Danby DWC283BLS User Manual WINE COOLER Manuals And Guides L0712300
DANBY Wine Cooler Manual L0712300 DANBY Wine Cooler Owner's Manual, DANBY Wine Cooler installation guides
User Manual: Danby DWC283BLS DWC283BLS DANBY WINE COOLER - Manuals and Guides View the owners manual for your DANBY WINE COOLER #DWC283BLS. Home:Kitchen Appliance Parts:Danby Parts:Danby WINE COOLER Manual
Open the PDF directly: View PDF
.
Page Count: 17

OWNER'SMANUAL
MANUELD'UTILISAT!0N
MANUALDELPROPIETARI0
Model,Modble,Mode]o
DWC283BLS
CAUTION"
Readandfollowal_safetyrulesand
operatinginstructionsbeforefirst
useofthisproduct,
PRECAUT]0N:
Veuillezlire attenttvemantles
conslgnesde s_ourit_et les
instructionsd'ut][tsattonavant
I'utnlsationInlltaledoceproduit,
PRECAUCI6N:
Leayobservetodaslasreglasde
segur]dady lasInstrucolonesde
operacl6nantesde usar este
productoporprimersvez,
DELUXE 2 TEMP ZONE WINE COOLER
Owner's Manual ....................... 1-5
• Safety Instructions
o Installation
.Operation
•Care and Maintenance
CABINET A VIN DE LUXE A DEUX TEMPI_RATURES
Manuel d'utilisation .................... 6-10
*Consignes de s_curit_
,, installation
oFonctionnement
• Sotns et entretien
REFRIGERADOR PARA VINOS DELUXE CON 2
COMPARTIMIENTOS DE REFRIGERACI6N
INDEPENDIENTES
Manual del propietario ................ 11-15
. Instrucciones de seguridad
,, Instalaci6n
. OperaciSn
•Cuidado y Mantenimiento
DanbyProductsLimited,POBox1778,Ontario,CanadaNIH 6Z9
DanbyProductsInc. POBox669,Findlay,Ohio,USA 45839-0669
283.02_4

WarrantyService
Wtth4nCanada With4nUnlt.dSlate
InHome inHome
DonbyPmdacls Ltmlted
POBox1771_,5070White_wRoad,
Guelph,Ontario,CanadaNIH
Te)ophouo:(5t9}837,.09;(0FAX: (519)I)37.044g

SAFETY INSTRUCTIONS
GROUNDING INSTRUCTIONS
This wine cooler must be grounded in the event of an electrical short circuit. Grounding reduces the risk of
electrical shock° This wine cooler is equipped with a power cord having a grounding wire with a grounding
plug. The wine cooler plug must be plugged into a properly installed and grounded eleclrical outlet
WARNING IMPROPER USE OF THE GROUNDING PLUG CAN RESULT 1NTHE RISK OF ELECTRIC
SHOOK. Consult a qualified electrician or service person if the grounding instructions are not completely
understood.
CAUTION: Read and follow all safety rules and operating instructions before using this product.
INSTALLATION INSTRUCTIONS
Remove the exterior and interior packaging.. Use a soft dry cloth to thoroughly wipe the outside of the wine
cooler Use a wet, lukewarm cloth to wipe the inside of the wtne cooler.
Air must circulate freely in front of the wine cooler. Avoid placing the wine cooler near any heat source, direct
sunlight or moisture. Direct sunlight may affect the finish of the wine cooler.. Nearby heat sources will cause
higher electricity consumption.
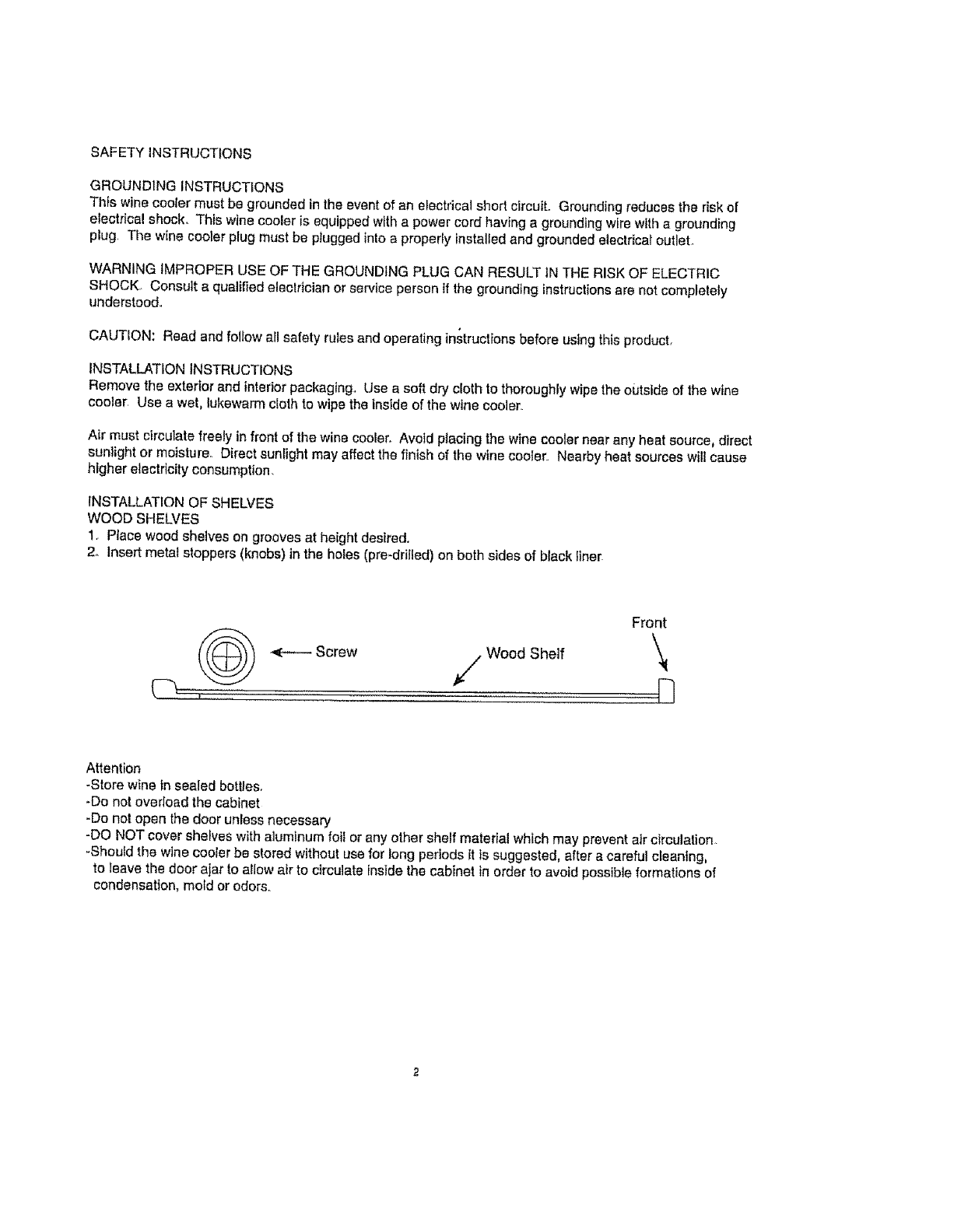
INSTALLATION OF SHELVES
WOOD SHELVES
1.. Place wood shelves on grooves at height desired.
2. insert metal stoppers (knobs) in the holes (pre-drifled) on both sides of black liner
Front
screw woo Shelf \
Attention
-Store wine in sealed bottles,
-Do not overload the cabinet
-Do not open the door unless necessary
-DO NOT cover shelves with aluminum foil or any other shelf material which may prevent air circulation
-Should the wine cooler be stored without use for long periods it is suggested, after a careful cleaning,
to leave the door aiar to allow a_rto circulate inside the cabinet In order to avoid possibl_ formations of
condensation, mold or odors,.

DOORREVERSAL
TOFACILITATEDOORREVERSAL,WERECOMMENDSOMEONEASSISTYOUDURINGTHISPROCESS.
TOOLSREQUIRED:PHILLIPSSCREWDRIVER
1_Laythe unit in it's back,
2, Remove the three (3) screws from the bottom hinge, Remove the bottom hinge
NOTE: Keep this hinge in a safe place in the event you ever need to revert back to a dght hand door swing.
3. Remove the door from the cabinet and carefully set aside
4_ Remove the two (2) plastic screw covers located on top of the hinge cover
5. Remove the screws holding the hinge cover to the top hinge,
6. Remove the three (3) screws from the top hinge
7, Remove the top hinge
8 Remove the three (3) plastic screw covers from the top left side of the cabinet.
9, install the top hinge on the left side of the unit and secure with three (3) screws.
10. Install the hinge cover back on the top hinge
11, Install the two (2) plastic screw covers on the hinge cover
12. Install the three (3) plastic screw covers to the top right hand side of the cabinet,
13. Carefully install the door on the cabinet° (Insert upper door into top hinge pin)
14. Using the left hand bottom hinge supplied with your unit, insert the hinge pin into the bottom of the door.,
(Align the hinge holes with the holes in the cabinet, and secure to cabinet with three (3) screws,
I54 Check alignment of door and door seal before tightening screws.
16. Tighten all hinge screws,
17 Place unit in the upright position.
NOTE: Allow the unit to stand upright for 1 hour before putting the unit into operation,

OPERATION:
Before starting the w_ne cooler, ensure that the cabinet is Eeval
This witI eliminate any vibrations
NOTE: The power (RUN) indicator lfght is located en the LED
control panel inside the unff and illuminates
when the compressor (cooIing) cycle Is operatlonaI, turns off
when the compressor (cooi_ng) cycle is finished,,
SETTING THE TEMPERATURE CONTROLS: Each cooling
compartmentof the wine ceoter(upper & lower} are {ndependantly
conlrolted To set the temperature;
1, Connectthe power cord to a properly grounded outlet In the
event of a power interruption, a{lprevioustemperatureceilings are
aulomaticaliy erasedand each compartmentwilidefault |o a pre-
set temperalurasetting of:t2 °C (54" F)-Upper Compartment
6" C (43" F)-Lower Compartment
2 Set the desired coolingtemperature by pressing the butlons
adjacent to the "Set Upper/Set Lower" program Each depression
of the buttons wtltscroll throughthe available temperature settings
(for each compartment) in incrementsof 1 degree, The
temperalure selectedwill flash in the LED disprayfor
approximately 5 seconds, then revert back to display the
temperature el the Internal cabinet
Upper Compartment: The tamperatura setting can be adjusted
from 10° O -18_'C (50" F - 64" F}
Lower Compartment: The temperature setting can be adjusted
from 5° C - 10" C (41" F -50" F"}
3To view the "sat" temperature, (anytime) press and hold the
corresponding button tot approximately 5 seconds, the "set"
temperature wilt temporadty "flash" tn the LED display for 5
aeconds.
Flashing LEO = Set Temperature
Steady LEO = Cabinet Temperature
===1
7 ¸
ii
LIMID(
.. _
4 This unit has the option to disptay temperatures in either Celsius
or Fahrenheit To change the setting, press and hold both buttons
(Set UppertSet Lower) s_mullaneously lot approximately 5
seconds, a prompt(beep) willsound and the blue pilot Itght
adjacent to the C or Fmode Illuminates
NOTE: Te temporarily disconnect (stop) the cooling cycle, you
must disconnect the power cord from the electrical outlet NOTE;
There Is no "OFF"position on the e_ectronlc control panel
When disengaging cooling (operation) for long pedods of time,
leave the door patlially open to prevent mold/mildew from forming
inside the cabinet
NOTE: Always walt 3 to 5 minutes before restarting the unit If
operation has been tnterrupled,,
INTERtOR LIGHTS
The two(2) Interior lights operate "automatically" wtlh the
openinglclosing of the door The lig!lt turnson when the door is
open and turns off when the door is dosed
DEFROS'f INGtCONDENSATION
Your wine cootsris designed with an "Auto-Cycle"defrost system,
During lhe "Oil Cycle" the refrigeratedsurfaces of the wine cooler
(interior rear wail) defrost automatically The defrost water is
channeled Into a condensate drain pan which ts located at the
back of the wine cooter next to the compressor from where It
evaporates
CARE & MAINTENANCE
Upon receivingyour winecooler, leave the door open for 24 hours
When cleaningthe Inside of the wine cooleryou canuse asolution
of a tablespoonel baking soda to one (f) quart of water,or a mild
soap suds solution,or some mild detergent Wood shefving does
not require cleaning, To clean the exterior cabinetof your wine
cooler, use a soft damp cloth with mild detergent or apptlance
cleaner
STORAGE OF WINE
The upper compartment }s for stodng "Red" wine (10 BolUs
Capacity + Humidor)
The lowercompartmentts for stodng "White"wine (20 Bottle
Capacity + Humidor)
The hum}dot should be positioned In the center of the top rack _n
each compartment,
To achieve maximum storage capacity it will be necessary to
position (s!ora) the bottles alternately on the racks (sea below
diagram)
HUMIDITY MAINTENANCE SYSTEM
The wine cooler is equipped with a system for
maintaining the correct level of humidity If humidity is
too row, insert the small plastic reservoir on to the top
rack of the wine cooler, rFill this reservoir 3/4 full with
wate_t Check water level occasionally and refill as
necessary

STORING YOUR WINE COOLER
If you intend not to use the wine cooler for short periods of time, leave the control panel at its usual settings,
During longer periods of absences:
1_ Remove bottles from wine cooler
2o Unplug wine cooler from the electrical outlet.
3. Thoroughly clean the inside and outside of the wine cooler,
4., Leave the door open to avoid possible formations of condensation, mold or odors
WHAT TO DO REGARDING POWER FAILURE
Most power failures are corrected within a short period of time. An hour or two loss of power will not affect
your wine cooler temperatures, To protect your wines while the power is off, you should minimize the number
of door openings. For power failures of longer durations, take steps to protect your wine
IF YOU HAVE TO MOVE YOUR WINE COOLER
Remove ALL bottles from the wine cooler and securely fasten down all loose items inside the wine cooler
To avoid damaging the levelling legs, turn them all the way into the base of the unit.
HUMIDITY MAINTENANCE SYSTEM
The wine cooler is equipped with a system for maintaining the correct level of humidity If humidity is too low,
snap the small plastic reservoir on to the top rack of the wine cooler FiUthis reservoir 3/4 full with water.
Check water level occasionally to refill
REPLACING INTERIOR LIGHT BULBS
To replace an Interior light bulb:
1. Remove the screw holding the light bulb cover. Remove the cover,
2, Unscrew light bulb. Replace the light bulb NOTE: The light bulb should net exceed 15 watts,
3, Repiece light bulb cover. Re-install screw to secure cover.
FEATURES AND BENEFITS
Powder coated, heavy duty steel cabinet with high density thermal Insulation.
1, DIGITAL ELECTRONIC THERMOSTAT." Controls the temperature inside the wine cooler
The compressor will cycle on/off as soon as the temperature rises/falls above the desired cooling level.
2 WOODEN SHELVES: Slide-out for easy access to your wine,
3, MAGNETIC DOOR GASKET: Tight tilting magnetic door seal keeps all the
cooling power and humidity sealed inside,
4, TEMPERED GLASS DOOR: Tinted for UV protection and allows for easy interior viewing
5 DUAL INTERIOR LIGHTS: Illuminate when door opened,


INSTRUCTIONSDESI_CURITE
MtSE,_LATERRE
Cecabinet&vindolt_tremis&laterraaucasouilyauraituncourt-circuit.
Laraise&laterrereduitlesrisquesdechocs_lectriques.Lecordond'alimentatton_lectriquedececabinet
&vinestpr6vupouruneraise&laterreLapriseducabinetdoitCtrebrancheedansuneprisedeeourant
_lectriquemuralebieninslall_eetmtse&taterre
AVERTISSSEMENT:UNEMAUVAISEUT1LISATIONDELAPRISEDECOURANTMISEALATERRE
POURRAITENTRAiNERDESCHOCSELECTRIQUESConsultezun61ectricienquatifi{_ouunsp_cialistedu
servicesIvousnecomprenezpascompl_tementlesinstructionsderaise#.laterre
MISEENGARDE:Lisezetobserveztouteslosr_glesdes_curit_etlesInstructions
d'utilisationavantd'utiliserceproduit
INSTRUCTIONSD'INSTALLATION
Retirezlesmat_riauxd'emballageext_rieursetint_rieurs,Utilisezunchiffonseeetdouxpouressuyer
compl_iementl'ext_rieurdevotrecabinet&vin,Utilisezunchiffonimbib_d'eautildepouressuyer
i'int_fieurducabinet&vin
L'airdoltcircu]erltbrement&I'avantducabinet&vin,15vitez le placer te cabinet & vln pr6s d'une source de
chaleur, sous les rayons solatres directs ou en presence de sources d'humidit& Les rayons solaires directs
pourraient ternir le fini du cabinet & vin, Los sources de chaleur & proximit6 du cabinet & vin feront
augmenter [a consommation d'_tectricit&
iNSTALLATiON DES TABLETTES
TABLETTES EN BOIS
1 Placez los tab_ettes en bois & la hauteur d_sir_e sur les encoches pratiqu6es,
2, lns_rez los butotrs m6talliques (boutons) dans los orifices (d_j& performs) des deux c6t_s du chemisage noir
avant
_ vis tablette en bois _4_
ATTENTION
Entreposez te vin dans des bouteiHes seeli_es
Ne surchargez pas Ie cabinet
- N'ouvrez ia porte que lorsque c'est n_cessaire,
- NE COUVREZ PAS les tabiettes avec du papter d'aluminium ou avec d'autres mat_riaux pour
les tablettes pour ne pas nuire & la circulation de I'air_
- Sile cabinet & vin n'est pas utilis_ pendant de tongues p_riodes, nettoyez te cablnet et laissez
la porte entrouverte pour permeltre & I'air de circuler & I'int_rieur du cabinet de faqon & _viter route
formation posstbIe de condensation, de moisissures ou d'odeurs,

POUR FACtLITER LE RENVERSEMENT DE LA PORTE, NOUS VOUS REOOMMANDONS DE
VOUS FAIRE AIDER LORS DE CE PROCESSUS
OUTILS NECESSAIRES : TOURNEVIS PHILLIPS
1. Placez t'eppaieif sur ser_ des
2, Retirez les Irofs (3) vts de la charnlbre inf6rieure, Reliraz la chaml_re inf6rteure,
NOTA: Conservez carte chami_re & un endrett st3r pour 6ventuellement la r6ultliser si
veus devez inverser de nouveau le sans d'ouverture de le porte
3, Retirez ta porte du cabinet el d6posez-la de c6t6 avec soin
4, Retirez les deux (2) couvre-vts en pfaslique stlu6s sur le dessus du couvre-chamtbre
5, Retirez les vis retenant le couvre-charnt6re sur la charnt6re sup6rieure
6o Retlrez ]es lrois (3) vis de la chamiere sup6rleura
7 Relirezla charnt6re sup6rieure.
,El Retirez tes trois (3) couvre-vts en plastique du c6t6 sup6rfeur gauche du cabinet
9,, Installez la charnibre su:pdrieure du c6t6 gauche de l'appareU et inslallez les trois (3) vie
I 0, Rdtnslalfez fe couvre-cbami_ra sur la charni_re eup61"ieure,
11, InslaUez les delzx (2) couvre-vie an ptastique our le ceuvre-chemt_re.
12 Inatallez les trois (3) couvre-vis en ptastique du c6te supdrieur droit du cabinet.
13, Inslallez ta porte du cabinet avec seth (Ins6rez |e haul de la porte dens }a tige de la eharn'i#re sup_rlet,ire)
14. Uttltsez la chami_re inl6rieure gauche fournla avee votre apparefl et tnserez le tige de ta charni_re dans le bas de la porte.
(Allgnez les orifices de la ehamii_re etles orifices pratiqu_s dane le cabinet et fixez toul sur te cabinet & l'alde des trois (3) vis )
15 Verifiez l'allgnemenl de la perle at des joints _tanches event de setter lee vis
16 Serrez routes les vis doe chami_res
17, Remetlez Ie cabinet debouL
NOTA: LAISSER L'APPAREIL EN POSITION DEBOUT PENDANT UNE HEURE AVANT DE LE ME]_FRE EN MARCHE

MODED'UTILISATION
Avantdemettrelecabinet_vInenmarche,assurez-vous
quelecabinetestauniveaupour_ltminertesvibrations
NOTA:Le voyant fndicateur d'at]mental_on _lectdque
(,,RUN,,) se trouve surte tableau de contreie& DEL, ,_
i'int_r{eur du cabinet. Le voyant est a}{um_ [orsque [e
compresseur (refroidissement) est en marche; le voyant
s'_teint lorsque fe compresseur a'arr_te
COMMANDES DE REGLAGE DE LA TEMPERATURE:
Chaque compadiment du cabinet _ vin (sup_deur et infer[our)
a san propre contrSte
Pour r_gler la temperature, proc_dez comme suit:
I Branchez ie cordon d'eltmentation _ectrique dens
une prise de courant comportant une raise _,Satorte
En cas de panne de courant, tous [es r_glages
anterleurs de temperature seront supprim_s et
cheque compartiment reviendra par d_faut _ la
temperature pr_tablte de"
12 °C (54 °F)-Comparfiment sup_deur
6 °C (43 °F)-ComparUment lnf_rleur
2o R_glez la temperature en appuyant sur tes boutons
sttu_s _ cOt_ du programme ,,Set Upper/Set Lower,, (r_glage
sup_deur/r_glage inleirieur) Chaque tots que
vous appuyez sur los boutons, lee dtft_rents r_giages de
temperatures disponibtes d_filent (pour cheque
comparfiment) par tranche d'un degr_ & {a lois.
La temperature cho[sle cffgnotera _.I'atfichage DEL
pendant 5 secondes environ event de reventr
I'affichage de la temp_relure _.l'inl_risur du cabinet
OompattJmenL sup_rieur :La temperature peer 6tre r_g]_e de
10 °C ~ 18 "C ( 50 ° - 64 °F)
Compartiment lnf_rieur : La lemp_.rature pout _tre r_g_e de
5 _C ~ 10 "C (41 °F -50 °F)
3 Pour voir le r_gtage de la lemp_ra{ure, (peu imports te
moment) appuyez sur le bouton correspondent pendanl 5
secondes environ; la temperature demand_e cllgnotera
pendant 5 secondes environ sur raffichege & DEL_
DEL cltgnotante = R_g_er la temperature
DEL affum_e sans cHgnotement -- Temp@ralure dens le
cabinet _ vin
!
4 Ce cabinet peut afficher]a temperature en degree Celsius
ou Fahrenheit, Pour passer d'une unit_ de mesure _,]'autre,
appuyez stmultan_ment sur ies boutons (Set Upper/Set
Lower) (r_glage sup_deurlr_glage inl_deur) st tenez*les
enfonc_s pendant 5 secondee environ Vous entendrez
un hip et Ie voyent photo bleu situ_ _ e6t_ des
modes C ou F s'allume
NOTA : Pour arr_ler temporalrement ie cycle de
reffoidtssement, d_branchez le cordon d'alimentalion
_ieclrique de la prise murals NOTA: II n'y apas de
positron ,,OFF,, (arr_t) sur te tableau _lectronique de contrSie
Lorsque vous arr_tez le cycle de relroidissement pendant une
tongue p_rlode, laissez la porte padiel[ement ouverte pour
empecher Is formation de moieissures _ I'inl_rieur du cabineL
NOTA :Si vous arr_tez le cabinet pendant une courte
p_rlode, ettendez toujours entre 3 el 5 minutes event de
remettre te cabinet en marche.
AMPOULES INTERtEURES
Los deux (2) ampou_es Int_rieures foncttonnent
,,autornallquement- Iorsque vous ouvrez/fermez la porte du
cabinet Los ampou{es s'aflument Iorsque vous ouvrez _a
porte et sties s'_teignent lorsque veus fermez la porte
D_GELfCONDENSATiON
Votre cablnet & vin comports un cycie automalique de
de_gtvrage, Lorsqu'ft n'y a pes de r_fftg_ration, lea surfaces
du cabinet & vin (mur tnte_fieurarri_re) se d_givrent
automatiquement L'eeu p[ovenant du d_givrage s'_cou_e
dens Ie plateau & condenser, sffu_ & I'erri_re du cab{net & vin,
pros du compresseur, pour ensulte s'_veporer
DI_GIVRAGE ET CONDENSATION
Le systems de d_givrage de votre cabinet & v_n ast con(_u
pour fonctlonner en mode "aulomallque". Pendant te cycle
de d_glvrege, Ies surfaces r_fdg_r_es du cabinet _ v[n se
d_g]vrent automatiquement Ueau d_coulant du d_givrege
du Iogement d'entreposage des boutenles de v[nse v]dange
automattquement et ells s'_vacue dens un bac contenant
I'eeu de condensation sltu_ _ l'arrt6re du cabinet, & proximlt_
du compresseur. La cha]eur produffe par ]e compresseur fair
_vaporer fouls i'eau de condensel_on contenue dens ]e bac.
ENTREPOSAGE DES VINS
Le compartiment sup_fleur est reserv_ aux vins ,,rougem,.
(capacit_ de 10 bou_et_les+ humidiflcateur)
Le comparUment inf_fleur eat r_serv_ aux vins ,,bfancs-.
(capacil_ de 20 bouteiiles + humldificateur)
L'humidfflcateur devrait 6tre p{ac_ au centre du support
sup_rteur de cbaque cempart]ment
Pour maximiser la capaclt_ d'entrepos_ge des beuteil_es,
placez los bouteifles alternativement surtes supports.
(Voir _e schema c_-dessous)
SYSTEME DE MAINTtEN DE L'HUMtDITE
Le cabinet & vtn comprend un systems de maff)Uen du ben
ntveau d'humidlt_. SIle ntveau d'humldit_, est trop bas,
ouvrez le petit r_servolr en plastique qui se trouve sur le
support sup_rieur du cabinet _ vin et remplissez-le aux trois
quarts d'eau V_rffiez occasionne!lement le niveau d'eau st
ajoutez-en au besoln.

ENTREPOSAGEDUCABINETA.VtN
SivousavezI'tnlenltondenepasuliliservotrecabinetpendantunecourtep_doda,laissezles
commandes&ieurr&glagehabituet
Sivouscomptezvousabsenterpendantunep_riodeplusIongue,proc_dezcommasuit:
I Relirezlesbouteilfesdevinducabinet
2.D_branchezlecordond'alimentation_lectdqueducabinet
3.Nettoyez_fondl'int_rleurducabinetatnsiqual'ext_rieur,
4 LaissezI_.porteentrouvertepour_vitertoutsformationpossibledecondensation,demotstssuresstd'odaurs.
QUEFAIREENCASDEPANNNEI_LECTRIQUE
Laptupartdespannes_lectriquessentr6par_esrapidemenl.Unepartsd'alimentatton_lectdquependantuneheureou
deuxn_aurapasd'incldencesurlalemp_rature&I']nt_rieurdevotrecab}net&vfn Pourprot_gervotrevinpendantuna
panned'_1ectricit_,mlntmlsezlehombredefolsoilvousouvreziaporte°Stlaparmadurelongtamps,prenezlesmesures
n_cessairespourprot_gervotrevln
SIVOUSDESIREZD_MENAGERVOTRECABINET,_VIN
RetirezTOUTEStesbouleiltesducabinet&vinetfixezb_enlesobJetsqutsetrouvent&Yinlddeur de votre cabinet
Pour nepas endommager _espattes de m_ses au nlveau, entrez-les compl_tement dens la base du cabinet
SYST_ME DE MAINTIEN DE L'HUMIDITI_
Le cabinet b, vin comprend un syst_me de mafntten du ben niveau d'humldIt& Si 18 niveau d'humtdit_ est trap bes, ouvrez
te petit r_servoir en piastlque qut se Irouve sur Ie support sup_rieur du cabinet a vin et rempltssez_le aux trois quarts d'eau
V_rifiez occasionneilement le niveau d'eau et ajoutez-en au besotn.
REMPLAC_EMENT DES AMPOULES tNTERIEURES
Pour remplacer les ampoules _lectriques int_rieures, prec_dez comma suit :
1. Retirez la vis retenant le courts-ampoule, Retlrez le couvercle
2, D_vissez I'ampoule et remplacez-la. NOTA: La puissance de I'ampoule ne devralt pas d6passer 15 watts
3. Reme_tez le cauvre-ampoule en ptace el r_nstallez la vis retenant Is couvercle.
CARACT_RISTIQUES ET AVANTAGES
Cabinet en actsr pour service intense endult de poudre avec isolation thermtque & haute dens_t_
1. THERMOSTAT _LECTRONIQUE NUMERIQUE : Ce thermosta! conlrSfe ta temp6rature & I'_nt_rieur
du cabinet & vin Le compresseur se met en marche/s'arr6te en tonction de I'augmentationibatsse de ta temperature
au-del& des r_gtagas d_slr_s,
2, TABLETTES EN BOIS :Les tablettes coullssantes faci$ffenl I'acc_s au vin
3 JOINTS I_TANCHES MAGN_TFIQUES AUTOUR DE LA PORTE : Le joInl _tanche magn_Iique autour de la porte
permet de conserver le niveau de temp_ralure et d'humidi|_ _ f'int_rieur du cabinet
4 PORTES EN VERRE TREMPE : Le verre est tetnt_ pour prot6ger le contenu centre les rayons UV tout
en permettant de vofr tacilement le contenu du cabinet.
5 DEUX AMPOULES INTERfEURES : Les ampoules s'atlument !orsqu*on ouvre la porte du cabineL

ServlelodeGe{entJe
DenimdeI Desiredelos
Cannd_ EsladosUnldon
Enelbegat Ene]hogsr

INSTRUCCIONES DE SEGURIDAD
INSTRUCC!ONES DE CONEXION A TIERRA
Este refrigerador de vino debe estar conectado a tierra en caso de cortoctrcuilos, La conexiSn a tierra
reduce el riesgo de descargas el_ctricas, Este refrigerador est_ equipado con un cable para conexi6n a
tierra con enchufe especial, El enchufe debe conectarse a un tomacorriente debldamente bajade a tierra.,
AVERTISSEMENT : TOUTE MAUVAISE UTILISATtON DE LA MtSE ,&,LA TERRE POURRAiT
ENTRA/NER UN RISQUE DE CHOC ELECTRIQUE. Consultez un _lectricien qualifi_ si vous ne
comprenez pas tr6s bien les instructions concernant la mise & {a terre.
PRECAUCION: Lea y cumpla con todas las reglas de seguridad y las instrucciones de operaciSn antes
de utilizar el producto,
INSTRUCCIONES DE INSTALACION
Quite las coberturas externas e internas. Use un paso seco y suave para ltmpiar todo el exterior def
reffigerador y un patio humedectdo en agua tibia para limptar e] interior,
Debe permitirse qua ctrcu_e aire frente al reffigerador. Evite colocario cerca de fuentes de calor, tuz solar
directa, o lugares ht)mados. La luz solar dtrecta puede daSar las terminaciones. Las fuentes de calor
cercanas al refrigerador producirAn un aumento de su consumo el_ctrico_
INSTALACION DE ESTANTES
ESTANTES DE MADERA
1. Coloque los estantes de madera sobre Ias muescas a la aitura deseada°
2, tnserte los topes de metal (tarugos) en los hoyos (ya hechos) a ambos lados del forro negro
((._)) _ tornillo
.... ',, '..',,,
frente
/estante de madera
ATENCION
-Almacene el vino en botellas selladas.
-No sobrecargue el gabinete,
-No abra la puerta a menos qua sea necesario
-NO cubra los estantes con papal de aluminfo o cualquier cubierta para estantes que
pueda impedir la circufaci6n del atre
-En caso de no utilizar el refrtgerador per largos perIodos de tiempo, se sugiere _impiarlo con cuidado y
dejar la puerta entreablerta para permitlr ta circulaci6n de aire dentro de la cabina y evitar asf la
formaciSn de vapor, moho u olores desagradable,.

PARA SIMPLIFICAR EL CAMBfO DE DIRECCi(_N DE LA PUERTA, LE RECOMEND
AMOS QUE ALGUfEN LE AYUDE DURANTE EL PROCESO
HERRAMIENTAS NECESAR1AS: DESTORNILLADOR PHILLIPS
1. Apoye la unidad sobre su parad posterior
2. Quile los Ires (3) tornttlos de ta blsagra Inferior. Saque la btsagra inferior
NOTA: Conserve las bisagras en un lugar seguro per si necesita volver a cambiar la direcci6n de la puerta,,
3. Saque ta puerta del gablnete y con culdado h_gala a un lade
4 Quite _os des (2) tarugos de pl_stico ubtcados en la parle superior de la cubierta de la bisagra,
5 Quite los Iornltles mfentras sostlene la cubterta de la bisagra sobre ta btsagra superior
6 Quite los Ires (3) tornitlos de la bfsagra superior,
7_ Quite la bisagra superior
8 Quite tos Ires (3) tarugos de pl_stlco de ta parte superior tzquierda dei gabinete
9. fnstale fa blsagra superior en el lade tzqu{erdo de la unfdad y suj_lela con Ires (3) lomillos
10 Vuelva a lnstarar la cubierta de la blsagra en la bisagra supedor
11 lnstale los dos (2) tarugos en la cubierta de _abtsagra,
12. Instate los Ires (3) tarugos en la parte superior derecha de! gablnete_
13 fnstale con cutdado la puerta en el gabinete (fnserte la parte superior de la puerta en el eje de la blsagra superior)
14 UtiUce_abisagratnferlortzquierdaquevieneconlaunidad Inserteelejedetabisagraenlapartelnferiordela
puerta, (AItSe los tres orificies de la bisagra con los orttictos del gablnete y suj_tela al gabinete con tres (3) tomitlos),
15, Aseg,Jrese de que la puerta esl_ alineada y que su cierre sea herrneIieo antes de ajustar los IomiItos
16. Ajuste redes tos tornf_fos de las bisagras
17 Vuelva a colocar la unidad en su poslci_n correcta,
NOTA: PERMITA QUE LA UNtDAD PERMANEZCA EN LA POSICION CORRECTA
DURANTE UNA HeRA ANTES DE QUE COM1ENCE A OPERAR.

OPERACION:
Antesdoenehuiar el relrigerador para vinos aseg6rese de qua el
gabinete eat6 nlvelado Esto e]imtnar6 cuaSquIer vibract6n
NOTA: La luz indicador de altmentaci6n e16c_rica(RUN) est,_
ubicada en et panel de controf LED denim de la unldad, La
mlsma se enclende euando el ciclo del eompresor (de
refrigerect6n) eetd en luncionamiento y seapaga una vaz
finelfzado _sta
CONF}GURACION DE LOS CONTROLES DE TEMPERATURA:
Cads compadlmlento de refdgemoi6n del erectrodom6sttco (e]
superior y el inferior) se eontre_an par separado Pare elegir Pa
temperature;
1 Enchufe e! refrigerador a una 8altda con conext6n a tlerra,
En case de un carte de energi'a, 1asconfiguracIoneselegidas
Heborran aulom_t_camente y la temperatura de cada
cempartimiento regress at valor preprogramado en f_bdca:
"_2_ O (54° F')-Oompert[mlento superior
6" C (43° F)-Compadimiento inferior
20pdma los botones que se encuentran Junto al programs "Set
Upped Set Lower" (Elevad descender) pare estab[ecer la
temperature de refdgeract6n deseada, Cede vez qua opr_ma Ice
botones Ias conflguraclenes de temperatura disponibles (pare
cads compaMim_ento) variar6n de a I grade La temperature
e_egtdat$11tar6en ta pantalla LED durante alrededer de 5
segundos y ]uege la pantet]avalver_ a mostrar la temperalura de!
Interior del gebinete
Compartimlento superior: los controles de temperatura van desde
10= C haeta 18° C (50° F - 64 ° F)
Comparttmienlo in!arior: los centroles de temperature van desde
5° C haste 10° C (41° F _ 50 °F)
3 Pare vet la lemperalura "efegida" (an cualquter memento)
mantenga opdmido et bot6n correspondiente durante alrededer
de 5 segundos La temperature "eleg_da" tittlar_ en ta pantana
LED duranle alrededer de 5 segundos,
LED tltttante = temperature elegtda
LED estab_e = temperature interna del gabinete
J
-3
4, Esta unidad cuenla con Ia opci6n de vet las temperatures lento
en ascata Cets_us come en escala Fahrenheit Pare cambiar de
escala, mantenga oprtmldos ambos botones (Set UppedSeI
Lower -Elevad descender) a la vez durante alradedor de 5
segundos Escuchar_, un sonido indicador (blp) y !s luz ezul de
pitoto ub!eada junto el mode C o at mode Fse ilumtnar_
NOTA: Pare desconectar (detener) et clcle de refrigeract6n
durante un determinado peflodo de tiempe debe desenchufar el
electrodom_stlco NOTA: El panel de contro_ electr6nico no
euenta con un interrupter pare apagar el equips.
Cuendo interrumpa el ctclo de refrigaraet6n durante largos
per/odos de tiempa, de ie ia pueMa entreabierta pare evttar qua se
farina moho dentro del gabinete
NOTA: En case de haber InternJmpido le operaci6n espere
s_empre entre 3 y 5 minutes antes de reEnIctarel refrigerador,
LUCES 1NTERIORES
Las dos (2) tuces interiores son "eutom6tlcas" y funcionan al abflr
y el cerrar la puarta, La luz se enelende cuande ee abre la
pueda y seapaga cuando 6eta se c]erra
DESCONGELAClON/CONDENSACKSN
Su retfigerador pare vinos est6 diseSado con un slstema de
descongalact6n "Auto-Cycle". La superllcle refrigerada det
electrodom6stlco (pared posterior interne) ee deecongelar6 de
forms autem_tlca coando se detenga et ciclo dsl compresor, El
ague descongetada correr6 haste una bandela ublcada en la
parle trasera deeretflgerador junto al compresor y una vez aHt"se
evaporard
CUIDADO Y MANTENIMIENTO
Luego de reclblr el congelador, deje la puerta abieda par un
periodo de 24 betas Para limptar e] interior de la un]dad puede
utittzar una soluci6n de una cucham de sops de bicarbonate de
sadie dlsueito an un (1) cuarto litre de ague, una soluci6n de
espuma de jab6n suave o detergente suave Los estantes de
readers no requteran timpieza Pare t}mp_arel extedar del
gabinete de] refrigerador utilice un paso suave humedectdo con
datergente suave o ltmpiador
ALMACENAMiENTO DE VINe
El eompartimlento superior es pare atmacenar vine "tinto",
(Capac_dad pare 10 botellae + humidtticador)
El compar_imiento tnleflor es pare simacenar vine "b]anco"
(Capaetdad pare 20 bete_tas + humidificador)
El humidtffoador debe ubicarse en e! centre del eslante superior
de cads compartim[ento,
Para 1egret una mayor capacidad de almacensmlento ser&
necesario ubtcar (aimacener) lee bote!las sabre los estantes an
arden a_!erno (yea el etguiente diagrame)
SISTEMA DE MANTENtMIENTO DE LA HUMEDAD
El refdgerador estd equipado con un sistema para mantenar el
nivel de humedad apropiado. Sila humedad es
demastado baja, coloque los pequeSos dep6silos de pi&stic_,
en eLestante supedor de la unidad, Liana las 3!4
partes de fos dep6s_tos con agua Revise cada tanto el ntvel
dei ague pare ver si es necesar[o velvet a llenar el dep6stto,

COMO GUARDAR SU REFRIGERADOR DE VINO
Si planea no utilizar su refrigerador por breves periodos de tiempo, no cambie la
conliguraci6n del panel de control
Durante los largos periodos de tiempo sin uso:
1. Quite las botellas del refrigerador.
2. Desenchufe la unidad.
3o Limple bien el reffigerador por dentro y por fuera,
4. Deje la puerta abierla para evilar la formaci6n de vapor, moho u olores desagradables.
QUE HACER FRENTE A UNA FALLA ELI_CTRICA
La mayorfa de las faltas el_ctricas se corrigen en un breve periodo de tiempo, La faita de energfa por
un periodo de una o dos horas no afectarA la temperatura del refrtgerador. Para proteger Ios vinos
mientras no hay energfa serfa convenlente que evltara abrir la puerta cuanto fuera posible. Para las
fallas elOctricas m&s prolongadas, tome precauciones para proteger su vino,
SI TIENE QUE MOVER SU REFRIGERADOR DE VtNO
Quite TODAS las botellas del refrigerador y ajuste todos los componentes sueltos dentro de la unidad,
Para evitar dafar las paras de nivelaci6n, p_guelas al cuerpo de la unidad,
SISTEMA DE MANTENIMIENTO DE LA HUMEDAD
El refrigerador esta equipado con un sistema para mantener el nivel de humedad apropiado. Si fa
humedad es demasiado baja, co!oque los pequeSos dep6sitos de pl_stico en el eslante superior de la
unidad Llene las 3/4 partes de los dep6sitos con agua. Revise cada tanto el nivel de! agua para ver si
es necesario volver a llenar el depOsito.
COMO CAMBIAR BOMBILLAS INTERIORES DE LUZ
Para remplazar una bombilla interior de luz:
!, Quite el tornilfo que sostiene la cubterta de la bombilla. Remueva la cubiertao
2_ Desenrosque la bombilla y rempl,_cefao NOTA: La bombllla no debe ser de m_s de !5 watts.
3_ Coloque y atornirle de nuevo la cublerta de la bombilla_
CARACTERISTICAS Y BENEFICIOS
Gabinete de acero de gran resistencia cubierto de polvo con aislamtento de alta densidad t_rmica
1. TERMOSTATO ELECTRONICO DIGITAL: Controla la temperatura interior de! refrigerador.
El compresor se encender_, o se apagar#_en cuanto la temperatura sea superior o inferior
a la elegtda.
2 ESTANTES DE MADERA:Deslizables hacia afuera para poder alcanzar con facilldad el vino.
3, SELLO MAGNE_TICO EN LA PUERTA: Et sello magn_tico evita que escapen el frfo y la humedad.
4, PUERTA DE VIDRIO TEMPLADO: Polarizada para la protecci6n contra Fosrayos ultravioletas,
le permite ver el interior con facilidad.
5 LUCES INTERIORES DUALES: fluminan cuando se abre la puerta,,
!5

Model,Mod re.Modero
DWC283BLS
Forservice,contact
yournearestservicedepot0rcal_:
1-800-26-Danby
torecommendadepotin
yourarea
Pourobtenirteservice,eonsultez
votresuccursaler6gi0naiede
service0ut_l_ph0nez:
1-800-26-Danby
quivousrecomrnanderaun
cenlrer6giona_.
Parasevici0,c0rnmunfquesecon
sudepadamentodeserviciosm_s
cercano0llamaa_:
1-800-26-Danby
parequalerecomiendenun
depar_amenlodeservici0s
ensuzone.
DELUXE2TEMPZONEWINECOOLER
The model number of your wine cooler is found on the serial
plate located on the back, top Weft-handcorner el lhe reldgerator
All repair parts available for purahase or specia! order when you
vis_ your nearest service depot, To request service and/or the
location of the service depot nearest you, call the toll free number
listed to the teft in Canada and the U S
When requesting service or ordering parts, aiways provide the
fo_lowlng information:
•Product Type
• Mode! Number
• Part Number
o Part Description
CABINET ,_ VIN DE LUXE ,_ DEUX TEMPI_RATURES
Le num_ro de mod_le de votra refroldisseur de vin se trouve sur
ta plaque d'identtfication qui se trouve sur la coin du haul gauche
de rarrtbre du r_fdgdrateur
Toutee lee pibces de rechange son! dispon]btee fmm_dtatement
ou peuvent _tre command6es de votre Centre de Service
rdgtonaL Pour obten_r le service et!ou le Centre de Service le
plus proche, t_l_phenaz ]e num_ro sans-fraIs tndiqu_ _ gauche
pour Is Canada et los Etats-Unts
Ayez lee infermattons suivan|ee _,la port_e de la main lore de la
commartde de pi_ces ou service;
•Genre de prodult
•Num_ro de mod_le
, Num_ro de piece
•Description de la pi_ce
REFRIGERADOR PARA VINOS DELUXE CON 2
COMPART|MIENTOS DE REFRIGERACI6N
INDEPENDIENTES
El nt]mero del modelo de su ratrigerador pare vinos se encuentra
en la place de serte ubicada an el _ngulo posterior superior
tzquterdo del refrigerador,
Todas las piezas de repuesto se encuentran dispentbles pare la
cempra o per pedido especia] cuando Udo vtsfte eu departamento
de serviclo m_s cercano Pare sottcitar serviclo y/o Ja ubfcaci6n
del departamento de servlclo m_s cercano, i'rame el nemero de
marcando gratis que aparace ala Izquierda en et Canad_ yen
los E U
Cuando sol,cite eervicto o encargue repuastos, sLemp_e
proporclone la stguiente tnforma¢iSn:
• Tipo de producto
• N_mero de mode]o
• N_mero del repueslo
• Descripcl6n del repuesto
DanbyProductsUmited,PC Box1778,Ontario,CanadaNtH 6Z9
DanbyProductsInc., PCBox669,Findlay,Ohio,USA 45839-0669
p_ed inG'¢ln_ (PR.C,)