Dell Optiplex E1 Quick Reference Guide Mini Tower And Installation
2014-11-13
: Dell Dell-Optiplex-E1-Quick-Reference-Guide-110958 dell-optiplex-e1-quick-reference-guide-110958 dell pdf
Open the PDF directly: View PDF
.
Page Count: 157 [warning: Documents this large are best viewed by clicking the View PDF Link!]
- Safety Instructions
- Preface
- Contents
- Introduction
- Using the System Setup Program
- Entering the System Setup Program
- System Setup Screen
- Using the System Setup Program
- System Setup Options
- System Time
- System Date
- Diskette Drive A and Diskette Drive B
- Primary Drive n and Secondary Drive n
- Hard-Disk Drive Sequence
- Boot Sequence
- System Memory
- Video Memory
- Reserved Memory
- CPU Speed
- Integrated Devices
- System Security
- Keyboard NumLock
- Report Keyboard Errors
- Auto Power On
- Wakeup On LAN
- Power Management
- Asset Tag
- System Data Options
- Using the System Password Feature
- Using the Setup Password Feature
- Disabling a Forgotten Password
- Responding to Error Messages
- Using the ISA Configuration Utility
- Using Integrated Devices
- Working Inside Your Computer
- Installing System Board Options
- Installing Drives
- Technical Specifications
- ISA Configuration Utility Messages
- Regulatory Notices
- FCC Notices (U.S. Only)
- IC Notice (Canada Only)
- CE Notice (European Union)
- EN 55022 Compliance (Czech Republic Only)
- VCCI Notice (Japan Only)
- Polish Center for Testing and Certification Notice
- Wymagania Polskiego Centrum BadaÒ i Certyfikacji
- Pozosta³e instrukcje bezpieczeÒstwa
- NOM Information (Mexico Only)
- Información para NOM (únicamente para México)
- Warranties and Return Policy
- Index

®
ZZZGHOOFRP
'HOO 2SWL3OH[ (0LQL7RZHU
0DQDJHG3&
5()(5(1&($1'
,167$//$7,21*8,'(

____________________
Information in this document is subject to change without notice.
© 1994–1998 Dell Computer Corporation. All rights reserved.
Reproduction in any manner whatsoever without the written permission of Dell Computer Corporation is strictly forbidden.
Trademarks used in this text:
Dell
,
OptiPlex
,
and the
DELL
logo are registered trademarks,
OpenManage
is a trademark, and
DellWare
is a registered service mark of Dell Computer Corporation;
Intel
and
LANDesk
are registered trademarks and
Celeron
and
MMX
are
trademarks of Intel Corporation;
Microsoft
,
MS-DOS
,
Windows
, and
Windows NT
are registered trademarks and
Windows for Work-
groups
is a trademark of Microsoft Corporation;
IBM
and
OS/2
are registered trademarks of International Business Machines Corpo-
ration;
3Com
,
EtherLink
and
EtherDisk
are registered trademarks of 3Com Corporation;
VESA
is a registered trademark of Video
Electronics Standards Association;
UNIX
is a registered trademark of UNIX System Laboratories, Inc., a wholly owned subsidiary of
Novell, Inc. As an ENERGY STAR Partner, Dell Computer Corporation has determined that this product meets the ENERGY STAR
guidelines for energy efficiency.
Other trademarks and trade names may be used in this document to refer to either the entities claiming the marks and names or their
products. Dell Computer Corporation disclaims any proprietary interest in trademarks and trade names other than its own.
June 1998 P/N 2739C

v
6DIHW\,QVWUXFWLRQV
Use the following safety guidelines to help protect your computer system from poten-
tial damage and to ensure your own personal safety.
:KHQ8VLQJ<RXU&RPSXWHU6\VWHP
As you use your computer system, observe the following safety guidelines.
To help avoid damaging your computer, be sure the voltage selection switch on
the power supply is set to match the AC power available at your location:
— 115 volts (V)/60 hertz (Hz) in most of North and South America and some Far
Eastern countries such as Japan, South Korea, and Taiwan
— 230 V/50 Hz in most of Europe, the Middle East, and the Far East
Also be sure your monitor and attached peripherals are electrically rated to oper-
ate with the AC power available in your location.
Before working inside the computer, unplug the system to help prevent electric
shock or system board damage. Certain system board components continue to
receive power any time the computer is connected to AC power.
To help avoid possible damage to the system board, wait 5 seconds after turning
off the system before disconnecting a device from the computer.
To help prevent electric shock, plug the computer and peripheral power cables
into properly grounded power sources. These cables are equipped with
three-prong plugs to help ensure proper grounding. Do not use adapter plugs or
remove the grounding prong from a cable. If you must use an extension cable,
use a three-wire cable with properly grounded plugs.
To help protect your computer system from sudden, transient increases and
decreases in electrical power, use a surge suppressor, line conditioner, or un-
interruptible power supply (UPS).
Be sure nothing rests on your computer system’s cables and that the cables are
not located where they can be stepped on or tripped over.

vi
Do not spill food or liquids on your computer. If the computer gets wet, consult
your
Diagnostics and Troubleshooting Guide.
Do not push any objects into the openings of your computer. Doing so can cause
fire or electric shock by shorting out interior components.
Keep your computer away from radiators and heat sources. Also, do not block
cooling vents. Avoid placing loose papers underneath your computer; do not
place your computer in a closed-in wall unit or on a bed, sofa, or rug.
(UJRQRPLF&RPSXWLQJ+DELWV
For comfort and efficiency, observe the following ergonomic guidelines when setting
up and using your computer system:
Position your system so that the monitor and keyboard are directly in front of you
as you work. Special shelves are available (from Dell and other sources) to help
you correctly position your keyboard.
Set the monitor at a comfortable viewing distance (usually 510 to 610 millimeters
[20 to 24 inches] from your eyes).
Make sure the monitor screen is at eye level or slightly lower when you are sitting
in front of the monitor.
Adjust the tilt of the monitor, its contrast and brightness settings, and the lighting
around you (such as overhead lights, desk lamps, and the curtains or blinds on
nearby windows) to minimize reflections and glare on the monitor screen.
Use a chair that provides good lower back support.
Keep your forearms horizontal with your wrists in a neutral, comfortable position
while using the keyboard or mouse.
Always leave space to rest your hands while using the keyboard or mouse.
Let your upper arms hang naturally at your sides.
Sit erect, with your feet resting on the floor and your thighs level.
When sitting, make sure the weight of your legs is on your feet and not on the
front of your chair seat. Adjust your chair’s height or use a footrest, if necessary,
to maintain proper posture.
Vary your work activities. Try to organize your work so that you do not have to
type for extended periods of time. When you stop typing, try to do things that
use both hands.

vii
:KHQ:RUNLQJ,QVLGH<RXU&RPSXWHU
Before you remove the computer cover, perform the following steps in the sequence
indicated.
Doing so reduces the potential for personal injury or shock.
While you work, periodically touch an unpainted metal surface on the computer
chassis to dissipate any static electricity that might harm internal components.
monitor screen at or below eye level
wrists relaxed and flat
arms at desk level
monitor and
keyboard
positioned
directly in
front of user
feet flat on
the floor

viii
In addition, take note of these safety guidelines when appropriate:
When you disconnect a cable, pull on its connector or on its strain-relief loop, not
on the cable itself. Some cables have a connector with locking tabs; if you are dis-
connecting this type of cable, press in on the locking tabs before disconnecting
the cable. As you pull connectors apart, keep them evenly aligned to avoid bend-
ing any connector pins. Also, before you connect a cable, make sure both
connectors are correctly oriented and aligned.
Handle components and cards with care. Don’t touch the components or con-
tacts on a card. Hold a card by its edges or by its metal mounting bracket. Hold a
component such as a microprocessor chip by its edges, not by its pins.
3URWHFWLQJ$JDLQVW(OHFWURVWDWLF'LVFKDUJH
Static electricity can harm delicate components inside your computer. To prevent
static damage, discharge static electricity from your body before you touch any of
your computer’s electronic components, such as the microprocessor. You can do so
by touching an unpainted metal surface on the computer chassis.
As you continue to work inside the computer, periodically touch an unpainted metal
surface to remove any static charge your body may have accumulated.
You can also take the following steps to prevent damage from electrostatic discharge
(ESD):
When unpacking a static-sensitive component from its shipping carton, do not
remove the component from the antistatic packing material until you are ready to
install the component in your computer. Just before unwrapping the antistatic
packaging, be sure to discharge static electricity from your body.
When transporting a sensitive component, first place it in an antistatic container
or packaging.
Handle all sensitive components in a static-safe area. If possible, use antistatic
floor pads and workbench pads.
The following caution may appear throughout this document to remind you of these
precautions:

ix
3UHIDFH
$ERXW7KLV*XLGH
This guide is intended for anyone who uses a Dell OptiPlex E1 Mini Tower Managed
PC. It can be used by both first-time and experienced computer users who want to
learn about the features and operation of the systems or who want to upgrade their
computers. The chapters and appendixes are summarized as follows:
Everyone should read Chapter 1, “Introduction,” for an overview of the system
features, instructions on how to access the online
System User’s Guide
, and
information on where to get help if you need it.
Everyone should read the first several sections of Chapter 2, “Using the System
Setup Program,” to become familiar with this important program. Only users
who want to make configuration changes to their system or who want to use the
password features need to read the rest of Chapter 2.
Users who add or remove an Industry-Standard Architecture (ISA) expansion card
should read Chapter 3, “Using the ISA Configuration Utility.”
Users who want to change the default configuration of the system’s integrated
video and audio controllers or who want to connect their system to a network
should read Chapter 4, “Using Integrated Devices.” This chapter describes the
configuration software provided for the integrated video and audio controllers and
provides information on connecting the system to a network, configuring the net-
work interface controller (NIC), and installing drivers for the NIC.
Chapter 5, “Working Inside Your Computer,” Chapter 6, “Installing System Board
Options,” and Chapter 7, “Installing Drives,” are intended for users who want to
install or remove options inside the computer, such as dual in-line memory mod-
ules (DIMMs), additional video memory, expansion cards, or drives.
Appendix A, “Technical Specifications,” is intended primarily as reference mate-
rial for users interested in learning more about the details of the system.
Appendix B, “ISA Configuration Utility Messages,” describes error messages
generated by the ISA Configuration Utility (ICU), possible causes, and corrective
actions.

x
Appendix C, “Regulatory Notices,” is for users who are interested in which regu-
latory agencies have tested and approved the Dell OptiPlex E1 Mini Tower
Managed PC.
Appendix D, “Warranties and Return Policy,” describes the warranty for your Dell
system and the “Total Satisfaction” Return Policy.
:DUUDQW\DQG5HWXUQ3ROLF\,QIRUPDWLRQ
Dell Computer Corporation (“Dell”) manufactures its hardware products from parts
and components that are new or equivalent to new in accordance with industry-
standard practices. For information about the Dell warranty for your system, see
Appendix D, “Warranties and Return Policy.”
2WKHU'RFXPHQWV<RX0D\1HHG
Besides this
Reference and Installation Guide
, the following documentation is
included with your system:
The
Getting Started
sheet provides step-by-step instructions for setting up your
computer system.
The Windows-based online
System User’s Guide
contains important information
about your computer system. This document includes descriptions of system
features, instructions on installing and configuring drivers and utilities, informa-
tion on the System Setup program and ISA Configuration Utility, and instructions
for attaching devices to the connectors on your computer’s back panel.
The
Diagnostics and Troubleshooting Guide
includes troubleshooting procedures
and instructions for using the Dell Diagnostics to test your computer system.
You may also have one or more of the following documents.
NOTE: Documentation updates are sometimes included with your system to describe
changes to your system or software. Always read these updates before consulting
any other documentation because the updates often contain the latest information.
Operating system documentation is included if you ordered your operating sys-
tem software from Dell. This documentation describes how to install (if
necessary), configure, and use your operating system software.
Documentation is included with any options you purchase separately from your
system. This documentation includes information that you need to configure and
install these options in your Dell computer. Installation instructions for the
options are included in this
Reference and Installation Guide
.
Technical information files—sometimes called “readme” files—may be installed
on your hard-disk drive to provide last-minute updates about technical changes to
your system or advanced technical reference material intended for experienced
users or technicians.

xi
1RWDWLRQDO&RQYHQWLRQV
The following subsections describe notational conventions used in this document.
:DUQLQJV&DXWLRQV1RWHV
Throughout this guide, there may be blocks of text printed in bold type or in italic type.
These blocks are warnings, cautions, and notes, and they are used as follows:
NOTE: A NOTE indicates important information that helps you make better use of
your computer system.
7\SRJUDSKLFDO&RQYHQWLRQV
The following list defines (where appropriate) and illustrates typographical conven-
tions used as visual cues for specific elements of text throughout this document:
Keycaps
, the labeling that appears on the keys on a keyboard, are enclosed in
angle brackets.
Example: <Enter>
Key combinations
are series of keys to be pressed simultaneously (unless other-
wise indicated) to perform a single function.
Example: <Ctrl><Alt><Enter>
Commands
presented in lowercase bold are for reference purposes only and are
not intended to be typed when referenced.
Example: “Use the format command to . . . .”
In contrast, commands presented in the Courier New font are part of an instruc-
tion and intended to be typed.
Example: “Type format a: to format the diskette in drive A.”
Filenames
and
directory names
are presented in lowercase bold.
Examples: autoexec.bat and c:\windows
Syntax lines
consist of a command and all its possible parameters. Commands
are displayed in lowercase bold; variable parameters (those for which you sub-
stitute a value) are displayed in lowercase italics; constant parameters are
displayed in lowercase bold. The brackets indicate items that are optional.
Example: del [
drive
:] [
path
]
filename
[/p]

xii
Command lines
consist of a command and may include one or more of the com-
mand’s possible parameters. Command lines are presented in the Courier New
font.
Example: del c:\myfile.doc
Screen text
is text that appears on the screen of your monitor or display. It can be
a system message, for example, or it can be text that you are instructed to type
as part of a command (referred to as a
command line
). Screen text is presented
in the Courier New font.
Example: The following message appears on your screen:
No boot device available
Example: “Type md c:\programs and press <Enter>.”
Variables
are placeholders for which you substitute a value. They are presented in
italics.
Example: DIMM
_x
(where
x
represents the DIMM socket designation).

xiii
&RQWHQWV
&KDSWHU ,QWURGXFWLRQ
System Features . . . . . . . . . . . . . . . . . . . . . . . . . . . . . . . . . . . . . . . . . . . . . . . . . . . 1-1
Hardware Features. . . . . . . . . . . . . . . . . . . . . . . . . . . . . . . . . . . . . . . . . . . . . . 1-2
Software Features . . . . . . . . . . . . . . . . . . . . . . . . . . . . . . . . . . . . . . . . . . . . . . 1-4
Manageability Features . . . . . . . . . . . . . . . . . . . . . . . . . . . . . . . . . . . . . . . . . . 1-5
Dell OpenManage Program. . . . . . . . . . . . . . . . . . . . . . . . . . . . . . . . . . . . 1-5
PXE . . . . . . . . . . . . . . . . . . . . . . . . . . . . . . . . . . . . . . . . . . . . . . . . . . . . . . 1-7
Wakeup On LAN. . . . . . . . . . . . . . . . . . . . . . . . . . . . . . . . . . . . . . . . . . . . 1-8
Auto Power On . . . . . . . . . . . . . . . . . . . . . . . . . . . . . . . . . . . . . . . . . . . . . 1-8
Security Features . . . . . . . . . . . . . . . . . . . . . . . . . . . . . . . . . . . . . . . . . . . 1-8
Using the Power Switch . . . . . . . . . . . . . . . . . . . . . . . . . . . . . . . . . . . . . . . . . . . . . 1-9
ENERGY STAR Compliance. . . . . . . . . . . . . . . . . . . . . . . . . . . . . . . . . . . . . . . . . . . 1-9
Important Note for Windows 95 Users. . . . . . . . . . . . . . . . . . . . . . . . . . . . . . . . . 1-10
Intel PIIX4e INF Update Installer for Windows 95 . . . . . . . . . . . . . . . . . . . . . . . . 1-11
Accessing Online Documentation. . . . . . . . . . . . . . . . . . . . . . . . . . . . . . . . . . . . . 1-12
Getting Help . . . . . . . . . . . . . . . . . . . . . . . . . . . . . . . . . . . . . . . . . . . . . . . . . . . . . 1-12
&KDSWHU 8VLQJWKH6\VWHP6HWXS3URJUDP
Entering the System Setup Program. . . . . . . . . . . . . . . . . . . . . . . . . . . . . . . . . . . . 2-1
System Setup Screen . . . . . . . . . . . . . . . . . . . . . . . . . . . . . . . . . . . . . . . . . . . . . . . 2-2
Using the System Setup Program. . . . . . . . . . . . . . . . . . . . . . . . . . . . . . . . . . . . . . 2-2
System Setup Options . . . . . . . . . . . . . . . . . . . . . . . . . . . . . . . . . . . . . . . . . . . . . . 2-5
System Time . . . . . . . . . . . . . . . . . . . . . . . . . . . . . . . . . . . . . . . . . . . . . . . . . . 2-5
System Date . . . . . . . . . . . . . . . . . . . . . . . . . . . . . . . . . . . . . . . . . . . . . . . . . . 2-5
Diskette Drive A and Diskette Drive B . . . . . . . . . . . . . . . . . . . . . . . . . . . . . . . 2-5
Primary Drive
n
and Secondary Drive
n
. . . . . . . . . . . . . . . . . . . . . . . . . . . . . . 2-6
EIDE Devices . . . . . . . . . . . . . . . . . . . . . . . . . . . . . . . . . . . . . . . . . . . . . . 2-6
If You Have a Problem . . . . . . . . . . . . . . . . . . . . . . . . . . . . . . . . . . . . . . . 2-6

xiv
Hard-Disk Drive Sequence. . . . . . . . . . . . . . . . . . . . . . . . . . . . . . . . . . . . . . . . 2-7
Boot Sequence . . . . . . . . . . . . . . . . . . . . . . . . . . . . . . . . . . . . . . . . . . . . . . . . 2-7
Diskette Drive A:. . . . . . . . . . . . . . . . . . . . . . . . . . . . . . . . . . . . . . . . . . . . 2-8
Hard-Disk Drive . . . . . . . . . . . . . . . . . . . . . . . . . . . . . . . . . . . . . . . . . . . . 2-8
IDE CD-ROM Reader . . . . . . . . . . . . . . . . . . . . . . . . . . . . . . . . . . . . . . . . 2-8
PXE. . . . . . . . . . . . . . . . . . . . . . . . . . . . . . . . . . . . . . . . . . . . . . . . . . . . . . 2-8
System Memory . . . . . . . . . . . . . . . . . . . . . . . . . . . . . . . . . . . . . . . . . . . . . . . 2-8
Video Memory . . . . . . . . . . . . . . . . . . . . . . . . . . . . . . . . . . . . . . . . . . . . . . . . . 2-8
Reserved Memory . . . . . . . . . . . . . . . . . . . . . . . . . . . . . . . . . . . . . . . . . . . . . 2-8
CPU Speed. . . . . . . . . . . . . . . . . . . . . . . . . . . . . . . . . . . . . . . . . . . . . . . . . . . . 2-9
Integrated Devices. . . . . . . . . . . . . . . . . . . . . . . . . . . . . . . . . . . . . . . . . . . . . . 2-9
Sound . . . . . . . . . . . . . . . . . . . . . . . . . . . . . . . . . . . . . . . . . . . . . . . . . . . . 2-9
Network Interface Controller . . . . . . . . . . . . . . . . . . . . . . . . . . . . . . . . . . 2-9
Mouse Port. . . . . . . . . . . . . . . . . . . . . . . . . . . . . . . . . . . . . . . . . . . . . . . . 2-9
Serial Port 1 and Serial Port 2. . . . . . . . . . . . . . . . . . . . . . . . . . . . . . . . . 2-10
Parallel Port . . . . . . . . . . . . . . . . . . . . . . . . . . . . . . . . . . . . . . . . . . . . . 2-10
Parallel Port Mode . . . . . . . . . . . . . . . . . . . . . . . . . . . . . . . . . . . . . . . . . 2-10
IDE Drive Interface . . . . . . . . . . . . . . . . . . . . . . . . . . . . . . . . . . . . . . . . . 2-10
Diskette Interface . . . . . . . . . . . . . . . . . . . . . . . . . . . . . . . . . . . . . . . . . 2-11
PC Speaker. . . . . . . . . . . . . . . . . . . . . . . . . . . . . . . . . . . . . . . . . . . . . . . 2-11
Video DAC Snoop. . . . . . . . . . . . . . . . . . . . . . . . . . . . . . . . . . . . . . . . . . 2-11
System Security. . . . . . . . . . . . . . . . . . . . . . . . . . . . . . . . . . . . . . . . . . . . . . . 2-11
Password Status. . . . . . . . . . . . . . . . . . . . . . . . . . . . . . . . . . . . . . . . . . . 2-11
System Password. . . . . . . . . . . . . . . . . . . . . . . . . . . . . . . . . . . . . . . . . . 2-12
Setup Password . . . . . . . . . . . . . . . . . . . . . . . . . . . . . . . . . . . . . . . . . . 2-12
Chassis Intrusion . . . . . . . . . . . . . . . . . . . . . . . . . . . . . . . . . . . . . . . . . . 2-12
Keyboard NumLock . . . . . . . . . . . . . . . . . . . . . . . . . . . . . . . . . . . . . . . . . . . . 2-13
Report Keyboard Errors . . . . . . . . . . . . . . . . . . . . . . . . . . . . . . . . . . . . . . . . . 2-13
Auto Power On . . . . . . . . . . . . . . . . . . . . . . . . . . . . . . . . . . . . . . . . . . . . . . . 2-13
Wakeup On LAN . . . . . . . . . . . . . . . . . . . . . . . . . . . . . . . . . . . . . . . . . . . . . . 2-13
Power Management . . . . . . . . . . . . . . . . . . . . . . . . . . . . . . . . . . . . . . . . . . 2-14
Saving Monitor Power . . . . . . . . . . . . . . . . . . . . . . . . . . . . . . . . . . . . . . 2-14
Saving EIDE Hard-Disk Drive Power. . . . . . . . . . . . . . . . . . . . . . . . . . . . 2-14
Asset Tag. . . . . . . . . . . . . . . . . . . . . . . . . . . . . . . . . . . . . . . . . . . . . . . . . . . . 2-15
System Data Options. . . . . . . . . . . . . . . . . . . . . . . . . . . . . . . . . . . . . . . . . . . 2-15
Using the System Password Feature . . . . . . . . . . . . . . . . . . . . . . . . . . . . . . . . . . 2-16
Assigning a System Password. . . . . . . . . . . . . . . . . . . . . . . . . . . . . . . . . . . . 2-16
Using Your System Password to Secure Your System . . . . . . . . . . . . . . . . . 2-17
Deleting or Changing an Existing System Password . . . . . . . . . . . . . . . . . . 2-18
Using the Setup Password Feature . . . . . . . . . . . . . . . . . . . . . . . . . . . . . . . . . . . 2-19
Assigning a Setup Password . . . . . . . . . . . . . . . . . . . . . . . . . . . . . . . . . . . . 2-19
Operating With a Setup Password Enabled. . . . . . . . . . . . . . . . . . . . . . . . . . 2-20
Deleting or Changing an Existing Setup Password . . . . . . . . . . . . . . . . . . . . 2-20

xv
Disabling a Forgotten Password . . . . . . . . . . . . . . . . . . . . . . . . . . . . . . . . . . . . . . 2-21
Responding to Error Messages. . . . . . . . . . . . . . . . . . . . . . . . . . . . . . . . . . . . . . . 2-22
&KDSWHU 8VLQJWKH,6$&RQILJXUDWLRQ8WLOLW\
Quick Start. . . . . . . . . . . . . . . . . . . . . . . . . . . . . . . . . . . . . . . . . . . . . . . . . . . . . . . . 3-2
About the ICU . . . . . . . . . . . . . . . . . . . . . . . . . . . . . . . . . . . . . . . . . . . . . . . . . . . . . 3-3
ICU Database . . . . . . . . . . . . . . . . . . . . . . . . . . . . . . . . . . . . . . . . . . . . . . . . . . 3-3
When to Run the ICU . . . . . . . . . . . . . . . . . . . . . . . . . . . . . . . . . . . . . . . . . . . . . . . 3-3
Preparing to Use the ICU. . . . . . . . . . . . . . . . . . . . . . . . . . . . . . . . . . . . . . . . . . . . . 3-4
Backing Up the ICU Diskette . . . . . . . . . . . . . . . . . . . . . . . . . . . . . . . . . . . . . . 3-4
Starting the ICU. . . . . . . . . . . . . . . . . . . . . . . . . . . . . . . . . . . . . . . . . . . . . . . . . . . . 3-5
Accessing Help. . . . . . . . . . . . . . . . . . . . . . . . . . . . . . . . . . . . . . . . . . . . . . . . . 3-5
Making Selections in the ICU. . . . . . . . . . . . . . . . . . . . . . . . . . . . . . . . . . . . . . 3-5
Adding a Listed Card . . . . . . . . . . . . . . . . . . . . . . . . . . . . . . . . . . . . . . . . . . . . . . . . 3-6
Adding an Unlisted Card . . . . . . . . . . . . . . . . . . . . . . . . . . . . . . . . . . . . . . . . . . . . . 3-9
Modifying a Card . . . . . . . . . . . . . . . . . . . . . . . . . . . . . . . . . . . . . . . . . . . . . . . . . . 3-11
Removing a Card . . . . . . . . . . . . . . . . . . . . . . . . . . . . . . . . . . . . . . . . . . . . . . . . . 3-13
Viewing Resources . . . . . . . . . . . . . . . . . . . . . . . . . . . . . . . . . . . . . . . . . . . . . . . . 3-14
Saving the System Configuration . . . . . . . . . . . . . . . . . . . . . . . . . . . . . . . . . . . . . 3-15
Exiting From the ICU. . . . . . . . . . . . . . . . . . . . . . . . . . . . . . . . . . . . . . . . . . . . . . . 3-15
Locking and Unlocking Cards . . . . . . . . . . . . . . . . . . . . . . . . . . . . . . . . . . . . . . . . 3-15
Locking and Unlocking All Resources . . . . . . . . . . . . . . . . . . . . . . . . . . . . . . 3-15
Locking and Unlocking Configuration Resources. . . . . . . . . . . . . . . . . . . . . . 3-16
&KDSWHU 8VLQJ,QWHJUDWHG'HYLFHV
Video Controller. . . . . . . . . . . . . . . . . . . . . . . . . . . . . . . . . . . . . . . . . . . . . . . . . . . . 4-1
Audio Controller. . . . . . . . . . . . . . . . . . . . . . . . . . . . . . . . . . . . . . . . . . . . . . . . . . . . 4-1
NIC. . . . . . . . . . . . . . . . . . . . . . . . . . . . . . . . . . . . . . . . . . . . . . . . . . . . . . . . . . . . . . 4-2
Network Cable Requirements . . . . . . . . . . . . . . . . . . . . . . . . . . . . . . . . . . . . . 4-2
Configuring the NIC . . . . . . . . . . . . . . . . . . . . . . . . . . . . . . . . . . . . . . . . . . . . . 4-3
Windows NT 4.0 NIC . . . . . . . . . . . . . . . . . . . . . . . . . . . . . . . . . . . . . . . . 4-3
Windows NT 3.5
x
NIC. . . . . . . . . . . . . . . . . . . . . . . . . . . . . . . . . . . . . . . . 4-5
Windows 95 NIC. . . . . . . . . . . . . . . . . . . . . . . . . . . . . . . . . . . . . . . . . . . . 4-6
Windows for Workgroups NIC . . . . . . . . . . . . . . . . . . . . . . . . . . . . . . . . . 4-7
MS-DOS NIC. . . . . . . . . . . . . . . . . . . . . . . . . . . . . . . . . . . . . . . . . . . . . . . 4-8
Setting the Network Frame Type . . . . . . . . . . . . . . . . . . . . . . . . . . . . . . . 4-9
&KDSWHU :RUNLQJ,QVLGH<RXU&RPSXWHU
Before You Begin . . . . . . . . . . . . . . . . . . . . . . . . . . . . . . . . . . . . . . . . . . . . . . . . . . 5-1
Safety First—For You and Your Computer. . . . . . . . . . . . . . . . . . . . . . . . . . . . 5-1
Unpacking Your Hardware Option . . . . . . . . . . . . . . . . . . . . . . . . . . . . . . . . . . 5-2
Removing the Computer Cover. . . . . . . . . . . . . . . . . . . . . . . . . . . . . . . . . . . . . . . . 5-2

xvi
Replacing the Computer Cover. . . . . . . . . . . . . . . . . . . . . . . . . . . . . . . . . . . . . . . . 5-3
Inside Your Computer. . . . . . . . . . . . . . . . . . . . . . . . . . . . . . . . . . . . . . . . . . . . . . . 5-4
Jumpers. . . . . . . . . . . . . . . . . . . . . . . . . . . . . . . . . . . . . . . . . . . . . . . . . . . . . . 5-5
Switches . . . . . . . . . . . . . . . . . . . . . . . . . . . . . . . . . . . . . . . . . . . . . . . . . . . . . 5-6
System Board and Riser Board Labels. . . . . . . . . . . . . . . . . . . . . . . . . . . . . . . 5-9
Removing and Replacing the Expansion-Card Cage . . . . . . . . . . . . . . . . . . . . . . . 5-11
Removing the Expansion-Card Cage . . . . . . . . . . . . . . . . . . . . . . . . . . . . . . . 5-11
Replacing the Expansion-Card Cage . . . . . . . . . . . . . . . . . . . . . . . . . . . . . . . 5-12
Rotating the Power Supply Away From the System Board . . . . . . . . . . . . . . . . . 5-13
&KDSWHU ,QVWDOOLQJ6\VWHP%RDUG2SWLRQV
Expansion Cards . . . . . . . . . . . . . . . . . . . . . . . . . . . . . . . . . . . . . . . . . . . . . . . . . . . 6-2
Expansion Slots . . . . . . . . . . . . . . . . . . . . . . . . . . . . . . . . . . . . . . . . . . . . . . . . 6-2
Installing an Expansion Card . . . . . . . . . . . . . . . . . . . . . . . . . . . . . . . . . . . . . . 6-3
Removing an Expansion Card . . . . . . . . . . . . . . . . . . . . . . . . . . . . . . . . . . . . . 6-5
Adding Memory . . . . . . . . . . . . . . . . . . . . . . . . . . . . . . . . . . . . . . . . . . . . . . . . . . . 6-6
Performing a Memory Upgrade. . . . . . . . . . . . . . . . . . . . . . . . . . . . . . . . . . . . 6-7
Installing a DIMM . . . . . . . . . . . . . . . . . . . . . . . . . . . . . . . . . . . . . . . . . . . 6-9
Removing a DIMM . . . . . . . . . . . . . . . . . . . . . . . . . . . . . . . . . . . . . . . . . 6-10
Adding Video Memory . . . . . . . . . . . . . . . . . . . . . . . . . . . . . . . . . . . . . . . . . . . . . 6-10
Replacing the System Battery. . . . . . . . . . . . . . . . . . . . . . . . . . . . . . . . . . . . . . . . 6-12
&KDSWHU ,QVWDOOLQJ'ULYHV
Removing and Replacing the Front Bezel . . . . . . . . . . . . . . . . . . . . . . . . . . . . . . . 7-2
Removing and Replacing Front-Panel Inserts . . . . . . . . . . . . . . . . . . . . . . . . . . . . 7-2
Connecting Drives. . . . . . . . . . . . . . . . . . . . . . . . . . . . . . . . . . . . . . . . . . . . . . . . . . 7-4
Installing a Drive in a 5.25-Inch Drive Bay . . . . . . . . . . . . . . . . . . . . . . . . . . . . . . . 7-5
Installing an EIDE Hard-Disk Drive . . . . . . . . . . . . . . . . . . . . . . . . . . . . . . . . . . . . . 7-9
EIDE Drive Addressing. . . . . . . . . . . . . . . . . . . . . . . . . . . . . . . . . . . . . . . . . . 7-10
Installing an EIDE Hard-Disk Drive in the Hard-Disk Drive Bracket. . . . . 7-10
Partitioning and Logically Formatting Your EIDE Hard-Disk Drive . . . . . . . . . 7-14
$SSHQGL[$ 7HFKQLFDO6SHFLILFDWLRQV $
$SSHQGL[% ,6$&RQILJXUDWLRQ8WLOLW\
0HVVDJHV %
ICU Error Messages . . . . . . . . . . . . . . . . . . . . . . . . . . . . . . . . . . . . . . . . . . . . . . . B-1
Configuration Manager Messages . . . . . . . . . . . . . . . . . . . . . . . . . . . . . . . . . . . . . B-6

xvii
$SSHQGL[& 5HJXODWRU\1RWLFHV &
FCC Notices (U.S. Only) . . . . . . . . . . . . . . . . . . . . . . . . . . . . . . . . . . . . . . . . . . . . . C-2
Class A. . . . . . . . . . . . . . . . . . . . . . . . . . . . . . . . . . . . . . . . . . . . . . . . . . . . . . . C-2
Class B. . . . . . . . . . . . . . . . . . . . . . . . . . . . . . . . . . . . . . . . . . . . . . . . . . . . . . . C-3
IC Notice (Canada Only). . . . . . . . . . . . . . . . . . . . . . . . . . . . . . . . . . . . . . . . . . . . . . C-3
CE Notice (European Union) . . . . . . . . . . . . . . . . . . . . . . . . . . . . . . . . . . . . . . . . . . C-4
EN 55022 Compliance (Czech Republic Only). . . . . . . . . . . . . . . . . . . . . . . . . . . . . C-5
VCCI Notice (Japan Only) . . . . . . . . . . . . . . . . . . . . . . . . . . . . . . . . . . . . . . . . . . . . C-5
Class A ITE. . . . . . . . . . . . . . . . . . . . . . . . . . . . . . . . . . . . . . . . . . . . . . . . . . . . C-5
Class B ITE. . . . . . . . . . . . . . . . . . . . . . . . . . . . . . . . . . . . . . . . . . . . . . . . . . . . C-6
Polish Center for Testing and Certification Notice. . . . . . . . . . . . . . . . . . . . . . . . . . C-6
. . . . . . . . . . . . . . . . . . . . . . . C-7
. . . . . . . . . . . . . . . . . . . . . . . . . . . . . . . . . . . C-7
NOM Information (Mexico Only). . . . . . . . . . . . . . . . . . . . . . . . . . . . . . . . . . . . . . . C-8
Información para NOM (únicamente para México) . . . . . . . . . . . . . . . . . . . . . . . . . C-9
$SSHQGL[' :DUUDQWLHVDQG5HWXUQ3ROLF\ '
Limited Three-Year Warranty (U.S. and Canada Only). . . . . . . . . . . . . . . . . . . . . . . D-1
Coverage During Year One. . . . . . . . . . . . . . . . . . . . . . . . . . . . . . . . . . . . . . . . D-1
Coverage During Years Two and Three . . . . . . . . . . . . . . . . . . . . . . . . . . . . . .D-2
General. . . . . . . . . . . . . . . . . . . . . . . . . . . . . . . . . . . . . . . . . . . . . . . . . . . . . . . D-2
“Total Satisfaction” Return Policy (U.S. and Canada Only). . . . . . . . . . . . . . . . . . . D-3
,QGH[
)LJXUHV Figure 1-1. Dell OpenManage Program . . . . . . . . . . . . . . . . . . . . . . . . . . . . . . . . 1-6
Figure 1-2. Security Cable Slot and Padlock Ring . . . . . . . . . . . . . . . . . . . . . . . . 1-9
Figure 1-3. ENERGY STAR Emblem . . . . . . . . . . . . . . . . . . . . . . . . . . . . . . . . . 1-10
Figure 2-1. System Setup Screen . . . . . . . . . . . . . . . . . . . . . . . . . . . . . . . . . . . . 2-4
Figure 3-1. ICU Window. . . . . . . . . . . . . . . . . . . . . . . . . . . . . . . . . . . . . . . . . . . . 3-5
Figure 3-2. Add Network Card Dialog Box. . . . . . . . . . . . . . . . . . . . . . . . . . . . . . 3-6
Figure 3-3. Card Configuration Dialog Box. . . . . . . . . . . . . . . . . . . . . . . . . . . . . . 3-7
Figure 3-4. Configuration Settings Dialog Box for Assigning an IRQ Line . . . . . . 3-8
Figure 3-5. Available Settings List Box. . . . . . . . . . . . . . . . . . . . . . . . . . . . . . . . . 3-8
Figure 3-6. Configuration Settings Dialog Box for Assigning a DMA Channel. . . 3-9
Figure 3-7. Specify Interrupt Dialog Box . . . . . . . . . . . . . . . . . . . . . . . . . . . . . . 3-10
Figure 3-8. Specify Interrupt List Box . . . . . . . . . . . . . . . . . . . . . . . . . . . . . . . . 3-10
Figure 3-9. Specify I/O Port Dialog Box . . . . . . . . . . . . . . . . . . . . . . . . . . . . . . . 3-11
Figure 3-10. System Resource Usage Dialog Box. . . . . . . . . . . . . . . . . . . . . . . . 3-14
Figure 3-11. Card Resource Usage Dialog Box . . . . . . . . . . . . . . . . . . . . . . . . . . 3-14
Figure 4-1. I/O Ports and Connectors. . . . . . . . . . . . . . . . . . . . . . . . . . . . . . . . . . 4-2
Figure 5-1. Padlock Installed . . . . . . . . . . . . . . . . . . . . . . . . . . . . . . . . . . . . . . . . 5-2

xviii
Figure 5-2. Removing the Computer Cover. . . . . . . . . . . . . . . . . . . . . . . . . . . . . 5-3
Figure 5-3. Replacing the Computer Cover . . . . . . . . . . . . . . . . . . . . . . . . . . . . . 5-4
Figure 5-4. Computer Orientation View. . . . . . . . . . . . . . . . . . . . . . . . . . . . . . . . 5-5
Figure 5-5. Inside the Chassis . . . . . . . . . . . . . . . . . . . . . . . . . . . . . . . . . . . . . . . 5-7
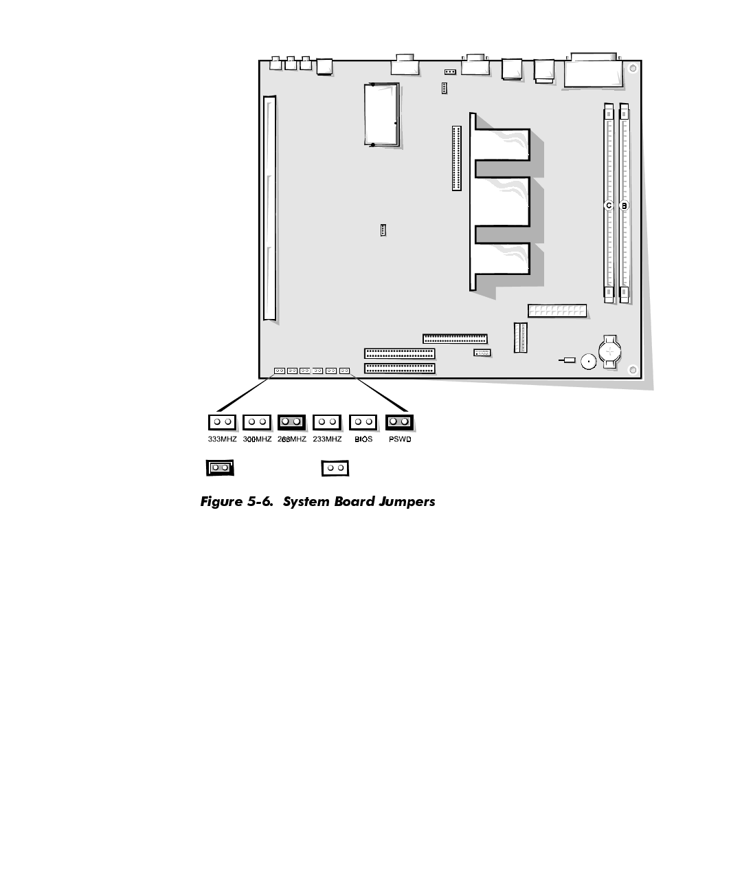
Figure 5-6. System Board Jumpers. . . . . . . . . . . . . . . . . . . . . . . . . . . . . . . . . . . 5-8
Figure 5-7. Removing the Expansion-Card Cage. . . . . . . . . . . . . . . . . . . . . . . . 5-12
Figure 5-8. Rotating the Power Supply. . . . . . . . . . . . . . . . . . . . . . . . . . . . . . . 5-13
Figure 6-1. System Board Features. . . . . . . . . . . . . . . . . . . . . . . . . . . . . . . . . . . 6-1
Figure 6-2. Expansion Cards . . . . . . . . . . . . . . . . . . . . . . . . . . . . . . . . . . . . . . . . 6-2
Figure 6-3. Riser-Board Expansion-Card Connectors . . . . . . . . . . . . . . . . . . . . 6-3
Figure 6-4. Removing the Filler Bracket . . . . . . . . . . . . . . . . . . . . . . . . . . . . . . . 6-4
Figure 6-5. Installing an Expansion Card . . . . . . . . . . . . . . . . . . . . . . . . . . . . . . . 6-4
Figure 6-6. DIMMs and DIMM Sockets . . . . . . . . . . . . . . . . . . . . . . . . . . . . . . . 6-6
Figure 6-7. Installing a DIMM . . . . . . . . . . . . . . . . . . . . . . . . . . . . . . . . . . . . . . . 6-9
Figure 6-8. Removing a DIMM . . . . . . . . . . . . . . . . . . . . . . . . . . . . . . . . . . . . . 6-10
Figure 6-9. Installing a Video-Memory Upgrade Module. . . . . . . . . . . . . . . . . . 6-11
Figure 6-10. System Battery and Battery Socket . . . . . . . . . . . . . . . . . . . . . . . . 6-13
Figure 7-1. Drive Locations . . . . . . . . . . . . . . . . . . . . . . . . . . . . . . . . . . . . . . . . . 7-1
Figure 7-2. Removing the Front Bezel. . . . . . . . . . . . . . . . . . . . . . . . . . . . . . . . . 7-2
Figure 7-3. Removing the Front-Panel Insert for a 5.25-Inch Bay . . . . . . . . . . . . 7-3
Figure 7-4. DC Power Cable Connector. . . . . . . . . . . . . . . . . . . . . . . . . . . . . . . . 7-4
Figure 7-5. Drive Interface Connectors . . . . . . . . . . . . . . . . . . . . . . . . . . . . . . . . 7-4
Figure 7-6. Removing a Drive . . . . . . . . . . . . . . . . . . . . . . . . . . . . . . . . . . . . . . . 7-6
Figure 7-7. Attaching the Drive Bracket to the New Drive . . . . . . . . . . . . . . . . . 7-7
Figure 7-8. Inserting the New Drive Into the Drive Bay. . . . . . . . . . . . . . . . . . . . 7-7
Figure 7-9. Attaching Diskette Drive or Tape Drive Cables . . . . . . . . . . . . . . . . . 7-8
Figure 7-10. Removing the Hard-Disk Drive Bracket. . . . . . . . . . . . . . . . . . . . . . 7-11
Figure 7-11. Inserting a 1.6-Inch Hard-Disk Drive Into the Bracket . . . . . . . . . . . 7-12
Figure 7-12. Replacing the Hard-Disk Drive Bracket . . . . . . . . . . . . . . . . . . . . . . 7-12
Figure 7-13. Attaching Hard-Disk Drive Cables . . . . . . . . . . . . . . . . . . . . . . . . . . 7-13
Figure C-1. VCCI Class A ITE Regulatory Mark . . . . . . . . . . . . . . . . . . . . . . . . . . C-5
Figure C-2. VCCI Class B ITE Regulatory Mark . . . . . . . . . . . . . . . . . . . . . . . . . . C-6
7DEOHV Table 1-1. Video Memory Requirements . . . . . . . . . . . . . . . . . . . . . . . . . . . . . . 1-3
Table 2-1. System-Setup Navigation Keys . . . . . . . . . . . . . . . . . . . . . . . . . . . . 2-3
Table 2-2. Power Time-Out Periods . . . . . . . . . . . . . . . . . . . . . . . . . . . . . . . . . 2-15
Table 3-1. ICU Keys . . . . . . . . . . . . . . . . . . . . . . . . . . . . . . . . . . . . . . . . . . . . . . 3-6
Table 5-1. System-Board Jumper Settings. . . . . . . . . . . . . . . . . . . . . . . . . . . . . 5-9
Table 5-2. System Board and Riser Board Connectors and Sockets . . . . . . . . 5-10
Table 6-1. Sample DIMM Configuration Options . . . . . . . . . . . . . . . . . . . . . . . . 6-7
Table A-1. Technical Specifications . . . . . . . . . . . . . . . . . . . . . . . . . . . . . . . . . . A-1
Table B-1. Configuration Utility Messages . . . . . . . . . . . . . . . . . . . . . . . . . . . . . B-1
Table B-2. Configuration Manager Messages . . . . . . . . . . . . . . . . . . . . . . . . . . B-6

Introduction 1-1
&+$37(5
,QWURGXFWLRQ
The Dell®
OptiPlex® E1 Mini Tower Managed PC is an expandable personal computer
designed around the Intel® Celeron™ microprocessor. The computer system uses a
high-performance Peripheral Component Interconnect (PCI) design that allows you to
configure the computer system to your initial requirements and then add Dell-
supported upgrades as necessary. These systems also support the Industry-Standard
Architecture (ISA) bus for older expansion devices.
This chapter describes the major hardware and software features of your system, pro-
vides information about accessing the online documentation, and tells you where to
find help if you need it.
6\VWHP)HDWXUHV
Your system offers the following features:
An Intel Celeron microprocessor that runs at an internal speed of 266 or
300 megahertz (MHz) and an external bus speed of 66 MHz.
The Intel Celeron microprocessor includes MMX™ technology designed to handle
complex multimedia and communications software. This microprocessor incorpo-
rates new instructions and data types as well as a technique called single
instruction, multiple data (SIMD) that allows the microprocessor to process
multiple data elements in parallel, thereby improving overall system performance.
The Celeron microprocessor has a 16-kilobyte (KB) internal data cache and a
16-KB internal instruction cache, an internal math coprocessor, and other
advanced internal logic.
A keyboard command (<Ctrl><Alt><\>) that lets you switch between the micro-
processor’s rated speed and a slower compatibility speed.
NOTE: This keyboard command is not available under the Microsoft
®
Windows NT
®
and IBM
®
OS/2
®
operating systems.
System memory that can be increased up to 256 megabytes (MB) by installing
16-, 32-, 64-, or 128-MB nonparity synchronous dynamic random-access memory
(SDRAM) dual in-line memory modules (DIMMs) in the two DIMM sockets on
the system board. See “Adding Memory” in Chapter 6 for details.

1-2 Dell OptiPlex E1 Mini Tower Managed PC Reference and Installation Guide
Self-Monitoring and Analysis Reporting Technology II (SMART II) support, which
warns you at system start-up if your hard-disk drive has become unreliable. To
take advantage of this technology, you must have a SMART II-compliant hard-disk
drive in your computer. All hard-disk drives shipped with the OptiPlex E1 system
are SMART II-compliant.
A basic input/output system (BIOS), which resides in flash memory and can be
upgraded by diskette, or remotely over a network, if required.
Full compliance with PCI Specification 2.1.
Full Plug and Play version 1.0a capability, which greatly simplifies the installation
of expansion cards. Plug and Play support included in the system BIOS allows
you to install Plug and Play expansion cards without setting jumpers or switches
or performing other configuration tasks. The ISA Configuration Utility (ICU) allows
you to configure existing non-Plug and Play ISA expansion cards for conflict-free
operation. Also, because the system BIOS is stored in flash memory, it can be
updated to support future enhancements to the Plug and Play standard.
Wakeup On LAN capability, which, when enabled in the System Setup program,
allows the system to be powered up from a server management console.
Wakeup On LAN capability also allows remote computer setup, software down-
loading and installation, file updates, and asset tracking after hours and on
weekends when network traffic is at a minimum. For more information, refer to
Chapter 2, “Using the System Setup Program.”
Universal Serial Bus (USB) capability, which can simplify connecting peripheral
devices such as mice, printers, and computer speakers. The USB connectors on
your computer’s back panel, which are enabled by default, provide a single
connection point for multiple USB-compliant devices. USB-compliant devices can
also be connected and disconnected while the system is running.
A modular computer chassis with a minimum number of screws for easy dis-
assembly and improved serviceability.
+DUGZDUH)HDWXUHV
The system board includes the following features:
Four expansion slots on a riser board: two 32-bit PCI expansion slots, and two
16-bit ISA expansion slots.
A 64-bit baseline accelerated graphics port (AGP) video subsystem, which includes
the ATI Rage II C super video graphics array (SVGA) video controller. This video
subsystem contains 2 MB (upgradable to 4 MB) of synchronous graphics random-
access memory (SGRAM) video memory. Maximum resolutions are 1600 x 1200
with 256 colors noninterlaced and 1280 x 1024 with 65,536 colors noninterlaced.
In 1024 x 768, 800 x 600, and 640 x 480 resolutions, 16.7 million colors are avail-
able for true-color graphics using a 32-bits per pixel (bpp) format. True-color
provides higher performance, but it uses more graphics memory. Table 1-1 dis-
plays the video memory requirements for the Microsoft Windows® 95 and
Windows NT 4.0 operating systems.
NOTE: These resolutions and refresh rates may not be available on all monitors.

Introduction 1-3
AGP provides a dedicated bus from the video subsystem to the system chip set.
AGP-based video subsystems have two significant performance advantages over
PCI-based video subsystems:
— The AGP bus reduces bandwidth requirements of the PCI bus, improving
overall system performance.
— The AGP bus allows a video subsystem to execute directly from main
memory.
A diskette/tape drive interface, which supports a 3.5-inch diskette drive and,
optionally, a second diskette drive or tape drive.
Enhanced integrated drive electronics (EIDE) support. The primary and secondary
interface are both located on the PCI bus to provide faster data throughput. Each
interface supports high-capacity EIDE drives, as well as devices such as
advanced technology attachment (ATA) 33 hard-disk drives, EIDE CD-ROM drives,
and EIDE tape drives.
Two high-performance serial ports and one bidirectional parallel port for connect-
ing external devices. The parallel port is fully Enhanced Capabilities Port (ECP)
compliant.
A Personal System/2 (PS/2)-style keyboard port and a PS/2-compatible mouse
port.
640 x 480 True-color
(32 bpp) 85 Hz 2 MB
800 x 600 True-color
(32 bpp) 85 Hz 2 MB
1024 x 768 65,536
(16 bpp) 85 Hz 2 MB
1280 x 1024 256
(8 bpp) 75 Hz 2 MB
1024 x 768 True-color
(32 bpp) 85 Hz 4 MB
1280 x 1024 65,536 colors
(16 bpp) 75 Hz 4 MB
1600 x 1200 256 colors
(8 bpp) 75 Hz 4 MB
NOTE: For the full name of an abbreviation or acronym used in this table, see the Glossary in
your
online
System User’s Guide
.

1-4 Dell OptiPlex E1 Mini Tower Managed PC Reference and Installation Guide
An integrated, 10/100-megabit per second (Mbps) 3Com® PCI 3C905b-TX
Ethernet network interface controller (NIC). The NIC is configured using software
described in Chapter 4, “Using Integrated Devices.”
A optional 16-bit, integrated Plug and Play Crystal CS4236B audio controller that
provides all the sound functions of the Sound Blaster Pro expansion card. For
more information, see your online
System User’s Guide
.
6RIWZDUH)HDWXUHV
The following software is included with your Dell computer system:
Utilities that safeguard your system and enhance the operation of its hardware
features, such as maximizing your monitor’s resolution capabilities. For informa-
tion on these utilities, see your online
System User’s Guide
.
Video drivers for displaying many popular applications in high-resolution modes.
For more information on these utilities, see your online
System User’s Guide
.
Audio drivers for enabling the sound functions on the integrated audio controller.
For more information on these utilities, see your online
System User’s Guide
.
Bus-mastering EIDE drivers to improve performance by off-loading certain func-
tions from the microprocessor during multithreaded operation (when several
applications are running simultaneously). For more information on these utilities,
see your online
System User’s Guide
.
The System Setup program for quickly viewing and changing the system configu-
ration information for your system. For more information on this program, see
Chapter 2, “Using the System Setup Program.”
An Auto Power On utility that enables your system to perform routine tasks auto-
matically in your absence. For more information on this utility, see your online
System User’s Guide
.
Enhanced security features (a setup password, a system password, a system-
password lock option, a write-protect option for diskette drives, and automatic
display of the system’s service tag number) available through the System Setup
program. In addition, a customer-definable asset tag number can be assigned via
a software support utility and viewed on the System Setup screens. For more
information, see your online
System User’s Guide
and Chapter 2, “Using the Sys-
tem Setup Program,” of this document.
Advanced power management options that can reduce the energy consumption
of your system. For more information, see Chapter 2, “Using the System Setup
Program.”
The ICU, which tells you how to configure ISA expansion cards manually. After
resources have been assigned to these cards, the system BIOS can assign
resources to PCI and Plug and Play expansion cards for a conflict-free configura-
tion. For more information, see Chapter 3, “Using the ISA Configuration Utility.”
Dell Diagnostics for evaluating the computer’s components and devices. For
information on using the diagnostics, see the chapter titled “Running the Dell
Diagnostics” in the
Diagnostics and Troubleshooting Guide
.

Introduction 1-5
Network device drivers for several network operating systems. These drivers are
described in Chapter 4, “Using Integrated Devices.”
Desktop Management Interface (DMI) support, which enables the management
of your computer system’s software and hardware. DMI defines the software,
interfaces, and data files that enable your system to determine and report infor-
mation about system components.
If your system has a Dell-installed Windows 95 operating system, DMI is already
installed on your system’s hard-disk drive. To learn more about DMI, double-click
the DMI icon in the Windows Control Panel.
If your system included Dell-installed software, Dell provides a menu that allows
you to make program diskette sets of your Dell-installed software (programs,
drivers, and utilities; a CD with your operating system accompanied your com-
puter). A
program diskette set
is an uninstalled version of a software package that
you can use to reinstall or reconfigure the software. You can use this same menu
to remove
diskette image files
(individual files that correspond to each diskette in
a program diskette set) to reclaim space on the computer’s hard-disk drive. For
more information on making program diskette sets, see the online help provided
in the Dell Program Diskette Maker, which is located in the Dell Accessories folder.
The Dell OpenManage™ program, which is a DMI browser that allows you to
view your computer’s current hardware configuration and operating system ver-
sion. The Dell OpenManage program provides information you may need if you
call Dell for technical assistance or if you install hardware or software in your sys-
tem. The Dell OpenManage program is located in the Dell Accessories folder. For
more information on the Dell OpenManage program, see the next subsection,
“Manageability Features.”
0DQDJHDELOLW\)HDWXUHV
Your Dell OptiPlex E1 Mini Tower Managed PC incorporates many hardware and soft-
ware features to improve the manageability of the system. Installed features include:
Dell OpenManage program
Preboot eXecution Environment (PXE)
Wakeup On LAN
Auto Power On
Security Features
The Dell OpenManage program is the Dell software-management application inter-
face for DMI. It allows you to manage system-level information, such as system
configuration information and management information format (MIF) database values
(see Figure 1-1).

1-6 Dell OptiPlex E1 Mini Tower Managed PC Reference and Installation Guide
On systems running Windows 95 or Windows NT 4.0, the Dell OpenManage program
is available in client and administrator versions. The Dell OpenManage administrator
version enables system administrators to view, manage, and inventory remote sys-
tems in a Dell DMI client network and incorporates the following manageability
features, which are based on the DMI 2.0 specification.
Fault Management features of the Dell OpenManage program include:
Alerts to warn you about events generated by SMART drives on a local or remote
system and about thermal errors
An event log that stores events in a text file and reports information about the
event under the following categories: System Name, Component Name, Date
and Time, Event Type, Event Severity, Event Class, and Event System
Configuration Management features of the Dell OpenManage program include:
Wakeup On LAN support, which allows network administrators to remotely turn
on Managed PC systems with Wakeup On LAN capability in a Dell DMI network.
A System Properties window that enables network administrators to view, set, or
disable certain hardware configuration settings for the local and remote systems
in a Dell DMI network.

Introduction 1-7
Support for the Microsoft System Management Server (SMS), which allows the
exporting of one or more groups to an SMS directory that the SMS administrator
can access.
A Monitor component for systems running Windows 95 and having a display data
channel (DDC)-compliant video subsystem and monitor.
Automated inventory control of one or more groups for the remote systems in a
Dell DMI network. Network administrators can automate inventory to occur
every day, week, or month at a certain hour, on the hour; or you can enable inven-
tory as needed. The Dell OpenManage program creates a text file for the
group(s) and saves it to a user-defined directory.
Support for the application used to create user-definable attributes (UDAs).
Asset Management features of the Dell OpenManage program include:
Support that enables network administrators to remotely view, enter, and modify
an asset tag number for a remote system in a Dell DMI network
Automated and manual mapping of one or more groups to a user-defined
directory
The Dell OpenManage program includes password security that enables network
administrators to maintain standard attribute values for the local and remote systems
in a Dell DMI network.
For more information about Dell OpenManage, refer to the online Dell OpenManage
Help that accompanied the software.
The Preboot eXecution Environment (PXE) allows a personal computer to be managed
by one or more servers running the LANDesk® Configuration Manager (LCM) soft-
ware, which provides management services for the many Managed PC systems on
the network. The LCM allows network administrators to perform the following tasks:
Provide preboot support for a new Managed PC that depends on the server for
its initial operating system installation
Service the network boot requests from the Managed PC systems
Download diagnostics and BIOS update utilities
Format the hard-disk drive, if required
Download and install the operating system, based on previously established
profiles
Download and install applications
Update the operating system and applications as required
For additional information about the Intel LCM, refer to the documentation that
accompanied the software.

1-8 Dell OptiPlex E1 Mini Tower Managed PC Reference and Installation Guide
Wakeup On LAN allows you to remotely turn on a Managed PC that is in a sleep state.
The ability to turn on the Managed PC systems remotely allows you to perform
remote computer setup, software downloading and installation, file updates, and
asset tracking after hours and on weekends when users are not using the systems
and network traffic is at a minimum.
To use Wakeup On LAN, each Managed PC must contain a NIC that supports the
Wakeup On LAN feature. You must also enable the Wakeup On LAN option in the
System Setup program.
Auto Power On enables you to turn on the computer system automatically on certain
days of the week at a preset time. You can set Auto Power On to turn on the system
either every day or every Monday through Friday.
NOTE: This feature does not work if the system is shut off using a power strip or
surge protector.
Your Dell OptiPlex E1 Mini Tower Managed PC system has the following integrated
security features.
A built-in chassis intrusion alarm displays the status of the system chassis intrusion
monitor. If the chassis has been opened, the setting changes to Detected and the fol-
lowing message is displayed during the boot sequence at system start-up:
Alert! Cover was previously removed.
The field can be cleared using the System Setup program to enable future intrusions
to be detected. For more information, see Chapter 2, “Using the System Setup
Program.”
On the back of the computer are a security cable slot and padlock ring (see Figure 1-2)
for attaching commercially available antitheft devices. Security cables for personal
computers usually include a segment of galvanized cable with an attached locking
device and key. To prevent unauthorized removal of your computer, loop the cable
around an immovable object, insert the locking device into the security cable slot on
the back of your computer, and lock the device with the key provided. Complete
instructions for installing this kind of antitheft device are usually included with the
device.
NOTE: Antitheft devices are of differing designs. Before purchasing such a device,
make sure it will work with the cable slot on your computer.
The padlock ring allows you to secure the computer cover to the chassis to prevent
unauthorized access to the inside of the computer. To use the padlock ring, insert a
commercially available padlock through the ring and then lock the padlock.

Introduction 1-9
The password feature enables you to set a user-defined password to restrict access to
the system. Additional protection is available through the System Setup program.
When the Setup Password option is set to Enabled, Password Status allows you to
prevent the system password from being changed or disabled at boot time. For more
information, see Chapter 2, “Using the System Setup Program.”
8VLQJWKH3RZHU6ZLWFK
If the system does not turn off when the power switch is pressed, the system may be
hung. Press and hold the power switch until the system turns off completely (this pro-
cess may take several seconds). Alternatively, press the reset button to reset the
system and reboot. If the system is hung and both buttons fail to function properly,
unplug the AC power cable from the computer, wait for it to completely stop running,
plug in the AC power cable, and if it the system does not restart, press the power
switch to restart the system.
(1(5*<67$5&RPSOLDQFH
Certain configurations of Dell computer systems comply with the requirements set
forth by the Environmental Protection Agency (EPA) for energy-efficient computers. If
the front panel of your computer bears the ENERGY STAR Emblem (see Figure 1-3),
your original configuration complied with these requirements and all ENERGY STAR
power management features of the computer are enabled. To disable or change the
operation of these features, you must change the setting for the Power Management
option in the System Setup program. For instructions, see Chapter 2, “Using the Sys-
tem Setup Program.”
security cable slo
t
padlock ring

1-10 Dell OptiPlex E1 Mini Tower Managed PC Reference and Installation Guide
NOTES: As an ENERGY STAR Partner, Dell Computer Corporation has determined
that this product meets the ENERGY STAR guidelines for energy efficiency.
Any Dell computer bearing the ENERGY STAR Emblem is certified to comply with
EPA ENERGY STAR requirements as configured when shipped by Dell. Any
changes you make to this configuration (such as installing additional expansion cards
or drives) may increase the system’s power consumption beyond the limits set by the
EPA’s ENERGY STAR Computers program.
The EPA’s ENERGY STAR Computers program is a joint effort between the EPA and
computer manufacturers to reduce air pollution by promoting energy-efficient com-
puter products. The EPA estimates that use of ENERGY STAR computer products can
save computer users up to two billion dollars annually in electricity costs. In turn, this
reduction in electricity usage can reduce emissions of carbon dioxide, the gas prima-
rily responsible for the greenhouse effect, and sulfur dioxide and nitrogen oxides,
which are the two primary causes of acid rain.
Computer users can also help to reduce electricity usage and its side effects by turn-
ing off their computer systems when they are not in use for extended periods of
time—particularly at night and on weekends.
,PSRUWDQW1RWHIRU:LQGRZV8VHUV
Your system was configured by Dell to optimize the features of the Windows 95 oper-
ating system. To ensure that all of these features are maintained on your system, you
must use the version of Windows 95 that Dell installed on your hard-disk drive.
Should you need to reinstall Windows 95 on an OptiPlex E1 Mini Tower Managed PC
system for any reason, you
must
be sure to reinstall the correct version. Dell recom-
mends performing a periodic tape backup of the system’s entire hard-disk drive so
that, if necessary, the operating system, drivers, and other software can be reinstalled
as originally configured with a minimum of downtime.
If you are unable to reinstall your software from a tape backup of the hard-disk drive,
you can reinstall Windows 95 from the system’s Windows 95 CD that you received
from Dell.
However, if you reinstall Windows 95 in this manner, the bus-mastering
functionality of the Windows 95 EIDE driver, which was operative in your original
configuration, will be disabled
. (Your system will operate without the bus-mastering
functionality with only a small degradation in performance. For information on the
advantages of using bus-mastering drivers, see “Bus-Mastering EIDE Drivers” in the
®

Introduction 1-11
“Using Drivers and Utilities” section of your online
System User’s Guide
.) You may
also need to reinstall your system’s video and NIC drivers from the diskettes created
from the Dell-installed software on your system.
NOTE: If you are a system administrator of corporate networks and you must down-
load Windows 95 from a server to client systems, make sure that you have the
Windows 95 backup media for the OptiPlex E1 Mini Tower Managed PC system on
your server before downloading.
,QWHO3,,;H,1)8SGDWH,QVWDOOHUIRU
:LQGRZV
NOTE: The following procedure applies only to versions of Windows 95 installed by
Dell.
If you must reinstall Windows 95 on your computer system, you also need to run the
Intel PIIX4e INF Update Installer for Windows 95 immediately after installing the oper-
ating system. Doing so enables Windows 95 to detect and configure PCI devices
controlled by the integrated 82371EB component.
Before you can perform the update, you must make a diskette copy of the update soft-
ware from the disk image on the hard-disk drive. To make the diskette copy, use the
Program Diskette Maker, which is located in the Dell Accessories folder. Refer to the
online
System User’s Guide
for information about using the Program Diskette Maker.
The following procedure describes how to install the update:
a:\setup.exe
The license agreement opens in the Notepad application.
The next dialog box lists the information (.inf) files on your system that will be
revised by the update software.
During system start-up, the operating system detects new hardware and the
Update Device Driver Wizard screen appears.

1-12 Dell OptiPlex E1 Mini Tower Managed PC Reference and Installation Guide
The system finds the hardware device driver on the hard-disk drive and installs it.
The system continues its start-up routine. When Windows 95 finishes loading, a
dialog box appears and informs you that the system configuration settings have
changed and asks if you want to restart your system.
$FFHVVLQJ2QOLQH'RFXPHQWDWLRQ
The online
System User’s Guide
installed on your hard-disk drive contains information
on the following topics:
Using the online
System User’s Guide
System features
Using drivers and utilities
Using the audio controller
Using the System Setup program
Configuring expansion cards
Securing your computer
Connecting external devices
Maintaining the system
Contacting Dell
The guide also contains a glossary of commonly used terms and abbreviations.
The online
System User’s Guide
is located in the Dell Accessories folder.
To print any of the topics from this guide, display the topic you want on your screen
and select Print Topic from the File menu.
*HWWLQJ+HOS
Dell provides a number of tools to help you if you don’t understand a procedure
described in this guide or if your system does not perform as expected. For informa-
tion on these help tools, see the chapter titled “Getting Help” in your
Diagnostics and
Troubleshooting Guide
or the “Contacting Dell” section in the online
System User’s
Guide
.

Using the System Setup Program 2-1
&+$37(5
8VLQJWKH6\VWHP6HWXS3URJUDP
Each time you turn on your computer system or press the reset button, the system
compares the hardware installed in the system to the hardware listed in the system
configuration information stored in nonvolatile random-access memory (NVRAM) on
the system board. If the system detects a discrepancy, it generates error messages
that identify the incorrect configuration settings. The system then prompts you to
enter the System Setup program to correct the setting.
You can use the System Setup program as follows:
To change the system configuration information after you add, change, or remove
any hardware in your system
To set or change user-selectable options—for example, the time or date on your
system
You can
view
the current settings at any time. When you
change
a setting, in many
cases you must reboot the system before the change takes effect.
After you set up your system, run the System Setup program to familiarize yourself
with your system configuration information and optional settings. Dell recommends
that you print the System Setup screen (by pressing the <Print Screen> key) or write
down the information for future reference.
Before you use the System Setup program, you need to know the kind of diskette
drive(s) and hard-disk drive(s) installed in your computer. If you are unsure of any of
this information, see the Manufacturing Test Report that was shipped with your sys-
tem and is located in the Dell Accessories folder.
(QWHULQJWKH6\VWHP6HWXS3URJUDP
Enter the System Setup program as follows:
If your system is already on, shut it down and then turn it on again.

2-2 Dell OptiPlex E1 Mini Tower Managed PC Reference and Installation Guide
If you wait too long and your operating system begins to load into memory,
let the
system complete the load operation
;
then shut down the system and try again.
NOTE: To ensure an orderly system shutdown, consult the documentation that
accompanied your operating system.
You can also enter the System Setup program by responding to certain error mes-
sages. See “Responding to Error Messages” at the end of this chapter.
6\VWHP6HWXS6FUHHQ
The System Setup screen displays the current setup and configuration information
and optional settings for your system. (Typical examples are illustrated in Figure 2-1.)
Information on the System Setup screen is organized in four areas:
Title box
The box at the top of the screen lists the system name.
System data
The two boxes below the title box display information about your system, such as
the basic input/output system (BIOS) revision number.
Configuration options
The box under the system data boxes lists options that define the installed hard-
ware in your computer.
Fields beside the options contain options or values; you can change those that
appear in white on the screen. You cannot change options or values that appear
in a color highlight because they are determined by the system.
Some options have multiple fields, which may show options or values as bright or
less bright depending upon what options or values you entered in other fields.
Key functions
The line of boxes across the bottom of the screen lists keys and their functions
within the System Setup program.
8VLQJWKH6\VWHP6HWXS3URJUDP
Table 2-1 lists the keys you use to view or change information on the System Setup
screen and to exit the program.

Using the System Setup Program 2-3
Moves to the next field.
Moves to the previous field.
Cycles through the settings in a field. In many fields, you can
also type the appropriate value.
Enters the selected field’s pop-up settings menu.
Cycles through the settings in the selected field’s pop-up
settings menu.
Saves the selected settings in a field’s pop-up settings menu
and returns to the main System Setup screen. For a few
options (as noted in the help area) the changes take effect
immediately.
Exits the System Setup program at the System Setup
screen if no settings in any option were changed. Provides
exit menu options if changes were made. Highlight a menu
option to select it and press <Enter> to activate it.
Save Changes and Exit option exits the System Setup
program and reboots the system, implementing any
changes you have made.
Discard Changes and Exit option exits the System
Setup program without rebooting the system and
returns the system to its previous state—the boot
routine.
Return to Setup option returns to the System Setup
screen.
Resets the selected options to their default settings.
Displays help information for the selected option.
or
or
or
or

2-4 Dell OptiPlex E1 Mini Tower Managed PC Reference and Installation Guide
System Time ....................................... 10:11:12
System Date ....................................... Thu May 28, 1998
Diskette Drive A: ................................. 3.5 inch, 1.44 MB
Diskette Drive B: ................................. Not Installed
Primary Drive 0 ................................... Hard Drive
Primary Drive 1 ................................... Not Installed
Secondary Drive 0 ................................. CD-ROM Reader
Secondary Drive 1 ................................. Not Installed
Hard-Disk Drive Sequence .......................... <ENTER>
Boot Sequence ..................................... <ENTER>
System Memory ..................................... 32-MB SDRAM
Video Memory ...................................... 2-MB SGRAM
Reserved Memory ................................... None Reserved
CPU Speed ......................................... 266 MHz
Integrated Devices ................................ <ENTER>
System Security ................................... <ENTER>
Keyboard NumLock .................................. On
Report Keyboard Errors ............................ Report
Auto Power On ..................................... Disabled
Wakeup On LAN ..................................... Off
Power Management .................................. Disabled
Asset Tag ......................................... ASSET TAG
Dell Computer Corporation (www.dell.com) - OptiPlex E1 266MT
title box
configuration options
BIOS Version: A00
Service Tag: A1234
Intel® Celeron™ Processor: 266 MHz
Level 2 Cache: None
to select SPACE,+,- to change ESC to exit F1=Help
key functions
system data

Using the System Setup Program 2-5
6\VWHP6HWXS2SWLRQV
The following subsections explain in detail each of the options on the System Setup
screen.
6\VWHP7LPH
System Time resets the time on the computer’s internal clock.
Time is kept in a 24-hour format
(
hours
:
minutes
:
seconds
)
.
To change the time, press
the left- or right-arrow keys to select a field, and then press <+> or <-> to increase or
decrease the number. If you prefer, you can type numbers in each of the fields.
6\VWHP'DWH
System Date resets the date on the computer’s internal calendar.
Your system automatically displays the day of the week corresponding to the settings
in the
month
,
day-of-month
,
and
year
fields.
To change the date, press the left- or right-arrow keys to select a field, and then press
<+> or <-> to increase or decrease the number. If you prefer, you can type numbers
in the
day-of-month
and
year
fields.
'LVNHWWH'ULYH$DQG'LVNHWWH'ULYH%
Diskette Drive A and Diskette Drive B identify the type of diskette drives installed in
your computer. With the standard cabling configuration, Diskette Drive A (the boot
diskette drive) is the 3.5-inch diskette drive installed in the top externally accessible
drive bay; Diskette Drive B is any drive installed in the bottom externally accessible
drive bay that is connected to the system’s diskette/tape drive interface.
The option settings always match the physical locations of the drives in your com-
puter—the first drive listed is the top drive in your computer.
The Diskette Drive A and Diskette Drive B options have the following settings:
5.25 Inch, 360 KB
5.25 Inch, 1.2 MB
3.5 Inch, 720 KB
3.5 Inch, 1.44 MB
Not Installed
NOTE: Tape drives are not reflected in the
Diskette Drive A and Diskette Drive B
options. For example, if you have a single diskette drive and a tape drive attached to
the diskette/tape drive interface cable, set Diskette Drive A to match the characteris-
tics of the diskette drive and set Diskette Drive B to Not Installed.

2-6 Dell OptiPlex E1 Mini Tower Managed PC Reference and Installation Guide
3ULPDU\'ULYHQDQG6HFRQGDU\'ULYHQ
Primary Drive
n
identifies drives attached to the primary enhanced integrated drive
electronics (EIDE) interface connector (labeled “IDE1”) on the system board;
Secondary Drive
n
identifies drives connected to the secondary EIDE interface con-
nector (labeled “IDE2”). It is recommended that you use the secondary EIDE
interface connector for EIDE CD-ROM and EIDE tape drives.
NOTES: For all devices obtained from Dell that use the built-in EIDE controller, set the
appropriate
Drive option to Auto.
You must have an EIDE device connected to the primary EIDE interface if you have an
EIDE device connected to the secondary EIDE interface.
These four options identify the type of EIDE devices installed in the computer. For
each drive, five parameters can be chosen as a group by drive-type number, entered
individually from the keyboard, or set automatically. A
drive-type number
specifies the
parameters of a hard-disk drive, based on a table recorded in the system’s BIOS.
To choose a setting for each option, press <Enter> to access the field’s pop-up
options menu. Then type characters from the keyboard or use the left- or right-arrow
key to cycle through the following settings:
Auto (use this setting for all EIDE devices from Dell)
Off
User 1 or User 2
A specific drive-type number
NOTE: Operating systems that bypass the system BIOS may not obtain optimum
hard-disk drive performance.
For EIDE hard-disk drives, the system provides an automatic drive-type detect feature.
To use this feature for Primary Drive 0, highlight the Primary Drive 0 option and type a
(for
automatic
); to use it for Primary Drive 1, highlight the Primary Drive 1 option and
type a. In each case, the option setting changes to Auto. After the system reboots,
the System Setup program automatically sets the correct drive-type number and
parameters for each drive.
Before installing a new EIDE hard-disk drive, also check the documentation that came
with the drive to verify that all jumper settings on the drive are appropriate for your
configuration.
If the system generates a drive error message the first time you boot your system after
installing an EIDE drive, it may mean that your particular drive does not work with the
automatic drive-type detect feature. If you suspect that your problem is related to drive
type, try entering your drive-type information in one of the following ways.

Using the System Setup Program 2-7
Use the drive-type number you found in the documentation that came with the drive,
or if the drive was installed by Dell when you purchased your system, access the
Manufacturing Test Report from the Dell Accessories folder.
To set the drive-type number in the System Setup program, highlight the appropriate
drive option (Primary Drive 0 or Primary Drive 1) and type the correct drive-type num-
ber. If you prefer, you can press the right- or left-arrow key to increase or decrease,
respectively, the drive-type number until the correct one is displayed.
The Drive 0 and Drive 1 options display the following five parameters for each drive:
Drive Type is the drive-type number for the selected hard-disk drive.
Capacity (automatically calculated by the system) indicates the number of
millions of bytes of storage provided by the drive.
Cylinders is the number of logical cylinders.
Heads indicates the number of logical heads in the drive.
Sectors is the number of logical sectors per track.
If none of the supported drive types match the parameters of your new drive, you can
enter your own parameters. To do so, highlight the Drive 0 option and type u to dis-
play User 1. You can then use the right- or left-arrow key to switch between the User 1
and User 2 settings (only two user-defined drive types are allowed). Then press the
<Tab> key to highlight each of the parameter fields in succession, and enter the
appropriate number for each field.
NOTE: The User 1
and
User 2 drive types can be used for both the
Primary and Second-
ary
Drive 0 and Drive 1 options. However, if you select the
User 1
or User 2 drive type,
you may not obtain optimum hard-disk drive performance. Also, the
User 1
and User 2
drive types cannot be used for hard-disk drives greater than 528 megabytes (MB) in
capacity.
+DUG'LVN'ULYH6HTXHQFH
Hard-Disk Drive Sequence lists installed adapter cards and devices in the order they
will be initialized. The first hard-disk drive in the list becomes the bootable
drive C.
%RRW6HTXHQFH
Boot Sequence enables you to set the order of the devices from which the system
attempts to boot.
The term
boot
refers to the system’s start-up procedure. When turned on, the
system “bootstraps” itself into an operational state by loading into memory a
small program, which in turn loads the necessary operating system. Boot
Sequence tells the system where to look for the files that it needs to load.

2-8 Dell OptiPlex E1 Mini Tower Managed PC Reference and Installation Guide
To set the boot device order, press <Enter> to access the field’s pop-up settings
menu. Use the up- and down-arrow keys to move through the list of devices. Press
<Spacebar> to enable or disable a device (enabled devices appear with a check mark).
Press <+> or <-> to move a selected device up and down the list. The following sec-
tions detail typical devices.
Selecting Diskette Drive A: as the first device causes the system to try booting
from drive A first. If the system finds a diskette that is not bootable in the drive or
finds a problem with the drive itself, it displays an error message. If it does not
find a diskette in the drive, the system tries to boot from the next device in the
boot sequence list.
Selecting Hard Disk Drive causes the system to attempt to boot first from the
hard-disk drive and then from the next device in the boot sequence list.
Selecting IDE CD-ROM Reader causes the system to try booting from the
CD-ROM drive first. If the system finds a CD that is not bootable in the drive, or
finds a problem with the drive itself, it displays an error message and tries to
boot from the next device in the boot sequence list.
Selecting PXE (Preboot eXecution Environment) causes the system to boot from
the integrated network interface controller (NIC) first. If a boot routine is not avail-
able from the network server, the system tries to boot from the next device in
the boot sequence list.
6\VWHP0HPRU\
System Memory indicates the entire amount of installed memory detected in your
system, except for memory on Expanded Memory Specification (EMS) expansion
cards. After adding memory, check this option to confirm that the new memory is
installed correctly and is recognized by the system.
9LGHR0HPRU\
Video Memory displays the amount of video memory detected in your system.
5HVHUYHG0HPRU\
Reserved Memory allows you to designate a region of system board memory that
can be supplied by an expansion card. You should not enable the reserved memory
feature unless you are using an expansion card that requires special addressing.

Using the System Setup Program 2-9
For example, you may have a memory expansion card that needs to be addressed
starting at 15 MB. Selecting the 15M – 16M option in the Reserved Memory option
specifies that the base memory from 15 to 16 MB come from the memory expansion
card (the base memory below the 15-MB address comes from the dual in-line memory
modules [DIMMs] on the system board).
The Reserved Memory option has the following settings:
None Reserved (the default)
512KB – 640KB
15MB – 16MB
&386SHHG
CPU Speed indicates the processor speed at which your system boots.
Press the left- or right-arrow key to toggle the CPU Speed option between the resi-
dent microprocessor’s rated speed (the default setting) and a lower compatibility
speed, which lets you accommodate speed-sensitive applications. A change to this
option takes effect immediately (rebooting the system is not required).
To toggle between the rated processor speed and the compatibility speed while the
system is running in real mode, press <Ctrl><Alt><\>. (For keyboards that do not use
American English, press <Ctrl><Alt><#>.)
,QWHJUDWHG'HYLFHV
Integrated Devices configures the devices integrated into the system board. Press
<Enter> to configure these devices.
Sound determines whether the integrated audio controller is On or Off.
Network Interface Controller determines whether the integrated NIC is On, Off, or On
with PXE. The default is On with PXE, which means that the NIC is enabled and capa-
ble of booting the system remotely from a network server.
Mouse Port enables or disables the system’s built-in Personal System/2 (PS/2)-
compatible mouse port. Disabling the mouse allows an expansion card to use
interrupt request (IRQ) 12.
For more information about built-in ports, port designations, IRQs, and the remapping
of ports, see “Connecting External Devices” in your online
System User’s Guide
.

2-10 Dell OptiPlex E1 Mini Tower Managed PC Reference and Installation Guide
Serial Port 1 and Serial Port 2 configure the system’s built-in serial ports. These
options can be set to Auto (the default option) to automatically configure a port, to a
particular designation (COM1 or COM3 for Serial Port 1; COM2 or COM4 for Serial
Port 2), or to Off to disable the port.
If you set a serial port to Auto and add an expansion card containing a port configured
to the same designation, the system automatically remaps the built-in port to the next
available port designation that shares the same IRQ setting as follows:
COM1 (input/output [I/O] address 3F8h), which shares IRQ4 with COM3, is
remapped to COM3 (I/O address 3E8h).
Likewise, COM2 (I/O address 2F8h), which shares IRQ3 with COM4, is
remapped to COM4 (I/O address 2E8h).
NOTES: When two COM ports share an IRQ setting, you can use either port as nec-
essary, but you may not be able to use them both at the same time. If the second
port (COM3 or COM4) is also in use, the built-in port is turned off.
If you are using the Microsoft Windows 95 or IBM OS/2 operating system, you cannot
use both serial ports at the same time.
For more information about built-in ports, port designations, IRQs, and the remapping
of ports, see “Connecting External Devices” in your online
System User’s Guide
.
Parallel Port configures the system’s built-in parallel port. This option can be set to
378h (the default), to alternate addresses 278h or 3BCh, or to Off to disable the port.
NOTE: Do not set Parallel Port to 278h if you have an Enhanced Capabilities Port (ECP)
device connected to the port.
Parallel Port Mode controls whether the system’s built-in parallel port acts as an
AT-compatible (unidirectional) or PS/2-compatible (bidirectional) port.
Your system also supports ECP mode, which can be used by Windows 95.
Windows 95 uses ECP protocol automatically if it detects an ECP-capable device,
eliminating the need for an ECP option in this option.
Set this option according to the type of peripheral device connected to the parallel
port. To determine the correct mode to use, see the documentation that came with
the device.
IDE Drive Interface enables or disables the system’s built-in EIDE hard-disk drive
interface.
With Auto (the default option) selected, the system turns off the built-in EIDE inter-
face when necessary to accommodate a controller card installed in an expansion slot.

Using the System Setup Program 2-11
As part of the boot routine, the system first checks for a primary hard-disk drive con-
troller card installed in an expansion slot. If no card is found, the system enables the
built-in EIDE interface to use IRQ14 and IRQ15.
If a primary controller is detected on the expansion bus, the built-in EIDE interface is
disabled.
Selecting Off disables the built-in EIDE interface.
Diskette Interface controls the operation of the system’s built-in diskette drive
controller.
With Auto (the default option) selected, the system turns off the built-in diskette drive
controller when necessary to accommodate a controller card installed in an expansion
slot.
With Write Protect selected, nothing can be written to diskette drives and tape drives
using the system’s built-in diskette drive controller. (The system can still read from the
drives.) When this option is selected, the Auto option (whereby the system turns off
the built-in diskette drive controller as necessary) is also in effect.
Selecting Off turns off the built-in diskette/tape drive controller; this option is used pri-
marily for troubleshooting purposes.
PC Speaker determines whether the on-board speaker is On (the default) or Off. A
change to this option takes effect immediately (rebooting the system is not required).
Video DAC Snoop lets you correct video problems that may occur when certain video
expansion cards are used. The default is Off. If you are using a video card and prob-
lems such as incorrect colors or blank windows occur, set Video DAC Snoop to On.
6\VWHP6HFXULW\
System Security configures the password and chassis intrusion options. Press
<Enter> to configure these options.
When Setup Password is set to Enabled, Password Status allows you to prevent the
system password from being changed or disabled at system start-up.
To lock the system password, you must first assign a setup password in the Setup
Password option and then change the Password Status option to Locked. When
Setup Password has a password assigned and Password Status is Locked, the sys-
tem password cannot be changed through the System Password option and cannot
be disabled at system start-up by pressing <Ctrl><Enter>.

2-12 Dell OptiPlex E1 Mini Tower Managed PC Reference and Installation Guide
To unlock the system password, you must enter the setup password in the Setup
Password option and then change the Password Status option to Unlocked. In this
state, the system password can be disabled at system start-up by pressing
<Ctrl><Enter> and then changed through the System Password option.
System Password displays the current status of your system’s password security fea-
ture and allows you to assign and verify a new password. No one can assign a new
password unless the current status is Not Enabled, which is displayed in bright
characters.
The System Password option has the following settings:
Not Enabled (the default option)
Enabled
Disabled by Jumper
NOTE: Read “Using the System Password Feature” found later in this chapter for
instructions on assigning a system password and using or changing an existing
system password. See “Disabling a Forgotten Password” found later in this chapter
for instructions on disabling a forgotten system password.
Setup Password lets you restrict access to your computer’s System Setup program in
the same way that you restrict access to your system with the system password fea-
ture. The settings are:
Not Enabled (the default)
Enabled
Disabled by Jumper
NOTE: Read “Using the Setup Password Feature” found later in this chapter for
instructions on assigning a setup password and using or changing an existing setup
password. See “Disabling a Forgotten Password” found later in this chapter for
instructions on disabling a forgotten setup password.
Chassis Intrusion displays the status of the system chassis intrusion monitor. The
default setting is Not Detected.
If the computer cover is removed, the setting changes from Not Detected to
Detected and the following message is displayed during the boot sequence at system
start-up:
Alert! Cover was previously removed.
To clear this field and allow future intrusions to be detected, enter the System Setup
program, as described in “Entering the System Setup Program” found earlier this

Using the System Setup Program 2-13
chapter. At the Chassis Intrusion option, use the left- or right-arrow key to choose
Reset. Then press <Alt><B> to save the change and reboot the system.
NOTE: When enabled, the setup password is required in order to reset the Chassis
Intrusion option from Detected to Not Detected. You cannot reset the Chassis Intru-
sion option without a password.
.H\ERDUG1XP/RFN
Keyboard NumLock determines whether your system boots with the Num Lock mode
activated on 101- or 102-key keyboards (it does not apply to 84-key keyboards).
When Num Lock mode is activated, the rightmost bank of keys on your keyboard pro-
vides the mathematical and numeric functions shown at the tops of the keys. When
Num Lock mode is turned off, these keys provide cursor-control functions according to
the label on the bottom of each key.
5HSRUW.H\ERDUG(UURUV
Report Keyboard Errors enables or disables reporting of keyboard errors during the
power-on self-test (POST), which is a series of tests that the system performs on the
hardware each time you turn on the system or press the reset button.
This option is useful when applied to self-starting servers or host systems that have
no permanently attached keyboard. In these situations, selecting Do Not Report sup-
presses all error messages relating to the keyboard or to the keyboard controller
during POST. This option does not affect the operation of the keyboard itself if a
keyboard is attached to the computer.
$XWR3RZHU2Q
Auto Power On allows you to set the time and days of the week to turn on the com-
puter system automatically. You can set Auto Power On to turn on the system either
every day or every Monday through Friday.
NOTE: This feature does not work if you turn off your system using a power strip or
surge protector.
Time is kept in a 24-hour format (
hours
:
minutes
). To change the start-up time, use the
arrow keys to move the cursor to the hours or minutes field and then type a new
number.
The default for Auto Power On is Disabled.
:DNHXS2Q/$1
Wakeup On LAN determines whether the Wakeup On LAN feature is set to On or Off.
You must reboot your system before a change takes effect.

2-14 Dell OptiPlex E1 Mini Tower Managed PC Reference and Installation Guide
3RZHU0DQDJHPHQW
For certain types of monitors and most EIDE hard-disk drives, you can reduce system
power consumption by enabling the power management feature. With Power
Management enabled, these monitors and drives automatically switch into low-power
mode during periods of system inactivity.
Power Management can be implemented at three levels—Maximum, Regular, and
Minimum. (The different levels apply to the monitor only; hard-disk drive operation is
the same for all three.) The default for this option is Disabled.
If you have a Video Electronics Standards Association (VESA®) Display Power Man-
agement Signaling (DPMS)-compliant monitor, enabling the Power Management
option reduces monitor power consumption during periods of keyboard and mouse
inactivity.
NOTE: The power management
feature monitors activity of a mouse connected to the
PS/2-compatible mouse port.
By setting Power Management to Maximum, Regular, or Minimum, you can set pre-
defined time-out periods (see Table 2-2) for the two successive monitor shutdown
stages,
standby
and
off
.
NOTE: Each monitor manufacturer defines the details of the shutdown stages for its
own monitors. But in all cases, power consumption decreases with each stage from
“on” (full power) to “standby” (reduced power; the display image usually disappears)
to “off” (where power consumption is minimal). To define these stages for your mon-
itor, see the documentation that came with the monitor.
From either shutdown stage, you can return full power to the monitor in one of the fol-
lowing ways:
For most DPMS-compliant monitors, any subsequent activity—including moving
the mouse—should return full power to the monitor.
A few DPMS-compliant monitors require that you turn monitor power off and
then on again to return to full power.
Check your monitor documentation for information on how your monitor is designed
to operate.
For most systems, enabling Power Management at any level causes EIDE hard-disk
drives to switch to low-power mode after about 20 minutes of system inactivity (see
Table 2-2).

Using the System Setup Program 2-15
NOTES: All EIDE drives shipped with your system support this feature. (For more
information, see “ENERGY STAR Compliance” in Chapter 1.)
However, not all EIDE hard-disk drives support this feature. Enabling this feature for
drives that do not support it may cause the EIDE drive to become inoperable until the
computer is restarted and the Power
Management option is disabled.
In low-power mode, the disks inside the drive stop spinning. They remain idle until the
next drive access, which causes them to start spinning again. (Because the disks take
a few seconds to regain full speed, you may notice a slight delay the next time you
access the hard-disk drive.)
When Power Management is set to
Disabled (the default), the disks spin con-
stantly as long as the system is turned on.
$VVHW7DJ
Asset Tag displays the customer-programmable asset tag number for the system if an
asset tag number has been assigned. You can use the Asset Tag utility, which is
included with your software support utilities, to enter an asset tag number up to ten
characters long into nonvolatile random-access memory (NVRAM). For information on
using the utility, see “Using Drivers and Utilities” in your online
System User’s Guide
.
6\VWHP'DWD2SWLRQV
The following options, which are not selectable, display information about the system:
The microprocessor type and BIOS level are listed in the system data boxes.
Level 2 Cache displays the size of the integrated cache.
Service Tag displays the system’s five-character service tag number, which was
programmed into NVRAM by Dell during the manufacturing process. Refer to this
number during technical assistance or service calls. The service tag number is
also accessed by certain Dell support software, including the diagnostics
software.
Disabled Never Never Never
Maximum 20 minutes 10 minutes 1 hour
Regular 20 minutes 20 minutes 1 hour
Minimum 20 minutes 1 hour Never

2-16 Dell OptiPlex E1 Mini Tower Managed PC Reference and Installation Guide
8VLQJWKH6\VWHP3DVVZRUG)HDWXUH
Your Dell system is shipped to you without the system password feature enabled. If
system security is a concern, you should operate your system only with system
password protection.
You can assign a system password, as described in the next subsection, “Assigning a
System Password,” whenever you use the System Setup program. After a system
password is assigned, only those who know the password have full use of the
system.
When the System Password option is set to Enabled, the computer system prompts
you for the system password during POST.
To change an existing system password, you must know the password (see “Deleting
or Changing an Existing System Password” found later in this chapter). If you assign
and later
forget
a system password, you must remove the computer cover to
change a jumper setting that disables the system password feature (see “Dis-
abling a Forgotten Password” found later in this chapter). Note that you erase the
setup password
at the same time.
$VVLJQLQJD6\VWHP3DVVZRUG
Before you can assign a system password, you must enter the System Setup program
and check the System Password option.
When a system password is assigned, the System Password setting shown is
Enabled. When the system password feature is disabled by a jumper setting on the
system board, the option shown is Disabled by Jumper.
You cannot change or enter
a new system password if the Disabled by Jumper setting is displayed.
When a
system password is not assigned, the System Password setting shown is Not
Enabled.
To assign a system password, follow these steps:
For instructions on changing this setting, see “Password Status” found earlier in
this chapter.

Using the System Setup Program 2-17
You can use up to seven characters in your password.
As you press each character key (or <Spacebar> for a blank space), a placeholder
appears in the field.
The password assignment operation recognizes keys by their location on the key-
board, without distinguishing between lowercase and uppercase characters. For
example, if you have an
M
in your password, the system recognizes either
M
or
m
as correct.
Certain key combinations are not valid. If you enter one of these combinations,
the speaker emits a beep.
To erase a character when entering your password, press <Backspace> or the
left-arrow key.
NOTE: To escape from the field without assigning a system password, press
<Esc>.
The system password is now assigned and is Enabled. You can exit the System
Setup program and begin using your system. Password protection takes effect
after the system reboots.
8VLQJ<RXU6\VWHP3DVVZRUGWR6HFXUH<RXU6\VWHP
Whenever you turn on your system, press the reset button, or reboot the system by
pressing the <Ctrl><Alt><Del> key combination, the following prompt appears on
the screen when the Password Status option is set to Unlocked:
Type in the password and...
— press <ENTER> to leave password security enabled.
— press <CTRL><ENTER> to disable password security.
Enter password:
If the Password Status option is set to Locked, the following prompt appears:
Type the password and press <Enter>.
After you type the correct system password and press <Enter>, your system boots
and you can use the keyboard and/or mouse to operate your system as usual.
NOTE: If you have assigned a setup password (see “Using the Setup Password Fea-
ture” found later in this chapter), the system accepts your setup password as an
alternate system password.

2-18 Dell OptiPlex E1 Mini Tower Managed PC Reference and Installation Guide
If a wrong or incomplete system password is entered, the following message appears
on the screen:
** Incorrect password. **
Enter password:
If an incorrect or incomplete system password is entered again, the same message
appears on the screen.
The third and subsequent times an incorrect or incomplete system password is
entered, the system displays the following message:
** Incorrect password. **
Number of unsuccessful password attempts: 3
System halted! Must power down.
The number of unsuccessful attempts made to enter the correct system password
can alert you to an unauthorized person attempting to use your system.
Even after your system is turned off and on, the previous message is displayed each
time an incorrect or incomplete system password is entered.
NOTE: You can use the Password Status option in conjunction with System Password
and Setup Password to further protect your system from unauthorized changes. For
more information, see “Password Status” found earlier in this chapter.
'HOHWLQJRU&KDQJLQJDQ([LVWLQJ6\VWHP3DVVZRUG
To delete or change an existing system password, follow these steps:
Enter the System Setup program by pressing <F2>. For instructions on changing
the setting for Password Status, see “Password Status” found earlier in this
chapter.
If a character is illegal for password use, the system emits a beep. If the system
password is deleted, the System Password option changes to Not Enabled. If the
system password is changed, the System Password option remains Enabled.
NOTE: An existing system password can also be disabled when the system is
rebooted, as explained in “Using Your System Password to Secure Your System”
found earlier in this chapter.

Using the System Setup Program 2-19
If you want to assign a new system password, follow the procedure in “Assigning a
System Password” found earlier in this chapter.
8VLQJWKH6HWXS3DVVZRUG)HDWXUH
Your Dell system is shipped to you without the setup password feature enabled. If
system security is a concern, you should operate your system with setup password
protection.
You can assign a setup password, as described in the next subsection, “Assigning a
Setup Password,” whenever you use the System Setup program. After a setup
password is assigned, only those who know the password have full use of the Sys-
tem Setup program.
To change an existing setup password, you must know the setup password (see
“Deleting or Changing an Existing Setup Password” found later in this chapter). If you
assign and later
forget
a setup password, you need to remove the computer cover to
change a jumper setting that disables the setup password feature (see “Disabling a
Forgotten Password” found later in this chapter). Note that you erase the
system
password
at the same time.
$VVLJQLQJD6HWXS3DVVZRUG
A setup password can be assigned (or changed) only when the Setup Password
option is set to Not Enabled. To assign a setup password, follow these steps:
If a character is illegal for password use, the system emits a beep.
The setup password is now assigned. The Setup Password option changes from
Not Enabled to Enabled.
NOTES: The setup password can be the same as the system password.
If the two passwords are different, the setup password can be used as an alternate
system password. However, the system password cannot be used in place of the
setup password.
After you verify the password, the Setup Password setting changes to Enabled. The
next time you enter the System Setup program, the system prompts you for the
setup password.

2-20 Dell OptiPlex E1 Mini Tower Managed PC Reference and Installation Guide
A change to the Setup Password option becomes effective immediately (rebooting
the system is not required).
2SHUDWLQJ:LWKD6HWXS3DVVZRUG(QDEOHG
If Setup Password is set to Enabled, you must enter the correct setup password
before you can modify the majority of the System Setup options.
When you start the System Setup program, the System Setup screen appears with
the Setup Password option highlighted, prompting you to type the password.
If you do not enter the correct password, the system lets you view, but not modify,
the System Setup screen—with the following exception: you can still modify the Sys-
tem Date, System Time, CPU Speed, Keyboard NumLock, and PC Speaker options.
NOTE: You can use the Password Status option in conjunction with Setup Password
to protect the system password from unauthorized changes. For more information,
see “Password Status” found earlier in this chapter.
'HOHWLQJRU&KDQJLQJDQ([LVWLQJ6HWXS3DVVZRUG
To delete or change an existing setup password, follow these steps:
If a character is illegal for password use, the system emits a beep. If the setup
password is deleted, the Setup Password option changes to Not Enabled. If the
setup password is changed, the Setup Password option remains Enabled.

Using the System Setup Program 2-21
'LVDEOLQJD)RUJRWWHQ3DVVZRUG
If you forget your system or setup password, you cannot operate your system or
change settings in the System Setup program until you remove the computer cover,
change the password jumper setting to disable the passwords, and erase the existing
passwords.
To disable a forgotten password, follow these steps.
Refer to Table 5-1 for jumper information and to Figure 5-6 for the location of the
password jumper (labeled “PSWD”) on the system board.
Booting your system with the PSWD jumper plug removed erases the existing
password(s).
See “Chassis Intrusion” found earlier in the chapter for instructions.
NOTE: If a setup password has been assigned by someone else, contact your
network administrator for information on resetting the chassis intrusion detector.
NOTE: Before you assign a new system and/or setup password, you must
replace the PSWD jumper plug.

2-22 Dell OptiPlex E1 Mini Tower Managed PC Reference and Installation Guide
Booting with the PSWD jumper installed reenables the password feature. When
you enter the System Setup program, both password options appear as Not
Enabled, meaning that the password feature is enabled but that no password has
been assigned.
NOTE: After you remove and replace the cover, the chassis intrusion detector will
cause the following message to be displayed at the next system start-up:
ALERT! Cover was previously removed.
See “Chassis Intrusion” earlier in the chapter for instructions.
NOTE: If a setup password has been assigned by someone else, contact your
network administrator for information on resetting the chassis intrusion detector.
To assign a new system password, see “Assigning a System Password” found
earlier in this chapter. To assign a new setup password, see “Assigning a Setup
Password” found earlier in this chapter.
5HVSRQGLQJWR(UURU0HVVDJHV
If an error message appears on your monitor screen while the system is booting,
make note of the message. Then, before entering the System Setup program, refer to
your
Diagnostics and Troubleshooting Guide
for an explanation of the message and
suggestions for correcting any errors. However, it is normal to receive an error mes-
sage the first time you boot the system after a memory upgrade. In that case, you do
not need to refer to the
Diagnostics and Troubleshooting Guide
; instead, refer to the
instructions in “Adding Memory” in Chapter 6 of this guide.
If you are given an option of pressing either <F1> to continue or <F2> to run the Sys-
tem Setup program, press the <F2> key.

Using the ISA Configuration Utility 3-1
&+$37(5
8VLQJWKH,6$&RQILJXUDWLRQ8WLOLW\
The ISA Configuration Utility (ICU) is used by the system to track what expansion
cards are installed and what resources are used. With this information, the system
automatically configures Plug and Play expansion cards and Peripheral Component
Interconnect (PCI) expansion cards and can tell you how to configure non-Plug and
Play Industry-Standard Architecture (ISA) expansion cards manually by setting jump-
ers or switches. Plug and Play and PCI expansion cards do not contain jumpers and
switches; they are configured only through software.
NOTES: The Microsoft Windows NT operating system does not provide full Plug and
Play support. Therefore, some Plug and Play cards (such as modem, sound, and net-
work cards) may not work with Windows NT. If your system is running a Dell-installed
Windows NT operating system and you want to use Plug and Play expansion cards,
Dell recommends that you use the card manufacturer’s configuration utility to set the
card to legacy mode, enter the card’s resources through the manufacturer’s utility,
and then use the ICU to add the Plug and Play expansion card to your system configu-
ration. On systems with a Dell-installed Windows NT operating system, the ICU is
installed on the hard-disk drive as a diskette image. Use the Dell Program Diskette
Maker (in the Dell Accessories folder) to make an ICU diskette from this diskette
image.
If you are using the Microsoft Windows 95 operating system, the functions provided
by the ICU are handled by the Device Manager, which can be accessed by double-
clicking the System icon in the Control Panel. See your Windows 95 documentation
for instructions on using the Device Manager to manage resources and resolve
conflicts.
The remainder of this chapter describes the various features of, and the various ways
to use, the ICU.

3-2 Dell OptiPlex E1 Mini Tower Managed PC Reference and Installation Guide
4XLFN6WDUW
To quickly get started using this utility, follow these steps:
See “When to Run the ICU” found later in this chapter for detailed instructions.
Preparatory steps include making a program diskette, copying your mouse driver
to this diskette, and making a backup copy of this diskette. See “Preparing to Use
the ICU” found later in this chapter for detailed instructions.
Verify that the Boot Sequence option in the System Setup program is set to Dis-
kette First. Then insert the backup copy of the ICU diskette into drive A, and turn
on your computer or press the reset button.
NOTE: The ICU takes a few minutes to load. During this time, the cursor may
appear as an hourglass rather than as an pointer.
When the utility has finished loading, the ICU window (see Figure 3-1) is
displayed.
Depending on what you need to accomplish with the ICU, you may need to per-
form one or more of these tasks:
If you are adding a non-Plug and Play ISA expansion card, see your online
System User’s Guide
or “Adding a Listed Card” found later in this chapter for
detailed instructions. If the card you are adding does not have a configuration
file, see your online
System User’s Guide
or “Adding an Unlisted Card” found
later in this chapter for detailed instructions.
If you are modifying a card that is already installed, see your online
System
User’s Guide
or “Modifying a Card” found later in this chapter for detailed
instructions.
If you are removing a card, see your online
System User’s Guide
or “Remov-
ing a Card” found later in this chapter for detailed instructions.
If you want to examine the resources already assigned in the system, see
your online
System User’s Guide
or “Viewing Resources” found later in this
chapter for detailed instructions.
See your online
System User’s Guide
or “Saving the System Configuration” and
“Exiting From the ICU” found later in this chapter for detailed instructions.

Using the ISA Configuration Utility 3-3
$ERXWWKH,&8
Before your system was shipped from Dell, a technician used the ICU to enter the
correct information for the expansion cards initially installed in your computer.
If your system was shipped with Dell-installed software, the ICU diskette image (from
which you can make an ICU diskette) is installed on your hard-disk drive. (Your system
may also be accompanied by an
ISA Configuration Utility Diskette
.)
The ICU is also available through online services such as Dell’s TechConnect bulletin
board service (BBS). See your online
System User’s Guide
or the chapter titled “Get-
ting Help” in your
Diagnostics and Troubleshooting Guide
for information on
accessing the BBS.
Whenever you add or remove a non-Plug and Play ISA expansion card, use the ICU to
reconfigure your system. The utility reads the card’s corresponding configuration file
(.cfg file), which describes the card’s characteristics and required system resources.
After the resources identified in these configuration files are assigned to all non-Plug
and Play ISA expansion cards, the system assigns resources to all Plug and Play
expansion cards, as well as PCI expansion cards, thereby creating a conflict-free
configuration.
,&8'DWDEDVH
The ICU provides a database of configuration files for a large variety of non-Plug and
Play ISA expansion cards. The database is located in the \db subdirectory. Listed cards
are non-Plug and Play ISA expansion cards that have configuration files stored in this
database.
Unlisted cards are non-Plug and Play ISA expansion cards that do not have configura-
tion files stored in the ICU database. Unlisted cards are not displayed in the list of
cards provided for the various card options. The unlisted cards may be cards for which
no configuration file exists or new cards that include a manufacturer-supplied configu-
ration file on diskette.
When you supply a configuration file and the ICU is running from the hard-disk drive,
the configuration file is copied to the directory that contains the rest of the ICU
database.
:KHQWR5XQWKH,&8
Whenever you add or remove non-Plug and Play ISA expansion cards, you must run
the ICU to ensure that no two cards attempt to use the same resources (such as
interrupt request [IRQ] lines).
Run the program
before
adding or removing any non-Plug and Play ISA expansion
cards. The ICU can identify and resolve any resource conflicts and indicate the proper
jumper and switch settings for each expansion card to avoid such conflicts. Running
the program first helps you determine how to configure a non-Plug and Play ISA
expansion card before you install it in your computer.

3-4 Dell OptiPlex E1 Mini Tower Managed PC Reference and Installation Guide
After you have run the ICU for your non-Plug and Play ISA expansion cards and it has
configured all your Plug and Play and PCI expansion cards, you can use the utility to
lock
the configuration of your Plug and Play and PCI expansion cards so that they are
always assigned the same resources. See your online
System User’s Guide
or “Lock-
ing and Unlocking Cards” found later in this chapter for details.
3UHSDULQJWR8VHWKH,&8
Before using the ICU for the first time, you must complete the following steps:
NOTE: If you received an
ISA Configuration Utility Diskette
with your system, skip
to step 2.
For instructions on how to create a program diskette from the diskette image,
see the online help provided in the Program Diskette Maker, which is available in
the Dell Accessories folder.
Use the backup copy whenever you run the utility; store the original diskette in a
safe place.
%DFNLQJ8SWKH,&8 'LVNHWWH
Before using the ICU, make a backup copy of the ICU diskette by performing the fol-
lowing steps.
NOTE: If you received an
ISA Configuration Utility Diskette
with your system, use this
procedure to create a backup of that diskette.
See your operating system documentation for instructions on making a copy of a
diskette.
Use only the backup diskette when running the ICU.

Using the ISA Configuration Utility 3-5
6WDUWLQJWKH,&8
After you have completed the procedures in “Preparing to Use the ICU” found earlier
in this chapter, insert the backup copy of the ICU diskette into drive A. Then either turn
on your system or reboot it by pressing the reset button.
$FFHVVLQJ+HOS
You can access online help in the ICU in four ways:
Select Contents from the Help menu to display a list of topics. Select a topic and
click Help. Help text on that topic appears in a dialog box.
For most dialog boxes, you can click Help to display information on the action you
are performing.
From the ICU window, press the <F1> key to display a list of available help
topics.
To redisplay the last message you received from the ICU, select Previous Mes-
sage from the Help menu.
0DNLQJ6HOHFWLRQVLQWKH,&8
The ICU window is the main window of the utility and the starting point for making
expansion-card changes. This window lists all non-Plug and Play ISA, Plug and Play,
and PCI expansion cards currently installed in the computer. The ICU window con-
tains menus and a tool bar, as shown in Figure 3-1. When you choose a course of
action, the ICU displays dialog boxes to guide you through the various steps.
You can maneuver through each menu and dialog box using a mouse. If a mouse is
not available, you can use the keys shown in Table 3-1.
Each menu and menu option has an underlined character in its name; when you press
the <Alt> key in conjunction with the key for the underlined character, the associated
menu or menu option is selected.

3-6 Dell OptiPlex E1 Mini Tower Managed PC Reference and Installation Guide
$GGLQJD/LVWHG&DUG
NOTE: If you want to add a configuration file that you received on diskette with a new
expansion card, you must copy the configuration file to the
\db
subdirectory on the
backup copy of the ICU diskette. You should then reboot your system and perform the
following procedure to add the expansion card.
To add a listed card with the ICU, follow these steps:
A dialog box like the one in Figure 3-2 appears, listing the names of all available
cards of that type.
If the card is not listed, see the next section, “Adding an Unlisted Card.”
<Alt><
x
><
y
> Displays the menu containing the underlined letter
x
and per-
forms the operation indicated by the menu item containing the
underlined letter
y
. For example, to save a file (that is, to display
the File menu and select the Save menu option), press <Alt><f>
and <s>.
<Tab> Moves from one control button or list to another.
Up- and down-
arrow keys Moves up and down through items in a list.
<Spacebar> Highlights an item in a list.
<Enter> Selects the highlighted button or item in a list.

Using the ISA Configuration Utility 3-7
The ICU uses the default resources set by the card manufacturer whenever pos-
sible. If the ICU cannot find a resource that is valid for the card and available in
the system, the utility generates an error message. See Appendix B, “ISA Config-
uration Utility Messages,” for an explanation of the message and a possible
solution to the conflict.
If you are satisfied with the default resources assigned to the card, you can skip
the remainder of this procedure.
The Card Configuration dialog box (see Figure 3-3) displays all resources used by
the card. Some cards have multiple functions, each having one or more resources
associated with it. For example, a communications card can have fax, modem,
and scanner functions, each of which may have one or more associated
resources.
The Configuration Settings dialog box (see Figure 3-4) displays the name of the
resource that you selected in the upper-left corner of the box. The resource
values currently associated with the selected function are displayed in the
Resources for Choice box. The resource values displayed are IRQ, DMA, Mem-
ory (Hex), and I/O Port (Hex).

3-8 Dell OptiPlex E1 Mini Tower Managed PC Reference and Installation Guide
You cannot manually enter a value; you must choose a setting from the list. If
there is only one setting listed, no other settings are available.
The setting that you select may affect the resources available. For example, if you
are offered the Disabled setting and select it, all resource values are blank, indi-
cating that a disabled setting uses no resources.
For example, when you click the value under DMA, the Options button changes
to the DMA Options button. When you click this button, a smaller dialog box
appears. By clicking the down arrow next to the current resource value, you can
display a list of the available values for the resource.

Using the ISA Configuration Utility 3-9
Choose the desired value and click OK. The value you selected is displayed under
the resource heading in the Configuration Settings dialog box.
The Options button is disabled if no alternative values are available for the
selected resource.
NOTE: If you change one or more resource values using the Options button and
later change the setting in the Configuration Choice box, the changes that you
made to the resource values are overwritten by the default values for the new
configuration choice.
NOTE: After modifying the system configuration, you must turn off the system to
install, remove, or change jumper settings on the non-Plug and Play ISA expansion
cards to match the settings you selected in the ICU.
$GGLQJDQ8QOLVWHG&DUG
Unlisted cards are non-Plug and Play ISA expansion cards that do not have configura-
tion files stored in the ICU database.
NOTE: If you want to add a configuration file that you received on diskette with a new
expansion card, see “Adding a Listed Card” found earlier in this chapter.
To add an unlisted card with the ICU, follow these steps:
A dialog box appears listing the names of all available cards of that type.

3-10 Dell OptiPlex E1 Mini Tower Managed PC Reference and Installation Guide
The Configure Unlisted Card dialog box appears with blank fields.
For example, if you click the box beneath IRQ, the button changes to Add Inter-
rupt. When you click this button, a Specify dialog box (in this case, Specify
Interrupt) appears. Figure 3-7 shows the Configure Unlisted Card dialog box with
the Specify Interrupt dialog box opened.
If you are providing a value for the interrupt request (IRQ) or direct memory
access (DMA) resource, click the down arrow beneath Available Resources. A
smaller Specify list box appears (see Figure 3-8). Click the value you want to
assign to the resource. Then click OK.
If none of the values for the DMA or IRQ resources match the allowable values
for your unlisted card (as indicated in the card’s documentation), select one of the
available values offered by the utility and click OK.

Using the ISA Configuration Utility 3-11
If you are providing values for the input/output (I/O) port or memory resources,
you must enter the starting and ending addresses in hexadecimal format using
the two fields provided by the Specify Memory or Specify I/O Port dialog box (see
Figure 3-9). Click each box in succession to enter the beginning and ending
addresses, and then click OK to complete the selection.
A message box appears, notifying you either that the card is using its default set-
tings or that it cannot use its default settings and must be reconfigured.
NOTE: After modifying the system configuration, you must turn the system off to
install, remove, or change jumper settings on the non-Plug and Play ISA expansion
cards to match the settings you selected in the ICU.
0RGLI\LQJD&DUG
Modifying a card allows you to change the system resources used by a card. This fea-
ture is helpful when you want to add a card that requires resources already in use by
other cards or devices in your computer. You can allocate different resources to the
cards currently in your computer to free the resources necessary for the card you
want to install.
You can also use this feature to force Plug and Play or PCI expansion cards to use spe-
cific resource values. This procedure is called
locking
a card. You should lock a card
only if it uses static device drivers. See “Locking and Unlocking Cards” found later in
this chapter for more information.

3-12 Dell OptiPlex E1 Mini Tower Managed PC Reference and Installation Guide
NOTE: You cannot modify the resources of a Plug and Play or PCI expansion card. You
can only view the resources currently assigned and lock or unlock them.
To modify the resource settings for a listed or unlisted card, follow these steps:
If the Card Configuration dialog box appears, the selected card is listed (it has a
configuration file in the ICU database). Continue with step 3.
If the Configure Unlisted Card dialog box appears, the card is unlisted (it does not
have a configuration file). Proceed to step 5.
NOTE: When you modify an unlisted card, the ICU cannot show you the valid
resources for the card. Therefore, you must have documentation from the card
manufacturer that describes the resources and resource settings that the card
can use.
You have completed this procedure; do not proceed to step 5.
For example, if you click the box beneath IRQ, the Add, Modify, and Remove
buttons change to Add Interrupt, Modify Interrupt, and Remove Interrupt. When
you click one of these buttons, a smaller Specify list box (in this case, Specify
Interrupt) appears.
If you are providing a value for the IRQ or DMA resource, click the down arrow
beneath Available Resources. Click the value you want to assign to the resource.
If the resource can be shared with another card or device, click Sharable. Then
click OK.
If none of the values for the DMA or IRQ resource match the allowable values for
your unlisted card (as indicated in the card’s documentation), select one of the
available values offered by the utility and click OK.
If you are providing values for the I/O port or memory resource, you must enter
the starting and ending addresses in hexadecimal format using the two fields
provided by the Specify Memory or Specify I/O Port dialog box.

Using the ISA Configuration Utility 3-13
A message box appears, notifying you either that the card is using its default set-
tings or that it cannot use its default settings and must be reconfigured.
NOTE: After modifying the system configuration, you must turn off the system to
install, remove, or change jumper settings on the non-Plug and Play ISA expansion
cards to match the settings you selected in the ICU.
5HPRYLQJD&DUG
Before you remove a non-Plug and Play ISA expansion card from your computer, you
must use the ICU to remove the card from the system configuration.
NOTE: When you remove a Plug and Play or PCI expansion card from your computer,
you do not need to run the ICU. To remove a Plug and Play or PCI expansion card,
complete steps 2 through 9 in “Removing an Expansion Card” in Chapter 6.
To remove a non-Plug and Play ISA expansion card from your computer, follow these
steps:
The ICU requests verification that you want to remove the card.
The ICU returns to the ICU window.

3-14 Dell OptiPlex E1 Mini Tower Managed PC Reference and Installation Guide
See “Removing an Expansion Card” in Chapter 6 for instructions.
9LHZLQJ5HVRXUFHV
The ICU displays all resources currently used by your system.
To view all system resources, select System Resources from the View menu or click
View. The System Resource Usage dialog box (see Figure 3-10) displays all resources
currently used by the system.
To determine which card uses a particular resource shown in the System Resource
Usage dialog box, select the resource in question and then click Used By Card. The
Card Resource Usage dialog box appears with the information.
To view the resources that a particular card is using, select the card from the list dis-
played in the ICU window, and then select Card Resources from the View menu or
click View. The Card Resource Usage dialog box displays the resources assigned to
that card. Figure 3-11 shows resources that might be assigned to a network adapter
card.
You can save the information displayed in the resource usage dialog box by clicking
Print To File. The ICU then prompts you for a filename.

Using the ISA Configuration Utility 3-15
6DYLQJWKH6\VWHP&RQILJXUDWLRQ
You can save the system configuration to nonvolatile random-access memory
(NVRAM) as you configure each card’s resources. To do so, select Save from the File
menu and continue with your operation.
([LWLQJ)URPWKH,&8
At the ICU window, select Exit from the File menu to exit the utility. If you have made
any changes to the system configuration, you are asked whether you want to save the
changes.
If you click Yes, the ICU saves the updated system configuration information into
NVRAM. If you click No, you exit the ICU without saving any of your configuration
changes. If you click Cancel, nothing is saved and the utility continues to operate.
/RFNLQJDQG8QORFNLQJ&DUGV
The ICU includes a locking mechanism that enables you to allocate the system
resources for all or for some functions of Plug and Play and PCI expansion cards.
These expansion cards are
dynamic
, which means that they are allocated resources at
system start-up. Device drivers that do not support this dynamic card configuration
are referred to as
static device drivers
.
To determine whether your expansion card has static device drivers, check the docu-
mentation that came with the drivers. If you are using a static device driver, you need
to permanently associate resources with a Plug and Play expansion card, instead of
relying on the default Plug and Play behavior. Otherwise, the device driver might not
be able to find the card the next time the system boots. This procedure is referred to
as
locking
a card.
NOTE: The locking feature of the ICU is valid only for Plug and Play and PCI expansion
cards.
/RFNLQJDQG8QORFNLQJ$OO5HVRXUFHV
To lock or unlock all the resources and configurations for a Plug and Play or PCI expan-
sion card, follow these steps:
Complete steps 2 through 9 in “Installing an Expansion Card” in Chapter 6.
See “Starting the ICU” found earlier in this chapter.

3-16 Dell OptiPlex E1 Mini Tower Managed PC Reference and Installation Guide
A check mark next to Locking Enabled signifies that the feature is active; a Lock
button appears on the tool bar.
Both options toggle the lock state of the selected card.
/RFNLQJDQG8QORFNLQJ&RQILJXUDWLRQ5HVRXUFHV
You can also lock and unlock individual resources for a Plug and Play or PCI expansion
card. To do so, follow these steps:
Complete steps 2 through 9 in “Installing an Expansion Card” in Chapter 6.
See “Starting the ICU” found earlier in this chapter.
A check mark next to Locking Enabled signifies that the feature is active; a Lock
button appears on the tool bar.
See “Modifying a Card” found earlier in this chapter for more information.
The Lock Resources box toggles the lock state of the selected configuration
setting.

Using Integrated Devices 4-1
&+$37(5
8VLQJ,QWHJUDWHG'HYLFHV
This chapter describes the configuration software provided with your system for the
following integrated devices:
Video controller
Optional audio controller
Network interface controller (NIC)
See the corresponding section in this chapter for the device you want to configure or
reconfigure.
9LGHR&RQWUROOHU
Your system has an ATI Rage IIC baseline accelerated graphics port (AGP) super video
graphics array (SVGA) video controller. If your system came with a Dell-installed oper-
ating system, the video drivers for that operating system are installed on your hard-
disk drive. For information on reinstalling video drivers, see “Using Drivers and Utili-
ties” in your online
System User’s Guide
. For instructions on changing to a different
video driver, see your operating system documentation.
$XGLR&RQWUROOHU
Your system may have an integrated Crystal CS4236B audio controller and audio
drivers for the following operating systems:
Microsoft Windows 3.1
x
and Windows for Workgroups™
Microsoft Windows 95
Microsoft Windows NT Workstation and Server
The audio drivers for your operating system have already been installed on your hard-
disk drive. For information on reinstalling audio drivers, reconfiguring the audio
controller, or using the audio utilities provided with your system, see “Using the Audio
Controller” in your online
System User’s Guide
.

4-2 Dell OptiPlex E1 Mini Tower Managed PC Reference and Installation Guide
1,&
The integrated 10/100-megabit per second (Mbps) 3Com PCI 3C905b-TX Ethernet
NIC provides all the functions of a separate network expansion card and supports
both the 10BASE-T and 100BASE-TX Ethernet standards.
The NIC includes a Wakeup On LAN feature that enables the computer to be started
up by a special local area network (LAN) signal from a server management console.
Wakeup On LAN provides remote computer setup, software downloading and instal-
lation, file updates, and asset tracking after hours and on weekends when LAN traffic
is typically at a minimum.
The NIC connector on the computer’s back panel has the following indicators (see
Figure 4-1):
A yellow
activity indicator
flashes when the system is transmitting or receiving
network data. (A high volume of network traffic may make this indicator appear to
be in a steady “on” state.)
A green
link integrity indicator
lights up when there is a good connection
between the network and the NIC. When the green indicator is off, the computer
is not detecting a physical connection to the network.
1HWZRUN&DEOH5HTXLUHPHQWV
Your computer’s NIC connector (an RJ45 connector located on the back panel) is
designed for attaching an unshielded twisted pair (UTP) Ethernet cable. Press one end
of the UTP cable into the NIC connector until the cable snaps securely into place.
keyboard
connector
mouse
connector
serial port 2
connector
USB
connectors (2)
parallel port
connector
NIC connector
video connector
activity indicator
link integrity
indicator
serial port 1
connector
microphone jack
line-out jack
line-in jack

Using Integrated Devices 4-3
Connect the other end of the cable to an RJ45 jack wall plate or to an RJ45 port on a
UTP concentrator or hub, depending on your network configuration. Observe the fol-
lowing cabling restrictions for 10BASE-T and 100BASE-TX networks.
For 10BASE-T networks, use option 3 or greater wiring and connectors.
For 100BASE-TX networks, use option 5 wiring and connectors.
The maximum cable run length (from a workstation to a concentrator) is
328 feet (ft) (100 meters [m]).
The maximum number of workstations (not counting concentrators) on a net-
work is 1024.
For 10BASE-T networks, the maximum number of daisy-chained concentrators
on one network segment is four.
&RQILJXULQJWKH1,&
This subsection provides instructions for configuring or reconfiguring the computer’s
integrated NIC under the following operating systems:
Microsoft Windows NT
Microsoft Windows 95
Microsoft Windows for Workgroups
MS-DOS®
In addition, this subsection describes how to set the network frame type manually for
an Internetwork Packet Exchange/Sequenced Packet Exchange (IPX/SPX)-compatible
network protocol, on systems using Windows 95 or Windows NT.
NOTES: The NIC drivers for systems running a Dell-installed Windows NT 4.0 or
Windows 95 operating system are automatically detected and installed. Instructions
for reconfiguring the NIC driver are included in the following subsections.
The 3Com EtherDisk
®
XL version 3.01 diskettes provided by Dell are compatible with
the 3C905 family of NICs. Do not attempt to use 3Com EtherDisk XL diskettes from
any other source. Use only the 3Com EtherDisk XL version 3.01 diskettes that were
provided by Dell.
NOTE: If you are installing the Windows NT 4.0 operating system for the first time,
you must install Windows NT 4.0 Service Pack 3 and the bus-mastering enhanced inte-
grated drive electronics (EIDE) device drivers prior to installing the Windows NT 4.0 NIC
driver.

4-4 Dell OptiPlex E1 Mini Tower Managed PC Reference and Installation Guide
To connect your system to, and configure it for use on, an Ethernet network, follow
these steps:
See “Network Cable Requirements” found earlier in this section for more
information.
See Chapter 2, “Using the System Setup Program,” for more information.
For information on administrative users and privileges, see your Windows NT
documentation.
NOTE: If you are installing networking on your system for the first time, Win-
dows NT displays a message asking if you want to install networking. Click Yes,
and refer to your Windows NT documentation for instructions.
a:\
See your system administrator for information.

Using Integrated Devices 4-5
To connect your system to, and configure it for use on, an Ethernet network, follow
these steps:
See “Network Cable Requirements” found earlier in this section for more
information.
See Chapter 2, “Using the System Setup Program,” for more information.
For information on administrative users and privileges, see your Windows NT
documentation.
The Network Settings window appears.
a:\
The Select OEM Option dialog box appears.
See your system administrator for more information.

4-6 Dell OptiPlex E1 Mini Tower Managed PC Reference and Installation Guide
NOTE: If you are installing the Microsoft Windows 95 operating system for the first
time, you must use either the Windows 95 service release version provided by Dell or
its equivalent. Because of the advanced architecture of your system, some compo-
nents do not function correctly with Windows 95 versions earlier than Service
Release 2.
Windows 95 automatically detects and installs the NIC driver. The following instruc-
tions are for reconfiguring the NIC driver on systems running Windows 95, Service
Release 2 or Service Release 2.1. To determine the service release version of your
Windows 95 operating system, click the Start button, point to Settings, and click
Control Panel. Double-click the System icon to access the System Properties window,
and click the General tab. If your system version is 4.00.950 B, then your operating
system is Windows 95 Service Release 2 or Service Release 2.1. For Windows 95
Service Release 1 or Windows 95 operating systems not installed by Dell, the system
version is 4.00.950 A and 4.00, respectively.
To connect your system to, and configure it for use on, an Ethernet network, follow
these steps:
See Chapter 2, “Using the System Setup Program,” for more information.
The Update Device Driver Wizard starts.

Using Integrated Devices 4-7
Windows 95 finishes copying all of the files to the system’s hard-disk drive.
See your Windows 95 documentation for information about usernames and
passwords.
To connect your system to, and configure it for use on, an Ethernet network, follow
these steps:
See “Network Cable Requirements” found earlier in this section for more
information.
See Chapter 2, “Using the System Setup Program,” for more information.
a:\wfw311

4-8 Dell OptiPlex E1 Mini Tower Managed PC Reference and Installation Guide
a:\wfw311
a:\ndis2\dos
To connect your system to, and configure it for use on, an Ethernet network, follow
these steps:
See “Network Cable Requirements” found earlier in this section for more
information.
See Chapter 2, “Using the System Setup Program,” for more information.
(3c90xcfg.exe)

Using Integrated Devices 4-9
If your Windows 95 or Windows NT system is connected to a network, verify the fol-
lowing network protocol settings:

4-10 Dell OptiPlex E1 Mini Tower Managed PC Reference and Installation Guide

Working Inside Your Computer 5-1
&+$37(5
:RUNLQJ,QVLGH<RXU&RPSXWHU
Your Dell computer system supports a variety of internal options that expand system
capabilities. This chapter prepares you to install options inside the computer. It
describes how to remove and replace the computer cover and expansion-card cage. It
also familiarizes you with the internal components you may handle if you install Dell
hardware options.
%HIRUH<RX%HJLQ
To make working inside your computer easier, make sure you have adequate lighting
and a clean work space. If you temporarily disconnect cables or remove expansion
cards, note the position of the connectors and slots so that you can reassemble the
system correctly.
You will use the information in this section every time you install a hardware option
inside your computer.
Read this section carefully
, because the information is not
repeated in detail elsewhere in this guide.
6DIHW\)LUVW )RU<RXDQG<RXU&RPSXWHU
Working inside your computer is safe—if you observe the following precautions.

5-2 Dell OptiPlex E1 Mini Tower Managed PC Reference and Installation Guide
In addition, Dell recommends that you periodically review the safety instructions at
the front of this guide.
8QSDFNLQJ<RXU+DUGZDUH2SWLRQ
When you remove an option from its shipping carton, you may find it wrapped in anti-
static packing material designed to protect it from electrostatic damage. Do not
remove the packing material until you are ready to install the option.
5HPRYLQJWKH&RPSXWHU&RYHU
To remove the computer cover, follow these steps:
padlock
ring

Working Inside Your Computer 5-3
Facing the left side cover, press the release button (located at the bottom-left
corner of the front bezel) and lift the bottom of the cover, allowing it to pivot up
toward you (see Figure 5-2).
Disengage the tabs that secure the cover to the top of the chassis, and lift the
cover away.
5HSODFLQJWKH&RPSXWHU&RYHU
To replace the computer cover, follow these steps:
Facing the left side of the computer, hold the cover at a slight angle as shown in
Figure 5-3, and then align the top of the cover with the top of the chassis. Insert
the tabs on the cover into the recessed slots on the computer chassis so that the
tabs catch the hooks inside the slots.
release button

5-4 Dell OptiPlex E1 Mini Tower Managed PC Reference and Installation Guide
Pivot the cover down toward the bottom of the chassis and into position. Make
sure that the securing hooks at the bottom of the cover click into place.
Enter the System Setup program and reset Chassis Intrusion to Not Detected.
See “Chassis Intrusion” in Chapter 2 for instructions.
NOTE: If a setup password has been assigned by someone else, contact your
network administrator for information on resetting the chassis intrusion detector.
,QVLGH<RXU&RPSXWHU
Figure 5-4 shows a side view of your computer to help you orient yourself when
installing hardware options. Unless otherwise specified, locations or directions rela-
tive to the computer are as shown.
tab
recessed
slot

Working Inside Your Computer 5-5
Figure 5-5 shows your computer with its cover removed. Refer to this illustration to
locate interior features and components discussed in this guide.
When you look inside your computer, note the
DC power cables
coming from the
power supply. These cables supply power to the system board; to internal diskette
drives, hard-disk drives, and tape drives; and to certain expansion cards that connect
to external peripherals.
The flat ribbon cable in Figure 5-5 is typical of the
interface cables
for internal drives.
An interface cable connects a drive to a connector on the system board or on an
expansion card.
The
system board
—the large printed circuit board at the bottom of the chassis—holds
the computer’s control circuitry and other electronic components. Some hardware
options are installed directly onto the system board.
During an installation procedure, you may be required to change a
jumper
setting on
the system board and/or a jumper or
switch
setting on an expansion card or on a drive.
Jumpers and switches provide a convenient and reversible way of reconfiguring the
circuitry on a printed circuit board. For information on jumpers and switches, see the
following two subsections.
-XPSHUV
Jumpers are small blocks on a circuit board with two or more pins emerging from
them. Plastic plugs containing a wire fit down over the pins. The wire connects the
pins and creates a circuit.
front
back
drive
cage
power
supply
internal
drive bracket
expansion-card
cage
top
system
board
bottom

5-6 Dell OptiPlex E1 Mini Tower Managed PC Reference and Installation Guide
To change a jumper setting, pull the plug off its pin(s) and carefully fit it down onto the
pin(s) indicated.
A jumper is referred to as
open
or
unjumpered
when the plug is pushed down over
only one pin or if there is no plug at all. When the plug is pushed down over two pins,
the jumper is referred to as
jumpered
. In some documents, the jumper setting may be
shown in text as two numbers, such as
1-2
. The number
1
is printed on the circuit
board so that you can identify each pin number based on the location of pin 1.
Figure 5-6 shows the location and default settings of the jumper blocks on your sys-
tem board. See Table 5-1 for the designations, default settings, and functions of your
system’s jumpers.
6ZLWFKHV
Switches control various circuits or functions in your computer system. The switches
you are most likely to encounter are dual in-line package (DIP) switches, which are
normally packaged in groups of two or more switches in a plastic case. Two common
types of DIP switches are
slide
switches and
rocker
switches (see the following
illustration).
Each of these switches has two positions, or
settings
(usually
on
and
off
). To change
the setting of a slide switch, use a small, pointed object such as a small screwdriver or
a straightened paper clip to slide the switch to the proper position. To change the
setting of a rocker switch, use the screwdriver or paper clip to press down on the
appropriate side of the switch. In either case, do not use a pen, pencil, or other object
that might leave a residue on the switch.
slide switches rocker switches

Working Inside Your Computer 5-7
line-in jack
line-out jack
padlock ring
system board
expansion-card
cage
riser board
optional integrated
NIC connector
AC power receptacle
parallel port connector
mouse connector
keyboard connector
security cable slot
video connector
microphone jack
serial port 1 connector
internal drive
cage
external drive
bays
interface cable
power supply
serial port 2 connector
USB connectors
chassis intrusion
switch

5-8 Dell OptiPlex E1 Mini Tower Managed PC Reference and Installation Guide
jumpered unjumpered

Working Inside Your Computer 5-9
6\VWHP%RDUGDQG5LVHU%RDUG/DEHOV
Table 5-2 lists the labels for connectors and sockets on your system board and riser
board, and it gives a brief description of their functions.
PSWD Password features are enabled.
Password features are disabled.
BIOS
Reserved
(do not change)
.
233MHZ
*
Jumpered when the microprocessor’s internal
speed is 233 MHz.
266MHZ
*
Jumpered when the microprocessor’s internal
speed is 266 MHz.
300MHZ
*
Jumpered when the microprocessor’s internal
speed is 300 MHz.
333MHZ
*
Jumpered when the microprocessor’s internal
speed is 333 MHz.
* One set of the speed jumper pins must have a jumper plug installed; otherwise, the system
will operate at an undetermined speed.
NOTE: For the full name of an abbreviation or acronym used in this table, see the Glossary in your
online
System User’s Guide
.
(default)
(default)
jumpered unjumpered

5-10 Dell OptiPlex E1 Mini Tower Managed PC Reference and Installation Guide
AMC ATI multimedia channel connector
BATTERY Battery socket
CD_IN CD-ROM audio interface connector
DIMM_
x
DIMM socket
DSKT Diskette/tape drive interface connector
ENET Integrated NIC connector
FAN Microprocessor fan connector
HDLED Hard-disk drive LED connector (on riser board)
IDE
n
EIDE interface connector
INTRUSION Chassis intrusion switch connector
ISA
n
ISA expansion-card connector (on riser board)
KYBD Keyboard connector
LINE-IN Audio line-in jack (optional)
LINE-OUT Audio line-out jack (amplified source; optional)
MIC Microphone jack (optional)
MONITOR Video connector
MOUSE Mouse connector
P1 Wakeup On LAN power connector (on riser
board)
PANEL Control panel connector
PARALLEL Parallel port connector; sometimes referred to
as
LPT1
PCI
n
PCI expansion-card connector (on riser board)
NOTE: For the full name of an abbreviation or acronym used in this table, see the Glossary in your
online
System User’s Guide
.

Working Inside Your Computer 5-11
5HPRYLQJDQG5HSODFLQJWKH([SDQVLRQ
&DUG&DJH
Your Dell computer has a removable expansion-card cage, which greatly simplifies
many installation procedures by allowing you to remove the riser board and all
installed expansion cards in a single step.
5HPRYLQJWKH([SDQVLRQ&DUG&DJH
To remove the expansion-card cage, follow these steps.
POWER_1 Main power input connector
POWER_2 3.3-V power input connector
RISER Riser board connector
SERIAL
n
Serial port connector
SLOT1 Microprocessor connector
MODEM Telephony connector
USB USB connector
VIDEO_UPGRADE Video-memory upgrade socket
NOTE: For the full name of an abbreviation or acronym used in this table, see the Glossary in your
online
System User’s Guide
.

5-12 Dell OptiPlex E1 Mini Tower Managed PC Reference and Installation Guide
5HSODFLQJWKH([SDQVLRQ&DUG&DJH
To replace the expansion-card cage, follow these steps:
tabs
securing
lever

Working Inside Your Computer 5-13
5RWDWLQJWKH3RZHU6XSSO\$ZD\)URPWKH
6\VWHP%RDUG
To access some components on the system board, you may have to rotate the system
power supply out of the way. Use the following procedure to rotate the power supply.
.
DC power
cables
power supply
securing tab
AC power
cable
AC power
receptacle

5-14 Dell OptiPlex E1 Mini Tower Managed PC Reference and Installation Guide

Installing System Board Options 6-1
&+$37(5
,QVWDOOLQJ6\VWHP%RDUG2SWLRQV
This chapter describes how to install the following options:
Peripheral Component Interconnect (PCI) and Industry-Standard Architecture
(ISA) expansion cards
System memory
Video memory
This chapter also includes instructions for replacing the system battery, if necessary.
Use Figure 6-1 to locate the system board features.
microprocessor
connector (SLOT1)
m
i
croprocessor
fan connector
(FAN)
video connector
(MONITOR)
serial port 2
connector
(SERIAL2) USB connectors (USB) (2)
parallel/serial port 1
connectors (stacked)
(PARALLEL/SERIAL1)
mouse/keyboard
connectors (stacked)
(MOUSE/KYBD)
video-memory
upgrade socket
(VIDEO_UPGRADE)
control panel
connector (PANEL)
battery socket
(BATTERY)
integrated NIC
connector (ENET)
riser board
connector (RISER)
system board jumpers
primary EIDE interface
connector (IDE1) (pin-1 corner)
secondary EIDE
interface connector
(IDE2) (pin-1 corner) diskette/tape drive
interface connector
(DSKT) (pin-1 corner)
DIMM sockets (2)
(DIMM_B–DIMM_C)
main power input
connector (POWER_1)
3.3-V power input
connector (POWER_2)
ATI multimedia channel
connector (AMC)
C
D-in connector (
C
D-IN)
chassis intrusion switch
connector (INTRUSION)
heat sink
line-in jack (LINE-IN)
(optional)
line-out jack (LINE-OUT)
(optional)
microphone jack
(MIC) (optional)
telephony
connector (MODEM)
front of
computer

6-2 Dell OptiPlex E1 Mini Tower Managed PC Reference and Installation Guide
([SDQVLRQ&DUGV
Expansion cards are installed on the computer’s riser board (see Figure 6-3). The riser
board plugs into the RISER connector on the system board (see Figure 6-1) and is
considered an extension of the system board.
The system accommodates up to four expansion cards, which can be a combination
of 32-bit PCI expansion cards and 8- and 16-bit ISA expansion cards. (See Figure 6-2
for examples of ISA and PCI expansion cards.)
([SDQVLRQ6ORWV
Four expansion-card connectors reside on the riser board (see Figure 6-3). The riser
board expansion-card connectors support two 8- or 16-bit ISA expansion cards and
two 32-bit PCI expansion cards in the following manner:
Expansion-card connectors ISA1 and ISA2 (at the top of the card) support 8- or
16-bit ISA expansion cards.
Expansion-card connectors PCI1 and PCI2 support 32-bit PCI expansion cards.
NOTE: Because of the height of the hard-disk drive, expansion-card connector
PCI1 is limited to an 8.75-inch-long card.
8-bit ISA expansion card
16-bit ISA expansion card
32-bit PCI expansion card

Installing System Board Options 6-3
,QVWDOOLQJDQ([SDQVLRQ&DUG
To install an expansion card, follow these steps:
See Chapter 3, “Using the ISA Configuration Utility,” for instructions.
NOTE: If you install a PCI or Plug and Play expansion card, your system automati-
cally performs any required configuration tasks during the boot routine.
See the documentation that came with the expansion card for information on
configuring the card, making internal connections, or otherwise customizing the
card for your system.
ISA2
ISA1
PCI2
PCI1
HDLED
connector
LED
P1

6-4 Dell OptiPlex E1 Mini Tower Managed PC Reference and Installation Guide
Save the screw to use when installing the expansion card later in this procedure.
Insert the card-edge connector firmly into the expansion-card connector on the
riser board. Gently rock the card into the connector until the card is fully seated
(see Figure 6-5).
filler bracket
expansion-card cage
expansion card
card-edge
connector
expansion-card
connector
riser board

Installing System Board Options 6-5
See the documentation that came with the card for information about its cable
connections.
NOTE: After you remove and replace the cover, the chassis intrusion detector will
cause the following message to be displayed at the next system start-up:
ALERT! Cover was previously removed.
See Chapter 2, “Using the System Setup Program,” for instructions.
NOTE: If a setup password has been assigned by someone else, contact your
network administrator for information on resetting the chassis intrusion detector.
5HPRYLQJDQ([SDQVLRQ&DUG
To remove an expansion card, follow these steps:
See Chapter 3, “Using the ISA Configuration Utility,” for instructions.

6-6 Dell OptiPlex E1 Mini Tower Managed PC Reference and Installation Guide
NOTE: Installing filler brackets over empty card-slot openings is necessary to
maintain Federal Communications Commission (FCC) certification of the system.
The brackets also keep dust and dirt out of your computer.
NOTE: After you remove and replace the cover, the chassis intrusion detector will
cause the following message to be displayed at the next system start-up:
ALERT! Cover was previously removed.
See Chapter 2, “Using the System Setup Program,” for instructions.
NOTE: If a setup password has been assigned by someone else, contact your
network administrator for information on resetting the chassis intrusion detector.
$GGLQJ0HPRU\
Memory can be increased to a maximum of 256 megabytes (MB) by installing combi-
nations of 16-, 32-, 64-, or 128-MB nonparity synchronous dynamic random-access
memory (SDRAM) dual in-line memory modules (DIMMs) in the two DIMM sockets
on the system board. Figure 6-6 shows the DIMMs and DIMM sockets. DIMM speed
(66 megahertz [MHz]) should match the external bus speed of the microprocessor.
DIMMs (2)
DIMM sockets (2)

Installing System Board Options 6-7
Table 6-1 lists sample memory configurations and shows valid DIMM combinations
and socket placements for each configuration.
.
3HUIRUPLQJD0HPRU\8SJUDGH
To perform a memory upgrade, follow these steps.
NOTES: After you remove and replace the cover in the following procedure, the chas-
sis intrusion detector will cause the following message to be displayed at the next
system start-up:
ALERT! Cover was previously removed.
To reset the chassis intrusion detector, enter the System Setup program and reset
Chassis Intrusion to Not Detected. See Chapter 2, “Using the System Setup Pro-
gram,” for instructions. If a setup password has been assigned by someone else,
contact your network administrator for information on resetting the chassis intrusion
detector.
16 MB 16 MB
32 MB 32 MB
32 MB 16 MB 16 MB
48 MB 16 MB 32 MB
64 MB 64 MB
64 MB 32 MB 32 MB
80 MB 16 MB 64 MB
96 MB 32 MB 64 MB
128 MB 64 MB 64 MB
128 MB 128 MB
144 MB 16 MB 128 MB
160 MB 128 MB 32 MB
192 MB 128 MB 64 MB
256 MB 128 MB 128 MB
NOTE: For the full name of an abbreviation or acronym used in this
table, see the Glossary in your online
System User’s Guide
.

6-8 Dell OptiPlex E1 Mini Tower Managed PC Reference and Installation Guide
Follow the instructions in “Installing a DIMM” or “Removing a DIMM,” as appro-
priate, found later in this chapter.
After the system completes the power-on self-test (POST) routine, the system
runs a memory test that displays the total memory of all installed DIMMs, includ-
ing those you just installed.
NOTES: If the memory total is incorrect, turn off your computer and peripherals
and disconnect them from their electrical outlets, remove the computer cover,
and make sure that the installed DIMMs are seated properly in their sockets.
Then repeat this step.
The system detects that the new memory does not match the existing system
configuration information, which is stored in nonvolatile random-access memory
(NVRAM), and generates the following message:
The amount of system memory has changed.
Strike the F1 key to continue, F2 to run the setup utility
The system should have already changed the value in the System Memory option
to reflect the newly installed memory. Verify the new total. If the memory total is
correct, proceed with step 8.

Installing System Board Options 6-9
See your
Diagnostics and Troubleshooting Guide
for information on running the
Dell Diagnostics and troubleshooting any problems that may occur.
To install a DIMM, follow these steps:
For optimum performance, the first DIMM should be installed in socket B (see
Figure 6-1).
securing
clips (2)

6-10 Dell OptiPlex E1 Mini Tower Managed PC Reference and Installation Guide
To remove a DIMM, press the securing clips outward (see Figure 6-8) simultaneously
until the DIMM disengages from the socket (it should pop up slightly).
$GGLQJ9LGHR0HPRU\
You can upgrade video memory from 2 to 4 MB by installing a video-memory upgrade
module. Upgrading the video memory increases video performance and allows you to
use video modes for application programs that require high resolutions and many
colors.
To upgrade the video memory, follow these steps.
Video memory modules are
keyed
, or designed to fit in the socket in only one
direction. The socket on the system board is notched so that the video memory
module can be firmly seated only one way.
Align the video memory module’s edge connector with the slot in the center of
the socket. Press the video memory module’s edge connector firmly into the
socket. Pivot the module down until it clicks into place.
If you do not hear a sharp click, you should remove the module and reinstall it.
securing
clips (2)

Installing System Board Options 6-11
As the system boots, it detects the presence of the new video memory and auto-
matically changes the system configuration information in the System Setup
program.
See Chapter 2, “Using the System Setup Program.”
If the video memory total is incorrect, turn off the system, remove the computer
cover, and reseat the video-memory upgrade module in its socket.
For information on using the diagnostics and troubleshooting any problems that
occur, see the chapter titled “Running the Dell Diagnostics” in your
Diagnostics
and Troubleshooting Guide
.
video-memory
upgrade socket video-memory
upgrade module
notch

6-12 Dell OptiPlex E1 Mini Tower Managed PC Reference and Installation Guide
5HSODFLQJWKH6\VWHP%DWWHU\
A 3.0-volt (V) CR2032 coin-cell battery installed on the system board maintains sys-
tem configuration, date, and time information in a special section of memory.
The operating life of the battery can extend up to ten years. The battery may need
replacing if an incorrect time or date is displayed during the boot routine along with a
message such as:
Time-of-day not set — please run SETUP program
or
Invalid configuration information —
please run SETUP program
or
Strike the F1 key to continue,
F2 to run the setup utility
To determine whether the battery needs replacing, reenter the time and date through
the System Setup program and exit the program properly to save the information (see
Chapter 2, “Using the System Setup Program,” for instructions). Turn off your system
and unplug the power cable from the electrical outlet for a few hours; then reconnect
and turn on your system. Enter the System Setup program. If the date and time are
not correct in the System Setup program, replace your battery.
You can operate your system without a battery; however, without a battery, the sys-
tem configuration information is erased if the system is turned off or unplugged from
the electrical outlet. In this case, you must enter the System Setup program and reset
the configuration options.
Use the following procedure to replace the system battery with another CR2032 coin-
cell battery:
If the settings are lost while you are replacing the battery, refer to your written or
printed copy of the system configuration information to restore the correct set-
tings. See Chapter 2, “Using the System Setup Program,” for instructions.

Installing System Board Options 6-13
The battery (see Figure 6-1) is mounted in a socket labeled “BATTERY,” in the
front-right corner of the system board (as you face the front of the system).
Pry the battery out of its socket with your fingers or with a blunt, nonconductive
object, such as a plastic screwdriver.
Orient the battery with the side labeled “+” facing up (see Figure 6-10). Then
insert the battery into the socket, and snap it into place.
NOTE: After you remove and replace the cover, the chassis intrusion detector will
cause the following message to be displayed at the next system start-up:
ALERT! Cover was previously removed.
See Chapter 2, “Using the System Setup Program,” for instructions.
NOTE: If a setup password has been assigned by someone else, contact your
network administrator for information on resetting the chassis intrusion detector.
BATTERY
socket
battery

6-14 Dell OptiPlex E1 Mini Tower Managed PC Reference and Installation Guide
See Chapter 2, “Using the System Setup Program,” for information on running
the System Setup program.
Enter the correct time and date through the System Setup program’s System
Time and System Date options. Also, use the copy you made in step 1 to restore
the correct settings for other system configuration information. Then exit the Sys-
tem Setup program.

Installing Drives 7-1
&+$37(5
,QVWDOOLQJ'ULYHV
Your Dell computer has six drive bays for installing the following types of drives (see
Figure 7-1):
The externally accessible drive bays at the front of the computer consist of one
3.5-inch drive bay (dedicated to a 3.5-inch diskette drive) and three 5.25-inch bays
that can hold up to three half-height, 5.25-inch devices—typically, tape drives or
CD-ROM drives. Alternately, 3.5-inch devices can be installed in the 5.25-inch
bays using adapters available from Dell.
The two hard-disk drive bays can each hold a 3.5-inch enhanced integrated drive
electronics (EIDE) drive. Together, the bays can hold one 1-inch-high (or smaller)
drive and one 1.6-inch-high (or smaller) drive
The next three sections contain information that you will need in several of the instal-
lation procedures described later in the chapter. The remaining sections of this
chapter cover each type of drive installation.
NOTE: In all of the following procedures, left and right refer to your left and right as
you face the front of the computer.
externally accessible
drive bays (4)
two-bay hard-disk
drive area (internal)

7-2 Dell OptiPlex E1 Mini Tower Managed PC Reference and Installation Guide
5HPRYLQJDQG5HSODFLQJWKH)URQW%H]HO
The bezel is secured to the front of the chassis by two tabs and two hooks. The tab
release for the bezel is at the top of the computer chassis and can be accessed only
with the computer cover removed (see “Removing the Computer Cover” in Chap-
ter 5). With the cover removed, release the bezel by pressing the tab release marked
with the icon (see Figure 7-2).
While pressing the tab release, tilt the bezel away from the chassis, disengage the
two retaining hooks at the bottom of the bezel, and carefully pull the bezel away from
the chassis.
To replace the bezel, fit the two retaining hooks on the bezel into their corresponding
slots at the bottom of the chassis. Then rotate the top of the bezel toward the chassis
until the top tabs snap into their corresponding slots on the bezel.
5HPRYLQJDQG5HSODFLQJ)URQW3DQHO
,QVHUWV
Empty drive bays contain a front-panel insert to protect the inside of the computer
from dust particles and also to ensure proper airflow within the computer. Before you
install a drive in an empty drive bay, you must first remove the front-panel insert.
tab release
retaining hooks (2)

Installing Drives 7-3
To remove the insert covering a 5.25-inch bay,
follow these steps.
To replace a front-panel insert for a 5.25-inch bay,
work from inside the bezel. Insert
the two ring-tabs (one on each end of the insert) over the posts on the inside of the
bay opening, and firmly press both ends of the insert into place (see Figure 7-3).
posts (2)
computer
cover
ring-tabs (2)

7-4 Dell OptiPlex E1 Mini Tower Managed PC Reference and Installation Guide
&RQQHFWLQJ'ULYHV
When installing a drive, you connect two cables—a DC power cable and an interface
cable—to the back of the drive. Your drive’s power input connector (to which you con-
nect the DC power cable) resembles the connector shown in Figure 7-4.
The drive’s interface connector is a card-edge connector or a header connector, as
shown in Figure 7-5.
When attaching the interface cable to a drive, be sure to match the colored strip on
the cable to pin 1 of the drive’s interface connector. For the location of pin 1 on the
drive’s interface connector, see the documentation that came with the drive.
When disconnecting an interface cable from the system board, be sure to press in on
the locking tabs on the cable connector before disconnecting the cable. When attach-
ing an interface cable to the system board, be sure that the locking tabs snap into
place, ensuring that the cable is firmly attached to the connector on the system board.
DC power cable
power input
connector
header connector
on drive
interface
cables
c
ard-edge connector on drive
colored strip
notch
colored strip

Installing Drives 7-5
Most interface connectors are keyed for correct insertion; that is, a notch or a missing
pin on one connector matches a tab or a filled-in hole on the other connector. Keying
ensures that the pin-1 wire in the cable (indicated by the colored strip along one edge
of the cable) goes to the pin-1 end of the connector.
The pin-1 end of a card-edge connector is usually identified by a notch cut about a
quarter of an inch from the end of the connector, as shown in Figure 7-5. A header
connector is usually keyed by the omission of one of its pins, while the corresponding
hole is filled in on the cable connector.
The pin-1 end of a connector on a board or a card is usually indicated by a silk-
screened “1” printed directly on the board or card.
,QVWDOOLQJD'ULYHLQD,QFK'ULYH%D\
The 5.25-inch drive bays can accommodate any of the following types of half-height
drives:
A diskette drive or tape drive that uses the diskette/tape drive interface on the
system board
A CD-ROM or tape drive that uses the secondary EIDE interface on the system
board
A CD-ROM or tape drive that uses its own controller card
To install a drive in a 5.25-inch drive bay, follow these steps.
Check the documentation that accompanied the drive to verify that the drive is
configured for your computer system. Change any settings necessary for your
configuration.
NOTE: If you are installing a non-EIDE tape drive, check the documentation for
the drive to determine the jumper or switch settings used to designate the drive
as drive address DS4 (not DS2 or DS3 as may be indicated in the drive documen-
tation). Unless the drive is already set to drive 4, reconfigure its jumper or switch
setting (see “Jumpers” and “Switches” in Chapter 5).
If you are installing an EIDE CD-ROM or EIDE tape drive, configure the drive for
the Cable Select jumper position.

7-6 Dell OptiPlex E1 Mini Tower Managed PC Reference and Installation Guide
Squeeze the metal tabs that extend from each side of the drive bracket toward
each other, and pull the bracket out of the bay (see Figure 7-6).
NOTE: For easier access inside the chassis, you may want to rotate the power
supply out of the way temporarily. To do so, see “Rotating the Power Supply
Away From the System Board” in Chapter 5.
If a drive is already installed in the bay and you are replacing it, be sure to dis-
connect the DC power cable and interface cable from the back of the drive before
sliding the bracket out of the bay. To remove the old drive from the bracket, turn
the drive/bracket assembly upside down and unscrew the four screws that
secure the drive to the bracket (see Figure 7-7).
Turn the drive upside down, and locate the four screw holes around its perimeter.
Fit the bracket over the drive, and then tilt the front of the drive up so that the
bracket drops down into place. To ensure proper installation, all screw holes
should be aligned and the tabs on the front of the bracket should be flush with
the front of the drive (see Figure 7-7).
bracket tabs (2)

Installing Drives 7-7
To further ensure proper positioning of the drive in the chassis, insert and tighten
all four screws
in the order in which the holes are numbered
(the holes are
marked “1” through “4”).
Make sure that both bracket tabs snap into place in the drive bay.
See “Installing an Expansion Card” in Chapter 6.
bracket
bracket tabs (2)
5.25-inch drive
5.25-inch drive

7-8 Dell OptiPlex E1 Mini Tower Managed PC Reference and Installation Guide
If your system came with an EIDE CD-ROM or tape drive, use the spare connec-
tor on the existing interface cable. Otherwise, use the EIDE interface cable
provided in the drive kit.
For a diskette drive or non-EIDE tape drive, connect the cable from the drive to
the interface connector labeled “DSKT” on the system board.
For a drive that comes with its own controller card, connect the other end of the
interface cable to the controller card.
Check all cable connections. Fold cables out of the way to provide airflow for the
fan and cooling vents.
See “Removing and Replacing Front-Panel Inserts” found earlier in this chapter.
diskette/tape drive
interface cable
DC power cable
interface connector
power input connector

Installing Drives 7-9
For a diskette drive, enter the System Setup program and update the appropriate
Diskette Drive option (A or B) on the System Setup screen to reflect the size and
capacity of your new diskette drive. (For more information, see Chapter 2, “Using
the System Setup Program.”)
If you installed a non-EIDE tape drive as the second drive, set the Diskette
Drive B option to Not Installed.
For EIDE CD-ROM and tape drives, set the appropriate Drive option (0 or 1)
under Drives: Secondary to Auto.
See your
Diagnostics and Troubleshooting Guide
for information on running the
Dell Diagnostics and troubleshooting any problems that may occur. Use the fol-
lowing guidelines to determine which test to use:
If you installed a diskette drive, test it by running all of the subtests in the
Diskette Drive(s) Test Group of the Dell Diagnostics.
If you installed a CD-ROM drive, see the documentation that came with the
drive for instructions on loading device drivers and using the drive. If it is an
EIDE CD-ROM drive, test it by running all of the subtests in the IDE CD-ROM
Drives Test Group of the Dell Diagnostics.
If you installed a tape drive, first verify that your diskette drive is still operat-
ing correctly by running all of the subtests in the Diskette Drive(s) Test Group
of the Dell Diagnostics. Then perform a tape backup and verification test
with the drive as instructed in the tape-drive software documentation that
came with the tape drive.
NOTE: Tape drives sold by Dell come with their own operating software and doc-
umentation. After you install a tape drive, refer to the documentation that came
with the drive for instructions on installing and using the tape drive software.
,QVWDOOLQJDQ(,'(+DUG'LVN'ULYH
This section includes information on installing, partitioning, and formatting EIDE hard-
disk drives.
Up to two EIDE drives (one of which must be 1 inch high or less) can be installed in
the hard-disk drive bracket below the drive cage. The first EIDE drive is installed in the
1-inch (lower) drive bay labeled “HD1”; a second drive is installed in the 1.6-inch bay
labeled “HD2.”

7-10 Dell OptiPlex E1 Mini Tower Managed PC Reference and Installation Guide
(,'('ULYH$GGUHVVLQJ
All EIDE devices should be configured for the Cable Select jumper position, which
assigns master and slave status to devices by their position on the interface cable.
When two EIDE devices are connected to a single EIDE interface cable and are con-
figured for the Cable Select jumper position, the device attached to the last connector
on the interface cable is the master or boot device (drive 0) and the device attached to
the middle connector on the interface cable is the slave device (drive 1). Refer to the
drive documentation in your upgrade kit for information on setting devices to the
Cable Select jumper position.
NOTE: If you want to install a second EIDE drive that is a different type from the first
drive but you do not have the specifications for the first drive, do one of the following:
If you purchased the drive from Dell, you can contact Dell for the necessary
reconfiguration information. (See the chapter titled “Getting Help” in the
Diag-
nostics and Troubleshooting Guide
for instructions on obtaining technical
assistanc
e.
)
If you did not purchase the drive from Dell, call the drive manufacturer.
With the two EIDE interface connectors on the system board, your system can sup-
port up to four EIDE devices.
NOTE: EIDE hard-disk drives should be connected to the EIDE interface connector
labeled “IDE1.” (EIDE tape drives and CD-ROM drives should be connected to the
EIDE interface connector labeled “IDE2.”)
Install an EIDE hard-disk drive in the hard-disk drive bracket as follows:
Check the documentation that accompanied the drive to verify that it is config-
ured for your computer system.

Installing Drives 7-11
If a hard-disk drive is already installed in the drive bracket, disconnect the DC
power cable and EIDE cable from the drive.
Remove the screw securing the hard-disk drive bracket to the drive cage in the
chassis.
Grasp the bracket, and rotate it outward from the chassis until the sliding tab
clears the slide rail on the drive cage (see Figure 7-10). Lift the bracket up slightly
to free its hinge tabs from the chassis slots.
If you are installing a drive in the 1.6-inch bay, use the four screw holes in the side
of the bracket (see Figure 7-11). If you are installing a drive in the 1-inch bay, use
the four screw holes in the bottom of the bracket.
sliding tab
hinge tabs
drive-cage slide rail
chassis slots

7-12 Dell OptiPlex E1 Mini Tower Managed PC Reference and Installation Guide
Insert the bracket’s hinge tabs into the chassis slots so that the tabs hook over the
slots. Then rotate the bracket toward the drive cage, and fit the bracket’s sliding tab
on the drive-cage slide rail. Slide the bracket into place. Reinstall the screw you
removed in step 4.
1.6-inch drive
screws (4)
drive bracket
sliding tab
sliding tab
hinge tabs
drive-cage
slide rail
chassis slots

Installing Drives 7-13
Check all connectors to be certain that they are properly cabled and firmly seated.
To locate the IDE1 connector, see Figure 6-1.
EIDE cable
power input
connector on drive
IDE1 connector
DC power cable
interface
connector
IDE2 connector

7-14 Dell OptiPlex E1 Mini Tower Managed PC Reference and Installation Guide
See “Drives: Primary and Secondary” in Chapter 2. After you update the System
Setup option, reboot the system.
See your
Diagnostics and Troubleshooting Guide
for information on running the
Dell Diagnostics and troubleshooting any problems that may occur.
Refer to the documentation that came with your operating system.
3DUWLWLRQLQJDQG/RJLFDOO\)RUPDWWLQJ<RXU(,'(+DUG
'LVN'ULYH
EIDE hard-disk drives must be physically formatted, partitioned, and logically format-
ted before they can be used to store data. Every hard-disk drive from Dell is physically
formatted before it is sent to you.
NOTE: On systems with hard-disk drives larger than 2 gigabytes (GB), create a pri-
mary partition of 2 GB and divide the remaining capacity into partitions of 2 GB or
less. For example, a system with a 2.5-GB hard-disk drive would have a primary parti-
tion of 2 GB (drive C) and a second partition of 500 megabytes (MB) (drive D).
Hard-disk drives must be partitioned this way because MS-DOS–based operating sys-
tems (including Windows NT, when using a file allocation table [FAT] 16 file system)
do not support drive partitions larger than 2 GB.
To partition and logically format your hard-disk drive, use the program(s) offered by
your operating system.
For MS-DOS
, use the fdisk and format commands to perform these procedures. The
fdisk and format commands are described in the MS-DOS reference documentation.
For OS/2
, see the discussion on partitioning and logically formatting hard-disk drives in
the documentation that came with the operating system.
For Windows NT
, see the discussion on partitioning and logically formatting hard-disk
drives in the documentation that came with the operating system.

Installing Drives 7-15
For the UNIX
®
operating system
,
refer to your UNIX documentation.

7-16 Dell OptiPlex E1 Mini Tower Managed PC Reference and Installation Guide

Technical Specifications A-1
$33(1',;$
7HFKQLFDO6SHFLILFDWLRQV
Microprocessor type . . . . . . . . . . . . . . . . Intel Celeron microprocessor that runs at
266 or 300 MHz internally/66 MHz exter-
nally. Design provides for future
Dell-supported upgrades. A slower
compatibility speed can be set through the
System Setup program.
Internal cache . . . . . . . . . . . . . . . . . . . . . 32-KB first-level (16-KB data cache; 16-KB
instruction cache)
Math coprocessor . . . . . . . . . . . . . . . . . . internal to the microprocessor
System chip set. . . . . . . . . . . . . . . . . . . . Intel 82440EX PCI/AGP
PIIX4E 82371EB
Data bus width . . . . . . . . . . . . . . . . . . . . 64 bits
Address bus width. . . . . . . . . . . . . . . . . . 32 bits
DMA channels. . . . . . . . . . . . . . . . . . . . . eight
Interrupt levels. . . . . . . . . . . . . . . . . . . . . 15
System BIOS chip . . . . . . . . . . . . . . . . . . 2 Mb
System clock . . . . . . . . . . . . . . . . . . . . . . 66 MHz (matches external bus speed)
NOTE: For the full name of an abbreviation or acronym used in this table, see the Glossary in the
online
System User’s Guide.

A-2 Dell OptiPlex E1 Mini Tower Managed PC Reference and Installation Guide
Bus types . . . . . . . . . . . . . . . . . . . . . . . . . PCI and ISA
Bus speed. . . . . . . . . . . . . . . . . . . . . . . . . PCI: 33 MHz
ISA: 8.33 MHz
PCI expansion-card connectors. . . . . . . . . two
ISA expansion-card connectors. . . . . . . . . two
ISA expansion-card connector size . . . . . . 98 pins
ISA expansion-card connector data
width (maximum) . . . . . . . . . . . . . . . . . . . 16 bits
PCI expansion-card connector size . . . . . . 120 pins
PCI expansion-card connector data
width (maximum) . . . . . . . . . . . . . . . . . . . 32 bits
Architecture. . . . . . . . . . . . . . . . . . . . . . . . 64-bit (nonparity) noninterleaved
DIMM sockets. . . . . . . . . . . . . . . . . . . . . . two, gold contacts
DIMM capacities. . . . . . . . . . . . . . . . . . . . 16-, 32-, 64-, and 128-MB SDRAM
Minimum RAM . . . . . . . . . . . . . . . . . . . . . 16 MB
Maximum RAM. . . . . . . . . . . . . . . . . . . . . 256 MB
BIOS address . . . . . . . . . . . . . . . . . . . . . . F0000h
NIC ROM address. . . . . . . . . . . . . . . . . . . C8000h
Externally accessible bays. . . . . . . . . . . . . three 5.25-inch bays for any removable-
media devices; one 3.5-inch bay for a dis-
kette drive
Internally accessible bays . . . . . . . . . . . . . two 3.5-inch bays for two 3.5-inch-high
EIDE hard-disk drives; together, the bays
can hold one 1-inch-high (or smaller) drive
and one 1.6-inch-high (or smaller) drive
NOTE: For the full name of an abbreviation or acronym used in this table, see the Glossary in the
online
System User’s Guide
.

Technical Specifications A-3
Externally accessible:
Serial (DTE). . . . . . . . . . . . . . . . . . . . two 9-pin connectors; 16550-compatible
Parallel . . . . . . . . . . . . . . . . . . . . . . . one 25-hole connector (bidirectional)
Video . . . . . . . . . . . . . . . . . . . . . . . . one 15-hole connector
Integrated NIC . . . . . . . . . . . . . . . . . RJ45 connector
PS/2-style keyboard . . . . . . . . . . . . . 6-pin mini-DIN connector
PS/2-compatible mouse . . . . . . . . . . 6-pin mini-DIN connector
USB . . . . . . . . . . . . . . . . . . . . . . . . . two USB-compliant connectors
Audio (optional). . . . . . . . . . . . . . . . . three miniature jacks for line-in, line-out,
and microphone
Internally accessible:
Primary EIDE . . . . . . . . . . . . . . . . . . 40-pin connector on PCI local bus
Secondary EIDE . . . . . . . . . . . . . . . . 40-pin connector on PCI local bus
Diskette drive . . . . . . . . . . . . . . . . . . 34-pin connector
Hard-disk drive activity . . . . . . . . . . . 4-pin connector
CD-ROM drive
audio interface cable . . . . . . . . . . . . 4-pin connector
ATI multimedia . . . . . . . . . . . . . . . . . 40-pin connector
TAPI . . . . . . . . . . . . . . . . . . . . . . . . . 4-pin connector
Video type . . . . . . . . . . . . . . . . . . . . . . . . Integrated ATI Rage IIC baseline AGP
Video memory. . . . . . . . . . . . . . . . . . . . . 2-MB SGRAM (upgradable to 4 MB)
Maximum resolution . . . . . . . . . . . . . . . . 1600 x 1200 pixels, 256 colors
<Ctrl><Alt><Del>. . . . . . . . . . . . . . . . . . . . . . restarts (reboots) the system
<F2> . . . . . . . . . . . . . . . . . . . . . . . . . . . . . . . . . starts System Setup program (during
POST only)
<Ctrl><Alt><\>. . . . . . . . . . . . . . . . . . . . . . . . toggles microprocessor speeds on 101-key
keyboard (in MS-DOS real mode only)
NOTE: For the full name of an abbreviation or acronym used in this table, see the Glossary in the
online
System User’s Guide
.

A-4 Dell OptiPlex E1 Mini Tower Managed PC Reference and Installation Guide
<Ctrl><Alt><#> . . . . . . . . . . . . . . . . . . . . . . . toggles microprocessor speeds on 102-key
keyboard (in MS-DOS real mode only)
<Ctrl><Enter>. . . . . . . . . . . . . . . . . . . . . . . . . disables the system password at start-up
Reset control. . . . . . . . . . . . . . . . . . . . . . . push button
Power control . . . . . . . . . . . . . . . . . . . . . . push button
Power indicators . . . . . . . . . . . . . . . . . . . . green LEDs (one on front panel, one on
riser board); blinking green in sleep state
Hard-disk drive access indicator . . . . . . . . green LED
Link integrity indicator
(on integrated NIC connector). . . . . . . . . . green LED
Activity indicator
(on integrated NIC connector). . . . . . . . . . yellow LED
DC power supply:
Wattage . . . . . . . . . . . . . . . . . . . . . . . 200 W
Heat dissipation . . . . . . . . . . . . . . . . . 913 BTUs (fully loaded system without
monitor)
Voltage. . . . . . . . . . . . . . . . . . . . . . . . 90 to 135 V at 60 Hz; 180 to 265 V at 50 Hz
Backup battery . . . . . . . . . . . . . . . . . . . . . 3-V CR2032 coin cell
Height . . . . . . . . . . . . . . . . . . . . . . . . . . . . 44.4 cm (17.5 inches)
Width . . . . . . . . . . . . . . . . . . . . . . . . . . . . 20.6 cm (8.1 inches)
Depth . . . . . . . . . . . . . . . . . . . . . . . . . . . . 43.7 cm (17.2 inches)
Weight . . . . . . . . . . . . . . . . . . . . . . . . . . . 15 kg (33.0 lb) or more, depending on
options installed
NOTE: For the full name of an abbreviation or acronym used in this table, see the Glossary in the
online
System User’s Guide
.

Technical Specifications A-5
Temperature:
Operating . . . . . . . . . . . . . . . . . . . . . 10° to 35°C* (50° to 95°F)
Storage. . . . . . . . . . . . . . . . . . . . . . . –40° to 65°C (–40° to 149°F)
Relative humidity . . . . . . . . . . . . . . . 20% to 80% (noncondensing)
Maximum vibration:
Operating . . . . . . . . . . . . . . . . . . . . . 0.25 G at 3 to 200 Hz at 1 octave/min
Storage. . . . . . . . . . . . . . . . . . . . . . . 0.5 G at 3 to 200 Hz at 1 octave/min
Maximum shock:
Operating . . . . . . . . . . . . . . . . . . . . . left side (vertical orientation) and bottom
half-sine pulse with a change in velocity of
50.8 cm/sec (20 inches/sec)
Storage. . . . . . . . . . . . . . . . . . . . . . . 27-G faired square wave with a velocity
change of 508 cm/sec (200 inches/sec)
Altitude:
Operating . . . . . . . . . . . . . . . . . . . . . –16 to 3048 m (–50 to 10,000 ft)
Storage. . . . . . . . . . . . . . . . . . . . . . . –16 to 10,600 m (–50 to 35,000 ft)
* At 35°C (95°F), the maximum operating altitude is 914 m (3000 ft).
NOTE: For the full name of an abbreviation or acronym used in this table, see the Glossary in the
online
System User’s Guide.

A-6 Dell OptiPlex E1 Mini Tower Managed PC Reference and Installation Guide

ISA Configuration Utility Messages B-1
$33(1',;%
,6$&RQILJXUDWLRQ8WLOLW\
0HVVDJHV
The ISA Configuration Utility (ICU) and its Configuration Manager are capable of iden-
tifying problems and alerting you to them. Both utilities can alert you to problems with
card configuration as well as problems that prevent proper operation of the utility. This
appendix describes each type of message and lists the possible causes and actions
you can take to resolve any problems indicated by a message. See the following
tables to locate your message and identify any possible corrective actions.
,&8(UURU0HVVDJHV
The ICU can display a variety of error messages while in operation. These messages
alert you to problems that prevent the ICU from running correctly, as well as informing
you of resource conflicts that prevent the configuration of various cards in your com-
puter. If you receive a message from the ICU, see Table B-1 for suggestions on
resolving any problems indicated by the message.
Out of memory
Memory allocation
failed
Either of these messages
can appear if the system
runs out of memory dur-
ing operation of the
utility.
Disable any TSR programs or any unneeded device
drivers.
Not enough memory
to run the ICU This message appears
when you start the ICU if
the system does not
have enough memory to
run the utility.
NOTE: For the full name of an abbreviation or acronym used in this table, see the Glossary in the online
System User’s Guide
.

B-2 Dell OptiPlex E1 Mini Tower Managed PC Reference and Installation Guide
Can’t open index
file. This file is
required for ICU to
run.
The ICU cannot find the
index file for its database. Make sure to switch to drive A before attempting
to start the utility.
No Configuration
Manager. The device driver needed
by the ICU is corrupted or
is not correctly
configured.
Verify that the following device statement appears
in your config.sys file:
device=
drive
:\
directory
\drivers\dos\
dwcfgmg.sys
In this statement,
drive
and
directory
represent the
drive and directory where the driver resides. The
default is c:\plugplay.
At least one Plug
and Play card in
your system is not
configured due to
conflicts. These
are marked “config
err” in the list of
configured cards.
Due to conflicts,
the ICU could only
configure some Plug
and Play cards in
your system. Un-
configured cards
are marked “config
err” in the list of
configured cards.
The Configuration Man-
ager or the ICU cannot
configure at least one
Plug and Play expansion
card because of resource
conflicts with one or
more cards.
You must reconfigure the conflicting card(s). To
find the conflicting card, perform the following
steps:
config err
The Card Configuration dialog box displays the
functions assigned to the Plug and Play expan-
sion card.
This device is
unconfigurable
because of a
resource conflict
with card
card_name
. The con-
flicting resource
is
resource_name
.
To fix, reconfigure
the conflicting
card.
The selected card is un-
configurable because one
of its resources is already
being used by another
device.
Perform the following procedure:
resource_name
card_name
NOTE: For the full name of an abbreviation or acronym used in this table, see the Glossary in the online
System User’s Guide
.

ISA Configuration Utility Messages B-3
The ICU has
successfully con-
figured all Plug
and Play cards in
your system. For
the new configura-
tion to take
effect, save the
configuration, then
reboot your system.
The ICU has successfully
configured all of the Plug
and Play expansion cards
that were not configured
by the Configuration
Manager.
To accept these settings, save the configuration
information into NVRAM by selecting Exit from the
File menu and then selecting Yes to save. You
must reboot your system for these settings to take
effect.
The loaded card is
not a category
card. Press OK to
proceed.
The category you have
chosen is not the correct
category under which to
add this card.
Select OK. The ICU automatically opens the
correct category’s dialog box. Continue the proce-
dure for adding the card as described in “Adding
a Listed Card” or “Adding an Unlisted Card” in
Chapter 3.
No more DMA values
can be added.
No more interrupt
values can be
added.
No more memory val-
ues can be added.
No more I/O port
values can be
added.
No more values are avail-
able for the resource you
are trying to add or
modify.
The maximum number of values for each resource
is as follows:
4 DMA channels
7 IRQ lines
9 memory address blocks
20 I/O ports
To free values for the resource you are trying to
add or modify, delete some of the values listed in
the resource box for the card. If your card requires
all of the values listed, contact your card manufac-
turer to resolve the issue.
NOTE: For the full name of an abbreviation or acronym used in this table, see the Glossary in the online
System User’s Guide
.

B-4 Dell OptiPlex E1 Mini Tower Managed PC Reference and Installation Guide
The ICU detects a
resource conflict
between this card
and
conflicting_card
.
The conflicting
resource was:
resource
.
You added or modified a
card that now requires a
resource
value already
in use by
conflicting_card
.
Try each of the following options until the problem
is resolved:
Modify the card you are adding so that it uses
a different value for
resource
. See “Modify-
ing a Card” in Chapter 3 for instructions.
Modify
conflicting_card
so that it uses a
different value for
resource
. See “Modifying
a Card” in Chapter 3 for instructions.
If
conflicting_card
is not the system
board, remove it from the computer. See
“Removing a Card” in Chapter 3 for
instructions.
Remove all expansion cards from the ICU, and
then add them back one at a time, beginning
with the new card and resolving resource con-
flicts as they arise. See “Removing a Card”
and “Adding a Listed Card” or “Adding an
Unlisted Card” in Chapter 3 for instructions.
If you cannot resolve the resource conflict by
any of the preceding methods, remove the
new card. If you were modifying an existing
card, reset the modified card to its previous
resource value.
NOTE: For the full name of an abbreviation or acronym used in this table, see the Glossary in the online
System User’s Guide
.

ISA Configuration Utility Messages B-5
The configuration
(.cfg) file used by
the ICU for this
card is now invalid
or does not exist.
Do you wish to load
the file?
No configuration
(.cfg) file exists
for the card being
modified. Do you
want to load one?
This message appears
when you try to add a
listed card and the config-
uration file for this card
has been corrupted or
deleted from the
database.
This message appears
when you modify a card
and its configuration file
does not exist or has
been deleted.
You can get a copy of the configuration file from
the original
ISA Configuration Utility Diskette
that
you used to create the backup ICU diskette. Use
the following procedure:
For example, type cd a:\db.
The name of the configuration file is part of
this card ID. For example, if the card ID is
ICU0200, the configuration file is !icu0200.cfg.
This is an EISA
system. Use an ECU,
not the ICU, to
configure your
system.
This message appears if
you attempt to run the
ICU on an EISA system.
To use the ICU, you must load the utility onto a
non-EISA system.
You have added a
card using settings
different from fac-
tory default.
Reconfigure the
card to the set-
tings in the next
display (see the
card’s manual)
before installing
it.
This message can appear
in two situations:
You added an ISA
expansion card,
selected OK, and the
ICU had to use
resource values dif-
ferent from the
card’s defaults to
avoid conflicts.
You added an ISA
expansion card,
selected Advanced,
and chose resource
values different from
the card’s defaults.
Make note of the new card configuration shown in
the Card Resource Usage dialog box displayed
after this message. Change jumper settings on the
ISA expansion card to match the new card
configuration.
NOTE: For the full name of an abbreviation or acronym used in this table, see the Glossary in the online
System User’s Guide
.

B-6 Dell OptiPlex E1 Mini Tower Managed PC Reference and Installation Guide
&RQILJXUDWLRQ0DQDJHU0HVVDJHV
The Configuration Manager for the ICU identifies problems following system boot and
generates messages if necessary. These messages alert you to any unsuccessful
attempts to configure Plug and Play or Peripheral Component Interconnect (PCI)
expansion cards, as well as any problems that interfere with the operation of the Con-
figuration Manager. If you receive a message from the Configuration Manager, see
Table B-2 for suggestions on resolving any problems indicated by the message.
Found Plug and Play ISA
card:
Plug and Play ISA
Card Name
.
This message appears at
system start-up for each
Plug and Play ISA expan-
sion card recognized by
the Configuration
Manager.
Status message; no action is required.
NOTICE: Boot Device Not
Active! CSN=
Card Select
Number
.
A boot device was found
to be inactive. Status message; no action is required. The
Configuration Manager automatically con-
figures and activates the device.
One or more active
devices have been re
configured -- system
requires reboot. Press
any key to reboot system.
You modified the
resource values of one or
more PCI or Plug and
Play ISA expansion cards.
Reboot the system to reconfigure the
card(s).
The Plug and Play ISA
card has been success-
fully configured.
Card Count Plug and Play
ISA cards have been suc-
cessfully configured.
The Configuration Man-
ager has successfully
configured the given
number of cards.
If this message does not match the num-
ber of Plug and Play ISA expansion cards
installed in your computer, reinstall any
Plug and Play expansion cards not listed
and reboot the system.
ERROR: Insufficient CM
Memory There is not enough
memory available to the
Configuration Manager
for it to run.
Disable any TSR programs or any
unneeded device drivers.
ERROR: Fatal BIOS error
Internal Error Code. A BIOS call failed with an
internal error. The most
likely cause is an incom-
patibility between the
BIOS and the Configura-
tion Manager.
See the chapter titled “Getting Help” in
your
Diagnostics and Troubleshooting
Guide
for instructions on obtaining techni-
cal assistance.
ERROR: Could not read
NVS, Error=
Internal
Error Code
.
An attempt to read the
NVRAM failed. See the chapter titled “Getting Help” in
your
Diagnostics and Troubleshooting
Guide
for instructions.
NOTE: For the full name of an abbreviation or acronym used in this table, see the Glossary in the online
System User’s Guide
.

ISA Configuration Utility Messages B-7
ERROR: Failed NVS write.
Error=
Internal Error
Code
.
An attempt to write to
NVRAM failed. Run the Dell Diagnostics to verify the
integrity of your system NVRAM. See the
chapter titled “Running the Dell Diagnos-
tics” in your
Diagnostics and Troubleshooting
Guide
for instructions.
If you are unable to determine the cause of
the error, see the chapter titled “Getting
Help” in your
Diagnostics and Troubleshoot-
ing Guide
for instructions.
ERROR: Failed to acti-
vate device, CSN=
Card
Select Number
.
A Plug and Play expan-
sion card could not be
activated.
Use the following procedure:
Follow steps 2 through 6 of “Remov-
ing an Expansion Card” in Chapter 6,
and then return to this procedure.
Follow steps 5 through 9 of “Installing
an Expansion Card” in Chapter 6, and
then return to this procedure.
If you still receive the error message, con-
tact the manufacturer of the Plug and Play
expansion card for assistance.
NOTE: For the full name of an abbreviation or acronym used in this table, see the Glossary in the online
System User’s Guide
.

B-8 Dell OptiPlex E1 Mini Tower Managed PC Reference and Installation Guide
WARNING: Could not con-
figure
Plug and Play Card
Name
.
WARNING: Could not con-
figure PCI device,
ID=
DeviceID
.
Failed to configure
Num-
ber of Total Count Plug
and Play ISA
devices. Use
your system’s configura-
tion utility to resolve
conflicts. Press any key
to continue.
The card(s) mentioned
are not fully configured
due to resource conflicts.
If you have documentation that lists the
allowable resource values for your Plug and
Play or PCI expansion card, you can use
the following procedure to locate and
resolve the resource conflict.
NOTE: If you do not have documentation
listing the allowable resource values, see
the corrective action for these messages
on the following page.
Any Plug and Play or PCI expansion
cards that could not be configured
should be marked config err on the
list of cards in the ICU window.
The System Resource Usage dialog
box displays all resources currently
used by the system.
The Card Resources Usage dialog box
identifies which device is using the
resource.
See “Modifying a Card” in Chapter 3
for instructions.
NOTE: For the full name of an abbreviation or acronym used in this table, see the Glossary in the online
System User’s Guide
.

ISA Configuration Utility Messages B-9
WARNING: Could not con-
figure
Plug and Play Card
Name
.
WARNING: Could not con-
figure PCI device,
ID=
DeviceID
.
Failed to configure
Num-
ber of Total Count Plug
and Play ISA
devices. Use
your system’s configura-
tion utility to resolve
conflicts. Press any key
to continue.
The card(s) mentioned
are not fully configured
due to resource conflicts.
If you do not know the allowable resource
values for your Plug and Play or PCI expan-
sion card, use the following procedure to
locate and resolve the resource conflict:
See “Removing a Card” in Chapter 3
for instructions.
The ICU should automatically config-
ure your Plug and Play or PCI
expansion card.
See “Adding a Listed Card” in
Chapter 3 for instructions.
If your Plug and Play or PCI expansion card
is not automatically configured when you
reboot the system with all other cards
removed, you should contact the manufac-
turer of the card or see the chapter titled
“Getting Help” in your
Diagnostics and
Troubleshooting Guide
.
WARNING: Boot Device
conflict detected!
CSN=
Card Select Number
Error=
Error
.
One of the devices is
attempting to use one or
more resources assigned
to the system’s boot
device.
Perform the following procedure:
config
err
This card is attempting to use one or
more resources required by the sys-
tem’s boot device.
NOTE: For the full name of an abbreviation or acronym used in this table, see the Glossary in the online
System User’s Guide
.

B-10 Dell OptiPlex E1 Mini Tower Managed PC Reference and Installation Guide

Regulatory Notices C-1
$33(1',;&
5HJXODWRU\1RWLFHV
Electromagnetic Interference (EMI) is any signal or emission, radiated in free space or
conducted along power or signal leads, that endangers the functioning of a radio navi-
gation or other safety service or seriously degrades, obstructs, or repeatedly interrupts
a licensed radio communications service. Radio communications services include but
are not limited to AM/FM commercial broadcast, television, cellular services, radar,
air-traffic control, pager, and Personal Communication Services (PCS). These licensed
services, along with unintentional radiators such as digital devices, including computer
systems, contribute to the electromagnetic environment.
Electromagnetic Compatibility (EMC) is the ability of items of electronic equipment to
function properly together in the electronic environment. While this computer system
has been designed and determined to be compliant with regulatory agency limits for
EMI, there is no guarantee that interference will not occur in a particular installation. If
this equipment does cause interference with radio communications services, which
can be determined by turning the equipment off and on, you are encouraged to try to
correct the interference by one or more of the following measures:
Reorient the receiving antenna.
Relocate the computer with respect to the receiver.
Move the computer away from the receiver.
Plug the computer into a different outlet so that the computer and the receiver
are on different branch circuits.
If necessary, consult a Regulatory EMC representative of Dell Computer Corporation
or an experienced radio/television technician for additional suggestions. You may find
the
FCC Interference Handbook, 1986
, to be helpful. It is available from the U.S. Gov-
ernment Printing Office, Washington, DC 20402, Stock No. 004-000-00450-7 or on
the World Wide Web at http://www.fcc.gov/Bureaus/Compliance/WWW/
tvibook.html.
Dell computer systems are designed, tested, and classified for their intended electro-
magnetic environment. These electromagnetic environment classifications generally
refer to the following harmonized definitions:
Class A is for business or industrial environments.
Class B is for residential environments.

C-2 Dell OptiPlex E1 Mini Tower Managed PC Reference and Installation Guide
Information Technology Equipment (ITE), including peripherals, expansion cards, print-
ers, input/output (I/O) devices, monitors, and so on, that are integrated into or
connected to the system should match the electromagnetic environment classifica-
tion of the computer system.
Most Dell computer systems are classified for Class B environments. To determine
the electromagnetic classification for your system or device, refer to the following
sections specific for each regulatory agency. Each section provides country-specific
EMC/EMI or product safety information.
)&&1RWLFHV862QO\
Most Dell computer systems are classified by the Federal Communications Commis-
sion (FCC) as Class B digital devices. However, the inclusion of certain options can
change the rating of some configurations to Class A. To determine which classification
applies to your computer system, examine all FCC registration labels located on the
bottom or back panel of your computer, on card-mounting brackets, and on the cards
themselves. If any one of the labels carries a Class A rating, your entire system is con-
sidered to be a Class A digital device. If
all
labels carry either the Class B rating
distinguished by either an FCC ID number or the FCC logo, ( ), your system is con-
sidered to be a Class B digital device.
Once you have determined your system’s FCC classification, read the appropriate
FCC notice. Note that FCC regulations provide that changes or modifications not
expressly approved by Dell Computer Corporation could void your authority to operate
this equipment.
This device complies with Part 15 of the FCC Rules. Operation is subject to the follow-
ing two conditions:
This device may not cause harmful interference.
This device must accept any interference received, including interference that
may cause undesired operation.
&ODVV$
This equipment has been tested and found to comply with the limits for a Class A dig-
ital device pursuant to Part 15 of the FCC Rules. These limits are designed to provide
reasonable protection against harmful interference when the equipment is operated
in a commercial environment. This equipment generates, uses, and can radiate radio

Regulatory Notices C-3
frequency energy and, if not installed and used in accordance with the manufacturer’s
instruction manual, may cause harmful interference with radio communications. Oper-
ation of this equipment in a residential area is likely to cause harmful interference, in
which case you will be required to correct the interference at your own expense.
&ODVV%
This equipment has been tested and found to comply with the limits for a Class B dig-
ital device pursuant to Part 15 of the FCC Rules. These limits are designed to provide
reasonable protection against harmful interference in a residential installation. This
equipment generates, uses, and can radiate radio frequency energy and, if not
installed and used in accordance with the manufacturer’s instruction manual, may
cause interference with radio communications. However, there is no guarantee that
interference will not occur in a particular installation. If this equipment does cause
harmful interference to radio or television reception, which can be determined by turn-
ing the equipment off and on, you are encouraged to try to correct the interference by
one or more of the following measures:
Reorient or relocate the receiving antenna.
Increase the separation between the equipment and the receiver.
Connect the equipment into an outlet on a circuit different from that to which the
receiver is connected.
Consult the dealer or an experienced radio/television technician for help.
The following information is provided on the device or devices covered in this docu-
ment in compliance with FCC regulations:
Product name: Dell OptiPlex E1 Mini Tower Managed PC
Model number: MMP
Company name: Dell Computer Corporation
EMC Engineering Department
One Dell Way
Round Rock, Texas 78682 USA
512-338-4400
,&1RWLFH&DQDGD2QO\
Most Dell computer systems (and other Dell digital apparatus) are classified by the
Industry Canada (IC) Interference-Causing Equipment Standard #3 (ICES-003) as
Class B digital devices. To determine which classification (Class A or B) applies to your
computer system (or other Dell digital apparatus), examine all registration labels
located on the bottom or the back panel of your computer (or other digital apparatus).
A statement in the form of “IC Class A ICES-3” or “IC Class B ICES-3” will be located
on one of these labels. Note that Industry Canada regulations provide that changes or

C-4 Dell OptiPlex E1 Mini Tower Managed PC Reference and Installation Guide
modifications not expressly approved by Dell Computer Corporation could void your
authority to operate this equipment.
&(1RWLFH(XURSHDQ8QLRQ
Marking by the symbol indicates compliance of this Dell system to the EMC
Directive and the Low Voltage Directive of the European Union. Such marking is indic-
ative that this Dell system meets the following technical standards:
EN 55022 — “Limits and Methods of Measurement of Radio Interference Char-
acteristics of Information Technology Equipment.”
EN 50082-1: 1992 — “Electromagnetic compatibility—Generic immunity stan-
dard Part 1: Residential, commercial, and light industry.”
EN 60950 — “Safety of Information Technology Equipment.”
NOTE: EN 55022 emissions requirements provide for two classifications:
Class A is for typical commercial areas.
Class B is for typical domestic areas.
This Dell device is classified for use in a typical Class B domestic environment.
A “Declaration of Conformity” in accordance with the preceding directives and stan-
dards has been made and is on file at Dell Products Europe BV, Limerick, Ireland.
This Class B (or Class A, if so indicated on the registration label) digital apparatus
meets the requirements of the Canadian Interference-Causing Equipment
Regulations.
Cet appareil numérique de la Classe B (ou Classe A, si ainsi indiqué sur l’étiquette
d’enregistration) respecte toutes les exigences du Reglement sur le Materiel
Brouilleur du Canada.

Regulatory Notices C-5
(1&RPSOLDQFH&]HFK5HSXEOLF
2QO\
9&&,1RWLFH-DSDQ2QO\
Most Dell computer systems are classified by the Voluntary Control Council for Inter-
ference (VCCI) as Class B information technology equipment (ITE). However, the
inclusion of certain options can change the rating of some configurations to Class A.
ITE, including peripherals, expansion cards, printers, input/output (I/O) devices, moni-
tors, and so on, integrated into or connected to the system, should match the
electromagnetic environment classification (Class A or B) of the computer system.
To determine which classification applies to your computer system, examine the regu-
latory labels/markings (see Figures C-1 and C-2) located on the bottom or back panel
of your computer. Once you have determined your system’s VCCI classification, read
the appropriate VCCI notice.
&ODVV$,7(
This is a Class A product based on the standard of the Voluntary Control Council for
Interference (VCCI) for information technology equipment. If this equipment is used in
a domestic environment, radio disturbance may arise. When such trouble occurs, the
user may be required to take corrective actions.
This device belongs to Class B devices as described in EN 55022, unless it is spe-
cifically stated that it is a Class A device on the specification label. The following
applies to devices in Class A of EN 55022 (radius of protection up to 30 meters).
The user of the device is obliged to take all steps necessary to remove sources of
interference to telecommunication or other devices.
-
VCCI-A

C-6 Dell OptiPlex E1 Mini Tower Managed PC Reference and Installation Guide
&ODVV%,7(
This is a Class B product based on the standard of the Voluntary Control Council for
Interference (VCCI) for information technology equipment. If this equipment is used
near a radio or television receiver in a domestic environment, it may cause radio inter-
ference. Install and use the equipment according to the instruction manual.
3ROLVK&HQWHUIRU7HVWLQJDQG&HUWLILFDWLRQ
1RWLFH
The equipment should draw power from a socket with an attached protection circuit (a
three-prong socket). All equipment that works together (computer, monitor, printer,
and so on) should have the same power supply source.
The phasing conductor of the room’s electrical installation should have a reserve
short-circuit protection device in the form of a fuse with a nominal value no larger than
16 amperes (A).
To completely switch off the equipment, the power supply cable must be removed
from the power supply socket, which should be located near the equipment and easily
accessible.
A protection mark “B” confirms that the equipment is in compliance with the protec-
tion usage requirements of standards PN-93/T-42107 and PN-89/E-06251.

Regulatory Notices C-7
8ZNBHBOJB1PMTLJFHP$FOUSVN#BEBËJ
$FSUZGJLBDKJ
- - - -
1P[PTUBFJOTUSVLDKFCF[QJFD[FËTUXB
-

C-8 Dell OptiPlex E1 Mini Tower Managed PC Reference and Installation Guide
120,QIRUPDWLRQ0H[LFR2QO\
The following information is provided on the device(s) described in this document in
compliance with the requirements of the official Mexican standards (NOM):
Exporter: Dell Computer Corporation
One Dell Way
Round Rock, TX 78682
Importer: Dell Computer de México,
S.A. de C.V.
Rio Lerma No. 302 - 4° Piso
Col. Cuauhtemoc
16500 México, D.F.
Ship to: Dell Computer de México,
S.A. de C.V. al Cuidado
de Kuehne & Nagel de
México S. de R.I.
Avenida Soles No. 55
Col. Peñon de los Baños
15520 México, D.F.
Supply voltage: 115/230 VAC
Frequency: 60/50 Hz
Current
consumption: 6.0/3.0 A

Regulatory Notices C-9
,QIRUPDFLyQSDUD120~QLFDPHQWHSDUD
0p[LFR
La información siguiente se proporciona en el dispositivo o en los dispositivos descri-
tos en este documento, en cumplimiento con los requisitos de la Norma Oficial
Mexicana (NOM):
Exportador: Dell Computer Corporation
One Dell Way
Round Rock, TX 78682
Importador: Dell Computer de México,
S.A. de C.V.
Rio Lerma No. 302 - 4° Piso
Col. Cuauhtemoc
16500 México, D.F.
Embarcar a: Dell Computer de México,
S.A. de C.V. al Cuidado
de Kuehne & Nagel de
México S. de R.I.
Avenida Soles No. 55
Col. Peñon de los Baños
15520 México, D.F.
Tensión
alimentación: 115/230 VAC
Frecuencia: 60/50 Hz
Consumo de
corriente: 6.0/3.0 A

C-10 Dell OptiPlex E1 Mini Tower Managed PC Reference and Installation Guide

Warranties and Return Policy D-1
$33(1',;'
:DUUDQWLHVDQG5HWXUQ3ROLF\
/LPLWHG7KUHH<HDU:DUUDQW\86DQG
&DQDGD2QO\
Dell Computer Corporation (“Dell”) manufactures its hardware products from parts
and components that are new or equivalent to new in accordance with industry-
standard practices. Dell warrants that the hardware products it manufactures will be
free from defects in materials and workmanship. The warranty term is three years
beginning on the date of invoice, as described in the following text.
Damage due to shipping the products to you is covered under this warranty. Other-
wise, this warranty does not cover damage due to external causes, including
accident, abuse, misuse, problems with electrical power, servicing not authorized by
Dell, usage not in accordance with product instructions, failure to perform required
preventive maintenance, and problems caused by use of parts and components not
supplied by Dell.
This warranty does not cover any items that are in one or more of the following cate-
gories: software; external devices (except as specifically noted); accessories or parts
added to a Dell system after the system is shipped from Dell; accessories or parts
added to a Dell system through Dell’s system integration department; accessories or
parts that are not installed in the Dell factory; or DellWare® products. Monitors, key-
boards, and mice that are Dell-branded or that are included on Dell’s standard price list
are covered under this warranty; all other monitors, keyboards, and mice (including
those sold through the DellWare program) are not covered. Batteries for portable
computers are covered only during the initial one-year period of this warranty.
&RYHUDJH'XULQJ<HDU2QH
During the one-year period beginning on the invoice date, Dell will repair or replace
products covered under this limited warranty that are returned to Dell’s facility. To
request warranty service, you must call Dell’s Customer Technical Support within the
warranty period. Refer to the chapter titled “Getting Help” in your
Diagnostics and
Troubleshooting Guide
to find the appropriate telephone number for obtaining cus-
tomer assistance. If warranty service is required, Dell will issue a Return Material
Authorization Number. You must ship the products back to Dell in their original or
equivalent packaging, prepay shipping charges, and insure the shipment or accept the
risk of loss or damage during shipment. Dell will ship the repaired or replacement

D-2 Dell OptiPlex E1 Mini Tower Managed PC Reference and Installation Guide
products to you freight prepaid if you use an address in the continental U.S. Ship-
ments to other locations will be made freight collect.
NOTE: Before you ship the product(s) to Dell, back up the data on the hard-disk
drive(s) and any other storage device(s) in the product(s). Remove any removable
media, such as diskettes, CDs, or PC Cards. Dell does not accept liability for lost data
or software.
Dell owns all parts removed from repaired products. Dell uses new and reconditioned
parts made by various manufacturers in performing warranty repairs and building
replacement products. If Dell repairs or replaces a product, its warranty term is not
extended.
&RYHUDJH'XULQJ<HDUV7ZRDQG7KUHH
During the second and third years of this limited warranty, Dell will provide, on an
exchange basis and subject to Dell’s Exchange Policy in effect on the date of the
exchange, replacement parts for the Dell hardware product(s) covered under this lim-
ited warranty when a part requires replacement. You must report each instance of
hardware failure to Dell’s Customer Technical Support in advance to obtain Dell’s con-
currence that a part should be replaced and to have Dell ship the replacement part.
Dell will ship parts (freight prepaid) if you use an address in the continental U.S. or
Canada, where applicable. Shipments to other locations will be made freight collect.
Dell will include a prepaid shipping container with each replacement part for your use
in returning the replaced part to Dell. Replacement parts are new or reconditioned.
Dell may provide replacement parts made by various manufacturers when supplying
parts to you. The warranty term for a replacement part is the remainder of the limited
warranty term.
You will pay Dell for replacement parts if the replaced part is not returned to Dell. The
process for returning replaced parts, and your obligation to pay for replacement parts
if you do not return the replaced parts to Dell, will be in accordance with Dell’s
Exchange Policy in effect on the date of the exchange.
You accept full responsibility for your software and data. Dell is not required to advise
or remind you of appropriate backup and other procedures.
*HQHUDO
DELL MAKES NO EXPRESS WARRANTIES OR CONDITIONS BEYOND THOSE
STATED IN THIS WARRANTY STATEMENT. DELL DISCLAIMS ALL OTHER WARRAN-
TIES AND CONDITIONS, EXPRESS OR IMPLIED, INCLUDING WITHOUT
LIMITATION IMPLIED WARRANTIES AND CONDITIONS OF MERCHANTABILITY
AND FITNESS FOR A PARTICULAR PURPOSE. SOME STATES (OR JURISDICTIONS)
DO NOT ALLOW LIMITATIONS ON IMPLIED WARRANTIES OR CONDITIONS, SO
THIS LIMITATION MAY NOT APPLY TO YOU.
DELL’S RESPONSIBILITY FOR MALFUNCTIONS AND DEFECTS IN HARDWARE IS
LIMITED TO REPAIR AND REPLACEMENT AS SET FORTH IN THIS WARRANTY
STATEMENT. THESE WARRANTIES GIVE YOU SPECIFIC LEGAL RIGHTS, AND YOU

Warranties and Return Policy D-3
MAY ALSO HAVE OTHER RIGHTS, WHICH VARY FROM STATE TO STATE (OR
JURISDICTION).
DELL DOES NOT ACCEPT LIABILITY BEYOND THE REMEDIES SET FORTH IN THIS
WARRANTY STATEMENT OR LIABILITY FOR INCIDENTAL OR CONSEQUENTIAL
DAMAGES, INCLUDING WITHOUT LIMITATION ANY LIABILITY FOR PRODUCTS
NOT BEING AVAILABLE FOR USE OR FOR LOST DATA OR SOFTWARE.
SOME STATES (OR JURISDICTIONS) DO NOT ALLOW THE EXCLUSION OR LIMITA-
TION OF INCIDENTAL OR CONSEQUENTIAL DAMAGES, SO THE PRECEDING
EXCLUSION OR LIMITATION MAY NOT APPLY TO YOU.
These provisions apply to Dell’s limited three-year warranty only. For provisions of any
service contract covering your system, refer to the separate service contract that you
will receive.
If Dell elects to exchange a system or component, the exchange will be made in
accordance with Dell’s Exchange Policy in effect on the date of the exchange.
NOTE: If you chose one of the available warranty and service options in place of the
standard limited three-year warranty described in the preceding text, the option you
chose will be listed on your invoice.
´7RWDO6DWLVIDFWLRQµ5HWXUQ3ROLF\86DQG
&DQDGD2QO\
If you are an end-user customer who bought products directly from a Dell company,
you may return them to Dell up to 30 days from the date of invoice for a refund of the
product purchase price if already paid. This refund will not include any shipping and
handling charges shown on your invoice. If you are an organization who bought the
products from Dell under a written agreement with Dell, there may be different terms
for the return of products under this policy, based on your agreement with Dell. To
return products, you must call Dell Customer Service (at the telephone number listed
in the chapter titled “Getting Help” in your
Diagnostics and Troubleshooting Guide
or
in the section titled “Contacting Dell” in your online
System User’s Guide
) to receive a
Credit Return Authorization Number. You must ship the products to Dell in their origi-
nal packaging, prepay shipping charges, and insure the shipment or accept the risk of
loss or damage during shipment. You may return software for refund or credit only if
the sealed package containing the diskette(s) or CD(s) is unopened. Returned prod-
ucts must be in as-new condition, and all of the manuals, diskette(s), CD(s), power
cables, and other items included with a product must be returned with it.
This “Total Satisfaction” Return Policy does not apply to DellWare products, which
may be returned under DellWare’s current return policy.

D-4 Dell OptiPlex E1 Mini Tower Managed PC Reference and Installation Guide

Index 1
,QGH[
$
AC power receptacle, 5-7
accelerated graphics port.
See
AGP
AGP, 1-3
Asset Tag option, 2-15
assistance, technical, 1-12
audio controller, 4-1
Auto Power On option, 2-13
autoconfiguration
serial ports, 2-10
%
basic input/output system.
See
BIOS
battery
replacing, 6-12
socket, 6-1
bezel
removing and replacing, 7-2
BIOS
jumper, 5-9
revision number, 2-2
Boot Sequence option, 2-7
booting the computer system, 2-7
&
cables
connector types, 7-4
DC power, 5-5, 7-4
drive interface, 5-5
card-edge connector, 7-4
cautions, x
CD-ROM audio interface connector, 6-1
chassis intrusion alarm, 1-8
Chassis Intrusion option, 2-12
chassis intrusion switch
connector, 6-1
location, 5-7
COM port designations, 2-10
computer
booting, 2-7
features, 1-1
internal illustration, 5-7
removing and replacing cover, 5-2
system board features, 1-2, 6-1
technical specifications, A-1
Configuration Manager, B-6
connectors
card-edge, 7-4
CD-ROM audio interface, 6-1
chassis intrusion switch, 6-1
control panel, 6-1
diskette/tape drive interface, 6-1
EIDE interface, 6-1

2 Dell OptiPlex E1 Mini Tower Managed PC Reference and Installation Guide
connectors
(continued)
expansion-card, 6-3
hard-disk drive LED, 6-3
header, 7-4
keyboard, 5-7, 6-1
list of, 5-10
microprocessor fan, 6-1
mouse, 5-7, 6-1
multimedia connector, 6-1
NIC, 4-2, 5-7, 6-1
parallel port, 5-7, 6-1
power input, 6-1
riser board, 6-1
SEC cartridge, 6-1
serial port, 4-2, 5-7, 6-1
USB, 5-7, 6-1
video, 5-7, 6-1
control panel connector, 6-1
cover
removing and replacing, 5-2
CPU Speed option, 2-9
'
DC power cables, 5-5, 7-4
Dell OpenManage program, 1-6
Desktop Management Interface.
See
DMI
diagnosing problems, 1-12
diagnostics
system, 1-4
DIMMs
about, 6-6
capacities supported, 1-1
installing, 6-6, 6-9
removing, 6-10
sockets, 6-1
Diskette Drive A and Diskette Drive B
options, 2-5
Diskette Drive A: option, 2-8
diskette drives
connecting, 7-4
interface connector, 6-1
turning off integrated controller, 2-11
types, sizes, and capacities, 2-5
Diskette Interface option, 2-11
diskette/tape drive interface connector,
6-1
Display Power Management Signaling.
See
DPMS
DMI, 1-5
DPMS and power management, 2-14
drive bays
about, 7-1
installing drives, 7-5
drivers for integrated devices, 4-1
drives
cables, 7-4
connecting to power, 7-4
formatting, 7-14
front bezel, 7-2
front-panel inserts, 7-2
installing, 7-5
location in chassis, 7-1
partitioning, 7-14
types supported, A-2
drive-type numbers, 2-6
dual in-line memory modules.
See
DIMMs
(
EIDE hard-disk drives
addressing, 7-10
disabling the built-in interface, 2-11
drive-type parameters, 2-7
ENERGY STAR compliance, 1-9
formatting, 7-14
installing, 7-9
interface connectors, 6-1
partitioning, 7-14
saving power, 2-14

Index 3
EIDE interface connectors, 6-1
electrostatic discharge.
See
ESD
ENERGY STAR compliance, 1-9
enhanced integrated drive electronics.
See
EIDE
ergonomic computing habits, v
error messages, 2-22, B-1, B-6
ESD, vii
expansion cards
about, 6-2
configuring, 3-1
connectors, 6-3
installing, 6-3
listed cards, 3-6
locking cards, 3-15
modifying cards, 3-11
removing, 6-5
removing with ICU, 3-13
resources, viewing, 3-14
unlisted cards, 3-9
with diskette drive controller, 2-11
with hard-disk drive controller, 2-10
with ports, 2-10
expansion-card cage
location, 5-7
removing and replacing, 5-11
)
failures, 1-12
fan guard, 5-7
filler bracket, 6-4
fixing problems, 1-12
formatting
EIDE hard-disk drives, 7-14
front-panel inserts, 7-2
*
getting help, 1-12
+
hard disk.
See
drives; EIDE hard-disk
drives
Hard-Disk Drive option, 2-8
Hard-Disk Drive Sequence option, 2-7
hardware options.
See
upgrade options
header connector, 7-4
help
for ISA Configuration Utility, 3-5
getting, 1-12
tools, 1-12
high-level formatting, 7-14
,
ICU
about, 3-1
backing up diskette, 3-4
Configuration Manager, B-6
database of configuration files, 3-3
error messages, B-1, B-7
exiting, 3-15
help, 3-5
key functions, 3-5
listed cards, 3-6, 3-11, 3-13
locking cards, 3-15
locking resources, 3-15
making selections in, 3-5
modifying expansion cards, 3-11
online access, 3-3
preparing to use, 3-4
quick start, 3-2
removing expansion cards, 3-13
resources, viewing, 3-14
saving the configuration, 3-15
starting, 3-2, 3-5
unlisted cards, 3-9, 3-11, 3-13
unlocking cards, 3-15
unlocking resources, 3-15
when to run, 3-3
IDE Drive Interface option, 2-10

4 Dell OptiPlex E1 Mini Tower Managed PC Reference and Installation Guide
indicators
link integrity, 4-2
NIC activity, 4-2
Industry-Standard Architecture.
See
ISA
inserts
front panel, 7-2
installing
DIMMs, 6-6, 6-9
expansion cards, 6-3
system battery, 6-12
integrated devices, 4-1
Integrated Devices option, 2-9
Intel PIIX4e INF Update Installer, 1-11
interface cables
about, 5-5
connectors, 6-1, 7-4
ISA Configuration Utility.
See
ICU
ISA expansion cards
See also
expansion cards
about, 6-2
configuring, 3-1
-
jacks
location on system board, 6-1
locations on back panel, 5-7
jumpers
about, 5-5, 5-7
BIOS jumper, 5-9
location, 5-8
PSWD jumper, 2-21, 5-9
settings (table), 5-9
speed jumpers, 5-9
.
key combinations
ICU, 3-5
System Setup program, 2-3
keyboard connector, 4-2, 5-7, 6-1
Keyboard NumLock option, 2-13
keys
<F1>, 2-22
<F2>, 2-22
<Print Screen>, 2-1
ICU, 3-5
System Setup program, 2-3
/
Level 2 Cache option, 2-15
logical formatting, 7-14
0
manageability features, 1-5
Manufacturing Test Report, 2-1
memory
adding, 6-6
configurations, 6-7
error messages after installing, 2-22
reserved memory, 2-8
system memory, 1-1
upgrade, performing, 6-6
messages
Configuration Manager, B-6
ICU, B-1
invalid configuration information, 2-1,
6-8
prompt to enter the System Setup
program, 2-1
responding to error messages, 2-22
microprocessor
fan connector, 6-1
jumper settings for speed, 5-9
SEC cartridge connector, 6-1
speeds, toggling between, 2-9
type supported, 1-1
mouse connector, 4-2, 5-7, 6-1

Index 5
Mouse Port option, 2-9
MS-DOS network driver, 4-8
1
network drivers
MS-DOS, 4-8
Windows 95, 4-6
Windows for Workgroups, 4-7
Windows NT 3.5x, 4-5
Windows NT 4.0, 4-3
Network Interface Controller option, 2-9
network interface controller.
See
NIC
NIC
about, 4-2
configuring, 4-3
connector, 4-2, 5-7, 6-1
link integrity, 4-2
MS-DOS driver, 4-8
network cable requirements, 4-2
Windows 95 driver, 4-6
Windows for Workgroups driver, 4-7
Windows NT 3.5x driver, 4-5
Windows NT 4.0 driver, 4-3
notational conventions, x
notes, x
2
online documentation, 1-12
3
padlock, 1-8, 5-2
padlock ring, 5-7
parallel port
compatibility, 2-10
connector, 4-2, 5-7, 6-1
Parallel Port Mode option, 2-10
Parallel Port option, 2-10
partitioning
EIDE hard-disk drives, 7-14
Password Status option, 2-11
password.
See
setup password; system
password
PC Speaker option, 2-11
PCI expansion cards
See also
expansion cards
about, 6-2
configuration, 3-1
connectors, 6-3
locking and unlocking, 3-15
peripheral component interconnect.
See
PCI
Preboot eXecution Environment.
See
PXE
physical formatting, 7-14
PIIX4e INF Update Installer, 1-11
Plug and Play expansion cards
See also
expansion cards
configuration, 3-1
ports
adding expansion cards with ports,
2-10
autoconfiguration, 2-10
designations, 2-10
illustrated, 4-2, 5-7
power
AC power receptacle, 5-7
power input connectors, 6-1
switch, 1-9
time-out periods, 2-15
Power Management option, 2-14
power supply
about, 5-5
input connectors, 6-1
location in chassis, 5-7
rotating away from the system board,
5-13
preboot execution environment.
See
PXE
Primary Drive n and Secondary Drive n
options, 2-6

6 Dell OptiPlex E1 Mini Tower Managed PC Reference and Installation Guide
problem solving, 1-12
PSWD jumper, 2-21, 5-9
PXE, 1-7
5
regulatory notices, C-2
Report Keyboard Errors option, 2-13
Reserved Memory option, 2-8
return policy, D-3
ribbon cables, 5-7, 7-4
riser board
connector, 6-1
6
safety instructions
for preventing ESD, vii
for working inside computer, vi
general, iv
health considerations, v
list, 5-1
SEC cartridge
location, 6-1
security, 1-8, 2-12, 2-16
See also
setup password; system
password
security cable slot
location, 1-8, 5-7
using, 1-8
Self-Monitoring and Analysis Reporting
Technology II.
See
SMART II
Serial Port 1 and Serial Port 2 options,
2-10
serial ports
autoconfiguration, 2-10
connectors, 4-2, 5-7, 6-1
disabling and enabling, 2-10
service, 1-12
Service Tag option, 2-15
setup password
about, 2-12, 2-19
assigning, 2-19
changing or deleting an existing
password, 2-20
disabling a forgotten password, 2-21
using, 2-20
Setup Password option, 2-12
SMART II support, 1-2
sockets
battery, 6-1
DIMM, 6-1
list of, 5-10
video-memory upgrade, 6-1
Sound option, 2-9
specifications, A-1
speed jumpers
setting, 5-9
support, 1-12
switches, 5-6
system board
about, 5-5
connectors, 6-1
features, 1-2
system configuration information, 2-1
system data options, 2-15
System Date option, 2-5
system features, 1-1
System Memory option, 2-8
system password
about, 2-16
assigning, 2-16
changing or deleting an existing
password, 2-18
disabling a forgotten password, 2-21
entering a wrong or incomplete
password, 2-18
risk of not using password, 2-16
using to secure your system, 2-17
viewing current status, 2-12

Index 7
System Password option, 2-12
System Security option, 2-11
System Setup program
BIOS version, 2-2
copying or printing screen information,
2-1
entering, 2-1
error messages, 2-22
key functions, 2-2
navigation keys, 2-3
options, 2-5
screen, 2-4
setup password feature, 2-19
system configuration information, 2-1
system password feature, 2-16
using the program, 2-2
System Time option, 2-5
system.
See
computer
7
tape drives
installing, 7-4
interface cable, 5-7
interface connector, 6-1
technical assistance, 1-12
technical specifications, A-1
tools, help, 1-12
troubleshooting
about, 1-12
ICU messages, B-1
typographical conventions, x
8
Universal Serial Bus.
See
USB
upgrade options
DIMMs, 6-6
drives, 7-1
upgrade options
(continued)
expansion cards, 6-3
unpacking, 5-2
video memory, 6-10
USB
about, 1-2
connectors, 4-2, 5-7, 6-1
9
VESA and power management, 2-14
video connector, 4-2, 5-7, 6-1
video controller, 4-1
Video DAC Snoop option, 2-11
Video Electronics Standards Association.
See
VESA
video memory
adding, 6-10
requirements, 1-3
upgrade socket, 6-1
Video Memory option, 2-8
:
Wakeup On LAN, 1-2, 1-8
Wakeup on LAN option, 2-13
warnings, x, 5-1
warranty information, ix, D-1
Windows 95
network driver, 4-6
reinstalling, 1-10
Windows for Workgroups NIC driver, 4-7
Windows NT 3.5x NIC driver, 4-5
Windows NT 4.0 NIC driver, 4-3