Craftsman 139 5361 Owners Manual
13953403 13953403 CRAFTSMAN GARAGE DOOR OPENER - Manuals and Guides L0807454 View the owners manual for your CRAFTSMAN GARAGE DOOR OPENER #13953403. Home:Garage Door & Opener Parts:Craftsman Parts:Craftsman GARAGE DOOR OPENER Manual
CRAFTSMAN Garage Door Opener Manual L0807454 CRAFTSMAN Garage Door Opener Owner's Manual, CRAFTSMAN Garage Door Opener installation guides
13953403 4e24e83f-95d3-4892-ae01-8deb09c598a8 Craftsman Garage Door Opener 139.53403 User Guide |
2015-01-05
: Craftsman Craftsman-139-5361-Owners-Manual-160456 craftsman-139-5361-owners-manual-160456 craftsman pdf
Open the PDF directly: View PDF
.
Page Count: 24

00000
OD
139
1
139°53606
139.5361 0
- 1/3HP
- 1/2 HP
= 1/2 HP
° 1/3 HP
Owners Manual
CAUTION
READ INSTRUCTIONS AND RULES
FOR SAFE OPERATION CAREFULLY
CONTENTS PAGE
Features of Your Opener ............. 2
Specifications .......................... 2
Accessories ............................... 2
Carton Check List ...................... 3
You'll Need Tools .................... 3
Safety Rules .............................. 4
Operation of Your Opener ............ 5
Maintenance Schedule ............... 5
Assembly .................................. 6
Installation Information ................. 9
Installation ........................... 9
Force& Limit Adjustment ............ 17
Safety Reverse Test ...................... 18
Setting/Changing Code ................ 19
Having a Problem? ..................... 20
Repair Parts, Rail Assembly ........... 22
Repair Parts, Installation .............. 22
Repair Parts, Chassis Assembly ..... 23
How to Order Repair Parts ........... 24
Maintenance Agreements ........... 24
Sears Warranty ......................... 24
FASTEN OWNERS MANUAL NEAR GARAGE DOOR AFTER INSTALLATION IS COMPLETE.
PERIODIC CHECKS OF THE OPENER ARE REQUIRED TO INSURE SATISFACTORY OPERATION.

FEATURES OF YOUR OPENER
1. Motor: Permanently lubricated with automatic
reset,
2. Opener Light: Turns on and off automatically.
Provides 4-1/2 minute illumination for your safety
and convenience,
3. Safety System: Independent up and down force
adjustment. Door reverses automatically when
obstructed in DOWN direction Door STOPS when
obstructed in UP direction
4. EasyLimitAdjustment: Limitsofdooropening
and closing adjusted by turning screws without
removing chassis cover
5. Digital Radio Controls: The code can be easily
changed by the owner
6. 3_Channel Transmitter: Three push buttons,
Each button can activate one or more remote
control devices The large transmitter button is
factory preset to operate the garage door opene_
7. Emergency Disconnect: Pullcord disconnect
permits manual door operation,
8. Automatic Reconnect: The trolley halves re-
connect for automatic operation when opener is
energized after emergency disconnect
SPECIFICATIONS
MOTOR SAFETY
Type .Permanent split capacitor
Speed 1500 rpm
Vofts .... 120 Volts AC - 60 Hz Only
Current 45 amperes
DRIVE MECHANISM
Gears ..... 16:1 worm gear reduction
Drive Chain &cable with two*piece trolley on
steel Tee rail
Length of Travel Adjustable to 7-1/2 feet
Travel rate 6 to 8 inches per second
Lamp .... On when door starts in travel, off 4-1/2
minutes after stop
Door linkage Adjustable door arm Pug cord troUey
release
Personal .... Push button & automatic reversal in down
direction Push button & automatic stop
tn up direction
Electronic Independent up & down force adjustment
screws
Electrical Motor overload protector and low voltage
push button wiring
Limit device . Circuit actuated by limit nut
Limit adjustment Screwdriver adjustment on side panel
Start circuil Low voltage push button or radio control
DIMENSIONS
Length (overall) .124 in
Headroom required 2 inches
Hanging Weight 32 pounds
Sears offers many useful accessories for your garage door opener. They are illustrated below with Sears
stock numbers and descriptions,
53718 53703
OUTDOOR KEY SWITCH:
EXTRA TRANSMITTER: Opens he garage doer automat ca ly
Includes visor clip from outside when transmitter is not
handy
53709 53702 EMERGENCY RELEASE KEY LOCK:
_/_ DOOR CLEARANCE BRACKETS: REQUIRED fora garage with NO set-
(FOR SECTIONAL DOORS ONLY} vice door° Allows manual operation of
garage door from outside in ease of
Replace top brackets and rollers on power failure
doorto reduce height of door travel For
use when installing opener in garage ......................................................................................
with low headroom clearance 53717
......_-7 OPEN DOOR INDICATOR:
Provides an illuminated signal when i
• !_ your garage door is open
53710 .._ii_E_.._
INFRARED REVERSING SENSOR:
"_ t_'. I_l'Ybzm An optional system which provides aux ...........................................................................................
iliary support to the safety features built 53716
into your opener If the sensor's invis- _ TOUCH CODE LOCK:
ible beam is broken, a closing door will _ Enables the homeowner to operate
reverse and an open door will not close garage door opener from outside by
entering code on specially designed
keypad
2

CARTON CHECK LIST
SEARS has packaged yourGarage Door Opener in two cartons which contain all the parts and hardware
illustrated below and on Page 22.
Light Lens (1)
Transmitters {2)
Sprocket Rail Touch Code Lock (1) Model 13953413
Cover Grease Model 139 53610 ONLY (1 ONLY)
SEPARATE ALL HARDWARE FOR ASSEMBLY AND INSTALLATION PROCEDURES AS SHOWN BELOW.
ASSEMBLY HARDWARE INSTALLATION HARDWARE
Lockwasher
(_ 5116"(3)
Master Link
(2)
Washered Screw
5/16"- 18xl/2'"
(41
*(2 mounted
in Chassis)
Nut
5/16 "_ 18
(B)
Carriage Bolt _f _ Hex Screw
1/4''_20xl/2" _ 5/16"-18x7/8"
(4) (2)
Lock Nut
1/4" -20
(4)
Clevis Pin
5/16" x 2-3/4"
5116"-18x2-1/2"
5!16" - 18xl-7/8"'
(4)
8ABxl '
(2) Handle
Clevis Pin
5/16" x 1"
(2)
_re Lock Washer
w 5/15"(6)
5/16"-18 × 7/8"
(4)
Ring or
Cotter Pin
Fastener(3)
Insulated
Staple (18)
©
Nut
5/16"-18
(6)
YOU'LL NEED TOOLS
During assembly and installation of you r opener, the instructions will call for use of various hand tools, Have a
stepladder handy, and those tools illustrated below: hammer, electric drill (& 3/1 6" and 5/1 6" drill bits), screw-
driver, adjustable end wrench or socket wrench kit, wire cutters, tape measure, pliers and hack saw
Stepladder
Tape Measure
Electric Drill
Pliers Hack Saw
Wire Cutters
Screwdriver
Socket Wrench
Claw Hammer
Adiustable End Wrench
3

Start By Reading These Impo ant Safety Rules
THIS SAFETY ALERT SYMBOL MEANS CAUTION -- PERSONAL SAFETY OR PROPERTY
DAMAGE INSTRUCTION. READ THESE INSTRUCTIONS CAREFULLY°
THIS GARAGE DOOR OPENER IS DESIGNED AND TESTED TO OFFER REASONABLY
SAFE SERVICE PROVIDED IT IS INSTALLED AND OPERATED IN STRICT ACCORDANCE
WITH TH EFOLLOWING SAFETY INSTRUCTIONS.
FAILURE TO COMPLYWITH THE FOLLOWING INSTRUCTIONS MAY RESULTIN SERIOUS
PERSONAL INJURY OR PROPERTY DAMAGE,
CAUTION: IF YOUR GARAGE HAS NO SERVICE ENTRANCE DOOR, INSTALL MODEL 53702 EMERGENCY RELEASE
KEYLOCK (PAGE 2). THIS ACCESSORY ALLOWS MANUAL OPERATION OF GARAGE DOOR FROM OUTSIDE IN CASE OF
POWER FAILURE.
KEEP GARAGE DOOR BALANCED° Sticking or
binding doors must be repaired.. Garage doors,
door springs, cables, pulleys, brackets and their
hardware may be under extreme tension and can
cause serious personal injury. DO NOT ATTEMPT
ADJUSTMENTS. Call a garage door seP_iceman
to move or adjust door springs or hardware_
DO NOT USE FORCE ADJUSTMENTS TO COM-
PENSATE FOR A BINDING OR STICKING
GARAGE DOOR. Excessive force will Interfere
with the proper operation of the safety reverse
system or damage the garage door° (Page 17)..
DO NOT WEAR RINGS, WATCHES OR LOOSE
CLOTH ING while installing or servicing a garage
door opener.
Fasten the CAUTION LABEL on the wall nearthe
lighted wall control as a reminderof safe operating
procedures.
To avoid serious personal injury from entangle-
ment, REMOVE ALL ROPES CONNECTED TO
THE GARAGE DOOR before installing the garage
door opener.
DISENGAGE ALL EXISTING GARAGE DOOR
LOCKS to avoid damage to garage door,,
Installwallcontrol(or additional push buttons) IN
A LOCATION WHERE GARAGE DOOR ISVISIBLE,
BUT OUT OF THE REACH OF CHILDREN. DO
NOTALLOWCHILDREN TOOPERATETHEWALL
PUSH BUTTON(S) OR TRANSMITTER. Serious
personal injury from a closing garage door may
result from misuse of opener..
Installation and wiring must be in compliance
with your local building and electrical codes.
CONNECT POWER CORD ONLYTO A PROPERLY
GROUNDED OUTLET.
CAUTION: Activate opener onlywhen the door is in
fu IIview, free of obstm ctio n an d opener is properly
adjusted° NO ONE SHOULD ENTER OR LEAVE
THE GARAGE WHILE DOOR IS IN MOTION° DO
NOT ALLOW CHILDREN TO PLAY NEAR DOOR°
LIGHTWEIGHT FIBERGLASS, ALUMINUM AND
STEEL DOORS MUST BE SUBSTANTIALLY RE-
INFORCED TO AVOID DOOR DAMAGE. (See
page 15.) The best solution is to check with you r
garage door manufacturer for an opener installa o
tion reinforcement kit_
Use emergency release ONLY to disengage trolley
and, if possible, ON LY when the door is closed.
DO NOT USE RED EMERGENCY RELEASE ROPE
AND HANDLE TO PULL DOOR OPEN OR CLOSED
THE SAFETY REVERSE SYSTEM TEST IS IM*
PORTANT. (See Pg.18). Your garage door MUST
reverse on contact with a one*inch obstacle placed
on the floor_ Failure to properly adjust the opener
may result in serious personal injury from a closing
garage door., REPEAT TEST AT LEAST ONCE
EVERY THREE MONTHS AND MAKE NEEDED
ADJ USTMENTS_
_DISCONNECT ELECTRIC POWER TO GARAGE
DOOR OPENER BEFORE MAKING REPAIRS OR
REMOVING COVERS..

Operation of Your Opener
CAUTION
eBEFORE YOU PROCEED, PLEASE READ THE SAFETY
RULES ON PAGE 4AND OPERATING INSTRUCTIONS
ON THIS PAGE CAREFULLY.
eTO AVOID DIFFICULTY DURING INSTALLATION, DO
NOT RUN OPENER UNTIL INSTRUCTED TO DO SO.
•DO NOT PERMIT CHILDREN TO PLAY IN DOOR AREA.
•OPERATEONLYWHENTHEOPENERISPROPERLYAD-
JUSTED AND DOOR IS WSIBLE AND UNOBSTRUCTED.
IJSING THE OPENER
Your opener can be activated by any of the following devices
(wait one-second between commands):
1 The transmitter. (The TOP (large) push button has been
factory preset to operate door) Hold push button down
until door starts to move
2 The lighted wall control, Hold button down until door
starts to move
3 The Key Switch orTouch Code Lock(if you have installed
either of these accessories)
OPENING THE DOOR MANUALLY
The door can be operated manually by disconnecting it from
the opener THE DOOR SHOULD BE FULLY CLOSED IF
POSSIBLE, WEAK OR BROKEN SPRINGS COULD ALLOW
AN OPEN DOOR TO FALL RAPIDLY. PROPERTY DAMAGE
OR SERIOUS PERSONAL INJURY COULD RESULT.
Simply pull down sharply on red emergency release handle
and lift the door manually To automatically reconnect the
door to the opener, press the wall control push button
DO NOT USE THE EMERGENCY HANDLE TO PULLTHE
DOOR OPEN OR CLOSED
WHEN OPENER IS ACTIVATED:
I If open, door will close if closed, door will open
2 If closing, the door will reverse
3 If opening, the door will stop (allowing space for entry and
exit of pets and for fresh air)
4 If the door has been stopped in a partially open position, it
will close
5 If an obstruction is encountered while closing, the door
will reverse
6 If an obstruction is encountered while opening, the door
will stop
7 [f the optional Infrared Reversing Sensor is installed, the
garage door will reverse in the closing cycle when the
invisible beam is broke n An open doorwill not close when
the beam is broken The sensor has no effect in the open-
ing cycle
THE OPENER LIGHT will turn on under the following con-
ditions: when the opener is initially plugged in; when power is
interrupted; when the opener is activated. It will turn off auto-
matically after 4-1/2 minutes. Bulb size-75 Watts maximum
CARE OF THE OPENER
When properly installed, the opener will provide high perfor-
mance with a minimum of maintenance Opener does not
require additional lubrication
Most complaints of unsatisfactory opener operation can be
traced to problems with the door itself....OPENER IS NOT
INTENDEDTOCORRECT PROBLEMSTHATARECAUSED
BYAN UNBALANCED OR BINDING DOOR, BROKEN DOOR
SPRINGS OR BY FAULTY DOOR HARDWARE.
When operated manually, a properly balanced door will stay
in any point of travel while being supported entirely by its
springs
LIMIT AND FORCE ADJUSTMENTS: These adjustments
must be checked and properly set when opener is installed,
Only a screwdriver is required Weather conditions may
cause minor changes in door operation requiring some
re-adjustments, particularly during the first year of opera-
tion. Page 17 refers to limit and force adjustments. Follow
instructions carefully and repeat SAFETY REVERSE TEST
after any adjustment
THE SAFETY REVERSE SYSTEM IS IMPORTANT (SEE
PG.18)., GARAGE DOOR MUSTREVERSE ON CONTACT
WITH A ONE-INCH OBSTACLE PLACED ON THE FLOOR.
FAILURE TO PROPERLYADJUSTOPEN ER MAY RESULT
IN SERIOUS PERSONAL INJURY FROM A CLOSING GAR-
AGE DOOR.
CHAIN TENSION ADJUSTMENT: After installation of the
opener and adjustment of forces and limits, chain may appear
loose This is normal
TO CHECK THE CHAIN TENSION: disconnect the trolley
by pulling the red emergency handle If the chain returns to
the position described and illustrated in Step 5 Page 9, DO
NOT make ANY further adjustments.
THE TRANSMITTER: The 3-channel transmitter will operate
more than one garage door opener, if desired. The additional
push buttons may also be used to operate other remote con-
trol devices. Transmitter(s) may be secured to a car sun visor
with clip(s) provided. Additional transmitters can be purchased
at any time (Refer to Accessories, Pg_ 2)
Any new transmitters must be set to the same code as original
transmitter and receive_ Page 19 explains how to change
your existing code and how to use the transmitter(s) with
other remote control devices Self service of your radio con-
trois is not recommended If service is needed, contact your
nearest Sears Service Center
TRANSMITTER BATTERY: The 9-Volt battery should pre-
d_ce power for approximately one year As long as there is
adequate power, the transmitter battery test light will glow
when a push button is pressed (and the opener will operate)
When the light does not come on, replace battery If transmis-
sion range lessens, check battery light
Avoid the inconvenience of unexpected failure by replacing
battery annually, preferably before winter Use a general
purpose, 9 volt battery
TO CHANGE BATTERY: Remove visor clip and connecting
screw in transmitter case Set aside top of case and discard
old battery Snap connector onto new battery Replace top of
case and connecting screw Replace visor clip,
MAINTENANCE OF YOUR OPENER
AT LEAST4 TIMES A YEAR
MANUALLY OPERATE DOOR. If it is unbalanced or bind-
ing, call for professional garage door service
CHECK TO MAKE SURE DOOR OPENS AND CLOSES
FULLY. Adjust Limits and/or Force if necessary
REPEAT SAFETY REVERSE TEST. Make any necessary
adjustments (see page 18)
TWICE A YEAR
CHECK CHAIN TENSION. Adjust if necessary
ONCE A YEAR
OIL DOOR ROLLERS, BEARINGS AND HINGES,
REPLACE THE TRANSMITTER BATTERY, preferably be-
fore winter

Assembly
TO AVOID INSTALLATION DIFFICULTIES, DO NOT RUN THE GARAGE DOOR OPENER UNTIL YOU ARE
INSTRUCTED TO DO SO.
ST _: P "1 Assemble Tee Rail &Attach Cable Pulley Bracket
TEE RAIL BACK
(TO CHASSIS)
CAUTION: Do not tighten the lock nuts until bolt
necks are seated in square holes.
Tee Rail
(End Section)
t/4' Lock Nut
Tee Rail
The center rail section MUST be
positioned on the LEFTSIDE of end
rails as shown,
Otherwise, trolley will hit against nut
when installed (Pg. 7).
Brace
Tee Rail
(End Section)
Square Carriage
Bolt Hole
Cable pulley bracket
attaches to FRONT
END of Tee Rail
TEE RAIL FRONT
(TO DOOR)
Carriage Bolt
/2"
Brace _
PROCEDURE: Place the 3 Tee rail sections on a flat
surface for assembly. THIS IS IMPORTANT. The end
sections are identical. THE CENTER SECTION MUST BE
POSITIONED WITH THE BRACES ON THE LEFT SIDE OF
END SECTIONS. If there is a label attached to the cen-
ter section, make sure that the "directional arrow" is
pointing toward the front (to door) Otherwise, study
the illustration CAREFULLY
(When assembled, Tee rail has a front-to-back posi-
tion as shown).
Bolt rail sections together with the hardware illus-
trated and from the direction indicated
SQUARE NECKS ON CARRIAGE BOLTS MUST BE
SEATED IN SQUARE HOLES IN RAIL SECTIONS,
Screws
_ _5/16"_18x7/8""
Cable Pulley _ _,_';
k°ckW_s--_her_l _ Nut
5/16" 5/16"
Position cable pulley bracket on front end of tee rail as
shown. Fasten securely with the hardware provided
IMPORTANT: Whentighteningscrews, besureto
keep bracket parallel to rail, Otherwise, rail may
bow when opener is operated.
6

Assernbiy
STE P 2Install Trolley & Attach Chain Retainer Bracket
As atemporary stop, insert a screwdriver into
hole in front end of Tee rail as shown. Slide the
inner trolley onto the Tee rail until it is firmly against
the screwdriver
NOTE: If trolley hits against nut on Tee rail, center
section was attached from wrong side and must
be repositioned. Review Step 1.
Slide the outer trolley onto the Tee rail until it partially
engages the inner trolley and stops
TO FULLY ENGAGE TROLLEY: With a hammer,
firmly tap the back end of outer trolley just below the
rail guide Outer trolley must move forward to fully
engage inner trolley Be careful to avoid damaging
trolley spring,
Outer Trolley
Inner Trolley
Cable
Pulley
Bracket
\
Temporary Stop
Screwdriver
Flat End
Lock Washer
5/16"
Inner
Nut
Threaded
End
Outer
Nut
._5/16"
r
Chain
Retainer
Bracket
Trolley
Shaft Attach inner nut, lock washer, chain retainer bracket
and outer nut to trolley shaft in the order shown_ DO
NOT TIGHTEN NUTS UNTIL STEP 5, PAGE 9,
STE P 3 Attach Tee Rail to Opener Chassis
USE ONLYTHOSE SCREWS MOUNTED
IN TOPOFOPEN ER CHASSIS. FAILURE
TO DO SO WILL CAUSE SERIOUS DAM-
AGE TO THE DOOR OPENER°
PROCEDURE: Place opener chassis on packing
ma terial to protect cover For convenience, place a
support under the cable pulley bracket
Re move 5/16"-18xl/2" washered screws mounted
in top of opener chassis Align holes in back end of
Tee ran with holes in opener chassis. Fasten the rail
to the chassis with washered screws previously
removed. CAUTION: USEONLYTHESESCREWS!
Use of any other screws will cause serious dam-
age to door opener. Tighten screws securely,
insert a 5/16"-18xl/2" washered screw into trolley
stop hole in the Tee rail as shown, Tighten securely
with a 5/16" nut
Washered Screw
5/16"-1Sxl/2"
Stop Hole
Tee Rall
(Back Sectior
5/16"-18
7

Assembly
STE P 4 I.stallChainandCable
DO NOT REMOVE CHAIN AND CABLE FROM CARTON
Detach cable from side of carton and fasten to trolley
with a master link from coin envelope
MASTER LINK PROCEDURE: Push pins of master
link bar through loop of cable and hole in flat end of
trolley shaft (A) Push cap over pins and onto notches.
Slide clip-on spring over cap and onto pin notches
until both pins are locked in place,
I=! install ChainandCable
inThisDirection
Opener Chassis
Sprocket /
Caution: Keep chain taut while installing to help
prevent kinking,
With trolley against the screwdriver, dispense cable
around pulley Proceed back around opener sprocket
(B) - be sure sprocket teeth engage chain - and forward
to chain retainer bracket (C).
Use second master link to connect chain to retainer
bracket. Check to make sure chain is not twisted.
A
Pulley
Install Chain and Cable
in This D{recl[on
Master
Link
Clip-On
Spring
Master
Link
Outside
Bar
As a permanent trolley stop, insert 5/16" washered
screw and nut into remaining hole in Tee rail front
Tighten securely REMOVE SCREWDRIVER.
Tab Plate
Slot
C
Th_reo_rde_dsEhndTee Rail _ jChain
Retaai_eetr ear
End Trolley
Trolley
St°P_H¢_ 5S/'Cr6ewWaan'h_ruetd
\
Remove
Screwdriver
Attach sprocket cover to chassis as shown, Insert
back tab in chassis slot Then bend cover forward and
insert front tab in slot provided on mounting plate

Assembly
STE P 5Tighten the Chain and Cable
Loosen Tighten
Inner Outer
Nut Nut
Trolley Chain
J
Base of Tee Rail "
1/2 Inch
CAUTION: Keep the chain from twisting as nuts
are turned.
PROCEDURE: Thread the outer nut toward trolley as
shown (Loosen inner nut first, if"necessary)
Tension is correct when the chain is approximately
1/2" above base of Tee rail midway between cable
pulley bracket and chassis.
To maintain proper tension, turn inner nut toward chain
retainer bracket until tight
Sprocket noise can result if chain is either too
loose or too tight.
CAUTION: Do not overtighten chain and cable.
Refer to Page 5.
ASSEMBLY OF YOUR GARAGE DOOR OPENER IS NOW COMPLETE.
BEFORE YOU PROCEED WITH THE INSTALLATION OF YOUR GARAGE DOOR OPENER BE SURE TO
COMPLY WITH THE FOLLOWING SAFETY RULES:
KEEP GARAGE DOOR BALANCED. STICKING OR BINDING DOORS MUST BE REPAIRED. THE
GARAGE DOOR, THE DOOR SPRINGS, CABLES, PULLEYS, BRACKETS AND TH EIR HARDWARE
MAY BE UNDER EXTREME TENSION AND CAN CAUSE SERIOUS PERSONAL INJURY. DO NOT
A'FFEM PTADJUSTM ENTS. CALLA GARAGE DOOR SERVICEMAN TO MOVE, LOOSEN OR ADJUST
DOOR SPRINGS OR HARDWARE.
DO NOT WEAR WATCHES, RINGS OR LOOSE CLOTHI NG WHILE INSTALLING OR SERVICING A
DOOR OPENER.
AS YOU PROCEED WITH THE REMAINING INSTRUCTIONS IN THIS OWNERS MANUAL, YOU MAY FIND IT
HELPFUL TO REFER TO THE FOLLOWING ILLUSTRATION OF THE FULLY ASSEMBLED AND INSTALLED
GARAGE DOOR OPENER.
Cable Pulley Power Cord
Bracket Trolley Hanging
Bracket \
Chain and Cable 3-Piece
Tee Bait Sprocket
Cover
Header
Bracket
Chain
Retainer
Bracket
Straight LightLens
Curved
Door
Arm
Emergency
Trolley
Release
oo
Chassis
Door Brackel
and Plate
IT IS RECOMMENDED THAT THE OPENER BE INSTALLED 7 FEET OR MORE ABOVE THE FLOOR
WHERE SPACE PERMITS..
CERTAIN INSTALLATION PROCEDURES VARY ACCORDING TO GARAGE DOOR TYPES, WHERE THE
DIFFERENCES OCCUR, BE SURE TO FOLLOW ONLYTHOSE I NSTRUCTIONSWHICH APPLY TO YOUR
DOOR CONSTRUCTION..
9

installation
STE P 1Position & Install Header Bracket
Installation procedures vary according to garage door types. Follow onlytbose instructions which applyto
your door as illustrated below.,
THE HEADER BRACKET MUST BE RIGIDLY FASTENED TO TH E H EADER WALL OR CEILING,,
REINFORCE WALL OR CEILING WITH 2x4 IF NECESSARY,
1 With door closed, locate and mark the vertical
centerline of garage door Extend line onto header
wall above door
2, Locate height for header bracket by opening door
to highest point of travel as shown, Draw an inter-
secting horizontal line on header wall 2" above
high point This height provides travel clearance
for top edge of door
NOTE: When headroom is not su fficient for 2"
clearance, the bottom edge of bracket may be
placed parallel to the high point of travel, or
bracket may be attached to ceiling.
Door Clearance Brackets are designed for low
headroom installations(Page 2). They replace
top brackets and rollers on the garage door,
thereby lowering the high point of door travel.
Installation instructions are contained in the
accessory ca_on,,
Header j
/
Lag Screws
5/16"-18x17/8
INSTALLATION
SECTIONAL DOOR AND
1-PIECE DOOR WITH TRACK
SECTIONAL DOOR
CURVED TRACK
Ceiling
_ Header
BrackeI Track
Highesl Point
of Travel
Door
ONE*PtECE DOOR
HORIZONTAL TRACK
JAMB HARDWARE
Header
Bracket
I _/ Highest Point
of Travel
/,Track
-Door
//
Highesl
Point ol
Travel
3Position bracket as shown (bottom edge of the
bracket on horizontal line) Mark either top and
bottom or left and right bracket holes Drill 3/16"
pilot holes and fasten bracket
INSTALLATION
1-PIECE DOOR WITHOUT TRACK
ONE PIECE DOOR
NO TRACK
PIVOT HARDWARE
ONE'PIECE DOOR
NO TRACK
JAMS HARDWARE
Do(
\
Header Header
ZBracket Highesl Point Bracket Highest Point
of Travel '_
J of Travet
i', DOOr
q _
II 0
.Jamb ._
I
2
3
Follow instructions as described in 1 above
Locate height for header bracket by opening door
to highest point of travel as shown Measure the
distance from top of door to floor Subtract actual
height of door Add 8" to the remainder Refer to
example below
NOTE: If the total number of inches exceeds
the height available in your garage, use the
maximum height possible,, On finished ceilings,
do not position the bracket closer than 1/2"
from ceiling,
Measuring from top of door, draw an intersecting
horizontal line on header wall at determined height
Position bottom edge of header bracket on the
horizontal line, centering bracket on vertical line
Mark either top and bottom or left and right holes
Drill 3/16" pilot holes and fasten the bracket with
5/16" x 1-7/8" lag screws as shown above,
EXAMPLE
Distance from top of door (at
highest point of travel) to floor 92"
Actual height of door -88"
Remainder 4"
Add + 8"
Bracket height on header wall =12"
(Measure UP from top of door
in closed position_)
10

installation
STE P 2 A.ach Tee Rail to Header Bracket
Ring OrpinI
Clevis Pin @/_ Cotter
5/16 'x2-3/4 Fastener
g Malerial
PROCEDURE: Position opener chassis on garage
floor below header bracket. Use packing material
base to protect cover NOTE: To enable Tee rail to
clear sectional door springs, it may be necessary
to lift the chassis onto a temporary support.
CAUTION: Chassis must either be secured to the
support or held firmly in place by another person_
Raise Tee rail until cable pulley and header brackets
come together Align bracket holes and join with
clevis pin as shown. Secure with a ring or cotter pin
fastener(if cotter pin is used, spread to secure)
STE P 3 Position Opener Chassis
Follow instructions which apply to your door type as illustrated below
TO PREVENT DAMAGE TO ALL LIGHTWEIGHT DOORS AND DOORS WITH WINDOWS, DO
NOT REST THE OPENER ON THE DOOR.
SECTIONAL and ONE-PIECE
DOOR WiTH TRACK
INSTALLATION
NOTE: A 2x4 is convenient for setting an ideal
door-to-Tee rail distance. It is not necessary where
headroom is insufficienL
PROCEDURE: Raise the opener chassis onto a step-
ladder Open garage door Place a 2x4 on edge on
top section of door near centerline Rest Tee rail
on 2x4
Tee Rail
2x4
Door
ONE-PIECE DOOR
WiTH NO -TRACK
iN STA LLATI ON
PROCEDURE: Measure the distance from floor to
top of door (in fully open position and parallel to the
floor)
Using a stepladder as a support, raise the opener
chassis to the same distance from the floor (chassis
will have a slight angle as shown)
The top of the door should be levet with the top of the
opener For maximum efficiency, do not position the
opener chassis more than 2 inches above this point.
Header
Bracket
• TOp Of ODenet
I Bracket I
I Equal
D
r_ D_stance _
I lrom I
I Floor I
I I
11

installation
STEP 4 Hang Opener Chassis
THE OPENER CHASSIS MUST BE SECURELY FASTENED TO A STRUCTURAL SUPPORTOF GARAGE.
Three representative installations are shown. You rs may be different. Hanging brackets should be angled
(Fig. 1 ) or crossed (Fig. 2) to provide rigid support On finished ceilings (Fig. 3). attach a sturdy metal bracket
(not supplied) to ceiling joists before installing opener
PROCEDURE: On EACH side of opener measure the
distance from chassis to structural support
Cut both pieces of the hanging bracket to required
lengths. Flatten one end of each bracket and bend or
twist to fit fastening angles. Do not bend at bracket
holes. Drill 3/16" pilot holes in structural support.
Attach flattened ends of brackets to the support with
5/1 6"xl-7/8" lag screws
Lift opener and fasten to hanging bracket as shown
Checkto make sure Tee rail is centered over door.
REMOVE 2x4. Operate door manuaNy If door hits
the rail, raise header bracket.
Grease top and underside of rail surface on which
trolley slides. A tube of grease is supplied.
5/16"-18x7/8'" Screw
5J 5/16"-18
FIGURE 2
FIGURE 1 FIGURE 3
\
Measure
Distance
Lag Screws
5/16"xl-7/8"
Bracket
(NetSupplied) FINISHED CEILING
Lag Screws
5/16"xl-7/8"
_ _ 5/156/;L.°ClkV_auSther
STE P 5Attach Emergency Release Rope & Handle
USE EMERGENCY RELEASE ONLY TO
DISENGAGE TROLLEY. DO NOT USE
ROPE AND HANDLE TO PULL DOOR
OPEN OR CLOSED°
PROCEDURE: Thread one end of rope through hole
in top of red handle so'NOTICE' reads right side up as
shown Secure with an overhand knot NOTE: Knot
should be at least 1 inch from end of rope to pre.
vent slipping.1 Thread other end of rope through hole
in release arm of outer trolley Adjust rope length so
that handle is 6 feet above the floor. Secure with an
overhand knot as above.
NOTE: If it is necessary to cut rope, heat seal cut
end with a match or lighter to prevent fraying and/
or raveling.
Overhand
Tr_o_ey Knot
Release Arm
Rope --
Overhand
Knot _
12

LOCATE WALL PUSH BUTTON (OR ANY ADDITIONAL PUSH BUTTONS) WHERE GARAGE
DOOR IS VISIBLE, AWAY FROM DOOR AND DOOR HARDWARE AND OUT OF THE REACH
OF CHILDREN.
SERIOUS PERSONAL INJURY FROM A MOVING GARAGE DOOR MAY RESULT FROM MIS-
USE OF THE OPENER° DO NOT ALLOW CHILDREN TO OPERATE WALL PUSH BUTTON(S)
OR THE TRANSMITTER.
FASTEN THE CAUTION LABELON THE WALL NEAR WALL PUSH BUTTON AS A REMINDER
OF SAFE OPERATING PROCEDURES.
PROCEDURE: Remove about a 1/4" of insulation
from each end of the 2-strand bell wire_Connect one
end to the screw terminals on the back of wall control
as shown
Fasten the wall control to an inside garage wall with
the 8ABxl" sheet metal screws provided A con-
venient place is beside the service door and OUT OF
THE REACH OF CHILDREN,
Run the bell wire up the wall and across the ceiling to
garage door opener Use insulated staples to secure
wire,
The receiver terminals and the antenna are located
on the back panel of the opener chassi& Position
antenna wire as shown_ Then connect wire by color
to the white and red opener terminal screws,
Top
installation
Bottom
Installation
Ftange
Wall
Control
Terminals
2_Strand
Bell Wire
Opener
Staples Terminal Screws
Wail Control Back Panel
Push Button of Opener
OPERATION OF THE LIGHTED WALL CONTROL
Press and release to open or dose door
Press and release again to REVERSE door during CLOSING cycle or
to STOP door during OPENING cycle
NOTE: Wait about 1-second between commands.
Antenna
WIRING INSTRUCTIONS FOR ACCESSORIES
Open Door Indicator:.
TOwhite & orange opener terminals
Outdoor Key Switch:
To red & white opener terminals
Touch Code Lock:
TO red and white opener terminals
Infrared Reversing System:
To while & black opener terminals
!3 r_

Installation
STE P 7 Install Light and Lens
PROCEDURE: Install a light bulb, (75 Watts Max-
imum) in socket as shown The light will turn on and
remain lit for 4-!/2 minutes when power is connected
After 4-1/2 minutes it will turn off
If light bulb burns out prematurely due to vibra-
tion, replace with a "rough service" bulb.
INSTALLING LENS:
Slide lens into the lens guides as shown Snap bottom
tabs into lens slots
Len
Guide
Lighl Lens _ab _ 75LightWattBulbMaX
STE P 8ConnectElectricPower
TO AVOID SERIOUS PERSONAL INJURY FROM ENTANGLEMENT, REMOVE ALL ROPES
CONNECTED TO THE GARAGE DOOR BEFORE OPERATING OPENER.
TO AVOID DAMAGE TO GARAGE DOOR AND OPENER, MAKE DOOR LOCKS INOPERATIVE
BEFORE CONNECTING ELECTRIC POWER. USE A WOOD SCREW OR NAIL TO HOLD THE
LOCKS IN "OPEN" (UNLOCKED) POSITION°
INSTALLATION AND WIRING MUST BE IN COMPLIANCE WITH LOCAL ELECTRICAL AND
BUILDING CODES.
OPERATION AT OTHER THAN 120V 60Hz WILL CAUSE OPENER MALFUNCTION AND DAMAGE.
Opener MUST be permanently wired or plugged into
a grounded 3-prong receptacle wired according to
local electrical codes DO NOT use a 2-wire adapter
DO NOT use an extension cord PERMANENT WIRING
CONNECTION
RIGHT WRONG
IF LOCAL CODES REQUIRE PERMANENT WIRING:
DISCONNECT POWER AT FUSE BOX
BEFOREPROCEEDING.
PROCEDURE: Refer to illustration Make connec-
tion through the 7/8 inch diameter hole in top of
opener chassis
1 Remove opener chassis cover by removing the
cover screws
2 Remove attached 3-prong cord
3 Connect the black (line) wire to the black wire on
terminal block; white (neutral) wire to the white
terminal wire; the green (ground) wire to green
ground screw
Ground Tab
iround Screw
Ground Wire
Wife
CAUTION: BE SURE THAT UNIT IS GROUNDED
ACCORDING TO LOCAL CODE,
IMPORTANT NOTE: TO AVOID INSTALLATION
DIFFICULTIES, DO NOT RUN OPENER NOW.
14

Installation
STE P 9 Install Door Bracket and Plate
Follow instructions which apply to your door type as illustrated below
TO PREVENT DAMAGE TO LIGHTWEIGHT GARAGE DOORS, ALWAYS REIN FORCETHE INSIDE
OF DOOR--BOTH VERTICALLY AND HORIZONTALLY--WITH 2x4 BOARDS OR ANGLE IRON.
Horizontal brace should be at least 6 feet long Vertical brace should cover height of top panel The best solution
is to check with your garage door manufacturer for a door reinforcement kit for an opener installation.
Sectional Door Installation Procedure
SECTIONAL DOOR
1 Assemble the door bracket and plate as shown.
Center bracket on previously marked vertical
guideline
Header
gracket
Header
Vertical _ Waii
Center_._ _
Line _I
I
I
IDoor Brackel &
2 Position bracket assembly on face of door within
the following limits: A. Top edge of bracket 2" to
4" below the top edge of door B. Directly below
any structural support across top of door
Placement depends on your particular needs
3 Mark and drill 5/1 6" TOP and BOTTOM fasten-
ing holes Secure bracket as shown
Door
Door
Arm
I Plate Assy Carriage Boll. ""
=_ _=Y 6/16 ,.18x2.!/2-_ Bracket
-- _. Door Bracket
Lock
... Washer
5/16"
Board for Inside Edge
Lightweight Doors of Door or _. 5/16"-!8
Reinforcement Board
AiD One-Piece Door Installation Procedure
NOTE: The door bracket has left and right side
fastening holes, Assemble and install the door
bracket and plate if your installation requires top
and bottom fastening holes.
1 Center bracket (with or without plate as required)
on top edge of door as shown Mark holes
2_ Drill two 5/1 6" holes and fasten door bracket
with hardware supplied
NOTE: If the door has no exposed framing.
drill 3/16" pilot holes and use 5/16"x1-1/2"
lag screws (not supplied) to fasten bracket to
top of door.
Nut
Door Bracket
Plate
Door 5/16"
Bracket
Top Edge
of Door
(Outside)
Optional)
I Carriage Bolt
i (_/ 6/16'-18x2-1/2"
NOTE: Door bracket may be installed on face of
door if required for your installation. (Refer to
dotted line drawing,) HOWEVER, drill3/1 6" pilot
holes and substituteS/1 6"xl -1/2" lag screws(not
supplied) to fasten the bracket to door,
ONE PIECE DOOR
Door
Arm
Door
Face of Door
Installation
Vertical
Center -
Line
Header
Bracket
t
Header
Wall
I
Door Bracket
Plate
(Optional)
15

installation
STE P10 Connect Door Arm to Trolley
Follow only those instructions which apply to your door type
SECTIONAL DOOR INSTALLATION ONLY
FIG, A. Make sure garage door is closed tight, Connect
straight door arm section to trolley with a clevis pin. Secure
with a ring or cotter pin fastener(if cotter pin is used, spread
to secure)
Fasten curved section to door bracket in the same way
FIG,, B. Bring arm sections together Find two pairs of holes
that line qp and join sections
Insert screws from straight arm side Select holes as far
apart as possible to increase door arm rigidity
A
Door
Bracket"
Clevis Pin-
B
_ _s Pin
Ring or
Cotter Pin
Fastener
/
!,_ _ Straight
Door ArmCurved
Door Arm B_acke{
FIG. C. If holes do not line up as shown in FIG, B, cross door
arms inscissor fashion When one set of holes lines up, insert
screw and 'finger tighten' with a lock washer and nut
Pull the emergency release rope to disengage trolley.
Bring arm sections together and insert screw into second set
of holes Instalf lock washer and nut Tighten screws
Proceed to Step 1, Pg. 17. The trolley will re-engage
automatically when opener is operated.
-Rope
lency
Release Hand{e
"-_ Screws
5/16"q8 x 7/8-
C
Lock Washel
5/t6 '
Nu{
5/16"!8
length With door closed, connect straight door arm sect ion
to door bracket with a clevis pin Secu re wit h a ring or cotter
pin fastener (if cotter pin is used, spread to secure )
ALL ONE-PIECE DOOR INSTALLATIONS
Ring or
ASSEMBLE DOORARMPROCEDURE:Connectstraight BDa°_re_ _°i!_nPin wL°l_ekrs 5/N_'!-s'8
"_ _ 5116"
and curved door arm sections together to longest possible ___-_" I/_
5/16,,.18 x 7/8" ----_ _
Before connecting door arm to trolley, limits of travel must be adjusted on one-piece doors, Limit adjustment
screws are located on left side panel of opener as shown in illustration on Pg. 1 7. Follow procedures below
Fully Closed
Trolley FuIly Open
Trolley
Door Arm 'i DOOrArm n o_r_n°°rt^r r_o_
. _.:Z[ .:::Z_*--" Connector Hole Co
:. L .
i Closed Open Door I)oor Arm LJ
[_ Door Door Arm
Bracket
ADJUSTMENT PROCEDURES
PROCEDURE- OPEN DOOR ADJUSTMENT
Decrease up limit. Turn UPlimit adjustment screw counter-
clockwise 4 complete turns
Press Wall Control button Trolley will travel to full open
Manually raise door to open position (parallel to floor) and lift
door arm to trolley The arm should touch trolley just in back
of door arm connector hole as shown in solid line drawing If
arm does not extend far enough, adjust limit furlher One fult
turn equals 2 inches of door travel
PROCEDURE - CLOSED DOOR ADJUSTMENT
Decrease down limit, Turn DOWN limit adjustment screw
clockwise 8 complete turns
Press Wall Control button Trolley will travel to full close
ManuaIly close door and lift door arm to trolley Arm should
touch trolley just ahead of door arm connector hole as shown
in dotted line drawing If arm is behind the connector hole,
adjust limit further One ful! turn pqual_ 2 inches of door
travel
CON NECT BOOR ARM TO TROLLEY: With door closed, join curved arm to connector hole in trolley with remaining clevis
pin Secure with ring or cotter pin fastener NOTE: It may be necessary to llft door slightly to make connection,,
Run opener throught a complete travel cycle If top of door has a sli0 _ , aownward' slant in lull open position, decrease UP
limits until door is parallel to floor
16

Adjustment
STEP 1 AdjustUPandDOWNLimits
LIMIT ADJUSTMENT settings regulate the points at which Limit
the door will stop when moving up or down w_-_ "Adjustment
NOTE: Door STOPS in UP direction if anything inter- _ o _'_"_ Screws
fereswithdoortraveI. The door REVERSES in DOWN _--_-- 7 _/ _ ._.___
direction if anything interferes with door travel (includ- ,,=,_ _,,,=L _,=_T,O._=E,T
ing binding or unbalanced doors). .....
PROCEDURE:Tooperateopener, pressWa,,Contre, push i/.( _¢4"._ °""'_*" ....... -- ....
button or transmitter. Run opener through a COMPLETE
TRAVEL CYCLE Limit adjustments are not necessary when
the door opens and closes completely and does not reverse Left Side Adjustment Label
unintentionally in down direction Panel
The following chart outlines adjustment procedures. Run opener through a COMPLETE TRAVEL CYCLE AFTER
EACH ADJUSTMENT. NOTE: REPEATED OPERATION OF THE OPENER DURING ADJUSTMENT PROCEDURES
MAYCAUSETHE MOTORTO OVERHEATAND SHUTOFF. SIMPLYWAIT15 MINUTESANDTRYAGAIN. Readthechart
carefully before proceeding to Step 2_ Use a screwdriver[ to make limit adjustments
LIMIT ADJUSTMENT CHART
IF DOOR DOES NOT OPEN COMPLETELY
BUT OPENS AT LEAST FIVE FEET
increase UP travel Turn UP LIMIT adjustment screw clock-
wise One turn equals 2 inches of travel
If door doesn't open at least 5feet: adjust OPEN FORCE
as explained in Step 2
IF DOOR DOES NOT CLOSE COMPLETELY
(ON SECTIONAL DOORS)
Lengthen the door arm (See Step lg, Page 16)
If door arm is at maximum length, increase DOWN travel
Turn down limit adjustment screw counter clockwise One
turn equals 2 inches of travel
If door still will not close completely, the header bracket is
positioned too high Repeat Step 1, Page 10
IF DOOR DOES NOT CLOSE COMPLETELY
(ON ONE-PIECE DOORS)
Increase DOWN travel Turn down limit adjustment screw
counterclockwise One turn equals 2 inches of travel
IF DOOR REVERSES WHEN CLOSING AND THERE
IS NO INTERFERENCE TO TRAVEL CYCLE
Test door for binding: Pull emergency release handle
Manually open and close door If door is binding, call a
door serviceman
If door is not binding or unbalanced, adjust CLOSE FORCE
See _Step 2
IF OPENER REVERSES IN FULLY CLOSED POSITION
Decrease DOWN travel Turn down limit adjustment screw
clockwise One turn equals 2 inches of travel
STEP 2Adjust Force
DO NOT USE FORCE ADJUSTMENTS TO COMPENSATE FOR A BINDING OR STICKING GARAGE DOOR.
EXCESSIVE FORCE WILL INTERFERE WITH PROPER OPERATION OF SAFETY REVERSE SYSTEM OR
DAMAGE GARAGE DOOR.
Force Adjustment Controls are located on rear panel of
opener FORCE ADJUSTMENT settings regulate amount
of power required to open and close door
NOTE: Door STOPS in UP direction if anything inter-
feres with door travel,, The door REVERSES in DOWN
direction if anything interferes with door travel (includ-
ing binding or unbalanced doors).
If force adjustments are set too fight, door travet may be
interrupted by nuisance reversals in DOWN direction and
stops in UP direction As weather conditionscan affect door
movement, occasional adjustment may be needed.
The maximum force adjustment range is 260 degrees, about
3/4 of a complete turn Do not force controls beyond that
point Turn force adiustment controls with a screwdriver
Back Panel
of Opener Force
Adjustment
.Controls
FORCE ADJUSTMENT CHART
TEST DOWN (CLOSE) FORCE
Grasp the door handle or door bottom when door is about
halfway through DOWN (C LOSE) TRAVEL The door should
reverse. If the door is hard to hold or doesn't reverse, de-
crease the DOWN (CLOSE) FORCE by turning the pontrol
in a count er clockwise direction Make 10 degree turn adjust-
ments until the door reverses normally After each adjust-
ment, run the opener through a complete travel cycle
Adjustment
Label
IF DOOR DOESN'T OPEN AT LEAST 5 FT
Increase UP (OPEN) FORCE by turning control clockwise
Make 10 degree turn adjustments until the door opens
completely Readjust UP LIMIT if necessary After each
adjustment, run opener through a complete travel cycle
IF DOOR REVERSES DURING DOWN (CLOSE) CYCLE
Increase DOWN (CLOSE) FORCE by turning control clock-
wise Make 10 degree turn adjustments until the door
completes close cycle After each adjustment, run opener
through a complete travel cycle
17

Adjustment
STEP 3 Test Safety Reverse System
TH E SAFETY REVERSE SYSTEM TEST IS IM PORTANT. THE GARAGE DOOR MUSTREVERSE
ON CONTACT WITH A ONE INCH OBSTACLE PLACED ON THE FLOOR. FAILURE TO PRO-
PERLY ADJUST OPENER MAY RESULT IN SERIOUS PERSONAL INJURY FROM A CLOSING
GARAGE DOOR. REPEAT TEST AT LEAST FOUR TIMES A YEAR AN D ADJUST AS NEEDED.
PROCEDURE: Place a 1-inch obstacle on the floor under the garage door Operate door in DOWN direction
The door must reverse on the obstruction
If a SECTIONAL door STOPS on the obstruction,
lengthen door arm until the door reverses in DOWN
direction, (Refer to Step 1O, FIG_ C., Page 16 Fasten SECTIONAL DOOR
sections together to longest possible length),
If a ONE-PIECE door stops on obstruction, door is
not traveling far enough in DOWN direction, Increase
the DOWN limit by turning DOWN limit adjustment
screw counterclockwise 1/4 turn REPEAT TEST
When the door reverses on the 1-inch obstruction,
remove obstruction and run opener through a com-
plete travel cycle. Door must not reverse in closed
position_ If it does, repeat Adjustment Steps 2 and 3
ONE-PIECE DOOR
I Inch Obstruction
REPEAT ADJUSTMENT STEP 3 AFTER:
1. EACH ADJUSTMENT OF DOOR ARM LENGTH, CLOSE FORCE OR DOWN LIMIT.
2. ANY REPAIR OR ADJUSTMENX OF GARAGE DOOR (INCLUDING SPRINGS AND HARDWARE).
3. ANY REPAIR OR BUCKLING OF THE GARAGE FLOOR°
4. ANY REPAIR OR ADJUSTMENT OF THE GARAGE DOOR OPENER.
(Optional) STE P 4 Install Infrared Reversing System
The INFRARED REVER_ING SENSOR provides an
ADDITIONAL measure of safety against a small child
being caught under a garage door It uses an invisible
beam which, when broken by an obstruction, causes a
closing door to open and prevents an open door from
closing
After the garage door opener has been completely
installed and adjusted, the INFRARED REVERSING
SENSOR accessory can be installed Instructions are
included with this optional device
18

Radio Controls
Your 3-channel transmitter(s) will operate more than one garage door opener, if desired, Also, refer to the catalog
packed with your opener for remote light products which can be operated by the additional push buttons on the
transmitter(s).
Instructions are given below for changing codes and/or using the transmitter(s) with additional receivers,
PLEASE KEEP THIS INSTRUCTION MANUAL HANDY FOR FUTURE REFERENCE.
SETTING/CHANGING YOUR CODE IN RECEIVER(S) AND TRANSMITTER(S)
_DISCONNECT POWER TO OPENER(OR OTHER
DEVICES) BEFORE SETTING OR CHANGING
THE CODE IN THE RECEIVER(S),
The TOP(Large) transmitter push button has been
factory preset to operate the garage door opener.
Each push button is programmed to operate by
sliding RECEIVER code switch ##1 to a specific
position (+, - or O). Detailed instructions are given
below°
1_ Decide which transmitter push button you want to
use to operate a receiver
2. Remove screw on back of transmitter(s)_ Carefully
turn case over (push button side up),
3, Remove case top, CAUTION: Be careful not to
move circuit board components_
4. Locate the RECEIVER code switch block
0TO USE TOP (LARGE) TRANSMITTER BUTTON:
Set RECEIVER code switch Ito minus (-).
@ TO USE CENTER TRANSMITTER BUTTON: Set
RECEIVER code switch I to center(O)
© TO USE BOTTOM TRANSMITTER BUTTON: Set
RECEIVER code switch 1 to plus (÷)
TO SETTH ECODE, use a pen or screwdriver Begin
with code switch 2 on the RECEIVER. Slide one or
more of the switches to plus, minus or center(O)
Hold transmitter(s) alongside receiver code switch
Set code switches 2 through 9 in transmitter(s) to
match receiver switch positions.
NOTE: Code switches 2 through 9 on ALL the
receivers operated by the transmitter(s) must
MATCH switches 2 through 9 in transmitter(s).
CAUTION: If you press more than ONE push but-
ton at the same time, transmitter will not operate.
TRANSMITTER
TOP(Large)
Push Button
BO3TOM
Push Button
RECEIVER
Code Switch No, I1
Transmitter
Bottom Push Sutton _
Transmitter 0
Center Push Button
Transmitter _==
TOP Push Button
Code
Switches --
.1=123456789
CENTER
Push Button
RECEIVER TRANSMITTER
19

Having aProblem?
SITUATION PROBABLE CAUSE & SOLUTION
OPENER DOESN'T OPERATE
FROM EITHER WALL PUSH
SUTTON OR TRANSMITTER
1. Have you disengaged all door locks? Review Step 8, Page 14
2. Does the opener have electric power? Plug a lamp into the outleL If it
doesn't light, check fuse box or circuit breaker (Some outlets are con-
trolled by a wall switch).
3. Repeated operation may have tripped the overload protector in the motor.
Wait 15 minutes Try again
4. Is there a build-up of ice or snow under door? Door may be frozen to
ground. Remove any obstruction
5. Remove bellwire from opener terminal& Touch red and white screw ter-
minals together with ajumper wire If opener runs, check for a faulty wire
connection at wall push button or a short under staples.
OPENER OPERATES FROM
TRANSMITTER BUT NOT FROM
WALL PUSH BUTTON
1. Is wall push button lit? If not, refer to No. 5 above and follow same
procedure.
2_ Are wiring connections correct? Review Step 6, Pg,13.
DOOR OPERATES FROM
WALL PUSH BUTTON BUT NOT
FROM THE TRANSMITTER
1 Does the battery test light glow when transmitter push button is pressed?
If not, replace the battery (Page 5 tells you how.)
2 If you have two transmitters and only one operates, review code setting
procedures on Page 19 Receiver and ALL transmitters must be set to
same code_
& Is transmitter(s) operating additional remote control devices? See code
setting procedures on Page 19
4. Did you press transmitter button designated to operate garage door
opener?
5 Re-program receiver(s) and ALL transmitters, Try setting ALL the code
switches in plus, center or minus positions. If transmitter(s) works, you
can try a random code switch setting again, if you desire.
TRANSMITTER HAS
SHORT RANGE 1_ Check battery test light If the light is out, change the battery(Page 5 tells
you how).
2. Change the location of transmitter in the car.
3 A metal garage door, foil-backed insulation or metal siding will reduce
transmission range.
4. Check to be sure the antenna on the back panel of the opener extends
fully downward.
THE GARAGEDOOROPENS
AND CLOSES SYITSELF 1 Isthere a neighborwith a garage door opener using the same frequency
code? Change your code Review Page 19.
2. Check to makesure that the transmitter push button(s) is not stuckin the
'down' position
3. Remove bell wire from opener terminals and operate from transmitter
only If this solves the problem, the wall push button is faulty (replace), or
there is a short or broken wire between push button and opener
DOOR DOESN'TOPEN
COMPLETE_ 1. Is something obstructing the door?
2. If door opens at least 5 feet, travel limits may need to be increased One
turn equals 2 inches of travel See Pg 17. Repeat Safety Reverse Test
after adjustment is complete
3. If door has been working properly but now doesn't open all the way,
increase UP FORCE See Pg. 17 Repeat Safety Reverse Test after adjust-
ment is complete
DOOR DOESN'T CLOSE
COMPLETELY
1. Review the Travel Limits Adjustment Chart on Page 17. Repeat Safety
Reverse Test after any adjustment of door arm length, close force or
down limit. 2o

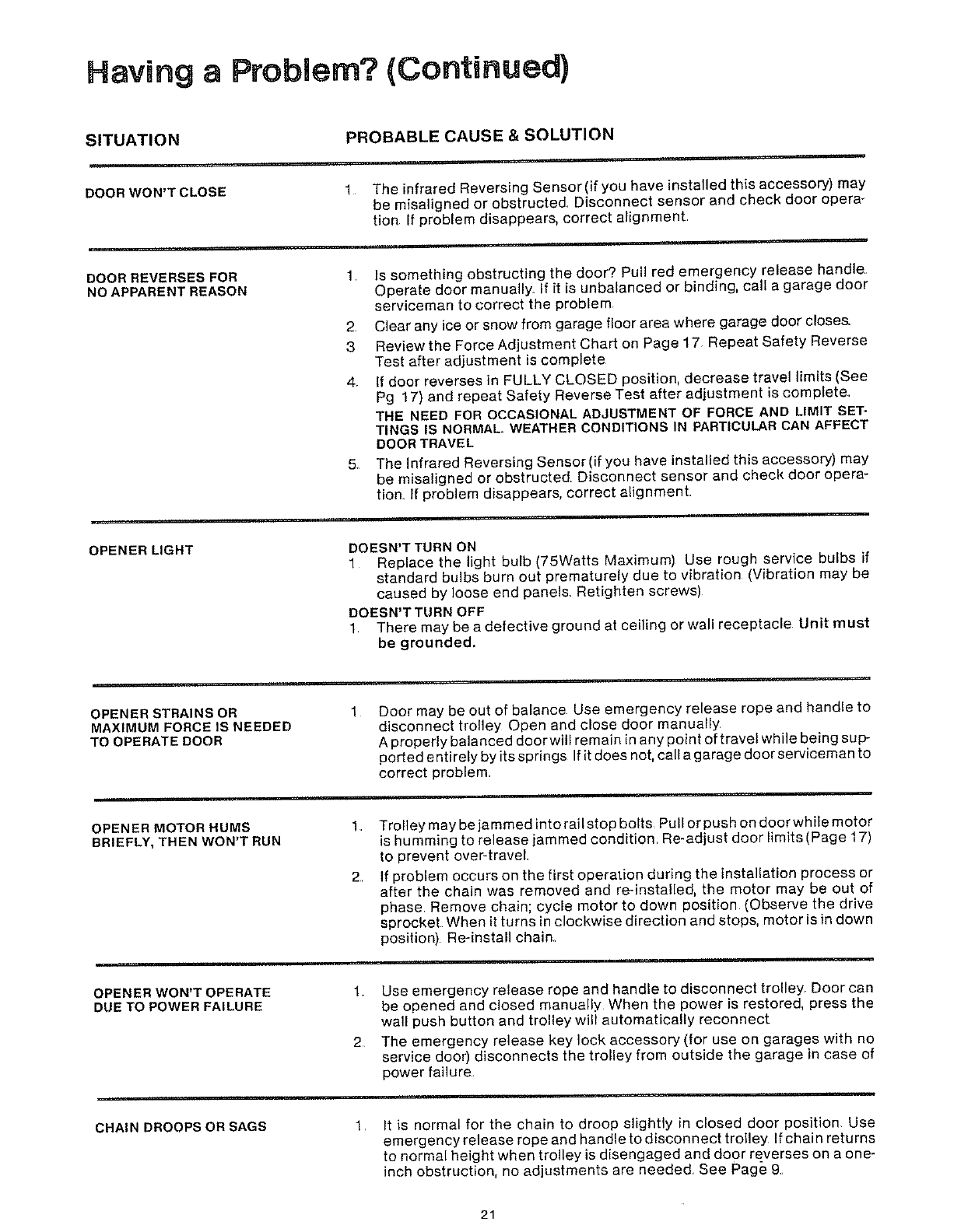
Having aProblem? (Continued)
SITUATION
DOOR WON'T CLOSE
PROBABLE CAUSE & SOLUTION
i,i Ii,ii .... iiI
1 The infrared Reversing Sensor (if you have instaIJed this accessory} may
be misaligned or obstructed. Disconnect sensor and check door opera-
tion If problem disappears, correct alignment
DOOR REVERSES FOR
NO APPARENT REASON 1Is something obstructing the door? Pull red emergency release handle
Operate door manually If it is unbalanced or binding, call a garage door
serviceman to correct the problem
2 Clear any ice or snow from garage floor area where garage door closes.
3 Review the Force Adjustment Chart on Page 17 Repeat Safety Reverse
Test after adjustment is complete
4. If door reverses in FULLY CLOSED position, decrease travel limits (See
Pg 17) and repeat Safety Reverse Test after adjustment is complete.
THE NEED FOR OCCASIONAL ADJUSTMENT OF FORCE AND LIMIT SET-
TINGS IS NORMAL. WEATHER CONDITIONS IN PARTICULAR CAN AFFECT
DOOR TRAVEL
5_ The Infrared Reversing Sensor(if you have installed this accessory) may
be misaligned or obstructed. Disconnect sensor and check door opera-
tion. If problem disappears, correct alignment
OPENER LIGHT DOESN'T TURN ON
1 Replace the light bulb (75Watts Maximum) Use rough service bulbs if
standard bulbs burn out prematurely due to vibration (Vibration may be
caused by loose end panels_ Retighten screws)
DOESN'T TURN OFF
1 There may be a defective ground at ceiling or wall receptacle Unit must
be grounded.
OPENER STRAINS OR
MAXIMUM FORCE IS NEEDED
TO OPERATE DOOR
Door may be out of balance Use emergency release rope and handle to
disconnect trolley Open and close door manually.
A properly balanced door will remain in any point of travel while being sup-
ported e ntirely by its springs If it does not, call a garage door serviceman to
correct problem
OPENER MOTOR HUMS
BRIEFLY, THEN WON'T RUN
2
Trolley may be ja mined into rail stop bo_ts Pull or push on door while motor
is hu taming to release jammed condition Re-adjust door limits (Page 17)
to prevent over-traveL
if problem occurs on the first operation during the installation process or
after the chain was removed and re-installed, the motor may be out of
phase Remove chain; cycle motor to down position (Observe the drive
sprocket When it turns in clockwise direction and stops, motor is in down
position) Re-install chain_
OPENER WON'T OPERATE
DUE TO POWER FAILURE 1 Use emergency release rope and handle to disconnect trolley Door can
be opened and closed manually When the power is restored, press the
wall push button and trolley wilt automatically reconnect
2 The emergency release key lock accessory (for use on garages with no
service door) disconnects the trolley from outside the garage in case of
power failure
CHAIN DROOPS OR SAGS It is normal for the chain to droop slightly in closed door position Use
emergency release rope and handle to disconnect trolley If chain returns
to normal height when trolley is disengaged and door re_verses on a one-
inch obstruction, no adjustments are needed See Page 9
21

Repair Parts
RAI L ASSEMBLY PARTS LIST
KEY PART
NO. NO. DESCRIPTION I
1
2
3
4
5
6
7
8
1A995 Master link kit
41 B2617 Outer trolley
41 B2771 Inner trolley
12A197 Chain retainer bracket
2B313 Tee ratFcenter section
183B93 Tee raiFend section (each)
4182616 Cable pulley bracket assy (each)
41 C2735 Chain and cable
NOT SHOWN
41A2814 Rail assy hardware kit (includes hardwar(
iflustrated on Page 3)
',"sTAL-L_,T,0"PA41:sLisi:..............................................................................................................................................
i.o. NO. DESO,,PT,O, '3 \I\ _1 H
1 41 D2736-1 Wall control assy
l i iiiiis !;iii!=iiii'!s, °r UL) ,,,11!
5 41 A2828 Emergency rope and handle assy ill
76 2119A3223 H-e_dandrb_Wlrplu s cotter pln a nd clevis 6_ _ /III
! 8 11_374 DD°°rr brr:Ckk:tt plate _i" "_ ll!l
,_ tg%OO,,HO3O_gingbrooko,s . "-_ -.-
i 41A2815 Installation hardware bag (includes hardware illus- _.__Xi IliL1 ,
22

Repair Parts
Chassis Assembly Parts List
21
18
16 15'
14
3
11
12
6
7
KEY PART
NO. NO. DESCRIPTION
3
4
5
6
7
6
31 C290 Sprocket cover
41 A2627 Gear and sprocket assy
Complete with:
Spring washer
Thrust washer
Retaining ring
Bearing plate
Roll pins (2)
Drive gear
Worm gear
Helical gear w/retainer
Grease
41 A2817 Drlve/worm gear kit w/grease
Roll pins (2)
41 B2991 Line cord
41 A3076 End panel
175B88 Light socket
108D30-1 Lens
30B387 Capacitor- 1/3h p
3OB363 Capacitor- 1/2hp
12A373 Capacitor bracket
IKEY PART
NO. NO. DESCRIPTION I
10 41A3150 Terminal block w/screws
11 41 A2821 Universal replacement motor
12 41 D2748-2 Cover- Model 139,53413
& Model 13953606
41 D2748 Cover- Model 139.53403
13 41A2516 Helical gear & retainer w/grease
14 41D3013 Limit switch assembly
15 41 C3005 RPM sensor assembly
16 41 C2726 Wire harness assy with plug
17 41 A3027 Motor bracket and bearing assy
18 41 A2826 Shaft bearing kit
19 41A2622 Interrupter cup assy.
20 41 A3066 Receiver logic board assy
Complete with:
Logic board
End panel w/all labels
21 41 A3076 End panel w/all labels
NOT SHOWN
41A2825 Chassis assy hardware kit (includes screws
not designated by number in illustration)
23

S=FiA! S/i;
Garage
Door
Opener
Models:
139.53403
139o5341 3
139=53606
139o5361 0
Owners Manual
HOW TO ORDER REPAIR PARTS
Now that you have purchased your Sears Garage Door Opener, should
you ever need repair parts or service, simply contact any Sears Service
Center and most Sears, Roebuck and Co stores Be sure to provide all
pertinent facts when you call or visit,
The MODEL NUMBER of your garage door opener is printed on a label
located on the front panel of the opener chassis.
All parts listed may be ordered from any service center and most Sears
stores.
WHEN ORDERING REPAIR PARTS, ALWAYS GIVE THE FOLLOW-
ING INFORMATION:
O PART NUMBER
O MODEL NUMBER
@ PART DESCRIPTION
@ NAME OF ITEM
If the parts you need are not stocked locally, your order will be elec-
tronically transmitted to a Sears Repair Parts Distribution Center for
handling.
IMPORTANT NOTE: If you suspect radio control malfunction, contact
your nearest SEARS Service Center
MAINTENANCE AGREEMENTS ... YOUR WAY TO BUY TOMORROW'S SERVICE
AT TODAY'S PRICE ... With nationwide service and the benefits of a Sears warranty plus a Sears Mainten-
ance Agreement, you don't have to worry about costly repairs resulting from normal use.
The Maintenance Agreement does not cover installation or re-installation of the product or damage resulting from
external causes such as: acts of abuse, fire, flood, wind, lightning, freezing, etc.
To Purchase a Sears Maintenance Agreement - Ask Any Salesperson or Call Sears Service Today,
0
U
0
0
D
D
SEARS WARRANTY
FULL 90 DAY WARRANTY ON GARAGE DOOR OPENER
For 90 days from the date of purchase, Sears will repair this Garage Door Opener, free of charge, if defective in
material or workmanship_
LIMITED WARRANTY
From the 91st day until one year from the date of purchase, Sears willfurnish replacement parts for any defective parts,
free of charge You pay for labor
LIMITED WARRANTY ON 1/2 HP AND 1/3 HP MOTORS FOR CRAFTSMAN OPENERS
1/2hpMotor: After1 yearandthr_Ugh5years_ifthem_t_r_nthisGarageD__r_penerisdefe_tive'Searswi_lfurni_ha
replacement motor, free of charge You pay for labor
1/3hp Motor: After1 yearandthrough3 years, ifthemotoronthisGarageDoorOpenerisdefective, Searswillfurnisha
replacement motor, free of charge. You pay for labor
LIMITATION ON LIABILITY
Sears will not be liable for loss or damage to property or any incidental or consequential loss or
expense from property damage due directly or indirectly from the use of this product,
Some states do not allow the exclusion or limitation of incidental or consequential damages, so the above limitation or
exclusion may not apply to you
This warranty does not cover repairs necessary because of operator abuse or negligence, including the failure to install,
adjust and operate this garage door opener according to the instructions contained in the owner's manual
WARRANTY SERVICE IS AVAILABLE BY SIMPLY CONTACTING THE NEAREST SEARS SERVICE CENTER/DEPART-
MENT IN THE UNITED STATES This warranty applies only while the product is in use in the United States.
This warranty gives you specific legs] rights, and you may also have other rights which vary from state to state
SEARS ROEBUCK AND CO,, Dept, 698/731A Sears Tower, Chicago, I L 60684
0
D
Q
0
D
N
0
© 1987, Sears, Roebuck and Company
All Rights Reserved
114A976B Printed in Mexico