Dexcom 9715 Spread Spectrum Device User Manual Part 2
Dexcom, Inc. Spread Spectrum Device Part 2
Dexcom >
Contents
- 1. User Manual Part 1
- 2. User Manual Part 2
User Manual Part 2

Dexcom G5 Mobile System User Guide
168Daily Events Aect Your Glucose Trends and Patterns
(Continued from previous page)
Enter Stress Event
14 Turn to landscape.
The receiver and app don’t talk to one another. If you enter an Event only into the receiver,
while the information will appear on Dexcom reports, you won’t get an Event marker on your
app’s Trend screen.
The app has Event markers on its screen, the receiver doesn’t.
There may be times when you want or need to enter Events on the Dexcom G5
Mobile Receiver.
Enter Events: Dexcom G5 Mobile Receiver
While the Event data is the same between display devices, the flow is not the same, including
how to enter the Event’s date and time. The following table reviews how to enter the same
Carb/Stress Event data from the previous scenario: Carbs at 85, and a Stress Event.
Entering Events: Receiver
Step What you see What you do
Enter Carbs Event
1Default screen
Press
Select
to go to Main Menu.
(Continued on next page)

169
Dexcom G5 Mobile System User Guide
Daily Events Aect Your Glucose Trends and Patterns
(Continued from previous page)
Enter Carbs Event
2Press
Down Arrow
until
Events
is highlighted.
Press
Select
.
3Highlight
Carbs
.
Press
Select
.
4
Add up all carb grams from lunch.
Arrow up to “85.”
Press
Select
.
5
Press Left/
Right Arrows
to change time and date.
• Left: Backwards
• Right: Forward
Press
Select
.
6Confirmation screen.
Press
Select
.
(Continued on next page)

Dexcom G5 Mobile System User Guide
170Daily Events Aect Your Glucose Trends and Patterns
(Continued from previous page)
Enter Health Event
7Press
Down Arrow
until
Health
.
8Press
Down Arrow
to
Stress
.
Press
Select
.
9
Press
Left
/
Right Arrows
to change time and date.
• Left: Backwards
• Right: Forward
Press
Select
.
10
Verify information is correct.
Press
Left
/
Right Arrows
to highlight field.
Press
Up
/
Down Arrows
to change numbers.
Press
Select
to save.
10.4 Viewing Events
Events entered into your receiver can only be viewed on a Dexcom report; there are no
markers on your receiver’s screen.
On your smart device, turn to landscape to view your Event markers. A single small
square marks all Events. Slide your finger across the screen or tap the square to get your
Event’s information.

171
Dexcom G5 Mobile System User Guide
Daily Events Aect Your Glucose Trends and Patterns
Landscape What it does What you do
Landscape Only
Show Event details.
Landscape Only
• Tap
square
• Slide finger across
screen
Once you have allowed your Share Follower’s access to your Trend screen, they too will be
able to view your Events. See Part 5 for more information.
Summary
Now You Can:
• Define Event
• Describe each Event
• Create an Event
○Dexcom G5 Mobile App
○Dexcom G5 Mobile Receiver
• Recognize Event Markers on the Dexcom G5 Mobile App
○Describe how Event Markers are different in portrait and landscape view
• Describe how to view Events entered via your receiver
What’s Next?
In the next chapter, you will learn about your trend’s Alarm and Alerts helping you monitor
you glucose levels. You’ll also learn how you know when your system loses its signal and
stops communicating.

Dexcom G5 Mobile System User Guide
172Daily Events Aect Your Glucose Trends and Patterns
Page intentionally left blank

173
Dexcom G5 Mobile System User Guide
Sensor Glucose Alarm and Alerts
11.1 Introduction
Monitoring your glucose trends is critical in managing your diabetes. But what happens if
you’re driving, in a meeting, at the movies, and can’t or, don’t want to, keep looking at your
display device?
Dexcom’s G5 Mobile CGM System understands there are times when you can’t look at your
receiver or smart device; however you still need to know of actionable glucose trends or if
you’re not getting your sensor glucose readings.
This chapter reviews the sensor glucose Alarm and Alerts based on your sensor glucose
readings, allowing you to proactively manage your glucose trend levels and make sure your
transmitter is communicating with your display device.
In the next chapter, you’ll learn how to customize the Alarm and Alerts.
After this chapter you will be able to:
• Define an Alarm
• Define an Alert
• Identify the different types of Alerts
• Describe the difference between an Alarm and an Alert
• Recognize different Alarm/Alert prompts and sounds
• Determine signal loss is preventing you from getting an Alarm or Alert
• Describe recommended app settings
• Successfully clear an Alert notification
○Dexcom G5 Mobile App
○Dexcom G5 Mobile Receiver
Your trending information is one of the greatest benefits of the Dexcom G5 Mobile System.
It’s important to focus on your trends and rate of change arrows, rather than the exact
number of your glucose reading
Chapter 11
Next Steps:
Sensor Glucose Alarm and Alerts

Dexcom G5 Mobile System User Guide
174Sensor Glucose Alarm and Alerts
11.2 Safety Statements
The Alarm and Alerts were designed to keep you safe, helping you avoid severe lows and
highs or from missing your readings. The following safety statements help ensure you get
your Alerts and Alarm.
WARNING
Do:
Verify your smart device settings let you get Alarm and Alerts.
To receive Alarm/Alerts you must:
1. Make sure Dexcom G5 Mobile App Notifications are turned on in
Settings
menu
2. Verify app hasn’t been shut down.
3. Adjust volume so you can hear sounds.
4. Turn
Bluetooth
on.
5. Turn off
Do Not Disturb
.
6. Keep Dexcom G5 Mobile App running in the background.
7. Restart app after device is restarted.
Why: Your apps settings do not override phone settings.
Consequences: Missing severe low or high Alarm or Alerts.
WARNING
Don’t:
Never assume the Dexcom G5 Mobile CGM System’s Alarm/Alert vibrations are
different from other vibrating apps.
Do:
Look at your smart device and check if vibration is a Dexcom G5 Mobile CGM System
Alarm or Alert.
Why: Medical device apps don’t have special priority over your smart device’s features.
You can’t determine if the vibration is coming from your Dexcom G5 Mobile App or
another app.
Consequences: Missing severe low or high Alarm or Alerts.
WARNING
Do:
Unplug headphones from your smart device when not in use.
Why: If headphones are plugged in while not being used, you won’t hear an Alarm or Alert.
Consequences: Missing severe low or high Alarm or Alerts.

175
Dexcom G5 Mobile System User Guide
Sensor Glucose Alarm and Alerts
PRECAUTION
Don’t:
Never prevent communication between transmitter and display devices.
Do:
Keep smart device and receiver within 20 feet of transmitter and away
from obstructions.
Why: If your transmitter display device(s) are more than 20 feet apart or are separated by
an obstruction, they might not communicate.
Types of obstruction differ and not all types have been tested. Obstructions can include
water, walls, metal, etc.
Water (e.g., swimming, surfing, bathing, etc.) can severely limit communication range.
Consequences: Missing severe low or high Alarm or Alerts.
PRECAUTION
Do:
Set smart device and receiver settings separately.
Why: Settings are specific to each display device and don’t carry over to other devices. If
you set up one device and then use another, you won’t get an Alarm or Alert.
Consequences: Missing severe low or high Alarm or Alerts.
PRECAUTION
Do:
Verify smart device and receiver are turned on.
Why: Neither the receiver nor smart device will generate sensor glucose readings, Alarm
or Alerts if turned off.
Consequences: Missing severe low or high Alarm or Alerts.
11.3 Alarm and Alerts
As part of managing your diabetes, you learned how to read your Trend screen and how
to enter Events. In this chapter, you’ll learn how Alarm and Alerts can keep you safe from
severe lows or highs.
Depending on your display device, you can customize how you receive your Alarm or Alerts.

Dexcom G5 Mobile System User Guide
176Sensor Glucose Alarm and Alerts
What Is an Alarm?
While there are a variety of Alerts
,
there is just one Alarm
, the Urgent Low Alarm (Alarm) is
set at 55 mg/dL. The Alarm will repeat every 5 minutes until you clear the Alarm (see Chapter
12 on how to customize the sounds). If you clear the Alarm and your sensor glucose readings
do not go over 55 mg/dL in the next 30 minutes, you get another Alarm.
Unlike Alerts
,
the Urgent Low Alarm setting can’t be changed or turned off
. Think of it as a
safety net: your glucose level is dangerously low—pay attention now!
What Are Alerts?
An Alert is a message telling you your glucose trend levels need attention.
Low/High glucose Alerts tell you when your sensor glucose readings are outside your target
glucose ranges. Think of them as an FYI: You need to know what’s happening, Rising/Falling
Alerts tell you your glucose levels are changing quickly. Their default settings are Off (see
Chapter 12 on how to turn them on).
Alerts message you with vibrations (vibrations not available on all smart devices), visual
prompts, sounds, or a combination of all three.
Unlike the Alarm, you can customize your different Alert’s target range (Chapter 12).
During your initial set up, you establish your low and high alert levels. As mentioned before,
this chapter is a review of the Alarm and Alerts, recommended smart device settings and the
receiver’s default Alert settings.
Chapter 12 will show you how to change their settings: customize glucose levels prompts,
how you are notified, and in some cases, how often you get notified. The following are
the defaults.
Default Alerts
Low/High Alerts
Your Low/High Alerts have the same color coding as your Trend Graph screen:
1. Red: Glucose levels are below your low threshold.
a. Default setting of 80 mg/dL.
2. Gray: Glucose levels are within your high/low Alert levels.
a. No Alerts.
3. Yellow: Glucose levels are above your high threshold.
a. Default setting of 200 mg/dL.

177
Dexcom G5 Mobile System User Guide
Sensor Glucose Alarm and Alerts
Rise Rate/Fall Rate/Repeat/Signal Loss Alerts
Rise Rate and Fall Rate Alerts warn you when your glucose levels are changing rapidly, either
down or up, and look similar to the rate of change arrows. Repeat Alerts let you know if your
sensor glucose readings continue to be above or below your Alert levels.
Glucose Level Alerts
1. Rise Rate
a. Default setting is Off—No Alert.
b. Need to change settings to receive Rising Alert.
2. Fall Rate
a. Default setting is Off—No Alert.
b. Need to change settings to receive Falling Alert.
3. Repeat
a. Default setting is Off—No Alert.
b. Need to change settings to receive Repeat Alert.
Signal Loss Alert
Signal Loss tells you when you and the transmitter are too far from your display device
or something is blocking your transmitter signal, causing you not to get sensor glucose
readings. The default setting for Signal Loss is On.
Now you have the basics for Dexcom’s G5 Mobile’s Alarm/Alerts feature. Next, you will learn
about each Alarm/Alert in more detail.
11.4 Alarm and Alerts Screens
When you fall within an Alarm or Alert target range, your display device tells you. As
mentioned in previous chapters you won’t get any Alarm or Alerts within five minutes
of calibration.
Let’s first review how the information is presented visually across the devices. While the
Alarm/Alerts prompts look different on the display devices, they reflect the same information.
After prompts we’ll separately review the vibration and audible Alarm/Alerts for app
and receiver.
Alarm and Alerts look different based on your display device, but reflect the
same information.

Dexcom G5 Mobile System User Guide
178Sensor Glucose Alarm and Alerts
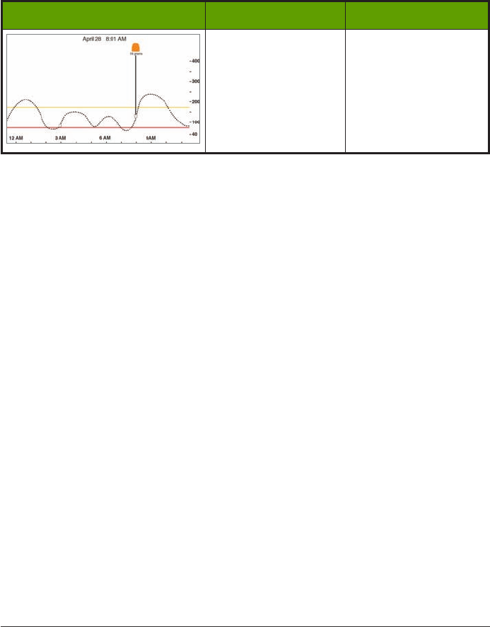
Urgent Low Glucose Alarm
Device What you see What it means
Smart Device:
Lock Screen
Sensor glucose reading at or below 55
mg/dL.
Shows last glucose value.
Arrows reflect rate of change.
Check BG meter to make treatment
decisions.
Smart Device:
In App
Receiver

179
Dexcom G5 Mobile System User Guide
Sensor Glucose Alarm and Alerts
Low/High Glucose Alerts
Device What you see What it means
Smart Device:
Lock Screen
Sensor glucose reading at or below your
low Alert level.
Shows most current sensor glucose
reading.
Arrows reflect rate of change.
Can be set to repeat between 15 minutes
to 4 hours.
Check your BG meter to make any
treatment decisions.
Smart Device:
In App
Receiver
(Continued on next page)

Dexcom G5 Mobile System User Guide
180Sensor Glucose Alarm and Alerts
(Continued from previous page)
Device What you see What it means
Smart Device:
Lock Screen
Sensor glucose reading at or above your
high Alert level.
Shows most current sensor glucose
reading.
Arrows reflect rate of change.
Can be set to repeat between 15 minutes
to 4 hours.
Check BG meter to make treatment
decisions.
Smart Device:
In App
Receiver

181
Dexcom G5 Mobile System User Guide
Sensor Glucose Alarm and Alerts
Rise Rate/Fall Rate Alerts
Device What you see What it means
Smart Device:
Lock Screen
Sensor glucose readings
rising quickly.
Number of arrows shows
how fast (2 mg/dL/min;
3+ mg/dL/min).
Check BG meter to make
any treatment decisions.
Smart Device:
In App
Receiver
(Continued on next page)

Dexcom G5 Mobile System User Guide
182Sensor Glucose Alarm and Alerts
(Continued from previous page)
Device What you see What it means
Smart Device:
Lock Screen
Sensor glucose readings
falling quickly.
Number of arrows shows
how fast (2 mg/dL/min;
3+ mg/dL/min).
Check BG meter to make
any treatment decisions.
Smart Device:
In App
Receiver

183
Dexcom G5 Mobile System User Guide
Sensor Glucose Alarm and Alerts
Signal Loss Alert
Device What you see What it means
Smart Device:
Lock Screen
Your receiver and transmitter are not
communicating.
You will not receive Alarm/Alerts.
Check BG meter to check your glucose and
make any treatment decisions.
Smart Device:
In App
Receiver
11.5 App: Alarm/Alert Recommended Settings
The receiver is a stand-alone medical device and used solely to monitor your glucose trends.
The app cannot override the smart devices general settings.
The app can’t override your smart device settings:
• When your smart device is on Silent, you’ll still receive Alarms and Alerts visual prompts
and messages, but not vibrations if you haven’t adjusted your smart device settings
• Some smart devices don’t have a Vibration feature, so you won’t get any
vibration notifications
• When your ringer’s volume is low, you may not hear an Alarm or Alert
• When your smart device is in Do Not Disturb mode, you won’t receive any Alarm/Alerts.
The Dexcom G5 Mobile App can’t override the Do Not Disturb setting
• If you don’t enable your Dexcom G5 Mobile push Notifications settings during set up, you
won’t get any Alarm/Alerts
• Check in Settings under Notifications on how your Alarm/Alerts are prioritized
For information on smart device settings, see your smart device’s instructions.

Dexcom G5 Mobile System User Guide
184Sensor Glucose Alarm and Alerts
If you are concerned about missing an Alarm or Alert (e.g., due to smart device settings,
app shutting off due to lack of storage, low smart device battery, etc.), bring your receiver
with you.
11.6 Receiver: Default Beeps and Vibrations
The Dexcom G5 Mobile Receiver’s Alarm/Alerts are vibrations and a beep, or a series of
beeps, based on the Alarm or Alert. Beeps and vibrations are preprogrammed into the
receiver, and unlike the smart device, the volume can’t be changed.
In Chapter 12 you’ll learn how to adjust the volume and intensity of your Alarm/Alerts.
The following is a table of the receiver’s default beep and vibration patterns. If you clear
the Alert’s initial vibration, you won’t get any beeps or sounds unless you’ve turned on the
Repeat Alert.
In the next section, you’ll learn how to clear the Alarm/Alerts.
Urgent Low Glucose Alarm
What you see Beeps and vibration
Initial Default Alert:
Vibrates 4x’s.
After 5 Minutes:
Vibrates/beeps 4x’s every 5 minutes until cleared or sensor
glucose readings go above Alarm level.
After 30 Minutes:
After clearing Alarm, continues to notify if sensor glucose
readings remain at or below Alarm level.

185
Dexcom G5 Mobile System User Guide
Sensor Glucose Alarm and Alerts
Low/High Glucose Alerts
What you see Beeps and vibration
Initial Default Alert:
Vibrates 3x’s.
After 5 Minutes:
Vibrates/beeps 3x’s every 5 minutes until cleared.
Trend screen will continue to reflect Alert until sensor
glucose readings go above Alert level.
Initial Default Alert:
Vibrates 2x’s.
After 5 Minutes:
Vibrates/beeps 2x’s every 5 minutes until cleared.
Trend screen will continue to reflect Alert until sensor
glucose readings go below Alert level.

Dexcom G5 Mobile System User Guide
186Sensor Glucose Alarm and Alerts
Rise Rate/Fall Rate Alerts
What you see Beeps and vibration
Initial Default Alert:
None/Off.
After Setting Change:
Vibrates 2x’s, 2 sounds.
After 5 Minutes:
Vibrates/beeps 2x’s every 5 minutes until cleared.
Initial Default Alert:
None/Off.
After Setting Change:
Vibrates 3x’s.
After 5 Minutes:
Vibrates/beeps 3x’s every 5 minutes until cleared or sensor
glucose reading drops below Alert level.

187
Dexcom G5 Mobile System User Guide
Sensor Glucose Alarm and Alerts
Low Repeat/High Repeat
What you see Beeps and vibration
Initial Default Alert:
None/Off.
After Setting Change:
Vibrates 3x’s.
After 5 Minutes:
Vibrates/beeps 3x’s every 5 minutes until cleared.
Will re-alert if sensor glucose readings drop at or below 55
mg/dL.
Initial Default Alert:
None/Off.
After Setting Change:
Vibrates 2x’s.
After 5 Minutes:
Vibrates/beeps 2x’s every 5 minutes until cleared.
Signal Loss Alert
What you see Beeps and vibration
Initial Default Alert:
On.
After Setting Change:
Vibrates 1x.
After 5 Minutes:
Vibrates/beeps 1x every 5 minutes for a total of 6 times if not
cleared.
After 6 times it will not alert again.

Dexcom G5 Mobile System User Guide
188Sensor Glucose Alarm and Alerts
11.7 Clearing Alarm/Alerts
Alerts require you to acknowledge and clear them. How this is done depends on your display
device. If using both display devices, you’ll need to clear each separately.
Due to their medical importance, the Alarm is more persistent. Even after acknowledging and
clearing an Alarm, if your sensor’s glucose readings remain at or below 55 mg/dL, an Alarm
will sound every 30 minutes until readings are above 55 mg/dL.
Clearing Your Smart Device
Device What you see What you do
Smart Device:
Lock Screen Slide
Alarm
or
Alert
to access app.
Smart Device:
In App Tap
OK
to accept Alarm or Alert.

189
Dexcom G5 Mobile System User Guide
Sensor Glucose Alarm and Alerts
Clearing Your Receiver
What you see What you do
Press
Select
.
Once cleared, you won’t receive the same Alert unless you hit the Alert’s target range
again. Your Alarm will repeat even after clearing if your glucose levels do not return to your
target range.
Summary
Now You Can:
• Define an Alarm
• Define an Alert
• Identify the different types of Alerts
• Describe the difference between an Alarm and an Alert
• Recognize different Alarm/Alert prompts and sounds
• Determine if signal loss is preventing you from getting an Alarm/Alert
• Describe recommended app settings
• Successfully clear an Alert notification
○Dexcom G5 Mobile App
○Dexcom G5 Mobile Receiver
What’s Next?
Up to now, you have learned about the Alarm or Alert default settings. But what do you
do if you want to decrease the High Alert glucose level threshold, or you want to continue
getting a Low Alert notification if your glucose levels don’t improve, even though you cleared
the message?
How do you make your Alarm/Alerts fit your needs?

Dexcom G5 Mobile System User Guide
190Sensor Glucose Alarm and Alerts
Page intentionally left blank

191
Dexcom G5 Mobile System User Guide
On the Go With G5: Customizing Your Alarm and Alerts
12.1 Introduction
The receiver and app come with default glucose Alert level settings, but perhaps they don’t
reflect the glucose level that works best for you.
Perhaps you’re in a meeting and can only clear an Alert, yet want to make sure your Alert
repeats, or continues, until you’re able to take corrective measures. Maybe you’d like to get a
Rising/Falling glucose Alert, but their settings are off by default. How do you turn them on?
In this chapter, you’ll learn how to personalize your Alarm and Alerts tones and
glucose levels.
Afterwards, you will be able to:
• Customize your Low/High Alerts
○Dexcom G5 Mobile App
○Dexcom G5 Mobile Receiver
• Adjust Alarm sound notification
• Use receiver’s Advanced Alerts
○Low/High Repeat
○Rise/Fall Alerts
○Signal Loss
Each display device has customization options; however the setup flow is different. Before
making any changes to your Alert levels, talk with your healthcare professional.
First, let’s take a look at personalizing your app Alarm and Alerts, and then we’ll review the
same process for the receiver.
Chapter 12
Next Steps:
On the Go With G5: Customizing Your Alarm
and Alerts

Dexcom G5 Mobile System User Guide
192On the Go With G5: Customizing Your Alarm and Alerts
12.2 Safety Statement
WARNING
Do:
If using both receiver and app for to get an Alarm or Alert, change settings in each
display device.
Why: Any changes to the G5 Mobile app will not carry over to the receiver.
Consequences: Missing severe low or high Alarm or Alerts.
12.3 Changing App Alarm and Alerts
App Screen Overview
The Alerts Main Menu lists all customizable Alerts and Alarm and their current settings. Part
of your initial set up included setting your Low/High Alerts. In this chapter, you’ll learn how to
change them.
Before learning how to change your settings, let’s review the app’s Alerts Main Menu screen.
Customizing Alerts: App Alarm/Alerts Screen
Overview
Step What you see What it means What you do
1 Access Main Menu. Tap
Main Menu
icon.
(Continued on next page)

193
Dexcom G5 Mobile System User Guide
On the Go With G5: Customizing Your Alarm and Alerts
(Continued from previous page)
Step What you see What it means What you do
2Access Alerts Main
Menu. Tap
Alerts
.
3
All customizable Alarm
and Alerts.
Current Alert settings.
All alerts have:
•
On/Off
switch
•
Notify me
options
•
Sound
options
Tap
Alarm/Alert
you
want to change.
(Continued on next page)

Dexcom G5 Mobile System User Guide
194On the Go With G5: Customizing Your Alarm and Alerts
(Continued from previous page)
Step What you see What it means What you do
4
“?” explains:
• Each Alarm/Alert
• Message options
• Recommended
settings
Tap
“?”
for Alarm/Alert
information.
5
Urgent Low Glucose
Alarm:
• Preset at 55
mg/dL and cannot
be changed
•
Repeat
preset at 30
minutes and can’t
be changed
•
Sound
is the only
change option
Tap
Sound
to change
sound.

195
Dexcom G5 Mobile System User Guide
On the Go With G5: Customizing Your Alarm and Alerts
Steps to Customize App Alarm/Alerts
Although the results will vary depending on what Alarm or Alert you are customizing, the
steps to change your Alarm or Alert are the same:
From app’s Main Menu:
1. Tap
Alerts
.
2. Tap the
Alert
you want.
a. Tap
On
or
Off
switch to turn on desired Alerts.
3. Tap
Notify me
.
a. Change the Alert glucose level (mg/dL).
i. Scroll selection wheel, find your desired Alert level.
ii. Tap to highlight.
iii. Tap
Save
.
4. Tap
Repeat
.
a. Change the amount of time you want between your High/Low Alerts if your
sensor glucose readings continue to be low or high.
i. Scroll selection wheel, find your desired Alert level.
ii. Tap to highlight.
iii. Tap
Save
.
5. Tap
Sound
.
a. Assign a different sound to each Alarm or Alert.
i. Scroll selection wheel, find your desired sound.
ii. Tap to highlight.
iii. Tap
back arrow
.
In this following example, we’ll change the High Alert level from 200 mg/dL to 190 mg/dL,
repeating every hour if you continue to stay high, with a Door Bell sound.
Customizing Alerts: App
Step What you see What it means What you do
Access Alerts’ Main Menu
1Access Main Menu. Tap
Main Menu
icon.
(Continued on next page)

Dexcom G5 Mobile System User Guide
196On the Go With G5: Customizing Your Alarm and Alerts
(Continued from previous page)
Access Alerts’ Main Menu
2Access Alerts Main
Menu. Tap
Alerts
.
(Continued on next page)

197
Dexcom G5 Mobile System User Guide
On the Go With G5: Customizing Your Alarm and Alerts
(Continued from previous page)
Changing an Alert
3Access High Alert
settings (mg/dL). Tap
High mg/dL
.
4
Shows High Alert
options and current
settings.
Check
High Alerts
is On.
• On - Orange
• Off - Gray
(Continued on next page)

Dexcom G5 Mobile System User Guide
198On the Go With G5: Customizing Your Alarm and Alerts
(Continued from previous page)
Changing an Alert
5Won’t get Alerts if Off.
If Off:
On
Slide to On.
• On - Orange
• Off - Gray
6Change High Alert
(mg/dL). Tap
Notify Me Above
.
(Continued on next page)

199
Dexcom G5 Mobile System User Guide
On the Go With G5: Customizing Your Alarm and Alerts
(Continued from previous page)
Changing an Alert
7
Change glucose level
from current level
(mg/dL).
Scroll selection wheel.
Stop at 190.
8
Saves new High Alert
glucose level (mg/dL).
Returns to
High Glucose
Alert
screen options.
Notify Me Above
set at
190 mg/dL.
Tap
Save
.
(Continued on next page)

Dexcom G5 Mobile System User Guide
200On the Go With G5: Customizing Your Alarm and Alerts
(Continued from previous page)
Changing an Alert
9
Changes how often
your High Alert repeats
after initial Alert and
confirmation.
Repeats only if you are
above your high glucose
level.
Tap
Repeat
.
10
Changing the current
repeat setting.
Can select in five
minute steps (range 15
minutes-4 hours).
Scroll selection wheel.
Stop at 1 hour.
(Continued on next page)

201
Dexcom G5 Mobile System User Guide
On the Go With G5: Customizing Your Alarm and Alerts
(Continued from previous page)
Changing an Alert
11
Saves your new repeat
timing.
Returns to
High Glucose
Alert
screen options.
Repeat
shows how often
you’ll get notified.
Tap
Save
.
12 Customize Alert sound. Tap
Sound
.
(Continued on next page)

Dexcom G5 Mobile System User Guide
202On the Go With G5: Customizing Your Alarm and Alerts
(Continued from previous page)
Changing an Alert
13 Changes current sound
setting.
Tap
Doorbell
.
Tap
Sound
again to hear
sound sample.
14
Saves your new Alert
sound.
Return to High Glucose
Alert Menu.
Tap
Back Arrow
.
(Continued on next page)

203
Dexcom G5 Mobile System User Guide
On the Go With G5: Customizing Your Alarm and Alerts
(Continued from previous page)
Changing an Alert
15 Return to Main Menu. Tap
“X”
.
16 Return to trend screen.
Tap
Menu
icon
Or
Swipe right.

Dexcom G5 Mobile System User Guide
204On the Go With G5: Customizing Your Alarm and Alerts
Any changes to the app will not carry over to the receiver. If using both, make the same
changes in the receiver you made in your smart device. If you don’t, you may miss an Alarm
or Alert.
12.4 Changing Receiver Alarm and Alerts
You’ll notice a flow difference between the app and the receiver when personalizing your
Alarm/Alerts. With the app, all Alert adjustments are made from one screen, whereas in the
receiver, you make changes in different screens.
Unlike the app, you change your receiver’s tones (known as Profiles) through a number of
different screens in the Profiles menu.
Profiles
Profiles determine the sound and volume of your Alarm and Alerts.
As mentioned in the previous chapter, the receiver uses a series of beeps/vibrations for an
Alarm or Alert. The receiver doesn’t have the same variety of tones as the app; however you
can adjust their volume. While the receiver doesn’t have a silent mode, selecting
Vibrate
will
replace audible beeps with quiet vibrations. The only exception is the Alarm: the urgent low
Alarm can’t be turned off.
Changes made in
Profiles
are applied to all of the receiver’s Alarm/Alerts. If you choose
Soft
(see next table), all Alerts are in Soft mode. In Chapter 10, you learned how many beeps each
Alarm/Alert has.
Normal
is the default setting for your receiver sound Profiles.
Attentive
uses a rising or falling melody instead of beeps.
The receiver first vibrates when sending you an Alarm or Alert. If you clear the alert at the
first vibration by pressing the
Select
button on your navigation wheel, you won’t get any
Alarm/Alert tones. If you would like to continue to get your Alarm or Alert after clearing, later
in this chapter you’ll learn about setting up Repeat Alerts.
HypoRepeat
is very similar to the
Normal
Profile, but keeps repeating the fixed low alarm
every 5 seconds until your sensor glucose value rises above 55 mg/dL or you confirm by
pressing the
Select
button.
The next table lists the different sound Profiles, starting with the quietest, working its way up
to the loudest.

205
Dexcom G5 Mobile System User Guide
On the Go With G5: Customizing Your Alarm and Alerts
Alarm/Alert Sound Profiles
Icon Profile name Notification description
Vibrate
Vibration only.
Only sound is your receiver vibrating.
Vibrate is not available for the Alarm.
Soft Lower volume beeps.
Normal Medium volume beeps.
Default Profile.
Attentive
No beeps.
• Rising melody for High and Rising Alerts
• Dropping melody for Low and Falling Alerts
HypoRepeat
Medium volume beeps.
Urgent low Alarm only.
Repeats fixed low alarm every 5 seconds until
sensor glucose reading rises above 55 mg/dL or is
confirmed.
Try It Sample
Profile
setting before selecting.
After choosing your sound profile, changing it is just a few steps away! Change your
Profile
throughout the day depending on what lays ahead: In a meeting? Select
Vibrate
. Going to a
ball game after work? Select
Attentive
.
The next table shows how to change a sound Profile, then sample how it sounds.

Dexcom G5 Mobile System User Guide
206On the Go With G5: Customizing Your Alarm and Alerts
Customizing Sound Profiles: Receiver
Step What you see What it means What you do
1 Go to Main Menu. Press
Select
.
2Second Main Menu
screen.
Press
Down Arrow
.
Profiles
on second
screen.
3Profiles adjusts volume
of Alarm/Alerts.
Press
Up/Down Arrow
.
Stop at
Profiles
.
Press
Select
.
4Choose sound
Profile
.
Press
Up/Down Arrow
.
Stop at desired
Profile
.
Press
Select
.
(Continued on next page)

207
Dexcom G5 Mobile System User Guide
On the Go With G5: Customizing Your Alarm and Alerts
(Continued from previous page)
Step What you see What it means What you do
5Selected
Profile
check
marked.
Sample sound:
Press
Down Arrow
.
Stop at
Try It
.
Press
Select
to have the
sound play.
Exit Profiles:
Press
Left Arrow
.
6N/A Repeat as needed.
Repeat steps 2-5 to
change Profile.
To Exit:
Press
Left Arrow
to
Main Menu
.
Profiles allow you to change your Alarm and Alerts tones. The Alerts menu gives you options
for personalizing your glucose level Alerts, repeating Alerts, turning your Rising/Falling Alerts
on and turning on your Signal Loss Alert.
Alerts Main Menu
Low/High
Alert option lets you adjust your low/high glucose Alert level (mg/dL).
Advanced
gives you options to turn on Low/High Repeat, Rise/Fall Alerts and Signal
Loss Alert.
Low/High Repeat
In the previous chapter, you learned clearing an Alert stops it from repeating. If you want to
continue to be re-alerted until your glucose levels are back in your target range, turn on the
Repeat
option.
Rise/Fall Rate
Your trend screen provides visual cues letting you know your sensor glucose readings are
falling or rising rapidly.

Dexcom G5 Mobile System User Guide
208On the Go With G5: Customizing Your Alarm and Alerts
Constantly looking at your screen may not be practical. You can customize your Rise/Fall
Alert with vibrations or beeps letting you know when your glucose is rising or falling (2
mg/dL/min or 30 mg/dL up or down in 15 minutes) or rising or falling rapidly (3 or more
mg/dL/min or 45 mg/dL or more up or down in 15 minutes).
The default setting for Repeat and Rise/Fall Rate is
Off
.
It’s important you discuss your alert settings with your healthcare professional.
Signal Loss
Signal Loss Alert tells you when your transmitter and receiver aren’t communicating. Set the
Signal Loss and get alerted if your sensor glucose readings have stopped due to a signal loss
anywhere from 20 to 200 minutes.
The default setting for Signal Loss is
On
.
Steps to Customize Receiver Alarm/Alerts
Using the same example from changing your app Alerts, let’s change the receiver’s High Alert
notification level from 200 mg/dL to 190 mg/dL, repeating every 60 minutes.
Follow the same steps turning on the Rise/Fall Alerts, and adjusting your Low Alerts.
Customizing Alerts: Receiver
Step What you see What it means What you do
Change High Alert Level
1Go to Main Menu. Press
Select
.
(Continued on next page)

209
Dexcom G5 Mobile System User Guide
On the Go With G5: Customizing Your Alarm and Alerts
(Continued from previous page)
Change High Alert Level
2Alerts option from the
Main Menu.
Press
Down Arrow
.
Stop
a
t
Alerts
.
3Enter Alerts menu
option. Press
Select
.
4
Alerts’ option menu.
Lists different Alerts:
High/Low/Advanced
(Repeat, Rise/Fall,
Signal Loss) Alerts.
Press Up/
Down Arrow
.
Stop at
High Alert
.
Press
Select
.
5
Alert’s current settings.
Change your current
High Alert level.
Press
Down Arrow
.
Stop at
Level
.
Press
Select
.
6
Current setting.
Use
Up/Down
arrows to
change your High Alert
level (mg/dL).
Press
Down Arrow
.
Stop at 190 mg/dL.
(Continued on next page)

Dexcom G5 Mobile System User Guide
210On the Go With G5: Customizing Your Alarm and Alerts
(Continued from previous page)
Change High Alert Level
7
Saves new High Alert
level.
Return to Alerts Menu.
Press
Select
.
To exit:
Press
Left Arrow
.
Turn Repeart On
8
Alerts Menu.
Choose Advanced to get
to Repeat Alert.
Press
Down Arrow
.
Stop
a
t
Advanced
.
9Enter Advanced Alert
options.
Press
Select
on
Advanced
.
10
Main Advanced screen.
Set Repeat Alerts.
Turn On Rise/Fall Rate
Alerts.
Arrow
to
High Repeat
.
Press
Select
.
11
Initial screen shows
current repeat minutes.
Change time frame in 5
minute increments.
Press
Up
/
Down Arrow
.
Stop
at 60 minutes.
(Continued on next page)

211
Dexcom G5 Mobile System User Guide
On the Go With G5: Customizing Your Alarm and Alerts
(Continued from previous page)
Turn Repeat On
12 Changed
Repeat
time for
High Alert. Press
Select
.
13 Changed completed.
Return to
Alerts Menu
.
To exit:
Press
Left Arrow
.
It doesn’t matter which device you first use to customize your Alarm/Alert settings, key is
making sure you make the same changes in both or you may miss an Alarm or Alert.
Summary
Now You Can:
• Customize your glucose trend Low/High level notifications
○Dexcom G5 Mobile App
○Dexcom G5 Mobile Receiver
• Adjust Alarm tones
• Set up receiver’s Advanced Alerts
○Low/High Repeat
○Rise/Fall Rate
○Signal Loss
What’s Next?
Believe it or not, you are becoming a pro at using your Dexcom G5 Mobile CGM System!
You’ve set up the app and receiver, started a session, calibrated, followed your glucose
trends, paid attention to your Alarm/Alerts, prompts, and ended a session!
The next chapters begin our fourth part of the user guide: information you need to know, but
unlike the previous chapters, typically not part of your day-to-day Dexcom G5 Mobile CGM
System experience.

Dexcom G5 Mobile System User Guide
212On the Go With G5: Customizing Your Alarm and Alerts
The next part, Part 4: Everything Else G5, reviews the technical specifications, the warranty,
how to take care of the Dexcom G5 Mobile components, going through security when
traveling, contacting the Help Desk, Troubleshooting information, and symbols on system
components and packages.

• Warranty
• Maintenance
• Travel Tips
• Customer Service Contacts
• Technical Information
• Troubleshooting
• Package Symbols
EVERYTHING ELSE G5
Page intentionally left blank

215
Dexcom G5 Mobile System User Guide
Warranty: The Fine Print
13.1 Introduction
Sometimes stuff happens. Dexcom has you covered!
The following is our warranty information outlining what we do cover, what we don’t and
for how long. First the receiver’s limited warranty information, then the transmitter’s limited
warranty information.
13.2 Receiver Warranty Information
Dexcom G5 Mobile CGM System’s Limited Warranty
What’s Covered and for How Long?
Dexcom, Inc. (“Dexcom”) provides a limited warranty to the original purchaser (“you” or
“Purchaser”) that the Dexcom G5 Mobile Receiver (the “Receiver”) is free from defects
in material and workmanship under normal use (“Limited Warranty”) for the period
starting from the shipment date and continuing for a year following the shipment date
(“Warranty Period”):
Dexcom G5 Mobile Receiver: 1 year from shipment date
NOTE: If you received this Receiver as a replacement for an in-warranty Receiver, the Limited
Warranty for the original Receiver shall continue for the Warranty Period on the original
Receiver, but the replacement is not subject to any other warranty.
What’s Not Covered?
This Limited Warranty is based on the Purchaser properly using the CGM system in
accordance with the documentation provided by Dexcom. You are not permitted to use
the CGM system otherwise. You understand that misusing the CGM system, improperly
accessing it or the information it processes and transmits, “jailbreaking” your CGM system or
cell phone, and taking other unauthorized actions may put you at risk, cause the CGM system
to malfunction, is not permitted and voids your Limited Warranty.
Chapter 13
Everything Else G5:
Warranty: The Fine Print

Dexcom G5 Mobile System User Guide
216Warranty: The Fine Print
This Limited Warranty does not cover:
1. Defects or damage resulting from accident, misuse, abuse, neglect, unusual physical,
electrical or electromechanical stress, modification of any part of the product, or
cosmetic damage.
2. Equipment with the ID number removed or made illegible.
3. All surfaces and other externally exposed parts that are scratched or damaged due to
normal use.
4. Malfunctions resulting from the use of the Receiver in conjunction with accessories,
ancillary products, and peripheral equipment, whether hardware or software, not
furnished or approved by Dexcom.
5. Defects or damage from improper testing, operation, maintenance, installation,
or adjustment.
6. Installation, maintenance, and service of products or services other than the CGM
system (which may be subject to a separate limited warranty), whether provided by
Dexcom or any other party; this includes your cell phone or smart device and your
connection to the Internet.
7. Equipment which has been taken apart physically or which has had any of its software
accessed in any unauthorized manner.
8. Water damage to the Receiver.
a. Receiver is not water resistant.
b. Do not get the receiver wet at any time.
Dexcom’s Obligations Under the Limited Warranty
During the Warranty Period, Dexcom will replace, without charge to purchaser, any defective
Dexcom G5 Mobile Receiver.
To return, you must send the Receiver to an authorized Dexcom Technical Support
Department. Make sure you package the Receiver adequately for shipping.
The return package needs to include:
1. Receiver
2. Sales receipt or comparable substitute proof of sale showing the date of purchase
3. Receiver’s Serial Number
4. Seller’s name and address
Call Dexcom Technical Support Department for delivery information help:
• Toll free: 1.877.339.2664
• Charges may apply: 1.858.200.0200
Upon receipt, Dexcom will promptly replace the defective Receiver.

217
Dexcom G5 Mobile System User Guide
Warranty: The Fine Print
If Dexcom determines the Receiver isn’t covered by this Limited Warranty, Purchaser must
pay all shipping charges for the Receiver’s return by Dexcom.
Limits on Dexcom’s Warranty and Liability Obligations
The Limited Warranty described above is the exclusive warranty for the Receiver, and in lieu
of all other warranties, expressed or implied, either in fact or by operation of law, statutory
or otherwise.
Dexcom expressly excludes and disclaims all other warranties, including without limitation
any warranty of merchantability, fitness for a particular purpose, or non-infringement, except
to the extent prohibited by applicable law.
Dexcom shall not be liable for any special, incidental, consequential, or indirect damages,
however caused, and on any theory of liability, arising in any way out of the sale, use,
misuse, or inability to use, any Dexcom G5 Mobile CGM System or any feature or service
provided by Dexcom for use with the Dexcom G5 Mobile CGM System.
These limits on Dexcom’s warranty and liability obligations apply even if Dexcom, or its
agent, has been advised of such damages and notwithstanding any failure of essential
purpose of this Limited Warranty and the limited remedy provided by Dexcom.
This Limited Warranty is only provided to the original Purchaser and can’t be transferred to
anyone else, and states Purchaser’s exclusive remedy.
If any portion of this Limited Warranty is illegal or unenforceable by reason of any law, such
partial illegality or enforceability shall not affect the enforceability of the remainder of this
Limited Warranty. This Limited Warranty will be enforced to the maximum extent permitted
by law.
13.3 Transmitter Warranty Information
Dexcom G5 Mobile Transmitter Limited Warranty
What’s Covered and for How Long?
Dexcom, Inc. (“Dexcom”) provides a limited warranty to the original purchaser that the
Dexcom G5 Mobile Transmitter is free from defects in material and workmanship under
normal use for the period commencing on the date of first use by the original purchaser (the
“Date of First Use”) and expiring three (3) months thereafter; provided, that, the Date of First
use occurs within five (5) months of the date of shipment (or disbursement) of the transmitter
to the original purchaser.

Dexcom G5 Mobile System User Guide
218Warranty: The Fine Print
NOTE: If you received this Transmitter as a replacement for an in-warranty Transmitter, the
Limited Warranty for the original Transmitter shall continue for the Warranty Period on the
original Transmitter, but the replacement is not subject to any other warranty.
What’s Not Covered?
This Limited Warranty is based on the Purchaser properly using the CGM system in a
timely manner and in accordance with the documentation provided by Dexcom. You are not
permitted to use the CGM system otherwise. You understand that misusing the CGM system,
improperly accessing it or the information it processes and transmits, “jailbreaking” your
CGM system or cell phone, and taking other unauthorized actions may put you at risk, cause
the CGM system to malfunction, is not permitted and voids your Limited Warranty.
This Limited Warranty does not cover:
1. Defects or damage resulting from accident, misuse, abuse, neglect, unusual physical,
electrical or electromechanical stress, modification of any part of the product, or
cosmetic damage.
2. Equipment with the ID number removed or made illegible.
3. All surfaces and other externally exposed parts that are scratched or damaged due to
normal use.
4. Malfunctions resulting from the use of the Transmitter in conjunction with accessories,
ancillary products, and peripheral equipment, whether hardware or software, not
furnished or approved by Dexcom.
5. Defects or damage from improper testing, operation, maintenance, installation,
or adjustment.
6. Installation, maintenance, and service of products or services other than the CGM
system (which may be subject to a separate limited warranty), whether provided by
Dexcom or any other party; this includes your cell phone or smart device and your
connection to the Internet.
7. Equipment which has been taken apart physically or which has had any of its software
accessed in any unauthorized manner.
8. Water damage to Transmitter.
a. Beyond specifications listed in Dexcom G5 Mobile CGM System’s User Guide.
b. User Guide is included in the Dexcom G5 Mobile System’s Receiver package.
c. Located on dexcom.com.

219
Dexcom G5 Mobile System User Guide
Warranty: The Fine Print
13.4 Dexcom’s Obligations Under the Limited
Warranty
During the Warranty Period, Dexcom will replace, without charge to purchaser, any defective
Dexcom G5 Mobile Transmitter.
To return, you must send the Transmitter to an authorized Dexcom Technical Support
Department. Make sure you package the Transmitter adequately for shipping.
The return package needs to include:
1. Transmitter
2. Sales receipt or comparable substitute proof of sale showing the date of purchase
3. Transmitter’s Serial Number
4. Seller’s name and address
Call Dexcom Technical Support Department for delivery information or help:
• Toll free: 1.877.339.2664
• Charges may apply: 1.858.200.0200
Upon receipt, Dexcom will promptly replace the defective Transmitter.
If Dexcom determines the Transmitter isn’t covered by this Limited Warranty, Purchaser must
pay all shipping charges for the Transmitter’s return by Dexcom.
Limits on Dexcom’s Warranty and Liability Obligations
The Limited Warranty described above is the exclusive warranty for the Transmitter, and
in lieu of all other warranties, expressed or implied, either in fact or by operations of law,
statutory or otherwise.
Dexcom expressly excludes and disclaims all other warranties, including without limitation
any warranty merchantability, fitness for a particular purpose, or non-infringement, except to
the extent prohibited by applicable law.
Dexcom shall not be liable for any special, incidental, consequential, or indirect damages,
however caused, and on any theory of liability, arising in any way out of the sale, use,
misuse, or inability to use, any Dexcom G5 Mobile CGM System or any feature or service
provided by Dexcom for use with the Dexcom G5 Mobile CGM System.
These limits on Dexcom’s warranty and liability obligations apply even if Dexcom, or its
agent, has been advised of such damages and notwithstanding any failure of essential
purpose of this Limited Warranty and the limited remedy provided by Dexcom.

Dexcom G5 Mobile System User Guide
220Warranty: The Fine Print
This Limited Warranty is only provided to the original Purchaser and can’t be transferred to
anyone else, and states Purchaser’s exclusive remedy.
If any portion of this Limited Warranty is illegal or unenforceable by reason of any law, such
partial illegality or enforceability shall not affect the enforceability of the remainder of this
Limited Warranty.
This Limited Warranty will be enforced to the maximum extent permitted by law.

221
Dexcom G5 Mobile System User Guide
How to Take Care of Your Dexcom G5 Mobile CGM System
14.1 Introduction
There are not a lot of moving parts in the Dexcom G5 Mobile CGM System, so maintenance
is relatively simple: keep it clean, keep display device (s) dry and protected, use accessory
parts, like the USB cable, etc., given to you with the system and store according to each
piece’s labeling instructions.
This chapter only covers Dexcom parts (sensor, transmitter, and receiver). Follow the
manufacturer’s instructions when caring for your smart device.
After this chapter, you will be able to:
1. Demonstrate proper maintenance
a. Sensor
b. Transmitter
c. Receiver
d. Charge receiver battery
2. Determine what accessories you may use
3. Identify the best storage methods
a. Sensor
b. Transmitter
c. Receiver
4. How to safely dispose of
a. Sensor
b. Transmitter
c. Receiver
Chapter 14
Everything Else G5:
How to Take Care of Your Dexcom G5 Mobile
CGM System

Dexcom G5 Mobile System User Guide
222How to Take Care of Your Dexcom G5 Mobile CGM System
14.2 Basic Maintenance
Sensor
1. Keep in sterile package until ready for use.
2. Check package label for expiration date.
a. Expiration date format is YYYY-MM-DD (year-month-day) format.
b. Don’t use if sensor has expired.
i. May provide inaccurate sensor glucose readings.
ii. May be unsterile.
Transmitter
1. Keep in box until ready for use.
a. Check transmitter and don’t use if damaged.
2. Transmitter is reusable, however only by the same person.
a. Never share transmitter with anyone.
3. Between uses, clean outside of the transmitter with damp cloth or alcohol wipes. Let
dry before use or storage.
4. When not in use.
a. Protect transmitter by returning to its packaging or another safe place.
b. Store between 32° F-113° F.
Receiver
1. Check receiver casing, if it’s cracked or damaged, don’t use.
a. May get an electric shock.
2. Keep receiver dry—it is only splash resistant.
a. Don’t submerge in liquid.
b. Don’t spill fluids on receiver.
3. Keep battery charged.
a. Only use Dexcom USB charging/download cable.
4. Keep the micro USB port cover closed if not using USB cable.
a. Prevents fluid from getting inside receiver.
Charging Receiver’s Battery
The receiver’s status bar lets you see its battery level and prompts you when the battery is
getting low. While the receiver is being charged, you will continue to get your sensor glucose
readings if the transmitter and receiver are within 20 feet of each other.

223
Dexcom G5 Mobile System User Guide
How to Take Care of Your Dexcom G5 Mobile CGM System
Each charge lasts approximately three days. If your receiver’s battery was drained, after
charging, you may need to reset its time and date. If this is required, the system tells you to
reset and takes you to the time/date setting screens.
Step What you see What it means What you do
1Low Battery Charge your battery.
2Micro USB Port
Open
USB port door
.
Plug
USB cable
into port
for recharging.
(Continued on next page)

Dexcom G5 Mobile System User Guide
224How to Take Care of Your Dexcom G5 Mobile CGM System
(Continued from previous page)
Step What you see What it means What you do
3Micro USB Cable
Plug into
receiver
to
charge battery.
Don’t plug into a
computer port to charge
Don’t use an external
USB hub, it doesn’t
provide enough power to
charge battery.
Battery can only be
charged using the
adapter/wall charger.
Charge battery before
each new sensor
session.
4Wall Charger
Plug
USB cable
into
adapter/wall charger
.
Plug wall charger into
an electrical outlet
to charge receiver’s
battery.
Don’t block access to
the charger.
(Continued on next page)

225
Dexcom G5 Mobile System User Guide
How to Take Care of Your Dexcom G5 Mobile CGM System
(Continued from previous page)
Step What you see What it means What you do
5Battery Charging Keep charging until
icons are solid.
6Battery Charged
Unplug
wall charger
from outlet when fully
charged.
6USB Port Door
Remove
USB cable
from
receiver.
Close
USB port door
after removing USB
cable to keep receiver
clean and dry.
Accessories
1. Only use Dexcom-supplied parts (including cables and chargers).
a. Use of non-Dexcom supplied parts may affect safety and performance.
2. Insert cables only as directed.
a. Do not force cables in place.
3. Look at cables for signs of wear and tear. Do not use if worn or damaged.
There is no repair service available for any Dexcom G5 Mobile CGM System parts.

Dexcom G5 Mobile System User Guide
226How to Take Care of Your Dexcom G5 Mobile CGM System
If you experience problems, call Dexcom Technical Support, available 24 hours, 7 days a
week, toll free at 1.877.339.2664 or toll at 1.858.200.0200 to report the issue.
14.3 Storage
Storing your Dexcom G5 Mobile CGM System correctly helps prevents system failures.
Sensor
1. Keep the sensor in its sterile packaging until you are ready to use it.
2. Store at temperatures between 36° F-77° F.
a. Stored outside of this range may cause inaccurate sensor glucose readings.
b. May store in refrigerator if it’s within this temperature range.
c. Sensors should not be stored in freezer.
3. Store at humidity levels between 15%-85% relative humidity.
Transmitter
1. Keep transmitter protected when not in use.
2. Store at temperatures between 32° F-113° F.
3. Store at humidity levels between 10%-95% relative humidity.
Receiver
1. Keep receiver protected when not in use.
2. Fully charge the battery before storing for over 3 months.
3. Store at temperatures between 32° F-104° F.
4. Store at humidity levels between 10%-95% relative humidity.

227
Dexcom G5 Mobile System User Guide
How to Take Care of Your Dexcom G5 Mobile CGM System
14.4 Checking App and Receiver Information
CHECKING YOUR APP & RECEIVER SOFTWARE VERSION
You can check your app or receiver for information about your CGM system at any time.
Receiver
1. From the Settings menu, press
Up
or
Down arrows
to scroll to “Device Info.”
2. Press
Select
. Information about your sensor session and system will show.
App
1. From Main Menu, tap
Settings.
2. Tap
Device
Info.
Available Information
• Insertion Time
• Last Calibration
• Transmitter Battery
• Transmitter SN
• Serial Number
• Part Number
• Part Revision
• Software Number

Dexcom G5 Mobile System User Guide
228How to Take Care of Your Dexcom G5 Mobile CGM System
14.5 System Disposal
Different municipalities have different requirements when throwing away electronics
(receiver and transmitter) and parts that have come in contact with blood or other bodily
fluids (sensor).
Consult your area’s local waste management authorities for proper disposal instructions.
Taking care of your Dexcom G5 Mobile CGM System is pretty easy. In the next chapter,
traveling with your Dexcom G5 Mobile CGM System, you’ll learn how simple it is to see the
world with your Dexcom G5 Mobile CGM System!

229
Dexcom G5 Mobile System User Guide
On the Go With Dexcom G5 Mobile CGM System: Getting Through Security
15.1 Introduction
Dexcom G5 Mobile can be a great travel companion; you can go through metal detectors, be
handwanded, and even keep your receiver on during your flight.
This chapter only covers the Dexcom G5 Mobile CGM System. It doesn’t cover steps you need
to take when traveling with your smart device. See your smart device’s instruction for use to
learn how to travel with it.
After this chapter, you will be able to:
1. Explain proper procedure if you prefer a full body pat down.
2. Describe steps needed for a TSA officer to inspect Dexcom G5 Mobile CGM
System components.
3. Identify when your display device(s) can be on during a flight.
4. Contact TSA directly with your security questions.
15.2 Going Through Security
Walk-Through Metal Detectors
Transmitter and Sensor
No worries about wearing your transmitter and sensor when going through security.
Go through walk-in metal detectors or, if you prefer, be handwanded without worrying about
damaging your transmitter or sensor.
If you’re concerned or uncomfortable about walking through the metal detector, the
Transportation Security Administration (TSA) requests you tell the Security Officer you’re
wearing a continuous glucose monitor and want a full-body pat-down with a visual
inspection of your sensor and transmitter.
Let the Security Officer know the sensor can’t be removed because it’s inserted under the skin.
Chapter 15
Everything Else G5:
On the Go With Dexcom G5 Mobile CGM
System: Getting Through Security

Dexcom G5 Mobile System User Guide
230On the Go With Dexcom G5 Mobile CGM System: Getting Through Security
X-Ray Machines
Receiver, Extra Sensors
Don’t put your Dexcom G5 Mobile CGM System components through x-ray machines.
Before your screening process begins, ask the TSA Officer to perform a visual inspection of
the receiver and your extra sensors. Place all Dexcom G5 Mobile components in a separate
bag before handing over to the Security Officer.
For other medical supplies, such as medications, meters, and strips, check manufacturer’s
instructions or the TSA website.
Body Scanners
Use of AIT body scanners has not been studied and therefore we recommend hand-wanding
or full body pat down and visual inspection in those situations.
In the Plane
You may keep the receiver on:
1. Before take-off
2. While in flight
3. After landing
The Dexcom G5 Mobile CGM System is safe for use on U.S. commercial airlines.
If you choose to use your smart device, the airlines request you put your smart devices
in airplane mode. You can do this, but still keep your
Bluetooth
on and you will be able to
receive sensor glucose information on your smart device.
Technical Information
The Dexcom G5 Mobile Transmitter is an M-PED with emission levels that meet
RTCA/DO160, Section 21, Category M. Per FAA Advisory, Circular #91-21, 1B,
dated 8/25/06.
Any M-PED that meets this standard in all modes may be used onboard the aircraft without
any further testing by the operator.
This device can withstand exposure to common electrostatic (ESD) and electromagnetic
interference (EMI).
Still Have Questions?
Visit the TSA’s website if you have any questions or concerns at tsa.gov.

231
Dexcom G5 Mobile System User Guide
On the Go With Dexcom G5 Mobile CGM System: Getting Through Security
Email: TSA-ContactCenter@dhs.gov
Phone: Call 1.866.289.9673

Dexcom G5 Mobile System User Guide
232On the Go With Dexcom G5 Mobile CGM System: Getting Through Security
Page intentionally left blank

233
Dexcom G5 Mobile System User Guide
Need Help? You’re Not Alone!
Dexcom has two support teams to help you, each with their own specialty:
• Technical Support Team
• Patient Care Team
16.1 Dexcom Technical Support
Provides replacement units, resolves technical issues or takes product complaints.
Call your Dexcom Technical Support Team, 24 hours a day, 7 days a week, if something is
wrong with your Dexcom G5 Mobile CGM System.
By Phone
Dexcom Technical Support Phone Numbers:
Toll Free: 1.877.339.2664
Toll Call: 1.858.200.0200
By Email
Email: TechSupport@dexcom.com
If you prefer to email, to help us help you best, include the following information in your email:
• Name of patient
• Date of Birth
• The technical issue you
• When the problem happened (date and time)
• Patient’s address
• Patient’s phone number
• Item SKU number and description (e.g., name of the device)
• Lot number and/or serial number(s) of affected devices (e.g., sensor)
Chapter 16
Everything Else G5:
Need Help? You’re Not Alone!

Dexcom G5 Mobile System User Guide
234Need Help? You’re Not Alone!
What Can They Help Me With?
The Dexcom Technical Support Team helps you with all CGM system related issues as well
as software related issues.
Dexcom Technical Support does not offer medical advice.
16.2 Patient Care Team
The Patient Care Team (PCT) is a group of Certified Diabetes
Educators (CDE®) and Registered Nurses (RNs) offering you customer
care and individualized education services around Dexcom CGM.
Your PCT provides education and support throughout your CGM experience, such as:
• Initial CGM Product Training
• Ongoing Dexcom product education (e.g., how to use a specific feature)
• How to maximize Dexcom CGM use
• Dexcom CGM reporting software and features
• How to review and understand Dexcom CGM reports
By Phone
Available Monday-Friday 5:30 am-8:00 pm PST (subject to change)
Toll Free: 1.877.339.2664
Toll Call: 1.858.200.0200
By Email
Email: patientcare@dexcom.com
If you prefer to email, to help us help you best, include the following information in your email:
• Name
• DOB
• Contact phone number
• Reason for inquiry or education needed
For additional Dexcom CGM education, check the Dexcom website:
dexcom.com/web-based-education

235
Dexcom G5 Mobile System User Guide
Need Help? You’re Not Alone!
16.3 Sales Support Team
Inside Sales Support Team
For help with:
• First-time orders
• Re-orders
• Tracking shipments
• Locating a local Dexcom representative
By Phone
Dexcom Inside Sales Support Phone Numbers:
Toll Free: 1.877.339.2664
Toll Call: 1.858.200.0200
By Email
Dexcom Inside Sales Support Email: CustomerService@dexcom.com
By Fax
1.877.633.9266
16.4 Corporate
Dexcom Website:
Dexcom.com
Dexcom Address:
6340 Sequence Drive
San Diego, CA 92121

Dexcom G5 Mobile System User Guide
236Need Help? You’re Not Alone!
Page intentionally left blank

237
Dexcom G5 Mobile System User Guide
Technical Information
17.1 Device Performance Characteristics
NOTE: We recommend that you review the information in this chapter with your healthcare
professional to understand how well the Dexcom G5 Mobile CGM System performs.
The Dexcom G5 Mobile CGM System (the System) uses a glucose sensor to continuously measure and
monitor your glucose levels. The sensor is “calibrated” using a commercially available blood glucose
meter. Once calibrated, the System reports glucose readings up to every 5 minutes. The System was
evaluated clinical studies in which System readings were compared to blood glucose values to assess
its performance and how well the System readings compare to a laboratory test method that measures
blood glucose values. Additionally, subjects performed self-monitoring blood glucose meter tests at
home to assess the System performance in real use environment.
Although the performance characteristics of the System are presented in the following, there is no
commonly accepted statistical approach for capturing performance of continuous glucose monitors
(CGMs), such as the Dexcom G5 Mobile CGM System.
Clinical Study Overview
The System performance was evaluated in four separate prospective clinical studies. Two studies
included adults, and two studies included pediatrics. In the following sections and tables, the studies
will be identified as follows:
Adult Studies (18 years and older)
Original Adult Study: the Receiver included software version SW10050
Software 505 Adult Study: the Receiver included software version SW10505
Pediatric Studies (2 to 17 years)
Original Pediatric Study: the Receiver included software version SW10050
Software 505 Pediatric Study: the Receiver included software version SW10505
The Dexcom G5 Mobile CGM System incorporates the algorithm from software version SW10505 and
has a new software number.
Overview of Adult Studies
The System performance for adults was evaluated in two separate prospective clinical studies:
Original Adult Study (software SW10050) and the Software 505 Adult Study (software SW10505).
Chapter 17
Everything Else G5:
Technical Information

Dexcom G5 Mobile System User Guide
238Technical Information
Differences between the studies include the number of subjects enrolled, the number of Systems worn
by each participant, the SMBG meter used, and the number of clinic days each subject participated in
during the study. An overview of each study is provided here.
The Original Adult Study enrolled 72 subjects, and the Software 505 Adult Study enrolled 51
subjects. All subjects had Type 1 or Type 2 diabetes mellitus, and required insulin or oral medication to
manage their diabetes. In the Original Adult Study, 83% of subjects had Type 1 diabetes, and 17% of
subjects had Type 2 diabetes. In the Software 505 Adult Study, 86% of subjects had Type 1 diabetes,
and 14% of subjects had Type 2 diabetes. Both studies included subjects greater than 18 years of age.
Subjects in both studies used the System for seven days. In the Original Adult Study, thirty-six
subjects each wore 2 sensors; in the Software 505 Adult Study, all subjects wore 1 sensor only.
Throughout the 7-day wear period, the sensor was calibrated with an average of 2 fingersticks per
day (approximately once every 12 hours). In the Original Adult Study, subjects used the LifeScan®
OneTouch® Ultra®2 meter and in the Software 505 Adult Study, subjects used Bayer’s CONTOUR®
NEXT USB meter.
In the Original Adult Study, all subjects were evaluated in a controlled clinic environment on all three
clinic days: Day 1, Day 4, and Day 7 of the 7-day wear period. In the Software 505 Adult Study,
subjects were evaluated in one of the three clinic days so there are fewer data samples than in the
Original Adult Study. While using the System in the clinic, subjects had their blood glucose measured
every 15 minutes with a reliable laboratory method, the Yellow Springs Instrument 2300 STAT Plus™
Glucose Analyzer. This instrument is referred to as the “YSI.” Readings from the System were reported
every 5 minutes and paired with YSI values in order to characterize how well the System readings
agreed with laboratory standard blood glucose results. The remainder of the study took place at home,
and the System performance was also paired with the comparative meter results, referred to as the
“SMBG.”
Overview of Pediatric Studies
The System performance for children and adolescents was evaluated in two separate prospective
clinical studies: the Original Pediatric Study (SW10050) and the Software 505 Pediatric Study
(SW10505). Differences between the studies include the number of subjects enrolled, the number of
Systems worn by each participant, the SMBG meter used, the length of time subjects were evaluated
in a controlled clinic environment and whether or not subjects ages 13-17 had their glucose levels
intentionally manipulated during the study. An overview of each study is provided here.
The Original Pediatric Study enrolled 176 subjects, with 16% of subjects younger than 6-years old,
and the Software 505 Pediatric Study enrolled 79 subjects, with 20% of subjects younger than
6-years old. All subjects had Type 1 or Type 2 diabetes mellitus and required insulin or oral medication
to manage their diabetes. In the Original Pediatric Study, about 99% of subjects had Type 1 diabetes
and 1% had Type 2 diabetes. In the Software 505 Pediatric Study, all subjects had Type 1 diabetes.
Sensors were inserted in either the abdomen or upper buttocks.
Subjects in all studies used the System for seven days. In the Original Pediatric Study, all subjects
wore 2 sensors; in the Software 505 Pediatric Study, all subjects wore 1 sensor only. Throughout

239
Dexcom G5 Mobile System User Guide
Technical Information
the 7-day wear period, the sensors were calibrated with an average of 2 fingersticks per day
(approximately once every 12 hours), using self-monitoring blood glucose (SMBG) meter values. The
Original Pediatric Study used the LifeScan® OneTouch® Verio® IQ meter; the Software 505 Pediatric
Study used Bayer’s CONTOUR® NEXT USB meter.
All subjects were evaluated in a controlled clinic environment on Day 1, Day 4 or Day 7 of the
7-day wear period. While using the System in the clinic, subjects provided at least two fingerstick
measurements per hour, and subjects ages 6-17 also provided venous blood for comparison to
a laboratory method, the Yellow Springs Instrument 2300 STAT Plus™ Glucose Analyzer. This
instrument is referred to as the “YSI.” In the Original Pediatric Study, subjects’ glucose levels were
not intentionally manipulated during this study; in the Software 505 Pediatric Study, subjects ages
13-17 had their glucose levels intentionally manipulated during the clinic session. Readings from the
System were reported every 5 minutes and paired with YSI values collected every 15 minutes in order
to characterize how well the System readings agreed with laboratory standard blood glucose results.
The remainder of the study took place at home, and the System performance was also paired with the
comparative meter results, referred to as the “SMBG.”

Dexcom G5 Mobile System User Guide
240Technical Information
Table 1-A. System Agreement to YSI within CGM Glucose Ranges (Adult)
CGM
Glucose
Range1
(mg/dL)
Study2
Number
of Paired
CGM-YSI
Percent
Within
15/15%
YSI
Percent
Within
20/20%
YSI
Percent
Within
30/30%
YSI
Percent
Greater
than
40/40%
YSI
Overall Original 9152 71% 82% 92% 3%
Software 505 2263 86% 93% 98% 1%
40-60 Original 512 67% 78% 88% 6%
Software 505 120 89% 94% 98% 0%
61-80 Original 781 73% 85% 94% 2%
Software 505 226 91% 96% 99% 0%
81-180 Original 3853 67% 78% 91% 3%
Software 505 738 84% 92% 98% 1%
181-300 Original 2784 72% 84% 93% 4%
Software 505 798 86% 93% 98% 1%
301-350 Original 775 82% 91% 97% 2%
Software 505 229 86% 94% 98% 1%
351-400 Original 447 74% 84% 91% 5%
Software 505 152 80% 92% 97% 0%
1
CGM readings are within 40-400 mg/dL, inclusive.
2
Both sets of study data are presented and are labeled as Original (SW10050) or Software 505
(SW10505).

241
Dexcom G5 Mobile System User Guide
Technical Information
Table 1-B. System Agreement to YSI within CGM Glucose Ranges
(Pediatric)
CGM
Glucose
Range1
(mg/dL)
Study2
Number
of Paired
CGM-YSI
Percent
Within
15/15%
YSI
Percent
Within
20/20%
YSI
Percent
Within
30/30%
YSI
Percent
Greater
than
40/40%
YSI
Overall Original 2922 55% 68% 85% 7%
Software 505 2262 81% 91% 96% 2%
40-60 Original 19 63% 74% 79% 21%
Software 505 86 54% 74% 91% 3%
61-80 Original 76 61% 82% 92% 4%
Software 505 142 77% 82% 90% 3%
81-180 Original 1155 56% 69% 84% 6%
Software 505 805 78% 88% 97% 1%
181-300 Original 1380 55% 68% 85% 7%
Software 505 957 89% 96% 99% 1%
301-350 Original 206 48% 62% 80% 11%
Software 505 209 81% 91% 94% 5%
351-400 Original 86 48% 61% 79% 12%
Software 505 63 64% 81% 83% 8%
1
CGM readings are within 40-400 mg/dL, inclusive.
2
Both sets of study data are presented and are labeled as Original (SW10050) or Software 505
(SW10505).
Agreement Relative to YSI
Agreement between the System and blood glucose values is characterized using paired System and
YSI values. The System and YSI results were compared by pairing the YSI blood glucose value to a
System glucose reading that occurred immediately after the YSI was collected.
The agreement of the System to blood glucose value was assessed by calculating the percentage
of System readings that were within 15%, 20%, 30% and greater than 40% of the YSI values. For
readings less than or equal to 80 mg/dL the absolute difference in mg/dL between the two glucose
results was calculated. For values greater than 80 mg/dL the absolute percent difference (%) from
the YSI values was calculated. The percentages of total readings within 15 mg/dL or 15%, 20 mg/dL

Dexcom G5 Mobile System User Guide
242Technical Information
or 20%, 30 mg/dL or 30% or greater than 40 mg/dL or 40% are provided in Table 1-A and 1-B. The
tables are categorized within CGM glucose ranges. When you see a CGM reading on your receiver,
this table shows you how likely that reading matches your blood glucose level (measured by YSI in
the study).
For example, in the SW10505 Adult Study (Table 1-A), the total number of data pairs considered in
the analysis was 2263. Of these, 93% of the System readings fall within ± 20 mg/dL of the YSI blood
glucose values ≤ 80 mg/dL and within ± 20% of YSI blood glucose values > 80 mg/dL.

243
Dexcom G5 Mobile System User Guide
Technical Information
Table 2-A. Number and Percentage of YSI Values When CGM Readings are
“LOW” or “HIGH” (Adult)
YSI mg/dL
Total
CGM
Readings Study1CGM-YSI
Pairs < 55 < 60 < 70 < 80 ≥ 80
“LOW”
Original
n66 84 123 142 13 155
Cumulative
Percent 42% 54% 79% 92% 8%
Software
505
n11 16 17 18 018
Cumulative
Percent 61% 89% 94% 100% 0%
YSI mg/dL
Total
CGM
Readings Study1CGM-YSI
Pairs > 340 > 320 > 280 > 240 ≤ 240
“HIGH”
Original
n189 220 238 246 2248
Cumulative
Percent 76% 89% 96% 99% 1%
Software
505
n40 43 45 45 045
Cumulative
Percent 89% 96% 100% 100% 0%
1
Both sets of study data are presented and are labeled as Original (SW10050) or Software 505
(SW10505).

Dexcom G5 Mobile System User Guide
244Technical Information
Table 2-B. Number and Percentage of YSI Values When CGM Readings are
“LOW” or “HIGH” (Pediatric)
YSI mg/dL
Total
CGM
Readings Study1CGM-YSI
Pairs < 55 < 60 < 70 < 80 ≥ 80
“LOW”
Original
n000013 13
Cumulative
Percent 0% 0% 0% 0% 100%
Software
505
n3 5 10 15 116
Cumulative
Percent 19% 31% 63% 94% 6%
YSI mg/dL
Total
CGM
Readings Study1CGM-YSI
Pairs > 340 > 320 > 280 > 240 ≤ 240
“HIGH”
Original
n38 51 68 69 170
Cumulative
Percent 54% 73% 97% 99% 1%
Software
505
n14 19 22 23 124
Cumulative
Percent 58% 79% 92% 96% 4%
1
Both sets of study data are presented and are labeled as Original (SW10050) or Software 505
(SW10505).
Agreement When CGM Reads “LOW” or “HIGH”
The System reports glucose readings between 40 and 400 mg/dL. When the System determines the
glucose reading is below 40 mg/dL, it displays “LOW” in the Receiver Status Box. When the Dexcom
G5 Mobile System determines that the glucose level is above 400 mg/dL, it displays “HIGH” in the
Receiver Status Box. Because the System does not display glucose values below 40 mg/dL or above
400 mg/dL, the comparisons to the actual blood glucose levels (as determined by the YSI analyzer)
when CGM is classified as “LOW” or “HIGH” are included separately in Table 2-A and 2-B. The tables
include the numbers and the cumulative percentages when YSI values were less than certain glucose
levels (for “LOW”), and when YSI values were greater than certain glucose levels (for “HIGH”).

245
Dexcom G5 Mobile System User Guide
Technical Information
For example, in the Software 505 Adult Study (Table 2-A), when the System displayed “LOW” (18
occasions), 100% (18 out of 18) of the YSI values were less than 80 mg/dL, and 94% (17 out of 18) of
the YSI values were less than 70 mg/dL. When the System displayed “HIGH” (45 occasions), 100% (45
out of 45) of the YSI values were greater than 240 mg/dL, and 100% (45 out of 45) of the YSI values
were greater than 280 mg/dL.

Dexcom G5 Mobile System User Guide
246Technical Information
Table 3-A. Concurrence of CGM Readings and YSI Values (Original Adult
Study)
CGM
(mg/dL)
YSI (mg/dL)
Row Percentage of Matched Pairs in each CGM Glucose Range
< 40 40-
60
61-
80
81-
120
121-
160
161-
200
201-
250
251-
300
301-
350
351-
400
>
400
Number
of Paired
CGM-YSI
< 40 6% 48% 37% 7% 1% 0% 0% 0% 0% 0% 0% 155
40-60 4% 49% 36% 11% 1% 0% 0% 0% 0% 0% 0% 512
61-80 0% 22% 51% 24% 1% 0% 0% 0% 0% 0% 0% 781
81-120 0% 2% 17% 66% 13% 1% 0% 0% 0% 0% 0% 1706
121-160 0% 0% 1% 25% 60% 13% 2% 0% 0% 0% 0% 1492
161-200 0% 0% 0% 2% 28% 53% 16% 2% 0% 0% 0% 1240
201- 250 0% 0% 0% 0% 3% 21% 51% 21% 3% 1% 0% 1181
251- 300 0% 0% 0% 0% 0% 4% 19% 49% 24% 3% 0% 1018
301- 350 0% 0% 0% 0% 0% 0% 3% 28% 51% 16% 1% 775
351- 400 0% 0% 0% 0% 0% 0% 3% 10% 43% 38% 7% 447
> 400 0% 0% 0% 0% 0% 0% 1% 6% 21% 57% 15% 248

247
Dexcom G5 Mobile System User Guide
Technical Information
Table 3-B. Concurrence of CGM Readings and YSI Values (Software 505
Adult Study)
CGM
(mg/dL)
YSI (mg/dL)
Row Percentage of Matched Pairs in each CGM Glucose Range
< 40 40-
60
61-
80
81-
120
121-
160
161-
200
201-
250
251-
300
301-
350
351-
400
>
400
Number
of Paired
CGM-YSI
< 40 6% 83% 11% 0% 0% 0% 0% 0% 0% 0% 0% 18
40-60 2% 74% 22% 3% 0% 0% 0% 0% 0% 0% 0% 120
61-80 0% 19% 68% 13% 0% 0% 0% 0% 0% 0% 0% 226
81-120 0% 0% 19% 72% 8% 1% 0% 0% 0% 0% 0% 347
121-160 0% 0% 0% 17% 72% 11% 0% 0% 0% 0% 0% 246
161-200 0% 0% 0% 0% 25% 59% 16% 0% 0% 0% 0% 286
201- 250 0% 0% 0% 0% 0% 16% 70% 13% 1% 0% 0% 376
251- 300 0% 0% 0% 0% 0% 2% 16% 61% 14% 7% 0% 281
301- 350 0% 0% 0% 0% 0% 0% 2% 28% 59% 10% 1% 229
351- 400 0% 0% 0% 0% 0% 0% 0% 4% 47% 45% 5% 152
> 400 0% 0% 0% 0% 0% 0% 0% 0% 20% 38% 42% 45

Dexcom G5 Mobile System User Guide
248Technical Information
Table 3-C. Concurrence of CGM Readings and YSI Values (Original
Pediatric Study)
CGM
(mg/dL)
YSI (mg/dL)
Row Percentage of Matched Pairs in each CGM Glucose Range
< 40 40-
60
61-
80
81-
120
121-
160
161-
200
201-
250
251-
300
301-
350
351-
400
>
400
Number
of Paired
CGM-YSI
< 40 0% 0% 0% 54% 31% 15% 0% 0% 0% 0% 0% 13
40-60 0% 21% 58% 16% 5% 0% 0% 0% 0% 0% 0% 19
61-80 0% 21% 45% 30% 4% 0% 0% 0% 0% 0% 0% 76
81-120 0% 1% 20% 66% 12% 1% 0% 0% 0% 0% 0% 338
121-160 0% 0% 1% 36% 54% 7% 1% 0% 0% 0% 0% 511
161-200 0% 0% 0% 4% 40% 48% 6% 1% 0% 0% 0% 596
201- 250 0% 0% 0% 1% 9% 44% 41% 5% 0% 0% 0% 658
251- 300 0% 0% 0% 0% 2% 7% 50% 36% 3% 0% 2% 432
301- 350 0% 0% 0% 0% 0% 2% 18% 59% 21% 0% 0% 206
351- 400 0% 0% 0% 0% 0% 0% 3% 28% 50% 16% 2% 86
> 400 0% 0% 0% 0% 0% 0% 1% 14% 41% 36% 7% 70

249
Dexcom G5 Mobile System User Guide
Technical Information
Table 3-D. Concurrence of CGM Readings and YSI Values (Software 505
Pediatric Study)
CGM
(mg/dL)
YSI (mg/dL)
Row Percentage of Matched Pairs in each CGM Glucose Range
< 40 40-
60
61-
80
81-
120
121-
160
161-
200
201-
250
251-
300
301-
350
351-
400
>
400
Number
of Paired
CGM-YSI
< 40 6% 25% 63% 6% 0% 0% 0% 0% 0% 0% 0% 16
40-60 0% 33% 60% 6% 1% 0% 0% 0% 0% 0% 0% 86
61-80 0% 8% 64% 26% 2% 0% 0% 0% 0% 0% 0% 142
81-120 0% 1% 15% 69% 13% 1% 1% 0% 0% 0% 0% 314
121-160 0% 0% 0% 15% 66% 18% 1% 0% 0% 0% 0% 313
161-200 0% 0% 0% 1% 18% 66% 15% 0% 0% 0% 0% 355
201- 250 0% 0% 0% 0% 1% 17% 68% 14% 0% 0% 0% 444
251- 300 0% 0% 0% 0% 0% 0% 26% 58% 16% 0% 0% 336
301- 350 0% 0% 0% 0% 0% 0% 4% 40% 46% 9% 0% 209
351- 400 0% 0% 0% 0% 0% 0% 3% 14% 62% 21% 0% 63
> 400 0% 0% 0% 0% 0% 0% 4% 13% 29% 38% 17% 24
Concurrence of System and Laboratory Reference
Table 3-A (Original Adult Study), 3-B (Software 505 Adult Study), 3-C (Original Pediatric Study)
and 3-D (Software 505 Pediatric Study) are categorized by ranges of CGM glucose readings. These
tables describe, for each range of CGM glucose readings, what percentage of paired YSI values were in
the same glucose range (shaded) or in glucose ranges above and below the paired CGM readings. For
example, based on the Software 505 Adult Study, when CGM readings are within 81 to 120 mg/dL,
you can expect your blood glucose levels are within 81 to 120 mg/dL 72% of time.

Dexcom G5 Mobile System User Guide
250Technical Information
Table 4-A. System Difference to YSI within CGM Glucose Ranges (Adult)
CGM
Glucose
Range1
(mg/dL)
Study2
Number
of Paired
CGM-YSI
Mean
Percent
Difference
Median
Percent
Difference
Mean
Absolute
Percent
Difference
Median
Absolute
Percent
Difference
Overall Original 9152 2.9% 1.7% 13.3% 9.8%
Software 505 2263 2.5% 2.4% 9.0% 7.0%
*40-60 Original 512 -10.0 -8.2 13.5 9.7
Software 505 120 -3.3 -2.1 6.9 4.8
*61-80 Original 781 -2.4 -0.4 11.4 8.6
Software 505 226 0.8 1.4 6.7 5.4
81-180 Original 3853 4.8% 3.0% 13.8% 9.8%
Software 505 738 3.9% 4.1% 9.6% 8.2%
181-300 Original 2784 2.1% 0.0% 11.9% 9.2%
Software 505 798 0.6% 0.4% 8.0% 6.1%
301-350 Original 775 3.8% 2.8% 9.8% 7.9%
Software 505 229 4.1% 3.4% 8.0% 5.8%
351-400 Original 447 10.4% 7.7 % 12.8% 9.1%
Software 505 152 7.2% 6.3% 9.2% 7. 2%
1
CGM readings are within 40 to 400 mg/dL, inclusive.
2
Both sets of study data are presented and are labeled as Original (SW10050) or Software 505
(SW10505).
*
For CGM ≤ 80 mg/dL, the difference and absolute difference in mg/dL are included instead of percent
differences (%).

251
Dexcom G5 Mobile System User Guide
Technical Information
Table 4-B. System Difference to YSI within CGM Glucose Ranges
(Pediatric)
CGM
Glucose
Range1
(mg/dL)
Study2
Number
of Paired
CGM-YSI
Mean
Percent
Difference
Median
Percent
Difference
Mean
Absolute
Percent
Difference
Median
Absolute
Percent
Difference
Overall Original 2922 13.5% 11.6% 17.4% 13.5%
Software 505 2262 1.8% 1.2% 10.4% 7.9%
*40-60 Original 19 -18.1 -9.1 19.2 9.1
Software 505 86 -15.3 -13.2 16.1 13.2
*61-80 Original 76 -3.7 -2.3 13.4 10.6
Software 505 142 -4.8 -1.0 11.8 7.7
81-180 Original 1155 11.9% 9.7% 17.0% 13.0%
Software 505 805 1.9% 0.7% 10.6% 8.1%
181-300 Original 1380 14.8% 12.4% 17.4% 13.3%
Software 505 957 2.2% 1.0% 8.1% 6.5%
301-350 Original 206 19.2% 15.9% 19.4% 15.9%
Software 505 209 7.8% 6.5% 11.0% 7.9%
351-400 Original 86 18.5% 15.5% 19.1% 15.5%
Software 505 63 14.9% 11.6% 15.2% 11.6%
1
CGM readings are within 40 to 400 mg/dL, inclusive.
2
Both sets of study data are presented and are labeled as Original (SW10050) or Software 505
(SW10505).
*
For CGM ≤ 80 mg/dL, the difference and absolute difference in mg/dL are included instead of percent
differences (%).
Accuracy Relative to YSI
Accuracy between matched pairs was also estimated by calculating the percent difference between
the System reading and the YSI value. For example, if the YSI value is 100 mg/dL and the System
reading is 90 mg/dL, a 10% difference between the System and the YSI is reported. The System and
YSI values were compared by pairing the System reading that fell immediately after the YSI value
was collected.

Dexcom G5 Mobile System User Guide
252Technical Information
In the example above, the System reading is less than the YSI value, so the percent difference reading
is negative. The mean percent difference is the average of all positive and negative percent differences
between the two devices; it tells you if the System reads higher or lower on average than the YSI
within each glucose range.
Another estimate used to show the accuracy of the System is the absolute percent difference. The
absolute percent difference tells you the percent difference or “distance” between the System and YSI
values, but does not tell you whether the System is reading, on average, higher or lower than the YSI
laboratory standard. The mean absolute percent difference is the average “distance” (regardless if
positive or negative) between System readings and YSI values.
Accuracy measures in differences for both the Original Adult and Software 505 Adult Studies are
summarized in Table 4-A. Accuracy measures in differences for both the Original Pediatric and
Software 505 Pediatric Studies are summarized in Table 4-B. Table 4-A and 4-B are categorized
within CGM glucose ranges.
For example, in the Software 505 Adult Study (Table 4-A), overall, on average, the System reads
2.5% different (Mean Percent Difference) than the reference and 9.0% absolute different (Mean
Absolute Difference) than the reference values. The Median Percent Difference shows that half of
the time the System reads 2.4% or less than the YSI blood glucose values and the Median Absolute
Percent Difference shows that half of the time the System reads about 7.0% or less than the YSI blood
glucose values.

253
Dexcom G5 Mobile System User Guide
Technical Information
Table 5-A. Hypoglycemia Alert and Detection Rate Evaluation in
Reference to YSI 15 Minutes Before and After (Adult)
Hypoglycemia
Alert Level
(mg/dL)
Study1
True
Alert
Rate
False
Alert
Rate
Hypoglycemia
Detection Rate
Hypoglycemia
Missed
Detection Rate
55 Original 50% 50% 71% 29%
Software 505 71% 29% 68% 32%
60 Original 64% 36% 75% 25%
Software 505 85% 15% 83% 17%
70 Original 79% 21% 83% 17%
Software 505 92% 8% 91% 9%
80 Original 87% 13% 86% 14%
Software 505 95% 5% 90% 10%
90 Original 90% 10% 89% 11%
Software 505 96% 4% 94% 6%
1
Both sets of study data are presented and are labeled as Original (SW10050) or Software 505
(SW10505).

Dexcom G5 Mobile System User Guide
254Technical Information
Table 5-B. Hypoglycemia Alert and Detection Rate Evaluation in
Reference to YSI 15 Minutes Before and After (Pediatric, Ages 6-17 Years)
Hypoglycemia
Alert Level
(mg/dL)
Study1
True
Alert
Rate
False
Alert
Rate
Hypoglycemia
Detection Rate
Hypoglycemia
Missed
Detection Rate
55 Original 0% 100% 0% 100%
Software 505 22% 78% 75% 25%
60 Original 11% 89% 25% 75%
Software 505 42% 58% 78% 23%
70 Original 47% 53% 50% 50%
Software 505 68% 32% 75% 25%
80 Original 55% 45% 55% 45%
Software 505 86% 14% 91% 9%
90 Original 69% 31% 62% 38%
Software 505 90% 10% 93% 7%
100 Original 75% 25% 62% 38%
Software 505 91% 9% 93% 7%
1
Both sets of study data are presented and are labeled as Original (SW10050) or Software 505
(SW10505).

255
Dexcom G5 Mobile System User Guide
Technical Information
Table 5-C. Hypoglycemia Alert and Detection Rate Evaluation in
Reference to SMBG 30 Minutes Before and After (Pediatric, Ages 2-5
Years)
Hypoglycemia
Alert Level
(mg/dL)
Study1
True
Alert
Rate
False
Alert
Rate
Hypoglycemia
Detection Rate
Hypoglycemia
Missed
Detection Rate
55 Original 3% 97% 57% 43%
Software 505 25% 75% 100% 0%
60 Original 11% 89% 62% 38%
Software 505 20% 80% 100% 0%
70 Original 29% 71% 77% 23%
Software 505 20% 80% 100% 0%
80 Original 35% 65% 85% 15%
Software 505 61% 39% 100% 0%
90 Original 51% 49% 89% 11%
Software 505 78% 22% 100% 0%
100 Original 64% 36% 91% 9%
Software 505 82% 18% 100% 0%
1
Both sets of study data are presented and are labeled as Original (SW10050) or Software 505
(SW10505).
Low and High Glucose Alerts
The ability of the System to detect high and low glucose levels is assessed by comparing System
results to YSI results at low and high blood glucose levels and determining if the alert may have
sounded. The System and YSI values were compared by pairing the System reading that occurred
immediately after the YSI value was collected. We suggest that you ask your doctor what alert settings
would be best for you.
The Low Glucose Alert
Estimates of how well the adjustable Low Glucose Alert performs are presented in Table 5-A, 5-B and
5-C. Table 5-A represents the hypoglycemia alert evaluation within 15 minutes of the YSI value in the
adult studies. Table 5-B represents the alert evaluation within 15 minutes of the YSI value for a subset
of the pediatric population—subjects age 6 to 17 years who had YSI measurements every 15 minutes.

Dexcom G5 Mobile System User Guide
256Technical Information
Table 5-C represents the alert evaluation within 30 minutes of an SMBG reading for 2- to 5-year old
subjects in the pediatric studies.
Hypoglycemia Alert Rate
The Alert Rate shows how often the alert is right or wrong. The True Alert Rate is the % of time
the device alarmed when the blood glucose level was at or below the alert setting within 15 or 30
minutes before or after the device alarmed. The False Alert Rate is the % of time the device alarmed
when the blood glucose level was above the alert setting within 15 or 30 minutes before or after the
device alarmed.
For example, if you set the Low Glucose Alert to 70 mg/dL and your alarm sounds, how often can you
expect your blood sugar to actually be low? In the Software 505 Adult Study (Table 5-A), when your
alarm sounds, you can expect your blood sugar to be below 70 mg/dL approximately 92% of the time
and above 70 mg/dL approximately 8% of the time within the 15 minute period before or after your
alarm sounds.
Hypoglycemia Detection Rate
The Detection Rate shows how often the device recognizes and alerts you to an episode of
hypoglycemia or how often it misses such an event. The Hypoglycemia Detection Rate is the % of
time the blood glucose level was at or below the alert setting and device alarmed within 15 or 30
minutes before or after the blood glucose was at or below the alert settings. The Hypoglycemia Missed
Detection Rate is the % of time the blood glucose was at or below the alert setting, but the device did
not alarm within 15 or 30 minutes before or after the blood glucose was at or below the alert setting.
For example, if you set the Low Glucose alert to 70 mg/dL, how often will your alarm alert you if your
blood glucose goes below 70 mg/dL? In the Software 505 Adult Study (Table 5-A), when your blood
sugar goes below 70 mg/dL, you can expect your alarm to sound 91% of the time and not to sound
approximately 9% of time within the 15 minute period before or after your blood sugar goes below
70 mg/dL.

257
Dexcom G5 Mobile System User Guide
Technical Information
Table 6-A. Hyperglycemia Alert and Detection Rate Evaluation in
Reference to YSI 15 Minutes Before and After (Adult)
Hyperglycemia
Alert Level
(mg/dL)
Study1
True
Alert
Rate
False
Alert
Rate
Hyperglycemia
Detection Rate
Hyperglycemia
Missed
Detection Rate
120 Original 95% 5% 98% 2%
Software 505 98% 2% 100% 0%
140 Original 94% 6% 97% 3%
Software 505 97% 3% 99% 1%
180 Original 92% 8% 97% 3%
Software 505 97% 3% 99% 1%
200 Original 92% 8% 97% 3%
Software 505 96% 4% 98% 2%
220 Original 91% 9% 95% 5%
Software 505 94% 6% 98% 2%
240 Original 91% 9% 94% 6%
Software 505 93% 7% 95% 5%
300 Original 82% 18% 86% 14%
Software 505 86% 14% 90% 10%
1
Both sets of study data are presented and are labeled as Original (SW10050) or Software 505
(SW10505).

Dexcom G5 Mobile System User Guide
258Technical Information
Table 6-B. Hyperglycemia Alert and Detection Rate Evaluation in
Reference to YSI 15 Minutes Before and After (Pediatric, Ages 6-17 Years)
Hyperglycemia
Alert Level
(mg/dL)
Study1
True
Alert
Rate
False
Alert
Rate
Hyperglycemia
Detection Rate
Hyperglycemia
Missed
Detection Rate
120 Original 91% 9% 98% 2%
Software 505 98% 2% 99% 1%
140 Original 87% 13% 99% 1%
Software 505 97% 3% 98% 2%
180 Original 75% 25% 99% 1%
Software 505 94% 6% 98% 2%
200 Original 71% 29% 98% 2%
Software 505 94% 6% 97% 3%
220 Original 67% 33% 97% 3%
Software 505 93% 7% 96% 4%
240 Original 62% 38% 96% 4%
Software 505 88% 12% 94% 6%
300 Original 43% 57% 93% 7%
Software 505 69% 31% 8 4% 16%
1
Both sets of study data are presented and are labeled as Original (SW10050) or Software 505
(SW10505).

259
Dexcom G5 Mobile System User Guide
Technical Information
Table 6-C. Hyperglycemia Alert and Detection Rate Evaluation in
Reference to SMBG 30 Minutes Before and After (Pediatric, Ages 2-5
Years)
Hyperglycemia
Alert Level
(mg/dL)
Study1
True
Alert
Rate
False
Alert
Rate
Hyperglycemia
Detection Rate
Hyperglycemia
Missed
Detection Rate
120 Original 92% 8% 98% 2%
Software 505 97% 3% 99% 1%
140 Original 90% 10% 98% 2%
Software 505 98% 2% 100% 0%
180 Original 87% 13% 96% 4%
Software 505 99% 1% 93% 7%
200 Original 85% 15% 96% 4%
Software 505 98% 2% 93% 7%
220 Original 81% 19% 95% 5%
Software 505 100% 0% 97% 3%
240 Original 80% 20% 95% 5%
Software 505 99% 1% 98% 2%
300 Original 71% 29% 90% 10%
Software 505 95% 5% 96% 4%
1
Both sets of study data are presented and are labeled as Original (SW10050) or Software 505
(SW10505).
The High Glucose Alert
Estimates of how well the adjustable High Glucose Alert performs are presented in Table 6-A, 6-B and
6-C. Table 6-A represents the hyperglycemia alert evaluation within 15 minutes of the YSI value in the
adult studies. Table 6-B represents the alert evaluation within 15 minutes of the YSI value for a subset
of the pediatric population—subjects age 6 to 17 years who had YSI measurements every 15 minutes.
Table 6-C represents the alert evaluation within 30 minutes of an SMBG reading for 2- to 5-year old
subjects in the pediatric studies.
Hyperglycemia Alert Rate
The Alert Rate shows how often the alert is right or wrong. The True Alert Rate is the % of time
the device alarmed when the blood glucose level was at or above the alert setting within 15 or 30

Dexcom G5 Mobile System User Guide
260Technical Information
minutes before or after the device alarmed. The False Alert Rate is the % of time the device alarmed
when the blood glucose level was below the alert setting within 15 or 30 minutes before or after the
device alarmed.
For example, if you set the High Glucose alert to 200 mg/dL and your alarm sounds, how often can you
expect your blood sugar to actually be high? In the Software 505 Adult Study (Table 6-A), when your
alarm sounds, you can expect your blood sugar to be at or above 200 mg/dL approximately 96% of the
time and not be above 200 mg/dL approximately 4% of the time within the 15 minute period before or
after your alarm sounds.
Hyperglycemia Detection Rate
The Detection Rate shows how often the device recognizes and alerts you to an episode of
hyperglycemia or how often it misses such an event. The Hyperglycemia Detection Rate is the % of
time the blood glucose level was at or above the alert setting and the device alarmed within 15 or
30 minutes before or after the blood glucose was at or above the alert settings. The Hyperglycemia
Missed Detection Rate is the % of time the blood glucose was at or above the alert setting, but the
device did not alarm within 15 or 30 minutes before or after the blood glucose was at or above the
alert setting.
For example, if you set your High Glucose alert to 200 mg/dL, how often will your alarm alert you if
your blood glucose goes at or above 200 mg/dL? In the Software 505 Adult Study (Table 6-A), when
your blood sugar goes above 200 mg/dL, you can expect your alarm to sound 98% of the time and not
to sound approximately 2% of time within the 15 minute period before or after your blood sugar goes
above 200 mg/dL.

261
Dexcom G5 Mobile System User Guide
Technical Information
Table 7-A. Percentage of System Readings1 within YSI Values With Data
Stratified in 2-Hour Increments After Calibration (Adult)
Time from
Calibration Study2
Number
of Paired
CGM-YSI
Percent
Within
15/15%
YSI
Percent
Within
20/20%
YSI
Percent
Within
30/30%
YSI
Percent
Greater
than
40/40%
YSI
0-2 hours Original 1929 78% 88% 96% 2%
Software 505 469 93% 97% 99% 0%
2-4 hours Original 1516 69% 81% 91% 4%
Software 505 389 90% 97% 99% 0%
4-6 hours Original 1547 69% 79% 91% 5%
Software 505 383 85% 91% 97% 2%
6-8 hours Original 1520 68% 79% 92% 3%
Software 505 380 79% 90% 97% 2%
8-10 hours Original 1555 71% 82% 92% 4%
Software 505 347 83% 92% 98% 0%
10-12 hours Original 1068 65% 77% 91% 4%
Software 505 295 80% 90% 98% 0%
12-14 hours Original 17 65% 76% 82% 12%
Software 505 0-- -- -- --
1
CGM readings are within 40 to 400 mg/dL, inclusive.
2
Both sets of study data are presented and are labeled as Original (SW10050) or Software 505
(SW10505).

Dexcom G5 Mobile System User Guide
262Technical Information
Table 7-B. Percentage of System Readings1 within YSI Values with Data
Stratified in 2-Hour Increments after Calibration (Pediatric)
Time from
Calibration Study2
Number
of paired
CGM-YSI
Percent
within
15/15%
YSI
Percent
within
20/20%
YSI
Percent
within
30/30%
YSI
Percent
greater
than
40/40%
YSI
0-2 hours Original 648 65% 75% 87% 7%
Software 505 545 83% 91% 97% 1%
2-4 hours Original 649 51% 67% 86% 7%
Software 505 460 72% 89% 96% 2%
4-6 hours Original 630 51% 61% 80% 10%
Software 505 428 77% 88% 95% 2%
6-8 hours Original 409 52% 68% 85% 5%
Software 505 325 88% 92% 94% 3%
8-10 hours Original 296 53% 69% 84% 7%
Software 505 305 86% 93% 97% 1%
10-12 hours Original 253 58% 74% 89% 5%
Software 505 198 89% 94% 98% 0%
12-14 hours Original 37 32% 38% 65% 22%
Software 505 1100% 100% 100% 100%
1
CGM readings are within 40 to 400 mg/dL, inclusive.
2
Both sets of study data are presented and are labeled as Original (SW10050) or Software 505
(SW10505).
Calibration Stability
The System must be calibrated every 12 hours. To demonstrate performance of the System over a
12-hour calibration period, Systems were evaluated to verify that performance remains consistent
over the 12-hour calibration period. Systems were evaluated in 2-hour increments after calibration.
Performance was estimated at each 2-hour interval and stratified by glucose values by calculating
the percentage of System readings within 15 mg/dL or 15%, 20 mg/dL or 20%, 30 mg/dL or 30%, 40
mg/dL or 40% and greater than 40 mg/dL or 40% of the YSI values in Table 7-A and 7-B.

263
Dexcom G5 Mobile System User Guide
Technical Information
Table 8-A. Sensor Stability Relative to YSI (Accuracy Over Time1) - (Adult)
Day
of
Wear
Study2
Number
of
Paired
CGM-
YSI
Mean
Absolute
Percent
Differences
Median
Absolute
Percent
Differences
Percent
Within
15/15%
YSI
Percent
Within
20/20%
YSI
Percent
Within
30/30%
YSI
Percent
Greater
than
40/40%
YSI
Day
1
Original 3023 16.7% 13.2% 59% 71% 86% 6%
Software 505 680 10.7% 7.9% 77% 84% 96% 2%
Day
4
Original 3108 11.4% 8.2% 77% 87% 95% 2%
Software 505 777 8.0% 6.4% 89% 96% 99% 0%
Day
7
Original 3021 11.9% 8.9% 76% 87% 95% 2%
Software
505 806 8.5% 7.2% 90% 97% 99% 0%
1
CGM readings are within 40 to 400 mg/dL, inclusive.
2
Both sets of study data are presented and are labeled as Original (SW10050) or Software 505
(SW10505).

Dexcom G5 Mobile System User Guide
264Technical Information
Table 8-B. Sensor Stability Relative to YSI (Accuracy Over Time1) -
(Pediatric, Ages 6-17 Years)
Day
of
Wear
Study2
Number
of
Paired
CGM-
YSI
Mean
Absolute
Percent
Differences
Median
Absolute
Percent
Differences
Percent
Within
15/15%
YSI
Percent
Within
20/20%
YSI
Percent
Within
30/30%
YSI
Percent
Greater
than
40/40%
YSI
Day
1
Original 1016 21.2% 15.8% 48% 61% 78% 15%
Software 505 740 12.7% 8.5% 75% 83% 91% 4%
Day
4
Original 810 16.0% 13.9% 52% 66% 87% 3%
Software 505 795 8.1% 6.7% 89% 97% 100% 0%
Day
7
Original 1096 15.1% 11.3% 63% 76% 89% 4%
Software
505 727 10.4% 8.4% 80% 91% 98% 1%
1
CGM readings are within 40 to 400 mg/dL, inclusive.
2
Both sets of study data are presented and are labeled as Original (SW10050) or Software 505
(SW10505).

265
Dexcom G5 Mobile System User Guide
Technical Information
Table 8-C. Sensor Stability Relative to SMBG (Accuracy Over Time1) -
(Pediatric, Ages 2-17 Years)
Day
of
Wear
Study2
Number
of
Paired
CGM-
SMBG
Mean
Absolute
Percent
Differences
Median
Absolute
Percent
Differences
Percent
Within
15/15%
SMBG
Percent
Within
20/20%
SMBG
Percent
Within
30/30%
SMBG
Percent
Greater
than
40/40%
SMBG
Day
1
Original 3216 18.8% 14.2% 53% 65% 81% 10%
Software 505 893 14.8% 10.7% 64% 79% 91% 5%
Day
2
Original 2148 16.2% 12.4% 60% 74% 87% 6%
Software 505 436 13.2% 10.4% 69% 81% 95% 3%
Day
3
Original 1977 15.2% 11.0% 63% 76% 89% 5%
Software 505 441 13.8% 11.3% 66% 77% 91% 2%
Day
4
Original 2830 14.0% 10.9% 66% 79% 91% 4%
Software 505 850 10.7% 8.5% 79% 91% 97% 1%
Day
5
Original 1768 15.4% 10.7% 67% 78% 90% 5%
Software 505 374 11.4% 8.7% 74% 86% 96% 1%
Day
6
Original 1704 14.3% 9.8% 68% 79% 90% 4%
Software 505 410 12.3% 9.2% 72% 80% 93% 2%
Day
7
Original 2675 12.4% 9.2% 72% 83% 94% 3%
Software 505 860 11.3% 8.6% 79% 90% 96% 2%
1
CGM readings are within 40 to 400 mg/dL, inclusive.
2
Both sets of study data are presented and are labeled as Original (SW10050) or Software 505
(SW10505).
Sensor Stability
Relative to YSI
Sensors can be worn for up to 7 days. Performance was estimated by calculating the percentage of
System readings within 15 mg/dL or 15%, 20 mg/dL or 20%, 30 mg/dL or 30% , 40 mg/dL or 40%
and greater than 40 mg/dL or 40% of the YSI values at the beginning (Day 1), middle (Day 4) and
end (Day 7) of the System lifecycle. The average and median of the absolute percent differences are
included in Table 8-A and 8-B showing consistent accuracy and sensor stability over the 7-day life of
the sensor.

Dexcom G5 Mobile System User Guide
266Technical Information
Relative to SMBG (Pediatric Study)
Performance was also estimated by calculating the percentage of system readings within various
percentages of the SMBG values at each day of the sensor wear period (Table 8-C). The average and
median of the absolute percent differences are included in the table.
Precision of System Readings
A subset of subjects wore two Systems at the same time. This was to look at how similarly two
Systems function on the same subject (sensor precision). Precision was evaluated by comparing the
glucose readings from the two Systems worn on the same subject at the same time.
In the Original Adult Study, 36 subjects wore two Systems. Results showed that System readings
from the two sensors generally agreed with each other within 9% (absolute percent difference) with
a 7% coefficient of variation. In the Original Pediatric Study, all subjects wore two Systems. Results
showed that System readings from the two sensors generally agreed with each other within 10%
(absolute percent difference) with a 7% coefficient of variation. Only one System was worn in the
Software 505 Adult and Software 505 Pediatric Studies so precision data was not collected.
Sensor Life
Sensors may be worn for up to 7 days (168 hours). To estimate how long a sensor will work over
7 days, all sensors worn were evaluated to determine how many days/hours of readings each
sensor provided.
In the Original Adult Study, 108 sensors were evaluated. Ninety-four percent (94%) of the sensors
lasted until Day 7 (145-168 hours). There were 6 (6%) sensors that ended early, four of which lasted
more than 3 days.
In the Software 505 Adult Study, 51 sensors were evaluated. Ninety-eight percent (98%) of the
sensors lasted until Day 7 (145-168 hours). There was 1 (2%) sensor that ended early, which lasted
until day 5 of the sensor wear.
In the Original Pediatric Study, 351 sensors were evaluated. Eighty-five percent (85%) of the sensors
lasted until Day 7 (145-168 hours).
In the Software 505 Pediatric Study, 77 sensors were evaluated. Ninety-four percent (94%) of the
sensors lasted until Day 7 (145-168 hours).

267
Dexcom G5 Mobile System User Guide
Technical Information
Table 9-A. Number of Readings Provided by Each Sensor Over 7-Days
(Adult)
% of Total Possible
Readings Provided Study1
Total Readings
Provided
(Min-Max)
% of Systems Providing
That Number of Readings
0-25% Original 167-491 2%
Software 505 00%
26-50% Original 719-914 4%
Software 505 856-856 2%
51-75% Original 1267-1267 1%
Software 505 1253-1253 2%
76-100% Original 1811-1992 94%
Software 505 1497-1992 96%
1
Both sets of study data are presented and are labeled as Original (SW10050) or Software 505
(SW10505).

Dexcom G5 Mobile System User Guide
268Technical Information
Table 9-B. Number of Readings Provided by Each Sensor Over 7-Days
(Pediatric)
% of Total Possible
Readings Provided Study1
Total Readings
Provided
(Min-Max)
% of Systems Providing
That Number of Readings
0-25% Original 103-427 3%
Software 505 60-223 4%
26-50% Original 569-954 3%
Software 505 877-891 3%
51-75% Original 1006-1484 9%
Software 505 1131-1342 3%
76-100% Original 1518-1992 86%
Software 505 1623-1990 91%
1
Both sets of study data are presented and are labeled as Original (SW10050) or Software 505
(SW10505).

269
Dexcom G5 Mobile System User Guide
Technical Information
Table 10-A. System Readings Within Wear Days (Adult)
Statistic Study1Day 1 Day 2 Day 3 Day 4 Day 5 Day 6 Day 7 All
Days2
Mean Original 98% 98% 98% 98% 97% 99% 95% 97%
Software 505 98% 99% 98% 98% 96% 99% 97% 98%
Median Original 100% 100% 100% 100% 100% 100% 100% 100%
Software 505 99% 100% 100% 100% 100% 100% 100% 100%
Standard
Deviation
Original 5% 3% 9% 8% 10% 3% 11% 8%
Software 505 3% 2% 8% 11% 15% 2% 13% 9%
1
Both sets of study data are presented and are labeled as Original (SW10050) or Software 505
(SW10505).
2
A total of 108 sensors were included with the Original Study and 51 sensors were included with the
Software 505 Study.

Dexcom G5 Mobile System User Guide
270Technical Information
Table 10-B. System Readings within Wear Days (Pediatric)
Statistic Study1Day 1 Day 2 Day 3 Day 4 Day 5 Day 6 Day 7 All
Days2
Mean Original 97% 96% 96% 95% 94% 94% 92% 95%
Software 505 96% 96% 95% 96% 93% 95% 93% 95%
Median Original 99% 99% 99% 99% 99% 99% 98% 99%
Software 505 99% 98% 99% 99% 97% 97% 98% 98%
Standard
Deviation
Original 6% 10% 9% 12% 14% 14% 17% 12%
Software 505 9% 6% 12% 10% 15% 7% 12% 11%
1
Both sets of study data are presented and are labeled as Original (SW10050) or Software 505
(SW10505).
2
A total of 108 sensors were included with the Original Study and 77 sensors were included with the
Software 505 Study.
Number of Readings Provided
The System is capable of providing a reading up to every 5 minutes, or up to 288 readings per day. For
a variety of reasons, the System may not display a glucose reading and readings are “skipped.” Table
9-A and 9-B estimate the number of readings you can expect to receive from the System over the
entire 7-day period after calibration. Table 10-A and 10-B show the number of readings you can expect
to receive from the System within each system wear day.
For the Software 505 Adult Study (SW10505), 96% of Systems provided between 1,497 and 1,992
valid glucose readings (or more than 75% of the expected number of readings) as seen in Table 9-A.
Adjusted within each system wear-day, the System in the Software 505 Adult Study provided an
average of 98% of all expected glucose readings (288) as seen in Table 10-A.

271
Dexcom G5 Mobile System User Guide
Technical Information
Table 11-A. System Agreement to SMBG Within CGM Glucose Ranges
(Adult)
CGM
Glucose
Range1
(mg/dL)
Study2
Number
of Paired
CGM-SMBG
Percent
Within
15/15%
SMBG
Percent
Within
20/20%
SMBG
Percent
Within
30/30%
SMBG
Percent
Greater
than
40/40%
SMBG
Overall Original 7508 69% 81% 94% 2%
Software 505 2992 77% 87% 96% 1%
40-60 Original 731 75% 84% 92% 4%
Software 505 221 73% 80% 87% 7%
61-80 Original 968 78% 86% 95% 1%
Software 505 336 77% 85% 95% 1%
81-180 Original 3141 65% 78% 93% 2%
Software 505 1362 74% 85% 96% 1%
181-300 Original 1960 68% 81% 94% 3%
Software 505 826 80% 90% 97% 1%
301-350 Original 450 77% 88% 98% 1%
Software 505 161 83% 93% 99% 0%
351-400 Original 258 75% 85% 95% 2%
Software 505 86 90% 93% 98% 1%
1
CGM readings are within 40 to 400 mg/dL, inclusive.
2
Both sets of study data are presented and are labeled as Original (SW10050) or Software 505
(SW10505).

Dexcom G5 Mobile System User Guide
272Technical Information
Table 11-B. System Agreement to SMBG Within CGM Glucose Ranges
(Pediatric)
CGM
Glucose
Range1
(mg/dL)
Study2
Number
of Paired
CGM-SMBG
Percent
Within
15/15%
SMBG
Percent
Within
20/20%
SMBG
Percent
Within
30/30%
SMBG
Percent
Greater
than
40/40%
SMBG
Overall Original 16318 64% 76% 89% 5%
Software 505 4264 73% 84% 94% 2%
40-60 Original 487 44% 55% 68% 19%
Software 505 240 54% 71% 86% 7%
61-80 Original 1340 59% 70% 85% 7%
Software 505 399 64% 76% 92% 2%
81-180 Original 7084 62% 74% 90% 5%
Software 505 1650 72% 84% 95% 2%
181-300 Original 5627 69% 80% 90% 5%
Software 505 1526 79% 89% 97% 2%
301-350 Original 1176 65% 77% 90% 4%
Software 505 319 72% 83% 94% 2%
351-400 Original 604 58% 72% 86% 6%
Software 505 130 69% 79% 86% 8%
1
CGM readings are within 40 to 400 mg/dL, inclusive.
2
Both sets of study data are presented and are labeled as Original (SW10050) or Software 505
(SW10505).

273
Dexcom G5 Mobile System User Guide
Technical Information
Table 12-A. System Difference to SMBG Within CGM Glucose Ranges
(Adult)
CGM
Glucose
Range1
(mg/dL)
Study2
Number
of Paired
CGM-SMBG
Mean
Percent
Difference
Median
Percent
Difference
Mean
Absolute
Percent
Difference
Median
Absolute
Percent
Difference
Overall Original 7508 -0.4% -1.4% 14.0% 11.0%
Software 505 2992 -2.6% -2.7% 11.3% 8.6%
*40-60 Original 731 -9.3 -8.0 11.7 8.0
Software 505 221 -10.3 -6.0 13.0 8.0
*61-80 Original 968 -1.0 1.0 10.7 8.0
Software 505 336 -4.0 -2.0 10.1 7.0
81-180 Original 3141 1.4% 0.0% 14.2% 11.0%
Software 505 1362 -2.6% -3.1% 11.4% 8.9%
181-300 Original 1960 -0.7% -2.8% 13.0% 10.3%
Software 505 826 -1.4% -2.0% 9.5% 7.4%
301-350 Original 450 -0.7% -2.6% 10.5% 8.6%
Software 505 161 -0.0% 0.0% 8.3% 6.0%
351-400 Original 258 5.0% 3.0% 11.9% 8.6%
Software 505 86 3.9% 3.2% 8.1% 6.7%
1
CGM readings are within 40 to 400 mg/dL, inclusive.
2
Both sets of study data are presented and are labeled as Original (SW10050) or Software 505
(SW10505).
*
For CGM ≤ 80 mg/dL, the differences in mg/dL are included instead of percent differences (%).

Dexcom G5 Mobile System User Guide
274Technical Information
Table 12-B. System Difference to SMBG Within CGM Glucose Ranges
(Pediatric)
CGM
Glucose
Range1
(mg/dL)
Study2
Number
of Paired
CGM-SMBG
Mean
Percent
Difference
Median
Percent
Difference
Mean
Absolute
Percent
Difference
Median
Absolute
Percent
Difference
Overall Original 16318 2.2% 0.9% 15.3% 11.1%
Software 505 4264 -0.7% -1.1% 12.5% 9.5%
*40-60 Original 487 -22.1 -17.0 23.9 18.0
Software 505 240 -15.9 -14.0 16.9 14.0
*61-80 Original 1340 -11.8 -8.0 17.0 11.0
Software 505 399 -7.8 -6.0 13.7 10.0
81-180 Original 7084 1.1% -1.0% 15.4% 11.4%
Software 505 1650 -1.2% -2.6% 12.1% 9.5%
181-300 Original 5627 5.7% 3.4% 13.5% 9.5%
Software 505 1526 1.7% 0.9% 10.1% 7.7%
301-350 Original 1176 9.6% 7.2% 14.2% 10.4%
Software 505 319 6.7% 5.9% 11.8% 8.9%
351-400 Original 604 12.7% 10.2% 16.1% 11.9%
Software 505 130 12.0% 8.9% 15.7% 10.6%
1
CGM readings are within 40 to 400 mg/dL, inclusive.
2
Both sets of study data are presented and are labeled as Original (SW10050) or Software 505
(SW10505).
*
For CGM ≤ 80 mg/dL, the differences in mg/dL are included instead of percent differences (%).
Agreement and Accuracy Relative to SMBG
Agreement between the System and blood glucose values is also characterized using paired System
and SMBG results (Table 11 to 12). The System and SMBG values were compared by pairing the
comparative SMBG value to a System glucose reading that occurred immediately after the SMBG was
collected. These results characterize the performance subjects expect during real-time use of the
System in their daily diabetes management when comparing the System readings to their home blood
glucose meter results. For readings less than or equal to 80 mg/dL, the absolute difference in mg/dL
between the two glucose results was calculated. For values greater than 80 mg/dL, the absolute
percent difference (%) from the SMBG values was calculated. The percentages of total readings within

275
Dexcom G5 Mobile System User Guide
Technical Information
15 mg/dL or 15%, 20 mg/dL or 20%, 30 mg/dL or 30%, 40 mg/dL or 40% or greater than 40 mg/dL or
40% were then calculated.
For example, if the System reads 100 mg/dL, it is between 81-180 mg/dL range and you can expect
the System readings to be within 20% of the SMBG values 85% of the time for the Software 505
Adult Study, as seen in Table 11-A.
Overall, the System in the Software 505 Adult Study reads, on average, 2.6% lower (Mean Percent
Difference) than SMBG values and 11.3% absolute different (Mean Absolute Percent Difference) than
the SMBG values. The Median Percent Difference shows that half of the time the System reads lower
in 2.7% or less than the SMBG values and the Median Absolute Percent Difference shows that half of
the time the System reads about 8.6% or less different than SMBG values, as seen in Table 12-A.
Adverse Events
No serious adverse events or device-related serious adverse events occurred during the studies. Mild
to moderate skin irritation, such as erythema or edema, occurred at the sensor needle insertion area
or around the adhesive area. No infection, bruising, or bleeding occurred at the sensor needle insertion
area or the adhesive area.
17.2 Product Specifications
User is the single use operator in the home environment.
Use of accessories, transducers and cables other than those specified or provided by the manufacturer
of this equipment could result in increased electromagnetic emissions or decreased electromagnetic
immunity of this equipment and result in improper operation.
Do not touch the metal connectors on the bottom of the transmitter and other open connectors on the
receiver, charging cable and charger.
Sensor Product Specifications
Glucose Range 40-400 mg/dL
Sensor Life Up to 7 days
Calibration Commercially available blood glucose meter
Calibration Range 40-400 mg/dL
Storage Condition Temperature: 36° F-77° F
Humidity: 15%-85% RH
Sterilization Sterile by radiation

Dexcom G5 Mobile System User Guide
276Technical Information
Transmitter Product Specifications
Part Number 9438-06
Dimensions (Including
Sensor Pod)
Length: 1.5 inches
Width: 0.9 inches
Thickness: 0.5 inches
Weight (Including Sensor
Pod) 0.4 ounces
Power Supply Silver oxide batteries (not replaceable)
Operational Conditions
Ambient temperature is 10° C-42° C (50° F-107.6° F)
Equilibrium temperature of less than 0.5° C (0.9° F) above ambient
Humidity: 10%-95% RH
Storage Conditions Temperature: 32° F-113° F
Humidity: 10%-95% RH
Operating Altitude -1300 feet to 13800 feet
Limited Warranty 3 months
Moisture Protection IP28: Protection against insertion of large objects and immersion in water
for up to 8 feet for 24 hours
Protection Against
Electrical Shock Type BF applied part
Transmitter Performance Characteristics
Parameter Performance Characteristic
TX/RX Frequencies 2.402-2.480 GHz
Bandwidth 1.02 MHz
Maximum Output Power 1.0 mW EIRP
Modulation Gaussian Frequency-Shift Keying
Data Rate 1 Mbps
Data Communication Range 20 feet
The Dexcom G5 Mobile CGM System is safe for use on U.S. commercial airlines. The Dexcom G5
Mobile CGM System is an M-PED with emission levels that meet RTCA/DO160, Section 21, Category
M. Per FAA Advisory, Circular #91-21, 1B, dated 8/25/06, any M-PED that meets this standard in all

277
Dexcom G5 Mobile System User Guide
Technical Information
modes may be used onboard the aircraft without any further testing by the operator. This device can
withstand exposure to common electrostatic (ESD) and electromagnetic interference (EMI).
Guidance and Manufacturer’s Declaration –
Electromagnetic Immunity
The transmitter (P/N 9438-06) is intended for use in the electromagnetic environment specified
in the next table. The customer or the user of the transmitter should ensure that it is used in such
an environment.
Transmitter Electromagnetic Immunity Specifications
Immunity Test IEC 60601 Test
Level
Transmitter
Compliance
Level
Electromagnetic
Environment Guidance
Electrostatic
Discharge (ESD)
IEC 61000-4-2
± 8 kV Contact
± 15 kV Air
± 8 kV Contact
± 15 kV Air
Floors should be wood, concrete or
ceramic tile. If floors are covered
with synthetic material, the relative
humidity should be at least 30%.
Power Frequency
(50/60 Hz) Magnetic
Field
IEC 61000-4-8
30 A/m 30 A/m
Power frequency magnetic
fields should be at levels
characteristic of a typical location
in a typical commercial or hospital
environment.
Receiver Product Specifications
Part Number MT22719
Reading Frequency Every 5 minutes
Dimensions
Length: 4.0 inches
Width: 1.8 inches
Thickness: 0.5 inches
TX/RX Frequencies 2.402-2.480 GHz
Bandwidth 1.22 MHz
Maximum Output Power 2.5 mW EIRP
Modulation Gaussian Frequency-Shift Keying
Data Rate 1 Mbps
(Continued on next page)

Dexcom G5 Mobile System User Guide
278Technical Information
(Continued from previous page)
Weight 2.4 ounces
Receiver Input 5V DC, 1A
Power Supply MT21255
Communication Range 20 feet
Memory Storage 30 days of glucose data
7 days of tech support data
Re-Chargeable Battery
Use 3 days
Charging Time
3 hours wall outlet
The device behaves normally while being charged
Do not hold the receiver while charging for over a minute
There are no risks to connecting any part of the system to an MSO (Multiple
Socket Outlet)
Storage/Operating
Conditions
Temperature: 32° F-104° F
Humidity: 15%-95% RH, (Storage 10%-95% RH)
Operating Altitude -1300 feet to 13800 feet
Medium Priority Alarm
Audible Output 50 dBa at 1 meter
Moisture Protection IP22: Vertically falling drops
Protection against insertion of large objects and dripping water
Limited Warranty 1 year
Control Classification Class II equipment
No cleaning methods are recommended or tested for the receiver. The warranty life of the receiver is
1 year. The service life for the accessories is noted to be up to one year. If you have difficulty reading
your receiver in bright sunlight, you may need to seek a shady location. Do not connect the receiver to
any equipment not specified in IFU.
Guidance and Manufacturer’s Declaration –
Electromagnetic Immunity
The receiver (MT22719) is intended for use in the electromagnetic environment specified in the next
table. The customer or the user of the receiver should ensure that it is used in such an environment.

279
Dexcom G5 Mobile System User Guide
Technical Information
Receiver Electromagnetic Immunity Specifications
Immunity Test IEC 60601 Test
Level
Transmitter
Compliance
Level
Electromagnetic
Environment Guidance
Electrostatic
Discharge (ESD)
IEC 61000-4-2
± 8 kV Contact
± 15 kV Air
± 8 kV Contact
± 15 kV Air
Floors should be wood, concrete or
ceramic tile. If floors are covered
with synthetic material, the relative
humidity should be at least 30%.
Electrical Fast
Transient/Burst
IEC 61000-4-4
± 2 kV for power
supply lines
± 1 kV for
input/output lines
± 2 kV for power
supply lines
Not applicable
Mains power quality should be that
of a typical commercial or hospital
environment.
Surge
IEC 61000-4-5
± 1 kV line(s) to line(s)
± 2 kV line(s) to earth
± 1 kV line(s) to line(s)
Not applicable
Mains power quality should be that
of a typical commercial or hospital
environment.
Surge
IEC 61000-4-5
± 1 kV line(s) to line(s)
± 2 kV line(s) to earth
± 1 kV line(s) to line(s)
Not applicable
Mains power quality should be that
of a typical commercial or hospital
environment.
Voltage Dips, Short
Interruptions and
Voltage Variations
on Power Supply
Input Lines
IEC 61000-4-11
IEC 60601-1-11
0%
U
T for 1 cycle
0%
U
T for 0.5 cycle at
8 phase angles
70%
U
T (30% dip in
Ut) for 25 cycles
0%
U
T for 250 cycles
0%
U
T for 1 cycle
0%
U
T for 0.5 cycle at
8 phase angles
70%
U
T (30% dip in
Ut) for 25 cycles
0%
U
T for 250 cycles
Mains power quality should be that
of a typical commercial or hospital
environment.
Power Frequency
(50/60 Hz) Magnetic
Field
IEC 61000-4-8
30 A/m 30 A/m
Power frequency magnetic
fields should be at levels
characteristic of a typical location
in a typical commercial or hospital
environment.
NOTE: U
T
is the a.c. mains voltage prior to application of the test level.
Guidance and Manufacturer’s Declaration –
Electromagnetic Immunity
The Dexcom G5 Mobile System is intended for use in the electromagnetic environment specified in the
next table. The customer or the user of the Dexcom G5 Mobile System should ensure that it is used in
such an environment.

Dexcom G5 Mobile System User Guide
280Technical Information
System Electromagnetic Immunity Specifications
Immunity Test IEC 60601 Test
Level
Transmitter
Compliance
Level
Electromagnetic
Environment Guidance
Conducted RF
IEC 61000-4-6
(Receiver only)
3 Vrms
150 kHz to 80 MHz 6 Vrms
Floors should be wood, concrete or
ceramic tile. If floors are covered
with synthetic material, the relative
humidity should be at least 30%.
Recommended Separation Distance
d = 1.2 √P 150 kHz to 80 MHz
d = 1.2 √P 80 MHz to 800 MHz
d = 2.3 √P 800 MHz to 2.5 GHz
Where P is the maximum output
power rating of the transmitter
in watts (W) according to the
transmitter manufacturer and d
is the recommended separation
distance in meters (m).
Field strengths from fixed RF
transmitters, as determined by an
electromagnetic site surveya should
be less than the compliance level in
each frequency rangeb.
Interference may occur in the
vicinity of equipment marked with
following symbol:
Radiated RF
IEC 61000-4-3
10 V/m at 80 MHz
to 2700 MHz (AM
Modulation)
10 V/m
NOTE 1: At 80 MHz and 800 MHz, the higher frequency range applies.
NOTE 2: These guidelines may not apply in all situations. Electromagnetic propagation is affected by
absorption and reflection from structures, objects and people.
a. Field strengths from fixed transmitters, such as base stations for radio (cellular/cordless) telephones
and land mobile radios, amateur radio, AM and FM radio broadcast, and TV broadcast cannot be
predicted theoretically with accuracy. To assess the electromagnetic environment due to fixed RF
transmitters, an electromagnetic site survey should be considered. If the measured field strength in
the location in which the Dexcom G5 MOBILE System is used exceeds the applicable RF compliance
level above, the Dexcom G5 MOBILE System should be observed to verify normal operation. If
abnormal performance is observed, additional measures may be necessary, such as reorienting or
relocating the Dexcom G5 MOBILE System.
b. Over the frequency range 150 kHz to 80 MHz, field strengths should be less than 10 V/m.

281
Dexcom G5 Mobile System User Guide
Technical Information
Guidance and Manufacturer’s Declaration –
Electromagnetic Emissions
The Dexcom G5 Mobile System is intended for use in the electromagnetic environment specified in the
next table. The customer or the user of the Dexcom G5 Mobile System should ensure that it is used in
such an environment.
Electromagnetic Emissions Specifications
Emissions Test Compliance Electromagnetic Environment Guidance
RF Emissions
CISPR 11 Group 1
The Dexcom G5 Mobile System uses RF energy only for
its internal function. Therefore, its RF emissions are very
low and are not likely to cause any interference in nearby
electronic equipment.
RF Emissions
CISPR 11 Class B
The Dexcom G5 Mobile System is suitable for use in all
establishments including domestic and those directly
connected to the public low-voltage power supply network
that supplies buildings used for domestic purposes.
Recommended Separation Distances Between Portable
and Mobile RF Communications Equipment and the
Receiver
The receiver is intended for use in an electromagnetic environment in which radiated RF disturbances
are controlled. The customer or the user of the receiver can help prevent electromagnetic interference
by maintaining a minimum distance between portable and mobile RF communications equipment
(transmitters) and the receiver as recommended in the next table, according to the maximum
output power of the communications equipment. Portable and mobile RF equipment include: baby
monitors,
Bluetooth
wireless headsets, wireless routers, microwave ovens, laptops with internal
Wi-Fi adapters, GSM cell phones, RFID scanners and hand-held security metal detector often used by
security screeners.
Minimum Recommended Distance Between Other RF Transmitters and
the Dexcom Transmitter/Receiver
Rated Maximum
Output Power of
Transmitter (W)
Separation Distance According to Frequency of Transmitter (m)
150 kHz to 80 MHz
d = 1.2 P½
80 MHz to 800 MHz
d = 1.2 P½
800 MHz to 2.5 GHz
d = 2.3 P½
0.01 0.12 0.12 0.23
(Continued on next page)

Dexcom G5 Mobile System User Guide
282Technical Information
(Continued from previous page)
Rated Maximum
Output Power of
Transmitter (W)
Separation Distance According to Frequency of Transmitter (m)
150 kHz to 80 MHz
d = 1.2 P½
80 MHz to 800 MHz
d = 1.2 P½
800 MHz to 2.5 GHz
d = 2.3 P½
0.1 0.38 0.38 0.73
11.2 1.2 2.3
10 3.8 3.8 7.3
100 12 12 23
For transmitters rated at a maximum output power not listed above, the recommended separation
distance (d) in feet can be estimated using the equation applicable to the frequency of the transmitter,
where P is the maximum output power rating of the transmitter in watts (W) according to the
transmitter manufacture.
NOTE 1: At 80 MHz and 800 MHz, the separation distance for the higher frequency range applies.
NOTE 2: These guidelines may not apply in all situations. Electromagnetic propagation is affected by
absorption and reflection from structures, objects and people.
USB Charging/Download Cable* Specifications
Part Number MT20655
Input/Output 5V DC, 1A
Type USB A to USB micro B
Length 3 feet
*
The power supply/charger can be connected to the USB charging/download cable for charging using
an AC power outlet. Misuse of the USB cable can present a strangulation risk. Isolation of system is by
unplugging charger from wall.
Power Supply/Charger Specifications
Part Number MT21255
Class II
Input AC Input 100-240 Vac, 50/60Hz, 0.2A, 0.2A rms at 100 Vac
DC Output 5V DC, 1A (5.0 Watts)

283
Dexcom G5 Mobile System User Guide
Technical Information
17.3 FCC Requirements
The transmitter and receiver covered by this user guide have been certified under FCC ID:
• G5 Mobile Transmitter: PH29715
• G5 Mobile Receiver: PH29496
Although the transmitter and receiver have been approved by the Federal Communications
Commission, there is no guarantee that they will not receive interference or that any particular
transmission from either device will be free from interference.
Compliance Statement (Part 15.19)
This device complies with Part 15 of the FCC Rules.
Operation is subject to the following two conditions:
1. This device may not cause harmful interference, and
2. This device must accept any interference received, including interference that may cause
undesired operation.
Warning (Part 15.21)
Changes or modifications not expressly approved by the party responsible for compliance could void
the user’s authority to operate the equipment. No modification of the equipment is allowed as it could
create an unsafe condition.
FCC Interference Statement (Part 15.105 (b))
This equipment has been tested and found to comply with the limits for a Class B digital device,
pursuant to Part 15 of the FCC Rules.
These limits are designed to provide reasonable protection against harmful interference in a residential
installation. This equipment generates, uses, and can radiate radio frequency energy and, if not
installed and used in accordance with the instructions, may cause harmful interference to radio
communications. However, there is no guarantee that interference will not occur in a particular
installation. If this equipment does cause harmful interference to radio or television reception, which
can be determined by turning the equipment off and on, the user is encouraged to try to correct the
interference by one of the following measures:
1. Reorient or relocate the receiving antenna.
2. Increase the separation between the equipment and receiver.
3. Connect the equipment into an outlet on a circuit different from that to which the receiver
is connected.
4. Consult the dealer or an experienced radio/TV technician for help.
This portable transmitter with its antenna complies with FCC/IC RF exposure limits for general
population/uncontrolled exposure.

Dexcom G5 Mobile System User Guide
284Technical Information
Page intentionally left blank

285
Dexcom G5 Mobile System User Guide
Troubleshooting
18.1 Introduction
Sensor pod not sticking? Prompt won’t go away? Not getting your sensor glucose readings?
Don’t know when to replace your transmitter? This chapter will help you figure it out!
Troubleshooting sections are categorized by function or system component. The solutions
here are meant to be brief and not all inclusive, some have audible prompts, and others
don’t. When more detailed answers or preventative measures are in a chapter, you’ll get a
brief explanation here, and then get directed to the applicable chapter and section.
After looking at the troubleshooting chapter, are you still not sure what to do? Or maybe your
problem is hardware (e.g., receiver or transmitter failure).
If your problem is not found here, follow the steps listed on your app screen, or call
Technical Support.
Please call the Dexcom Technical Support Team, 24/7, toll free at 1.877.339.2664 or toll at
1.858.200.0200 if any of these errors continue and the instructions don’t resolve the issue.
18.2 Safety Statements
Following are the Safety Statements for the Troubleshooting chapter.
WARNING
Do:
Calibrate at least once every 12 hours.
Why: Calibrating less often than every 12 hours might cause inaccurate sensor
glucose readings.
Consequences: Missing severe low (hypoglycemia) or high (hyperglycemia) Alarm
or Alerts.
Chapter 18
Everything Else G5:
Troubleshooting

Dexcom G5 Mobile System User Guide
286Troubleshooting
PRECAUTION
Do:
Enter the exact BG value displayed on your BG meter within five minutes of a carefully
performed fingerstick measurement.
Why: Entering the wrong blood glucose values, or waiting more than five minutes before
entry, might affect sensor accuracy.
Consequences: You may miss a severe low or high glucose events.
PRECAUTION
Don’t:
Never prevent communication between transmitter and display devices.
Do:
Keep smart device and receiver within 20 feet of transmitter and away
from obstructions.
Why: If your transmitter display device(s) are more than 20 feet apart or are separated by
an obstruction, they might not communicate.
Types of obstruction differ and not all types have been tested. Obstructions can include
water, walls, metal, etc.
Water (e.g., swimming, surfing, bathing, etc.) can severely limit communication range.
Consequences: Missing severe low or high Alarm or Alerts.

287
Dexcom G5 Mobile System User Guide
Troubleshooting
18.3 Troubleshooting
No Alarm/Alerts
Device What you see Problem What you do
Smart Device:
In App
Not receiving
Alerts
See Chapter 11.
Check
Alarm/Alerts
,
sound and/or vibrations
for notifications are on.
Check your smart
device is not on mute (if
applicable).
Receiver
(Continued on next page)

Dexcom G5 Mobile System User Guide
288Troubleshooting
Sensor Glucose Readings
Device What you see Problem What you do
BG Meter
Sensor readings
and BG meter
glucose values
often don’t show
the same
See Chapter 7.
Differences are not
uncommon.
Readings from different
body fluids reflect
different numbers:
Meter - from blood
Sensor - from
interstitial fluid
20/20 Rule
If the meter shows 80
or less, CGM should
read within ± 20 points.
If the meter shows
80 or above, the CGM
should read ± 20%.
Example: a 202 mg/dL
sensor reading and a
188 mg/dL glucose
meter value = a 7%
difference (this is still
considered accurate).
Outside of 20/20 rule:
Calibrate again.
Smart Device:
In App
Receiver
(Continued on next page)

289
Dexcom G5 Mobile System User Guide
Troubleshooting
(Continued from previous page)
Device What you see Problem What you do
Smart Device:
In App
Not getting
sensor glucose
readings
See Chapter 9.
Don’t
calibrate.
Wait for more prompts.
System may correct
problem itself and
continue to provide
sensor glucose
readings.
3 hours since last
sensor reading: call
Technical Support (see
Section 16.1).
Receiver
Smart Device:
In App
Not getting
sensor glucose
readings
See Chapter 9.
Wait
System will often
resolve itself.
If this continues for an
extended period of time,
call Technical Support
to report error (see
Section 16.1).
Receiver
(Continued on next page)

Dexcom G5 Mobile System User Guide
290Troubleshooting
(Continued from previous page)
Device What you see Problem What you do
Smart Device:
In App
System display
device and
transmitter not
communicating
See Chapter 9.
Don’t
calibrate.
Wait 10 minutes.
Move
display
device
and
transmitter
within
20 feet of each other
without obstruction.
Wait another 10
minutes.
App (if not resolved):
1. Go to
Settings
.
2. Tap
Bluetooth
.
3. Turn
Bluetooth
Off
and
On
.
Receiver
Smart Device:
In App
No sensor
glucose readings
See Chapter 7.
Wait up to 2 hours.
System is counting
down to when you do
your initial calibration.
Receiver

291
Dexcom G5 Mobile System User Guide
Troubleshooting
Applicator
Picture Problem What you do
Safety lock
stuck
See Chapter 6.
Pull
safety
lock
straight out:
• Away from your body
• Follow direction of safety lock
Up
Arrow
Collar won’t pull
up
See Chapter 6.
Use force when pulling the collar up.
Check
white
plunger
is completely
down—flush to the applicator barrel.
Can’t remove
transmitter latch
See Chapter 6.
Don’t pull it straight off.
Hold
sensor
pod
with one hand.
Twist
transmitter
latch
with other hand to
break transmitter latch off.
Sensor pod
won’t stick
See Chapter 6.
Put medical tape over sensor pod’s white
adhesive patch (e.g., Blenderm).
Don’t place tape over the transmitter.

Dexcom G5 Mobile System User Guide
292Troubleshooting
Hardware Error
Device What you see Problem What you do
Receiver Won’t turn on:
Battery dead
See Chapter 4.
Charge
receiver
using
electrical outlet, not
computer/laptop.
Full charge may take up to
five hours.
Receiver
After full charge
session:
Won’t turn on
See Chapter 4.
Reset
receiver
.
Connect
receiver
to
charger
.
Insert end of paper clip
into small circular hole on
receiver’s back.
Push down on paper clip.
Receiver will vibrate.
Processing screen appears.
Charge
receiver
.
Receiver Receiver Low
Battery
See Chapter 4.
Charge
receiver
.
(Continued on next page)

293
Dexcom G5 Mobile System User Guide
Troubleshooting
(Continued from previous page)
Device What you see Problem What you do
Receiver Corrupted
database
See Chapter 16.
Write down error code.
Contact Dexcom Technical
Support (see Section 16.1).
Check BG value using BG
meter.
Prompt: Vibrates one time
for four seconds and four
beeps.
Receiver System
Recovery
See Chapter 16.
Do nothing.
Receiver is able to continue
to work and recover from an
error.
App: Tap
OK
to clear Alert.
Receiver: Press
Select
to
clear Alert.
Smart
Device:
In App
No
Bluetooth
See Chapter 5.
Go to smart device’s
Settings
.
Make sure
Bluetooth
is On.
If problem persists,
please contact device’s
manufacturer.

Dexcom G5 Mobile System User Guide
294Troubleshooting
Calibration Error
Device What you see Problem What you do
BG Meter
System will
not accept
calibration if
outside of the
40-400 mg/dL
range
See Chapter 7.
Wait until your glucose is
between 40-400 mg/dL.
Calibrate only when your BG
meter values are between
40-400 mg/dL.
Smart
Device:
In App System didn’t
accept recent
calibration (see
Sensor Glucose
Readings
troubleshooting
for a possible
reason)
No sensor
glucose readings
will be displayed
until error is
resolved
See Chapter 7.
Wait 15 minutes.
Enter 1 calibration.
If error screen still appears
enter 1 more BG meter
value.
Wait 15 minutes.
If no sensor glucose readings
appear on the display, the
sensor needs to be replaced.
Call Technical Support to
report error (see Section
16.1).
App:
Follow same instructions.
Tap
question mark
to get
more information.
Receiver
(Continued on next page)

295
Dexcom G5 Mobile System User Guide
Troubleshooting
(Continued from previous page)
Device What you see Problem What you do
Smart
Device:
In App
System didn’t
accept recent
calibration
See Chapter 7.
Wait 15 minutes.
Enter 1 BG meter value.
Wait 15 more minutes.
If error screen still appears
enter 1 more BG meter
value.
Wait 15 minutes.
If no sensor glucose readings
appear on the display, the
sensor needs to be replaced.
Call Technical Support (see
Section 16.1) to report error.
Receiver

Dexcom G5 Mobile System User Guide
296Troubleshooting
Transmitter Error:
Device What you see Problem What you do
Smart
Device:
In App Transmitter not
working
Sensor session
automatically
stopped
No sensor
glucose readings
displayed
See Chapter 16.
Contact Technical Support
to report issue (Section 16.1).
Start checking BG value
using BG meter.
App:
Tap
OK
to clear Alert.
Receiver:
Press
Select
to clear.
Will not re-alert once
cleared.
Order new transmitter.
Receiver
Smart
Device:
In App
Pairing Failed
See Chapter 6.
Check Transmitter SN in
display device is correct.
If wrong:
Stop
sensor
session
.
Re-Enter correct transmitter
SN.
App:
Menu > Trans SN > Enter
correct SN
Receiver:
Settings > Trans SN > Enter
correct SN
If correct:
Call Tech Support (see
Chapter 16).
Receiver
(Continued on next page)

297
Dexcom G5 Mobile System User Guide
Troubleshooting
(Continued from previous page)
Device What you see Problem What you do
Smart
Device:
In App
Transmitter Low
Battery
See Chapter 16.
App:
Tap
OK
to clear
Receiver:
Press
Select
to clear.
Will not re-alert once
cleared.
Order new transmitter.
Receiver

Dexcom G5 Mobile System User Guide
298Troubleshooting
Page intentionally left blank

299
Dexcom G5 Mobile System User Guide
Symbols on Package Labels
The following symbols may be found on the sensor, transmitter, and receiver package labels.
These symbols tell you about the proper and safe use of the Dexcom G5 Mobile System.
Some of these symbols may not have meaning in your region, and are listed for informational
purposes only. This table shows what each symbol means.
Use By Date Batch/Lot Number
Caution REF Part/Catalog Number
Date of Manufacture
STERILE R
Sterile by Radiation
Do Not Reuse Temperature Limitation
SN
Serial Number
IP28: Protection Against
Insertion of Large Objects and
Immersion in Water
Class II Equipment
IP22: Protection Against
Insertion of Large Objects and
Dripping Water
Alternating Current Direct Current
(Continued on next page)
Chapter 19
Everything Else G5:
Symbols on Package Labels

Dexcom G5 Mobile System User Guide
300Symbols on Package Labels
(Continued from previous page)
Type BF Applied Part EC REP Authorized Representative in
the European Community
Manufacturer Non-Ionizing Radiation
Humidity Limitation
Marking Certifies Device Meets
European Council Directive
93/42/EEC
European Union WEEE
Directive 2012/19/EU
Do Not Use if Package is
Damaged
Electrical Equipment Designed
Primarily for Indoor Use Ship By Date
Input Prescription Required
Keep Dry MR Unsafe
Refer to Instruction
Manual/Booklet
Bluetooth

• Dexcom Share
SHARING IS CARING
Page intentionally left blank

303
Dexcom G5 Mobile System User Guide
Sharing Is Caring
20.1 Learning About Dexcom Share
Glossary
Airplane Mode A setting on a smart device where wireless features are disabled
in order to comply with airline regulations.
Application or App A software program, such as the Dexcom G5 Mobile App and the
Dexcom Follow App, designed to run on a smart device.
App Store Internet store for downloading applications to a smart device.
Blood Glucose
Meter
A device used to measure how much glucose is in the blood.
BG Value The measurement of glucose in the blood.
Bluetooth Bluetooth
wireless technology allows devices to wirelessly
communicate with each other.
Default A manufacturer’s preset option for a device setting.
Delay Amount of set time that passes before a notification is sent to a
Follower.
Dexcom Share
Cloud
A secure online storage server where Dexcom Share feature
information is stored and then shared with Followers.
Dexcom Follow App Gets the Sharer’s glucose information and prompt data from the
Dexcom Share Cloud.
Dexcom G5
Mobile/G4
PLATINUM Sensor
The Dexcom G5 Mobile System part that includes an applicator
and sensor wire.
(Continued on next page)
Chapter 20
Sharing Is Caring:
Dexcom Share

Dexcom G5 Mobile System User Guide
304Sharing Is Caring
(Continued from previous page)
Dexcom G5 Mobile
System
CGM system made of a sensor, transmitter, and smart device/
receiver.
Dexcom G5 Mobile
Transmitter
The Dexcom G5 Mobile System part that wirelessly sends glucose
information to the Dexcom G5 Mobile App.
Dexcom G5 Mobile
App
Receives glucose information from the Dexcom G5 Mobile
Transmitter. Sends glucose information to the Dexcom Cloud
using an Internet connection.
Dexcom Share Secondary notification using the following parts:
• Dexcom G5 Mobile System
•
Bluetooth
wireless technology
• Sharer’s smart device
• Dexcom G5 Mobile App
• Internet
• Follower’s smart device
• Dexcom Follow App
Do Not Disturb A setting on a smart device where all incoming calls, alerts, and
notifications are silenced.
Do Not Disturb can be set to specific times and can be set to
allow exceptions (people who can disturb you).
Follower A person that gets the Sharer’s shared information in the Dexcom
Follow App.
Follow Dashboard™On the Dexcom Follow App, the Follow Dashboard shows the
glucose information of up to five (5) Sharers.
Follower’s Smart
Device
Runs the Dexcom Follow App.
Hyperglycemia High BG. Same as “high.”
The default high alert in the Dexcom G5 Mobile CGM System is
set to 200 mg/dL.
Consult your healthcare professional to determine the appropriate
hyperglycemic setting for you.
(Continued on next page)

305
Dexcom G5 Mobile System User Guide
Sharing Is Caring
(Continued from previous page)
Hypoglycemia Low BG. Same as “low.”
The default low alert the Dexcom G5 Mobile CGM System is set to
80 mg/dL.
Consult your healthcare professional to determine the appropriate
hypoglycemic setting for you.
Invite/Follow
Invitation Email
An email request for a person to download the Dexcom Follow
App and get the Sharer’s shared information.
Jailbroken The removal of limitations set by the manufacturer on a smart
device.
Do not use jailbroken smart devices with Dexcom Share.
mg/dL Milligrams per deciliter. The standard unit of measure for sensor
glucose information in the United States.
Mobile Data
Connections
Cellular networks, such as 3G, 4G and LTE™, used by a smart
device to access the Internet.
No More Data
prompt
Prompts the Follower when the Sharer is unable to share glucose
information.
Not Sharing When the Sharer chooses to temporarily not share glucose data
with the Follower.
Obstruction An object that stops the wireless communication between
devices, such as wall thickness or radio waves.
Profile Located in Follow Dashboard and displays the Sharer’s glucose
information, trend arrow and profile picture.
Prompt A visual message that appears on the screen of the Follower’s
smart device. Prompt may also include a sound, depending on the
smart device’s settings.
Range Maximum distance two devices can communicate wirelessly
without obstruction.
(Continued on next page)

Dexcom G5 Mobile System User Guide
306Sharing Is Caring
(Continued from previous page)
Real-Time CGM Data the Sharer receives on the Dexcom G5 Mobile App.
Although your Dexcom Follow App might be similar to what you
see on your app, it cannot be considered real-time because there
are layers of communication between the Dexcom G5 Mobile App
and the Dexcom Follow App.
Repeat Amount of time the Follower chooses before they wish to receive
a repeated notification.
Sensor Glucose
Reading
A glucose measurement taken by the Dexcom G5 Mobile System.
Sharer The person who uses the Dexcom G5 Mobile System.
Sharing The act of electronically transmitting glucose information from the
Sharer’s smart device to the Follower’s smart device.
Simultaneous Voice
and Data
The ability to make a phone call and access the Internet on the
same cellular connection at the same time.
Smart Device A smart device is a cordless electronic device (unless charging),
mobile (easily transportable), connected (via Wi-Fi, 3G, 4G, etc.)
that can operate the Dexcom G5 Mobile App or the Dexcom
Follow App.
Examples of smart devices are smartphones or tablets.
For a list of compatible smart devices, see
dexcom.com/compatibility.
Standard Home
Glucose Monitoring
Self-monitoring of BG using blood taken from the finger and a BG
meter.
Trend Arrow The arrow next to the Sharer’s glucose value, located on the
Sharer’s profile on the Dexcom Follow App.
This is the same trend arrow that is found on the Dexcom G5
Mobile Receiver.
Trend Graph Displays the pattern of the Sharer’s glucose information.
(Continued on next page)

307
Dexcom G5 Mobile System User Guide
Sharing Is Caring
(Continued from previous page)
Wi-Fi or Wireless
Internet
A wireless technology that allows electronic devices access to the
Internet. These networks can include your home Internet or one
found at a public location.
20.2 Dexcom Share Overview
Dexcom Share is a feature within the Dexcom G5 Mobile App. It allows for remote monitoring
from one person, the Sharer, of Dexcom G5 Mobile CGM data to another person, the Follower.
Dexcom Share includes:
• Dexcom G5 Mobile CGM System
• Sharer’s smart device
• Dexcom G5 Mobile App
• Internet connection
• Follower’s smart device
• Dexcom Follow App
You cannot use the Share feature with Dexcom G5 Mobile Receiver.
Once the Sharer activates the Share feature in their Dexcom G5 Mobile App, the smart device
transfers sensor glucose readings to the Dexcom Share Cloud using either Wi-Fi or a cellular
data plan. Then, the sensor glucose readings are sent from the Dexcom Share Cloud to the
Follower’s smart device using Wi-Fi or the Follower’s cellular data plan.
Figure 10. Sharing
The Sharer must be within 20 feet of their smart device in order to send data to their
Follower or it will not work.

Dexcom G5 Mobile System User Guide
308Sharing Is Caring
Dexcom Share Parts
Sharer’s smart device*1
Follower’s smart device*1
Dexcom G5 Mobile App
Dexcom Follow App
Dexcom G5 Mobile Transmitter*
Dexcom G5 Mobile/G4 PLATINUM Sensor*
Internet/Wi-Fi or mobile data service/3G/4G/LTE*
Bluetooth
*
Must be purchased separately.
1
A list of compatible devices can be found at dexcom.com/compatibility.

309
Dexcom G5 Mobile System User Guide
Sharing Is Caring
Conditions Affecting Use
Once sharing is active, make sure the Share’s and Follower’s smart device settings are
not altered.
Make sure the Sharer’s and Follower’s smart devices have:
• Enough battery power to maintain sharing
• Sharer’s smart device has Internet connection
• Notifications turned on. If turned off, Follower won’t receive any notifications
• Follower’s smart device has an Internet connection
Dexcom recommends charging the smart device when sharing.
20.3 Risks and Benefits
Risks
Dexcom Share is a feature of the Dexcom G5 Mobile Continuous Glucose Monitoring
(CGM) System. The main risks involved with using the feature Dexcom Share are based on
misunderstanding its purpose.
Remember that the Dexcom Share in the Dexcom G5 Mobile CGM System is a secondary
notification feature, not a real-time remote monitoring system.
With using the Dexcom Share feature, there are 3 distinct parts of glucose monitoring:
1. Blood glucose meter - use this to make any treatment decisions.
2. Dexcom G5 Mobile CGM System - use the Dexcom G5 Mobile CGM System to
complement, but not replace, information obtained from the blood glucose meter. It
detects glucose trends and tracks glucose patterns.
3. Dexcom Share - this is an optional add-on to the Dexcom G5 Mobile CGM System that
can share glucose information and notifications with up to five (5) other people. Shared
sensor glucose readings and information can add another level of awareness.
Using the wrong glucose information for treatment decisions could lead to low or high
glucose. Blood glucose values from a blood glucose meter may differ from the information
displayed on Dexcom Follow App. All treatment decisions should be made using a blood
glucose value from your meter, not the glucose information displayed on the Dexcom
Follow App.
Followers who are concerned by notifications on the Dexcom Follow App should contact
the patients and remind them to check their blood glucose with a blood glucose meter

Dexcom G5 Mobile System User Guide
310Sharing Is Caring
before driving a car or making any treatment decisions, such as taking insulin or eating
fast-acting carbohydrates.
Sharers should not rely on Followers to notify them about low or high glucose.
Any problems with smart device(s),
Bluetooth
, wireless Internet connection, mobile data
connection, Dexcom Share Cloud or not being in the communication range could cause data
to not be shared with the Follower. In addition, if the Delay setting is too long, the Follower
might not be aware of glucose level changes in a reasonable time. Therefore, the Dexcom
Share feature should be used only to give a secondary level of awareness and should not be
expected to always communicate and transfer sensor glucose readings and information.
Benefits
Patients usually respond when their continuous glucose monitoring (CGM) systems
alert them.
However, experts advise that an additional CGM alert to another person may be helpful
in increasing the detection of low glucose or high glucose values, especially at night. The
Dexcom Share feature enables this additional awareness, even when the Sharer and Follower
are not in the same place.
The Dexcom Share feature may provide improved quality of life and greater peace of
mind to patients, their caregivers and their support team by allowing the Dexcom G5
Mobile Continuous Glucose Monitoring System Alerts, Alarms and trend graphs to be
checked remotely.
20.4 Safety Statement
Intended Use
The purpose of Dexcom Share Direct Secondary Displays is to notify another person, the
Follower, of the patient’s Dexcom Continuous Glucose Monitoring (CGM) System sensor
glucose information.
The Secondary Displays is intended for providing secondary notification of a continuous
glucose monitoring system and does not replace real time continuous glucose monitoring
(Dexcom G5 Mobile System) or standard home blood glucose monitoring. The Dexcom
Share Direct Secondary Displays is not intended to modify or analyze data received from the
continuous glucose monitor system. Nor is it intended to instruct, or to transmit information
to the continuous glucose monitor system.

311
Dexcom G5 Mobile System User Guide
Sharing Is Caring
The Dexcom Share Direct Secondary Displays is not intended to serve as a replacement for
a primary display device for a continuous glucose monitoring system. The Dexcom Share
Direct Secondary Displays is not intended to receive information directly from the sensor or
transmitter of a continuous glucose monitoring system.
Important User Information
Please review the indications, contraindications, warnings, precautions, cautions and other
important information in the Dexcom G5 Mobile System User Guide. Dexcom Share is a
feature of the Dexcom G5 Mobile System.
If you do not have the Dexcom G5 Mobile System User Guide, you can view it on dexcom.com
or call 1.877.339.2664 to request a copy. Availability hours: Monday-Friday, 6am-6pm PST.
Please contact your healthcare professional during hours the line is unavailable.
Contraindications
Do not bring the smart device (e.g., mobile phone, tablet computer) into a room containing
medical equipment such as Magnetic Resonance Imaging (MRI), Computed Tomography (CT),
or diathermy.
These smart devices have not been tested with this equipment. Exposure to these types
of equipment could heat and damage the smart devices so that they are unable to send or
receive glucose information.
Warnings
Dosing decisions should not be made based on this device. The user should follow
instructions on the continuous glucose monitoring system.
This device is not intended to replace self-monitoring practices advised by a physician.
Dexcom Share does not work alone. Dexcom Share does not replace the Dexcom G5 Mobile
System and requires Share to be turned “On” to communicate glucose information to
the Follower.
You cannot use Dexcom Share to make treatment decisions, such as how much insulin to
take. Dexcom Share does not replace a blood glucose meter. Always use the values from a
blood glucose meter for treatment decisions.
Blood glucose values may differ from the sensor glucose information. Using the sensor
glucose information for treatment decisions could lead to low or high blood glucose values.

Dexcom G5 Mobile System User Guide
312Sharing Is Caring
Precautions
Do not use Dexcom Share as the main source of CGM glucose trend information. Use
the Dexcom G5 Mobile Receiver as the main device to track sensor glucose information,
notifications and alarms.
At times, the patient will be unable to share data using Dexcom Share, and the Follower
might miss helping the patient in the event of low or high blood glucose values. Do not rely
solely on the Follower to alert the patient of low or high glucose events or other important
information. At times, the Follower may not receive data, and the patient will not be notified
of this fact.
When using Dexcom Share, make sure Share is turned “On.” If not, the patient will be unable
to share data, and the Follower might miss helping the patient in the event of low or high
blood glucose values. If the patient’s smart device does not have a connection or loses the
connection, the patient will be unable to share data, and the Follower might miss helping the
patient in the event of low or high blood glucose values.
Do not use Dexcom Share unless both the patient’s and Follower’s smart devices have active
Internet connections in order to share data. If either the patient or the Follower does not
have a connection, loses their connection, turns off the connection (“Airplane Mode”) or if
the smart device is in Do Not Disturb mode, the patient will be unable to share data and the
Follower might miss helping the patient in the event of low or high blood glucose values. To
check this, make sure that the Follower’s smart device can receive text messages. Follow
notifications and text messages work by a similar process.
Make sure the patient’s and Follower’s smart devices have charged batteries or are
connected to electrical outlets. If the smart device shuts down due to low battery, the patient
will be unable to share data, and the Follower might miss helping the patient in the event of
low or high blood glucose values.
If the patient’s smart device is powered off or restarted, make sure the Dexcom G5 Mobile
App is reopened after the smart device is turned back on in order to resume sharing. If the
G5 Mobile App is not reopened, the patient will be unable to share data, and the Follower
might miss helping the patient in the event of low or high blood glucose values.
Do not turn off sounds in the Follower’s smart device at any time that he or she wants Follow
notifications to be heard. The smart device settings override the Dexcom Follow App, and all
notifications will be silent even if the Follower has selected a Dexcom Follow App notification
sound. If the smart device has a vibrate feature and vibrate is On, the Dexcom Follow App
notifications will only vibrate.

313
Dexcom G5 Mobile System User Guide
Sharing Is Caring
Check the delay settings on the patient’s smart device to make sure they are not too long.
The Follower will not receive notifications until after the time period in the delay has passed,
and the Follower might miss helping the patient in the event of low or high blood glucose
values if the delay is too long.
The patient should not choose to “Not Share” with the Follower at any time when he or she
wants the Follower to get notifications. During the time the patient chooses to “Not Share,”
the Follower will not receive notifications and might miss helping the patient in the event of
low or high blood glucose values.
Check the Dexcom Follow App’s trend graph if the Follower’s smart device has been off or
if there is no data connection (e.g., Internet/Wi-Fi or mobile data service/3G/4G/LTE is lost,
connection is turned off in Airplane Mode, or smart device touch is placed in Do Not Disturb
mode). When the smart device is turned back on, the Follower will only receive the most
recent notification and might miss helping the patient in the event of prior low or high blood
glucose values.
Sharers and Followers should check whether their cellular service carriers support voice
and data at the same time (simultaneous voice and data). If their carriers do not support
simultaneous voice and data, the Dexcom G5 Mobile App may not be able to share glucose
readings and the Dexcom Follow App may not be able to receive notifications or glucose
readings during phone calls. Dexcom Share will resume sharing after the phone call has
ended, and the Follower will receive any waiting notifications after the phone call has ended.
20.5 Setting up Dexcom Share
Dexcom Share Description
What Dexcom Share does:
• Connects your smart device with your Follower’s smart device via either a Wi-Fi or
mobile data connection (connect to Wi-Fi through a secured network to maintain
data security)
• Invites and sends Followers your setting recommendations
• Displays the status of your smart device, and the Dexcom Share Cloud
○Confirms your sensor glucose readings are being shared with your Follower(s)
What Dexcom Share does not do:
• Let you know when the Follower is not receiving your sensor glucose readings
and information

Dexcom G5 Mobile System User Guide
314Sharing Is Caring
Tips
• Read the rest of the Dexcom G5 Mobile CGM System User Guide before using
Dexcom Share
• Always confirm information with a BG meter before making treatment decisions
• Check the status screen after turning Dexcom Share “On” on the smart device to make
sure it is working
Installing the Dexcom G5 Mobile App
Step What you see What you do
1
Download the Dexcom G5 Mobile App from your app
store.
See your smart device’s user manual for
instructions.
Download the Dexcom G5 Mobile App to use
Dexcom Share.
2
Launch the Dexcom G5 Mobile App.
Setup your smart device (see the Dexcom G5 Mobile
User Guide) before sharing.
Once your App has set up, activate Dexcom Share.
A series of screens walk you through Dexcom Share’s features highlighting
important information.

315
Dexcom G5 Mobile System User Guide
Sharing Is Caring
Activating Your Share Feature
Step What you see What it means What you do
1
Activates Dexcom Share.
If Dexcom Share icon is
gray, your Share feature
has not been turned on.
Tap
Dexcom Share icon
in the upper right corner
of your smart device’s
home screen.
2Dexcom Share Welcome
Screen.
Read screen.
Tap
Next
when done.
(Continued on next page)

Dexcom G5 Mobile System User Guide
316Sharing Is Caring
(Continued from previous page)
Step What you see What it means What you do
3Message about Internet
access. Tap
Next
.
4How to know you are
sharing your data. Tap
Next
.
(Continued on next page)

317
Dexcom G5 Mobile System User Guide
Sharing Is Caring
(Continued from previous page)
Step What you see What it means What you do
5
How to know your
Follower is not getting
your sensor data.
Tap
Let’s Get Started
to
move on and invite your
Followers.

Dexcom G5 Mobile System User Guide
318Sharing Is Caring
Inviting Followers
Step What you see What you do
1Tap
Invite
Followers
to set up your Followers.
(Continued on next page)

319
Dexcom G5 Mobile System User Guide
Sharing Is Caring
(Continued from previous page)
Step What you see What you do
2
Enter the Follower’s nickname and email address.
Confirm Follower’s email address.
The Follower will get a Follow Invitation email.
Make sure the Follower can access this email
account from their smart device.
Tap
Next
.
(Continued on next page)

Dexcom G5 Mobile System User Guide
320Sharing Is Caring
(Continued from previous page)
Step What you see What you do
3
Tap
Allow Trend Graph View’s On/Off
switch
if you
want Follower to see your trend graph.
Tap
Next
.
Turned Off: Follower sees only your sensor glucose
reading and trend arrow.
Turned On: Follower sees your sensor glucose
reading, trend arrow and trend graph.
(Continued on next page)

321
Dexcom G5 Mobile System User Guide
Sharing Is Caring
(Continued from previous page)
Step What you see What you do
4
Choose if your Follower gets your urgent low, low
and high sensor glucose Alarm/Alerts.
Choose if you want your Follower to get prompts if
they are not receiving your sensor glucose readings.
Select what Alarms/Alerts your follower gets and
how long you are low/high or not sharing data (for
example, if you want your Follower to know when
your glucose is above 200 mg/dL for more than
2 hours, you can set up in the Follower Settings
Menu).
Tap
Save
for each Follower Setting “Save.”
Tap
Next
when done.
(Continued on next page)

Dexcom G5 Mobile System User Guide
322Sharing Is Caring
(Continued from previous page)
Step What you see What you do
5
Before Follower invitation is sent, review the
Summary screen.
Tap
Send
Invitation
.
After sending invitation, you cannot adjust the
Follower’s settings.
6
To add more Followers:
Tap
Followers
tab on the Share Status screen.
Invite up to a total of five (5) Followers.

323
Dexcom G5 Mobile System User Guide
Sharing Is Caring
20.6 Using Dexcom Share
Dexcom Share Status
You can look at the Dexcom Share icon on your home screen to see if Dexcom Share is
working. After turning Dexcom Share on, check its status.
Figure 11. Dexcom G5 Mobile App Home Screen
Dexcom Share Status Icons
Status Tab What it is
The Share icon is in color when Dexcom Share is sending
sensor glucose readings and information.
1
The Share icon is gray with a red circle when Dexcom Share is
not working.
The sharer should tap on the grayed out Share icon when it is
not working to get further information about the error.
(Continued on next page)
Share icon

Dexcom G5 Mobile System User Guide
324Sharing Is Caring
(Continued from previous page)
Status Tab What it is
The Share icon is light gray when Dexcom Share has not been
activated.
The sharer should tap the light gray icon to get started using
Dexcom Share.
When a device or connection is not working, Dexcom Share will not work. The Sharer will not
be able to send their sensor glucose readings and data to their Follower.
Troubleshooting Status Issues
Dexcom Share’s status bar is a useful tool. It can help identify if there is a problem and
Dexcom Share is not working. The following table provides troubleshooting tips for the Share
status bar.
Figure 12. Dexcom Share Screen
NOTE: Whether or not Dexcom Share is working and the Followers are receiving glucose
Alarm/Alerts, you must always refer to your Dexcom G5 Mobile display device for your sensor
glucose readings and alerts.
All treatment decisions must be based on your BG value from your BG meter.
On/Off Switch -
Turns sharing on
or off
Sharing Status
Bar - Status of
sharing your
sensor glucose
readings with your
Followers
Follower List - Add
Followers and lists
status of Followers.

325
Dexcom G5 Mobile System User Guide
Sharing Is Caring
What you see What it means What you do
Green Check:
All connections are working N/A.
Issue with:
• Sharer’s CGM data
• Your smart device
The Sharer should make
sure:
• There is a glucose value
on the smart device
• Transmitter is in range
of the smart device
• Tap on blue “?” to learn
more about how to
troubleshoot this issue
• The Sharer should allow
up to 10 minutes for
their status to turn green
and a green check mark
to appear
If the Sharer continues to see
this, the Sharer should turn
off Share and then turn it
back on.
(Continued on next page)

Dexcom G5 Mobile System User Guide
326Sharing Is Caring
(Continued from previous page)
What you see What it means What you do
Issue with:
• Sharer’s Internet
connection
• Dexcom Share Cloud
The Sharer should make
sure:
• Their Wi-Fi or cellular
connection is ON
• They are in an area that
has cellular reception
• They are not on a voice
call
• They can access the
web via a browser
• Check later or follow
up with their Internet
connectivity provider
• Tap on blue “
?
” to learn
more about how to
troubleshoot this issue
Follower List
The Followers list allows the Sharer to manage their Followers.
In the Follower list you can:
• Invite a new Follower
• See the status of Followers you have invited
• Glance at what options your current Followers have
Icon/Status
What you see What it means
Invite a new Follower.
(Continued on next page)

327
Dexcom G5 Mobile System User Guide
Sharing Is Caring
(Continued from previous page)
What you see What it means
Follower is set to get prompts from their Sharer.
Follower is able to view their Sharer’s trend graph.
Follower did not accept their Sharer’s Follow Invitation email
within 7 days.
The Sharer can invite their Follower again by pressing on the
+ icon in the top right corner of the screen.
Follower has been sent a Follow Invitation email but has not
accepted it yet.
Sharer stopped sharing with Follower.
Follower will not get any of the Sharer’s glucose information,
Alarm/Alerts, or trend graph updates.
Editing/Removing Followers
Tap on a Follower to edit the Follower’s profile (nickname or ability to view trend graph) or
remove a follower. Remove a follower by tapping “Remove Follower.” Once removed, they
won’t get glucose information or Alarm/Alerts.
NOTE: The Sharer cannot change any Follower settings after the Follow Invitation email
is sent.
Stop Sharing
The Sharer can swipe the On/Off switch to temporarily stop glucose information and
Alarm/Alerts from being sent to Followers. Sharing stops until the Sharer turns the On/Off
Switch back on.

Dexcom G5 Mobile System User Guide
328Sharing Is Caring
For reasons of safety and intended use, the Follower will get a message telling them their
Sharer’s data was set to
Not Sharing
. The Follower’s dashboard will show the Sharer has
stopped sharing glucose information.
20.7 Dexcom Follow App
Dexcom Follow App Description
The Dexcom Follow App is a separate App from the Dexcom G5 Mobile App. Your Followers
only need to download and install the Dexcom Follow App.
What the Dexcom Follow App does:
• Allows Follower to view the Sharer’s glucose information
• Allows Follower to get Alerts and Alarms
• Allows the Follower to view the Sharer’s trend graph
What the Follower app does not do:
• Provide treatment advice
• Interact with the Dexcom G5 Mobile App
Receiving Dexcom Follow Invitation Email
After getting the Sharer’s Follow invitation by email, the Follower sets up their smart device.
Glucose Alarm and Alerts
A glucose prompt is a visual message saying “Glucose notification from [Sharer’s name]”
that appears on the screen of the Follower’s smart device. The prompt may include sounds,
depending on their smart devices settings.
Types of prompts your Followers get:
• Low Sensor Glucose Reading
• Urgent Low Sensor Glucose Reading (< 55 mg/dL)
• High Sensor Glucose Reading
Your Follower can change some of the initial settings to fit their needs. The Follower cannot
change your permission settings to see your Trend Graph.
Sharer Status Changes That Notify the Follower
Some Sharer status changes will prompt your Followers.

329
Dexcom G5 Mobile System User Guide
Sharing Is Caring
• Not Sharing - Sharer decides to temporarily stop sharing
• Removed by Sharer - Sharer removes Follower
• No More Data - Prompt Sent when active glucose sharing is stopped for any reason,
other than the Sharer turning Share “Off”
○The Follower should contact the Sharer for more information about the data
interruption
The Follower Dashboard
Figure 13. Follower Dashboard
If you don’t allow your Follower to see your Trend Graph, they will only see your glucose
reading and trend arrow.

Dexcom G5 Mobile System User Guide
330Sharing Is Caring
20.8 Troubleshooting
Dexcom Share Troubleshooting
Troubleshooting Status - See the Troubleshooting Status Issues portion of Section 20.6.
Figure 14. Follower Information
If you choose to have your Follower see your Trend Graph, they see:
Figure 15. Follower Information With Trend Graph
Sharer’s glucose reading
and trend arrow
Sharer’s picture
How long ago
the Sharer’s
glucose reading
and trend arrow
were last updated
Sharer’s name Notification settings
Home icon
Time
duration
setting of
3, 6, 12 or
24 hours
Trend graph
Trend arrow
Sharer’s
glucose
reading
Glucose range
(between high
and low alerts)

331
Dexcom G5 Mobile System User Guide
Sharing Is Caring
Sharing Checklist
To share, you need to:
Make sure your smart device works with the Dexcom G5 Mobile App. To see a list of
supported smart devices and operating systems, go to: dexcom.com/compatibility
• The Dexcom G5 Mobile App is open or running in the background
• Smart device has an active Internet connection (Wi-Fi, 3G, 4G, LTE). The Sharer can
check to see if the Internet connection is working by trying to open a web page on the
Sharer’s smart device
• If on a phone call using your smart device, your CGM information may not upload into
the Share Cloud while on your call
• Airplane Mode turned off
• Do Not Disturb is turned off
• Smart device sound is on in order to hear prompts
• Smart device is sufficiently charged or charging
• Smart device is within 20 feet of the transmitter
• Smart device has 35 MB of available memory
• Refer to the smart device user manual for further instructions
Tips
• Read the Dexcom G5 Mobile CGM System User Guide before using the Dexcom
Share feature
• Always confirm information with a BG meter before you make treatment decisions
Figure 16. Sharing Status Troubleshooting

Dexcom G5 Mobile System User Guide
332Sharing Is Caring
Page intentionally left blank

333
Dexcom G5 Mobile System User Guide
Index
A
Alarm, 175
App Recommended Settings, 183
Clearing, 188
Prompts, 178
Receiver Beeps and Vibrations, 184
What is an, 176
Alarm and Alerts
Changing Receiver, 204
Customizing, 195
Alerts, 175
Clearing, 188
Default, 176
Low Repeat/High Repeat, 185
Low/High Glucose, 179,180
Main Menu, 207
Receiver
Default Beep and Vibrations, 184
Rise Rate/Fall Rate, 181, 182
Rise Rate/Fall Rate/Repeat/Signal Loss, 177
What are, 176
C
Calibration, 92
Entering into app, 101
Entering into your receiver, 104
Errors, 106
Preparing for, 100
Prompts, 96, 98, 99
What is it, 92
When to Calibrate, 95
Why is Calibrating important, 92
CGM System
Basic Maintenance, 222
Different Monitoring Methods, 50
Disposal, 228
Overview, 42
Storage, 226
E
Error Messages, 147
Event
Categories, 154
Definition, 153
Events, 153
Entering
App, 162
Receiver, 168
Viewing, 170
G
Glucose Information
Rate of Change Arrows, 146
Trend Screen, 137, 145
R
Rate of Change Arrows, 138, 146
Receiver
Home Screen, 142
Initial set up, 64
Overview, 46
S
Safety Statement
Contraindications, 19
Indications, 18
Precautions, 21, 23, 24, 25, 27
Warnings, 20, 21, 22, 24, 26
Sensor Insertion
Choosing site, 75
Sensor Session
Attaching transmitter, 80
Definition, 8
Ending, 110
Ending Early
Index

Dexcom G5 Mobile System User Guide
334Index
App, 119
Receiver, 121
Ending Seven Day, 111
Inserting sensor, 76
Prepping for Sensor Insertion, 72
Preventing Sensor Failures, 123
Receiver: Starting a Session, 84
Remove Sensor Pod and Transmitter, 124
Starting a, 69
Starting with app, 83
Sensor Session Warmup
Warmup, 90
Signal Loss Alert
Signal Loss, 183, 187, 208
Sound/Vibration Prompts, 116
System Components, 39
T
Technical Information, 237
Transmitter
Attaching, 80
Battery Messages, 127
Connecting/Pairing Transmitter with App, 58
Connecting/Pairing with Receiver, 66
End of Transmitter Battery, 127
Overview, 45
Remove from Sensor Pod, 124
Safety Statements, 24
Troubleshooting, 287
W
Warranty, 215
Notes
________________________________
________________________________
________________________________
________________________________
________________________________
________________________________
________________________________
________________________________
________________________________
________________________________
________________________________
________________________________
________________________________
________________________________
________________________________
________________________________
________________________________
________________________________
________________________________
________________________________
________________________________
________________________________

© 2016 Dexcom, Inc. All rights reserved.
Covered by patents www.dexcom.com/patents.
Dexcom, Dexcom Follow, Dexcom G4, Dexcom G4 PLATINUM, Dexcom G5, Dexcom G5 Mobile,
Dexcom Share, Follow Dashboard, and G5 are either registered trademarks or trademarks of
Dexcom, Inc. in the United States and/or other countries. All other product or company names that
may be mentioned in this publication are tradenames, trademarks or registered trademarks of their
respective owners.

LBL012787 Rev 006 MT22864
Dexcom, Inc.
6340 Sequence Drive
San Diego, CA 92121 USA
Phone: 1.858.200.0200
Tech Support: 1.877.339.2664
Web: dexcom.com