Communication Network Interface CNI-810D Two way pager User Manual Manul
Communication Network Interface Inc. Two way pager Manul
This is EUT user manual

Note: This report may not be duplicated without prior written consent of Bay Area Compliance
Laboratory Corporation. This report must not be used by the client to claim product
endorsement by NVLAP or any agency of the U.S. Government.
FCC PART 90 TYPE APPROVAL
EMI MEASUREMENT AND TEST REPORT
ABOUT EUT USER MANUAL FOR
COMMUNICATION NETWORK INTERFACE, INC.
51-2, SungSan 1-dong, Mapo-gu
SEOUL 121-251, KOREA
FCC ID: N79CNI-810D
May 2, 1999
This Report Concerns:
Original Report
Equipment Type:
Two Way Messenger
Test Engineer: John Chan
Test Date: May 2, 1999
Certified By:
John Y. Chan - Director, Compliance Engineering
Prepared By: Bay Area Compliance Laboratory Corporation
230 Commercial Street, Suite 2
Sunnyvale, CA 94086
(408) 732-9162

Communication Network Interface, Inc. FCC ID: N79CNI-810D
EUT Block Diagram FCC Part 90 Type Approval report
Page 2 of 16
TABLE OF CONTENTS
1 - GENERAL INFORMATION........................................................................................................................... 3
1.1 PRODUCT DESCRIPTION FOR EQUIPMENT UNDER TEST (EUT) ..........................................................................3
APPENDIX A –EUT USER MANUL....................................................................................................................4

Communication Network Interface, Inc. FCC ID: N79CNI-810D
EUT Block Diagram FCC Part 90 Type Approval report
Page 3 of 16
1 - GENERAL INFORMATION
1.1 Product Description for Equipment Under Test (EUT)
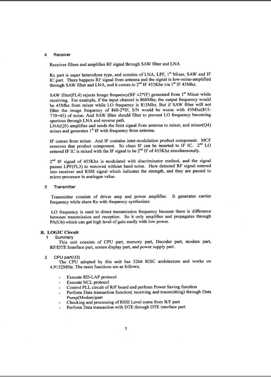
The Communication Network Interface, Inc., FCC ID N79CNI-810D ( TWO WAY MESSENGER) or the
"EUT" as referred to in this report is a digital data communication equipment in accordance with Motorola
DataTac 5000 RD-LAP 19.2 specification. The frequency it uses ranges from 806 MHz to 821 MHz for
transmission and from 851 MHz to 866 MHz for reception. The EUT measures 105.7mm L x 70.5 mm W
x 17.6mm H.
Basic Specification include:
• Weight: 163g
• Power: 4.2 V Ni-MH
• RF protocol: RD-LAP 19.2 on DataTAC 5000
• Host protocol: DataTAC NCL 1.2
• Etc.

Communication Network Interface, Inc. FCC ID: N79CNI-810D
EUT Block Diagram FCC Part 90 Type Approval report
Page 4 of 16
Appendix A –EUT USER MANUL

Communication Network Interface, Inc. FCC ID: N79CNI-810D
EUT Block Diagram FCC Part 90 Type Approval report
Page 5 of 16

Communication Network Interface, Inc. FCC ID: N79CNI-810D
EUT Block Diagram FCC Part 90 Type Approval report
Page 6 of 16

Communication Network Interface, Inc. FCC ID: N79CNI-810D
EUT Block Diagram FCC Part 90 Type Approval report
Page 7 of 16

Communication Network Interface, Inc. FCC ID: N79CNI-810D
EUT Block Diagram FCC Part 90 Type Approval report
Page 8 of 16

Communication Network Interface, Inc. FCC ID: N79CNI-810D
EUT Block Diagram FCC Part 90 Type Approval report
Page 9 of 16

Communication Network Interface, Inc. FCC ID: N79CNI-810D
EUT Block Diagram FCC Part 90 Type Approval report
Page 10 of 16

Communication Network Interface, Inc. FCC ID: N79CNI-810D
EUT Block Diagram FCC Part 90 Type Approval report
Page 11 of 16

Communication Network Interface, Inc. FCC ID: N79CNI-810D
EUT Block Diagram FCC Part 90 Type Approval report
Page 12 of 16

Communication Network Interface, Inc. FCC ID: N79CNI-810D
EUT Block Diagram FCC Part 90 Type Approval report
Page 13 of 16

Communication Network Interface, Inc. FCC ID: N79CNI-810D
EUT Block Diagram FCC Part 90 Type Approval report
Page 14 of 16

Communication Network Interface, Inc. FCC ID: N79CNI-810D
EUT Block Diagram FCC Part 90 Type Approval report
Page 15 of 16

Communication Network Interface, Inc. FCC ID: N79CNI-810D
EUT Block Diagram FCC Part 90 Type Approval report
Page 16 of 16