Groundwater Recharge Estimation In Southern Africa; IHP Series; Vol. 132404 132404e
User Manual: 132404
Open the PDF directly: View PDF
.
Page Count: 206 [warning: Documents this large are best viewed by clicking the View PDF Link!]
- Contents
- Preface
- Acknowledgements
- Review of Groundwater Recharge Estimation in Arid and Semi-Arid Southern Africa
- Challenges in Estimating Groundwater Recharge
- Multiple Tracer Profiling in Botswana – GRES Find
- Recharge Quantified with Radiocarbon in Three Studies of Karoo Aquifers in the Kalahari and Independent Corroboration
- Perspectives on Recharge Estimation in Dolomitic Aquifers in South Africa
- A Box Model for Estimating Recharge – The RIB Met
- Surface Water – Groundwater Interactions in the C
- Recharge and Stream Flow
- Recharge Estimation in Fractured Rock Aquifer from Rainfall - Spring Flow Comparisons: The Uitenhage Spring Case
- The Role of Interflow in Estimating Recharge in Mountainous Catchments
- Techniques for Estimating Groundwater Recharge at Different Scales in Southern Africa
- A Comparison of Recharge Estimates in a Karoo Aquifer from a Chloride Mass Balance in Groundwater and an Integrated Surface-Subsurface Model
- Changing Rainfall – Changing Recharge?
- Impact of Climate Change on Groundwater Recharge Estimation
- Groundwater Perspective on Integrated Water Resou

UNESCO IHP Series No. 64
Groundwater Recharge Estimation
in Southern Africa
Edited by
Yongxin Xu1 and Hans E. Beekman2
1 Department of Earth Sciences, University of the Western Cape, South Africa
2 Environmentek, Council for Scientific and Industrial Research, South Africa
Published by UNESCO Paris
Printed in Cape Town

This publication was compiled with contributions from:
J Bean; HE Beekman; E Braune; DB Bredenkamp; L Cavé; ASM Gieske; GO Hughes; DN Lerner; SA Lorentz; J Kirchner;
LGA Maclear; WV Pitman; K Sami; RE Schulze; ET Selaolo; GJ van Tonder; J Vegter; B Verhagen; JJ de Vries; J Weaver;
Y Wu and Y Xu.
ISBN 92-9220-000-3
For bibliographic and reference purposes, this publication should be cited as Xu, Y and Beekman, HE (Eds), 2003.
Groundwater recharge estimation in Southern Africa. UNESCO IHP Series No. 64, UNESCO Paris. ISBN 92-9220-000-3.
Copyright 2003, United Nations Educational, Scientific and Cultural Organization (UNESCO). Printed by Mills Litho,
Cape Town. Cover Photographs: Landscape near Buffels River and Springbok in Namaqualand – Irene Saayman.
This publication may be reproduced in whole or in part and in any form for educational or non-profit purposes without
special permission from the copyright holder, provided that acknowledgement of the source is made. UNESCO would
appreciate receiving a copy of any material that uses this publication as a source. No use of this publication may be made for
resale or for any other commercial purpose whatsoever without prior permission in writing from the UNESCO.
To obtain copies of this publication, please contact:
Disclaimer
This publication contains the views expressed by the authors and experts involved acting in their individual capacity and may not necessarily reflect the
views or policies of UNESCO. The designations of geographical entities in this report and the presentation of the material do not imply the expressions
of any opinion whatsoever on the part of UNESCO concerning legal status of any country, territory, city or area or its authority, or concerning the
delimitation of its frontiers or boundaries. Mention of a commercial company or product for this book does not imply endorsement by UNESCO. The
use of information from this publication concerning proprietary products for publicity or advertising purposes is not permitted. Trademark names and
symbols are used in an editorial fashion with no intention of infringement on trademark or copyright laws. We regret any errors or omissions that may
unwittingly have been made.
UNESCO International Hydrological Programme (IHP)
1 rue Miollis
75732 Paris Cedex 15
France
Tel: 33 (0) 1 4568 4004
Fax: 33 (0) 1 4568 5811
Website: http://www.unesco.org/water
Contents
PREFACE......................................................................................................................I
ACKNOWLEDGEMENTS......................................................................................II
PART I: Review and Challenges of Recharge
Estimation in Southern Africa
1. REVIEW OF GROUNDWATER RECHARGE ESTIMATION IN ARID
AND SEMI-ARID SOUTHERN AFRICA (Hans E. Beekman and Yongxin
Xu) ...........................................................................................................................3
1.1 Introduction............................................................................................................................ 3
1.1.1 Three decades of recharge studies in Southern Africa ................................................................ 4
1.1.2 Overview of results ........................................................................................................................ 5
1.2 Recharge - Definition, concepts and variability.................................................................... 6
1.2.1 Recharge – Definition and concepts............................................................................................. 6
1.2.2 Recharge - Spatial and temporal variability ................................................................................ 7
1.3 Guidelines for Recharge Estimation..................................................................................... 7
1.4 Overview of Recharge Estimation Methods......................................................................... 8
1.4.1 Classification of recharge estimation methods............................................................................. 8
1.4.2 Commonly used methods............................................................................................................... 8
1.4.3 Recharge forecasting..................................................................................................................... 9
1.5 Review of Recharge Estimation Methods.......................................................................... 10
1.5.1 Commonly used methods............................................................................................................. 10
1.5.2 Promising methods ...................................................................................................................... 11
1.6 Summary and Future Outlook ............................................................................................ 15
1.7 Acknowledgements............................................................................................................. 16
1.8 References .......................................................................................................................... 16
2. CHALLENGES IN ESTIMATING GROUNDWATER RECHARGE
(Gerrit J. van Tonder and John Bean).............................................................19
2.1 Some Commonly Identified Method Limitations ................................................................ 19
2.1.1 Unsaturated zone methods .......................................................................................................... 19
2.1.2 Saturated zone methods............................................................................................................... 20
2.2 The Balance between Recharge and Sustainability – A Namibian example.................... 23
2.3 Approach to Recharge Estimation in Some Difficult Terrains ........................................... 25
2.3.1 Episodic recharge........................................................................................................................ 25
2.3.2 Recharge in fractured rock terrains............................................................................................26
2.4 Future Challenges...............................................................................................................27
2.5 Conclusions......................................................................................................................... 27
2.6 References .......................................................................................................................... 28
PART II: Recharge Estimation Related to the
Unsaturated Zone
3. MULTIPLE TRACER PROFILING IN BOTSWANA – GRES
FINDINGS (Edson T. Selaolo, Hans E. Beekman, Ambro S.M. Gieske and
Jacob J. de Vries).................................................................................................33
3.1 Introduction.......................................................................................................................... 33
3.2 Theoretical Aspects of Multiple Tracer Profiling.................................................................34
3.2.1 Chloride Mass Balance (CMB)................................................................................................... 35
3.2.2 Isotope Displacement - 2δ (ID).................................................................................................... 35
3.2.3 Tritium (3H).................................................................................................................................. 35
3.3 Rainfall, Chloride Deposition and Meteoric Water Lines ...................................................36
3.3.1 Rainfall ......................................................................................................................................... 36
3.3.2 Chloride Deposition..................................................................................................................... 37
3.3.3 Meteoric Water Lines (MWL’s) .................................................................................................. 37
3.4 Multiple Tracer Profiling in the Unsaturated Zone.............................................................. 38
3.4.1 Nnywane-Pitsanyane (NP - average rainfall 500 mm/yr) ......................................................... 39
3.4.2 Letlhakeng-Botlhapatlou (LB - average rainfall 420 mm/yr).................................................... 40
3.4.3 Central Kalahari (CK - average rainfall <400 mm/yr)............................................................. 43
3.5 Summary and Concluding Remarks .................................................................................. 45
3.6 Acknowledgements............................................................................................................. 47
3.7 References .......................................................................................................................... 47
4. RECHARGE QUANTIFIED WITH RADIOCARBON IN THREE
STUDIES OF KAROO AQUIFERS IN THE KALAHARI AND
INDEPENDENT CORROBORATION (Balt Verhagen) ............................51
4.1 Introduction.......................................................................................................................... 51
4.2 Hydrogeology ...................................................................................................................... 53
4.3 Initial – or Recharge – Radiocarbon Value ........................................................................ 54
4.4 Jwaneng Mine Wellfield...................................................................................................... 54
4.5 Orapa Mine Wellfields......................................................................................................... 56
4.6 Palla Road Wellfields..........................................................................................................58
4.7 Discussion and Conclusions............................................................................................... 59
4.8 References .......................................................................................................................... 60
PART III: Recharge Estimation Related to the
Saturated Zone
5. PERSPECTIVES ON RECHARGE ESTIMATION IN DOLOMITIC
AQUIFERS IN SOUTH AFRICA (David B. Bredenkamp and Yongxin
Xu) .........................................................................................................................65
5.1 Introduction.......................................................................................................................... 65
5.2 Perspectives on Groundwater Recharge Estimation......................................................... 67
5.3 Methods for Recharge Estimation in Dolomitic Areas ....................................................... 68
5.3.1 Hydrochemical and isotope tracer methods............................................................................... 68
5.3.2 Physical methods ......................................................................................................................... 74
5.4 Conclusions......................................................................................................................... 78
5.5 References .......................................................................................................................... 78
6. A BOX MODEL FOR ESTIMATING RECHARGE – THE RIB
METHOD (Yongxin Xu and Hans E. Beekman)...........................................81
6.1 Introduction.......................................................................................................................... 81
6.2 Conceptual Framework....................................................................................................... 81
6.2.1 Recharge process......................................................................................................................... 81
6.2.2 Water level response.................................................................................................................... 82
6.3 Theory.................................................................................................................................. 82
6.3.1 Rainfall Infiltration Breakthrough (RIB)....................................................................................82
6.3.2 Relationship between RIB and groundwater level fluctuation .................................................. 84
6.3.3 Critical remarks........................................................................................................................... 85
6.4 Case Studies....................................................................................................................... 86
6.4.1 Closed aquifer system.................................................................................................................. 86
6.4.2 Dolomite aquifer .......................................................................................................................... 86
6.4.3 Karoo aquifer............................................................................................................................... 87
6.5 Conclusions and Recommendations .................................................................................87
6.6 References .......................................................................................................................... 88
PART IV: Role of Surface Water - Groundwater
Interaction in Recharge Estimation
7. SURFACE WATER – GROUNDWATER INTERACTIONS IN THE
CONTEXT OF GROUNDWATER RESOURCES (David N. Lerner).....91
7.1 Introduction.......................................................................................................................... 91
7.2 River Types ......................................................................................................................... 92
7.3 Runoff Mechanisms ............................................................................................................ 94
7.4 Groundwater Resources..................................................................................................... 97
7.5 Methods of Estimating Recharge from Rivers ................................................................... 98
7.5.1 Direct measurements and correlation methods.......................................................................... 98
7.5.2 Tracer techniques and Darcian approaches.............................................................................. 99
7.5.3 Water balances............................................................................................................................. 99
7.5.4 Channel water balance and flow routing ................................................................................. 100
7.5.5 Water table rise..........................................................................................................................101
7.5.6 Catchment and aquifer modelling.............................................................................................103
7.6 Estimating Groundwater Discharge from River Hydrographs.........................................103
7.6.1 Graphical separation of baseflow.............................................................................................104
7.6.2 Baseflow rating curves ..............................................................................................................104
7.6.3 Recession-curve displacement...................................................................................................104
7.7 Discussion .........................................................................................................................105
7.8 References........................................................................................................................106
8. RECHARGE AND STREAM FLOW (John R. Vegter and W.V. Pitman)
...........................................................................................................................109
8.1 Introducton.........................................................................................................................109
8.1.1 Czechoslovakian stream flow study .......................................................................................... 109
8.1.2 Stream Flow Studies in Crystalline Basement areas of Malawi and Zimbabwe....................109
8.1.3 South African streamflow studies..............................................................................................110
8.1.4 National base flow map............................................................................................................. 111
8.2 Relationships between Groundwater and Stream flow ...................................................111
8.2.1 Types of streams......................................................................................................................... 111
8.2.2 Examples of types....................................................................................................................... 112
8.3 Runoff Process and Hydrograph Analysis ...................................................................... 113
8.3.1 Components of runoff ................................................................................................................113
8.3.2 Hydrograph Analysis.................................................................................................................113
8.4 Base flow from SA Quaternary Catchments....................................................................114
8.4.1 WR90 overview ..........................................................................................................................114
8.4.2 Base flow characteristics for SA rivers..................................................................................... 115
8.5 Is Base Flow a Measure of Groundwater Recharge? .....................................................117
8.5.1 Recharge defined .......................................................................................................................117
8.5.2 Flow paths.................................................................................................................................. 117
8.5.3 Groundwater loss other than in stream....................................................................................117
8.5.4 Base flow underestimates recharge ..........................................................................................117
8.6 National Recharge Map....................................................................................................118
8.7 Recharge and Exploitation Potential ................................................................................118
8.7.1 Requirements for a groundwater supply...................................................................................118
8.7.2 The concept of exploitation potential........................................................................................119
8.7.3 Problems associated with the concept of exploitation potential..............................................119
8.7.4 Can these requirements be met? ............................................................................................... 119
8.7.5 Summary.....................................................................................................................................121
8.8 Conclusions.......................................................................................................................121
8.9 References........................................................................................................................122
9. RECHARGE ESTIMATION IN FRACTURED ROCK AQUIFER FROM
RAINFALL - SPRING FLOW COMPARISONS: THE UITENHAGE
SPRING CASE (Yongxin Xu and L.G.A. Maclear)....................................125
9.1 Introduction........................................................................................................................125
9.1.1 Historical account of the Uitenhage Spring ............................................................................ 125
9.1.2 Hydrogeologic setting of the Coega Ridge Aquifer..................................................................126
9.1.3 Aquifer characteristics............................................................................................................... 127
9.2 Groundwater Recharge Estimation..................................................................................128
9.2.1 Simple water balance................................................................................................................. 128
9.2.2 Groundwater dating................................................................................................................... 128
9.2.3 Chloride mass balance method.................................................................................................128
9.2.4 ‘Moving average’ water balance approach ............................................................................. 129
9.2.5 Ratio of cumulative flow to rainfall........................................................................................... 130
9.3 Reconstruction of Historic Spring Flow ............................................................................131
9.4 Discussion .........................................................................................................................132
9.5 Conclusions.......................................................................................................................133
9.6 References........................................................................................................................133
10. THE ROLE OF INTERFLOW IN ESTIMATING RECHARGE IN
MOUNTAINOUS CATCHMENTS (Yongxin Xu, Yong Wu and Hans E.
Beekman)............................................................................................................135
10.1 Introduction........................................................................................................................135
10.2 Physiography.....................................................................................................................136
10.3 Hydrologic Information......................................................................................................137
10.4 Conceptual Hydrogeologic Framework............................................................................ 138
10.4.1 Flow system................................................................................................................................138
10.4.2 Hydrochemistry.......................................................................................................................... 139
10.5 Water Balance of the Unsaturated Zone..........................................................................140
10.6 Quantification of Interflow..................................................................................................140
10.7 Role of interflow in estimating recharge ...........................................................................143
10.8 Conclusions and Recommendations ...............................................................................143
10.9 Acknowledgements...........................................................................................................144
10.10 References........................................................................................................................145
PART V: Integrated Approaches to Recharge
Estimation
11. TECHNIQUES FOR ESTIMATING GROUNDWATER RECHARGE
AT DIFFERENT SCALES IN SOUTHERN AFRICA (Simon A. Lorentz,
G.O. Hughes and Roland E. Schulze) ............................................................149
11.1 Introduction........................................................................................................................149
11.2 Local Scale........................................................................................................................149
11.3 Hillslope Scale...................................................................................................................151
11.4 Catchment Scale...............................................................................................................153
11.5 Regional Scale ..................................................................................................................153
11.6 National Scale ...................................................................................................................153
11.7 Conclusions.......................................................................................................................154
11.8 References........................................................................................................................154
12. A COMPARISON OF RECHARGE ESTIMATES IN A KAROO
AQUIFER FROM A CHLORIDE MASS BALANCE IN
GROUNDWATER AND AN INTEGRATED SURFACE-SUBSURFACE
MODEL (Karim Sami).....................................................................................165
12.1 Introduction........................................................................................................................165
12.2 Study Area.........................................................................................................................166
12.2.1 Physical description...................................................................................................................166
12.2.2 Geology ......................................................................................................................................166
12.3 Methodology......................................................................................................................166
12.3.1 The Chloride Balance Method .................................................................................................. 166
12.3.2 The Variable Time Interval (VTI) Model..................................................................................168
12.3.3 Data availability and preparation.............................................................................................168
12.4 Results and Discussion.....................................................................................................170
12.4.1 Chloride mass balance .............................................................................................................. 170
12.4.2 Variable Time Interval Model...................................................................................................170
12.4.3 Comparison of recharge estimates ...........................................................................................171
12.4.4 Rainfall-recharge relationships ................................................................................................172
12.5 Summary and Conclusions............................................................................................... 173
12.6 Acknowledgements...........................................................................................................174
12.7 References........................................................................................................................174
PART VI: Towards Sustainable Development of
Groundwater Resources
13. CHANGING RAINFALL – CHANGING RECHARGE? (Jürgen
Kirchner) ............................................................................................................179
13.1 Introduction........................................................................................................................179
13.2 Groundwater under Arid and Semi-arid Climate Conditions ........................................... 179
13.3 Rainfall and Recharge ......................................................................................................181
13.4 Climate Changes...............................................................................................................184
13.5 Water Resources Management .......................................................................................185
13.5.1 Adjustment of methods............................................................................................................... 185
13.5.2 Adjustment of approach............................................................................................................. 186
13.5.3 Adjustment of priorities .............................................................................................................186
13.6 Conclusions and Recommendations ...............................................................................187
13.7 References........................................................................................................................188
14. IMPACT OF CLIMATE CHANGE ON GROUNDWATER RECHARGE
ESTIMATION (Lisa Cavé, Hans E. Beekman and John Weaver)...........189
14.1 Introduction........................................................................................................................189
14.1.1 Groundwater recharge.............................................................................................................. 190
14.2 Methodology and Approaches..........................................................................................190
14.3 General Circulation Models ..............................................................................................191
14.3.1 Uncertainty in GCM output....................................................................................................... 192
14.3.2 Regional climate information....................................................................................................192
14.4 Impact of Climate Variability and Climate Change ..........................................................192
14.4.1 Climate predictions....................................................................................................................192
14.4.2 Impact on water resources ........................................................................................................193
14.4.3 Impact on groundwater recharge .............................................................................................193
14.5 Challenges.........................................................................................................................195
14.6 Acknowledgements...........................................................................................................196
14.7 References........................................................................................................................196
15. GROUNDWATER PERSPECTIVE ON INTEGRATED WATER
RESOURCE MANAGEMENT – RECHARGE, A CRITICAL
INDICATOR OF SUSTAINABILITY (Eberhard Braune) ......................199
15.1 Introduction........................................................................................................................199
15.2 Integrated Water Resource Management........................................................................200
15.3 Groundwater's Changing Role .........................................................................................202
15.4 Groundwater Management as Part of IWRM ..................................................................203
15.5 Institutional Changes.........................................................................................................204
15.6 Information for IWRM........................................................................................................205
15.7 Conclusion.........................................................................................................................206
15.8 References........................................................................................................................207
List of Figures
Figure 1.1 Aridity in Southern Africa._______________________________________________________________3
Figure 1.2 Results of recharge studies in Southern Africa (modified after Beekman et al., 1996). _________________5
Figure 1.3 Mechanisms of infiltration and moisture transport (after Beekman et al., 1996). _____________________6
Figure 2.1 Chloride concentration in monthly composite samples taken in Bloemfontein in 2002.________________20
Figure 2.2 Range of ages obtained by using different adjustment models to account for carbon dilution during 14C
dating (Plummer and Sprinkle, 2001).____________________________________________________22
Figure 2.3 Layout of abstraction boreholes in the Windhoek Aquifer. _____________________________________24
Figure 2.4 Water level data of three boreholes in Windhoek, Namibia (after Murray, 2002). ___________________24
Figure 2.5 Amount effect for Windhoek rainfall determined using IAEA/WMO (2001) data. ____________________26
Figure 3.1 Map of Botswana showing GRES study areas (Beekman et al., 1996). ____________________________34
Figure 3.2 Rainfall and Total Chloride Deposition Patterns (Beekman et al., 1996).__________________________36
Figure 3.3 Botswana MWL’s (Beekman et al., 1999).__________________________________________________37
Figure 3.4 Mechanisms of infiltration and moisture transport in the Kalahari (Selaolo, 1998). __________________38
Figure 3.5 Nnywane-Pitsanyane shallow profiles (Gieske, 1992). ________________________________________39
Figure 3.6 Letlhakeng-Botlhapatlou shallow profiles (Beekman et al, 1996; Selaolo, 1998).____________________41
Figure 3.7 Volumetric moisture contents Maipatlelo profile (Beekman et al, 1997; Selaolo, 1998)._______________42
Figure 3.8 Multiple tracer profile LB-3B (after Selaolo, 1998). __________________________________________43
Figure 3.9 Multiple tracer profiles CK-2B and CK-3B (after Beekman et al., 1996). __________________________44
Figure 3.10 Comparison between moisture fluxes determined by the Chloride Mass Balance and Tritium Profiling
methods (Beekman et al., 1996). ________________________________________________________46
Figure 4.1 Map of Botswana, showing isohyets and the three wellfield study areas. __________________________53
Figure 4.2 Generalised Karoo lithology showing typical block faulting, such as found at Orapa and Palla Road (after
Blecher and Bush, 1993). _____________________________________________________________53
Figure 4.3 Schematic section of aquifer tapped by the Jwaneng well field, with well field and deep village boreholes,
mean radiocarbon values and inferred flow lines.___________________________________________54
Figure. 4.4 Radiocarbon time series for production wells 1983 to 1992. ___________________________________55
Figure 4.5 Mean hydrograph for the Jwaneng well field (after van Rensburg and Bush, 1995). _________________56
Figure 4.6 Map showing positions of Orapa mine well fields and major block faulting (after Blecher and Bush, 1993).
_________________________________________________________________________________57
Figure 4.7 Schematic model showing mounding from recharge from a local rainfall event which produces age
stratification in the underlying sandstone aquifer.___________________________________________57
Figure 4.8 Recharge calculated for equal volume periods read off a four year hydrograph for Orapa well field 4,
plotted against rainfall for the same period (after van Rensburg and Bush, 1995).__________________58
Figure 4.9 Frequency histogram of radiocarbon values for Palla Road boreholes and their distribution in the three
main lithological units. _______________________________________________________________59
Figure 5.1 Locality map showing the dolomitic aquifers of South Africa and some of the important springs and towns
that are partially or fully dependent on dolomitic groundwater. ________________________________65
Figure 5.2 Comparison between the moving average inflow over 60 months to the Rietvlei Dam and the flow of the
Grootfontein eye near Pretoria._________________________________________________________68
Figure 5.3 Average annual concentrations of chloride derived from rainfall collected in Botswana and elsewhere in the
RSA. _____________________________________________________________________________69
Figure 5.4 Regional rainfall-recharge relationships derived from chloride profiles in the unsaturated zone. _______70
Figure 5.5 Cumulative plots of chloride and sulphate concentrations vs. time for the Upper Turffontein and Maloneys
eyes.______________________________________________________________________________71
Figure 5.6 14C concentrations of the Grootfontein eye in relation to the measured and simulated flows. ___________72
Figure 5.7 Recharge (determined by CMB method and expressed as % of average annual rainfall) for dolomitic
aquifers in relation to bicarbonate concentrations.__________________________________________73
Figure 5.8 Concentrations of 14C plotted against alkalinity (HCO3). ______________________________________73
Figure 5.9 Groundwater recharge of the Rietpoort compartment near Zeerust based on the equal volume method. __75
Figure 5.10 Anomalies in rainfall-recharge relationships of springs.______________________________________75
Figure 5.11 Change in storativity with depth for a dolomitic aquifer in the Northwest Province of RSA.___________76
Figure 5.12 Simulation of water level fluctuation in Wondergat for rainfall averaged over the preceding 23 months._77
Figure 5.13 Groundwater levels in the Lichtenburg area (expressed as fluctuations of Saturated volumes) in relation to
the CRD series. _____________________________________________________________________77
Figure 6.1 Sketch of the Rainfall Infiltration Breakthrough process. ______________________________________82
Figure 6.2 Time lag scenarios a-c. ________________________________________________________________83
Figure 6.3 Recharge series and groundwater level fluctuations.__________________________________________84
Figure 6.4 Simulation of groundwater fluctuation using the RIB and CRD methods based on model generated data._86
Figure 6.5 Simulation of groundwater fluctuation using the RIB and CRD methods based on data from Grootfontein
compartment._______________________________________________________________________87
Figure 6.6 Simulation of groundwater fluctuation using the RIB method based on data from Dewetsdorp aquifer.___88
Figure 7.1 Classification of rivers by vertical positioning relative to the water table.__________________________92
Figure 7.2 Water surface profile (in vertical section) and groundwater flow directions (in plan view) along the
Waimakariri River, New Zealand. Based on Figure 8, van’t Woudt et al. (1979). __________________92
Figure 7.3 Relating transmission loss to river flow for a seasonally connected river in North Africa (Lerner et al.,
1990). ____________________________________________________________________________93
Figure 7.4 Classification of rivers by flow characteristics. ______________________________________________93
Figure 7.5 Modes of runoff generation. Based on Figure 9.11, Church and Woo (1990). ______________________94
Figure 7.6 Relation of storm runoff origins to catchment characteristics of soil thickness, soil hydraulic conductivity,
vegetation cover, and valley floor slope. The large triangle integrates the four components. Based on
Anderson and Burt (1990). ____________________________________________________________95
Figure 7.7 Runoff generation near connected rivers, emphasising the groundwater component. (a) prior to rainfall,
showing (i) river flow hydrograph, (ii) cross-section, (iii) soil moisture profile at point A. (b) after rainfall
showing (i) river flow hydrograph and flow components, (ii) cross-section with raised water table and
increased groundwater discharge, (iii) fully saturated soil moisture profile at point A. ______________96
Figure 7.8 Flood and groundwater hydrographs at Gros Barmen, Namibia, with calculated recharge rates. Based on
Figure 3, Crerar et al. (1988).__________________________________________________________97
Figure 7.9 Relation between upstream flow and transmission loss for 14 ephemeral perched rivers in Western Kansas
(Jordan, 1977). _____________________________________________________________________99
Figure 7.10 Schematic of the channel water balance method for recharge estimation for rivers.________________100
Figure 7.11 Responses to a recharge event in a remote ephemeral river. (a) groundwater level hydrograph, (b)
recharge rate at the water table, (c) groundwater outflows from the recharged zone. ______________102
Figure 7.12 Delayed drainage of river recharge to the water table on the Santa Cruz River, USA. (a) location of
observations wells relative to the river, (b) flood hydrograph and resulting responses in perched and deep
water tables, (c) moisture content profiles in access tube 7. Based on Wilson and de Cook (1988). ____102
Figure 7.13 Example of recession-curve displacement method for estimating recharge, showing extrapolated recessions
and vertical displacement of recession with each event (between dots). Based on Rutledge and Daniel
(1996).___________________________________________________________________________105
Figure 8.1 Graphic output of hydrograph separation based on Herold (1980). _____________________________115
Figure 9.1 Flow variations at Uitenhage Spring (1773 to 1994). ________________________________________125
Figure 9.2 Hydrogeology of the Uitenhage Artesian Basin and the Uitenhage Spring location._________________127
Figure 9.3 Flow variations at Uitenhage Springs: 1899 to 1995 (after Maclear, 1996). ______________________130
Figure 9.4 Comparison of Uitenhage Spring flow with rainfall: combined total (incl. abstractions) and excl.
abstractions. ______________________________________________________________________131
Figure 9.5 Reconstruction of the flow at Uitenhage Spring. ____________________________________________131
Figure 9.6 Conceptualisation of rainfall, spring flow and water level fluctuations of the Coega Ridge Aquifer. ____133
Figure 10.1 Various types of interflow in mountainous areas. __________________________________________135
Figure 10.2 Relation between interflow, local and regional flow systems. _________________________________136
Figure 10.3 Vermaaks and Marnewicks Catchments._________________________________________________137
Figure 10.4 Hydrographs of the Vermaaks and Marnewicks Rivers. _____________________________________137
Figure 10.5 Hydrogeology along transect a-b (see Figure 10.3 for location). ______________________________139
Figure 10.6 Longitudinal Section of Vermaaks River._________________________________________________139
Figure 10.7 Relationships between CTR and CTF.___________________________________________________141
Figure 10.8 Regression analysis of Vermaaks stream flow. ____________________________________________142
Figure 10.9 Regression analyses of Vermaaks and Marnewicks catchments. _______________________________142
Figure 10.10 Interflow component of hydrograph of Vermaaks Gauge 1. _________________________________143
Figure 10.11 Comparison of Recharge Estimates with and without Interflow. ______________________________144
Figure 11.1 The ACRU water balance model structure. _______________________________________________156
Figure 11.2 Schematic of the surface-groundwater interaction. _________________________________________156
Figure 11.3 Geology of the Romwe catchment, Zimbabwe (after Butterworth et al., 1995). ____________________157
Figure 11.4 Groundwater level rise (in m), 14 November 1993 to 24 February 1994 in the Romwe catchment,
Zimbabwe (after Butterworth et al., 1995). _______________________________________________157
Figure 11.5 Profile of the red, clay soil horizon, Romwe catchment, Zimbabwe (after Butterworth et al., 1995).____158
Figure 11.6 Profile of the grey, sandy soil horizon, Romwe catchment, Zimbabwe (after Butterworth et al., 1995). _159
Figure 11.7 The Weatherly experimental catchment, North East Cape Forest. _____________________________160
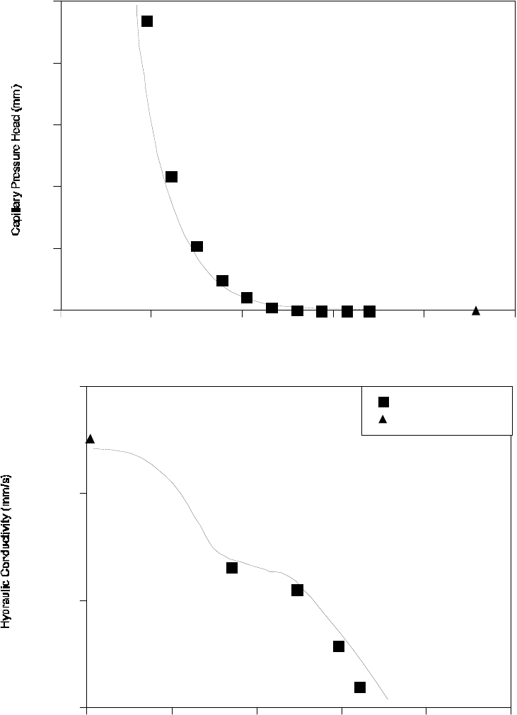
Figure 11.8 Water retention characteristic (above) and hydraulic conductivity characteristic (below) of one of the
profiles, Weatherley research catchment. ________________________________________________161
Figure 11.9 Section of the dominant flow processes and flow pathway zones (facing upstream from the lower weir),
Weatherley research catchment, (Lorentz, 2001). __________________________________________162
Figure 11.10 Contributing zones based on simulated catchment runoff, Weatherley research catchment (Lorentz,
2001). ___________________________________________________________________________162
Figure 11.11 Hydrograph recession analysis (Hughes, 1997). __________________________________________163
Figure 11.12 Average and extreme year recharge estimates for South Africa. ______________________________164
Figure 12.1 Location of study area and subdivison into sub-areas. ______________________________________169
Figure 12.2 Rainfall and recharge between 1956-1991 as determined by the VTI model. _____________________172
Figure 12.3 Comparison of recharge estimate by the VTI model and the Cl method. _________________________172
Figure 12.4 Relationship between annual rainfall and recharge. ________________________________________173
Figure 12.5 Recharge for to selected sub-areas as determined by the VTI model. ___________________________174
Figure 13.1 Schematic water-level changes with time. ________________________________________________180
Figure 13.2 Water-level response to recharge event. _________________________________________________180
Figure 13.3 Mean global temperature. ____________________________________________________________181
Figure 13.4 Windhoek rainfall. __________________________________________________________________182
Figure 13.5 Windhoek: ten-year Mean minus Median rainfall.__________________________________________183
Figure 13.6 Mean number of months per decade with specified rainfall totals. _____________________________184
Figure 13.7 Climate changes in Middle Europe._____________________________________________________184
Figure 13.8 Cumulative rainfall departure diagram. _________________________________________________185
Figure 14.1 Recharge rates in Southern Africa (after Beekman et al., 1996)._______________________________194
Figure 15.1 Trends in groundwater management (from Tuinhof et al., 2002). ______________________________203
Figure 15.2 IWRM – The Balance of Protection and Use (from MWAF and DANCED, 2002). _________________204
List of Tables
Table 1.1 Recharge estimation methods applied in (semi-)arid Southern Africa. ______________________________9
Table 1.2 Review of commonly used recharge methods for (semi-)arid Southern Africa. _______________________10
Table 4.1 Comparison of isotope-based and independent assessments of recharge.___________________________60
Table 5.1 Degree of relevance of recharge estimation to groundwater resource evaluation and environmental impact
assessment. ________________________________________________________________________66
Table 8.1 Estimated recharge in a number of rivers.__________________________________________________110
Table 8.2 Base flow for primary drainage regions.___________________________________________________116
Table 10.1 Statistical analysis between flow and rainfall.______________________________________________141
Table 10.2 Results of regression analysis: 1994 to 2001. ______________________________________________141
Table 11.1 Recharge estimates for the event of February 17th 1994. _____________________________________151
Table 12.1 Recharge estimates from a chloride mass balance in the 12 sub-areas. __________________________170
Table 12.2 Mean annual water balance simulated by the VTI model for the period 1956-1991._________________171
Table 12.3 Annual recharge statistics for the 12 sub-areas and the entire catchment expressed in mm.___________171

I
Preface
Water is life! This has been a slogan of many water awareness campaigns. But the deep truth in
these words only emerges as water stress and water scarcity increase. No wonder that the World
Water Forum has listed the big water issues in our time as:
· Meeting basic needs,
· Securing the food supply, and
· Protecting ecosystems.
And there has been recognition of another international priority issue:
· Ensuring the knowledge base.
No sustainable development of a scarce natural resource, and thus of life, is possible without
understanding the resource and managing it wisely according to this growing understanding.
Therefore I am thrilled that our region has dug deep to put its wisdom on groundwater recharge
together to help secure a healthy people and a healthy environment in this water scarce part of
the world. In South Africa we like to refer to groundwater as the hidden treasure. It is vital to
understand its value and put it to use.
I am pleased that the authors have not stopped at quantification of recharge which merely
refers to how much can be abstracted from the resource. If we truly want to manage our scarce
water resources in a sustainable way we need to start understanding the surface catchment and
the underground aquifer as an interlinked hydrological system and these in turn linked to the
water-dependent ecosystems. Science should be ahead of policy to be able to help shape policy
and to support its practical implementation. Modern water legislation, like the National Water
Act of 1998 in South Africa, strives towards Integrated Water Resources Management. Two
key principles underpinning this Act are “ that all water, wherever it occurs in the water cycle, is
a resource common to all, which shall be subject to national control and “it is necessary to
recognise the unity of the water cycle”. Without such understanding of the hydrological system
we would not be able to move forward into practical implementation from such noble
principles.
I realise that behind this summary and integration of knowledge are many years of research
effort in several countries in our region. I can visualise much of this being done in the Kalahari
under extreme working conditions. There has also been exemplary sustained international
support for several of the studies. I would like to salute All these participants and supporters.
This brings me to a concluding remark. No country will in future be able to manage its
water resources in isolation, not only because hydrological systems do not follow political
boundaries, but also because of the vast international pool of knowledge and technology
that will be required to achieve sustainable development. I therefore welcome the
UNESCO International Hydrological Programme, the publisher of this book, as an
essential mobilizer of good water science across national boundaries into our region.
All this is captured in the isiZulu word
Masibambane! meaning “lets work together”
Ronnie Kasrils, MP
Minister of Water Affairs and Forestry
Republic of South Africa

II
Acknowledgements
This book contains a selection of papers initially presented at various courses and workshops in
Southern Africa since 1996, and several papers on new research findings. The following
organisers and facilitators are thanked for their input during and after the various courses and
workshops held in the past few years, which has formed a basis for this book:
• Late Messrs. Tony Reynders and Bill Open, who organised the WRC and IAH
sponsored workshop on surface and ground water issues held in Warmbath-South
Africa in October 1996,
• Dr. Rian Titus and Mr. Shafick Adams, who organised the WRC sponsored
groundwater recharge course of June 2000 and the UNESCO sponsored SADC
recharge course of November 2002, both held at the University of the Western Cape in
South Africa, and
• Dr. Peter Roberts, who facilitated the WRC sponsored workshop on surface and ground
water interaction held in Pietermaritzburg-South Africa in December 2000.
We would like to acknowledge the University of the Western Cape and the Council for
Scientific and Industrial Research for their support and the constructive discussions with
our colleagues within the respective Groundwater Groups on a wide range of issues
regarding groundwater recharge estimation. Ms. Caroline Barnard of the Groundwater
Group, Earth Sciences at the University of the Western Cape provided logistic support to
the production of this book.
Our gratitude goes to Prof. Eberhard Braune, a Director of the Department of Water
Affairs and Forestry in South Africa, for his continuous encouragement and support during
the compilation and editing of this book.
Publishing of this book was made possible through financial support from the UNESCO
Nairobi Office. Mr. Emmanuel Naah and Dr. Alice Aureli, both from the UNESCO, are
especially thanked for their advice and assistance. While many organisations have increasingly
focused on international water issues, we gratefully acknowledge the UNESCO Nairobi Office
for maintaining its interest in and support for groundwater recharge issues in Southern Africa.
All the authors and their affiliated organisations are gratefully acknowledged for their technical
input and kind support.
Professor dr. Yongxin Xu
UNESCO Chair in Hydrogeology
University of the Western Cape, Bellville, South Africa
and
Dr. Hans E. Beekman
Senior Hydrogeologist
Council for Scientific and Industrial Research, Stellenbosch, South Africa

1
PART I
Review and Challenges of Recharge Estimation in Southern
Africa

3
1. Review of Groundwater Recharge Estimation in Arid and Semi-Arid
Southern Africa
Hans E. Beekman1 and Yongxin Xu2
1Environmentek, Council for Scientific and Industrial Research, South Africa
2Department of Earth Sciences, University of the Western Cape, South Africa
ABSTRACT A review is presented of groundwater recharge estimation in arid and semi-arid
Southern Africa based on three decades of recharge investigations in the region. Principles of
methods currently in use are described and references from the Southern African region are
given when possible. The methods are reviewed in terms of limitations, applicability at different
fluxes, temporal and spatial scales and are rated on accuracy, ease of application and costs.
Promising methods for recharge estimation are the Chloride Mass Balance (CMB), Cumulative
Rainfall Departure (CRD), Extended model for Aquifer Recharge and moisture Transport
through unsaturated Hardrock (EARTH), Water Table Fluctuation (WTF), Groundwater
Modelling (GM) and Saturated Volume Fluctuation (SVF) methods. Particularly those methods
that are based on relationships between rainfall, abstraction and water level fluctuations such as
the CRD and EARTH have the potential to forecast groundwater recharge. The CMB, CRD and
GM methods are discussed in more detail.
1.1 Introduction
In arid and semi-arid areas, assessment of groundwater recharge is one of the key challenges in
determining the sustainable yield of aquifers as recharge rates are generally low in comparison
with average annual rainfall or evapotranspiration, and thus difficult to determine precisely. For
this paper we limit ourselves to groundwater recharge estimation in arid and semi-arid Southern
Africa with aridity as defined by Lloyd (1986) on the basis of average annual rainfall: hyper-
arid: 0-50 mm/yr; arid: 50-200 mm/yr and semi-arid: 200-500 mm/yr. About 22% of Southern
Africa (SADC) falls within the boundaries of aridity as shown in Figure 1.1.
Figure 1.1 Aridity in Southern Africa.
4
1.1.1 Three decades of recharge studies in Southern Africa
In Southern Africa, most regional and local recharge studies (including groundwater exploration
projects) have been carried out in semi-arid Botswana, Namibia and South Africa over the last
three decades.
Botswana
The first systematic study of groundwater recharge in Botswana was carried out in 1974 by
Jennings in the eastern part of the country in collaboration with researchers of the South African
University of Witwatersrand. During the 1970s and 1980s studies were also carried out in the
Kalahari (Verhagen et al., 1974; Mazor et al., 1977; Foster et al., 1982; De Vries and Von
Hoyer, 1988). In 1987 the co-operation programme Groundwater Resources Monitoring and
Recharge Study (GRES) was jointly launched by the Botswana and Netherlands governments
aiming at a better understanding of recharge processes in the country. The first phase of GRES
concentrated on Precambrian aquifers in south-eastern Botswana and was completed in 1991
(Gieske, 1992). The second phase (GRES II) expanded into the Kalahari Basin and was
completed in 1997 (Selaolo, 1998; Beekman et al., 1996; 1999; De Vries et al., 2000). Methods
used included analysis of precipitation and evapotranspiration, study of environmental isotopes
and rainfall chemistry, and analysis of transport processes in both saturated and unsaturated
zones. GRES investigations revealed that considerable recharge of the order of 10 to 50 mm/yr
takes place under favourable conditions in the eastern part of Botswana. A decreasing recharge
trend was observed from 5 mm/yr in the fringe of the Kalahari to less than 1 mm/yr towards the
central part. Lower recharge rates, or even hardly any recharge at all, may be expected where
rainfall drops below 400 mm/yr.
Namibia
Despite Namibia being the driest country in Southern Africa, large-scale recharge studies have
only been conducted since the nineties. The Namibian and German governments jointly
launched a co-operation program in 1992 for recharge studies in the north-eastern part of the
country focusing on the karst areas of Otavi Mountain Land (Schmidt and Ploethner, 2000). For
the past two decades annual rainfall has been below the long-term mean annual rainfall of 550
mm, resulting in recharge being less than 9 mm/year. For the adjacent Kalahari Catchment to
the east, Klock (2001) determined recharge at 1 mm/year. This figure was based on regionalised
site-specific hydrochemical data using satellite imagery and was verified by a groundwater
model. Recharge in the area may range from 0.2 to more than 100 mm/year. Central Namibia
will face an urgent need for additional secure water resources within the next decade and
therefore a groundwater investigation was initiated in 1999 in northern Otavi Mountain Land to
determine the long-term sustainable abstraction and short-term emergency bulk groundwater
abstraction from the promising Tsumeb aquifers (Bufler et al., 2000). Recharge is also being
investigated for the Stampriet Artesian Basin in the south-eastern part of Namibia through a
joint co-operation program between the Namibian and Japanese governments and the
International Atomic Energy Agency (IAEA).
South Africa
First systematic recharge studies carried out in South Africa date back to the early 1970s in the
western Transvaal (Bredenkamp and Vogel, 1970; Bredenkamp et al., 1974) and in the northern
Cape (Smit, 1978). Recharge studies were mostly carried out at a local scale and as part of a
larger groundwater resources assessment project. It was during the international groundwater
recharge workshop in Turkey in 1987 that an urgent need was expressed for developing new
and improving existing practical methods for recharge estimation in arid and semi-arid areas

5
(Simmers, I. (ed.), 1988). In South Africa in particular, the growing need for reliable recharge
estimation originated from a desire to better (sustainably) manage limited water resources. The
Water Research Commission of South Africa therefore initiated the project “Preparation of a
Manual on Quantitative Estimation of Groundwater Recharge and Aquifer Storativity”. The
manual, published in 1995 (Bredenkamp et al., 1995), presents a great variety of well-tested
(semi-empirical) methods that are widely employed in South Africa and contains a wealth of
recharge case studies and data covering the past 30 years. Of particular interest is that in the
manual a first attempt was made at rating different estimation techniques in terms of ease of
application, reliability and availability of data.
1.1.2 Overview of results
Figure 1.2 shows all reported recharge values up to 1997, including those from more humid
Southern African regions, and mostly from Botswana (Beekman et al., 1996), South Africa
(Bredenkamp et al., 1995) and Zimbabwe (Houston, 1988) as a function of annual rainfall. The
diagram shows up to a factor of 100 difference in recharge values at the same annual rainfall.
The method which has most consistently been applied over the range of annual rainfall
illustrated here is the Equal Volume (spring flow) method (modified water balance). The results
of other methods, such as the Saturated Volume Fluctuation modelling, mostly fall within this
band. The Botswana results fall within the elongated shaded ellipse, clearly showing the trend
of decreasing recharge with decreasing rainfall from south-eastern Botswana to the Central
Kalahari. The area below the band of the spring flow values indicates mostly results obtained
with the river baseflow (hydrograph separation) method. It seems that this method consistently
underestimates recharge in this range of rainfall values. The area above the spring flow band
indicates some anomalous recharge values determined through chloride profiling in St. Lucia,
South Africa (Bredenkamp et al., 1995).
Figure 1.2 Results of recharge studies in Southern Africa (modified after Beekman et
al., 1996).
Annual Rainfall (mm)
Botswana
Annual Recharge (mm)
10000
1000
100
10
1
0.1
0 500 1000 1500
River Baseflow
(South Africa / Zimbabwe)
South Africa
Chloride Profiles Springflow

6
For annual rainfall less than 500 mm/yr large differences exist between values found. Since a
wide range of environmental factors, such as vegetation, geology and geomorphology, may
have contributed to this discrepancy, a satisfactory explanation cannot be given here. Further
work is needed to update the diagrams for studies carried out since 1997.
1.2 Recharge - Definition, concepts and variability
1.2.1 Recharge – Definition and concepts
Groundwater recharge can be defined in a broad sense as “an addition of water to a groundwater
reservoir”. Four main modes of recharge can be distinguished:
A. “Downward flow of water through the unsaturated zone reaching the water table”
B. “Lateral and/or vertical inter-aquifer flow”
C. “Induced recharge from nearby surface water bodies resulting from groundwater
abstraction” and
D. “Artificial recharge such as from borehole injection or man-made infiltration ponds”
In this paper we focus on the first mode: natural recharge by downward flow of water through
the unsaturated zone, which is generally the most important mode of recharge in arid and semi-
arid areas. Mechanisms of infiltration and moisture transport that are likely to occur for this
mode are illustrated in Figure 1.3. Main sources of recharge are rainfall, surface water bodies
(ephemeral or seasonal rivers, lakes, estuaries) and irrigation losses.
Figure 1.3 Mechanisms of infiltration and moisture transport (after Beekman et al.,
1996).
Recharge can be expressed in various forms, e.g. as a percentage of annual rainfall, or in
mm/year. It can be classified according to Beekman et al. (1999):
I. origin of water (Lloyd, 1986; Lerner et al., 1990; De Vries and Simmers, 2002):
a. direct / diffuse recharge: direct infiltration of precipitation and subsequent percolation
through the unsaturated zone to a groundwater body, i.e. water added to the
groundwater reservoir in excess of soil-moisture deficits and evapotranspiration,
A
Piston Preferential
Unsaturated-Saturated
Fractured Zone
Fractured Aquifer
Infiltration
Runoff
Indirect
Direct
Aquifer base
Multi-layered Fractured Aquifer
Unsat./Sat. Fractured Zone
Outflow
A
7
b. indirect / non-diffuse recharge: percolation to the water table through riverbeds,
c. localised recharge: accumulation of precipitation in surface water bodies, and
subsequently concentrated infiltration and percolation through the unsaturated zone to a
groundwater body.
II. flow mechanism through the unsaturated zone:
a. piston / translatory flow: precipitation which is stored in the unsaturated zone, is
displaced downwards by the next infiltration / percolation event without disturbance of
the moisture distribution,
b. preferential flow: flow via preferred pathways / macro-pores, which are sites (e.g.
abandoned root channels, burrows, fissures) or zones (e.g. stream beds) in the
unsaturated zone with a relatively high infiltration and / or percolation capacity.
III. area on which it acts:
a. point recharge: recharge at a site, with no areal extent,
b. line recharge: recharge from a line source, such as a drainage feature or river,
c. areal recharge: recharge over an area.
IV. time scale during which it occurs (for both episodic and perennial recharge):
a. present-day recharge: recharge occurring within a time frame of days / months,
b. short-term recharge: recharge covering a short period, in the past or predicted for the
near future within a time frame of months / years,
c. long-term recharge: recharge over a longer period, in the past (palaeo-recharge) or
predicted for the future (accounting for climate change) within a time frame of tens up
to thousands of years.
1.2.2 Recharge - Spatial and temporal variability
Determination of groundwater recharge in arid and semi-arid areas is neither straightforward
nor easy. This is a consequence of the time variability of precipitation in arid and semi-arid
climates, and spatial variability in soil characteristics, topography, vegetation and land use
(Lerner et al., 1990). Moreover, recharge amounts are normally small in comparison with the
resolution of the investigation methods. The greater the aridity of the climate, the smaller and
potentially more variable is the recharge flux (Allison et al., 1994).
1.3 Guidelines for Recharge Estimation
There are as many methods available for quantifying groundwater recharge as there are
different sources and processes of recharge. Each of the methods has its own limitations in
terms of applicability and reliability. The objective of the recharge study should be known prior
to selection of the appropriate method for quantifying groundwater recharge as this may dictate
the required space and time scales of the recharge estimates (Scanlon et al., 2002). Water
resource evaluations for instance would require information on recharge at large spatial and
temporal scales whereas assessments of aquifer vulnerability to pollution would require more
detailed information at local and shorter time scales.
Development of a conceptual model of recharge in the study area should also precede selection
of the appropriate recharge estimation method in order to reduce both uncertainty as well as
costs of quantifying recharge. Such a model should describe the location, timing and probable
mechanisms of recharge and provide initial estimates of recharge rates based on climatic,
8
topographic, land use and land cover, soil and vegetation types, geomorphologic and (hydro-)
geologic data (including recharge sources, flow mechanisms, piezometry, groundwater
exploitation, etc.). Some guidelines for recharge estimation are given in Lerner et al. (1990) and
Scanlon et al. (2002), but a user-friendly framework for recharge estimation does not yet exist.
1.4 Overview of Recharge Estimation Methods
1.4.1 Classification of recharge estimation methods
Recharge estimation methods can be classified according to:
- Hydrogeological provinces: regions of similar climate and geology with similar
geomorphologic history (e.g. alluvial fans and riverbeds, sand and sandstone, volcanic,
etc.; Lerner et al., 1990),
- Hydrologic zones: atmosphere, surface water, unsaturated and saturated zones
(Bredenkamp et al., 1995; Beekman et al., 1999; Scanlon et al., 2002), or
- Physical and Tracer approaches: direct versus indirect, water balance and Darcyan
physical methods and chemical, isotopic and gaseous tracer methods (Lerner et al., 1990;
Kinzelbach et al., 2002).
The ideal classification accommodates for all above-mentioned criteria.
1.4.2 Commonly used methods
An overview of commonly used recharge estimation methods in Southern Africa is given in
Table 1.1. The methods are grouped according to hydrologic zones and further sub-divided into
physical and tracer approaches. A brief description of the principle and references is given for
each method. Methods referring to surface water and unsaturated zones estimate potential
recharge whereas methods referring to the saturated zone estimate actual recharge. A review of
commonly used methods is given in the section 1.5. Methods excluded from the overview and
review due to either a too qualitative nature, large inaccuracy or a too complicated nature for
application in the (semi-)arid environment are the rainfall-recharge relationships, soil-moisture /
water budgets (Schulze, 1995), seepage meter, applied and heat tracers and (semi-)quantitative
methods which involve 2H, 18O (Beekman et al., 1996) and 4He (Selaolo, 1998). To our
knowledge 36Cl has not yet been applied in the region for recharge estimation.
Examples of integrated approaches, i.e. combining various methods, are the:
- “Combined chemical and isotope mass balance approach” (Beekman et al., 1999), and
- “Recharge” Excel spreadsheet model (Van Tonder and Xu, 2000)
The combined chemical and isotope mass balance approach is based on dating moisture and
groundwater using the Chloride Mass Balance and 14C groundwater dating methods.
The “Recharge” spreadsheet model enables analysis of hydrogeological data by commonly used
estimation methods from Table 1.1 and gives an opportunity to calculate a weighted average
recharge rate after having assigned weighting factors to each of the methods used.
A semi-quantitative approach is currently being applied to crystalline basement aquifers of
Central Namaqualand in South Africa to define the recharge potential (Adams, pers. comm.).
The approach is based on integrating spatial climatic and (hydro-)geologic datasets in a GIS

9
environment and can be considered a derivative of the DRASTIC approach (Aller et al., 1987),
which is used for aquifer vulnerability mapping. The approach has the potential to become
quantitative once it is combined with recharge estimation methods of Table 1.1.
Table 1.1 Recharge estimation methods applied in (semi-)arid Southern Africa.
Zone Approach Method Principle References
HS Stream hydrograph separation: outflow, evapotranspiration
and abstraction balances recharge 10
CWB Recharge derived from difference in flow upstream and
downstream accounting for evapotranspiration, in- and
outflow and channel storage change 4
Surface
Water
Physical
WM Numerical rainfall-runoff modelling; recharge estimated as
a residual term 5
Lysimeter Drainage proportional to moisture flux / recharge 2
UFM Unsaturated flow simulation e.g. by using numerical
solutions to Richards equation 2, 4
Physical ZFP Soil moisture storage changes below ZFP (zero vertical
hydraulic gradient) proportional to moisture flux / recharge 2, 3, 6
CMB Chloride Mass Balance – Profiling: drainage inversely
proportional to Cl in pore water 1, 2, 3, 6
Unsaturated
Tracer Historical Vertical distribution of tracer as a result of activities in the
past (3H) 1, 2, 3, 6
CRD Water level response from recharge proportional to
cumulative rainfall departure 2, 9
EARTH Lumped distributed model simulating water level
fluctuations by coupling climatic, soil moisture and
groundwater level data 3, 7
Physical
WTF Water level response proportional to recharge / discharge 2
Saturated –
Unsaturated
Tracer CMB Amount of Cl into the system balanced by amount of Cl out
of the system for negligible surface runoff / runon 1, 2, 3, 6
GM Recharge inversely derived from numerical modeling
groundwater flow and calibrating on hydraulic heads /
groundwater ages 2, 3
SVF Water balance over time based on averaged groundwater
levels from monitoring boreholes 2
Physical
EV-SF Water balance at catchment scale 2
Saturated
Tracer GD
Age gradient derived from tracers, inversely proportional to
recharge; Recharge unconfined aquifer based on vertical
age gradient (3H, CFCs, 3H/3He); Recharge confined
aquifer based on horizontal age gradient (14C)
1, 6, 8
HS: Hydrograph Separation – Baseflow
CWB: Channel Water Budget
EARTH: Extended model for Aquifer Recharge and Moisture
Transport through Unsaturated Hardrock
WM: Watershed Modelling WTF: Water Table Fluctuation
UFM: Unsaturated Flow Modelling GM: Groundwater modelling
ZFP: Zero Flux Plane SVF: Saturated Volume Fluctuation
CMB: Chloride Mass Balance EV-SF: Equal Volume - Spring Flow
CRD: Cumulative Rainfall Departure GD: Groundwater Dating
1Beekman et al., 1996 4Lerner et al., 1990 7Van der Lee and Gehrels, 1997 10Xu et al., 2002
2Bredenkamp et al., 1995 5Sami and Hughes, 1996 8Weaver and Talma, 1999
3Gieske, 1992 6Selaolo, 1998 9Xu and Van Tonder, 2001
1.4.3 Recharge forecasting
Forecasting groundwater recharge has become increasingly important, particularly with regard
to the envisaged climate change impacts on Southern Africa’s limited water resources
(Kirchner, 2003; Cavé et al., 2003). Methods that have great potential to forecast recharge are
those that have established relationships between rainfall, abstraction and water level
fluctuations, such as the CRD, EARTH, Auto Regression Moving Averages and empirical

1
0
methods. Critical in reliable forecasting of recharge is the accuracy of forecasting rainfall in
terms of frequency of events, quantity and intensity. In Southern Africa there is a wealth of
rainfall records, often dating back to the beginning of the previous century and this should form
a sound basis for future predictions. Note that the accuracy of forecasting recharge is further
complicated by the non-linearity of groundwater resources in their response to rainfall.
Forecasting should accommodate for the propagation of uncertainty in input parameters.
1.5 Review of Recharge Estimation Methods
1.5.1 Commonly used methods
A review of commonly used recharge estimation methods in (semi-)arid Southern Africa is
presented in Table 1.2. Methods are evaluated in terms of limitations, applicability (range of
fluxes, spatial and temporal scales) and ratings (accuracy, ease of application, cost).
Table 1.2 Review of commonly used recharge methods for (semi-)arid Southern
Africa.
1 All methods for estimating fluxes through the unsaturated zone assume diffuse vertical flow whereas in reality flow
along preferred pathways is the rule rather than the exception. These methods therefore tend to overestimate the
diffuse flux.
2 Data in brackets are estimates from Southern Africa; Rainfall may be up to 2000 mm/ in a year; other data represent
global values and are taken from Scanlon et al. (2002).
3 Ratings for methods applied to semi-arid Southern Africa.
Applicability2 Rating3
Zone Method Limitations Flux
(mm/yr) Area
(km2) Time
(yrs) Acc. Ease Cost
HS Ephemeral rivers 400-4000
(0.1-1000) 10-4-1300
(10-1000) 0.3-50
(1-100) 2-3 1-2 1-2
CWB Inaccurate flow
measurements 100-5000 10-3-10 1d-1yr 2-3 2 3
SW
WM Ephemeral rivers 1-400 10-1-5*105 1d-10yr 2 2-3 3
Lysimeter Surface runoff 1-500
(0-200) 0.1-30m2 0.1-6 2 3 3
UFM Poorly known relationship
hydraulic conductivity -
moisture content 20-500 0.1-1m2 0.1-400 3 2 2
ZFP Subsurface heterogeneity;
periods of high infiltration 30-500 0.1-1m2 0.1-6 3 2 2
CMB Long-term atmospheric
deposition unknown 0.1-300
(0.6-300) 0.1-1m2 5-10000 2 1 1
Unsaturated 1
Historical Poorly known porosity;
present 3H levels almost
undetectable
10-50
(10-80) 0.1-1m2 1.5-50 2-3 2-3 3
CRD Deep (multi-layer) aquifer;
sensitive to specific yield
(Sy) (0.1-1000) (1-1000) (0.1-20) 1-2 1-2 2
EARTH Poorly known Sy (1-80) (1-10m2) (1-5) 1-2 2 1
WTF In/ouflow and Sy usually
unknown 5-500 5*10-5->10-3 0.1-5 2 1 1
Sat. - Unsat.
CMB Long-term atmospheric
deposition unknown 0.1-500 2*10-6 –
>10-2 5-
>10000 2 1 1
GM
Time consuming; poorly
known transmissivity;
sensitive to boundary
conditions
(0.1-1000) (10-6-106) (1d–20yr) 1-2 3 3
SVF Flow-through region; multi-
layered aquifers (0.1-1000) (1-1000) (0.1-20) 1-2 1-2 2
EV-SF Confined aquifer (0.1-1000) (1-100) (1-100) 1-2 1-2 1-2
Saturated
GD
14C, 3H/3He, CFC: poorly
known porosity / correction
for dead carbon contribution
14C: 1-100
3H/3He, CFC:
30-1000
14C,3H/He3,
CFC:
2*10-6->10-3
14C: 200-
200000
3H/He3,
CFC: 2-40
3 2-3 3

11
The aim of rating is to advance an on-going discussion among a wide range of stakeholders on
the selection of appropriate methods for recharge estimation. The ratings are based on the
authors experience and on ratings given by Bredenkamp et al. (1995), van Tonder and Xu
(2000), Kinzelbach et al. (2002) and a recent workshop on the “Framework for recharge
estimation in Southern Africa” project (Beekman et al., 2003).
With regard to the applicability of methods, data has been adopted from Scanlon et al. (2002).
Regarding ratings, the approach of accuracy rating is adopted from Kinzelbach et al. (2002):
Class 1: difference from true value within a factor of 2, Class 2: within a factor of 5 and Class 3:
within a factor of 10 or more. Ease of application is related to data requirements and data
availability and is rated from 1: easy to use to 3: difficult to use. Cost is rated from 1:
inexpensive to 3: expensive.
1.5.2 Promising methods
The following methods can be applied with greater certainty in arid and semi-arid Southern
Africa: CMB, CRD, EARTH, WTF, GM and SVF. These methods have in common that they
estimate recharge based on linking specific information from the atmosphere, unsaturated and
saturated zones. Greater certainty in the results from the GM method may be obtained if
groundwater levels and ages are linked. Three of these methods: CMB, CRD and GM are
widely applied and will be discussed in more detail. They represent an increasing complexity in
their use and data requirements.
Chloride mass balance (CMB)
This method is based on the assumption of conservation of mass between the input of
atmospheric chloride and the chloride flux in the subsurface. It can be used for both estimating a
moisture flux in the unsaturated zone by means of a profiling technique when diffuse (piston)
flow is assumed and for recharge. Comparison of moisture flux and recharge provides insight
into the mechanism of recharge. Note that in a wider context, mechanisms of recharge and
recharge rates can be considered crucial in the assessment of vulnerability of groundwater
resources to pollution.
For a steady state between the chloride flux at the surface and the chloride flux beneath an upper
zone where evapotranspiration and mixing of rainfall and pore water takes place and excluding
runoff and run-on, a site specific moisture flux can be calculated for the unsaturated zone by
(Eriksson and Khunakasem, 1969):
(1)
where Rsm is the moisture flux (diffuse or slow flow component; mm/yr), P is rainfall (mm/yr),
Clp and Clsm are chloride concentrations in rainfall and soil moisture (mg/l), and D is dry
chloride deposition (mgm-2yr-1). The sum of P*Clp and D is also referred to as “Total
atmospheric chloride Deposition” (TD) and originates from both precipitation and dry fall out.
A better estimate of the moisture flux is obtained from a mass balance which integrates chloride
and moisture contents cumulatively (c) over a specific depth interval (Gieske, 1992):
(2)
Cl
TD
Cl
D+
Cl
*P
=
R
smsm
p
sm =
TC
TMTD
=
Rcsm *
)(

1
2
where TM is total moisture content (mmm-2) and TC is total chloride content (mgm-2). Simply
substituting Clsm in Eq. (1) for the chloride concentration in groundwater at the water table
(Clgw) gives a total recharge rate RT:
(3)
Clgw originates from different flow components in the unsaturated zone. For an areal RT, Clgw
represents the harmonic mean of chloride concentrations in groundwater. If it is assumed that
RT originates from only two flow components in the unsaturated zone which are fully mixed in
the groundwater: a (slow) diffuse (Rsm) and a (quick) preferential (Rpr) flow component and Clpr
« Clgw < Clsm, the relative contribution of either Rsm or Rpr to RT expressed as a fraction is
calculated as (Sharma and Hughes, 1985):
(4)
Applicability
Unsaturated Zone: Moisture Flux
Most reliable estimates of site-specific moisture fluxes may be obtained through a multiple
tracer profiling approach (Simmers et al., 1997). This approach aims at deducing and
quantifying where possible relevant transport processes occurring in the unsaturated zone. For
example, the CMB method may reveal the thickness of the evapotranspiration zone and
moisture fluxes, 18O and 2H profiling may provide insight into the evaporation process and
moisture fluxes (Beekman et al., 1996) and 3H profiling may highlight zones of preferred
pathways (thereby (in)validating the use of the various methods; see Selaolo et al., 2003).
Saturated Zone: Recharge
The CMB method for the saturated zone may be especially useful in areas where groundwater
levels do not fluctuate or data on groundwater levels are lacking.
Limitations
For the unsaturated zone preferential flow seems to be more the rule than the exception.
Moisture fluxes may therefore be overestimated. The CMB method should not be applied in
areas underlain by evaporates or areas where upconing or mixing of saline (ground) waters
occurs. The method should be applied with great caution in areas close to the sea where rainfall
chloride contents are highly variable.
Cl
TD
=
R
gw
T
()
()
−
≈− Cl
Cl
Cl
Rf =
R
f
sm
gwsm
sm
pr 1
0.1 1 10 100 1000 10000
Flux – mm/yr
Area – m2
Time - yr
0.1 1 10 100 1000 10000
Flux - mm/yr
Area - m2
Time - yr

13
In fractured rock systems, the applicability of the CMB method is complicated if (1) additional
chloride is produced through weathering of the rock matrix and when (2) time is needed to
develop a new equilibrium between groundwater chloride concentrations in the rock matrix and
fractures following a change in environmental conditions (Cook, 2003). If additional chloride is
being produced, a recharge rate derived from a CMB should be considered a minimum. In the
case of a larger fracture spacing it takes longer to develop a new equilibrium in chloride
concentrations. The estimated recharge may therefore not represent changed environmental
conditions (e.g. change in recharge due to climate or land-use change).
Data requirements
Long-term averages of P, Clp and D; Moisture flux: Clsm and volumetric moisture content; Clgw
Ratings
Accuracy: 2; Ease of application: 1; Cost: 1
Although this method may not be as accurate as other methods, differences in recharge
estimation are still within a factor of five. Measured atmospheric input of chloride (often only
short term records are available) is assumed to be representative for a long period and is thus an
area of concern as rainfall and chloride deposition during the past may be different from today.
Other areas of concern include the uncertainty in the measured chloride content of rainfall and
rainfall amount, depending on the type of rain gauge used, pollution and analytical errors when
measuring relatively low chloride contents (Beekman and Sunguro, 2002; Adams, 2002).
Despite these shortcomings, the CMB method is highly recommended, also for fractured rock
systems (see Cook, 2003); it is relatively simple and it is the least expensive method.
References
Eriksson and Khunakasem, 1969; Gieske, 1992; Bredenkamp et al., 1995; Beekman et al.,
1996; Simmers et al., 1997; Cook, 2003.
Cumulative Rainfall Departure (CRD)
The CRD method is based on the premise that water level fluctuations are caused by rainfall
events. Bredenkamp et al. (1995) applied the method extensively with success in South Africa.
Recently, the method was revised to accommodate for trends in rainfall time series (Xu and Van
Tonder, 2001). Recharge is calculated as (Xu and Van Tonder, 2001):
(5)
where r is that fraction of a CRD which contributes to recharge, Sy is specific yield, hi is water
level change during month i (L), Qp is groundwater abstraction (L3/T), Qout is natural outflow, A
is recharge area (L2), Pi is rainfall for month i (L/T) and Pt is a threshold value representing
aquifer boundary conditions. Pt may range from 0 to Pav, with 0 representing a closed aquifer
(no outflow), and Pav representing an open aquifer system (for instance controlled by spring
flow). The ratio r/Sy can be estimated based on Eq. (5) through an optimisation process, which
minimises the difference between calculated and observed water level fluctuations over a
specific time interval. The CRD method and estimation of the r/Sy ratio has been built into a
user-friendly Excel program for recharge estimation called REME (Xu and Van Tonder, 2001).
(
)
(
)
[
]
t
N
i
i
av
N
i
ii
youtipiiyiT
iPP
iP
PCRD
withASQQhSrCRDR
−−=
++∆==
∑∑ == 11
1
2

1
4
Applicability
Limitations
The method cannot be applied in areas where there are no groundwater level fluctuations. In the
above form it should only be applied to unconfined aquifers.
Data requirements
Monthly rainfall records, water levels, borehole abstractions and aquifer properties including
storativity and size of recharge area.
Ratings
Accuracy: 1-2; Ease of application: 1-2; Cost: 2
Groundwater levels of fractured aquifers with small storativity are particularly sensitive to
rainfall recharge. Simulation of water levels based on the CRD method and hence recharge
estimation is fairly accurate in these cases, provided that storativity can be determined. The
uncertainty in recharge estimation increases with increasing depth to the water table. Rainfall,
water levels and abstraction rates must be representative for the recharge area of the aquifer. By
taking into account different ranges of rainfall, the CRD method will give reasonable estimates
of recharge rates. Accuracy of estimation increases with better spreading of boreholes over the
recharge area of the aquifer and increased frequency of monitoring data.
References
Bredenkamp et al., 1995; Xu and Van Tonder, 2001.
Groundwater Modelling (GM)
The aim of modelling groundwater flow is usually to predict the aquifer piezometry under
various groundwater stress situations. The general three-dimensional groundwater flow
equation assuming uniform fluid density and viscosity is formulated as (Bear, 1972):
(6)
where i,j represent principal coordinate directions, K is hydraulic conductivity tensor (L/T), h is
hydraulic head (L), Ss is specific storage (1/L), x is a space coordinate (L), t is time (T) and qs
represents fluid sources (such as recharge) or sinks (such as abstraction) per unit volume (1/T).
Eq. (6) can be solved for various complex flow configurations by means of numerical
modelling techniques. Recharge can be calculated based on known piezometry, K and S
parameter values, and other inflow (e.g. riverbank infiltration, inter-aquifer flow, etc.) into and
outflow (natural drainage, abstraction, evapotranspiration) from the aquifer. Confidence in
calculated recharge will improve when the velocity distribution of groundwater or groundwater
ages based on the hydraulic model match groundwater ages derived from radio-nuclide
transport modelling. Three dimensional solute transport in a groundwater system, accounting
for fluid sources and sinks and radio-nuclide transport (radioactive decay as a first-order
irreversible process), excluding sorption, can be described by the following advection-
dispersion equation (Spitz and Moreno, 1996):
t
h
Sq
x
h
K
xss
j
ij
i∂
∂
=+
∂
∂
∂
∂
0.1 1 10 100 1000 10000
Flux - mm/yr
Area - km2
Time - yr

15
(7)
where c is dissolved concentration (M/L3), cs is concentration of fluid source or sink, t is time
(T), v is advective transport velocity (L/T), x is direction of flow, D is dispersion coefficient,
is the porosity of the medium, S represents a sink due to decay of the radio-nuclide (e.g. 14C),
is a rate constant that characterizes decay (1/T) and T½ is half-life of the radio-nuclide (T). The
transport equation is linked to the flow equation through:
(8)
Applicability
Limitations
Groundwater modelling is time consuming, sensitive to boundary conditions and difficult to
calibrate.
Data requirements
Conceptual hydrogeological model, daily/monthly rainfall records, water levels, borehole
abstractions, aquifer characteristics including storativity, hydraulic conductivity, porosity,
dispersion characteristics, radio-nuclide concentrations (e.g. 14C), etc.
Ratings
Accuracy: 1-2; Ease of application: 3; Cost: 3
The accuracy of recharge estimation relates directly to the degree of discretization of the
groundwater system and to the accuracy of the parameter values. Once the age or velocity
distribution in an aquifer based on the flow model matches the age distribution of groundwater,
a higher degree of confidence is gained in the recharge estimate. With regard to 14C dating of
groundwater, correction models may have to be constructed to account for sources or sinks of
carbon. These correction models require a proper insight into the hydrochemistry of water-rock
interactions operating in the aquifer, hence 14C dating and thus recharge estimation is becoming
a challenging task. Both flow and transport modelling require advanced hydrogeological and
hydrochemical skills and costs involved are usually high due to the vast amount of
hydrogeological and hydrochemical data required.
References
Bredenkamp et al., 1995; Gieske, 1992; Beekman et al., 1999; Kinzelbach et al., 2002.
1.6 Summary and Future Outlook
A wealth of recharge estimation methods for (semi-)arid areas is currently available with each
method having its own limitations. Whereas one method can be applied in site specific studies,
()
2
1
2ln
T
andcS
withSc
q
x
cv
x
c
D
xt
c
s
s
i
i
j
ij
i
==
−+
∂
∂
−
∂
∂
∂
∂
=
∂
∂
λλ
θ
j
ij
ix
h
K
v∂
∂
−=
θ
0.1 110 100 1000 10000
Flux - mm/yr
Area - km2
Time - yr
1
6
the other can better be used in regional studies; whereas one method represents a short time
scale, e.g. from event based recharge to daily/monthly/yearly recharge, the other represents a
much longer time scale, ranging from decades to thousands of years. Clarity on the aim of the
recharge study is crucial in choosing appropriate methods for recharge estimation. Confidence
in recharge estimates improves when applying a multitude of methods (Beekman et al, 1996;
De Vries and Simmers, 2002; Scanlon et al., 2002).
In Southern Africa, experience in recharge estimation covers a time span of at least three
decades. This experience formed the basis for this review of recharge estimation. We conclude
at this stage that the following methods can be applied with greater certainty in the arid and
semi-arid parts of the region: the CMB, CRD, EARTH, GM, SVF and WTF methods. From
these methods the CMB is the easiest to apply and the least expensive whereas GM is the most
difficult and expensive method.
Future work should focus on quantifying the time lag between rainfall and water level response,
on episodic recharge and on forecasting within the context of climate change. Three decades of
work on recharge assessment in the region should be collated and synthesized and translated
into user-friendly products (such as manuals, databases, decision support systems and analysis
programs) to better serve the groundwater practitioner in estimating recharge and the water
manager in properly and effectively using the results. This would pave the way also for dealing
with urban recharge, an issue, which has not yet received sufficient attention in Southern Africa.
1.7 Acknowledgements
This paper is the first product of the “Framework for groundwater recharge estimation in
Southern Africa” project as part of the ‘International Geosphere-Biosphere Programme and
partners’ initiative on “Recharge and sustainable use of groundwater in arid and semi-arid
Africa”. Messrs. I. Saayman and J. Weaver (CSIR) and S. Adams (UWC) are thanked for their
critical comments on earlier drafts. Mr. S. Hughes (CSIR) is thanked for preparing the aridity
map. We gratefully acknowledge funding for this paper from the International START
(SysTem for Analysis, Research and Training) Secretariat.
1.8 References
Adams, S., 2002. Bulk rainfall samplers and groundwater recharge. Proc. Conf. Tales of a
Hidden Treasure, Somerset West, South Africa, 16 Sept. 2002, 217-223.
Aller, L., Bennet, T., Lehr, J.H., and Petty, R.J., 1987. DRASTIC – A standardised system for
evaluating groundwater pollution potential using hydrogeological setting. US EPA Report
EPA/600/2-87/035, United States Environmental Protection Agency.
Allison, G.B., Gee, G.W. and Tyler, S.W., 1994. Vadose-Zone Techniques for Estimating
Groundwater Recharge in Arid and Semi-Arid Regions. Soil Sci. Soc. Am. J., 58, 6-14.
Bear, J., 1972. Dynamics of fluids in porous media. New York: American Elsevier, pp. 764.
Beekman, H.E., Gieske, A. and Selaolo, E.T., 1996. GRES: Groundwater Recharge Studies in
Botswana 1987-1996. Botswana J. of Earth Sci., Vol. III, 1-17.
Beekman, H.E., Selaolo, E.T. and De Vries, J.J., 1999. Groundwater recharge and resources
assessment in the Botswana Kalahari. GRES II Executive summary and technical reports,
pp. 48.
Beekman, H.E. and Sunguro, S., 2002. Groundwater recharge estimation – Suitability and
reliability of three types of rain gauges for monitoring chloride deposition. Proc. Conf.
Tales of a Hidden Treasure, Somerset West, South Africa, 16 Sept. 2002, 225-233.
17
Beekman, H.E., Xu, Y., Saayman, I. and Adams, S., 2003. A Report to START on the regional
workshop “Framework for recharge estimation in Southern Africa”, 10-11 July 2003,
Somerset West – South Africa, pp. 24.
Bredenkamp, D.B. and Vogel, J.C., 1970. Study of a dolomitic aquifer with carbon-14 and
tritium. Isotope Hydrology 1970, Proc. Symp. IAEA, 9-13 March, 1970, 349-371.
Bredenkamp, D.B., Schutte, J.M. and Dutoit, G.J., 1974. Recharge of a dolomitic aquifer as
determined from tritium profiles. Isotope Techniques in Groundwater Hydrology, IAEA,
Vienna, pp. 73-94.
Bredenkamp, D.B., Botha, L.J., van Tonder, G.J. and van Rensburg, H.J., 1995. Manual on
Quantitative Estimation of Groundwater Recharge and Aquifer Storativity. WRC Report
TT 73/95, Pretoria, South Africa, pp. 407.
Bufler, R., Ambs, P., Himmelsbach, T., Tordiffe, E. and Bäumle, R. 2000. Preliminary
assessment of the groundwater potential of the Tsumeb aquifers in northern Namibia. Proc.
XXX IAH Congress on Groundwater: past achievements and future challenges, Cape
Town, South Africa, 26 Nov.-1 Dec. 2000, 103-107.
Cavé, L., Beekman, H.E. and Weaver, J., 2003. Impact of climate change on groundwater
resources, UNESCO IHP Series 64, this volume.
Cook, P.G. 2003. A guide to regional groundwater flow in fractured rock aquifers. CSIRO-
Seaview Press, South Australia, ISBN 1740082338, pp. 108.
De Vries, J.J. and Von Hoyer, M., 1988. Groundwater recharge studies in semi-arid Botswana -
a review. In: I. Simmers (editor), Estimation of Natural Groundwater Recharge. NATO
ASI series C222, Reidel, Dordrecht, 339-348.
De Vries, J.J., Selaolo, E.T. and Beekman, H.E., 2000. Groundwater recharge in the Kalahari,
with reference to paleo-hydrologic conditions. Journal of Hydrology, Vol. 238, 1-2, 110-
123.
De Vries, J.J. and Simmers, I., 2002. Groundwater recharge: an overview of processes and
challenges. Hydrogeol. J., Vol. 10, 1, 5-17.
Eriksson, E. and Khunakasem, V., 1969. Chloride concentration in groundwater, recharge rate
and rate of deposition of chloride in the Israel coastal plain, J. Hydrol., Vol. 7, 178-197.
Foster, S.S.D., Bath, A.H., Farr, J.L. and Lewis, W.J., 1982. The likelihood of active
groundwater recharge in the Botswana Kalahari. Journal of Hydrology, 55, 113-136.
Gieske, A., 1992. Dynamics of groundwater recharge: A case study in semi-arid Eastern
Botswana. Ph.D Thesis. Vrije Universiteit, Amsterdam, 290 pp.
Houston, J., 1988. Rainfall-runoff-recharge relationships in the basement rocks of Zimbabwe.
In: I. Simmers (editor), Estimation of Natural Groundwater Recharge. NATO ASI series
C222, Reidel, Dordrecht, 349-366.
Jennings, C.M.H., 1974. The Hydrogeology of Botswana. Ph.D. Thesis, University of Natal, pp.
850.
Kinzelbach, W., Aeschbach, W., Alberich, C., Goni, I.B., Beyerle, U., Brunner, P., Chiang, W.-
H., Rueedi, J., and Zoellmann, K., 2002. A survey of methods for groundwater recharge in
arid and semi-arid regions. Early warning and assessment report series,
UNEP/DEWA/RS.02-2. Nairobi, Kenya, pp. 101.
Kirchner, J., 2003. Changing rainfall – changing recharge? UNESCO IHP Series 64, this
volume.
Klock, H., 2001. Hydrogeology of the Kalahari in north-eastern Namibia with special emphasis
on groundwater recharge, flow modelling and hydrochemistry. Ph.D. thesis Univ.
Würzburg, pp. 239.
Lerner, D. N., Issar, A. and Simmers, I., 1990. A guide to understanding and estimating natural
recharge, Int. contribution to hydrogeology, I.A.H. Publ., Vol. 8, Verlag Heinz Heisse, pp.
345.

1
8
Lloyd, J.W., 1986. A review of aridity and groundwater. Hydrological Processes 1, 63-78.
Mazor, E., Verhagen, B. Th., Sellschop, J.P.F., Jones, M.T., Robins, N.S., Hutton, L. and
Jennings, C.M.H., 1977. Northern Kalahari groundwaters: hydrologic, isotopic and
chemical studies at Orapa, Botswana. J. Hydrol., 34, 203-234.
Sami, K. and Hughes, D.A., 1996. A comparison of recharge estimates to a fractured
sedimentary aquifer in South Africa from a chloride mass balance and an integrated
surface-subsurface model. J.Hydrol., 179 (1-4), 111-136.
Scanlon, B.R., Healy, R.W. and Cook, P.G., 2002. Choosing appropriate techniques for
quantifying groundwater recharge. Hydrogeol. J., Vol. 10, 1, 18-39.
Schmidt, G. and Ploethner, D., 2000. Hydrogeological investigations in the Otavi Mountain
Land. Proc. XXX IAH Congress on Groundwater: past achievements and future
challenges, Cape Town, South Africa, 26 Nov.-1 Dec. 2000, 419-424.
Schulze, R.E., 1995. Hydrology and Agrohydrology: a text to accompany the ACRU 3.00
agrohydrological modelling system. WRC, Pretoria, Report TT69/95.
Selaolo, E.T., 1998. Tracer studies and groundwater recharge assessment in the eastern fringe of
the Botswana Kalahari – The Lethlakeng – Botlhapatlou area. Ph.D Thesis. Free
University- Amsterdam, pp. 224.
Selaolo, E.T., Beekman, H.E., Gieske, A.S.M. and De Vries, J.J., 2003. Multiple tracer profiling
in Botswana – Findings of the GRES Project, UNESCO IHP Series 64, this volume.
Sharma, M.L. and Hughes, M.W., 1985. Groundwater recharge estimation using chloride
deuterium and oxygen-18 profiles in the deep coastal sands of western Australia. Journal of
Hydrology. 81:93-109.
Simmers, I. (Ed), 1988. Estimation of Natural Groundwater Recharge. NATO ASI series C,
Vol. 222, (Proc. Of the NATO advanced research workshop, Antalya, Turkey, March
1987) D. Reidel Publ. Co., Dordrecht, pp. 510.
Simmers, I. (Ed), Hendrickx, J.M.H., Kruseman, G.P. and Rushton, K.R., 1997. Recharge of
phreatic aquifers in (semi)-arid areas. IAH Int Contrib Hydrogeol 19, AA Balkema,
Rotterdam, pp. 277.
Smit, P.J., 1978. Groundwater recharge in the dolomite of the Ghaap Plateau near Kuruman in
the Northern Cape, Republic of South Africa. Water SA, Vol. 4,No. 2, 8192.
Spitz, K. and Moreno, J., 1996. A practical guide to groundwater and solute transport
modelling. John Wiley & Sons, Inc., pp. 461.
Van der Lee, J. and Gehrels, J.C., 1997. Modelling of groundwater recharge for a fractured
dolomite aquifer under semi-arid conditions. In IAH-Recharge of Phreatic Aquifers in
(Semi-) Arid Areas (ed. I. Simmers), A.A. Balkema/Rotterdam: 129-144.
Van Tonder, G.J. and Xu, Y., 2000. Recharge – Excel-based software to quantify recharge.
Department of Water Affairs and Forestry, Pretoria, unpublished.
Verhagen, B. Mazor, E. and Sellschop, J., 1974. Radiocarbon and tritium evidence for direct
rain recharge to groundwaters in the Northern Kalahari. Nature, 249, 643-644.
Weaver, J.M.C. and Talma, A.S., 1999. Field studies of Chlorofluorocarbons (CFC’s) as a
Groundwater Dating Tool in Fractured Rock Aquifers, Pretoria, WRC Report 731/1/99.
Xu, Y. and van Tonder, G.J., 2001. Estimation of recharge using a revised CRD method. Water
SA, Vol.27, No. 3, 341-343.
Xu, Y., Titus, R., Holness, S.D., Zhang, J. and van Tonder, G.J., 2002. A
hydrogeomorphological approach to quantification of groundwater discharge to streams in
South Africa. Water SA, Vol. 28, 4, 375-380.

19
2. Challenges in Estimating Groundwater Recharge
Gerrit J. van Tonder1 and John Bean2
1Institute for Groundwater Studies, University of the Orange Free State, South Africa
2Geo-Hydro Technologies, South Africa
ABSTRACT In the preface of the proceedings of a conference on recharge estimation in
Turkey in 1987, Ian Simmers noted:
“No single comprehensive estimation technique can yet be identified from the spectrum of
methods available; all are reported to give suspect results.”
16 years later, this statement still holds, although in the Southern African context, recharge
processes, particularly in fractured rock environments, are better understood due to findings
made during structured, well funded, and long term research programmes (Bredenkamp et al.,
1995; Beekman et al., 1996). The focus of this paper is to briefly outline the limitations of some
of the more common recharge estimation methods, and offer suggestions for improving the
overall reliability of recharge estimations in the region.
2.1 Some Commonly Identified Method Limitations
2.1.1 Unsaturated zone methods
While essentially using either a physical or chemical mass balance to obtain an estimate, the
underlying assumption made when using unsaturated zone methods is that recharge occurs via
diffusive processes (i.e. piston flow occurs). Thus, at sites where preferred pathways influence
the recharge flux, as has been shown to occur at sites throughout sub-Saharan Africa, the
reliability of resulting estimates is questionable. For example, upon receiving 450 mm of
rainfall over a three-day period, only 2 of 18 soil moisture tubes taken near the Free State town
of Dewetsdorp during the 1988 wet season showed an increase in moisture content below a
depth of 1m (Kirchner et al., 1991). Water levels in boreholes increased significantly during this
period, however, thereby confirming recharge via preferred pathways.
The use of unsaturated zone techniques is further complicated when the potential for both
diffusive and preferred pathway flow to occur at a given site during different seasons is
considered, such as would be expected where surficial highly plastic clays occur. At these sites,
rapid recharge via shrinkage cracks could be expected at the start of the wet season, with
diffusive processes becoming more important as the clay swells in response to moisture content
increases with continuing rainfall. The prevailing climate would also be of significance at these
sites, the depth of seasonal moisture variation (and thus the depth of shrinkage crack
development), greater in semi-arid to arid areas, as opposed to sub-tropical zones.
The main limitation of physical mass balance models is the uncertainty associated with
determining the parameters necessary for recharge estimation, such as soil moisture and its
relationship with hydraulic conductivity. For example, the practicing geohydrologist must often
make significant assumptions on the basis of unsaturated zone data obtained from small,
supposedly representative, sample sizes when applying these methods. If, say, a sandy aquifer is
pump tested, the calculated hydraulic conductivity represents an average for profiles influenced
by water table draw down, both spatially and with depth. In comparison, a sand permeability

2
0
can be determined in the laboratory on a sample the size of a beer coaster, the result no doubt
correct for that particular sample, but in all likelihood much less representative of the aquifer as
a whole. Further, it is assumed that, in the case of:
• In situ samples, they have not been disturbed during sampling;
• Disturbed samples, they can be remoulded in the laboratory to represent site conditions;
• In situ measuring devices, such as lysimeters, they have been sited at a place that is
representative of the unsaturated zone as a whole, their installation not having impacted
upon site hydraulic behaviour.
2.1.2 Saturated zone methods
Chloride Mass Balance (CMB)
Since being initially proposed by Eriksson and Khunakasem (1969), the Chloride Mass Balance
(CMB) method has been applied during recharge investigations worldwide in recent time
(Edmunds and Gaye, 1994; Wood and Sanford, 1995; Bazuhair and Wood, 1996). When using
the chloride mass balance method, input parameters (i.e. rain) are generally difficult to measure,
highly variable (i.e. seasonal effects), prone to pollution, and poorly understood, while
unsaturated and saturated zone processes can be easily measured and understood at sites where
diffuse recharge is occurring. In the Southern African context, the absence of long-term rainfall
quality data for sites across the region is one of the main factors limiting its application. For
example, significant seasonal variations are apparent in the chloride concentration of monthly
composite rainfall samples taken in Bloemfontein since February 2002 (see Figure 2.1). The
cause of the observed variations has not yet been determined, although contamination of rainfall
samples with airborne dust is suspected (Bean, 2003). If this is the case, significant annual
variations in rainfall chloride concentration could be expected, the potential for dust
contamination being greater in drier years when there is less vegetative cover.
0
2
4
6
8
10
12
Feb-02 Mar-02 Apr-02 May-
02
Jun-02 Jul-02 Aug-02 Sep-02 Oct-02 Nov-02 Dec-02
Figure 2.1 Chloride concentration in monthly composite samples taken in
Bloemfontein in 2002.
21
With respect to measured chloride in groundwater, an error of 10% is considered acceptable at
several laboratories, while others can only accurately measure dissolved chloride concentrations
greater than a given amount (say 5 mg/l). For recharge determination, rainfall chloride
concentrations must be accurate and precise to at least 0.1 mg/l (i.e. if the chloride concentration
of rainfall at a given site is assumed to be 1 mg/l, but it is actually 0.5 mg/L, calculated recharge
will be twice what it actually is).
The groundwater chloride concentration is often assumed to stay constant during recharge
studies, although this cannot be stated with any certainty within any investigated aquifer system
unless long-term monitoring data is available. Realistically, however, this is only likely to be a
problem within aquifers that could potentially contribute to the salt load (i.e. marine sediments),
or sites where pollution is occurring.
Another assumption made by practitioners applying the CMB is that the recharge pulse only
moves vertically through the unsaturated zone. Within the Karoo Basin, where shallow, sandy
soils can overlie less permeable sedimentary sequences on gently sloping ground, this probably
rarely occurs (Sami and Hughes, 1996). Under these conditions, interflow/through flow is
encouraged, resulting in higher soil water chloride concentrations than would be expected if
only vertical flow through the unsaturated zone occurred (i.e. a horizontal distance path is
longer, allowing more chloride from the zone of evapo-transpiration to be dissolved from the
root zone). Thus, it is the chloride concentration of the standing surface water derived from
throughflow, and not rainfall, that must be determined (Wood, 1999). This is often problematic
because these samples must be taken as soon as possible after rainfall, often from remote or
poorly accessible areas.
Given that input chloride concentrations can vary significantly from site to site within a region
of investigation, it is unsurprising that CMB estimations are site specific. Work undertaken at
Hotazel (Northern Cape) and Petrusburg (Free State) by Bean (2003), confirms that potential
geomorphological controls on groundwater chloride concentration must be considered when
applying the method. Indeed, these geomorphological controls are often integral to any
conceptual geohydrological model developed for the site, particularly in Southern Africa where
most exploitable aquifers are unconfined or semi-confined in character.
Isotope methods
Allison et al. (1983) developed a semi-empirical method of estimating recharge using the stable
isotopes 2H and 18O. According to Amore et al. (2000), the method has never been shown to be
applicable under field conditions, perhaps not surprising given that, while the relative
abundance of both isotopes is influenced by evaporation, transpiration effects are not
represented on infiltrating soil water (Zimmerman et al., 1967). Thus, they are more for
qualitative, as opposed to quantitative use during recharge studies, particularly given that both
can be regarded as conservative tracers.
Regional-scale estimations have been undertaken by using groundwater age data to estimate the
aquifer replenishment rate (Kotze et al., 2000). While several isotopes can be used to date
groundwater, perhaps the most commonly used is 14C, a radioactive isotope that can be used
determine groundwater ages up to 60000 years. Age determination using the method can be a
daunting task, however, due to difficulties associated with accounting for 14C dilution by
alternative carbon sources. In Southern Africa, this is a particular problem given the high
carbonate content of many aquifers in semi-arid and arid areas.

2
2
As an example of the problems associated with dating using 14C, consider groundwater sampled
from Borehole 5.1, Florida, U.S.A. (14CDIC = 37 pmC and 13C soil gas = -12 o/oo). This sample
was assessed using adjustment models suggested by several different researchers (see Figure
2.2), the resulting estimates varying between 8000 years and 400 years. The interpretation of
14C results can therefore be very subjective, a condition that is not conducive to obtaining
reliable estimates of recharge.
Figure 2.2 Range of ages obtained by using different adjustment models to account
for carbon dilution during 14C dating (Plummer and Sprinkle, 2001).
Water balances (SVF method, CRD method, Groundwater models)
The accuracy of water balance methods is largely dependent on the quantity and quality of data
available for interpretation (e.g. spreading of the boreholes over the aquifer, frequency of water
level and abstraction data, correctness of the conceptual model and boundary conditions). A
problem with the SVF-method is that the measured water levels must be representative for the
aquifer as a whole, with lateral inflow and outflow along the boundaries known. Even the
steady state calibration of recharge in a groundwater model could be problematic in a case
where the outflow flux (or inflow flux for that matter) is not known with a high degree of
certainty. Nevertheless, providing the boundary conditions are well known, a steady state model
can be used to obtain an average recharge for the different zones in the aquifer with good effect.
The major advantage of SVF-type estimations is that they allow recharge estimations to be
made from current data. While this probably isn't a cause for concern in wetter areas where
aquifers are recharged annually and are regularly "flushed", in semi-arid to arid areas
comprising thick unconsolidated aquifers it becomes a problem because groundwater residence
times are much longer. At these sites (e.g. the Kalahari), it is possible that the background Cl
concentration has been influenced by recharge that occurred during a previous wet period, say,
4000 years ago, rather than recharge processes today. It should be appreciated, however, that
SVF techniques are most applicable to unconfined to semi-confined aquifer systems, as the
Well 5.1 in Florida
0
2000
4000
6000
8000
10000
100 pmc
Tamers (1975)
Ingerson&Pearson
(1975)
Mook (1972)
Eichinger (1983)
Fontes&Garnier
(1979)
Netpath (Plummer)
Age (years)
23
water level that corresponds for the aquifer under investigation is known, which is often not the
case in layered aquifer systems.
A shortcoming with most models is that uniform recharge over the model area is assumed,
which is quite clearly not the case in most instances. However, unless detailed and often
expensive investigations are undertaken initially, it is almost impossible to identify areas of
preferred recharge. For example, at Meadhurst near Bloemfontein, recharge is a factor of two
higher in lower lying areas as compared to the surrounding dolerite hills, the implications being
that run-off from the relatively bare hills accumulates as surface water in depressions prior to
recharge. Similar recharge behaviour has also been observed elsewhere, particularly in semi-
arid to arid areas (Vogel and van Urk, 1975; Wood and Sanford, 1995; Bazuhair and Wood,
1996; Bean, 2003). Indeed, given current industry competitiveness, most consultants would not
be prepared to take the risk of budgeting for such a detailed investigation at the time of tender
submission, their site conceptualisation and resulting model unrepresentative of site conditions
as a result.
Recharge estimation is also possible using another water balance type method, the EARTH
model (Beekman et al., 1996), monthly water level and rainfall data for a given borehole being
a minimum requirement. Again, for the saturated part of the model, the storage co-efficient
must be known for a unique recharge estimate to be obtained.
2.2 The Balance between Recharge and Sustainability – A Namibian example
In terms of sustainable management, it is important that the water level in a given borehole be
maintained (i.e. the static water level after two years of pumping is the same as was initially),
which by inference requires that extraction be less than recharge. In practice, however,
groundwater resource management is more complicated than this given the spatial variations in
recharge. Thus, while the total extraction from a given borehole is much less than total recharge
to the aquifer system as a whole, where recharge is exceeded locally, water levels will still
decline over time. It is therefore important that management approaches not be over-
generalized, site specificity instead considered within the framework of a comprehensive
holistic management strategy for respective aquifer systems.
Long-term trends in monitoring data collected from well fields in the Windhoek Aquifer
provide an example of unsustainable management practices in a semi-arid area (see Figure 2.3).
Abstraction here totalled 103 Mm3 for the period 1950 to 2000 (i.e. about 2 Mm3/a), resulting in
an average annual water table decline of 0.8 m/a (see Figure 2.4), with Murray (2002)
estimating that this must decrease to about 1.7 Mm3/a (i.e. 2.2% of the average annual rainfall
over an area of 213 km2) to ensure long term sustainability. However, given the total area of the
Windhoek aquifer is larger than the 213 km2, the potential exists for sustainability to be restored
if water from new boreholes drilled outside of the currently exploited catchment area is used to
complement the well field supply.
The low chloride concentration (approaching 5 mg/L in some instances) of groundwater
extracted from the Windhoek Aquifer is also of interest. Given that the weighted average
chloride concentration of site rainfall was about 1 mg/l, recharge estimated using the CMB
method was 20%, a significant over-estimation. When site geology was also considered,
however, it was apparent that the low chloride groundwater was associated with fault zones that
occur within the quartzites of the Aus Mountains. Thus, the observed low groundwater chloride
concentrations can be attributed to rapid recharge along the trend of these structures.

2
4
Figure 2.3 Layout of abstraction boreholes in the Windhoek Aquifer.
Figure 2.4 Water level data of three boreholes in Windhoek, Namibia (after Murray,
2002).
1600
1620
1640
1660
1680
1700
1720
1740
Water Levels (mamsl)
Jan-50 Jan-55 Jan-60 Jan-65 Jan-70 Jan-75 Jan-80 Jan-85 Jan-90 Jan-95 Jan-00 Jan-05
5/4 6/2 7/1
1950 - 2001:
Water level decline of ~ 42 m
Average: 0.8 m/a
25
Note that the groundwater table in Figure 2.4 shows an average annual decline of 0.8m over a
50-year period.
For the Windhoek Aquifer, unsaturated zone storage is not always available. In such a case, the
component of rainfall that is not run-off rapidly recharges the aquifer via preferred pathways.
Indeed, at sites where groundwater chloride concentrations are higher than those in rainfall,
observed increases could be just as easily be attributed to the dissolution of airborne dust
derived chloride that has been deposited on site surfaces as opposed to evaporation.
The absence of unsaturated zone storage could also explain the high recharge (50%) calculated
using the CMB method for fractured Table Mountain Group aquifers near Cape Town (Weaver
and Talma, 2000). Visual inspection of the outcropping mountain peaks in the area confirms
that there is little, and in many places, no unsaturated zone. Thus, given that a) recharge water is
only resident in the unsaturated zone for a limited time due to the lack of storage; b)
transpiration cannot take place because vegetation has difficulty becoming established at such
sites; and c) evaporation cannot take place because rapid recharge occurs via preferred
pathways, then recharge can be defined as that component of rainfall that does not leave the
recharge area as run-off.
2.3 Approach to Recharge Estimation in Some Difficult Terrains
2.3.1 Episodic recharge
Providing the conceptual recharge model and method limitations are understood, the CMB
method is a practical, low cost method of estimating site recharge. This is significant in
Southern Africa because, while considerable funding has traditionally been made available to
undertake research into water quality issues, limited funding appears to have been set aside for
ensuring that water levels are measured at monthly intervals in aquifers of strategic importance.
Other techniques, which provide better estimates because they model current aquifer response
to recharge as opposed to the long-term averages that geochemical and isotopic methods
provide, cannot be utilized. This is perhaps of most concern in areas where episodic recharge, a
feature of semi-arid and arid landscapes, occurs.
Moisture retention within the unsaturated zone, particularly in semi-arid to arid areas draped
with thick sand sediments, can have a significant influence on recharge during a given rainfall
event (Foster et al. 1982; de Vries et al., 2000). While recharge is diffusive in these
environments, the recharge pulse is only mobilized by extraordinary rainfall, and is thus
episodic in character. In terms of effectively managing groundwater resources in these areas, it
is not only essential that the amount of recharge be quantified, but also the amount of rainfall
that is required to initiate recharge, as this will dictate the amount of groundwater that must be
held in reserve. Recharge in these areas occurs maybe once in every 10 years, over which time
resource requirements could change drastically (i.e. a new groundwater supply for a town or
mine is required). Given the time span involved, greater flexibility in the use of the resource is
required, such that allocations in these areas be based on the total amount of water that can be
used between recharge return periods rather than an annual average.
Given the lack of water level data for much of semi-arid and arid Southern Africa, alternative
methods of episodic recharge prediction are required. One technique successfully applied in the
Northern Cape Province of South Africa was to relate amount effects observed in regional
rainfall data to groundwater isotope values. Dansgaard (1964) initially made reference to the

2
6
amount effect, whereby the isotopic composition of rainwater is related to the depth of
precipitation received at a given site. Work undertaken by Bean (2003) confirms that amount
effects can be identified in International Atomic Energy Agency and World Meteorological
Organization (IAEA/WMO; 2003) datasets for Johannesburg and Windhoek, but not for Cape
Town, possibly a consequence of the latter’s Mediterranean climate. Thus, using an approach
similar to that taken by Harrington et al. (2002), the minimum amount of rainfall required for
recharge to occur can be predicted (Figure 2.5).
Figure 2.5 Amount effect for Windhoek rainfall determined using IAEA/WMO
(2001) data.
Note that in Figure 2.5 the weighted average isotopic composition for monthly rainfalls of 0 to
50, 50 to 100, 100 to 150, and >150 mm intervals become successively more depleted in 18O.
When Hotazel groundwater data (used with permission of BHP Billion) for those sites
recharged directly from rainfall (18O<-4.3 o/oo) is included, it is apparent that a linear trend line
can be extended to intercept the Windhoek MWL, the point of interception indicating the
amount of monthly rainfall required before recharge occurs. Results indicate that monthly
rainfall must exceed at least 150 mm before recharge occurs, which when considered against 40
years of monthly rainfall data for Hotazel, suggests that recharge has occurred no more than 13
out of a possible 504 months during that period, and is thus episodic in character.
2.3.2 Recharge in fractured rock terrains
Given the limitations of the CMB method, particularly at sites where recharge occurs via
preferred pathways, it may seem paradoxical that its use be recommended within some
fractured rock terrains. Nevertheless, its application is justified when the variable hydraulic
properties of fractured rock aquifers are considered.
On a regional scale, fractured rock aquifers are commonly regarded as equivalent porous
mediums for modelling purposes, a necessity given the significant variations in porosity,
hydraulic conductivity, and storage that occur between adjacent areas. Thus, even where long-
y = 6.75x + 7.04
R2 = 0.99
-60
-50
-40
-30
-20
-10
0
-10-8-6-4-2 0
18O (0/00)
2H (0/00)
0-50 mm
50-100 mm
100-150 mm
>150 mm
Hotazel GW
MWL
27
term water level data is available, the hydraulic conditions that contribute to the observed water
table response at a given site following recharge represent an average for the area surrounding a
given borehole. The CMB method negates the need for measuring or estimating these hydraulic
parameters, as it already represents a long-term average of recharge. This is not to say that water
levels should not be taken at fractured rock terrains, but rather that recharge calculated using
water balance methods be checked using CMB methods in those areas completely overlain by a
porous unsaturated zone of significant thickness. Indeed, the comparison of results obtained
using multiple estimation techniques is recommended during all recharge investigations,
whether conducted in fractured rock or porous environments.
2.4 Future Challenges
The impact of climate change on recharge estimation has the potential to be significant, the
main reason being that the underlying assumption of the CMB method, that present recharge is
a reflection of what occurred in the past, may no longer hold true. It is not just the potential for
some areas of Southern Africa to become wetter and others drier in response to global warming
that is of concern, but also the potential for rainfall chloride concentrations to change over time.
Given that monthly variations in rainfall chloride concentrations at two inland areas have been
attributed to the influence of airborne dust (Bean, 2003), it is reasonable to assume that
conditions that affect the generation of dust are of importance regionally. Thus, if the Kalahari
were to become significantly wetter, one would assume the amount of airborne dust, and hence
rainfall chloride concentration to decrease. However, the re-equilibration of groundwater
chloride concentrations necessary before the CMB method could be again reliably applied in
the area would not be apparent for several (most likely thousands) of years afterwards.
One of the major future challenges is the identification of recharge areas, and unless detailed
and expensive investigations are undertaken initially, it will be impossible to identify these
zones.
2.5 Conclusions
Given the inherent inhomogeneity of catchment and aquifer parameters, there is no set
procedure that can be followed to enable site recharge to be estimated. What is most important
is that, wherever possible, multiple estimation techniques be applied, the shortcomings of each
clearly understood by the investigator in question. However, the absence of long-term monthly
water data at most sites will result in a continued dependence on the combined application of
the CMB method with stable isotope techniques for some time yet.
In order to obtain more reliable estimates, a concerted effort must be given to obtaining input
parameter data, including monthly water levels, seasonal rain, surface, and groundwater quality
(chemical and isotopic), and the storage and management of this data in centralized databases.
This can be best achieved with government funds, although given the recent changes in
legislation requiring industry to ensure monitoring is undertaken in some countries in Southern
Africa, there is considerable scope for private money to contribute to data collection. This can
perhaps best be achieved if a standardized monitoring code of practice is developed for
industries operating in the region, which outlines minimum monitoring frequencies for input
parameters necessary for recharge estimation.
2
8
2.6 References
Allison, G.B., Barnes, C.J., Hughes, M.W. and Leaney, F.W.J., 1984. Effect of climate and
vegetation on oxygen-18 and deuterium profiles in soils. In: Isotope Hydrology 1983,
IAEA Symposium 270, September 1983, Vienna, 195-123. In: Clark, I.D. and Fritz, P.
1997. Environmental isotopes in hydrogeology. Lewis Publishers, New York, 328 pp.
Amore, F.F., Darling, G, Paces, T., Pang, Z. and Silar, J., 2000. Environmental isotopes in the
hydrological cycle: Principles and applications – Volume 4: Groundwater. IAEA, Vienna,
196 pp.
Bazuhair, A.S. and Wood, W.W., 1996. Chloride mass-balance method for estimating ground
water recharge in arid areas: examples from western Saudi Arabia. J. of Hydrol., 186, 153-
159.
Bean, J., 2003. A critical review of recharge methods used in South Africa. Unpublished Ph.D.
thesis, University of the Free State, Bloemfontein (in press).
Beekman, H.E., Gieske, A. and Selaolo, E.T., 1996. GRES: Groundwater Recharge Studies in
Botswana 1987-1996. Botswana Journal of Earth Science, 3, 1-17.
Bredenkamp, D.B., Botha, L.J., Van Tonder, G.J. and Van Rensburg, H.J., 1995. Manual on
Quantitative Estimation of Groundwater Recharge and Aquifer Storativity, Water Research
Commission Report TT73/95, Pretoria.
Dansgaard, W., 1964. Stable isotopes in precipitation. Tellus, 16, 436-438. In: Amore, F.F.,
Darling, G, Paces, T., Pang, Z. and Silar, J., 2000. Environmental isotopes in the
hydrological cycle: Principles and applications – Volume 4: Groundwater. IAEA, Vienna,
196 pp.
De Vries, J.J., Selaolo, E.T. and Beekman, H.E., 2000. Groundwater recharge in the Kalahari,
with reference to paleo-hydrologic conditions. Journal of Hydrology, 238, 110-123.
Edmunds, W.M. and Gaye, C.B., 1994. Estimating the spatial variability of groundwater
recharge in the Sahel using chloride. Journal of Hydrology, 156, 47-59.
Eriksson, E. and Khunakasem, V., 1969. Chloride concentration in groundwater, recharge rate
and rate of deposition of chloride in the Israel coastal plain. Journal of Hydrology, 7, 178-
197.
Foster, S.S.D., Bath, A.H., Farr, J.L. and Lewis, W.J., 1982. The likelihood of active
groundwater recharge in the Botswana Kalahari. Journal of Hydrology, 55, 113-136.
Harrington, G.A., Cook, P.G. and Herczeg, A.L., 2002. Spatial and temporal variability of
ground water recharge in Central Australia: A tracer approach. Groundwater, 40 (5), 518-
528.
IAEA/WMO, 2001. Global Network of Isotopes in Precipitation (GNIP). The GNIP database
for Windhoek, Johannesburg, and Cape Town can be accessed at http://isohis.iaea.org.
Kotze, J.C., Verhagen, B.Th. and Butler, M.J., 2000. An aquifer based model based on
chemistry, isotopes and lineament mapping: Little Karoo, South Africa. In: Sililo, O.
(Editor). Groundwater: Past Achievements and Future Challenges, International
Association of Hydrogeologists Conference Proceedings, Cape Town, South Africa.
Kirchner, J., van Tonder, G.J. and Lukas, E., 1991. Exploitation potential of Karoo aquifers.
Water Research Commission Report No. 170/1/91, Pretoria.
Murray, E.C., 2002. The feasibility of artificially recharging the Windhoek aquifer. Ph.D. thesis,
University of the Free State, Bloemfontein.
Plummer, N. and Sprinkle, C.L., 2001. Dating of dissolved inorganic carbon in groundwater
from confined parts of the Upper Floridan aquifer, Florida, USA. Hydrogeol. J., 9, 127–
150.
29
Sami, K. and Hughes, D.A., 1996. A comparison of recharge estimates to a fractured
sedimentary aquifer in South Africa from a chloride mass balance and an integrated
surface-sub-surface model. J. of Hydrol., 179, 111-136.
Simmers, I., 1988. Preface in the Conference Proceedings: Estimation of Natural Groundwater
Recharge, NATO ASI Series Vol. 222, Conference held in Turkey.
Vogel, J.C. and van Urk, H., 1975. Isotopic composition of groundwater in semi-arid regions of
southern Africa. Journal of Hydrology, 25, 23-36.
Weaver, J.M.C and Talma, A.S., 2000. Deep flowing groundwater in the Table Mountain
Group quartzite. In: Sililo, O. (Editor). Groundwater: Past Achievements and Future
Challenges, International Association of Hydrogeologists Conference Proceedings, Cape
Town, South Africa.
Wood, W.W. and Sanford, W.E., 1995. Chemical and isotopic methods for quantifying ground
water recharge in a regional, semi-arid environment. Ground Water, 33 (3), 458-468.
Wood, W.W., 1999. Use and misuse of the chloride-mass balance method in estimating
groundwater recharge. Ground Water, 37 (1), 2-3.
Zimmerman, U., Ehhalt, D. and Munnich, K.G., 1967. Soil water movement and
evpotranspiration: changes in the isotopic composition of the water. In: Isotope in
Hydrology, IAEA, Vienna, 567-584. In: Amore, F.F., Darling, G, Paces, T., Pang, Z. and
Silar, J., 2000. Environmental isotopes in the hydrological cycle: Principles and
applications – Volume 4: Groundwater. IAEA, Vienna, 196 pp.
31
PART II
Recharge Estimation Related to the Unsaturated Zone

33
3. Multiple Tracer Profiling in Botswana – GRES Findings
Edson T. Selaolo1, Hans E. Beekman2, Ambro S.M. Gieske3 and Jacob J. de Vries4
1Formerly Department of Geological Survey, Botswana
2Environmentek, Council for Scientific and Industrial Research, South Africa
3Department of Water Resources, International Training Centre, Netherlands
4Department of Hydro(geo)logy, Vrije Universiteit Amsterdam, Netherlands
ABSTRACT Moisture transport through the unsaturated zone in semi-arid Botswana has been
studied extensively through the “Groundwater Resources Monitoring and Recharge Study”
project (GRES: 1987-1997; Gieske, 1992; Selaolo, 1998; Beekman et al., 1999). Various
methods were applied to estimate moisture fluxes and to elucidate recharge mechanisms. Most
successful were the profiling methods that used a multitude of the tracers Chloride, 2H, 18O and
3H. Moisture fluxes were found to decrease sharply with decreasing annual rainfall from around
11 mm/year in shallow soils and weathered rock overlying Precambrian basement in south-
eastern Botswana to less than 1 mm/year in Kalahari sediments of Central Botswana. Most
importantly, the studies revealed evidence for preferential flow occurring at great depths. This
means that the use of methods that assume diffuse moisture transport require validation in order
to derive meaningful results.
3.1 Introduction
Moisture transport studies in Botswana in the vadose zone date back to the early 1970s and
were mainly carried out in the Kalahari. Early judgments suggested 6 m Kalahari sand cover as
the limit of recharge, with vegetation effectively taking out all available moisture. However,
subsequent studies, using 13C, 14C, 3H, 2H and 18O, carried out in both the Central Kalahari
(Verhagen et al., 1974, Mazor et al., 1977) and in the Gordonia region of the southern Kalahari
(Verhagen, 1984), suggested that recharge is common. Foster et al. (1982) carried out isotope
studies in the fringe of the Kalahari Basin and pointed out that tritium levels in the unsaturated
zone were very low while chloride levels were found to be very high. From their study, it was
concluded that recharge under present climatic conditions was unlikely. De Vries (1984)
corroborated this view through a numerical study of receding regional groundwater levels since
the last pluvial period (12000 BP). The conclusion from this study was that present-day overall
recharge is probably less than 1 mm/yr and that part of present groundwater flow could be a
residual from a previous wetter climatic period.
Since the late 1980s, systematic research was carried out for a period of ten years within the
framework of the GRES project. The investigations centred around moisture transport through
the vadose zone and recharge to the underlying aquifers in crystalline basement in the south-
eastern part of the country (see Figure 3.1 - GRES-I: 1987-1992; Gieske, 1992) and in Karoo
aquifers in the Kalahari Basin towards the central part of the country (GRES-II: 1992-1997;
Selaolo, 1998; Beekman et al., 1999). In this paper, we present some results of multiple tracer
profiling studies along a transect from south-eastern to central Botswana.
In section 3.2, the basic theory of methods used relating to multiple-tracer profiling is given.
Section 3.3 discusses the long-term annual rainfall, total chloride deposition patterns and
meteoric water lines (MWL’s) for Botswana. These constitute the input function for quantifying
moisture fluxes and for elucidating recharge mechanisms. The fourth section deals with shallow
and deep multiple tracer profiling in the unsaturated zone in the GRES study areas of Nnywane-

3
4
Pitsanyane, Letlhakeng-Botlhapatlou and Central Kalahari. A summary of the findings is given
in section 3.5.
Figure 3.1 Map of Botswana showing GRES study areas (Beekman et al., 1996).
3.2 Theoretical Aspects of Multiple Tracer Profiling
The following tracers were used in the multiple tracer profiling studies along the southeast –
central Botswana transect to determine moisture fluxes and to elucidate recharge mechanisms:
Chloride, the stable isotopes 2H and 18O and the radioactive isotope 3H. Each tracer provides
insight into certain aspects of transport processes operating within the vadose zone and the
aquifer. Chloride has been used in a wide range of environments for the determination of both
moisture fluxes and recharge rates and has also been used successfully to unravel different
recharge regimes in the past. It should be noted that moisture fluxes only represent potential
recharge while actual recharge can only be determined when also the saturated zone or the
water table is included in the analysis. 2H and 18O are valuable for estimation of evaporation and
for delineation of the origin of groundwater. They may also be used in the estimation of
moisture fluxes and recharge rates. The presence of elevated 3H activity in moisture and
groundwater is an indication of recently infiltrated water and may also be used for deciphering
recharge mechanisms in terms of multi-model flow. The strength of multiple tracer profiling
(see e.g. Simmers et al., 1997) is that various information obtained from each tracer, including
the lithological and other information about the groundwater system, can be combined so that a
more complete picture emerges of both fluxes and transport mechanisms.
In this paper, moisture fluxes have been calculated based on the Chloride Mass Balance (CMB),
2 Isotope Displacement (ID) and the Tritium (3H) methods. Detailed information on these
methods, including limitations, underlying assumptions and applicability can be found in
Allison et al. (1984), Lerner et al. (1990); Gieske (1992), Bredenkamp et al. (1995); Beekman et
al. (1997) and Selaolo (1998).
6
84
1
2
3
5
BOTSWANA
ANGOLA
NAMIBIA
Okavango
Delta Maun
ZAMBIA
Lake
Kariba
ZIMBABWE
SOUTH AFRICA
Makgadikgadi Pans
Francistown
Ghanzi
7
Gaborone
Scale
0200 km

35
3.2.1 Chloride Mass Balance (CMB)
This method is based on the assumption of conservation of mass between the input of
atmospheric chloride and the chloride flux in the subsurface. For a steady state between the
chloride flux at the surface and the chloride flux beneath an upper zone where
evapotranspiration and mixing of rainfall and pore water takes place, the moisture flux can be
calculated as (Eriksson and Khunakasem, 1969):
(1)
where Rsm is the moisture flux (diffuse or slow flow component; mm/yr), P is rainfall (mm/yr),
Clp and Clsm are chloride concentrations in rainfall and soil moisture (mg/l), and D is the dry
chloride deposition (mgm-2yr-1). The sum of P*Clp and D is also referred to as “Total
atmospheric chloride Deposition” (TD) and originates from both precipitation and dry fall out.
Comparison of moisture flux and recharge provides insight into the mechanism of recharge.
3.2.2 Isotope Displacement - 2δ (ID)
Allison et al. (1984) proposed a conceptual model for calculation of moisture fluxes and
recharge rates in (semi-) arid areas using the stable isotopes 2H and 18O. They proposed the
following simple relationship between displacement of -values of soil water from the local
meteoric water line (2 = a18+b; with a=8 and b=10 for the Global MWL) and moisture flux:
(2)
with as the displacement of either 2H or 18O from the local MWL (in o/oo) and C representing
the slope of a line through the inverse of the square root of moisture fluxes obtained from other
methods (e.g. from the CMB) and displacements from the local MWL observed in a 2 - 18
diagram for different sites. The method assumes that rainfall events are evenly distributed over a
year and that moisture is transported through the vadose zone by means of piston flow. Neither
one of the assumptions seem to always hold in semi-arid environments, but for a wide range of
climatic regimes in Australia, Allison et al. (1984) did find a valid relationship for C=20. The
method is more sensitive to moisture fluxes of less than 10 mm/yr.
3.2.3 Tritium (3H)
A downward moisture flux can be calculated from (Allison et al., 1994):
(3)
where Ti is the concentration of 3H (TU) for a specific depth interval hi; is volumetric moisture
content; Tpi is the mean 3H concentration in rain for year i before present; is the tracer decay
constant (0.05576 yr-1) and w is a weighting factor which takes into account year to year
variation in recharge (w~1 in general). This method also assumes vertical piston flow. If vapour
transport develops, fluxes would be overestimated, especially where these are known to be low.
Cl
TD
Cl
D+
Cl
*P
=
R
smsm
p
sm =
sm
R
C
=∆
δ
()
∑
∑
=
=
−
=t
i
pi
z
i
iii
sm
iwT
hT
R
1
1
exp
10
λ
θ

3
6
3.3 Rainfall, Chloride Deposition and Meteoric Water Lines
3.3.1 Rainfall
Rainfall monitoring in Botswana has been a continuous process since the early 1900s (Bhalotra,
1987). Expansion of this network has mainly been a concerted effort between the Department of
Meteorological Services and the Department of Geological Survey.
Rainfall in Botswana is restricted to the summer season and most rainfall events occur as
convective thunderstorms of limited areal extent and relatively short duration. Daily amounts of
10 to 30 mm are common. Occasionally, however, large-scale frontal systems bring heavy,
widespread rains for periods ranging from one or two days to several weeks. Figure 3.2a
illustrates the long-term average rainfall in Botswana. Tyson (1986) has shown that rainfall is
modulated slightly by a periodicity of between 18 and 20 years, which has clearly manifested
itself in the wet period of the 1970s and the drought of the 1980s. Although there seems to be a
general trend, strong local and regional deviations occur due to the different geological and
geomorphological conditions.
Figure 3.2 Rainfall and Total Chloride Deposition Patterns (Beekman et al., 1996).

37
3.3.2 Chloride Deposition
Rainfall sampling for the determination of chemical constituents has been carried out
systematically by the Botswana Geological Survey since 1983 mainly to determine the total
chloride deposition (TD) for groundwater recharge estimation. Within the GRES project,
various sampling methods and different types of rain gauges were used to evaluate the validity
of the results (Gieske, 1992; Selaolo et al., 1994; Beekman et al., 1996; Selaolo, 1998). Factors
that influence the accuracy and validity of TD determination are the design of the rain gauge;
the material of the funnel and reservoir; the preparation, sampling and conservation procedures;
contamination and instrumental accuracy of Cl analysis.
Large variations in TD (inter-annual, between different types of rain gauges and between rain
gauges of the same type) were interpreted from an experimental station at the fringe of the
Kalahari (Selaolo, 1998; Beekman et al., 1999). Despite these variations, an increase in TD at
this station was observed with increasing rainfall. Figures 3.2b and 3.2c illustrate the difficulty
in interpretation of TD-results from the countrywide network for two different periods of
measurement corresponding to two different types of rain gauges. For mean annual rainfall
increasing in a northeasterly direction from 300 to 650 mm/yr (Figure 3.2a) different trends in
TD are observed. The differences between the two series of TD values can neither be explained
by differences in rainfall amounts nor by expected differences in TD due to the different types
of rain gauges. Clearly, further experimentation and long-term monitoring is needed to establish
the causes of such variations.
3.3.3 Meteoric Water Lines (MWL’s)
Systematic sampling of rainfall for 18O and 2H started at the Lobatse Geological Survey rainfall
station in 1991 and was extended to the fringe of the Kalahari as well as to the Central Kalahari
environment. Figure 3.3 shows MWL's based on individual rainfall events.
Figure 3.3 Botswana MWL’s (Beekman et al., 1999).

3
8
A decrease in slope and deuterium excess value can be seen from the south-eastern part of the
country (Lobatse: NP-MWL) via the fringe of the Kalahari (Malwelwe: LB-MWL) towards the
Central Kalahari (CK-MWL). This decrease may be attributed to an increasing evaporative
enrichment of raindrops below the cloud base (Rozanski et al., 1993). The Botswana MWL's do
not differ much from the Pretoria MWL. For the Letlhakeng-Botlhapatlou (LB) area at the
fringe of the Kalahari, it was found that over the whole range of rainfall amounts the most
depleted 18O and 2H contents closely resemble the groundwater composition (Beekman and
Selaolo, 1994). Variation in isotopic composition was largest for rainfall amounts of events less
than 30 mm suggesting that events in excess of 30 mm significantly contribute to groundwater
recharge.
Events with relatively large amounts of rainfall were also analysed for 3H since 1992. Activities
for stations from the south-eastern part of the country towards the Central Kalahari (Lobatse,
Malwelwe and Central Kalahari) ranged from 1.5 to 8.2 TU with a weighted mean of 4 TU for
the 1994/95 rainy season.
3.4 Multiple Tracer Profiling in the Unsaturated Zone
It is generally recognized that groundwater recharge occurs along various routes such as direct
infiltration through outcrop areas, hill slope runoff percolating through colluvial and alluvial
fans, river bed infiltration and through soils of varying thickness (Allison et al., 1994). The
nature of the zone above the water table in these geomorphologic settings is highly complex.
Figure 3.4 illustrates some of the geomorphologic controls on moisture transport through the
vadose zone that can be expected in a typical semi-arid environment, like the Botswana
Kalahari. Both unsaturated and saturated conditions exist in a heterogeneous medium
characterized by primary and secondary fracture porosity. Strong variations in hydraulic
behaviour occur through small differences in moisture retention. In semi-arid areas, in
particular, where rainwater after infiltration is often subjected to high evapotranspiration only a
few percent of the annual rainfall normally percolates down to the water table.
Figure 3.4 Mechanisms of infiltration and moisture transport in the Kalahari
(Selaolo, 1998).

39
In view of the heterogeneous nature of the vadose zone, transport is expected to be multi-modal,
with slow diffuse percolation through the topsoils and relatively fast preferential flow through
cracks, root channels, and fractures. An understanding of moisture transport through this
heterogeneous zone is therefore essential for an appraisal of the relative importance of
contributing recharge components.
In the following sections, an overview of results of the GRES multiple tracer profiling studies
along a transect from south-eastern to central Botswana is given. More detailed information is
found in Gieske (1992), Selaolo (1998) and Beekman et al. (1999).
3.4.1 Nnywane-Pitsanyane (NP - average rainfall 500 mm/yr)
Several small dolomite aquifers lie about 10 km north of Lobatse in a north-south trending
valley along a major geological fault. Soil thickness is about 10 m along the valley axis, but
decreases to less than 1 m towards the slopes. Highest aquifer transmissivities and storativities
occur in the valley where the water table is about 40 m below the surface. Because the aquifers
form an important water resource for the Lobatse water supply, the hydrogeology and
hydrochemistry of the area is well known (see e.g. Jennings, 1974 and Gieske, 1992).
Shallow profiles
A small study area of 200 by 200m was selected on the main valley axis and twenty shallow
profiles varying in depth from 1 to 10 m were drilled with a hand auger system. Samples, taken
at regular intervals were analysed for Cl, tritium and stable isotopes. Detailed analytical
procedures and results were reported by Gieske et al. (1990) and Gieske (1992). Figure 3.5
illustrates some of these results.
Figure 3.5 Nnywane-Pitsanyane shallow profiles (Gieske, 1992).
The averaged chloride profile illustrates that the root zone in the area does not in general lead to
a maximum in the chloride concentration, as is the case in e.g. many Australian examples
(Allison et al., 1994). It was concluded from the chloride mass balance method, that the average
moisture flux through the soils in the area amounted to about 11 mm/yr. It was also observed
that, even on the small scale of 200 by 200 m, variability in moisture transport was high.
Surface drainage lines were found, below which infiltration was much enhanced.
Regionalization and averaging of recharge fluxes obtained through vertical profiles is therefore
not straightforward, even when drilled on such a dense and regular grid.
4
0
Stable isotope profiles in the area generally do not show evaporative profiles, characterized by
increasing enrichment towards the surface (Allison et al., 1994). The profiles show that pure
evaporation from depths below 2 m is very low. Therefore the stable isotope composition of soil
moisture below this depth is characterized by the depleted isotope content of above normal
rainfall events.
Results obtained through analysis of tritium activities indicate an average moisture flux of 16
mm/yr, slightly higher than the average value obtained from the chloride mass balance method.
Discrepancies between the two methods seem to be due to the fact that tritium can be
transported in both liquid and vapour phases while the chloride ions are only transported in the
liquid phase. The difference between the two methods increases with decreasing recharge rates
(Gieske et al., 1995). At higher moisture flux rates and higher saturation of sediments, anion
exclusion may become important, leading to apparently higher recharge values obtained
through the use of the chloride mass balance methods.
The generally low flux rates through the valley soils contrast with the generally fast reaction of
the groundwater table to seasons with above average rainfall. Most recharge in the area
therefore seems to occur along other avenues. Multi-modal recharge has been taken into
account through groundwater flow modelling and through so-called mixing cell models (Adar
et al., 1988, Gieske and De Vries, 1990).
3.4.2 Letlhakeng-Botlhapatlou (LB - average rainfall 420 mm/yr)
The area is located in the fringe of the Kalahari Basin about 100 km to the northwest of
Gaborone (Figure 3.1) and is characterized by a flat topography intersected by several fossil
valleys and small pans below which a major aquifer has formed in Karoo sandstones. Average
depth to the water table is 50 m with groundwater flow towards the northwest.
Thirteen shallow profiles (1.5 to 11.5 m depth) representing various geomorphologic and
vegetation settings were drilled with hand augers. Moisture was extracted from sediments in the
laboratory using thoroughly tested techniques (vacuum distillation) and procedures to minimise
inaccuracies that result from incomplete recovery of moisture (Obakeng et al., 1997). Samples
were analysed for Cl, 2H, 18O and 3H (Gieske et al., 1995; Beekman et al., 1997; Selaolo, 1998).
One deep profile of 41.7 m was drilled with a multipurpose drilling rig deploying an advanced
sampling technique (Beekman et al., 1997; Selaolo, 1998).
Shallow profiles
Results of some shallow profiles sampled in the LB area are summarised in Figure 3.6.
Moisture fluxes in the area were calculated between 1 and 10 mm/yr, with an average of about 4
mm/yr, based on the chloride mass balance method. For the deepest profile LM, however, a
higher flux of 18 mm/yr was calculated (Gieske et al., 1995). The absence of chloride peaks in
this profile and the sudden decrease in moisture content at 9m depth suggest that flushing has
occurred following heavy rainfall.
Large changes in chloride contents with depth, as illustrated by profiles LBA-7 and
Matlolakgang, are attributed to both evapotranspiration and multi-modal moisture transport
(diffuse and preferential flow). Assuming that downward moisture transport is adequately
described with a bimodal flow model (Sharma and Hughes, 1985) the contribution of
preferential flow to the total moisture flux in the area amounts to about 50% for the upper 10m
of the heterogeneous zone above the water table.

41
Figure 3.6 Letlhakeng-Botlhapatlou shallow profiles (Beekman et al, 1996; Selaolo,
1998).
Stable isotope profiles in the area generally show increasing enrichment towards the surface as a
result of evaporation (see e.g. profile LBA-7; Beekman et al., 1997; Selaolo, 1998). The
absence of such an isotopic enrichment for profile LM and the nearly identical stable isotopic
composition of moisture over the whole profile support the interpretation of flushing after heavy
rainfall. Displacement of the isotopic compositions of soil moisture from the LB-MWL below
the zone of pure evaporation (~2 m) is generally constant and is proportional to the inverse of
the square root of moisture fluxes (derived from chloride mass balances). Thus, it appears that
the isotope displacement method proposed by Allison et al. (1984) to estimate moisture fluxes
from stable isotope profiles can also be used for the Kalahari environment.
Analysis of tritium activities of moisture from profile LM reveals a moisture flux of 9.8 ± 2.2
mm/yr, which is lower than the flux determined through the chloride mass balance method (18
mm/yr) and is different from the results obtained for the NP area. As earlier indicated, flushing
of the profile by heavy rainfall may explain the anomalous character of this profile. The tritium
flux calculated for LBA-7 (5.5 ± 1.2 mm/yr) is higher than the chloride flux (2.5 mm/yr), which
is in line with expected increased tritium transport in the vapour phase at recharge rates below
10 mm/yr (Cook and Walker, 1995; Gieske et al., 1995).
Long term monitoring (up to five years) of moisture contents by neutron probe measurements at
several sites in the area has confirmed the occurrence of flushing at depths of up to 4 m
following heavy, above average, rainfall (Beekman et al., 1997; Selaolo, 1998). From these
observations, a general trend can be seen showing a threshold value of about 400 mm of rainfall
below which hardly any soil moisture seems to penetrate below the main zone of
evapotranspiration (see Figure 3.7).

4
2
Figure 3.7 Volumetric moisture contents Maipatlelo profile (Beekman et al, 1997;
Selaolo, 1998).
Deep profile
The deepest unsaturated zone profile (LB-3B), which so far has been augered with the GRES
rig in the Botswana Kalahari, reached a depth of 41.7 m. The profile was augered in the middle
of a palaeo-valley. Depth to the water table at the site is 54 m. The upper 7.5 m of the sequence
consists of Kalahari deposits (mainly fine clayey and silty sediments and a 1 m thick calcrete
layer near the surface) and is underlain by weathered and fractured Karoo sediments. Results of
the multiple tracer profiling are shown in Figure 3.8. Below a depth of 6 m, chloride
concentrations reduce drastically and indicate preferential flow of 'diluted' moisture bypassing
the main zone of evapotranspiration. Lower chloride content in soil moisture below this depth
compared with the chloride content in groundwater (100-125 mg/l) suggests that groundwater at
this site is derived from a larger area than only the small valley course. Considering the entire
profile, a moisture flux of 2.9 ± 1.2 mm/yr was computed based on the chloride mass balance
method. Excluding the evapotranspiration zone, with its seasonal characteristics, a moisture flux
of 8.6 ± 3.4 mm/yr was calculated.
The effects of evaporation are clearly restricted to the top 1 m of the profile as shown by the plot
for stable isotopes. Displacement of the isotopic compositions of soil moisture from the LB-
MWL below this zone is rather uniform: a linear fit through the stable isotopic compositions
shows a nearly identical slope as the slope of the LB-MWL. A moisture flux of 2.0 mm/yr was
found using the method of Allison et al. (1984).
The moisture flux derived from the tritium data, for the upper 6m interval, is 13.6 mm/yr, much
higher than the flux determined by the chloride mass balance method for the same interval of
0.6 mm/yr. This supports again the observation that tritium transport in the vapour phase may
become dominant at low recharge rates (<10 mm/yr). The 23 to 1 ratio between the tritium and
chloride flux is the highest ratio thus far found in Botswana. It clearly demonstrates the
inaccuracy of moisture flux calculation based on (uncorrected) tritium activities of moisture
from the Kalahari semi-desert. Tritium activities of soil moisture, however, proved to be
extremely valuable in this environment to elucidate transport mechanisms. Relatively high
tritium activities, ranging from 3 to 6 TU, were found below the evapotranspiration zone at
depths of 7 m, 17 m, 28-30 m and 38 to 41 m and indicate that preferential flow does occur to
greater depth in the semi-arid environment of the Kalahari.

43
Figure 3.8 Multiple tracer profile LB-3B (after Selaolo, 1998).
3.4.3 Central Kalahari (CK - average rainfall <400 mm/yr)
A small area in the Central Kalahari, just north of the Khutse Game reserve, some 250 km
northwest of Gaborone, was selected for a detailed moisture flux and recharge study (Figure
3.1). Pans and small linear dunes are the most prominent features in this part of the Kalahari
Basin.
Deep profile
Two 28 m deep-cored holes, a few metres apart from each other, were drilled in 1995. Depth to
the water table at the site is about 70 m. The upper 23 m of the sequence consists of Kalahari
deposits (sands and calcretes) and is underlain by weathered and fractured Karoo sediments.
Figure 3.9 shows the results of studies related to the CK-2B and CK-3B sediments and cores.

4
4
Figure 3.9 Multiple tracer profiles CK-2B and CK-3B (after Beekman et al., 1996).
High chloride concentrations in the upper 2 m of the profile indicate the main
evapotranspiration zone. The pronounced peak between 6 and 9 m depth, corresponding to a
layer of relatively finer grained sediment with higher moisture content, probably originates from
transpiration. The chloride concentration decreases drastically below 9 m suggesting significant
preferential flow. Further changes in chloride content with increasing depth may either be
explained by changes in climatic conditions or by changes in relative contributions of different
flow components. The existence of preferential flow was also deduced from macro-pores in the
diamond-drilled core between 15 and 20 m depth. A moisture flux of 0.5 ± 0.1 mm/yr was
calculated based on the chloride mass balance method for the upper 7.5 m of the profile. This
figure is much lower than fluxes obtained in the NP and LB areas, and reflects probably the
decreasing rainfall towards the Central Kalahari to below a critical seasonal precipitation
threshold of 400 mm/yr.
45
The stable isotopes profile shows an increasing enrichment in the upper part and confirms that
the thickness of the zone of evaporation is not more than 2 m. Displacement of the isotopic
compositions of soil moisture from the CK-MWL (Figure 3.3) below this zone down to 7.5 m
depth is rather uniform: a linear fit through the isotopic compositions resembles the slope of the
CK-MWL. A moisture flux of 1.1 ± 0.1 mm/yr was obtained using the isotope displacement
method.
The moisture flux derived from tritium data, for the same 7.5 m interval, is 3.8 ± 0.5 mm/yr,
higher than the flux determined with the chloride mass balance and the stable isotope methods
and again supports the observation that tritium transport in the vapour phase may become
dominant at low recharge rates. Tritium activities of soil moisture proved again to be extremely
valuable to elucidate transport mechanisms. High tritium activities of up to 4.6 TU for CK-3B
relative to the surrounding levels for the following depth intervals: 7.5 to 12 m, 15.75 to 16 m,
18.75 to 23.25 m and 24.75 to 27 m clearly indicate a significant contribution of preferential
flow to moisture fluxes and groundwater recharge. Note that changes in tritium activities in the
lower part of the profile correlate well with changes in chloride concentration. Differences in
tritium activities of profiles CK-2B and CK-3B suggest that preferential flow does not
necessarily occur at the same depth level, despite the small distance between the profiles of only
a few metres.
3.5 Summary and Concluding Remarks
Recharge processes were extensively studied in Botswana during the period 1987-1997 within
the framework of the GRES project. Methods used included analysis of precipitation and
evapotranspiration, study of environmental isotopes and rainfall chemistry, and analysis of
transport processes in both the unsaturated and saturated zones.
Input functions for vadose zone studies
Through long-term monitoring of rainfall chloride content, total chloride deposition (TD) maps
of Botswana were produced for the application of the chloride mass balance method. Although
there seems to be general agreement on TD values in southeastern Botswana, it was shown
during the second phase of the project that values for the northern part of the country may have
to be adjusted upwards. In general, TD values not only seem highly variable in time but also
appear to depend on sampling techniques and on the type of rain gauge, hence the need for
continued monitoring and experimentation. We also recommend that the monitoring network be
expanded to the entire Southern African sub-continent.
A decrease was found in the slope of local MWLs from the southeast of Botswana towards the
Kalahari Basin, which may be explained by an increase in evaporation. Good agreement was
also found with data from the Pretoria station in South Africa. Measured rainfall tritium
activities were in accordance with model predictions (Doney, 1992).
Multiple tracer profiling
Extensive studies of moisture transport through the unsaturated zone were made through the
analysis of a large number of shallow and deep profiles, sampled for chloride, stable isotopes
and tritium. Results from the studies indicate that moisture fluxes generally decrease with
decreasing rainfall from southeastern Botswana: 11 mm/yr on the average with 500 mm/yr
rainfall to the Central Kalahari: 0.5 mm/yr with less than 400 mm/yr rainfall. Moisture fluxes
were shown to be highly variable spatially and of an essentially multimode nature with slow
diffuse flow through the top soils, and relatively fast preferential flow through soil cracks, root

4
6
channels and fractures. Evidence for multimode moisture transport is given indirectly by the
higher recharge rates derived from saturated zone recharge estimation (Gieske, 1992; Selaolo,
1998; Beekman et al., 1999), and directly by elevated tritium activities at great depths.
Significant amounts of post-bomb tritium were found in two deep profiles from the LB and CK
areas, proving for the first time, that preferential flow does occur up to great depths (41 m) even
under the climatic and environmental conditions of the Kalahari. Considering the uncertainty in
(a) depths of the root zone with its upward as well as downward flow, (b) the occurrence of
multimode flow and (c) the total chloride deposition, neither the relatively shallow profiles (<10
m) nor the deep 27.8 m CK-3B and 41.7 m LB-3B profiles, warrant a detailed reconstruction of
palaeo-recharge. Note that the contribution of preferential flow to the total moisture flux in the
LB area for instance, assuming a bimodal flow model, was estimated at over 50% for the upper
10m of the heterogeneous zone above the water table (section 3.4.2).
Results of the chloride mass balance method indicate that moisture fluxes in fossil valley
systems are lower than fluxes in topographically higher interfluve areas. Regionalization of
moisture fluxes and recharge rates, however, remains a problem. Furthermore, uncertainty with
respect to the long-term chloride deposition values and exceptional climatic events causing
sudden flushing, complicate comparison between various profiling methods.
The displacement of the stable isotope composition of moisture from the local MWL is
inversely proportional to the square root of the moisture flux in accordance with Allison et al.
(1984). This seems to be only valid in the drier parts of the country.
Tritium transport appears to become dominated by vapour transport when fluxes decrease
below 10 mm/yr. Therefore, systematically higher flux rates are found when applying the
tritium method for uncorrected tritium activities than when the chloride mass balance method is
used. Figure 3.10 illustrates this for a large number of studies in Australia, USA, Israel and
Botswana (Gieske et al., 1995; Beekman et al., 1996).
Figure 3.10 Comparison between moisture fluxes determined by the Chloride Mass
Balance and Tritium Profiling methods (Beekman et al., 1996).
47
In conclusion, the tritium method cannot be used straightforward for determination of slow
diffuse infiltration when flux rates are below 10 mm/yr. The use of tritium as a tracer in
elucidating recharge mechanisms through preferential pathways remains, however, extremely
valuable.
3.6 Acknowledgements
This paper is based on the results of a long-term co-operation programme on groundwater
recharge and water resource evaluation in Botswana (GRES: 1987-1997) between the Botswana
Geological Survey Department (DGS), the University of Botswana (UB-Geology Department)
and the Vrije Universiteit Amsterdam, The Netherlands (VUA - Centre for Development
Cooperation Services and Faculty of Earth Sciences). The Botswana and Netherlands
Governments jointly funded the GRES project.
We gratefully acknowledge the Botswana Geoscientists Association and editor of the Botswana
Journal of Earth Sciences, Mr. S.R. McMullan, for their permission to republish parts of the
Beekman et al. (1996) paper.
3.7 References
Adar, E.M., Neuman, S.P. and Woolhiser, D.A., 1988. Estimation of spatial recharge
distribution using environmental isotopes and hydrochemical data, I. Mathematical model
and application to synthetic data. J. Hydrol., 97: 251-277.
Allison, G.B. & Hughes, M.W., 1978. The use of environmental chloride and tritium to
estimate total recharge in an unconfined aquifer. Aust. J. Soil Res., 16, 181-195.
Allison, G.B., Barnes, C.J. Hughes, M.W. and Leaney, F.W.J., 1984. Effect of climate and
vegetation on oxygen-18 and deuterium profiles in soils. Isotope Hydrology 1983. Proc.
Symp. Vienna, IAEA, 105-123.
Allison, G.B., Stone, W.J. and Hughes, M.W., 1985. Recharge in karst and dune elements of a
semi-arid landscape as indicated by natural isotopes and chloride. J. Hydrol., 76, 1-26.
Allison, G.B., Gee, G.W. and Tyler, S.W., 1994. Vadose-Zone Techniques for Estimating
Groundwater Recharge in Arid and Semi-Arid Regions. Soil Sci. Soc. Am. J., 58, 6-14.
Bachmat, Y.C. Gvirtzman, H. and Magaritz, M., 1989. Evaluation of Groundwater
Replenishment Coefficients From the Record of a Borehole Penetrating the Unsaturated
Zone. Water Resour. Res., 25 (5), 973-978.
Bhalotra, Y.P.R., 1987. Rainfall. Climate of Botswana, Part II: Elements of climate. Report,
Dept. of Meteorological Services, Gaborone, pp. 40.
Beekman, H.E. and Selaolo, E.T., 1994. Long term average recharge of a shallow groundwater
system in Botswana - A hydrochemical and isotope physical approach. Proc. 25th
Congress IAH "Water Down Under" Nov. '94, Adelaide - Australia, Vol. 2A, 157-162.
Beekman, H.E., Gieske, A. and Selaolo, E.T., 1996. GRES: Groundwater Recharge Studies in
Botswana 1987-1996. Botswana J. of Earth Sci., Vol. III, 1-17.
Beekman, H.E., Selaolo, E.T., Van Elswijk, R.C., Lenderink, N. and Obakeng, O.T.O., 1997.
Groundwater recharge and resources assessment in the Botswana Kalahari - Chloride and
isotope profiling studies in the Letlhakeng-Botlhapatlou area and the Central Kalahari.
GRES II Technical Report.
Beekman, H.E., Selaolo, E.T. and De Vries, J.J., 1999. Groundwater recharge and resources
assessment in the Botswana Kalahari. GRES II Executive summary and technical reports,
pp. 48.
4
8
Bredenkamp, D.B., Botha, L.J., van Tonder, G.J. and van Rensburg, H.J., 1995. Manual on
Quantitative Estimation of Groundwater Recharge and Aquifer Storativity. Water Research
Commission Pretoria. pp 407.
Cook, P.G. and Walker, G., 1995. Evaluation of the use of 3H and 36Cl to estimate
groundwater in arid and semi-arid environments (IAEA-SM-336/11). Isotopes in Water
Resources Management. Proc. of a Symposium, Vienna, 20-24 March, 1995, 397-403.
De Vries, J.J., 1984. Holocene depletion and active recharge of the Kalahari groundwaters - a
review and an indicative model. J. Hydrol., 70, 221-232.
Doney, S.C., Glover, D.M. and Jenkins, W.J., 1992. A Model Function of the Global Bomb
Tritium Distribution in Precipitation, 1960-1986. J. Geophys. Res., 97, C4, 5481-5492.
Eriksson, E. and Khunakasem, V., 1969. Chloride concentration in groundwater, recharge rate
and rate of deposition of chloride in the Israel coastal plain, J. Hydrol., Vol. 7, 178-197.
Foster, S.S.D., Bath, A.H., Farr, J.L. and Lewis, W.J., 1982. The likelihood of active
groundwater recharge in the Botswana Kalahari. J. Hydrol., 55, 113-136.
Gieske, A. and De Vries, J.J., 1990. Conceptual and computational aspects of the mixing cell
method to determine groundwater recharge components. J. Hydrol., 121, 277-292.
Gieske, A., 1992. Dynamics of Groundwater Recharge - A Case Study in Semi-Arid Eastern
Botswana. Ph. D. Thesis, Free University (Amsterdam), pp 290.
Gieske, A., Selaolo, E.T. and Beekman, H.E., 1995. Tracer interpretation of moisture transport
in a Kalahari sand profile. Proc. Int. Symp. "Application of tracers in arid zone hydrology"
(ed. E.M. Adar and C. Leibundgut), 22-26 Aug. '94, Vienna -Austria, IAHS Publ. 232,
373-382.
Gvirtzman, H., Ronen, D. and Magaritz, M., 1986. Anion exclusion during transport through
the unsaturated zone. J. Hydrol., 87, 267-283.
James, R. V. and Rubin, J., 1986. Transport of chloride ion in a water-unsaturated soil
exhibiting anion exclusion. Soil Sci. Am. J., 50, 1142-1149.
Jennings, C.M.H., 1974. The Hydrogeology of Botswana. Ph.D. Thesis, University of Natal, pp.
850.
Lerner, D.N., Issar, A.S. and Simmers, I., 1990. Groundwater Recharge, A Guide to
Understanding and Estimating Natural Recharge. Int. Contributions to Hydrogeology
(IAH), Vol. 8, 1990, Verlag Heinz Heise, Germany, pp. 345.
Mazor, E., Verhagen, B. Th., Sellschop, J.P.F., Jones, M.T., Robins, N.S., Hutton, L. and
Jennings, C.M.H., 1977. Northern Kalahari groundwaters: hydrologic, isotopic and
chemical studies at Orapa, Botswana. J. Hydrol., 34, 203-234.
Obakeng, O.T.O., Beekman, H.E., Meijer, H.A.J., Kers, B.A.M. and Van Elswijk, R.C., 1997.
Groundwater recharge and resources assessment in the Botswana Kalahari - Moisture
extraction for chemical and isotope analyses. GRES II Technical Report.
Phillips, F.M., Mattick, J.L., Duval, T.A., Elmore, D. and Kubik, P.W., 1988. Chlorine-36 and
tritium from nuclear weapons fallout as tracers for long-term liquid and vapour movement
in desert soils. Water Resour. Res., 24(11), 1877-1891.
Phillips, F.M., 1994. Environmental Tracers for Water Movement in Desert Soils of the
American Southwest. Soil Sci. Soc. Am. J., 58, 15-24.
Rozanski, K., Araguás-Araguás, L. and Confiantini, R., 1993. Isotopic Patterns in Modern
Global Precipitation. In: Climate Change in Continental Isotopic Records, Geophysical
Monograph 78, American Geophysical Union, pp. 36.
Scanlon, B.R., 1992. Evaluation of Liquid and Vapor Water Flow in Desert Soils Based on
Chlorine 36 and Tritium Tracers and Nonisothermal Flow Simulations. Water Resour.
Res., 28 (1), 285-297.

49
Selaolo, E.T., Gieske, A.S.M. and Beekman, H.E., 1994. Chloride deposition and recharge rates
for shallow groundwater basins in Botswana.Proc. 25th Congress IAH "Water Down
Under" Nov. '94, Adelaide - Australia, Vol. 2A, 501-506.
Selaolo, E.T., Beekman, H.E. and De Vries, J.J., 1995. Paleorecharge deduced from chloride
and isotope profiles at the eastern fringe of the Botswana Kalahari. Proc. Conf. on
"Groundwater Recharge and Rural Water Supply", 26-28 Sept. '95, Midrand - South
Africa, pp. 6.
Selaolo, E.T., 1998. Tracer studies and groundwater recharge assessment in the eastern fringe of
the Botswana Kalahari - The Letlhakeng-Botlhapatlou area. Ph.D. Thesis, Free University
(Amsterdam), pp. 229.
Sharma, M.L. and Hughes, M.W., 1985. Groundwater recharge estimation using chloride,
deuterium and oxygen-18 profiles in the deep coastal sands of Western Australia. J.
Hydrol., 81, 93-109.
Simmers, I. (ed.), Hendrickx, J.M.H., Kruseman, G.P. and Rushton, K.R., 1997. Recharge of
phreatic aquifers in (semi)-arid areas. IAH Int. Contrib. Hydrogeol. 19, AA Balkema,
Rotterdam, pp. 277.
Tyson, P.D., 1986. Climatic Change and Variability in Southern Africa. Oxford University
Press, Cape Town, South Africa, pp. 220.
Verhagen, B. Mazor, E. and Sellschop, J., 1974. Radiocarbon and tritium evidence for direct
rain recharge to groundwaters in the Northern Kalahari. Nature, 249, 643-644.
Verhagen, B.Th., 1984. Environmental isotope study of a groundwater supply project in the
Kalahari of Gordonia. Isotope Hydrology 1983, Proc. Symp. Vienna, IAEA, 415-433.

51
4. Recharge Quantified with Radiocarbon in Three Studies of Karoo
Aquifers in the Kalahari and Independent Corroboration
Balt Verhagen
Schonland Research Centre, University of the Witwatersrand, South Africa
ABSTRACT Environmental isotope data from a “snapshot” sampling hold out the promise of
producing acceptable estimates of ground water recharge for resource management purposes. In
three major groundwater development projects in Botswana, estimates of recharge to the Karoo
aquifers in the Kalahari were based on residence times derived from radiocarbon (14C),
supported by other isotope data. In the assessment, three factors needed to be considered: 1) the
model leading to acceptable values of residence times 2) the initial, or recharge, radiocarbon
value and 3) appropriate values of aquifer porosity.
In each of the three studies, porosity had been measured on numerous drill cores obtained from
the principal fractured sandstone aquifers. The resulting isotope-based recharge values
correspond reasonably with independent recharge assessments using the equal volume method
to analyse long-term rest level observations in two cases; in the third, recharge was
independently assessed on the basis of the chloride mass balance in both unsaturated and
saturated zones. It is concluded that a) the isotope snapshot approach can give acceptable values
for recharge in the development of groundwater resources and provides rational management
information early in the life of a groundwater supply scheme; b) the exponential model and an
initial radiocarbon value of 85 % atmospheric are realistic in this environment and c) the
effective porosity appears to be the appropriate parameter in the calculation of recharge. This
also provides an insight into the behaviour of the aquifers.
4.1 Introduction
The quantification of recharge is increasingly given attention in the management of
groundwater as the ultimate measure of the long-term sustainability of the resource.
Traditionally, recharge can be assessed on the basis of long-term accumulation of water level
and abstraction data in e.g. the equal volume method of interpreting hydrographs. Since their
discovery in the environment some 50 years ago, cosmogenic radioisotopes in groundwater
provided the possibility of assessing the residence time or the rate of recharge to aquifers (e.g.
Libby, 1955). The assessment of recharge using the “isotope snapshot” approach is attractive in
principle as it can provide up-front information on recharge that can be built into the
management plan at the inception of exploitation.
In the isotope approach a mean residence time has to be calculated, based on some concept of
transit time distribution. Amongst the available models: piston flow, dispersion and exponential
(e.g. Zuber, 1986; Verhagen et al., 1991) the latter has been generally employed as a suitable
“lumped parameter” model for phreatic aquifers. This approach is regarded as particularly
appropriate where the borehole mixes all the water it intersects. Otherwise, little control can be
exercised over sampling conditions, as existing boreholes have to be employed, often of
differing and poorly known construction. The only control which can be exercised is to sample
from boreholes in constant production or during extended pumping tests.
Tritium (3H) is a conservative tracer, simple to interpret, although useful only in shallower and
more actively turned-over groundwater, particularly in the southern Hemisphere. In

5
2
sedimentary, mainly silicious, terrain such as the deeper multi-layer Karoo aquifers of the
Kalahari, with mean residence times typically in excess of 1000 years, radiocarbon is useful as
1) initial (recharge) concentrations can be estimated with some confidence and
2) its subsequent behaviour in the saturated zone can be regarded as effectively
conservative.
The well-mixed model assumes that the pumped well produces a mixture of different ages or
transit times from the different lithological units penetrated. In a simple approach, recharge R
can be estimated:
T
Hn
R
i
i
i
∑
= (1)
where T is the mean residence time (derived by the exponential model), ni the porosity and Hi
the thickness of the individual saturated units (i) penetrated.
The question arises as to which value of porosity should be employed. Most sedimentary
aquifers in southern Africa have both primary and fracture porosity. In pump test analysis, the
derived storage coefficient tends to increase with increasing pumping time (months to years;
Verhagen et al., 1999), as deeper seated water is gradually released from the pores. It is argued
here that, at an appropriate time scale, an environmental tracer effectively labels all the water in
the aquifer by advection or diffusion. The approach taken is to use the effective porosity.
Porosity is not always measured directly on aquifer material in groundwater investigations, but
clearly is of fundamental importance in the meaningful isotope assessment of recharge.
The problem of the behaviour of a tracer in a fractured porous medium has been discussed
extensively by Zuber (1994). When water is transported mainly through the fractures, the tracer
will diffuse into the more or less stagnant water in (micro) pores. In this way, the transport of
tracer is delayed, the relevant retardation factor Rp being given by:
Rp = tt
t
w
≡ np + nf
nf (2)
where tt and tw are the transit times of tracer and water and np and nf the matrix and fracture
porosities respectively. As usually np >> nf, high retardation factors can be attained. This may
lead to tracer-based mean residence times of an order of magnitude - or more - too high.
Isotope data was collected in three groundwater investigations in Karoo aquifers of the KaIahari
over the past 20 years, allowing recharge estimates to be made. Long-term conventional
geohydrological observations are now available in two cases, which allow recharge to be
calculated from well field hydrographs. In the third case, recharge was calculated using the
chloride balance method. In the three investigations reviewed below, acceptable
correspondences were found between the isotope-based recharge figures, using the criteria
mentioned above, and those obtained from other techniques, based on different criteria.
The three investigations were conducted in Botswana (Figure 4.l), respectively at Jwaneng
diamond mine (Verhagen, 1987; 1993), Orapa diamond mine (Mazor et al., 1977; Verhagen
and Morton, 1989) and the PaIla Road wellfield extension (Wellfield Consulting Services,
l994).

53
Figure 4.1 Map of Botswana, showing isohyets and the three wellfield study areas.
4.2 Hydrogeology
The generalised geological section of the Karoo aquifers of the Kalahari basin is shown in
Figure 4.2. The principal aquifers are the more ubiquitous Ntane (or Clarens) fine grained
aeolian largely non-calcareous sandstone, which can be locally indurated and cemented,
overlying the Ecca (carboniferous) sequence of sandstones, siltstones and mudstones with
locally better developed coarser grained sandstone horizons. Overlying the Ntane, except at the
basin margins, is the Stormberg basalt. This unit confines the underlying sandstone aquifers and
is aquiferous mainly due to jointing and fracturing. Along the fault structures in the south and
north, major fracturing has produced considerable secondary porosity in the different aquiferous
units, which are often juxtaposed through extensive block faulting, resulting in local hydraulic
discontinuities. The entire basin has a cover of semi-consolidated Kalahari Beds, mainly sand
and calcretes, which constitute minor, often perched, local aquifers.
Figure 4.2 Generalised Karoo lithology showing typical block faulting, such as found
at Orapa and Palla Road (after Blecher and Bush, 1993).

5
4
4.3 Initial – or Recharge – Radiocarbon Value
On account of the heterogeneous and complex recharge pathways (Beekman et al., 1996) in the
Kalahari cover, it is not readily apparent which of the available hydrochemical/isotopic models
to employ in order to “correct” radiocarbon values for residence time calculations. A survey of
the Kalahari conducted in 197l/72 when thermonuclear tritium was still evident in groundwater
systems in the southern Hemisphere (Verhagen et al., 1974) provided empirical evidence of 85
% of atmospheric for the radiocarbon content of recently recharged water. Such values have
been used by other workers in similar environments (Vogel, 1967) and have been employed in
calculations of mean residence times in this study.
4.4 Jwaneng Mine Wellfield
The well field supplying Jwaneng mine in southern Botswana taps a fluviatile sandstone
aquifer. The structure, interpreted as a fault-controlled delta or alluvial fan in the Ecca facies,
dips northwestwards below an increasing thickness of a mudstone/siltstone aquitard (Figure
4.3). The land surface is flat and underlain by some 20 metres of Kalahari deposits.
Exploitation of the well field commenced in 1980 from 14 wells and has been increased to some
107 m3a-l from 28 high-yielding wells at present. Radiocarbon measurements on water from
production wells in the early 80’s in the range of 55 pMC to 75 pMC showed ongoing recharge,
clearly disproving the belief that no significant modern recharge occurs in the Kalahari (Foster
et al., 1982). The geographical distribution of radiocarbon values appeared paradoxical, as they
increase in the direction of increasing confinement of the sandstone. A few kilometres further
north, deeper village boreholes intersecting the same sandstone unit give vanishing radiocarbon
(Figure 4.3).
Figure 4.3 Schematic section of aquifer tapped by the Jwaneng well field, with well
field and deep village boreholes, mean radiocarbon values and inferred
flow lines.

55
These observations led to a first conceptual model of the aquifer’s hydrology shown as
schematic flow lines in Figure 4.3. Probably infrequent recharge to the sandstone sub-crop
beneath the Kalahari Beds cover would produce mounding which drives groundwater down-dip
in a northerly direction. The well field boreholes, all drilled to about 230 m, intersect the entire
aquifer and full range of flow lines in the SE. NW-wards, boreholes only partially penetrate the
aquifer and intersect only the more recent flow lines, which results in increasing 14C values. The
flow is clearly arrested between the well field and the deep village boreholes further northwards
at ~0 pMC. The input from recharge should therefore be balanced by leakage into the aquitard
over some 100 km2 of contact with the sandstone.
Time series (Verhagen, 1993) of radiocarbon for several production boreholes over the period
of full exploitation (1983-1993) show no significant changes (Figure 4.4), which suggest that
flow relationships have not been modified significantly over that period.
Figure. 4.4 Radiocarbon time series for production wells 1983 to 1992.
Recharge values were calculated using exponential model mean residence times based on
radiocarbon values, giving 3.7 mm a-1 in the SE (at 55 pMC) to 4.7 mm a-1 in the NW (75
pMC). A mean porosity value of 15% was used, based on the effective porosity measured on
several drill cores obtained from the sandstone aquifer during original well field development.
An analysis of a 12-year hydrograph of average water levels for the well field (Figure 4.5)
revealed a number of periods of equal water level (van Rensburg and Bush, 1994). Recharge
was calculated on the basis of the equal volume method, which assumes that the abstraction
over the period equals the recharge. A best fit of the data for the relationship between inferred
recharge and the rainfall over the same period was obtained for a storativity of 0.0008, giving a
recharge of 1.4% of the mean annual rainfall of some 350 mm. In the modified Hill method,
assuming a 200 mm threshold of rainfall before recharge can occur, a recharge of 1.98% of
rainfall and a storativity of 0.005 is obtained. The long-term apparent S-value, given by the ratio
(cumulative abstraction)/(cumulative dewatered volume) over 12 years, approaches 0.02. The

5
6
range of resulting recharge values of 3.0 – 4.9 mm a-1 overlaps the range determined from
isotope observations.
Figure 4.5 Mean hydrograph for the Jwaneng well field (after van Rensburg and
Bush, 1995).
It is clear therefore that the figure for storage increases with increasing time scale. In the short-
term (months) responses, the (confined) storativity applies. In the (partial) dewatering of the
aquifer on the time scale of years an “effective” porosity or specific yield applies. For the
recharge estimates using radiocarbon, the more appropriate factor appears to be storage
represented by the effective porosity. Implicitly included in the storage relevant to the isotope
approach could well be the inferred reverse leakage from the aquitard.
4.5 Orapa Mine Wellfields
Various well fields were established to supply the Orapa diamond mine in northern Botswana
since the latter sixties (Figure 4.6). The fractured and jointed basalt cover (up to 80 m) confines
the underlying Ntane sandstone aquifer locally, but allows widespread hydraulic connection
between it and the shallow overlying Kalahari Beds aquifer, as seen in hydrographs (Mazor et
al., 1977). During exploitation, the sandstone aquifer shows confined behaviour. In the isotope
approach, the system was treated as a multi-layer phreatic (i.e. diffusely recharged) aquifer, with
rest levels in the basalt. Slow lateral groundwater movement, under a regional piezometric
gradient of 0.001 in the sandstone aquifer is further restricted on account of extensive block
faulting and intrusion by diabase dykes. Radiocarbon values are found to lie in the range 1.3 -
45 pMC, with one outlier at 75 pMC. Only protracted pump tests were sampled in an attempt to
reduce the localising effect of individual boreholes and transient mixtures (Verhagen et al.,
1999).

57
Figure 4.6 Map showing positions of Orapa mine well fields and major block faulting
(after Blecher and Bush, 1993).
Porosities ranging from 17 % to 30 % were measured on numerous borehole cores, with a mean
of 22 %. The bulk fracture porosity of the basalt is unknown, but conservatively was taken as
2%. Recharge was calculated using radiocarbon data and the exponential model. Even in the
absence of significant regional flow, age stratification can be produced by areally restricted
intense rain events (Figure 4.7), which are likely to be the major recharge mechanism in the area
(Verhagen et al., 1999). Recharge values range from 0.6 to 2.4 mm a-l with a single value of
21.5 mm a-1 for a well that intersected a major basalt fracture. Including this value a mean of 3.7
mm a-l is obtained; eliminating the presumed outlier gives a mean of 1.1 mm a-l.
Figure 4.7 Schematic model showing mounding from recharge from a local rainfall
event which produces age stratification in the underlying sandstone
aquifer.
Analysing more than 20 years of rest level and rainfall data, good simulations of piezometric
level fluctuations could be achieved with cumulative rainfall departure methods, taking into
account the abstractions from the well fields (van Rensburg and Bush 1995). With the equal
volume method the saturated volume fluctuation data for one of the well fields provided
recharge values, which are plotted against corresponding integrated rainfall in Figure 4.8. This
gave (confined) storativities of 0.00022 to 0.00126 and recharge values of 2.7 mm a-l to 5.8 mm
a-l. Considering the uncertainties in parameters used in both the isotope and rest level fluctuation
approaches, and the limited number (9) of documented isotope sampling points, a reasonable
correspondence in the recharge figures was obtained.

5
8
Figure 4.8 Recharge calculated for equal volume periods read off a four year
hydrograph for Orapa well field 4, plotted against rainfall for the same
period (after van Rensburg and Bush, 1995).
Close on 30 years ago, when water management was still predicated on the principle of
groundwater mining, isotopic data had shown that significant recharge is occurring to the
confined sandstone at Orapa (Verhagen, 1974; Mazor et al., 1977). Recharge quantification on
the basis of radiocarbon has now produced figures for recharge, which are roughly compatible
with, but lower than, those obtained by the equal volume method. All the model parameters
used effectively maximise the former. An explanation may be found in the low and probably
heterogeneous flow in the sandstone aquifer as seen in near-vanishing radiocarbon values
obtained for some first strikes at the basalt-sandstone contact. On the other hand, one borehole,
which intersected a basalt fissure, gave a value of 75 pMC in the underlying sandstone.
Although the exercise has underlined the problem of an isotope assessment of recharge to a
confined aquifer, the radiocarbon snapshot approach did produce realistic, if possibly
conservative, recharge estimates.
4.6 Palla Road Wellfields
As part of an investigation for the extension of an existing well field in eastern Botswana,
isotope data was obtained from a number of existing and newly drilled boreholes. The main
aquifer is the aeolian Ntane sandstone, a fractured unit usually covered by basalt, and
extensively block-faulted. In contrast with the previous two cases, the extensive study area of
some 1650 km2 has both a topographic and piezometric gradient of some 3 ‰. Groundwater
radiocarbon values, in many cases with measurable tritium, cover a wide range, with a
preponderance of values between 65 pMC and 110 pMC (Figure 4.9). Groundwater flow is
quite heterogeneous. High radiocarbon values at depth in major fractures suggest substantial
(natural) fracture flow. There is evidence also of substantial intergranular flow in major
sandstone blocks.

59
5152535455565758595105
0
2
4
6
8
10
12
14
16
18
Ecca
Sandstone
Basalt
C (pMC)
N
14
Figure 4.9 Frequency histogram of radiocarbon values for Palla Road boreholes and
their distribution in the three main lithological units.
Some 52 measurements of porosity were performed on a 142 m length of core of Ntane
sandstone obtained from a single borehole. The mean value of porosity obtained is 0.012 with a
standard deviation of 0.004. As at Orapa, the fracture porosity of the basalt is taken to be 2 %.
Recharge calculated only for those 24 boreholes with adequate lithological data gave a mean
value of 6.6 mm a-l. This value, higher than found at Jwaneng and Orapa, is ascribed to the
more active topography-driven, lateral groundwater transport and higher rainfall (Figure 4.1).
Two independent recharge estimates were made (Wellfield Consulting Services, 1994). The
first was based on the chloride balance of groundwater, which is justified in view of ongoing,
regional flushing of the aquifers. Sampling sites were selected to ensure minimal contamination
by intrusion of saline water from the deeper aquifers. With figures for rainfall and dry
deposition of chloride (Beekman et al., 1996), chloride-based recharge values range from 4.5
mm a-l to 8.5 mm a-l with a mean of 5.9 mm a-l. The second was made assessing the unsaturated
zone chloride balance in a limited number of shallow (2 metre) soil profiles, from which
recharge values in the range of 2 mm a-l to 5 mm a-l were determined. These values
approximate, but are lower than, those obtained from radiocarbon measurements from the
saturated zone. This could be further evidence that diffuse recharge tends to follow preferential
flow paths.
4.7 Discussion and Conclusions
The problem of fractured porous aquifers addressed in this paper was theoretically treated by
Zuber (1994) in terms of micropore diffusion, which would give unrealistically high tracer-
based mean residence times. However, satisfactory correspondence was achieved between
recharge figures obtained using a) the exponential model b) 85 % atmospheric for the initial or
recharge value of radiocarbon c) the effective porosity on the one hand and independent
techniques in each of the three case studies on the other. These results, summarised in Table 4.1,
lend weight to the approach taken in this study employing isotope-based recharge calculations.
This approach seems to apply to the relatively higher residence times addressed with
radiocarbon, where the assumption of the uniform labelling of all the water in the aquifer by the

6
0
tracer appears to be justified. Whether this assumption would be valid for the much shorter time
scales addressed with tritium is open to investigation.
Table 4.1 Comparison of isotope-based and independent assessments of recharge.
Site Isotope-based recharge
assessment (mm/a) Independent recharge
assessment (mm/a) Method of independent
recharge assessment
Jwaneng well field 3.7 (SE) – 4.7 (NW) 3.0 - 4.9 Equal volume; Modified Hill
Orapa well field 3.7 (high) ; 1.1 (low) 2.7 - 5.8 Equal volume
Palla Road well field 6.6 (mean) 5.9 (mean)
2.0 - 5.0 Chloride balance, saturated
Chloride balance, unsaturated
The implication of these results for the aquifer behaviour of the fractured sandstones of the
Kalahari is that on the time scales of radiocarbon, the transport through the matrix of the
sandstone is sufficiently active to account for effectively all the tracer in the output of wells
which often are located on fractures to enhance yield.
Classical hydrograph methods of recharge assessment require many years of rest level
observations, along with an appropriate choice of the storage factor. Unsaturated zone methods
tend to underestimate recharge and evidence mounts of the importance of preferential flow.
Restricted lateral groundwater mobility, with resulting predominance of vertical water losses –
common in this environment - may generate chloride values which again would provide
unrealistically low recharge estimates.
This study has demonstrated that the concept of the “isotopic snapshot” can give a meaningful
first estimate of recharge. Even where there are no direct measurements of aquifer porosity, an
estimate based on general knowledge of the aquifer material can still provide a useful recharge
value for management purposes.
4.8 References
Beekman, H.E., Gieske, A.S.M. and Selaolo, E.T., 1996. GRES: Groundwater Recharge
Studies in Botswana: 1987 - 1996. Botswana J of Earth Sciences 3, 1-17.
Blecher, I.F. and Bush, R.A., 1993. Orapa hydrogeological desktop study. 1993 Phase 1. Report
no. CED/045/93. Anglo American Corporation of S.A., Johannesburg.
Foster, S.S.D., Bath, A.H., Farr, J.L. and Lewis, W.J., 1982. The likelihood of active
groundwater recharge in the Botswana Kalahari. Jnl of Hydrology 55, 113.
Libby, W.F., 1955. Tritium in nature. Jnl Washington Acad. Sci. 45, No.10, 301
Mazor, E., Verhagen B.Th., Sellschop, J.P.F., Jones, M.T., Robins, N.E., Hutton, L. and
Jennings, C.M.H., 1977. Northern Kalahari groundwaters: hydrologic, isotopic and
chemical studies at Orapa, Botswana. Jnl of Hydrology 34, 203.
Van Rensburg, H.J. and Bush, R.A., 1994. Jwaneng northern wellfield - modelling of
groundwater flow with optimised management recommendations on wellfield utilization.
Anglo American Corporation of South Africa Ltd. Report No. CED/029/04.
Verhagen B.Th., Mazor, E. and Sellschop, J.P.F., 1974. Radiocarbon and tritium evidence for
direct rain recharge to ground waters in the northern Kalahari. Nature 249, No. 5458, 643.
Verhagen B.Th., 1987. “Environmental isotopes suggest a recharge model for the well field
supplying Jwaneng Mine, Botswana”. Isotope Techniques in Water Resources
Development STVPUB/757, IAEA, Vienna. 771.
61
Verhagen B.Th. and Morton, K.L., 1989. “Environmental isotope measurements on ground
water around Orapa mine in the northern Kalahari” Biennial Symposium: Ground Water
and Mining, Johannesburg.
Verhagen, B.Th., Geyh, M.A., Froehlich, K., Wirth, K., 1991. Isotope hydrological methods for
the quantitative evaluation of cround water resources in semi-arid areas: Development of a
Methodology . Research Reports of the Federal Ministry for Economic Cooperation of the
Federal Republic of Germany, Bonn. 164~~. ISBN 3-8039-0352-l.
Verhagen B.Th., 1993. “Jwaneng Ground Water: An Isotopic Model” Procs Africa Needs
Ground Water - An International Ground Water Convention. Johannesburg. 1, Paper 22.
Verhagen, B.Th., Bredenkamp, D.B., Botha, L., 1999. Hydrogeological and isotopic assessment
of the response of a fractured multi-layered aquifer to long term abstraction in a semi-arid
environment. Final Report to the Water Research Commission: Project #K5/565.
Vogel, J.C., 1967. Investigation of groundwater flow with radiocarbon. In: Isotopes in
Hydrology STI/PUB/141. IAEA, Vienna. 355.
Wellfield Consulting Services, 1994. “Palla road groundwater resources investigation. Phase I”
Wellfield/Interconsult - Final Report to the Republic of Botswana, Department of Water
Affairs.
Zuber, A., 1986. “Mathematical models for the interpretation of environmental radioisotopes in
groundwater systems” in: Handbook of Environmental Isotope Geochemistry (FRITZ, P
and FONTES J Ch, Eds) 2, 1.
Zuber, A., 1994. “On calibration and validation of mathematical models for the interpretation of
environmental tracer data in aquifers”. Mathematical Models and Their Applications to
Isotope Studies in Groundwater Hydrology. IAEA-TECDOC-777, Vienna. 11.

63
PART III
Recharge Estimation Related to the Saturated Zone

65
5. Perspectives on Recharge Estimation in Dolomitic Aquifers in South
Africa
David B. Bredenkamp1 and Yongxin Xu2
1Water Resources Evaluation and Management, South Africa
2Department of Earth Sciences, University of the Western Cape, South Africa
ABSTRACT Groundwater has a history of neglect and unsustainable utilization in South
Africa. Despite recent developments in policy, and the importance of groundwater as a
strategically important resource on which many rural communities depend, water management
in South Africa remains largely determined by surface water systems. An exception is the
dolomitic aquifers of South Africa, which for many towns, rural areas and farming are the only
water resource. This paper reveals some of the results and characteristics of dolomitic aquifers
that have been obtained using a variety of methods and ancillary techniques.
5.1 Introduction
Assessment of groundwater recharge and aquifer storage is the key element in the
evaluation and management of such resources. Research projects on recharge estimation
undertaken in the Republic of South Africa (RSA) have been supported by the Water
Research Commission and the Department of Water Affairs and Forestry, and dolomitic
aquifers have been the focus of many of these studies (Figure 5.1).
26 29
25
27
27
25
BOTSWANA
NORTHERN CAPE
PRETORIA
Namibia
Republic of
South Africa Lesotho
Swaziland
Chuniespoort
Group
Ghaap Group
LEGEND
0 100 200
SCALE (km)
CROCODILE RIVER
KURUMAN
Grootfontein Eye
Maloney’s
Schoonspruit
Wondergat
Buffelshoek
Rietvlei Springs
Botswana
Pretoria Founteins
JOHANNESBURG
Gerhard Minnebron
Turffontein
LIMPOPO RIVER
MOLOPO RIVER
VAAL RIVER
GARIEP RIVER
MAFIKENG
Dinokana
Zeerust
Non-dolomite
Figure 5.1 Locality map showing the dolomitic aquifers of South Africa and some of
the important springs and towns that are partially or fully dependent on
dolomitic groundwater.
The importance of groundwater recharge estimation in groundwater resources evaluation
and in environmental impact assessments is reflected in Table 5.1.

6
6
Table 5.1 Degree of relevance of recharge estimation to groundwater resource
evaluation and environmental impact assessment.
Groundwater Resources Evaluation Environmental Impact Assessment
. allocation of abstraction permits (high)
. aquifer utilisation (high)
. risk assessment (high)
. boreholes yields (high)
. harvest of springs (high)
. aquifer storage (medium)
. conjunctive use (medium)
. borehole protection (low)
. aquifer vulnerability to pollution (high)
. dewatering engineering (high)
. base flow (high)
. interaction with wetlands/lakes (high)
. groundwater contamination (medium)
. instream flow requirements (low)
. vegetation (low)
. rehabilitation (low)
Strengths, weaknesses, opportunities and threats regarding assessment and utilization of
the groundwater exploitation potential, are the following:
Strengths: Significant progress in quantifying recharge using different methods
- publications, manuals and reports on the estimation of recharge and storativity;
- broadened perspectives on hydrological interactions providing a greater
understanding of how groundwater systems function;
- progress in estimating aquifer storativity more reliably, especially in dolomitic
aquifers that cover the greater part of the RSA.
Weaknesses: Lack of a multi-disciplinary approach to groundwater management
- viewing the components of the hydrological cycle in isolation and not holistically
in an integrated way;
- interdependence between recharge and aquifer storativity, which complicates the
resolution of water level responses;
- pursuing complex methods rather than focussing on the solution of practical
problems and aquifer management;
- devoting too much time to refining recharge estimations over short-term time
intervals;
- insufficient integration of physical and tracer techniques for recharge estimation.
Opportunities: Collation of knowledge and its application in groundwater management
- collating information which has been gathered in the RSA over many years and
from studies such as GRES in neighbouring Botswana (Gieske, 1992; Selaolo,
1998; Beekman et al., 1996; 1999);
- extending studies of recharge as part of new projects on groundwater monitoring;
- more extensive application of hydrodynamic simulation of dolomitic aquifer
systems on a regional scale despite inadequacies in the resolution of parameters
such as recharge and storativity;
- more effective characterization of aquifer systems according to borehole water level
response using simplistic approaches (such as the cumulative rainfall departure
method);
- enhance the application of mass transport models as better estimates of
groundwater recharge are becoming available;
- incorporating knowledge acquired into hydro(geo)logical education and training.
67
Threats: Poor management of aquifers
- difficulty in implementing the National Water Act leading to uncontrolled
abstraction, over-exploitation and deterioration of groundwater resources;
- aggravation of pollution problems and effects of contamination on aquifer systems;
- neglecting the role of groundwater in sustaining the ecological balance;
- losing perspective on groundwater systems by using highly sophisticated modelling
packages and methods.
5.2 Perspectives on Groundwater Recharge Estimation
Recharge is governed by the intricate balance between several components of the
hydrologic cycle, each of which is a function of several controlling factors:
- Rainfall: f(intensity, frequency, variability, spatial distribution)
- Evapotranspirative losses: f(temperature, wind, humidity and phreatophites)
- Discharge losses: f(interflow, springs, base flow, lateral flow and artificial discharge)
- Catchment: f(soil type, thickness, spatial distribution, topographical feature, vegetation)
- Geology: f(rock types, characteristics of fracture networks, occurrence of dykes)
This has resulted in the development of complex hydrological models to accommodate for
the interrelationships between groundwater, surface water and pollution. The complexity of
the models often limits their practical value as does a lack of real data, which often have to
be approximated by regional parameters or estimates by an expert. Studies in the RSA
have shown that a simple approach can reveal much about groundwater recharge, and that
sparse data should not necessarily be a constraint.
The need to simulate the high variability of recharge over short intervals of time is not as
critical as is generally perceived, because annual values of recharge can be converted into
monthly values by applying annual average recharge coefficients to monthly rainfall. This
is a valid approach because groundwater stored underground behaves in a similar fashion
to a surface water reservoir in smoothing the variability of monthly run-off. This is
illustrated by Figure 5.2, which shows the correspondence between the flow of the Pretoria
Grootfontein springs fed from dolomite, and the surface inflow into the Rietvlei Dam
averaged over several years, notwithstanding the high variability of monthly runoff. Linear
correspondence between groundwater levels and spring flow was observed and indicates
that the groundwater hydrographs also reveal smoothing of short-term variable recharge.
Analysis of the water balance of a surface or groundwater reservoir often does not require
refined assessment of the short-term variable inflow because the integrated inflow/recharge
in relation to rainfall over longer time intervals generally conforms to a linear relationship.
The averaging period producing a linear response is characteristic of the catchment,
regardless of whether or not it yields surface flow or groundwater recharge. Studies of the
response of springs to rainfall have revealed much about the recharge characteristics of
aquifers as has been demonstrated in the case of the Dinokana spring (Xu et al., 1993). The
flows of the dolomitic springs in a specific month corresponded remarkably well to the
average antecedent rainfall over several months. Similarly, monthly groundwater levels
conform to the average rainfall over a number of preceding months.

6
8
0
1
2
3
4
Rietvlei Dam inflow (mil cub m/mth)
100000
200000
300000
400000
500000
600000
Springflow total (cub m/mth)
1919/20 1930/31 1941/42 1952/53 1963/64 1974/75
Time (hydrological years)
60 mth av dam inflow Springflow
The dependence of both groundwater levels and springflow on the average antecedent
rainfall requires that estimates on water balances must also incorporate this average
rainfall, for example when using the equal volume method for recharge estimation.
Figure 5.2 Comparison between the moving average inflow over 60 months to the
Rietvlei Dam and the flow of the Grootfontein eye near Pretoria.
5.3 Methods for Recharge Estimation in Dolomitic Areas
Recharge is one of the most difficult parameters to determine reliably by water balance
methods, because of the dependence of groundwater levels on both recharge and aquifer
storativity. The interdependence of these parameters makes it difficult to find a unique solution
for either recharge or storativity without having reliably determined the other parameter by an
independent method. When the drawdown-response to abstraction from pumping tests is used
for determining storativity in dolomitic aquifers, the concept of effective radius must be taken
into account, otherwise it can lead to unreliable results. Much progress, however, has been made
in deriving better estimates of S values (Verwey et al., 1995; Botha et al., 1998), by using
empirical approaches (Bredenkamp et al., 1995) and hydrodynamic modelling.
Several methods can be used to quantify groundwater recharge but the reliability of the
estimates is often questionable because of simplifying assumptions and uncertainties of some
key parameters that are required. A wide range of methods has been incorporated as part of a
WRC project which culminated in the compilation of a manual (Bredenkamp et al., 1995).
New perspectives have since been gained in a follow up study on groundwater monitoring,
which has focussed on the cumulative rainfall departure and moving average methods (WRC-
K5/838).
In the following sections we will highlight experiences gained in the application of those
methods that have proven to be practical and reliable in recharge estimation in dolomitic areas
despite their sometimes simplistic approach.
5.3.1 Hydrochemical and isotope tracer methods
Chloride Mass Balance (CMB)

69
This method entails determining the recharge coefficient from the ratio of chloride in rainfall to
chloride concentrations at the deepest point in the soil profile. It can be represented by the
equation:
moisturesoil
rf
CL
CL
av aRE ×= (1)
where REav is average annual recharge; a is recharge coefficient; and Cl is chloride
concentration. Critical to its application is the chloride concentration of the rainfall input.
A simplified approach was adopted using the data collected from rainfall in Botswana. The
average annual chloride input of that rainfall appears to match that of a few analyses of inland
rainfall in the RSA. Results show a reasonably consistent relationship with annual rainfall. The
chloride input, usually expressed as total deposition (mg/m2), has been converted to mg/l of
rainfall. A similar relationship to that of inland rainfall also appears to hold for rainfall sampled
along the Zululand coastal region (Figure 5.3). Chloride concentrations of rainfall in coastal
regions are significantly higher than those of rainfall from the inland.
Figure 5.3 Average annual concentrations of chloride derived from rainfall collected
in Botswana and elsewhere in the RSA.
The chloride method has been applied in different regions in the RSA and results from
chloride profiles in the unsaturated zone portray a surprisingly consistent relationship
between rainfall and potential recharge (Figure 5.4), which could be used as a first
approximation of the average recharge in a region. Note that Kuruman, Grootfontein and
Zuurbekom represent dolomitic aquifers.
The variability of chloride concentrations in relation to fluctuations of annual rainfall, based on
measurements at Lobatse of Botswana, shows a decline in chloride concentration as the annual
rainfall increases. This conforms to a reduction in chloride concentrations as more prolonged
rainfall showers occur as well as higher rainfall, which produces higher percentages of
recharge. However, a sample of mixed rainfalls would still produce an acceptable average
value of the recharge. Further measurements of chloride in rainfall would therefore help to
refine estimates of recharge by means of the chloride method.
0.1
1
10
100
Chloride (mg/litre)
0 200 400 600 800 1000 1200
Annual rf (mm)
Cor. coef. = 0.94
Gaborone
Coastal line
Inland samples
Ghanzi NataLobatse
Pretoria
Makhatini
Phelendaba Mbazwana
Mansenghwena
Mahalapye
Zachariashoek
Bloemfontein

7
0
1
10
100
1000
Annual Recharge (mm)
0 200 400 600 800 1000
Regional average annual rainfall (mm)
Recharge for rainfalls exceeding 600 mm
Differences in geology and vegetation ignored
Drastic decline in recharge
620 mm
Outlier
StE 12, 13, 16
StE 2-11
StW 1-6
StW 7-10
Zuurbekom
StH 1-2
Rietondale
Grootfontein
StB 2-3
Kuruman
Atlantis
Springbok Flats
Coetzersdam
Dendron
Bray
Gieske
Van Rensburg
Figure 5.4 Regional rainfall-recharge relationships derived from chloride profiles in
the unsaturated zone.
The CMB method can also be applied to the saturated zone to estimate a ‘true’ total recharge
originating from both diffuse and preferential flow components through the unsaturated zone.
Recharge over an entire drainage area can be determined by integrating ratios of chloride
contents in rainfall to that of groundwater over the whole area. This requires that both spatial
chloride input of rainfall and the chloride in groundwater be determined reliably. This method
has been applied by Gieske (1992) and Sami and Hughes (1996) but has not been used
extensively in the RSA although its wider application to estimate spatial variability of recharge
is promising.
An elegant application of the CMB method is to make an estimate of recharge from the ratio of
chloride concentration of rainfall to that of water discharging from a spring. Recharge rates
would then be integrated both spatially and temporally. The reliability of the assessments
based on the chloride concentrations of springs may be checked by means of cumulative plots
of the temporal variations of chloride (Figure 5.5). Chloride concentrations for Maloney’s eye
(or spring) for instance show that little contamination has yet occurred, whereas the Upper
Turffontein eye, suggests that significant contamination has occurred, thereby invalidating
application of the chloride mass balance method.
Tritium Profiling (TP)
Assumptions that apply for this method are basically the same as for the chloride profiling
method, i.e. infiltrating water displacing water in the unsaturated zone in a piston-like manner
and that no preferential bypassing of flow to greater depths occurs. Rainwater that infiltrated in
1962/63 may be distinguished by its higher tritium concentrations. Comparison of this water
with moisture from the post 1962/63 period may reveal information on moisture fluxes or
potential recharge. This method has been successfully applied in the Bo Molopo area where
average recharge was estimated between 5% and 8% of the average annual rainfall
(Bredenkamp et al., 1974; Bredenkamp et al., 1995). In the Rietondale area of Pretoria, tritium
profiles have yielded a potential recharge of about 8% and in the Atlantis area about 10% of
the average annual rainfall. Verhagen et al. (1974; 1984) and Vogel and Van Dijken (1974)
have applied the method on a limited scale.

71
Figure 5.5 Cumulative plots of chloride and sulphate concentrations vs. time for the
Upper Turffontein and Maloneys eyes.
In Botswana, the tritium profile method yielded recharge estimates which agree well with
chloride profiles for moisture fluxes in excess of 10mm/year (Gieske, 1992). Applicability of
the tritium method is presently limited by inadequate thickness of soil, causing the 1962/63
spike to be no longer detectable. However tritium concentrations, which have also been
drastically decayed due to the short half-life time, have become difficult to determine
accurately.
Characterising recharge by means of hydrochemistry and isotope physics
The chemistry of water discharging from a spring provides valuable information on the nature
of the recharge areas. Hydro(geo)chemistry can be used as a vital supplement to enlightening
the groundwater balances of spring catchments and the reliability of estimates of recharge.
Sulphate concentrations generally indicate the extent of pollution from mining activities and a
comparison of sulphate and chloride concentrations may reveal imbalances in the relative
contributions of contaminants. On a grand scale, the ratio of rainfall to evaporation determines
the concentration of dissolved constituents and of chloride, thus providing a relative index of
recharge.
Springs exhibiting lower TDS and bicarbonate concentrations are partially recharged by non-
dolomitic formations, which may indicate higher rates of recharge. The Pretoria Fountains
dolomitic aquifer receives part of its recharge from the weathered granites of the large granitic
dome (see Figure 5.1). The Rietvlei springs are also fed by recharge from both dolomite and
the Pretoria shale formations and quartzite. The Maloneys dolomitic spring has the lowest
bicarbonate concentration of all the dolomitic springs of which Barnard (1997) has shown that
part of the recharge is derived from the Transvaal Formations. The relative contribution of
non-dolomitic recharge has been estimated at about 16% of the total. In the case of Kuruman
eye, the variations of the chemical composition of spring water clearly indicates that about
40% of the recharge is derived from the Asbestos Mountains although this recharge area is
about one-third of the total recharge area. This has been derived from a simple two-box mixing
model, which has provided similar results to those obtained by a complex mixing model (Adar
and Kotze, 1997).
0
2
4
6
8
Cumulative Cl (mg/l)
(Thousands)
0
10
20
30
40
Cumulative SO4 (mg/l)
(Thousands)
1979 1981 1983 1985 1987 1989 1991 1993 1995
Time (years)
Cl SO4
Turffontein
Maloney's Eye

7
2
Recharge, chemistry and 14C concentrations
The chemistry of dolomitic waters may assist in explaining anomalous 14C concentrations in
the following puzzling cases:
- 14C concentrations of several springs are relatively low, despite frequently occurring
recharge. 14C values also remained relatively constant over many years in spite of higher
bomb 14C inputs (see Figure 5.6). The presence of tritium in some springs of which flow
responds to rainfall, clearly suggests shorter turnover times than what is interpreted from
14C concentrations. Note that the plotted 14C concentrations of the Grootfontein eye in
Figure 5.6 were shifted by 48 months as these lagged in comparison to the springflow.
- In springs such as Turffontein and Gerhard Minnebron, contamination of the aquifer is
evident, in spite of the 14C concentrations of the spring water having remained fairly
constant. In a few dolomitic springs, 14C contribution from bomb origin has been found.
In the case of Kuruman eye clear inputs of higher tritium and 14C have occurred although
the higher concentrations were not sustained.
57
57.5
58
58.5
59
59.5
60
C-14 concentration (% mod)
100000
200000
300000
400000
500000
600000
Rietvlei flow (cub m/mth)
1941 1946 1951 1956 1961 1966 1971 1976 1981 1986 1991
Time
C-14 Rietvlei measured CRD 6-96 simulated
C14 lagging the spring
flow by 48 months
Figure 5.6 14C concentrations of the Grootfontein eye in relation to the measured and
simulated flows.
An alternative explanation for the observed 14C concentrations can be derived from examining
the hydrochemical evolution of groundwaters. In spite of most dolomitic springs in the RSA
having reached saturation in bicarbonate, no carbonate precipitates are found at the outlets of
springs, as is the case with most carbonate aquifers elsewhere in the world. It appears that
rapidly recharging water in dolomitic terrain partially bypasses the biological soil zone where
equilibrium of 14C and carbonate solution is normally established. The slightly acidic water
dissolves dolomite rock with zero 14C concentration, as the water moves through karstic
channels and fractures. This results in lower than “normal” 14C concentrations, which
erroneously may be ascribed to radioactive decay of 14C. Bicarbonate and chloride
concentrations of springs show correspondence, thus further supporting this hypothesis and
suggesting that bicarbonate concentrations also provide a measure of recharge in these cases
(see Figure 5.7). Low concentrations of bicarbonate in dolomitic aquifers manifest that rapid
recharge occurs which bypasses the zone of biological activity yet, upon entering cavernous
dolomite, dissolution takes place, increasing the carbon content in groundwater.

73
0
5
10
15
20
25
Percentage recharge (%)
100 150 200 250 300 350 400 450
Bicarbonate (mg/l)
Figure 5.7 Recharge (determined by CMB method and expressed as % of average
annual rainfall) for dolomitic aquifers in relation to bicarbonate
concentrations.
The preceding provides an explanation as to why contamination is observed in springs such as
the Turffontein and Gerhard Minnebron whilst 14C concentrations have remained fairly
constant. In the case of Kuruman eye, the discharging water is a mixture of recharge from two
catchments having different chemical signatures. During normal rainfall conditions, the
relative contributions of recharge from the two catchments are balanced, but during periods of
high rainfall, a greater proportion of recharge is contributed from the surrounding mountainous
area, which has a different chemical and isotopic signature. This results in an increase in 14C
and tritium in the spring water. This temporary imbalance is gradually restored to the original
ratio as normal flow is restored. Even if the characteristics of the recharge from different sub-
catchments are different, the isotopic and chemical signature of the water would not change
much.
Plotting the 14C concentrations against the alkalinity of spring water (Figure 5.8) shows that
14C concentrations increase as the alkalinity increases. This is in agreement with the previous
finding that the lower the alkalinity, the more the 14C concentrations have been ‘diluted’. Apart
from this effect, the admixing of bomb 14C will also be a function of the turnover time of the
aquifer, which further complicates interpretations based on 14C concentrations of spring water.
50
60
70
80
90
100
110
120
C-14 (% mod)
100 150 200 250 300 350 400
HCO3 (mg/l)
1
2
34
5
6
7
8
9
10
11
12
13
14
15
16
17
18
19
20
21
22
23
24
25
26
27
28
29
30
31
1 Klein Vlakfontein
2 Kuruman Eye 1
3 Kuruman Eye 2
4 Fountains Lower
5 Fountains Upper
6 Grootfontein Rietvlei
7 Sterkfontein Spr
8 Gerhard Minnebron
9 Maloney's Eye
10 Mooirivier Upper
11 Turffontein Eye
12 Buffelshoek Eye
13 Grootfontein Eye
(Molopo)
14 Molopo Eye
15 Renosterfontein
16 Olievendraai
17 Welbedacht
18 Tsineng
19 Botheteletsi
20 Groot Koning
21 Klein Koning
22 Polfontein
23 Mayeding
24 Doornplaat
25 Thabasikwa
26 Malmani
27 Kareebosch
28 Doornfontein
29 Vergenoegd
30 Stinkhoutboom
31 Elandsfontein
Figure 5.8 Concentrations of 14C plotted against alkalinity (HCO3).

7
4
Outliers in Figure 5.8 can be explained as follows:
- Elandsfontein: part of its recharge is derived from shale and quartzite formations;
- Tsineng: this eye appears to have a component of old water;
- Botheteletse: emanating from an aquifer with a small turn-over time - 14C probably
increased by admixture of bomb 14C and ‘biological’ contamination at the outlet.
Dating of groundwater from dolomitic aquifers by 14C should thus be treated with great
caution. In view of the general support of the use of natural isotopes in groundwater studies,
this has been examined more extensively in a WRC project (Contract No. K5/838) on
groundwater monitoring (Bredenkamp, 1999). The value of 14C measurements in dolomitic
areas appears to be more in the bomb-increase being used as a marker to identify the
cumulative recharge that have accrued since the introduction of bomb 14C to the atmosphere.
14C concentrations of springs that have been monitored only conform to the input of 14C if the
values are plotted incorporating a lag time. In the case of the Grootfontein spring at Rietvlei in
Pretoria, the lag time was estimated at 48 months.
5.3.2 Physical methods
Equal volume (EV)
An estimate of the average recharge for a delimited aquifer can be obtained by means of
the equal volume method whereby the aquifer storativity is eliminated from the water
balance equation (dV=0):
dt
dV
SQREOutflowInflow ×=−+− (2)
where Inflow is the average lateral inflow; Outflow is the average lateral outflow; RE is
groundwater recharge; Q is the net discharge from the groundwater system which could
either be pumping or the discharge from a spring or both; dV is change in saturated volume
of the aquifer; dt is the time increment over which the water balance is calculated and S is
aquifer storativity.
The recharge is equal to the abstraction during periods when the saturated volume of the
aquifer at the beginning and end of the period are the same (dV = 0). These periods can be
identified in two ways, namely:
- for the status of equal-saturated-volumes derived from a composite hydrograph of
the integrated groundwater level fluctuations, as measured at different monitoring
boreholes spread over the aquifer;
- from periods of equal-status of spring flows.
Because the water level fluctuations in some cases respond to rainfall over long periods,
the recharge derived in this way will not reveal the true variability of recharge, unless it is
related to the correct causative rainfall. The longer the equal volume period, the more
consistent the recharge estimates will be as it approaches the long-term average recharge,
which conforms to a linear relationship.
In the case of the Rietpoort dolomitic aquifer near Zeerust different rainfall/recharge
relationships for periods before and after 1983 have been found (Figure 5.9). The
discrepancy most likely originates from the diversion of natural flow of the Molopo spring
into a pipeline as from 1983.

75
0
100
200
300
400
500
Recharge (mm)
0 500 1000 1500 2000 2500 3000 3500
Rainfall (mm)
RE=0.14*Rf Re=0.10*Rf
e
MAXIMUM RECHARGE LINE:
08/1977 to 05/1983
MINIMUM RECHARGE LINE:
06/1983 to 06/1993
ANNUAL RECHARGE (ARf=480mm):
Re*Area = 3.37 million m^3/a
Figure 5.9 Groundwater recharge of the Rietpoort compartment near Zeerust based
on the equal volume method.
In the case of the Buffelshoek eye, the EV method revealed clear evidence for an
exponential rainfall-recharge relationship. Note that in case of discrepancies, e.g. due to
abstraction or poor measurements, the rainfall-recharge relationship shows a clear shift
(Figure 5.10), which provides a means of checking the reliability of the data.
0
1000
2000
3000
4000
Recharge (mm)
0
5
10
15
20
25
30
% Rf = Recharge
0 5000 10000 15000 20000 25000 30000 35000
Rainfall (mm)
recharge mm % rech
Period >200 mths
Discrepancy in flow
recharge = mm
Figure 5.10 Anomalies in rainfall-recharge relationships of springs.
Other physical methods
Methods that also have been applied to dolomitic aquifers include the Modified Hill (MH),
Cumulative Rainfall Departure (CRD) and the Moving Average Rainfall (MA) methods.
The Modified Hill method represents a simplified version of the groundwater balance and
aims at estimating storativity; the CRD method provides a means to mimic groundwater
levels; and the Moving Average Rainfall method relates groundwater levels to moving
average rainfall. Further details of these methods are given in Bredenkamp et al. (1995).

7
6
The CRD method has been developed into the most advanced one as compared to the other
two methods. It not only gives the temporal response of groundwater levels to recharge,
but also enables the derivation of aquifer characteristics. The method incorporates a short-
term and long-term memory of the aquifer, which better conforms to the natural
hydrological balance of an aquifer than the moving average method (MA). The coefficient
of recharge, which is either used by or derived from the CRD method, represents an
integrated average value. It can be derived when the storativity of the aquifer has been
determined reliably. An examination of storativity values and inferred aquifer depth,
derived from an analysis of groundwater hydrographs in the Zeerust, Grootfontein,
dolomitic area in the Northwestern Province, has revealed an exponential decrease in
storativity with depth (Figure 5.11). Alternatively, the storativity could be ascertained if
the recharge would have been estimated, e.g. by means of the chloride method.
Figure 5.11 Change in storativity with depth for a dolomitic aquifer in the Northwest
Province of RSA.
Recently, the CRD method was revised to accommodate for short-term rainfall records (Xu
and Van Tonder, 2001). As shown in Figure 5.12, simulation using this new CRD method
demonstrates that the responding water levels lag the rainfall events by many months. In
the case of Wondergat, the best simulation encompasses a lag of 23 months as is also
shown by the simulation of groundwater levels according to the moving average method.
Although the CRD and MA methods yield simulations that correspond closely, the CRD
relationship represents a more acceptable hydrological model of the groundwater balance.
Both methods, however, help to acquire a better understanding of the groundwater balance
apart from determining critical parameters of the aquifer. The MA method could also be
used to simulate the response of the aquifer to different scenarios of recharge and
abstraction.
The CRD and MA methods provide a useful check of the reliability of water level and
spring flow records, provided that reliable rainfall records are available. The flow of
springs could best be simulated by the MA estimate of recharge and the area of the aquifer.
Missing data of both water levels and spring flow can therefore be simulated.
0
0.02
0.04
0.06
0.08
0.1
0 50 100 150 200
Thickness of aquifer (m)
Storativity S
S value Log. (S value)

77
Figure 5.12 Simulation of water level fluctuation in Wondergat for rainfall averaged
over the preceding 23 months.
Furthermore, application of the CRD and MA methods to different series of monitored
groundwater levels has significantly contributed towards a better understanding of the
spatial variability of recharge. Basic requirements are reliable rainfall records and
groundwater levels (WRC contract K5/83). The methods work particularly well in the case
of dolomitic aquifers, as they are highly permeable aquifers equalizing spatial differences
in recharge. The integrated response of an aquifer could be represented by the saturated
volume fluctuation that is derived from the summation of water level responses of different
boreholes in the aquifer as illustrated in Figure 5.13 for the Lichtenburg aquifer. The
impacts of different rates of abstraction could be inferred by increasing the abstraction
from which the probabilities of exceedance of specified limits of groundwater levels could
be assessed.
Figure 5.13 Groundwater levels in the Lichtenburg area (expressed as fluctuations of
Saturated volumes) in relation to the CRD series.
-10
-5
0
5
10
15
1
50
99
148
197
246
295
344
393
442
491
540
589
638
687
736
785
Time (months)
change in water levels (m)
0
50
100
150
200
250
300
350
rainfall (mm)
Rain (mm) Water level dh(revised CRD)
-7000
-6000
-5000
-4000
-3000
-2000
-1000
0
1000
SVF (mm)
-1600
-1400
-1200
-1000
-800
-600
-400
-200
0
200
CRD
(
mm
)
0 20 40 60 80 100 120 140
Time (months)
Sat. Vol. fluctuations CRD
CRD 6/120
Natural condition
Stressed condition
Measured water levels
7
8
5.4 Conclusions
Significant progress has been made in the RSA in studies of groundwater recharge. These
have complemented the research efforts of the GRES project in Botswana. Software has
now been developed to apply the CRD/MA methods. The significance and value of
improved quantitative estimation of recharge using simplistic methods can be summarized
as follows:
- improved assessments of the sustainable yield of groundwater resources of dolomitic
and other aquifers;
- improved estimates of aquifer storativity and aquifer depth;
- better insight into recharge variability for groundwater and pollution studies;
- enhanced understanding and interpretation of natural isotopes in groundwater
studies;
- improved hydrodynamic aquifer simulations based on better recharge estimates;
- improved management of groundwater systems based on simple assessment tools.
With regard to further studies on groundwater recharge the emphasis should be on:
- practical evaluations and applications, e.g. aquifer management based on monthly
recharge estimates;
- storativity estimates of fractured aquifers should be validated by analysis of pumping
tests and inverse modelling using models similar to AQUAMOD codes (Van Tonder
et al., 1997);
- combined chemical and isotope approaches to estimation of recharge;
- re-examining the value of (anomalous) 14C concentrations in dolomitic aquifers for
quantitative/qualitative assessments of recharge;
- further improvement and testing of CRD method for simulation of recharge and for
evaluating the performance of aquifers for different scenarios of exploitation.
5.5 References
Adar E. and Kotze J., 1997. Multiple-cell model of the Kuruman eye recharge catchment.
Preliminary Gh report, Department of Water Affairs and Forestry, Pretoria, RSA.
Barnard H., 1997. Geohydrological investigation of the catchment of Maloneys eye. M Sc
Thesis University of the Free State, Bloemfontein, RSA.
Beekman, H.E., Gieske, A. and Selaolo, E.T., 1996. GRES: Groundwater Recharge Studies
in Botswana 1987-1996. Botswana J. of Earth Sci., Vol. III, 1-17.
Beekman, H.E., Selaolo, E.T. and De Vries, J.J., 1999. Groundwater recharge and
resources assessment in the Botswana Kalahari. GRES II Executive summary and
technical reports, pp. 48.
Botha, J. F., Verwey, J. P., Van der Voort, I., Vivier, J. J. P., Buys, J., Colliston, W. P. and
Loock, J. C., 1998. Karoo Aquifers. Their Geology, Geometry and Physical
Behaviour. WRC Report No 487/1/98. Water Research Commission, Pretoria.
Bredenkamp D.B., 1999. A critical evaluation of groundwater monitoring. WRC contract
K5/838, 1999.
Bredenkamp D.B., Schutte J..M. and Du Toit, G.H., 1974. Recharge of a dolomitic aquifer
as determined from tritium profiles. Isotopes Techniques in groundwater Hydrology.
Int. Symp. IAEA, Vienna, p73.
Bredenkamp D.B., Botha J., Van Rensburg J. and Van Tonder G.J., 1995. Manual on
quantitative estimation of groundwater recharge and aquifer storativity. WRC Report
TT/73/95. Water Research Commission, Pretoria.

79
Gieske A., 1992. Dynamics of groundwater recharge - A case study in semi-arid Eastern
Botswana. Ph.D. thesis, Free University of Amsterdam.
Sami K and Hughes D.A., 1996. A comparison of recharge estimates to a fractured
sedimentary aquifer in South Africa from a chloride mass balance and an integrated
sub-surface model. J.Hydrol., 179 (1-4).
Selaolo, E.T., 1998. Tracer studies and groundwater recharge assessment in the eastern
fringe of the Botswana Kalahari – The Lethlakeng – Botlhapatlou area. Ph.D Thesis.
Free University- Amsterdam, pp. 224.
Van Toder, G.J., Lukas, E. and Staats, S., 1997. AQUAMOD inverse model, Institute for
Groundwater Studies, University of the Free State, Bloemfontein, RSA.
Verhagen B. Th, Mazor, E. and Sellschop J.P.F., 1974. Radiocarbon and tritium evidence
for direct recharge to groundwaters in the northern Kalahari. Nature 149, 643.
Verhagen B. Th, 1984. Environmental isotope study of a groundwater supply project in the
Kalahari of Gordonia. Isotope Hydrology 1983, Proc. Symp. Vienna, IAEA, pp 415-
433.
Verwey, J. P., Kinzelbach, W. and Van Tonder, G. J., 1995. Interpretations of pumping test
data from fractured porous aquifers with a numerical model. In: Proceedings of the
Groundwater '95 Conference: Groundwater Recharge and Rural Water Supply.
Midrand, South Africa. Groundwater Division of the Geological Society of South
Africa and Borehole Water Association of Southern Africa.
Vogel, J.C. and Van Dijken, M., 1974. Determination of groundwater recharge with
tritium. Conf. On Technological Applications of Nuclear Techniques. Atomic Energy
Board, Pelindaba, RSA.
Xu, Y., Ma, F. and Partridge, T.C., 1993. Time Series Analysis of the Rainfall, Piezometric
Fluctuations and Spring Flow in the Dolomitic Aquifer System of Wondergat-
Dinokana Area, North East of Mafikeng, Africa Needs Ground Water, ISBN 0-620-
17821-3 Vol 2, An International Groundwater Convention at University of the
Witwatersrand, Johannesburg, RSA, 6-8 Sept. 1993.
Xu Y. and van Tonder G.J., 2001. Estimation of recharge using a revised CRD method,
ISSN 0378-4738, Water SA, Vol.27 No. 3 July 2001.

81
6. A Box Model for Estimating Recharge – The RIB Method
Yongxin Xu1 and Hans E. Beekman2
1Department of Earth Sciences, University of the Western Cape, South Africa
2Environmentek, Council for Scientific and Industrial Research, South Africa
ABSTRACT A new method called Rainfall Infiltration Breakthrough (RIB) is proposed for
estimating groundwater recharge of aquifers (accommodating for pores, fractures and their
combination) where groundwater level fluctuations occur resulting from rainfall recharge. The
method shows resemblance to the cumulative rainfall departure (CRD) method in that it also
simulates groundwater levels, but differs from the CRD method in that it accounts for the
manner in which recharge occurs. It therefore provides a better opportunity for explaining the
occurrence of recharge under different conditions. The method is user-friendly and requires
only few spatial data. The RIB method can be used for estimating either recharge or aquifer
storativity. Validation of the method under typical South African conditions is discussed based
on model-generated and known cases.
6.1 Introduction
Infiltration of rainfall is influenced by many factors such as rainfall intensity and duration,
surface topography, geology and factors related to moisture transport (moisture content,
hydraulic conductivity, etc.). Estimation of recharge from infiltration and unsaturated zone
studies, however, is complex and often inaccurate. Therefore, hydrogeologists generally resort
to comparing rainfall events directly with groundwater levels, that is if water level fluctuations
do occur (Wenzel, 1936; Sophocleous, 1991; Bredenkamp et al., 1995; Wu et al., 1996). In
South Africa, such comparisons were often made for recharge estimation of fractured rock
aquifers such as the Karoo (Kirchner et al., 1991) and dolomite aquifers (Bredenkamp et al.,
1995).
Xu and Van Tonder (2001) demonstrated that even though the departure of rainfall from the
mean rainfall is negative, natural water levels may continue to rise as long as there is a surplus
of recharge as opposed to discharge. It is often difficult, however, to relate water level changes
directly to rainfall events. Particularly when water level fluctuations are out of phase with
rainfall, the absence of recharge may be interpreted incorrectly. A filter or transfer function can
be introduced to accommodate for the delayed transfer of moisture through the unsaturated zone
to the water table. If it is assumed that rainfall events are linearly related to the change in water
level, time series of recharge can be derived. Analytical relationships between water levels and
recharge have been formulated in the past (De Vries, 1974).
In this paper we propose a new filter relating water level fluctuations to rainfall aiming at better
understanding and estimating groundwater recharge.
6.2 Conceptual Framework
6.2.1 Recharge process
Only part of infiltrated rainfall breaks through the zone where evapotranspiration occurs and
percolates to the groundwater table. This part is here referred to as recharge. The arrival time of
this water at the water table is delayed due to the 3-dimensional spreading of moisture. The

8
2
duration of the recharge event is prolonged with increasing thickness of the unsaturated zone
(see Figure 6.1). The breakthrough water not necessarily results from a single rainfall event, but
may represent a series of preceding rainfall events. Depending on the characteristics of the
aquifer, that portion of the rainfall that breaks through may cause a rise in water level, and
subsequently an increase in discharge down-gradient.
Ground surface
Pav
hav
0
t1
t2
tn
htn
ht2
ht1
Percolation
Water table
Infiltration
Infiltration
breakthrough line
Infiltrating rainfall subject
to evapotranspiration
Breakthrough rainfall
to water table
Effective rainfall is
rainfall minus loss at
ground surface
Rainfall
Depths Time
Figure 6.1 Sketch of the Rainfall Infiltration Breakthrough process.
6.2.2 Water level response
The water level response to rainfall recharge is a function of many hydrogeological factors.
Most critical are depth to water level, structure and texture of the unsaturated zone, and
characteristics of the rainfall. The following types of responses can be distinguished:
- Rapid response: within hours, days or a month of intensive rainfall. In this case,
recharge normally occurs via preferential flowpaths like extensional fault zones;
- Intermediate response: over a time span of a year or two. In this case, recharge
normally occurs through direct and indirect flowpaths; and
- Slow response: taking longer. In this case, recharge normally occurs through
diffuse flowpaths.
6.3 Theory
6.3.1 Rainfall Infiltration Breakthrough (RIB)
If records of rainfall events are expressed as a time series: P1, P2, P3, …, Pn, a RIBi (or
recharge) can be defined as:

83
1ni
Sum(n, i)Sum(m, n)
Time series
23 …
a
bc
Sum(1, i)
m
where r is that fraction of the above mentioned cumulative rainfall departure (CRD) which
contributes to the RIB (is recharge percentage); Pav is average rainfall over the entire
rainfall time series; Pt is a threshold value representing aquifer boundary conditions, which
can be determined during the simulation process (Pt may range from 0 to Pav, with 0
representing a closed aquifer, and Pav representing an open aquifer system); the symbol i
represents a sequential number of a rainfall record, while parameters m and n, introduced
as memory markers, represent the start and end of a time series length, during which period
rainfall events contribute to the breakthrough RIB(i). Note that Eq. (1) reduces to the CRD
as defined by Bredenkamp et al. (1995) if rainfall events from Pm to Pn do not show any
trend and thus cumulative rainfall averages equate to Pav.
Eq. (1) indicates that the i-th month rainfall infiltration breakthrough is attributed to the
cumulative effect of rainfall series Pm, Pm+1, Pm+2, …, Pn with a weighting factor that is a
function of the moving average of a rainfall time series. It shows that RIB(i) is the
weighted average of the rainfall series Pm, Pm+1, Pm+2, …, Pn. The weighting factor is not
necessarily constant and may be positive or negative depending on whether or not the
amount of rainfall during the period of interest exceeds the moving average rainfall.
Three Rainfall Infiltration Breakthrough scenarios can be distinguished based on different
time scales as illustrated in Figure 6.2:
Figure 6.2 Time lag scenarios a-c.
Scenario a: RIB1i is the cumulative result of all previous rainfall. This often represents a
combination of point and diffuse recharge mechanisms.
Scenario b: RIBni results from the previous N rainfall events immediately before the
current rainfall event. This can be observed in fractured rock aquifers where
the infiltration process takes place relatively quickly.
Scenario c: RIBmn results from a limited rainfall series between m and n. This often
occurs in unconsolidated aquifers where the infiltration process may
behaviour like a piston flow.
INM
) ... ,2,1,(
) ... ,2,1,(
) ... ,3 ,2 ,1(
)(
1
2 )(
(1)
<<
−−=
−−=
=
−
−−= ∑∑∑ ===
Miiim
Niiin
Ii
PP
mnP
PriRIB n
mi
t
n
mi
i
av
n
mi
i
n
m

8
4
()
(
)
(
)
(
)
()
(5) ) ... ,3 ,2 ,1 ,0(
//2/1 2
Ii
ASQQSLThRIBSh outipiav
n
im
=
+−−⋅=∆
6.3.2 Relationship between RIB and groundwater level fluctuation
Time series of recharge events based on Eq. (1), i.e. R1, R2, R3, …, Rn, are shown in Figure
6.3.
Figure 6.3 Recharge series and groundwater level fluctuations.
Recharge R can be replaced by a RIB which in turn comprises the following two terms:
Average recharge RIBav is a function of the average saturated aquifer thickness hav, aquifer
transmissivity T and average distance of groundwater flow L away from the groundwater
mound, whereas recharge fluctuation RIB is a function of aquifer storativity S and the
groundwater table fluctuation h (Haijtema, 1995; Xu et al., 2001):
Combining Eqns. (2) and (3) result in the following expression for water level fluctuation:
It is assumed that RIB is the driving force behind a monthly water level change, provided
that the other stresses are relatively constant. As defined in Eq. (3), RIB can be positive
and negative, depending on rainfall intensity and frequency. The groundwater level will
rise if the RIB is positive, and decline if it is negative.
Eq. (4) describes a linear relationship between RIB and water level change.
Accommodating for other stresses, which may be exerted on an aquifer, Eq. (4) is modified
as follows:
(
)
()
(3) )(
2)( 2
i
n
av
av
n
hSiRIB
LThiRIB
m
m
∆=∆
=
()
(
)
(4) 2)(/1 2
LThiRIBSh av
n
im−⋅=∆
(
)
(
)
(2) )()()( n
av
nn
mmm iRIBiRIBiRIB ∆+=
A. Recharge fluctuation: R
i
=
R
av
+
∆
R
i
B. Depths to groundwater level: h i
=
h
av
+
∆
h
i
-
∆
R
-
∆
h
+
∆
h
+
∆
R
t
R
av
h
av
0

85
Term (Qpi + Qouti)/(AS) in Eq. (5), represents abstraction from the aquifer and outflow at
the i-th month, and is only required if a pumping borehole affects that part of the study area
where water level readings are taken.
Eq. (5) can also be used to estimate the ratio of recharge to aquifer storativity by
minimising the difference between the calculated and measured hi series.
6.3.3 Critical remarks
The RIB concept is based on a box model method, which makes use of the convolution
function. The input function is rainfall, the output is the infiltration breakthrough and the
transfer function is a dynamic weighting factor. The numeric form of the convolution can
be written as:
where the expression between brackets represents the transfer function or weighting factor.
Parameters m and n in Eq. (6) are determined through simulations using a Solver that is
available in Excel spreadsheets. Note that the weighting factor is a function of the
parameters r, Pav, Pt, n and m. Generally, rainfall time series are composed of random and
deterministic components, the latter in the form of trends and periodicities. To a certain
degree, a short series of data often displays a trend, which is reflected in Eq. (1). The RIB
method has therefore been formulated to account for such a trend.
A close inspection of Eqns. (1) through (5) reveals the following:
- If rainfall Pi is constant over time, Pi = Pav and groundwater levels do not fluctuate
naturally. Steady state conditions prevail.
- Only the ratio r/S can be determined through water level simulation.
- Eq. (4) is similar to that used in the EARTH Model (Van der Lee and Gehrels,
1990). The difference is that hav is replaced by hi-1 in the SATFLOW module of the
Earth Model.
- Since Eq. (4) reflects a natural situation, it cannot accommodate for variable
pumping rates. Eq. (5) does account for changes in pumping and outflow rates (Qpi
+ Qouti).
- Term (Qpi + Qouti)/(AS) of Eq. (5) is only required if the influence of pumping
and/or outflow on water level changes is evident. This may be true in cases of
highly fractured dolomite aquifers, where high values of transmissivity are
encountered.
- Eq. (5) implicitly assumes that there are no long-term trends in the rainfall pattern.
The RIB method is a lumped parameter method. It does not address parameter variations in
space, and should thus be applied with caution.
()
()
(6) 2)( ∑∑
=
+−−⋅= n
mi
n
mavtiti
n
mPrPPmnrPrPiRIB

8
6
6.4 Case Studies
In the following sections the RIB method is compared with the CRD method for closed and
open aquifer systems.
6.4.1 Closed aquifer system
A hypothetical aquifer with recharge of 2% of the rainfall over a closed area of 5x5 km2
has a borehole at the centre pumping at a rate of 15000 m3 per month. The aquifer has a
storativity of 1x10-3. Water levels over 24 months are generated using Modflow-based
software.
The water level series is simulated using a computer program named RIB. Simulated water
levels are compared with generated levels in Figure 6.4, where dh(crd) refers to water
levels calculated using Bredenkamp et al. (1995) CRD method, while dh(rib) represent
water levels calculated using Eq. (5). The average modelled recharge is 1.79% of the
rainfall.
Figure 6.4 Simulation of groundwater fluctuation using the RIB and CRD methods
based on model generated data.
6.4.2 Dolomite aquifer
The Grootfontein aquifer in South Africa is compartmentalized by dolerite dykes. The
compartment situated in the recharge zone covers an area of 1.25x103 km2. Aquifer
storativity has been estimated at 2.39% (Bredenkamp et al. 1995). Both the CRD and the
RIB methods were applied to this case. Results are shown in Figure 6.5. Based on the RIB
method, a recharge value of 5.71% of the rainfall was calculated, whereas the CRD method
revealed a value of 11%.
-6
-4
-2
0
2
4
6
8
10
12
1
3
5
7
9
11
13
15
17
19
21
23
Time (months)
change in water levels (m)
0
20
40
60
80
100
120
140
160
180
rainfall (mm)
Rain (mm) Water level dh(rib) dh(crd)

87
Figure 6.5 Simulation of groundwater fluctuation using the RIB and CRD methods
based on data from Grootfontein compartment.
6.4.3 Karoo aquifer
The Karoo aquifer in Dewetsdorp was investigated by Kirchner et al. (1991). It covers an
area of 21 km2 with aquifer storativity estimated at 0.19%. In this case, both CRD and RIB
methods were applied and yielded an average recharge of 1.67% of the rainfall as shown in
Figure 6.6. The application of Eq. (5) produced a better fit using Scenario b “RIBni” (see
Section 3.6.1) with incorporation of 10 months of memory (n=10). This indicated that the
unsaturated zone possesses preferential flowpaths. If the memory was not considered, i.e.
Scenario a “RIB1i” in Section 3.6.1, it would give a recharge value of 1.45% as reported
previously (Xu and Van Tonder, 2001).
6.5 Conclusions and Recommendations
The RIB method is a powerful tool for groundwater recharge estimation. It accommodates
for rainfall series with trends and is capable of simulating different scenarios of aquifer
recharge. The ratio r/S can be estimated for shallow aquifers and does not require large
amounts of spatial data. The estimation can be optimized through a Solver built in Excel.
The applicability of the RIB method for deep-seated aquifers still remains to be verified.
Although the RIB method is sensitive to the depth to the groundwater table, it can be
applied to most boreholes in South Africa as these are drilled within a depth range of 100
m. Prior to the application of the method one must be certain that rainfall data are directly
responsible for water level fluctuations. An analysis of recharge mechanisms is
recommended.
-2
-1
0
1
2
3
4
5
1
8
15
22
29
36
43
50
57
64
71
78
85
92
99
106
113
Time (months)
change in water levels (m)
0
50
100
150
200
250
300
rainfall (mm)
Rain (mm) Water level dh(rib) dh(crd)

8
8
Figure 6.6 Simulation of groundwater fluctuation using the RIB method based on
data from Dewetsdorp aquifer.
6.6 References
Bredenkamp, D.B., Botha, L.J., Van Tonder, G.J. and Van Rensberg, H.J., 1995. Manual
on Quantitative Estimation of Groundwater Recharge and Aquifer Storativity, Water
Research Commission - Pretoria (ISBN 1 86845 1763).
De Vries, J.J., 1974. Groundwater flow systems and stream nets in the Netherlands. PhD
Thesis, Free University of Amsterdam, The Netherlands.
Haijtema, H.M., 1995. Analytical element modeling of groundwater flow, ISBN 0-12-
316550-4, Academic Press, Inc.
Kirchner, R., Van Tonder, G.J. and Lukas, E., 1991. Exploitation potential of Karoo
aquifers. WRC Project no. 170/1/91. Water Research Commission, Pretoria
Sophocleous, M.A., 1991. Combing the soil water balance and the water-level fluctuation
methods to estimate natural groundwater recharge: practical aspects. J Hydrol 124:
229-241.
Van der Lee, J. and Gehrels, J.C., 1990. Rainfall and recharge: a critical analysis of the
atmosphere-soil groundwater relationship in Kanye, semi-arid Botswana. MSc thesis,
Free University, Amsterdam
Wenzel, L.K., 1936. Several methods of studying of groundwater levels. Trans. Amer.
Geophysical Union, Vol. 17.
Wu, J.R., Zhang, T. and Yang, J., 1996. Analysis of rainfall-recharge relationship. J.
Hydrol. 177: 143-160.
Xu, Y. and van Tonder, G.J., 2001. "Estimation of recharge using a revised CRD method",
ISSN 0378-4738, Water SA, Vol.27 No. 3 July 2001.
Xu, Y., Mafanya, T., van Tonder, G.J. and Partridge, T., 2001. "Estimation of monthly
groundwater discharge time series under simplified hydrogeological scenarios in
South Africa", The Tenth South African National Hydrology Symposium,
Pietermaritzburg, 26 –28 September 2001. Website: http://www.beeh.unp.ac.za.
-4
-3
-2
-1
0
1
2
3
4
5
6
7
1
3
5
7
9
11
13
15
17
19
21
23
25
27
29
31
33
Time (months)
change in water levels (m)
0
50
100
150
200
250
300
350
400
450
rainfall (mm)
Rain (mm) Water level dh(rib) dh(crd)

89
PART IV
Role of Surface Water - Groundwater Interaction in Recharge
Estimation

91
7. Surface Water – Groundwater Interactions in the Context of
Groundwater Resources
David N. Lerner
Department of Civil and Structural Engineering, University of Sheffield, United Kingdom
ABSTRACT Surface water-groundwater interactions need to be quantified in two ways in
the context of groundwater resource estimates, namely recharge of groundwater by surface
water, adding to the groundwater resources, and discharge of groundwater to surface water,
as an alternative measure of groundwater recharge. Rivers are known to be the major route
for recharge in arid and semi-arid zones and accurate methods of assessment of recharge
are vital. River flow measurements are often the only high quality data available for water
resource analysis, and have the advantage that they integrate the catchment's overall
behaviour. Methods of analysing groundwater contributions to streamflow will be helpful
in cost effective resource management. The intended theme of this paper is the need to
develop a conceptual model of the catchment of study before beginning to apply
techniques to resource estimation because surface water- groundwater interactions do not
always conform to the classical concepts of recharge and baseflow. There are techniques
available for estimating recharge from rivers, although it is much easier to estimate
transmission loss than recharge. The most commonly and successfully used methods are
water balances, particularly channel water balances, and catchment-scale models.
Calculations of water table rise can be erroneous. Hydrograph analysis to obtain estimates
of groundwater discharge is feasible. The best methods use rules to ensure consistency
over time and between operators, but do not necessarily calculate total groundwater
discharge.
7.1 Introduction
Are the differences between surface water and groundwater as clear as we would like to think?
We recognise groundwater when digging a well and incepting the water table. We know surface
water when we see a flowing river. But when they are in close contact they are not always
separate and distinct, which is unfortunate when we are trying to quantify the interactions in
order to estimate water resources.
Surface water-groundwater interactions need to be quantified in two ways in the context of
groundwater resource estimates:
• Recharge of groundwater by surface water, adding to the groundwater resources. Rivers
are known to be the major route for recharge in arid and semi-arid zones and accurate
methods of assessment are vital.
• Discharge of groundwater to surface water, as an alternative measure of groundwater
recharge. River flow measurements are often the best data available for resource
analysis, and integrate the catchment's behaviour. Methods of analysing groundwater
contributions to streamflow will be helpful in cost effective resource management.
This paper will concentrate on estimating recharge from and discharge to surface water, but
these are not mechanistic exercises. They require a sensitive understanding of the hydrological
processes that operate. Hence I start with discussions of river types, runoff and recharge
mechanisms, and water resource concepts.

9
2
7.2 River Types
Two classification factors for rivers are useful in the present context - vertical positioning and
streamflow characteristics. A similar but more comprehensive and locally focussed analysis for
South Africa is provided by Xu et al. (2002). Firstly, rivers can be at different elevations in
relation to underlying groundwater, as shown in Figure 7.1. Remote or perched rivers are
associated with dryer climates, smaller or upstream parts of catchments, and changes in geology
such as the emergence of a mountain river onto an alluvial fan. Groundwater does not generally
contribute to surface flow. Recharge is the normal process and is controlled by stream flow and
particularly by bed characteristics.
Connected Remote
Intermittent
Low water table –
Saturated recharge
High water table –
Discharge
Low water table –
Unsaturated
recharge
High water table –
Discharge
or recharge
Flowing river –
Unsaturated recharge
Dry river –
No recharge
Figure 7.1 Classification of rivers by vertical positioning relative to the water table.
Connected rivers are the norm in temperate and humid climates, particularly in the lower parts
of a catchment. They are the base elevation of the flow system, providing the discharge route
for groundwater. Recharge is the exceptional process, occurring at changes in geology, near
pumping wells, or transiently during periods of high flow. Interchanges between surface and
groundwater are controlled by stream flow, water table configuration and geology. At a local
scale, these interchanges can be variable in space and time. Figure 7.2 shows a long section of a
river in New Zealand, with a plan view drawn alongside. At this local scale, flow occurs both
ways between surface and groundwater, with the river losing upstream of each riffle, and
gaining downstream.
DISTANCE (meters)
2200
2000
PLAN VIEW OF GROUNDWATER INTERSECTION WITH RIVERBED
104
102
100
98
96
94 RIFFLE
200 400 1200
1000 1400800
600 1600 1800
RIFFLE
RIFFLE
PROFILE OF WATER SURFACE
Figure 7.2 Water surface profile (in vertical section) and groundwater flow
directions (in plan view) along the Waimakariri River, New Zealand.
Based on Figure 8, van’t Woudt et al. (1979).
Some rivers switch between perched and connected as the water table elevation changes
seasonally or in response to recharge events. These intermittent rivers are the most difficult to
analyse as illustrated by the example from North Africa in Figure 7.3. Analysis of monthly
channel water balances initially shows an apparent lack of correlation between transmission loss
and upstream flow (Figure 7.3a). Closer inspection (Figure 7.3b) reveals an envelope of 100%

93
losses which occurs in summer months. Some winter months show groundwater discharge to
the river, and other months fall between these extremes. This pattern can be interpreted as a
river connected, at least seasonally, to groundwater with the relative elevation of river stage and
water table being a major control on the direction and quantity of flow in or out of the river.
400
4
3
3
9
5
12
7664
55
11
12
2
1
12
300
200
100
0
-100 500
01000 1500 2000 2500 3000
(a) Complete flow range
Shown in more detail below
Flow of upstream station (l/s)
Transmission loss (l/s)
6
3
4
6
2
10
6
8
6
7
8
89
10
88
710
11
11
10
108
8
6
12
8
100
80
60
40
20
0
-20
-40
-60
-80
-100 050 100 150 200 250 300 350 400 450 500
(b) Low flows
Flow at upstream station (l/s)
Transmission loss (l/s)
Figure 7.3 Relating transmission loss to river flow for a seasonally connected river in
North Africa (Lerner et al., 1990).
The second classification is by streamflow characteristics, into ephemeral (event dominated)
and perennial (continuous) rivers (Figure 7.4). Perennial rivers are normally connected,
associated with groundwater discharge, wetter climates, and larger catchments. For example
they are the norm in the UK. In the upper reaches, perennial rivers may become seasonal,
because the upper springs only flow at times of high water tables. Conversely, ephemeral rivers
are associated with dryer climates and are normally perched systems.
Time
Flow
Perennial
Seasonal
Ephemeral
Figure 7.4 Classification of rivers by flow characteristics.

9
4
As man continues to develop and manage water resources, his influences can dictate the
characteristics of a river. Examples include:
• damming of rivers, with continuous release of water to give perennial flows,
• removal of water from a catchment, reducing flow,
• abstraction of groundwater, reducing baseflow and possibly inducing recharge,
• discharge of effluents, sustaining river flow in the dry season,
• alterations to beds by lining, channelisation, gravel extraction, recharge lagoons, and
dams.
Hence in lowland Britain, there are no rivers with natural hydrographs. In some cases, dry
season flows are virtually constant because sewage discharge has replaced baseflow as the
dominant low flow. In other cases, previously perennial rivers are dry for most of the year due
to groundwater pumping, Some rives are only kept flowing by wells pumped directly into them,
sometimes accompanied by channel lining, to preserve some aesthetic or environmental value.
7.3 Runoff Mechanisms
The conversion of rainfall to runoff is a combination of several processes. These are illustrated
schematically in Figure 7.5 and described below:
1. Hortonian overland flow or infiltration-excess overland flow (IOF) is generated when
rainfall intensities exceed infiltration capacity. It is associated with high rainfall rates and
sealed surfaces such as bare rock, soils compacted by overgrazing, intensive agriculture,
traffic or rainfall, and with man-made coverings such as roads.
2. Saturation-excess overland flow (SOF) occurs when soil becomes saturated from below.
Rainfall is rejected and throughflow from upslope re-emerges on the surface. SOF occurs
at lower intensities than IOF, and over a temporarily variable area as the area of saturated
ground varies.
3&4. Unsaturated and locally saturated flows within slopes are mainly related to layered
permeability or the presence of macropores that form preferential pathways. The
importance of such flows is their rapid transmission of water to help saturate lower
slopes, and create the conditions for SOF.
5. Groundwater flow (SSQ) occurs below the main water table and provides the continuity of
flows between rainfall events. However groundwater can show a storm response to
rainfall.
Precipitation
1
streamflow
5
4
3
2
Saturated
Infiltration
limited
Figure 7.5 Modes of runoff generation. Based on Figure 9.11, Church and Woo
(1990).

95
Figure 7.6 relates the occurrence of the three main flow mechanisms to catchment
characteristics. Catchments in lowland Britain typically lie near the SOF-SSQ axis, while
classical arid or semi-arid catchments lie closer to the IOF apex.
100%
Infiltration – excess
overland flow (IOF)
100%
Subsurface stormflow (SSO)
100% saturation –
excess overland flow (SOF)
Wide
valley
floors; thin
soils of moderate
hydraulic conductivity
Little
vegetation
impermeable soils;
high human impact
Steep
slopes; deep
permeable soils;
narrow valley bottoms
Soil hydraulic conductivity
IOF
IOF IOF
IOF
SSO
SSO SSO
SSO
SOF SOF
SOF
SOF
Soil thickness
Vegetation cover Valley floor slope
Thin
Moderate
Deep Low Moderate High
Bare
Partial
(grass)(forest)
Complete
Low
Medium
High
Figure 7.6 Relation of storm runoff origins to catchment characteristics of soil
thickness, soil hydraulic conductivity, vegetation cover, and valley floor
slope. The large triangle integrates the four components. Based on
Anderson and Burt (1990).
The response of groundwater in valley bottoms and near to connected rivers is an important part
of surface water-groundwater interactions, and is schematically illustrated in Figure 7.7.
Without rainfall, the discharge is of regional groundwater flow; this is the baseflow of the
groundwater resources, the water resources which is potentially exploitable and which has to be
estimated. The figure shows the moisture profile in the valley bottom with the capillary fringe
near to ground surface. Only a small volume of water is required to saturate the ground. Once
rain falls, the ground quickly saturates with two consequences. SOF is generated. Secondly the
large rise in the local water table displaces a pulse of groundwater towards the river. The storm
response of the river may be mostly groundwater.
If the water table in Figure 7 were initially below the riverbed, the consequence of rainfall
would differ. Runoff in the river will initially be able to infiltrate (recharge), but the limited
storage available will cause the water table to rise rapidly. Once it reaches the surface, recharge
will be rejected. Figure 7.8 illustrates this effect with an example from Namibia.
The purpose of this discussion is to illustrate that groundwater and surface water are not distinct,
but are end points on a continuum of hydrological responses. Understanding is necessary before
tools can be applied for resource estimates.

9
6
Flow
Time
Profile
(A)
(ai)
Moisture content
Elevation
Ground level
}Capillary fringe
(aiii)
Water table
(aii) A
(bii)
(bi)
Flow
Time
Regional groundwater
Local GW
Surface runoff
Profile (B)
Elevation
(biii)
Groundwater level
Moisture Content
A
Figure 7.7 Runoff generation near connected rivers, emphasising the groundwater
component. (a) prior to rainfall, showing (i) river flow hydrograph, (ii)
cross-section, (iii) soil moisture profile at point A. (b) after rainfall
showing (i) river flow hydrograph and flow components, (ii) cross-section
with raised water table and increased groundwater discharge, (iii) fully
saturated soil moisture profile at point A.

97
0.7
0.6
0.5
0.4
0.3
0.2
0.4
0.3
0.2
0.1
0
1
2
3
Flood stage (m)
Bulk recharge rate (m/day)
Water level below surface (m)
Time (days)
Next
flood
peak
arrived
1300
26.1.1985 27.1.1985 28.1.1985
Figure 7.8 Flood and groundwater hydrographs at Gros Barmen, Namibia, with
calculated recharge rates. Based on Figure 3, Crerar et al. (1988).
7.4 Groundwater Resources
There are various definitions of groundwater resources. I will define RESOURCES as the water
available for beneficial uses. The beneficial uses will include agricultural and potable water
supply, environmental uses such as riparian vegetation and amenity flows in rivers, and
downstream demands.
Resources differ from YIELD, which is the water that can be taken for supply, within the
applicable constraints. These may be legal, economic, technical or environmental.
In an unexploited, steady state groundwater system, the water balance can be written as
RECHARGE - OUTFLOW = 0 (1)
where RECHARGE includes all inputs to groundwater, that is from rainfall, surface water and
inter-aquifer flows. OUTFLOW includes phreatophyte evapotranspiration and discharges to
surface water, and can be equated to the RESOURCES. This simple definition is not always
useful because of the changes when exploitation starts. When wells pump, the water balance
should be rewritten as
ADJUSTED - REDUCED - PUMPING + STORAGE = 0 (2)
RECHARGE OUTFLOW LOSS
to Sw and EE
Equation (2) acknowledges that recharge may have increased and outflows decreased in
response to lowering of the water table. The latter usually dominates over recharge increases
and the yield of a groundwater system is at the expense of surface water. For sustainable and
environmental acceptable development of groundwater, these losses must be balanced against
the beneficial use of pumped groundwater.
9
8
7.5 Methods of Estimating Recharge from Rivers
Recharge has been defined as the water added to the saturated groundwater body; in the context
of river recharge it is the water that leaves a river and crosses the water table. Estimating
recharge is often difficult, and many studies and methods find it easier to estimate transmission
losses, that is the water that leaves the river downwards. Storage in the unsaturated zone, bank
storage, evapotranspiration, perched water tables and shallow lateral flow can lead to large
differences between recharge and transmission losses.
Hughes and Sami (1992) give an interesting example of some of the issues of transmission loss
and recharge. They analysed two flood events over a 2 km reach in the Bedford research
catchments near Grahamstown, SA. Transmission losses were 22 and 75% of runoff, and were
estimated from neutron tube measurements of soil moisture changes. These losses replenish the
valley alluvium. Groundwater is found in fracture zones in bedrock, generally >20 m below
surface. What happens to the transmission losses? How much recharges deep groundwater,
becomes underflow in the alluvium, or is evaporated by the phreatophyte vegetation?
Lerner et al. (1990) put recharge estimation methods into five groups:
• direct measurements,
• correlation methods,
• tracer techniques,
• Darcian approaches, and
• water balances.
7.5.1 Direct measurements and correlation methods
Direct measurement is limited to lysimeters for direct recharge and seepage meters for
open water bodies such as lakes and canals. Although seepage meters (Kraatz, 1977) could,
in concept, be used for rivers, variability of flows and bed conditions make their use
impractical for everyday use.
Correlation methods are those which relate recharge to some other, more easily measured
variable, such as groundwater level or streamflow. They are most applicable for
transmission losses from perched rivers. One of many examples from the literature is
shown in Figure 7.9, based on detailed studies of 53 storms on rivers in Kansas. This
example shows a very good correlation, with the data points being within a factor of 2
(multiply or divide) of the central estimate; many other studies show wider error bands.
Besbes et al. (1978) show how a groundwater response function, similar in concept to a
unit hydrograph, can be derived for river recharge from single events. This is another type
of correlation method.
Several general points of caution should be noted about correlation methods. The error bars
are always wide, due to natural variability and measurement difficulties. In order to
develop correlations, good estimates of recharge are needed, calculated by another method;
is it not possible to continue to use these good estimation methods? Finally, there is always
a temptation to transfer them to rivers for which they were not originally derived. All
hydrologists know that two rivers and their alluvial aquifers can have broadly similar
characteristics but have numerically different flow duration curves and hydraulic
properties; transposition is likely to increase errors!

99
Flow volume at upper station, cubic hectares
Flow volume at upper station in acre-feet
Transmission loss, acre feet per mile
Transmission loss, cubic hectares
per kilometer
Line of direct
proportionality
1
1000
100
10
10000
1000 100000010000010000100
1000100
10
1
0.001
0.01
0.1
1
Figure 7.9 Relation between upstream flow and transmission loss for 14 ephemeral
perched rivers in Western Kansas (Jordan, 1977).
7.5.2 Tracer techniques and Darcian approaches
Tracers, both applied and environmental, are widely used to estimate direct recharge from
precipitation (for example Sukhija et al., 1996). They are also valuable in identifying
recharge sources, and can be used to identify zones of groundwater derived from rivers.
There have also been attempts to measure seepage rates through canal beds (Bouwer and
Rice, 1988). However there do not appear to have been any successful uses of tracers to
quantify river recharge. Zellweger (1994) attempted to measure influx to and efflux from a
river with applied tracers. He succeeded in estimating influx by dilution calculations, but
could not estimate efflux from tracer data because it made no difference to concentrations
in the river.
In principle, the rate of spreading into groundwater of an applied tracer could be measured,
and yield a recharge estimate. In practice, large tracer injections, extensive sampling
networks, and long measurement durations would be needed to obtain more than a point
estimate for a single event.
Darcy's law allows the development of infiltration equations and flow nets, the use of field
data on hydraulic properties and heads in the saturated and unsaturated zones, and the
application of numerical models of surface-groundwater interaction. These methods have
been used in desk and hypothetical studies, and in research studies of cross-sections and
short reaches of rivers. For resource studies, we require data over long reaches, whereupon
variability of channel and bed become large. It is unrealistic to expect to gather sufficient
field data to calculate recharge by application of Darcy's law in a vertical plane at a
regional scale.
7.5.3 Water balances
From the above discussion of other methods of estimating river recharge we can see that
few will be useful, and that our last chance is with water balances approaches. Fortunately
these can work! There are a variety of approaches, such as:

10
0
• channel water balance,
• channel flow routing,
• water table rise,
• catchment modelling, and
• aquifer modelling.
7.5.4 Channel water balance and flow routing
Figure 7.10 illustrates the channel water balance, in which recharge - more accurately
transmission loss - is found as the difference of all other flows. Sound in principle, the
approach has potential errors which must be controlled:
• Measuring up and downstream flows can be difficult and inaccurate, especially for
ephemeral rivers.
• Differencing large numbers gives rise to large errors.
• Tributary inflows are often unknown, and are a particular problem in arid
environments where rainfall is spatially variable. Often an empirical rainfall-runoff
model must be used to make estimates.
• In urban or agriculturally developed areas, abstractions for use and waste water
returns may be major parts of the balance.
• Evaporation from the bed or by phreatophyte vegetation may be a major part of the
balance.
• Only transmission loss is estimated.
Figure 7.10 Schematic of the channel water balance method for recharge estimation
for rivers.
This approach has several advantages, not least that it does attempt to calculate a water
balance and not leave unaccounted for water. It is easy to understand. River flow data are
often the only good data available for catchments and, if a good correlation can be
established, recharge records can be extended from historical flow data.
Qup + ΣQin -ΣQout – R –Et= Qdown
Qup
Qin
Qout
Qin
Qout
Qdown
R
R
Et
Et
101
The water balance is the hydrologist's approach. A river modeller might wish to account
for the hydraulics of flow and times of travel, and use a flow routing model. Knighton and
Nanson (1994) used a Muskingham routing procedure to model transmission losses along a
complex river channel in Australia, with little success. A more complex flow routing
model was used on a 47 km reach of the Wadi Najran in Saudi Arabia (FAO, 1981, Section
18.3.3.4). It was successfully calibrated against stage data for one well-documented flood,
then used to simulate seven years of historical floods to estimate transmission loss.
7.5.5 Water table rise
Water table rises can be expected in response to recharge events on ephemeral rivers and
recharge periods on seasonal rivers. It seems apparent that the volume of recharge can be
calculated from the volume of the rise and the specific yield. This approach is widely used,
especially on a regional scale. Sometimes the approach is used in reverse to estimate
specific yield. Unfortunately there are some theoretical problems and misconceptions in its
use that may give rise to serious errors; good results should be possible if these can be
overcome.
The first problem is the choice of a specific yield value. Personal experience of
groundwater modelling has shown that there is often no relation between the values
provided by pumping tests and those needed to simulate long term, regional groundwater
flow. Short-term tests usually give a lower value. Nwankor at al. (1992) have convincingly
demonstrated that retention in an extended capillary fringe is responsible. What specific
yield value do we use for recharge estimates?
The second problem is that the peak of the water table rise does not signify that recharge
has ended. Figure 7.11 attempts to illustrate this point schematically with a groundwater
level hydrograph, a hydrograph of recharge reaching the water table, and the response of
groundwater outflow from the zone of interest. Recharge peaks and gradually declines as
drainage through the unsaturated zone becomes slower. The peak of the level hydrograph
occurs when the recharge rate equals the outflow rate, shown by the dashed line. There
may be substantial recharge after this time. Conventional analysis gives recharge up to the
peak (Syh = Y1 – Z1 where Y1 and Z2 are the flow volumes shown), whereas the flow
volume Y1 + Y2 (or Z1 + Z2) is required. This is seen on the outflow hydrograph if only it
could be calculated. The recession curve displacement method of baseflow analysis has
some similarities and is discussed below.
The importance of delayed drainage may seem hypothetical, but an old example from
Wilson and de Cook (1968) demonstrates that it is a real and significant effect. Figure 7.12
shows their data from a field site in the USA. They measured water table responses and
moisture content of the vadose zone. Two perched water table mounds are created by the
recharge events and take several months to dissipate. This contrasts with the main water
table responses which die away within days.

10
2
(a)
A7100
0
C
River
Bank
-8``Well
-13/4Access tube
LOW
FLOW
CHANNEL
ft
20
30
40
50
60
70
80
90
100
010 31 10 20 3120 282010 31 10 202010
3000
2000
1000
4000
Dec 65 Feb 66 Mar 66Jan 66 Apr 66
River hydrograph
Congress street Gaging
Station Lower Mound
Access Tube 7
Observation Well A
Observation Well C
Depth below surface (ft)
River flow (ft
3/s)
(b)
(c)
DEC.21
10 30 50 DEC.24
10 30 50
DEC.27
10 30 50 DEC.30
10 30 50
10
20
30
40
50
60
70
80
JAN.3
10 30 50 JAN.7
10 30 50 JAN.10
10 30 50 JAN.14
10 30 50 JAN.19
10 30 50 MAY.6
10 30 50
Depth below ground surface (ft)
Sound Water
Level (S.W.L) S.W.L S.W.LS.W.LS.W.L S.W.L
Groundwater level
(a)
Time
Time
(b)
(c)
Flow
Outflow Recharge
∆h
Z1
X
Y2
Y1
Z2
Figure 7.11 Responses to a recharge event in a remote ephemeral river. (a)
groundwater level hydrograph, (b) recharge rate at the water table,
(c) groundwater outflows from the recharged zone.
Figure 7.12 Delayed drainage of river recharge to the water table on the Santa Cruz
River, USA. (a) location of observations wells relative to the river, (b)
flood hydrograph and resulting responses in perched and deep water
tables, (c) moisture content profiles in access tube 7. Based on Wilson
and de Cook (1988).
103
7.5.6 Catchment and aquifer modelling
Catchment models vary from simple "bucket-and-pipe" models to distributed soil-
groundwater-channel models. They include transfers to and from groundwater within them.
Aquifer models are bounded by the water table, so transfers to and from groundwater are
part of their boundaries. Both types of model estimate water balance. They have the
advantages of integrating all available data (hydrology, groundwater, geology) and being
of use for predictive studies of resources. Arnold et al. (2002) apply the SWAT model to
131 catchments in the upper Mississippi basin and argue that the results agree with a
baseflow separation method. Sami and Hughes (1996) report good agreement between an
uncalibrated surface-subsurface model and a chemical mass balance for a semi-arid
catchment in South Africa. My experience is that such models are a valuable aid to
quantifying recharge, even when few data are available.
7.6 Estimating Groundwater Discharge from River Hydrographs
For an exploited aquifer,
AVERAGE = AVERAGE + RATE OF STORAGE (3)
DISCHARGE RECHARGE DEPLETION
Thus an alternative to estimating recharge is to estimate discharge. In an arid environment,
the components of discharge that may need to be measured and aggregated include:
• Springs, that is discrete discharge points. Flows can be measured, although
corrections may be needed for consumption by riparian vegetation.
• Lakes and seas may receive diffuse seepage or discrete discharges, depending on
geology. Direct measurement is difficult, although seepage meters have been used
on lakebeds, and Darcy's law estimates are the most promising way to proceed.
• Sabkas or saltpans are internal drainage points for which Darcian flow estimates of
upward flow can be used.
• Evapotranspiration, particularly by phreatophytes, may occur over large areas and
is not easy to estimate.
• Abstractions by wells. Much of this water may return as irrigation return or
wastewater infiltration, and only the net consumption should be evaluated.
• Rivers, which receive both point and diffuse discharges. Channel water balances or
tracer dilution can measure flow changes.
As an alternative to measuring each component of discharge, river flow hydrographs can
be analysed to estimate the groundwater component, sometimes called baseflow. Of course
this approach will not estimate sabka, wells and evapotranspiration discharges, but these
can be approached by other means. More seriously, it may be difficult to distinguish
surface runoff from groundwater. In fact there is an issue of definition of baseflow - the
discussion of runoff generation argued that much of the storm response of a river is
composed of groundwater by a displacement mechanism. This applies to connected rivers,
which will include any river that has a groundwater component in its flow.
So what is baseflow? At one extreme, it is groundwater, which is the water that has been
below the water table. At the other extreme it is the slowly responding part of the flow
hydrograph, which we hope is groundwater from outside the zone of influence of storm
runoff mechanisms. I am unable to offer a useful and conceptually sound definition of
10
4
baseflow in the context of groundwater resources and we must use a pragmatic approach,
based on the conceptual model implied by the method of hydrograph separation.
Three approaches to baseflow separation seem to be useful conceptually sound:
• graphical separation,
• baseflow rating curves, and
• recession-curve displacement.
Halford and Mayer (2000) argue, from an analysis of 13 sites in the USA, that these
methods can be unreliable if used alone. In contrast, Arnold and Allen (1999) claim to
have had good success with correlation between a separation technique and catchment
mass balances for six USA streams. Wittenberg and Silvapalan (1999) successfully
analysed streamflow to determine all the main components of groundwater balances,
including seasonal variations in evapotranspiration, for a catchment in the humid part of
Western Australia. Healy and Cook (2002) provide a recent review of techniques to use
groundwater levels to estimate recharge. As our interest is in long-term water resources,
we are not interested in event-based methods, such as those used to study flood
hydrographs.
7.6.1 Graphical separation of baseflow
Hand-drawn separations have been common amongst hydrologists, typically using plots of
daily flows. This approach identifies slowly responding flows, but consistency between
years and between hydrologists is likely to be a problem. The Institute of Hydrology
(1980) came up with a computer based graphical separation technique for its studies of low
flows in the UK. A series of rules identify turning points in the hydrograph, which are
connected and used to calculate a baseflow index (BFI). The BFI is not claimed to be an
estimate of groundwater discharge, but it is a consistently derived measure of slowly
responding flows.
7.6.2 Baseflow rating curves
The easy part of any separation is during the dry season, when all flow is from
groundwater. Conversely, the hard parts are during the wet season or storms, when the
regional groundwater component is masked by storm responses. The baseflow rating curve
uses groundwater levels to pick out the groundwater component. Flows during the dry
season are correlated with groundwater levels in a representative observation well to create
a rating curve. During the wet season, the curve is used in reverse, with field observations
of groundwater levels being used to estimate baseflow, hence achieving a systematic
separation in these difficult periods. There are few published reports on these techniques.
Avery et al. (1999) applied them successfully to a shallow, recharge sensitive spring.
Ketchum et al. (2000) applied a related method called the cumulative storage accumulation
curve to a spring in West Virginia, USA.
7.6.3 Recession-curve displacement
Rutledge and Daniel (1996) propose an automated procedure to estimate baseflow by
studying the displacement of the hydrograph during each event. It is based on a related
manual method, which is illustrated in Figure 7.13. The steps of the process are (1) develop
a master recession curve and calculate the recession constant, (2) calculate a critical time

105
from the hydrograph peak, after which the recession is log-linear, (3) extrapolate the pre
and post event recessions to the critical time, and determine the hydrograph displacement
at this time, and (4) calculate groundwater discharge volume from this displacement.
Figure 7.13 Example of recession-curve displacement method for estimating
recharge, showing extrapolated recessions and vertical displacement
of recession with each event (between dots). Based on Rutledge and
Daniel (1996).
The procedure is a graphical analysis of the hydrograph, and there is no theoretical
justification for claiming that it estimates groundwater discharge. However, just as the BFI,
it is a consistent procedure, and we can hope that the result is at least related to discharge,
and so a suitable starting point for resource estimation.
7.7 Discussion
The intended theme of this paper has been the need to develop a conceptual model of the
catchment of study before beginning to apply techniques to resource estimation. Surface
water-groundwater interactions are complex and do not always conform to the classical
concepts of recharge and baseflow.
There are techniques available for estimating recharge from rivers, although it is much
easier to estimate transmission loss than recharge. The most commonly and successfully
used methods are water balances, particularly channel water balances and catchment-scale
models. Calculations of water table rise can be erroneous.
Conversely, hydrograph analysis to obtain estimates of groundwater discharge is feasible.
The best methods use rules to ensure consistency over time and between operators, but do
not necessarily calculate groundwater discharge. Nor do they include routes of discharge
such as phreatophyte evaporation.
Finally, we must remember that recharge estimation is only part of the story of resource
management. Not all recharge is available for abstraction by wells, for both technical and
environmental reasons.
2,000
1,000
500
200
100
50
20 5 10 15 20 25 30 5 10 15 20 25 30 5 10
MARCH APRIL MAY
DISCHARGE, IN CUBIC FEET PER SECOND
10
6
7.8 References
Anderson M.G. & Burt T.P., 1990. Subsurface runoff. Ch. 11 in Anderson & Burt (eds.),
Process Studies in Hillslope Hydrology. Wiley.
Arnold, J.G. and Allen, P.M., 1999. Automated methods for estimating baseflow and
ground water recharge from streamflow records. Journal of the American Water
Resources Association, 35(2), 411-424.
Arnold, J.G., Muttiah, R.S., Srinivasan, R and Allen, PM, 2000. Regional estimation of
base flow and groundwater recharge in the Upper Mississippi river basin. J.
Hydrology, 227(1-4), 21-40.
Avery,W.H., Donovan, J.J. and Ketchum, J.N., 1999. Recharge estimation by stage-
discharge interpolation of springflows from cross-correlated well measurements.
Ground Water, 37(3), 332-337.
Besbes M., Dethomme J.P. & De Marsily G., 1978. Estimating recharge from ephemeral
streams in arid regions: a case study at Kairouan, Tunisia. Water Resour. Res. 14, 281-
290.
Bouwer H. & Rice R.C., 1963. Seepage meters in seepage and recharge studies. J. Irrig.
Drain. Div. ASCE 89, IR1, 17-42.
Church M. & Woo M-K, 1990. Geography of surface runoff: some lessons for research.
Ch. 9 in Anderson & Burt (eds.), Process Studies in Hillslope Hydrology. Wiley.
Crerar S., et al., 1988, An unexpected factor affecting recharge from ephemeral river flows
in SWA/Namibia. In I.Simmers (ed.), Estimation of natural groundwater recharge,
Reidel. 11-28.
FAO, 1981. Arid zone hydrology. Irrigation and Drainage paper 37, FAO, Rome, 271
pages.
Healy, R.W. and Cook, P.G., 2002. Using groundwater levels to estimate recharge.
Hydrogeology Journal, 10(1), 91-109.
Halford, KJ and Mayer, GC, 2000. Problems associated with estimating ground water
discharge and recharge from stream-discharge records. Ground Water, 38(3), 331-
342.
Hughes D.A. & Sami K., 1992. Transmission losses to alluvium. and associated moisture
dynamics in a semi arid and ephemeral channel system in southern Africa.
Hydrological Processes, 6, 45-63.
Institute of Hydrology, 1980. Low flow studies. IH research report 1, Wallingford, UK.
Jordan P.R., 1977. Stream flow transmission losses in western Kansas. J. Hyd. Div. ASCE
103, HYS, 905-919.
Ketchum, J.N., Donovan, J.J. and Avery, W.H., 2000. Recharge characteristics of a
phreatic aquifer as determined by storage accumulation. Hydrogeology Journal, 8(6),
579-593.
Knighton A.D. & Nanson G.C., 1994. Flow transmission along an arid zone anatomising
river, Cooper Creek, Australia. Hydrological Processes, 8, 137.154.
Lerner D.N., Issar A. & Simmers I., 1990. Groundwater Recharge, Heise, Hannover, 345
pages. ISSN 3-922705-91-X.
Nwankor G.I., Gillham R.W., Van der Kamp G. & Akindunni F.F., 1992. Unsaturated and
saturated flow in response to pumping of an unconfined aquifer, field evidence of
delayed drainage, Ground Water, 30, 600-700.
Rutledge A.T. & Daniel C.C. III, 1994. Testing an automated method to estimate
groundwater recharge from streamflow records. Ground Water. 32. 180-189.

107
Sami, K. and Hughes, D.A., 1996. A comparison of recharge estimates to a fractured
sedimentary aquifer in South Africa from a chloride mass balance and an integrated
surface-subsurface model. J. Hydrology, 179(1-4), 111-136.B.S.
Sukhija, P. Nagabhusbanam & Reddy, D.V., 1996. Groundwater recharge in semi-arid
regions of India: an overview of results obtained using tracers. Hydrogeology Journal,
4, 50-71.
Wilson L.G. & De Cook K.J., 1968. Field observations on changes in the subsurface water
regime during influent seepage in the Santa Cruz River. Water Resour. Res. 4, 1219-
1234.
Van't Woudt B.D, Whittaker J. & Nicolle K., 1979. Groundwater replenishment from river
flow. Water Resources Bulletin, 15. 1016-1027.
Wittenberg, H. and Sivapalan, M., 1999. Watershed groundwater balance estimation using
streamflow recession analysis and baseflow separation. J. Hydrology, 219(1-2), 20-
33.
Xu, Y., Titus, R., Holness, S.D., Zhang, J. and van Tonder, G.J., 2002. A
hydrogeomorphological approach to quantification of groundwater discharge to
streams in South Africa. Water SA, 28(4), 375-380.
Zallweger G.W., 1994. Testing and comparison of four ionic tracers to measure streamflow
loss by multiple tracer injection. Hydrological Processes, 8, 155-165.

109
8. Recharge and Stream Flow
John R. Vegter1 and W.V. Pitman2
1Consulting Hydrogeologist, South Africa
2Formerly Stewart Scott Consulting Engineers, South Africa
ABSTRACT In order to prescribe interactions between rivers and groundwater, a
classification system is proposed. Examples are also given based on author’s observations.
Groundwater issues related to South Africa’s surface water resources are duely discussed.
8.1 Introducton
8.1.1 Czechoslovakian stream flow study
According to Knezek and Krasny (1990) groundwater runoff assessment is generally
considered the best way of estimating regional groundwater resources. It is assumed that under
natural conditions in Central Europe, groundwater runoff equals the long-term available
resource. Knezek and Krasny mapped groundwater runoff in Czechoslovakia, which is almost
entirely underlain by the Bohemian Massif. The Massif consists largely of late Paleozoic
igneous, metamorphic and well-cemented sedimentary rocks. Groundwater runoff accordingly
originates from a zone of weathered and fissured hard rocks not more than a few tens of metres
thick.
They found that runoff is not so much dependent on favourable water-bearing characteristics of
rocks, than on morphology and height above sea level, precipitation and evapotranspiration. The
highest mountains along the Czech frontier reach elevations of between 1200 and 1600
m.a.m.s.l. and the mean annual precipitation fluctuates between 800 and 1600 mm.
Groundwater runoff ranges from more than 10 l s-1km-2 that is 315 mm a-1 at the highest
elevations to between 3 to 7 l s-1km-2 (95 to 220 mm a-1) in lower mountainous areas with a
precipitation of less than 800 mm a-1. In the flatter areas groundwater runoff decreases to
between 0.5 and 2 l s-1km-2 (16 to 63 mm a-1).
8.1.2 Stream Flow Studies in Crystalline Basement areas of Malawi and Zimbabwe
During the British Geological Survey’s research project on the hydrogeology of crystalline
basement aquifers in Africa (Wright and Burgess, 1992), base flow from 26 Malawi and
Zimbabwe catchments was analysed, as a means of providing a minimum estimate of recharge.
Observed groundwater base flow contributions to stream flow expressed as a fraction of rainfall
(Farquharson and Bullock, 1992), range in Malawi from 0.02 to 0.25 (i.e. from 16 to 370 mm
a-1, for mean annual rainfalls of 900 and 1500 mm, respectively). The corresponding figures for
Zimbabwe are zero to 0.09 (zero to 80 mm a-1 and rainfalls of 600 and 900 mm a-1). The ratio,
base flow to rainfall, correlates significantly positive with mean annual rainfall and with mean
relative relief. The latter is the mean value of relative relief calculated for each square kilometre
of the catchment. The relationship with the mean dambo perimeter, on the other hand, is as one
would expect, negative. Dambos are areas of seasonally water-logged bottomlands i.e. areas
where groundwater is lost through evapotranspiration.
It would appear that the greater the relief, the steeper the piezometric gradients that can develop,
the faster the groundwater flow and the lesser the volume of groundwater lost through

11
0
evapotranspiration en route to the stream Other factors associated with greater relief
undoubtedly have to be considered as well such as higher rainfall, greater stream density,
thinner soil cover (larger fraction of precipitation infiltrating) and differences in vegetation
cover between mountainous and hilly country compared to that of the plains.
8.1.3 South African streamflow studies
Both the Czechoslovakian and African groundwater base flow studies relate to hard -rock areas,
where groundwater is principally contained in a near-surface zone of weathered and fractured
rock. In this respect, conditions over most of South Africa are comparable. With the exception
of some localised occurrences of permeable porous Cretaceous and Karoo sandstones, pre-
Tertiary Formations do not feature as primary aquifers.
As early as 1949 Enslin, estimated groundwater recharge from base flow in the upper reaches of
a number of rivers rising along the eastern escarpment (see Table 8.1). The upper reaches of
these rivers drain a variety of geological formations ranging from Swazian granitic rocks
through Randian, Transvaal and Karoo Sequences. The positions of the stream flow gauging
stations which were used in this exercise are not given. Consequently it is not possible to give
the geological composition of the different catchments except for stating that the Blyde River
catchment is largely underlain by Malmani dolomite, and that of the White River lies on granite
and of the upper Umgeni River on Karoo strata.
Table 8.1 Estimated recharge in a number of rivers.
Since 1935 when the Jonkershoek Forestry Research Station was established, research into the
effects of afforestation on stream flow from small mountain catchments has been conducted not
only in the southwestern Cape but amongst others also at Cathedral Peak in the Natal
Drakensberg and Makubulaan in the eastern Transvaal.
Apart from demonstrating that afforestation with exotic species undoubtedly reduces
streamflow, an important finding of these studies has been that overland stormflow comprises
but a small fraction of the total runoff. Midgley and Scott (1994) concluded from the use of
stable isotopes D and 18O that stormflows in Jonkershoek catchments are generated by the rapid
Catchment Area km2 Mean Base Flow
106 m3 a-1 Mean Base Flow
per unit area
mm.
Percentage of
Mean Annual
Rainfall
Luvuvhu River 953 51.4 54 4.2
Groot Letaba R. 570 45.1 79 5.7
Blyde River 518 118.8 229 19.8
White River 109 14.7 134 13.5
Nels River 622 64.3 103 10.7
Kaap River 1606 71.5 44 4.6
Komati River 8625 454.6 53 5.2
Ngwempisi River 881 45.3 51 5.1
Ishlelo River 699 28.6 41 4.0
Assegai River 1891 42.9 23 2.3
Pongola River 7097 206.3 29 2.9
Umhlatuzi River 1243 62.5 50 6.6
Umgeni River 4061 128.6 32 3.1
111
displacement of subsurface water. Only 8.5% or less of the stormflow consists of rainwater that
has not followed a subsurface route. The rest is presumably accounted for by so-called interflow
which has to be viewed as distinct from groundwater. According to figures supplied by Forestek
and given in the manual of Bredenkamp et al. (1995) base flow averages about 75% of the total
annual runoff of three small catchments in the southwestern Cape and accounts on average for
about 28% of the rainfall.
8.1.4 National base flow map
As adjunct to the Water Research Commission’s project 298 “The surface water resources of
South Africa” the groundwater component of river flow was determined in each of the
approximately 2000 quaternary catchments into which the country with inclusion of Swaziland
and Lesotho has been divided. The map was published as part of a set of national groundwater
maps (Vegter 1995a).
8.2 Relationships between Groundwater and Stream flow
This paper was solicited by the organisers of the 1996 Warmbath workshop on surface and
ground water issues in South Africa on account of the base flow map that was produced as part
of a set of national groundwater maps and the use to which it was put in the construction of a
national recharge map. The idea of the organisers was ostensibly that this paper should deal
with base flow as a means of estimating recharge. However to put base flow in its proper
context, it is deemed necessary to draw attention to the different relationships between
groundwater and streams.
8.2.1 Types of streams
Streams are usually divided into three classes depending on their runoff characteristics namely
Ephemeral, Intermittent and Perennial. Although such a division also distinguishes indirectly
and to a large degree between the relationships of streams to groundwater, a more direct
approach is essential. Three main types may be distinguished:
1) Piezometric surface at all times below streambed level - characteristic of ephemeral streams,
though not necessarily limited to them only. One of two conditions may occur:
a) Material between streambed and piezometric surface is pervious - the stream is influent and
the piezometric surface slopes downward away from the stream. The stream acts as a sink and
recharges groundwater. Little or no work has been undertaken in South Africa to quantify
stream recharge.
b) Intervening material more or less impervious -very little or no recharge takes place - i.e. a
detached stream (author’s terminology).
It would appear that conditions over much of the country militate against rivers being all but
minor localised sources of recharge for the following reasons:
• The hard-rock environment and dearth of laterally extensive alluvial deposits below
riverbed level;
• The fact that the watertable is a sub-dued replica of the topography over the greater part
of South Africa inhibits the lateral expansion of the recharge mound that is being built
up below the river by infiltrating water; and
• Rocky riverbeds and silty channels limit infiltration.
11
2
2) Piezometric surface slopes laterally down towards the stream. One of the following
conditions may be encountered:
a) Groundwater reaches and emerges into the stream at all times. The piezometric surface at the
stream is permanently above the stream stage and the material between it and the streambed is
pervious - porous or fractured. The stream acts as a drain; is effluent and perennial.
b) Groundwater from the catchment area emerges into the stream at intervals i.e. for a while
after recharge episodes - the stream is intermittent. During dry periods groundwater storage is
depleted by the effluent seepage or in combination with evapotranspiration from the stream
banks and within the catchment. Groundwater may be replenished to a certain extent in the
immediate vicinity of the stream by storm runoff. In the absence of rechargeable alluvial
deposits and / or porous decomposed rock, replenishment from storm runoff would appear to be
of minor importance compared to the volume of water recharged over the catchment area.
Recharge from storm runoff is restricted in its lateral extent as well as volumetrically by low
storage capacity.
c) Groundwater does not reach the stream because it is permanently being dissipated along its
flow path towards the stream by evapotranspiration - a famished stream (author’s terminology).
3) The piezometric level fluctuates alternately above and below the stream stage. The stream is
underlain and bordered by alluvial deposits and / or porous decomposed rock. The stream is
alternately in- and effluent. Comparatively speaking, groundwater flow from the hard-rock
catchment towards the stream generally is of minor importance and in certain cases of no
consequence at all. The inter-action between alluvium and stream is virtually all that matters.
Note that a particular designation does not necessarily apply to the full length of a stream. Most
rivers exhibit different characteristics along different reaches. A good but somewhat
extraordinary example is that of the Wonderfontein Spruit on the Far West Rand which is
influent and disappears along certain stretches and effluent along others where fed by spring
flow.
8.2.2 Examples of types
Some examples of stream types are:
• Influent: Kuruman River downstream from at least Frylinckspan; Molopo River
downstream from at least Tshidilamolomo, Phepane, Kgokgole, and other “laagtes” in
the catchments of the Kuruman and Molopo River;
• Detached: Relatively steeply graded and dry, rocky stream beds particularly in the arid
northwestern parts of the country;
• Effluent: Upper reaches of perennial rivers rising on the eastern escarpment such as the
Vaal, Olifants (Tvl), Tugela, Blyde, Komati etc;
• Intermittent: Streams in the Karoo such as the upper reaches of the Salt River (Beaufort
West), the Kamdeboo, the Sundays, the Brak (De Aar);
• Famished: Rocky sections of the Limpopo River such as alluvium-free stretches
between Stockpoort 1 LQ and Sannandale 9 LQ; and the steeper graded section
between the junctions with the Lephalala and Motlouse Rivers. The bordering country
which is underlain by granulite-gneiss of the Limpopo Mobile Belt is very poorly
endowed with groundwater;
• In-/effluent: Wide stretches of relatively unexploited alluvium along the Limpopo River
between the confluence of the Marico and Crocodile Rivers and its junction with
Mahalapswe River. Under conditions of heavy exploitation, as is presumably the case
downstream along the Limpopo at Weipie and along the Crocodile River between
113
Koedoeskop and Thabazimbi, the stream may change its dual character to influent only.
The latter has been declared a Subterranean Water Control Area and has been the
subject of a number of studies.
8.3 Runoff Process and Hydrograph Analysis
8.3.1 Components of runoff
Runoff from rain (or snowmelt) reaches the stream channels by several routes. It is generally
recognised that there are four different components of runoff, each of which reaches the stream
by a different path:
(1) Surface runoff is the residual after interception, surface ponding and infiltration have been
extracted from precipitation. It reaches the streams by traveling over the soil surface. In this
context the term stream includes not only the larger permanent streams but also the small
rivulets that carry water only during and immediately after rains. Surface runoff therefore
occurs over relatively short distances to the nearest channels.
(2) Interflow is the water that infiltrates the soil surface and moves laterally through the upper
soil horizons until it is intercepted by a channel or until it returns to the surface downslope of its
point of infiltration. Wet weather seeps and springs are the result of interflow.
(3) Groundwater flow originates from water that percolates down to the groundwater table.
Groundwater flow follows a more devious route to the stream than any other component. As a
result the water represented by the groundwater accretion from a particular storm is discharged
into the stream over a long period of time.
(4) Channel precipitation is that precipitation which falls directly on the water surfaces of lakes
and streams. As it is generally a small component, it is usually included with surface runoff.
8.3.2 Hydrograph Analysis
Because of the differing characteristics of the four components of runoff, the shape of the runoff
hydrograph is dependent, among other things, on the relative proportions of each component
present. Local variations in rainfall, infiltration and antecedent conditions preclude any attempts
to identify each component of runoff.
It is common, therefore, in the solution of practical problems, to separate only two portions.
Surface runoff, channel precipitation and interflow are usually grouped into a single item
designated as direct (or storm) runoff or quickflow. Groundwater, or base flow, is treated as a
separate item.
Several procedures exist for separating the hydrograph into the quickflow and base flow
components. All involve an element of subjectivity while most, if not all, rely on measured
flows at relatively small time steps of the order of 1 hour to 1 day.
One of the products of the WR90 project (Midgley et al, 1990) is a time series of monthly flows
for each of the approximately 2000 quaternary catchments into which the study area is divided.
Each time series covers the 70 years period from 1920 to 1989 (hydro years).
11
4
In order to split the monthly flows into surface and groundwater components, a simple
procedure first developed by Herold (1980) was adopted. This procedure is described below:
Let Qi = total flow during month
QGi = groundwater contribution
QSi = surface runoff
Then: Qi = QGi + QSi (1)
The assumption is made that all flow below GGMAX is groundwater flow, thus:
QSi = Qi - GGMAX (for Qi > QGMAX)
or QSi = 0 (for Qi QGMAX) (2)
and hence QGi = Qi - QSi
The value of GMAX is adjusted each month according to the surface runoff during the
preceding month and is assumed to decay with time, hence:
GGMAXi = DECAY· GGMAXi-1+ PG· QSi·1/ 100 (3)
where subscripts i and i -1 refer to the current and preceding months;
DECAY = Groundwater decay factor (0 < DECAY < 1)
PG = Groundwater growth factor (0 < PG < 100)
An added constraint is that GGMAX may not fall below a specified value, QGMAX.
Calibration of this model is achieved by selecting appropriate values of DECAY, PG and
QGMAX so that a realistic split between surface runoff and groundwater is obtained.
Calibration is facilitated by graphical output of the total and groundwater hydrographs to the
computer screen (Figure 8.1). As the process is somewhat subjective it was tested against a
more vigorous analysis on the daily flow record at DWA&F gauge X3H001 on the Sabie River.
The results indicated that the method proposed was sufficiently accurate.
8.4 Base flow from SA Quaternary Catchments
8.4.1 WR90 overview
The primary objective of the Water Resources 1990 (WR90) project was to provide a basis for
preliminary planning of water resources development.
It was decided to provide the water resources information at a quaternary sub-catchment level.
South Africa is divided into 22 primary drainage regions, further subdivided into secondary and
tertiary sub-catchment areas. The WR90 team defined the quaternary (i.e. fourth-level) sub-
catchment boundaries to create close on 2000 sub-catchments. The average area of the
quaternary catchment is about 650km2, varying from around 100km2 in some mountainous
areas to several thousand km2 in the arid north – western interior. All catchment boundaries
were digitized to form the basic GIS coverage for the project. Information provided for each
quaternary catchment includes rainfall, evaporation, runoff, land cover and water-use, soil
types, natural vegetation and underlying geology.

115
Figure 8.1 Graphic output of hydrograph separation based on Herold (1980).
The publication is in 6 volumes. The information and time series of the hydrometeorological
data are provided in a set of appendices, whereas the spatial information is shown in a set of 10
maps. A user’s manual is provided which gives the procedures used to create the information
and maps, outlines problems and pitfalls and also provides a user’s guide to the documents,
including worked examples.
Perhaps the most important aspect of the WR90 project was the procedure used to estimate
runoff for each quaternary catchment. Basic information on runoff was in the form of measured
flows at nearly 500 suitable stream flow gauges. With few exceptions the flow regions of the
gauged catchments have been impacted by upstream developments.
The rainfall-runoff model originally developed by Pitman (1973) was improved to
accommodate for the effects of upstream developments. Calibration of the model, named
WRSM90 (Pitman & Kakebeeke, 1991), provided sets of model parameters for each gauged
catchment. Regionalisation of the parameters was accomplished with reference to
supplementary information on topography, rainfall, geology, soil type and vegetation.
The regionalized parameters were then used to generate synthetic long-term (70 years) virgin
flow sequences for each catchment. These (monthly) flow sequences formed the primary input
to the base flow analysis described in Section 8.3.2.
8.4.2 Base flow characteristics for SA rivers
Table 8.2 lists hydrological information (incl. base flow) for each of the 22 primary drainage
regions in South Africa. For the country as a whole base flow accounts for just over 20% of the

11
6
total runoff of approximately 51x109 m3. The total base flow is less than 2% of the rainfall and
this percentage is almost insignificant in the drier regions (e.g. F, J, L, N, P, & Q). The highest
percentages are to be found in the (mostly) well-watered regions of the western and southern
Cape (G, H, & K) and the eastern escarpment (T, U, V, W, & X). Examination at a quaternary
catchment level shows that base flows are greatest in rainfall areas underlain by dolomite. This
is the case for the upper Blyde and Sabie rivers, where mean base flows approaches 20% of
rainfall and accounts for roughly half of the total runoff.
At the opposite end of the scale there are large areas where base flow is effectively zero. In the
summer rainfall region no base flow is found where the MAP is less than 500 mm, whereas in
the winter and year-round rainfall regions the threshold is somewhat lower. A MAP of only 300
mm is sufficient to yield some base flow in steep mountain catchments, but elsewhere the cut-
off is around 400 mm.
From year to year the base flow is far less variable than the quick flow component of runoff. In
extreme dry years the base flow is about one-quarter to one half of the mean and in very wet
years the base flow is about two to three times the mean. Addition of the quick flow component
renders a total runoff that is far more variable, with dry year flows in the range of zero to one-
third and wet years in the range of three to twenty times the mean. In the case of both base flow
and total flow the lower variability is associated with the higher rainfall areas, and vice versa.
Table 8.2 Base flow for primary drainage regions.
Mean annual runoff Mean annual base flow
Drainage
region Area
(km2) MAP
(mm) (106m3) (mm) %(MAP) (106m3) (mm) %(MAP) %(MAR)
A 109610 528 2176 19.9 3.8 690 6.3 1.2 31.7
B 73550 620 2651 36.0 5.8 758 10.3 1.7 28.6
C 196293 571 4298 21.9 3.8 606 3.1 0.5 14.1
D 409621 315 6987 17.1 5.4 947 2.3 0.7 13.6
E 49063 212 1008 20.5 9.7 102 2.1 1.0 10.1
F 28623 129 24 0.8 0.6 0 0.0 0.0 0.0
G 25312 476 1986 78.5 16.5 250 9.9 2.1 12.6
H 15530 545 2059 132.6 24.3 245 15.8 2.9 11.9
J 45134 260 662 14.7 5.6 50 1.1 0.4 7.6
K 7220 763 1307 181.0 23.7 298 41.3 5.4 22.8
L 34731 283 495 14.3 5.0 46 1.3 0.5 9.3
M 2630 555 151 57.4 10.3 10 6.6 1.2 6.6
N 21428 330 279 13.0 3.9 2 0.1 <0.1 0.7
P 5322 560 174 32.7 5.8 4 0.8 0.1 2.3
Q 30243 410 519 17.2 4.2 29 1.0 0.2 5.6
R 7936 675 580 73.1 10.8 87 11.0 1.6 15.0
S 20485 610 1043 50.9 8.3 209 10.2 1.7 20.0
T 46684 863 7397 158.4 18.4 1526 32.7 3.8 20.6
U 18321 935 3128 170.7 18.3 868 47.4 5.1 27.7
V 29046 829 3994 137.5 16.6 770 26.5 3.2 19.3
W 59200 825 6533 110.4 13.4 2000 33.8 4.1 30.6
X 31157 715 3361 107.9 15.1 1370 44.0 6.1 40.8
TOTAL 1267100 474 50812 40.1 8.5 10868 8.6 1.8 21.4
117
8.5 Is Base Flow a Measure of Groundwater Recharge?
8.5.1 Recharge defined
To obviate any misunderstanding, it is necessary to define the term recharge. The sense in
which it is used here agrees with the definition in the AGI Glossary (1973), namely recharge
comprises the processes involved in the absorption and addition of water to the zone of
saturation. It does not include water reaching the belt of soil water or the intermediate zone of
aeration. The term also means the volume of water added to the zone of saturation.
8.5.2 Flow paths
Based on the premise that in the long-term there is neither accretion nor depletion of
groundwater storage, replenishment must be balanced by an equivalent loss of groundwater.
The movement of groundwater to streams and lower-lying areas is evident from groundwater
contour maps. The existence of such hydraulic gradients does however not necessarily imply,
uninterrupted groundwater flow paths to the stream and emergence of groundwater in the
stream. Flow paths in hard-rock areas are often discontinuous. Under natural conditions all of
the recharge therefore need not find its way to the stream, being discharged locally within the
catchment through small springs and seepages and/or less obvious areas of evapotranspiration.
Abstraction from boreholes and wells will generally further detract from the volume reaching
the stream.
8.5.3 Groundwater loss other than in stream
Examples of natural losses are the vlei’s, small springs and seepages found in Kwazulu-Natal
catchments. Natural groundwater loss is however not necessarily confined to shallow
groundwater occurrences and lack of base flow should not be taken as an indication of zero
recharge. Evapotranspiration may completely dispose of recharge in areas of shallow
groundwater while transpiration by deeper-rooted phreatophytes may account for loss where the
watertable is deep (see Vegter 1995b).
8.5.4 Base flow underestimates recharge
It should be clear that the groundwater component of river flow referred to as groundwater base
flow or base flow for short, provides a minimum estimate of recharge. Recharge estimates
obtained from a variety of groundwater studies within and just outside the base flow areas were
compared with those derived from base flow. The mean difference between the two sets of
values indicates underestimation of recharge by base flow by about 30 mm a-1 (Vegter 1995a).
Temporal variability of base flow
A deficiency of the national base flow map should be noted. Whereas annual mean base flow
and its annual variability are portrayed, no indication is given about its variability during the
course of a year.
In following section the question will be discussed as to whether the mean base flow from any
particular catchment may be taken as a reliable - albeit somewhat under-rated - indicator of its
exploitation potential.
11
8
8.6 National Recharge Map
The compilation of the National Recharge Map was based on:
1) The national base flow map. Because of underestimation, base flow figures at the bottom end
of the scale, were adjusted upwards by 25 mm a-1. For higher base flow rates, the addition was
gradually reduced - being zero for mean base flow figures above 100 mm a-1.
2) Recharge was estimated at eight localities in the Northwestern Cape using the relationship
between recharge and rainfall in excess of 15 mm d-1 according to the De Aar model of Vegter
(1992).
3) Carlsson et al. (1994) state that based on the results of two approaches, the soil-water and the
chloride mass balance methods - recharge in the south-western half of Botswana, has been
assessed at less than 1 mm a-1. Considering that values as low as 2.6 and 2.9 mm a-1 have been
calculated for a thin soil cover at Pella and Garies, according to the De Aar model, it appeared
reasonable to map the West Coast sand belt, north of the Olifants River, the Koa valley of
western Bushmanland and the western Kalahari as areas with a mean recharge of less than 1
mm a-1.
4) In the no-base flow area, 28 scattered recharge estimates from groundwater studies are
available.
Recharge contours were drawn according to adjusted base flow values, and were interpolated
between the edge of the base flow areas and the 1 mm a-1 recharge contour, using the point
recharge figures mentioned under 2) and 3), and the ACRU effective rainfall map.
It should be realised that the contouring could not strictly adhere to the local recharge values,
the base flow and effective rainfall contours and that discretion had to be used in adjusting and
smoothing recharge contours. The recharge map should be seen as depicting broad trends rather
than portraying recharge numerically with a degree of assurance. On a local scale considerable
variation and divergence from that presented on the map, may be expected. The map provides a
very rough idea of the magnitude of the replenishable groundwater resources but cannot be used
for estimating exploitation potential or safe yield even if it were further refined.
8.7 Recharge and Exploitation Potential
The raison d’être or driving force for concentrating attention on recharge is the growing demand
for potable water supplies, especially for rural communities, which calls for assessment of the
exploitation potential of groundwater resources. The question however is whether exploitation
potential can be deduced from a quantitative determination of recharge, prior to development of
the groundwater supply.
8.7.1 Requirements for a groundwater supply
In developing a groundwater supply the following requirements generally have to be met:
• a minimum quantity of water must be provided at all times. This quantity, which has
variously been termed “safe yield”; “firm yield”; “harvest potential”; and “exploitation
potential”, obviously is limited by recharge. Note that these terms refer to distinct
hydraulic units / groundwater bodies / compartments, not to boreholes. The terms
“exploitation potential” etc. imply determination prior to full development of the
resource.
• maintenance of an acceptable water quality, and
119
• no undesirable environmental effects such as deterioration of vegetal cover and resultant
onset of gully erosion, subsidence and the formation of sinkholes.
In the following paragraphs the problems of predicting exploitation potential will be discussed.
8.7.2 The concept of exploitation potential
Exploitation of groundwater means salvaging groundwater which otherwise would be
discharged naturally through springs, seepage into streams and evapotranspiration. These
discharges, which in terms of groundwater exploitation are viewed as losses, are in the long-
term balanced by recharge. In other words, by salvaging as much as possible of the losses,
abstraction approaches recharge. In addition, abstraction lowers the watertable, thereby creating
additional storage space and possibly inducing additional recharge. The effectiveness of
salvaging natural discharges, and of approaching the limit set by recharge, depends on
• the hydrogeologic character and structure of the saturated zone: the configuration and
relationship of aquifers, aquitards and aquifuges to points / zones of groundwater loss.
• the practicability of siting and pumping boreholes to suppress all losses.
• the economics of sinking and pumping boreholes.
8.7.3 Problems associated with the concept of exploitation potential
Several problems are immediately clear:
a) Suppression of evapotranspiration losses may require clearing of vegetation or may lead to
deterioration of vegetal cover and eventually soil erosion.
b) At any locality, the inhomogeneous hydraulic nature of saturated weathered and fractured
hard-rock formations, can only be established from detailed hydrogeologic examination, drilling
and pumptesting.
c) As the rate of natural groundwater discharge hardly can be expected to be constant, its
suppression entails a corresponding varying rate of pumping. A steady supply is obviously not
realised in this manner.
The last problem can be overcome only if fluctuating recharge can be regulated by storage i.e.:
• the volume of groundwater in storage must always be adequate to maintain the
maximum possible steady withdrawal rate; i.e. the transmissivity should not decrease as
result of the lowering of the piezometric level to the point where flow rates to boreholes
and pumping rates can not be maintained.
• the storage capacity at any time must be large enough to accommodate recharge, and
• the watertable must be prevented from rising above the level for the onset of natural
discharge.
8.7.4 Can these requirements be met?
To gain some ideas whether these conditions can be satisfied, the following conditions need to
be considered:
1) Large volume of groundwater in storage and large storage capacity.
2) a - Limited volume of groundwater in storage and b - Limited volume of
groundwater in storage as well as limited storage capacity.
Certain dolomitic groundwater compartments and certain coastal sand deposits fall in the first
category. The saturated thickness of water-bearing and transmissive dolomite and sand deposits
12
0
is considerable, up to 100 metres, and the volume of groundwater in storage is several tens to a
hundred times mean annual recharge Lowering of the watertable to prevent loss will therefore
not effect borehole yields to any appreciable degree. Theoretically it should be possible to
develop a supply equivalent to mean recharge.
The ability of suppressing natural discharge, particularly in the case of the dolomite however,
cannot be gauged prior to local hydrogeological investigation and the drilling of boreholes. An
effective borehole spread and pumping regime can only be developed experimentally. This
means that even if recharge is a known quantity, exploitation potential cannot be predicted
reliably beforehand. See in this connection also the conclusion reached by the Committee on
Ground -Water of the American Society of Civil Engineers (1961) as quoted by Kazman (1988)
pp 216 - 217.
In South Africa categories 2a and b are almost ubiquitous. Both consist of a thin zone of
saturated weathered and fractured hard-rock. The volume of groundwater stored is of the same
order of magnitude as recharge. The difference between 2a and 2b lies in the different
thicknesses and / or storage capacities of the zone of aeration:
2a. The overlying zone of aeration poses no restriction on recharge - the watertable is deep or
the zone consists of porous decomposed rock. These conditions occur where: the rock
formations are relatively deeply weathered and fractured and where
i) there is little recharge - typical of semi-arid to arid conditions or where the greater part of
infiltration is dissipated from the zone of aeration through transpiration.
ii) groundwater is transpired by deep-rooted vegetation e.g. Bushveld in the northern parts of
country. Under these conditions loss of groundwater through transpiration can be prevented
only through bush-clearing.
iii) there is topographic relief’ and groundwater drains out of the aquifer system at lower levels
Under 2a conditions borehole yields drop rapidly as transmissivity is reduced with dewatering
of the saturated zone and a limit is placed on the extent to which water in storage can be drawn
on. Losses are only partially recoverable.
2b. The storage capacity of the zone of aeration is limited owing to a shallow watertable and / or
it consisting of fractured hard-rock. This is the case over large areas of South Africa, which are
underlain by Karoo rocks.
Potential recharge is not realised when the available storage has been filled to capacity. This
condition is not restricted to a particular region. Within a single area this condition may exist
alongside that with adequate storage capacity.
Another 2b characteristic is that for a short period after a recharge event a considerable part of
the recharge usually is discharged by springs and seepage into streams. Where groundwater is
being recharged at fairly regular intervals, as happens in the humid higher rainfall areas,
perennial flow is possible. As noted in the Introduction, regular rainfall and recharge, rather than
favourable storage characteristics, are responsible for sustaining stream flow. In the arid and
semi-arid parts with irregularly and widely spaced recharge events, the remaining volume in
storage cannot sustain a steady rate of supply, equal to the mean recharge rate. Under these
circumstances the available rate of supply, after a recharge event, unavoidably exceeds the
mean rate of recharge, and falls short thereafter during dry periods.
121
It should be evident that at any locality the maximum possible steady borehole supply,
“exploitation potential” that may be salvaged from natural losses, can not be estimated with any
degree of assurance without at least detailed local hydrogeological investigation, sinking and
pumptesting of boreholes. In addition knowledge of the temporal variability of recharge is
necessary.
Taking further into account that the natural groundwater regime is changed by groundwater
exploitation:
• the creation of additional storage space may enhance recharge;
• groundwater exploitation is inextricably accompanied by changes in land-use which in
turn may either promote or reduce recharge.
It is clear that recharge cannot be seen as an external parameter that may be determined
independently.
8.7.5 Summary
The question of exploitation potential has to be looked at from the recharge as well as discharge
points of view.
Considerations from the recharge point of view are:
• Storage and storage capacity must be adequate at all times to maintain the maximum
possible withdrawal rate and the necessary minimum transmissivity accommodate for
potential recharge at any time;
• Creation of additional storage capacity through abstraction may enhance recharge;
• Land-use changes accompanying groundwater exploitation may either enhance or
reduce recharge.
From the discharge point of view the capability of salvaging unwanted discharges, so-called
losses, has to be considered. This depends on:
• Identification, location and assessment of natural discharges;
• The hydrogeological character and structure of the saturated zone and its relationship to
points of natural discharge;
• The practicality of siting, sinking and pumping boreholes to suppress losses;
• The economics of sinking and pumping boreholes;
• Avoidance of undesirable / detrimental environmental effects of groundwater
abstraction.
8.8 Conclusions
Perennial exploitation of groundwater entails the availability and use of a steady supply of
acceptable quality without detrimental / undesirable environmental effects.
While providing an upper limit, recharge determinations are inadequate by themselves for
estimating the development potential of groundwater sources.
Recharge is not uniquely determinable in terms of rainfall. It depends on the status of an aquifer
system, whether in a virgin condition or a state of exploitation as well as ground surface
conditions - natural or disturbed by man.
12
2
Exploitation potential is not a purely hydrologic quantity that can be determined on the basis of
natural factors only and prior to groundwater development. It is inescapably tied up with
practical and economic exploitation considerations.
The extent to which a particular aquifer system / groundwater unit / compartment can be
developed is only determinable by developing it and by approaching its full exploitation
potential in a stepwise fashion. Development of a groundwater supply entails detailed local
hydrogeologic investigation, drilling and pumptesting followed by monitoring its performance
under exploitation and adjusting abstraction rates accordingly.
Rather than accentuating recharge as a research priority, future attention should be aimed at
determining actual rates of groundwater exploitation and exploitability at a number of places,
especially those where the maximum has apparently been reached or exceeded, and by guiding
and monitoring exploitation in those areas where critical water supply situations are to be solved
by groundwater. A byproduct of such studies will be estimates of recharge and less
irrecoverable losses under reigning practical and economic circumstances.
The impact of groundwater development on the natural environment needs to be monitored
simultaneously.
The following maps are available at a scale of 1: 2 500 000 (Vegter, 1995a):
• Groundwater component of river flow
• Mean Annual groundwater recharge
• Effective Rainfall (ACRU)
• Base flow as a percentage of mean annual precipitation
• Base flow as a percentage of mean annual runoff
• Quaternary catchments
8.9 References
American Geologic Institute (AGI), 1973. Glossary of Geology.
Bredenkamp, D.B., Botha, L.J., Van Tonder, G.J. and Van Rensburg, H.J., 1995. Manual on
quantitative estimation of groundwater recharge and aquifer storativity, Water Research
Commission South Africa.
Carlsson, L., Selaolo, E. and Von Hoyer, M., 1994. Assessment of groundwater resources in
Botswana: Experiences from the Botswana National Water Master Study. Afr. Geoscience
Rev. Vol I (1) pp 11 - 20.
Enslin, J.F., 1949. Die beperkte ondergrondse watervoorraad van die Unie. Tydskrif vir
Wetenskap en Kuns, Nuwe Reeks Deel 9 Okt.1949 p 147.
Farquharson, F.A.K. and Bullock, A., 1992. The hydrology of basement complex regions of
Africa with particular reference to southern Africa. In Geol. Soc. London Spec. Publ. No
66 pp 59 - 76.
Hewlett, J.D. and Bosch, J.M., 1984. The dependence of storm flows on rainfall intensity and
vegetal cover in South Africa. J. Hydrol. 75 pp. 365 - 381.
Hope, A.S., 1983. .An assessment of the R-index method for calculating stormflow volumes in
Natal, S.A. J. Hydr. 60, pp. 243 - 255.
Kazman, R.G., 1988. Modern Hydrology. 3rd Ed. N.W.W.A. , Dublin Ohio.
Knezek, M. and Krasny, J., 1990. Natural groundwater resources mapping in mountainous areas
of the Bohemian Massif (Czechoslovakia). Mem 22nd. I.A.H. Congr. Lausanne

123
Midgley, D.G., Pitman, W.V. and Midlleton, B.J., 1994. Source Water Resources of South
Africa1990. Water Research Commission publication, South Africa.
Midgley, J.J. and Scott, D.F., 1994. The use of stable isotopes of water (D and 18O) in
hydrological studies in the Jonkershoek Valley. Water SA Vol 20 No 2 pp 151 - 154.
Pitman, W.V., 1973. A mathematical model for generating monthly river flows from
metrological data in South Africa, Report No. 2/73 hydrological Research Unit, University
of Witwatersrand.
Pitman, W.V. and Kakebeeke, J.B., 1991. WRSN90 user’s guide, Stewart Scott Inc.
Johannesburg.
Vegter, J.R., 1995a. An explanation of a set of national groundwater maps and accompanying
set of maps. Water Research Commission, Pretoria.
Vegter, J.R., 1995b. Clearing Arid Sweet Bushveld Vegetation Enhancens Recharege.
Groundwater Conference, organised by the Groundwater Division of Geological Society of
South Africa and Borehole Water Association of Southern Africa, held in Midrand in 1995.

125
9. Recharge Estimation in Fractured Rock Aquifer from Rainfall - Spring
Flow Comparisons: The Uitenhage Spring Case
Yongxin Xu1 and L.G.A. Maclear2
1Department of Earth Sciences, University of the Western Cape, South Africa
2Groundwater Programme, SRK Consulting, South Africa
ABSTRACT This paper presents a synthesis of recharge estimation in the fractured Coega
Ridge Aquifer northwest of Port Elizabeth in South Africa. The aquifer comprises quartz
arenites of the Table Mountain Group and is partly drained through the Uitenhage Spring.
Various recharge estimation methods based on rainfall – spring flow relationships, such as
a simple water balance, groundwater dating (14C), chloride mass balance, cumulative
rainfall departure and a ‘moving average’ water balance approach were applied. The latter
approach simulates the Uitenhage Spring flow precisely for a recharge area of 60 km2 and
suggests that outflow is represented by a much smaller time span of 23 years of rainfall
infiltration than the circulation period of hundreds of years which was derived from
groundwater dating. The ‘moving average’ approach was also used for assessing recharge
during undisturbed natural conditions (prior to 1909) and recharge during ‘disturbed’
conditions (accommodating for borehole drilling and abstractions since 1909).
9.1 Introduction
9.1.1 Historical account of the Uitenhage Spring
The Uitenhage Spring presently consists of nine eyes with a total flow of 45 l/s and is the
largest spring in the Uitenhage Artesian Basin (UAB). It is important both from a historical
and strategic viewpoint. Stone-age artefacts and a pre-historic mammal tooth found at the
spring indicate that the eyes have been a constant supply of water to early inhabitants for at
least 200000 years (Hickson, 1989). Spring flow, however, has decreased gradually as
shown in Figure 9.1. Hickson (1989) reports that in 1773 the total yield from 20 different
eyes was estimated at 105 l/s, whereas in 1829 this flow had decreased to 80 l/s. The first
official and reliable gauging was in 1867 when a flow of 89 l/s was recorded. Since 1899,
spring flow has varied over time, especially in the period of early 1900s to 1960s, mostly
due to abstractions from the aquifer (Maclear and Woodford, 1995).
Figure 9.1 Flow variations at Uitenhage Spring (1773 to 1994).
0.00
20.00
40.00
60.00
80.00
100.00
120.00
140.00
1773
1786
1799
1812
1825
1838
1851
1864
1877
1890
1903
1916
1929
1942
1955
1968
1981
1994
year
flow rate in l/s
Uitenhage Spring (l/s) Abstraction (l/s) Combined total (l/s)
first official record
12
6
In the mid 1960s the Spring supplied 25% of Uitenhage’s water, and presently it supplies
about 15% of Uitenhage’s bulk water requirements (Maclear, 2002). Note that Uitenhage
has one of Eastern Cape’s largest industrial areas. The following two phases of spring flow
are recognised (adapted from Maclear and Woodford, 1995):
I Before commencement of borehole drilling in the Coega Ridge Aquifer (CRA) in 1908,
the Uitenhage Spring was in a natural flow status.
II From 1909 and onwards, the impact of (uncontrolled) borehole drilling in the CRA
resulted in an increase in total abstraction and thus in a ‘disturbed’ flow status.
From 1993 to present, spring flow recovery occurred, which can be attributed to the
Department of Water Affairs and Forestry programme of sealing old artesian boreholes.
It is of interest to note that the major increase in boreholes drilled in the Coega Ridge
Aquifer (CRA) did not increase the total yield of the unit, which remained relatively
constant at 80 l/s, but rather increased the depth to the piezometric level, thus changing
pressure conditions from artesian to sub-artesian. The yield from the unit decreased
slightly towards the end of the 1960s, as a result of increased leakage (through rusted
borehole casings) of groundwater, under artesian pressure, into the confining overlying
Cretaceous sediments.
With the introduction of the ecological reserve concept and licence application under the
new South African Water Act of 1998, the status and sustainability of the Uitenhage
Spring has become important and of interest to hydrogeologists and water managers.
9.1.2 Hydrogeologic setting of the Coega Ridge Aquifer
The Coega Ridge Aquifer (CRA), within which the Uitenhage Spring occurs, is located in the
north-central portion of the Uitenhage Artesian Basin (UAB; Figure 9.2). The aquifer comprises
quartz arenites of the Table Mountain Group (TMG). East of the Uitenhage Spring the aquifer is
overlain by impermeable mudstones and siltstones of the Uitenhage Group. The aquifer
stretches further eastward along the Coega Ridge to the coast. The steep (50°) northerly dipping
TMG-Bokkeveld Group contact to the north forms the northern boundary of the aquifer.
The CRA is economically important as the source of artesian to semi-artesian groundwater for
irrigation of citrus (for export) and lucerne, especially at sites of large-scale abstraction, viz.
Uitenhage, Sandfontein, Amanzi Estates, Coega Kop and Wells Estate (Figure 9.2). Although
boreholes along the Coega Ridge are hydraulically connected (Maclear and Woodford, 1995),
the nature of connectivity is not well known.
The eyes comprising the Uitenhage Spring are fault-controlled and lie along a 120 m N-S
seepage front, conform the strike of the contact between the Table Mountain Group (TMG) and
the Uitenhage Group (Maclear, 1996). The spring is fed from the unconfined section of the
TMG aquifer system. Its catchment boundaries are limited by the M10C catchment to the west
and the north, the contact zone of the Table Mountain – Uitenhage Groups to the east, and the
impermeable Coega Fault to the south.

127
Fault
05
N
Coega River
Coega Fault
Recharge
area 60 km2
M10A
M10B M10C
M10D
Uitenhage
Uitenhage
Spring
Sandfontein
Welbedachts
fontein
Amanzi
Estate
Wells Estate
River
Catchment
Port
Elizabeth
St. Francis
Bay
Algoa
Bay
Swartkops River
Kilometers
34000’S
25030’E
Hydrogeologic Map of the Uitenhage Spring
Figure 9.2 Hydrogeology of the Uitenhage Artesian Basin and the Uitenhage Spring
location.
9.1.3 Aquifer characteristics
Groundwater temperature data from boreholes drilled into the TMG Aquifer in the UAB
are related to circulation depth. Based on a geothermal gradient of 37 m/ºC in the TMG
(from Jones, 1992) and an ambient temperature for recharge water of 18 ºC, the
temperature of Eye 2 at Uitenhage Spring suggests a groundwater circulation depth of 185
m (Maclear, 1996). A much higher circulation depth of 1130 m is calculated for the 54 ºC
artesian groundwater that flowed out of the old Zwartkops Spa borehole (Maclear, 1996).
Precise determination of circulation depth, however, is complicated by varying thickness
of the overlying Cretaceous sediments, which influences the geothermal gradient.
Groundwater from the Uitenhage Spring is of an excellent quality with a salinity of 15
mS/m and is suited for drinking purposes. Groundwater samples from the confined zones
of the CRA did not contain measurable Tritium (Venables, 1985), suggesting that these
groundwaters are older than 55 years and that no recent recharge has taken place at these
locations.
Coega Ridge Aquifer characteristics are as follows: transmissivity varies between 50 and
400 m2/d, storativity is about 2*10-4, yields vary between 3 and 23 l/s, average TDS is 170
mg/l, groundwater temperature varies between 23 and 33 oC and the overall size of the
aquifer is 470 km2.

12
8
9.2 Groundwater Recharge Estimation
9.2.1 Simple water balance
Kok (1992) estimated recharge (Re) at 83% of the average annual rainfall based on the
following simple water balance:
100Re(%) ARf
Qs
∗
= (1)
where Qs is annual Uitenhage Spring flow (=2.4 Mm3/yr) and Rf is average annual rainfall
(=460 mm) over the recharge area A (=6.3 km2). The relatively high recharge estimate
probably originates from an underestimation of the size of the recharge area.
9.2.2 Groundwater dating
Talma et al. (1982) demonstrated aging of groundwater in an easterly, down-gradient,
direction along the strike of the Coega Ridge, based on a detailed hydrochemical and
isotope (14C) investigation in the recharge area and a confined section of the TMG aquifer
near Uitenhage. Calculated groundwater ages range from 1350 years at the Uitenhage
Spring immediately east of the recharge area, to 28000 years at the Coega Kop discharge
area near the sea (Heaton et al., 1986). From these dates, the flow rate along the flowpath
in the CRA was calculated by Maclear (1996) at 0.76 m/yr. Heaton et al. (1986)
furthermore estimated that most recharge water discharges in the Uitenhage Spring at the
edge of the unconfined area and that less than 3% of the total recharge flows into the
confined section of the TMG aquifer to the east.
9.2.3 Chloride mass balance method
Maclear (1996) estimated recharge between 24 to 55% of average annual rainfall using the
chloride mass balance method:
Rf
Cl
Cl
mm
gw
rf
=)Re( (2)
where Clrf is the rainfall chloride concentration, Clgw is the chloride concentration of
Spring water and Rf is the annual mean rainfall over the recharge area. Maclear (1996)
justfied the use of Spring water chloride content for estimating recharge based on the
following reasoning:
• The fractured aquifer has experienced “flushing” by low TDS groundwater for
millennia (Hickson, 1989).
• Any leachable Cl has been flushed from the fractures.
• Cl contamination from the Uitenhage Group deposits is not possible, as these
deposits are confined to the more distal (central) regions to the east, down-gradient
of the Spring.

129
Maclear (1996), however, acknowledged that the results from his study were based on Cl
concentrations from only two rain samples and the average of these may not be
representative for a long-term average value.
9.2.4 ‘Moving average’ water balance approach
Maclear and Woodford (1995) applied the cumulative rainfall departure (CRD) method in
an attempt to determine the time lag between rainfall recharge and spring discharge and
thus to validate the age determination of Talma et al (1982) and Heaton et al. (1986). It
was not possible, however, to obtain a good correlation between cumulative rainfall
departure and spring discharge. A new relationship between rainfall and Spring flow is
proposed with the aim to determine periods of rainfall events that can be attributed to
specific Spring flow:
leakipi
m
j
jisi QQARf
m
Q−−
=∑
−
=
−
1
0
1
Re (i, m = 1, 2, 3…) (3)
where Qsi is spring flow in m3/d during month i, Qpi and Qleaki are groundwater pumped out
of boreholes and the amount of water leaked from the aquifer system during the i-th month,
respectively, Re is the percentage of rainfall attributed to recharge, and A is the aquifer
recharge area in m2.
The above relationship assumes that the present spring flow is fed by the current and past
rain water infiltration in the recharge area over m time intervals. Flow from the Uitenhage
Spring may be simulated based on this ‘moving average’ approach, provided that Qpi and
Qleaki can be determined. In the case of the Uitenhage Spring, parameter Qleaki is ignored.
Parameter Qpi is obtained from historic records (Marais, 1965; Maclear and Woodford,
1995; Maclear, 1996). Eq. (3) was programmed in an Excel spreadsheet, which allows for
visual comparison and error tracking of the spring flow simulations in a user-friendly
manner. The simulations enabled the following:
• Determining the size of the recharge area of the Uitenhage Spring as 60 km2,
northwest of the Uitenhage Spring. This is an order of magnitude different from the
6.3 km2 of the catchment area around the Uitenhage Spring, as delineated by Kok
(1992).
• Comparison of the rainfall moving average with spring flows, without taking into
account abstractions. The result is the same as an earlier similar result of Maclear
and Woodford (1995), using the CRD method, where no good correlation was
found. On many occasions simulated and observed spring flows are out of phase.
This confirms that the relationship is masked by the effect of large-scale
abstractions from the CRA.
• Taking into account information from Marais (1965) and estimates from Maclear
(2002), the simulations were repeated using Eq. (3). A unique match between
calculated and observed flows is found at a recharge rate of 10.8% of average
annual rainfall. The time-span for groundwater circulation, from rainfall infiltration
and recharge to discharge at the Uitenhage Spring, is determined at 23 years.
• In the case of the Uitenhage Spring, an average lag time of 12 years is derived from
the spring flow simulation.

13
0
The result of the simulation is shown in Figure 9.3. Note that the recharge rate of 10.8% of
average annual rainfall is a conservative estimate, since the parameter Qleaki was ignored.
Figure 9.3 Flow variations at Uitenhage Springs: 1899 to 1995 (after Maclear, 1996).
9.2.5 Ratio of cumulative flow to rainfall
The ratio of cumulative flow and cumulative rainfall may be used to verify the above linear
relationship. If rainfall events are directly responsible for the Spring flow, the ratio would
be the recharge percentage of average annual rainfall. To establish a relationship between
rainfall and the Spring flow, the following equation is applied to all 96 annual records:
(
)
∑
∑+
=
i
pisi
iRfA
QQ
Re (i = 1, 2, 3…) (4)
with the parameters as defined previously. Two scenarios are tested, one taking abstraction
into consideration and one without abstraction. If abstraction is excluded, there is no linear
relationship (Figure 9.4), whereas incorporation of abstractions gives a recharge of 10.6%
of average annual rainfall and a correlation coefficient of 0.9993.
0
1000
2000
3000
4000
5000
6000
7000
8000
1899
1903
1907
1911
1915
1919
1923
1927
1931
1935
1939
1943
1947
1951
1955
1959
1963
1967
1971
1975
1979
1983
1987
1991
Time (years)
Spring flows (m^3/d)
0
100
200
300
400
500
600
700
800
900
rainfall (mm)
Rain (mm/a) Qs(m3/d) Qs(simulated)
Ceres earthquake
in Sept 1969
New boreholes at
Amanzi and
SandfonteinCeres
Large scale abstraction at
Motherw ell, Coega kop and
Wells EstateAmanzi and
SandfonteinCeres
Declaration of Uitenhage
SGWCA in 1957
Abstraction due to
drought

131
Figure 9.4 Comparison of Uitenhage Spring flow with rainfall: combined total (incl.
abstractions) and excl. abstractions.
9.3 Reconstruction of Historic Spring Flow
The flow history of the Uitenhage Spring was reconstructed by using the same parameter values
for the recharge area and recharge rate and using historical rainfall data. Rainfall records for
Uitenhage for the time period of 1773 to 1898, however, were not available. Simulation of
spring flow for that period of time requires the rainfall events as input and therefore, a rainfall
generator was designed and programmed in Excel. Figure 9.5 shows the result of the
simulation. The generated flow history reflects a similar trend of flow at the Uitenhage Spring,
and suggests a higher recharge rate than in the 20th century. This higher recharge rate is
expected, since groundwater abstraction by means of boreholes, beginning in the early 1900s,
would trigger induced recharge at a rate that is higher than that of the aquifer system in its
natural undisturbed state prior to drilling. The induced recharge is determined at 1% for the
Coega Ridge Aquifer.
Figure 9.5 Reconstruction of the flow at Uitenhage Spring.
y = 0.1062x + 3E+06
R
2
= 0.9993
0.0E+00
5.0E+07
1.0E+08
1.5E+08
2.0E+08
2.5E+08
3.0E+08
0.0E+00 5.0E+08 1.0E+09 1.5E+09 2.0E+09 2.5E+09 3.0E+09
cummulative rainfall (mm)
cummulative spring flow
(m^3/d)
combined total flow rates only Linear (combined total)
0
1000
2000
3000
4000
5000
6000
7000
8000
9000
10000
1773
1782
1791
1800
1809
1818
1827
1836
1845
1854
1863
1872
1881
1890
1899
1908
1917
1926
1935
1944
1953
1962
1971
1980
1989
Time (years)
Spring flows (m^3/d)
0
100
200
300
400
500
600
700
800
900
Rainfall (mm)
Rain ( mm/a) Qs(m3/d) Qs(simulated)
First official gauge
record in 1867
13
2
9.4 Discussion
The rainfall ‘moving average’ approach gives a more accurate recharge value than any of the
other methods used. In comparison with the CRD method, no aquifer storativity, which is
difficult to determine in fractured rock aquifers, is required in Eqs. (3) and (4). The simulated
recharge rate of 10.8% of average annual rainfall was verified by a statistical regression analysis
between cumulative rainfall and cumulative spring flow. When abstraction is excluded, the
regression gives a recharge rate of 6.8% of average annual rainfall. If abstraction is included in
the equation, the regression analysis gives 10.6% of average annual rainfall, as shown in Figure
9.4. The latter is essentially the same as that obtained from the spreadsheet simulation, using the
moving average approach.
The simulation shows that the Spring flow-rate is dependent on the preceding 23 years rainfall
events, with an average residence time of groundwater circulation before discharging at the
Uitenhage Spring of 12 years. If the above is true, then the relatively young water interpreted by
Talma et al. (1982), based on one measurement of the Spring sample with a Tritium value of
17.4 TU (March 1963), can be as old as 23 years old. The 14C-derived-ages of more than 1350
years at the same spring (Talma et al., 1982) are doubtful, although these ages may represent
groundwater from a deeper circulation depth that was intercepted by a borehole, which was
drilled in Eye 2 at the Spring in an attempt to increase the total flow from the eye. Using the age
data from Talma et al. (1982), Maclear (1996) calculated the groundwater flow rate along the
flow path in the CRA at less than 1 m/yr. Assuming that this flow rate is correct, it would take at
least 400 years for rainfall to percolate to groundwater, circulate to a depth of about 185 m and
then flow upward under pressure to discharge at the Uitenhage Spring. This implies that the
rainfall record from 1899 to the present is not applicable and irrelevant with respect to
controlling the flow at the current Uitenhage Spring. This does not seem to be supported by the
simulations presented in this study, however.
The Uitenhage Artesian basin is the only extensive aquifer with free-flowing artesian conditions
in South Africa and is considered an ideal ‘working model’ for the fractured TMG aquifer. It
contains all the variables found in similar Cape Fold Belt aquifers within a relatively small and
well defined area, such as artesian and semi-artesian conditions, cold to hyperthermal water and
macro- to micro-scale fracturing. Further investigations of such a ‘working model’ would result
in a better understanding of TMG aquifers in South Africa, to the benefit of groundwater users
and advancement of the hydrogeological science.
With the available information, the Auto Regression and Moving Average (ARMA) method
was employed to establish the relationship between rainfall, abstraction and spring flow, for the
purpose of water resource management within this artesian basin. Application of the ARMA
method reveals a time lag of 13 years between rainfall events and spring responses, confirming
that the estimated average residence time of 12 years in the study area is a realistic figure.
Despite the promising results for recharge estimation it should be noted that the following issues
have not been addressed in this paper and require further research:
• Is the Uitenhage Spring fault-controlled and how?
• More data should be collected to allow for 3D numerical simulations.
The relationship between rainfall, spring flow and water level fluctuations is conceptualised in
Figure 9.6.

133
ToTs
t
Water level response in phase
with that of the spring flow
water level
Rainfall / outflow
0
Rainfall Uitenhage
Spring flow
Lag time: 12 years
Figure 9.6 Conceptualisation of rainfall, spring flow and water level fluctuations of
the Coega Ridge Aquifer.
9.5 Conclusions
In order to quantify the recharge of the Coega Ridge Aquifer, the Uitenhage Spring flow is
simulated, using a simple statistical approach. From the simulation, the current spring flow is
attributed to the current and preceding 23 years of rainfall events. The time frame for recharge
may be divided into two periods. The first period is under natural undisturbed conditions, prior
to the drilling of boreholes in 1909, during which time the total recharge based on the Uitenhage
Spring flow is determined at 10%. The second period follows on from the introduction of
borehole drilling, with the total recharge determined at 11%, based on a combination of the
Uitenhage Spring flow and borehole abstraction. The difference between the two recharge
values represents induced recharge.
The deep groundwater flow into the confined section of the Coega Ridge Aquifer can be
quantified as follows. If 3% of the total recharge, i.e. 11% of the average annual rainfall based
on the Spring flow simulation, is the deep flow component as suggested by the isotope results,
then the annual deep flow component of groundwater in the CRA is estimated at 88 595 m3 or
2.81 l/s.
9.6 References
Heaton T.H.E., Talma, A.S. and Vogel, J.C., 1986. Dissolved gas palaeo-temperatures and 18O
variations derived from groundwater near Uitenhage, South Africa. Quaternary Research.
25 79-88.
Hickson, W.N.K., 1989. Springs of clear water, a history of Uitenhage water supply, 1773-
1989. Simon van der Stel Foundation, Uitenhage.
Jones, M.Q.W., 1992. Heat flow in South Africa. S. A. Geol. Surv. Handbook 14, Govt. printer,
Pretoria.

13
4
Maclear, L.G.A. and Woodford, A.C., 1995. Factors affecting spring-flow variation at
Uitenhage Springs, Eastern Cape. Conf. Proc. Groundwater ’95, Midrand.
Maclear, L.G.A., 1996. The geohydrology of the Swartkops River basin – Uitenhage Region,
Eastern Cape. Unpublished MSc dissertation. University of Cape Town, Cape Town.
Maclear, L.G.A., 2002. The hydrogeology of the Uitenhage Artesian Basin with respect to the
Table Mountain Group Aquifer. Water SA Vol 27 No 4, pp 499 – 505.
Marais, J.A, 1965. Die Uitenhage artesiese kom. Department of Water Affairs and Forestry
technical report Gh 1476, Pretoria.
Talma, A.S., Vogel JC and Heaton THE, 1982. The geochemistry of the Uitenhage Artesian
Aquifer – carbonate solution in a closed system. IAEA 270 481-497.
Venables, A.J., 1985. The geology, geohydrology and hydrochemistry of the Uitenhage –
Coega artesian system. Department of Water Affairs and Forestry technical report Gh
3437, Pretoria.

135
10. The Role of Interflow in Estimating Recharge in Mountainous
Catchments
Yongxin Xu1, Yong Wu1 and Hans E. Beekman2
1 Department of Earth Sciences, University of the Western Cape, South Africa
2Environmentek, Council for Scientific and Industrial Research, South Africa
ABSTRACT Interflow is generally ignored in recharge studies. Particularly in sloping
areas this component of the hydrologic cycle, however, may significantly affect the
estimation of recharge. Research is currently being undertaken that will address this issue
for a variety of hydrogeological regimes. This paper is the first in a series of papers and
concentrates on small mountainous catchments. An approach comprising three different
methods based on river flow data is proposed for quantifying the influence of interflow on
recharge estimation in this regime. The Vermaaks River Valley in the small mountainous
Kammanassie area (21.5 km2) of South Africa is used as an example to illustrate the
approach.
10.1 Introduction
Interflow in mountainous catchments accounts for part of the baseflow in rivers. Figure
10.1 shows under which circumstances interflow may occur (see also Lehman and Ahuja,
1985; De Oliveira-Leite, 1985; Sunada and Tin, 1988; Wetzel et al., 1996; Flügel and
Smith, 1998 and Seiler et al., 2000):
a- Occurrence of relatively impermeable soil horizons, hindering downward transport
of moisture,
b- Favourable configuration of fractured networks,
c- Partially saturated flow formed via a perched water table, and
d- Preferential flowpaths in soils.
Figure 10.1 Various types of interflow in mountainous areas.
Research into interflow is important from an ecological point of view as this component of
the hydrologic cycle often sustains local ecosystems. The zone in which interflow occurs
may serve as a reservoir for storing water during the rainy season while at the same time it
may allow for percolation to a deeper groundwater reservoir, often through a network of
fractures. From a recharge point of view, ignoring interflow would result in overestimation

13
6
of the recharge rate. There has not yet been, however, much research in Southern Africa on
quantifying the role of interflow in recharge estimation.
This paper aims to narrow this knowledge gap for small mountainous catchments. To
examine and quantify interflow in this type of catchments, the following approach is
proposed:
1) Physiographic investigation at regional scale
2) Analysis of hydrologic data, e.g. flooding events and flow data at local scale
3) Conceptualise the hydrogeology of the study area
4) Water balance study of the unsaturated zone
5) Determination of interflow
Following the determination of interflow, recharge can be quantified using the ‘Equal
Volume’ method. The above approach will be applied to a small mountainous catchment in
South Africa and is described in subsequent sections.
10.2 Physiography
The Vermaaks River catchment forms a small part of the Kammanassie mountain ranges,
which consists of quartzitic sandstones of the Table Mountain Group (TMG). One of the
climatic features of the area is the large diurnal and seasonal fluctuation in temperature.
Daily average minimum and maximum temperatures for summer and winter vary between
15 to 42 °C and -3 to 18.5 °C, respectively. Although rain falls throughout the year, the
highest rainfall often occurs in autumn or spring. Figure 10.2 shows a west-east transect
with various flow systems occurring in the area. The study area (Figure 10.3) is located in
the Vermaaks River catchment and comprises a narrow valley with an elevation ranging
from 560 to 1340 m above mean sea level (mamsl). The area is surrounded by the
Kammanassie mountains with a maximum altitude of 1950 mamsl on the south side. The
valley has an average slope from southeast to northwest of 1: 250. The mountain ranges
rise steeply above the valley floor. The valley is drained primarily in an east to west
direction and turns north towards Olifants River. The above physiographic conditions
facilitate development of a weathered zone within the catchments.
Figure 10.2 Relation between interflow, local and regional flow systems.

137
Vermaaks
Catchment
21.5 km2
Gauge1
a
b
C
VR11
560 m
Marnewicks
Catchment
25.3 km2
Gauge2
D
Cedarberg shale
1340 m
Figure 10.3 Vermaaks and Marnewicks Catchments.
10.3 Hydrologic Information
General hydrologic data for Quaternary Catchments up to Primary Catchments in South
Africa is readily available from Midgley et al. (1994). Hydrographs of the Vermaaks River
and Marnewicks catchments are shown in Figure 10.4. Geomorphologic conditions of the
Vermaaks catchment favour the formation of interflow, which in turn maintains flow in the
valley. A perennial small pond occurs at the geological contact zone between the Peninsula
and Cedarburg formations. The pond is maintained by either shallow groundwater or
locally saturated flow from the shallow weathered zone in the vicinity or both. Field
geomorphologic and hydrogeological surveys confirmed that the pond is largely
maintained by combined flows, collectively termed interflow, from the shallow weathered
zone. Flows recorded at the Gauge station down-stream of the pond may therefore be used
for quantification of the interflow component.
Figure 10.4 Hydrographs of the Vermaaks and Marnewicks Rivers.
0
50
100
150
200
250
300
1 13253749617385
Month
Rainfall (mm)
0
5
10
15
20
25
30
Flow (l/s)
RainfallMarnew icks Verm aaks
13
8
10.4 Conceptual Hydrogeologic Framework
10.4.1 Flow system
The TMG is subdivided into six formations, of which only the Peninsula Sandstone
Formation, Cedarberg Shale Formation and the Nardouw Subgroup are present in the study
area. The quartzitic sandstone formations of the TMG are aquifers with relatively high
permeability due to a pervasive network of fracture sets, including bedding-parallel
fractures, bedding-orthogonal and bedding-oblique jointing at various scales, and fault
zones with variable length and displacement characteristics. The geological structures
control groundwater flow.
The Peninsula aquifer system consists of both shallow weathered zones and deep fractured
bedrock into which a number of boreholes, called the Vermaaks Wellfield, were drilled to
supply water to a local community. The wellfield consists of four boreholes which are
located along the valley within the upper catchment of the Peninsula Formation. Since
1993, the largest drawdown observed in the wellfield was 80m. The radius of influence
gradually extended beyond several kilometers over a period of 10 years. Analysis of
satelite imagery suggests that infiltration likely takes place within outcrops of the
Peninsula. High concentrations of fracture intersections and frequencies appear to facilitate
recharge to the deep fractured Peninsula aquifer system.
Shallow weathered zone
Alluvial and slope deposits, consisting of sand, gravel and other unconsolidated materials,
are distributed at the foot of the mountain and along the valley floor. Thickness of these
deposits is up to 15 m. Furthermore, a shallow weathered zone of variable thickness has
been developed, especially in areas with a high density of fractures. Clusters of springs at
different locations suggest that not all shallow weathered zones are hydraulically
connected, neither may they be connected to the deep fractured rock aquifer within the
Peninsula Formation. An implication would be that groundwater development in the
Peninsula aquifer may not have a detrimental impact on ecosystems maintained by local
flows in the unsaturated zone.
Fractured bedrock
The Peninsula fractured rock aquifer outcrops in the upper Vermaaks and Marnewicks
catchments and subcrops the Cedarberg Formation and Nardouw Subgroup in the lower
parts of the catchments. The Peninsula formation mainly comprises sandstone, breccia and
cataclastic rocks. The aquifer is likely to receive infiltration from both open fracture
networks and the shallow weathered zone in the upper part of the Vermaaks River
catchment whereas in the lower parts of the catchment prevailing aquifer conditions are
confined.
The relationship between the shallow weathered zone and fractured rock aquifer is illustrated in
Figures 10.5 and 10.6. The lower part of the shallow zone is extensively weathered with
fractures partly filled in by clayey materials and is less permeable than the upper zone.
Groundwater outflow from this zone is in the form of gravitational springs and seepage zones,
collectively called interflow. The perennial pond suggests beds of relatively low permeability at
the bottom (Figure 10.5). An aquitard may thus occur between the shallow and deeper zones.
Water levels in either of these zones may change if the deep aquifer is stressed through pumping

139
the wellfield. Figure 10.6 illustrates the dominant role interflow may play in contributing to
baseflow of the Vermaaks River catchment at the down-stream gauge.
A
B
Peninsula aquifer
ab
600m
700m
800m
900m
1000m
. .
. .
. .
AB
2
134
Box 1: water level shallow weathered zone
Box 2: water level fractured rock aquifer
Box 3: when water level in deeper zone lower than water level
in shallow zone: percolation from shallow to deeper zone
Box 4: flow direction
Figure 10.5 Hydrogeology along transect a-b (see Figure 10.3 for location).
560 m
1025 m
Weathered limits
Interflow
VG16
VR6 VR7
VR8
VR11
Spring
Pond
Gauge 1
C
D
10720 m
Cedarberg Shale
Nardouw Formation
Peninsula Formation
Bokkeveld Group ( Shale)
G40175A
Figure 10.6 Longitudinal Section of Vermaaks River.
10.4.2 Hydrochemistry
Surface runoff in the mountain streams mainly originates from groundwater according to
Jolly and Kotze (2002). No conclusion, however, could be drawn on the proportion of
14
0
interflow versus groundwater contributing to stream flow based on available
hydrochemical and isotope data. Main differences between the chemistry of groundwater
from boreholes VR (Figure 10.6) and stream flow at Gauge 1 are the increased
concentrations of cations and anions, particularly Na and Cl, in the stream flow. The
increased concentrations and thus increased EC cannot be explained by evaporation only as
isotopic contents are almost the same: stream flow at Gauge 1: 18O = -7.49‰, 2H = -
45.05‰; Groundwater: 18O = -7.36‰, 2H = -43.36‰ (Kotze, 2001). Mixing of groundwater
and interflow may explain the chemical composition of stream flow at Gauge 1 but a
detailed hydrochemical study would be needed along flow paths that includes sampling in
the zone of interflow to quantify the contribution of both components to stream flow.
10.5 Water Balance of the Unsaturated Zone
Assuming that the surface area of the (weathered) unsaturated zone is equal to the entire
catchment area (Figure 10.3), a simple water balance over a given time interval i can be
formulated as follows:
where Qinfi is total infiltration to the unsaturated zone, Qouti is total outflow such as spring
flow, etc., QEti is evapotranspiration of subsurface flow and QRei is recharge to the deep
aquifer. If the last two terms of the right hand side of Eq. (1) are ignored, Qinfi can be
determined from flow measurements. If QRfi represents rainfall per year and r is a
minimum infiltration rate in terms of percentage of MAP, the minimal infiltration rate
based on flow data from the Nardouw Gauge Station can be calculated as:
10.6 Quantification of Interflow
Three methods are used to evaluate interflow mechanisms. These include 1) analysis of
flooding events, 2) regression based on cumulative rainfall and flow data and 3) scenario
examination of hydrographs.
Analysis of flooding events
Flow data from early 1997 to late 1999 were carefully examined to separate possible
causes for increases in river flows. Four episodic surges of flows can be attributed to heavy
rainfalls and their preceding rainfalls. The infiltration rate as defined by Eq. (2) is the ratio
of river flows to their corresponding rainfall events. The decreasing influence of preceding
rainfalls is weighted through a series of factors Cn, with C ranging from 0.75 to 0.95 and
the power n (from n=1 to n=n) representing the maximum number of days still having an
influence on the river flow. The analysis of the four flow events give consistant estimates
of infiltration rates of about 1%.
Regression
Starting point for this analysis is the stream flow recorded at the outlet of the Vermaaks
catchment (gauge 1) and rainfall over the catchment as shown in Figure 10.4. The flow for
November and December 1996 has been interpolated. Note that there is no runoff in the
)1( 321
Reinf ...n),, (iQQQQ iEtioutii=++=
)2( )...3,2,1(
11 inf nicQrQ n
iRfi
n
ii=+
∑
=
∑==

141
study area for most of the year. A statistical analysis was carried out to examine
relationships between cumulative total flow (CTF), total rainfall (CTR), flow departure
(CFD) and rainfall departure (CRD). Results of the analysis is given in Table 10.1.
Table 10.1 Statistical analysis between flow and rainfall.
The analysis revealed that the best correlation is between CTF and CTR (Figure 10.7).
There is also good correlation between CTF and rainfall in the preceding month. This
suggests that both rainfall from the current and preceding month is important to the
estimation of infiltration.
Figure 10.7 Relationships between CTR and CTF.
Additional regression analyses (Table 10.2) also reveals that the accuracy of regression is
related to the time interval used. If the time interval of regression is very long, the
ssresid/ssreg (the residual sum of squares and regression sum of squares, respectively) in
Table 10.2 will change from 0.0128 (0.0302 after flood) to 0.00742. The constant in the
regression equations after flood is larger than before the flood. If the time interval for
regression is long enough, the influence of floods will diminish. Figures 10.8 and 10.9
show the results of regression analyses for different time intervals and for the two
catchments as a whole.
Table 10.2 Results of regression analysis: 1994 to 2001.
0
1000
2000
3000
4000
0 20 40 60 80 100
M onths
Cumulative rainfall (mm)
0
10
20
30
40
50
60
70
Cumulative flow (mm)
CTR CTF
Catchment Eq. of regression seRT seb r
2 sey ssreg ssresid Duration
(Months)
FB=0.0182RB+1.753 3.6E-04 0.28 0.9874 0.86 1844.55 23.56081 32
FA=0.0165RA+5.7453 3.7E-04 0.39 0.9732 1.41 4059.90 111.70 56
Vermaaks
FT=0.019RT+1.6081 1.7E-04 0.38 0.9926 1.79 40748.09 302.27 94
Marnewicks FT=0.0361RT+2.960 3.4E-04 0.76 0.992 3.60 147523.1 1220.13 94
Σ F =0.0279R +2.0878 1.9E-04 0.55 0.996 1.97 87909.57 637.98 94
Pair of Factors CTF
versus
CTR
CFD
versus
CRD
Flow
versus
Rainfall
CRD
versus
CTF
CTR
versus
CRD
Rainfall
versus
CRD
Vermaaks 0.9963 0.9032 0.5756 0.4033 0.3770 0.1154
r Marnewicks 0.9959 0.7302 0.1454 0.2994 0.3770 0.1154

14
2
The slope of the regression equation or the infiltration rate is given in Table 10.2. The
constant in the regression equation is the basis of base flow. The basis ranges from 1.60
mm to 5.75 mm whereas the infiltration rate ranges from 1.65% MAP to 3.61% MAP. The
infiltration rate and the constant are 1.82% and 1.75 mm annually before the flooding event
(Figure 10.8). After the flooding they become 1.65% and 5.75 mm annually. The results
from 1994 to 2001 are 1.9% and 1.61 mm. From the above, the average infiltration rate is
1.79% and the average constant is 3.04 mm. It is obvious that the influence of the flooding
is remarkable.
Due to the hydrogeological resemblence of the Marnewicks and Vermaaks Catchments, the
infiltration rates are only slightly different as shown in Figure 10.9. The calculated
infiltration rates are variable over short time intervals, such as 2 years. The infiltration rate
converges to a constant value over a longer time interval.
Figure 10.8 Regression analysis of Vermaaks stream flow.
Figure 10.9 Regression analyses of Vermaaks and Marnewicks catchments.
0
20
40
60
80
100
120
140
160
0 500 1000 1500 2000 2500 3000 3500 4000
CTR (mm)
CTF (mm)
Marnewicks Catchment
Vermaaks catchment
F:Vermaaks & Marnewicks
FA = 0.0165RA + 5.75
R2 = 0.9732
FB = 0.0182RB + 1.75
R2 = 0.9874
0
10
20
30
40
0 500 1000 1500 2000
CTR(mm)
CTF(mm)
Before Flood (solid)
After Flood (dash)

143
Hydrograph simulation
There is no universally accepted way in which interflow can be accurately quantified. In
this paper, however, we have adopted the Xu et al. (2002) approach of hydrograph
separation to verify the estimated interflow component. For the quantification of interflow,
extreme ranges were used for the decay factor D (0.0-0.5) of previous groundwater
contribution and the factor of ‘rainfall induced flow increment’ I (0.0 to 1.0). The results
are shown in Figure 10.10. The hatched zone represents the area of likely interflow and
amounts to 33 to 66% of runoff and 0.59 to 1.17% of MAP.
Figure 10.10 Interflow component of hydrograph of Vermaaks Gauge 1.
10.7 Role of interflow in estimating recharge
Many methods have been applied to estimate groundwater recharge in the area such as
hydrogeochemical and environmental isotope methods and simulation of water level
fluctuations (Bredenkamp et al., 1995; Kotze, 2001; Jolly and Kotze, 2002) but no attempt
has so far been made to quantify recharge by taking into account the component of
interflow. The influence of interflow on recharge estimation was evaluated in this paper for
the Vermaaks River Catchment based on the Equal Volume method. The procedure
followed was to first identify the lag time between interflow and rainfall events, and then
compare Equal Volumes with rainfall over corresponding periods. As shown in Figure
10.11, the difference between including and excluding interflow in the calculations of
recharge is 1%. In other words, the recharge is overestimated by about 10% if one does not
take into account the component of interflow.
10.8 Conclusions and Recommendations
An approach is proposed to examine and evaluate the process of interflow in small
mountainous catchments and applied to the Vermaaks River Catchment in the
Kammanassie Mountains in South Africa. From the Vermaaks case study the following
conclusions are drawn:
0.0E+00
5.0E+05
1.0E+06
1.5E+06
2.0E+06
2.5E+06
1
7
13
19
25
31
37
43
49
55
61
67
73
79
85
91
Time (months)
Flow (Mm^3)
0
50
100
150
200
250
300
Rainfall (mm)
Rain (mm) Q(m3/month) High limit Low limit

14
4
Figure 10.11 Comparison of Recharge Estimates with and without Interflow.
• A shallow weathered zone is responsible for generation of interflow towards
Vermaaks River;
• Characteristics of interflow are associated with local hydrogeomorphologic
conditions;
• Interflow from the unsaturated zone can be quantified using a simple regression
technique;
• The error made when neglecting interflow in estimating groundwater recharge for the
Vermaaks River Catchment is relatively small, i.e. ~10%.
Overall, we conclude that the role of interflow in the small Vermaaks River mountainous
catchment in estimating groundwater recharge is not important. Whether the same holds
true for other small mountainous catchments remains to be seen.
In the case of Vermaaks River Catchment we recommend that the contribution of interflow
and groundwater to stream flow be verified by a detailed hydrochemical and isotope study.
Induced recharge to the deeper aquifer due to groundwater abstraction should also be
examined as well as the regional groundwater flow.
We furthermore recommend that the methods proposed in this paper be applied in similar
small mountainous catchments to validate the results of the Vermaaks case study.
10.9 Acknowledgements
The Water Research Commission in Pretoria is thanked for financial support of this
research. Authors are grateful to Messrs. M Smart and R Rose, both of the Department of
Water Affairs and Forestry, for providing raw data and reviewing some of the research
findings.
y = 0.1134x
R2 = 0.9728 y = 0.1039x
R2 = 0.9684
0
200
400
600
0 1000 2000 3000 4000 5000
Rainfall Corresponding to Equal Flows (mm)
Recharge during Equal Flows
(mm)
Re(mm) with interflow Re(mm) without interflow
Linear (Re(mm) with interflow) Linear (Re(mm) without interflow)
145
10.10 References
Bredenkamp, D.B., Botha, L.J., Van Tonder, G.J. and Van Rensburg H.J., 1995. Manual
on Quantitative Estmation of Groundwater Recharge and Aquifer Storativity. WRC
Report No TT73/95.
De Oliveira Leite J., 1985. Interflow, overland flow and leaching of natural nutrients on an
Alfisol slope of southern Bahia, Brazil, Journal of Hydrology, Volume 80, Issues 1-2,
15 September 1985, 77-92.
Flügel, W.A. and Smith, R.E., 1998. Integrated process studies and modelling simulations
of hillslope hydrology and interflow dynamics using the HILLS model, Environmental
Modelling and Software, Volume 14, Issues 2-3, December 1998, 153-160.
Jolly, J.L. and Kotze, J.C., 2002. The Klein Karoo Rural Water Supply Scheme, in A
Synthesis of the Hydrogeology of the Table Mountain Group – Formation of a
Research Strategy edited by K Pietersen and R Parsons, Water Research Commission,
ISBN 1 86845 804 0.
Kotze, J.C., 2001. Towards a Management tool for Groundwater Exploitation in the Table
Mountain Sandstone Fractured Aquifer. WRC Report No. 729/1/02.
Lehman, O.R. and Ahuja, L.R., 1985. Interflow of water and tracer chemical on sloping
field plots with exposed seepage faces, Journal of Hydrology, Volume 76, Issues 3-4,
25 February 1985, 307-317.
Midgley, D.C. Pitman, W.V. and Middleton, B.J., 1994. The surface water resources of
South Africa 1990. Volumes 1 to 6. Report Numbers 298/1.1/94 to 298/6.1/94 (text)
and 298/1.2/94 to 298/6.2/94 (maps), Water Research Commission, Pretoria. Also
accompanied by a CD-ROM with selected data sets.
Seiler, K.P., Loewenstern SV and Schneider S, 2000. The role of bypass and matrix flow
in the unsaturated zone for groundwater protection, Proceedings of the XXX IAH
congress on groundwater: Past achievements and future challenges, Cape Town/South
Africa/26 November – 1 December 2000, ISBN 90 5809 159 7, A.A. Balkema,
Rotterdam.
Sunada, K. and Tin, F.H., 1988. Effects of slope conditions on direct runoff characteristics
by the interflow and overland flow model, Journal of Hydrology, Volume 102, Issues
1-4, 30 September 1988, 323-334.
Wetzel, P.J., Xu, L., Irannejad, P., Boone, A., Noilhan, J., Shao, Y., Skelly, C., Xue, Y.
and Liang, Y.Z., 1996. Modeling vadose zone liquid water fluxes: Infiltration, runoff,
drainage, interflow, Global and Planetary Change, Volume 13, Issues 1-4, June 1996,
57-71.
147
PART V
Integrated Approaches to Recharge Estimation

149
11. Techniques for Estimating Groundwater Recharge at Different Scales in
Southern Africa
Simon A. Lorentz, G.O. Hughes and Roland E. Schulze
School of Bioresources Engineering and Environmental Hydrology, University of Natal, South
Africa
ABSTRACT Various applied techniques for estimating ground water recharge are described
for local, hillslope, catchment, regional and national scales. It is clear that the scale of the
problem being investigated must determine the method used. Recharge estimates are generally
performed assuming a vertical profile. However, it is also evident that the hillslope and lateral
processes inherent in generating event and low flow discharges must be defined and quantified
so that the proper streamflow generating source, whether ground water aquifer or hillslope
vadose zone, is identified. From this knowledge will emanate adequate quantification of ground
water recharge mechanisms and rates.
11.1 Introduction
The definition of what constitutes the ground water recharge component in the hydrological
cycle is often difficult and could easily depend on the perspective of the scale at which the
process is observed. While a basin study of water resources may define the recharge component
as the useable resource from a large aquifer, a user of a rural well may define the recharge as
that component of interflow and percolation which replenishes the well’s source during an
irrigation season. Since the demand for localised sources of ground water, as well as regional
catchment management are both pressing issues, methods for quantifying the recharge process
at different scales are examined so that appropriate methods may be used for the quantification
of recharge for specific purposes.
A number of techniques which quantify the recharge process at different scales are presented in
this paper. We examine the local or (point scale), the hillslope scale, the catchment scale as well
as regional and national scales.
11.2 Local Scale
Local scale recharge has been estimated using a daily hydrological water budget model, ACRU
(Schulze, 1995). The processes and water volume accounting shown in Figure 11.1 have been
used successfully to model the daily stormflow and baseflow throughout southern Africa at
specific locations. The recharge to ground water has mostly been taken as that volume of water
which is depleted from the subsoil and is added to the intermediate and ground water store
below. While this water budgeting method may be appropriate for estimating the average
diffuse discharge from the subsoil in typical profiles, this simplified method of estimating the
volume of water recharging the ground water may not be appropriate for specific scenarios
where hydraulic potentials and soil and ground water flux variations control the movement of
water into an aquifer.
The simplification of the subsoil-ground water interaction used in ACRU, shown in Figure
11.2a, relies on user-defined parameters for apportioning the volumes of water allocated to the
different horizons each day. Although the incremental volumes moving from one horizon to
another are predominantly dependent on the storage states (and thus indirectly, hydraulic
15
0
potentials) of the horizons, the transfer parameters either remain constant or take up
predetermined values according to the storage state of the horizons. The physics of the
interactions between surface-, soil- and ground water, which may play a predominant role in the
recharge process is not always adequately simulated in this threshold-based approach. Rapid
wetting front development resulting from extreme rainfall events requires a more detailed
physically based approach (Gee et al, 1994; Stephens, 1994). Interactions between layers of
different hydraulic properties and between capillary forces in the soil and saturated conditions in
fractured or dual porosity media also require a revised model since these interactions could
easily dominate the recharge process. Estimation of recharge in arid and semi-arid environments
could be improved if the dynamics of extreme events were successfully simulated rather than
relying on simplified water budgeting.
Attempts at modifying the ACRU soil water budgeting with a Green-Ampt wetting front model
have proved successful in simulating the flux through the soil profile in response to rainfall
events of different intensity (Lorentz et al., 1995; Howe and Lorentz, 1995). Innovations in
applying Richard’s equation make this an attractive method for simulating soil water dynamics
(Short et al 1995). Considerable improvement in both infiltration and soil water redistribution
dynamics has also been achieved in ACRU, with the application of a solution of the Richard’s
equation in the soil horizons. However, these approaches are always dependant on appropriate
boundary conditions at the vadose zone- ground water or fractured media interface. Most early
attempts have used a constant head condition at the zero matric pressure elevation, thus
requiring a user input of the ground water depth. However the response to the recharge and
consequent perturbations in the soil water potentials have been largely ignored.
An attempt to retain the physical basis of subsoil-ground water interaction simulation has been
developed in the ACRU model as depicted in Figure 11.2b. The fluxes from one zone to
another are modelled using the hydraulic characteristics of the porous media. The water
dynamics is modelled in the soil horizons of the vadose zone using Richard’s equation. At the
interface of the soil horizons and a fractured bedrock, it is recognized that soil matric pressure
heads must approach zero before flow is induced into the fractures. Allowance is provided for
flux into the fractured bedrock prior to saturation of the soil interface if the bedrock properties
allow for capillary flow. Once soil water matric pressures are zero at this interface, flow into the
bedrock commences at a rate dependent on the hydraulic properties of the bedrock. Soil water
contents may then increase in the soil as shown in Figure 11.2b and positive pressures may
develop at the interface, forming a perched water table. Perched water tables may also develop
in the soil horizons if clay layers are present.
Distinctly different recharge processes have been simulated in the Romwe experimental
catchments near Triangle in Zimbabwe, some 150 km north of Beit Bridge. This modelling was
undertaken in collaboration with the Centre for Ecology and Hydrology, Wallingford, who
completed extensive monitoring of the recharge processes in these agricultural catchments
(Butterworth et al., 1999). Ground water recharge was shown to be strongly controlled by the
characteristics of the weathering profile, lending credence to attempts to model the recharge
dynamics in semi-arid areas by considering profile hydraulic characteristics and boundary
conditions. The Romwe catchments receive a mean annual precipitation of 581 mm with a
standard deviation of this mean of 263 mm which is typical of the large interannual variation in
semi-arid catchments. Subsistence agriculture is practised on two predominant soil types in the
catchment. The first is a red clay with granular microstructure derived from the mafic pyroxene
gneiss north of the stream (Figure 11.3). The second is a grey coloured sandy soil of coarse
texture underlaid by a thick clay layer. This soil type is associated with the leucocratic gneiss

151
south of the stream. Typical profiles and associated hydraulic conductivity characteristics are
shown for the soils in Figures 11.5 and 11.6. The red clay soil has a saturated conductivity an
order of magnitude less than the grey sandy soil but the clay which underlies this sandy soil has
a saturated hydraulic conductivity an order of magnitude less than that of the red clay soil.
During an event on February 17th 1994, 141 mm of rain was recorded. The resulting recharge
to the bedrock estimated from the data is dramatically different for the two horizons as indicated
in Table 11.1. The model simulates the runoff and recharge adequately in the two profiles for
the event. The recharge for the event was estimated from ground water elevation changes
(Figures 11.5 and 11.6) and from hydraulic potentials and conductivities deduced from
observed water content changes in the soils at a depth of 2.5 m. The results indicate that the clay
layer below the grey sand effectively inhibits recharge while significant recharge occurs through
the red clay soil during the week after the event. Agricultural practices may also contribute to
the differences in recharge since far more tillage is practised in the heavier red clay surface soils
and water retention bunds are often used. The maximum increase in ground water elevation on
the north and south side of the stream is shown for the wet season, 1993/94 in Figure 11.4. It is
clear that the predominant increases in ground water elevation are associated with the red clay
soils overlying the leucocratic gneiss bedrock. It is anticipated that a more detailed simulation of
the soil water fluxes will provide improved comparisons with other methods deemed in the past
to be more accurate than simplified water budgeting (Allison et al., 1994; Barnes et al., 1994;
Robson et al., 1992).
Table 11.1 Recharge estimates for the event of February 17th 1994.
* Observed ground water elevation increased due to flow from sand layer into unlined
piezometer.
11.3 Hillslope Scale
Recharge to ground water occurs as one of the processes in hillslope sections and it is often
important to define the travel times and pathways of water sources on a hillslope in order to
distinguish between the components of event and low flow water. Lateral fluxes of water can be
sufficiently slow and residence times sufficiently long on a hillslope that these sources are able
to support low flows during dry periods. It is possible that accumulations from these sources
could be mistakenly taken as deep ground water contributions to low flows. This would have
serious consequences if the land use on the hillslopes were to change. Although lateral fluxes
are assumed in the water budgeting models discussed, a more realistic account of the soil and
ground water can be obtained by considering the processes on a hillslope scale (Sami and
Hughes, 1993). These processes are being observed in an experimental catchment in the Mondi,
Runoff
(mm)
Recharge
(mm)
Soil Rain
(mm)
Modelled Measured Modelled Estimated from
G/W elevation
Estimated from
changes in water
content at 2.5m
Red clay
Gre y
sand
141.0
141.0
6.2
52.8
7.0
46.5
20.4
0.3
16.0
*
18.6
0
15
2
North East Cape Forests area. The MAP of the area in which the catchment lies is some 850
mm, which is considered marginal for successful commercial forestry. Therefore, knowledge of
the hillslope soil water processes is important to allow management to avoid planting trees in
areas which may be continuously waterlogged or in areas which are prone to rapid depletion of
infiltrating water. The dynamics of flow on the hillslopes in the experimental catchment have
been observed under pristine conditions to determine the hillslope water budget prior to the
introduction of trees. Monitoring has continued after the trees were established in 2002, so that
the changes in the water distribution on the slopes can be quantified and modelled to predict
long-term influences of afforestation on receiving water bodies. The catchment lies in a
sequence typical of the Molteno formation with two outcrops of rock at different elevations on
the slope.
The catchment topography is shown in Figure 11.7, along with the network of neutron probe
access tubes, ground water monitoring piezometers, automatic tensiometers, weirs and profile
pits. Hydraulic characteristics of the materials have been measured (Figure 11.8) in order to
estimate the fluxes from the various sources. The sources and pathways of water on the
hillslopes of the catchment have been identified and quantified from the responses of the
observed soils water status (Figure 11.9). Typical response zones have been described as:
• Zone 1: Upper slopes of eastern half of the catchment, where delivery of water in a
disconnected near surface macro-pore zone delivers water to bedrock outcrop at the toe of
the slope. Soil matric pressure is not continuous between responses in near-surface layers
and deeper layers near bedrock. Surface water runoff generation for no more than 20 to
30m upslope contributes to flow at the toe. Slow deep ground water from soil/bedrock
interface recharges to toe and to lower slopes and bedrock. All water from this zone is
delivered to Zone 2.
• Zone 2: Recharge from upslope zone and infiltrating water raise ground water levels at
seepage lines and wetland areas. Some flow in near-surface macro-pores. However, it is
normally associated with the resident ground water rising into the macro-pore layers,
particularly adjacent to the stream and seepage lines leading to the stream. Some ground
water ridging near the stream yields increased hydraulic gradients for short periods during
moderate to intense events.
• Zone 3: Near stream surface and near-surface water runoff, dominated by ground water
intersecting rapid delivery macro-pore layers.
• Zone 4: Some flow in near-surface macro-pore layers, but mostly due to intersection of
soil/bedrock perched water. There is generally soil matric pressure continuity between
upper and lower layers. Near the stream, water is delivered through ground water rising
into macro-pore layers.
• Zone 5: No perched water tables are evident, even during intense events. Little macro-
pore discharge in near-surface layers, even during intense events. Significant wetting to
deep horizons with slow delivery of unsaturated water to lower slopes (Lorentz, 2001).
Simulation of the catchment runoff using response functions to describe the volumes and arrival
times of the various sources reveals a dominant contribution from near surface macro-pore
horizons (Figure 11.10). More complex model development may have to be made where
observations of large macro-pore or pipe flow is evident (Nieber and Warner, 1991).
Nevertheless, water accumulated on the interface of soil profile and bedrock as well as gravity
driven, soil water accumulation contributes to discharge in the stream throughout the winter.
These accumulations from many of the upland subcatchments appear sufficient to maintain the
low flows observed in the receiving rivers, without having recharged a ground water aquifer
153
(Lorentz, 2003). The relative contribution to both low flow and event water from hillslope and
ground water sources is the subject of a present study in which natural isotopes are used in
conjunction with the hydrometric measurements, to identify the contributing sources, pathways
and travel times.
11.4 Catchment Scale
The water budget approach depicted in Figure 11.1 has been successfully applied to
hydrological studies of catchments up to 50 km2 although larger basins have been simulated by
subdividing them into smaller interlinked and cascading subcatchments (Kienzle et al., 1997).
GIS is used to prepare area averaged parameters for input to the model. Since the recharge
component is a small proportion of the water budget, estimates of recharge are liable to be
compounded by errors in the overall water budget. This approach is, therefore, not always ideal
for recharge estimates but since the water budget method is based on simulating physical
processes, it is useful for comparative exercises in assessing recharge in areas differing in soil
profiles, land uses and rainfall patterns.
The direct estimation of recharge on a catchment scale could well be improved by considering
the integration of hillslope processes contributing incremental discharges to the conveying
stream. Such approaches are becoming increasingly popular in catchment hydrology and can
only contribute to a better understanding and simulation of recharge.
11.5 Regional Scale
Several methods of estimating ground water recharge and discharge for a catchment from
streamflow records have been proposed in the literature. Many of these are graphical, subjective
and do not necessarily reflect the true nature of either the recharge or discharge. However, the
ACRU model is a deterministic model which attempts to physically model small catchment
processes in a conceptual-physical manner.
Research into the development of a baseflow decision support system (BFDSS) to strengthen
ACRU’s standard water budget’s ground water and streamflow generation routines have been
undertaken (Hughes, 1997). By using data from 200 gauging weirs located throughout South
Africa, all of which were deemed to be recording natural flow, this research established a link
between baseflow recession characteristics and a basin’s physical and geological properties.
Determining multiple segment master recession curves aided in the evaluation of the true shape
of the master recession curves (MRC) thereby accounting for McMahon's (1995) suspicion that
exponential recession theory would be inappropriate for baseflow recession modelling in South
Africa. This was achieved using the procedure summarised in Figure 11.11 where all recessions
are extracted (stage A) and eliminated (stage B) if they contain missing or suspect data or if
significant rainfall occurs during the recession or if they are of less than 10 days in duration. The
remaining data are converted from daily specific to discharge specific data (stage C) to facilitate
the calculation of average recession constants for each discharge interval (stage D). These are
used to construct the MRCs (stage E).
11.6 National Scale
An extensive database has been developed for hydrological simulations in South Africa by the
School of Bioresources Engineering and Environmental Hydrology, University of Natal. Daily
15
4
rainfall data have been assembled for each of the 1946 quaternary subcatchments in South
Africa for the period 1951-1993. GIS techniques have been used to derive representative soils
and vegetation parameters for each quaternary subcatchment and files of average monthly
potential evaporation and maximum and minimum temperatures have been compiled. The
database comprises a powerful resource for estimating components of the hydrological cycle
throughout the area, comparison of irrigation supply and demand, crop production performance
for different areas as well as for estimating the significance of certain extreme events or trends
such as climate change.
Hydrological simulations have been undertaken to estimate the distribution of average annual
recharge, as shown in Figure 11.12. The recharge simulated for a wetter than average year (La
Nina, 1988/89) is compared with the average annual recharge by displaying the ratios of the
recharge for these periods. While the 1988/1989 season produced wetter than average rainfall
predominantly in a band from the south-east to the north-west of the country, only a few
quaternary subcatchments in this semi-arid zone yield recharge estimates larger than average.
Conversely, during a drier than average season, 1982/83, every quaternary subcatchment in the
summer rainfall region of the country received drier than average rainfall and yet a significant
number of quaternary subcatchments in this region were simulated to have above average
recharge for that El Nino year. These simulations indicate that there may be merit in examining
more closely the influence of extreme and often localised events and rainfall patterns in the
resultant recharge.
11.7 Conclusions
Various applied techniques for estimating ground water recharge have been described. It is clear
that the scale of the problem being investigated must determine the method used. It is also
evident that the processes inherent in generating event and low flow discharges must be defined
and quantified so that the proper streamflow generating source, whether ground water aquifer or
hillslope vadose zone, is identified. From this knowledge will emanate adequate quantification
of ground water recharge mechanisms and rates.
11.8 References
Allison, G.B., Gee, G.W. and Tyler, S.W., 1994. Vadose-zone techniques for estimating ground
water recharge in arid and semiarid regions. Soil Science Society of America 58(1): 6-14.
Barnes, C.J., Jacobson, G. and Smith, G.D., 1994. The distributed recharge mechanism in the
Australian arid zone. Soil Science Society of America 58(1):31-40.
Butterworth, J., Lovell, C., Bromley, J., Hodnett, M., Batchelor, C., Mharapara, I., Mugabe, F.
and Simmonds, L. 1995. Romwe Catchment Study, Zimbabwe: Effect of land
management on groundwater recharge, and implications for small-scale irrigation using
groundwater. Institute of Hydrology Report ODA 95/9. IH Wallingford, UK.
Gee, G.W., Wierenga, P.J., Andraski, B.J., Young, M.H., Fayer, M.J. and Rockhold, M.L.,
1994. Variations in water balance and recharge potential at three western desert sites. Soil
Science Society of America 58(1):63-72.
Hutson, J., 1995. A user manual for the LEACHM model. Cornel University, NY, USA.
Jury, W.A., Gardner, W.R. and Gardner, W.H. 1991. Soil Physics 5th Edition. John Wiley
and Sons, Inc
Morel-Seytoux, H.J. and Alhassoun, S.A. , 1992. SWATCH: A multi-process watershed model
for simulation of surface and subsurface flows in a soil-aquifer-stream hydrologic system.
Report to National Science Foundation and Agricultural research Service, USDA.
155
Hydrowar Report 87.3. Hydrology Days Publications, 57 Selby Lane, Atherton, CA.
94027-3926. USA.
Nieber, J.L. and Warner, G.S., 1991. Soil pipe contributions to steady subsurface stormflow.
Hydrological Processes 5:329-344.
Robson, A., Beven, K. and Neal, C., 1992. Towards identifying sources of subsurface flow: A
comparison of components identified by a physically based model and those determined by
chemical mixing techniques. Hydrological Processes 6:199-214.
Sami, K. and Hughes, D.A., 1993. A comparison of recharge estimates from a chloride mass
balance and an integrated surface-subsurface semi-distributed model. In: Lorentz, S.A.,
Kienzle, S.W. and Dent, M.C. (eds) Proceedings of the Sixth South African National
Hydological Symposium V2:747-758. Pietermaritzburg.
Schulze, R.E., 1995. Hydrology and Agrohydrology: a text to accompany the ACRU 3.00
agrohydrological modelling system. Water Research Commission, Pretoria, Report
TT69/95.
Short, D., Dawes, W. and White, I. 1995. The practicability of using Richards Equation for
general purpose soil-water dynamics models. Environment International 21(5): 723-730.
Smith, R.E. and Hebbert, R.H.B. 1992. User Manual for ‘Hills’ Numerical Hillslope Model
V5.2. USDA, ARS, Fort Collins, CO, USA. June 1992.
Stephens, D. 1994. A perspective on diffuse natural recharge mechanisms in areas of low
precipitation. Soil Science Society of America 58(1):40-48.
Wu, J., Zhang, R. and Yang, J. 1995. Estimating groundwater recharge processes using a
transfer function model. In: Morel-Seytoux, H. (ed) Proc. of the 15th Annual American
Geophysical Union Hydrology Days: 353-364. Colorado State University, Fort Collins,
CO, USA. April 1995.

15
6
QUICKFLOW
RUNOFF
INTERCEPTION
PRECIPITATION
GROUNDWATER STORE
INTERMEDIATE STORE
ACRU
SUBSOIL
TOPSOIL
SURFACE LAYER
Figure 11.1 The ACRU water balance model structure.
Figure 11.2 Schematic of the surface-groundwater interaction.
B-HORIZON
GROUNDWATER/INTERMEDIATE STORE RUN
BEDROCK
A) ACRU SURFACE-GROUNDWATER INTERACTION B) ACRU INFILTRATION/REDISTRIBUTION-GROUNDWATER
INTERACTION
GROUNDWATER
A-HORIZON
VADOSE ZONE
INTERFLOW
ABRESP
B-HORIZON
BFRESP
BEDROCK
Qab
Qint
Qper
Qrech
Qlat
Qgw
Qbv
A-HORIZON
VADOSE ZONE

157
Figure 11.3 Geology of the Romwe catchment, Zimbabwe (after Butterworth et al.,
1995).
Figure 11.4 Groundwater level rise (in m), 14 November 1993 to 24 February 1994 in
the Romwe catchment, Zimbabwe (after Butterworth et al., 1995).
X
X
X
X
7705
7704
7703
7702000N
X
N
1 km
Sub-Catchment in red soil
Sub-Catchment in grey soil
2
KEY
Catchment Boun dary
River
Quartzo feldspathic gneisess
Leucocratic pyroxene,
amphibolite and biotite gneiss
Pyroxene amphibolite and
biotite gneisses
Dolerite dyke
Fault, Fracture, Joint
Axis of fold
X
266000E 267 268 269
2
1
1
7705
7704
7703
7702000N
266000E 267 268 269
3
123
3
2
4
32
4

158
Figure 11.5 Profile of the red, clay soil horizon, Romwe catchment, Zimbabwe (after Butterworth et al., 1995).
Min water level
Max water level
Red clay
soil
Weathered
bedrock
Fresh
bedrock
DEPTH
0
3.75
13.50
15.00
Capillary Presssure Head (mm)
0.01 0.1 110 100 1000 10000
0.00000001
0.0000001
0.000001
0.00001
0.0001
0.001
0.01
0.1
RED CLAY SOIL

159
Figure 11.6 Profile of the grey, sandy soil horizon, Romwe catchment, Zimbabwe (after Butterworth et al., 1995).
Grey sandy soil
Clay
Fresh
bedrock
Weathered
bedrock
0
0.75
3.00
5.25
14.00
DEPTH
Max water level
Min water level
Capillary Pressure Head (mm)
0.01 0.1 110 100 1000 10000 100000
0.0000001
0.000001
0.00001
0.0001
0.001
0.01
0.1
1
GREY SANDY SOIL
Capillary Pressure Head (mm)
0.01 0.1 110 100 1000 10000 100000
0
0.00000001
0.0000001
0.000001
0.00001
0.0001
0.001
0.01
CLAY

160
Figure 11.7 The Weatherly experimental catchment, North East Cape Forest.
Tensiometers, piezometers
Runoff plots and neutron probe
Bowen ratio
Rain gauge
Bore hole
Crump weir
Met station

161
Figure 11.8 Water retention characteristic (above) and hydraulic conductivity
characteristic (below) of one of the profiles, Weatherley research
catchment.
Volumetric Water Content
0.150 0.200 0.250 0.300 0.350 0.400
0
500
1000
1500
2000
2500
Capillary Pressure Head (mm)
0.1 110 100 1000 10000
1.0000E-04
1.0000E-03
1.0000E-02
1.0000E-01 TENSION DATA
PONDED DATA

16
2
Figure 11.9 Section of the dominant flow processes and flow pathway zones (facing
upstream from the lower weir), Weatherley research catchment,
(Lorentz, 2001).
Figure 11.10 Contributing zones based on simulated catchment runoff, Weatherley
research catchment (Lorentz, 2001).
ZONE 1
ZONE 2
ZONE 3
ZONE 4
ZONE 5
10
9
4
3
2
1
8
6
5
7
1
2
34
5
6
7
8
9
10
N
200m
Scale
ZON E 2 ZON E 1
ZON E 3
ZON E 4
ZON E 5

163
Time (days)
020 40 60 80 100
0
5
10
15
20
25
Streamflow Hydrograph
Time (days)
0246810 12 14 16 18 20
0
5
10
15
20
25
Data Inversion Process
Recession Curve
Time (days)
010 20 30 40 50 60
0.00001
0.0001
0.001
0.01
0.1
Catchment
A3H001 A4H002 A4H005 A4H008
A5H004 A6H011 A6H012 A9H002
A9H003 A9H004
Drainage Region A : Dry Season
Master Recession Curves
Time (days)
0 5 10 15 20 25
0
5
10
15
20
25
30
Calculation of Average K per discharge range
Recession Curves
B: Clean Recessions
1) Must be > 9 days long
2) No missing or suspect data
3) No significant rainfall
A: Extract Recession Limb C: Invert Data
D: Determine Average K’sE: Construct Master Recession Curves
Figure 11.11 Hydrograph recession analysis (Hughes, 1997).

16
4
Figure 11.12 Average and extreme year recharge estimates for South Africa.

165
12. A Comparison of Recharge Estimates in a Karoo Aquifer from a
Chloride Mass Balance in Groundwater and an Integrated Surface-
Subsurface Model
Karim Sami
WSM (Pty) Ltd., South Africa
ABSTRACT The paper describes the use of an integrated surface-subsurface modelling
approach to estimate recharge to a semi-arid Karoo aquifer and a comparison of the results with
a chloride mass balance on a sub-area scale. The chloride balance suggests a mean annual
recharge of 4.5 mmyr-1 based on a mean annual rainfall of 460 mm. The model predicts 5.8
mmyr-1 from a mean annual rainfall of 483 mm during the simulation period. This is
substantially lower than other estimates of recharge to Karoo aquifers. Recharge was found to
be highly variable in space with a positively skewed distribution in time. Spatial variability was
attributed to differences in the distribution of soil moisture content resulting from variations in
slope, soil texture and depth. Both methods suggest that recharge is considerably less than the
mean of 9.9 mmyr-1 estimated from the currently prescribed rainfall-recharge relationship for
Karoo aquifers.
12.1 Introduction
The quantification of regional recharge is of great importance in the semi-arid Karoo regions of
South Africa. These regions are predominantly underlain by fractured rock aquifers of low
storage capacity, which receive limited and highly variable recharge. Consequently, their
groundwater exploitation potential during prolonged droughts is largely controlled by the
temporal variability of recharge.
Most recharge studies in semi-arid areas based on the chloride method have been based on
chloride profiles in the unsaturated zone, but these also only provide point estimates of recharge.
Studies based on unsaturated zone chloride profiles equate recharge to the ratio of chloride in
rainfall to that of soil water below the zero-flux plane. Hence they presume that recharge occurs
through a matrix of deep unconsolidated sediments and that soil water concentrations reflect the
degree of evapotranspiration. Some researchers assume steady state conditions so that the flux
of chloride below the root zone equals the input to the surface (e.g. Johnston, 1987; Edmunds et
al., 1992), while others use transient state profiles (e.g. Walker et al., 1991; Thorburn et al.,
1991). Input rates are based on current atmospheric ascession, thereby assuming that all
precipitation inputs percolate vertically through the soil. As lateral redistributions of the tracer
are ignored, the method cannot be used where significant overland flow occurs.
These methods cannot be applied in South Africa because deep unconsolidated deposits are
rarely encountered, except for those of limited lateral extent. In addition, very little water
percolates through the soil matrix to any significant depth, even during high rainfall events
(Sami, 1992; Kirchner and Van Tonder, 1991). South African aquifers are recharged primarily
by indirect flowpaths and estimation methods which more accurately reflect our understanding
of these physical processes on a regional scale are required.
Geochemical tracers in the saturated zone provide an attractive alternative since they reflect an
areal integration of long term average tracer inputs, thereby circumventing complexities
resulting from diverse recharge pathways. Yet the use of tracers in groundwater to
16
6
quantitatively evaluate recharge has received less attention (Erriksson & Khunakasem 1969;
Adar et al., 1988). As variations in geochemistry are more distinct in semi-arid areas than humid
areas (Fontes et al., 1989), especially in fractured rock aquifers where lateral mixing is
restricted, they may also be more easily related to variations in recharge.
A method to obtain historic mean annual recharge based on chloride concentrations in
groundwater and rainfall is described in this paper. The method has been applied to a semi-arid
catchment overlying a fractured Karoo aquifer. Ensuing recharge estimates are compared to the
mean of a time series derived from a variable time interval rainfall-runoff model into which
surface-subsurface interaction functions have been incorporated (Hughes and Sami, 1994).
12.2 Study Area
12.2.1 Physical description
The study area is a 111.7 km2 network of gauged semi-arid catchments located in the Great Fish
River Basin surrounding the town of Bedford in the Eastern Cape. The topography is one of
rolling hills and ridges with gentle slopes (less than 8%) over more than 80% of the area. Local
relief varies between 90 m and 150 m. Surface drainage consists of a dendritic system of
ephemeral channels developed on bedrock with occasional alluvial or colluvial patches where
significant transmission losses may occur (Hughes and Sami, 1993).
The mean annual rainfall is approximately 460 mm. Annual mean pan evaporation (based on
regionalised Symons pan figures) is of the order of 1600 mm. Rainfall varies between short
duration, high intensity convective storms mainly occurring during summer, to longer duration
events of variable intensity and total depth which can occur at any time of the year. The regional
long-term runoff coefficient is 3.19% (Tordiffe, 1978). Surface drainage is thus a small
component of the long-term total water budget.
The soils are predominantly alkaline sandy clay loams, clay loams and sandy loams. The depth
of weathered material varies from less than 500 mm on hillslopes to in excess of 6 m in some
valley bottoms (Hughes and Sami, 1993). Fifty infiltration tests conducted using a sprinkling
infiltrometer indicate that infiltration rates after 60 min range from less than 5 mm hr-1 on
crusted and overgrazed slopes to between 10-20 mm hr-1 on more densely vegetated valley
bottoms.
12.2.2 Geology
The study area is underlain by upper Permian age sandstones and mudstones of the Middleton
Formation of the Karoo Supergroup, as well as by younger intrusions of Jurassic dolerites.
Hydraulic gradients and fracture orientations generally follow the surface drainage. Static water
levels vary between 5 m and 35 m below the surface. A geochemical and isotopic study by
Sami (1992) found that chloride in groundwater is of meteoric origin and that residence times
throughout the aquifer were relatively uniform. Geochemical variations therefore reflect spatial
differences in recharge volumes.
12.3 Methodology
12.3.1 The Chloride Balance Method
167
In catchments where chloride can be shown to be of uniquely atmospheric origin its
concentration in groundwater relative to that in rainfall can be used to calculate mean annual
recharge. Estimates of the chloride flux to the catchment can be obtained from bulk
precipitation samples so that:
Jp = Cp P (1)
where Jp is the steady-state vertical flux density (mg m-2 yr-1), Cp is the weighted mean chloride
concentration in rainfall (mg l-1) and P is mean annual precipitation (mm).
Under steady-state conditions where surface runoff is negligible, the chloride flux to the surface
equals the flux to the water table. A removal of chloride during percolation is unlikely since the
ion does not form salts unless concentrations are extremely high, it is not adsorbed on mineral
surfaces and plays few biochemical roles (Dettinger, 1989). Fluxes to groundwater may be lost
over the short term by the precipitation of chloride salts following rain events that are
completely evapotranspirated. Being the most soluble, however, chloride salts are the last to be
precipitated and the first to be leached in subsequent rain events. As a result, virtually all
chloride salts are dissolved in whatever volume of water reaches the groundwater and its
concentration in recharging water reflects the fraction of rain water reaching the water table.
Under steady-state conditions where hydrodynamic dispersion can be ignored (Allison et al.
1985) and flow is essentially vertical this relationship can be expressed as:
R = Jp/Cr (2)
where R is the mean annual recharge (mm) and Cr the mean chloride concentration of
percolating water (mg l-1). This relationship is not strictly valid in groundwater as it does not
take into account lateral differences in Cr resulting from variations in the rate of horizontal
transport. Hence recharge cannot be calculated solely from local groundwater unless R and Cr
are spatially uniform.
According to Eriksson and Khunakasem (1969), one dimensional horizontal chloride flux in an
aquifer that is well mixed vertically, Jc (mg m-1 yr-1), would be related to the accumulated
vertical flux from a horizontal distance x (m) beginning at the catchment boundary and along
the flow path so that:
Jc = Jox Jp dx (3)
since the lateral flux of chloride can also be expressed as:
Jc = 1000 Qg Cg (4)
where Cg is the chloride concentration of groundwater at distance x, the steady-state
groundwater flow Qg (m3 m
-1 yr-1) at point x can be calculated. Since under steady-state
conditions groundwater flow is related to recharge by:
R = dQg / dx (5)
an integration of R across horizontal unidirectional flow lines yields the recharge volume.
16
8
The major disadvantage of this method of computation is that Eq. (3) assumes uniform
conditions in the aquifer so that chloride is only accumulated along a unidimensional flowpath.
If flow convergences exist, or if some lateral redistribution of salts occurs at the surface prior to
infiltration, the relationships discussed above would not be strictly valid. In semi-arid
environments, however, lateral redistribution from the re-infiltration of runoff into localised
recharge zones and from channel transmission losses are common recharge mechanisms (e.g.
Lloyd, 1986). Furthermore, in fractured rock aquifers groundwater flow tends to be
concentrated in the more permeable fracture zones, usually located in the valley bottoms.
Chloride fluxes are therefore related to the chloride load of the area from which the fracture
zone collects water. The transport of salts to valley bottoms by surface runoff suggests that
contributing areas can be defined by the surface topography. Under steady state conditions
lateral chloride exports would be related to the vertical flux and the sum of the contributing sub-
catchment areas by:
Js = Jp Aj (6)
where Js is the rate of chloride export (mg yr-1) and A is the sub-catchment area (m2). If it can
then be assumed that outflow across a sub-catchment's seepage face is of a uniform chloride
content, annual sub-catchment groundwater discharge Qd (m3 yr-1) can be calculated by:
Qd = Js / 1000 Cg (7)
and sub-catchment recharge is:
R = 1000 (Qdoj - Qdij) / Aj (8)
where o and i are groundwater outflows and inflows to sub-catchment j.
12.3.2 The Variable Time Interval (VTI) Model
The semi-distributed VTI is an integrated surface-subsurface model which runs within a
hydrological modelling system (HYMAS). Although it incorporates some relatively complex
hydrological processes, the model has been developed for practical application purposes and is
applicable over a wide range of climatic types. The theory and structure of the model have been
completely described in Hughes and Sami (1994).
12.3.3 Data availability and preparation
Groundwater samples were collected from 12 boreholes on a monthly basis for a period of 18
months between 1989-1990. During the study period many small events and one large recharge
event were recorded, none of which resulted in any changes in groundwater chemistry.
Using the ARC/INFO GIS package, 12 sub-areas were defined according to borehole locations
and topography, with each borehole considered to be the outlet of a subsurface catchment
(Figure 12.1). These represent the surface area (Aj) contributing chloride to each of the sub-
catchments characterised by a borehole.

169
Figure 12.1 Location of study area and subdivison into sub-areas.
Sub-areas were progressively integrated from the catchment boundary along the regional
hydraulic gradient in order to calculate the rate of chloride export Js through each sub-area.
Fluctuations only occur in response to large rain events and are highly variable spatially.
Hughes and Sami (1993) recorded responses of 0-5 m following 130 mm of rain. In addition,
the delays to borehole hydrograph peak varied from 50-520 days following the event, generally
increasing eastward. This was attributed to the lateral migration of the recharge pulse through
the aquifer.
Rainfall samples were collected monthly from 8 tipping bucket rain gauges. These were fitted
with plastic collectors and therefore represent a composite of the monthly chloride load. One
South African Weather Bureau rainfall gauge (076/884) is located in sub-area 9. The mean
annual rainfall at this gauge since 1956 is 483 mm. Rainfall from this gauge was used to run the
VTI model from 1956-1991.

17
0
Observed runoff data was available for the outlet of sub-area 9 for the period 1989-1991 and
was used to calibrate the VTI model. A significant tract exists in subareas 8 and 9, where
Hughes and Sami (1992) estimated that transmission losses into this alluvium diminished storm
runoff volumes by up to 181 700 m3 during a 130 mm event. This represented 22% of the total
generated runoff volume and is equivalent to 6 mm of runoff from the upstream sub-areas.
These losses recharge groundwater in the immediate vicinity of the alluvium, since large and
rapid variations in groundwater levels have been observed in a borehole located in the vicnity
(Hughes and Sami, 1993).
12.4 Results and Discussion
12.4.1 Chloride mass balance
During the 729 day study period between 622 and 996 mm of rain were recorded at the various
tipping bucket gauges, with the average being 780 mm. The chloride concentrations in rain
water varied from barely detectable amounts to 10.3 mg l-1, with a weighted mean value of 4.11
mg l-1. In general, much less variability was recorded in the chloride concentration of large rain
events than in the smaller convective rain events. If the recorded weighted mean concentration
is representative of the long term rate of chloride deposition, then Jp is 1.99 g m-2 yr-1. From
Eqs. (1) and (6)-(8) sub-area recharge rates were calculated (Table 12.1). The area weighted
mean recharge rate is 4.45 mm yr-1.
Table 12.1 Recharge estimates from a chloride mass balance in the 12 sub-areas.
12.4.2 Variable Time Interval Model
Table 12.2 gives a summary of the simulated mean annual water balance of each of the 12 sub-
areas and the entire catchment.
Sub-area Contrib.
sub-areas Area
(km2) G.water
Cl (Cg)
(mg l-1)
Sub-area
Cl load
(T yr-1)
Total Cl
load (Js)
(T yr-1)
G'water
flow (Qd)
(Ml yr-1)
Change
in flow
(Qdo-Qdi)
(Ml yr-1)
Sub-area
recharge
(mm yr-1)
1 1 17.74 395 35.2 35.2 89.1 89.1 5.03
2 2 1.07 546 2.1 2.1 3.9 3.9 3.64
3 2 & 3 4.45 336 8.8 10.7 31.9 28.4 6.40
4 2 - 4 3.52 416 7.0 17.7 42.6 10.6 3.03
5 5 0.73 509 1.4 1.4 2.8 2.8 3.90
6 5 & 6 17.69 272 35.1 36.5 134.4 131.5 7.44
7 7 4.91 261 9.7 17.0 65.3 38.4 7.84
8 5 - 7 6.94 412 13.8 57.6 139.9 0.0 0.0
9 5 - 9 11.65 346 23.18 80.8 233.4 93.59 8.03
10 & 11 5 - 11 30.89 425 61.3 159.8 376.0 100.0 3.24
12 1 - 12 12.18 537 24.2 152.0 283.1 0.0 0.0

171
Table 12.2 Mean annual water balance simulated by the VTI model for the period
1956-1991.
The statistics of the temporal variation of recharge are given in Table 12.3. The skewness values
demonstrate that recharge is positively skewed. By plotting these distributions on a probability
plot it was found that the sub-areas with the highest skewness coefficients (1, 6, 8, 9 and 12) had
log-normally distributed recharge, while the remaining sub-areas are best approximated by a
square root-normal distribution.
Table 12.3 Annual recharge statistics for the 12 sub-areas and the entire catchment
expressed in mm.
12.4.3 Comparison of recharge estimates
Figure 12.2 shows annual rainfalls and the area weighted recharge simulated for the entire
catchment. The model simulates a mean annual recharge of 5.8 mm yr-1, while the chloride
method yields 4.5 mm yr-1. Figure 12.3 compares the estimates by sub-area. Comparable results
have been obtained for sub-areas 1, 3, 5, and 9, while discrepancies occur in sub-areas 4, 6, 8,
10, 11 and 12. The discrepancies can be partially explained by processes affecting the horizontal
redistribution of chloride by surface runoff generation, which would influence the accuracy of
the chloride balance on the local sub-area scale. For example, in sub-areas 6 and 7 a significant
proportion of the chloride deposited by rainfall is transported to sub-area 8 by overland flow,
where surficial salts flushed in the initial wave of surface runoff infiltrate into the upper reaches
of the alluvium in sub-area 8 as transmission losses. As a result, the chloride model over-
estimates chloride inputs to groundwater while under-estimating those to sub-area 8, implying
that recharge estimates in sub-areas 5-7 could be too high while those in sub-area 8 too low.
Sub-area 1 2 3 4 5 6 7 8 9 10 11 12 Tot
Mean(mm) 5.80 6.44 7.00 8.17 4.67 2.98 4.7 3.18 6.87 7.15 7.37 6.0 5.8
Med.(mm) 5.22 6.03 6.84 7.88 4.23 2.42 4.24 2.75 6.19 6.78 6.82 5.52 5.29
S. Dev.
(mm)
3.25 2.82 3.05 3.61 2.19 1.90 2.7 1.79 3.38 3.48 3.49 3.36 2.90
C.
Skewness
1.0 0.15 0.15 0.55 0.41 0.79 0.43 0.73 0.77 0.62 0.66 0.9
Mn(mm) 1.19 1.17 2.14 2.26 1.14 0.47 1.12 0.61 1.62 1.88 1.86 1.41 1.36
Max(mm) 13.7 11.3 12.9 17.8 9.0 7.8 10.1 7.2 14.7 15.4 15.6 13.6 12.0
CV(%) 56.1 43.8 43.5 44.2 46.8 107 57.5 56.3 49.2 48.8 47.3 55.9 50.1
Sub
-
area
1
2
3
4
5
6
Actual Evap.
()
466.7
449.9
457.3
462.1
442.0
449.5
G'water
Rh
arge
()
5.8
6.4
7.0
8.2
4.7
3.0
Transmission losses
(
3
*10
3
)
0.53
0.00
0.04
0.11
0.00
0.35
Sub
-
area Routed Runoff
()
10.4
26.6
18.6
12.6
36.2
30.4
Sub
-
area
7
8
9
10
11
12
Actual Evap.
()
455.2
463.4
465.2
465.1
465.3
467.2
G'water Rec
harge
()
4.7
3.2
6.9
7.2
7.4
6.0
Transmission losses
(
3
*10
3
)
0.05
29.08
19.34
1.50
0.77
0.97
Sub
-
area Routed Runoff
()
23.0
16.3
10.8
10.6
10.2
9.7

17
2
Figure 12.2 Rainfall and recharge between 1956-1991 as determined by the VTI
model.
Figure 12.3 Comparison of recharge estimate by the VTI model and the Cl method.
12.4.4 Rainfall-recharge relationships
A regressional relationship between simulated annual recharge and rainfall is shown in Figure
12.4. A regression of rainfall and recharge predicts that:
Recharge (mm) = log (Rainfall (mm)) * 22.4 - 54.1 mm (9)

173
with an r2 of 0.79 and standard error of 1.97. The relationship exhibits a poorer fit during high
rainfall years than low rainfall years because such a simplistic approach ignores the temporal
distribution of the rainfall. Using this relationship and the long term mean annual rainfall of the
catchment, a recharge rate of 5.5 mm yr-1 is obtained.
Figure 12.4 Relationship between annual rainfall and recharge.
Annual variations in recharge for selected sub-areas are shown in Figure 12.5, which illustrates
that there is more spatial variation during wet years than dry years. Recharge ranges between 2-
14 mm, which is equivalent to 0.7% of rainfall during dry years and 1.2% during wet years.
This is substantially lower than the currently prescribed 2-4% by the Kirchner and Van Tonder
regressional equation (1991) for Karoo aquifers with soils greater than 200 mm thickness. The
relationship presented by Kirchner and Van Tonder, suggests that catchment recharge should
vary between 5-22 mm yr-1 with a mean of 9.9 mm yr-1. The mean annual recharge of the time
series obtained from the VTI model is in much closer agreement with results from the chloride
mass balance than the Kirchner and Van Tonder relationship, which indicates the inherent
danger of using regionalised relationships.
12.5 Summary and Conclusions
This paper presents a time series of groundwater recharge simulated by an integrated surface-
subsurface semi-distributed model and a comparison with mean annual recharge rates derived
from a chloride mass balance. The model was applied to a semi-arid Karoo region of South
Africa covered by rolling grassland and underlain by fractured sedimentary rocks. The chloride
balance shows that mean annual recharge is of the order of 4.5 mm yr-1 from a mean annual
rainfall of 460 mm. The model predicts a mean annual recharge of 5.8 mm yr-1 based on a mean
annual rainfall of 483 mm between 1956-1991, but suggests that recharge can be highly
variable in space with a positively skewed distribution in time. The spatial variability of
recharge was found to be higher in wet years than in dry years.
Both methods suggest that recharge is considerably less than the mean of 9.9 mm yr-1 suggested
by the currently prescribed rainfall-recharge relationship for Karoo aquifers in South Africa
with soils deeper than 200 mm.

17
4
Figure 12.5 Recharge for to selected sub-areas as determined by the VTI model.
12.6 Acknowledgements
Funds for the research were provided as part of a Water Research Commission of South Africa
research contract to the Institute for Water Research entitled “Hydrological Modelling Studies
in the Eastern Cape”.
12.7 References
Adar, E.M., Neumann, S.P. & Woolhiser, D.A., 1988. Estimation of spatial recharge
distribution using environmental isotopes and hydrogeochemical data, 1. mathematical
model and application to synthetic data. J. Hydrol., 97: 251-277.
Dettinger, M.D., 1989. Reconnaissance estimates of natural recharge to desert basins in Nevada,
U.S.A., by using chloride-balance calculations. J. Hydrol., 106: 55-78.
Edmunds, W.M., Darling, W.G., Kinniburgh, D.G., Kotoub, S. & Mahgoub, S., 1992. Sources
of recharge at Abu Delaig, Sudan. J. Hydrol., 131: 1-24.
Eriksson, E. & Khunakasem, V., 1969. Chloride concentration in groundwater, recharge rate
and rate of deposition of chloride in the israel coastal plain. J. Hydrol., 7: 178-197.
Fontes J. C., Yousfi, M. & Allison, G.B., 1986. Estimation of long-term groundwater discharge
in the northern Sahara using stable isotope profiles in soil water. J. Hydrol., 86: 315-327.
Hughes, D.A. & Sami, K., 1992. Transmission losses to alluvium and associated moisture
dynamics in a semi-arid ephemeral channel system in southern Africa. Hyd. Pro., 6, 45-53.
Hughes, D.A. & Sami, K., 1993. The Bedford catchments: An introduction to their Physical and
Hydrological characteristics. Final report to the Water Research Commission by the Inst.
for Water Research, Rhodes University, Grahamstown.
175
Hughes, D.A. & Sami, K., 1994. A semi-distributed, variable time interval model of catchment
hydrology-structure and parameter estimation procedures. J. Hydrol., 155: 265-291.
Johnston, C.D., 1987. Distribution of environmental chloride in relation to subsurface
hydrology. J. Hydrol., 94: 67-88.
Johnson, M.R., 1976. Stratigraphy and sedimentology of the Cape and Karoo sequences in the
eastern Cape Province. Unpubl. Ph.D. thesis, Rhodes University, Grahamstown, 336 pp.
Kirchner, J. & Van Tonder, G.J., 1991. Exploitation Potential of Karoo Aquifers. WRC Report
170/1/91. Water Research Commission, Pretoria, South Africa, 282 pp.
Lloyd, J.W., 1986. A review of aridity and groundwater. Hydrol. Pro., 1: 63-78.
Sami, K., 1991. Modelling groundwater recharge in semi-arid environments. Proc. Fifth South
African National Hydrological Symposium, U. of Stellenbosch, South Africa, November,
1991: 5A-5-1 - 5A-5-10.
Sami, K., 1992. Recharge mechanisms and geochemical processes in a semi-arid sedimentary
basin, Eastern Cape, South Africa. J. Hydrol., 139: 27-48.
Scanlon, B.R., 1991. Evaluation of moisture flux from chloride data in desert soils. J. Hydrol.,
128: 137-156.
Tordiffe, E.A.W., 1978. Aspects of the Hydrochemistry of the Karoo sequence in the Great Fish
River Basin, Eastern Cape Province, with Special Reference to the Groundwater Quality.
Unpubl. Ph.D. thesis. Department of Geology, University of the Orange Free State, 307 pp.
Thorburn, P.J., Cowie, B.A. & Lawrence, P.A., 1991. Effect of land development on
groundwater recharge determined from non-steady chloride profiles. J. Hydrol., 124: 43-
58.
Walker, G.R., Jolly, I.D. & Cook, P.G., 1991. A new chloride leaching approach to the
estimation of diffuse recharge following a change in land use. J. Hydrol., 128: 49-67.
177
PART VI
Towards Sustainable Development of Groundwater Resources

179
13. Changing Rainfall – Changing Recharge?
Jürgen Kirchner
P.O. Box 2935, Windhoek, Namibia
ABSTRACT The assumed consequence of rising temperatures of the earth’s surface is a shift
of the climatic belts towards the equator. Rainfall has decreased in parts of Southern Africa over
the past twenty years and high rainfall events that are mainly responsible for aquifer recharge
have become scarce. Although these changes are statistically not relevant hydrogeologists have
to react to indications that groundwater recharge is seriously affected. The situation also
requires revision of some commonly accepted assumptions underlying recharge and assured
yield determination techniques.
Considering the increasing scarcity of water resources inclusion of environmental topics in
primary to tertiary education is propagated. Better understanding of the environment and the
processes that underlie the replenishment of groundwater resources should in the long-term help
to reduce, if not eliminate, unconsidered changes to the hydrological cycle.
Proposals are made, how the reduced resources may be stretched and used more efficiently.
13.1 Introduction
Given the chemical composition of the Earth and the external energy supplied by the sun
geology controls our entire surrounding. Excluded from this control are the rare impacts of
meteorites and also the new power our species has obtained with the development of natural
sciences and their application in the engineering environment1.
Geology and the sun’s energy have shaped the surface and are mainly responsible for climate
and rainfall distribution. Slope, soil, sunshine, temperature and water determine largely the plant
cover.
All processes on earth strive towards an equilibrium situation. While internal forces create
mountain ranges and oceans, erosion models the finer details of the surface and fills the
depressions.
Groundwater too is constantly adapting to changes. These changes are induced by recharge
(from precipitation and surface water) as well as losses (through outflow and consumption).
This paper intends to show the challenges that the groundwater community may face in a
changing environment. Some assumptions we make in our day-to-day groundwater
management decisions seem to be no longer true. Potential solutions to growing demand
shortages in a holistic, conjunctive use approach may help to ease the consequences.
13.2 Groundwater under Arid and Semi-arid Climate Conditions
Neglecting consumption for the moment the water level in an aquifer reflects the varying
recharge conditions. Under arid and semi-arid conditions the water level drops during the year
1 Whether, from the viewpoint of the Earth, meteorite impacts and human activities must be regarded as catastrophic shall not be
discussed.

18
0
due to outflow (or the balance between outflow and inflow). During a normal rainy season the
water level raises somewhat and then starts receding again. It is only during the major rainfall
events that occur every thirty-, fifty-, one hundred years or longer that the aquifer is fully
recharged again. This principle is shown in Figure 13.1. The actual water-level behaviour is
somewhat modified through the following processes:
• Evapotranspiration by plants exerts a higher strain in the summer months.
• Abstraction also tends to be high in the summer months but is reduced during cooler
periods and after rainfall events.
• Where aquifer recharge occurs from surface water and river alluvium the available head
influences the water-level rise.
Water level
Time
Figure 13.1 Schematic water-level changes with time.
In addition one has to realise that recharge, especially in semi-confined and confined aquifers,
not only occurs in a vertical but predominantly in a ± horizontal direction. The water-level rise
at a given point in an aquifer therefore also depends on the distance from the recharge area; the
aquifer transmissivity; and the storativity. Figure 13.2 shows schematically the high and
immediate response of the water level near the recharge area and the delayed lesser response
farther away.
Figure 13.2 Water-level response to recharge event.
Recharge event
Water level
Time
near recharge area
far from recharge area

181
This means that the lower part of an aquifer is only recharged months after the event, partly
depleting the upper part of that aquifer. Experience has shown that it takes two good rainy
seasons following each other with not more than one lesser season in between to completely
recharge an aquifer. This as also implied by the short and long memory of the CRD method
(Bredenkamp et al., 1985).
Most aquifers in Southern Africa are fractured aquifers. This means that the water is mainly
stored in joints, fractures and faults and to a much lesser degree in the matrix of the rock.
Permeability and storativity in fractured aquifers vary with depth and it has been found that the
water-bearing capacity of most of these aquifers decreases considerably when the water level is
lowered by more than 20 to 30 m.
Abstraction causes an additional drawdown of the water level in addition to the natural
recession. The degree of the additional drawdown depends on the amount withdrawn and the
storativity of the particular aquifer.
13.3 Rainfall and Recharge
Aquifer management can be described as the art to abstract not more water than is replenished
with due consideration of the unavoidable losses. Good housekeeping is therefore essential
within the time span major recharge events occur. Many of the present efforts in hydrogeology
aim at the determination of the recharge.
All the methods used to define the rate at which groundwater is replenished, imply that we deal
with a stable climate. Although we know that the climate has changed in historical times it is
only during the past ten or twenty years that the influence of increasing CO2 levels and
depletion of the ozone layer is entering discussions. It is, however, still unclear, what influence
this may have on the weather pattern in Southern Africa. Clear is that the temperature of the
earth’s surface is rising.
Figure 13.3 shows a comparatively slow rise of the temperature during the first three decades of
this century followed by a relative stable period until the end of the seventies.
Figure 13.3 Mean global temperature.
14.4
14.6
14.8
15.0
15.2
15.4
15.6
1900
1910
1920
1930
1940
1950
1960
1970
1980
1990
2000
Year

18
2
Since then temperatures have risen at an increasing rate, only shortly interrupted by the
activities of Mt. Pinatubo in the early nineties. Climatologists assume that rising global
temperatures change the atmosphere’s circulation pattern and cause a shift of the climatic belts
towards the equator. Decreasing rainfall and runoff in the central and northern parts of Namibia
and increasing precipitation in the South (e.g. Karasburg) do not contradict this theory. The
reported southwards extending Sahel zone in North Africa also fits into this model.
Analysis of rainfall data is difficult and it is often maintained that the time series available are
not sufficiently long. Dyer (1978) showed in his analysis of rainfall and runoff data that in some
of the investigated catchments runoff follows the sunspot cycle; in others it is in anti-phase; and
in still others it changes abruptly from in-phase to anti-phase. He came to the conclusion that a
hypothesis of no relationship between river flow and the solar cycle could not be accepted.
The additional 18 years of rainfall and runoff data that have been recorded since Dyer’s analysis
have not helped to find statistical proof of cycles or trends. Van Langenhove and Rukira (1995)
studied recent river flow regime changes in the Southern African Region and the possible
reasons. During the past 20 years, runoff in Namibia’s northern border rivers and the Zambezi
has decreased to about half of what it was before the eighties. They found that longer periods of
even lower flows have occurred in the past and concluded that the present situation should not
be seen as an exceptional new development and may continue for an indefinite period.
It may equally well be that recent rainfall series reflect changing rainfall patterns. Analysis of
the Windhoek rainfall data suggests, that the rainfall pattern is changing (Figure 13.4):
Figure 13.4 Windhoek rainfall.
1. The mean annual rainfall shows a slightly falling tendency for the past hundred years from
about 375 to 350 mm.
2. Since about the 1950’s the peak values measured in the extraordinary rainfall years have
decreased.
y = -0.2698x + 375.
0.0
100.0
200.0
300.0
400.0
500.0
600.0
700.0
800.0
1890/91
1894/95
1898/99
1902/03
1906/07
1910/11
1914/15
1918/19
1922/23
1926/27
1930/31
1934/35
1938/39
1942/43
1946/47
1950/51
1954/55
1958/59
1962/63
1966/67
1970/71
1974/75
1978/79
1982/83
1986/87
1990/91
1994/95
Rainfall Linear (Rainfa
l

183
-60.0
-40.0
-20.0
0.0
20.0
40.0
60.0
80.0
1899/00
1903/04
1907/08
1911/12
1915/16
1919/20
1923/24
1927/28
1931/32
1935/36
1939/40
1943/44
1947/48
1951/52
1955/56
1959/60
1963/64
1967/68
1971/72
1975/76
1979/80
1983/84
1987/88
1991/92
1995/96
3. For the first time during the record period the ten-year mean rainfall has fallen for prolonged
periods below the median ten-year rainfall (see Figure 13.5).
Figure 13.5 Windhoek: ten-year Mean minus Median rainfall.
This means that the drought years have become relatively more severe although the rainfall
during the “median” rainfall year has slightly risen. The immediate consequence of this
observation is that those rainfall events that are responsible for the major recharge events (see
Figure 13.1) have become less frequent; less pronounced; or both: we must therefore expect
considerably less recharge than the long term mean recharge.
Again using the Windhoek data as an example Figure 13.6 shows the decrease in the number of
months with rainfall above 50 mm, that is, those events that contribute most to the groundwater
recharge. In the short term the consequences for surface runoff may be less severe because with
the reduced peak rainfall values dams may still occasionally be filled. Only the number of times
they overflow may be reduced.
The question arises whether the observed changes are significant. Statisticians say, “No, we
need much longer data series to assess the variability”. Data generation based on existing (short)
data series and assumptions (like: the mean rainfall is constant) does not provide an answer
either1. Water supply is a relatively short-term business. We have to respond to today’s situation
irrespective of what the probabilities are that the next decade or the decade thereafter may
reverse the present situation. In Germany the dikes along the North Sea are raised in spite of the
fact that observed sea levels rise is not statistically significant because of the otherwise potential
disastrous consequences. The exceptionally high number of hurricanes in the southern United
States in 1995 and the intensity of hurricane Andrew (Anonymous, 1992 and Weber, 1996)
have convinced American insurance companies that the climate is changing.
1 Assumptions lying behind data generation influence the outcome. Above average rainfall during the Seventies has led to over-
optimistic judgement of the MAR in the White Nossob River, where the Otjivero Dam was built.

18
4
0
1
2
3
4
5
1891-1900 1901-1910 1911-1920 1921-1930 1931-1940 1941-1950 1951-1960 1961-1970 1971-1980 1981-1990
Mean number of month in decade
> 0-5 mm < 5-50 mm > 50 - 500 mm
Figure 13.6 Mean number of months per decade with specified rainfall totals.
13.4 Climate Changes
As geologists we know that the climate does vary over long periods of time. If we look at the
climatic history of the Pleistocene in Europe we find that there were at least six glacial periods
leading to a mean annual temperature drop of about 16°C (see Figure 13.7, after J. Büdel in
Brinkmann, 1954)1.
Pliocean G G - M M M - R R R - W W Holocean
30 C
20 C
10 C
0 C
20 000 8 000 1 000
6 x 10 1 - 0,5 x 10
66
Figure 13.7 Climate changes in Middle Europe.
Since the end of the last glaciation about 20 000 years ago several medium and longer-term
variations have also been recorded: In the 11th century there was a climate optimum. In the 17th
century mining activities in the high mountain regions of the Alps came to a halt because adits
to the mines were covered by progressing glaciation. Glaciers in the Alps had their greatest
extension in the late 1850’s and have since receded and have lost half of their volume during the
past 140 years.
The decreasing runoff in parts of Southern Africa, e.g. in the tributaries of the Zambezi, the
Okavango, Cunene and others, has been mentioned above. Prevailing winds and currents have
changed in the Southern Atlantic. For water supply we cannot wait for sufficiently long time
1 The European observations reflect a worldwide change as glaciation was also observed in North America, South America and
Antarctica. With a decrease of about 4° C temperature changes in the tropics were less drastic

185
series data to be collected. For the short-term future we have to take the observed changes into
consideration and adjust our estimates accordingly.
13.5 Water Resources Management
At least in some parts of the Southern African subcontinent the consequences of climatic
changes on recharge will probably be:
• lesser replenishment of aquifers during extraordinary rainy seasons;
• less frequent complete recharge.
13.5.1 Adjustment of methods
Most of the methods that are used to estimate recharge are based on the assumption that the
climate is stable, that is for instance, mean rainfall or mean chloride deposition do (and did) not
change.
In the case of the Windhoek example it makes a considerable difference whether one uses a
mean of 375,5 mm/a for the cumulative rainfall departure curve (CRD: Figure 13.8) which is
valid for the start of the available time series in 1890 (see Figure 13.4); 361 mm being the mean
for the 105 year record period; approximately 347 mm/a (the present value on the trend line); or
the value for the particular year on a sliding trend line. No particular justification can be seen in
using the long-term mean value because that is completely arbitrary: should recording have
started in 1950 one would use another value than for a record series starting in 1970 or 1890.
-300.0
-100.0
100.0
300.0
500.0
700.0
900.0
1100.0
1890/91
1894/95
1898/99
1902/03
1906/07
1910/11
1914/15
1918/19
1922/23
1926/27
1930/31
1934/35
1938/39
1942/43
1946/47
1950/51
1954/55
1958/59
1962/63
1966/67
1970/71
1974/75
1978/79
1982/83
1986/87
1990/91
1994/95
Rainfall [mm]
Rainfall Cumulative Deviation from 361.1
m
Figure 13.8 Cumulative rainfall departure diagram.
It is proposed that for management purposes rather mean values relevant for the immediate past
are used because they reflect the present aquifer status much better.
18
6
13.5.2 Adjustment of approach
Another aspect that needs to be addressed is mankind’s interference in the environment and, as
regards our immediate field of interest, especially in the hydrological cycle. If we look for the
underlying reasons for the present situation we find that:
• Development of science since the Renaissance had opened the door for the changes that
have come with the industrialisation age. James Watt was the first who laid the
foundation for the replacement of horse and human power through mainly fossil energy
sources. The invention of cement carried this development further.
With the “empowerment” of the human race we have obtained the means to change our
environment on a global scale. Unfortunately this has happened without considering
these changes in comprehensive feasibility studies that normally precede larger projects.
• Statistics offer the means to cost optimise actions but not their (unwanted) results.
• The world has become increasingly rectangular. With increasing urbanisation and the
advent of the computer age our race is losing contact with nature. This trend has lead to
a split between the environment and our modelled perception of it. Remote sensing and
software more and more replace nature.
• If modern techniques are used to supplement our observations we will largely benefit.
If, however, they replace our perception of the world around us we shall have to pay for
the difference between reality and apprehension.
In the fifties and sixties young bright people were eager to become civil engineers, a profession
they thought contributed more than other engineering professions to human welfare. This
viewpoint also reflected the attitude of society. A sudden change in attitude occurred in the
beginning of the seventies when people began questioning the benefits of large civil engineering
works. A new consciousness for the impact of society's activities on the environment developed
(James and Niemczynowicz, 1992).
James found the absence of well-organised and workable communication between civil
engineers and nature particularly disturbing. Civil engineers are crucial to reduce the
undesirable consequences of the civilisation machine. Consequently, their widening working
sphere has to be mirrored in future education, so that engineers are prepared and able to
cooperate in a constructive manner with ecologists and other necessary scientists.
13.5.3 Adjustment of priorities
In view of growing demands and diminishing water resources it seems appropriate to review the
present situation. The tendency to build greater and more expensive schemes can still be
noticed. It is the author’s opinion that time has come to:
• More thoroughly consider the environmental effects and consequences of our actions.
• Do away with simplifying perceptions and try to minimise the difference between
nature and our understanding of it.
• Make better use of the available resources and minimise losses.
In the field of hydrogeology and hydrology the losses comprise:
187
(a) evapotranspiration from open water surfaces (from approximately 40% upwards) and near
surface groundwater bodies,
(b) unaccounted for water losses from reticulation systems that may typically amount to 20%
or more of the water supplied,
(d) losses from the sewage network potentially to be used for water reclamation, or
(d) loss of suitable resources because of pollution,
(e) irrigation in water deficient areas; possibly on not really suitable soils; and with wasteful
irrigation methods
Solutions that come to mind include:
• conjunctive use of water resources,
• artificial recharge to reduce evaporation losses and possibly improve groundwater
quality; construction of sand storage dams,
• upgrading of reticulation and sewage networks, and in general
• avoidance or reduction of man-made activities that have a negative impact on the
hydrological cycle such as increasing losses, reducing natural recharge or polluting
water resources,
• water reclamation, and
• rainfall harvesting.
13.6 Conclusions and Recommendations
Indications are that recent changes in the weather pattern in parts of Southern Africa reduce the
available water resources. Depending on the rainfall distribution and intensity surface water
resources may receive slightly higher runoff in the “average” year. Major flood events become
less likely. For drought periods there will be fewer reserves.
Aquifer management will have to accept both, smaller “assured” yields and lesser stored
reserves for longer periods. This will also affect the conjunctive use of surface- and
groundwater resources. Water seems to become increasingly scarce and we will have to learn to
consume less.
It seems necessary to generate a wider awareness of the impact that man’s activities have on the
environment in general and on water resources in particular. To that purpose environmental
topics should be included in the curricula of primary and secondary schools. On tertiary
education level environmental hydrology and hydrogeology should be compulsory topics for
engineers and scientists that will work in the water resources field.
To overcome the looming water shortages we must look at water reclamation and desalination
as one way out of the dilemma as long as the rainmakers do not achieve greater success.
Rainfall and dew harvesting may be other unconventional methods to look at. What we can do
further is:
− Concentrate on artificial recharge and construction of sand storage dams to reduce
evaporation losses thus making better use of the resources we have.
− Prevent “Losses unaccounted for” in our conveyance and reticulation systems.
− Care for the environment and reverse the damages done by us.

18
8
13.7 References
Anonymous,1992. Der teuerste Sturm aller Zeiten, GEO, November 1992, p.184.
Bredenkamp, D. B., Botha, L. J., van Tonder, G. J., and van Rensburg, H. J., 1985. Manual on
quantitative estimation of groundwater recharge and aquifer storativity. (Vol. TT 73/95).
Pretoria: Water Research Commission.
Brinkmann, R., 1954. Abriss der Geologie. (7th edition ed.). (Vol. 2: Historische Geologie).
Stuttgart: Ferdinand Enke Verlag
Dyer, T. G. J., 1978. On the 11-year solar cycle and river flow. Water S.A., 4(4), 157-160.
James, W. and Niemczynowicz, J. (Eds), 1992. Water, development and the environment.
Chelsea, Michigan: Lewis Publishers Inc.
Van Langenhove, G., & Rukira, L., 1995. Investigations into recent river flow régime changes
in the Southern African Region and the possible reasons: Conditions in Namibia. Paper
presented at the 27th Meeting of the Standing Committee for Hydrology of the Southern
African Regional Commission for the Conversation and Utilisation of Soil (SARCCUS),
Maseru, Lesotho.
Weber, A., 1996. Wolken - Das Weltmeer in der Höhe, GEO, August 1996, 16-42.

189
14. Impact of Climate Change on Groundwater Recharge Estimation
Lisa Cavé, Hans E. Beekman and John Weaver
Council for Scientific and Industrial Research, Environmentek, South Africa
ABSTRACT Past observations and future projections of the global climate indicate that
precipitation patterns are changing. Rainfall is a key factor in determining groundwater recharge
and changes in the amount, frequency, duration and intensity of rainfall events will thus have a
significant impact on groundwater resources. Groundwater responses to rainfall events have a
longer lag time than the corresponding hydrological response in surface water systems. The
impacts of rainfall variations on groundwater are generally smoothed over the short term. As a
result, groundwater supplies are reasonably well buffered against the impacts of climate
variability and provide a valuable resource to cope with short-term drought conditions,
particularly in a conjunctive use situation. The presence of palaeo-groundwater in several arid
zone aquifers, however, illustrates that groundwater systems are not resilient to long-term
climate change.
Emerging trends from climate models for the next 50 to 80 years indicate that the subcontinent
will experience both increases and decreases in precipitation. Using a simplistic empirical
relationship between mean annual rainfall and recharge, we anticipate that a decrease in rainfall
over the central parts of Southern Africa could have dire consequences for groundwater-
dependent communities. A 20% decrease in mean annual rainfall volumes could translate to an
80% decline in recharge for areas that currently receive 500 mm rainfall per annum or less. In
contrast, increased rainfall and increased rainfall variability, expected for the eastern Southern
African coastal regions, could give rise to increased recharge and associated problems of rising
water tables, increased baseflow to surface water systems and extreme flooding events.
14.1 Introduction
Climate change is a reality of life on Earth, and the geological record has many examples of
both warmer and cooler periods. There is now well-founded concern that human activities over
the past two centuries have caused unprecedented changes in the global climate over and above
the natural climate variation. Observations over the past century, particularly over the northern
hemisphere, indicate a trend that the world is warming, snow and ice cover decreasing and
global average sea level rising (IPCC, 2001).
Along with growing awareness of global change, interest is emerging in determining the
potential impacts of climatic variability and climate change on water resources (Loáiciga et al.,
1996; Bonell, 2001). Intra-annual and inter-annual variability of water resources are directly
related to rainfall variability. The impact of inter-annual rainfall variation on surface water
resources is apparent in the variation in stream flow and increases with increasing size of the
catchment. Short-term climate variations also affect groundwater recharge, but the impact on
groundwater resources is generally smoothed in comparison to surface water.
The interest in determining impacts of climate change on groundwater resources is growing
rapidly, particularly in Southern Africa, due to the increasing scarcity of water resources, as a
result of increasing water demand for industrial, agricultural and drinking water use. The South
African Water Research Commission, for example, recently commissioned a project relating to
recharge processes in the Table Mountain Group aquifer systems, with one of the specified
19
0
objectives to evaluate the sensitivity of recharge to spatial and temporal rainfall patterns with a
view to understanding the impacts of climate change on water resources.
14.1.1 Groundwater recharge
In Southern Africa, and especially in the arid and semi-arid areas, groundwater is a strategic
resource of great importance. Groundwater recharge is a key factor in determining the
sustainable management of groundwater resources. The South African Water Act (1998), for
example, states that only if recharge exceeds the sum of basic human and environmental needs
in a catchment plus groundwater outflow necessary to sustain the same needs downstream, may
groundwater be allocated for other uses.
A wide range of techniques are employed for estimating groundwater recharge, including direct
methods of measuring infiltration (e.g. lysimeters) and indirect methods (e.g. catchment water
budgets, soil moisture balance in hydrological models or chloride mass balance methods) in
which the groundwater recharge is calculated, inferred or simulated (see e.g. Lerner et al., 1990;
Gieske, 1992; Bredenkamp et al., 1995; Beekman and Xu, 2003). Other techniques such as
groundwater dating, or the use of stable isotopes and chemical tracers, provide supplementary
methods for recharge estimation by providing insight that may help to constrain the
hydrological processes and transport times of the groundwater. With increasing aridity, recharge
estimates can only be made with confidence when several independent techniques are applied
and used for cross-calibration (Beekman et al., 1996; Beekman et al., 1999; Scanlon et al.,
2002).
Some of the hydrological models that are currently in use for quantifying the impact of climate
change on the state of groundwater resources in terms of changing groundwater levels or
recharge are:
- EARTH (Gehrels, 1999): a lumped distributed parameter model for site-specific studies,
- CRD-Revised (Xu and van Tonder, 2001): relating water level changes to cumulative
rainfall departures for regional studies, and
- Finch’s model (2001): a spatially distributed soil water balance model for both site-specific
and regional studies.
14.2 Methodology and Approaches
Within the framework of the International Hydrological Programme (IHP) of UNESCO,
four approaches are being applied to evaluate the impact of climate change on water
resources (Bonell, 1998):
a) using predicted outputs on precipitation and temperature from various General
Circulation Model (GCM) scenarios (discussed in Section 14.3) as inputs into
selected hydrological models,
b) improving predicted outputs by improving the land-surface parameterisation of
GCMs by means of large-scale field experiments,
c) analysing longer term rainfall-runoff time series and separating anthropogenic
effects (land use) from climate effects, and
d) adoption of climate change analogues from palaeoclimatic-historical climate
research for application in water resources management. Groundwater resources
generally contain rich archives of past states and fluxes. Analysis of these archives
191
can provide insight into changing conditions of climate and hence may be used in
forecasting impacts of future climate changes.
Unfortunately, these approaches require considerable amounts of site-specific or regional
data, which are not readily available for Southern Africa at this stage. A major obstacle in
the application of the first approach is the vastly different scale of operation between
GCMs and hydrological models. Currently the resolution of atmospheric models in typical
GCMs is about 250 km in the horizontal and 1 km in the vertical (IPCC, 2001). Also GCM
outputs usually need to be considered for three or more cells together, since this is typically
the minimum skilful scale necessary to describe the smallest wavelengths in the model.
Hydrological models, on the other hand, generally operate over catchment areas, which are
much smaller than a single GCM cell. If, for example, the GCM predicts rainfall for a
particular day, it does not have the resolution to specify where the rainfall occurs in the
cell, which makes the information inadequate for recharge estimation. Future climate
predictions are currently in the process of being downscaled from the GCM-level to
regional level for Southern Africa (AIACC Scenarios Project, B. Hewitson, pers. comm.).
There are also numerous sources of uncertainty in the future climate projections (discussed
in Section 14.3.1), which make it difficult to quantify potential climate change impacts on
groundwater precisely. Hydrological models, such as the soil water balance model used by
Finch (2001) are parameter-intensive and require considerable use of literature analogues
and simplifying assumptions when applied to a specific catchment.
The approach of using palaeoclimate analogues or long-term records of past climate-recharge
interactions is also difficult to apply in Southern Africa since there are very few (see Selaolo et
al., 2003) locations where records of climate and groundwater have been kept in sufficient detail
to allow such detailed analysis.
The lack of detailed climate projection data for the region as well as site-specific input data for
hydrological models precludes the application of sophisticated modelling approaches at this
stage. Instead, we have adopted a simplified approach in the form of a sensitivity analysis
testing possible responses to extremes or averaged values on a wider scale, rather than detailed,
modelled values for a particular site. The analysis in this paper is based on a simple empirical
relationship between mean annual rainfall and recharge values for Southern Africa (See
Section 14.5).
14.3 General Circulation Models
General circulation models (GCM) are the modelling tools traditionally used to simulate the
global climate system and to generate quantitative predictions of future climatic changes due to
human influences. Projections of future climate change are made in response to different
scenarios of future radiative forcing agents, such as enhanced concentrations of greenhouse
gases and anthropogenic aerosols (IPCC, 2001). Climate predictions benchmarked to “2×CO2”,
i.e. when atmospheric carbon dioxide concentrations reach twice the pre-industrial level, have
become standard. This is generally estimated to occur at some time from 2050 to 2080. Several
GCMs have been able to reproduce the warming trend in the 20th century surface air
temperature, when driven by radiative forcing due to increasing greenhouse gases and sulphate
aerosols, and to simulate a limited number of palaeoclimates. This increases the confidence in
the ability of the models to project future climates.
19
2
14.3.1 Uncertainty in GCM output
Uncertainty associated with GCM estimates of future changes in rainfall is much higher than
with changes in temperature, since precipitation is dependent on a greater number of climatic
variables. Note, however, that the effect of climate change on rainfall amounts and patterns of
rainfall, particularly on intensity and increased evaporative losses due to higher temperatures,
may be more important in its impacts on groundwater recharge than the rising temperature
alone.
Near-future predictions of climate change are not necessarily more accurate than far-future
predictions. Human-induced climate changes will occur against a background of natural climate
variations that take place on various spatial and temporal scales. Forcings for the near-future are
weak in comparison to far-future climate forcings and so the short-term anthropogenic signal is
more difficult to separate from the background noise of natural climate variability.
Of particular interest is the outcome of a working group of scientists linked with IHP Phase IV
who produced a monograph on the incorporation of climate change and variability into
hydrological models (van Dam, 1999). They concluded that outputs from different GCM
scenarios gave different (sometimes contradictory) predictions for precipitation, even for the
same data sets and that the spatial resolution of GCMs is too coarse for drainage basin studies.
Therefore, it seems difficult at present to provide confident estimates of the impacts of future
climate change on water resources.
14.3.2 Regional climate information
Modern, coarse-resolution GCMs generally simulate large atmospheric circulation features
well, but at the regional scale the models display highly variable area-average biases from
region to region and between different models e.g. modelled precipitation averaged over a sub-
continental area may vary between -40 and +80% of observed data. Downscaling techniques are
used to enhance regional detail based on either (Giorgi and Hewitson, 2001):
- empirical relationships between local climate predictors and GCM output, or
- dynamical regional climate models (RCMs) which improve the spatial detail of
simulated climate compared to GCMs.
Daily precipitation and rainfall values for the Southern African region (on a ¼ degree grid cell)
obtained from empirical downscaling of output from 3 GCMs for 2 SRES emission scenarios
are now available. Dynamical regional modelling estimates on a 30x30 km grid are planned for
the end of 2003 (B. Hewitson, pers. comm.).
14.4 Impact of Climate Variability and Climate Change
14.4.1 Climate predictions
Projections of future climate indicate that globally averaged water vapour, evaporation and
precipitation are predicted to increase. There appears to be a strong correlation between
mean precipitation and the interannual variability, so future increases in precipitation could
be accompanied by increases in variability, while areas with less precipitation, will likely
have more reliable rainfall. At the regional scale, both increases and decreases in
precipitation are expected (IPCC, 2001).
193
Preliminary patterns emerging from downscaling of GCM modelling over Southern Africa
for the next 50 to 80 years indicate that the Western Cape (South Africa) is likely to
experience an extended summer with a slight reduction in rainfall (possibly 10%). Rainfall
in the Western Cape will likely become more coastally-focussed with less precipitation
falling in the interior and more along the coast. Mean temperatures are likely to rise about
2ºC in the coastal areas. In the interior, warming is likely to be more severe, with
temperatures in the Karoo rising up to 40% more than the global average which could
mean up to 6ºC increase in average temperature. The Karoo could expect a 10 to 20%
reduction in rainfall with summer convective rainfall events becoming less frequent, but
more intense over the interior. Rainfall in KwaZulu-Natal is likely to increase by up to
about 15% coastward of the escarpment along the east coast (B. Hewitson, pers. comm.).
14.4.2 Impact on water resources
The changes in precipitation predicted by GCMs will have a significant impact on the water
resources of a semi-arid country such as South Africa. In regions where rainfall amounts and the
intensity of rainfall events are expected to increase, more surface runoff may become available.
Extreme events are expected to occur more frequently, thus droughts and floods may become
more common and more severe, especially in the eastern parts of the country. Changes in the
botanical diversity and its distribution (Midgley et al., 2002) resulting from changes in
precipitation will also change the spatial and temporal variation in evaporative losses and thus
the contribution of rainfall to surface runoff and recharge.
Decreased rainfall amounts over inland areas of the Western Cape and Karoo will decrease the
amount of surface water available for consumption. This will place more pressure on the
groundwater resources. Already some Western Cape irrigation schemes are only able to supply
80-90% of the planned water to individual farmers. Several Karoo towns are wholly dependant
on groundwater, e.g. Beaufort West, Strydenburg and Victoria West, and the combination of
increased water demand and decreased rates of recharge to the local aquifers will place these
towns at risk of water shortages.
14.4.3 Impact on groundwater recharge
Changes in recharge will result from changes in effective rainfall as well as a change in the
timing of the rainfall season (Gleik, 2000). In general, under a scenario of a warming global
climate, increasing temperature results in decreasing precipitation over the central continental
areas causing decreasing recharge and thus depletion of groundwater resources. Indirect impacts
on groundwater resources may also arise from climate change impacts on vegetation and human
activities e.g. groundwater abstraction patterns. Rainfall – recharge relationships may be used in
a first attempt to assess impacts of climatic change on groundwater resources.
Figure 14.1 shows recharge rates as a function of annual rainfall for Southern Africa based on
data from various studies in Botswana (Gieske, 1992; Beekman et al., 1999), South Africa
(Bredenkamp et al., 1995) and Zimbabwe (Houston, 1988). These studies were conducted in
many disparate locations over the entire subcontinent using different methods.
Comparison of the results revealed that in the area with annual rainfall less than 500 mm/yr,
large differences exist between recharge values found. The figure shows that groundwater
recharge becomes negligible for rainfall lower than about 400 mm/yr. Note that the annual
rainfall threshold value, below which recharge becomes negligible, is related to the recharge

19
4
estimation method applied: recharge estimated from baseflow separation tends to overestimate
the threshold value, whereas the chloride mass balance method tends to underestimate this
value.
With regard to assessing the impact of climate change on groundwater resources in Southern
Africa, predicted longer-term changes in annual rainfall can be translated into longer-term
changes in groundwater recharge using the rainfall-recharge relationship as depicted in Figure
14.1.
Figure 14.1 Recharge rates in Southern Africa (after Beekman et al., 1996).
The observed rainfall-recharge relationship is used to examine possible trends in groundwater
impacts that might be expected if projected extreme changes in mean annual precipitation occur
as a response to human-induced climate change. As an illustration, a groundwater-dependent
town in the eastern Karoo may currently receive about 500 mm rainfall per year. According to
Figure 14.1, about 40 mm/year of recharge should reach the local aquifer. In 50 years time, the
mean annual rainfall is likely to have decreased, possibly by as much as 20% i.e. to 400 mm.
This would cause a significant decline in the annual groundwater recharge, which may fall
below 10 mm per year. Decreased recharge will lead to lowering of the groundwater table and
increase both drilling and pumping costs for groundwater users.
Declining rainfall will also affect groundwater storage over the longer term. If 40 mm/year
recharge occurs over a 100 km2 area under the present climate, assuming steady state conditions
of groundwater flow, and this value decreases to 10 mm/year once a new equilibrium is
established under a scenario of significantly warmer, drier climate, then the volume of
groundwater taken into storage on an annual basis will be lower by 3 x 106m3. Assuming a
maximum of 50% of the annual recharge can be abstracted on a sustainable basis, the change in
groundwater storage represents a loss of 1.5 x 106 m3 of water resources for the area each year.
y = 148 ln(x) - 880
0.1
1
10
100
1000
0 500 1000 1500
Annual rainfall (mm)
Recharge (mm/yr)
195
Climate change affects not only the volume of rainfall, but also the frequency, duration and
intensity of rainfall events, which also have an impact on recharge. Summer convective rainfall
events over the Karoo are expected to become less frequent, but more intense. This makes the
net impact on groundwater recharge at a particular site difficult to predict. The frequency of
rainfall events will affect antecedent soil moisture conditions. Infrequent events are less likely to
cause saturated conditions and the drier top soils before the rainfall event may allow increased
infiltration but decreased recharge, depending on the soil type and structure. Increased event
intensity and duration may have the opposite effect, causing increased surface runoff and
recharge.
In general, a decline in groundwater recharge and resources would be expected over the semi-
arid and arid regions of Southern Africa under currently accepted climate change scenarios.
These changes will require alternative groundwater management practices to control impacts,
particularly in situations of groundwater dependency. Artificial groundwater recharge may
become a useful technology under these conditions.
On the eastern coast of South Africa, the picture may be quite the opposite, with rainfall
predicted to increase by up to about 15%. The Zululand coastal sand aquifer, for example may
experience rising groundwater levels and increased groundwater storage, but also the associated
problems of increased flooding events. Deterioration of water quality and related health impacts
may be a secondary effect.
Coastal aquifers are also vulnerable to the impacts of changes in sea level. A predicted global
rise of 0.1 to 0.9 m over the next 100 years combined with high intensity storm surges would
increase the risk of seawater intrusion in the coastal areas of the Zululand and Cape Flats
aquifers.
14.5 Challenges
Increased knowledge and expertise in climate change and spin-off effects are needed for proper
long-term catchment management. Our current concepts and understanding of natural
groundwater recharge processes under current conditions also need to be strengthened. Future
research should therefore focus on:
- Upscaling physically-based, process-orientated hydrological models from micro- (<10
km2) to mesoscale (10-104 km2) and/or downscaling of the large spatial resolution (>104
km2) of GCM results to match the two modelling approaches,
- Better understanding water transfer processes as part of land surface parameterisation of
GCMs (e.g. soil-vegetation-atmosphere transfer models for recharge simulation coupled
with land-use),
- Improved knowledge of stream-aquifer interactions,
- Palaeoclimatic and palaeohydrological reconstructions: e.g. hydrochemical
reconstruction of aquifer flushing in the past and present by means of solute transport
modelling and reconstruction of palaeoclimatic conditions by means of multiple tracer
profiling of unsaturated zones as a key to the future,
- Studying the impact of episodic events on groundwater resources,
- Development and refining of predictive (stochastic) techniques to forecast groundwater
recharge (e.g. using EARTH, CRD and GIS, remote-sensing (e.g. microwave),
modelling, rating or regionalisation techniques), and
19
6
- Remedial actions to mitigate the impacts of climate change, e.g. investigating the
buffering potential of artificial groundwater recharge in fractured rock aquifers against
climatic variability (floods and droughts).
Large uncertainties still trouble quantitative assessments of climate change and groundwater
recharge, neither of which fields could be considered an exact science at this stage. This means
that the impacts of climate change on groundwater recharge cannot be predicted with a high
level of confidence. What is known with certainty is that the climate is changing, that this will
have an effect on water resources and increased efforts will be needed to plan for and manage
the impacts of these changes. In the meantime, while our understanding of both climate and
recharge processes and their interrelationship improves, good monitoring of current trends, for
example trends in groundwater levels and a thorough synthesis of the collected data for
Southern Africa is needed.
14.6 Acknowledgements
We gratefully acknowledge the editor of the Proceedings of the Thukela Dialogue Workshop on
“Managing water related issues on climate change” (University of Natal, Pietermaritzburg, 24
July 2002), R. Schulze, for his permission to publish a shortened version of the Cavé et al.
(2003) paper.
14.7 References
Beekman, H.E., Gieske, A.S.M. and Selaolo, E.T., 1996. GRES: Groundwater recharge studies
in Botswana 1987-1996. Botswana J. of Earth Sci., Vol. III, 1-17.
Beekman, H.E., Selaolo, E.T., De Vries, J.J., 1999. Groundwater recharge and resources
assessment in the Botswana Kalahari. Executive Summary GRES II, Grafisch Centrum
Amsterdam – ISBN 90-9012825-5, 48 pp.
Beekman, H.E. and Xu, Y., 2003. Review of groundwater recharge estimation in arid and semi-
arid Southern Africa, this volume.
Bonell, M., 1998. Possible impacts of climate variability and change on tropical forest
hydrology. Climatic Change, 39, 215-272.
Bonell, M., 2001. Climatic variability and change on hydrology and water resources linked with
policy: A UNESCO-IHP perspective. In “Freshwater resources in Africa . Proc. of a
workshop” – Nairobi, Kenya, Oct. 1999 (Eds. J.H.C. Gash, E.O. Odada, L. Oyebande and
R.E. Schulze), Chapter 18, 117-126.
Bredenkamp, D.B., Botha, L.J., van Tonder, G.J. and van Rensburg, H.J., 1995. Manual on
Quantitative Estimation of Groundwater Recharge and Aquifer Storativity. Water Research
Commission Report TT73/95, Pretoria. 407 pp.
Cavé, L., Beekman, H.E. and Weaver, J., 2003. Impact of climate change on groundwater
resources, Proc. Thukela Dialogue Workshop on “Managing water related issues on
climate variability and climate change”, Univ. Natal, Pietermaritzburg, South Africa, 24
July 2002, R. Schulze (ed.), in press.
Dam, J.C. van, 1999. Impacts of climate change and climate variability on hydrological
environments. UNESCO International Hydrological Series, Cambridge Univ. Press,
Cambridge, pp. 137.
Finch, J.W., 2001. Estimating change in direct groundwater recharge using a spatially
distributed soil water balance model. Quarterly J Eng Geol and Hydrogeol, 34, 71-83.

197
Gehrels, J.C., 1999. Groundwater level fluctuations – Separation of natural from anthropogenic
influences and determination of groundwater recharge in the Veluwe area, The
Netherlands. Ph.D. Thesis, Vrije Universiteit, Amsterdam: 269 pp.
Gieske, A.S.M., 1992. Dynamics of Groundwater recharge: a case study in semi-arid Eastern
Botswana. GRES I Technical reports and Ph.D. thesis, 289 pp.
Giorgi, F and Hewitson, B. et al., 2001. Chapter 10. Regional climate information – evaluation
and projections. In: IPCC Working Group I. Climate change 2001: The scientific basis.
Intergovernmental Panel on Climate Change. Cambridge University Press.
Gleik, P.H., 2000. Water: Potential consequences of climate variability and change for water
resources of the United States. Report of the Water Sector Assessment Team for the U.S.
Global Change Research Program.
Houston, J., 1988. Rainfall-runoff-recharge relationships in the basement rocks of Zimbabwe.
In: I. Simmers (editor), Estimation of natural groundwater recharge. NATO ASI Series
C222, Reidel, Dordrecht, 349-366.
IPCC, 2001. Technical summary of the Working Group I Report to the Intergovernmental Panel
on Climate Change. [Albritton, D.L. and Meira Filho, L.G. (eds.)], Cambridge University
Press, 62 pp.
Lerner, D.N., Issar, A.S., Simmers, I., 1990. Groundwater recharge - A guide to understanding
and estimating natural recharge. IAH Int. Contrib. Hydrogeol 8. H.Heise, Hannover, 345
pp.
Loáiciga, H.A., Valdes, J. B., Vogel, R., Garvey, J. and Schwarz, H., 1996. Global warming and
the hydrologic cycle. J. Hydrol., 174, 83 – 127.
Midgley, G., Ashwell, A., Rutherford, M., Bond, W., Hannah, L. and Powrie, L., 2002.
Charting uncertainty. Global climate change and its implications for our flora. Veld &
Flora, June 2002.
Scanlon, B.R., Healy, R.W. and Cook, P.G., 2002. Choosing appropriate techniques for
quantifying groundwater recharge. In Theme issue on groundwater recharge (ed. B.R.
Scanlon and P.G. Cook), Hydrogeol J, 10, 18-39.
Selaolo, E.T., Beekman, H.E., Gieske, A.S.M. and De Vries, J.J., 2003. Multiple tracer profiling
in Botswana – GRES findings, this volume.
Xu, Y and van Tonder, G.J., 2001. Estimation of recharge using a revised CRD method. Water
SA, Vol.27, No. 3, 341-343.

199
15. Groundwater Perspective on Integrated Water Resource Management –
Recharge, a Critical Indicator of Sustainability
Eberhard Braune
Department of Water Affairs and Forestry, South Africa
ABSTRACT The role of groundwater, with recharge as a critical parameter for determining its
sustainable use, is becoming increasingly important in the emerging Integrated Water Resource
Management (IWRM) paradigm. Practical examples are given in this paper from the major
water law review in South Africa following democratisation in 1994. Emphasis is placed on the
importance of recharge assessment within IWRM.
15.1 Introduction
During the past few decades there has been a major change in water management thinking. At
the 1977 United Nations Conference at Mar del Plata the focus was squarely on water supply:
“All people have the right to have access to drinking water in quantity and quality equal to their
basic needs”. At the 1992 International Conference on Water and the Environment in Dublin a
new view was endorsed - that of water resources of this planet being finite and fragile and in
need of careful management to serve the need of its population. Water is now seen as an
economic good and a participatory approach to management of this scarce resource is required,
a view that goes beyond the old view that left the provision of services largely up to
governments.
In between these two landmark water conferences lay the International Drinking Water Supply
and Sanitation Decade with its ambitious objective of meeting everybody's needs for safe
drinking water by 1990. Despite the efforts that have been made, this goal has not been reached;
a third of the world population does not yet have safe drinking water and some 50 000 deaths
occur everyday from waterborne diseases. One of the reasons for this failure is the increasing
demand due to population growth, urbanization and industrialization.
Increasing water scarcity, i.e. the available water resources in a country in relation to its growing
population, has led to strong international calls for sustainable development of our limited water
resources. Many arid and semi-arid countries are already facing a water crisis and the problem
is likely to become more serious and will continue well into the 21st century.
These changes are particularly significant for groundwater, because of its growing importance,
not only as an essential source of water supply, but also because of its active role in the natural
environment. At the same time groundwater has a history of local mismanagement in the form
of overdraft and contamination due to ignorance and lack of regulation. Deciding how best to
allocate groundwater for use either as a commodity for abstraction or for its in-situ services,
especially in the face of externalities such as population growth, economic expansion and
climate change, will require hydrologists to broaden their core business to integrate their
traditional earth science expertise with disciplines such as economics, policy and regulatory
analysis, social and ecological science (Rajone, 2002). This will provide them with a “seat at the
table” where decisions are made about the future of the world. At the same time it will give
licence for hydrological research to provide a more fundamental understanding of groundwater
in a hydrological, ecohydrological and geological context.
20
0
15.2 Integrated Water Resource Management
Recognition of the finite and the vulnerable nature of water resources and of the increasing and
varied impacts on their utility have led to the adoption of the vision of Integrated Water
Resource Management (IWRM). This imperative has been best captured in Chapter 18 of
Agenda 21. The often quoted paragraph 18.3 says that “The widespread scarcity, gradual
destruction and aggravated pollution of freshwater resources in many world regions, along with
the progressive encroachment of incompatible activities, demand integrated water resources
planning and management. Such integration must cover all types of interrelated freshwater
bodies, including both surface water and groundwater, and duly consider water quantity and
quality aspects.” According to Agenda 21 an integrated approach to water resources
management requires an assessment of the resource, the development of various mechanisms,
e.g. forecasting models, economic planning models and methods for water management and
planning, and institutional reform in order to achieve sustainable development. The inclusion of
environmental needs of water is also emphasised in Chapter 18.
The democratisation in South Africa in 1994 came at an opportune time to incorporate the latest
international thinking into its fundamental water policy and law review of 1997 and 1998
respectively. Extensive reference will be made to the South African National Water Act, 1998
(NWA) to illustrate how IWRM is being put into practice.
Integration should be seen within and across three major sub-systems, i.e. the natural resource
system, the managed system and the institutional system:
• Natural resource system: This should include not only the physical and chemical
characteristics of the water itself, but also those components that ensure the functioning
of healthy ecosystems, including the plant and animal communities and their habitats.
These together give a natural water resource its water and in-situ service on which
people depend.
In the NWA these attributes of a natural water resource are defined as the “resource
quality” which is pro-actively managed through the setting of “resource quality
objectives.”
• Managed system: This should include all uses, which impact on the utility of a
resource.
The NWA lays the basis for regulating water use in South Africa, and defines eleven
different uses of water, amongst others taking water from a water resource, storing
water, waste discharge and disposal and activities which reduce streamflow, i.e.
afforestation. Reference is also made to activities outside the control of the NWA, such
as land use practices, which can impact, on a water resource.
• Institutional system: This is required to ensure effective water governance and entails
those social, political and economic organizations and their relationships which are in
place to regulate the development and management of water resources at all levels and
includes mechanisms, processes and institutions for this purpose.
The Dublin principles of seeing water as an economic good and requiring a participatory
approach for its management are major elements of an institutional system.
Water resources in South Africa are managed according to principles that underpin the National
Water Act. The principles outlined below are fundamental tenets of water management in this
country (Ministry of Water Affairs and Forestry and DANCED, 2002):
201
National asset
- All water, wherever it occurs in the water cycle, is a resource common to all, the use of
which should be subject to national control. All water should have a consistent status in law,
irrespective of where it occurs.
- There shall be no ownership of water but only a right to use it.
- The national government is the custodian of the nation's water resources, as an indivisible
national asset, and has ultimate responsibility for and authority over water resource
management, the equitable allocation and usage of water, and the transfer of water between
catchments and international water matters.
Integrated management
- In a relatively arid country such as South Africa, it is necessary to recognise the unity of the
water cycle and the interdependence of its elements, where evaporation, clouds and rainfall
are linked to underground water, rivers, lakes, wetlands, estuaries and the sea.
- Water quality and quantity are interdependent and should be managed in an integrated
manner, which is consistent with broader environmental management approaches.
- Water resources development and supply activities should also be managed in a manner,
which is consistent with broader environmental management approaches.
- While the provision of water services is an activity distinct from the development and
management of water resources, water services should be provided in a manner consistent
with the goals of water resource management.
- The variable, uneven and unpredictable distribution of water in the water cycle should be
acknowledged.
Sustainability
- The objective of managing the quantity, quality and the reliability of the nation's water
resources is to achieve optimum long term, environmentally sustainable, social and
economic benefit for society from their use.
- The development and management of water resources should be carried out in a manner,
which limits to an acceptable level of danger to life and property due to natural or man-made
disasters.
The Reserve
- The water required to meet people's basic domestic needs should be reserved.
- The quantity, quality and reliability of water required to maintain the ecological functions on
which humans depend should be reserved so that the human use of water does not
individually or cumulatively compromise the long-term sustainability of aquatic and
associated ecosystems.
- The above-mentioned water required to meet peoples' basic domestic needs and the needs of
the environment should be identified as "the Reserve" and should enjoy priority of use.
Equity
- In as far as it is physically possible, water resources should be developed, apportioned and
managed in such a manner as to enable all user sectors to gain equitable access to the desired
quantity, quality and reliability of water, using conservation and other measures to manage
demand where this is required.
- The right of all citizens to have access to basic water services (the provision of potable water
supply and the removal and disposal of human excreta and wastewater) necessary to afford
20
2
them a healthy environment on an equitable and economically sustainable basis should be
supported.
- The location of the water resource in relation to land should not in itself confer preferential
rights to usage.
Neighbourliness
- International water resources, specifically shared river systems, should be managed in a
manner that will optimise the benefits for all parties in a spirit of mutual cooperation. Those
allocations agreed to for downstream countries should be respected.
Institutional framework
- The institutional framework for water management should, as far as possible, be simple,
pragmatic and understandable. It should be self-driven, minimise the necessity for state
intervention, and should provide for a right of appeal to or review by an independent tribunal
in respect of any disputed decision made under the water law.
- Responsibility for the development, apportionment and management of available water
resources should, where possible, be delegated to a catchment or regional level in such a
manner as to enable interested parties to participate and reach consensus.
- Since many land- uses have a significant impact upon the water cycle, the regulation of land-
use should, where appropriate, be used as an instrument to manage water resources.
- Beneficiaries of the water management system should contribute to the cost of its
establishment and maintenance.
In summary, the development, apportionment and management of water resources should be
carried out using the criteria of public interest, sustainability, equity and efficiency of use in a
manner, which reflects the value of water to society while ensuring that basic domestic needs,
the requirements of the environment and international obligations are met.
15.3 Groundwater's Changing Role
Groundwater is a renewable and finite resource vital for social and economic development and
moreover a valuable component of aquatic ecosystems. Its strategic importance worldwide lies
in its role as reliable source of drinking water, both locally and regionally. Its special
characteristics also make it ideally suited for various forms of conjunctive use, together with
other water resources, thus aiming at an optimal use of the total resource.
Groundwater has been neglected in many countries, largely because of its hidden nature and
because of water planners' past focus on bulk water supply. South Africa is a typical example,
where the predominant hardrock groundwater systems only contributed about 12% to the total
bulk water supply and groundwater was therefore defined in the law as “private water,” i.e.
water which is not controlled by government.
With the recent policy shift towards development of the whole population, the recognition of
impending national water scarcity and the acceptance of the imperative of sustainable
development of available water resources, groundwater's role is changing dramatically in South
Africa.
This change was brought about through the democratisation of the country and the 1994
government policy paper which set a minimum domestic water supply standard of 25

203
l/person/day within a walking distance of 200 m. Follow-up surveys indicated that 12 million,
i.e. 30% of the population did not even have this most basic water supply.
Groundwater has played a major role in already reducing the backlog by half and it is
recognized that it is contributing between 45-60% to domestic water supply, whereas its
contribution to rural areas, where the largest part of the basic water services backlog remains,
could potentially be 90%. New experience of hardrock systems show that yields of these
systems could be locally increased by orders of magnitude under favourable fracture conditions
and with appropriate exploration and development investment. While natural recharge may
account for only 5% of total annual rainfall in a typical South African catchment, aquifers
typically store 90% of all the water available in a catchment. With a greater understanding of
the catchment in three dimensions there is considerable untapped potential as contribution to
IWRM (MWAF with DANCED, 2002).
This raised profile of groundwater is reflected in a recent survey of major groundwater
management issues in South Africa:
• Groundwater as a strategic resource for community water supply, even in surface water-
rich catchments,
• Groundwater as a conjunctive use source throughout the country and particularly in
water-stressed areas,
• Groundwater as a driver of sensitive aquatic ecosystems, e.g. coastal lakes, spring
systems, river base flow and habitat and wetlands,
• Deep groundwater systems cutting across surface water divides, and
• Need for pro-active protection of groundwater resources, because of widespread pollution
impacts; particularly in urban and mining environments, but also in the rural agriculture
and settlement situation.
15.4 Groundwater Management as Part of IWRM
The move from a “vicious circle” of groundwater mismanagement to a “virtuous circle” of pro-
active groundwater resource management is well illustrated in Figure 15.1 from a series of
World Bank groundwater briefing notes (Tuinhof et al., 2002).
Figure 15.1 Trends in groundwater management (from Tuinhof et al., 2002).

20
4
In the IWRM framework it is important to emphasise the need for integration with all
components of groundwater management, IWRM and catchment as illustrated in Figure 15.2
(Ministry of Water Affairs and Forestry and DANCED, 2002).
Protection Use
Resource Directed Measures Water Demand Management
Source Directed Control Resource Assessment
Remediation Conjunctive Use
Catchment Conservation Allocation
Management
Figure 15.2 IWRM – The Balance of Protection and Use (from MWAF and
DANCED, 2002).
The NWA places emphasis on the protection of water resources for their sustainable use. All
water use must be authorized and no authorization can be obtained without prior securing of the
resource base.
Pro-active protection of water resources is achieved through a novel set of instruments called
Resources Directed Measures or RDM, which are specified in the NWA as:
• A national classification system for water resources, including groundwater,
• Determination of a management class for each resource,
• Determination of the “Reserve”, which includes the basic human needs reserve and the
ecological reserve, which must be determined for all parts of any significant water
resource such as rivers, wetlands, lakes and estuaries as well as groundwater. Its purpose
is to protect aquatic ecosystems in order to secure ecologically sustainable development
and use of the relevant water resources. The Reserve represents the only right to water in
terms of the NWA, whereas all other uses require an allocation, which is restricted in
time, and
• Resource quality objectives, which operationalize the desired level of protection of a
water resource.
Implementation of these measures requires an excellent understanding of the ecohydrological
system in order to quantify the Reserve and manage for the resource quality objectives. It
should be noted that the total quantity to be reserved in this way is estimated at 20% of the
country's water resources and can be as high as 30% in certain areas. During the dry season and
drought periods the portion that needs to be reserved can be considerably higher. It is for this
reason that the setting of a management class for each resource as “natural”, “good” or “fair”
must be a highly participative process.
15.5 Institutional Changes
A major purpose of the Act is to achieve the establishment of suitable institutions for
appropriate and participative management. This is particularly important for highly
localized groundwater resources, which cannot be physically managed centrally. The Act
Capacity Participation Information Awareness Integration
205
provides three levels of management, namely national government, nineteen catchment
management agencies at the new regional management level, and water user associations
acting co-operatively at the local level.
All three levels hold tremendous opportunities for improved groundwater management.
Water user associations can practice conjunctive use of water resources and artificial
recharge of aquifers, put catchment conservation into practice on their land and reverse
over-exploitation and degradation of water resources. They can also become an
opportunity for community development through the sharing of skills and resources.
The catchment management level with devolved management responsibilities is crucial for
addressing groundwater in a planned and integrated way in the public interest. It will also
have to provide the essential support for local level management, which had been
completely lacking in South Africa for groundwater management.
The national level has for the first time got clear duties defined in the Act, which can be
challenged in public, e.g. the national water resource strategy and the need to monitor and
provide national information systems. While the authorization of water use will in future
be devolved to catchment management agencies, the protection of water resources through
the resource-directed measures will remain the responsibility of national government.
The new institutions offer tremendous opportunities for groundwater management.
However this role cannot materialize without a major capacity-building and support
programme from national government, which should include:
• A regulatory framework within which an equitable allocation of water can occur,
• Specific support for previously disadvantaged groups to establish their water
entitlements,
• Appropriate information on groundwater and its beneficial use and protection, and
• Appropriate institutional structures in which WUAs, operating under similar
conditions, support each other and are in turn supported by their respective CMAs.
15.6 Information for IWRM
Information will be the cornerstone on which implementation of the new water policy and
legislation will rest and on which new institutions can function effectively. New instruments in
the Act, like catchment management plans, the reserve and controlling of streamflow reduction
activities will be very information intensive. Integrated water resource management will create
the need for much greater integration of the relevant information systems, e.g. hydrology,
geohydrology, water quality and land type, use and cover.
With the greater focus on the hydrological system in water resource management, it becomes
essential to critically address groundwater's place in this system. This was well illustrated in the
World Conservation Strategy - Caring for the Earth of 1991:
“Continuously moving above and below the soil surface, water maintains and links the planet's
ecosystems.”
The groundwater balance, in its simplest terms, in an unexploited, steady state, can be described
by:
RECHARGE - OUTFLOW = 0
20
6
However, linked to the flow system are various ecosystems, in the areas of groundwater
recharge and discharge as well as in the area of through flow. These systems are supported by
groundwater in various ways and / or support the groundwater resource stability. Toth (1999)
concluded that groundwater's active role in nature occurs simultaneously at all scales of space
and time through its ability to interact with the ambient environment and through the
systematized spatial distribution of its flow. To this must be added the emerging field of
groundwater ecology (Gibert et al., 1994), which puts particular emphasis on the ecotones.
These are the interface zones between different ecosystems, in which ecological processes are
much more intense and resources more diversified. It has also become recognised that
groundwater fauna, in particular microfauna, bacteria and fungi, play an active role in
groundwater system functioning (Marmonier et al., 1997).
The many new participants in a devolved management system will need to share in these
information systems which are presently still very centralized. Widespread public participation
will require information, which is transparent and user-friendly, and systems, which can be used
inter-actively to facilitate multi-user decision-making. Information will also have to stand up in
a court of law, given the increasing competition for a scarce resource. The basis for these
increased information needs will have to be a more intensive and highly systematic monitoring
of water resources status and trends as well as of compliance with policy and regulations at all
levels, from national to local.
Different levels of management will have different information requirements:
National government: Ensuring resource sustainability, equity and international
requirements.
Catchment Management Agencies: Sustainable and equitable allocation of catchment water
resources (including water quality management).
Integration with land and environment managers within
catchment boundaries.
Water User Associations: Management of common resources within the regulatory
constraints.
Water Services Authorities: Provision of water to end users and managing local
impacts of use.
To achieve the necessary direction and co-ordination in this regard, the National Water Act, for
the first time, puts major emphasis on monitoring and information. The Minister must establish
national systems to facilitate the continued monitoring, recording, assessing and disseminating
of information on water resources, addressing the patterns of resource use and the response of
the resource to use and management intervention. The crucial link between monitoring and
IWRM will be achieved through monitoring programmes focusing on improved resource
characterization, such as assessment of groundwater recharge, and on the achievement of
resource quality objectives. This resource management-driven information offers clear
opportunities for advances in hydrological and ecohydrological system understanding.
15.7 Conclusion
Moving groundwater from a water supply focus to one of water resource system management
will require a major rethink from managers as well as groundwater practitioners. It will require
working across hydrological disciplines in future monitoring and assessment programmes. It
207
will also require a broadening of hydrologists’ traditional earth science expertise with
disciplines such as economics, policy, social and ecological sciences.
This is essential in order to assess to what extent we are achieving water resources system
sustainability. There can be no doubt, however, that in the context of IWRM, groundwater
recharge remains a critical indicator of sustainability, and as such deserves increased attention.
15.8 References
Department of Water Affairs and Forestry, 1998. National Water Resources Strategy. Draft
First Edition. Pretoria.
Department of Water Affairs and Forestry, 1998. National Water Act: No.36 of 1998.
Gibert, J., Danielpol, D. and Stanford, J.A. (Eds), 1994. Groundwater Ecology. San Diego:
Academic Press.
Marmonier, P., Ward, J.V. and Danielpol, D.L., 1997. Biodiversity in groundwater/surface
water ecotones: central questions. In Groundwater / Surface Water Ecotones: Biological
and Hydrological Interactions and Management Options.
Ministry of Water Affairs and Forestry and DANCED, 2002. Integrated Water Resource
Management: Guidelines for Groundwater Management in Water Management Areas in
South Africa. Draft Document. DWAF: Pretoria.
Ragone, S.E., 2002. Corporate Hydrology: Profit by growth or by acquisition. Ground Water.
September-October 2002.
Toth, J., 1999. Groundwater as a geologic agent: An overview of the causes, processes, and
manifestations. Hydrogeology Journal 7: 1 –14.
Tuinhof A., Dumars, D. Foster, S., Kemper, K., Garduno, H., and Nanni, M., 2002.
Groundwater Resource Management. GW Mate Briefing Note Series No1. WB-
Washington D.C.