Craftsman 358350801 User Manual CHAINSAW Manuals And Guides L0212053
CRAFTSMAN Chainsaw, Gas Manual L0212053 CRAFTSMAN Chainsaw, Gas Owner's Manual, CRAFTSMAN Chainsaw, Gas installation guides
User Manual: Craftsman 358350801 358350801 CRAFTSMAN CHAINSAW - Manuals and Guides View the owners manual for your CRAFTSMAN CHAINSAW #358350801. Home:Lawn & Garden Parts:Craftsman Parts:Craftsman CHAINSAW Manual
Open the PDF directly: View PDF .
Page Count: 46

Instruction Manual
2.6 cu.in./42cc 2-Cycle
GASOLINE CHAIN SAW
Model No.
358.350801 - 18 in. Bar
•Safety
•Assembly
•Operation
•Maintenance
•Parts List
•Espahol
&
For Occasional Use Only
WARNING:
Read and follow all Safety Rules and Operating
Instructions before first use of this product.
_1_ For answers to your questions about this product:
Call 7 am-7 pm, Mon-Sat; Sun, 10 am-7 pm
• 1-800-235-5878 IHourslistedare CentraI Time)
Sears, Roebuck and Co., Hoffman Estates, IL 60179 U.S.A.
530163310 9/6/02

Warranty 2 Storage 18
Safety Rules 2 Troubleshooting Table 19
Assembly 6 Emissions Statement 20
Operation 7 Parts List 22
Maintenance 14 Spanish 24
Service and Adjustments 17 Parts & Ordering Back Cover
FULL ONE YEAR WARRANTY ON CRAFTSMAN ® GAS CHAIN SAW
For one year from the date of purchase, when this Craftsman Gas Chain Saw is
maintained, lubricated and tuned up according to the instruction manual, Sears
will repair, free of charge, any defect in material or workmanship.
This warranty excludes the bar, chain, spark plug and air filter, which are
expendable parts and become worn during normal use.
If this Gas Chain Saw is used for commercial or rental purposes, this warranty
applies for 30 days from the date of purchase.
WARRANTY SERVICE IS AVAILABLE BY RETURNING THIS CHAIN SAW TO THE
NEAREST SEARS STORE OR SERVICE CENTER IN THE UNITED STATES.
This warranty gives you specific legal rights, and you may also have other rights
which vary from state to state.
Sears, Roebuck and Co., D/817 WA, Hoffman Estates, IL 60179
_!_ WARNING: Always disconnect
spark plug wire when making repairs ex-
cept for carburetor adjustments. Be-
cause a chain saw is a high-speed
woodcutting tool, special safety precau-
tions must be observed to reduce risk of
accidents. Careless or improper use of
this tool can cause serious injury.
PLAN AHEAD
• Restrict the use of your saw to adult
users who understand and can follow
the safety rules, precautions, and op-
erating instructions found in this
manual.
Hearing _ Safety Hat
Protection "_lr,_-- Eye
Snug Protection
Fitting Heavy Duty
Clothing Gloves
Safety
Shoes
_N
• Wear protective gear. Always use
steel-toed safety footwear with non-
slip soles; snug-fitting clothing;
heavy_duty, non-slip gloves; eye pro-
tection such as non-fogging, vented
goggles or face screen; an approved
safety hard hat; and sound barriers
(ear plugs or mufflers) to protect your
hearing. Regular users should have
hearing checked regularly as chain
saw noise can damage hearing.
• Secure hair above shoulder length. Do
not wear loose clothing or jewelry; they
can get caught in moving parts.
• Keep all parts of your body away
from the chain when the engine is
running.
• Keep children, bystanders, and ani-
mals at least 30 feet (10 meters)
away from the work area when start-
ing and using the saw.
• Do not handle or operate a chain
saw when you are fatigued, ill, or up-
set, or if you have taken alcohol,
drugs, or medication. You must be in
good physical condition and mentally
alert. If you have any condition that
might be aggravated by strenuous
work, check with doctor before oper-
ating.
• Do not start cutting until you have a
clear work area, secure footing, and
especially if you are felling a tree, a
retreat path.
2

OPERATE YOUR SAW SAFELY
• Do not operate with one hand. Seri-
ous injury to the operator, helpers, or
bystanders may result from one-
handed operation. A chain saw is in-
tended for two-handed use.
• Operate the chain saw only in awell-
ventilated outdoor area.
• Do not operate saw from a ladder or
in a tree.
• Make sure the chain will not make
contact with any object while starting
the engine. Never try to start the saw
when the guide bar is in a cut.
• Do not put pressure on the saw, es-
pecially at the end of the cut. Doing
so can cause you to lose control
when the cut is completed.
• Stop engine before setting saw down.
• Hand carry saw only when engine is
stopped. Carry with muffler away
from body; guide bar & chain project-
ing behind you; guide bar preferably
covered with a scabbard.
• Do not operate a chain saw that is
damaged, improperly adjusted, or not
completely and securely assembled.
Always replace bar, chain, hand
guar& chain brake, or other parts im-
mediately if they become damaged,
broken, or are otherwise removed.
MAINTAIN YOUR SAW IN GOOD
WORKING ORDER
• Have all chain saw service per-
formed by a qualified service dealer
except the items listed in the MAINTE-
NANCE section of this manual.
• Make certain the saw chain stops
moving when the throttle trigger is
released. For correction, refer to
CARBURETOR ADJUSTMENTS.
• Keep the handles dry, clean, and
free from oil or fuel mixture.
• Keep caps and fasteners securely
tightened.
• Nonconforming replacement compo-
nents or the removal of safety devices
may cause damage to the unit and
possible injury to the operator or by-
standers. Use only Craftsman acces-
sories and replacement parts as rec-
ommended. Never modify your saw.
• Maintain chain saw with care.
• Keep unit sharp and clean for better
and safer performance.
• Follow instructions for lubricating and
changing accessories.
• Check for damaged parts. Before fur-
ther use of the chain saw, a guard or
other part that is damaged should be
carefully checked to determine that it
will operate properly and perform its
intended function. Check for alignment
of moving parts, binding of moving
parts, breakage of parts, mounting and
any other conditions that may affect its
operation. A guard or other part that is
damaged should be properly repaired
or replaced by a Sears Service Center
unless otherwise indicated elsewhere
in the instruction manual.
• When not in use, chain saws should
be stored in a dry, high or locked-up
place out of the reach of children.
• When storing saw, use a scabbard or
carrying case.
HANDLE FUEL WITH CAUTION
• Do not smoke while handling fuel or
while operating the saw.
• Eliminate all sources of sparks or
flame in areas where fuel is mixed or
poured.
• Mix and pour fuel in an outdoor area
and use an approved, marked con-
tainer for all fuel purposes. Wipe up
all fuel spills before starting saw.
• Move at least 10 feet (3 meters) from
fueling site before starting.
• Turn the engine off and let saw cool
in a non-combustible area, not on
dry leaves, straw, paper, etc. Slowly
remove fuel cap and refuel unit.
• Store the unit and fuel in a cool, dry
well ventilated space where fuel va-
pors cannot reach sparks or open
flames from water heaters, electric
motors or switches, furnaces, etc.
GUARD AGAINST KICKBACK
Follow all safety rules to help avoid
kickback and other forces which can
result in serious injury.
_k Path
__ctions
Clear The Working Area

4f_WARNING: Avoid kickback which
can result in serious injury. Kickback
is the backward, upward or sudden for-
ward motion of the guide bar occurring
when the saw chain near the upper tip
of the guide bar contacts any object
such as a log or branch, or when the
wood closes in and pinches the saw
chain in the cut. Contacting a foreign
object in the wood can also result in
loss of chain saw control.
• Rotational Kickback can occur
when the moving chain contacts an
object at the upper tip of the guide
bar. This contact can cause the
chain to dig into the object, which
stops the chain for an instant. The
result is a lightning fast, reverse
reaction which kicks the guide bar up
and back toward the operator.
• Pinch-Kickback can occur when the
the wood closes in and pinches the
moving saw chain in the cut along
the top of the guide bar and the saw
chain is suddenly stopped. This sud-
den stopping of the chain results in a
reversal of the chain force used to
cut wood and causes the saw to
move in the opposite direction of the
chain rotation. The saw is driven
straight back toward the operator.
•Pull-In can occur when the moving
chain contacts a foreign object in the
wood in the cut along the bottom of
the guide bar and the saw chain is
suddenly stopped. This sudden stop-
ping pulls the saw forward and away
from the operator and could easily
cause the operator to lose control of
the saw.
REDUCE THE CHANCE OF
KICKBACK
•Recognize that kickback can happen.
With a basic understanding of kick-
back, you can reduce the element of
surprise which contributes to acci-
dents,
• Never let the moving chain contact
any object at the tip of the guide bar,
• Keep working area free from obstruc-
tions such as other trees, branches,
rocks, fences, stumps, etc. Eliminate
or avoid any obstruction that your
saw chain could hit while cutting,
• When cutting a branch, do not let the
guide bar contact another branch or
other objects around it.
• Keep saw chain sharp and properly
tensioned. A loose or dull chain can
increase the chance of kickback.
Follow manufacturer's chain sharp-
ening and maintenance instructions.
Check tension at regular intervals,
but never with engine running. Make
sure chain brake nuts are securely
tightened.
• Begin and continue cutting at full
speed. If the chain is moving at a
slower speed, there is greater
chance of kickback occurring.
• Use extreme caution when reenter-
ing a cut.
• Do not attempt cuts starting with the
tip of the bar (plunge cuts).
• Watch for shifting logs or other forces
that could close a cut and pinch or
fall into chain.
• Use the specified Reduced-Kickback
Guide Bar and Low-Kickback Chain.
Avoid Pinch-Kickback:
• Be extremely aware of situations or
obstructions that can cause material
to pinch the top of or otherwise stop
the chain.
• Do not cut more than one log at a
time.
• Do not twist saw as bar is withdrawn
from an undercut when bucking.
Avoid Pull-In:
• Always begin cutting with the engine
at full speed and the saw housing
against wood.
• Use wedges made of plastic or
wood. Never use metal to hold the
cut open.
MAINTAIN CONTROL
Stand to the left of the saw
Thumb on 'il
underside
Elbow
locked
Never reverse hand 3ositions
• A good, firm grip on the saw with both
hands will help you maintain control.
Don't let go. Grip the rear handle with
your right hand whether you are right
or left handed. Wrap the fingers of
your left hand over and around the
front handlebar, and your left thumb
under the front handlebar. Keep your
left arm straight with the elbow locked.
• Position your left hand on the front
handlebar so it is in a straight line
with your right hand on the rear han-
dle when making bucking cuts.

Standslightlytotheleftsideofthe
sawtokeepyourbodyfrombeingin
adirectlinewiththecuttingchain.
• Standwithyourweightevenlybal-
ancedonbothfeet.
• Donotoverreach,Youcouldbe
drawnorthrownoffbalanceandlose
control,
• Donotcutaboveshoulderheight.It
isdifficulttomaintaincontrolofsaw
aboveshoulderheight.
KICKBACK SAFETY FEATURES
_II_WARNING: The following features
are included on your saw to help reduce
hazard of kickback; however, such fea-
tures will not totally eliminate this danger.
Do not rely only on safety devices. Fol-
low all safety rules to help avoid kick-
back and other forces which can result
In senous injury,
• Front Hand Guard: designed to re-
duce the chance of your left hand
contacting the chain if your hand
slips off the front handlebar,
• Position of front and rear handlebars:
designed with distance between
handles and "in-line" with each other.
The spread and "in-line" position of
the hands provided by this design
work together to give balance and
resistance in controlling the pivot of
the saw back toward the operator if
kickback occurs.
• Reduced-Kickback Guide Bar: de-
signed with a small radius tip which
reduces the size of the kickback
danger zone on the bar tip, This type
bar has been demonstrated to signif-
icantly reduce the number and seri-
ousness of kickbacks when tested in
accordance with ANSI B175,1,
__ Small Radius
Tip Guide Bar
h-%
• Low-Kickback Chain: has met kick-
back performance requirements when
tested on arepresentative sample of
chain saws below 3,8 cubic inch
displacement specified in ANSI
B175.1.
Low-Kickback Chain
Contoured Depth Gauge
__ longated Guard Link
deflects kickback
force and allows
wood to gradually
ride into Cutter
CHAIN BRAKE
• Chain Brake: designed to stop the
chain in the event of kickback.
oWARNING: WE DO NOT REP-
RESENT AND YOU SHOULD NOTAS-
SUME THAT THE CHAIN BRAKE WILL
PROTECT YOU INTHE EVENT OF A
KICKBACK. Kickback is a lightning fast
action which throws the bar and rotat-
ing chain back and up toward the op-
erator, Kickback can be caused by al-
lowing contact of the bar tip in the
danger zone with any hard object.
Kickback can also be caused by
pinching the saw chain along the top
of the guide bar, This action may push
the guide bar rapidly back toward the
operator. Either of these events may
cause you to lose control of the saw
which could result in serious injury or
even death. DO NOT RELY UPONANY
OF THE DEVICES BUILT INTO YOUR
SAW. YOU SHOULD USE THE SAW
PROPERLY AND CAREFULLY TO AVOID
KICKBACK. Reduced-kickback guide
bars and low-kickback saw chains re-
duce the chance and magnitude of
kickback and are recommended. Your
saw has a low kickback chain and bar
as original equipment, Repairs on a
chain brake should be made by an au-
thorized Sears Service Center, Take
your unit to the place of purchase or to
your nearest Sears Service Center.
• Tip contact in some cases may cause
a lightning fast reverse REACTION,
kicking guide bar up and back toward
operator,
• Pinching the saw chain along the top
of the guide bar may push the guide
bar rapidly back toward the operator,
• Either of these reactions may cause
you to lose control of the saw which
could result in serious injury. Do not
rely exclusively upon safety devices
built into your saw,

SAFETY NOTICE: Exposure to vibra-
tions through prolonged use of gaso-
line powered hand tools could cause
blood vessel or nerve damage in the
fingers, hands, and joints of people
prone to circulation disorders or
abnormal swelling. Prolonged use in
cold weather has been linked to blood
vessel damage in otherwise healthy
people. If symptoms occur such as
numbness, pain, loss of strength,
change in skin color or texture, or loss
of feeling in the fingers, hands, or
joints, discontinue the use of this tool
and seek medical attention. An anti-vi-
bration system does not guarantee the
avoidance of these problems. Users
who operate power tools on a continu-
al and regular basis must closely
monitor their physical condition and
the condition of this tool.
CHAIN BRAKE: If this saw is to be
used for commercial logging, a chain
brake is required and shall not be re-
moved or otherwise disabled to com-
ply with Federal OSHA Regulations for
Commercial Logging.
SPARK ARRESTING SCREEN: Your
saw is equipped with a temperature
limiting muffler and spark arresting
screen which meets the requirements
of California Codes 4442 and 4443. All
U.S. forest land and the states of Cali-
fornia, Idaho, Maine, Minnesota, New
Jersey, Oregon, and Washington re-
quire by law that many internal com-
bustion engines be equipped with a
spark arresting screen. If you operate
a chain saw in a state or locale where
such regulations exist, you are legally
responsible for maintaining the operat-
ing condition of these parts. Failure to
do so is a violation of the law. Refer to
Customer Responsibilities chart in the
MAINTENANCE section.
STANDARDS: This chain saw is listed
by Underwriters Laboratories, Inc. in
accordance with American National
Standards for Gasoline-Powered
Chain Saws Safety Requirements
(ANSI B175.1-2000).
zl, _____.H_
_IbWARNING: Before using chain
saw, ensure all fasteners are secure.
CARTON CONTENTS
Check carton contents against the fol-
lowing list.
Model 358.350801
• Chain Saw (fully assembled)
• Bar tool
• 2-cycle engine oil
• Carrying case
Examine parts for damage. Do not use
damaged parts.
If you need assistance or find that
parts are missing or damaged, please
call 1_800_235-5878.
NOTE: It is normal to hear the fuel filter
rattle in an empty fuel tank.
Your unit has been factory tested and
the carburetor precisely adjusted. As a
result you may smell gasoline or find a
drop of oillfuel residue on the muffler
when you unpack the unit.
ASSEMBLY
Your saw is fully assembled; no
assembly is necessary.

KNOW YOUR SAW
READ THiS INSTRUCTION MANUAL AND SAFETY RULES BEFORE OPERATING YOUR
CHAIN SAW. Compare the illustrations with your unit to familiarize yourself with the
location of the various controls and adjustments. Save this manual for future ref-
erence.
Chain
Adjustment Tool
(Bar Tool)
Front Hand Guard
Chain Muffler
7
Bar Oil Fill Cap/$1 Housin_
Front Handle
_'_ Starter Rope
,/ ON/STOP
p/_, Switch
_ Primer
Bulb
er Fuel Mix Fill Cap
Throttle
Rear Lockout
Handle
Cylinder Cover
Chain
Direction
of Travel
Throttle Choke/ Chain
Trigger Fast Idle Brake
Lever
Chain Brake Nuts Guide
Chain
Catcher
ON/STOP SWITCH
The ON/STOP SWITCH is used to stop
the engine.
THROTTLE TRIGGER
The THROTTLE TRIGGER controls en-
gine speed.
THROTTLE LOCKOUT
The THROTTLE LOCKOUT must be
pressed before you can squeeze the
throttle trigger. This feature prevents you
from accidentally squeezing the trigger.
CHOKE/FAST IDLE LEVER
The choke and fast idle are set by pull-
ing the CHOKE/FAST IDLE LEVER out
fully for cold or refueled starting. The
choke provides additional fuel to the
engine during cold starting.
PRIMER BULB
The PRIMER BULB circulates fuel to the
carburetor to provide quicker starting.
CHAIN BRAKE
The CHAIN BRAKE is a device de-
signed to stop the chain if kickback oc-
curs. The chain brake activates auto-
matically in the event of kickback. The
chain brake activates manually if the
front hand guard is pushed forward.
The chain brake is disengaged by pull-
ing the front hand guard back toward
the front handle as far as possible.
CHAIN TENSION
It is normal for a new chain to stretch
during first 15 minutes of operation. You
should check your chain tension fre-
quently. See CHAIN TENSION under the
SERVICEAND ADJUSTMENTSsection.

41_,WARNING: Muffler is very hot
during and after use, Do not touch the
muffler or allow combustible material
such as dry grass or fuel to do so.
BEFORE STARTING ENGINE
_ILWARNING: Be sure to read the
fuel handling information in the safety
rules section of this manual before you
begin. If you de net understand the
fuel handling information de not at-
tempt to fuel your unit. Seek help from
someone that does understand the in-
formation or call the customer assis-
tance help line at 1-800-235-5878.
GUIDE BAR AND CHAIN OIL
The bar and chain require lubrication.
The chain oiler provides continuous
lubrication to the chain and guide bar.
Be sure to fill the bar oil tank when you
fill the fuel tank (Capacity = 6.8 fi. ez.).
Lack of oil will quickly ruin the bar and
chain. Too little oil will cause overheat-
ing shown by smoke coming from the
chain and/or discoloration of the bar.
For maximum guide bar and chain life,
we recommend you use Craftsman
chain saw bar oil. If Craftsman bar oil
is not available, you may use a good
grade SAE 30 oil until you are able to
obtain Craftsman brand. The oil output
is automatically metered during opera-
tion. Your saw will use approximately
one tank of bar oil for every tank of fuel
mix. Always fill the bar oil tank when
you fill the fuel tank.
FUELING ENGINE
•IIb,WARNING: Remove fuel cap
slowly when refueling.
This engine is certified to operate on
unleaded gasoline. Before operation,
gasoline must be mixed with a good
quality synthetic 2-cycle air-cooled em
gine oil. We recommend Craftsman
brand synthetic oil. Mix gasoline and
oil at a ratio of 40:1. A 40:1 ratio is ob-
tained by mixing 3.2 ounces of oil with
1 gallon of unleaded gasoline. In-
cluded with this saw is a 3.2 ounce
container of Craftsman brand synthetic
oil. Pour the entire contents of this
container into 1 gallon of gasoline to
achieve the proper fuel mixture.
DO NOT USE automotive oil or boat oil.
These oils will cause engine damage,
When mixing fuel, follow instructions
printed on the oil container.
Once oil is added to the gasoline,
shake container momentarily to assure
that the fuel is thoroughly mixed. Al-
ways read and follow the safety rules
relating to fuel before fueling your unit.
IMPORTANT
Experience indicates that alcohol
blended fuels (called gasoho] or using
ethanol or methanol) can attract mois-
ture which leads to separation and
formation of acids during storage.
Acidic gas can damage the fuel sys-
tem of an engine while in storage. To
avoid engine problems, the fuel sys-
tem should be emptied before storage
for 30 days or longer. Drain the gas
tank, start the engine and let it run until
the fuel lines and carburetor are empty.
Use fresh fuel next season. See STOR-
AGE instructions for additional informa*
tion.
Never use engine or carburetor clean-
er products in the fuel tank or perma*
nent damage may occur.
See the STORAGE section for addition-
al information.
CHAIN BRAKE
Ensure chain brake is disengaged by
pulling the front hand guard back to-
ward the front handle as far as pos-
sible. The chain brake must be disem
gaged before cutting with the saw.
d_IkWARNING: The chain must net
move when the engine runs at idle
speed. If the chain moves at idle
speed, refer to CARBURETOR ADJUST-
MENT within this manual. Avoid con*
tact with the muffler. A hot muffler can
cause serious burns.
STOPPING YOUR ENGINE
• Move ON/STOP switch to the STOP
position.
ON/STOP SWITCH
oN
STARTING POSITION
• To start the engine, hold the saw
firmly on the ground as illustrated.
Make sure the chain is free to turn
without contacting any object.

Starter Rope Handle
Right Foot Throu_h Rear Handle
IMPORTANT POINTS TO REMEMBER
When pulling the starter rope, do not
use the full extent of the rope as this
can cause the rope to break. Do not
let starter rope snap back. Hold the
handle and let the rope rewind slowly.
For cold weather starting, start the unit
at FULL CHOKE; allow the engine to
warm up before squeezing the throttle
trigger.
NOTE: Do not cut material with the
choke/fast idle lever at the FULL
CHOKE position.
STARTING A COLD ENGINE (or a
warm engine after running out of
fuel)
NOTE: In the following step& when
the choke/fast idle lever is pulled out to
the full extent, the correct throttle set-
ting for starting is set automatically.
1. Move ON/STOP switch to the ON
position.
2. Pull choke/fast idle lever out to the
full extent.
3. Slowly press primer bulb 6 times.
4. Pull the starter rope quickly with
your right hand 5 times. Then, pro-
ceed to the next step.
NOTE: If the engine sounds as if it is
trying to start before the 5th pull, stop
pulling and immediately proceed to the
next step.
5. Push the choke/fast idle lever in
completely (to the OFF CHOKE
position).
6. Pull the starter rope quickly with
your right hand until the engine
starts.
7. Allow the engine to run for approxi-
mately 5 seconds. Then, squeeze
and release throttle trigger to allow
engine to return to idle speed.
._./ON/STOP _//
Choke/Fast Idle
Lever
CHOKE/FAST IDLE LEVER
= (SIDE VIEW)
Chok It
Fast Idle Lever OFF FULL
STARTING A WARM ENGINE
1. Move ON/STOP switch to the ON
position,
2. Pull the choke/fast idle lever out to
the full extent, then push the lever
back in completely (to the OFF
CHOKE position).
3, Slowly press primer bulb 6 times.
4. Pull the starter rope quickly with
your right hand until the engine
starts,
5. Squeeze and release throttle trig*
ger, allowing engine to idle,
DIFFICULT STARTING (or starting a
flooded engine)
The engine may be flooded if it has net
started after 10 pulls.
Flooded engines can be cleared of ex-
cess fuel by following the warm engine
starting procedure listed above, Insure
the ON/STOPswitch is in the ON position.
Starting could require many pulls de-
pending on hew badly the unit is
flooded. If engine still fails to start, refer
to the TROUBLESHOOTING TABLE or
call 1-800-235-5878.
CHAIN BRAKE
_kWARNING: If the brake band is
worn too thin it may break when the
chain brake is triggered. With abroken
brake band, the chain brake will not stop
the chain. The chain brake must be re-
placed if any part is worn to less than
0.020 inch (0.5 mm) thick. Repairs on a
chain brake should be made by your
Sears Service Center. Take your unit to
the place of purchase or to the nearest
Sears Service Center.
• This saw is equipped with a chain
brake. The brake is designed to stop
the chain if kickback occurs.

• Theinertia-activatedchainbrakeis
activatedifthefronthandguardis
pushedforward,eithermanually(by
hand)orautomatically(bysudden
movement).
• Ifthebrakeisalreadyactivated,it is
disengagedbypullingthefronthand
guardbacktowardthefronthandle
asfaraspossible.
• Whencuttingwiththesaw,thechain
brakemustbedisengaged.
Disengaged
Braking function control
CAUTION: The chain brake must be
checked several times daily. The en-
gine must be running when performing
this procedure, This is the only
instance when the saw should be
placed on the ground with the engine
running.
Place the saw on firm ground. Grip the
rear handle with your right hand and
the front handle with your left hand.
Apply full throttle by fully depressing
the throttle trigger. Activate the chain
brake by turning your left wrist against
the hand guard without releasing your
grip around the front handle. The chain
should stop immediately.
Inertia activating function control
_WARNING: When performing the
following procedure, the engine must
be turned off,
Grip the rear handle with your right
hand and the front handle with your left
hand, Hold the chain saw approxi-
mately 14" (35 cm) above a stump or
other wooden surface, Release your
grip on the front handle and use the
weight of the saw to let the tip of the
guide bar fall forward and contact the
stump. When the tip of the bar hits the
stump, the brake should activate.
OPERATING TIPS
• Check chain tension before first use
and after 1 minute of operation. See
CHAIN TENSION in the MAINTENANCE
section,
• Cut wood only. Do not cut metal,
plastics, masonry, nomwood building
materials, etc.
• Stop the saw if the chain strikes a
foreign object. Inspect the saw and
repair parts as necessary.
• Keep the chain out of dirt and sand.
Even a small amount of dirt will
quickly dull a chain and increase the
possibility of kickback.
• Practice cutting a few small logs us-
ing the following steps. This will help
you get the "feel" of using your saw
before you begin a major sawing op-
eration.
• Squeeze the throttle trigger and al-
low the engine to reach full speed
before cutting.
• Begin cutting with the saw frame
against the log.
• Keep the engine at full speed the
entire time you are cutting.
• Allow the chain to cut for you. Exert
only light downward pressure.
• Release the throttle trigger as soon
as the cut is completed, allowing
the engine to idle. If you run the
saw at full throttle without a cutting
load, unnecessary wear can occur
to the chain, bar and engine. It is
recommended that the engine
not be operated for longer than
30 seconds at full throttle.
• To avoid losing control when cut is
complete, do not put pressure on
saw at end of cut.
• Stop engine before setting saw down.
TREE FELLING TECHNIQUES
_WARNING: Check for broken or
dead branches which can fall while
cutting causing serious injury. Do not
cut near buildings or electrical wires if
you do not know the direction of tree
fall, nor cut at night since you will not
be able to see well, nor during bad
weather such as rain, snow, or strong
winds, etc.
• Carefully plan your sawing operation
in advance.
• Clear the work area. You need a
clear area all around the tree so you
can have secure footing.
• The chain saw operator should keep
on the uphill side of the terrain as the
tree is likely to roll or slide downhill
after it is felled.
• Study the natural conditions that can
cause the tree to fall in a particular
direction. These conditions include:
10

• Thewinddirectionandspeed.
• Theleanofthetree.Theleanofa
treemightnotbeapparentdueto
unevenorslopingterrain.Usea
plumborleveltodeterminethedi-
rectionoftreelean.
•Weightandbranchesononeside.
• Surroundingtreesandobstacles.
• Lookfordecayandrot.Ifthetrunkis
rotted,itcansnapandfalltowardthe
operator.
• Makesurethereisenoughroomfor
thetreetofall.Maintainadistanceof
2-1/2treelengthsfromthenearest
personorotherobjects.Engine
noisecandrownoutawarningcall.
• Removedirt,stones,loosebark,
nails,staples,andwirefromthetree
wherecutsaretobemade.
Planaclearretreatpath
;t.... t )--,,,,,,,,,,,,_-DirectionofFall
/÷#"
FELLING LARGE TREES
(6 inches in diameter or larger)
The notch method is used to fell large
trees. A notch is cut on the side of the
tree in the desired direction of fall After
a felling cut is made on the opposite
side of tree, the tree will tend to fall in
the direction of the notch.
NOTE: If tree has large buttress roots,
remove them before making the notch.
If using saw to remove buttress roots,
keep saw chain from contacting
ground to prevent dulling of the chain.
NOTCH CUT AND FELLING TREE
• Make notch cut by cutting the top of
the notch first. Cut through 1/3 of the
diameter of the tree. Next complete
the notch by cutting the bottom. See
illustration. Once the notch is cut, re-
move the wedge of wood from tree.
Notch _ .
Se / \
Felling cut here
_ge
• After removing the wood from the
notch, make the felling cut on the op-
posite side of the notch. This is done
by making a cut about two inches
higher than the center of the notch.
This will leave enough uncut wood
between the felling cut and the notch
to form a hinge. This hinge will help
prevent the tree from falling in the
wrong direction.
Hinge holds tree on
stump and helps
control fall
Closing
of notch
Opening of
felling cut
NOTE: Before felling cut is complete,
use wedges to open the cut when
necessary to control the direction of
fall. To avoid kickback and chain
damage, use wood or plastic wedges,
but never steel or iron wedges.
• Be alert to signs that the tree is
ready to fall: cracking sounds, widen-
ing of the felling cut, or movement in
the upper branches.
• As tree starts to fall, stop saw, put it
down, and get away quickly on your
planned retreat path.
• DO NOT use your saw to cut down a
partially fallen tree. Be extremely
cautious with partially fallen trees
that may be poorly supported. When
a tree doesn't fall completely, set the
saw aside and pull down the tree
with a cable winch, block and tackle,
or tractor.
CUTTING A FALLEN TREE
(BUCKING)
Bucking is the term used for cutting a
fallen tree to the desired leg size.
_!I_WARNING: Do net stand on the
leg being cut. Any portion can roll
causing loss of footing and control. Do
not stand downhill of the log being cut.
IMPORTANT POINTS
• Cut only one log at a time.
• Cut shattered wood very carefully;
sharp pieces of wood could be flung
toward operator.
• Use a sawhorse to cut small logs.
Never allow another person to hold
the log while cutting and never hold
the log with your leg or foot.
11

• Donotcutinanareawherelogs,
limbs,androotsaretangled.Draglogs
intoaclearareabeforecuttingthem
bypullingoutexposedandcleared
logsfirst.
BUCKING TECHNIQUES
_I_WARNING: If saw becomes
pinched or hung in a log, don't try to
force it out. You can lose control of the
saw resulting in injury and/or damage
to the saw. Stop the saw, drive a
wedge of plastic or wood into the cut
until the saw can be removed easily, Re-
start saw and carefully reenter the cut,
De not use a metal wedge. De not at-
tempt to restart your saw when it is
pinched or hung in a log.
Use a wedge to remove pinched saw
\
×\_
Turn saw OFF and use a plastic or
wooden wedge to force cut open.
Overcutting begins on the top side of
the log with the bottom of the saw
against the leg. When evercutting use
light downward pressure.
Overcutting Undercutting
Undercutting involves cutting on the
underside of the log with top of saw
against the leg. When undercutting
use light upward pressure. Hold saw
firmly and maintain control, The saw
will tend to push back toward you.
£= _____.__
_IbWARNING: Never turn saw up-
side down to undercut, The saw can-
not be controlled in this position.
Always make your first cut on the
compression side of the log. The com-
pression side of the log is where the
pressure of the log's weight is concen-
trated.
First cut on co_ression side of log
Second cut
Second cut
First cut on compression side of log
BUCKING WITHOUT ASUPPORT
• Overcut through I/3 of the diameter
of the log.
• Roll the leg over and finish with a
second overcut.
• Watch for logs with a compression
side to prevent the saw from pinch-
ing. See illustrations above for cut-
ting logs with a compression side.
BUCKING USING A LOG OR
SUPPORT STAND
• Remember your first cut is always on
the compression side of the log. (Re-
fer to the illustrations below for your
first and second cut).
• Your first cut should extend 1/3 of the
diameter of the log.
• Finish with your second cut.
Using alog for support
_1 stCul
' ,% 1st Cut
Using asupport stand
/_ 2 nd Cut
L ts, out
l cuLt.
2 nd Cut _"/'_
12

LIMBING AND PRUNING
E;IlbWARNING: Be alert for and
guard against kickback. Do net allow
the moving chain to contact any other
branches or objects at the nose of the
guide bar when limbing or pruning, Al-
lowing such contact can result in seri-
ous injury.
_!kWARNING: Never climb into a
tree to limb or prune, Do not stand on
ladders, platforms, a leg, or in any po-
sition which can cause you to lose
your balance or control of the saw.
IMPORTANT POINTS
• Watch out for springpeles.
Springpoles are small size limbs
which can whip toward you, or pull
you off balance. Use extreme cau-
tion when cutting small size limbs.
• Be alert for springback from any
branches that are bent or under
pressure. Avoid being struck by the
branch or the saw when the tension
in the wood fibers is released.
• Frequently clear branches out of the
way to avoid tripping over them.
LIMBING
• Limb a tree only after it is cut down.
• Leave the larger limbs underneath
the felled tree to support the tree as
you work.
• Start at the base of the felled tree
and work toward the top, cutting
branches and limbs. Remove small
limbs with one cut.
• Keep the tree between you and the
chain.
• Remove larger branches with the
cutting techniques described in
BUCKING WITHOUT A SUPPORT.
• Always use an overcut to cut small
and freely hanging limbs. Undercut-
ting could cause limbs to fall and
pinch the saw.
PRUNING
_WARNING: Limit pruning to limbs
shoulder height or below, Do not cut if
branches are higher than your shoul-
der. Get a professional to de the job.
• Make your first cut 1/3 of the way
through the bottom of the limb. This
cut will make the limb sag so that it
falls easily on the second cut,
• Next make the second cut an over-
cut all the way through the limb.
• Finish the pruning operation by using
an overcut so that the stump of the
limb protrudes 1 to 2 inches from the
trunk of the tree.
Second cut
_lFi;Sto_ay
3rd cut 1 to 2 in.
from trunk of tree
13

CUSTOMER RESPONSIBILITIES
_IkWARNING: Disconnect the spark plug before performing maintenance
except for carburetor adjustments.
Fill in dates as you complete Before After Every Every Service
regular service Use Use 5 hrs. 25 hrs. Yearly Dates
Check for damaged/worn parts _"
Check for loose fasteners/parts _'_
Check chain tension _'_
Check chain sharpness _'
Check guide bar _"
Check fuel mixture level _'
Check guide bar and chain oil _"
Inspect and clean unit & decals _'
Check chain brake _'
Clean guide bar groove _"
Clean air filter _'
Clean/inspect muffler and spark _"
arresting screen
Replace spark plug and fuel filter _'
GENERAL RECOMMENDATIONS
The warranty on this unit does not cov-
er items that have been subjected to
operator abuse or negligence, To re-
ceive full value from the warranty, the
operator must maintain unit as instruct-
ed in this manual. Various adjustments
will need to be made periodically to
properly maintain your unit,
• Once a year, replace the spark plug,
air filter element, and check guide bar
and chain for wear, A new spark plug
and air filter element assures proper
air4uel mixture and helps your engine
run better and last longer,
CHECK FOR DAMAGED OR
WORN PARTS
Contact Sears Service Center for re-
placement of damaged or worn parts.
NOTE: It is normal for a small amount
of oil to appear under the saw after en-
gine stops. Do not confuse this with a
leaking oil tank.
• ON/STOP Switch - Ensure ON/STOP
switch functions properly by moving
the switch to the STOP position,
Make sure engine stops; then restart
engine and continue.
• Fuel Tank - Do not use saw if fuel
tank shows signs of damage or
leaks.
• Oil Tank - Do not use saw if oil tank
shows signs of damage or leaks.
CHECK FOR LOOSE
FASTENERS AND PARTS
• Chain Brake Nuts
• Chain
• Muffler
• Cylinder Shield
• Air Filter
• Handle Screws
• Vibration Mounts
• Starter Housing
• Front Hand Guard
CHECK CHAIN TENSION
_WARNING: Wear protective
gloves when handling chain. The
chain is sharp and can cut you even
when it is not moving.
Chain tension is very important.
Chains stretch during use. This is es-
pecially true during the first few times
you use your saw. Always check
chain tension each time you use and
refuel your saw.
14

1. Usethescrewdriverendofthe
chainadjustmenttool(bartool)to
movechainaroundguidebarto
ensure kinks do not exist. The
chain should rotate freely.
Bar
Chain Adjustment
Adjusting Tool
Chain Brake Screw (Bar TooI)
Nuts
2. Loosen chain brake nuts until they
are finger tight against the chain
brake,
3. Turn adjusting screw clockwise un-
til chain solidly contacts bottom of
guide bar rail.
__ Adjusting Screw
4. Using bar tool, roll chain around
guide bar to ensure all links are in
bar groove.
5. Lift up tip of guide bar to check for
sag. Release tip of guide bar, then
turn adjusting screw until sag does
not exist.
6. While lifting tip of guide bar, tighten
chain brake nuts securely with the
bar tool.
Chain Brake
_Nuts .
7. Use the screwdriver end of the bar
tool to move chain around guide bar.
8. If chain does not rotate, it is too
tight. Slightly loosen chain brake
nuts and loosen chain by turning
the adjusting screw counterclock-
wise. Retighten chain brake nuts.
9. If chain is too loose, it will sag be-
low the guide bar. DO NOT operate
the saw if the chain is loose.
4_WARNING: If the saw is operated
with a loose chain, the chain could
jump off the guide bar and result in se-
rious injury.
CHECK CHAIN SHARPNESS
A sharp chain makes wood chips, A
dull chain makes a sawdust powder
and cuts slowly. See CHAIN SHARP-
ENING in the SERVICE AND ADJUST-
MENTS section.
CHECK GUIDE BAR
Conditions which require guide bar
maintenance:
• Saw cuts to one side or at an angle.
• Saw has to be forced through the cut,
• Inadequate supply of oil to bar/chain.
Check the condition of guide bar each
time chain is sharpened. A worn guide
bar will damage the chain and make
cutting difficult.
After each use, ensure ON/STOP
switch is in the STOP position, then
clean all sawdust from the guide bar
and sprocket hole,
To maintain guide bar:
• Move ON/STOP switch to STOE
• Loosen and remove chain brake
nuts and chain brake. Remove bar
and chain from saw.
• Clean the oil holes and bar groove
after each 5 hours of operation.
eo,saw t
Oil Holes o""_
• Burring of guide bar rails is a normal
process of rail wear. Remove these
burrs with a flat file.
• When rail top is uneven, use a flat
file to restore square edges and sides.
_h_ File RaiI Edges-_'_r] [1
%luSjr 'eslUI
Worn Groove Correct Groove
Replace guide bar when the groove is
worn, the guide bar is bent or cracked,
or when excess heating or burring of
the rails occurs. If replacement is nec-
essary, use only the guide bar speci-
fied for your saw in the repair parts list
or on the decal located on the chain
saw.
CHECK FUEL MIXTURE LEVEL
• See FUELING ENGINE under the OP-
ERATION section.
15

LUBRICATION
• See GUIDE BAR AND CHAIN OIL un*
der the OPERATION section.
INSPECT AND CLEAN UNIT AND
DECALS
• After each use, inspect complete unit
for loose or damaged parts. Clean
the unit and decals using a damp
cloth with a mild detergent.
• Wipe off unit with a clean dry cloth.
CHECK CHAIN BRAKE
• See CHAIN BRAKE in the OPERATION
section.
CLEAN AIR FILTER
A dirty air filter decreases the life and
performance of the engine and in-
creases fuel consumption and harmful
emissions. Always clean your air filter
after 15 tanks of fuel or 5 hours of op-
eration, whichever comes first. Clean
more frequently in dusty conditions. A
used air filter can never be completely
cleaned. It is advisable to replace your
air filter with a new one after every 50
hours of operation, or annually, which-
ever comes first. To clean filter:
1. Loosen 3 screws on cylinder cover.
2. Remove cylinder cover.
3. Remove air filter.
4. Clean the air filter using hot soapy
water. Rinse with clean cool water.
Air dry completely before reinstalling.
5. Lightly oil air filter before installing
to improve the efficiency of air filter.
Use 2-cycle engine oil or motor oil
(SAE 30). Squeeze excess oil from
filter.
6. Reinstall air filter.
7. Reinstall cylinder cover and 3
screws. Tighten securely. Cylinder
Air Filter Cover
Cylinder
Cover
/I
INSPECT MUFFLER AND SPARK
ARRESTING SCREEN
_WARNING: The muffler on this
product contains chemicals known to
the State of California to cause cancer.
As the unit is used, carbon deposits
build up on the muffler and spark ar-
resting screen, and must be removed
to avoid creating a fire hazard or af-
fecting engine performance.
Replace the spark arresting screen if
breaks occur.
CLEANING THE SPARK
ARRESTING SCREEN
Cleaning is required every 25 hours of
operation or annually, whichever
comes first.
Outlet
Guide
Locknut
1. Loosen and remove the Iocknut
from the bolt cover.
2. Remove the bolt cover.
3. Loosen and remove the 2 muffler
bolts. Remove the muffler, muffler
gasket, outlet guide and backplate.
Notice the orientation of these
parts for reassembling.
4. Locate the 2 outlet cover screws
on the muffler. Loosen and re-
move both screws.
5. Remove the outlet cover.
_, Outlet Cover BACK VIEW OF
MUFFLER
Muffler
Screws
Screen
6. Remove spark arresting screen.
7. Clean the spark arresting screen
with a wire brush. Replace screen if
any wires are broken or screen is
blocked after cleaning.
8. Reinstall spark arresting screen.
9. Reinstall outlet coverand 2
screws. Ensure outlet cover and
both screws are reinstalled cor-
16

rectly(seeillustrations)toprevent
damagetothesaw.Theexhaust
outletmustfacethechainbrake
(barside)ofthesaw.
Outlet
Exhaust _'_ Cover"
Outlet __
Exhaust Outlet must face chain
brake (bar side) of chain saw
10. Inspect the muffler gasket and re-
place if damaged.
11. Reinstall backplate, outlet guide,
muffler gasket, and muffler using
muffler bolts. Tighten until secure.
12. Reinstall bolt cover and Iocknut.
Tighten securely.
REPLACE SPARK PLUG
The spark plug should be replaced
each year to ensure the engine starts
easier and runs better. Ignition timing
is fixed and nonadjustable.
1. Loosen 3 screws on cylinder cover.
2. Remove the cylinder cover.
3. Pull off the spark plug boot.
4. Remove spark plug from cylinder
and discard.
5. Replace with Champion CJ-7Y
spark plug and tighten securely with
a 3/4 inch socket wrench. Spark plug
gap should be 0.025 inch.
6. Reinstall the spark plug boot.
7. Reinstall the cylinder cover and 3
screws. Tighten securely.
ScreWrk_._ __ Cylinder
Spa _//_ver
Plug Boot _ _'//./'_'_
Sppa;k
REPLACE FUEL FILTER
To replace the fuel filter, drain your unit
by running it dry of fuel. Remove fuel
cap and its connected retainer from
tank. Pull filter from tank and remove
from line. Replace and reassemble.
i'l
_IWARNING: Disconnect the spark
plug before performing maintenance,
service, or adjustments except for car-
buretor adjustments.
CHAIN SHARPENING
Chain sharpening requires special
tools. You can purchase sharpening
tools at Sears or go to a professional
chain sharpener.
CHAIN REPLACEMENT
_IWARNING: Wear protective
gloves when handling chain. The
chain is sharp and can cut you even
when it is not moving.
It is normal for a new chain to stretch
during the first 15 minutes of operation.
You should recheck your chain tension
frequently and adjust the chain tension
as required. See CHAIN TENSION sec-
tion.
Replace the old chain when it becomes
worn or damaged. Use only the Low-
Kickback replacement chain specified in
the repair parts list. The correct replace-
ment bar and chain is also specified on
a decal located on the chain saw.
See your Sears Service Center to re-
place and sharpen individual cutters
on your chain.
TO REPLACE CHAIN:
1. Move ON/STOP switch to the STOP
position.
2. Remove chain brake nuts.
3. Remove chain brake.
Chain
Brake
\ Clutch Drum
Chain Brake
_-,_ ---- Nuts
4. Turn adjusting screw on bar coum
terclockwise to move the tensiom
ing rack as far as it will go toward
the front of the bar.
5. Slide guide bar behind clutch drum
until guide bar stops against clutch
drum sprocket.
6. Remove the old chain.
17

7. Carefullyremovenewchainfrom
package.Holdchainwiththedrive
linksasshown.
8. Placechainoverand behind
clutch, fitting the drive links in the
clutch drum sprocket.
9. Fit the bottom of the drive links be-
tween the teeth in the sprocket in
the nose of the guide bar.
10. Fit chain drive links into bar groove.
11. Pull guide bar forward until chain is
snug in the guide bar groove. En-
sure all drive links are in the bar
groove.
12. Install the chain brake.
13. Install chain brake nuts; finger
tighten only. Do not tighten any fur-
ther at this point. Proceed to
CHAIN ADJUSTMENT.
CHAIN ADJUSTMENT
See CHAIN TENSION in MAINTENANCE
section.
CARBURETOR ADJUSTMENT
_h_WARNING: The chain will be
moving during most of this procedure.
Wear your protective equipment and
observe all safety precautions. The
chain must not move at idle speed.
The carburetor has been carefully set
at the factory. Adjustments may be
necessary if you notice any of the fol-
lowing conditions:
• Chain moves at idle. See IDLE
SPEED-T adjusting procedure.
• Saw will not idle. See IDLE SPEED-T
adjusting procedure.
Idle Speed-T
Allow engine to idle. If the chain
moves, idle is too fast. If the engine
stalls, idle is too slow. Adjust speed
until engine runs without chain move-
ment (idle too fast) or stalling (idle too
slow). The idle speed screw is located
in the area above the primer bulb and
is labeled T.
• Turn idle screw (T) clockwise to in-
crease engine speed.
• Turn idle screw (T) counterclockwise
to decrease engine speed.
If you require further assistance or are
unsure about performing this proce-
dure, contact your Sears Service Cen-
ter or call our customer assistance
help line at 1-800-235-5878.
aI_,WARNING: Perform the following
steps after each use:
• Allow the engine to cool, and secure
the unit before storing or transporting.
• Store chain saw and fuel in a well
ventilated area where fuel vapors
cannot reach sparks or open flames
from water heaters, electric motors or
switches, furnaces, etc.
• Store chain saw with all guards in
place and position chain saw so that
any sharp object cannot accidentally
cause injury.
• Store chain saw well out of the reach
of children.
SEASONAL STORAGE
Prepare your unit for storage at the
end of the season or if it will not be
used for 30 days or more.
If your chain saw is to be stored for a
period of time:
• Clean saw thoroughly before storage.
• Store in a clean dry area.
• Lightly oil external metal surfaces
and guide bar.
• Oil the chain and wrap it in heavy pa-
per or cloth.
FUEL SYSTEM
Under Fueling Engine in the Operating
Section of this manual, see message
labeled IMPORTANT regarding the
use of gasohol in your chain saw.
Fuel stabilizer is an acceptable alter-
native in minimizing the formation of
fuel gum deposits during storage. Add
stabilizer to the gasoline in the fuel
tank or fuel storage container. Follow
the mix instructions found on stabilizer
containers. Run engine at least 5 min-
utes after adding stabilizer.
Craftsman 40:1, 2-cycle engine oil (air
cooled) is especially blended with fuel
stabilizer. If you do not use this Sears
oil, you can add a fuel stabilizer to your
fuel tank.
ENGINE
• Remove spark plug and pour 1 tea-
spoon of 40:1, 2-cycle engine oil (air
18

cooled)throughthesparkplugopen-
ing.Slowlypullthestarterrope8to
10timestodistributeoil,
• Replacesparkplugwithnewoneof
recommendedtypeandheatrange.
• Cleanairfilter.
• Checkentireunitforloosescrews,
nuts,andbolts,Replaceanydam-
aged,broken,orwornparts.
•Atthebeginningofthenextseason,
useonlyfreshfuelhavingtheproper
gasolinetooilratio.
OTHER
• Donotstoregasolinefromonesea-
sontoanother.
• Replaceyourgasolinecanif itstarts
torust.
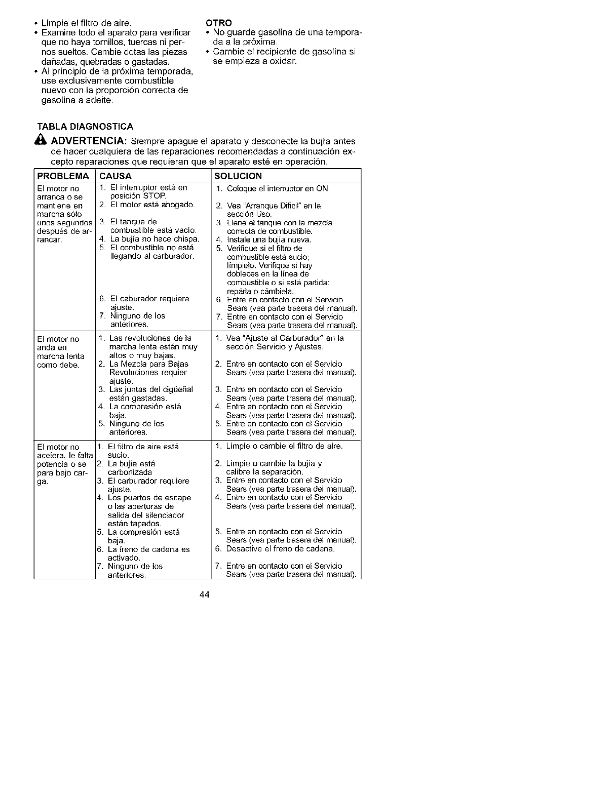
TROUBLESHOOTING TABLE
WARNING: Always stop unit and disconnect spark plug before perform-
ing all of the recommended remedies below except remedies that require
operation of the unit.
TROUBLE CAUSE REMEDY
1. Move ON/STOP switch to ON.
Engine will not
start or will run
only a few
seconds after
starting.
Engine will
not idle
oropedy.
Engine wilI not
accelerate,
lacks power,
or dies under
a load.
Engine
smokes
_xcessively.
Engine runs
hot.
1. ON/STOP switch in
STOP position.
2. Engine flooded.
3. Fuel tank empty.
4. Spark plug not firing.
5. Fuel not reaching
carburetor.
6. Carburetor requires
adjustment.
7. None of the above.
1. Idle speed set too high
or too low.
2. Low Speed Mixture
requires adjustment.
3. Crankshaft seals worn.
4. Compression low.
5. None of the above.
1. Air filter dirty.
2. Spark ptug fouled.
3. Carburetor requires
adjustment.
4. Exhaust ports or muf-
fler outlets plugged.
5. Compression low.
6. Chain brake engaged.
7. None of the above.
1. Choke partially on.
2. Fuel mixture incorrect.
3. Air filter dirty.
4. High Speed Mixture
requires adjustment.
5. Crankcase leak.
1. Fuel mixture incorrect.
2. Spark plug incorrect.
3. High Speed Mixture
set too lean.
4. Exhaust ports or muf-
fler outlets plugged.
5. Carbon build-up on
spark arresting screen.
6. Starter housing dirty
7. None of the above.
2. See "Difficult Starting" in the
Operation Section.
3. Fill tank with correct fueI mixture.
4. Install new spark plug.
5. Check for dirty fuel filter; replace.
Check for kinked or split fuel line;
repair or replace.
6. Contact Sears Service (see back cover).
7. Contact Sears Service (see back cover).
1. See "Carburetor Adjustment" in the
Service and Adjustments Section.
2. Contact Sears Service (see back cover).
3. Contact Sears Service.
4. Contact Sears Service.
5. Contact Sears Service.
1. Clean or replace air filter.
2. Clean or replace ptug and regap.
3. Contact Sears Service (see back cover).
4. Contact Sears Service (see back cover).
5. Contact Sears Service (see back cover).
6. Disengage chain brake.
7. Contact Sears Set'vice (see back cover).
1. Adjust choke.
2. Empty fuel tank and refill with
correct fueI mixture.
3. Clean or replace air filter.
4. Contact Sears Service (see back cover).
5. Contact Sears Set'vice (see back cover).
1. See "Fueling Engine" in the Operation
section.
2. Replace with correct plug.
3. Contact Sears Service (see back cover').
4. Contact Sears Service (see back cover).
5. Clean spark arresting screen.
6. Clean starter housing area.
7. Contact Sears Service (see back cover).
19

TROUBLESHOOTING TABLE -Continued
TROUBLE CAUSE REMEDY
Oil inadequate 1. Oil tank empty. 1. Fill oil tank.
for bar and 2. Oil pump or oil filter 2. Contact Sears Service (see back cover).
chain clogged.
lubrication. 3. Guide bar oil hole 3. Remove bar and clean.
blocked.
Chain moves at 1. Idle speed requires 1. See "Carburetor Adjustment" in the
idle speed, adjustment. Service and Adjustments Section.
2. Clutch requires repair. 2. Contact Sears Service (see back cover).
Chain does not 1. Chain tension too 1. See "Check Chain Tension" in the
move when en- tight. Maintenance Section.
gine is acceler- 2. Carburetor requires 2. See "Carburetor Adjustment" in the
ated. adjustment. Service and Adjustments Section.
3. Guide bar rails 3. Repair or replace.
pinched.
4. Clutch slipping. 4. Contact Sears Service (see back cover).
5. Chain brake engaged. 5. Disengage chain brake.
Chain clatters 1. Chain tension incorrect. 1.
or cuts roughly.
See "Check Chain Tension" in the
Maintenance Section.
Contact Sears Service (see back cover).
Resharpen or replace chain.
See "Chain Sharpening" in the
Service and Adjustments Section.
2. Cutters damaged. 2.
3. Chain worn. 3.
4. Cutters dull, improperly 4.
sharpened, or depth
gauges too high.
5. Sprocket worn. 5.
6. Chain installed 6.
backwards.
1. Chain cutter tops not 1.
filed flat.
2. Guide bar burred or 2.
bent; rails uneven.
3. Clutch slipping. 3.
1. Cutters damaged on 1.
one side.
2. Chain dulI on one side. 2.
Contact Sears Service (see back cover).
Install chain in dght direction.
Chain stops See "Chain Sharpening" in the
within the cut. Service and Adjustments Section.
Repair or replace guide bar:
Contact Sears Service (see back cover).
Chain cuts at See "Chain Sharpening" in the
an angle. Service and Adjustments Section.
See "Chain Sharpening" in the
Service and Adjustments Section.
3. Guide bar bent or worn. 3. Replace guide bar.
If situations occur which are not covered in this manual, use care and good
judgement. If you need assistance, contact Sears Service or the CUSTOMER
ASSISTANCE HELPLINE at 1-800-235-5878.
YOUR WARRANTY RIGHTS AND OB-
LIGATIONS: The U.S. Environmental
Protection AgencylCalifornia Air Re-
sources Board and Sears, Roebuck and
Co., U.S.A., are pleased to explain the
emissions control system warranty on
your year 2000-2003 small off-road en-
gine. In California, all new small off-road
engines must be designed, built, and
equipped to meet the State's stringent
anti-smog standards. Sears must war-
rant the emission control system on your
small off-road engine for the periods of
time listed below provided there has
been no abuse, neglect, or improper
maintenance of your small off-road en-
gine. Your emission control system in-
cludes parts such as the carburetor and
the ignition system. Where a warrant-
able condition exists, Sears will repair
your small off-road engine at no cost to
you. Expenses covered under warranty
include diagnosis, parts and labor.
MANUFACTURER'S WARRANTY
COVERAGE: If any emissions related
part on your engine (as listed under
Emissions Control Warranty Parts List) is
defective or a defect in the materials or
workmanship of the engine causes the
failure of such an emission related part,
2O

thepartwillberepairedorreplacedby
Sears.OWNER'S WARRANTY RE-
SPONSIBILITIES: As the small off-road
engine owner, you are responsible for
the performance of the required mainte-
nance listed in your instruction manual.
Sears recommends that you retain all
receipts covering maintenance on your
small off-road engine, but Sears cannot
deny warranty solely for the lack of re-
ceipts or for your failure to ensure the
performance of all scheduled mainte-
nance. As the small off-road engine
owner, you should be aware that Sears
may deny you warranty coverage if your
small off-road engine or a part of it has
failed due to abuse, neglect, improper
maintenance, unapproved modifications,
or the use of parts not made or ap-
proved by the original equipment
manufacturer. You are responsible for
presenting your small off-roed engine to
a Sears authorized repair center as
soon as a problem exists. Warranty re-
pairs should be completed in a reason-
able amount of time, not to exceed 30
days. If you have any questions regard-
ing your warranty rights and responsibili-
ties, you should contact your nearest
authorized service center or call Sears
at 1-800-469-4663. WARRANTY COM-
MENCEMENT DATE: The warranty pe-
riod begins on the date the small off-
road engine is purchased. LENGTH OF
COVERAGE: This warranty shall be for
a period of two years from the initial date
of purchase. WHAT IS COVERED: RE-
PAIR OR REPLACEMENT OF PARTS.
Repair or replacement of any warranted
part will be performed at no charge to
the owner at an approved Sears Service
Center. If you have any questions re-
garding your warranty rights and respon-
sibilities, you should contact your near-
est authorized service center or call
Sears at 1-800469-4663. WARRANTY
PERIOD: Any warranted part which is
not scheduled for replacement as re-
quired maintenance, or which is sched-
uled only for reqular inspection to the
effect of "repair or replace as necessary"
shall be warranted for 2 years. Any war-
ranted part which is scheduled for re-
placement as required maintenance
shall be warranted for the period of time
up to the first scheduled replacement
point for that part. DIAGNOSIS: The
owner shall not be charged for diagnos-
tic labor which leads to the determina-
tion that a warranted part is defective if
the diagnostic work is performed at an
approved Sears Service Center. CON-
SEQUENTIAL DAMAGES: Sears may
be liable for damages to other engine
components caused by the failure of a
warranted part still under warranty.
WHAT IS NOT COVERED: All failures
caused by abuse, neglect, or improper
maintenance are not covered. ADD-ON
OR MODIFIED PARTS: The use of
add-on or modified parts can be
grounds for disallowing a warranty claim.
Sears is not liable to cover failures of
warranted parts caused by the use of
add-on or modified parts. HOW TO
FILE A CLAIM: If you have any ques-
tions regarding your warranty rights and
responsibilities, you should contact your
nearest authorized service center or call
Sears at 1-800-469-4663. WHERE TO
GET WARRANTY SERVICE: Warranty
services or repairs shall be provided at
all Sears Service Centers. Call
1-800-469-4663.
MAINTENANCE, REPLACEMENT
AND REPAIR OF EMISSION RE-
LATED PARTS: Any Sears approved
replacement part used in the perfor-
manse of any warranty maintenance or
repair on emission related parts will be
provided without charge to the owner if
the part is under warranty. EMISSION
CONTROL WARRANTY PARTS LIST:
Carburetor, Ignition System: Spark Plug
(covered up to maintenance schedule),
Ignition Module, Muffler including cata-
lyst. MAINTENANCE STATEMENT:
The owner is responsible for the perfor-
manse of all required maintenance as
defined in the instruction manual.
This engine is certified to be emissions compliant for the following use:
[] Moderate (50 hours)
[] Intermediate (125 hours)
[] Extended (300 hours)
21

Declaraci6ndeGarantia 24 Almacenamiento 43
ReglasdeSeguridid 24 TablaDiagn6stica 44
Montaje 29 Declaraci6ndeEmision 46
Uso 30 ListadePiezas 22
Mantenimiento 38 Repuestosy EncargosContratapa
ServicioyAjustes 42
GARANTIA COMPLETA DE UN ANO PARA LA SIERRA DE CADENA A
GASOLINA CRAFTSMAN ®
Per un aSo a contar de la fecha de compra, siempre que esta Sierra de Cadena a
Gasolina Craftsman est6 mantenida, lubricada y ajustada de acuerdo al manual
de instrucciones, Sears reparar_ gratuitamente cualquier defecto de materiales o
mano de obra.
Esta garantia excluye la barra, la cadena, la bujia y el flltro de aire, que son
articulos fungibles y se gastan durante el funcionamiento normal.
Si se usa esta Sierra de Cadena a Gasolina para prop6sitos comerciales o de
alquiler, esta garantia tendra validez de 30 dias contados a partir de la fecha de
compra.
EL SERVlCIO BAJO GARANTIA ESTA A SU DISPOSIClON CON SOLO DEVOLVER LA
SIERRA DE CADENA AL TIENDA DE SEARS O CENTRO DE SERVIClO SEARS MAS
CERCANO EN LOS ESTADQS UNIDOS.
Esta garantia le confiere derechos juridicos especificos; adem_a ud. podr_ tener
otros derechos que vargan entre estados.
Sears, Roebuck and Co., D/817 WA, Hoffman Estates, IL 60179
_lk ADVERTENCIA: Desconecte
siempre el cable de la bujia al reparar
el aparato, excepto en el caso de
ajustes al carburador. Debido a que
las sierras de cadena son instrumen-
tos para cortar madera a alta veloci-
dad, deben observarse precauciones
de seguridad especiales para reducir
el riesgo de accidentes, El uso des_
cuidado o indebido de esta herramien-
ta puede causar graves heridas.
PIENSE ANTES DE PROCEDER
• Limite el uso de la sierra a aquellos
usuarios adultos que comprendan y
puedan implementar todas las pre-
cauciones, reglas de seguridad e in-
strucciones de uso que se encuen-
tran en este manual.
24
Proteccion de Oidos Casco Duro
Protecci6n
Ropa Ajustada Guantes
• de Uso
Industrial
Zapatos de
Seguridad _ de Seguridad
Use equipo protector. Siempre use
calzado de seguridad con puntas de
acero y suelas anti-deslizantes; ropa
ajustada al cuerpo; guantes gruesos
de uso industrial anti-deslizantes;
protecci6n de ojos tales como gafas
de seguridad gue no se la cara; cas-
co duro aprobado; y barrera de soni-
do (tapones de oido u orejeras anti-
sonido) para proteger la audici6n.
Los que usan sierras de fuerza ha-
bitualmente deber_n hacerse revisar
la audici6n frecuentemente ya que el
ruido de ]as sierras de cadena
puede daSar los oidos.

• Mantengaelcabelloporencimadel
niveldeloshombros.Nodesgaste
laropasueltaojoyeria;puedenen-
redarseenlaspiezasm6viles.
• Mantengatodaslaspartesdecuer-
poalejadasdelacadenasiempre
queelmotorest6enfuncionamiento.
• MantengaalosniSos,espectadores
yanimalesaunadistanciaminima
de10metros(30pies)del&reade
trabajoocuandoest&haciendoar-
rancarelmotor.
• Nolevantenioperelassierrasde
cadenacuandoest9fatigado,enfer-
me,ansiosoosihatomadoalcohol,
drogasoremedios.Esinprescindible
queud.est&enbuenascondiciones
fisicasyalertamentalmente.Siud.
sufredecualquiercondici6nque
puedaempeorarconeltrabajoat-
duo,ases6reseconsum6dico.
• Nopongaenmarchalasierrasin
tenerun&readetrabajodespejada,
unasuperficieestableparaparasey,
siest_derrubando_rboles,uncami-
nopredeterminadoderetroceso.
USE LA SIERRA OBSERVANDO TO-
DOS LOS PROCEDIMIENTOS DE
SEGURIDAD
• Mantenga las dos manos en las man-
ijas siempre que el aparato est6 en
march& El uso del aparato con una
sola mano puede causar graves heri-
das al usuario, a los asistentes o a los
especadores. Las sierras de cadena
est_n disefiadas para que se las use
con las dos manos en todo momento.
• Haga uso de la sierra de cadena t_ni-
camente en lugares exteriores bien
ventilados.
• No haga uso de la sierra desde las
escaleras port,tiles ni los _rboles.
• Asegt_rese de que la cadena no vaya
a hacer contacto con ning_n objeto
antes de poner en marcha el motor.
Nunca intente hacer arrancar la sierra
con la barra guia dentro de un core.
• No aplique presi6n a la sierra al final
de los cortes. Aplicar presi6n puede
hacer uue pierda el control al com-
pletarse el corte.
• Pare el motor antes de apoyar la
sierra en ningt_n lado.
• Cuando traslade la sierra en la
mane, h_galo _nicamente con el mo-
tor parado. LI6vela con el silenciador
apartado del cuerpo y la barra y ca-
dena hacia atr&s, con la barra de
preferencia cubierta por una funda.
• No ponga en funcionamiento la sier-
ra de cadena siesta daSada, incor-
rectamente ajustada, o si no est& ar-
mada completa y seguramente.
Siempre cambie el barre, cadena,
protector de mano, freno de cadena,
o el otras piezas immediatamente si
dafiado, roto, o se sale por cualquier
motivo.
MANTENGA LA SIERRA EN BUE-
NAS CONDICIONES DE FUNCIONA-
MIENTO
• Lleve la sierra de cadena a un pro-
veedor de servicio autorizado para
que haga todo servicio menos aquel-
los procedimientos listados en la
secci6n de mantenimiento de este
manual.
• AsegQrese de que la cadena se de-
tenga por completo cuando se suelta
el gatillo. Para hacer correcciones,
vea los AJUSTES AL CARBURADOR.
• Mantenga las manijas secas, limpias
y libres de aceite o de mezcla de
combustible.
• Mantenga las tapas y los fijadores
bien fijos.
• Componentes de repuesto que no
concuerden con las piezas originales
o la remoci6n de dispositivos de segu-
ridad podria causar dafios al aparato y
accidentes al usuario o a especta-
dores. Use exclusivamente los acce-
sorios y repuestos Craftsman recom-
endados. Nunca modifique la sierra.
• Mantenga su sierra de cadena con
cuidado.
• Mantenga la herramienta afilada y
limpia para mejor funcionamiento y
mayor seguridad.
• Siga todas las instrucciones para lu-
bricaci6n y cambio de accesorios.
• Desconecte la sierra de cadena del
recurso de energia cuando no se em
cuentre en uso, antes de efectuar
servicio, y al cambiar accesorios,
como Io es la cadena de la sierra y
el protector.
• Inspeccione todas las piezas por si
hubiera dafios. Antes de continuar
con el uso del aparato; el protector u
otra pieza que se encuentre daSada
deber& ser inspeccionada cuidado-
samente para determinar si pueden
usarse de forma apropiada y para
vierificar si puede efectuar el funcio-
namiento para el cueal fue diseSada.
Inspeccione el alineamiento de las
piezas movibles, piezas movibles
25

queseencuentrenatascadas,la
rupturadepiezas,monturay cualqu-
ierotracondici6nquepuedaafectar
elusodelaparato.Elprotectorocu-
alquierotrapiezaqueseencuentre
daSadadeber9serreparadaapro-
piadamenteodeber9serreemplaza*
daporunCentrodeServicioSears,
anoserqueseindiquedeotrafor-
maenestemanualdeinstrucciones.
• AInoencontrarseenuso,lassierras
decadenadeber&nalmacenarseen
unlugarseco,enunlugaraltoobajo
Nave,fueradelalcancedelosniSos.
• AIalmacenarlasierra,useunafun-
daounestuchedecarga.
MANEJEELCOMBUSTIBLECON
EXTREMO CUIDADO
• No fume mientras trabaja con el
combustible ni cuando est& haciem
do uso de la sierra.
• Elimine todas las posibles fuentes de
chispas o llamas en las 9reas donde
se mezcla o vierte el combustible.
• Mezcle y vierta el combustible afuera
y use siempre recipiente aprobado
para combustibles y marcado como
tal. Limpie todos los derrames de
combustible antes de poner el apa-
rato en march&
• AI6jese a por Io menos 3 metros (10
pies) del lugar de abastecimiento
antes de poner el mtor en march&
• Apaque el motor y deje que la sierra
se enfrie en un lugar libre de substan-
cias combustibes y no sobre hojas se*
cas, paD, palel, etc. Retire la tapa len-
tamente y reabastezca el aparato.
• Guarde el aparato y el combustible
en un espacio fresco, seco y bien
ventilado donde los vapores del
combustible no puedan entrar en
contacto con dchispas ni llamas
abiertas provenientes de termotam
gues, motores o interruptores el6ctri-
cos, calefactores centrales, etc.
PROTEJASE CONTRA LAS
RECULADAS
Ud, debe seguir todas las precau-
clones e instrucciones de seguridad
para ayudar e evitar las reculadas y
las demgs fuerzas que pueden causar
graves heridas.
_,_ Trayectoria de la
_,_< Reculada
........
,Evite las obstrucciones
Despeje el Area de Trabajo
_IADVERTENCIA: Evite reculada
le pueden causar graves heridas. Re-
culada es el movimiento hacia el
frente, hacia atrgs o r_pidamente ha*
cia adelante, esto puede ocurrir cuam
do la punta de la barra guia de la sier-
ra de cadena entra en contacto con
cualquier objeto como puede ser otra
rama o tronco, o cuando la madera se
cierra y atasca mientras se hace el
corte. El entrar en contacto con algQn
objeto extra5o a la madera le puede
causar al usuario la p6rdida del control
de la sierra de cadena.
• La Reculada Rotacional puede
acontecer cuando la cadena en mo-
vimiento entra en contacto con algt]n
objeto en la parte superior de la pun*
ta de la barra guia puede causar que
la cadena entre al material y se de-
tenga por un instante. El resultado
es una reacci6n inversa, a velocidad
de rel_mpago, que hace recular la
barra guia hacia arriba y hacia atr&s
hacia el usuario.
• La Reculada por Atasco acontecen
cuando la madera se cierra y atasca
la cadena en movimiento en el corte
a Io largo de la parte superior de la
barra guia y la cadena se detiene re-
pentinamente. Esta detenci6n re-
pentina de la cadena tiene coma re-
sultado una inversi6n de la fuerza de
la cadena usada para cortar madera
y causa que la sierra se mueva en
sentido opuesto al de la rotaci6n de
la cadena. La sierra directamente
hacia atrAs en direcci6n al usuario.
• La Reculada por Impulsibn puede
acontecer cuando la cadena en mo-
vimiento entra en contacto con algt]n
objeto extra5o a la madera en el
corte a Io largo de la parte inferior de
la barra guia y la cadena se detiene
repentinamente. Esta detenci6n re-
pentina de la cadena tira de la sierra
adelante y lejos del usuario y podria
hacer fgcilmente al usuario perder el
control de la sierra.
26

REDUZCA I.AS PROBABILIDADES
DE RECULADA
• Est6 consciente de la posibilidad de
reculada, Teniendo una buena cam*
prensi6n b_sica de la reculad& ud.
podr& reducir el elemento de sorpre*
se que contribuye a los accidentes.
• Nunca permita que la cadena en me-
vimiento toque ningt]n objeto en la
punta de la barra guia.
• Mantenga el &rea de trabajo libre de
obstrucciones come per ejemplo
otros _rboles, ramas, piedras, cer-
cas, tocones, etc, Elimine o evite
toda obstrucci6nes comp por ejem-
plo otros _rboles, ramas, piedras,
cercas, tocones, etc, Elimine o evite
toda obstrucci6n que la cadena pue-
da tocar mientras est& cortando.
• AI cortar una ram& no deje la barra
guia entrar en contacto con otra
rama o otros objetos alrededor.
• Mantenga la sierra afilada y con la
tensi6n correct& Las cadenas con
poco file o flojasincrementan la pro-
babilidad de reculada. Siga las im
strucciones del fabricante para afilar
y efectuar mantenimiento de la cade-
na, Verifique la tensi6n a intervalos
regulares con el motor parado, nun-
ca en marcha. AsegQrese de que las
tuercas de la freno de cadena est6n-
parado, nunca en marcha.
Aseg0rese de que las tuercas de la
freno de cadena est6n ejustadas fir-
memente.
• Empiece y efect0e la totalidad de
cada carte con el acelerador a fore
do, Si la cadena se esta moviendo a
una velocidad menor que la maxima,
hay m_s probabilidad de que la sier-
ra recule.
• Use cuidado extremo al entrar de
nuevo en un corte ya empezado.
• No intente hacer cortes empezando
con la punta de la barra (cortes de
taladro).
• Tenga cuidado con troncos que se
desplazan y con las demas fuerzas
que podrian cerrar un corte y apretar
la cadena o bien caer sobre ella.
• Use la barra Guia Reducidora de
Reculadas y la Cadena Minimizado-
ra de Reculadas recomendadas
para su sierra.
Evite la Reculada por Presi6n:
• Mant6ngase siempre al tanto de
toda situaci6n u obstrucci6n que
pueda apretar la cadena en la parte
superior de la barra o detener la ca-
dena de cualquier forma.
• No corte rags que un tronco a la vez.
• AI seccionar troncos con corte as-
cendiente, no tuerza la sierra al sa-
car la barra del carte.
Evite la Impulsion:
• Empiece los cortes siempre con el
motor acelerado a fondo y la caja de
la sierra apoyada en la madera,
• Use cu_as de pl_stico o de madera,
no de metal, para mantener abierto
el corte.
MANTENGA EL CONTROL
Parese hacia la izquierda de la sierra.
Nunca invierta
Ia posici6n d_
Ias marlos
I
Codo rigido
Nunca invierta la posiclon de las manos
• Sostenga fuertemente la sierra con las
dos manos mientras est6 en marcha
el motor y no afloje. Sostener firme-
mente puede neutralizar las reculadas
y ayudarle a mantener el control de la
sierra, Sostenga la manija delantera
con la mane izquierda, colocando el
pulgar debajo de la manija y rodeando
la manija con los dedos. Mantenga la
mano derecha envolviendo totalmente
la manija trasera, sea ud. derecho o
zurdo. Mantenga el brazo izquierdo
totalmente extendido con el codo fijo.
• Coloque la mano izquierda en la man*
ija delantera, de modo que quede en
linea recta con la mane derecha en la
manija trasera, cuando est6 haciendo
cortes de seccionamiento. Nunca in-
vierta la posici6n de las manos para
ning_n tipo de corte.
• Pgrese con el peso distribuido iguaF
mente entre los dos pies.
• No se extienda excesivamente, la
sierra puede impulsarlo o empujarlo
y ud. puede perder el quililibrio y el
control de la sierra.
• No corte arriba del nivel de los hom-
bros, puedsto que torna dificil man*
tener el control de la sierra.
DISPOSITIVOS DE SEGURIDAD
CONTRA LAS RECULADAS
ADVERTENCIA: Los siguientes
dispositivos han side incluidos en la
sierra para ayudar a reducir el riesgo
de reculadas; sin embargo, tales ira*
plementos no pueden eliminar total-
mente esta reacci6n peligrosa. Coma
27

usuariodesierradecadena,ud.no
debeconfiarsesolamenteenlosdis-
positivosdeseguridad.Ud,debese-
guirtodaslasprecaucionesdeseguri-
dad,instruccionesy mantenimiento
queseencuentranenestemanual
paraayudar a evitar las reculadas y
otras fuerzas que pueden causar
graves heridas.
•Protector de Mano Delantera, dis-
efiado para reducir la probabilidad
que su mano izquierda entre en con-
tacto con la cadena, si la mano se
desprende de la manija delantera.
• La posici6n de las manijas delantera
y trasera, disefiadas con distancia
entre las manijas y "en linea" la una
con la otra. La separaci6n y la cola-
caci6n en linea que este diseSo pro-
vee se combinan para dar equilibrio
y resistencia para controlar la propul-
si6n de la sierra hacia el usuario si
acontece una reculada.
• Barra Guia Reducidora de Recula*
das, disefiada con punta de radio
pequefio que reduce el tamaSo de la
zona de peligro en la punta de la
barra, Las barras guias reducidoras
de reculadas son aquellas que han
demostrado que reducen significati-
vamente la cantidad y la seriedad de
las reculadas cuando han sido ex-
aminadas de acuerdo con los requi-
sitos de seguridad para las sierras
de cadena a gasolina establecidos
por el Patron ANSI (American Na-
tional Standards Institute, Inc.)
B175.1.
_d Puntade Ra-
e dio PequeSo
Barra Guia
_'_Zo_adZona d
Punta de Radio ¢
Gaande Barra Guia
• Las Cadenas Minimizadoras de Re-
culadas han satisfecho los requisitos
de rendimiento del ANSI B175.1 (Re-
quisitos de Seguridad para las Sier-
ras de Cadena a Gasolina) en prue*
bas con una muestra representativa
de Sierras de cadena con desplaza-
miento de menos de 3,8 pulgadas,
como se especifica en ANSI B175.1.
Cadena Minimizadora de Reculadas
Marcador de Profundidad Perfilad
_ Eslabdn Protector
Alargado Desvia la
Fuerza de Reaccion y
Permite que la Mader_
Entre Gradualmente a
la Cuchilla
• Freno de Cadena, dise_ada para de-
tener la cadena en el caso de recula-
da.
FRENO DE CADENA
_kADVERTENCIA: NUESTRA COM-
PAi_IIANO REPRESENTA Y USTED NO
DEBERA ASUMIR QUE EL FRENO DE
CADENA LO PROTEGERA EN CASO DE
RECULADAS. Una reculada es una ac-
ci6n rapida la cual lanza la barra y la
cadena rotativa hacia atrgs y hacia ar-
riba en direcci6n al usuario. Una recu*
lada podria ser causada cuando se
permite que la punta de la barra en la
zona de peligro entre en contacto con
cualquier objeto en la zona superior de
la barra guia, Esta acci6n puede em-
pujar la barra guia rapidamente hacia
atras en direcci6n donde se encuentra
el usuario. Cualquiera de estos dos
acontecimientos puede causar que el
usuario pierda el control de la sierra Io
que podria resultar en lesiones de alta
gravedad o hasta la muerte, NO DE-
PENDA ClEGAMENTE EN CUALQUIERA
DE LOS DISPOSITIVOS INCLUIDOS EN
SU CUIDADOSAMENTE PARA EVITAR
LAS RECULADAS. Las barras guia re-
ducidoras de reculadas y las cadenas
de sierra de baja acci6n de reculadas
reducen la ocasi6n y magnitud de las
reculadas y son recomendadas. Con
su sierra vienen incluidas una cadena
de baja acci6n de reculadas y una bar-
ra de equipo original, Reparaciones al
freno de cadena deben ser hechos por
un Centro de Servicio Sears que este
autorizado, Lleve la unidad al sitio de
compra ael Centro de Servicio Sears
mas cercano.
• El contacto con la punta de la sierra
puede causar una REACCIONcontraria
que auna velocidad vertiginosa expul-
sa la espada hacia arriba y hacia
atrgs, en direcci6n al operador.
• Si la cadena queda atrapada por la
parte superior de la espada, 6sta
puede rebotar bruscamente hacia el
operador.
28

• Cualquieradeestasdosreacciones
puedeprovocarlap6rdidadelcon-
troldelamotosierray causaruna
gravelesi6n,Noconfieexclusiva-
menteenlosdispositivosdeseguri-
dadqueincorporasusierra.
AVISODESEGURIDAD:Elestarex-
puestoalasvibracionesatrav6sdel
usoprolongadodeherramientasde
fuerzaagasolinapuedecausardaSos
alosvasossanguineosoalosnervios
delosdedos,lasmanosy lascoyuntu*
rasenaquellaspersonasquetienen
propensidadalostrastornosdelacir-
culaci6noalashinchazonesanor-
males,Elusoprolongadoentiempo
friohasidoasociadocondaSosalos
vasossanguineosdepersonasque
porotraparteseencuentranenper-
fectoestadodesalud.Siocurren
sintomastalescomoelentumecimiem
to,eldolor,lafaltadefuerza,loscam*
bios,enelcolorolatexturadelapielo
faltadesentidoenlosdedos,lasman-
osolasmuSecas,dejedeusarla
m_quinainmediatamentey procure
atenci6nmedica.Lossistemasde
anti-vibraci6nnogarantizanquese
evitentalesproblemas,Losusuarios
quehacenusocontinuoyprolongan-
dodelasherramientasdefuerzade-
benfiscalizaratentamentesuestado
fisicoyelestadodelaparato.
FRENO DE CADENA: Siesta sierra
ha de usarse para el tumbado comer-
cial de _rboles, un freno de cadena se
requiere y no ser9 quitado ni ser& lisia*
do de otra manera conformarse con
las Regulaciones Federales del OSHA
para el tumbado comercial de &rboles.
REJILLA ANTICHISPA: Su sierra
viene equipada con silenciador limita-
dor de temperatura y con rejilla anti-
chispa que cumple los requisitos de
los C6digos de California 4442 y 4443,
Todas las tierras forestadas federales,
mgs los estados de California, Idaho,
Maine, Minnesota, Nueva Jersey,
Washington y Oreg6n, requieren por
ley que muchos motores de combus-
ti6n interna est6n equipados con rejilla
antichispa. Si usted usa una sierra de
cadena en un estado y otra Iocalidad
donde existen tales reglamentos,
usted tiene la responsabilidad juridica
de mantener estas piezas en correcto
estado de funcionameinto. De Io con-
trario, estar9 en infracci6n de la ley.
Refiera a la carta de RESPONSABILIDA-
DES DEL USUARIO en la secci6n del
MANTENIMIENTO.
PADRONES: Este sierra de cadena
consta en la lista de Underwriters Lab-
oratories, Inc, de acuerdo a los Requi-
sitos Nacionales de Seguridad Esta-
dounidenses para Sierras de Cadena
a Gasolina (ANSI B175.1-2000).
z_
411_ADVERTENClA: Antes de usar
la sierra de cadena, asegure todos los
fljadores se encuentren bien ajusta*
dos.
CONTENIDO DE LA CAJA
Use la siguiente lista para verificar el
contenido:
Modelo: 358.350801
• Sierra de Cadena (completamente
armada)
• Herramienta de Ajuste de la Cadena
• Aceite de Motor de 2-ciclos
• Estuche para Transporte
Verifique las piezas en caso de averia.
No use piezas que se encuentren
daSadas.
Si necesita ayuda, faltan piezas o en-
cuentra piezas daSadas, favor Ilamar
al 1-800-235-5878.
AVlSO: Es normal oir el golpeteo del
filtro de combustible en el tanque
vacion.
Su aparato ha sido puesto a prueba en
la f_brica y se le ha ajustado con preci-
si6n el carburador, Como resultado, es
posible que se sienta un olor a gasolina
o gue se encuentre una gota de residuo
de aceite o combustible en el silenciador
al desempacar el aparato.
MONTAJE
El aparato viene completamente arma-
do y no hay necesidad de montaje.
29

CONOZCAEL APARATO
LEA ESTE MANUAL DE INSTRUCCIONES Y LAS REGLAS DE SEGURIDAD ANTES DE
USAR LA SIERRA DE CADENA. Compare las ilustraciones con su aparato para fa-
miliarizarse con la ubicaci6n de los varios controles y ajutes. Guarde este manual
para uso futuro.
Herramienta de
Ajuste de la Cadena Protector Manija Delantera
(HerramientaBarra)de Ia deDelanteraMano"-_ _/" iCuerdade Arranque
Interruptor
Silenciador _ N/STOP
Cadena __ Bombeador
kubricante de Barra Caja del Tapa del Tanclue
Arranclue de Combustible
Tapa del Cilind_ro _ Bordes de_corte Marcador de profundidad
Trabadel /-- /./_ _)1 (. Vo _
Acelerador VJ _/" /71! _/
Manija ;_'_:_o /EslabNones_e_uncionaJmientoDireccion de
Trasera _._ _/_til_lt-',._./l' Tornillo de Ajuste_"'T "," RaOtdaeO_nde la
Gatill_ r_a_ed_al_ena Jrra _
Acelerador I/ Guia
Freno de Cadena Captador de Cadena
ENITOPE INTERRUPTOR
El EN/TOPE(ON/OFF) INTERRUPTORest_
acostumbrado a detener la maquina.
GATILLO DE ACELERADOR
El GATILLODEACELERADOR controla
velocidad de maquina.
TRABA DEL ACELERADOR
Es necesario apretar primero la TRABA
DEL ACELERADOR para poder accionar
el acelerador. Este dispositivo pre-
viene el acionamiento accidental del
acelerador.
PALANCA DEL CEBADOR/MARCHA
INACTIVA RAPIDA
El cebador y la marcha inactiva r_pida
son fijadas tirando la PALANCADEL CE-
BADOR/MARCHAINACTIVARAPIDA com-
pletamente para arrancar la unidad en
frio o reaprovisionado de combustible.
La palanca del cebador provee combus-
tible adicional al motor al arrancar fifo.
BOMBEADOR
El BOMBEADORcircula combustible al
carburador.
FRENO DE CADENA
El FRENO DECADENA esta dise_ado
para detener la cadena en caso de re-
culada. El freno de cadena se activa
automgticamente en caso de reculadas.
El freno de cadena se activa manual-
mente si empujan al protector de mano
delantero adelante. Para desactivar el
freno de cadena, tire Io m&s posible del
protector de mano delantero hacia la
manija delantera.
TENSION DE LA CADENA
Es normal que las cadenas nuevas se
estiren durante los primeros 15 minutos
de uso, Deber9 verificarse la tensi6n de
la cadena frecuentemente. Yea TEN-
SION DE LA CADENA en la secci6n de
SERVlCIOY AJUSTES.
30

_kADVERTENClA:Elsilenciador
es extremadamente caliente durante
el use y despu6s de usar el aparato,
No toque el silenciader ni permita que
el material combustible ta] come gase-
lina e hierba seca hagan contacte.
ANTES DE PONER EL MOTOR EN
MARCHA:
II_ADVERTENCIA: Lea toda la in-
formaci6n sobre el manejo del com-
bustible en la secci6n de reglas de se-
guridad de este manual antes de
empezar. Si no comprende la informa-
ci6n sobre el manejo del combustible,
no intente abastecer su aparato. Pro-
cure ayuda de alguien que comprenda
la informaci6n o Ilame al tel6fono de
ayuda al consumidor al
1-800_235-5878.
ACEITE PARA BARRA Y LA CADENA
La barra y la cadena requieren lubrica-
ci6n. El libricader de la cadena prevee
lubricaci6n continua a la cadena y a la
barra guia No se olvide de Ilenar el tan-
que de aceite para barra siempre que
Ilene el tanque de combustible (Capaci-
dad = 6,8 ft. oz.). La falta de aceite arrui-
nar_ la barra y la cadena r_pidamente.
E] uso de demasiade poco aceite cau-
sara excese de calentamiente que sera
detectable per el hume preveniente de
la cadena y/o por la descoleraci6n de la
barra. Para obtener la maxima prolen-
gaci6n de la vida de la bara y la cade-
na, recomendamos que use el aceite
para barras de sierra de cadena Crafts-
man. Si el aceite Craftsman no esta dis-
pondible, puede usarse un aceite SAE
30 de buena calidad hasta obtener el
aceite marcha Craftsman. La cantidad
de lubricaci6n es medida automatica-
mente durante el funcionamiento de la
sierra. La sierra usar9 mas o menos un
tanque de aceite para la barra por cada
tanque de combustible. Siempre Ilene el
tanque de aceite de la barra cuando
Ilene el tanque de combustible.
ABASTECIMIENTO DEL MOTOR
_IkADVERTENCIA: Remueva la
tapa del tanque de combustible lenta-
mente al reabastecer combustible.
Este motor est_ habilitado para funcio-
nar con gasolina sin plomo, Antes de
comenzar con el uso, se debera mez-
clar la gasolina con un aceite de sinteti-
co de buena calidad para motores de 2
tiempos enfriados a aire. Recomenda-
mos el aceite de sint6tico de la marca
Craftsman. Mezcle la gasolina con el
aceite en la proporci6n 40:1. Se obtiene
una proporci6n de 40:1 mezclando 3.2
onzas de aceite con cada gal6n de ga-
solina sin plomo. Se incluye con esta
sierra un recipiente de 3,2 onzas de
aceite de sintetico de la marca Crafts-
man. Adiera el contenido entero de
este recipiente en 1 gal6n de gasolina
para alcanzar la mezcla apropiada del
combustible.
NO USE aceite para autom6viles ni para
barcas. Estos aceites daSar_n el mo-
tor.AI mezclar el combustible, siga las
instrucciones impresas en el recipiente
de aceite. Una vez que haya aSadido
el aceite a la gasolina, agite el reci-
piente brevemente para asegurar que
el combustible este completamente
mezclado. Lea siempre y siga las re-
glas de seguridad que tienen que ver
con el combustible antes de abastecer
el aparato.
IMPORTANTE
La experiencia indica que los combus-
tibles mezclasdos con alcohol (los Ila-
mados gasohol o los que contienen eta-
nolo metanol) pueden atraer humedad,
I oque puede causar la separaci6n y la
formaci6n de &cidos durante el almace-
namiento. La gasolina acidica puede
dafiar el sistema de combustible del me-
tor durante el almacenamiento.
Para evitar promblemas con el motor,
debera vaciarse el sistema de combus-
tible antes de almacenar el aparato por
30 dias o mas, Vacie el tanque de com-
bustible, ponga el motor en marcha y
dejelo en marcha hasta que la lineas de
combustible y el carburador queden
vacios, Cuando vaya a usar el aparato
nuevamente, use combustible fresco.
Vea la instrucciones de ALMACENAMIEN-
TO para obtener m_s informaciones.
Nunca use productos de limpieza de
motor o carburador en el tanque de
combustible ya que hacerlo puede pro-
vocar daSos permanentes.
Vea la secci6n de ALMACENAMIENTO
para rags informaciones.
FRENO DE CADENA
AsegQrese el freno de cadena se dis*
activa tirando el protector de mano de-
lantero hacia atr&s, acerc&ndolo a la
manija delantera todo Io que sea pos-
ible. Es necesario desactivar el freno
de cadena para cortar con la sierra.
31

_IbADVERTENClA:Lacadenano
debemoversecuandoelmotorseen-
cuentreenmarchainactiva.Silaca-
denasemueveenmarchainactiva,
vealasecci6ndeAJUSTESALCARBU-
RADORenestemanual.Evitecontac-
toconelsilenciador,Unsilenciador
calientepodriacausarquemaduras
muygraves,
PARA PARAR EL MOTOR
• Mueva el interruptor ON/STOP en la
posici6n STOP.
INTERRUPTOR ON/STOP
o. I -I@
POSICION DE ARRANQUE
• Para poner en marcha el motor, su-
jete la sierra firmamente en el suelo
como se ilustra, AsegQrese de que
la cadena pueda moverse libre-
mente sin tocar ningt_n objeto.
Mango de Ia cuerda de arranque
El Pie Derecho en el Interior de
la Manija Trasera
PUNTOS IMPORTANTES PAPA
RECORDAR
AI tirar de la cuerda de arranque, no
use la extensi6n completa de la cuerda
ya que esto puede causar que la cuer-
da se parta. No permita que la uerda
de arranque regrese a su lugar brusca-
mente, Sujete el mango y permita que
la cuerda rebobine lentatmente.
Para arranques bajo condiciones de
clima frio, ponga en marcha el motor
con el cebador en la posici6n FULL
CHOKE; permita que el motor caliente
antes de apretar el gatillo acelerador,
AVISO: No comience a cortar ningt_n
tipo de material si la palanca del ceba-
dor/marcha inactiva r&pida se encuen-
tran en la posici6n FULL CHOKE.
PAPA ARPANCAR CON MOTOR
FRIO (o motor caliente despu_s de
quedar sin combustible)
AVISO: En los siguientes pasos, cuan-
do la palanca del cebador/marcha in-
activa rgpida su m_xima extensi6n, el
ajuste correcto del acelerador de ar-
ranque se fijar& automgticamente.
1. Mueva el interruptor ON/STOP a la
posici6n ON,
2. Tire de la palanca del cebadorl
marcha inactiva r_pida su m_xima
extensi6n.
3. Lentamente, oprima el bombeador
6 veces.
4. Firmemente, tire del mango de la
cuerda de arranque 5 veces con
su mano derecha. Luego, pase al
siguiente paso.
AVISO: Si el motor parece que est6
intentando arrancar antes del quinto
tir6n, pare de tirar y proceda inmedia-
tamente al siguiente paso.
5. Coloque la palanca del cebadorl
marcha inactiva rapida en total-
mente (a la posici6n OFF CHOKE).
6. Tire de la cuerda de arranque r_pi-
damente con su mano derecha
hasta que el motor se ponga en
march&
7. Permita que el motor continQe en
marcha por aproximadamente 5
segundos. Luego, apriete y suelte
el gatillo acelerador para permitir
que el motor regrese en marcha
inactiva.
_.j Interruptor /m//
ON/STOP _-"_oJ
Palanca del cebadod
marcha inactiva r&pida
PALANCA DEL CEBADOR/
MARCHA INACTIVA RAPIDA
(VISTALATERAL)
Cebador/Marcha I_ It
Inactiva R&pida OFF FULL
PAPA ARRANCAR CON EL MOTOR
CALIENTE
1. Mueva el interruptor ON/STOP a la
posici6n ON.
2. Tire de la palanca del cebadorl
marcha inactiva r_pida su m_xima
extension; luego, regrese la palan-
ca del cebadorlmarcha inactiva
r_pida en totalmente (a la posici6n
OFF CHOKE).
3. Lentamente, presione el bombea-
dor 6 veces.
32

4. Tiredelacuerdadearranquer_pi-
damenteconsumanoderecha
hastaqueelmotorsepongaen
marcha.
5. Aprieteysostengaelgatilloaceler-
adorparapermitirqueelmotorre-
greseenmarchainactiva.
ARRANQUE DIFICIL (o arranque de
motor ahogado)
El motor puede encontrarse ahogado
con demasiado combustible si no se ha
puesto en marcha despu6s de110 tir6n.
Un motor que se encuentre ahogado
puede ser aclarado del exceso de
combustible siguiendo el procedimiem
to de puesta en marcha para motores
calientes que se ha indicado anterior-
mente. Asegt]rese de que el interrup-
tor ON/STOP se encuentre en la posi-
ci6n ON.
Que el motor se ponga en marcha
puede requerir que se tire de la cuerda
de arranque muchas veces, depen-
diendo cu_n ahogando se encuentre
el motor. Si el motor aun asi no arran*
ca, refi6rase a la TABLA DIAGNQSTICA
o Ilame al 1-800-235-5878.
FRENO DE CADENA
Z_
4_ADVERTENCIA: La banda del
freno podr_ romperse al activar el fie-
no si 6sta se encuentra demasiado
usada y fina. Si la banda del freno se
encuentra rota, el freno de cadena no
detendr& la cadena. El freno de cade-
na debe ser substituido si cualquier
parte se desgasta menos de 0,5 mm
(0,020 de pulgada) densamente. Re*
paraciones al freno de cadena deben
ser hechos por un Centro de Servicio
Sears que este autorizado. Lleve la
unidad al sitio de compra a el Centro
de Servicio Sears mas cercano.
• Esta sierra viene equipada con un fie-
no de cadena disefiada para detener
la cadena en el caso de reculada.
• El freno de cadena inercia-activado
se activa si el protector delantero de
mano es empujado hacia adelante,
ya sea manualmente (a mano) o au*
tomgticamente (por el movimiento
repentino).
• Si el freno ya est9 activado, se Io de-
sactiva tirando el protector de mano
delantero hacia _nog, acercgndolo a
la manija delantera todo io que sea
posible.
• Para cortar con la sierra, es necesa-
rio desactivar el freno de cadena.
Control del freno
PRECAUCION: El freno de cadena
debe ser inspeccionado varias veces
al dia. AI hacer esta inspecci6n, el
motor siempre debe estar prendido.
Coloque la sierra en suelo firme. Sos_
tenga la manija trasera con la mano
derecha y la manija delantera con la
mano izquierda. Aplique a la veloci_
dad maxima presionando el gatillo del
acelerador. Active el freno de cadena
dando vuelta a su mu_eca izquierda
contra el protector de mano delantera
sin soltar la manija delantera. La ca_
dena debe parar inmediatamente.
Control del funcionamiento activa-
do por inercia
£= ___________
41;_ADVFRTENCIA: Cuando Ileve a
cabo el procedimiento siguiente, el
motor deber_ estar apagado.
Sostenga la manija trasera con la
mano derecha y la manija delantera
con la mano izquierda. Sujete la sierra
unos 35 cm por encima de un toc6n u
otro superfice de madera. Libere la
empu_adura del mango delantero y que
la punta de la barra guia caiga hacia
adelanta y pueda entrar en contacto con
el tocon. Cuando la punta de la barra
golpee el tocon, el freno debe activarse.
SUGERENCIAS PARA EL USO COR-
RECTO DEL APARATO
• Verifique la tensi6n de la cadena
antes del primer uso y despu6s de
un minuto de funcionamiento. Vea
TENSION DE LA CADENA en la sec-
ci6n de MANTENIMEINTO.
• Corte madera t]nicamente. No corte
metal, pl_stico, ladrillos, cemento,
otros materiales de construcci6n que
no sean de madera, etc.
• Pare la sierra si la cadena toca cuak
quier objeto ajeno. Inspeccione la
sierra y repare las piezas segt]n la
necesidad.
• Mantenga la cadena fuera de la are-
na y la tierra. La menor cantidad de
tierra desafila r&pidamente las cade-
nas e incrementa la posibilidad de
reculadas.
33

•Corte various troncos pequefios como
practica. Usando la siguiente t6cnica,
para acostumbrarse al manejo de la
sierra, antes de empezar un proyecto
de grandes dimensiones.
• Acelere el motor al maximo antes de
empezar acortar apretando el gatillo
acelerador afondo.
• Empiece el corte con el bastidor de
la sierra apoyada contra el tronco.
• Mantenga el motor con acelerador
a fondo constantemente mientras
corta,
• Deje que la cadena haga todo el tra-
bajo de cortar; no use m_s que una
muy ligera presi6n hacia abajo.
• Suelte el gatillo acelerador inmedia-
tamente al terminar de cortar, dejan-
do que el motor funcione a marcha
lenta, Si mantiene la sierra en mar-
cha con acelerador a fondo sin estar
cortando, puede causar desgaste
innecesario. Se recomienda que
no opere el motor per mas de 30
segundos a la velocidad m_xima.
• Para no perder el control cuando
se haya completado el corte, no le
ponga presi6n a la sierra al final
del corte.
• Pare el motor antes de apoyar la
sierra al finalizar un corte.
TECNICAS PARA TUMBAR
ARBOLES
Z_
IIf_ADVERTENCIA: Yea que no
haya ramas rotas o muertas que
podrfan caerle encima mientras corta,
causando heridas graves. No corte
cerca de edificios ni cables el6ctricos
si no sabe la direcci6n de tumbado del
_rbol, ne de noche ya que no podr&
ver bien, ni durante real tiempo como
Iluvia, nieve, o vientos fuertes, etc, Si
el _rbol hace contacto con algt]n cable
de linea de servicio pt]blico, la com-
pafia de servicio p0blico debera ser
notificada de inmediato.
• Planifique la operaci6n de corte cui-
dadosamente por adelantado.
• Despeje al _rea de trabajo, Ud, pre-
cisa un &rea despejada en todo el
contorno de 9rbol donde pueda pisar
con firmeza entodo momento.
• El usuario de la sierra de cadena
deber& permanecer del lado cuesta
arriba del terreno ya que es probable
que el &rbol rodillo o se deslice cues-
ta abajo despu6s de caer.
• Estudie las condiciones naturales
que puedan causar que el &rbol cai-
ga en una direcci6n determinada.
Entre las condiciones naturales que
pueden causar que el &rbol caiga en
una direcci6n determinada, seem
cuentran:
• La direcci6n y la velocidad del
viento.
• El _ngulo de inclinaci6n del &rboL
El _ngulo de los Arboles a veces
no se nota debido al declive del
terreno o a terreno desparejo. Use
plana o cordel de sonda para de_
terminar la direcci6n de la inclina-
ci6n del arbol.
• El _rbol es m_s pesado o tieno
mucho mas ramas de un lado.
• Arboles y obstaculos en derredor.
• Verifique si hay porciones descom-
puestas o podridas, si el tronco est&
descompuestas o podridas. Si el
tronco est9 podrido, puede partirse
repentinamente sin aviso y caer
sobre el usuario.
• Aseg0rese de que haya suficiente
espacio para la cafda del &rbol.
Mantenga una distancia equivalente
a dos veces y medio del largo del
_rbol y la persona mgs cercana u
otros objetos. El ruido del motor
puede impedir que se escuchen las
advertencias gritadas.
• Retire la tierra, las piedras, la corteza
suelta, los clavos, las grampas y el
alambre que pueda haber en el _rbol
en el lugar del corte.
Planifique una ruta
predeterminada y
despejada de retroceso.
;_.... ( _,--""""_- Direccion de
" _ la Cafda
TECNICAS PARA TUMBAR
ARBOLES
(con di_metro de 15 cm (6 pulgadas) o
m_s)
Se usa el m6todo de corte de muesca
para los &rboles grandes, La muesca es
un corte en el lado del &rbol hacia el
cual se desea que caiga. Despu6s de
hacer el corte de tumbado del lado op-
uesto, el &rbol tendr_ la tendencia de
caer hacia el lado en que se ha hecho
el corte de muesca.
34

AVISO:Siel&rboltieneraices
grandesdeapoyo,retirelasantesde
hacerlamuesca.Sius6lasierrapara
quitarraicesgrandesdeapoyo,preve-
nitlacadenadeentrar en contacto
con la tierra esto le previene de perder
el filo.
CORTE DE MUESCA Y TUMBADO
DEL ARBOL
• Haga el corte de muesca cortando
primero la base de la muesca. Haga
que el corte atraviese un tercio del an-
cho del tronco. Luego complete el
corte de muesca cortando en &ngulo
come se muestra en la ilustraci6n.
Una vez completo el corte de muesca,
retire la curia de madera del &rbol.
Primer corte
Muesc_a
Segun_
corte
5orei
I,,11- agui
• Despu6s de retirada la curia de mad-
era del muesca, del lade opuesto al
corte de muesca haga el corte de
tumbado. El corte de tumbado debe
quedar a 5 cm (2 pulgadas) mas arri-
ba que la base del corte de muesca.
Este procedimiento dejar& suficiente
madera sin cortar entre el corte de
tumbado y la muesca para formar
una bisagra. Esta bisagra ayudar& a
evitar que el &rbol ciaga en la direc-
ciSn equivocada.
La bisagra sostiene el arbel en el
tocbn y ayuda a controlar la caida.
Abedura del code
de tumbado
Cierre de
Ia muesca
AVISO: Antes de completar el
tumbado, use cutlas para abrir el
corte, cuando sea necesario, para
controlar la direcciSn de la caida. Use
cutlas de madera o de plastico, pero
nunca de acero o de hierro, para evitar
que la sierra recule y para evitar dafios
a la cadena.
• Est6 alerta a los indicios de que el
_rbol est9 por caer: los crujidos, el
ensanchamiento del corte de tumba-
do y los movimientos de las ramas
superiores.
• En el instante en que el &rbol comiem
za a caer, pare la sierra, apSyela en el
suelo y retroceda r&pidamente, por la
trayectoria de retroceso prevista.
• NO corte un &rbol parcialmente caido
con la sierra. Tome extremo cuidado
con los &rboles parcialmente tumba-
dos que tienen apoyo precario.
Cuando el &rbol no cae totalmente,
ponga la sierra de lado y use un
montacargas a cable, un aparejo de
poleas oun tractor para bajarlo.
CORTE DE UN ARBOL TUMBADO
(SECCIONAMIENTO)
El termino seccionamiento significa
cortar un &rbol tumbado en secciones
del largo deseado.
_ADVERTENClA: No se pare
sobre el tronco que est& siendo corta_
do. Cualquier parte del tronco puede
rodar haciendo que el usuario pierda el
equilibrio yelcontroL No se posicione
cuesta abajo del tronco que est6 sien-
do cortado.
PUNTOS IMPORTANTES
• Corte _nicamente un tronco a la vez.
• Corte con sumo cuidado la madera
astillada. La sierra puede arrojar peda-
zos punteadudos y filosos hacia el
usuario.
• Use un caballete para cortar troncos
pequefios. Nunca permita a otra per-
sona que sostenga el tronco mien-
tras ud. corta ni sostenga el tronco
con la piema o el pie.
• No corte en lugares donde haya
troncos, amas y raices entrelazadas.
Arrastre los troncos hasta un lu8gar
despejado antes de corarlos, empe-
zando per los troncos expuenstos y
la retirados.
TteCNICAS EL SECClONAMIENTO
_I),ADVERTENCIA: Si la sierra que-
da apretada o atascada dentro del trom
co, no intente sacarla a la fuerza. Puede
perder el control de la sierra, causando
heridas o dafios al aparato. Pare la sier-
ra, martille una curia de pl&stico o de
madera en el corte hasta que la sierra
35

salgaf&cilmente.Pongalasierrade
nuevoenmarchaycol6quelacuidado-
samentedenuevoenelcorte.Paraevi-
tarquelasierrareculeyparaevitar
dafiosalacadena,nousecu[Sasde
metal.Nointenteponerenmarchala
sierradenuevocuandoest9apretadao
atascadaenuntronco.
Use una cul_a para sacar la sierra
Apague la sierra y use una cuba de
madera o de plastico para abrir el tajo.
Corte Descendiente empieza desde
el lado superior del tronco con la
partre de abajo de la sierra apoyada
contra el tronco; haga una leve pres-
i6n hacia abajo.
Corte ascendiente
Corte Ascendiente empieza desde el
lado inferior del tronco con la parte de
arriba de la sierra apoyada contra el
tronco; haga una leve fuerza hacia arrF
ba, Sujete la sierra firmemente para
mantener el control. La sierra tendra la
tendencia de empujar al usuario hacia
atr_s.
AADVERTENCIA: Nunca invierta
la sierra para Racer cortes ascem
dientes. No se puede controlar la sier-
ra de esa forma.
Haga siempre el primer corte del lado
del tronco que est& bajo compresi6n,
El lado de compresi6n del tronco es
donde la presi6n del peso del tronco
se concentra.
Primer corte de Ilado del tronco
bajo compresi6r _,
SECCIONAMIENTO SIN APOYO
• Haga el corte descendiente atrave-
sando un tercio del diametro,
• Haga rodar el tronco y termine con
otro corte descendiente.
• Tenga cuidado especialmente con los
troncos presionados de un lado para
evitar que la sierra atascada. Vea la
ilustraciones anterior para cortar trom
cos presionados de un lado.
SECClONAMIENTO USANDO TRON-
CO 0CABALLETE DE APOYO
• Recuerde que el primer corte
siempre es del lado presionado del
tronco, (Vea en la ilustraciones que
sigue el primero y segundo corte.)
• El primer corte deber9 extenderse
por 1/3 del di&metro de Itronco.
• Termine por el segunco corte.
Use de tronco como apoyo
Segundo
Primer
:;" Co_e
Se_. ' '% Primer Corte
Con caballete come apoyo
Segundo Corte
Primer
Corte
Segundo co_e
Segundo co_e
Primer corte de Ilado del tronco
bajo compresi6n
I-- Primer Corte
36

PAPA CORTAR RAMAS Y PODAR
4=_!bADVERTENCIA: Est6 alerta y
tenga cuidade con los reculada.
Cuando certar ramas y podar, nunca
permita que la cadena en mevimiento
toque ning_n ebjete en la punta de la
barra guia, Permitir tal centacto puede
causar graves heridas.
_I!bADVERTENClA: Nunce trepe a
los arboles para certar ramas e para
podar. No se pare sebre escaleras,
plataformas, trencos ni en ninguna pe-
sici6n que pedria causarle que pierda
el equilibrie o el control de la sierra.
PUNTOS IMPORTANTES
• Tenga cuidade con las ramas delga-
das bajo presi6n. El materaial de
poce digmetro buede enredarse en
la cadena, dande un latigaze al
usuario o haciendo que pierda el
equilibrio, Use extremo cuidade al
certar ramas pequefias.
• Este alerta contra los rebotes de ra-
mas dobladas o bajo presi6n. Evite
ser golpeado por la rama o la sierra
cuando se suelte la tensi6n en las
fibras de la madera,
• Despeje frecuentemente las ramas
acumuladas para no le hagan trope-
zar,
PARA CORTAR RAMAS
• Corte las ramas del &rbol t_nica-
mente despu6s de que se Io haya
tumbado.
• Deje las ramas m&s guresas debajo
del 9rbol tumbado para que apoyen
el 9rbol mientras ud, trabaja,
• Empiece por la base del &rbol tum-
bado y vaya trabajando hadcia el
tobe, cortande las ramas. Corte las
ramas pequefias de un dose certe.
• Mantenga el tronco del &rbol entre
ud, y la cadena.
• Retire las ramas mas grandes con la
t6cnica descrita en la secci6n SECClO-
NAMIENTOSIN APOYO.
• Use siempre un corte descendiente
para cortar ramas pequefias y ramas
que cuelgan libremente. Los cortes
acendientes podrian hacer que las
ramas caigan y apreten la sieera.
PARAPODAR
_I_ADVERTENCIA: Pode t_nica-
mente hata la altura del hombro. No
corte las ramas que queden m&s altas
que los hombros. Consiga a un profe-
sienal pra efecturar este trabaje.
• Haga el primer corte en forma as-
cendiente atravesande 1/3 del
all&metro de la rama. Este corte har_
que el rama cede y caiga facilmente
en el segundo corte.
• Siguiente haga que el segunde certe
un corte descendiente atravesando
completamente la rama.
• Finalice la maniebra de podar dande
un cote de manera que el tec6n de
la rama sobresalga de 1 a2 pulga-
das desde el tronce del &rbel.
Segundo corte
_ Tercer certe de 2,5 a
5 cm del tmnco del
arbol
37

RESPONSABILIDADES DEL USUARIO
,_ ADVERTENCIA: Desconecte la bujia antes de hacer cualquier
mantenimiento, con la excepci6n de los ajustes al carburador.
Antes
Anote las fechas al comptetar de
el servicio de rutina Usar
Despu_s Cada Cada
de 5 25 Anual-
Usar horas ho_s mente
Limpie e inspeccione la rejilla anti-
chispas e inspeccione el silenciador.
Cambie la bujia y Ia filtro de
combustible
RECOMENDACIONES GENERALES
La garantia de este aparato no cubre
los articulos que han side sometidos al
abuso o a la negligencia de parte del
usuario. Para poder recibir el valor total
de la garantia, el usuario debera hacer
el rnantenimiento tal corno se indica en
este manual. Har9 falta hacer varios
ajustes periSdicos para mantener el
aparato adecuadarnente.
• Una vez por a_o, cambie la bujia y el
elernento del filtro de aire e inspec-
cione la barra guia y la cadena para
ver que no est6n gastadas. El reern-
plazo de la bujfa y del elemento del
filtro de aire asegura una rnezcla cor-
recta de aire y combustible y ayuda a
que el motor rnarche rnejor y que dure
m_s.
VERIFIQUE.QUE NO HAYA
PIEZAS DANADAS O GASTADAS
Entre en contacto con el Centre de
Servicio Sears para el reernplazo de
piezas dafiadas o desgastadas.
Verifiique que no haya piezas _.
da_adas/gastadas
Verifique que no hay fijadorre
3iezas sueltas _"
Verifique la tensi6n de la cadena ,/
Verifique el filo de la cadena ,/
Inspeccione la barra guia _"
Verifique el nivel de ia mezcla del ,/
combustible
Inspeccione la barra y verifique ,/
del aceite de ia cadena
Inspeccione y limpie el aparato _.
y las ptacas
Inspeccione el freno de cadena _"
Limpie el ranura de Ia barra _"
Limpie el flltro de aire _"
#,,.
Fechas
de
Servicio
AVlSO: Es normal que aparezca una
pequefia cantidad de aceite debajo de
la sierra despu_s de parar el motor. No
confunda esto con p6rdidas del tan-
que de aceite.
• Interruptor ON/STOP -AsegQrese que
el interruptor est6 funcionando cor-
rectarnente coloc_ndolo en la posi-
ci6n STOP.
• Tanque de Combustible-No use la
sierra si hay sefiales de dafios o fu*
gas del tanque de combustible.
• Tanque de Aceite-No use la sierra si
el tanque de aceite da seSales de
dafio o fugas.
VERIFIQUE QUE NO HAYA
FIJADORES O PIEZAS SUELTAS
Tuercas de la Freno de Cadena
Cadena
Silenciador
Protector del Cilindro
Filtro de Aire
Tomillos de las Manijas
Fijadores AntiWibraci6n
Caja del Arranque
Protector de Mano Delantera
38

VERIFIQUE LA TENSION DE LA CA-
DENA
dI_ADVERTENCIA: Use guantes
protectores al manejar la cadena. La
cadena tiene file y podria causarle
graves cortaduras, aun cuando 6sta
no se encuentre en movimiento.
La tensi6n de la cadena es muy impor-
tante, Estiramiento de los cadenas
durante uso, Esto es especialmente
verdad durante los tiempos primeros
que usted utiliza la sierra. Controle
siempre la tensi6n de la cadena cada
vez que usted utiliza y reaprovisiona
su sierra de combustible,
1. Use la punta en forma del destor*
nillador de la herramienta de ajuste
de la cadena (herramienta de la
barra) para mover la cadena alre-
dedor de la barrra quia para ase-
gurarse de que la cadena no se
haya enroscado. La cadena deb-
era moverse libremente,
la Freno de Ajuste la cadena
Cadena (Herramienta
de la barra)
2. Afloje las tuercas de la freno de ca-
dena hasta que est6n tan ajusta-
das contra la freno de cadena con
los dedos t]nicamente,
3. Gire el tornillo de ajuste a la dere*
cha (en el sentido del reloj) hasta
entra en contacto con s61idamente
el fondo del riel de la barra guia,
_te
4. Usando la herramienta de la barra,
haga girar la cadena alrededor de la
barra guia para asegurarse de que
todos los eslabones se eneuentren
dentro de las ranuras de la barra,
5. Levante la punta de la barra guia
para asegurarse que ninguna parte
de la cadena se encuentre floja o
cuelgue, Suelte la punta de la barra,
entonces gire el tornillo de ajuste
hasta que la cadena quede tirante,
6. Manteniendo la punta de la barra
levantada, ajuste firmemente las
tuercas de la freno de cadena con
la herramienta de la barra.
Tuercas de
o la freno de
7. Use la punta en forma de destornil-
lador de la herramienta de la barra
para hacer rotar la cadena por la
barra.
8. Si no puede hacer rotar la cadena,
est9 demasiado ajustada, Afloje
levemente las tuercas de la freno
de cadena y afloje cadena dar
vuelta el tornillo de ajuste hacia la
izquierda (en contra del sentido del
reloj), Vuelva a ajustar las tuercas
de la freno de cadena,
9. Si la cadena se encuentra dema-
siado floja, colgar_ par debajo de
la barra guia. NO USE la sierra si la
cadena se encuentra floja.
_I!_ADVERTENCIA: Si la sierra se
funciona con un cadena flojo, la cade-
na podria saltar de la barra y resultado
en accidentes muy graves.
VERIFIQUE SI LA CADENA ESTA
AFILADA
Las cadenas afiladas producen troci-
tos de madera, Las cadenas desafila*
das producen polvo de aserrin y cor-
tan lentamente, Vea AFILACION DE LA
CADENA en la secci6n SERVICIO Y
AJUSTES.
INSPECClONE LA BARRA
Condiciones que requieren que se
haga mantenimiento a la barra:
• La sierra corta para un lade o en
_ngulo.
• Hay que forzada para que atraviese
el corte,
• Cantidad inadecuada de lubricante
en la barra y la cadena,
Verifique la condici6n de la barra cada
vez que haga afilar la cadena, Las
barras gastadas dafian la cadena y
tornan difiicil el trabajo de cortar.
Despu6s de usar, asegQrese el inter-
ruptor ON/STOP est9 en posici6n STOP,
luego limpie redo el aserrin y cualquier
otro escombro de la ranura de la barra
y del orificio del engranaje.
39

Paramantenerlabarraguia:
• ColoqueelinterruptorON/STOPen
posici6nSTOE
• Aflojeyretirelastuercasdelfrenode
cadenayelfrenodecadena.Retire
labarraylacadenadelaparato.
• Limpielosorificiosdelaceiteyelra-
nuradelabarradespu6sdecada5
horasdelaoperaci6n.
RetireelAserrindela
RanuradeIaBarra
_°,---_-----_Orificios del aceite o _o
• Los rieles de la barra desarrollan
protuberancias al gastarse. S&que-
las con una lima plan&
• Si la superficie superior del riel est9
desnivelada, use una lima plana
para restaurar la forma cuadrada.
'--- Encuadre los ---_ _J_
Bordes del Riels
con una Lima
Ranura Ranura
correcta gastada
Cambie la barra si la ranura est_ gas-
tad& si la barra est9 torcida o resque-
brajada o si hay calentamiento excesi-
vo o formaci6n de protuberancias en
los rieles. Si es necesario cambiar la
barra, use exclusivamente la barra
guia especificada para su sierra en la
lista de repuestos, especificada tam-
bi6n en la calcomania de repuesto de
barra y cadena que se encuentra en la
sierra.
VERIFIQUE EL NIVEL DE LA MEZ-
CLA DEL COMBUSTIBLE
• Vea ABASTECIMIENTO DEL MOTOR
en la secci6n USO.
LUBRICAClON
TacPatd_ie_aanqaUede_ !
• Yea ACEITE PARA BARRA Y LA CADE-
NA en la secci6n USO.
INSPECCIONE Y LIMPIE EL APARA-
TO Y LAS PLACAS
• Despu6s de que cada use, inspec-
cione la aparato completa para sa*
ber si hay piezas flojas o dafiadas.
Limpie el aparato y ]as placas usam
do un trapo ht]medo con detergente
suave.
• Seque el aparato con un trapo limpio
y seco.
INSPECClONE EL FRENO DE CA-
DENA
• Vea FRENO DE CADENA en la sec-
ci6n USO.
LIMPIE EL FILTRO DE AIRE
El filtro de aire sucio disminuir9 la vida
t]til y el rendimiento del motor e incre-
mentar9 el consumo de combustible y la
producci6n de contaminantes. Limpie
siempre el filtro de aire despu6s de 15
tanques de combustbile o 5 horas de
uso, el que acontezca primero. Limpielo
con mAs frecuencia en condiciones muy
polvorientas. Los filtros usados nunca
quedan totalmente limpios. Se aconseja
reemplazar al filtro de aire por uno nue-
vo despu6s du cada 50 horas de uso o
anualmente, Io que acontezca primero.
Para limpiar el flltro:
1. Afloje los 3 tornillos en la tapa del
cilindro.
2. Retire la tapa del cilindro.
3. Retire el filtro de aire.
4. Limpie el filtro de aire con agua cal-
iente y jab6n. Enjuague bien con
agua clara y fria. S6quelo a] aire to-
talmente antes de reinstalarlo.
5. Coloque una peque_a cantidad de
aceite al filtro antes de instalarlo.
Use aceite para motores de 2 tiem-
pos o aceite de motores SAE 30.
Escurra bien el exceso de aceite
apretando el filtro para mejorar la
eficiencia del filtro de aire.
6. Reinstale de filtro de aire.
7. Reinstale la tapa del cilindro y los 3
tornillos. Apriete firmemente.
Filtro de Tornillos de
Aire la Tapa del
,/_/ Cilindro
Tapa del
_/Cilndr°
INSPECCIONE EL SILENCIADOR Y
LA REJILLA ANTICHISPAS
,d_ADVERTENCIA: El silenciador
en este producto contiene las substam
cias quimicas que el estado de Califor-
nia reconoce come causantes de
c&ncer.
4O

Amedidaqueseuseelaparato,elsi-
lenciadorylarejillaantichispas se van
carbonizando. Es necesario sacar la
carbonizaci6n para evitar el riesgo de
incendio o afectar el rendimiento del
motor,
PAR& LIMPIAR LA REJILLA
ANTICHISPAS
Se requiere la limpieza a cada 25 ho-
ras de uso o anualmente, el que ac-
contezca primero.
._3uia de la Salida
de Desahogo
Si,enci or
/Tornillos deI
_1_'L'_"_". _-_ Sllenclador
Placa Trasera" _ _1"'-_:',,. f
Junta del Silenciador"_,_...7";@_rJ
Cubierta del tornillo _.
Tuerca
1. Afloje y retire la tuerca de la cubier-
ta del tomillo.
2. Retire la cubierta del tornillo.
3. Afloje y remueva los dos tornillos del
silenciador. Retire el silenciador, la
junta del silenciador, la guia de la
salida de desahogo y la placa tras-
era. Tome nota de la orientaci6n de
estas piezas para su reinstalaci6n.
4. Localice los 2 tornillos de la cubierta
del salida de desahogo del silencia-
dor. Afloje y remueva ambos tornil-
los.
5. Retire la cubierta del salida de desa-
hogo.
Cubierta del Salida VISTA
** de Desahogo TRASERA DEL
SlLENClADQR
Silenciador
Tornillos
Rejilla Antichispas
6. Retire la rejilla antichispas.
7. Limpie la rejilla antichispas con un
cepillo de alambre. Cambie la rejilla
si cuenta con alambres rotos o si
despu6s de limpiarla contara con
obstrucciones.
8. Reinstale la rejilla antichispas.
9. Reinstale la cubierta del salida de
desahogo y los 2 tomillos.
Asegt]rese de instalar correctamente
la cubierta del salida de desahogo y
ambos tornillos (vea las ilustra-
ciones) para prevenir dafios a la
sierra. La salida de escape deber_
estar colocada mirando hacia el fre-
no de la cadena (del lado de la bar-
ra) de la sierra. Cubierta del
SaIida de _ida de Desahogo
Escape _"_
La salida de escape debera estar colo-
cada mirando hacia el freno de la cacle-
na (del lado de la barra)de la sierra.
10. Inspeccione la junta del silenciador y
reemplace si 6sta se encontrara
da_ada.
11. Reinstale la placa trasera, la guia de
la salida de desahogo, la junta del
silenciador, y el silenciador utilizando
los tornillos del silenciador. Apriete
firmemente hasta quedar seguros.
12. Reinstale la cubierta del tornillo y la
tuerca. Apriete firmemente.
CAMBIE LA BUJIA
Deber& cambiarse la bujia anualmente
para asegurar que el motor arranque
mgs fgcilmente y marche mejor. La
cronometrizaci6n del encendido es fija
e inalterable.
1. Afloje los tres tomillos en la tapa
del cilindro.
2. Retire la tapa del cilindro.
3. Saque la cubierta de la bujia.
4. Retire la bujia del cilindro ydes6-
chela.
5. Reemplgcela con una bujia Cham-
pion CJ-7Y ajt]stela con una Ilave
de 3/4 de pulgada. Apriete firme-
mente. Separaci6n de electrodos:
0,025 de pulgada.
6. Reinstale la cubierta de la bujia.
7. Reinstale la tapa del cilindro y tos
tres tornillos. Apriete firmemente.
Ta0 0e,
de la "_ _"_/i_C[_ "- Cilindr°
REEMPLAZO EL FILTRO DE COM-
BUSTIBLE
Para reemplazar el filtro de combustible,
vacie el aparato haciendo que el motor
marche hasta quedar sin combustible,
luego retire el juego de tapa del filtor de
combustible y retentor del tanque. Sa-
que el flltor del tanque y sep_relo de la
line& Reemplazo.
41

AADVERTENClA: Desconecte la
bujia antes de rea]izar mantenimiento,
servicio, o ajustes, excepto de ajustes
del carburador.
AFILAClON DE LA CADENA
La afilaciSn de la cadena requiere herra-
mientas especiales. Se puede comprar
las herramientas en Sears o Ilevar la ca-
dena a un especialista de afilaciSn.
REEMPLAZAR LA CADENA
_[kADVERTENClA: Use guantes
protectores al manejar la cadena. La
cadena tiene filo y podria causarle
graves cortaduras, aun cuando 6sta
no se encuentre en movimiento.
Es normal que una cadena nueva se
estire durante los primeros 15 minutos
de uso. Usted deber_ veriflcar la ten-
siSn de la cadena con frecuencia y
ajustarla cuando sea necesario. Vea la
secciSn de TENSION DE LA CADENA.
Cambie la cadena usada cuando est6
gastada o dafiada.
Use exclusivamente la cadena de re-
puesto Minimizadora de Reculadas
que se especifica en la lista de re-
puestos para reparaciones, la cadena
y barra de repuesto correctas tambi6n
se especifican en una etiqueta ubica-
da en la sierra de cadena.
Entre en contacto con el Centro de
Servicio de Sears para cambiar y afllar
las cuchillas individuales de la cadena.
PARA REEMPLAZAR LA CADENA:
1. Mueva el interruptor ON/STOP a la
posici6n STOP.
2. Retire las tuercas de la freno de
cadena.
3. Retire la freno de cadena.
Freno de
cadena
embrague Tuercas de
la freno de
_,d_--_ cadena
4. Gire el tornillo de ajuste en la barra
hacia la izquierda (en contra del
sentido del reloj) para mover el
piton de tensi6n tan lejos come se
posible en direcci6n hacia la parte
delantera de la barra.
PiSon de tension _'/_
5. Haga deslizar la barra por detrgs
del cilindro del embrague hasta
que la barra se detenga al tocar el
engranaje del cilindro del embra*
gue.
6, Retire la cadena usada.
7. Retire muy cuidadosamente la
nueva cadena del paquete. Sos-
tenga la cadena con Ion eslabones
de impulsi6n orientados como se
ve en la ilustraci6n.
_.uchillas Marcador de Plofundidad
Eslabones de Funcionamiento
8. Coloque la cadena por encima y
detr_s del embrague, poner las esla-
bones de funcionamiento en el cilim
dro del embrague.
9. Coloque los eslabones de propul-
siSn entre los dientes de la engra-
naje en la punta de la barra.
10. Coloque los eslabones de propul-
siSn en la ranura de la barra.
11. Tire la barra hacia adelante hasta
que la cadena quede tirante en la
ranura de la barra. Asegure todas
las eslabones de propulsi6n estgn
en el ranura de la barra.
12. Instale la freno de cadena,
13. Instale las tuercas de la freno de ca-
dena y ajt_stelas a mano t3nica-
mente, No los ajuste m_s per aho-
ra, Vaya a AJUSTE DE LA CADENA.
AJUSTE DE LA CADENA
Yea TENSION DE LA CADENA en la sec-
ci6n de MANTENIMIENTO.
AJUSTE AL CARBURADOR
_I!_ADVERTENCIA: La cadena es-
tar& en movimiento durante la mayor
parte de este prodecimiento, Use el
equipo protector y observe todad las
42

precaucionesdeseguridad.Lacade-
nanodebemoverseconelmotoren
marchalent&
Elcarburadorhasidoajustadocuidado-
samenteenlafgbrica.Posiblementese
hagannecesariosajustessisenotacu-
alquieradelassiguientescondiciones:
• Lacadenasemueveconelmotor
enmarchalent&Veaprocedimiento
deMARCHALENTA"T".
• Lasierranoandaamarchalent&Vea
procedimientodeMARCHALENTA"T".
Marcha Lenta "T"
Deje que el motor trabaje en marcha
lenta. Si la cadena se mueve, la mar-
cha lenta es demasiado. Si el motor
se par& la marcha lenta es demasiado
lenta, Ajuste las revoluciones hasta
que el motor se mantenga en marcha
sin que la cadena se mueva (la mar-
cha lenta es demasiado) o que el mo-
tor se ahogue (la marcha lenta es de-
masiado lenta). El tornillo de la marcha
est& situado arriba del bombeador y
marcado con la "T",
• Gire el tornillo de la marcha lenta "T"
a la derecha (en el sentido del reloj)
para aumentar las revoluciones del
motor.
• Gire el tornillo de la marcha lenta "T"
a la izquierda (en contra del sentido
del reloj) para bajar las revoluciones.
Si requiriera ayuda adicional o no se
sintiera seguro al desempeSar este
procedimiento, entre en contacto con
el Centro de Servicio Sears, o Name a
nuestro tel6fono de ayuda al consumi-
dor al 1-800-235-5878.
,li
llADVERTENCIA: Realice los si-
guientes pasos despu6s de cada use:
• Deje que el motor se enfde y fije
bien el aparato antes de guardarlo o
de transportarlo.
• Guarde la sierra y el combustible en
unlocal bien ventilado donde los va-
pores de combustible no puedan en-
trar en contacto con shispas ni lla-
mas abiertas provenientes de los
termotanques, los motores o inter-
ruptores el6ctricos, calefactores cen-
trales, etc.
• Guarde el aparato con todos los pro-
tectores en su lugar y coloque el
aparato de mode que las piezas filo-
sas no puedan causar heridas por
accidente.
• Guarde el aparato bien fuera del aF
cance de los niSos.
Prepare el aparato para guardarlo al
final de la temporada o si no se Io va a
usar por m_s de 30 dias o rags.
ESTACIONAL ALMACENAJE
Prepare el aparato para guardarlo al
final de la temporada o si no se Io va a
usar por m_s de 30 dias o m_s.
Siva a guardar el aparato durante un
periodo largo:
• Limpie la sierra a conciencia antes
del almacenaje.
• Almac6ne en un lugar limpio y seco.
• Aplique una pequefia cantidad de
aceite alas superficies extemas
metglicas y a la barra guia.
•Lubrique la cadena y envu61vala en
papel grueso o tel&
SISTEMA DE COMBUSTIBLE
Yea el mensaje marcado IMPOR-
TANTE, que se refere al use de com*
bustibles con mezcla de alcohol en su
aparato, en la secci6n de USO, bajo
ABASTECIM]ENTO DEL MOTOR. Los es-
tabilizadores de combustible son una
alternativa aceptable para minimizar la
formaci6n de dep6sitos de goma du-
rante el almacenamiento. ASada esta*
bilizador a la gasolina en el tanque de
combustible o en el recipiente de al-
macenado de combustible, Siga las
instrucciones de mezcla que se en-
cuentran en los envases de estabiliza-
dor. Ponga el motor en marcha y d6je-
Io en marcha unos 5 minutes despu6s
de ponerle estabilizador.
El aceite Craftsman 40:1 para motores
de 2 tiempos (enfriados a aire) viene
mezclado con estabilizador de com-
bustible, Si no usa enste aceite de
Sears, entonces puede aSadir un esta-
bilizador al tanque de conmbustible.
MOTOR
• Retire la bujia y vierta una cuchara-
da de las de t6 de adceite 40:1 para
motores de 2 tiempos (enfriados a
aire) por la abertura para la bujia, Ti-
ronee lentamente de la soga de ar-
ranque 8 a 10 veces para distribuir el
aceite.
• Reemplace la bujfa con otra del tipo y
de la gama de calor recomendados.
43

• Limpieelflltrodeaire.
• Examine todo el aparato para veriflcar
que no haya tornillos, tuercas ni per-
nos sueltos, Cambie dotas las piezas
dafiadas, quebradas o gastadas.
• AI principio de la proxima temporada,
use exclusivamente combustible
nuevo con la proporci6n correcta de
gasolina a adeite.
OTRO
• No guarde gasolina de una tempora-
da a la pr6xima.
• Cambie el recipiente de gasolina si
se empieza a oxidar.
TABLA DIAGNOSTICA
ADVERTENCIA: Siempre apague el aparato y desconecte la bujia antes
de hacer cualquiera de las reparaciones recomendadas a continuaci6n ex-
cepto reparaciones que requieran que el aparato est6 en operaci6n.
PROBLEMA
El motor no
arranca o se
mantiene en
ma_ha s6Io
unos segundos
despu6s de aM
rancar.
El motor no
anda en
marcha lenta
como debe.
El motor no
acelera, le faIta
potencia o se
para bajo car-
ga.
CAUSA
1. El interruptor esta en
posici6n STOP.
2. El motor esta ahogado.
3. El tanque de
combustible esta vacio.
4. La bujia no hace chispa.
5. El combustible no esta
Ilegando al carburador.
6. El caburador requiere
ajuste.
7. Ninguno de los
anteriores.
1. Las revoluciones de la
marcha lenta estan muy
altos o muy bajas.
2. La Mezcta para Bajas
Revoluciones requier
ajuste.
3. Las juntas del cigt3eSal
estan gastadas.
4. La compresi6n esta
baja.
5. Ninguno de ios
anteriores.
1. El filtro de aire esta
SUCiO.
2. La bujia esta
carbonizada
3. El carburador requiere
ajuste.
4. Los puertos de escape
o las aberturas de
salida del silenciador
estan tapados.
5. La compresi6n esta
baja.
6. La freno de cadena es
actNado.
7. Ninguno de Ios
anteriores.
SOLUCION
1. Coloque el interruptoren ON.
2. Vea "Arranque Dificir' en la
seccion Uso.
3. Llene el tanque con la mezcla
correcta de combustible.
4. Instale una bujia nueva.
5. Vedfique si el filtro de
combustible esta sucio;
limpielo. Verifique si hay
dobleces en la linea de
combustible o si est& partida:
repar_a o cambiela.
6. Entre en contacto con el Servicio
Sears (yea parte trasera del manual).
7. Entre en contacto con el Servicio
Sears (yea parte trasera del manual).
1. Vea "Ajuste al Carburador" en la
seccion Servicio y Ajustes.
2. Entre en contacto con el Servicio
Sears (yea parte trasera del manual),
3. Entre en contacto con el Servicio
Sears (vea parte trasera del manual),
4. Entre en contacto con el Servicio
Sears (vea parte trasera del manual),
5. Entre en contacto con el Servicio
Sears (vea parte trasera del manual).
1. Limpie o cambie el flltro de aire.
2. Limpie o cambie la bujia y
calibre la separaci6n.
3. Entre en contacto con el Servicio
Sears (yea parte trasera del manual),
4. Entre en contacto con el Servicio
Sears (yea parte trasera del manual).
5. Entre en contacto con el Servicio
Sears (yea parte trasera del manual).
6. Desactive el freno de cadena.
7. Entre en contacto con el Servicio
Sears (yea parte trasera del manual).
44

TABLA DIAGNOSTICA (continuado)
PROBLEMA
El motor
humea
excesiva-
mente.
El motor
marcha con
temperatura el-
vada.
CAUSA
1. El cebador esta
parcialmente accionado.
2. La mezcla de combus-
tible se ha hecho
SOLUCION
1. Ajuste el cebador.
2. Vacie el tanque de combustible
y 116nelo de combustible con la
mezcla correcta.
Limpie o cambie el filtro aire.
3. El filtro de aire esta 3.
sucio.
4. La mezcla para Altas 4.
Revoluciones requiere
ajuste.
5. El carter esta perdiendo. 5.
1. La mezcla de combus- 1.
tible se ha hecho
2. Se ha instalado la bujia 2.
3. La Mezcta para Altas 3.
Revoluciones esta
demasiado pobre.
4. Los puertos de escape 4.
o las aberturas de
salida silenciador estan
tapados.
5. Acumulaci6n del carb6n. 5.
en el rejilla antichispas.
6. Caja del arranque sucio. 6.
7. Ninguno del antedicho. 7.
1. El tanque de aceite 1.
esta
2. El bombeador de aceite 2.
o el filtor de aceite esta
tapado.
3. El orificio para aceite en 3.
la barra esta tapado.
1. La marcha lenta 1.
requiere ajuste.
2. El embrague reauiere 2.
reparaciones.
1. La cadena esta 1.
demasiado tensionada.
2. El carburador requiere 2.
ajuste.
3. Los rieIes de la barra 3.
guia estan apretados.
4. El deslizarse de embrague. 4.
5. La freno de cadena es 5.
activado.
Entre en contacto con el Servicio
Sears (vea parte trasera del manual).
Entre en contacto con el Servicio
Sears (yea parte trasera del manual).
Vea "Abastecimiento del
Aparato" en la secci6n Uso.
Cambiela por la bujia correcta.
Entre en contacto con el Servicio
Sears (yea parte trasera del manual).
Entre en contacto con el Servicio
Sears (yea parte trasera del manual).
Vea "Para Limpiar la Rejilla
Antichispas" en la secci6n
Mantenimiento.
Limpie el area.
Entre en contacto con el Servicio
Sears (yea parte trasera del manual).
Insuficiencia Llene el tanque de aceite.
de aceite
)ara lubricar Entre en contacto con el Servicio
Ia barra y ca- Sears (vea parte trasera del manual).
dena.
Saque la barra y limpiela.
ha cadena se
mueve en mar-
cha lenta.
La cadena no
se mueve
cuando se
acelera el
motor.
Vea "Ajuste al Carburado¢' en
la secci6n Servicio y Ajustes.
Entre en contacto con el Servicio
Sears (vea parte trasera del manual).
Vea "Verifique la Tensi6n de la
Cadena" en la secci6n Manteni-
miento.
Entre en contacto con el Servicio
Sears (yea parte trasera del manual).
Repara o reemplace.
Entre en contacto con el Servicio
Sears (yea parte trasera del manual).
Desactive el freno de cadena.
45

TABLA DIAGNOSTICA (continuado)
PROMBLEMA CAUSA
1. La Cadena esta
incorrectamente
tensionada.
2. Las cuchillas estan
dafiadas.
3. La cadena esta gastada.
4. Las cuchillas estan
desafiladas o mal
afiladas o los medidores
de profundidad estan muy
altos.
5. Engranaje desgastada.
La cadena
golpetea o
corta despa-
rejo.
Parada del
cadena dentro
del core.
La cadena co_
ta en angulo.
6. La cadena instalado hacia
atras.
1. La parte de arnba de
las cuchillas no estan
planas.
2. La barra tiene
protuberancias o esta
torcida o los rieles
estan desparejos.
3. El embrague esta
patinando.
1. Las cuchillas estan
dafiadas por un lado.
2. Cadena no esta
afilada.
3. Barra guia esta doblada
o desgastada.
SOLUCION
1. Yea "Verifique la Tensi6n de la
Cadena" en la secci6n Manteni-
miento.
2. Entre en contacto con el Servicio
Sears (vea parte trasera del manual).
3. Afile o cambie la cadena.
4. Vea "Afilaci6n de la Cadena" en
la secci6n Servicio y Ajustes.
5. Entre en contacto con el Servicio
Sears (yea parte trasera del manual).
6. instale el cadena en la direcci6n
derecha.
1. Yea "Afilacion de la Cadena" en
la secci6n Servicio y Ajustes.
2. Repara o reemplace la
barra guia.
3. Entre en contacto con el Servicio
Sears (yea parte trasera del manual).
1. Yea "Afilacion de la Cadena" en
la secci6n Servicio y Ajustes.
2. Vea "Afilacion de la Cadena" en
la secci6n Servicio y Ajustes.
3. Reemplace la barra guia.
Si acontencen situaciones no previstas en este manual, actue con cautela y use
buen criterio. Si necesita ayuda, entre en contacto con el Centro de Servicio
Sears o Ilame al TELEFONO DE AYUDA AL CONSUMIDOR al 1-800-235-5878.
SUS DERECHOS Y OBLIGACIONES
DE GARANTIA: La Agencia de Pro-
tecci6n Ambiental de los Estados Uni-
dos, la Junta de Recursos Ambien-
tales de California y Sears, Roebuck
and Co., U,S,A., se complacen en ex-
plicar la garantia con la que cuenta el
sistema de control de emisi6n en su
motor pequefio, modelo 2000-2003,
para uso fuera de carretera, En Cali-
fornia, todos los motores pequefios
para uso fuera de carretera deben ser
disefiados, construidos y equipados
para satisfacer las rigurosas normas
antihumo que posee el estado, Sears
deber& garantizar el sistema de control
de emisiSn en su m&quina de motor
pequefio para uso fuera de carretera
por los periodos de tiempo que expli-
camos a continuaci6n y con la condi-
ci6n de que su maquina de motor pe-
quefio para uso fuera de carretera no
haya sufrido ning_n tipo de abuso, ne-
gligencia o mantenimiento inapropia-
do. Su sistema de control de emisi6n
incluye piezas tales como el carbura-
dory el sistema de ignici6n. Donde
exista una condiciSn que requiera re-
paraciSn bajo garantia, Sears reparar&
gratis su motor pequefio para uso
fuera de carretera. Los gatos cubier-
tos bajo la garantia incluyen el
diagn6stico, las piezas y labor.
CUBIERTA DE GARANTIA DEL FAB-
RICANTE: Si cualquier pieza relacio*
nada con el sistema de emisi6n de su
motor (como hemos enumerado en la
lista de piezas de control de emisi6n
bajo garantia) se encontrara defectuo-
sa o defectos en el material o en la la-
bor del motor causaran que tal pieza
comenzara a fallar, la pieza ser& repa-
rada o reemplazada por Sears. GA-
RANTIA DE RESPONSABILIDAD DE
46

DELDUEllO:Comoduefiodeuna
m_quinademotorpequeSoparauso
fueradecarretera,ustedset9re-
sponsableporelmantenimientoade-
cuadoenlosperiodospreviamente
programadosyenumeradosensu
manualdeinstrucciones.Searsre-
comiendaqueguardetodoslosreci-
bosqueindiquenquesehade-
sempeSadomantenimientoensu
m_quinademotorpequeSoparauso
fueradecarretera,peroSearsno
podr&negarel servicio bajo garantia
t]nicamente a causa de la falta de reci-
bos o por el incumplimiento de su
parte en asegurarse que el mantenimi-
ento programado haya sido de-
sempeSado. Como dueSo de una
mgquina de motor pequeSo para uso
fuera de carretera, usted deber& con-
tar con el conocimiento de que Sears
puede negar la cubierta bajo garantia
si su m&quina de motor pequefio para
uso fuera de carretera o alguna pieza
de la misma ha dejado de funcionar
debido al abuso, negligencia, manten-
imiento inapropiado, modificaciones
no aprobadas o el uso de piezas que
no hayan sido fabricadas o aprobadas
por el fabricante original del equipo.
Es responsabilidad suya el Ilevar su
mgquina de motor pequeSo para uso
fuera de carretera a un centro de repa-
raciSn autorizado Sears tan pronto
como se presente el problema. Las
reparaciones bajo garantia deberan
ser completadas en un periodo de
tiempo razonable, que no exceda los
30 dias. Si cuenta usted con alguna
pregunta en relaci6n a sus derechos y
responsabilidades de garantia, usted
deber& comunicarse con su centro de
servicio autorizado mas cercano o Ila-
mar a Sears al 1-800-469-4663. FE-
CHA DEL COMIENZA DE LA GA-
RANTIA: El periodo de garantia
comienza en la fecha de compra de la
m_quina de motor pequeSo para uso
fuera de carretera. DURAClON DE
LA GARANTIA: Esta garantia cuenta
con un periodo de duraci6n de dos
aSos comenzando en la fecha inicial
de compra. QUE CUBRE LA GA-
RANTIA: REPARAClON O REEM-
PLAZO DE PIEZAS. La reparaci6n o
el reemplazo de cualquier pieza ga-
rantizada seran desempeSados y ofre-
cidos al dueSo sin costo alguno en un
Centro de Servicio Sears. Si cuenta
usted con alguna pregunta en relaci6n
a sus derechos y responsabilidades
de garantia, usted deber9 comuni-
carse con su centro de servicio autori-
zado mAs cercano o Ilamar a Sears al
1-800-469-4663, PERIODO DE GA-
RANTIA: Cualquier pieza garantizada
que no este programada para ser re-
emplazada como parte del mantenimi-
ento requerido, o que est6 programa-
da t]nicamente para inspecci6n regular
para efectos de "reparaci6n o reempla-
zo si fuera necesario" deber_ garanti-
zarse por un periodo de dos aSos.
Cualquier pieza garantizada que est6
programada para ser reemplazada
como parte del mantenimiento requeri-
do deber9 estar garantizada por el
periodo de tiempo que comienza en la
fecha de compra inicial hasta la fecha
del primer reemplazo programado
para dicha pieza. DIAGNOSTICO: No
se deber9 cobrar al duefio ning_n tipo
de cargos por la labor de diagn6stico
la cual determine que una pieza ga-
rantizada se encuentra defectuosa si
el trabajo de diagn6stico ha sido de-
sempeSado por un Centro de Servicio
Sears. DANOS POR CONSECUE-
ClA: Sears podr9 set responsable de
da_os ocurridos a otras piezas del mo-
tor causados pot la falla de una pieza
garantizada que se encuentre bajo el
periodo de garantia. QUE NO
CUBRE LA GARANTIA: Todas las fal-
las causadas por el abuso, negligen-
cia o mantenimiento inapropiado no
estgn cubiertas. PIEZAS ANADIDAS
OMODIFICADAS: El uso de piezas
afiadidas o la modificaciSn de piezas
podr&n servir como base para que se
anule la reclamaci6n de garantia. La
garantia de Sears no se responsabili-
za por el mal funcionamiento debido a]
uso de piezas aSadidas o de piezas
modificadas. COMO ENTABLAR
UNA RECLAMAClON: Si cuenta
usted con alguna pregunta relaciona-
da con sus derechos y responsabili-
dades de garantia, usted deber& en-
trar en contacto con su centro de
servicio autorizado mas cercano o Ila-
mar a Sears al 1-800-469-4663.
DONDE OBTENER SERVIClO DE
GARANTIA: Servicio o reparaciones
bajo garantia debergn ser provistas en
todos los Centros de Servicio Sears.
Por favor comuniquese al
1-800-469-4663. MANTENIMIENTO,
47

REEMPLAZO Y REPARACION DE
PIEZAS RELACIONADAS CON LA
EMISION: Cualquier pieza de repues_
to Sears aprobada y utilizada en el de-
sempeSo de cualquier servicio de
mantenimiento o servicio de repara-
ci6n bajo garantia de piezas relaciona-
das con la emisi6n ser& provisto sin
costo alguno al duefio si la pieza se
encuentra baio ,qarantia. LISTA SE
PIEZAS DE CONTROL DE EMISION
GARANTIZADAS: Carburador, Siste-
ma de Ignici6n: Bujia (cubierta hasta la
fecha de mantenimiento programada),
MSdulo de Ignici6n, Silenciador in-
cluyendo el Catalizador. DECLARA
ClON DE MANTENIMIENTO: El
duefio es responsable de adquirir todo
el mantenimiento requerido como Io
define en el manual de instrucciones.
Se certifica este motor para satisfacer los requisitos de emisiSn para los uso
siguientes:
[] Moderado (50 horas)
[] Intermedio (125 horas)
[] Extendido (300 horas)
48