Craftsman 11320680 User Manual 6 1 Manuals And Guides L0904719
CRAFTSMAN Jointer/Planer Manual L0904719 CRAFTSMAN Jointer/Planer Owner's Manual, CRAFTSMAN Jointer/Planer installation guides
113.20680 L0904719
User Manual: Craftsman 11320680 11320680 CRAFTSMAN CRAFTSMAN 6 1 - Manuals and Guides View the owners manual for your CRAFTSMAN CRAFTSMAN 6 1 #11320680. Home:Tool Parts:Craftsman Parts:Craftsman CRAFTSMAN 6 1 Manual
Open the PDF directly: View PDF
.
Page Count: 32

owners
manual
MODEL NO.
113.20680
Serial
Number
Model and serial
number may be found
on a plate attached
to your infeed table.
You should record both
model and serial number
in a safe place for
future use.
CAUTION-.
Read GENERAL
and ADDITIONAL
SAFETY
INSTRUCTIONS
carefully
CRRFTSMRNo
6_- INCH JOIN TER-PLA NER
.assembly
ooperating
erepair parts
Sold by SEARS, ROEBUCK AND CO., Chicago, IL. 60684 U.SA.
Part No, 67018

FULL ONE YEAR WARRANTY ON CRAFTSMAN JOINTER/PLANER
This warranty_giVes you specific legal rights; and you may :alsohaveother rights which vary from state to state.
SEARS. ROEBUCK AND CO.
BSC 41-3
SEARS TOWE R
CHICAGO, I L 60684
general safety instructions for power fools
KNOW YOUR POWE R TOOL
Read the owner's manual carefully, Learn its
application and limitations as well as the specific
potential hazards peculiar to this tool.
13. SECURE WORK
Use damps or avise to hold work when practical. It's
safer than using your hand. frees both hands to operate
tool.
2. GROUND ALL TOOLS 14. DON'T OVERREACH
This tool is equipped with an approved 3-conductor Keep proper footing and balance at all times.
cord and a 3-prong grounding type plug to fit the
proper grounding type receptacle. The green conductor 15. MAINTAIN TOOLS WITH CAR E
in the cord is the grounding wire. Never connect the Keep tools sharp and clean for best and safest
green wire to a live terminal, performance. Follow instructions for lubricating and
3. KEEP GUARDS IN PLACE changing accessories.
in working order, and in proper adjustment and 16. DISCONNECT TOOLS
alignment, before servicing; when changing accessories such as
4. REMOVE ADJUSTING KEYS blades,bits, cutters, etc,
AND WRENCHES
Form habit of checking to see that keys and adjusting 17. AVOID ACCIDENTAL STARTING
wrenches are removed from toot before turning it on. Make sure switch is in "OFF" position before plugging
in.
5. KEEP WORK AREA CLEAN
Cluttered areas and benches invite accidents. Floor 18. USE RECOMMENDED ACCESSORIES
must not be slippery due to wax or sawdust, Consult the owner's manual for recommended
accessories. Follow the instructions that accompany
-6, AVOID DANGEROUS ENVIRONMENT the accessories. The use of improper accessories may
Don't use power tools in damp or wet locations or cause hazards,
expose them to _r_ain.: Keep, work area well lighted,
Provide adequate surrounding work space. _:: : z19_:NEVER STAND ON TOOL
7 k'l=l=P r_l-lllr_Rl=l_i _ "Serious in'ur cou d occur f the too ti if the
.................... •-,WAY : . ,. jyis pped or
cutting too s accidentally contacted
All visitors should 5ekept a Safe ........ .
area, ,Donor store materials above or near the tool .such that
8. MAKE WORKSHOP KID-PROOF iris necessary to stand on the toot to reach them.
- with padlocks, master switches, or by removing
starter keys. 20. CHECK DAMAGED PARTS
9. DON'T FORCE TOOL Before further use of the tool, a guard or other part that
It will do the job better and safer at the rate for which is damaged should be carefully checked to ensure that it
it was designed, will operate properly and perform its intended function.
10. USE RIGHT TOOL Check for alignment of moving parts, binding of moving
Don't force tool or attachment to do a job it was not parts, breakage of parts, mounting, and any other
designed for, conditions that may ,affect its operation. A guard or
11. WEAR PROPER APPAREL other part that is damaged should be properly repaired
or replaced,
Do not wear loose clothing, gloves, neckties or jewelry
(rings, wrist watches) to get caught in moving parts;
Nonslip footwear is recommended. Wear protective 21. DIRECTION OF FEED
hair covering to contain long hair. Roll long sleeves : Feed work into a blade or cutter against the direction
above the elbow, of rotation of the blade or cutter only.
: 12, USE SAFETY GOGGLES (Head Protection)': • :
: Wear:Safety og es (must corn I wth ANSZ87 1)at : i 22. NEVER LEAVE TOOL RUNNING
:: ati times. A_so g Use::: face orP_tYust mask ill.cuffing: _: UNATTENDED
:operation is duSty_i andear protectors:(piugs,or muffS): :Turn power off. Don't eave tool until t comes to a
duringextended:_HodsiOf opel_atiort.= _:-: :: :: : complete stop.

additionaB safety instructions for iointer-paaner
Safety is a combination of operator common sense and
alertness at all times when the Jointer-Ptaner is being used.
WARNING: FOR YOUR OWN SAFETY, DO NOT AT-
TEMPT TO OPERATE YOUR JOINTER-PLANER UNTIL
IT IS COMPLETELY ASSEMBLED AND INSTALLED
ACCORDING TO THE INSTRUCTIONS,.. AND UNTIL
YOU HAVE READ AND UNDERSTOOD THE FOLLOW-
ING,
PAG E
t. GENERAL SAFETY INSTRUCTIONS FOR POWER
TOOLS .............................. 2
2. GETTING TO KNOW YOUR JOINTER-PLANER ..12
3. BASIC MACHINE OPERATION .............. 19
4. USE OF HOLD-DOWN/PUSH BLOCKS ......... 20
5. MAINTENANCE ........................ 22
6. STABILITY OF MACHINE
If there is any tendency for the Jointer-Planer to tip
over or move during certain operations such as when
planing or jointing long heavy boards, the Jointer-
Planer (stand) should be bolted to the floor,
7. LOCATION
The Jointer-Planer should be positioned so neither the
operator nor a casual observer is forced to stand in line
with the wood while it is being planed.
This machine is intended for indoor use only. Provide
adequate lighting.
8. KICKBACKS
Kickbacks can cause serious injury. A kickback occurs
when the operator looses control of the workpiece
causing it to be kicked back toward him.
Kickbacks - and possible injury from them can usually be
avoided by:
a,
b.
Holding the workpiece firmly against tables and fence.
Not taking too deep a cut at one time. A deep cut
requires more effort to feed the wood while planing
and can cause the wood to kickback. A cut between
1/32 and 1/16 of an inch deep will produce the best
results.
C. Not jointing, planing, or beveling pieces of wood
smaller than recommended. (See section in this man-
ual,'BasicJointer-Planer Operations.") Smaller pieces
of wood can tip over on the tables, or into the cutter
head and can be kicked back toward you.
d. Keeping blades sharp. BIades that are dull or nicked
require more effort While planing and will tend to
pound the wood rather than cut it, which can cause
the wood to kickback. A nicked blade will cut a rid-
ge in your wood and cause the wood to ride up on the
outfeed table, Make sure the cutter blades are in-
stalled properly, and cutter blade wedge screws are
tight.
9. PROTECTION: EYES, HANDS, FACE, EARS, BODY
a. If any part of your jointer is malfunctioning, has been
damaged or broken.., such as the motor switch, or
other operating control, a safety device or the power
cord ...cease operating immediately until the
particular part is properly repaired or replaced.
b. Wear safety goggles that comply with ANSZ87. 1-
1968, and a face shield if operation is dusty. Wear
ear plugs or muffs during extended periods of opera-
tion.
C,
d_
e.
f.
g.
h_
Do not plane, joint, or bevel wood shorter than t2
in. Smaller pieces of wood can tip over on the
tables, or into the cutterhead and be kicked back to-
ward you.
Always use the hold down/push block when jointing
or beveling wood narrower than 3 in. but never joint
or bevel wood narrower than 3/4 in. under any cir-
cumstances.
Always use the hold down/push blocks when planing
wood thinner than 3 in. but never plane wood thinner
than 1/2 in. under any circumstances.
Avoid awkward hand positions, where a sudden slip
could cause a hand to move into the cutters.
Never turn your Jointer-Planer "ON" before clearing
the table(s) of all objects (tools, scraps of wood, etc.)
except for the workpiece and related feed or support
devicesfor the operation planned.
Make sure the cutterhead revolves in the right direc-
tion, (toward the infeed table).
KEEP CUTTER GUARD IN PLACE AND OPERAT-
ING PROPERLY AT ALL TIMES. Regularly check
the tension of the cutter guard spring to assure
satisfactory operation. (See Getting To Know Your
Jointer-Planer section,}
Always feed the wood completely through the cutter
head and past the cutter guard so that the guard re-
turns to the rest position against the fence. When
using only one hold down/push block to feed the
wood, do not place your other hand on the Jointer-
Planer.
10. Warped wood should be surface planed on the concave
sidefor best results.
11. To avoid a rough planed surface, determine if possible,
which way the grain emerges from the wood and feed
the wood accordingly.
_%"GRAIN EMERGtN/G
12. Do not plane edges of plywood, composition materials,
or wood that has glue on it or is painted or varnished.
Planing these materials will dull the blades quickiy.
3

additional safety instructions for a'ointer-pmaner ....
TO BECOME COMMONPLACE. ALWAYS REMEMBER
THAT A CARELESS FRACTION OF A SECOND IS
depth wanted, then raise the table to the desired depth_ SUFFICIENT TO INFLICT SEVERE INJURY.
14_:When planing, jointing, or beveling wood over:four (4)
feet Iongi make sure it is supported at table height. 17: Read and followthe instructions appearing on the danger
label on the cutter guard.
15.: Never leave the Jointer-Planer work area with the power
on; before the Jointer-Planer has come to a complete
stop, or without removing and storing the switch key.
16, Never operate the Jointer-Planer with protective cover
on the unused shaft end of the motor removed.
WARNING: THE 2" JOINTER-PLANER PULLEY AND
THE 2-1/2"" MOTOR PULLEY FURNISHED WILL RUN
THE CUTTER HEAD AT APPROXIMATELY 4300 RPM
WHEN USED WITH A 3450 RPM MOTOR. NEVER
SUBSTITUTE OTHER PULLEYS TO INCREASE THIS
SPEED BECAUSE IT COULD BE DANGEROUS.
WARNING: DO NOT ALLOW FAMILIARITY (GAINED
FROM FREQUENT USE OF YOUR JOINTER-PLANER)
3.
4.
DANGER
FOR YOUR OWN SAFETY
READ AND FOLLOW SAFETY INSTRUCTIONS IN
OWNERS MANUAL BEFORE OPERATING THIS MA-
CHINE.
NEVER OPERATE THIS MACHINE WITH THE CUT-
TER GUARD, SLIDING GUARD OR BELT GUARDS
REMOVED.
NEVER MAKE J01NTING OR PLANING CUTS DEEP-
ER THAN 1/16 INCH,
ALWAYS USE HOLD DOWN/PUSH BLOCKS FOR
JOINTING MATERIAL NARROWER THAN 3 iNCHES
OR PLANING MATERIAL THINNER THAN 3 INCHES.
The operation of any power tool can result in foreign
objects being thrown into the eyes, which can result in
severe eye damage. Always wear safety goggles complying
with ANSI Z87.1 (shown on Package) before commencing
power tool operation. Safety Goggles are available at Sears
retail or catalog stores.
cOntents
POWER TOOL GUARANTEE. ................... 2
GENERAL SAFETY INSTRUCTIONS FOR
POWER TOOLS .......................... 2
ADDITIONAL SAFETY INSTRUCTIONS FOR
JOINTER-PLANER ........................ 3
MOTOR SPECl FICATtONS AND ELECTRICAL
REQUIREMENTS ......................... 5
Connecting to Power Source Outlet ............ 5
Check Motor Rotation .................... 5
UNPACKING AND CHECKING CONTENTS ....... 6
ASSEMBLY ............................. 7
Mounting Jointer-Planer On Recommended
Craftsman Stand ........................ 7
Checking Cutterblade Screws ................ 7
Installing Sliding Guard .................... 8
Mounting Recommended Craftsman Motor and 8
Belt Guards ...........................
Check Motor Rotation. .................... 9
Jointer-Pulley Belt Guard Installation ........... 11
GETTING TO KNOW YOUR JOINTER-PLANER .... 12
Depth of Cut Handwheel .................. 12
Fence Locks and Stops .................... 13
Fence Tilt Scale ......................... 13
Cutterguard ............................ 15
Infeed Table ........................... 15
On-Off Switch .......................... 17
BASIC JOINTER-PLANER OPERATION ......... 19
Feeding the Workpiece .................... 19
Using the Hold Down/Push Blocks ............ 20
Beveling .............................. 21
MAINTENANCE .......................... 22
Replacing Cutter Blades.................... 22
Installing Cutter Guard Spring ............... 24
Sharpening Cutter Blades .................. 25
GENERAL MAINTENANCE .................. 26
WIRING DIAGRAM ........................ 26
LUBRICATION .......................... 26
TROUBLE SHOOTING ...................... 27
RECOMMENDED ACCESSORIES .............. 27
REPAIR PARTS ............. ............. 28
4

motor specifications and electrical requirements
]'his machine is designed to use a 3450 RPM motor only.
Do not use any motor that runs faster than 3450 RPM.
It is wired for operation on 1t0-120 volts, 60 Hz,, alter-
nating current. IT MUST NOT BE CONVERTED TO
OPERATE ON 230 VOI.TS. EVEN THOUGH SOME OF
]-HE RECOMMENDED MOTORS ARE DUAL VOLTAGE.
THESE CRAFTSMAN MOTORS HAVE BEEN
FOUND TO BE ACCEPTABLE FOR USE ON
THIS TOOL.
HP RP.___M VOLTS CATALOG NO.
1/2 3450 110-120 12t6
t/2 3450 110-120 1218
3/4 3450 1t0-120 1219
3/4 3450 t10-120 1226
CAUTION: Do not use blower or washing machine motors
or any motor with an automatic reset overload protector
as their use may be hazardous,
CONNECTING TO POWER SOURCE OUTLET
This machine must be grounded while in use to protect
the operator from electric shock.
Plug power cord into a 1 t0-120V properly grounded type
outlet protected by a 15-amp. time delay or Circuit-Saver
fuse or circuit breaker.
If you are not sure that your outlet is properly grounded,
have it checked by a qualified electrician,
WARNING: DO NOT PERMIT FINGERS TO TOUCH
THE TERMINALS OF PLUGS WHEN INSTALLING OR
REMOVING THE PLUG TO OR FROM THE OUTLET.
WARNING: IF NOT PROPERLY GROUNDED THIS
POWER TOOL CAN INCUR THE POTENTIAL HAZARD
OF ELECTRICAL SHOCK, PARTICULARLY WHEN USED
IN DAMP LOCATIONS IN PROXIMITY TO PLUMBING.
IF AN ELECTRICAL SHOCK OCCURS THERE IS THE
POTENTIAL OF A SECONDARY HAZARD SUCH AS
YOUR HANDS CONTACTING THE CUTTING BLADE.
!f power cord is worn or cut, or damaged in any way, have
it replaced immediately.
PROPERLY
GROUNDED
OUTLET.
3--PRONG
PLUG
GROUNDING
PRONG
This power tool is equipped with a 3-conductor cord and
grounding type plug which has a grounding prong, approved
by Underwriters' Laboratories and the Canadian Standards
Association. The ground conductor has a green jacket and
is attached to the tool housing at one end and to the ground
prong in the attachment piug at the other end.
This plug requires a mating 3-conductor grounded type
outlet as shown.
If the outlet you are planning to use for this power toot is
of the two prong type DO NOT REMOVE OR ALTER
THE GROUNDING PRONG tN ANY MANNER. Use an
adapter as shown and always connect the grounding tug to
known ground.
It is recommended that you have a qualified electrician
replace the TWO prong outlet with a properly grounded
THREE prong outlet.
An adapter as shown below is available for connecting plugs
to 2-prong receptacles. The green grounding lug extending
from the adapter must be connected to a permanent ground
such as to a properly grounded outlet box,
MAKE SURE THIS IS
CONNECTED TO A
KNOWN GROUND
2-PRONG
RECEPTACLE ------'-_
GROUNDING LUG
ADAPTER
/3--PRONG
"-""-_.F._,/ PLUG
NOTE: The adapter iltustrated is for use only if you already
have a properly grounded 2-prong receptacle. Adapter is
not allowed in Canada by the Canadian Electrical Code.
The use of any extension cord will cause some loss of
power. To keep this to a minimum and to prevent over-
heating and motor burn-out, use the table below to deter-
mine the minimum wire size (A.W.G.) extension cord. Use
only 3 wire extension cords which have 3-prong grounding
type plugs and 3-pole receptacles which accept the tools
plug.
Extension Cord Length Wire Size A.W.G.
Upto 100 Ft. !4
100- 200 Ft, 12
200- 400 Ft. 8
CHECK MOTOR ROTATION
WARNING: FOR YOUR OWN SAFETY, MAKE SURE
PLUG IS NOT CONNECTED TO POWER SOURCE OUT-
LET WHEN CHANGING MOTOR ROTATION.
The motor must rotate COUNTERCLOCKWISE when
viewed from the shaft end to which you wit_ mount the
pulley, (See page 9), if it does not, change the direction
according to the instructions furnished with the motor.

C • i ¸ . • • • •• •
unpacking and heckmg contents:
Your: jointer:planer is ;shipped: complete in one carton
(_thou_: motor or Stand)_
Separateatl parts from packing materials and check each
item ;with illustration and "*Tabie: of Loose Parts'. Make
certain all items are accounted for, before discarding any
packing material.
If any parts are missing, do not attempt to assemble the
jointer-ptaner, plug in thepower cord or turn the switch on
until the missing parts are obtained and installed correctly.
Using a 1/2 inch wrench, remove the wood attached to the
machine. Save the nuts, bolts and washers. You will need
them for attaching the machine to the stand.
Remove the protective 0il that is applied to all unpainted
metal surfaces. Be careful when cleaning the cutter head.
Use any ordinary household type greaseand spot remover.
CAUTION: Never use gasoline, na_ha or similar highly
volatile solvents.
Wipe all parts thoroughly with aclean cloth.
Apply a coat of automobile wax to the tables and fence.
This will help prevent rust and make it easier to feed the
work while planing.
3 4
1,,.
Qty.
1 : Jointer-Planer ....................... 1
12 .i V:Belt, li2x 52". .................... !
IV-Belt, 1/2 x 37", .................... 1
3 5/32 Setscrew Wrench .................. 1
4 1/8 Setscrew Wrench ................... 1
5 Motor Pulley, 2-1/2"' Dia ................ 1
6 Sliding Guard Knob ................... 1
7 Concave Washer ...................... 2
8 Sliding Guard ....................... 1
9 Sliding Guard Rod .................... 1
10 Nut, 1/2- 13 ........................ 1
11 Lockwasher, 1/2 ..................... 1
12 Lockwasher, No. 10 ................... 2
13 Screw, Pan Hd., 10- 32 x !/4 ............. 2
14 Owners Manual ...................... 1
15 Depth of Cut Handwheel ................ 1
16 Screw, Sims, 1/4 -20 x 1-1/4 ............. 1
17 Jointer-Ptaner Belt Guard ............... t
18 Attaching Hardware (2 Nuts, 2 Bolts)
19 Motor Pulley Belt Guard ................ 1
20 Belt Guard Clips ..................... 3
21 Belt Guard Support Bracket .............. 1
22 Belt Guard Support ................... 1
23 2 self tapping screws
24 Switch Key ......................... 2
t25 Hold OownlPush Block .... • • ..._.. ..... 2
eSu pplied in Canada Only
5
14
21 20
19
18 t7
16
II IIII IIII II II I I III , I, 11 HI IIIIIIIIIIII I I "'; '": ' , ......................................................
•• : : ;::•:•: : :/:i/: :i' %•
Square

assembly
MOUNTING JOINTER-PLANER ON RECOM-
MENDED CRAFTSMAN STAND
(NOT SUPPLIED IN CANADA)
See page 27 for recommended stand.
PARTS NEEDED
Nuts, Bolts and Washers removed when unpacking Jointer.
1- Round Hd. Mach. Screw t/4-20 x1-t/4 in. with Ext.
Tooth Lockwasher attached
1- Depth of Cut Handwheel
TOOLS NEEDED
1/2 in. Wrench
Medium Screwdriver
1, Loosen FENCE LOCK KNOB.Tilt fence upward and slide
{t toward the pulley.
2, Place the machine on the stand as shown, and align
mounting holes.
3. Place a fiat washer, a lock washer and a nut on each boff
from underneath the stand and tighten.
NOTE: The length of threads may vary on some bolts
and it may be necessary to add extra flat washers in order
to tighten the nuts securely,
FENCE LOCK
KNOB
1-1/4 IN. SCREW
It _.,2"/ _ _ FLAT WASHER
4, Place handwheel on shaft aligning flat surfaces on shaft
with flat surfaces on handwheel,., attach with 1-1/4 in.
screw.
.....: ......................................... i,,, i i nl i i.,
CHECKING CUTTER BLADES AND SCREWS
TOOLS NEEDED
5/32" and 1/8" Setscrew Wrenches (furnished with
Jointer).
Lead Pencil
Short straight edge (or head of combination square)
1. Insert pencil in space at end of cutterhead to hold
cutterhead guard open.
2. Lower the infeed table with the Depth of Cut
HandwheeL
3. Rest the straight edge on edge on the surface of outfeed
table so it extends across the opening between the
tables, at three positions: near each end and at the
middle of the cutter blade.
4, Rotate the cutterhead by grasping the 2" dia. driven
pulley and make sure each knife ticks (touches) the
straight edge at all three positions, If not, follow
procedure under "REPLACING CUTTER BLADES" on
ppg. 22 &23.
OUTFEED TABLE
WEDGE
5/32 IN. SETSCREW
WRENCH
PENCI L
CUTTER GUARD
5. If a cutter blade adjustment is not required, check each
locking screw of each wedge (5/32" setscrew wrench)
and tighten if necessary. Hold the pu{le¥ whiie
tightening screws and be careful that your fingers do not
slip off the wrench."
7

assembly
:= INSTALLING SLIDING GUARD
PARTS NEEDED
1; Sliding Guard
1: Sliding Guard Knob
1Sliding Guard Rod
2 SlidingGuard Washers (one side of washer is concave)
1Hex. Nut 1/2 in.- 13
1 Split Iockwasher 1/2 in.
2: EXt. tooth lockwashers
2 10-32x 1/4 Pan Hd. Screws
1. screw nut all the way onto long end of rod.., place
1/2 in. lockwasher next to nut.
2. Screw rod all the way into Jointer with short end up...
tighten nut.
1/2 IN. HEX NUT
SLIDING GUARD ROD
,: :i •:: i¸:•:I:
3. Attach sliding guard to fence with two machine screws
and Iockwashers.
4. Place one Sliding Guard Washer, concave side DOWN on
support rod.
5. Drop sliding guard onto rod.., place other washer, con-
cave side UP on rod.., screw on Sliding Guard Knob.
SLIDING GUARD KNOB
10-32xl/4 SCREWS
EXT. TOOTH
LOCKWASH ERS
WASHER
(CONCAVE SIDE UP)
MOUNTING RECOMMENDED CRAFTSMAN
MOTOR AND BELT GUARDS
See page 5 for recommended motors.
PARTS NEEDED
4 carriage bolts, 5/16 -18 x 1in., flat washers, lock washers
and nuts supplied with Craftsman Stand.
1 Jointer Planer Belt Guard
1 Motor Pulley Belt Guard
IBelt Guard Support
1BeltGuard Support Bracket
3 Belt Guard Clips
1:Motor Pulleys,2-1/2 in; dia.
11 V-Bett:..
2 Pan Head S_rews 10 - 32 x 1/2 in. ......... '
2 Hex. Hd. Screws 1/4 -20x 1/2 in.
2 Hex. Nuts 1/4- 20
TOOLS NEEDED
Medium Screwdriver
5/32 in. Setscrew Wrench (furnished with Jointer)
1/2 and 7/16 in. Wrenches
8

1. Place motor on your workbench with 5/8 in. dia. shaft
(with key way) facing you.
2. Attach guard support to bracket with two screws.
NOTE: The holes in the bracket are not threaded, but
the screws are "thread cutting screws" and will cut a
thread as they are tightened.
5/8 IN. DIA. SHAFT
BELT GUARD
SUPPORT
BRACK ET BELT GUARD
SUPPORT
PAN HID. SCREWS
3, Loosen setscrew in motor pulley and place pulley on
shaft with hub flush with end of shaft, insert motor
shaft key and tighten setscrew.
CHECK MOTOR ROTATION
The motor must route COUNTERCLOCKWISE when
viewed from PULLEY end.
1. Place motor on your workbench or on floor,
2. Stand clear of motor and plug cord into a properly
grounded outlet (See page 5). Notice rotation of pulley.
If it is not turning COUNTERCLOCKWISE, REMOVE
plug from outlet, and change rotation of motor accord-
ing to instructions furnished with motor.
WARNING: FOR YOUR OWN SAFETY, MAKE SURE
PLUG IS NOT CONNECTED TO POWER SOURCE OUT-
LET WHEN CHANGING ROTATION.
5/32 IN,
SETSCREW
WRENCH
\,
DIRECTION
OF
ROTATION
FLUSH HERE
MOTOR
SHAFT
KEY
1. Insert carriage bolts through holes marked "X" from
behind motor mount bracket.
2, Attach motor . . , place a flat washer and a lock
washer on each bolt . . . screw on nuts but DON'T
TIGHTEN them.
3. Loosen the two BELT GUARD SUPPORT SCREWS.
4. Loosen the two MOTOR BASE CLAMP SCREWS and
rotate the motor so that the ventilation holes are
facing downward.., tighten the screws.
5. Tighten the BELT GUARD SUPPORT SCREWS.
9
MOTOR MOUNT
BRACKET
o
BELT GUARD
SCREWS
/
.VENTILATION HOLES
FACING DOWNWARD
BASE
JCLAMP SCREWS
(BOTH ENOS_ _

assembly
6. Install three clips on belt guard 90° apart with long tabs
pointing AWAY from round opening.
7. Insert belt into open end of guard.
BELT
/
_'_"BELT GUARD CLIPS
(90 ° APART)
8. Snap guard into position as shown.
=.
10

.
10,
11.
12.
13,
Remove knob and washer.., lift guard up.
Place belt onto Jointer pulley by rotating the pulley.
MAKE SURE BELT HAS NOT SLIPPED OFF OF
MOTOR PULLEY.
Move motor sideways so that both pulleys are in line.
PUSH downward on motor to apply tension to belt and
tighten nuts on motor mounting bolts.
NOTE: It is only necessary to tension the belt so that it
does not slip while running,
If you cannot obtain sufficient tension with motor push-
ed all the way down, remove the four motor bolts and
insert them in LOWER set of holes.
NOTE: To remove guard, lift up on LONG TABS of
clips. ,. pull guard outward. The clips should remain on
BELT GUARD SUPPORT.
JOINTER-PULLEY BELT GUARD
INSTALLATION
1. Attach guard to stand with Hex. Hd. screws and nuts,
Make sure belt does not scrape on guard.
2. Replace washer CONCAVE side up... screw on knob,
BOLT.
WASH ER
(CONCAVE
SIDE UP)

geffing iointer-planer
WARNING: FOR YOUR OWN SAFETY TURN SWITCH
"OFF" AND REMOVE PLUG FROM POWER SOURCE
OUTLET BEFORE MAKING ANY ADJUSTMENTS,
FENCE TILT SCALE
(BEHIND FENCE)
FENCE
LOCK
KNOB
:FENCE
OUTFEED TABLE
2
SLIDING GUARD
KNOB 1NFEED
TABLE
l
SLIDE
BRACKET
: : .... 4 CUTTER GUARD ON-OFF
SWITCH DEPTH OF CUT
HANDWHEEL
"I. DEPTH OF CUT HAN DW H EEL i _:Turning the
handwheet counterclockwise will lower the infeed
table to maximum depthof:i/8 in.
12
INFEED DEPTH OF CUT
TABLE HANDWHEEL
UP
DOWN

,FENCE LOCKS AND STOPS. The fence can be
moved across the Jointer to take full advantage of the
"sharpness" of the blades.
The fence should be positioned to the extreme right
(toward pultey) but not beyond the end of the blades.
Most of the cutting (usually jointing) will be done with
the fence in this position, As the blades become dull,
the fence can be moved toward the left where the
blades are sharper.
To move the fence, loosen the Fence Lock Knob and
the Sliding Guard Knob and slide to desired position.
Make sure SLIDE BRACKET is even with surface of
OUTFEED TABLE. If it is above or below the surface,
loosen screws and adjust it.
a. Always tighten fence lock knob first to align fence,
then tighten sliding guard knob.
b. Before tightening fence lock knob, hold fence
down on outfeed table so it does not rock.
C, 90 ° Fence Stop positions fence square to tables.
To tilt fence, loosen the two knobs and pull the
stop out. Tilt to desired angle and tighten both
knobs.
d,
e,
To set fence at 90 ° to tables, loosen the two
knobs, tilt fence so the stop springs back into
place, Tilt fence back so the stop rests on the
table and tighten both knobs.
45 ° Fence Stop positions the fence at 45 °to the
tables.
f. To tilt fence to 45 °loosen the two knobs, pull
90 ° stop out, tilt fence so the 45 ° stop rests on the
table
g. Hold fence down on outfeed table and tighten the
two knobs.
PUSH DOWN
WHEN LOCKING
FENCE LOCK KNOB
FENCE
45° FENCE
STOP
90° FENCE
STOP
FENCE LOCK
KNOB
SLIDING GUARD KNOB
SLIDE BRACKET
=FENCE TILT SCALE, Indicates the angle of the
fence to the tables. When the 90°fence stop is cor-
rectly adjusted, the fence will be 90° to the table and
the scale wilt read 90 °.
To check for squareness, place an accurate square on
infeed tabte and check fence while locked at 90 °
position. MAKE SURE 90 ° STOP IS AGAINST
SLIDE BRACKET.
If fence is not square to table;
a. Slightly loosen fence lock knob and guard lock
knob.
\/
FENCE
90 ° FENCE'
STOP
TI LT SCALE
13
FENCE /
CUTTER
GUARD
SQUARE INFEED
TABLE

getting to know your iointer-planer
b, I_oosen 90°stop screw with small screwdriver and
turn knurled sleeve which will cause fence to tilt.
Turn sleeve in either direction until fence is square
with infeed table;
NOTE: tf you cannot square fence by turning
knurled sleeve, loosen three screws "A'" and adjust
fence square to table.
45 o ST
KNURLED _:
SLEEVE_. _.
90 o.STOPS%
C.
d_
Tighten 90° stop Iockscrew and both fence lock
knobs.
If 90 ° reading on tilt scale does not line up with
top surface of the slide bracket, loosen screws
holding scale and move it... tighten screws.
SCALE
ADJUSTING
-_SCREW
-., , oc sc.Ew
::.;:t_l_ II V_."'_ADJUSTING
SCREW
BRAC KE T
e. Adjust 45 ° stop in the same manner.
NOTE: Tilt scale wilt not require adjustment if it
was adjusted for 90 c position;
..... • Ly:+-:
FENCE
HEAD
OF
SQUARE INFEED
TABLE
14

A
_'. CUTTER GUARD, Provides protection over the
cutter head. it must always be in place and function-
ing properly,
Check the guard to make sure it is functioning pro-
per ly,
a, Position fence to right for maximum width of cut.
b. Pass a 1/4 in. thick piece of wood over cutterhead
between quard and fence,
Guard must return automatically to "rest position'"
against fence when free of the wood.
If guard does not return automatically, see Trouble
Shooting and Maintenance Sections.
CUTTER
GUARD
FENCE
INFEED TABLE
_. INFEEDTABLE:MUST ALWAYS BE PARAL-
LEL TO THE OUTFEED TABLE.
If the cut edge or surface of the workpiece is
CROWNED, it is an indication that the OUTWARD
END of the INFEED table is HIGH and must be
adjusted.
If the cut edge or surface of the workpiece is CON-
CAVE, it is an indication that the OUTWARD END
of the INFEED table is LOW and must be adjusted.
Check the infeed table to determine the "out of
parallel" condition.
CROWNED CUT
,.FEEDTAB'EEND HIGH
CONCAVE CUT
INFEED TABLE LOW
15

.getting toknow your iointer-ploner
b.
Insert a pencil in space at end of cutterhead to
hold cutterguard open.
Place a straightedge (large square or long level) on
outfeed table. First along one side than along the
other.
c. Raise infeed table until it touches straightedge.
d. Sight between table and straightedgeto determine
high or low condition of end of infeed table.
ROTATE
BLADE OUT OF
PENCIL
It is easier to adjust the infeed table while the Jointer is
setting on your workbench.
Do not turn the Jointer on its side or upside down to
adjust it.
Attach a stripof wood to two blocks of wood 10 in. high.
Drive enough nails into the strip so that Jointer does
not tip over while resting on blocks.
i
t
a. Remove motor cord from outlet in switch box,
b, Remove,joir_ter pulley guard and V:belt ..........
:, c. Remove Jointer from stand.
::: :::d, Lower theinfeed table,
::::e. Place Jointe_ioh biocksill_
• . •_: :i _i_¸::I•: : "
.... .... ......... • ii!i___i _i, :_ii;_:_ i'=_i _L,,,:,,,,,,,,II,I::?_
10 IN,
BLOCKS
: : OF WOOD
.i Ill
YOUR WORK
BENCH
f. Insert apencil in space at end of cutterhead to
hold cutterguard open,
g. Wrapa piece of cardboard aroUnd::cutterhead to
iprotect your fingers and the blades : ..secure
:cardboard with a piece of tape. ,
i i_i_i ii_i _i_i_i _:i:i_!_ iii_IL!__ii, :ii_i !i_;!ii!;i_i _
PENCIL
t
CARDBOAR D"
•16

h. Loosen four lock screws 2 or 3 turns with t/2 in.
wrench. v
VIEW LOOKING UP FOR PARTS IDENTIFICATION
Turning the LEVELING STUDS will RAISE or LOWER
the infeed table.
SCREWING in the studs will RAISE the table .,,
UNSCREWING them will LOWER the table,
a. With a 3/4 in. wrench turn leveling studs until
infeed table is parallel with straightedge.
b. While holding studs with wrench, TIGHTEN all
four LOCKSCREWS... tighten each screw a little
bit at a time until all four screws are tight.
c. Recheck with straightedge to make sure infeed
table is parallel to outfeed table.
ill "
6. ON-OFF SWITCH: It is untikely that it will be
turned "ON" accidentally, when touched or bumped,
because of the way it is shaped.
In an emergency, it can be turned "OFF" by striking
it with the palm of the hand.
The "yellow button" is a key. When inserted in the
switch lever, the power may be turned ON and OFF.
When it is removed, the power cannot be turned ON.
THtS FEATURE IS INTENDED TO PREVENT
UNAUTHORIZED AND POSSIBLE
HAZARDOUS USE BY CHILDREN AND
OTHERS.
a. Insert Key into switch. _
NOTE: Key is made of yellow plastic.
KEY
17

geffng to know your iomter-pJoner
b;To turn machine on, insert finger under Switch
lever and pull end of switch out.
/
c. To turn machine OFF... PUSH lever in.
Never leave machine unattended until it hascome
to a complete stop.
d. To lock switch in OFF position .:.. hold switch IN
with one hand _;. =REMOV E key with other hand;
WARNI NG': FOR YOUR OWN SAFETY, ALWAYS
LOCK THE SWITCH "OFF" WHEN MACHINE IS
NOT IN USE... REMOVE KEY AND KEEPIT IN
A SAFE PLACE ... ALSO ... IN THE EVENT OF A
POWER FAILURE (ALL OF YOUR LIGHTS GO
OUT) TURN SWITCH OFF,.. AND REMOVE
THE KEY. THIS WILL PREVENT THE MACHINE
FROM STARTING UP AGAIN WHEN THE POWER
COMES BACK ON.
PULL
e, Plug motor cord into outlet in switch box.
WARNi NG: DON'T CONNECT POWER CORD TO
ELECTRICAL OUTLET IN YOUR SHOP UNTIL
YOU ARE SURE THAT MOTOR ROTATION IS
CORRECT. (SEE PAGE 9h CORD
CORD
OUTLET
18

basic iointer-planer operation
For your own safety, ALWAYS use the hold downtpush
blocks when JOINTING wood that is NARROWER than
3 in .... _)r when PLANING wood that is THINNER than
3in.
Do not plane, joint or bevel wood shorter than t2 in,
Material this short is more difficult to control while
being cut. Small pieces of wood can tip over on the
tables or into the cutterhead and can be kicked back to-
ward you,
For best results, take light cuts. For average planing,
jointing, or beveling, a cut between 1/32 and 1/16 in,
deep wilt produce the best results.
FEEDING THE WORKPIECE
Hold the board firmly DOWN on both tables and
AGAINST the fence . . . keep fingers close together,
Feed the board at a continuous even rate of speed until
the cut is made along the entire length of the board. Any
hesitation or stopping could cause a "step" to be cut
on the edge of the board which would cause the board
to ride up on the outfeed table resulting in a "crooked"
edge on the board.
JOINTING WOOD THAT IS WIDER THAN 3 IN.
As the RIGHT hand passes over the cutterhead, remove
the LEFT hand . , . CONTINUE feeding while placing
the LEFT hand behind the RIGHT. Continue feeding
in this manner "hand over hand", until the entire
length of the board is cut.
DO NOT FEED TOO FAST. Aslow steady rate of feed
produces a smooth accurate cut, Feeding too fast causes
a "rippled" cut . . .makes it difficult to guide the
workpiece accurately and coutd be hazardous.
19
PLANING WOOD THAT IS THICKER THAN 3 IN.

ic iointer-planer operation
Always feed WITH THE GRAIN whenever possible. If
the nature of the workpiece is such that it must be fed
AGAINST THE GRAIN, take very light cuts and feed
slowly.
WITH THE GRAIN
AGAINST THE GRAIN
USING THE HOLD DOWN/PUSH BLOCKS
ALWAYS use the holddown/push blocks when JOINT-
ING wood that is NARROWER than 3 in. or planing
wood that is thinner than 3 in.
Grasp the hold down!push blocks firmly with the fingers
close together and wrapped around the handle. Position
them flat on top of workpiece, and push the workpiece
down against the table to provide a quality cut and
minimize the chance of a kickback.
Hold-down pressure must also be sufficient to prevent
hold-down/push block sliding or slipping on the top lace
of workpiece when advancing workpiece over cutter head,
Use a hand over hand motion of the hold down/push
blocks being careful to maintain control over the work-
piece at all times.
This means that once the workpiece has been fed past
cutter head onto outfeed table, one hold down/push
block must always maintain contact of workpiece with
outfeed table.
CAUTION_ ...... .......... BLOCKS tend
If: the HOLD:DOWN/PUSH to
slip while feedi_g_dean _ubber_surface immediately with
sandl_aper,.... :........
20:
/

When planing wood 3/4 in. thick and NARROWER than
the hold down!push block, ti]t the hold down/push
block so that it clears the top of the cutterguard while
feeding.
Never plane wood that is thinner than 1/2 in .... because
it is apt to split or shatter and thus has a greater tenden-
cy to kickback.
BEVELING
Adjust the fence to the desired angle .,, tighten fence
and guard lock knobs.
Follow the same procedure for jointing or planing.
NOTE: Removing only the corner on the edge of a board
is known as CHAMFERING.
Normally a chamfer is made with one cut.., therefore,
acut deeper than 1/t6 in. may be made.
Use hold down/push blocks for wood under 3 in. wide.
Position them so you have control of the workpiece at
all times and so they do not contact the guard or the
c_tter head.
CHAMFER BEVEL
NOTE: Rabbeting on a Jointer is considered to be a
dangerous operation because it requires removal of the
cutter guard and increases the potential of kickback be-
cause of excessive depth of cut.
Never attempt to perform a rabbeting operation on this
Jointer.
Rabbet cuts should be made on the Radial Saw or Table
Saw by making two cuts with the sawblade or by using
the Dado Head or Molding Head. Rabbet cuts can also
be made using the Shaper or Portable Router. RABBET CUT
21

BROCKOFWOOD
,,/
t: Remove belt guard. :......... _
2. POsitiOn fer_ce to right.., approximately I/4 in.
beyond cutter blades . , .lock it in=.place.
3. Lower infeed table atl the way down.
4_ Place block of wood 6-3/4 in. long between cutter-
guard and fence.
5. Hold cutterhead pulley firmly with one hand and
loosen lockscrews in each wedge using a 5/32 in,
setscrew wrench.
5/32 iN.
SETSCREW
WRENCH
HOLD PULLEY
FIRMLY
TURN COUNTER
CLOCKWISE
BLADE WEDGE
LI FTER LOCKSCREW
SCREW
FENCE NOT SHOWN
FOR PICTURE CLARITY
6. While holding cutterhead pulley firmly with one hand,
gently pry up each wedge using a screwdriver.., re-
move wedgesand blades.
I1
SMALL SCREWDRIVER
r

7, Remove the six lifter screws. (Two under each blade.)
8. Clean cutterhead, wedges and screws thoroughly with
Craftsman Gum and Pitch Remover. Also remove the
oil from new blades,
9. Replace the six lifter screws and screw them in all the
way, but do not tighten. Mark each slot 1, 2, and 3.
This wilf help you in setting the blades,
CUTTER HEAD
SETSCREW
MARK SLOTS
10, Insert a blade in slot marked 1 ,.. so it projects 1/16
in, beyond end of the cutterhead,
11. "tnsert a wedge next to blade so the flat side of the
wedge is against the blade. Push wedge in manually --
do not install two locking setscrews at this time."
t2.::_;Place head of square on outfeed table. Loosen lifter
screws to raise blade until it just touches square and
slightly raises it. Gently turn cutter head back and
forth with the pulley while raising blade. The blades
should be adjusted just slightly above the outfeed
table, by approximately .003 in. (thickness of an
average piece of paper},
NOTE: Sears has aknife setting gauge for this purpose. Cat.
# 9-2647
1/8 IN. SETSCREW WRENCH
HEAD OF
SQUARE \
TABLE
LIFTER SCREW
13. "Now install both locking setscrews and tighten (with
the 5/32" setscrew wrench) alternately a little at a
time. Tighten both screws securely, Recheck the blade
to make sure it did not change position,"
14. Install other two blades the same way.
/
f
23

:!.,..---SPRING
:I_ST_LLI:NG :CUTTER GUARD SPRING:: : FLAT WASHER _"-" SPRING 1
\suPPORTI
::'::: t, Remove €otter pin from pivot pin in cUttePguard:and \LOCK -_PLATE /
remove guard (located underneath infeed table.) WASHER"_., /
Spring must appear in sketch from underside of in- __'_ BUSHING
as SCREW
feed table, it will not perform properly if installed
upside down.
i
i
!,
VIEW LOOKING UP
FENCE
IN PLACE CUTTER
GUARD
1. Position guard asshown, with PIVOT PIN above hole
in infeed table.
2, Align SLOT in pin with TANG in spring, and press
down,
3. Replace cotter pin:
_OL[_' IN
_INFEED TABLE PIVOTPIN
r ..... i
4. RAISE end of FENCE, rotate guard COUNTER
clockwise only enough to CLEAR fence,
5. LOWER fence and tighten: bothknobs.
:i:Y•::!ii•::•:
LIFT
:_OTATE
COUNTER
CLOCKWISE
FENCE
24

The normal position of guard (at REST) when fence is
stationed at MAXIMUM WIDTH OF CUT, is shown as
"position "A" NEVER ROTATE GUARD BEYOND
POSITION "B'" BECAUSE THIS WOULD EXERT EX-
CESSIVE TENSION ON SPRING WHICH COULD
WEAKEN OR BREAK IT.
Check operation of GUARD and SPRING,
1. With fence in MAXIMUM WtDTH OF CUT position,
pass apiece of 1/4 in, thick wood on edge (jointing
position) over cutterhead.
2. The guard should return automatically to its REST
position against the fence when free of the wood.
3, If guard does not return to its REST position, remove
cotter pin from pivot pin and remove guard. Check
pivot pin and hole o.. make sure there are no burrs,
rust, or other foreign matter.
4. Apply afew drops of SAE No. 20 or No. 30 engine
oil to pivot pin.
5, Replace guard and cotter pin.
If guard still does not return to its REST position, con-
suit your local Sears Retail Store before using3 the
jointer-planer.
POSITION "A'"
WIDTH OF
CUT 1
SHARPENING CUTTER BLADES
The blades can be honed individually with an ordinary
oilstone,
Make sure your oilstone is not worn in the center. It
must be flat,
Be sure to remove the burr on the fiat side.
If the blades are nicked, they must be replaced or re-
ground. They can be reground several times until they
become 9/t6 in. wide. Never install reground blades less
than 9/16 in, wide.
Have your knives reground by someone who is com-
petent. Look in the "Yellow Pages" of your telephone
directory ... see "Sharpening Services".
8o
11/16 IN.
NEW BLADE
25

E
general: rna intenance
Keep your jointer-planer clean. Put a carton or some kind Do not allow chips to accumulate on the underside of the
of a Container underneath your jointer-planer to Catch jointer-planer.
the chips. The container should reach above the top of:
the motor. Frequently blow out any dust that may accumulate in-
side the motor.
Do not allow pitch to accumulate on the tables, the
fence, the cutter guard, the cutter head or the knives. For motor maintenance, follow instructions furnished
Clean them with Craftsman Gum and Pitch Remover. with motor.
Apply a thin coat of automobile-type wax to the tables
and fence so that the wood slides easily while feeding.
If power cord is worn or cut, or damaged in any way,
have it replaced immediately.
wiring: diagram
E
_MOTOR WHITE _
OUTLET 11 SWITCH Cap, Flag J
LI _ _ /',, Terminal- I
m m
m m
lubrication
The BALL BEARINGS in this machine are packed with
greaseatthe factory. They require no further lubrication.
The following parts should be oiled occasionally with
SAE No. 20 or No. 30 engine oil.
1. Dovetail spacer and dovetail slide.
2 !. Elevating screw(first Clean: with Craftsman Gum and
Pitch RemoVer). ,
DOVETAi L
SPACER AND S LIDE
VIEW LOOKING UP FOR
PARTS IDENTIFICATION

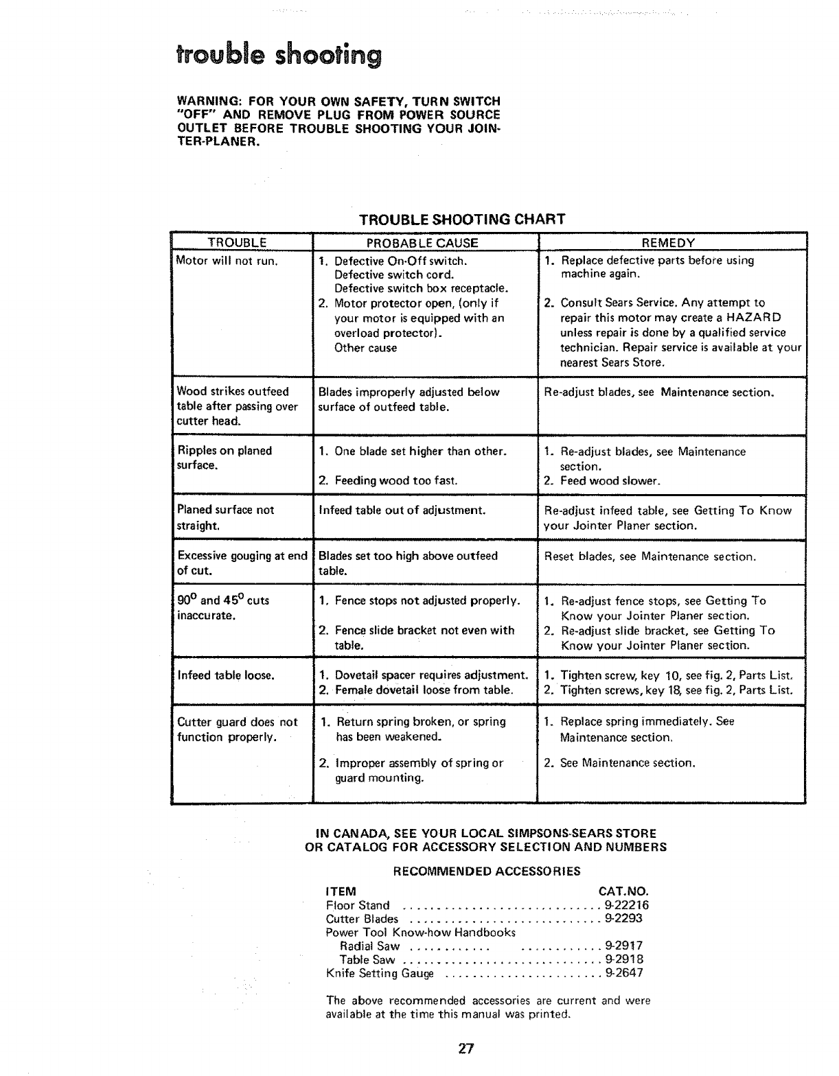
trouble shooting
WARNING: FOR YOUR OWN SAFETY, TURN SWITCH
"OFF" AND REMOVE PLUG FROM POWER SOURCE
OUTLET BEFORE TROUBLE SHOOTING YOUR JOIN-
TER*PLANER.
TROUBLE SHOOTING CHART
TROUBLE ,J,ll,u
Motor will not run, i'.
,,,i,, ,ll, ,, ,
Wood strikes outfeed
table after passing over
cutter head.
Ripples on planed
surface.
i,,,i, i i ii i
Planed surface not
straight.
Excessivegougingat end
of cut.
90° and 45 ° cuts
inaccurate.
,, LI i i i i
Infeed table loose.
Cutter guard does not
function properly.
PROBi_BLE CAUSE
I, Defective On-Off switch,
Defective switch cord.
Defective switch box receptacle.
2, Motor protector open, (only if
your motor is equipped with an
overload protector).
Other cause
,,J,_ _ ,J J, ,,,J,,
REMEDY
Replace defective parts before using
machine again.
2. Consult Sears Service. Any attempt to
repair this motor may create aHAZARD
unless repair is done by a qualified service
technician. Repair service is available at your
nearest Sears Store.
J"L''_J_'L"LLJ.... III I I I "' ""1 ' I1
Blades improperly adjusted below Re-adjust blades, see Maintenance section,
Isurface of outfeed table.
1. One blade set higher than other, t. Re-adjust blades, see Maintenance
section.
2. Feeding wood too fast. 2. Feed wood slower.
..=l.l,, i, i i, i i ................................. H ii
Infeed table out of adjustment. Re-adjust infeed table, see Getting To Know
your Jointer Planer section.
Blades set too high above outfeed Reset blades, see Maintenance section.
table.
1,,,,,,uu,w , . i
1, Fence stops not adjusted properly. 1. Re-adjust fence stops, see Getting To
Know your Jointer PJaner section,
2. Fence slide bracket not even with
table.
u.i ,H. IH... I I I I . I .HH..I I H I IL
t. Dovetail spacer requires adjustment.
2. Female dovetail loose from table.
1. Return spring broken, or spring
has been weakened.
2. Improper assembly of spring or
guard mounting.
2.
[
1.
2.
1.
Re-adjust slide bracket, see Getting To
Know your Jointer Planer section.
Hl,.i i, ,i, i,lll, , ,
Tighten screw, key 10, see fig. 2, Parts List.
Tighten screws, key 18, seefig. 2, Parts List.
Replace spring immediately. See
Maintenance section,
2. See Maintenance section,
IN CANADA, SEE YOUR LOCAL SIMPSONS-SEARS STORE
OR CATALOG FOR ACCESSORY SELECTION AND NUMBERS
RECOMMENDED ACCESSORIES
ITEM CAT.NO.
Floor Stand ............................. 9-22216
Cutter Blades ............................ 9-2293
Power Tool Know-how Handbooks
Radial Saw ........................ 9-29t7
Table Saw ............................. 9-29!8
Knife Setting Gauge ....................... 9-2647
The above recommended accessories are current and were
available at the time this manual was printed.
27

43
42
5
7
53
FigureI
49
46
CRAFTSM AN 6-1/8 1NCH JOINTER-PLAN E R MODE L NO. 113.20680
INFEED TABLE
SEE FIGURE 2 FOR
EXPLODED VIEW
--47
47 I
t
i
FENCE ASSEMBLY
2 SEE FIGURE 3 FOR
EXPLODED VIEW
....-3
5\
36
37
SWITCH BOX ASSEMBLY
SEE FIGURE 4FOR
EXPLODED VIEW
30
31
12
33
34
/
26
12
10
9
11
17
/
21
::S

_o
CRAFTSMAN 6-1/8 INCH JOINTER-PLANER MODEL No, 113.20680
All parts illustrated in Figures 1 through 4 and listed under part numbers may be ordered through any Sears Retail Store or Catalog Order House. Order parts by
mall from the Cataleg Order House that serves the territory in which you llve. In several instances, part numbers are listed for COMPLETE ASSEMBLIES. Al!
parts are shipped prepaid within the limits of the Continental United States.
WHEN ORDERING REPAIR PARTS, ALWAYS GIVE THE FOLLOWING INFORMATION AS SHOWN ON THiS LIST:
1. THE PART NUMBER 3. THE MODEL NUMBER - 113.20680
2. THE PART NAME 4. THE NAME OF ITEM -- 6-1/8 INCH JOINTER-PLANER
Always order by Part Number - not by Key Number
FIGURE 1 PARTS LIST
Key
No.
1
2
3
4
5
6
7
8
9
10
11
12
!3
t4
15
16
17
18
19
20
21
22
23
24
25
26
Part
No.
"18437
21013
67020
21622
37158
18441
3509
38879
60345
62023
STD 503103
STD 522505
67008
STD 541025
STD 304520
STD 304370
30646
60252
STD 601105
,60253
60254
60255
37887
60096
455872
63410
67016
Description
., L ........ ,.:::,, , ., :::,
Washer
Fence Assembly, Complete (See Fig. 2)
Knob, 1 -t/2
Washer, Sliding Guard
Ring, Retaining 5/8
Ring, Retaining
Bearing 8all
Ring, Bowed Retaining
Spacer
Pulley with Set Screw, 2" Dia. x 1/2"
V-Groove, 5/8" Bore, Keyed
*Screw, Set, 5/I6-8 x 5/t 6, Soc. Hd.
*Screw, Hex. Hd. I/4-20 x 1/2
Belt Guard, Pulley includes Key no.s12&14
*Nut, Hex. I/4-20
Belt, "V" 1/2 x 52
oBelt, "'V'" 1/2 x 37
tPulley with Set Screw, 2-1/2 Dia. x 1/2"
V-Groove, 5/8" Bore, Keyed
Guard-Belt, Motor
*Screw, Ty 23 Pan 10-32 x t/2"
Support-Belt Guard
Bracket-Support
Clip "'S"
*Wrench Hex., I/8
*Wrench Hex,, 5/32
Screw Much., 1/4-20 x 1-!/4 Truss Hd.
w/Lockwasher
Knob, 3-1/4
Shaft, Elevating
Key Part
No. No.
27 'STD 54103i ......
28 102832
29 67017
30 21638
31 120238
32 STD 551150
33 STD 551125
34 STD 551025
35 18516
36 STD 551131
37 STD 523117
38 STD 551210
39 21733
40 60078
4t STD 580025
42 21636
43 67019
44 67021
45 21237
46 132275
47 2145O
48 18112
49 60116
50 21632
51 60117
52 60118
53 37159
67018
"Standard Hardware Item -- May Be Purchased Locally.
f Stock Item -- May be secured through the Hardware Department of most Sears or Simpsons-Sears
oSupplied In Canada Only
NOTE : Shipping and handling charges for standard hardware items (tdenti fled by *) such as nuts,
uneconomical. To avoid shipping and handling charges, you may obtain most of
Description
*Nut, Hex., 5/16-18
Screw; Set, 5/16-18 x 1 Ful! Dog Pt.,
Slotted Hd.
Sleeve
Rod, Sliding Guard
*Nut, Hex., 1/2-13
*Washer, Split Lock, 1/2
*Washer,Split Lock, 1/4
*Washer, Plain, 17/64 I.D.
Stud, Leveling
Lockwasher, 5/16
Screw, Hex. Hd., 5/16-t8 x 1-3/4
*Lockwasher, No. 10 Int. Tooth
Support - Guard Pin
*Screw, Mach., 5/1648 x 1/2", Hex. Hd.
Key, Woodruff, No. 9
Arbor
Push Block/Hold Down
Base
Bracket, Fence Slide
Screw, Mach., 1/4-20 x 1, Fit. Hd. Slotted
Head Assembly, Complete Cutter
tBtade, Cutter
*Screw, Cap. No. 10-32 x 3/4 Soc. Hd.
Wedge, Cutter Blade
*Screw, Set, 5/16-24 x 7/8 Soc. Hd.
*Screw, Mach., No. 10-32 x 1/2, Flat.
Soc. Hd.
Ring, Retaining Bowed 5/8
Owners Manual (not iltus.)
................... ,,,,,,,,,
Retail Stores or Catalog Order Houses,
screws, washers, etc., make buying these items by mail
these locally.

repair parts
CRAFTSMAN 6-1/8 INCH JOINTER-PLANER MODEL No. 113.20680
INFEEDTABLE
/\
1 \
/
/
2
FIGURE2
6
5/
4
21 22
\
\\, 20
\
13
12
10 11
23
Key Part
No.J No.
1 STD561210
267015
3 67014
4STD511107
5 STD551210
: 6 STD551010
7I
Description
Pin, Cotter, 1/8 ×1
Guard
Table (with Name Plate)
Screw Pan Hd. 10-32 x7/8
Lockwasher No. 10
tWasher, No. 10
Standard Hardware-ltems_ M_y;B:e:PUtchasedI_o_lly_
FIGURE 2 PARTS LIST
No:,
13
14
15
16
17
18
19
20
2t
22
23
Part
No.
21422
21219
21218
STD551131
21635
STD523t t2
STD55103 t
21204
STD541025
STD551125
STD522510
Description
Spacer, Dovetail
Dovetail, Male
Dovetail, Female
"Washer, Split Lock, 5/16
Screw, SpI.
!_Screw, Cap, 5/16-18 x 1-1/4
Hex. Hd.
Washer, 5/16
Linkage Assembly
*Nut, Hex., 1/4-20
*Washer, Split Lock, 1/4
*Screw, Cap, 1/4:20 x 1, Hex. Hal.

/
17
CRAFTSMAN 6-1/8 INCH JOINTER-PLANER MODEL No.
21013 FENCE ASSEMBLY
2 3 4 5 6 7
15
16
10
113.20680
11
12
FIGURE 3
Key
No.
1
2
3
4
5
6
7
Part
No.
21013
21440
21430
STD 522512
21232
21736
STD551010
STD510802
102817
FIGURE 3 PARTS LIST
Key
Description No,
Fence Assembly 9
Plunger Assembly 10
Pin Assembly, Stop 11
*Screw, Hex Hd., t/4-20 x 1-1/4,
Plate, Fence End
Scale, Fence Tilt
*Washer, Plain, 13/64
*Screw, Mach., No. 8-32 x 1/4, Bind
Hd., Slotted
Screw, Set, 1/4-20 x 1/2", Full Dog
Pt.,Slotted....................
12
t3
14
15
t6
t7
Part
No.
21229
STD551210
STD511 t02
67009
STD 533725
21738
STD551037
47624
62331
Description
Body, Fence Incr. Key No's. 10 &1t
*Washer, Lock, Ext. Tooth
*Screw, Mach., No. 10-32 x 1/4,
Pan Hd., Slotted
Guard, Cutter
*Bolt, Carriage, 3/8-16 x2-t/2
Round Head
Retainer, Bolt
Washer 35/64 I.D.
Spacer
Knob Assembty, Lock
,, , ,, ....... ,,,,,,,,,
i ,i i, ii i i iiii, ,,,,,,,,,,,,,,,, ,i i i ....................... i iii!1 i ,iii,
67024 SWITCH BOX ASM. (DOMESTIC) FIGURE 4 PARTS LIST
67025 SWITCH BOX ASM. (CANADIAN)
NOTE: .Above assemblies do not include Key
No. 10. Order separately if needed.
1 2
1\
12
11 \
\\4
F1GURE 4
Key Part
No. _No.
1 STD54t110
2 STD551210
3 STD601103
4 60269
5 62376
6 60267
7 60317
8 60271
9 37818
=67023
10 60256
11 60287
=STD510603
12 60316
s67022
13 63467
Description
i i i,
*Nut Hex. 10-32 x 3/8 x 1/8
*Lockwasher, No. 10 int. Tooth
*Screw, Ty 23, 10-32 x 3/8 Pan Hd.
Bracket, Housing
Outlet
Switch, Locking
*Washer, 21/32 x 1 x 1/64
Cord With Plug
Relief, Strain
Relief, Strain
Key, Switch
Screw, Nylon, 6_32 x 1/4
Screw, Pan Hd, 6-32 x 3/8
Box, Switch
Box, Switch
Cap, Flag Terminal, _nsulated
SEE WIRING DIAGRAM ON PAGE 30
*Standard Hardware Item - May Be Purchased Locally.
eCanadian Models Only
31

iml,ll , i!ll
Sears:l
SERVICE
MODEL NO.
113.20680
HOW TO ORDER
REPAIR PARTS
i
6-1/8 raNCH JOINTER-PLANER
Now that you have purchased your jointer-ptaner, should a need
ever exist for repair parts or service, simply contact any
Sears Service Center and most Sears, Roebuck and Co. stores.
Be sure to provide all pertinent facts when you call or visit.
The model number of your 6-1/8 inch jointer-planer will be
found on a plate attached to your infeed table.
WHEN ORDERING REPAIR PARTS, ALWAYS GIVE THE
FOLLOWING INFORMATION:
PART NUMBER
MODEL NUMBER
113.20680
PART DESCRIPTION
NAME OF ITEM
6-1/8 INCH JOINTER-PLANER
All parts listed may be ordered from any Sears Service Center
and most Sears stores. If the parts you need are not stocked
locally, your order wilt be electronically transmitted to a Sears
Repair Parts Distribution Center for handling.
Sold by SEARS, ROEBUCK AND CO., Chicago, IL. 60684 U.S.A.
Part No. 67018 Form No. SP4064-7 Printed in U.S.A. 1/78