
Calculation Mode COMP
( )
Paymen End
Date Mode 365
dn CI
Periods/Y Annual(只限FC-200V)
Bond Date Date(只限FC-200V)
Date Input MDY
PRF/Ratio PRF(只限FC-200V)
B-Even Quantity(只限FC-200V)
Digit Sep. Off
Angle Deg
Display Digits Norm1
STAT Off
●有關記憶功能部分的說明,請參照E-34頁的「計算機之
記憶功能」。
●有關快速鍵設定的說明,請參照E-92頁的「快速鍵」。
9
ON
AC
SHIFT
EXE
EXE
EXE
ESC

E-4
使用本計算機前,請務必詳讀下列安全注意事項。閱讀
後,請將手冊收藏好,以備不時之需。
這個符號表示,若忽略此步驟,可能導致人員受傷或
財務損失。
●取出電池後,請放置在安全之處,避免兒童誤取,
意外吞食。
●慎防兒童誤取,如果有發生意外吞食狀況時,請立
即向醫生求助。
●請勿充電、分解、或使其短路,亦勿接觸高熱;廢
電池請勿燃燒。
●使用方式錯誤可能導致漏液,損壞周圍零件,因而
造成火災或人員受傷。
●計算機安裝電池時,請確認正極 +與負極 -位置
是否正確。
●計算機若長時間不使用,請將電池取出。
●請使用本手冊中所指定的電池規格。
●請勿燃燒廢電池。電池經燃燒可能會爆炸,導致火
災或人員受傷。

E-5
●第一次使用計算機時,請記得先按 鍵。
●即使計算機仍能正常操作,也請至少每三年(FC-200V)
或兩年(FC-100V)更換一次電池。
電池沒電後會出現漏液現象,以致造成計算機故障或損
壞,所以電池沒電後,請務必取出。
●隨機所附的電池,可能已在運送或庫存過程中耗費部分
電力,因此可能需要較快更換電池。
●若電池電力不足,記憶內容可能會損壞,或者完全流
失。重要資料請務必以書面保存。
●避免在溫差極大的區域使用或存放計算機。
極低溫可能會導致螢幕顯示緩慢,或者完全無法顯示,
以致縮短電池壽命。也請避免將計算機置放於直接日照
之處、窗戶旁、暖氣附近、或暴露於高溫之處。高熱會
導致計算機外殼變色或變形,並損壞內部電路。
●避免在充滿濕氣或灰塵之處使用或存放計算機。
請勿將計算機置放在會被水花濺濕的地方,或是暴露於
充滿濕氣或灰塵之處,否則可能導致內部電路受損。
●請避免計算機摔落或受到強烈撞擊。
●請勿扭轉或折彎計算機。
請勿將計算機放在褲子等緊身衣物的口袋內,以免計算
機扭斷或折裂。
●請勿自行拆解計算機。
●請勿以原子筆尖等尖銳物按壓按鍵。
●可使用柔軟的濕布擦拭外殼。
若計算機外殼變髒時,請在清水中加入少量家用中性溫
和清潔劑,以軟布沾取後充分扭乾,擦拭外殼。請勿使
用稀釋劑、苯或其他揮發性溶劑,否則可能抹去表面的
印刷字體,損傷外殼。
ON

E-6
關於本手冊 1
初始化計算機 3
安全注意事項 4
使用注意事項 5
使用計算機前 9
■取下外殼 9
■電源的開與關 9
■調整螢幕亮度對比 9
■關於螢幕顯示 10
■螢幕圖示說明 10
計算模式與計算機之設定 12
■計算模式 12
■使用螢幕設定 12
輸入算式與數值 22
■使用標準格式輸入計算式 22
■修正算式 24
■顯示錯誤的位置 26
基本計算 27
■算術計算 27
■百分數計算 28
使用多重算式計算 31
使用計算過程記憶與重算功能 32
計算機之記憶功能 34
■答案記憶功能(Ans)34
■獨立記憶功能(M)36
■變數項(A, B, C, D, X, Y)37
■財務計算變數(VARS)39
■清除記憶內容 40

E-7
財務計算 41
■單利模式 41
■複利模式 43
■現金流量模式 49
■分期繳款模式 54
■轉換模式 58
■成本/銷售/利潤模式 60
■日數計算模式 63
■折舊模式(只限FC-200V)65
■債券模式(只限FC-200V)70
■損益平衡模式(只限FC-200V)77
■損益平衡子模式(損益平衡模式1)77
■安全邊際模式(損益平衡模式2)81
■營業槓桿度子模式(損益平衡模式3)83
■財務槓桿度子模式(損益平衡模式4)85
■綜合槓桿度子模式(損益平衡模式5)87
■數量轉換子模式(損益平衡模式6)89
快速鍵 92
■自訂快速鍵 92
■函數快速鍵 94
函數運算 96
■Pi(π)與自然對數底數e96
■三角函數與反三角函數 96
■雙曲函數與反雙曲函數 97
■轉換輸入值為計算機預設角度單位 97
■指數函數與對數函數 98
■乘方函數與乘方根函數 99
■直角極座標換算 101
■其他函數 102

E-8
統計運算 106
■統計運算類型 106
■輸入樣本資料 106
■STAT計算畫面 109
■使用STAT選單 110
技術資料 132
■計算優先順序 132
■堆疊限制 134
■計算範圍、位數和精確度 135
■特殊財務計算錯誤訊息 137
■錯誤訊息 138
■在認定計算機故障之前 140
參考資料 141
■電源規格與電池更換 141
技術規格 144

◆取下外殼
如下圖所示,使用計算機前,請將硬殼向下滑推,取下硬
殼,再將硬殼置於背面。
◆電源的開與關
●按下 鍵可打開電源。
●按下 (OFF)可關閉電源。
◆調整螢幕亮度對比
1. 按下
2. 按下 選擇「CONTRAST:EXE」,再按 。
此時即可調整螢幕亮度對比。按下 和 即可調整螢
幕對比,調整至您所需的對比度後,再按 。
重要!
若調整對比度後,螢幕仍無法清楚顯示,可能是因為電池
沒電,請更換電池。
E-9
ON
AC
SHIFT
SETUP
EXE
ESC

◆關於螢幕顯示
本螢幕為31(dot)×96(dot)的液晶螢幕。
範例:
◆螢幕圖示說明
顯示範例: STAT
圖示 意義 頁數
E-10
已按下 鍵,按鍵功能即轉換為第二
功能。按下其他按鍵,即可恢復主要功
能,圖示也會立即消失。
E-1
E-36
E-37
E-92
E-36
已按下 鍵,進入alpha輸入模式。
按下其他按鍵即可退出alpha輸入模式,
圖示也會立即消失。
D
SHIFT
ALPHA
獨立記憶體中存有一個數值。
計算機正等待輸入變數名稱,以指定該
變數的數值。按下 (STO)即可
出現此圖示。
計算機正等待輸入變數名稱,以叫出變
數值。按下 後即可出現此圖示。
SHIFT
RCL
RCL
S
A
M
STO
RCL
輸入算式
計算結果
財務計算模式

E-11
計算機正處於STAT模式 E-108
E-14
一年以三百六十天計
單數(部分)月份單利計算
日期顯示模式為日、月、年(DMY)
STAT
360
SI
DMY
FIX
SCI
▼▲
預設角度單位為度
圖示 意義 頁數
D
預設角度單位為弧度
R
預設角度單位為梯度
小數位數固定
有效位數固定
可叫出計算過程,或螢幕上下還有的數
字
顯示多重算式的中間結果
G
DISP
E-32
E-31
重要!
若計算過程十分複雜,或許要花費較長的時間,螢幕可能
只顯示出上述圖示(而沒有數值),此時表示計算機內部
正在進行運算。

◆計算模式
計算類型 按鍵 頁數:
單利計算 E-42
複利計算 E-44
現金流量計算 E-50
分期繳款計算 E-55
一般及函數計算 E-28
E-98
統計與迴歸計算 E-108
利率轉換計算 E-59
成本、售價、利潤計算 E-61
日數或日期計算 E-64
貶值(折舊)計算(限FC-200V) E-66
購買價格與年收益率計算(限FC-200V) E-71
損益平衡點計算(限FC-200V) E-78
E-12
◆使用螢幕設定
使用螢幕設定,您可以設定計算環境與螢幕,也可以調整
螢幕對比。
SMPL
CMPD
CASH
AMRT
COMP
STAT
CNVR
COST
DAYS
DEPR
BOND
BEVN

E-13
■顯示設定畫面
有兩個方法可以顯示設定畫面:
●按下 鍵。
●進入模式清單後,在清單中選
擇「Set:」。
以下是上述操作中,您需要用
來進入與使用設定畫面的詳細
步驟。
重要!
在本手冊的所有操作範例步驟中,都使用 鍵來顯示設定
畫面。
使用 鍵顯示設定畫面
1. 按下 鍵
此時螢幕會顯示設定項目的選單
●欲參考完整的選單選項,請翻至E-14頁「調整畫面設
定」。
2. 使用 鍵選擇要變更的設定選項,然後按 。
此時螢幕即會出現設定畫面。
3. 調整至您想要的設定
●您可以使用方向鍵選擇設定項目,選定後按 ,也
可以直接輸入該選項的號碼。
●欲參考每個項目的設定,請翻至E-15「調整設定」。
從模式清單中選擇「Set:」顯示設定畫面。
重要!
只有在進入某些模式,初始畫面清單中有「Set:」項目
時,以下的操作步驟才有效。並非每個模式都會出現這個
選項。
SETUP
SETUP
SETUP
EXE
EXE
SETUP

E-14
1.進入某個模式後,在初始畫面清單上使用 選擇
「Set:」,接著按 。
●此時會出現設定畫面,但僅供目前的模式使用。每個
模式的設定畫面均不同。
2.使用 選擇想要變更的設定項目,也可以直接輸
入設定選項的號碼。
●請參閱以下「調整畫面設定」表格,瞭解每項設定的
內容。
■調整畫面設定
號碼 畫面設定項目 內容 頁數
1 Payment 支付日(頭期 / 尾期) E-15
2 Date Mode 一年的天數 E-15
3dn 奇數期利息計算 E-15
4 Periods/Y 每年支付期數 E-16
5 Bond Date 息票數目或日期之支付明細 E-16
6 Date Input 日期格式 E-16
7 PRF/Ratio 利益或利益率明細 E-17
8 B-Even 銷售量或營業額明細 E-17
9 Digit Sep. 三位數分隔符號 E-18
10 Angle 角度單位 E-18
11 Fix 小數位數 E-19
12 Sci 有效位數 E-19
13 Norm 指數形式的數值範圍 E-20
14 STAT 統計顯示 E-20
15 CONTRAST 對比調整 E-21
EXE

E-15
■調整設定
1 Payment (支付):複利(CMPD)模式、分期支付
(AMRT)模式。
本項可設定支付日期
1:Begin 頭期支付
2:End 尾期支付
1. 使用 選擇
「Payment」,再按下 。
2. 按下 1 (1:Begin)或2
(2:End)選擇您想要的設定。
●您也可以使用 選擇設定,再按下 。
2 Date Mode(日期模式):單利(SMPL)模式、日數計
算(DAYS)模式、債券
(BOND)模式(限FC-200V)
本項可設定一年的天數
1:360 三百六十天
2:365 三百六十五天
1. 使用 選擇「Date
Mode」,再按下 。
2. 按1 (1:360)或2 (2:365)
選擇您所要的設定。
●您也可以使用 選擇設定,再按下 。
3 dn:複利(CMPD)模式
本項可設定奇數(部分)月的利息計算方式為單利或複利
1:CI 複利
2:SI 單利
1. 使用 選擇「dn」,
再按下 。
EXE
EXE
EXE
EXE
EXE

E-16
2. 按下 1(1:CI)或 2 (2:SI)選擇您所要的設定。
●您也可以使用 選擇設定,再按下 。
4 Periods/Y(每年支付期數):債券(BOND)模式(只
限FC-200V)
本項可設定債券利息的支付為一年一次(Annual)或半
年一次(Semi-Annual)。
1.Annual 每年支付一次債券利息
2.Semi 每六個月支付一次債券利息
1. 使用 選擇
「Periods/Y」,再按下 。
2. 按1(1:Annual)或 2
(2:Semi)選擇您所要的設定。
●您也可以使用 選擇設定,再按下 。
5 Bond Date(債券日期):債券(BOND)模式(只限
FC-200V)
本項可設定計算債券利息的基準為日期(Date)或是期數
(Term)。
1.Date 日期
2.Term 期數
1. 使用 選擇「Bond
Date」,再按下 。
2. 按1(1:Date)或 2
(2:Term)選擇您所要的設定。
●您也可以使用 選擇設定,再按下 。
6 Date Input(日期輸入):日數計算(DAYS)模式、債
券(BOND)模式(只限FC-
200V)
EXE
EXE
EXE
EXE
EXE

E-17
本項可設定日期模式為月日年(MDY)或日月
年(DMY)。
1.MDY 月、日、年,如06012006(2006年6月1日)
2.DMY 日、月、年,如01062006(2006年6月1日)
1. 使用 選擇「Date
Input」,再按下 。
2. 按1(1:MDY)或 2
(2:DMY)選擇您所要的設定。
●您也可以使用 選擇設定,再按下 。
7 PRF/Ratio(利益/利益率):損益平衡點計算(BEV)損
益平衡子模式(BEVN)
FC-200V)
本項可設定使用利益(PRF)或利益率(r %),來計算損
益平衡點。
1.PRF 利益
2. r %利益率
1. 使用 選擇
「PRF/Ratio」,再按下 。
2. 按1(1:PRF)或 2 (2: r %)
選擇您所要的設定。
●您也可以使用 選擇設定,再按下 。
8 B-Even:損益平衡點計算(BEV)損益平衡子模式
(BEVN)(限FC-200V)
本項可設定利用銷售量(Quantity)或營業額(Sales),
來計算損益平衡點。
1.Quantity 銷售量
2.Sales 營業額
EXE
EXE
EXE
EXE
(限

E-18
1. 使用 選擇「B-Even」
,再按下 。
2.按1(1:Quantity)或 2
(2:Sales)選擇您所要的設定。
●您也可以使用 選擇設定,再按下 。
9 Digit Sep.:除了STAT模式和COMP模式以外的所有
模式
本項可設定使用何種的千位數分隔符號。請注意,如果您
以12 Sci設定了有效位數,就不會顯示千位數分隔符
號。
1:Superscript 上標點123'456
2:Subscript 下標點123'456
3:Off 取消分隔符號123456
1. 使用 選擇「Digit
Sep」,再按下 。
2. 按1(1:Superscript)、 2
(2:Subscript)或 3(3:Off)
選擇所要的設定。
●您也可以使用 選擇設定,再按下 。
10 Angle:所有模式
本項可設定三角函數的角度單位。
90°= radians = 100 grads
1:Deg Degrees(度)
2:Rad Radians(弧度)
3:Gra Grads(梯度)
1. 使用 選擇
「Angle」,再按下 。
EXE
EXE
EXE
EXE
EXE
π
2

E-19
2. 按1(1:Deg)、 2(2:Rad)或 3(3:Gra)選擇所要
的設定。
●您也可以使用 選擇設定,再按下 。
11 Fix:所有模式
本項可設定小數位數,計算結果會採四捨五入方式,再以
指定的小數位數顯示。
●更動這項設定後,會自動取消任何之前在 12 Sci和13
Norm所做的設定。
●設定小數位數的方式為輸入從 0(四捨五入後成整數)
到9(九位小數)的數字。
1. 使用 選擇「Fix」,
再按下 。
2. 輸入從 0 到9 的一個數字,指定小數位數。
範例:100 ÷7= 14.286 (Fix 3)
= 14.29 (Fix 2)
12 Sci:所有模式
本項可設定有效位數。計算結果會採四捨五入方式,再以
指定的位數顯示。
●更動這項設定後,會自動取消任何之前在 11 Fix和13
Norm所做的設定。
●有效位數可為1位有效數字(輸入1)至10位有效數字
(輸入10)。
1. 使用 選擇「Sci」,
再按下 。
2. 輸入從 0 到9 的一個數字,指定有效位數。
範例:10 ÷7= 1.4286 ×10°(Sci 5)
= 1.429 ×10°(Sci 4)
EXE
EXE
EXE

E-20
13 Norm:所有模式
本項可設定數值的範圍,決定何時需以指數形式顯示數值。
●更動這項設定會自動取消任何之前在 11 Fix和12 Sci
所做的設定。
Norm1: 10-2 >∣x∣,∣x∣≧ 1010
Norm2: 10-9 >∣x∣,∣x∣≧ 1010
範例:1 ÷200 = 5 ×10-3 (Norm1)
= 0.005 (Nrom2)
1. 使用 選擇「Norm」,
再按下 。
2. 按1 (Norm1)或2 (Norm2)。
14 STAT:統計(STAT)模式、現金流量(CASH)模
式
本項可設定在STAT Mode DataEditor中是否包含頻率
(FREQ)欄位。
●現金流量(CASH)模式與STAT模式使用相同的
DataEditor(數據編輯器);若顯示頻率(Frequency)
欄位,投資評估時所輸入的數據項目便會減少。
1:On 顯示頻率(FREQ)欄位
2:Off 關閉頻率(FREQ)欄位
1. 使用 選擇「STAT」,再按下 。
2. 按1 (1:On)或2 (2:Off)選擇您所要的設定。
●您也可以使用 選
擇設定,再按下 。
重要!
●本操作會清除DataEditor(數據編輯器)的資料。請注
意,即使您所選擇的FREQ欄位顯示狀態與原有的設定
相同,一樣會清除資料,例如在FREQ欄位顯示開啟時
選擇「On」,即會清除DataEditor的資料。
EXE
EXE
EXE

E-21
15 CONTRAST(顯示對比):所有模式皆
可調整螢幕對比,把畫面調亮或調暗。
1.使用 選擇
「CONTRAST」,再按下 。
2.使用 和 調整顯示對比。
3.按下 。
●設定螢幕時,無法使用畫面右上方的游標。
■初始化螢幕設定
1. (CLR)
2. 「Setup:EXE」( ),再按下
3. (Yes)
4.
●如欲取消初始化設定,請直接按 (Cancel),不要
按(Yes)。
●初始化螢幕設定後,會自動進入COMP模式。
EXE
ESC
9
ON
AC
SHIFT
EXE
EXE
ESC
EXE

E-22
◆使用標準格式輸入運算式
您只要像紙筆計算一樣輸入算式,再按下 鍵即可執行
計算,本計算機能自動判定加、減、乘、除、函數、括號
等計算的優先順序。
範例:2 ( 5 + 4 ) –2 ×( -3 ) =
■輸入一般函數
輸入下列函數時,計算機會自動加入一左圓括號 ((),您
必須輸入參數與右圓括號 ())。
範例:sin 30 =
1.
2."sin(" ( ),再按下
3.
●有些常用函數也可直接以按鍵輸入。
範例:sin 30 =
1. (sin)
2.
2(5+4)-
2×
(-)
3
EXE
)
3 0
EXE
)
3 0
EXE
EXE
Deg
SHIFT
1
CTLG
EXE

E-23
■省略乘號
下列情況中,可以省略輸入乘號(×)。
●在左開括弧之前( ):如2 ×( 5 + 4 )等。
●在一般函數前:如 2 ×sin(30)、2 × √(3)等。
●在變數名稱、常數或隨機亂數之前:如 20 ×A、2 ×
π等。
■結尾右關括弧
算式結尾的右括弧可以不必輸入,只需直接按下 鍵即
可。如需更多細節,請參閱E-28頁「省略算式結尾右括
弧」。
■顯示長算式
螢幕最多可顯示14個字元,輸入第15個字元時,計算式
會整個向左移。此時 指標會出現在計算式的左邊,表
示算式跑出左邊的螢幕了。
輸入算式: 1111 + 2222 + 3333 + 4444
部分顯示:
●若螢幕顯示 符號,您可以按 鍵使螢幕向左捲動,
觀看被隱藏的內容;此時算式右邊會出現 指標,您
可以使用 鍵捲回之前的畫面。
■輸入的字元數目(位元)
●單一算式中,最多可輸入99個位元的資料,基本上,
每按一個按鍵就會用掉一個位元,但如果是輸入需按兩
次按鍵的函數(例如 (sin))時,也只算用掉一
個位元。
(
游標
▲
▲
SHIFT
1
EXE
▲

E-24
●通常輸入游標不是垂直(▎)就是水平(▂)的閃爍線
條;但如果算式中的輸入位元空間只剩10個以下,游
標會變成 ▊,此時請您儘快結束算式,計算結果。
◆修正算式
本節說明如何修正您輸入的算式。您所採用的步驟,要看
您的輸入模式是使用插入(Insert)或複寫(Overwrite)而
定。
■關於插入及複寫輸入模式
在插入(Insert)模式中,輸入新字元時,螢幕上顯示的字
元會向左移,以容納新增的字元。在複寫(Overwrite)模式
中,任何輸入的新增字元都會覆蓋游標位置中原有的字
元。
●選擇插入模式,游標為垂直閃爍線條(▎);選擇複寫
模式,游標為水平閃爍線條(▂)。
●原廠預設為插入模式,您可以按 (INS)來切換
插入模式與複寫模式。
■變更您剛剛輸入的字元或函數
範例:更正算式 369 ×13 為369 ×12
3 6 9×1 3
2
DEL
SHIFT
DEL

E-25
■刪除字元或函數
範例:更正算式 369 ××12 為369 ×12
插入模式:
複寫模式:
■更正計算式函數
範例:更正 cos(60) 為sin(60)
插入模式:
複寫模式:
3 6 9×× 1 2
DEL
3 6 9×× 1 2
DEL
(cos)
(sin)
SHIFT
260)
SHIFT
1
(cos)
(sin)
SHIFT
260)
SHIFT
1
DEL

E-26
■在計算式中插入字元
請務必使用插入模式,使用 或 移動游標至您要插
入字元的位置,然後輸入字元。
◆顯示錯誤的位置
如果您按下 後出現錯誤訊息(例如「Math ERROR」
或「Syntax ERROR」),請按 或 ,即會顯示算式
出現錯誤的部分,游標也會跳至錯誤的部分,您即可依需
要做出更正。
範例:欲輸入 14 ÷10 ×2 = ,卻誤輸入為 14 ÷0 ×2
=
插入模式:
您也可以按 直接清除該算式,離開錯誤畫面。
EXE
這裡導致錯誤發生
1 4 ÷×
0 2
EXE
EXE
按或
1
AC

E-27
本節說明如何執行算術計算與百分比計算。
本節中所有計算都是在COMP模式下( )執行。
◆算術計算
使用 、 、 和 鍵執行算術計算。
範例: 7 ×8 -4 ×5 = 36
●計算機會自動判別計算的優先順序。如需更多資訊,請
參閱E-134頁「計算優先順序」一節。
■小數位數與有效位數
您可以指定計算結果的小數位數與有效位數。
範例:1 ÷6 =
出廠預設設定(Norm1)
三位小數位數(Fix3)
三位有效位數(Sci3)
●如需更多資訊,請參閱E-15頁「調整設定」一節。
COMP
+ - × ÷
FIX
SCI
7×84
- × 5
EXE

E-28
■省略算式結尾的右括弧
在算式結尾處,您可以省略輸入右括弧()),直接按下
執行鍵即可。
範例: ( 2 + 3 ) ×( 4 -1 ) = 15
◆百分比計算
範例1:2% = 0.02
範例2:150 ×20% = 30
範例3:計算880的百分之多少等於660
範例4:計算2500增加15%是多少
(23
+)×
15×
0 2 0
(-
4 1
EXE
2(
SHIFT
EXE
(%)
(
SHIFT
EXE
(%)
66 08
÷8 0
(
SHIFT
EXE
(%)
205 0 +
205 0 ×
(
SHIFT
EXE
(%)
15
EXE

E-29
範例5:計算3500扣除25%後是多少
範例6:計算168、98和734加總後再扣除20%是多少
範例7:原重500克的樣品中加入300克,重量增加了百分
之多少?
範例8:一數值從40增加為46,增加了百分之多少?若增
加為48呢?
插入模式:
305 0 -
305 0 ×
(
SHIFT
EXE
(%)
(
SHIFT
EXE
(%)
25
61 89
+8+
EXE
37 4
-×
ANS
2 0
03 05
+0 0
●
SHIFT
(⊿%)
4-
6 4 0
●
SHIFT
(⊿%)
DEL
8
EXE

E-30
範例9:若進價為$480,售價利潤率為25%,請算出售價
與利潤。
範例10:若進價為$130,折損率為4%,試算出優惠價與
損失金額。
84 ×
0 2 5
●
SHIFT
(⊿%)
84 ÷
0 2 5
●
SHIFT
(⊿%)
31 ×
0
(-)
4
31 ÷
0
(-)
4
●
SHIFT
(⊿%)
●
SHIFT
(⊿%)

E-31
您可以使用冒號(:)來連接兩個以上的算式,再按下
,以從左到右的順序計算。
範例:建立一多重算式,執行下列兩項計算: 3 + 3 與3
×3
插入模式:
1.
2.
3. ":" ( ),再按
4.
「Disp」表示此為多重算式的一個結果
EXE
EXE
EXE
EXE
+
3 3
×
3 3
CTLG

E-32
計算過程記憶功能可保留您每個輸入及執行的算式與結
果。
你只能在COMP模式( )下使用計算過程記憶功能。
■叫出計算過程記憶內容
按下 可一步步回溯計算過程記憶內容。計算過程記憶
功能可顯示算式與答案。
範例:
●請注意,若關機、按下鍵、變更模式或執行「初始化計
算機」(E-3頁)或「初始化螢幕設定」(E-21頁)等,
即會清除計算過程之記憶內容。
●計算過程之記憶容量是有限的,若您所執行的計算內容
超出了記憶容量,即會自動刪除最舊的記憶內容,以騰
出記憶空間,容納新的計算內容。
COMP
EXE
+
1 1
EXE
+
2 2
EXE
+
3 3

E-33
■重算功能
計算結果顯示於螢幕後,您可以按下 或 鍵,重新
編輯算式內容。
範例:4 ×3 + 2.5 = 14.5
4 ×3 - 7.1 = 4.9
×
4+
3 2 5
●
EXE
-7 1
●
EXE
AC
DELDELDELDEL

E-34
記憶功能 名稱說明
答案記憶 儲存最後一組計算結果
獨立記憶項 計算結果可與獨立記憶項內容相加或相減,
螢幕上顯示的「M」代表獨立記憶項的資料
變數項 共有六個變數項:A、B、C、D、X和Y,
可儲存個別的數值
VARS 以下為用於財務計算的變數項:n、I%、
PV、PMT、FV、P/Y、C/Y、PM1、
PM2、Dys
本節使用COMP模式( )來示範如何使用記憶功能。
◆答案記憶功能(Ans)
■答案記憶功能概述
●您每次執行下列按鍵功能時,答案記憶內容即會更新:
、、、 (M-)、或
(STO)。答案記憶最多可容納至15位數。
●如果計算出現錯誤,答案記憶的內容不會有所變更。
●即使您按下 鍵,更改計算模式,或關閉計算機電
源,答案記憶中的內容都不會有所變更。
●若有不只一個答案(例如極座標計算時,在單利模式中
選擇「ALL:Solve」等),顯示在螢幕最上方的答案,即
是儲存於答案記憶中的答案。
COMP
EXE RCL RCL
SOLVE
M+ M+
SHIFT SHIFT
AC

E-35
■使用答案記憶功能執行一系列計算
範例:3 ×4 再除以 30
●上述的操作步驟中,您必須在完成第一次計算後馬上進
行第二次計算。如果您在按下 後想要叫出答案記憶
的內容,按下 即可。
■輸入答案記憶的內容至算式中
範例:執行下列計算
(繼續)
按 即自動輸入「Ans」指令
EXE
×
3 4
EXE
EXE
3
÷0
÷
AC
ANS
123 + 456 = 579 789 -579 = 210
21 34
+5 6
EXE
87 9
ANS
-

E-36
◆獨立記憶功能(M)
您可以將計算結果加入或減去獨立記憶項中的答案數據。
如果獨立記憶項中含有數值,螢幕上會出現「M」圖示。
■獨立記憶項功能概述
●以下概述獨立記憶項的操作功能。
●您也可以將財務計算的結果儲存在獨立記憶項內。
範例:在SMPL模式中,將SI數值儲存在獨立記憶項(M)
之中。
1. 進入SMPL模式進行單利計算(SI),如需更多資料,請
參閱E-41與E-42頁。
2. (STO)
3. 「SI」( ),再按 。
4. 「M:」( ),再按 。
5. (Yes)
●獨立記憶變數旁若出現符號 (#),代表已內含數據,可
執行下列步驟更新數據。
●若獨立記憶項內儲存的數值不為零,螢幕左上角即會出
現「M」圖示。
將螢幕上顯示出的計算
結果或數值與獨立記憶
項內容相加
記憶項內容減去螢幕上
顯示的計算結果或數值
叫出目前的獨立項記憶內容
將一數值或計算結果儲
存為獨立記憶項
1. (示範舉例)
2. (STO)
3. 「M:」( ),按
4. (Yes)
EXE
EXE
SHIFT
RCL
+
3 5
ALPHA
M+
(M)
SHIFT
M+
(M-)
M+
SHIFT
RCL
EXE
EXE
EXE
功能 按鍵操作

E-37
●即使您 按下鍵、更改計算模式,或關閉計算機電
源,也不會刪除獨立記憶項中的內容。
■使用獨立記憶項功能的計算範例
●如果螢幕上出現「M」字母圖示,請先執行「清除獨立
記憶內容」,再執行以下的範例計算。
範例:23 + 9 = 32
53–6 = 47
-〉45 ×2 = 90
99 ÷3 = 33
(總計) 22
■清除獨立記憶內容
1.
2. (STO)
3. "M:"( ),再按
4. (Yes)
●如此即可清除獨立記憶項內容,螢幕上的「M」標示也
就會消失了。
◆變數項(A, B, C, D, X, Y)
■變數項概述
●您可以將某個數值或計算結果設定為變數項。
範例:將3 + 5 的結果設定為變數A。
1.
2. (STO)
3. "A:"( ),再按
4. (Yes)
AC
+
32 9
M+
-
35 6
M+
×
54 2
÷
99 3
M+
SHIFT
M+
(M-)
ALPHA
M+
(M)
EXE
EXE
EXE
SHIFT
RCL
EXE
EXE
SHIFT
RCL
0
+
3 5

E-38
●若您想檢查某個變數內容,請執行下列步驟。
範例:叫出變數A
(A)
●以下說明如何將變數項納入計算式中。
範例:將變數A與變數B相乘
(A) (B)
●您也可以將財務計算數值設定為變數項。
範例:在CMPD模式中,將PMT數值設定為變數「A」。
1. CMPD模式:「PMT」
( )
2. (STO)
3. "A:"( ),再按
4. (Yes)
●若變數項旁出現 (#) 符號,代表該變數項已內含數據,
可執行下列步驟更新數據。
●即使您按下 鍵、更改計算模式,或關閉計算機電
源,仍然不會清除變數項。
範例: = 1.425
1.
2. (STO)
3. "B:"( ),再按
4. (Yes)
5.
6. (STO)
7. "C:"( ),再按
8. (Yes)
CNVR
ALPHA
CNVR
ALPHA
×
COST
ALPHA
EXE
EXE
EXE
EXE
EXE
EXE
EXE
SHIFT
RCL
AC
9×6+3
5×8
SHIFT
RCL
×
9 6 +3
SHIFT
RCL
×
5 8

E-39
9. (B)
(C)
◆財務計算變數(VARS)
●以下是財務計算變數項的名稱(VARS):
n、I%、PV、PMT、FV、P/Y、C/Y、PM1、PM2、
Dys
●財務變數項是在財務計算中用於儲存數值之用,關於每
個模式中要使用哪些變數項,請參閱介紹各模式的章
節。
●在COMP模式中,上述變數項為算術變數項,在說明
COMP模式的章節中,亦稱為算術變數項。
■在COMP模式中選擇財務計算變數項
1. 按(VARS)
2. 在出現的選單畫面中,使用 選擇變數項,然後
按。
■只清除VARS記憶內容
1. (CLR)
2. 「VARS:EXE」( ),再按
3. (Yes)
4.
●欲取消清除記憶,不要按 (Yes),改按 (Cancel)。
●VARS記憶功能原廠預設值
P/Y、C/Y 1
n、I%、PV、PMT、FV、PM1、PM2、Dys 0
COST
ALPHA
÷
DAYS
ALPHA
EXE
SHIFT CTLG
EXE
SHIFT
ON
9
EXE
EXE
AC
EXE ESC

E-40
◆清除記憶內容
下列步驟可清除答案記憶項、獨立記憶項和所有變數項之
記憶內容。
本步驟不會清除VARS記憶內容,如需更多資料,請參閱
「只清除VARS記憶內容」一節。
1. (CLR)
2. "Memory:EXE"( ),再按
3. (Yes)
4.
●欲取消清除記憶內容,不要按 (Yes),
改按 (Cancel)。
SHIFT
ON
9
EXE
EXE
AC
EXE
ESC

E-41
◆單利模式
●單利模式(SMPL)可計算利息總額與單利終值(本金
與利息總額)。
■進入SMPL模式
●按進入SMPL模式。
■設定數值範例
號碼 顯示名稱 範例 使用數值
1 Set* 一年天數(日期模式) 365
2 Dys 利息期數(天數) 120
3I%利率 5%
4PV本金(現值) $10,000
●如需更多有關設定日期模式(Data Mode)的資料,請
參閱E-15頁「調整設定」一節中的「日期模式」。
■基本SMPL模式操作步驟
範例1:計算利息總額(SI)與單利終值(SFV)
1. 輸入上述設定數值範例表格中 1 、2 、3 和4 的數
值。
●使用 選擇 1
"Set:",再按 。
數值輸入畫面
SMPL
EXE

E-42
●按2 選擇「365」
●使用 選擇 2「Dys」,輸入120,再按 。
●使用 選擇 3「I%」,輸入5,再按 。
●使用 選擇 4「PV」,輸入10000,再按 。
2. 選擇您要計算的數值
●使用 選擇
「ALL:Solve」。
3. 按 執行計算。
●按下 按鍵回到數值輸入畫面。
■其他SMPL模式計算
範例2:只計算單利(SI)總額
●在基本步驟(範例1)的步驟2,選擇「SI:Solve」。
範例3:只計算單利終值(SFV)
●在基本步驟(範例1)的步驟2,選擇「SPF:Solve」。
EXE
EXE
EXE
SOLVE
ESC

E-43
■SMPL模式之財務計算變數項(VARS)
●在SMPL模式中,使用變數項Dys、I%與PV。
●即使您變更了模式,SMPL模式變數項的數值仍會保
留。但請注意,在其他模式中也可以使用SMPL模式變
數項,所以在執行輸入或計算操作時,可能會改變這些
變數項的數值。
●雖然SMPL模式變數項是財務計算的變數項,但COMP
模式的算術及函數操作,同樣也會使用這些變數項。
■計算公式
365天模式
360天模式
SI :單利
Dys :利息期數
PV :本金
I%:利率(年度)
SFV :本利和
◆複利模式
●複利模式(CMPD)即可幫您計算下列五項數值中的一
項,您只要輸入其它四項數值即可:複利期數、利率、
本金、支付額及終值(本利和或最後支付額)。
■進入CMPD模式
●按進入CMPD模式。
數值輸入畫面
CMPD

E-44
■設定數值範例
*1 ●如需進一步了解指定支付期,請參閱E-15頁「調整
設定」一節中「支付」一項。
●執行複利計算時,您也可以在設定畫面中選擇複利
模式(dn),進行奇數月(部分)的利息計算。如
需更多資訊,請參閱E-15頁的複利模式(dn)設定
說明。
*2 半年複利設定為2;月複利則設定為12。
注意
●設定 1 支付期(付款),並輸入 7 年度繳款次數(P/Y)
與8 年度複利計息次數之後,您就可以計算下列五項
數值中的任一項數值,只要輸入其他四項數值即可:複
利期數、利率、本金、支付額、終值(本利和或最終支
付額)。
●若輸入支出金額為負數,請使用 按鍵輸入負號。
號碼 顯示 名稱 範例使用數值
1 Set*1 繳款期(付款) End
2n複利期數 48
3I%利率 4%
4PV 現值(本金) -$1,000
5 PMT 每期繳款額 -$300
6FV 終值(本利和或最終繳款額) $16,760
7 P/Y 年度繳款次數 12
8 C/Y*2 年度複利計息次數 12
(-)

E-45
■基本CMPD模式操作步驟
範例1:計算某投資工具的終值(FV),其年利率為4%,
首期存款為$1,000,之後每月存入$300。
1. 依設定數值範例表格(E-44頁)輸入所需數值。
●在本範例中,使用
選擇 1 「Set:」,
然後按
●按2 選擇「End」
●使用 選擇 2
「n」,輸入48,然後按
●使用 選擇 3「I%」,
輸入4,然後按
●使用 選擇 4「PV」,輸入-1000,然後按
●使用 選擇 5「PMT」,輸入-300,然後按
●使用 選擇 7「P/Y」,輸入12,然後按
●使用 選擇 8「C/Y」,輸入12,然後按
輸入注意事項
●設定月份數目時,如果有不完整月份,請參閱「包
含不完整月份時的月份數目計算方式」(E-46頁)。
●若輸入支出金額為負數,請使用 按鍵輸入負
號。
2. 選擇您想要計算的數值。
●使用 選擇「FV」。
3. 按 執行計算。
EXE
EXE
EXE
EXE
EXE
EXE
(-)
SOLVE
EXE

E-46
■計算複利期數(n)、利率(I%)、現值(本金:
PV)與支付額(PMT)
●使用與「範例1」(E-45頁)相同的步驟,取代所需的數
值。
■包含不完整月份時的月份數目計算方式
以下範例說明,若計算複利期數時需包含不完整月份,應
如何計算月份數(天數/月份總天數)。
範例1:支付期為16個月又20天
1. 使用 選擇「n」
2. 輸入除法指令,將不完整月份的天數(本範例為20天)
除以該月的總天數。
●此範例假設該月總天數為
30天。
3. 加上其他完整月份的數目
(本範例為16個月)。
4. 按。
注意
●執行此類計算時,本計算機皆假設不完整月份為複利期
之始。
EXE

E-47
■替含有不完整月份的借貸期選擇利息計算方式
●您可以選擇複利或單利,來計算借款期間含有不完整月
份的利息。執行計算前,請先參閱(E-15頁)調整設
定一節,以選擇dn設定為單利或複利模式。
■CMPD模式財務計算變數項(VARS)
●CMPD模式使用變數項n、I%、PV、PMT、FV、P/Y和
C/Y。
●即使您變更模式,CMPD模式變數項的數值仍會保留。
但請注意,其它模式也可以使用CMPD模式變數項,所
以在執行輸入或計算操作時,可能會改變這些變數項的
數值。
●雖然CMPD模式變數項是財務計算的變數項,但COMP
模式中的算術及函數操作也會使用這些變數項。
■計算公式
●PV, PMT, FV, n

E-48
●I%

E-49
n:複利期數
I%:利率
PV :現值(本金)
PMT :每期支付額
FV :終值(本利和或最終支付額)
P/Y :每年付款次數(PMY)
C/Y :每年複利計息次數
注意
●本計算機執行利息(I%)計算時使用牛頓法,此種計
算法所得結果會取近似值,其精確度會受到不同的計算
條件所影響,因此,運用本計算機所得出的利息計算結
果時,應謹記其先天限制,或再另行驗證。
●使用 和 選擇計算的項目時,「=」符號會變成
" "。此時您可以輸入其他項目的必要數值,執行計
算,再按鍵 。執行計算後," "會變回「=」。
◆現金流量模式
●現金流量(CASH)模式可計算固定期間內,收入與支
出的總金額,然後使用現金流量折現(DCF)法執行投
資評估。評估包括以下四個項目。
NPV :淨現值
IRR :內部報酬率
PBP :還本期間法*
NFV :淨終值
S
S
SOLVE

E-50
*還本期間法(PBP)也稱為「折現還本期間法」
,若年利率(I%)為0,PBP則稱為「簡單還本期間法」
(SPP)。
■進入CASH模式
●按進入CASH模式。
現金流量圖如下圖所示,可顯示資金的流動變化。
上圖中,首期投資金額以CF0表示,一年後的現金流量以
CF1表示,二年後的現金流量以CF2表示,以此類推。
■設定數值範例
■收入與支出摘要
期間 收入/支出 範例使用數值
CF0支出 -$10,000
CF1支出 -$1,000
CF2收入 $4,500
CF3收入 $5,000
CF4收入 $4,000
●若輸入支出金額為負數,請使用 按鍵輸入負號。
數值輸入畫面
CASH
號碼 顯示 名稱 範例使用數值
1I%年利率 3%
(-)
(DPP)

E-51
■基本CASH模式操作步驟
範例1:計算淨現值(NPV)
1. 輸入年利率(I%),然後輸入前頁所列的收入/支出
值。
●使用 選擇 1
「I%」,輸入 3 ,然後按
。
●使用 選擇
「Csh=D.Editor x」,
然後按 。
此時會顯示DataEditor,計算時只會用到 x 欄位,不會
用到 y 欄位及FREQ欄位的數值。
●-10000 (CF0)
若輸入支出金額為負數,
請使用 按鍵輸入負
號。
●-1000 (CF1)
●4500 (CF2)
●5000 (CF3)
●4000 (CF4)
2. 按 回到數值輸入畫面。
3. 選擇您所要計算的數值。
●使用 選擇
「NPV:Solve」。
4. 按 執行計算。
●按鍵 回到數值輸入
畫面。
EXE
EXE
(-)
EXE
EXE
EXE
EXE
EXE
ESC
ESC
SOLVE

E-52
■其他CASH模式計算
範例2:計算內部報酬率(IRR)
●在基本步驟(範例1)的步驟3,選擇「IRR:Solve」。
●IRR計算後,會將結果設定為財務變數項(VARS)
I%。
範例3:計算還本期間(PBP)
●在基本步驟(範例1)的步驟3,選擇「PBP:Solve」。
範例4:計算淨終值(NFV)
●在基本步驟(範例1)的步驟3,選擇「NFV:Solve」。
■DataEditor項的最大數值
資料項的最大數值 DataEditor(資料編輯)畫面
80 X
40 X, Y 或X, FREQ
26 X, Y, FREQ
●計算時只會用到x欄位,不會用到y欄位與FREQ欄位的
數值。
●在正常狀況下, DataEditor中最多可輸入80個資料
項。
●如需輸入最高資料項數量,進入STAT模式,選擇「1-
VAR」,然後使用設定畫面,將「STAT」設定改為
「Off」(E-20頁)。
●若原有的STAT模式設定為「2-VAR」,變更為「1-VAR」
後,所有輸入的數值都會自動清除;同樣,若原有的
STAT模式設定為「1-VAR」,變更為「2-VAR」後,所
有輸入的數值也會自動清除。
■CASH模式財務計算變數項(VARS)
●CASH模式使用變數項I%。
●即使變更模式,CASH模式變數項仍會保留。但請注
意,其他模式也會使用I%,所以在執行輸入或計算操
作時,這些變數的數值可能會改變。

E-53
●雖然I% 是財務計算的變數項,但COMP模式中的算術
及函數操作也會使用這些變數項。
■計算公式
●
NPV
n:自然數最高到79
●
NFV
●
IRR
IRR使用牛頓法計算。
在此公式中,NPV = 0,IRR值等於 i×100。但必須注
意,計算的過程中,過於微小的分數值會自動累積,所以
NPV無法真正等於0。NPV愈接近0,IRR就愈精確。
●
PBP
n:滿足條件的最小正整數

E-54
◆分期繳款模式
●分期繳款(AMRT)模式可以計算本金餘額、每月支付
的利息與本金,以及到目前為止支付的利息與本金額。
BAL :PM2期間結束時的本金餘額
INT :PM1期間支付的利息
PRN :PM1期間支付的本金
Σ
INT :從PM1到PM2期間的利息支付總額
Σ
PRN :從PM1到PM2期間的本金支付總額
■進入AMRT模式
●按進入AMRT模式。
a:PM1(INT)期間支付的利息部分
b:PM1(PRN)期間支付的本金部分
c:PM2期間結束時的本金餘額(BAL)
數值輸入畫面
AMRT

E-55
d:從PM1期間至PM2期間所支付的本金(ΣPRN)
e:從PM1期間至PM2期間所支付的利息(ΣINT)
■設定數值範例
號碼 顯示 名稱 範例使用數值
1 Set*1支付期(繳款) End
2 PM1 PM1支付期(繳款次數) 15
3 PM2*2PM2支付期(繳款次數) 28
4n*3複利期數(月份數) -
5I%利率(年度) 2%
6PV 本金 $100,000
7 PMT 每次繳款額 -$920
8FV
*3最後繳款後的結餘(終值) -
9 P/Y 年度繳款次數(PMT)12
10 C/Y*4年度計息次數 12

E-56
*1 如需有關設定繳款時間的資訊,請參閱E-16頁「調整
設定」一節中「繳款」一項。
*2 請確認PM2的繳款晚於PM1。
*3 若您只要計算複利,請在 4 n 輸入月份數, 8 FV輸入
終值。
*4 半年型複利計算請設定為2,月份型複利計算請設定為
12。
●輸入支出金額為負數,使用 按鍵來輸入負號。
■基本AMRT模式操作步驟
範例1:計算第28次繳款後的本金餘額(BAL)
1. 依設定數值範例表格(E-55頁)輸入 1 、2 、3 、5
、6 、7 、9 和10 的數值。
●使用 選擇 1
「Set:」,然後按 。
●按2 選擇「End」。
●使用 選擇 2
「PM1」,輸入15,
然後按 。
●使用 選擇 3 「PM2」,輸入28,然後按
。
●使用 選擇 5 「I%」,輸入2,然後按 。
●使用 選擇 6 「PV」,輸入100000,然後按
。
●使用 選擇 7 「PMT」,輸入-920,然後按
。
●使用 選擇 9 「P/Y」,輸入12,然後按 。
●使用 選擇 10 「C/Y」,輸入12,然後按 。
(-)
EXE
EXE
EXE
EXE
EXE
EXE
EXE
EXE

E-57
2. 選擇您想要計算的數值。
●使用 選擇
「BAL:Solve」。
3. 按 執行計算。
●按 鍵回到數值輸入畫面。
■其他AMRT模式計算
範例2:計算第15次繳款(PM1)的利息支付額(INT)
●在基本操作步驟(範例1)的第2步驟中,選擇
「INT:Solve」。
範例3:計算第15次繳款(PM1)的本金支付額(PRN)
●在基本操作步驟(範例1)的第2步驟中,選擇
「PRN:Solve」。
範例4:計算從第15次(PM1)到第28次繳款(PM2)期
間的利息支付總額(ΣINT)
●在基本操作步驟(範例1)的第2步驟中,選擇
「ΣINT:Solve」。
範例5:計算從第15次(PM1)到第28次繳款(PM2)期
間的本金支付總額(ΣPRN)
●在基本操作步驟(範例1)的第2步驟中,選擇
「ΣPRN:Solve」。
■AMRT模式財務計算變數項(VARS)
●AMRT模式使用變數項PM1、PM2、n、I%、PV、
PMT、FV、P/Y和C/Y。
●即使變更模式,AMRT模式變數項的數值仍會保留。但
請注意,其他模式也會使用AMRT模式變數項,所以在
執行輸入或計算操作時,這些變數項的數值可能會改
變。
●雖然AMRT模式變數項是財務計算的變數項,但在
COMP模式中的算術及函數操作也會使用這些變數。
SOLVE
ESC

E-58
■計算公式
a:PM1期間的利息(INT)
b:PM1期間的本金(PRN)
c:PM2期間結束時的本金餘額(BAL)
d:從PM1到PM2期間支付的本金總額(ΣPRN)
e:從PM1到PM2期間支付的利息總額(ΣINT)
名目利率與實質利率的轉換
分期付款時,若年度付款次數與年度複利計算次數不同,
則名目利率(使用者輸入的I%值)需轉換成實質利率
(I%)。
將名目利率轉換成實值利率後,執行下列算式,此後的計
算皆使用本算式所得結果。
◆轉換模式
●轉換(CNVR)模式可讓您轉換名目利率(APR)與實
質利率(EFF)。

E-59
■進入CNVR模式
.按 進入CNVR模式。
■設定數值範例
■基本CNVR模式操作步驟
範例1:將名目利率(APR)轉換成實質利率(EFF)
1. 依上述設定數值範例表格,輸入年複利計息次數(n)
以及利率(I%)值。
●使用 選擇 1
「n」,輸入6,然後按 。
●使用 選擇 2
「I%」,輸入3,然後按 。
2. 選擇您想要計算的數值。
●本例中,使用
選擇「EFF:Solve」。
3. 按 執行計算。
●按 鍵回到數值輸入畫面。
數值輸入畫面
CNVR
號碼 顯示 名稱 範例使用數值
1n年複利計息次數 6
2I%利率(年度) 3%
EXE
EXE
SOLVE
ESC

E-60
■其他CNVR模式計算
範例2:將實質利率(EFF)轉換成名目利率(APR)
●在基本操作步驟(範例1)的第2步驟中,選擇
「APR:Solve」。
■CNVR模式財務計算變數項(VARS)
●CNVR模式中使用變數項n和I%。
●在CNVR模式中執行EFF或APR計算時,必定會設定
I%。
●即使變更模式,CNVR模式變數項的數值仍會保留,但
請注意,其他模式也會使用CNVR模式變數項,所以在
執行輸入或計算操作時,這些變數項的數值可能會改
變。
●雖然CNVR模式變數項是財務計算的變數項,但COMP
模式中的算術及函數操作也會使用這些變數項。
■計算公式
APR: 名目利率(%)
EFF: 實值利率(%)
n: 年複利計息次數
◆成本/銷售/利潤模式
●成本/銷售/利潤模式(COST)可計算成本、售價或利
潤,輸入其中兩項數值,即可得出第三項的數值。比方
說,您可以輸入成本和售價,然後計算出利潤。

E-61
■進入COST模式
●按進入COST模式。
■設定數值範例
■基本COST模式操作步驟
範例1:計算利潤(MRG)
1. 輸入上述「設定數值範例表格」中的成本(CST)和
售價(SEL)。
●使用 選擇 1
「CST」,輸入40,
然後按 。
●使用 選擇 2
「SEL」,輸入100,
然後按 。
2. 選擇您想要計算的數值。
●使用 選擇 3
「MRG」。
3. 按 執行計算。
數值輸入畫面
號碼 顯示 名稱 範例使用數值
1 CST 成本 $40
2 SEL 售價 $100
3 MRG 利潤 60%
EXE
EXE
SOLVE
COST

E-62
■其他COS模式計算
範例2:根據利潤和售價來計算成本
1. 在基本操作步驟(範例1)的第1步驟中,輸入利潤
(MRG)和售價(SEL)的數值。
2. 在第2步驟選擇 1 「CST」。
範例3:根據利潤和成本來計算售價(SEL)
1. 在基本操作步驟(範例1)的第1步驟中,輸入利潤
(MRG)和成本(CST)的數值。
2. 在第2步驟時選擇 2 「SEL」。
■COST模式財務計算變數項(VARS)
●COST模式中使用變數項CST、SEL和MRG。
●這些變數項只能在COST模式中使用,即使您變更至其
他模式,其數值仍會保留。
■計算公式
CST :成本
SEL :售價
MRG :利潤

E-63
◆日數計算模式
●日數計算(DAYS)模式可讓您計算兩個日期之間的天
數,知道從某一日期開始,經過已知天數後,日期為
何,以及須從哪一天開始,經過已知天數後,才會到達
某一日期。
●開始日期(d1)與結束日期(d2)的有效計算日期須
為1901年1月1日到2099年12月31日之間。
■進入DAYS模式
●按進入DAYS模式
■設定數值範例
*1●如需了解設定日期模式的相關資訊,請參閱E-15頁
「調整設定」一節中「日期模式」一項。
●以下規則只適用於一年為360天的設定。
起始日期(d1)若為某月的31號,執行計算時會以
該月的30號為始。
結束日期(d2)若為某月的31號,執行計算時會以
下個月的1號為結尾。
數值輸入畫面
DAYS
號碼 顯示 名稱 範例使用數值
1 Set*1 一年天數(日期模式) 365
2d1*2 起始日期
11052004
(月/日/年)
(2004年11月5日)
3d2*2 結束日期
04272005
(月/日/年)
(2005年4月27日)
4 Dys 天數(持續期間) 173

E-64
*2 ●設定幾月、幾日時,必須輸入兩位數,亦即若數值
為一位數,必須在前面補0(01, 02, 03….等)。
●您必須將日期輸入模式設定為「月、日、年」(MDY)
或「日、月、年」(DMY)。請參閱「調整設定」一
節中「資料輸入」一項 (E-15頁)。
注意
●在日數計算模式中設定了 1 一年天數(日期模式)
後,即可以算出 2 起始日期(d1)、 3 結束日期(d2)
和4 天數(Dys)三項數值,您只要輸入其中兩項數
值,就能得出另一項的答案。
■基本DAYS模式操作步驟
範例1:計算兩個日期之間的天數
1. 依設定數值範例(E-63頁)表格,輸入必要數值
●使用 選擇 1
「Set:」,然後按 。
●按2 選擇「365」。
●使用 選擇 2
「d1」,輸入11052004,
然後按 。
●使用 選擇 3
「d2」,輸入04272005,
然後按 。
2. 選擇您想要計算的數值。
●使用 選擇
「Dys」。
3. 按 執行計算。
EXE
EXE
EXE
SOLVE

E-65
■其他DAYS模式計算
注意
●在範例2和範例3中,請使用設定畫面,將「Date Mode」
的設定變更為「365」。
●計算結果「d1」和「d2」不會儲存在Answer Memory
(答案記憶)中。
範例2:計算從一已知起始日期(d1)經過一定天數
(Dys)後的日期為何
1. 在基本操作步驟(範例1)的第1個步驟中,在Dys一項
中輸入173,d2則不要輸入任何數值。
2. 在第2個步驟時選擇「d2」。
範例3:從一已知結束日期(d2)以一定天數(Dys)向
前推算出起始日期。
1. 在基本操作步驟(範例1)的第1個步驟中,Dys一項輸
入173,d1則不要輸入任何數值。
2. 在第2個步驟時選擇「d1」。
■DAYS模式財務變數項(VARS)
●DAYS模式中使用變數項d1、d2和Dys。
●即使在您變更至其他模式,DAYS模式變數項的數值仍
會保留,但請注意,其他模式也會使用DAYS模式變數
項,所以在執行輸入或計算操作時,可能會改變這些變
數項的數值。
●雖然DAYS模式變數項是財務計算的變數項,但COMP
模式中也可以叫出「Dys」變數項。
■折舊模式(限FC-200V)
●折舊(DEPR)模式可讓您用下列四種方法計算貶值。
SL :直線折舊法
FP :固定百分比折舊法
SYD :年數加總折舊法
DB :餘額遞減折舊法

E-66
■進入DEPR模式
●按進入DEPR模式。
■設定數值範例
*1使用固定百分比折舊法(FP)時,輸入折舊率;使用
餘額遞減折舊法(DB)時,輸入折舊係數。若在計算
餘額遞減(DB)時,將折舊係數設定為200,就會以
雙倍餘額遞減法(DDB)計算折舊。
■基本DEPR模式操作步驟
範例1:使用直線折舊法計算折舊值
1. 依上述設定數值範例表格輸入 1 、2 、3 、4 、
5 和6 的數值。
●使用 選擇 1
「n」,輸入6,然後按 。
DEPR
數值輸入畫面
號碼 顯示 名稱 範例使用數值
1n使用年限 6
2I%*1 折舊率 25%
係數 200
3PV原價(基準) $150,000
4FV剩餘帳面價值 $0
5j計算折舊成本年份 第三年
6 YR1 折舊品第一年所佔月份數 2
EXE

E-67
●使用 選擇 2 「I%」,輸入25,然後按 。
請注意,只有在使用固定百分比折價法(FP)或餘
額遞減折舊法(DB)時,才需要輸入 2 「I%」。
●使用 選擇 3 「PV」,輸入150000,然後按
。
●使用 選擇 4 「FV」,輸入0,然後按 。
●使用 選擇 5 「j」,輸入3,然後按 。
●使用 選擇 6 「YR1」,輸入2,然後按 。
2. 選擇您想要計算的數值。
●使用 選擇
「SL:Solve」。
3. 按 執行計算。
●按 按鍵回到數值
輸入畫面。
■其他DEPR模式計算
範例2:使用固定百分比折舊法,折舊率為25%
●在基本操作步驟(範例1)的步驟2中,選擇
範例3:使用年數加總折舊法
●在基本操作步驟(範例1)的步驟2中,選擇
範例4:使用雙倍餘額遞減法
1. 在基本操作步驟(範例1)的步驟1中,「I%」一項輸
入200。
2. 在步驟2中,選擇「DB:Solve」。
EXE
EXE
EXE
EXE
EXE
SOLVE
ESC
「FP:Solve」。
「SYD:Solve」。

E-68
■DEPR模式財務計算變數項(VARS)
●DEPR模式中使用變數項n、I%、PV和FV。
●即使在您變更至其他模式,DEPR模式變數項的數值仍
會保留,但請注意,其他模式也會使用DEPR模式變數
項,所以在執行輸入或計算操作時,可能會改變這些變
數項的數值。
●雖然DEPR模式變數項是財務計算的變數項,但COMP
模式中的算術及函數操作也會使用這些變數項。
■計算公式
若折舊項目是在年中購入,可以用月份計算。
●直線折舊法
直線折舊法可計算某特定時間內的折舊值。
SLj:第j年的折舊費用
n:使用年限
PV :原價(基準)
FV :剩餘帳面價值
j:計算折舊成本的年份
YR1:折舊第一年的月份數

E-69
●固定百分比折舊法
固定百分比折舊法可用來計算一段時間後的折舊值,或者
計算折舊率。
FPj:第 j 年的折舊費用
RDVj:第 j 年年尾的剩餘可折舊值
I%:折舊率
●年數加總折舊法
年數加總折舊法可計算某一段時間內的折舊值
SYDj:第 j 年的折舊費用
RDVj:第 j 年年尾的剩餘可折舊值

E-70
●餘額遞減折舊法
餘額遞減折舊法可計算一段時間後的折舊值。
DBj:第 j 年的折舊費用
RDVj:第 j 年年尾的剩餘可折舊值
I%:係數
◆債券模式(只限FC-200V)
●債券(BOND)模式可讓您計算購入價格與年殖利率。
■進入BOND模式
●按進入BOND模式
■設定數值範例
號碼 顯示 名稱 範例使用數值
1 Set*1Periods/Y(期數 / 年)每年
Bond Date(債券日期)日期
2d1
*2
Purchase Date(購入日期) 06012004
(Month, Day, Year) (2004年
(月、日、年) 6月1日)
3d2
*2*3
Redemption Date(贖回日期) 12152006
(Month, Day, Year) (2006年1
(月、日、年) 2月15日)
數值輸入畫面
BOND

E-71
*1●您可將債券計算的條件設定為「日期」(Date)或
「債券付息次數」(Term)。
請參閱「調整設定」一節中有關「債券日期」的設定
(E-15頁)。
●您可將支付債券利息的次數設定「每年一次」
(Annual)或「每六個月一次」(Semi-Annual)。請
參閱「調整設定」一節中有關「Periods/Y」(期數/
年)的設定 (E-15頁)。
*2●月、日請輸入兩位數字,亦即如果是一位數,請在前
面補0(01, 02, 03….等)。
●您必須將日期輸入模式指定為「月、日、年」(MDY)
或「日、月、年」(DMY)。請參閱「調整設定」一
節中「資料輸入」一項 (E-15頁)。
*3●如欲計算債券的贖回收益率,請在d2輸入贖回日期。
*4●如欲計算債券到期日收益率,請在RDV輸入100。
*5●如果是零息債券,請在CPN輸入0。
*6●計算贖回價格等於多少$100債券面額(PRC)時,
也可以計算應計利息(INT)以及包括應計利息的購
入價格(CST)。
●若輸入支出金額為負數,請使用 按鍵輸入負號。
號碼 顯示 名稱 範例使用數值
4n債券到期前支付利息的次數 3
5 RDV*4
每$100元面額債券之贖回價格
$100
6 CPN*5 票面利率 3%
7 PRC*6 每$100元面額債券之價格
-97.61645734
8 YLD 年殖利率 4%
(-)

E-72
注意
●起始日期(d1)須為1902年1月1日到2097年12月30日
之間。
●結束日期(d2)須為1902年1月2日到2097年12月31日
之間。
●若輸入支出金額為負數,請使用 按鍵輸入負號。
■其他設定項
●預設的日期模式(Date Mode)為365(1年365天)。
請參閱「調整設定」一節中「日期模式(Date Mode)」
的設定 (E-15頁)。
●欲顯示設定畫面,請按 。
■基本BOND模式操作步驟
範例1:根據一已知日期(Date)計算債券購入價格(PRC)
1. 依設定數值範例表格(E-70與E-71頁)輸入計算所需的數
值。如果「Bond Date」(債券日期)設定為「Date」
(日期),請輸入 1 、2 、3 、5 、6 和8 ;若
「Bond Date」(債券日期)設定為「Term」(債券付息
次數),則輸入 1 、4 、5 、6 和8 。在設定畫面
上,請將「Date Mode」(日期模式)設定為「365」。
●使用 選擇 1
「Set:」,然後按 。
●使用 選擇
「Periods/Y」,然後按 。
●按1 選擇「Annual」。
●使用 選擇 1
「Set:」,然後按 。
●使用 選擇
「Bond Date」,然後
按。
EXE
EXE
EXE
EXE
(-)
SETUP

E-73
●按1 選擇「Date」。
●使用 選擇 2
「d1」,輸入06012004,
然後按 。
●使用 選擇 3 「d2」,輸入12152006,然後
按。
●使用 選擇 5 「RDV」,輸入100,然後按
。
●使用 選擇 6 「CPN」,輸入3,然後按 。
●使用 選擇 8 「YLD」,輸入4,然後按 。
2. 選擇您想要計算的數值。
●使用 選擇
「PRC」。
3. 按 執行計算。
●按 鍵回到數值輸入畫面。
■其他BOND模式計算
在根據特定支付利息次數(Term)計算前,請務必將
「Date Mode」(日期模式)設為 「360」,「Periods/Y」
(期數/年)設為 「Annual」(每年債券支付利息次數)。
範例2:根據一已知日期(Date)計算年殖利率(YLD)
1. 在基本操作步驟(範例1)的步驟1中,PRC一項輸入
-97.61645734,YLD則不要輸入任何數值。
2. 在步驟2中,選擇「YLD」。
●若輸入支出金額為負數,請使用 按鍵輸入負號。
EXE
EXE
EXE
EXE
EXE
SOLVE
(-)
ESC

E-74
範例3:根據一已知利息支付次數(Term)計算債券購入
價格(PRC)
1. 在基本操作步驟(範例1)的步驟1中,「Bond Date」
(債券日期)一項選擇 2 (Term)。
●此時不必輸入d1與d2,而需輸入 n。
2. 項目 n 輸入3。
範例4:根據一已知利息支付次數(Term)計算年殖利率
(YLD)
1. 在基本操作步驟(範例1)的步驟1中,「Bond Date」
(債券日期)一項請選擇 2 (Term)。
●此時不必輸入d1與d2,而須輸入 n。
2. 使用 選擇 4 「n」,輸入3,然後按 。
3. PRC一項輸入-97.61645734,YLD則不要輸入任何數
值。
4. 在步驟2中,選擇「YLD」。
■BOND模式財務計算變數項(VARS)
●若您更換至其他模式,以下BOND模式變數項的數值將
會保留:n、d1、d2。
●但請注意,其他模式也會使用 n、d1、d2,所以在執行
輸入或計算操作時,可能會改變這些變數項的數值。
●雖然 n、d1、d2變數項是財務計算的變數項,但COMP
模式中的算術及函數操作也同樣使用這些變數。
●以下變數項只會在BOND模式中使用,所以即使您更換
至其他模式,這些變數項的數值仍然會保留:RDV、
CPN、PRC、YLD。
EXE

E-75
■計算公式
PRC :面額$100計的債券價格
CPN :票面利率(%)
YLD :年殖利率(%)
A:應計天數
M:每年債券利息支付次數(1=Annual;2 = Semi-
Annual)
N:債券到期日總共付息次數(若設定畫面中的
「Bond Date」(債券日期)選擇 「Term」,則
使用n)
RDV :面額$100計的贖回價格
D:進行交收的票券期之天數
B:從購入日期到下個債券付息日之間的天數 = D
-A
INT :應計利息
CST :含利息之價格
●面額$100計的債券價格(PRC)
日期(使用設定畫面:Bond Date(債券日期))
●滿一期或未滿一期的債券贖回價

E-76
●超過一期以上的債券贖回價格
Term(付息次數)(使用設定畫面:Bond Date(債券日
期))
●年殖利率(YLD)
YLD採用牛頓法計算。
注意
●本計算機執行年殖利率(YLD)計算時使用牛頓法,此
種計算法所得結果會取近似值,其精確度會受到不同的
計算條件所影響,因此,運用本計算機所得出的年殖利
率計算結果時,應謹記其先天限制,或再另行驗證。

E-77
◆損益平衡模式(只限FC-200V)
●損益平衡(BEVN)模式具有六個子模式,可計算各種
損益平衡點。
■進入BEVN模式
●按進入BEVN模式。
■BEVN模式子模式
BEV :損益平衡點銷售量與銷售額,獲利目標銷售
量與銷售額,獲利率銷售量與銷售額
MOS :安全邊際(Margin of Safety)
DOL :營運槓桿程度
(Degree of Operating Leverage)
DFL :財務槓桿程度
(Degree of Financial Leverage)
DCL :綜合槓桿程度
(Degree of Combined Leverage)
QTY CONV.(數量轉換):銷售量與有關數值
●使用 選擇您想要的子模式,然後按 進入。
◆BEV子模式(損益平衡模式1)
●使用BEV子模式來計算損益平衡點銷售量與銷售額、獲
利目標銷售量與銷售額、獲利率銷售量與銷售額。
●所謂「損益平衡點」是指獲利為0或獲利率為0%。
BEVN
EXE

E-78
■進入BEV子模式
1. 按 進入損益平衡模式。
2. 使用 選擇
「BEV:EXE」。
3. 按。
■設定數值範例
*1●您可以調整損益平衡點計算的設定,決定要用獲利
(PRF)或獲利率(r %)計算。請參閱「調整設定」
一節中「PRF/Ratio」的設定(E-15頁)。
●您可以調整損益平衡點計算的設定,決定要用銷售量
(Quantity)或銷售額(Sales)計算。請參閱「調整
設定」一節中「B-Even」的設定(E-15頁)。
*2若「PRF/Ratio」一項設定為「Ratio」(獲利率),此
項則為獲利率(r %)。
*3若「B-Even」一項設定為「Sales」(銷售額),此項則
為損益平衡銷售額(SBE)。
BEVN
EXE
數值輸入畫面
號碼 顯示 名稱 範例使用數值
1 Set*1獲利或獲利率(PRF/Ratio) PRF(獲利)
銷售量或銷售額(B-Even) 數量(銷售量)
2 PRC 銷售價格 $100/單位
3 VCU 單位變動成本 $50/單位
4FC 固定成本 $100,000
5PRF*2獲利 $400,000
r %*2獲利率 40%
6QBE*3銷售量 10,000單位(組)
SBE*3銷售額 $1,000,000

E-79
■基本BEV子模式操作步驟
範例1:計算損益平衡點銷售量(QBE)
1. 依設定數值範例表格(E-78頁)輸入 1 、2 、3 、
4 和5 之數值。
●使用 選擇 1
「Set:」,然後按 。
●使用 選擇
「PRF/Ratio」,然後按 。
●按1 選擇「PRF」。
●使用 選擇 1
「Set:」,然後按 。
●使用 選擇
「B-Even」,然後按 。
●按1 選擇「Quantity」。
●使用 選擇 2
「PRC」,輸入100,
然後按 。
●使用 選擇 3 「VCU」,輸入50,然後按
。
●使用 選擇 4 「FC」,輸入100000,然後
按。
●使用 選擇 5 「PRF」或「r %」,輸入0,
然後按 。
2. 選擇您想要計算的數值。
●使用 選擇 6
「QBE」。
EXE
EXE
EXE
EXE
EXE
EXE
EXE
EXE

E-80
3. 按 執行計算。
■其他BEVN模式計算
範例2:計算損益平衡點銷售額(SBE)
1. 在基本操作步驟(範例1)的步驟1中,「B-Even」一
項選擇 2 (Sales)。
2. 在步驟2中,選擇「SBE」。
範例3:計算欲達到獲利目標($400,000)所需的銷售量
(QBE)
●在基本操作步驟(範例1)的步驟1中,「PRF」一項
輸入400000。
範例4:計算欲達到獲利目標($400,000)所需的銷售額
(SBE)
1. 在基本操作步驟(範例1)的步驟1中,「B-Even」一
項選擇 2 (Sales),PRF輸入400000。
2. 在步驟2中,選擇「SBE」。
範例5:計算欲達到獲利率(40%)所需的銷售量
(QBE)
●在基本操作步驟(範例1)的步驟1中,「PRF/Ratio」
選擇 2 「r %」,r % 輸入40。
範例6:計算欲達到獲利率(40%)所需的銷售額
(SBE)
1. 在基本操作步驟(範例1)的步驟1中,「PRF/Ratio」
選擇 2 「r %」,「B-Even」選擇 2 (Sales),r % 輸
入40。
2. 在步驟2中,選擇「SBE」。
範例7:計算銷售量和銷售額以外的其他數值
●您只要輸入下列五項數據的其中四項,就能得出另一項
的數值: 2 售價, 3 單位變動成本, 4 固定成本,
5 獲利或獲利率, 6 銷售量或銷售額。
SOLVE

E-81
■BEV子模式財務計算變數項(VARS)
●BEV子模式中使用變數項PRC、VCU、FC、PRF、
r %、QBE和SBE。
●如果您從BEVN模式的子模式(BEV、MOS、DOL、
DFL、DCL、QTY CONV)變更到其他模式,就會清
除BEV子模式變數項的內容。
■計算公式
●獲利(設定畫面PRF/Ratio設定:PRF)
●獲利率(設定畫面PRF/Ratio設定:r %)
QBE :銷售量
FC :固定成本
PRF :獲利
PRC :售價
VCU :單位可變成本
SBE :銷售額
r %:獲利率
◆安全邊際子模式(損益平衡模式2)
●安全邊際(MOS)模式可計算若預定銷售額未達成,
可降低多少銷售量以避免虧損持續。

E-82
■進入MOS子模式
1. 按 進入損益平衡模式。
2. 使用 選擇
「MOS:EXE」。
3. 按。
■設定數值範例
■基本MOS子模式操作步驟
範例1:計算安全邊際(MOS)
1. 依上述設定數值範例表格輸入必要的數值。
●使用 選擇 1
「SAL」,輸入1200000,
然後按 。
●使用 選擇 2 「SBE」,輸入1000000,
然後按 。
2. 選擇您所要計算的數值。
●使用 選擇 3
「MOS」。
3. 按 執行計算。
BEVN
EXE
數值輸入畫面
號碼 顯示 名稱 範例使用數值
1 SAL 銷售額 $1,200,000
2 SBE 損益平衡銷售額 $1,000,000
3 MOS 安全邊際 0.1667(16.67%)
EXE
EXE
SOLVE

E-83
■其他MOS子模式計算
範例2:計算銷售額(SAL)或損益平衡銷售額(SBE)
●如基本操作步驟(範例1),取代所需的數值即可。
■MOS子模式財務計算變數項(VARS)
●MOS子模式中使用變數項SAL、SBE和MOS。
●如果您從BEVN模式的子模式(BEV、MOS、DOL、
DFL、DCL、QTY CONV.)變更到其他模式,將會清
除MOS子模式變數項的內容。
■計算公式
SAL :銷售額
SBE :損益平衡銷售額
MOS :安全邊際
◆營運槓桿程度子模式(損益平衡模式3)
●營運槓桿程度(DOL)子模式可計算銷售額出現變化
時,獲利會有多少變動
■進入DOL子模式
1. 按 進入損益平衡模式。
2. 使用 選擇
「DOL:EXE」。
3. 按。
BEVN
EXE
數值輸入畫面

E-84
■設定數值範例
■基本DOL子模式操作步驟
範例1:計算營運槓桿程度(DOL)
1. 依上述設定數值範例表格輸入必要的數值。
●使用 選擇 1
「SAL」,輸入1200000,
然後按 。
●使用 選擇 2 「VC」,輸入600000,
然後按 。
●使用 選擇 3 「FC」,輸入200000,
然後按 。
2. 選擇您所要計算的數值。
●使用 選擇 4
「DOL」。
3. 按 執行計算。
■其他DOL子模式計算
範例2:計算銷售額(SAL)、可變成本(VC)和固定成
本(FC)
●如基本操作步驟(範例1),取代所需的數值即可。
號碼 顯示 名稱 範例使用數值
1 SAL 銷售額 $1,200,000
2VC可變成本 $600,000
3FC固定成本$200,000 $200,000
4 DOL 營運槓桿程度 1.5
EXE
EXE
EXE
SOLVE

E-85
■DOL子模式財務計算變數項(VARS)
●DOL子模式中使用變數項SAL、VC、FC和DOL。
●如果您從BEVN模式的子模式(BEV、MOS、DOL、
DFL、DCL、QTY CONV)變更到其他模式,就會清
除DOL子模式變數項的內容。
■計算公式
SAL :銷售額
VC :變動成本
FC :固定成本
DOL :營運槓桿程度
◆財務槓桿程度子模式(損益平衡模式5)
●財務槓桿程度(DFL)可計算利息對「利息與稅前盈餘」
(EBIT)之影響
■進入DFL子模式
1. 按 進入損益平衡模式。
2. 使用 選擇
「DFL:EXE」。
3. 按。
■設定數值範例
BEVN
EXE
數值輸入畫面
號碼 顯示 名稱 範例使用數值
1 EIT 利息與稅前盈餘(EBIT)$400,000
2 ITR 利息 $80,000
3 DFL 財務槓桿程度 1.25

E-86
■基本DFL子模式操作步驟
範例1:計算財務槓桿程度(DFL)
1. 依設定數值範例表格,輸入必要的數值(E-85頁)。
●使用 選擇 1
「EIT」,輸入400000,
然後按 。
●使用 選擇 2 「ITR」,輸入80000,
然後按 。
2. 選擇您所要計算的數值。
●使用 選擇 3
「DFL」。
3. 按 執行計算。
■其他DFL子模式計算
範例2:計算利息與稅前盈餘(EBIT)及利息(ITR)
●如基本操作步驟(範例1),取代所需的數值即可。
■DFL子模式財務計算變數項(VARS)
●DFL子模式中使用變數項EIT、ITR和DFL。
●如果您從BEVN模式的子模式(BEV、MOS、DOL、
DFL、DCL、QTY CONV)變更到其他模式,就會清
除DFL子模式變數項的內容。
SOLVE
EXE
EXE

E-87
■計算公式
EIT :利息與稅前盈餘(EBIT)
ITR :利息
DFL :財務槓桿程度
◆綜合槓桿度子模式(損益平衡模式5)
●綜合槓桿度(DCL)子模式可讓您計算營運槓桿度(銷
售額改變導致獲利變化的百分比),並將利息納入考
量。
■進入DCL子模式
1. 按 進入損益平衡模式。
2. 使用 選擇
「DCL:EXE」。
3. 按。
■設定數值範例
BEVN
EXE
數值輸入畫面
號碼 顯示 名稱 範例使用數值
1 SAL 銷售額 $1,200,000
2VC可變成本 $600,000
3FC 固定成本 $200,000
4 ITR 利息 $100,000
5 DCL 綜合槓桿度 2

E-88
■基本DCL子模式操作步驟
範例1:計算綜合槓桿程度(DCL)
1. 依設定數值範例表格輸入必要的數值(E-87頁)。
●使用 選擇 1
「SAL」,輸入1200000,
然後按 。
●使用 選擇 2 「VC」,輸入600000,
然後按 。
●使用 選擇 3 「FC」,輸入200000,
然後按 。
●使用 選擇 4 「ITR」,輸入100000,
然後按 。
2. 選擇您所要計算的數值。
●使用 選擇 5
「DCL」。
3. 按 執行計算。
■其他DCL子模式計算
範例2:計算銷售額(SAL)、可變成本(VC)、固定成本
(FC)和利息(ITR)
●如基本操作步驟(範例1),取代所需的數值即可。
■DCL子模式財務計算變數項(VARS)
●DCL子模式中使用變數項SAL、VC、FC、ITR和
DCL。
●如果您從BEVN模式的子模式(BEV、MOS、DOL、
DFL、DCL、QTY CONV)變更到其他模式,就會清
除DCL子模式變數項的內容。
EXE
EXE
EXE
EXE
SOLVE

E-89
■計算公式
SAL :銷售額
VC :可變成本
FC :固定成本
ITR :利息
DCL :綜合槓桿程度
◆數量轉換子模式(損益平衡模式6)
●數量轉換(QTY CONV.)子模式可計算銷售額、售價
或銷售量,三項中您只要輸入兩項,即可得出第三項。
●也可計算可變成本、單位變動成本或銷售量,三項中您
只要輸入兩項,即可得出第三項。
■進入QTY CONV.子模式
1. 按 進入損益平衡模式。
2. 使用 選擇
「QTY CONV.:EXE」。
3. 按。
BEVN
EXE
數值輸入畫面

E-90
■設定數值範例
■QTY CONV.子模式操作步驟
範例1:從銷售額與售價計算出銷售量(QTY)
1. 依上述設定數值範例表格中的 1 、2 和3 項,輸入
所需的數值。
●使用 選擇 1
「SAL」,輸入100000,
然後按 。
●使用 選擇 2「PRC」,輸入200,
然後按 。
2. 選擇您所要計算的數值。
●使用 選擇 3
「QTY」。
3. 按 執行計算。
●3「QTY」(銷售量)的計算結果也會設定為變數項 6
「QTY」。
範例2:計算銷售額(SAL)與售價(PRC)
●如基本操作步驟(範例1),取代所需的數值即可。
號碼 顯示 名稱 範例使用數值
1 SAL 銷售額 $100,000
2 PRC 售價 $200/單位
3QTY銷售量 500單位(組)
4VC可變成本 $15,000
5 VCU 單位可變成本 $30/單位
6QTY銷售量 500單位(組)
EXE
EXE
SOLVE

E-91
範例3:從可變成本和單位可變成本計算銷售量(QTY)
1. 依(E-90頁)設定數值範例表格中的 4 、5 和6
項,輸入所需的數值。
●使用 選擇 4
「VC」,輸入15000,
然後按 。
●使用 選擇 5 「VCU」,輸入30,
然後按 。
2. 選擇您所要計算的數值。
●使用 選擇 6
「QTY」。
3. 按 執行計算。
●6 「QTY」(銷售量)的計算結果也會設定為變數項 3
「QTY」。
範例4:計算可變成本(VC)與單位可變成本(VCU)
●步驟如範例3,取代所需的數值即可。
■QTY CONV.子模式財務計算變數項(VARS)
●QTY CONV.子模式中使用變數項SAL、PRC、QTY、
VC和VCU。
●如果您從BEVN模式的子模式(BEV、MOS、DOL、
DFL、DCL、QTY CONV.)變更到其他模式,就會清
除QTY CONV.子模式變數項的內容。
■計算公式
EXE
EXE
SOLVE
SAL :銷售額
PRC :售價
QTY :銷售量
VC :可變成本
VCU :單位可變成本

E-92
◆設定快速鍵
您可以將某個模式、設定資訊、數值或運算式設定為快速
鍵,需要時可以馬上操作。如果您需要經常執行相同的計
算,或輸入相同的資料,這項功能就會特別有用。
■使用快速鍵
範例:組合設定快速鍵,簡化下列零存整付儲蓄計畫的金
額計算方式。
複合年利率(I%): 3%
繳款期間(Payment): End
頭期款(PV): -$1,000
每月存款(PMT): -$50
每年繳款次數(P/Y):12
年複利計息次數(C/Y):12
利息稅額(10%)
●設定SHORTCUT 1(快速鍵1)
1. 按 進入複利模式。
2. 分別輸入Payment、I%、PV、PMT、P/Y與C/Y的實際
數值。
●如需更多資訊,參閱「複利模式」(E-43頁)。
3. 使用 選擇「n」。
4. 按(STO)。
若「Shortcut 1」(快速鍵1)或 「Shortcut 2」(快速鍵2)
旁出現 (#) 符號,表示該鍵已經經過設定。請執行下列步
驟,即可更新快速鍵。
CMPD
SHIFT
RCL

E-93
5. 使用 選擇
「Shortcut 1」(快速鍵1),
然後按 。
6. 螢幕上出現確認畫面後,請按 (Yes)。
●如果您想取消操作,不想設定 (Shortcut 1),請在
步驟6按下 ,而不要按 。
●設定SHORTCUT 2(快速鍵2)
1. 按進入COMP模式。
2. 輸入下列公式。
●「FV」、「PV」、「n」為財務計算變數(VARS)。
3. 執行「設定Shortcut 1(快速鍵1)」的步驟4、5、6,
將上述公式設定為「Shortcut 2」(快速鍵2)。
●使用快速鍵計算
範例:計算五年後的儲蓄金額(n = 60個月)
1. 按(shortcut 1)。
●此時即進入複利模式
(CMPD),也會出現
(shortcut 1) 的設定內容。
選擇「n」,準備輸入數值。
2. 輸入60,然後按 。
●因為 (shortcut 1) 已經預設了其它的數據,所以只
要輸入「n」值即可。如需計算其他的時間範圍,只要
輸入所需的月份數即可。
COMP
EXE
EXE
ESC EXE
SHORT
CUT 1
SHORT
CUT 1
SHORT
CUT 1
EXE
SHORT
CUT 1

E-94
3. 使用 選擇「FV」,然後按 執行計算。
●此項操作可計算五年後投資的終值,螢幕上會顯示計算
結果,並且儲存在答案記憶內(Ans)。
4. 按(Shortcut 2)。
●此按鍵會叫出預設在
(Shortcut 2)鍵的公式
(計算稅款)。
5. 按。
●按下 按鍵,計算從利息中
扣除10%稅率後的淨額。
■初始化快速鍵設定
1. (CLR)
2. 「Shortcut:EXE」( ),然後按 鍵。
3. 1 (Shortcut 1)或2 (Shortcut 2)
4.
注意
●在STAT模式中,STAT模式數據和操作步驟無法設定為
快速鍵。
●在CASH模式中,收入額與支出額(在數值輸入畫面中
進行輸入)無法設定為快速鍵。
●計算過程記憶內容(E-33頁)無法設定為快速鍵。
●螢幕對比數據和操作步驟無法設定為快速鍵。
◆函數快速鍵
在COMP模式中, (快速鍵1)與(快速鍵2)會變成
「function shortcut「(函數快速鍵),又稱為「FMEM1」
與「FMEM2」。
SHORT
CUT 2
SOLVE
SHORT
CUT 2
EXE
EXE
9
ON
AC
SHIFT
EXE
SHORT
CUT 1 SHORT
CUT 2

E-95
●設定FMEM鍵
範例:將函數「sin-1」設定為FMEM1鍵
1. 按進入COMP模式
2. (1)
(2) 「sin-1」( ),
然後按 鍵。
3. 按(STO)。
●若「FMEM 1」(函數快速鍵1)或 「FMEM 2」(函數
快速鍵2)旁出現 (#) 符號,表示該鍵已經過設定。可
執行以下步驟,更新快速鍵。
4. 使用 選擇 「FMEM 1」,然後按 鍵。
5. 螢幕上出現確認畫面後,請按 鍵 (Yes)。
●如果您想取消操作,不想設定FMEM1鍵,請在步驟5按
下 鍵,而不要按 鍵。
●使用函數快速鍵計算
範例:使用FMEM1鍵所設定的sin反函數
●按(FMEM1)。
■初始化函數快速鍵
1. (CLR)
2. 「FMEM:EXE」( ),然後按 鍵。
3. 1 (FMEM1)或2 (FMEM2)
4.
COMP
CTLG
EXE
SHIFT
SHIFT
RCL
EXE
EXE
ESC EXE
SHORT
CUT 1
9
ON
SHIFT
AC
EXE

E-96
本節說明如何使用計算機內建的函數功能。
●某些函數的計算可能需要花費一些時間。操作前,請先
確認前一次的計算已經執行完畢。您可以按下 鍵,
中斷進行中的計算。
●按下 即會顯示函數選單,您可從中選擇函數,也可
以直接使用按鍵來輸入下列函數。
FC-200V
Rnd(、sin(、cos(、tan(、x 2、√(、^(、e^(、ln(
FC-100V
Rnd(、sin(、cos(、tan(、e^(、10^(、^(、ln(、log(、x√(
本節中所有計算都是在COMP( )模式下執行。
◆Pi(π)與自然對數底數e
您可在算式中輸入Pi(π)與自然對數底數 e。以下為所需
的按鍵操作,以及本計算機中Pi(π)與e 的數值。
π= 3.14159265358980 ( (π))
e= 2.71828182845904 ( (e))
◆三角函數與反三角函數
本計算機已預設三角函數與反三角函數的角度單位,計算
前,請記得先設定角度單位。如需更多資訊,請參閱「調
整設定」一節(E-15頁)。
AC
CTLG
COMP
SHIFT
X
10
x
ALPHA
X
10
x

E-97
範例:sin 30 = 0.5,sin-10.5 = 30
1.
2. 「sin-1」( ),
然後按 鍵。
3.
◆雙曲線與反雙曲線函數
範例:sinh 1 = 1.175201194,cosh-1 = 0
1.
2. 「sinh」( ),
然後按 鍵。
3.
1.
2. 「cosh-1」( ),
然後按 鍵。
3.
◆將輸入值轉換為預設的角度單位
輸入數值後,按下 (DRG ),即會顯示下圖的角
度單位細目選單。按下輸入值角度單位的對應數字鍵,計
算機即會自動轉換成預設的角度單位。
範例1:將下列數值轉換成角度:
radians = 900,50 grads = 450
下列操作步驟中,計算機之預設角度單位均為度。
Deg
(sin)
SHIFT
130)
EXE
CTLG
CTLG
CTLG
EXE
EXE
EXE
0●5)
EXE
1)
EXE
1)
EXE
π
2
▲
SHIFT
ANS

E-98
範例2:cos (πradians) = -1,cos (100 grads) = 0
範例3:cos-1 (-1) = 180
cos-1 (-1) = π
1.
2. 「cos-1 」( ),
然後按 鍵。
3.
1.
2. 「cos-1 」( ),
然後按 鍵。
3.
◆指數函數與對數函數
●在對數函數 「log(」中,您可以使用「log (m, n)」的語
法指定底數 m。
如果您只輸入單一數值,計算時會自動將底數設為10。
●「ln(」是底數 e 的自然對數函數。
Deg
Deg
Deg
Rad
(π)
SHIFT
÷2)
(
X
10
x
(cos)
SHIFT SHIFT
2
X
10
x
(DRG ) (r)
▲
SHIFT
Ans
2
EXE
(DRG )
▲
SHIFT
Ans
2
EXE
(g)
(r)
(DRG )
▲
SHIFT
Ans
3
EXE
05
(π)
)
(DRG )
▲
SHIFT
Ans
3
EXE
(g) )
(cos)
SHIFT
21 0 0
CTLG
EXE
CTLG
EXE
1)
EXE
(-)
1)
EXE
(-)

E-99
範例1:log216 = 4
1.
2. 「log(」( ),
然後按 鍵。
3.
範例2:log 16 = 1.204119983
1.
2. 「log(」( ),
然後按 鍵。
3.
範例3:ln 90 (= loge90) = 4.49980967
1.
2. 「ln(」( ),
然後按 鍵。
3.
範例4:ln e= 1
1.
2. 「ln(」( ),
然後按 鍵。
3.
範例5:e10 = 22026.46579
1.
2. 「e ^(」( ),
然後按 鍵。
3.
◆乘方函數與乘方根函數
範例1:1.2 ×103= 1200
1.
2. 「10^(」( ),
然後按 鍵。
3.
CTLG
EXE
CTLG
EXE
(,)
SHIFT
2 1
) )
6
EXE
1)
6
EXE
CTLG
EXE
9)
0
EXE
1)
0
EXE
1×
●
CTLG
EXE
CTLG
EXE
EXE
底數值若未指定,則一律為10
(常用對數)
ALPHA
X
10
x
(e))
EXE
2
CTLG
)
3
EXE

E-100
範例2:(1 + 1)2+2 = 16
1.
2.「^(」( ),
然後按 鍵。
3.
範例3:23= 8
1.
2.「3」( ),
然後按 鍵。
3.
範例4:(√2+1) (√2-1) = 1
1.
2.「√(」( ),
然後按 鍵。
3.
4.「√(」( ),
然後按 鍵。
5.
範例5:5
√32 = 2
1.
2.「x√(」( ),
然後按 鍵。
3.
範例6:3
√5 + 3
√-27 = -1.290024053
1.
2.「3
√(」( ),
然後按 鍵。
3.
4.「3
√(」( ),
然後按 鍵。
5.
EXE
EXE
EXE
EXE
EXE
EXE
EXE
1)(
(
+1
2)
+2
CTLG
EXE
2)+1
2
CTLG
5
CTLG
CTLG
CTLG
EXE
) (
CTLG
5)+
2 7 )
(-)
CTLG
2)-1)
EXE
3 2 )
EXE
EXE

E-101
◆直角極座標轉換
轉換成極座標(Pol)
Pol(X, Y) X:指定直角座標X軸數值
Y:指定直角座標Y軸數值
●計算結果
θ
顯示範圍為-180度<
θ
≦180度
●計算結果
θ
會以計算機預設的角度單位顯示。
●計算結果 r會設定為變數X,
θ
則設定為變數Y。
轉換成直角座標(Rec)
Rec( r,
θ
)r:指定極座標的 r值
θ
:指定極座標的
θ
值
●依計算機的預設角度單位,
θ
值輸入會被視為角度值。
●計算結果 x 會設定為變數X,y 則設定為變數Y。
●如果您不是單獨執行座標轉換,而是在算式中進行,計
算時只會採用轉換出的第一個數值(r 值或X值)。
範例:Pol (√
2,√2) +5 = 2 + 5 = 7

E-102
範例1:(X, Y) = (√2,√2) →( r,
θ
)
1.
2.「Pol (」( ),
然後按 鍵。
3.
範例2:( r,
θ
) = (2, 30) →(X, Y)
1.
2.「Rec (」( ),
然後按 鍵。
3.
◆其他函數
本節說明如何使用下列函數:
!、Abs(、Ran#、nPr、nCr、Rnd(
■Factorial (!)(階乘函數)
這個函數會得出一個0或正整數的階乘乘積。
範例:(5 + 3)! = 40320
1.
2.「!」( ),
然後按 鍵。
3.
Deg
Deg
EXE
EXE
EXE
CTLG
SHIFT
(√)
(,)
5 2 )
SHIFT
)
SHIFT
(√)
5
2) )
EXE
CTLG
SHIFT
2)(,) 3 0 )
EXE
(5 3 )
+
CTLG
EXE

E-103
■絕對值計算(Abs)
執行實數計算時,可以運用這個函數得到絕對值。
範例:Abs (2 –7) = 5
1.
2.「Abs(」( ),
然後按 鍵。
3.
■隨機亂數(Ran#)
此項函數可產生小於1的三位數假亂數。
範例:產生三位數的隨機亂數
小數點三位隨機亂數乘以1000後即轉換為正整
數。請注意,圖例中的數值僅供示範。
1.
2.「Ran#」( ),
然後按 鍵。
3.
EXE
EXE
CTLG
2
1 0 0 0
7)
-
EXE
CTLG
EXE
EXE
EXE

E-104
■排列(nPr)與組合(nCr)
這些函數可用來執行排列組合運算。
n 和r 須為正整數,範圍為0 ≦r≦n<1 ×1010。
範例:從10個人挑出4個人共有多少種排列組合?
1.
2.「P」( ),
然後按 鍵。
3.
1.
2.「C」( ),
然後按 鍵。
3.
■四捨五入函數(Rnd)
這個函數可將函式引數中的數值或運算式結果,四捨五入
轉成先前設定的有效位數。
螢幕顯示位數設定:Norm1或Norm2
尾數四捨五入至10位數
螢幕顯示位數設定:Fix或Sci
數值四捨五入至設定的位數
範例:200 ÷7 ×14 = 400
(指定算至小數點第三位)
1.
2.「Fix」( ),
然後按 鍵。
3.
4.
5
EXE
EXE
1 0
CTLG
4
EXE
1 0
CTLG
4
EXE
200÷7
×1 4
EXE
EXE
EXE
ESC
3
SETUP

E-105
(計算執行時內部使用15位數計算)
以下進行相同運算,但加上四捨五入。
(將數值四捨五入至指定的位數)
(檢查四捨五入後的結果)
(Rnd)
200÷7
EXE
200÷7
EXE
EXE
×1 4
EXE
×1 4
EXE
SHIFT
0

E-106
本節所有計算都是在STAT模式( )下進行。
■選擇統計計算類型
進入STAT模式後,螢幕會出現統計計算類型選擇畫面。
◆統計運算類型
使用 選擇項目,然後按 。
◆輸入樣本資料
■顯示STAT Editor Screen(編輯畫面)
從其它模式進入STAT模式時,螢幕即會顯示STAT Editor
Screen(編輯畫面)。請在STAT選單中,選擇一個統計
計算類型。若您已在STAT模式畫面中,請按 (S-
MENU) (Data)叫出編輯畫面。
STAT
EXE
選單項目 統計計算
1-VAR 單變數
A+BX 線性迴歸
_+CX2 二次迴歸
ln X 對數迴歸
e^X e指數迴歸
A•B^X ab指數迴歸
A•X^B 乘方迴歸
1/X 反向迴歸
SHIFT STAT
2

E-107
■STAT Editor Screen(編輯畫面)
STAT編輯畫面有兩種,依您所選擇的統計計算類型而有
所不同。
●STAT編輯畫面的第一行顯示第一個樣本的數值,或是
第一對樣本的數值。
■FREQ(頻率)欄位
如果您在計算機設定畫面中開啟了Statistical Display(統
計顯示)項目, STAT編輯畫面中就會出現「FREQ」欄
位。
您可以使用FREQ欄位來指定每個樣本值的頻率(相同樣
本出現在母體的次數)。
■從STAT編輯畫面輸入樣本數據的規則
●您輸入的數據會插入游標所在的儲存格,使用
即可在儲存格間移動游標。
●STAT編輯畫面中可輸入數值或算式與COMP模式相
同,但請注意,STAT編輯畫面不具下列功能:計算過
程記憶多重操作、多重表式輸入、設定財務計算變數。
●輸入數據資料時,按 可清除目前輸入內容。
●輸入數值後,按 即可登錄輸入的數值,並在目前選
擇的儲存格顯示出來,最多可到六位數。
單變數統計 雙變數統計
AC
EXE

E-108
範例:在儲存格X1中輸入數值123.45
(將游標移至儲存格X1)
■STAT 編輯畫面輸入注意事項
●由於您所選擇的統計資料類型不同,以及計算機設定畫
面(E-21頁)中Statistical Display(統計顯示)的設定
不同,STAT編輯畫面的行數(您所能輸入的樣本資料
數值個數)也會有所不同。
●下列輸入類型無法在STAT編輯畫面中執行。
●、(M-)操作
●指派變數項(STO)
●財務計算變數項(VARS)
■樣本數據儲存注意事項
●STAT Editor與CASH模式的DataEditor均將資料儲存在
相同的區域。
●若從計算機設定畫面變更Statistical Display(統計顯示)
的設定(會使FREQ欄位出現或隱藏),之前所儲存的
樣本資料即會自動刪除。
您輸入的數值會出現在公式區
數值登錄後游標會向下移一格儲存格
OFF(關閉) ON(開啟)
(無FREQ欄位) (有FREQ欄位)
單變數項 80行40行
雙變數項 40行26行
SHIFT
M+M+
統計顯示
統計類型
123●4 5
EXE

E-109
■編輯樣本資料
取代儲存格內的資料
1.在STAT編輯畫面中,移動游標至欲編輯的儲存格。
2.輸入新的資料數值或算式,然後按 。
重要!
●新輸入的資料必須完全取代儲存格內的現有資料,您無
法只編輯部分舊有資料。
刪除行
1. 在STAT編輯畫面中,移動游標至欲刪除的欄位行。
2.
插入行
1. 在STAT編輯畫面中,移動游標至欲插入行的下一行。
2. (S-MENU) (Edit)
3. (Ins)
重要!
●STAT編輯畫面的行數已滿,則無法再插入一行。
刪除所有STAT編輯內容
1. (S-MENU) (Edit)
2. (Del-A)
●此時即可清除STAT編輯畫面上的所有資料。
注意
●只有STAT編輯畫面顯示於螢幕時,才可執行「插入行」
和「刪除所有STAT編輯內容」等步驟。
◆STAT計算畫面
在STAT編輯畫面輸入數據後,執行統計計算時即會出現
STAT計算畫面。螢幕顯示STAT編輯畫面時,可按 下
切換至STAT計算畫面。
EXE
DEL
SHIFT STAT
3
SHIFT STAT
3
1
2
AC

E-110
◆使用STAT選單
螢幕上顯示STAT編輯畫面或STAT計算畫面時,按
(S-MENU)即可顯示STAT選單。
單變數項或雙變數項的STAT選單模式各有不同。
■STAT選單項目
一般項目
SHIFT STAT
單變數項統計 雙變數項統計
1
2
4
選單項目 功能
Type 顯示統計計算類型選擇畫面
Data 顯示STAT編輯畫面
Edit 顯示編輯STAT Editor Screen的Edit子
選單
Sum 顯示Sum子選單,以計算總和
Var 顯示Var子選單,以計算平均數、標準
差
MinMax 顯示MinMax子選單,以計算最大、最
小數值
3
5
6

E-111
雙變數項選單項目
■單變數項(1-VAR)統計計算指令
選擇單變數項統計計算後,再從STAT選單中選擇
(Sum)、(Var)或(MinMax),即會出現子選
單,子選單上會顯示下列指令。
每個指令所用的計算公式
Sum子選單( (S-MENU) (Sum))
Var子選單( (S-MENU) (Var))
選單項目 功能
Reg
顯示Reg子選單,執行迴歸計算
.如需更多資料,請參閱E-117頁「線
性迴歸計算(A+BX)指令」和E-
121頁「二次(複)迴歸計算
(_+CX2)指令」。
7
4 5 6
SHIFT STAT
4
選單項目 功能
Σx2樣本數據的平方和
Σx樣本數據的總和
1
2
選單項目 功能
n樣本數目
x樣本數據平均值
x
σ
n母體標準差
x
σ
n-1 樣本標準差
2
3
4
1
5
STAT
SHIFT

E-112
MinMax子模式( (S-MENU) (MinMax))
單變數項統計計算
範例1:選擇單變數項(1-VAR)並輸入下列數據:{1, 2,
3, 4, 5, 6, 7, 8, 9, 10}
(FREQ:ON)
準備
1.
2.「STAT「( ),然後按 鍵。
3. (On)
範例2:使用插入與刪除,將數據變更為:{0, 1, 2, 3, 4,
5, 6, 7, 9, 10} (FREQ:ON)
選單項目 功能
minX 最小值
maxX 最大值
1
2
EXE
SETUP
1
1
(1-VAR)
EXE
STAT
EXE
2
EXE
3
EXE
4
EXE
5
EXE
6
EXE
7
EXE
8
EXE
9
EXE
0
EXE
1
AC
(S-MENU) (Data)
SHIFT STAT
2
6
SHIFT STAT

E-113
範例3:將FREQ數據變更為下列數據:
{1, 2, 1, 2, 2, 2, 3, 4, 2, 1} (FREQ:ON)
●範例4到範例7全部使用與範例3相同的資料數據。
範例4:計算樣本數據的平方總和,以及樣本數據的總和
(Edit) (Ins)
(S-MENU)
SHIFT STAT
3 1
DEL
AC
AC
(S-MENU) (Data)
SHIFT STAT
2
2
EXE
2
EXE
2
EXE
2
EXE
4
EXE
3
EXE
2
EXE
1
EXE
(S-MENU) (Sum)
SHIFT STAT
4
(Σx2)

E-114
範例5:計算樣本數量、平均值和母體標準差
範例6:計算最小值與最大值
(S-MENU) (Sum)
SHIFT STAT
4
(S-MENU) (Var)
SHIFT STAT
5
(S-MENU) (MinMax)
SHIFT STAT
6
(S-MENU) (MinMax)
SHIFT STAT
6
(S-MENU) (Var)
SHIFT STAT
5
(S-MENU) (Var)
SHIFT STAT
5
2
EXE
(Σx)
1
EXE
(n)
2
EXE
(x)
3
EXE
(x
σ
n)
1
EXE
(MinX)
2
EXE
(maxX)

E-115
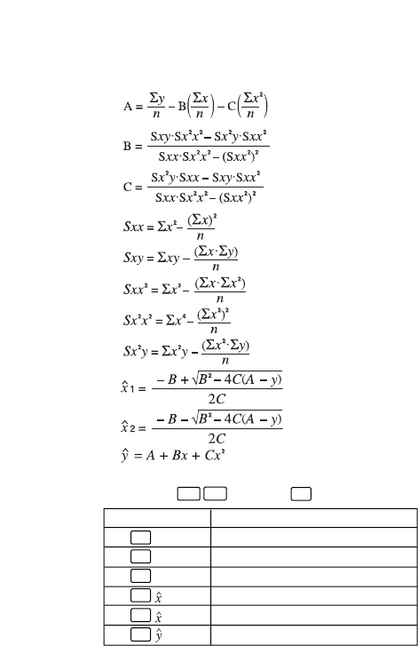
■線性迴歸計算(A+BX)指令
在線性迴歸中,迴歸計算方程式如下:
選擇線性迴歸為統計計算類型後,再從STAT選單選擇
(Sum)、(Var) 、(MinMax) 或(Reg),即
會出現子選單,子選單包含以下指令。
每個指令所使用的計算公式
4 5 6 7

MinMax子模式( (S-MENU) (MinMax))
E-116
Sum子模式( (S-MENU) (Sum))
1
選單項目 功能
Σx2X數據的平方總和
ΣxX數據的總和
Σy2Y數據的平方總和
ΣyY數據的總和
Σxy X數據與Y數據乘積總和
Σx3X數據的立方總和
Σx2yX數據平方乘以Y數據的總和
Σx4X數據的四次方總和
2
3
4
5
6
7
8
1
選單項目 功能
minX X數據中的最小值
maxX X數據中的最大值
minY Y數據中的最小值
maxY Y數據中的最大值
2
3
4
1
選單項目 功能
n樣本數目
xX數據平均值
xσnX數據母體標準差
xσn-1 X數據樣本標準差
yY數據平均值
yσnY數據母體標準差
yσn-1 Y數據樣本標準差
2
3
4
5
6
7
SHIFT STAT
4
SHIFT STAT
5
Var子模式( (S-MENU) (Var))
SHIFT STAT
6

E-117
Reg子模式( (S-MENU) (Reg))
線性迴歸計算
●範例8到範例10皆使用範例7中的輸入數據
範例7:
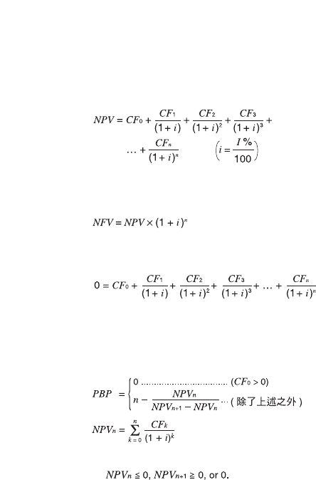
1.
2. 「STAT」( ),然後按 鍵。
3. (Off)
SHIFT STAT
7
1
選單項目 功能
A迴歸係數常數項A
B迴歸係數B
r相關係數r
x估計值
y估計值
2
3
4
5
XY XY
1.0 1.0 2.1 1.5
1.2 1.1 2.4 1.6
1.5 1.2 2.5 1.7
1.6 1.3 2.7 1.8
1.9 1.4 3.0 2.0
EXE
SETUP
2
STAT
EXE
(A+BX)
1
EXE
1●2
EXE
2●7
EXE
1●6
EXE
1●5
EXE
2●1
EXE
1●9
EXE
2●5
EXE
2●4
EXE
3
EXE

E-118
範例8:
1
EXE
1●2
EXE
1●1
EXE
1●4
EXE
1●3
EXE
1●6
EXE
1●5
EXE
1●8
EXE
1●7
EXE
2
EXE
AC
(S-MENU) (Sum)
SHIFT STAT
4
(S-MENU) (Var)
SHIFT STAT
5
5
EXE
(Σxy)
3
EXE
(x
σ
n)
4
EXE
(maxY)
(S-MENU) (MinMax)
SHIFT STAT
6

E-119
範例9:
範例10:
估計值 ( y = 3 →= ?)
估計值 ( x = 2 →= ? )
■二次(複)迴歸計算(_+CX2)指令
在二次迴歸中,迴歸計算方程式如下:
(S-MENU) (Reg)
SHIFT STAT
7
1
EXE
(A)
(S-MENU)
SHIFT STAT
72
EXE
(B)
(Reg)
(S-MENU)
SHIFT STAT
73
EXE
(r)
( )
(Reg)
(S-MENU)
SHIFT STAT
74
EXE
(Reg)
3
( )
(S-MENU)
SHIFT STAT
75
EXE
(Reg)
2

選單項目 功能
A迴歸係數常數項A
B迴歸係數的線性係數B
C迴歸係數的二次係數C
1x1的估計值
2x2的估計值
y的估計值
E-120
各指令所使用的計算公式
Reg子模式( (S-MENU) (Reg))
SHIFT STAT
7
1
2
3
4
5
6

E-121
●Sum子選單(sums)、Var子選單(樣本數目、平均
值、標準差)和MinMax子選單(最大值、最小值)的
操作方式皆與線性迴歸相同。
二次迴歸計算
●範例11到範例13皆使用範例7的輸入數據(E-119頁)
範例11:
範例12:
(S-MENU) (Type)
SHIFT STAT
1
EXE
(_+CX2)
AC
(S-MENU) (Reg)
SHIFT STAT
7
1
EXE
(A)
(S-MENU)
SHIFT STAT
7
2
EXE
(B)
(Reg)
(S-MENU)
SHIFT STAT
7
3
EXE
(C)
(Reg)

E-122
範例13:
y = 3 →1 =?
y = 3 →2 =?
x = 2 →=?
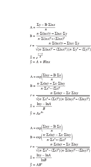
■其他迴歸類型的計算指令
如需有關每個迴歸類型所含的計算公式指令,請參考指定
的計算公式。
( 1)
(S-MENU)
SHIFT STAT
7
4
EXE
(Reg)
3
(S-MENU)
SHIFT STAT
7
(Reg)
3
(S-MENU)
SHIFT STAT
7
(Reg)
2
( 2)
5
EXE
( )
6
EXE
統計計算類型 模型方程式
對數迴歸(ln X)y = A + BlnX
e指數迴歸(e^X)y = AeBX
ab 指數迴歸(A˙B^X)y = ABX
乘方迴歸(A˙X^B)y = AXB
反向迴歸(1/X)y = A + B
X

E-123
對數迴歸(ln X)
e 指數迴歸(e^X)
ab指數迴歸(A˙B^X)

E-124
乘方迴歸(A˙X^B)
反向迴歸(1/X)

E-125
迴歸曲線比較
●以下範例使用範例7的輸入資料(E-119頁)
範例14:比較對數迴歸、e指數迴歸、ab 指數迴歸、乘
方迴歸與反向迴歸的相關係數。
(FREQ:OFF)
(S-MENU) (Type)
SHIFT STAT
1
(S-MENU) (Type)
SHIFT STAT
1
(S-MENU) (Reg)
SHIFT STAT
7
EXE
(In X)
3
EXE
(r)
(S-MENU) (Reg)
SHIFT STAT
7
3
EXE
(r)
AC
EXE
(e^X)
AC
(S-MENU) (Type)
SHIFT STAT
1
3
EXE
(r)
EXE
(A˙B^X)
(S-MENU) (Type)
SHIFT STAT
1
3
EXE
(r)
(A˙X^B)
(S-MENU) (Type)
SHIFT STAT
1
(S-MENU) (Reg)
SHIFT STAT
7
3
EXE
(r)
EXE
(1/X)
AC
(S-MENU) (Reg)
SHIFT STAT
7
AC
EXE
(S-MENU) (Reg)
SHIFT STAT
7
AC

E-126
其他類型的迴歸計算
範例15:y = A + Blnx
1.
2.「STAT」( ),然後按 鍵。
3. (Off)
xy
29 1.6
50 23.5
74 38.0
103 46.4
118 48.9
EXE
SETUP
2
STAT
EXE
(In X)
2 9 5 0
3 8
EXE
7 4
EXE
1 8
EXE
EXEEXE
1●6
EXE
32 ●5
EXE
64 ●4
EXE
84 ●9
EXE
(S-MENU)
SHIFT STAT
71
EXE
(A)
(Reg)
(S-MENU)
SHIFT STAT
72
EXE
(B)
(Reg)
(S-MENU)
SHIFT STAT
73
EXE
(r)
(Reg)
(S-MENU)
SHIFT STAT
75
EXE
( )
(Reg)
(S-MENU)
SHIFT STAT
74
EXE
( )
(Reg)
AC
x= 80 + = ?
y= 73 + = ?
8 0
7 3
10 3
EXE
1

E-127
範例16:y = AeBx
1.
2.「STAT」( ),然後按 鍵。
3. (Off)
xy
6.9 21.4
12.9 15.7
19.8 12.1
26.7 8.5
35.1 5.2
EXE
SETUP
2
STAT
EXE
(e^X)
2 96 ●9
EXE
(S-MENU)
SHIFT STAT
71
EXE
(A)
(Reg)
(S-MENU)
SHIFT STAT
72
EXE
(B)
(Reg)
(S-MENU)
SHIFT STAT
73
EXE
(r)
(Reg)
(S-MENU)
SHIFT STAT
75
EXE
( )
(Reg)
(S-MENU)
SHIFT STAT
74
EXE
( )
(Reg)
AC
x= 16 →= ?
y= 20 →= ?
1 6
2 0
1●
EXE
9 81 ●
EXE
6 72 ●
EXE
5 13 ●
EXE
1 42 ●
EXE
5 71 ●
EXE
2 1 8 ●5
EXE
5●2
EXE
1●
EXE

E-128
範例17:y= ABx
1.
2.「STAT」( ),然後按 鍵。
3. (Off)
xy
-1 0.24
34
5 16.2
10 513
EXE
SETUP
2
STAT
EXE
(A˙B^X)
(-)
1
EXE
3
EXE
5
EXE
(S-MENU)
SHIFT STAT
71
EXE
(A)
(Reg)
(S-MENU)
SHIFT STAT
72
EXE
(B)
(Reg)
(S-MENU)
SHIFT STAT
73
EXE
(r)
(Reg)
(S-MENU)
SHIFT STAT
75
EXE
( )
(Reg)
(S-MENU)
SHIFT STAT
74
EXE
( )
(Reg)
AC
x= 15 →= ?
y= 1.02 →= ?
1 5
0
EXE
1
20
.
1
0 4
●
EXEEXE
2 4
6●
EXE
2 5 1
EXE
31

E-129
範例18:y= AxB
1.
2.「STAT」( ),然後按 鍵。
3. (Off)
xy
28 2410
30 3033
33 3895
35 4491
38 5717
EXE
SETUP
2
STAT
EXE
(A˙B^X)
14 0
EXE
(S-MENU)
SHIFT STAT
71
EXE
(A)
(Reg)
(S-MENU)
SHIFT STAT
72
EXE
(B)
(Reg)
(S-MENU)
SHIFT STAT
73
EXE
(r)
(Reg)
(S-MENU)
SHIFT STAT
75
EXE
( )
(Reg)
(S-MENU)
SHIFT STAT
74
EXE
( )
(Reg)
AC
x= 40 →= ?
y= 1000 →= ?
4 0
2
30 3
EXE
3
98 5
EXE
3
94 1
EXE
4
17 7
EXE
5
0001
EXE
28
EXE
30
EXE
3 3
EXE
35
EXE
38

E-130
範例19:y= A+
1.
2.「STAT」( ),然後按 鍵。
3. (Off)
xy
1.1 18.3
2.1 9.7
2.9 6.8
4.0 4.9
4.9 4.1
EXE
SETUP
2
STAT
EXE
(1/X)
●
8 3
EXE
(S-MENU)
SHIFT STAT
71
EXE
(A)
(Reg)
(S-MENU)
SHIFT STAT
72
EXE
(B)
(Reg)
(S-MENU)
SHIFT STAT
73
EXE
(r)
(Reg)
(S-MENU)
SHIFT STAT
75
EXE
( )
(Reg)
(S-MENU)
SHIFT STAT
74
EXE
( )
(Reg)
AC
x= 3.5 →= ?
y= 15 →= ?
.5
1
51
9●7
EXE
6●8
EXE
4●9
EXE
4●1
EXE
3
B
x
1●1
EXE
4
EXE
2●9
EXE
2●1
EXE
4●9
EXE

E-131
■指令使用提示
●若有大量的樣本數據,則Reg子選單中所包含的指令在
計算對數迴歸、e 指數迴歸、ab 指數迴歸或乘方迴歸
時,可能要花費較長的時間才能算出結果。

E-132
◆計算優先順序
本計算機執行計算時乃根據計算優先順序進行。
●基本上,計算皆為由左到右。
●括弧中的算式需優先計算。
●以下依序列出各指令的計算順序
1. 帶有括號的函數:
Pol(, Rec(
sin(, cos(, tan(, sin-1(, cos-1(, tan-1(, sinh(, cosh(,
tanh(,sinh-1(, cosh-1(, tanh-1(
log(, ln(, e^(, 10^(, √(, 3
√(
Abs(
Rnd(
2. 前有數值、乘方、乘方根的函數:
x2, x3, x-1, x!, 0, r, g, ^(, x
√(
百分數:%
3. 前行符號:(-)(負號)
4. 統計估計值計算: 、 、 1、2
5. 排列、組合:nPr、nCr
6. 乘號與除號:×、÷
乘號省略之處:π、e、變數(2π、5A、πA等)前,
以及帶有括號的函數(2√(3)、Asin(30)等)前,皆省
略乘號
7. 加號與減號:+、-
計算負數時,您可能必須將此負數用括號括起來。例如,
若您想將-2平方,就必須輸入(-2)2,因為x2為「前有
數值的函數」(上列第2優先),必須先行計算,才能再計
算屬於「前行符號」的負號(上列第3優先)。

E-133
範例:
-22= -4 1.
2.
3. 「2」( ),然後按 鍵。
4.
(-2)2= 4 1.
2.
3. 「2」( ),然後按 鍵。
4.
乘法與除法,以及省略乘號的乘法(第6優先權)都具有
相同優先權,所以若算式含有上述部分,需從左到右執行
計算。如果將某計算部分括弧起來,則括弧內部的算式需
優先計算,因此,使用括弧可能會導致不同的計算結果。
範例:
1 ÷2π= 1.570796327
1 ÷(2π) = 0.1591549431
(-)
2
(-)
(2
EXE
CTLG
EXE
EXE
CTLG
EXE
)
(π)
1÷2
SHIFT
x10
x
EXE
(π)
1÷2
SHIFT
x10
x
EXE
(
)

E-134
◆堆疊限制
本計算機使用稱為stacks(堆疊)的記憶區,用來暫時儲
存較低優先順序的數值、指令與函數。numeric stack
(數值堆疊)具10階,command stack(指令堆疊)則有
24階,如下表所示。
2×( ( 3 + 4 ×( 5 + 4 ) ÷3 ) ÷5 ) + 8 =
所謂堆疊錯誤(Stack ERROR)是指您在執行計算時,
某個堆疊區的容量已經無法負荷。
數值堆疊 指令堆疊
12 1×
23 2(
34 3(
45 4+
54 5×
:6(
7+
:
1 2 3 4 5
1 2 3 4 5 6 7

E-135
◆計算範圍、位數和精確度
計算範圍,內部計算使用到的位數,以及計算的精確度,
都依您所執行的計算類型而有所不同。
計算範圍與精確度
計算範圍 ±1 ×10-99 到9.999999999 ×1099 或0
內部計算容納位數 15位數
精確度 一般說來,單一計算時,精確度可達第10位
數±1;指數答案的精確度則達最小有效數
字±1;連續計算時會累積誤差。
函數計算輸入範圍與精確度

E-136
●基本上,此處精確度同於E-137頁「計算範圍與精確度」
所述。
●^(xy)、x√
y、3√、x!、nPr、nCr等類型之函數需要連續
進行內部運算,每次計算時可能會累積誤差。
●誤差會累積,而且在靠近函數的奇異點 (singular point)
與反曲點 (inflection point) 時有增大的傾向。

E-137
財務計算範圍
◆特殊財務計算錯誤訊息
複利模式
計算「n」時
I% ≦-100 Math ERROR
計算「I%」時
「PV」、「PMT」、「FV」為相同符號
Math ERROR
n≦0 Math ERROR
所計算的「i%」值 ≦ -100 Math ERROR
計算「PV」、「PMT」、「FV」時
I% ≦-100 Math ERROR
現金流量模式
計算「NPV」時
I% ≦-100 Math ERROR
計算「IRR」時
所計算的「IRR」值 ≦ -50 Math ERROR
所有的收入/支出數值為相同符號
Math ERROR
P/Y 從1到9999的自然數
C/Y
PM1 從1到9999的整數
PM2 PM1<PM2
d1
1901年1月1日到2099年12月31日
1902年1月1日到2097年12月30日
(只限BOND模式)
d2
1901年1月1日到2099年12月31日
1902年1月2日到2097年12月31日
(只限BOND模式)
j正自然數
YR1 從1到12的自然數

E-138
折舊模式
計算「折舊」值時
「PV」、「FV」、「i%」有一個或以上者為負值時
Math ERROR
n > 255 Math ERROR
j > n + 1 (YR1 12) Math ERROR
YR1 > 12 Argument ERROR
債券模式
計算「PRC」時
不符合RDV ≧0,CPN ≧0 Math ERROR
計算「YLD」時
CPN大於0:不符合RDV ≧0,PRC ≦0
Math ERROR
CPN 為0:不符合RDV > 0,PRC < 0
Math ERROR
◆錯誤訊息
計算結果超出計算範圍、輸入錯誤等類似問題發生時,本
計算機會顯示錯誤訊息。
■錯誤訊息出現時…
以下是出現錯誤訊息時的一般處理方式。
●按下 或 ,即可顯示錯誤訊息發生前,您所使用
的算式編輯畫面,游標會停留在錯誤之處。如需更多資
訊,請參閱E-27頁「顯示錯誤點」一節。
●按 ,即可清除錯誤算式,如有需要,您可以重新輸
入,再計算一次。請注意,此時,原來的計算過程不會
儲存於計算過程記憶中。
Math ERROR(數學錯誤)
原因
●計算的中間結果或最終結果超出可容許的計算範圍。
●您所輸入的數值超出了可容許的輸入範圍。
AC
≠

E-139
●您的計算操作違反了數學規則(例如除以0)。
解決方法
●檢查輸入的數值,確定合乎容許的計算範圍。請參閱F-
137頁「計算範圍、位數與精確度」章節。
●使用獨立記憶項或變數項作為函數的引數時,請確認記
憶項或變數數值符合該函數的容許範圍。
●請參閱「特殊財務計算錯誤訊息」一節(E-139),瞭
解財務計算時可能出現的錯誤訊息資訊。
Stack ERROR(堆疊錯誤)
原因
●您所執行的計算超出數字堆疊或指令堆疊容量。
解決方法
●簡化算式,以免超過堆疊記憶容量。
●將算式拆解,分成兩個以上的算式。
Syntax ERROR(語法錯誤)
原因
●您所執行的算式發生格式問題。
解決方法
●做出必要的修正
Argument ERROR(引數錯誤)
原因
●財務條件不足以進行財務計算(例如YR1 > 12)。
解決方法
●檢查輸入數值,確認符合計算範圍。請參閱E-137頁
「計算範圍、位數與精確度」一節。
●請參閱「特殊財務計算錯誤訊息」一節(E-139),瞭
解財務計算時可能出現的錯誤訊息資訊。

E-140
■在認定計算機故障之前…
計算過程中若出現錯誤,或計算結果不符合您的預期,請
執行下列步驟。請依序執行,至解決問題為止。
注意,執行這些步驟前,請先備份重要資料。
1. 檢查計算算式,確認沒有任何錯誤。
2. 確認您所執行的計算類型使用了正確的模式。
3. 如果上述步驟沒有解決您的問題,按鍵讓計算機執行
例行檢查,看看計算功能是否正常,如果計算機發現
任何異常之處,會自動初始化計算模式並清除記憶內
容。有關計算機初始化設定的細節,請參閱E-3頁「初
始化計算機」章節。
4. 執行下列操作,初始化所有模式和設定:
(1) (CLR)
(2) 「All:EXE」( ),然後按 鍵。
(3) (Yes)
(4)
9
ON
AC
SHIFT
EXE
EXE

E-141
◆電池規格與電池更換
FC-200V
本計算機使用雙電源系統,結合太陽能電池及G13型鈕釦
電池(LR44)。一般說來,若只配備太陽能電池,就只能
在相當亮的光線下操作,然而雙電源系統只要光線足以看
見螢幕時,就能持續操作。
■更換電池
若在陰暗處螢幕顯示模糊,或開啟計算機時,螢幕上無任
何顯示,就表示電量偏低。請注意,鈕釦電池完全沒電,
就無法使用計算機。上述任一情況發生時,請更換鈕釦電
池。
即使計算機操作正常,仍應至少每三年更換一次電池。
重要!
●取下計算機的鈕釦電池後,即會清除獨立記憶和變數設
定值。
1. 按(OFF)關閉計算機。
●為免更換電池時誤觸開關,請用所附之硬質外殼覆
蓋計算機正面。
2. 取下背面的螺絲及電池蓋。
3. 取下舊電池。
AC
SHIFT

E-142
4. 用乾布擦拭新電池,裝入計算機,正極面朝上。
5. 裝回電池蓋,旋緊螺絲。
6. 操作下列按鍵:
(1) (CLR)
(2) 「All:EXE」( ),然後按 鍵。
(3) (Yes)
(4)
●請務必依序操作按鍵,切勿跳過。
●更換電池後,計算機會自行初始化,包括快速鍵和函數
快速鍵。如需更多資訊,請參閱「初始化計算機」一節
(E-3頁)。
FC-100V
採一顆三號電池(AAA)供電(R03(UM-4))。
■更換電池
螢幕顯示模糊不清,表示電量偏低。低電量下持續操作會
導致操作錯誤。螢幕顯示模糊時,請立即更換電池。
即使計算機操作正常,仍應至少每二年更換一次電池。
重要!
●取下計算機電池後,即會清除獨立記憶項內容與變數數
值。
9
ON
AC
SHIFT
EXE
EXE

E-143
1. 按(OFF)關閉計算機。
2. 取下背面的螺絲及電池蓋。
3. 取下舊電池。
4. 裝入新電池,確認正 負
極方向正確。
5. 裝回電池蓋,旋緊螺絲。
6. 操作下列按鍵:
(1) (CLR)
(2) 「All:EXE」( ),
然後按 鍵。
(3) (Yes)
(4)
.請務必依序操作按鍵,切勿跳過。
自動關閉電源
計算機閒置6分鐘後會自動切斷電源。電源關閉後,只要
再按 一下即可重新開啟。
AC
SHIFT
+-
9
ON
AC
SHIFT
EXE
ON
EXE

E-144
FC-200V
電源需求:
太陽能電池: 內建於計算機正面處
鈕釦型電池: G13型(LR44)× 1
電池壽命: 大約3年(以每天操作1個小時計)
操作溫度:0℃至40℃
尺寸:12.2(H) ×80(W) ×161 (D) mm
1/2"(H) ×31/8"(W) ×65/16「(D)
大約重量:105克(3.7盎司)含電池
配件:硬質外殼
FC-100V
電源需求:
三號電池: R03(UM-4) ×1
電池壽命: 約17,000小時(以可顯示閃爍游
標為準)
功率消耗:0.0002W
操作溫度:0℃至40℃
尺寸:13.7(H) ×80(W) ×161 (D) mm
9/16"(H) ×31/8"(W) ×65/16「(D)
大約重量:110克(3.9盎司)含電池
配件:硬質外殼