2018 13039 BIA Style Manual Redline Redacted 242 Pgs
User Manual:
Open the PDF directly: View PDF
.
Page Count: 242 [warning: Documents this large are best viewed by clicking the View PDF Link!]

Board of Immigration Appeals
Style Manual
A Guide to Drafting Board Decisions
The guidance contained in this manual is updated periodically. Readers should check
the BIA Web Page for the most current version.
The guidance contained within this manual is for internal BIA use only as part of the
deliberative process of drafting Board decisions. This manual is not intended, in any
way, to substitute for a careful study of the pertinent laws and regulations.
This page intentionally left blank

BIA Style Manual Table of Contents
January 12, 2018
TABLE OF CONTENTS
Chapter 1 Case Processing
Chapter 2 Record of Proceedings
Chapter 3 Creating the Electronic Decision
Chapter 4 Completing Decision Captions
Chapter 5 Formatting and Style
Chapter 6 Citations
Chapter 7 Drafting the Decision
Chapter 8 Order Language
Chapter 9 Circulation
Appendices
Table of Changes

BIA Style Manual Table of Contents
January 12, 2018
This page intentionally left blank

BIA Style Manual Table of Contents
i January 12, 2018
TABLE OF CONTENTS
Chapter 1 Case Processing
1.1 Types of Decisions ............................................................................................. 1
1.2 Clerk’s Office Role .............................................................................................. 2
1.3 Case Screening Process .................................................................................... 3
1.4 Case Completion Deadlines and Goals .............................................................. 5
1.5 Case Identification Tags ..................................................................................... 7
1.6 High Profile Cases .............................................................................................. 8
1.7 Vulnerable Population Cases ........................................................................... 10
1.8 Issue Identification ............................................................................................ 10
1.9 Referral Sheets ................................................................................................. 11
Chpater 2 Record of Proceedings
2.1 CASE ................................................................................................................ 13
2.2 Responsibility for Tracking (Scanning) and Maintaining ROPs ......................... 18
2.3 Review of the ROP ........................................................................................... 21
2.4 Discovery of possible classified documents/information (involving WikiLeaks) . 23
2.5 Tabbing the ROP .............................................................................................. 26
Chapter 3 Creating the Electronic Decision
3.1 Where To Start ................................................................................................. 27
3.2 BIA Templates .................................................................................................. 28
3.3 Where to Save Electronic Decisions ................................................................. 29
3.4 File Naming Convention ................................................................................... 31
Chapter 4 Completing Decision Captions
4.1 Board Decisions Generally ............................................................................... 35
4.2 Captions Generally ........................................................................................... 36
4.3 File: Alien Registration Number (A number) .................................................... 37
4.4 Hearing Location .............................................................................................. 40

BIA Style Manual Table of Contents
ii January 12, 2018
Chpater 4 Completing Decision Captions (cont.)
4.5 Names .............................................................................................................. 47
4.6 The Posture of Case ......................................................................................... 58
4.7 “ON BEHALF OF” - Designation of Individual or Entity in Proceedings ............. 65
4.8 Representation for Individual or Entity before the Board ................................... 70
4.9 DHS Representative ......................................................................................... 88
4.10 Amicus Curiae .................................................................................................. 91
4.11 Oral Argument .................................................................................................. 95
4.12 Charge(s) of Removability, Inadmissibility, or Deportability .............................. 96
4.13 Application ........................................................................................................ 96
4.14 Separate Opinions ............................................................................................ 98
Chapter 5 Formatting and Style
5.1 Generally ........................................................................................................ 101
5.2 Terminology .................................................................................................... 101
5.3 Punctuation .................................................................................................... 108
5.4 Capitalization .................................................................................................. 109
5.5 Spacing .......................................................................................................... 110
5.6 Quotations ...................................................................................................... 111
5.7 Numbers ......................................................................................................... 113
5.8 Italics .............................................................................................................. 114
5.9 Typography .................................................................................................... 116
5.10 Line Spacing ................................................................................................... 117
5.11 Signature Line ................................................................................................ 118
Chpater 6 Citations
6.1 Generally ........................................................................................................ 119
6.2 Cases ............................................................................................................. 119
6.3 Regulations .................................................................................................... 122
6.4 Statutes/Laws ................................................................................................. 123
6.5 Legislative Materials ....................................................................................... 125

BIA Style Manual Table of Contents
iii January 12, 2018
Chpater 6 Citations (cont.)
6.6 Treaties and International Materials ................................................................ 125
6.7 Administrative Publications and Forms ........................................................... 127
6.8 Commercial and Academic Publications ......................................................... 128
6.9 Court Documents ............................................................................................ 128
6.10 Introductory Signals ........................................................................................ 129
Chapter 7 Drafting the Decision
7.1 Generally ........................................................................................................ 133
7.2 Introductory Paragraph ................................................................................... 133
7.3 Standard of Review ........................................................................................ 135
7.4 Body of Decision ............................................................................................. 135
7.5 Fee Waiver Request ....................................................................................... 138
7.6 Affirmance Without Opinion ............................................................................ 140
7.7 Matter of Burbano Language (“adopt and affirm”) ........................................... 141
7.8 Remand to Different Immigration Judge ......................................................... 141
7.9 Re-issued and Amended or Corrected Decision/Order ................................... 142
7.10 Federal Court Remand ................................................................................... 142
7.11 Motions with Pending Petition for Review in Federal Circuit Court ................. 143
Chapter 8 Order Language
8.1 Generally ........................................................................................................ 145
8.2 BIA Macros ..................................................................................................... 146
8.3 Removability or Deportability at Issue on Appeal ............................................ 148
8.4 Excludability ................................................................................................... 156
8.5 Voluntary Departure ....................................................................................... 163
8.6 EOIR’s Background and Security Check Rule ................................................ 168
8.7 Notice to Alien to Contact DHS/ICE ................................................................ 177
Chapter 9 Circulation
9.1 Finalize Decision Generally ............................................................................ 185
9.2 Circulation Sheets .......................................................................................... 186

BIA Style Manual Table of Contents
iv January 12, 2018
Chapter 9 Circulation (cont.)
9.3 Circulation Sheet Instructions for Attorneys and Paralegals ........................... 187
9.4 Board Members Usage of Circulation Sheets ................................................. 195
9.5 Special Case Processing ................................................................................ 197
9.6 Board Member Review ................................................................................... 198
9.7 Publication of Board Decision ......................................................................... 200

BIA Style Manual Chapter 1
1 January 12, 2018
1 Case Processing
1.1 Types of Decisions
The Board is comprised of 17 Board Members, including a Chairman and up to two
Vice Chairmen. 8 C.F.R. § 1003.1(a). When authorized, the Board may also have temporary
Board Members, who have all the authorities of a permanent Board Member, except the
ability to vote on en banc matters. 8 C.F.R. § 1003.1(a)(4). Under the direction of the
Chairman, the Board uses a case management system to screen all cases and manage its
caseload. 8 C.F.R. § 1003.1(e). Under this system, the Board adjudicates cases in one of
three ways:
(a) Single Board Member decisions. – The majority of cases at the Board are
adjudicated by a single Board Member. In general, a single Board Member will decide
a case, unless the case falls into one of six categories listed in 8 C.F.R. § 1003.1(e)(6):
• the need to settle inconsistencies among the rulings of different
immigration judges
• the need to establish a precedent construing the meaning of laws,
regulations, or procedures
• the need to review a decision by an Immigration Judge or DHS that is
not in conformity with the law or with applicable precedents
• the need to resolve a case or controversy of major national import
• the need to review a clearly erroneous factual determination by an
Immigration Judge
• reverse the decision of an Immigration Judge, other than for an
intervening law, regulation or precedent.
(b) Panel decisions. – Cases not suitable for adjudication by a single Board
Member are adjudicated by a panel consisting of three Board Members. Panels may
be comprised of three members of either a fixed panel or an ad hoc panel. See
Chapter 1.3 (Case Screening Process). Cases requiring three member review are
decided by majority vote and may include dissenting and/or concurring opinions.
Cases are assigned to specific panels pursuant to the Chairman’s administrative plan.
The Chairman may change the composition of the sitting panels and may reassign
Board Members at his or her discretion.

BIA Style Manual Chapter 1
2 January 12, 2018
(c) En Banc decisions. – The Board may, by majority vote or by direction of
the Chairman, assign a case or group of cases for full en banc consideration. 8 C.F.R.
§ 1003.1(a)(5). Temporary Board Members participate in en banc discussions, but
may not vote. 8 C.F.R. § 1003.1(a)(4). By regulation, en banc proceedings are not
favored.
1.2 Clerk’s Office Role
(a) Generally. – The Office of the Clerk (Clerk’s Office) is responsible for
managing appellate records and information for the Board, which includes processing
all filings, entering all data related to cases properly into EOIR’s database, Case
Access System for EOIR (CASE), and processing all correspondence pertaining to
cases before the Board.
The Clerk’s Office is headed by the Chief Clerk of the Board. Cases in which
an alien is not detained are processed by two regional teams (East and West),
depending on the location of the Immigration Court. Cases involving detained aliens
are processed by the Priority Case Management team. The Motions team processes
both detained and non-detained motions for the Board. The Docket team processes
adjudicated cases and serves decisions on the parties. Various other teams provide
management and administrative support to all operations.
(b) Processing. – When a properly filed appeal or motion arrives at the Board,
it is date-stamped and entered as soon as practicable into CASE, and a receipt is sent
to both parties. The Board will then obtain the record of proceedings (ROP) from the
Immigration Court. In appropriate cases, a briefing schedule is provided to both
parties. Also, in appropriate cases, a transcript is prepared, and copies are sent to
the parties along with the briefing schedule. After the briefs are received or the briefing
schedule expires, the case is forwarded to the Screening Panel for screening by the
paralegals. See Appendix B (Board Workflow).
With respect to visa petitions, once an appeal or motion has been properly filed
with DHS and the petition record is complete, DHS forwards the petition record to the
Board for adjudication of the appeal or motion. Briefing schedules, if any, are issued
by DHS and are completed prior to the forwarding of the record to the Board. After
the Board receives the record from DHS, the Board issues a notice to the parties
acknowledging it has the record and the appeal.
(c) Paralegal referral. – Appeals and motions that are time or number-barred
are routed to the paralegal team for the preparation of a Board decision. Waived
appeals and direct appeals from most in absentia decisions are also routed to the
paralegals. If the paralegal determines that the case should be adjudicated on the
merits instead of being dismissed or denied on jurisdictional grounds, the case is

BIA Style Manual Chapter 1
3 January 12, 2018
returned to the Clerk’s Office for continued file preparation and processing for
adjudication. Motions to withdraw the appeal or motion are also routed to the
paralegals for preparation of a Board decision.
1.3 Case Screening Process
(a) Paralegal screening. – The paralegals screen all cases received from the
Clerk’s Office for adjudication by the Screening and Merits Panels.
(i) Issue identification. – During the screening process, the paralegals
identify the general issues raised in a particular case, enter the relevant
information into CASE, and attach an annotated “Issues Sheet” to the front of
the Record of Proceedings (ROP). See BIA Webpage (Forms Book). The
paralegals then forward the cases to the Screening Panel support staff for
attorney assignment.
(ii) Adjudication readiness. –
(A) Not ready. – If a determination is made that the ROP is not
ready for adjudication, the ROP is sent back to the Clerk’s Office for
further processing as identified on the Quality Problem Correction Form.
See BIA Webpage (Forms Book). The Supervisory Case Management
Specialist (SCMS) for the Panel or designated supported staff will enter
a notation in the Comments section in CASE that the case has been
sent back to the Clerk’s Office.
(B) Ready. – On the “Issues Sheet,” the paralegals also note the
alien’s country of origin, identify oral argument requests that must be
acted upon, and note any particular issues of which the attorney
assigned to the case should be aware. They may also complete certain
informational memoranda or checklists, when warranted, which are
placed inside the left front cover of the ROP. The ROPs are then
forwarded to the Screening Panel’s support staff, who assign the cases
to the attorneys and start the case completion goal clock in the CASE
system. See Appendix B (Board Workflow).
(b) Screening Panel. – The Screening Panel is comprised of two fixed panels:
Panel 3 and Panel 4. Each panel is led by a Senior Panel Attorney (SPA) and is
comprised of Team Leaders (TLs), attorneys, and paralegals. Both panels are
supported by a Supervisory Case Management Specialist (SCMS) and support staff.
(i) Paralegals. – The paralegals not only screen cases for adjudication
by attorneys, but also draft decisions in cases involving straightforward

BIA Style Manual Chapter 1
4 January 12, 2018
jurisdictional issues (including case appeals, motions, IJ-MTRs and visa
petitions). Paralegals forward cases with more complex jurisdictional issues to
the Paralegal TL for review by or assignment to a Panel 4 attorney.
(ii) Attorneys. – The attorneys assigned to either fixed panel of the
Screening Panel screen designated cases to determine whether they should
be referred to the Merits Panel. If a case is not referred, the attorney drafts a
proposed decision for consideration by a panel Board Member.
(c) Merits Panel. – The Merits Panel is comprised of two fixed panels: Panel
1 and Panel 2. Each Panel is led by a SPA, and consists of TLs and attorneys. Both
panels are supported by a SCMS and support staff.
Cases that are referred from the Screening Panel are sent to the Merits SCMS
for assignment to attorneys who prepare a proposed decision for consideration by a
panel Board Member.
(d) Circulation. –
(i) Proposed decisions. – Decisions drafted by attorneys and
paralegals are scanned to “circulation” and placed in an area for review by the
support staff before being circulated to Board Members. The support staff
makes any necessary corrections to proposed decisions, enters the circulation
date in CASE, scans reviewed cases to a central Board Member location, and
delivers the cases to the Board Member Legal Assistants to distribute among
the Board Members. See Appendix B (Board Workflow).
(ii) Board Member review. – Circulated proposed decisions are
reviewed and adjudicated by either a single Board Member or three Board
Members in accordance with the regulations. See Chapter 1.1 (Types of
Decisions). At the direction of a Board Member, the Board Member Legal
Assistants make any necessary changes to the proposed decision, or return
the case to the attorney or paralegal to revise and recirculate the revised
proposed decision for consideration. A Board Member signs the final approved
decision. Signed decision cases are scanned to and processed by the Clerk’s
Office Docket team. See Chapter 1.2 (Clerk’s Office role).
(iii) Three Board Member referral. – By regulatory default, all cases
are assumed to be single Board Member decisions. Cases are converted to a
three Board Member decision when either the attorney drafting the proposed
decision recommends that the case be converted at time of circulation (via a
three Board Member referral sheet attached to the circulation sheet), or a
Board Member decides that the case should be converted. See Chapter 1.9(a)
(Three Board Member referral sheet); BIA Web Page, Forms Book.


BIA Style Manual Chapter 1
6 January 12, 2018
filed by non-detained aliens are outside of the regulatory 90-day/180-day adjudication
clocks, these cases are to be completed within those timeframes.
(f) CASE Information on the 90-day/180-day clock. – More information on
CASE is provided later in this Chapter, but the image below is a snapshot from CASE
showing where the “Dec. Due” field (highlighted for illustrative purposes only) is
located on the component bar of the Appeals Tab.
(g) Extension and suspension of 90-day/180-day clock. – The regulations
provide the Chairman with the authority, in exigent or rare circumstances, to extend or
suspend a regulatory adjudication clock. See 8 C.F.R. § 1003.1(e)(8)(ii) and (iii).
(i) Extension. – Where there are exigent circumstances, the Chairman
may extend the time to complete the adjudication of a case past the 90-day or
180-day deadline, but only up to an additional 60 days. Requests for an
extension must be initiated by either a Board Member or a SPA when there is
a compelling need. Also, the request must explain why this specific case needs
an extension and cannot be based on general workload considerations.
(ii) Hold. – The Chairman may authorize the temporary suspension of
the 90-day or 180-day deadline for an individual case or group of cases where
the Board is awaiting upcoming case law, statute, regulation, or publication of
a Board decision.
(A) Individual case. – Requests to place an individual case on
“hold” must be initiated by a Board Member, the Director of Operations,
a SPA, or a Senior Legal Advisor (SLA). The request must articulate
why there is no alternative basis for adjudication.
(B) En banc case. – Cases referred by a panel for en banc
consideration are eligible for temporary suspension of the adjudication
deadlines. Cases not selected for an en banc conference resume
normal processing.

BIA Style Manual Chapter 1
7 January 12, 2018
(C) Board-wide hold. – Where a group of cases may be
substantially impacted by impending case law, statute, or regulation, the
Chairman may issue a memorandum to Board legal staff announcing a
Board-wide “hold.” Information regarding which categories of cases
have been placed on “hold” is posted on the BIA Web Page. See BIA
Web Page, Chairman’s Memos Book.
For any case that warrants a hold as described in the issuing
Chairman’s Memorandum, an attorney must attach a brief statement for
the TL explaining why there is no alternative basis for adjudication. The
statement should be attached the Board Wide Holds Routing Sheet.
See BIA Web Page, Forms Book.
(h) Work prioritization. – Attorneys and paralegals are expected to prioritize
their caseload and should consult a supervisor whenever there is uncertainty about a
priority, confusion over a due date, or the possible need to digress from general
practice. When a case is subject to more than one priority, the earlier goal or deadline
controls when the case should be completed.
Attorneys and paralegals are also responsible, when prioritizing and circulating
cases, for ensuring that Board Members have sufficient time to review their research
and the proposed decisions. Supervisors use the processing deadlines and priorities
in making case assignments, and expect that attorneys and paralegals will identify
applicable deadlines and priorities and circulate cases to the Board Members in
accordance with them, so that the cases may be completed in a timely fashion.
Questions that arise regarding case deadlines and priorities should be directed to a
TL or SPA.
1.5 Case Identification Tags
To assist the Board in completing cases in a timely fashion, the Clerk’s Office and the
support staff place tags on the categories of cases listed above. These tags help the legal
staff determine the level of priority to give to a particular case.
(a) Yellow tag (RUSH detained cases). – A yellow tag usually indicates that
the alien is being detained at government expense. The 150-day GPRA deadline is
hand-written on the tag. In addition, the word “AUTOSTAY” along with the 90-day
automatic stay deadline is hand-written on the tag in applicable DHS bond appeal
cases.
(b) Green tag (regulatory deadline). – A green tag is used to identify the
regulatory deadline for a case. This tag has spaces for two dates: one for the 90-day
regulatory adjudication deadline (single Board Member) and another for the 180-day

BIA Style Manual Chapter 1
8 January 12, 2018
deadline (three Board Member). See 8 C.F.R. § 1003.1(e)(8). The 90-day due date
is identified on the tag unless and until the case is converted to a three Board Member
case.
(c) Pink tag (federal court remand). – A pink tag indicates a federal court
remand case, i.e., a U.S. District Court or a U.S. Court of Appeals has remanded the
case to the Board for further action.
(d) Blue tag (Congressional Interest) – A blue tag indicates that a member
of Congress has expressed an interest in the resolution of a particular matter. The tag
is for informational purposes only and may not influence the adjudication. The tag
serves only to remind staff to be extra vigilant about timely completion of that case.
(e) Dual tags. – Some cases may have more than one tag. For example, a
detained, single Board Member case would have two tags: Yellow (150-day GPRA
goal date) and Green (90-day regulatory deadline). In such cases, the due date would
be the earlier of the due dates listed on the tags.
(f) Other tags. – Other color tags may sometimes be used to reflect that the
case needs to be expedited, sent to the Certification Unit, or is subject to some other
special deadline or action to be taken. Attention should therefore be paid to any and
all tags appearing on an ROP.
1.6 High Profile Cases
(a) Generally. –
:
(b) Effect on adjudication. – The fact that a case is or may be high profile is
not relevant to how that case is adjudicated and should not influence drafting or the
result in a decision. The purpose behind designating a case as high profile is to allow
the Chairman to alert the Director of the issuance of decisions of potential public
attention.
(b)(5) DP
(b)(5) DP

BIA Style Manual Chapter 1
9 January 12, 2018
(c) Procedures for High Profile cases. –
(i) Identification. – When an attorney assigned to a case determines
that the case is or could be high profile, the attorney should promptly notify his
or her supervisor. If the supervisor agrees, the SCMS for the Panel will enter
a notation in the Comments section in CASE that the case is an “HPC” and
include a notation requesting that the Docket team send a copy of the signed
decision to the attorney, TL, and SPA immediately after its issuance.
(ii) Proposed decision. – When the proposed Board decision is ready
for circulation, the drafting attorney must include the instruction below the
“Special Instructions to Docket” section of the applicable circulation sheet:
“Send a copy of the signed decision to the [attorney], [TL], and [SPA]
immediately after issuance.”
(iii) Memo to the SPA. – In a short memo, the attorney should identify
the reason the case is deemed or could become high profile, provide a succinct
summary of the facts and proposed holding of the case. The short memo
should be provided to the SPA, with a copy to the attorney’s TL (but not to the
Board Members), when the case is ready to be circulated, under the
assumption that the proposed decision will be approved and issued as drafted.
Thus, the memo should refer to the Board “decision,” and not “draft” or
“proposed decision.” If the decision is materially changed, the attorney should
provide the SPA and TL with a revised memo when the case is recirculated.
(iv) High Profile case cover sheet. – A High Profile Case cover sheet
must be stapled on top of the circulation sheet. See BIA Webpage, Forms
Book.
(v) Bring the case to SCMS to circulate. – The attorney should not
put the case directly on the circulation table but hand-deliver it to the SCMS as
a safeguard against delay or misplacement.
(vi) Monitor circulation. – The attorney should monitor that case’s
circulation through CASE/ROP Location as a safeguard against delay or
misplacement.
(d) Board Member procedures for High Profile cases. – In most instances,
the potential for a case to become a high profile will be spotted first by the drafting
attorney. When a Board Member is the first to spot a possible high profile case, the
Board Member should advise the Panel’s SPA.

BIA Style Manual Chapter 1
10 January 12, 2018
(e) Notice to the Chairman. – When the decision for the case is signed, the
SPA will deliver the ROP and decision to the Chairman or Vice Chairman. In turn, the
Chairman or Vice Chairman will assess only whether the Office of the Director needs
to be notified of a possible high profile case before the case is routed to the Clerk’s
Office Docket team for issuance of the decision.
1.7 Vulnerable Population Cases
Cases involving vulnerable populations, such as unaccompanied children (UC) and
mental competency cases are currently being handled by specific attorneys. If an attorney is
assigned a case involving a vulnerable population issue, he or she should bring it to the
immediate attention of his or her TL or SPA.
1.8 Issue Identification
While reviewing the record, the attorney and paralegal should make note of the issues
that must be addressed by the Board to resolve the case.
(a) Jurisdictional issues. – As a general rule, the Panel 4 will already have
screened out all cases involving jurisdictional issues. Check for notations on the
“Issue Sheet” or memos attached inside the left front cover of the ROP to see if Panel
4 has identified any potential jurisdictional issues, or whether a determination was
made with regard to a jurisdictional question.
Most commonly, jurisdictional issues arise where:
• the appeal is untimely
• the motion is untimely or number-barred (esp. where the alien claims an
exception)
• the appeal has been waived (especially where the alien claims waiver
was not “knowing and intelligent”)
• the appeal or motion was withdrawn
• the case is appropriate for summary dismissal under 8 C.F.R.
§ 1003.1(d)(2)

BIA Style Manual Chapter 1
11 January 12, 2018
In addition, the “Panel 4 Case” sheet lists types of cases that are considered
to involve jurisdictional issues. See BIA Webpage, Forms Book (Panel 4 Cover
Sheet).
(b) Board-wide holds. – Cases may be placed on “hold” by the Chairman.
8 C.F.R. § 1003.1(e)(8). See Chapter 1.4(g) (Extension and suspension of
90-day/180-day clock). Attorneys and paralegals should stay current on which
categories of cases have been placed on “hold.” Whenever a new “hold” category is
added or a “hold” is lifted, it is announced to the Board legal staff by e-mail, and the
information is posted on the BIA Webpage. See BIA Webpage, Chairman’s Memos
Book.
(c) Mental competency issues. – See section 1.7 of this Chapter.
(d) High profile case. – See section 1.6 of this Chapter.
(e) Dispositive issues on appeal. – Attorneys and paralegals must carefully
review the record and appellate filings to identify issues on appeal. The building blocks
of review are:
• the proceeding type (removal, deportation, exclusion, etc.)
• the procedural posture of the case (appeal, motion, etc.)
• the Immigration Judge’s decision (especially the issues expressly
decided by the Immigration Judge)
• the Notice of Appeal (in particular, the allegations of error specified by
the appealing party)
• appellate briefs (the issues specifically argued and the challenges to the
Immigration Judge’s decision, including due process arguments, etc.)
• a motion to remand (and the basis for the motion)
1.9 Referral Sheets
The Board utilizes a variety of internal referral sheets to advise staff of information
critical to case processing.
(a) Three Board Member referral sheet. – This referral sheet must be
completed whenever cases are to be converted from a single Board Member decision

BIA Style Manual Chapter 1
12 January 12, 2018
to a three Board Member decision. See Chapter 1.1 (Types of Decisions); Chapter
1.3(d) (Circulation). The case must fall within one of the six categories listed below:
• settle inconsistencies among the rulings of different Immigration Judges
• establish a precedent construing the meaning of laws, regulations, or
procedures
• review an Immigration Judge or DHS decision that is not in conformity
with the law or applicable precedents
• resolve a case or controversy of major national importance
• review a clearly erroneous factual determination by an Immigration
Judge
• reverse the decision of an Immigration Judge, other than for an
intervening law, regulation, or precedent
In addition to identifying the reasons for the referral, the attorney should provide
a summary of the case.
Fillable Three Board Member Referral sheets are available on the BIA
Webpage, Forms Book.
(b) Panel 4 Motions referral sheet. – This form is used when a motion is
referred to a Board Member or panel that adjudicated the underlying decision (usually
on account of the complexity of that prior decision). An attorney must consult with
their TL before referring a motion back to the original adjudicating Board Member or
panel.
A fillable Panel 4 Motions referral sheet is available on the BIA Webpage,
Forms Book.

BIA Style Manual Chapter 2
13 January 12, 2018
2 Record of Proceedings
2.1 CASE
EOIR’s database for case processing is the CASE system. Information about
Immigration Court proceedings below is recorded in this database by court staff, and by the
time legal staff receive a case, the Clerk’s Office will have entered the relevant Board
information into the system. All new attorneys and paralegals receive training on CASE. The
following introduction is provided here as a quick reference.
(a) Access. – CASE can be accessed through the “start” button on the taskbar
(lower left-hand side of the computer screen). Select “All Programs.” From the “All
Programs” list, select either “CASE 1” or “CASE 2.”
Step 1 Step 2

BIA Style Manual Chapter 2
14 January 12, 2018
Alternatively, CASE can be accessed through the Internet Explorer icon and
taskbar. Select “Favorites,” then “EOIR Favorites” from the dropdown menu. Select
either “CASE 1” or “CASE 2” to open a session.
(b) Login. – Use your Windows “UserName” and password to log into CASE.
Once logged into CASE, click on “Case Manager,” toolbar button then type the Alien
Registration Number (A#) in the space provided. CASE requires a 9-digit number.
When working with an 8-digit A#, add a “0” to the front number. For example: 12-345-
678 becomes 012-345-678.

BIA Style Manual Chapter 2
15 January 12, 2018
(c) Immigration Judge decisions. – Generally, once an A# is entered, a
screen will appear showing all Immigration Judge proceedings that are pending and/or
completed for that particular alien. For most cases, the only entry will be a “Case
Appeal” or “IJ-MTR appeal,” but where there are multiple types of proceedings, be
certain to select the proper one.
The image below is an example of a case with one entry - a Case Appeal:
The image below is an example of a case with multiple entries - a Case Appeal
and an MTR BIA-REI (motion requesting the Board to reinstate proceedings or reissue
a prior decision):

BIA Style Manual Chapter 2
16 January 12, 2018
In this instance, selecting “Case Appeal,” will open the “Appeal” tab screen
where attorney/paralegal case assignment can be verified, the completion date can
be checked, receipts or non-receipt of documents can be confirmed, and case
processing information can be obtained.
Under the Appeal tab, there is a “Dec. Due” field which shows whether the case
is a single Board Member case or three Board Member case, and how many days
remain to adjudicate the case before the due date.
The “Comments” tab contains notations regarding filings that may have been
received since the case was assigned, and need to be retrieved and added to the
ROP. Attorneys and paralegals should always check this tab both upon receiving the
case and before circulating. The “Comments” tab will generally appear red if there are
notes, but it is wise to check it regardless.
Upon receiving a case, attorneys and paralegals may verify that the case has
been properly assigned to him or her by typing the 9-digit A# into CASE.
(d) DHS decisions. – The Board has appellate jurisdiction over a select
number of DHS decisions, but the vast majority of DHS decisions reviewed by the
Board are family-based visa petition appeals (historically referred to as District Director

BIA Style Manual Chapter 2
17 January 12, 2018
or “DD” appeals). After the A# is entered, select “DDC – DD Appeal” from the Case
Type drop down menu, as shown in the image below.
The image below is an example of a DHS decision, which is entered in CASE
as a DD Visa case type, with only one entry:
Click on “DD Visa” under Type links to view the “Appeal” tab screen.

BIA Style Manual Chapter 2
18 January 12, 2018
Case assignment and other information can be found under the Appeal tab, as
depicted below.
2.2 Responsibility for Tracking (Scanning) and Maintaining ROPs
(a) Generally. – Once a ROP has been received by an attorney or paralegal,
it is that person’s responsibility to ensure that the ROP in their possession is handled
properly, and stored properly. Every ROP at the Board (with rare exception) has a
bar-code label affixed to the file tab. This label provides the A#, the name of the alien,
the type of proceeding, and which volume of the ROP that particular file is (e.g., the
second volume of a case where a motion has been filed with the Board will reflect
“MTR BIA – ROP”). Every attorney and paralegal workstation should have a bar-code
scanner and each person is responsible for scanning each ROP in his or her office
and/or possession.
(b) Scanning. – It is mandatory that an ROP be scanned whenever it changes
physical location and/or staff assignment. An ROP therefore must be scanned
whenever sending the ROP to any other location. All volumes of a particular ROP
must be scanned and kept together. If an attorney or paralegal is working offsite, he
or she must scan every ROP folder in his or her possession to the next destination,
whether the file is moving between offsite and onsite locations or between different
onsite locations.
(i) Scanning Procedures for the movement of ROPs. – ROPs should
be scanned according to the following procedure. (This section covers only
general guidance regarding scanning from one location to another.)
1. Log into CASE, and access the “Other Programs” module.
2. Find the row for “Barcode Search,” and click on “Click to Launch.”
3. Once “Barcode Search” loads, click the “View My Cart” button.

BIA Style Manual Chapter 2
19 January 12, 2018
4. Verify that the cursor is located in the box labeled “Scan Barcode or
RFID.” If not, click in the box to move the cursor before beginning
scanning.
5. Scan all the barcodes in the file. Verify that all barcodes appear in the
cart scan window.
6. Click the “Check Out” button.
7. From the “Check Out” window, select the “Location.” All attorneys and
paralegals are located under their Attorney or Paralegal Team.
8. Select the “Check Out To” field. The “Check Out To” field is filtered by
Location (e.g., Attorneys show up on their Team). When selecting a
destination in the drop down menu, take careful note whether it is a
Home or Office location.
9. After verifying that all files are there, click on the “Check Out” button to
complete the move. The screen will then close, and the file location will
be moved.
(ii) Scanning tips. – Below are some scanning tips:
• On the “Check Out” screen, unchecking “Remove from Cart” before
clicking the “Check Out” button will display the details of the move.
Click the “Remove” button before scanning another set of files.
(Otherwise, the original set of ROPs may be assigned to the wrong
location.)
• On the “Check Out” screen, the red “R” means required. Do not use
the “Due Back Date” field.
• EOIR does not use the “Check In” functionality.
(c) Locating a Scanned ROP. – It is possible to locate a case in CASE through
“Case Manager.” Log into CASE, and access the “Case Manager” module.
1. From “Case Manager,” search for the A#.
2. Click on the A# hyperlink.

BIA Style Manual Chapter 2
20 January 12, 2018
3. Once opened, the file location is displayed in the grey areas at the top of
the screen under “BIA ROP Location,” as depicted below.
(d) ROPs taken offsite. – The “Employee Agreement Governing Removal of
Records of Proceeding from BIA Offices” specifies when and how ROPs may be
removed from the workplace. See BIA Webpage, Executive Officer (Flexiplace ROP
Removal Agreement and Flexiplace Article 32). Certain ROPs may never be removed
from BIA workspace, including, but not limited to, a case that involves a high profile
person or matter, or is associated with classified information. For example, a case
that has been identified as a Secure Access Case (i.e., case involves classified
documents or information) or is subject to a Protective Order issued by an Immigration
Judge may not be removed from BIA workspace.
(e) ROP Routing Slip. – Whenever an ROP is to be forwarded to other Board
or EOIR staff, the person who has possession of the ROP must scan the ROP to the
receiving person, complete a ROP Routing Slip, and place it on the ROP. See BIA
Web Page, Forms Book (ROP Routing Slip).
(f) Incoming correspondence. –
(i) Cases pending before the Board. – When correspondence or a
filing is received by the Clerk’s Office relating to a case pending before the
Board, the document is forwarded to the attorney or paralegal assigned to the
case, with a pink Document Routing Sheet advising whether to file the
correspondence in the record or to return the ROP to an individual designated
on the pink sheet for further action. A notation should be made in the
“Comments” section of CASE when this is done. Occasionally, the
correspondence may need to be reviewed or handled by a SLA or other
member of Board staff, in which case the ROP and correspondence must travel
together. If the attorney or paralegal has been instructed to deliver the ROP to
another individual, it should be properly scanned and forwarded to that person
via hand-delivery or intra-office mail. See subsection (d) above. The ROP will

BIA Style Manual Chapter 2
21 January 12, 2018
be returned to the attorney or paralegal assigned to the case as soon as the
correspondence has been addressed.
(ii) Cases not pending before the Board. – There are times when
correspondence or a filing is received by the Clerk’s Office that is related to a
case that has been completed, i.e., Board decision issued. Depending on
when correspondence/filing is received, or the nature of the document, the
Clerk’s Office will take one of the following actions:
1. If the document is received before a case is completed but it not associated
with the case prior to completion, the Clerk’s Office will route to the J&M
Panel for non-associated review and processing.
2. If the document is received after a case is completed, the Clerk’s Office will
return it to the sender with the appropriate response and annotate CASE
accordingly.
3. If a motion is received after a case is completed, the Clerk’s Office motion
team will process.
(iii) Cases never pending before the Board. – There are also times
when the Clerk’s Office receives correspondence or a filing related to a case
that has never been before the Board. Depending on the nature of the
correspondence or filing and/or the status of the case, the Clerk’s Office will
either forward the material to the appropriate Immigration Court or USCIS, or
return it to the sender with an appropriate response.
(g) Monitoring CASE. – Because correspondence and filings do come in after
a case has been assigned, attorneys and paralegals should always re-check the
“Comments” tab in CASE before circulating any proposed decision. It is the
responsibility of the person assigned to the case to ensure that the record is complete
and that all correspondence received to date has been reviewed and addressed, for
so long as the ROP remains in his or her possession.
2.3 Review of the ROP
(a) Generally. – One of the most important tasks facing Board attorneys and
paralegals is to ensure that the Board has a complete and accurate record in any given
case. This involves reviewing both the physical ROP and checking CASE to ensure
both that the information the Clerk’s Office has entered is correct and that everything
received by the Board has been connected to the record. There is an Attorney Case
Processing Checklist to assist attorneys in conducting a complete and thorough review
of the record. See BIA Web Page, Forms Book.

BIA Style Manual Chapter 2
22 January 12, 2018
(b) What to expect in the ROP. – The ROP contains everything that has been
submitted pertaining to the proceeding before the Immigration Court and the Board.
The Clerk’s Office identifies essential correspondence received with marked colored
tabs in the ROP. See Appendix C, Clerk’s Office Color Tab Guide. For removal
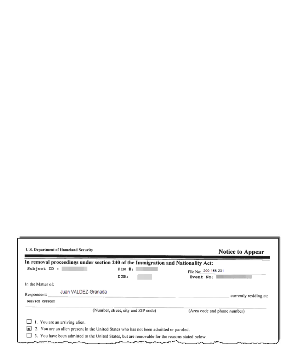
proceedings, the following will generally be found in the ROP:
• Notice to Appear (Form I-862) [red tab]
• Notices of Hearing generated by the Immigration Court
• Any motions filed before the Immigration Court (e.g., for reopening,
change of venue, termination, etc.)
• Evidence submitted by the DHS relating to the removability charges
(e.g., Form I-213, evidence pertaining to criminal convictions, etc.)
• Any applications for relief filed by the alien and supporting
documentation
• Background information regarding country conditions in asylum cases
• Transcript of the hearings below
• Written Immigration Judge decision or transcript of oral decision
• Summary of oral decision [yellow tab]
• Notice of Appeal (Form EOIR-26) [green tab]
• Appearance by attorney/representative (Form EOIR-27), if alien not
acting pro se [blue tab]
• Briefing Schedule
• Briefs filed by alien/the DHS [purple tabs]
• Motion [orange tab]
For deportation and exclusion proceedings, the charging document differs, but
otherwise the same documents will generally be found. Different documents will be

BIA Style Manual Chapter 2
23 January 12, 2018
found in ROPs coming from the DHS, such as visa petitions, fines, or section
212(d)(3)(A)(ii) applications.
(c) What to do if there are problems with ROP. – If there are problems with
the record, the ROP will generally need to be returned to the Clerk’s Office for further
preparation of the record for adjudication. The more typical problems will be:
erroneous information in CASE, improper service of documents, missing documents,
missing ROP folder, and transcription problems. Bring the problem to the attention of
a SCMS, TL or SPA. Most problems will be handled by a SCMS, TL or SPA, who will
complete a Quality Problem Correction form to request that the Clerk’s Office address
the problem with the ROP. See BIA Web Page, Forms Book (Quality Problem
Correction form).
2.4 Discovery of possible classified documents/information (involving WikiLeaks)
(a) Generally. – On occasion, the Board may receive a case from an
Immigration Court or DHS that contains a classified document or information. No
employee may handle or review classified information without the requisite level of
clearance. (In recent history, the Board has encountered a number of ROPs
containing classified information that a party obtained through the website
“WikiLeaks.”) The fact that classified information may or has been leaked to the public
does not change the fact that the information is classified. Public disclosure does not
relieve a government employee or contractor of the obligation to treat the information
as classified whenever it is encountered.
For detailed information regarding the Board’s directives for the receipt and
processing of case-related classified National Security Information (NSI), consult
Chairman’s Memorandum BIA 17-02 – “Classified National Security Information
Document Control,” available on the BIA Web Page, Chairman’s Memo Book.
(b) How classified information reaches the ROP. – As a practical matter,
classified information comes before the Board only when a party submits it for the
record. This usually happens at the Immigration Court level, where the Immigration
Judge is supposed to handle the submission in accordance with classified information
protocols (which are applicable to both the courts and the Board). Occasionally, the
Immigration Court may not discover or recognize the classified information (which
often times is a small portion of a voluminous filing) or a party may submit the classified
information directly to the Board through a filing. It is incumbent on Board staff to spot
and then properly handle such information.
(c) Steps to take if classified information is found or suspected. – If a
Board employee or contractor discovers, or even suspects, that he or she has

BIA Style Manual Chapter 2
24 January 12, 2018
encountered classified information, the following steps should be taken immediately
to ensure that information is handled properly.
1. Secure the information immediately. Do not examine it. Do not attempt to
verify that the information is classified or assess its level of classification.
2. Then notify a supervisor immediately, who will in turn notify the Board’s
Classified Case Coordinator and/or designated SLA. If your supervisor or
another supervisor is not available, contact the Classified Case Coordinator
and/or designated SLA directly. The EOIR Office of Security should be
contacted only if neither the Classified Case Coordinator and/or designated
SLA are available.
3. Keep a written record of how the document was handled prior and up to the
point that the classified information was discovered or suspected. Record each
step taken (how the discovery was made, what was seen and not seen, what
actions were taken to secure the record, who was consulted for guidance and
next steps, etc.). Be sure to record the date and time of each step. All of this
information is vital to assessing the damage of disclosed information and to
protecting Board staff from blame for mishandling classified information.
Be mindful that EOIR-issued laptops, computers, and fax machines are not
certified to process classified information and may not be used to process classified
information.
(d) Steps to take if working offsite. – The process and the steps to be taken,
are the same.
(e) Classification markings (indicator of classified information). – In
general, classified information is marked or labeled by the classifying agency. Entire
documents or just portions may be classified; and a given document may have
different levels of classification in different parts of the document, with each part
annotated for its particular level. If any portion of a document has markings at the Top
Secret, Secret, or Confidential level, then the entire document is treated as classified.
The following classification levels and/or symbols for information that is classified may
be seen in the document:
• Top Secret “(TS)”
• Secret “(S)”
• Confidential “(C)”

BIA Style Manual Chapter 2
25 January 12, 2018
In addition, a document may have non-classified marking and/or symbols that
reflect that information is not classified. The following non-classified markings and/or
symbols may be seen in the document:
• Unclassified “(U)”
• Sensitive but Unclassified “(SBU”)
• Controlled Unclassified Information “(CUI)”
• For Official Use Only “(FOUO)”
• Limited Official Use “(LOU)”
The fact that a document containing classified information also contains
unclassified information does not change the overall classification of the document.
The entire document is still considered classified at the highest level of the classified
information within it, until declassified by an appropriate U.S. Government authority.
With immigration proceedings, State Department cables seem to be the most
common form of leaked information that makes its way into the record, usually as
supporting evidence of country condition evidence or documentation of an alien’s
collaboration with law enforcement. Be especially vigilant about classified information
whenever a State Department cable appears in the record (and watch for any
indication it was obtained through WikiLeaks).
(f) Cases subject to a Protective Order. –
(i) Generally. – An Immigration Judge has the authority to issue
protective orders and to seal related records in immigration or bond
proceedings to ensure that sensitive but unclassified information is protected
from general disclosure. See 8 C.F.R. § 1003.46. Only the DHS may file a
motion to protect specific information that it intends to submit or is submitting
under seal and may do so at any time. The Immigration Judge may issue a
protective order barring disclosure of such information upon a showing by the
DHS of a substantial likelihood that the information, if disclosed, would harm
national security or law enforcement interests of the United States.
Unlike classified information, the information subject to the protective
order may be reviewed by the alien and his or her representative. Also,
although information subject to a protective order does not require Board
employees to have a special clearance for handling or reviewing the sensitive
information subject to the protective order, all Board employees must make

BIA Style Manual Chapter 2
26 January 12, 2018
every effort to prevent inadvertent disclosure to anyone in the public. For
detailed information regarding the Board’s directives for the receipt and
processing of cases involving protective orders, consult Chairman’s
Memorandum BIA 10-05 - Processing Cases Subject to a Protective Order.
See BIA Webpage, Chairman’s Memo Book.
2.5 Tabbing the ROP
Tabbing is an art, and staff should aim for a balance between too little and too much.
Tabbing the relevant portions of the ROP is very helpful for the Board Members, but an
overabundance of tabs defeats the purpose. Tabs are most useful when they identify:
• critical testimony of the respondent or key witnesses
• where cross examination begins
• dispositive exhibits such as criminal records of conviction and related
documents
• documents relied upon by the Immigration Judge for credibility findings
or burden of proof.

BIA Style Manual Chapter 3
27 January 12, 2018
3 Creating the Electronic Decision
3.1 Where To Start
The starting point for creating a decision is to choose the appropriate BIA template
based upon the type of proceeding. Each type has specific heading caption requirements.
Templates have been created in Word, which contains the appropriate format settings for the
captions and the body of the decision.
Below is a list of the types of proceedings generally before the Board. Asterisks (**)
indicates that a template has been created for that type of proceeding. Where no template
has been created, one of the existing templates should be modified accordingly.
• APPLICATION FOR ADVANCE PERMISSION TO ENTER AS A
NONIMMIGRANT PURSUANT TO SECTION 212(d)(3) OF THE
IMMIGRATION AND NATIONALITY ACT **
• IN ADJUSTMENT OF STATUS PROCEEDINGS
• IN ASYLUM AND/OR WITHHOLDING PROCEEDINGS **
• IN ATTORNEY DISCIPLINE PROCEEDINGS **
• IN BOND PROCEEDINGS **
• IN CONTINUED DETENTION REVIEW PROCEEDINGS
• IN DEPORTATION PROCEEDINGS **
• IN EXCLUSION PROCEEDINGS **
• IN FINE PROCEEDINGS **
• IN PRACTITIONER DISCIPLINARY PROCEEDINGS **
• IN REMOVAL PROCEEDINGS **
• IN RESCISSION PROCEEDINGS UNDER SECTION 246 OF THE
IMMIGRATION AND NATIONALITY ACT **

BIA Style Manual Chapter 3
28 January 12, 2018
• IN VISA PETITION PROCEEDINGS **
• IN VISA PETITION REVOCATION PROCEEDINGS
3.2 BIA Templates
(a) Accessing. – The BIA templates are located under the tab labeled “BIA
Templates” on the Word Ribbon. Below is an illustration showing the location of the
tab.
By clicking on the “BIA Templates” tab, the user will see a ribbon that contains
the types of proceedings for which a template has been created. Below is an
illustration of the BIA Templates ribbon with the type of proceedings circled.

BIA Style Manual Chapter 3
29 January 12, 2018
By clicking on the name of a template, the selected template will open as a new
Word document. A Template Information box will also appear in which the user may
enter information to complete captions. Below is an illustration showing what appears
when the “Removal Proceeding” icon is selected.
(b) Separate Opinion Templates. – In addition to templates for the types of
proceedings, templates have also been created for the following types of separate
opinions:
• Concurring opinion
• Concurring/dissenting opinion
• Dissenting opinion
3.3 Where to Save Electronic Decisions
(a) Network drives. – While the Board has multiple network drives (indicated
by a letter followed by a colon), electronic decisions are not to be saved on the C: or

BIA Style Manual Chapter 3
30 January 12, 2018
H: drives. Documents on the C: or H: drive are inaccessible to other staff members.
In addition, files stored on the C: drive are not backed up and will be lost if the file,
software, or computer is damaged or lost.
(b) Electronic File Folders. –
(i) Team folders. – All electronic copies of Board decisions belong in
the folder bearing the name of the drafting attorney or paralegal. Those folders
are located within each person’s Team folder.
(ii) Subject subfolders. – Attorneys and paralegals may elect to utilize
subfolders to organize and maintain electronic decisions. Subfolders should
correspond to general subject areas that are frequently addressed by the
Board. Commonly used short form names or abbreviations make subfolders
easier for others to find and navigate. Following is a list of general subject
areas and corresponding subfolder names (short name or abbrev.) that are
commonly used when a new attorney or paralegal folder is created. For that
reason, the use of these folder names and abbreviations are highly
recommended, but other easily recognizable folder names or abbreviations are
also acceptable.
Subject
Subfolder
Short Name
Subfolder
Abbrev.
Abandonment of LPR Status
Abandon
ABND
Adjustment of Status
Adjustment
ADJ
Asylum and Withholding
Asylum
ASY
Bond
Bond
BOND
Cancellation of Removal
Cancellation
COR
Citizenship
Citizen
CIT
Constitutional Rights
Constitutional
CON
Criminal Aliens
Criminal
CRIM
Convention Against Torture
CAT
CAT
Evidence and Procedure
Evidence
EVID
In Absentia
In Absentia
INAB
Motions
Motions
MTN
Removability
Removability
RMV
Visa Petitions
Visa Petitions
VISA
Voluntary Departure
Voluntary Departure
VD
Waivers
Waivers
WVR
Attorneys and paralegals may add other subject folders and subfolders.
However, electronic decisions may not be placed in temporary or transitory
folders (e.g., folders named “circulating orders”), given the risk that those
decisions will not subsequently be moved to a location where the files can be

BIA Style Manual Chapter 3
31 January 12, 2018
found. Also, when naming folders and subfolders, folder names should be kept
short and have labels that are easily identified by others. Similarly, these
folders and subfolders are part of the file path that is used when completing the
circulation sheet, and the file path must be completely and accurately identified
on the circulation sheet. See Chapter 9.3(b)(ix) (Document filename). Do not
assume that the user will intuit the location of the file.
3.4 File Naming Convention
(a) Generally. – Any electronic decision must have a file name with standard
descriptive elements in order of appearance as listed below.
1. Alien number – required
2. Alien/beneficiary name – required
3. Separate opinion – required if applicable
4. Version – required if more than one version is saved
5. Drafter/editor’s initials – required if applicable
Examples:
New file – 012345678 XENOS amm
Newer version – 012345678 XENOS v2 amm
Separate opinion – 012345678 XENOS (dissent) amm
Edited order – 012345678 XENOS amm dbh
Edited order (multiple) – 012345678 XENOS amm dbh hm dbh
(b) “A” number. – The file names for electronic decisions must always begin
with the alien registration number (A number). Do not start the file name with the
letter “A.” Do start the file name with the number “0” when the A number is eight digits
long and not nine. The A number should always be nine consecutive numbers without
dashes, spaces, or underscore.
Example: 012345678 XENOS amm
If there is more than one alien and the decision is identical for both the lead
and rider, there is no need to include rider A numbers in the file name. However, if

BIA Style Manual Chapter 3
32 January 12, 2018
rider A numbers are included in the file name, they should be identified by the last
three digits of the rider’s A number (whether or not the files are numbered sequentially)
and inside the parentheses (in the same way as a separate opinion is identified).
However, if there is a rider that requires a different decision, then that electronic
decision will be identified by a separate file name starting with the rider’s A number,
without reference to the lead A number.
Examples:
012345678 XENOS amm
012345678 (680 691) XENOS amm
(c) Alien last name. – Use only the alien’s last name as identified in the
charging document or visa petition, which in turn should match the name in the
charging document. (If the name appearing in the charging document does not match
what appears in CASE, bring the discrepancy to the attention of a TL.) Do not include
aliases, even if they appear in the charging document or visa petition. Do not shorten
names unless they are exceedingly long.
Examples:
012345678 XENOS v2 amm hm
012345678 XENOS (dissent) amm
(d) Separate opinion. – When the proposed decision is a separate opinion,
the file name must reflect that.
Example: 012345678 XENOS (concur) amm
(e) Version. – If multiple versions of a decision are saved, then the file name
should include the version number to allow editors to distinguish between versions.
Use the letter “v” and a number to indicate the version number. Do not include a
period (e.g., “v” not “v.”).
Minor edits to a proposed decision do not merit saving a new version. Rather,
a new “version” should be significantly different from the prior draft (e.g., there have
been significant substantive changes in the content of the decision; there are so many
minor changes that it makes sense to retain the prior decision).
Example: 012345678 XENOS v1 amm

BIA Style Manual Chapter 3
33 January 12, 2018
(f) Drafter’s initials. – The original author of the proposed decision must
include his or her initials (lower case) in the file name.
Example: 012345678 XENOS amm
(g) Editor’s initials. – An “editor” is any person, other than the original drafter,
who edits the proposed decision, be it a Board Member, a legal assistant, or other
staff authorized to revise the decision or input edits. Editors must add their initials and
update the version number, if appropriate, before saving the edited version in the
original drafter’s folder. Editors should use the “save as” function in Word in order to
preserve the prior version. The last initials (lower case) should always be the last
person who altered the decision. Also, to preserve editing history, no initials should
ever be deleted.
Examples:
last edited by a legal assistant 012345678 XENOS amm hm
last edited by a Board Member 012345678 XENOS amm hm dbh
The circulation sheet must also be updated to reflect the editor’s initials.
(h) Separators. – To separate file name elements, use a space, not
dots/periods (.), underscores (_), or dashes (-) to represent a space between file name
elements.
Example: 012345678 XENOS amm
Not 012345678.XENOS.amm, or
012345678_XENOS_amm, or
012345678-XENOS-amm
(i) Additional information. – Once the required elements are listed (and in the
right order), additional information may be added (e.g., issue, country, key words). If
additional information is included, use spaces as a separator, not a period,
underscore, or dash. As a practice, try to keep additional information succinct. Avoid
special characters, -- such as: “?” “/” “$” “%” “&” “#” “.” “\” “:” “<” “>” -- since many of
these characters will not work in file names and may complicate file searching.
Examples:
012345678 XENOS amm mtr for approved I-130

BIA Style Manual Chapter 3
34 January 12, 2018
012345678 XENOS v03 amm hm npm sec 212(c) 10th cir
(j) File extension. – Do not add “.docx” at end of a file name because this is
the default setting in Word and will automatically be included in the file name by Word.
Also, do not use the file extension “.docm” since this extension will prevent the
contents of the file to be searched. As a result, when using the BIA templates and first
saving the electronic decision, make sure to change the file type to “.docx” and select
“Yes” when the dialogue box below appears on the screen. This action will enable the
document to be saved as a “.docx” file.


BIA Style Manual Chapter 4
36 January 12, 2018
4.2 Captions Generally
Captions, which appear at the beginning of each Board decision, identify the type of
proceedings and may include information related to applications for relief from removal.
Although more information on captions is provided later in this chapter, below are illustrations
of a typical caption for a decision involving removal proceedings and visa petition
proceedings.

BIA Style Manual Chapter 4
37 January 12, 2018
Each type of proceeding before the Board has its own specific caption requirements.
As a result, when preparing to draft a decision, determine first the type of proceeding before
the Board. The next step is then to select the appropriate proceeding within the BIA
Templates and complete the fields within the “Template Information” box and other required
information. This chapter provides guidance as to what information should be included within
each caption and when to delete or not include a particular caption.
4.3 File: Alien Registration Number (A number)
(a) Generally. – The A number, without hyphens or dashes is placed in the
“File:” caption. For example, A123 456 789.
(i) Nine-digit A number. – A numbers have nine digits (e.g., A234 567
890). Formerly, A numbers had eight digits (e.g., A12 345 678). In the case of
an eight-digit A number, place a “0” before the A number (e.g., A012 345 678).
(ii) BIA Templates. – When using a template, the letter “A”: is
automatically placed in the caption for the A number by the template. However,
the spaces in the A number are not automatically inserted by the template. The
spaces must be included after the third and sixth number when inserting
information in the template dialogue box or after completion.
(b) Multiple aliens. – When the decision applies to more than one alien, all
aliens must be listed in the caption of the decision, unless the cases are severed or
separate decisions are prepared as a result of different outcomes or types of
proceedings.
(i) How multiple A numbers appear in caption. – When there are
multiple aliens in a decision, list riders on separate line(s) below the lead alien’s

BIA Style Manual Chapter 4
38 January 12, 2018
A number. Also, the caption title “File:” must be changed to “Files:” For
example:
Files: A012 345 678
A012 345 679
Below is an illustration of how the A number caption appears when the
Board’s decision pertains to multiple aliens.
(c) How multiple aliens appear in the Header on second and subsequent
pages. – The second and all subsequent pages for a decision involving multiple aliens
must state the lead A number followed by “et al.” and no other A numbers. Although
the header is automatically created when using the BIA Templates, the second page
will need to be manually updated, i.e., insert “et al.” Note that there is no comma after
the A number and before the “et al.” Also, the “et al.” is not in italics. Below is an
illustration of how the header on subsequent pages for decisions with multiple aliens
should appear.

BIA Style Manual Chapter 4
39 January 12, 2018
(d) Visa petition case with multiple beneficiaries. – Generally, DHS does
not consolidate family members’ visa petitions, and the Board issues a separate
decision for each beneficiary, without listing the other beneficiaries’ names or A
numbers. However, on the rare occasion where the DHS has consolidated family
members and issued one decision for the group, all the beneficiaries that are included
on the Notice of Appeal or motion filed by the petitioner must be listed in the caption
unless the cases are severed.
When there are consolidated family members in a decision, list the other family
members on separate line(s) below the lead beneficiary’s alien number. Also, the
caption title “File:” must be changed to “Files:” as well as change “Beneficiary” to
Beneficiaries” in the “In re:” caption. For example:
Files: A075 648 264 – California Service Center
A075 648 265
In re: Nhu Bau HO
Sun Ti HO, Beneficiaries of a visa petition filed by
John Ho, Petitioner
Below is an example of how the A number caption should appear with multiple
beneficiaries when the DHS has consolidated petitioners.

BIA Style Manual Chapter 4
40 January 12, 2018
4.4 Hearing Location
(a) Generally. – The city and state of the final designated hearing location (as
identified in the final hearing notice issued by the Immigration Court) is listed in the
caption. For the city, use the full city name and not an abbreviation (e.g., do not use
NY, NY). For the state, use the correct postal abbreviation (e.g., Chicago, IL). Below
is an example of a hearing notice issued by an Immigration Court. Do not use periods
with state abbreviations.
In the illustration, the hearing has been scheduled on June 5, 2015, at
26 Federal Plaza, 14th Floor, Courtroom #12, New York, NY 10278. Since this was
the final scheduled hearing in this matter, the caption in the Board’s decision would
identify the hearing location as New York, NY.

BIA Style Manual Chapter 4
41 January 12, 2018
(b) Telephonic or video-conference. – When a hearing is conducted by
telephone and/or video conference, the hearing location as designated by the
Immigration Court may be different from where the Immigration Judge and/or alien are
physically located. In these situations, OCIJ’s Operating Policies and Procedure
Memorandum No. 04-06 defines the hearing location as the location where the case
is “docketed” for hearing. When a respondent appears via VTC from a detention
center, the hearing location (where the case is docketed) is the detention center where
the alien is physically located.
Below is a hearing notice that directs the alien to appear at the Hartford
Immigration Court via VTC from a detention facility in Greenfield, MA. If this were the
alien’s last hearing notice, the hearing location would generally be captioned as taking
place in Greenfield, MA.
Below is an illustration of how the hearing location caption based on hearing
notice above.

BIA Style Manual Chapter 4
42 January 12, 2018
However, there may be instances in which the alien was directed to appear at
one location but the alien’s physical location was at another. In these circumstances,
the alien’s physical location is controlling and should be listed in the caption. If,
however, the record is not clear, consult your TL for guidance.
(i) Immigration Judge and alien are located in different federal
circuits. – To avoid confusion by the parties or a federal circuit court, include
a footnote when the Immigration Judge and alien are located in different
circuits. In the footnote, describe the Board’s reasoning for designating a
specific hearing location, i.e., state that the Board is applying the Circuit law of
the respondent’s physical location at the time of the final hearing.
In the illustration below, the decision includes a footnote acknowledging
that the case was docketed in Greenfield, MA, but that the Immigration Judge
was physically located in Hartford, CT when proceedings were conducted
through video-conference.
Information on hearing locations for the Immigration Courts is available
on EOIR’s website.

BIA Style Manual Chapter 4
43 January 12, 2018
(ii) Seventh Circuit footnote. – The Court of Appeals for the Seventh
Circuit has held that the hearing location is where parties are required to file
their motions and briefs and where orders are prepared and entered. See
Ramos v. Ashcroft, 371 F.3d 948 (7th Cir. 2004). If the case arises in the
Seventh Circuit and the outcome of the case would be the same regardless of
which circuit law applied, then the example footnote below may be used (and
should be updated as necessary). Otherwise the Seventh Circuit case law on
video teleconference hearings should be applied.
(iii) Other Circuit Courts. – The First, Third, and Tenth Circuit have
also published cases addressing this issue. See Yang You Lee v. Lynch, 791
F.3d 1261 (10th Cir. 2015) (finding that the proposed regulation permitting
venue in place identified on notice for final hearing, rather than in place where

BIA Style Manual Chapter 4
44 January 12, 2018
final hearing was actually held, was not entitled to Skidmore deference);
Georcely v. Ashcroft, 375 F.3d 45, 48 (1st Cir.2004) (noting that proceeding
conducted in St. Thomas but likely docketed in Puerto Rico might be deemed
“completed” in Puerto Rico because IJ's order was docketed there, but not
deciding the issue); Bonhometre v. Gonzales, 414 F.3d 442, 446 n. 5 (3d Cir.
2005) (noting that venue is not jurisdictional and declining to transfer case
where the parties' presentations in this Court were complete). Remember to
check and follow the relevant law of the circuit in which the case arises, and
include this information in a footnote.
(c) When a change of venue is granted by the Board. – In a case where the
Board’s decision reflects that change of venue is being granted by the Board, the
hearing location caption should reflect the city and state of the final hearing location
as designated by the Immigration Court’s hearing notice, not the location where venue
will be on remand. See subsection (a) above. The Immigration Court will take the
necessary steps to effect the change of venue upon receipt of the record of
proceedings and will forward the record to the Immigration Court to which the venue
has been changed.
(d) Visa petition proceedings. – The United States Citizenship and
Immigration Services (USCIS) is responsible for adjudicating immigrant visa petitions.
USCIS has five Service Centers that process visa petitions, as well as numerous Field
Offices that adjudicate petitions.
For purposes of this caption, a decision rendered by one of the five Service
Centers or the National Benefits Center is listed without the city or state. However,
when a decision has been rendered by one of the Field Offices, the caption should
identify the city and state (abbreviation) of that office. Do not try to pick the closest
Service Center and do not create a new Service Center for purposes of the decision.
For example, there is no Florida Service Center. The five Service Centers are:
• Vermont Service Center
• Nebraska Service Center
• California Service Center
• Texas Service Center
• Potomac Service Center

BIA Style Manual Chapter 4
45 January 12, 2018
Below is an illustration of how the hearing location caption should appear for
one of the Service Centers.
Below is an example of how the hearing location caption should appear for the
National Benefits Center. Note: Do not list the city and state (Lee’s Summit, MO)
where the National Benefits Center is located.

BIA Style Manual Chapter 4
46 January 12, 2018
Below is an example of how the hearing location caption should appear for a
Field Office.
(e) Fine proceedings. – The hearing location caption should always state
“Washington, DC” because the Carrier Fines Branch of DHS’ Customs and Border
Patrol (CBP) is located in the District of Columbia. Below is an illustration of how the
hearing location should appear.

BIA Style Manual Chapter 4
47 January 12, 2018
(f) Applications for advance permission (Section 212(d)(3)(A) waiver). –
The Admissibility Review office is a division of CBP is responsible for the adjudication
of section 212(d)(3)(A) waiver applications. These adjudications are not centralized
in one office and can be adjudicated by any number of DHS offices. List the city and
state (abbreviation) where the decision of the Admissibility Review office was
rendered. Below is an illustration of how the hearing location should appear.
4.5 Names
(a) Generally. – For purposes of the “In re:” caption, the Board’s practice is to
list the alien’s name as identified in the charging document but in the following order:
first name, middle name (if any), and last name. The last name is the only part of the
name that will appear in all CAPs unless fall within the exception discussed in
subsection (ii) below. For example:
In re: John KARL
See illustration on the next page.

BIA Style Manual Chapter 4
48 January 12, 2018
Below is an illustration of a Notice to Appear (charging document in removal
proceedings) where the alien’s name is listed in the “Respondent: line:” as John KARL.
The last name is the only part of the name that will appear in all CAPs in the
caption. For example:
In re: John KARL
Below is an illustration of how a name appears in the caption for removal
proceedings.

BIA Style Manual Chapter 4
49 January 12, 2018
Below is an illustration of how the respondent’s name should appear in CASE
(Appeals Tab), based upon the information contained in the illustration of a Notice to
Appear on the previous page. If the name appearing on the charging document does
not match what appears in CASE, see subsection (d) below.
Below is an illustration of how the respondent’s name should appear on a
barcode.
Note: Although some charging documents (as well as CASE and the ROP
barcodes) use a “last name first” convention, captions should be in regular name order.

BIA Style Manual Chapter 4
50 January 12, 2018
If there is a middle name identified in the charging document, the middle name
in the caption should be in lower case and only the last name is in CAPs. For example:
In re: Jane Anne STEVENS
Below is an example of how the alien’s name would appear in the caption if
they had a middle name.
It is not always clear from the charging document precisely which portion of the
respondent’s name is the last name (e.g., when the respondent or applicant’s name
appears MARIO ALFONSO VALDEZ GARCIA or Mario Alfonso Valdez Garcia). In
such cases, check CASE to see how the alien’s name was entered. You may also
check on how the alien’s name appears on the barcode of the ROP(s). Below is an
illustration of how the alien’s name appears in for the example Notice Appear.

BIA Style Manual Chapter 4
51 January 12, 2018
Below is an illustration of how the alien’s name was entered in CASE for the
example Notice to Appear on the previous page.
Below is an illustration of how the alien’s name should appear on the barcode
for the example Notice to Appear.
Based on the information contained in the charging document, CASE, and the
barcode, the alien’s name would be listed in the caption as illustrated below:

BIA Style Manual Chapter 4
52 January 12, 2018
(i) No charging document. – Some proceedings before the
Immigration Court are not initiated by the filing of a charging document. For
example, a “zero bond.” In such cases, use the respondent’s name that
appears in CASE.
(ii) No last name or first name. – Sometimes the respondent,
petitioner, or beneficiary does not have a last name or first name. If the
charging document (or Form I-130) or CASE recognizes the lack of a last or
first name, then list the “name” as identified. If DHS recognizes that an alien
does not have a first name by using the abbreviation “NFN,” use all CAPs for
the abbreviation. For example:
In re: NFN KARL
If DHS does not recognize the lack of a first or last name by leaving this
information blank in the charging document (or Form I-130), list the name that
appears in CASE in all CAPs. For example:
In re: JOHN
(b) Multiple surnames or family names. – If the charging document identifies
more than one surname or family name, then list the name as identified. For example,
if the charging document identifies the respondent or applicant’s name as Juan
VALDEZ-Granada, as seen in the illustration below, the caption would appear as
follows:
In re: Juan VALDEZ-GRANADA

BIA Style Manual Chapter 4
53 January 12, 2018
Below is an illustration of how the caption would appear.
If the charging document hyphenates the two last names, then hyphenate the
name in the caption. Do not insert hyphens if no hyphen is used in the charging
document.
(c) Aliases. – When there are aliases listed in the charging document, they
should also appear in the “In re:” caption -- in lower case, following the alien’s name,
and separated by an “a.k.a.” There should be a separate “a.k.a.” for each alias. For
example:
In re: John SMITH a.k.a. Karl Smith a.k.a. John B. Smith

BIA Style Manual Chapter 4
54 January 12, 2018
Based on the information contained in charging document from the previous
page, the alien’s name would be listed as:
In re: John SMITH a.k.a. Karl Smith a.k.a. John B. Smith
Below is a snapshot of how the caption would appear in the Board’s decision.
If a second line is needed to list the aliases, then the second line starts directly
below the respondent’s first name, as illustrated below.

BIA Style Manual Chapter 4
55 January 12, 2018
If the charging document lists numerous aliases or repeats listed names,
consult either with your TL as to which aliases to include or use a footnote to recognize
the numerous aliases.
(d) Mismatch between CASE and the charging document. – Usually the
name appearing on the charging document (or Form I-130) matches what appears in
CASE. When it does not, bring the discrepancy to the attention of a TL. Do not try to
determine which name is correct, and do not circulate the proposed decision with
instructions to the Docket team to update CASE. Rather, take the case to a panel
SCMS who may make the correction in CASE. If a panel SCMS is not available,
contact your TL or SPA who may complete a Quality Problem Correction form to
request that the Clerk’s Office address the discrepancy. See BIA Webpage, Forms
Book (Quality Problem Correction form).
(e) Mismatch between other documents in the record and the charging
document. – If documents in the record (such as a birth certificate, an application for
relief, NOA, or brief) spell the alien’s name differently from how it appears in the
charging document, the name may be listed as an “a.k.a.” Similarly, if the respondent
spells his or her name during the hearing, the transcript version may also be listed as
an “a.k.a.” However, it is not necessary to list every permeation of an alien’s name
that appears in the record. When appropriate, names or spellings not listed in the
charging document may be listed as “a.k.a.” in the caption that are repeatedly used as
an alias in the record.
For example, if the asylum application (Form I-589), appellate brief, and
EOIR-33/BIA (Change of Address) all list the alien’s name as “Jon Smith,” but the NTA
and CASE identify the respondent as “John Smith,” the caption may read:
In re: John SMITH a.k.a. Jon Smith
When this happens, do not instruct the Docket Team via a circulation sheet to
correct the spelling of the alien’s name.
(f) Multiple aliens. – Where there is more than one alien filing an appeal or
motion, list all of them in the “In re:” caption. List the lead rider first, then riders
immediately below the lead -- first and middle name, then the last name in all CAPs.
The same formatting rules apply as described in the subsections above.
In addition, when using a template, the following caption elements will need to
be corrected:
• Change “File:” to “Files:”
• Change “RESPONDENT:” to “RESPONDENTS:”

BIA Style Manual Chapter 4
56 January 12, 2018
For example:
Files: A012 045 078 – Los Angeles, CA
A012 045 079
In re: John DOE
Jane DOE
Below is an illustration of how multiple aliens’ names should appear in the caption.
(g) Visa petitions. –
(i) Generally. – The DHS does not consolidate family members’ visa
petitions, and the Board issues a separate decision for each beneficiary. List
the beneficiary name as it appears in the petition (Form I-130) with the last
name in all CAPs. The petitioner name as it appears in the
petition (Form I-130) should be listed in lower case. If there is a discrepancy
between the name appearing on the Form I-130 or other documents in the
record and what appears in CASE, see subsection (d) and (e) as to how to
proceed. Note: Aliases are not included in the caption for visa petitions.

BIA Style Manual Chapter 4
57 January 12, 2018
For example:
In re: Kathy SMITH, Beneficary of a visa petition filed by
Karl Stewart Smith, Petitioner
Below is an illustration of how the beneficiary and petitioner’s names should
appear in the caption.
Note: See section 4.7(d) (Petitioner) when the alien is allowed to self-
petition.
(ii) DHS consolidated multiple aliens’ visa petition. – On rare
occasions, DHS will consolidate related visa petitions and issue only one
decision. If the petitioner lists both beneficiaries on the appeal or motion, then
both beneficiaries are listed in the caption. An example of a caption for multiple
beneficiaries in a case consolidated by DHS may be found in section 4.3(d) of
this Chapter.

BIA Style Manual Chapter 4
58 January 12, 2018
(h) Fine proceedings. – The entire name of the carrier is listed in all CAPS.
Although the alien passenger’s name is also listed, it is in lower case not all CAPs.
For example:
In re: CHINA AIRLINES FLIGHT NO. C1012, which arrived at New York, NY from Taipei,
Taiwan, on July 2, 2000.
Alien passenger involved:
Li Mint HO
Below is an illustration of how the caption should appear in the Board’s
decision.
4.6 The Posture of Case
(a) Generally. – The caption must identify the posture of the case before the
Board, which includes the following designations:
• APPEAL
• MOTION

BIA Style Manual Chapter 4
59 January 12, 2018
• APPEAL AND MOTION
• CERTIFICATION
• INTERLOCUTORY APPEAL
(b) Appeal. – The designation “APPEAL” in all CAPs is used when the posture
of the case is a direct appeal from the decision of either the Immigration Judge or a
DHS officer.
(i) IJ MTR. – The designation “APPEAL” also includes cases where a
party is appealing from an Immigration Judge’s decision denying or granting a
motion to reopen or reconsider. For example, if an alien appeals an
Immigration Judge’s denial to rescind an order of removal entered in absentia,
then “APPEAL” would appear in this caption, not “MOTION.”
(ii) Federal court remand. – When a federal court vacates the Board’s
decision dismissing an alien’s appeal and remands the case to the Board for
further proceedings, put “APPEAL” in the caption. There may be times when
it is unclear whether the federal court vacated the Board’s underlying decision.
In such a case, first consult with your TL to evaluate the nature of the federal
courts decision. If the federal court did not vacate the Board’s underlying
decision, use the posture of the case identified in the Board’s decision
challenged in federal court.
(iii) Untimely appeal or waived appeal. – When the Board elects to
review a case involving an untimely or waived appeal, in its discretion, the
designation “APPEAL” is used in the Board’s caption. Also, include a footnote
to this caption or explain in the introductory paragraph of the Board’s decision

BIA Style Manual Chapter 4
60 January 12, 2018
that the appeal is being considered pursuant to the Board’s authority 8 C.F.R.
§ 1003.1(c). For example:
• “To resolve any issues of timeliness, we will consider this matter on
appeal pursuant 8 C.F.R. § 1003(c).”
Below is an illustration on how the Board’s caption would appear if the
designation “APPEAL” and a footnote were used.
(iv) Administrative return or certification. – If in the Board’s prior
decision the case was remanded or returned to the Immigration Court for an
administrative deficiency (e.g., missing a transcript, Immigration Judge
decision, charging document), and the deficiency has been corrected and the
case returned to the Board for further adjudication, the designation “APPEAL”
is used in the caption, not “CERTIFICATION.” For more information as to when
to use the caption “CERTIFICATION,” see section (e) below.
In addition, if the Board’s prior decision remanded the case to the
Immigration Judge to adjudicate a particular issue and to thereafter return or
certify his or her decision back to the Board, put “APPEAL” in the caption.

BIA Style Manual Chapter 4
61 January 12, 2018
(c) Motion. – The designation “MOTION” is used only when the motion to
reopen or reconsider is filed with the Board.
In addition, when a federal court vacates the Board’s decision denying an
alien’s motion to reopen or reconsider and remands the case to the Board for further
consideration of the motion, put “MOTION” in the caption. There may be times when
it is unclear whether the federal court vacated the Board’s underlying decision. In
such a case, first consult with your TL to evaluate the nature of the federal courts
decision. If the federal court did not vacate the Board’s underlying decision, use the
posture of the case identified in the Board’s decision challenged in federal court.
Below is an illustration on how the Board’s caption would appear if the designation
“MOTION” is used.
(d) Appeal and motion. – The designation “APPEAL AND MOTION” is used
when the case involves both an appeal and motion. Generally, this occurs when a
party files a motion to remand the proceedings to the Immigration Judge while there
is a direct appeal pending before the Board. This designation is also used when a
motion to recalendar or reinstate proceedings is filed in a case that the Board has
administratively closed, e.g., for prosecutorial discretion, for temporary protected
status (TPS), or pursuant to the American Baptist Churches settlement agreement
(ABC).
See illustration on next page.

BIA Style Manual Chapter 4
62 January 12, 2018
Below is an illustration on how the Board’s caption would appear if the
designation “APPEAL AND MOTION” is used.
(e) Certification. – The designation “CERTIFICATION” is used only when a
case is certified to the Board by either the Immigration Judge or the DHS adjudicator
as permitted by the regulations. See 8 C.F.R. §§ 1003.1(c) and 1003.7. In other
words, “CERTIFICATION” is reserved for those cases in which the first time the Board
sees the case is upon a direct referral from the Immigration Judge or DHS officer –
and not when the Immigration Judge or DHS adjudicator has returned the case to the
Board subsequent to a remand or administrative return. Either include a footnote to
this caption or explain in the introductory paragraph of the decision that the case is
before the Board via certification.
The footnote should read as follows:
• “The Immigration Judge certified [his/her] decision to the Board
pursuant to 8 C.F.R. § 1003.7.
See illustration on next page.

BIA Style Manual Chapter 4
63 January 12, 2018
Below is an illustration of how the Board’s caption would appear if the
designation “CERTIFICATION” and a footnote are used.
Note: The Clerk’s Office enters the special issue “Immigration Judge
Certification (IJC)” or “District Director Certification (DDC)” in General Appeal
Information field in CASE when an Immigration Judge or DHS officer certifies his or
her decision pursuant to 8 C.F.R. §§ 1003.1(c) and 1003.7. On the next page is a
snapshot from CASE, Appeal Tab Screen showing the General Appeal Information
field and the “Special Issue” with an example of Immigration Judge Certification is
circled.

BIA Style Manual Chapter 4
64 January 12, 2018
Below is a snapshot from CASE, Appeal Tab Screen showing the General
Appeal Information field and the “Special Issue” with an example of Immigration Judge
Certification is circled.
(f) Interlocutory appeal. – The designation “INTERLOCUTORY APPEAL” is
used when one of the parties is appealing a preliminary ruling by an Immigration Judge
and a final decision regarding the immigration proceedings has not been entered. An
example of an interlocutory appeal is when an alien appeals the denial of a motion to
change venue or to suppress, but the case in chief is still pending before the
Immigration Judge.
The designation “Interlocutory appeal” should not be used in the
APPLICATION caption. Information on the APPLICATION caption is provided in
section 4.13 of this chapter.
See illustration on next page.

BIA Style Manual Chapter 4
65 January 12, 2018
Below is an illustration of how the Board’s caption would appear if the
designation “INTERLOCUTORY APPEAL” is used.
4.7 “ON BEHALF OF” - Designation of Individual or Entity in Proceedings
(a) Generally. – There are two parts to this element of the caption. First, one
of the following terms must be used to identify the individual(s) or entity being
represented before the Board, and the term must be in all CAPs:
• RESPONDENT
• APPLICANT
• PETITIONER
• BENEFICARY
• CARRIER/INDIVIDUAL

BIA Style Manual Chapter 4
66 January 12, 2018
Below is an illustration of the “ON BEHALF OF” designation for a respondent in
removal proceedings. The term “RESPONDENT” is highlighted here for illustration purposes
only.
When there is more than one person who is the subject of the appeal or motion, make
the term in the “ON BEHALF OF” line plural, and add an “s” to the word “File:” preceding the
A number listing. Below is an illustration of how these two elements should appear when
multiple aliens are referenced. Also, the letter “s” has been highlighted in the illustration only
to emphasize the need to make this element plural.

BIA Style Manual Chapter 4
67 January 12, 2018
(b) Respondent. – This term is used when proceedings before the Board fall
under one of these categories:
• Removal
• Deportation
• Bond
• Continued Detention
• Rescission
• Attorney Discipline
(c) Applicant. – This term is used in this caption when proceedings before the
Board fall under one of these categories:
• Exclusion
• Asylum and/or Withholding
• Application for Adjustment of Status (e.g., pursuant to HRIFA or
NACARA)
• Application for Advance Permission pursuant to section 212(d)(3)(A)

BIA Style Manual Chapter 4
68 January 12, 2018
The term “APPLICANT” is highlighted in the illustration below for emphasis only.
(d) Petitioner. – This term is used in the caption for visa petition proceedings
and is highlighted in the illustration for emphasis only. The term is also used when the
alien is permitted to self-petition. For example, an alien is self-petitioning because the
petitioner has died (e.g., self-petitioning widow(er)). See 8 C.F.R. § 1250.1(a)(3). On
the next page is an illustration of self-petitioning caption.

BIA Style Manual Chapter 4
69 January 12, 2018
Below is an illustration of when the term petitioner is used for a self-petitioning
visa petition. The term petitioner is highlighted in the illustration for emphasis only.
(e) Beneficiary. – Generally, the beneficiary to a visa petition has no standing
to file an appeal or motion, but there are instances where it is allowed or the Board will
render a decision nonetheless. The Board also renders decisions on appeals
improperly filed by a beneficiary (or a third party on behalf of a beneficiary), dismissing
the appeal for the filer’s lack of standing. It is only appropriate to use the term
beneficiary in the caption. The term “BENEFICIARY” is highlighted in the illustration
below for emphasis only.

BIA Style Manual Chapter 4
70 January 12, 2018
(f) Carrier/Individual. – The term “CARRIER” or “INDIVIDUAL” is used in fine
proceedings. Below is an illustration of the term carrier and is highlighted for emphasis
only.
4.8 Representation for Individual or Entity before the Board
(a) Generally. – The Board recognizes in its decision whether an individual or
entity in proceedings before the Board is represented and by whom. This recognition
also appears in the “ON BEHALF OF” caption that appears before the “ON BEHALF
OF DHS:” caption.
As a practical matter, there are four categories of people who may present
cases on behalf of an individual or entity: unrepresented aliens (pro se), attorneys,
accredited representatives, and certain kinds of individuals who are expressly
recognized by the Board. See generally 8 C.F.R. § 1292.1. They are:
• Pro se
• Attorney
• Accredited Representative
• Law Student

BIA Style Manual Chapter 4
71 January 12, 2018
• Law Graduate
• Reputable Individual
• Accredited Official
Non-lawyer “immigration specialists,” “visa consultants,” and “notarios” are not
authorized to represent parties before the Board.
The highlighted area in the illustration below identifies the ON BEHALF OF caption
where the representation status and related information appears:

BIA Style Manual Chapter 4
72 January 12, 2018
(b) Unrepresented Individuals (“Pro se” Appearances). –
(i) Generally. – When an individual in proceedings represents himself
or herself before the Board, the designation “Pro se” is listed in the caption.
For example:
ON BEHALF OF RESPONENT: Pro se
Below is an illustration showing the designation of “Pro se.”
(ii) No EOIR-27. – The “Pro se” designation is also appropriate when
an individual’s attorney or representative fails to file a Notice of Appearance as
Attorney or Representative Before the Board of Immigration Appeals (Form
EOIR-27). If a practitioner files an appeal or motion without a Form EOIR-27
and is not the “attorney” of record, the Clerk’s Office should accept the filing as
pro se and send a Form EOIR-27 requirement notification to the practitioner.
In addition, the Board will not recognize a practitioner based on an
Immigration Court appearance form (Form EOIR-28), even when the EOIR-28
is filed with the Board.
(iii) No EOIR ID number. – The “Pro se” designation may be
appropriate when an individual’s attorney or fully accredited representative who
is accredited to appear before EOIR fails to include the EOIR ID number on the
Form EOIR-27. Attorneys and accredited representatives must register with

BIA Style Manual Chapter 4
73 January 12, 2018
EOIR’s eRegistry in order to practice before the Board. See 8 C.F.R.
§ 1292.1(f).
The designation of “Pro se” is appropriate if an attorney or fully
accredited representative failed to include their EOIR ID number on the Form
EOIR-27 unless:
• Form EOIR-27 in the record of proceedings was received by the
Board (date stamp on form) on or before 08/01/2014, or
• “E-27 Date” in CASE reflects a date on or before 08/01/2014.
It is important to check the record of proceedings or CASE to see when
the filing was made and whether either of these conditions apply. Additionally,
if an attorney or accredited representative files an appeal or motion without an
EOIR ID number on the Form EOIR-27, the Clerk’s Office should reject the
filing. The Clerk’s Office will also provide both the individual and the
practitioner 15 days from the date of the rejection notice to perfect and resubmit
the filing.
(iv) Courtesy copy of Board decision footnote. –
(A) No EOIR-27 or a EOIR-28 is filed. – A footnote advising that
a courtesy copy of the Board decision is being provided to the
practitioner who failed to file a Form EOIR-27 or submitted a Form
EOIR-28 should only be included in the decision in those cases where
the Clerk’s Office failed to issue a Form EOIR-27 requirement notice to
the alien and the representative. The practitioner’s name should not be
included in the footnote.
See illustration on next page.

BIA Style Manual Chapter 4
74 January 12, 2018
Below is an illustration of an example footnote with suggested
language for when there is no EOIR-27 filed and the Clerk’s Office failed
to issue a Form EOIR-27 requirement notice to the alien and the
representative. The practitioner’s name is not included in the footnote.
See illustration on next page.

BIA Style Manual Chapter 4
75 January 12, 2018
Below is an illustration of a footnote advising that a courtesy copy
of the Board decision is being provided to the practitioner who submitted
a Form EOIR-28 and the Clerk’s Office failed to issue a Form EOIR-27
requirement notice to the alien and the representative. The
practitioner’s name should not be included in the footnote.

BIA Style Manual Chapter 4
76 January 12, 2018
(B) No EOIR ID number. – Where a Form EOIR-27 filed by an
attorney or accredited representative should have been rejected by the
Clerk’s Office because the practitioner failed to include their EOIR ID
number, it is appropriate to include a footnote advising that a courtesy
copy of the Board’s decision is being provided to that practitioner. The
practitioner’s name should not be included in the footnote.
Below is an illustration with an example footnote with suggested
language.
(C) Annotate circulation sheet. – When including a courtesy
copy footnote, the “Special Instructions To Docket” section of the
circulation sheet must be annotated to advise the Docket team to send
a courtesy copy of the Board’s decision. See Chapter 9 (Circulation).
(v) DHS appeal. – When the DHS files an appeal with the Board, the
individual subject to proceedings will be treated as unrepresented (pro se)

BIA Style Manual Chapter 4
77 January 12, 2018
unless and until the Clerk’s Office receives a Form EOIR-27 from the
respondent’s or applicant’s representative. A courtesy copy footnote for a DHS
appeal should only be included in those cases where the Clerk’s Office did not
issue a Form EOIR-27 requirement to the alien and his or her representative.
The practitioner’s name should not be included in the footnote.
The Clerk’s Office issues a Form EOIR-27 requirement notice to both
the alien and his or her representative if the DHS serves a copy of the Notice
of Appeal (Form EOIR-26) on that individual’s attorney or accredited
representative. However, if DHS only serves the Notice of Appeal on the
individual, then the Clerk’s Office does not send a Form EOIR-27 requirement.
(vi) Withdrawn representation. – Generally, a request to withdraw
representation will already have been dealt with before the case is assigned to
an attorney. However, where the record does not contain a notice from the
Board reflecting that a request to withdraw representation has been allowed,
then the withdrawal request should be addressed in the Board’s decision. The
request may be granted if the attorney or accredited representative has
complied with the requirements of Matter of Rosales, 19 I&N Dec. 655 (BIA
1988). In such cases, the caption should reflect that the individual is
unrepresented, i.e., Pro se, and include a footnote reflecting the disposition of
the motion.
(A) Grant request with alien still in the United States. – When
the requirements of Rosales are met and the alien is still in the United
States, a courtesy copy of the Board’s decision may be provided to the
former representative.
See illustration on next page

BIA Style Manual Chapter 4
78 January 12, 2018
Below is an illustration with an example of a footnote addressing
the request to withdraw representation and providing a courtesy copy of
the Board’s decision.

BIA Style Manual Chapter 4
79 January 12, 2018
(B) Grant request with alien outside the United States. –
When the requirements of Rosales are met, but the alien is no longer in
the United States, the representative may be allowed to withdraw from
the case, but he or she is still responsible for receiving correspondence,
notices, and the Board’s decision.
Below is an illustration with a sample footnote containing
language that may be used.

BIA Style Manual Chapter 4
80 January 12, 2018
(C) Deny request. – Below is an illustration with an example
footnote containing sample language denying an attorney’s request to
withdraw.
(vii) Representative is suspended. –
(A) Clerk’s Office notification of suspended counsel. – When
the record reflects that the Clerk’s Office has already notified the
individual of his or her representative’s suspension, the caption should
read “Pro se.” A footnote about the suspension in this instance is
optional and left to the discretion of the Board Member or panel.
(B) No Clerk’s Office notification of suspension. – When the
ROP has a purple copy of the suspension decision and order but does
not reflect that the Clerk’s Office has notified the represented individual
that their representative has been suspended, the caption should read
“Pro se,” (unless the individual has retained new representation), and

BIA Style Manual Chapter 4
81 January 12, 2018
there must be a footnote indicating that the representative is under an
order of suspension. Also, the “Special Instructions To Docket” portion
of the circulation sheet must be annotated so the Docket Team will know
to send the represented individual a copy of the Board’s suspension
decision and order. See Chapter 9 (Circulation).
Below is an illustration of the caption reflecting the
representation as “Pro se” and a footnote regarding the suspension of
the representative before the Board. (Note that this sample language
will not apply to all suspension scenarios.)

BIA Style Manual Chapter 4
82 January 12, 2018
(viii) Change in accredited representative status. –
(A) Clerk’s Office notification of change in accredited
representative status. – When the record reflects that the status of an
accredited representative has changed and that the Clerk’s Office has
notified the represented person of the change, the caption should read
“Pro se” (unless the individual has retained new representation). A
footnote about the change in accreditation status is optional and left to
the discretion of the Board Member or panel.
(B) No Clerk’s Office notification of a change in accredited
representative status. – When the records reflects a change in
accredited representative status and the Clerk’s Office has not notified
the represented person of the change, the caption should read “Pro se”
(unless the individual has retained new representation). There must be
a footnote indicating that the representative’s accredited status has
changed.
(c) Represented. – When the ROP contains a Form EOIR-27, only the
designated Primary Attorney/Representative’s name, as it appears on the form or as
updated by subsequent correspondence is listed on this line.
(i) Mismatch between CASE and the EOIR-27. – Usually the name
appearing on the EOIR-27 matches what appears in CASE and on Notices
issued from the Board.

BIA Style Manual Chapter 4
83 January 12, 2018
(A) First and/or last name discrepancy. – When the first
and/or last name appearing on the EOIR-27 does not match CASE and
Notices, first check the Comments screen in CASE to see if the Clerk’s
Office has already investigated the discrepancy. If the Clerk’s Office
has resolved the matter, then for purposes of the “ON BEHALF OF”
caption, list the first and last name as it appears on the EOIR-27.
However, if the Clerk’s Office has not resolved the issue, bring the
discrepancy to the attention of a TL or SCMS. Do not try to determine
which name is correct and do not circulate the decision with instructions
to the Docket team to update CASE. If necessary, a TL or SCMS will
complete a Quality Problem Correction form to request that the Clerk’s
Office address the discrepancy between the EOIR-27 and CASE. See
BIA Webpage, Forms Book (Quality Problem Correction form).
(B) Middle name discrepancy. – Attorneys and fully accredited
representatives must register with EOIR’s eRegistry in order to practice
before the Board. See 8 C.F.R. § 1292.1(f). eRegistry requires the use
of a full middle name as opposed to just a middle initial. For purposes
of the ON BEHALF OF caption, list what the attorney or fully accredited
representative has identified as their middle name. For example, if the
EOIR-27 notes John Q. Smith instead of John Quincy Smith (eRegistry
and CASE), then list “John Q. Smith, Esquire” in the ON BEHALF OF
caption.
(ii) Primary and Non-Primary Attorney/Representatives. – If several
representatives have filed an EOIR-27 in the case (usually seen where
representatives are from the same law firm), one of the representatives must
be designated as Primary Attorney/Representative. List only the designated
Primary Attorney/Representative in this caption, and do not include a footnote
stating that a courtesy copy of the Board’s decision will be provided to
Non-Primary Attorney/Representatives.
To determine which representative is the Primary
Attorney/Representative, either check the reverse of the Form EOIR-27, or look

BIA Style Manual Chapter 4
84 January 12, 2018
under the “REPs” tab in CASE. Below is an illustration of the relevant portion
of the Form EOIR-27.
(iii) Attorney. – An attorney may practice before the Board if he or she
is a member in good standing of the bar of the highest court of any State,
possession, territory, or Commonwealth of the United States, or the District of
Columbia, and is not under any order of any court suspending, enjoining,
restraining, disbarring, or otherwise restricting him or her in the practice of law.
See 8 C.F.R. §§ 1001.1(f), 1292.1(a)(1). For more information, please consult
the BIA Practice Manual.
If an EOIR-27 is submitted by an attorney who meets the requirements
set forth in the regulations and has provided an EOIR ID number, his or her
name should be followed by “Esquire” in the caption. As noted above, only the
Primary Attorney is listed in this caption. Below is an illustration of the caption
reflecting an attorney as the representative.

BIA Style Manual Chapter 4
85 January 12, 2018
(iv) Accredited representative. – An accredited representative is a
person who is approved by EOIR to represent aliens before the Board, the
Immigration Courts, and/or DHS. He or she must be a person of good moral
character who works for a specific nonprofit religious, charitable, social service,
or similar organization which has been recognized by EOIR to represent aliens.
A fully accredited representative may represent aliens before the Board, the
Immigration Courts, and DHS. A partially accredited representative may only
represent individuals before DHS and therefore would not practice before the
Board. For more information regarding accredited representatives, please
consult the BIA Practice Manual on the EOIR website.
If an EOIR-27 is submitted by an accredited representative who meets
the requirements set forth in the regulations and has provided an EOIR ID
number, his or her name should be followed by “Accredited Representative” in
the caption. A fully accredited representative is required to obtain an EOIR ID
number.
As discussed in the subsection above, only the Primary Representative
is listed in this caption. See illustration on next page.
(v) Law student or law graduate. – The regulations allow for an
individual to be represented by a law student or law graduate under certain
circumstances. See 8 C.F.R. § 1292.1(a)(2). If an EOIR-27 is submitted by a
law student or law graduate who meets the requirements set forth in the
regulations, his or her name should be followed by either “Law Student” or “Law

BIA Style Manual Chapter 4
86 January 12, 2018
Graduate” in the caption. A law student or law graduate is not required to obtain
an EOIR ID number.
Below is an illustration of the caption reflecting that the respondent’s
representative is a law student. As discussed in the subsection (ii), only the
Primary Representative is listed in this caption.
Below is an illustration of the caption reflecting that the respondent’s
Primary Representative is a law graduate.

BIA Style Manual Chapter 4
87 January 12, 2018
(vi) Reputable Individual. – The regulations allow for an individual in
proceedings to be represented by a “reputable individual.” See 8 C.F.R.
§ 1292.1(a)(3). Generally, whether to accept the submission of an EOIR-27 by
a person seeking to represent an individual in proceedings as a reputable
individual will have already been dealt with before the case is assigned to an
attorney. However, where the record does not reflect that the individual
seeking such recognition meets the requirements set forth in the regulations,
bring the matter to the attention of a TL, who will complete a Quality Problem
Correction form. The Clerk’s Office, in conjunction with a SLA, will address
whether the individual has met the regulatory criteria.
If an EOIR-27 is submitted by a person who has met the requirements
of a reputable individual, his or her name should be listed in this caption
followed by “Reputable Individual.” A reputable individual is not required to
obtain an EOIR ID number.
Below is an illustration of the caption reflecting that the respondent’s
representative is a reputable individual.

BIA Style Manual Chapter 4
88 January 12, 2018
(vii) Accredited Officials. – The regulations allow for an individual in
proceedings to be represented by an “accredited official” in the United States.
See 8 C.F.R. § 1292.1(a)(5). An “accredited official” is different from an
“accredited representative.” See supra. If an EOIR-27 is submitted by a
person seeking to represent an individual in proceedings as an accredited
official and this person meets the requirements set forth in the regulations, his
or her name should be listed in the caption followed by “Accredited Official.”
Below is an illustration of the caption reflecting that the respondent’s
representative is an accredited official.
4.9 DHS Representative
(a) Designation of DHS/ICE representative. –
(i) Generally. – The Office of the Principal Legal Advisor (OPLA) within
U.S. Immigration and Customs Enforcement (ICE) of the DHS is the U.S.
Government’s representative in proceedings before the Immigration Court and
the Board, if an appeal is filed. OPLA is headquartered in Washington, D.C.
and has 26 offices throughout the country, each headed by a chief counsel and
supported by deputy chief counsels and assistant chief counsels.

BIA Style Manual Chapter 4
89 January 12, 2018
(ii) Caption information. – The name and title, as it appears in the
latest substantive filing from the DHS, is listed in the “ON BEHALF OF DHS”
caption. The name of the DHS representative appears on the first line and is
followed by his or her title as it appears in the filing.
There may be instances where the latest substantive filing submitted on
behalf of DHS identifies two ICE attorneys. If it is clear, which DHS attorney
prepared the substantive filing, list their name and title. However, if you are
unsure, then select only one DHS attorney for this caption. Do not list DHS
judicial law clerks, legal interns, or paralegals in this caption.
(iii) When to delete from caption. – If the DHS does not file a response
to an appeal or motion, the “ON BEHALF OF DHS” caption should be deleted.
Also, if the name of the DHS representative and/or title is illegible, the caption
should be deleted.
See illustration on next page.

BIA Style Manual Chapter 4
90 January 12, 2018
Below is an illustration of how the Board’s decision headings would
appear if the DHS/ICE did not file a response.
(iv) ICE Appellate Counsel. – Generally, the DHS attorney who
submitted the latest substantive filing is listed in the “ON BEHALF OF DHS”
caption. However, the Immigration Law and Practice Division (ILPD) of OPLA
may submit filings on behalf of the DHS/ICE and/or serve as the government’s
representative during an oral argument. If an attorney from ILPD argued a
case before the Board, (i.e., appear at oral argument), then he or she should
be listed as the DHS representative. Also, if an attorney from ILPD has
submitted a brief or memo that significantly affects the Board’s action in the
case, then that attorney should be listed as the DHS representative. For
example, if the ILPD attorney submits a withdrawal of appeal or gives notice
that the alien has died or has been removed, then only the ILPD attorney would
be listed in this caption.
(b) Designation of DHS/USCIS representative. – The USCIS of the DHS is
responsible for representing the government in visa petitions proceedings before the
Board.
(i) Caption information. – The name and title, as listed in the latest
substantive filing from the DHS, is listed in the “ON BEHALF OF DHS” caption.
The name of the DHS/USCIS representative appears on the first line and is
followed by his or her title as listed in the filing. There also may be instances
where the latest substantive filing submitted on behalf of DHS identifies two

BIA Style Manual Chapter 4
91 January 12, 2018
DHS/USCIS attorneys. If it is clear, which DHS attorney prepared the
substantive filing, list their name and title. However, if you are unsure, then
select only one DHS attorney for this caption.
(ii) When to delete from caption. – If the DHS/USCIS does not file a
response to an individual’s appeal or motion, the “ON BEHALF OF DHS”
caption should be deleted. Also, if the name of the DHS representative and/or
title is illegible, the caption should be deleted.
(c) Designation of DHS/CBP representative. – The U.S. Customs and
Border Protection (CBP) within the DHS is the government’s representative in fine
proceedings and advance permission proceedings before the Board. Follow the same
guidelines as for ICE and USCIS representatives as discussed in subsections (a) and
(b) when completing this caption for a CBP representative.
4.10 Amicus Curiae
(a) Generally. – The Board may grant permission to amicus curiae to appear,
on a case-by-case basis, where it serves the public interest. See 8 C.F.R. § 1292.1(d).
The decision to grant or deny a request to appear as amicus curiae is within the sole
discretion of the Board.
(b) Solicitation of amicus briefs. – Absent extenuating circumstances, the
solicitation of amicus curiae will be done through public solicitation. The recognition

BIA Style Manual Chapter 4
92 January 12, 2018
of which amici, if any at all, is left to the discretion of the Board Member in a single
Board Member decision or the panel of the three Board Member decision.
(c) Amicus briefs submitted without solicitation. – If an amicus brief is
submitted without public solicitation, whether to recognize that amicus is left to the
discretion of the Board Member in a single Board Member decision or the panel if a
three Board Member decision.
(d) Caption. – If the Board accepts amicus briefs, a caption is not added to
identify amicus or amici. Only published decisions may include “AMICUS CURIAE” in
the caption. Once a decision is designated for publication, revisions to captions will
be made as part of the publication process.
(e) Footnote. – If a drafting attorney proposes acknowledgment or the Board
Member(s) decide to recognize the receipt of amicus brief(s), then a general footnote
should be added in the body of the decision acknowledging that the Board received
and accepted amicus briefs in the matter.
See illustration on next page.

BIA Style Manual Chapter 4
93 January 12, 2018
Below is an illustration of a general acknowledgment of amicus footnote.
(i) Individuals. – When a Board Member in a single Board Member
decision or the panel in a three Board Member decision wishes to express its
appreciation for an amicus brief by an individual (but not on behalf of an
organization, law firm, or other entity) or multiple individuals, then this should
be acknowledged in the footnote. Note: Only published decisions may include
“AMICUS CURIAE” in the caption.

BIA Style Manual Chapter 4
94 January 12, 2018
(ii) Organizations. – When a Board Member in a single Board Member
decision or the panel in a three Board Member decision wishes to express its
appreciation to amicus brief by an organization (including a law firm or other
entity) or multiple organizations, then this should be acknowledged in the
footnote. Note: Only published decisions may include “AMICUS CURIAE” in
the caption.
Below is an illustration of an amicus footnote acknowledging
appreciation for an amicus brief.

BIA Style Manual Chapter 4
95 January 12, 2018
(A) Representatives. – As appropriate, representatives of an
organization may be recognized in the footnote, with the default being
up to three named representatives per organization. Unless particular
names are specified by the organization, the footnote will list the first
three names that appear on the brief’s signature page, with the signing
representative first and the remaining names in alphabetical order.
Names of representatives should be separated by commas, and names
of the organizations should be separated by semicolons. The titles
“Esquire” and “Accredited Representative” should not be used. For
example: Jane Doe, John Smith, and Bob Tran of Immigration Law
Firm; and Sam Blogs Immigration Organization.
(B) Multiple amici. – If multiple amici are acknowledged in the
footnote without identification of the representatives, then the
organizations should appear in alphabetical order.
(C) Additional information or acknowledgment. – If the Board
Member in a single Board Member decision or the panel in a three
Board Member decision wishes to provide additional information or
acknowledgment regarding a specific amicus, that information or
acknowledgment should be added to the footnote.
(f) Courtesy copy of Board decision. – Recognizing an amicus in a case
does not entitle amicus curiae to a copy of the Board’s decision. Do not include
footnote reflecting that courtesy copy is being provided to amici or instruct the Clerk’s
Office to provide a courtesy copy of the Board’s decision.
(g) Board denies request to appear as amicus curiae. – The Clerk’s Office
is responsible for briefs that have been accepted by the Board. If an amicus brief is
contained in the ROP, the brief has been accepted and can be considered and
referenced.
4.11 Oral Argument
(a) Request granted. – When the Board has heard argument in a case, the
panel may, at its discretion, reference that determination in the decision in either a
footnote or the body of the decision, not a caption in the heading of the decision.
(b) Request denied. – When a request for oral argument is denied, a panel
may, at its discretion, reference that determination in the decision. The decision to
deny oral argument should be reflected in a footnote in the body of the decision, not a
caption in the heading of the decision.

BIA Style Manual Chapter 4
96 January 12, 2018
In addition, the regulation addressing oral argument is 8 C.F.R. § 1003.1(e)(7),
not § 1003.1(c). The regulations also direct that no oral argument is allowed in a case
that is assigned for disposition by a single Board Member. See 8 C.F.R.
§ 1003.1(e)(7).
4.12 Charge(s) of Removability, Inadmissibility, or Deportability
When a charge of removability, inadmissibility or deportability is alleged by the DHS
in a charging document (NTA, Order to Show Cause, etc.) or Additional Ground of
Deportability (Form I-261) is at issue, it should be identified in the decision and not within the
headings of the Board’s decision. Charges should not appear in the header of the Board’s
decision.
If a BIA Template contains a “CHARGE” related caption, delete from the decision
before circulating the proposed decision. The following BIA Templates contain a “CHARGE”
caption: Advance permission; Deportation proceeding; Exclusion proceeding; Fine
proceeding; and Removal proceeding.
4.13 Application
(a) Generally. – The “APPLICATION” caption should specify the type of
application for relief or protection from removal, deportation, or exclusion that is raised
on appeal, no matter which party filed the appeal. If there are multiple applications for
relief, separate each application by a semi-colon. For example:
APPLICATION: Cancellation of removal under section 240A(a) of the Act; voluntary
departure.
If an application which has been pretermitted by an IJ is an application raised
on appeal, you may include it in this caption.
See illustration on next on next page.

BIA Style Manual Chapter 4
97 January 12, 2018
Below is an illustration of the application caption in removal proceedings.
(b) Application granted by the Immigration Judge but not challenged by
the DHS. – When an alien’s application for relief or protection is granted by an
Immigration Judge but not appealed by the DHS, then the granted relief or protection
does not need be included in the caption. For example, an Immigration Judge denies
an application for asylum and withholding, but grants protection under Convention
Against Torture (CAT). If the alien’s appeal challenges the denial of the applications
for asylum and withholding, then the caption should read “APPLICATION: Asylum;
withholding of removal.” Since there are multiple applications, each application is
separated by the use of a semi-colon. Also, in this example, had DHS appealed the
grant of CAT, then “Convention Against Torture” would have been listed in the caption
along with asylum and withholding of removal.
See illustration on next page.

BIA Style Manual Chapter 4
98 January 12, 2018
Below is an illustration of how the application would appear if the only issues
on appeal were asylum and withholding of removal.
(c) No application. – If there is no application for relief being challenged on
appeal by either party, then delete the “APPLICATION” caption from the heading.
(d) List of applications. – A partial listing of applications for this caption
appears in in Appendix D.
4.14 Separate Opinions
(a) Generally. – The heading of a majority opinion includes most of the caption
information -- i.e., name(s) of those in proceedings, parties’ representatives, type of
proceedings, charge(s), and application(s). In contrast, when preparing the heading
for a separate opinion, do not include the names of representatives, charge(s), or
application(s) information. Instead, include only the following information in separate
opinion caption: A number, hearing location, alien name, and type of separate
opinion.
(b) BIA Templates. – As discussed in Chapter 3, BIA Templates have been
created in Word for three types of separate opinions:

BIA Style Manual Chapter 4
99 January 12, 2018
• Concurring opinion
• Concurring/Dissenting opinion
• Dissenting opinion
Each separate opinion template contains the appropriate format settings for the
caption headings as well as the body of the decision. For information on how to access
the separate opinion templates, see Chapter 3.2 (BIA Templates).
(c) Captions. –
(i) File: A number. – See Chapter 4.3. (File: Alien registration number
(A number)).
(ii) Hearing location. – See Chapter 4.4 (Hearing location).
(iii) Names. – See Chapter 4.5 (Names).
(iv) Board Member. – Just after the type of separate opinion
(CONCURRING OPINION; CONCURRING/DISSENTING OPINION;
DISSENTING OPINION), the Board Member or Temporary Board Member’s
name followed by his or her respective title is listed. For example,
“CONCURRING OPINION: Neil P. Miller, Board Member.”
(v) Signature line. – The Board Member’s or Temporary Board
Member’s name should be included below the signature line and before the
words “Board Member.”

BIA Style Manual Chapter 4
100 January 12, 2018
(vi) Example Concurring opinion. – Below is an illustration of the
captions and signature line for a separate “Concurring Opinion.”
(d) Dissent without opinion. – Board Members will, in the interest of judicial
economy, sometimes “dissent without opinion” from a panel decision. The Board
Member’s or Temporary Board Member’s name followed by “respectfully dissent’s
without opinion” or “respectfully dissent’s without separate opinion” should be included
below the signature line. Below is an illustration of how the dissent without opinion
would appear.

BIA Style Manual Chapter 5
101 January 12, 2018
5 Formatting and Style
5.1 Generally
As noted earlier in this manual, Board decisions are divided into three formatting
components: captions, body, and order(s). This section addresses the Board’s system of
formatting, as well as style when writing the body of a decision.
5.2 Terminology
(a) Generally. – The Immigration and Nationality Act is a complex statute.
Legal consequences may vary according to the particular term used. Therefore, care
must always be taken to use terms of art in the correct sense when drafting a decision.
Attorneys and paralegals should use the language recommended in this section when
writing decisions.
(b) Adjudicators whose decisions the Board reviews. –
(i) Immigration Judges. – The Board entertains appeals from certain
decisions of Immigration Judges. An Immigration Judge presides over
exclusion, deportation, removal, and asylum proceedings, as well as other
proceedings which the Attorney General may assign. See 8 C.F.R. § 1003.10.
Although some portions of the federal regulations may still refer to the
Immigration Judge as a “special inquiry officer,” the term is no longer used.
The tribunal is referred to as the “Immigration Court.”
(ii) Department of Homeland Security. – The Board entertains
appeals from certain decisions of the Department of Homeland Security (DHS).
For example,
• decisions of the DHS on family-based immigrant petitions, the
revocation of family-based immigrant petitions, and the revalidation
of family-based immigrant petitions (except orphan petitions)
• decisions of the DHS regarding waivers of inadmissibility for
nonimmigrants under § 212(d)(3)(A)(ii) of the Immigration and
Nationality Act
• decisions of the DHS involving administrative fines and penalties
under 8 C.F.R. part 1280
(c) Individual or entities before the Board. –

BIA Style Manual Chapter 5
102 January 12, 2018
(i) Alien. – The term used to describe an individual in proceedings
before the Board depends on the type of proceedings (e.g., removal
proceedings, adjustment of status proceedings, visa petition proceedings).
(A) Respondent. – An alien is referred to as “the respondent,”
and not as “Respondent” at all stages of the proceedings in the following
types of proceedings:
• Removal proceedings
• Deportation proceedings
• Bond proceedings
• Continued detention review
• Rescission proceedings
(B) Applicant. – An alien is referred to as “the applicant” at all
stages of the proceedings in the following types of proceedings:
• Asylum and/or withholding-only proceedings
• Adjustment of status proceedings (e.g., pursuant to
HRIFA or NACARA)
• Application for Advance permission pursuant to
section 212(d)(A)(3)
• Exclusion proceedings
(C) Beneficiary. - In visa petition proceedings, the alien on
whose behalf the visa petition has been filed is referred to as “the
beneficiary.” Also, an alien who has received a labor certification is
known as “the beneficiary.”
(ii) Petitioner. – In visa petition proceedings, the sponsoring individual
or entity who has filed the petition on behalf of the alien is referred to as “the
petitioner.” Sometimes, the petitioner is an alien (e.g., self-petitioning
widow(er)), or a permanent resident sponsoring a spouse or child.
(iii) Carrier. – In fine proceedings, unless an individual (such as the
owner, master, commanding officer of a vessel or aircraft) is being fined in his

BIA Style Manual Chapter 5
103 January 12, 2018
or her individual capacity, the various companies and agents involved are
collectively referred to as “the carrier.”
(iv) Department of Homeland Security. – The government is
represented by several different agencies in proceedings before the Board. As
a rule of thumb, the Board refers to the representatives of Immigration and
Customs Enforcement (ICE) who appear before us as the Department of
Homeland Security (DHS). However, the Board often references other DHS
components, such as USCIS specifically, particularly when that component has
jurisdiction over some form of relief for which the respondent may be eligible.
See Chapter 6.9 (Government representatives).
In the body of the decision, the Board uses “Department of Homeland
Security (DHS)” as the first reference to DHS, and uses “DHS” thereafter.
Similarly, the Board uses “U.S. Citizenship and Immigration Services” as the
first reference to USCIS, and “USCIS” thereafter.
(v) Representatives. – Individuals in proceedings before the Board
may be represented. Unless there is a reason to spotlight counsel’s behavior
or there exists some other special circumstances that merits focusing on the
representation, the default is to make no reference to counsel in the body of
the decision.
(vi) Practitioners. – The Board has the authority to impose disciplinary
sanctions upon attorneys and accredited representatives who violate rules of
professional conduct in practice before the Board, the Immigration Courts, and
DHS. The term “practitioner” is defined as an attorney or accredited
representative, as defined in 8 C.F.R. § 1001.1(f), (j). In Practitioner
Disciplinary proceedings, the practitioner is referred to as “the respondent.”
(d) References to Board actions. –
(i) Appeals. – Within the body of the decision, the following terminology
should be used to describe how the Board is disposing of the case. Be sure to
use the future tense, since the disposition is not in effect until pronounced in
the ORDER line at the conclusion of the decision. For more information
regarding order language see Chapter 8 (Order Language). Note: the
disposition language is different when the Board considers a matter on
certification pursuant to 8 C.F.R. § 1003.7. See subsection (ii) below.
(A) Dismissed. – If the decision upholds the Immigration
Judge’s or District Director’s decision, then say that the “appeal will be
dismissed.”

BIA Style Manual Chapter 5
104 January 12, 2018
(B) Sustained. – If the decision reverses the Immigration
Judge’s or District Director’s decision, then say that the “appeal will be
sustained.”
(C) Remand. – If the decision remands the case back to the
Immigration Judge or District Director for further proceedings, then say
that the “record will be remanded [for a specific reason].”
(D) Return. – If the decision returns a case to the Immigration
Judge to rule on a motion, then say “the appeal will be dismissed, but
the record will be returned to the Immigration Court for an Immigration
Judge to consider the [respondent/applicant’s] motion.” In that situation,
the case is being returned, not “remanded,” to the Immigration Court.
(E) Sustained in part and dismissed in part. – If the decision
reverses part of the Immigration Judge’s or District Director’s decision
below, but upholds another part of the Immigration Judge’s or District
Director’s decision below, then say that the “appeal will be sustained in
part and dismissed in part.”
(F) Appeals from Immigration Judge decision on motions. –
When a decision sustains the appeal of a denial of a motion to reopen,
direct that the motion will be granted, rule that proceedings will be
reopened, and order that the record will be remanded to the Immigration
Judge.
(ii) Certification. – When the Board considers a matter on certification
pursuant to the request of an Immigration Judge or District Director, there is no
appeal to be “sustained” or “dismissed.” Therefore, the Board’s decision will
either “affirm” or “reverse” the underlying decision of the Immigration Judge or
District Director.
(iii) Motions to reopen or reconsider. – Where the motion to reopen
or reconsider is properly directed to the Board for initial consideration, the
following terminology should be used:
(A) Denials. – A motion should be denied if it (i) is deficient
under the regulations, (ii) warrants a unfavorable exercise of discretion,
or (iii) is technically sufficient but the arguments or facts set forth are
determined to be without merit or a prima facie showing of eligibility for
requested relief has not been made.
(B) Grants. – If a motion is technically sufficient and contains
new facts or legal arguments set forth which warrant consideration, then

BIA Style Manual Chapter 5
105 January 12, 2018
the motion may be “granted.” If it is a motion to reopen, the Board may
consider the new facts or arguments and enter a new decision or
remand the matter for further proceedings. If it is a motion to reconsider,
the Board will generally “vacate” or “withdraw from” its prior decision
and enter a new decision.
(C) Appeals from Immigration Judges’ decisions on
motions. – Appeals that challenge an Immigration Judge decision on a
motion are treated as appeals (which is referred to as IJ MTR). Where
an appeal of an IJ MTR pertains to a denial of a motion to reopen and
the appeal is sustained, the decision will direct that the motion be
granted, the proceedings be reopened, and the case remanded to the
Immigration Judge. See subsection (F) above.
(iv) Motions to remand. – When a motion to reopen is filed with the
Board while an appeal is pending, it is considered a motion to remand. The
standards for a motion to remand are the same as those for a motion to reopen.
Regardless of the posture of the case, if the Board decides to remand or to
reopen and remand the matter to the Immigration Judge or to the Service
Center or District Director for further proceedings, state that “the record is
remanded.”
(v) Vacating a stay. – Once a motion is denied (or an appeal is
dismissed), any stays granted by the Board should be “vacated.”
(e) Miscellaneous terms of art. –
(i) Admission/admitted. – The terms “admission” and “admitted” refer
to the lawful entry of the alien into the United States after inspection and
authorization by an immigration officer. See section 101(a)(13) of the Act.
These terms have a specific legal consequences (i.e., eligibility for certain
benefits depends upon an alien having been “admitted”). For more information,
see Matter of Agour, 26 I&N Dec. 566 (BIA 2015); Matter of J-H-J-, 26 I&N Dec.
563 (BIA 2015); Matter of Quilantan, 25 I&N Dec. 285, 286 (BIA 2010).
(ii) Arriving alien. – The term “arriving alien” refers to an applicant for
admission coming into the United State at a port-of-entry, or an alien seeking
transit through the United States at a port-of-entry, or an alien interdicted in
international waters and brought into the United States by any means, whether
or not to a designated port-of entry, and regardless of the means of transport.
See 8 C.F.R. § 1001.1(q).
(iii) Entry. –The term “entry” refers to an alien coming into the United
States. The only persons who may come physically into the United States

BIA Style Manual Chapter 5
106 January 12, 2018
without “entering” for immigration purposes include: (i) those who present
themselves for “admission,” but whose inspection or admission is “deferred”;
(ii) those who have been “paroled” into the United States for some other
reason; (iii) those who fall within the ambit of Fleuti v. Rosenberg, 374 U.S. 449
(1963); see also Vartelas v. Holder, 132 S. Ct. 1479 (2012).
Note that, for any legacy deportation or exclusion cases, the term “entry”
has very different legal implications. Most importantly, under pre-removal law,
an alien who has “entered the United States is subject to deportation
proceedings, not exclusion proceedings, and enjoys more procedural and
substantive advantages.
(iv) Familial Relationship. – Many benefits and waivers under the Act
depend upon proof of a family relationship of some sort. Thus, terms such as
“parent,” “child,” and “spouse” should be carefully and precisely used when the
relationship is significant to the resolution of the case.
Section 101(b) defines “child” for the purposes of both the Act and Board
decisions. If a familial relationship does not fit within the “parent-child”
language of section 101(b), do not use those labels in the decision.
Note that section 101(b), also defines the terms “brother” and “sister,”
by inference.
(v) Nonimmigrant classifications. – Nonimmigrant classifications use
fairly common terms (e.g., “visitor,” “crewman,” and “student”) but have precise
meanings with the immigration law. Since the visa classification significantly
impacts the type of relief or waivers available to the alien, these terms should
be used with precision and always be employed with an eye to their legal
significance.
(vi) Refugees. – Aliens may be eligible for asylum and/or withholding
of deportation or removal under section 208, section 243(h), and/or section
241(b)(3) of the Act. Care should be taken not to confuse these provisions,
because the standards for eligibility and the legal implications of each form of
relief are different.
(vii) Order to Show Cause. – The charging document in a deportation
case is an Order to Show Cause and Notice of Hearing (Form I-221), which
contains “allegations” and “charges.” A “charge” is a claim by DHS that a
person is deportable under a certain section of the Act. The “allegations” are
the facts asserted by DHS that, if true, render the person deportable on the
cited “charge(s).” In Board decisions, the respondent's representations as to
the facts of his or her case described as “alleged” and to any points or legal

BIA Style Manual Chapter 5
107 January 12, 2018
conclusions are described as “argued.” A “lodged charge” is an additional
charge that is added after issuance of the Order to Show Cause by the
issuance of a Form I-261, Additional Charges of Inadmissibility/Deportability.
See 8 C.F.R. § 1240.48(d). Factual allegations or charges may also be
amended or withdrawn. See Appendix H (Charging Documents).
(viii) Notice to Appear. – The charging document in a removal case is
a NTA (Form I-862), which contains “allegations” and “charges.” A “charge” is
a claim by DHS contention that a person is deportable or inadmissible under a
certain section of the Act. The “allegations” are asserted by DHS that, if true,
render the person subject to removal on the cited “charge(s).” In Board
decisions, the respondent's representations as to the facts of his or her case
are described as “alleged,” and any points of law or legal conclusions are
described as “argued.” A “lodged charge” is an additional charge that is added
after issuance of the NTA by the issuance of a Form I-261, Additional Charges
of Inadmissibility/Deportability. See 8 C.F.R. § 1240.10(e). Factual allegations
or charges may also be amended or withdrawn. See Appendix H (Charging
Documents).
(ix) Notice to the Applicant for Hearing. – The charging document in
an exclusion case is a Notice to the Applicant for Hearing Before the
Immigration Judge (Form I-122), which contains “grounds.” A “ground” is a
claim by DHS that a person is excludable under a certain section of the Act.
The “allegations” are facts asserted by DHS that, if true, render the person
excludable from the United States.
(x) Notice of Certification. – The document used by DHS to refer a
case to the Immigration Judge involving an application for adjustment of status
pursuant to either the Nicaraguan and Central American Relief Act (NACARA)
or the Haitian Refugee Immigrant Fairness Act (HRIFA) is called a Notice of
Certification (Form I-290C). The applicant, who is subject to a final order of
exclusion, deportation or removal, is permitted to have his or her eligibility for
adjustment of status reviewed by an Immigration Judge. For purposes of
formatting the caption, the type of proceeding is “ADJUSTMENT OF STATUS
PROCEEDINGS” regardless of whether the application for adjustment of status
is pursuant to NACARA or HRIFA.
(xi) Notice of Referral. – The document used by DHS to refer asylum
and/or withholding only proceedings is called a Notice of Referral to
Immigration Judge (Form I-863). For purposes of formatting the caption, the
type of proceeding is “ASYLUM AND/OR WITHHOLDING PROCEEDINGS”
regardless of whether the application is asylum only or withholding of removal
only. See Appendix H (Charging Documents).

BIA Style Manual Chapter 5
108 January 12, 2018
(xii) Voluntary departure. – In general, an order of voluntary departure
permits an alien, who is otherwise removable, to depart from the country at his
or her own expense within a designated amount of time in order to avoid being
considered “removed from the United States.” Sometimes it is referred to as
the “privilege of voluntary departure in lieu of [deportation or removal].” See
section 244(e) of the Act (deportation proceedings); section 240B of the Act
(removal proceedings).
5.3 Punctuation
Poor punctuation reflects poorly on the Board, so choose and place punctuation marks
carefully. The sole aim of punctuation is to convey to the reader the exact meaning intended.
For additional information on punctuation, consult the latest version of the U.S. Government
Printing Office (GPO) Style Manual, which is available on the GPO website.
(a) Dates. – All complete dates in the body of the decision and orders should
be followed by a comma. See GPO Style Manual Rule 8.53. Note that there is a
comma after the year in each of the examples below:
• On June 8, 2010, the respondent was admitted to the United States.
• The respondent appeals from the April 1, 2015, decision of the
Immigration Judge.
(b) Month and year. – Commas are omitted between a month and year. See
GPO Style Manual Rule 8.56. For example:
• The respondent in June 2010 departed the United States.
(c) Series of words. – Commas should be used between the words of a series
and before the conjunction joining them. See GPO Style Manual Rule 8.46. Note that
a comma should appear before the “and” in the example below.
• Clear, unequivocal, and convincing
(d) City and state. – In the body of the decision there should be a comma
between the city and state, and generally after the state, unless it is followed by a zip

BIA Style Manual Chapter 5
109 January 12, 2018
code. See GPO Style Manual Rule 8.55. Note that there is no comma after the state
name in the last two examples below.
• Reno, Nevada, is the location
• Government Printing Office, Washington, D.C. 20401-0003
• East Rochester, OH 44625-9701
(e) Possessive noun. – Use an apostrophe in a possessive noun. See GPO
Style Manual Rule 8.14.
• The respondent’s attorney
• The respondents’ attorney (when there are multiple respondents)
5.4 Capitalization
(a) Generally. – Refer to Bluebook Rule 8 and GPO Style Manual Rule 3 for
general capitalization rules. When there is a conflict between the two, follow the
Bluebook.
(b) Court. – Capitalize the word “court” only when naming any court in full.
References to the United States Supreme Court are always capitalized, including
when it is referred to as “the Court.” For other rules on capitalization, see Bluebook
Rule 8. (Please note that the GPO Style Manual does not contain a specific rule with
regard to courts.)
• The United States Court of Appeals for the Fifth Circuit [note: thereafter,
may be referred to as the Fifth Circuit]
• The California Supreme Court
• The court held that . . . (for any court other than the U.S. Supreme Court)
(c) Immigration Court. – “Immigration Court” should be capitalized.
(d) Immigration Judge. – “Immigration Judge” should be capitalized. Also,
Immigration Judge should always be spelled out, and the abbreviation “IJ” limited to
adjectival use (e.g., “the IJ decision”) and to citations to the decision below (e.g., IJ at
5).

BIA Style Manual Chapter 5
110 January 12, 2018
(e) Constitution. – Capitalize the word “constitution” only when naming any
constitution in full. References to the United States Constitution should always be
capitalized. Parts of the U.S. Constitution are capitalized when used in text but not in
citations. See Bluebook Rule 8.
• Fifth Amendment
• Preamble
• Article 1, Section 8 Clause 17 of the Constitution says . . .
• But see U.S. Const. art. I, § 8, cl. 17
(f) First word in a sentence. – The first word of any sentence must be spelled
out. If a sentence begins with a number, it also must start with a capitalized word (not
a number). Thus, it is incorrect to begin a sentence in the following manner: “8 C.F.R.
§ 1003.2 provides . . . .” See GPO Style Manual Rule 12.16; Bluebook Rules 6.2(a)(i)
and (c). In contrast, the first word in a citation may be a number. For example, it is
proper to say, “The respondent has applied for deferral of removal under the
Convention Against Torture. 8 C.F.R. § 1208.17.”
(g) Officer in charge. – Do not capitalize or hyphenate officer in charge. See
GPO Style Manual Rules 6.40 and 6.47.
(h) DHS personnel. – Capitalize Director, District Director, or Assistant District
Director in the body of the decision. Also, capitalize the DHS representative’s title in
the caption of the Board’s decision. See Chapter 4.
(i) Explanatory phrase. – The first word of an explanatory phrase is not
capitalized unless the parenthetical information is a quotation of a full sentence. See
Bluebook Rule 1.5.
(j) Quotations. – See Chapter 5.6(f) below.
5.5 Spacing
(a) Periods. – Put two spaces after a period.
(b) Colons. – Put two spaces after a colon.
(c) Semi-colons. – Put one space after a semi-colon.

BIA Style Manual Chapter 5
111 January 12, 2018
(d) Between sets of parentheses. – Put one space in between two sets of
parentheses.
• Matter of Kasinga, 21 I&N Dec. 357 (BIA 1996) (concluding that FGM
constitutes persecution).
5.6 Quotations
(a) Fifty words or more. – As a general rule, quotations of 50 words or more
should be indented without quotation marks. See Bluebook Rule 5.1.
(b) Forty-nine words or less. – As a general rule, quotations of fewer than 50
words should be in quotation marks and therefore part of the text. See Bluebook Rule
5.1.
(c) Alterations and omissions. – For rules regarding alterations and the use
of ellipses to indicate omissions in quotations, follow the Bluebook Rules 5.2 and 5.3.
An ellipsis should never be used to begin a quotation, or before or after quoted matter
used as a phrase or clause. When an ellipsis is used within a sentence, there should
be a space before the period, between each period, and after the last period. Refer
to Rules 5.3(b)(iii), (iv), and (v) to determine if the final word sentence is followed by a
space or a period, i.e., when the ellipsis represents an omission at and/or after the end
of the sentence.
• An alien must establish that he has been “physically present in the
United States for 7 years.”
NOT
• An alien must establish that he has been “. . . physically present in the
United States . . .” for 7 years.
(d) Indenting quotations. – For rules on how to indent quotations in order to
indicate paragraph structure and omissions of entire paragraphs, see Bluebook Rule
5.1(a)(iii) and 5.1(b).

BIA Style Manual Chapter 5
112 January 12, 2018
(e) Use of a colon and comma. – Use a colon to formally introduce a long
direct quotation and a comma to set off a direct quotation of only a few words following
an introductory phrase:
• In Matter of Seda, 17 I&N Dec. 550 (BIA 1980), we stated as follows:
“[A] person sentenced under a first offender statute . . . shall not be
considered to be ‘convicted’ for immigration purposes.”
• The respondent stated, “We married for love.”
See GPO Style Manual Rules 8.23 and 8.39.
(f) Capitalization in Quotations. –
(i) Direct quote. – Capitalize the first word of a direct quotation
following a colon or comma when introducing an independent clause or
sentence. If the case of the first letter is changed, indicate the change with
brackets. See Bluebook Rule 5.2, GPO Style Manual Rule 3.44.
• Section 101(a)(3) of the Act provides as follows: “The term ‘alien’
means any person not a citizen or national of the United States.”
• Section 240A(a) of the Act provides in pertinent part: “[T]he Attorney
General may cancel removal in the case . . .”
(ii) Fragmentary quotation or introduced indirectly. – Do not
capitalize the first word of a fragmentary quotation or one introduced indirectly
in the text. Do not set off such a quotation by a comma or use an ellipsis before
or after the quotation. See GPO Style Manual Rule 3.46.
• Section 245(c) of the Act provides that adjustment of status is
unavailable to “an alien crewman.”
• Section 101(a)(10) of the Act provides that “[t]he term ‘crewman’
means a person serving in any capacity on board a vessel or
aircraft.”
(g) Quotation marks. – Always place quotation marks outside the comma and
the final period. Other punctuation marks should be placed inside the quotation marks
only if they are part of the matter quoted. See GPO Style Manual Rule 8.138 and
Bluebook Rule 5.1(b).

BIA Style Manual Chapter 5
113 January 12, 2018
(h) Citation. – When a citation follows an indented quotation, the citation is
returned to the left margin in the main body of the text. See Bluebook Rule 5.1(a).
(i) Colon. – Do not end a page with a colon. The colon and least two lines of
text of the quotation that follows must be on the same page.
5.7 Numbers
(a) Time, measurement, and money. – Always use figures for time,
measurement, and money. See GPO Style Manual Rule 12.6.
• 10-year-old 6 months 6 years old
• 25 feet about 10 yards 7 minutes
• 4:30 p.m. $3.65 65 yen
(b) Number of 10 or more. – Numerals are used for a single number of 10 or
more with the exception of the first word of a sentence. See GPO Style Manual, rule
12.4. This rule differs from Bluebook Rule 6.2(a). Numerals are also used in a listing
or group of two or more numbers, where any one of which is 10 or more. See GPO
Style Manual Rule 12.5. However, this rule does not apply when one or more of the
numbers is a unit of time, measurement, or money. See GPO Style Manual Rule 12.6.
• two robberies and three burglaries
• 3 shoes, 5 dresses, and 15 gloves
• five decisions written during 2 weeks
(c) Ordinal numbers. – For rules regarding the use of ordinal numbers (i.e.,
first, 14th), see GPO Style Manual Rules 12.10-12.13.
(d) Hyphen after a number. – Use a hyphen after the number in an adjective
compound. See GPO Style Manual Rule 6.36.
• 3-week period
• 6-month extension
• fourth-preference classification

BIA Style Manual Chapter 5
114 January 12, 2018
(e) Fractions. – When fractions are used with whole numbers, separate them
from the number by a space, not a hyphen or the word “and.” For rules regarding the
use of fractions, see GPO Style Manual Rules 12.26-12.28.
• 3½ grams of cocaine
(f) Numbers containing four or more digits. – When numbers contain four
or more digits, use commas to separate groups of three digits (e.g., 1,000). See GPO
Style Manual Rule 12.14. (This rule differs from Bluebook Rule 6.2(a).)
5.8 Italics
(a) Generally. – Follow the rules in the Bluebook for italicization. See
Bluebook Rule 7. Underlining is prohibited (with the rare exception of quoting text that
was underlined in the original document).
(b) Quoted material. – Refer to the Bluebook for rules regarding the addition
or omission of emphasis and other alterations to quoted material. See Bluebook Rules
5.2 and 5.3.
If italics are used for emphasis in a quotation, add “emphasis added” in a
parenthetical immediately following the quotation or citation. When the quotation is
followed by a citation, “emphasis added” is part of the citation sentence and therefore
is not capitalized, and the period is placed outside the parenthesis. See Bluebook
Rule 5.2.
• “The Board in its discretion may grant or deny oral argument.”
8 C.F.R. § 1003.1(e)(7) (emphasis added).
When there is no citation following the quotation, “emphasis added” constitutes
a sentence and follows the final period of the quotation. Note that in this case the “e”
in emphasis is capitalized and the period is placed inside the parenthesis. If the
quotation is indented, include the “emphasis added” at the end of the indented
paragraph.
• Section 101(a)(10) of the Act provides: “The term ‘crewman’ means a
person serving in any capacity on board a vessel or aircraft.” (Emphasis
added.)

BIA Style Manual Chapter 5
115 January 12, 2018
(c) Explanatory phrases. – Italicize explanatory phrases introducing prior or
subsequent history and phrases introducing related authority. See Bluebook Rules
1.6, 10.7.1, and T8.
• aff’d, cert. denied,
• modified available at
• vacated reprinted in
• quoted in
(d) Name of a case. – Italicize the entire name of a case, including the “v.” and
all procedural phrases. See Bluebook Rule 10. However, do not italicize the commas
after the name and citation. For example:
• Kaczmarczyk v. INS, 933 F.2d 588 (7th Cir.1991), cert. denied, 502 U.S.
981 (1991)
• Ladha v. INS, 215 F.3d 889 (9th Cir. 2000), overruled by Abebe v.
Mukasey, 554 F.3d 1203 (9th Cir. 2009).
(e) “Infra,” and “id.” – Italicize “infra” and “id.” (but not the commas next to
them). Do not italicize “hereinafter.” See Bluebook Rule 4.
(f) Introductory signals. – Italicize all introductory signals, including any
commas or periods within the signals, when they appear in citation sentences or
clauses, but not when they serve as the verbs of ordinary sentences. See Bluebook,
Rule 1.2. Also, do not italicize the comma after an introductory signal.
• See also
• See generally
However, all but the last commas are italicized in the examples below.
• See, e.g.,
• But see, e.g.,
An example when the signal is used as a verb and is not in italics:

BIA Style Manual Chapter 5
116 January 12, 2018
• For an explanation of the petty offense exception, see Matter of Castro.
(g) Foreign words or phrases. – Italicize only those foreign words and
phrases that have not been incorporated into common English usage. Do not italicize
“e.g.” or “i.e.” when used in a sentence. See Bluebook Rule 7.
5.9 Typography
(a) “And” vs. “&.” – In textual sentences, always spell out the word “and”
unless the “&” sign appears in the name of a law firm, organization, book title, or author
list. In citation sentences, follow the Bluebook rules regarding use of the “&” sign.
• Mr. and Mrs. Castillo
• Verner, Lipfer, Bernhard & McPherson, LLC
• Gordon, Mailman, Yale-Loehr & Wada, Immigration Law and
Procedure, ch. 5.2.
(b) Splitting. – For guidance on how to avoid splitting words or text in Word,
see Appendix F.
(i) Words. – Do not split proper nouns (names). Names should always
be kept intact.
(ii) Case citations. – Avoid splitting case cites across pages – i.e., a
citation should not begin on one page and end on the next. However, if a
citation has to be split between pages, keep the case name and the volume
number on the same page.
(iii) Paragraphs. – When splitting a paragraph, at least two lines of text
should be on either page. See Appendix F.
(iv) Section symbol(s) “§”. – Keep the section symbol on the same
line as the citation number.
(v) Volume numbers. – Keep the number 8 with U.S.C. or C.F.R. on
the same line.
(vi) Month and day. – Keep the month and the day of a calendar date
on the same line.

BIA Style Manual Chapter 5
117 January 12, 2018
(c) Justification. – The body of the Board’s decision should always be fully
justified.
(d) Footnotes. – When using the BIA Templates, the formatting is
automatically set. If not, the text in the footnotes should be fully justified. Footnote
numbers should be in superscript font (above the line of the rest of the text in the
footnote).
(e) Spaces between citations. – Spaces should be used in citations to cases
printed in the Federal Supplement and Supreme Court Reporter, but not in United
States Reports and Federal Reporter 2d and 3d. See Bluebook Rules 6.1(a) and T1.
• F. Supp. 2d S. Ct.
• U.S. F.3d
In a district court case, single capitals should not have spaces between them.
However, where an abbreviated word is longer than a single capital letter, it should
have spaces before and after it.
• (E.D.N.Y. 1978)
• (M.D. Mass. 1980)
For spacing of abbreviations of periodical names, see Bluebook Rules 6.1(a)
and T.13.
5.10 Line Spacing
(a) Generally. – Generally, the body of the decision is single spaced.
However, if the decision is 10 lines or less, then the body should be doubled spaced.
(b) Lines between application line and “ON BEHALF OF” caption. – If the
“ON BEHALF OF DHS” caption is included in the captions, there may be two or three
lines between this caption and the “APPLICATION” caption. If the “ON BEHALF OF
DHS” caption is deleted, then there may be two or three lines between the remaining
“ON BEHALF OF” caption and the “APPLICATION” caption.
(c) Lines between order and signature line. – There may be two or three
lines between the last order and the Board signature line.

BIA Style Manual Chapter 5
118 January 12, 2018
5.11 Signature Line
The Board signature line should never be on a page without text or order language
preceding it. It may be necessary to add additional lines between the application line and the
body of the decision to ensure that the Board signature line is not on a page by itself.
In addition, use the appropriate BIA Macro for creation of the Board signature line.
See Chapter 8.2 (BIA Macros).

BIA Style Manual Chapter 6
119 January 12, 2018
6 Citations
6.1 Generally
The basic rules for citation are the rules set forth in the most recent edition of the
Bluebook. However, the Board does digress from Bluebook standards on select occasions
that are highlighted below. Refer to the Bluebook for any rules that are not provided in this
guide. Consult the latest version of the Bluebook, which is available on the BIA Web Page,
The BlueBook, as well as BIA Web Page, Virtual Law Library.
6.2 Cases
(a) Case Names. –
(i) Italics. – The case name and the comma that follows should be
italicized. See Bluebook Rule B2.
(ii) Abbreviations. – As a general rule, well-known agency
abbreviations (e.g., DHS, FBI, INS) may be used in a case name, but without
periods. If an agency name includes reference to the “United States,” it is
acceptable to abbreviate it to “U.S.” However, when the “United States” is
named as a party in the case, do not abbreviate “United States.” See Bluebook
Rules 6.1(b), 10.2.1, 10.2.2. For example:
• INS v. Smith not I.N.S. v. Smith
• U.S. Dep’t of Justice v. Smith not United States Department of
Justice v. Smith
• United States v. Smith not U.S. v. Smith
(b) Board Decisions. – The Board uses “Matter of” when referencing a Board
case and here digresses from Bluebook convention. See Bluebook Rule 14.3.1(a).
• Matter of Balsillie, 20 I&N Dec. 486, 488 (BIA 1992)
(i) Published Decisions. – Citations to Board precedent should always
include the following elements:
• “Matter of” and the controlling party name

BIA Style Manual Chapter 6
120 January 12, 2018
• book volume number followed by “I&N Dec.” (note: no spaces within
“I&N”, period after “Dec”)
• the number of the first page of the published decision
• the adjudicator and year of the decision in parentheses (the
adjudicator will usually be “BIA” but the Board also publishes AG
and AAO decisions)
If referencing a specific page, follow this same format, then add a
comma and the page number of the page cited.
(A) “Interim Decision.” – In the past, the Board issued precedent
decisions in slip opinion or “Interim Decision” form. Because all published
cases are now available in final form (as “I&N Decisions”), citations to “Interim
Decisions” are no longer appropriate.
(B) “Matter of” and not “In re.” – All precedent decisions should be
cited as “Matter of.” The Board does not use “In re.”
• Matter of Yanez, not In re Yanez
(C) Short Form Citations. – After a case has been cited in full, a
shortened form of the name may be used thereafter. The short form citation
for a Board decision should include the following: (1) the procedural phrase
and controlling party name, (2) volume number plus “I&N Dec.” and (3) “at,”
followed by a pinpoint citation to the page cited.
• Matter of Balsillie, 20 I&N Dec. at 488.
(ii) Unpublished Decisions. – Citation to unpublished decisions is
discouraged because these decisions are not controlling on any other case.
When it is necessary to cite to an unpublished case, the citation should include
the alien’s full name (not just the last name), the alien registration number, the
adjudicator, and the precise date of the decision. Do not use italics,
underlining, or “Matter of.”
• Jane Smith, A012 345 678 (BIA July 1, 1999).
(c) Federal and State Courts Decisions. –
(i) Published Decisions. – Federal and state court decisions should
generally be cited according to the standard legal convention, as follows:
(1) the first party name v. the second party name, (2) the reporter volume

BIA Style Manual Chapter 6
121 January 12, 2018
number, (3) the reporter abbreviation, (4) the first page of case, followed by a
comma and pinpoint citation to the page cited. Unless the adjudicator is the
U.S. Supreme Court, the citation must also identify the adjudicator (9th Cir., D.
Mass., etc.) and the year of the decision. See Bluebook Rule 10.
The Supreme Court Reporter citation (“S. Ct.”) should be used only
when the case has not yet been published in the United States Reports (“U.S.”).
• INS v. Phinpathya, 464 U.S. 183, 184 (1984).
• Saakian v. INS, 252 F.3d 21, 22 (1st Cir. 2001).
• McDaniel v. United States, 142 F. Supp. 2d 219, 220 (D. Conn.
2001).
(ii) Short Form Citations. – After a case has been cited in full, a
shortened form of the name may be used thereafter. The short form citation
for a federal and state court decisions should include the following: (1) the first
party name v. the second party name, (2) the reporter volume number, (3) the
reporter abbreviation, and (4) “at” followed by a pinpoint citation to the page
cited. See Bluebook Rules B4.2, 10.9.
Please note that Bluebook Rule B4.2 and 10.9 provide multiple
acceptable short forms for case citations. However, the Board uses both
parties’ names.
• INS v. Phinpathya, 464 U.S. at 184.
• Saakian v. INS, 252 F.3d at 22.
• McDaniel v. United States, 142 F. Supp. 2d at 220.
(iii) Pending Cases. – When citing to a case that has not yet been
published in a reporter, use the following citation form: (1) the first party name
v. the second party name, (2) docket number, (3) database identified, (3) court
name, and (4) full date of the most recent major disposition in the case. Screen
or page numbers, if assigned, should be preceded by an asterisk. Paragraph
numbers, if assigned, should be preceded by a paragraph symbol. See
Bluebook Rules 10.8.1, 18.3.1.
• Hernandez-Avalos v. Lynch, No. 14–1331, 2015 WL 1936721, at *2
(4th Cir. Apr. 30, 2015).

BIA Style Manual Chapter 6
122 January 12, 2018
(iv) Unreported Cases. – When citing to an unreported case, include
the citation to the Federal Appendix. Note that the Federal Appendix is
abbreviated F. App’x, not Fed. Appx. See Bluebook T1.1. If a case is not
reported in a reporter, utilize the citation format for pending cases. See
Bluebook Rules 10.8.1.
• Khavrenko v. Holder, 588 F. App’x 543, 544 (9th Cir. 2014).
• United States v. Medina-Torres, No. 11-40656, 2012 WL 5360876
(5th Cir. Nov. 1, 2012).
6.3 Regulations
Regulations appear first in the Federal Register (Fed. Reg.) and then in the Code of
Federal Regulations (C.F.R.). Once regulations appear in a volume of the C.F.R., do not cite
to the Federal Register unless there is a specific reason to do so.
(a) Code of Federal Regulations. – Always identify (1) the C.F.R. title number,
and (2) the section number. The year should not be included if citing to the current
regulation. Only include the year when referring to a past regulation. Always use
periods in the abbreviation “C.F.R.”
• Full: 8 C.F.R. § 1003.1.
• Short: 8 C.F.R. § 1003.1.
(b) Federal Register. – The first citation to the Federal Register should always
include (1) the commonly used name of the rule or regulation (if there is one), (2) the
volume number, (3) the abbreviated form “Fed. Reg.”, (4) the page on which the rule
or regulation begins, and (5) the date. Provide important identifying information, such
as “proposed rule,” “interim rule,” “supplementary information,” or the citation where
the rule will appear, parenthetically. Prohibitively long titles may be shortened as long
as the result is unambiguous. See Bluebook Rule 14.2.
• Full: Background and Security Investigations in Proceedings Before
Immigration Judges and the Board of Immigration Appeals, 70 Fed.
Reg. 4743, 4753 (Jan. 31, 2005) (to be codified at 8 C.F.R.
§ 1003.47(a), (b)).
• Short: Background and Security Investigations in Proceedings Before
Immigration Judges and the Board of Immigration Appeals, 70 Fed.
Reg. 4743, 4753 (Jan. 31, 2005).

BIA Style Manual Chapter 6
123 January 12, 2018
6.4 Statutes/Laws
(a) Statutes currently in force. – If possible, for statutes currently in force, cite
to the current official code or its supplement. See Bluebook Rule 12.2.1.
• National Environmental Act of 1969 § 102, 42 U.S.C. § 4332 (2006).
Include the year of the version being cited. When a statute is being discussed
in the text (rather than in a citation sentence), include the following: (1) the abbreviated
name of the code, (2) a section symbol, and (3) the section number.
• Cal. Pen. Code § 273.5.
(b) Session Laws. – When citing to session laws, give the name of the statute
and the public law or the chapter number. When citing the entire act, give the page of
the session law on which the act begins. When citing only part of an act, give the
section(s) or subsection(s), the page on which the act begins, and the page on which
the relevant section or subsection(s) appear.
• National Environmental Act of 1969, Pub. L. No. 91-190, 83 Stat. 852
(1970).
• National Environmental Act of 1969, Pub. L. No. 91-190,
§ 102, 83 Stat. 852, 853 (1970).
(c) Special Rule for the INA. – When citing to the Immigration and Nationality
Act for the first time, give (1) the section number, (2) the full name of the Act, and (3) a
citation to the corresponding section of the U.S.C. Do not follow the citation with the
“the Act” in parentheses. Thereafter, give the section number, followed by “of the Act.”
Include a citation to the U.S.C. each time a new section of the Act is cited. Always
spell out “section” in the text and citation. Also, as a rule of thumb, omit the year in a
citation to the INA (and the associated U.S.C. citation). Include the year in the citation
only when citing a past version of the INA and the year is needed for accuracy.
• Full: Section xxx of the Immigration and Nationality Act, 8 U.S.C. § xx.
• Short: Section xx of the Act.
• “An alien was found inadmissible under section 212(a)(2)(A)(i)(II) of the
Immigration and Nationality Act, 8 U.S.C. § 1182(a)(2)(A)(i)(II), and
applied for relief under section 212(c) of the Act.”

BIA Style Manual Chapter 6
124 January 12, 2018
(d) Commonly Cited Acts. –
(i) USA PATRIOT. –
• Full: Section xxx of Uniting and Strengthening
America by Providing Appropriate Tools Required to
Intercept and Obstruct Terrorism Act of 2001,
Pub. L. No. 107-56, 115Stat. 272.
• Short: USA PATRIOT Act § xxx.
(ii) NACARA. –
• Full: Section xxx of Nicaraguan Adjustment and
Central American Relief Act, Pub. L. No. 105-100, tit.
II, 111 Stat. 2193 (1997), amended by Pub. L. No.
105-139, 111 Stat. 2644 (1997).
• Short: NACARA § xxx.
(iii) IIRIRA. –
• Full: Section xxx of Illegal Immigration Reform
and Immigrant Responsibility Act of 1996, Division C
of Pub. L. No. 104-208, 110 Stat. 3009-546.
• Short: IIRIRA § xxx.
(iv) AEDPA. –
• Full: Section xxx of Antiterrorism and Effective
Death Penalty Act, Pub. L. No. 104-132, 110 Stat.
1214.
• Short: AEDPA § xxx.
(v) REAL ID Act. –
• Full: Section xxx of the REAL ID Act of 2005,
Division B of Pub. L. No. 109-13, 119 Stat. 302.
• Short: REAL ID Act § xxx.

BIA Style Manual Chapter 6
125 January 12, 2018
6.5 Legislative Materials
(a) Bills and Resolutions. – When citing federal bills, include (1) the name of
the bill (if relevant), (2) the abbreviated name of the chamber, (3) the number of the
bill, (4) the number of the Congress, and (5) the section (if any), and the year of
publication. Cite resolutions analogously, using the abbreviations lists in Bluebook
Rule 13.2.
• Full: S. 516, 105th Cong. § 2 (1997).
• Short: S. 516.
• Full: H.R. 422, 106th Cong. (1999).
• Short: H.R. 422.
(b) Hearings. – When citing federal committee hearings, include (1) the entire
subject matter title as it appears on the cover, (2) the bill number (if any), (3) the
subcommittee name (if any), (4) the number of the Congress, (5) the page number of
the particular material being cited (if any), (6) and the year of publication. See
Bluebook Rule 13.3.
• Operations of the Executive Office for Immigration Review (EOIR):
Hearing before the Subcomm. on Immigration and Claims of the House
Comm. on the Judiciary, 107th Cong. 19 (2002) (testimony of EOIR
Director).
(c) Reports. – When citing to numbered federal reports, include (1) the name
of the chamber, (2) the number of the Congress connected by a hyphen to the number
of the report, (3) the part and/or page number on which material being cited appears,
and (4) the year of publication. If the document is a conference report, indicate that in
parenthesis after the citation. See Bluebook Rule 13.4.
• Full: H.R. Rep. No. 99-253, pt. 1, at 54 (1985).
• Short: H.R. Rep. No. 99-253.
6.6 Treaties and International Materials
(a) Generally. – When citing to treaties and other international agreements
among more than two parties, include (1) the name of the agreement, (2) the

BIA Style Manual Chapter 6
126 January 12, 2018
subdivision cited, (3) date of signing, (4) one U.S. treaty source, and (5) one
international treaty source. See Bluebook Rule 21.4.
(b) Convention Against Torture. – When citing to the Convention Against
Torture, cite directly to the regulations unless citing the language of the Convention.
Cite the appropriate regulation specific to the form of protection under the Convention
Against Torture discussed in the decision. For example, if the alien is only entitled to
deferral of removal under the Convention Against Torture, then the citation should only
be to 8 C.F.R. § 1208.17. Do not follow the citation with “CAT” in parentheses and do
not use the abbreviation “CAT” in the text of the decision.
• Full: Convention Against Torture, 8 C.F.R. §§ 1208.16 - 1208.18 (2015).
• Short: 8 C.F.R. § 1208.18
• Full: Convention Against Torture and Other Cruel, Inhuman or Degrading
Treatment or Punishment art. 3, Dec. 10, 1984, S. Treaty Doc. No. 100-20
(1988), 1465 U.N.T.S. 85.
• Short: Convention Against Torture, art. 3.
(c) Commonly Cited Treaties. –
(i) U.N. Protocol on Refugees. –
• Full: United Nations Protocol Relating to the
Status of Refugees, Jan. 31, 1967, [1968] 19 U.S.T.
6223.
• Short: 1967 Protocol on the Status of Refugees,
art. xx.
(ii) U.N. Convention on Refugees. –
• Full: United Nations Convention Relating to the
Status of Refugees, July 28, 1951, 19 U.S.T. 6259.
• Short: 1951 Convention Relating to the Status of
Refugees, art. xx.

BIA Style Manual Chapter 6
127 January 12, 2018
6.7 Administrative Publications and Forms
Please note that Bluebook Rule 14.2(d) provides guidance on citing administrative
publications. However, the Board’s convention for citing its publications and forms vary from
the Bluebook in this context. Please utilize the following guidelines.
(a) Practice Manuals. – Neither the Board’s Practice Manual nor the
Immigration Court Practice Manual can be cited as legal authority. They are
practitioner guidance and should only be cited as reference material or as
documentation of practice and procedure. When citing to either Practice Manual, the
preferred form is to identify the specific provision by chapter and section. In addition,
include the date at the bottom of the page on which the cited section appears.
• Full: BIA Practice Manual, Chapter 8.5(a)(iii) (April 26, 2016).
• Short: Practice Manual, Chap. 8.5 (a)(iii).
(b) Forms. – When citing forms, include the full name, followed by the number
is parentheses. See Appendix G for a listing of applications commonly referred to in
Board decisions.
• Full: Notice of Appeal from a Decision of an Immigration Judge (Form
EOIR-26).
• Short: Notice of Appeal or Form EOIR-26.
(c) Country Reports. – Citations to country reports should always contain the
publication date and the specific page numbers (if available). The first citation to any
country report should contain all identifying information, and a short citation form may
be used thereafter.
• Full: Bureau of Democracy, Human Rights and Labor, U.S. Dep’t of State,
Nigeria Country Reports on Human Rights Practices – 2001 (Mar. 2002).
• Short: 2001 Nigeria Country Reports.
(d) Visa Bulletin. – Citations to the State Department’s Visa Bulletin should
include the volume, number, month, and year of the specific issue being cited.
• Full: U.S. Dep’t of State Visa Bulletin, Vol. VIII, No. 55 (March 2003).
• Short: Visa Bulletin (March 2003).

BIA Style Manual Chapter 6
128 January 12, 2018
6.8 Commercial and Academic Publications
(a) Law Review Articles. – When citing law review articles, include (1) the
author’s full name, (2) title of the article, (3) journal number, (4) abbreviation of journal,
(5) page on which the article begins, (6) span of specific pages cited, and (7) date of
publication. See Bluebook Rule 16. Use supra in the short citation form. See
Bluebook Rule B9.2.
• Full: Derek Smith, A Refugee by Any Other Name: An Examination of
the Board of Immigration Appeals’ Action in Asylum Cases, 75 Va. L.
Rev. 681, 682 (1989).
• Short: Smith, supra, at 682.
(b) Treatises. – When citing to treatises, include (1) the volume, (2) author’s
full name, (3) title of the publication, (5) pinpoint, (6) edition, and (7) year. See
Bluebook Rule 15, B8. Use supra in the short citation form. See Bluebook Rule B8.2.
• Full: 2 Charles Gordon, Stanley Mailman, Stephen Yale-Loehr, and Ronald
Y. Wada, Immigration Law and Procedure, at 51 (rev. ed. 1997).
• Short: Gordon et al., supra, at 51.
6.9 Court Documents
(a) Citation Format. – A full citation to court documents includes the following
elements: (1) the name of the document (abbreviated when appropriated), (2) “at,” (3)
pinpoint citation, and (4) the date of the document, if more than one document bears
the same title. See Bluebook Rule 7. Generally, avoid citing to court documents in
the middle of the sentence, unless emphasis is necessary. Use a parenthetical for the
citation and place inside the sentence, not outside the period.
• Respondent’s Br. at 2.
• IJ at 3, June 19, 2004.
(b) Abbreviations. – When citing to court documents, use the following
abbreviations. See Bluebook Table 1.
• Immigration Judge – IJ

BIA Style Manual Chapter 6
129 January 12, 2018
• Brief – Br.
• Transcript – Tr.
• Exhibit – Exh.
(c) Order of citing documents. – When citing multiple court documents, place
them in the following order: (1) Immigration Judge decision, (2) transcript, (3) exhibits,
and (3) parties’ briefs.
(d) Unpaginated Immigration Judge Decisions and parties briefs. – If an
Immigration Judge’s decision or parties’ brief is unpaginated, do not include a pinpoint
cite. Either include a footnote or explain in the decision that the Immigration Judge’s
decision or party’s brief is unpaginated. Citation should be (IJ) (unpaginated) and then
(Respondent’s brief) (unpaginated).
6.10 Introductory Signals
(a) Signals that indicate support. – See Bluebook Rule 1.2.
(i) No signal. – No signal is used when the cited authority states the
proposition or identifies the authority referred to in the text.
(ii) E.g. – This signal is used when more than one cited authority states
the proposition, but citation to others is not helpful or necessary. This signal
may be combined with another signal, in which case the comma preceding it is
italicized, but the comma following it is.
• See, e.g.,
• But see, e.g.,
For more information regarding the use of italics and introductory
signals, see Chapter 5.8(f).
(iii) Accord. – This signal is used when the text quotes or refers to one
authority but one or more others also state or clearly support the cited
proposition. This signal may also be used when the law of one jurisdiction is
in accord with that of another jurisdiction whose authority is cited.
(iv) See. – This signal is used when the cited authority clearly supports
the proposition of law. “See” is used instead of “no signal” when the proposition
is not directly stated by the cited authority but inferentially follows it. “See”

BIA Style Manual Chapter 6
130 January 12, 2018
should not follow a citation that states the proposition, in which case the
appropriate signal is see also. See subsection below.
(v) See also. – This signal is used when the cited authority is additional
material supporting the proposition where other authorities that state the
proposition “no signal” or directly support the proposition already have been
cited or discussed.
(vi) Cf. – This signal is used when the cited authority supports a
proposition that is different from the main proposition of law. It should be
followed by a parenthetical explanation of its relevance. See Bluebook Rule
1.5.
(b) Signals that suggest a useful comparison. – When comparing cited
authorities that support or illustrate the proposition of law, use the signal “Compare.”
This signal, however, must be used in conjunction with “with” and each followed by a
parenthetical explanation of its relevance. If more than two authorities are compared,
use “and” to connect them.
• Compare [cite and parenthetical], with [cite and parenthetical].
• Compare [cite and parenthetical], and [cite and parenthetical] with [cite
and parenthetical] and [cite and parenthetical].
(c) Signals that indicate contradiction. –
(i) Contra. – This signal is used when the cited authority directly states
the contrary proposition. “Contra” is used where “no signal” would be used for
support.
(ii) But see. – This signal is used when the cited authority clearly
supports a proposition contrary to the main proposition. Used where “see”
would be for support.
(iii) But cf. – This signal is used when the cited authority supports a
proposition analogous to the contrary of the main proposition. It should be
followed by a parenthetical explaining its relevance.
(d) Signals that indicates background material. – “See generally” is the
signal used when the cited authority provides useful background material related to
the proposition. It should be followed by a parenthetical of its relevance.
(e) Order of signals. – When more than one signal is used, they should be in
the order of the signals that follow those listed in Rule 1.2. See Bluebook Rule 1.3.

BIA Style Manual Chapter 6
131 January 12, 2018
Signals of the same type (e.g., supportive) should be in a signal citation separated by
semicolons. Signals of different types are grouped in different citation sentences that
are separated by periods. However, different type signals may also be used in citation
clauses, in which case they are separated by semicolons. See Bluebook Rule 1.3.
(f) Order of authorities within each signal. – Cases are arranged within a
signal according to the issuing court and should always be in reverse chronological
order within each level of authority (i.e., most recent Supreme Court decisions are first,
then the newest circuit court decisions, without regard to the specific court; district
court cases; and Board decisions). For purposes of determining the order, it does not
matter whether a case is published or has subsequent history. See Bluebook Rule
1.4(d).

BIA Style Manual Chapter 6
132 January 12, 2018
This page intentionally left blank

BIA Style Manual Chapter 7
133 January 12, 2018
7 Drafting the Decision
7.1 Generally
In general, Board decisions should communicate, as clearly and precisely as possible,
the Board’s rulings on the dispositive issues raised by the parties on appeal and the
supporting rationale for those rulings. Decisions should cite to relevant authority and evidence
in the record.
(a) Succinctness. – Be succinct; be direct. Complicated sentences with
multiple subjects, multiple predicates, and strings of dependent clauses lose the
reader. The objective of the Board is not to impress, but to be understood. Sentences
should therefore be straightforward, err on the side of being brief, and have neither
unneeded verbiage or excessive precision.
(b) Sentence openers. – Avoid using “throat-clearing” phrases, such as:
• “After [upon] a careful review of the record” -- This is presumed.
• “We next consider whether the respondent is eligible” – Just state
whether or not the respondent is eligible.
• “Are applicable to” -- use “apply.”
(c) Factual recitations. – The Board has limited fact-finding ability on appeal.
8 C.F.R. § 1003.1(d)(3). Thus, facts should generally be discussed in the context of
stating the reasons for our decision. Also, to avoid fact-finding on appeal, it is often
helpful to cite to the page of the Immigration Judge’s decision where the Immigration
Judge made the pertinent factual finding, together with a citation to the page(s) of the
transcript or the exhibit(s) supporting that finding.
7.2 Introductory Paragraph
(a) Generally. – The first paragraph of most decisions involving appeals from
an Immigration Judge decision should succinctly: (1) identify the party that filed the
appeal; (2) state the disposition and resolution of the case before the Immigration
Judge (including identifying the forms of relief granted or denied); and (3) state
whether the appeal is sustained, dismissed, remanded, sustained in part and
remanded, or otherwise resolved.

BIA Style Manual Chapter 7
134 January 12, 2018
In addition, apply the following:
• Do not attempt to summarize the rationale of the Immigration Judge’s
decision here. Often, that gets protracted and unwieldy, so it is best left
to the substantive discussion in the decision. Analyze the judge’s
decision in the analysis section of the decision.
• If the case has a lengthy procedural history, try to avoid summarizing
that history in the first paragraph. Leave that for a subsequent
paragraph that may either immediately follow the first paragraph, or be
included in your discussion and analysis of the issues on appeal.
(Where the history is complicated, set it off in a separate section entitled
“Procedural history” or something comparable.)
• For most cases (other than visa petition appeals), identify the
respondent’s nationality and citizenship in the introductory paragraph or
shortly thereafter.
• For visa-petition appeals, identify the claimed relationship between the
petitioner and beneficiary in the opening paragraph.
(b) Examples. – Below are sample introductory paragraphs.
• “The Department of Homeland Security appeals from the decision of the
Immigration Judge, dated [ ], that granted asylum and withholding of
removal to the respondent, a native and citizen of China. [Cite pertinent
statutes and regulations here.] The appeal will be dismissed in part and
the record remanded.”
• “In a [date] decision, the Immigration Judge denied the respondent’s
application for cancellation of removal under section 240A(b)(1) of the
Immigration and Nationality Act, 8 U.S.C. § 1229b(b)(1), but granted the
respondent’s request for voluntary departure. The respondent, a native
and citizen of Mexico, has appealed the denial of cancellation of
removal. The appeal will be dismissed.”
• “The petitioner appeals the decision of the Director dated [ ], denying
the visa petition which was filed on behalf of the beneficiary as the child
of a United States citizen.”

BIA Style Manual Chapter 7
135 January 12, 2018
7.3 Standard of Review
(a) Generally. – The second paragraph of the decision should concisely set
forth the standard of review to be applied. This can be done very briefly with
appropriate citations to the regulations and, if appropriate, BIA precedent.
(i) Examples. – Most decisions will require nothing more than one of
these examples:
• “We review the findings of fact, including the determination of
credibility, made by the Immigration Judge under the “clearly
erroneous” standard. 8 C.F.R. § 1003.1(d)(3)(i). We review all
other issues, including issues of law, discretion, or judgment, under
the de novo standard. 8 C.F.R. § 1003.1(d)(3)(ii).”
• “We review all questions arising in appeals from decisions of DHS
officers de novo. See 8 C.F.R. § 1003.1(d)(3)(iii).”
(ii) Language to avoid. – In addition to citing the correct standard of
review at the beginning of the decision, avoid imprecise language regarding
which standard of review is being applied to each portion of the Immigration
Judge’s decision. Ambiguity in the standard of review invites unfavorable
judicial review and remand.
(b) REAL ID Act. – Do not cite the REAL ID Act unless there is a case-specific
reason to do so. When it is necessary to cite the REAL ID Act, indicate which
application for relief is implicated and provide an appropriate citation.
7.4 Body of Decision
(a) General Guidance. –
(i) Goal. – The “body” of our decisions should communicate, as
precisely as possible, the dispositive issues raised by the parties on appeal
and the Board’s legal reasoning for ruling as it has.
(ii) Neutral Judicial Tone. – A neutral judicial tenor is essential. It is
unprofessional to treat a party’s argument in a dismissive or pejorative fashion.
Judgmental language directed towards a party suggests bias and undermines
the Board’s authority in the eyes of the pubic and reviewing courts. A best
practice is to remember to “judge the case, not the person.” Therefore, do not
use words and phrases that contain implied condemnation (e.g., the
respondent “failed to” file a timely application) when a direct statement would

BIA Style Manual Chapter 7
136 January 12, 2018
suffice (e.g., the respondent “did not” file a timely application). Avoid terms
such as “obviously,” “of course,” “pointless,” “curiously,” and “inexplicably”
since they can be interpreted pejoratively.
(iii) Precision. – Take on one issue at a time, resolve that issue, and
then move on to the next issue, each in a separate paragraph.
(A) Sentence structure. – Clarity is critical to the drafting of
effective decisions, and overly complex sentences invite unfavorable
judicial review. Sentences should be complete but brief to the degree
possible. Short sentences are easier to read, which serves to make
them more persuasive. Long sentences can be difficult to understand,
especially when laced with dependent clauses. There is usually a way
to break a complex sentence into a series of shorter and easier to digest
sentences. Also, avoid unnecessary verbiage. Do not be precise to the
point of tedium. Avoid dependent clauses that state the obvious and do
not add to the meaning or clarity of the sentence (e.g., “the application
for relief that was filed in the course of removal proceedings before the
Immigration Judge” likely contains too many unnecessary dependent
clauses).
(B) Paragraph structure. – Like long sentences, long
paragraphs are difficult to read and can dilute clarity and effectiveness.
As a rule of thumb, if a paragraph runs more than nine lines, it is
probably time to start a new one. Most complex paragraphs can be
broken down into a series of smaller, more digestible ones. Although it
may seem, at times, that the break is artificial, it is better to err on the
side of readability to ensure clarity.
(C) Word choice. – Word choice is critical to clarity. While
Board decisions need to be legally precise, they also need to be
understood. Limit legalese and Latin terms to what is truly necessary,
and strive to be understood, not lawyerly.
(D) Sentence openers. – Please use sparingly phrases such as
“We note,” “We observe,” “In any event,” and “Notwithstanding the
foregoing.” Just say what you are going to say. See section 7.1(b)
above.
(b) Organization of Body Paragraphs. –
(i) Identify issue(s) in dispute. – Dispositive issues must always be
acknowledged in the decision, whether or not the decision repeats every point
in dispute. Non-dispositive issues raised by the parties may or may not bear

BIA Style Manual Chapter 7
137 January 12, 2018
repeating in the decision, but the decision should always say enough that the
parties know that the Board heard, considered, and understood the issues
raised. For example:
• “The respondent raises a number of issues in challenging the
Immigration Judge’s finding of removability and the denial of
cancellation of removal on both eligibility and discretionary grounds,
including due process claims relating to the conduct of the hearing.
We find it unnecessary to address most of these contentions
because we agree with the Immigration Judge that the respondent
is removable as an alien convicted of an aggravated felony and does
not qualify for any relief requested at the hearing.”
(ii) Clearly announce ruling. – Always state the Board’s ruling on
dispositive issues. In other words, always articulate the “bottom line” as to
which party wins or loses on the dispositive issues. This can usually be done
in a single sentence or clause, and it can be combined with the identification of
the issue. For example:
• “We reject the respondent’s argument that, because the statute of
conviction does not require as an element the use of “violent” force,
his conviction cannot be classified as a “crime of violence” under
section 101(a)(43)(F) of the Act.
• “We reject the respondent’s argument that his Form I-9
(Employment Eligibility Verification) was not admissible to support
DHS’ charge of removability. See Matter of Bett, 26 I&N Dec. 437
(BIA 2014).”
(iii) Explain reasons for decision. – The decision needs to say
enough that the parties can understand who prevailed and why. As with issue
identification, the explanation needs to give the parties and any reviewing body
confidence that we understood the essence of the case, reviewed the record
and identified the dispositive issue(s), and set forth a reasonable, legally
correct and defensible resolution, even if the losing party or reviewing body
might take issue with it.
Citations to the transcript and relevant exhibits demonstrate that the
Board reviewed the record. For example:
• “The adverse credibility finding is supported by the various
inconsistencies in the testimony and evidence identified by the
Immigration Judge (IJ at 11-18), some of which go to the heart of
the respondent’s claim. For example, as the Immigration Judge

BIA Style Manual Chapter 7
138 January 12, 2018
found that critical aspects of the respondent’s testimony –
specifically his 5 weeks of detention and the two beatings during
interrogation sessions – were not mentioned in his asylum
application (Exh. 3) or during his credible fear (IJ at 12-15; Tr. at 46-
58; Exh. 5).”
(iv) Address losing party’s arguments. – Address the points made by
the losing party that bear on the dispositive issues. It is not necessary to
address potential issues that clearly have no effect on the outcome. Meritless
arguments are oftentimes best disposed of by simply acknowledging them and
explaining why they have no bearing on the outcome. However, be certain to
address every legitimate claim that is before us.
If new claims are raised on appeal, it is unlikely that the Board can
address them at this stage in the proceedings, but the decision should at least
acknowledge the new claims, identify them as new, and state what effect they
have, if any, on the outcome. When addressing new claims and new evidence
on appeal, a best practice is to cite the pertinent regulations regarding the
Board’s role as an appellate adjudicator rather than a fact-finder (e.g., 8 C.F.R.
§ 1003.1(d)(1)(iv)), but then also assess whether any of the new evidence
submitted on appeal meets the criteria under 8 CFR § 1003.2(c)(1) and (4) for
a motion to remand, i.e., whether the evidence is material and was unavailable
and could not have been discovered or presented at the hearing below.
(v) Address one issue at a time. – Address each issue separately by
focusing on one and then moving to the next issue (or part of an issue). Start
a new paragraph with each next issue. Avoid long paragraphs that address
multiple dispositive issues.
7.5 Fee Waiver Request
(a) Generally. – When an appeal or motion requires a filing fee, the Board has
the discretion to waive that fee upon a showing of economic hardship or incapacity.
8 C.F.R. § 1003.8(a)(3).
(b) Fee Waiver Request form. – Fee waivers are not automatic but must be
requested through the filing of a Fee Waiver Request (Form EOIR-26A). The Fee
Waiver Request form must be filed along with the Notice of Appeal (Form EOIR-26)
or the motion. The form requests information about monthly income and expenses
and requires the applicant to declare, under penalty of perjury, that he or she is unable
to pay the fee due to personal economic hardship.

BIA Style Manual Chapter 7
139 January 12, 2018
(c) Board’s decision. – In cases where the required filing fee or Form
EOIR-26A is not submitted or is deficient, the Clerk’s Office rejects the filing as
“improperly filed” and returns the filing package to the alien. If an issue regarding the
merits of a fee waiver request is raised by a party, the assigned staff attorney, or a
Board Member, it is the Board Member or panel that makes the determination as to
whether to deny the fee request.
(i) Grant request. – A footnote in the decision about the grant of the
waiver is optional and left to the discretion of the Board Member or panel.
(ii) Deny request. – When the fee waiver request is denied, the alien is
given notice through the issuance of an interim order to submit the requisite fee
within 15 days and admonished that failure to so may result in dismissal of the
appeal or denial of the motion. For example for an appeal, the interim order
language would read as follows:
• “The respondent timely filed his Notice of Appeal (Form EOIR-26),
accompanied by an Appeal Fee Waiver Request (Form EOIR-26A).
The fee waiver request is denied. See 8 C.F.R. § 1003.8. We will
grant the respondent 15 days from the date of this order to submit
the requisite $110 filing fee. If the respondent does not file the fee
waiver within the time allotted, the Immigration Judge’s decision may
become final, and the record will be returned to the Immigration
Court without further action. See 8 C.F.R. §§ 1003.3(a) and
1003.38.”
See illustration on the next page.

BIA Style Manual Chapter 7
140 January 12, 2018
Below is an illustration of an interim order involving an appeal in which the fee
waiver request is denied.
7.6 Affirmance Without Opinion
A case is appropriate for affirmance without opinion (“AWO”) where the result reached
in the decision under review was correct; any errors were harmless or nonmaterial, the issues
on appeal are squarely controlled by Board or federal court precedent and do not involve the
application of precedent to a novel factual scenario; or the factual and legal issues raised in
the appeal are not so substantial that the case warrants a more substantive written opinion.
8 C.F.R. § 1003.1(e)(4).

BIA Style Manual Chapter 7
141 January 12, 2018
The order should read as follows:
• “The Board affirms, without opinion, the result of the decision below. The
decision below is, therefore, the final agency determination. See 8 C.F.R.
§ 1003.1(e)(4).”
The order should not contain any further reasoning or explanation. See 8 C.F.R.
§ 1003.1(e)(4)(B)(ii).
An AWO should not be used when there are any meaningful issues or legal arguments
in the case.
7.7 Matter of Burbano Language (“adopt and affirm”)
Where an Immigration Judge’s decision fully addresses the issues necessary for the
resolution of an appeal, it may be appropriate to use Matter of Burbano language (“adopt and
affirm”) in the decision. In such instances, succinctly state why the Board is affirming and
adopting the Immigration Judge’s decision. There is no need to restate the Immigration
Judge’s findings, analysis, and/or legal citations. Also, do not include a parenthetical setting
forth the holding in Matter of Burbano, but simply cite the case instead. For example:
• “We adopt and affirm the decision of the Immigration Judge. See Matter of
Burbano, 20 I&N Dec. 872, 874 (BIA 1994).
In addition, in some cases, it may be appropriate to “adopt and affirm” while still
addressing an issue or two raised on appeal that was not addressed in the Immigration
Judge’s decision. Such decisions should also be succinct, but if they become lengthy, then
the use of the “affirm and adopt” approach for resolution of the appeal may not be appropriate.
7.8 Remand to Different Immigration Judge
When Immigration Judge conduct may be an issue, it may be appropriate to remand
to a different Immigration Judge. In these instances, it is important to note the reason that
the case is being remanded to a different Immigration Judge, but do not upbraid or berate the
Immigration Judge.
Upon remand, parties should generally be given the opportunity to present additional
evidence and testimony to the new Immigration Judge. For example:
• “Under the circumstances, we find that a remand to a different Immigration
Judge is warranted in this case. On remand, the new Immigration Judge

BIA Style Manual Chapter 7
142 January 12, 2018
should allow the parties to present testimony and additional evidence, as
appropriate, and should make a new credibility determination.”
In addition, the IJR code on the circulation sheet must be circled. For more information
on the IJR code and the completion of the circulation sheet, see Chapter 9 (Circulation).
7.9 Re-issued and Amended or Corrected Decision/Order
When the Board reissues a decision, the phrase “REISSUED DECISION” in all CAPs
and bold font should appear two lines below the “APPLICATION” caption or two lines above
the text of the body of the decision if there is no application line. The text should also be
centered.
In addition, the decision should explain, in a footnote, why the Board is reissuing its
decision. For example:
• “The respondent asserts that he did not receive our decision. Motion at 3. The
respondent resided at a correctional facility at the time that the Board’s
March 9, 2009, decision was mailed. The record indicates that we did not send
the decision to the address provided by the respondent on his Notice of Appeal.
The record further reflects that our decision was returned by the United States
Postal Service, stamped “Return to Sender.” Under these circumstances,
since the record clearly demonstrates that the respondent did not receive the
Board’s decision through no fault of his own, we find that reissuance of our
decision is warranted.”
When the Board issues an amended or corrected decision/order, the
appropriate phrase of either “AMENDED DECISION”; “AMENDED ORDER”;
“CORRECTED DECISION”; or “CORRECTED ORDER” in all CAPS and bold font
should appear two lines below the “APPLICATION” caption or two lines above the text
of the body of the decision if there is no “APPLICATION” caption. This text should
also be centered.
In addition, the decision should explain, in a footnote, why the Board is
amending or correcting a decision/order.
7.10 Federal Court Remand
(a) Generally. – Board decisions following remand from a federal court have a
slightly different structure. Generally, the decision should begin with a statement that

BIA Style Manual Chapter 7
143 January 12, 2018
the case is before the Board pursuant to a decision or order from the circuit court
remanding the case to the Board. The decision should then have a statement of what
the Board has been instructed or asked to do. Finally, the decision should include a
statement of the disposition of the matter on remand.
(b) Sample language. –
(i) When federal court grants petition for review. –
• “This case is presently before us pursuant to a September 19, 2008,
decision of the United States Court of Appeals for the Ninth Circuit,
granting the respondent’s petition for review from the Board’s
decision of March 5, 2006, and remanding for further proceedings.
In light of the Ninth Circuit’s decision, we find the respondent eligible
for asylum and remand the record to the Immigration Court for
completion of background checks.”
• “On June 29, 2006, the United States Court of Appeals for the
Second Circuit granted a petition for review, vacated our November
5, 2003, decision, and remanded the record to this Board. In light of
the Second Circuit’s decision, the Government has requested that
the record be remanded to the Immigration Judge for an update of
the security and background checks and for a possible grant of
asylum. The record will be remanded to the Immigration Judge for
further proceedings.”
(ii) When court grants a motion to remand. –
• “This case is presently before us pursuant to an order of the United
States Court of Appeals for the Third Circuit granting the
Government’s unopposed motion to remand for further
consideration of the respondent’s applications for asylum and
withholding of removal. In a decision dated May 11, 2004, we had
affirmed the decision of the Immigration Judge denying those
applications for relief. The record will be remanded to the
Immigration Judge for further proceedings.”
7.11 Motions with Pending Petition for Review in Federal Circuit Court
When the record reflects that there is a pending petition for review (PFR) in a federal
circuit court, include a footnote recognizing the existence of the pending PFR and instructing
that the parties should notify the circuit court of the Board’s decision. Also, the “Special
Instructions to Docket” portion of the circulation sheet must be annotated so the Docket Team

BIA Style Manual Chapter 7
144 January 12, 2018
will know to send a copy of the Board’s decision to OGC. Check with your TL for name of the
current OGC designated point of contact.

BIA Style Manual Chapter 8
145 January 12, 2018
8 Order Language
8.1 Generally
Every decision must advise the parties of the disposition of the case. Listed below is
some general guidance in drafting order language.
(a) Appeal. – If the case before the Board is on direct appeal from a decision
of the Immigration Judge or DHS officer, the order should either sustain or dismiss the
appeal. A further order may be appropriate if the record is remanded or the
Immigration Judge’s grant of voluntary departure is reinstated. Furthermore, since the
Board may not enter an order granting certain forms of relief unless required
background and security checks have been completed, a further order line remanding
the record for updated checks may be required. See 8 C.F.R. §§ 1003.1(d)(6) and
1003.47(h).
(b) Motions to reopen and motions to reconsider. – Where a motion to
reopen or reconsider is properly directed to the Board (i.e., where the Board entered
the last decision in the proceedings sought to be reopened or reconsidered), the
motion is either granted or denied. A further order line may be necessary if the record
is remanded for further proceedings below.
(c) Appeal and motion. – When the case comes to the Board as the result of
a direct appeal and a party files a motion to remand to apply for a new form of relief or
to consider new evidence not previously available, the appropriate disposition is either
to grant the motion, or to have two order lines, one order line dismissing or sustaining
the appeal and a further order line addressing the motion.
(d) Interlocutory appeal. – An interlocutory appeal is either dismissed or
sustained. A further order line may also be needed.
(e) Certification. – If a case is certified to the Board by an Immigration Judge
or a DHS adjudicator (on direct referral and not subsequent to a remand or
administrative return), the order should either affirm or reverse the decision below.
(f) Return of record of proceedings. – If the Board returns a case to the
Immigration Judge to rule on a motion, then say the appeal will be dismissed, but the
record will be returned to the Immigration Court for an Immigration Judge to consider
the [respondent/applicant’s] motion. Note: The case is not “remanded” but is returned
to the Immigration Court by the Clerk’s Office.

BIA Style Manual Chapter 8
146 January 12, 2018
8.2 BIA Macros
(a) Generally. – The Board has created several standard order macros to be
used in certain circumstances. These include the following:
• Background Check Remand Further Order Language
• Chouliaris – Voluntary Departure Further Order Language (deportation
proceedings)
• § 240B(b) – Voluntary Departure Further Order Language for 60 days
(removal proceedings)
• § 240B(b) – Voluntary Departure Further Order Language for [insert
#days] (removal proceedings)
The Board has also created a macro for the signature line. Every decision
must have a signature line.
(b) Accessing BIA Macros. – The BIA Macros are located in the Tab labeled
BIA Macros on the Word Ribbon. Below is an illustration showing the location of this
Tab.

BIA Style Manual Chapter 8
147 January 12, 2018
Click on the BIA Macros Tab and the ribbon containing the available macros
listed in subsection (a) above will appear. Below are illustrations of this ribbon.

BIA Style Manual Chapter 8
148 January 12, 2018
8.3 Removability or Deportability at Issue on Appeal
This section addresses order language that should be used in both removal
proceedings (commenced by INS on or after April 1, 1997, through the filing of a NTA with an
Immigration Court) and deportation proceedings (initiated by INS, before April 1, 1997,
through the filing of an Order to Show Cause with an Immigration Court). By definition, the
alien’s deportability or inadmissibility will be at issue.
(a) Alien appeal. – Deportability or inadmissibility at issue.
(i) Sustain. – When the alien’s appeal is sustained, one of the following
orders should be used:

BIA Style Manual Chapter 8
149 January 12, 2018
(A) Vacating Immigration Judge decision. – If the Immigration
Judge’s decision needs to be vacated, the following further order line
may be added:
(B) Nonimmigrant admitted to United States. – In rare
circumstances where a nonimmigrant is seeking admission in removal
proceedings, it will be necessary to set the days/months the
nonimmigrant may be admitted and to set a bond. The following order
should be used:

BIA Style Manual Chapter 8
150 January 12, 2018
(ii) Dismiss. – When an alien’s appeal is dismissed, the following order
should be used:
(iii) Sustained in part. – When an alien’s appeal is sustained in part,
but he or she is still subject to removal/deportation on other grounds, the
following order may be used:

BIA Style Manual Chapter 8
151 January 12, 2018
(iv) Remand. - When an alien’s appeal is dismissed or sustained, but
the case is being remanded to the Immigration Judge for further proceedings
(other than for updating background and security checks or considering merits
of a motion originally filed with the Immigration Court), the following order and
further order should be used:

BIA Style Manual Chapter 8
152 January 12, 2018
(A) Board did not reach the merits. – If the decision remands
without reaching the merits, the following order should be used:
(B) Background and Security Check Rule. – See Chapter 8.6.
(v) Return record for Immigration Judge to consider merits of a
motion. – If the Board decides to return a case to the Immigration Judge to
rule on a motion, then say the appeal will be dismissed, but the record will be
returned to the Immigration Court for an Immigration Judge to consider the
[respondent/applicant’s] motion. Note: The case is not “remanded” but is
returned to the Immigration Court by the Clerk’s Office. See Chapter 9.3(b)(v)
(Special Instructions to docket) for more information to ensure ROP returned
the Immigration Court.

BIA Style Manual Chapter 8
153 January 12, 2018
(b) DHS appeal. – Deportability or inadmissibility at issue.
(i) Sustain. – When a DHS appeal is sustained, the order line should
be accompanied by one of the further orders listed below:
(A) Remand to allow alien to apply for relief. – If the case is
being remanded to allow the respondent to apply for relief or protection,
the further order language should be used:
(B) Order removal from United States. – If the respondent, is
removable/deportable as charged, is ineligible for any relief or
protection from removal/deportation, or was provided an opportunity to
apply for relief or protection below and declined, the following further
order should be used:

BIA Style Manual Chapter 8
154 January 12, 2018
(ii) Overturn Immigration Judge’s grant of a request to withdraw
application for admission. – If DHS is appealing the erroneous grant of a
request to withdraw an application for admission and the appeal is being
sustained, the following order and further orders should be used:
(c) Dismiss. – When a DHS appeal is dismissed, the following order should be
used:
This order language is also appropriate to use when proceedings were
terminated by the Immigration Judge on a finding that removability was not
established. For appropriate orders for where relief is at issue, see Chapters 8.6 thru
8.8.

BIA Style Manual Chapter 8
155 January 12, 2018
(d) Remand. – When a DHS appeal is sustained, but the record is being
remanded to the Immigration Judge, the following order should be used:
(i) Board did not reach merits. – If remanding, without reaching the
merits, the following order should be used:
(ii) Background and Security Check Rule. – See Chapter 8.6.

BIA Style Manual Chapter 8
156 January 12, 2018
8.4 Excludability
This section addresses order language that should be used in exclusion proceedings
(which will have been initiated by INS before April 1, 1997, through the filing of a Notice to
Applicant for Admission Detained for Hearing before Immigration Judge (Form I-122) with an
Immigration Court). By definition, the alien’s inadmissibility will be at issue. Note: The alien
in exclusion proceedings is referred to as an applicant, rather than a respondent.
(a) Alien appeal. –
(i) Sustain. –
(A) Not inadmissible. – When the alien’s appeal is sustained
and the alien is found not inadmissible, the following order should be
used:
(B) Not excludable. – When the alien’s appeal is sustained and
the alien is found not excludable, the following order should be used:

BIA Style Manual Chapter 8
157 January 12, 2018
(C) Nonimmigrant seeking admission. – In the rare case of a
nonimmigrant seeking admission through exclusion proceedings, the
following order should be used when the appeal is sustained:
(D) Vacating Immigration Judge decision. – Where an
Immigration Judge’s order was entered in error, the following orders
should be used:

BIA Style Manual Chapter 8
158 January 12, 2018
(ii) Dismiss. – When an alien’s appeal is dismissed, the following order
should be used:
However, where there is more than one ground of inadmissibility and
the alien remains subject to exclusion, the following order should be used:

BIA Style Manual Chapter 8
159 January 12, 2018
(b) Remand. – When an alien’s appeal is sustained but the case is being
remanded to the Immigration Judge for further proceedings (beyond simply updating
background and security checks), the following order and further order should be
used:
(i) Board did not reach the merits. – If remanding without reaching
the merits, the following order should be used:
(ii) Background and Security Check Rule. – See Chapter 8.6

BIA Style Manual Chapter 8
160 January 12, 2018
(c) DHS appeal. –
(i) Sustain. – When a DHS appeal is sustained, the order line states
“The Department of Homeland Security’s appeal is sustained.” Then one of
the further orders listed below should be included.
(A) Remand to allow alien to apply for relief. – If the case must
be remanded to allow the applicant an opportunity to apply for relief from
exclusion, the following further order language should be used:
(B) Order alien excluded and deported from United
States. - If the applicant is inadmissible, is ineligible for any relief from
exclusion, or was provided an opportunity to apply for relief below and
declined, the following further order should be used:

BIA Style Manual Chapter 8
161 January 12, 2018
(ii) Overturn Immigration Judge’s grant of a request to withdraw
application for admission. – If DHS is appealing the erroneous grant of a
request to withdraw an application for admission and the appeal is being
sustained, the following order and further orders should be used:
(iii) Dismiss. – When a DHS appeal is dismissed, the following order
should be used:
This order language is also appropriate to use when proceedings were
terminated by the Immigration Judge on a finding that deportability was not
established. For appropriate orders where relief is at issue, see generally
chapter 8.3.

BIA Style Manual Chapter 8
162 January 12, 2018
(iv) Remand. – When a DHS appeal is dismissed or sustained, but the
record is being remanded to the Immigration Judge for further proceedings
other than for updating background and security checks, the following order
should be used:
(v) Board did not reach the merits. – If remanding, without reaching
the merits the following order should be used:
(vi) Background and Security Check Rule. – See Chapter 8.6

BIA Style Manual Chapter 8
163 January 12, 2018
8.5 Voluntary Departure
This section addresses order language that should be used when an application for
voluntary departure is at issue on appeal.
(a) Voluntary departure denied below. –
(i) Removal proceedings. –
(A) Sustain. – When an alien challenges the denial of voluntary
departure and the appeal is sustained, the orders below are suggested.

BIA Style Manual Chapter 8
164 January 12, 2018
(B) Dismiss. – When an alien challenges the denial of voluntary
departure and the appeal is dismissed, the following order should be
used:
(ii) Deportation proceedings. –
(A) Sustain. – When an alien challenges the denial of voluntary
departure and the appeal is sustained, the following orders should be
used:

BIA Style Manual Chapter 8
165 January 12, 2018
(B) Dismiss. – When an alien challenges the denial of voluntary
departure and the appeal is dismissed, the following order should be
used.
(b) Voluntary departure granted below. –
(i) Alien’s appeal (not regarding voluntary departure). –
(A) Removal proceedings. – If voluntary departure was granted
by the Immigration Judge, it will usually be necessary to include a
FURTHER ORDER relating to the reinstatement of voluntary departure.
Use the BIA Macro § 240B(b) – VD 60 days. However, if the
Immigration Judge granted less than 60 days, use the BIA Macro
§ 240B(b) – VD insert #days. See Chapter 8.2 (BIA Macros).
Important note: Where voluntary departure has been granted
after January 20, 2009, the respondent has an affirmative duty to submit
proof to the Board within 30 days of filing an appeal, proving that he or
she has posted the bond amount set by the Immigration Judge. See
8 C.F.R. § 1240.26(c)(3)(ii). If the respondent fails to provide timely
proof that the bond has been paid, the Board cannot reinstate voluntary
departure. However, if the Immigration Judge did not provide all the
advisals that are required and the respondent failed to submit timely
proof of posting the bond, the record should be remanded to the
Immigration Judge to grant a new period of voluntary departure and to
provide required advisals. See Matter of Gamero, 25 I&N Dec. 164 (BIA
2010).

BIA Style Manual Chapter 8
166 January 12, 2018
(B) Deportation proceedings. – If voluntary departure was
granted by the Immigration Judge, it will usually be necessary to include
a FURTHER ORDER relating to the reinstatement of voluntary
departure. Use the BIA Macro Chouliaris. See Chapter 8.2 (BIA
Macros). However, if the Immigration Judge granted less than 30 days,
the Chouliaris macro will need to be modified to reflect the actual
number of days granted by the Immigration Judge.
(ii) DHS appeal (of grant of voluntary departure). –
(A) Sustain. – If DHS’ appeal is sustained, the following orders
should be used:
(B) Dismiss. –
(I) Removal proceedings. – When a DHS appeal is
dismissed, it will usually be necessary to include a FURTHER
ORDER relating to the reinstatement of voluntary departure.
Use the BIA Macro § 240B(b) – VD 60 days. However, if the
Immigration Judge granted less than 60 days, use the BIA Macro
§ 240B(b) – VD insert #days. See Chapter 8.2 (BIA Macros).
Important note: Where voluntary departure has been
granted after January 20, 2009, the respondent has an
affirmative duty to submit proof to the Board within 30 days of
filing an appeal, proving that he or she has posted the bond
amount set by the Immigration Judge. See 8 C.F.R.
§ 1240.26(c)(3)(ii). If the respondent fails to provide timely proof
that the bond has been paid, the Board cannot reinstate
voluntary departure.

BIA Style Manual Chapter 8
167 January 12, 2018
(II) Deportation proceedings. – When a DHS appeal is
dismissed, it will usually be necessary to include a FURTHER
ORDER relating to the reinstatement of voluntary departure.
Use the BIA Macro Chouliaris. See Chapter 8.2 (BIA Macros).
However, if the Immigration Judge granted less than 30 days,
the Chouliaris macro will need to be modified to reflect the actual
number of days granted by the Immigration Judge.
(c) Alien challenged departure period. – The Board does not have
jurisdiction when the respondent appeals only the length of the voluntary departure
granted. Therefore, the following order should be used:
ORDER: The appeal is dismissed for lack of jurisdiction pursuant to
8 C.F.R. §§ 1003.1(b)(3), 1240.26(g).
(d) Appeal withdrawn. – If DHS withdraws its appeal, or the respondent
withdraws his or her appeal but still wants voluntary departure, it will usually be
necessary to include a FURTHER ORDER relating to the reinstatement of voluntary
departure. See subsection (b) above. Below is an illustration of an order where a
respondent has withdrawn the appeal, and the Board reinstates the Immigration
Judge’s grant of voluntary departure.
(e) Exclusion Proceedings. – Voluntary departure is not available in
exclusion proceedings. Therefore, a FURTHER ORDER related to voluntary
departure should not be included in exclusion cases.

BIA Style Manual Chapter 8
168 January 12, 2018
8.6 EOIR’s Background and Security Check Rule
(a) Generally. – The Board may not enter an order grating any of the forms of
relief or protection from removal, deportation, or exclusion listed below without first
ensuring that DHS-required background and security checks have been completed
and reported. See 8 C.F.R. § 1003.1(d)(6).
• Asylum under section 208 of the Act
• Adjustment of status to that of a lawful permanent resident under
section 209, 245, or any other provision of the Act
• Waiver of inadmissibility or deportability under sections 209, 212, or 237
of the Act
• Permanent resident status on a conditional basis under sections 216 or
216A of the Act
• Cancellation of removal under section 240A or suspension of
deportation under former section 244 of the Act
• Relief from removal under former section 212(c) of the Act
• Withholding of removal under section 241(b)(3) of the Act
• Withholding or deferral of removal under the Convention Against
Torture
• Registry under section 249 of the Act
• Conditional grants for any of the above, including 207(a)(5) and 240A(e)
of the Act
Be sure to check the BIA Webpage for updated guidance. See BIA Webpage,
Adjudications (Chairman’s Memos), Chairman’s memoranda for updated guidance.
(b) Background Check Remand (BCR). – When a case in which the Board’s
decision results in a grant (or the affirmance of a grant) of a covered form of relief and
the record reflects either:
• checks were not completed and reported to the Immigration Judge, or

BIA Style Manual Chapter 8
169 January 12, 2018
• reported checks have expired
then remand the record to the Immigration Court to provide DHS an opportunity to
complete or update expired checks. Use the BIA Macro “Background Check Remand” which
contains the following order language.
FURTHER ORDER: Pursuant to 8 C.F.R. § 1003.1(d)(6), the record is
remanded to the Immigration Judge for the purpose of allowing the Department
of Homeland Security the opportunity to complete or update identity, law
enforcement, or security investigations or examinations, and further
proceedings, if necessary, and for the entry of an order as provided by 8 C.F.R.
§ 1003.47(h).
In addition, the proposed decision should not explicitly state that relief or protection is
granted. Rather, the decision should reflect that eligibility for the relief or protection has been
established. For information on how to access the BIA Macro “Background Check Remand,”
see Chapter 8.2 (BIA Macros).
(c) Alien appeal with BCR. –
(i) Sustain. – When an alien’s appeal of denied relief or protection is
sustained and BCR applies (see subsection (b) above), use the following
orders:
Note: The proposed decision should not explicitly state that the relief or
protection is granted. Rather, the decision should reflect that eligibility has
been established.

BIA Style Manual Chapter 8
170 January 12, 2018
(ii) Dismiss. –
(A) Alien challenges denial, but DHS does not challenge
grant. – Where an alien appeals the denial of a form of relief covered
by the Background Check rule, but DHS does not challenge the grant
of a covered form of relief that was granted, the Board’s dismissal of the
alien’s appeal has the effect of affirming the judge’s grant of covered
relief. As a result, a BCR is required.
For example, an alien appeals an Immigration Judge’s denial of
his application for asylum and withholding of removal, and DHS does
not appeal the judge’s grant of withholding of removal under the
Convention of Torture (CAT). Since the Board’s decision is to dismiss
the alien’s appeal, it has the effect of affirming the judge’s grant of
withholding of removal under CAT, and the following should be used:
Note: The proposed decision should not explicitly state that the
relief or protection is granted. Rather, the decision should reflect that
eligibility has been established.
(B) Voluntary Departure. – Although the Background and
Security Check rule does not apply to voluntary departure,
reinstatement of voluntary departure in removal proceedings is not
automatic. In the case where voluntary departure was granted by the
Immigration Judge, see sections 8.5 and 8.6 of this Chapter.

BIA Style Manual Chapter 8
171 January 12, 2018
(iii) Remand. –
(A) Not reach the merits of appeal. – If remanding without
reaching the merits, the following order should be used:
(B) Remand other than for BCR. – If there is a reason for a
more specific remand (i.e., for some other purpose than a simple BCR),
then the order should articulate that reason. For example,
ORDER: The record is remanded to the Immigration
Court to accept an application for a waiver of inadmissibility
under section 212(h) of the Immigration and Nationality Act, to
consider the application for adjustment of status under section
245 of the Act, and to enter a new decision in accordance with
the foregoing opinion.
(iv) Withdrawn appeal. – When an alien files an appeal of an
Immigration Judge’s decision that contains a grant of relief covered by the
Background and Security Check rule but the appeal is subsequently withdrawn,
a BCR is not required unless DHS expressly advises the Board that checks are
needed or need updating. If DHS does not respond to the alien’s withdrawal
of appeal, then a withdrawal order should be used as seen in the first example.
Again, if DHS expressly advises the Board of the need to complete or update
checks, then the Board must enter an order dismissing the alien’s appeal and
include a BCR as seen in the second example.
See illustration on next page.

BIA Style Manual Chapter 8
172 January 12, 2018
Below is an example of a withdrawal order where DHS did not expressly
advise the Board of the need to complete or update checks:
Below is an example of when the Board recognizes the respondent’s
request to withdraw an appeal involving a granted a form of relief covered by
the Background and Security Check rule. It includes BCR language because
DHS has expressly advised the Board of the need to complete or update
checks:

BIA Style Manual Chapter 8
173 January 12, 2018
(d) DHS appeal. –
(i) Sustain. –
(A) BCR required. – Where DHS appeals the grant of one form
of relief or protection covered by the Background and Security Check
rule, but not another, the Board’s decision has the effect of affirming the
judge’s grant of the covered relief. As a result, a BCR may be required,
see subsection (b) above, and if so, the following orders should be used:
Note: The proposed decision should not explicitly state that the
relief or protection is granted. Rather, the decision should reflect that
eligibility has been established.
(B) BCR not required. – If the Board’s decision does not result
in the affirmance of a grant of covered relief, an order of removal from
the United States may be appropriate.

BIA Style Manual Chapter 8
174 January 12, 2018
In addition, in Asylum and/or Withholding proceedings or
Adjustment of Status proceedings, an order of removal from the United
States should not be included. For example:
(ii) Dismiss. – Where DHS challenges an Immigration Judge’s grant of
a form of relief covered by the Background and Security Check rule (or one
form of covered relief but not another) and the Board dismisses DHS’ appeal,
the Board’s decision has the effect of affirming the judge’s grant of the covered
relief. As a result, a BCR may be required, see subsection (b) above, and if
so, the following orders should be used:
Note: The proposed decision should not explicitly state that the relief or
protection is granted. Rather, the decision should reflect that eligibility has
been established.

BIA Style Manual Chapter 8
175 January 12, 2018
(iii) Remand. –
(A) Not reach the merits of appeal. – If remanding without
reaching the merits, the following order should be used:
(B) Remand other than for BCR. – If there is a reason for a
more specific remand (i.e., other than for a simple BCR), then the order
should articulate that reason. For example,
(iv) Withdrawn appeal. – Where DHS appeals a grant of relief covered
by the Background and Security Check rule but subsequently withdraws its
appeal, a BCR is not required unless DHS expressly advises the Board that
checks are needed or need updating. If DHS’ withdrawal does not address the
need for checks, then a withdrawal order should be used, as shown in the first
illustration below. However, if DHS does advise the Board of the need to
complete or update checks, then the Board must enter an order dismissing the
DHS appeal and include a BCR, as seen in the second illustration (next page).

BIA Style Manual Chapter 8
176 January 12, 2018
Below is an example of a withdrawal order where DHS did not expressly
advise the Board of the need to complete or update checks:
Below is an example of a withdrawal order where DHS did not expressly advise
the Board of the need to complete or update checks:
(e) Circulation sheet. – The decision code “BCR” must be selected if the sole
basis for the remand checks to be completed or updated by the DHS. See Chapter 9
(Circulation).

BIA Style Manual Chapter 8
177 January 12, 2018
8.7 Notice to Alien to Contact DHS/ICE
(a) Background. – Where covered relief is to be affirmed or granted, but
checks have not been completed or expired, the Board issues a BCR whereby the
record is remanded to the Immigration Judge to allow DHS to complete or update
them. See section 8.9 of this Chapter. The Board will issue an order explicitly affirming
or granting the relief covered by the Background and Security Check rule only in cases
where the record before the Board affirmatively reflects that DHS reported the checks
to the Immigration Judge and those checks have not expired. The Board’s order in
such cases must also include specific language notifying the alien that he or she must
contact the appropriate DHS office in order to obtain documentation evidencing status.
See 8 C.F.R. § 1003.47(i).
(b) No BCR (BIA decision issues grants or affirms grant). – Where the
Board determines:
• a covered form of relief should be granted or affirmed,
• the record reflect that checks were completed, reported, and considered
by the Immigration Judge, and
• reported checks are “current” (i.e., expiration date of the checks is
known and has not been reached)
then the Board may issue a decision that grants or affirms the grant of relief.
However, the Board’s decision must also include specific language notifying the alien
that he or she must contact the appropriate DHS office in order to obtain
documentation evidencing status. Use the following standard language:
NOTICE TO ALIEN TO CONTACT DHS/USCIS: The Board of
Immigration Appeals has issued a final decision in your case. Depending on
the type of relief or protection from removal that you have been granted, you
may be entitled to documents evidencing your status allowing you to remain
in the United States or you may be eligible to work in this country. However,
in order to receive any documentation, you need to contact the U.S.
Citizenship and Immigration Services (USCIS) of the Department of
Homeland Security (DHS), which is the agency responsible for the issuance
of documents evidencing your status and/or work authorization. Information
regarding the specific USCIS instructions can be found at www.uscis.gov
(search “Post-Order Instructions”) on procedures for obtaining status
documentation or work authorization. A hyperlink to the USCIS webpage that
contains the “Post-Order Instructions” may also be found on the Executive

BIA Style Manual Chapter 8
178 January 12, 2018
Office for Immigration Review’s website at www.justice.gov/eoir. You may
also call the USCIS national customer service number at 1-800-375-5283.
If the requirements listed above are met, then the procedures listed below need
to be followed.
(c) Do not include the expiration date of the checks. – The Board’s decision
should not contain the actual expiration date of the checks reported by DHS but simply
reference the checks as being “current.” For example:
• The record reflects, per DHS, that the relevant security checks have
been completed and are current. Accordingly, the following order(s) will
be entered.
(d) Explicitly state that relief is granted or affirmed. – An alien is required
to bring a copy of the Board’s decision (final order granting/affirming relief) when
seeking documentation of status from DHS. Therefore, the decision must explicitly
state that relief has been granted. Below are some general examples.
(i) Asylum and withholding. –
(A) Alien’s appeal sustained. –

BIA Style Manual Chapter 8
179 January 12, 2018
(B) Alien’s appeal of asylum and withholding dismissed, but
CAT affirmed. –
(C) Alien’s appeal of asylum and withholding dismissed, but
CAT granted by Board. –

BIA Style Manual Chapter 8
180 January 12, 2018
(D) DHS appeal dismissed. –
(E) DHS’s appeal of asylum and withholding
sustained, but CAT granted or affirmed. –

BIA Style Manual Chapter 8
181 January 12, 2018
(ii) Cancellation of removal under section 240A(b) or suspension
of deportation. – There is a statutory annual cap on the number of grants of
non-LPR cancellation of removal under section 240A(b) of the Act and former
suspension of deportation under former section 244(a) of the Act. It is
important that cases falling within the scope of section 240A(e)(1) of the Act
are identified when completing the circulation sheet. See Chapter 9.3(b)(vi)
and 9.4(a)(iv) (CoR Cap Case).
(A) Sustain Alien appeal. –

BIA Style Manual Chapter 8
182 January 12, 2018
(B) Dismiss DHS appeal. –
(e) Notice to Alien to Contact DHS/USCIS. – A decision that grants or affirms
a grant of relief covered by the Background and Security Check rule must contain the
“NOTICE TO ALIEN TO CONTACT DHS/USCIS” standard notice language. This
language must appear above the Board Member signature line.
NOTICE TO ALIEN TO CONTACT DHS/USCIS: The Board of
Immigration Appeals has issued a final decision in your case.
Depending on the type of relief or protection from removal that you have
been granted, you may be entitled to documents evidencing your status
allowing you to remain in the United States or you may be eligible to
work in this country. However, in order to receive any documentation,
you need to contact the U.S. Citizenship and Immigration Services
(USCIS) of the Department of Homeland Security (DHS), which is the
agency responsible for the issuance of documents evidencing your
status and/or work authorization. Information regarding the specific
USCIS instructions can be found at www.uscis.gov (search “Post-Order
Instructions”) on procedures for obtaining status documentation or work
authorization. A hyperlink to the USCIS webpage that contains the
“Post-Order Instructions” may also be found on the Executive Office for
Immigration Review’s website at www.justice.gov/eoir. You may also
call the USCIS national customer service number at 1-800-375-5283.

BIA Style Manual Chapter 8
183 January 12, 2018
(f) Affirmance without opinion (AWO) order. – Do not use an AWO when
affirming an Immigration Judge’s decision to grant relief. Instead, prepare a short
decision to affirm an Immigration Judge’s decision and indicate that relief has been
granted and what type of relief. Also, be sure to include the “Notice to Alien to Contact
DHS/USCIS” standard language.
(g) Circulation sheet. –
(i) Report expiration date of checks. – The DHS-reported expiration
date and transcript cite or filing must be identified in the Special Instructions to
Docket area on the front-side of the circulation sheet. Below is an illustration
of an example of reporting the location in the ROP of the reported expiration
date.
(ii) Decision code. –
(A) Generally. - Either the decision code “SUS” or “DIS” will be
the decision code selected in a case where the Board is granting or
affirming a covered form of relief.
CoR Cap Case. – The decision code “CFG” must be selected when the Board’s
decision results in final grant of cancellation of removal or suspension of
deportation in a CoR Cap Case. See Chapter 9.3(c)(xvi). If the Board
overturns an Immigration Judge’s grant of cancellation or suspension of
deportation in a CoR Cap Case, the decision code “CFD” must be selected.
See Chapter 9.3(c)(xvii). See also Chairman’s Memoranda BIA 15-05 BIA
Handling Cases Involving Certain Applications for Cancellation and
Suspension, BIA Webpage, Chairman’s Memo Book.

BIA Style Manual Chapter 8
184 January 12, 2018
This page intentionally left blank

BIA Style Manual Chapter 9
185 January 12, 2018
9 Circulation
9.1 Finalize Decision Generally
(a) Proofread final draft. – A major responsibility of the attorney or paralegal
is to proofread any decision before circulating. Board Members should only see well-
prepared decisions, and decisions should be sign-able, and often are signed, without
revision. Moreover, typographical errors, when caught, require correction and detract
from the efficient processing of cases and, when not caught, detract from the Board’s
credibility with the parties and the general public. See BIA Web Page, Forms Book
(Attorney Case Processing Checklist).
(b) Signature line. – A Board Member signature line must be included in the
draft decision circulated to the Board Members. The signature line should never be
on a page without text or order language and, where appropriate, “NOTICE TO ALIEN
TO CONTACT DHS/USCIS” standard notice language, should precede it. See
Chapters 5.11 (Signature Line) and 8 (Order Language).
(c) Print. – The draft circulated to the Board Members must be printed on buff
paper. There must be a separate decision printed for each alien when the decision
involves multiple aliens.
(d) Check CASE. – Prior to circulating a draft decision, attorneys and
paralegals should check CASE to verify that there is no correspondence that has not
yet been associated with the ROP.
(e) Circulation sheet. – The requirements for completing a circulation sheet
are found in sections 9.2–9.4 of this Chapter. Fillable circulation sheets are available
on the BIA Web Page, Forms Book.
(f) Three Board Member Referral sheet. – Where the regulations at 8 C.F.R.
§ 1003.1(e)(6) require that three Board Members review a decision, attorneys must fill
out a Three Board Member Referral Sheet and attach it to the circulation sheet. A
fillable form is available on the BIA Web Page, Forms Book (Three Board Member
Referral Sheet).
(g) Special case processing. – Some cases require special processing. For
further information regarding these types of cases and the applicable procedures, refer
to guidance contained within this manual as well as any that may have been issued
by the Chairman or a SPA. See BIA Web Page, Chairman’s Memo Book.

BIA Style Manual Chapter 9
186 January 12, 2018
(h) Prepare ROP. – The attorney or paralegal should ensure that:
• all relevant portions of the ROP have been tabbed
• the circulation sheet has been fully completed (see section 9.3).
• any additional materials the attorney has printed out for Board Member
reference (such as relevant circuit cases or the current Visa Bulletin)
are either stapled to the circulation sheet or rubber-banded to the
outside of the ROP
• the case has been scanned to the designated circulation location
(because panel location varies, so be sure to check the recipient panel’s
requirements)
In order to avoid forgetting any of a number of important checks, the Attorney Case
Processing Checklist, available on the BIA Web Page, Forms Book, can serve as a useful
tool for ensuring that the attorney or paralegal has fully prepared the record for circulation.
9.2 Circulation Sheets
(a) Generally. – Always use the correct circulation sheet. Do not use out-of-
date circulation sheets, especially when they list the wrong Board Members, and do
not print circulation sheets en masse, since panel memberships do change.
Remember that circulation sheets ensure the case circulates to appropriate Board
Member(s), provide information to the Board Members about the case, and provide
information to the Clerk’s Office on how to process the case properly upon completion.
Circulation sheets are also used to identify cases that contain specific issues, such as
cases involving a judge or attorney conduct issue.
(b) Types of circulation sheets. – There are fixed panels of Board Members
as well as ad hoc case panels. The fixed panels within Screening and Merits have
their own circulation sheets and should be used when circulating draft decisions to a
fixed panel. For ad hoc case panels designated by the Chairman, the appropriate ad
hoc case panel circulation sheet should be used by the attorney or paralegal.
Attorneys and paralegals should consult with their TL or SPA if they have questions
regarding the selection of a circulation sheet when the proposed decision overlaps
panel coverage.
Fillable circulation sheets are available on the BIA Webpage in the BIA Forms
Book.

BIA Style Manual Chapter 9
187 January 12, 2018
9.3 Circulation Sheet Instructions for Attorneys and Paralegals
(a) Generally. – Attorneys and paralegals are responsible for completing the
circulation sheet, including both the front and the reverse side when there is one. The
fillable version of a circulation sheet should be used, and information blocks
completed. Fillable circulation sheets are available on the BIA Webpage in the BIA
Forms Book.
The instructions for attorneys and paralegals completing a circulation sheet are
listed in subsections (b) and (c) below.
(b) Front side. –
(i) 3 Bd. M or 1 Bd. M Box. – Select the appropriate box to designate
whether the circulated decision is proposed as a three Board Member decision
or a single-Board Member decision.
(ii) Recirculate box. – This box should be selected if the circulated
decision is being recirculated to the single Board Member or panel after
revisions have been made. Use a new circulation sheet when recirculating a
case, but attach the previous circulation sheet, comments, and prior circulated
decision (folded). Furthermore, prior reviewed versions of the decision should
have the front page crossed out in order to avoid confusion as to which draft is
the final decision to be mailed out to the parties by the Clerk’s Office. (On the
rare occasion that there is a Board Member signature on a prior circulated
decision, cross that out as well.)
(iii) A# and name. – The alien(s) name(s) and alien registration
number(s) must appear on the designated lines of the circulation sheet. If there
is more than one alien and the decisions are not the same for all the aliens
involved, use separate circulation sheets to reflect the different decisions and
record the different decision codes. Be sure to distinguish the circulation
sheets by listing only the alien registration number(s) that directly correspond
with the selected decision code, and utilize the Special Instructions to Docket
field, see subsection (v) below.
(iv) Attorney/Paralegal. – The initials of the attorney or paralegal who
prepared the proposed decision should appear in the designated area, followed
by the date. This information advises the Board Members, as well as the
SCMS, legal instrument examiner, and legal assistant, whom to consult with
questions about that decision.
(v) Special instructions to docket. – This section should be used to
articulate any special processing instructions to the attention of the Clerk’s

BIA Style Manual Chapter 9
188 January 12, 2018
Office Docket team. For example, this is where to annotate that a courtesy
copy of the decision should be sent to an attorney who failed to file an EOIR-27,
or to indicate that the decision is an Interim Order if not using an Interim Order,
circulation sheet.
In addition, use this section to advise docket when an ROP should be
returned to the Immigration Court for the judge to rule on a motion. For
example, such a notation may be used when the Board determines that it does
not have jurisdiction to rule on a respondent’s motion, but advises in the
decision that the record is being returned to the Immigration Judge to rule on
the motion. This section should also be used to advise docket that there are
different decisions codes for the aliens addressed by the Board’s decision.
(vi) CoR Cap Case. –
(A) Required field. –This field must be completed whenever the
circulation sheet has a CoR Cap Case field. If this field is not completed
when a decision is circulated or re-circulated, the case will be returned
to the circulating attorney or paralegal.
Use only the fillable circulation sheets posted on the BIA Web
Page, Forms Book. The CoR Cap Case field is listed on circulation
sheets requiring completion of this field.
(B) What is a CoR Cap Case? – A CoR Cap Case is a removal
or deportation case in which the relief sought by the respondent is
either:
• § 240A(b) cancellation of removal and adjustment of
status (Form EOIR-42B), or
• § 244(a) suspension of deportation (Form EOIR-40).
However, a case is not a CoR Cap Case if the respondent falls
into one of these groups:
• certain nationals of Guatemala, El Salvador, and
former Soviet bloc countries as described in section
203(a)(1) of the Nicaraguan Adjustment and Central
American Relief Act (NACRA) (Form I-881), or
• alien in deportation proceedings prior to April 1, 1997,
who applied for suspension of deportation pursuant to

BIA Style Manual Chapter 9
189 January 12, 2018
section 243(a)(3) of the INA (as effective prior to April
1, 1997).
(C) Report “Yes” CoR Cap Case. – Mark this box “Yes” if :
• a CoR Cap Case, and
• the Board’s decision results in a grant (or affirmance
of a grant) of cancellation/suspension (Form
EOIR-42B or Form EOIR-40).
For example, if the underlying relief sought is section 240A(b)
cancellation of removal and the Board’s decision affirms an Immigration
Judge’s grant of cancellation of removal, the mark the “Yes” box in the
CoR Cap Case field on the Circulation Sheet, as seen below.
CoR Cap Case? _X_Yes ___No
(vii) Referral codes. – Cases involving questionable conduct by an
Immigration Judge, alien’s attorney, or DHS attorney, or possible fraud by a
party, may be referred by the Board to the appropriate EOIR component.
(A) IJR. – Mark this box if any of these apply:
• language in the circulated decision involves the
Immigration Judge’s conduct in the proceedings
below
• drafting attorney believes that the judge’s conduct
during the proceedings should be referred to OCIJ
• case is being remanded to another Immigration Judge
on account of a judge’s conduct
After issuance of the Board’s decision, all cases with IJR
selected are referred to a SLA for review on behalf of the Chairman and
potential referral to OCIJ, as appropriate.
(B) AC – This notation relates to egregious conduct by an alien’s
(or petitioner’s) attorney or by a DHS attorney. The AC code should be
selected when the record reveals that an attorney’s conduct in
representing the alien or DHS is questionable enough that it may
warrant an investigation by EOIR’s Office of General Counsel (OGC).

BIA Style Manual Chapter 9
190 January 12, 2018
See 8 C.F.R. § 1003.102. This notation should also be selected if there
are any concerns about possible fraud.
After issuance of the Board’s decision, all cases with AC
selected are referred to a SLA for review on behalf of the Chairman and
potential referral to OGC, as appropriate.
(viii) Comments/Analysis. – This section should be used to
communicate to the Board Member(s) either (a) a synopsis of the case,
(b) identify substantive issues, (c) flag complications, and/or (d) articulate any
other case details or matter of law that the Board Member(s) should be aware
of. Comments should be clear and concise. They should not be a cut-and-
paste from the circulated decision, which serves no informational purpose.
Information should be typed, and if more room as needed (e.g. if the font has
become so small that it is no longer legible), continue the information on a
second sheet (with the alien’s name and alien registration number on it), and
attach that second sheet to the circulation sheet.
In addition, complete, as applicable, the following information:
(A) Immigration Judge. – Identify the Immigration Judge whose
decision is being appealed.
(B) Circuit. – Identify the controlling circuit law.
(C) District office. – For DD matters, identify the district office.
(ix) Document filename. – Document file names are critical to support
staff, Board Members, and future attorney staff who need to locate that
document. It is therefore necessary to follow a naming convention to assure
that an electronic file can be located. The illustration below is an example of a
completed DOCUMENT FILENAME.

BIA Style Manual Chapter 9
191 January 12, 2018
(A) File path. – The file path describes the location of the
proposed electronic decision in an attorney or paralegal’s Team folder
on the network. The specific network drive (G or I) does not need to be
included. Rather, the following file path (location) information must be
included:
• the author’s Team initial
• the author’s folder name
• the author’s subfolder name, if applicable
Example of file path:
M\MintonA\Motions\Reopen\012345678 XENOS amm
Not
G:\M\MintonA\Motions\Reopen\012345678 XENOS amm
(B) File name. – Only the required elements as directed by the
Board’s electronic file naming convention should be listed, not the
additional descriptive information used by an attorney or paralegal. See
Chairman’s Memorandum BIA 17-03.
(C) Separators. – Use a backslash (“\”) to separate the elements
of the file path and the file name.
(D) Editor update. – If an edited draft is circulated, the
circulation sheet must include the editor’s initials in the file name. An
“editor” is any person who edits the electronic file, be it a Board Member,
a legal assistant, or other staff authorized to revise the decision or input
edits.
(E) File extensions. – Do not include the file extension “.docx.”
(c) Reverse side. – Most of the Board’s circulation sheets have a reverse side
listing decision codes. Exceptions are:
• Interim Decision
• Attorney Discipline proceedings

BIA Style Manual Chapter 9
192 January 12, 2018
Only one decision code may be selected for each appeal or motion type
entered in CASE. Select the decision code that most accurately reflects the overall
decision of the Board.
Questions about which decision code should be selected in a particular case
should be discussed with a TL and/or SPA.
(i) SUS. – This code applies when the appeal is sustained (i.e., the
appealing party prevails).
(ii) DIS. – This code applies when the appeal is dismissed (i.e., the
appealing party does not prevail), and the decision of the Immigration Judge or
DHS officer stands. This code also applies if the Board’s order dismisses the
appeal and denies a motion to remand. Additionally, if the Board declines to
consider an interlocutory appeal, this code applies.
(iii) DVD. – This code applies when the Board dismisses an appeal, but
reinstates voluntary departure.
(iv) SAF. – This code applies when the Board affirms without opinion
the decision of the Immigration Judge, as provided at 8 C.F.R. § 1003.1(e)(4).
(v) SAV. – This code applies when the Board affirms without opinion
the decision of the Immigration Judge, as provided at 8 C.F.R. § 1003.1(e)(4),
but further reinstates voluntary departure.
(vi) SUD. – This code applies when an appeal is summarily dismissed
for any of the reasons stated at 8 C.F.R. § 1003.1(d)(2)(i)(a)–(h).
(vii) DEN. – This code applies when the motion is denied. This code
also applies when a motion is number- or time-barred.
(viii) GNR. – This code applies when a motion to reopen is granted, and
the Board disposes of the case without remanding the proceedings to the
Immigration Judge or DHS officer. This code also applies if the Board’s
decision grants a motion to reopen for the limited purpose of reinstating
voluntary departure.
(ix) FMD. – This code must be selected if the sole basis for denial of a
qualified unilateral respondent Franco motion (person eligible to seek
reopening per Settlement Agreement in Franco-Gonzalez v. Holder, CV
10-02211) is because the respondent would remain removable and ineligible
for relief (or ineligible for relief in reopened proceedings).

BIA Style Manual Chapter 9
193 January 12, 2018
(x) BCR. – This code must be selected if the sole basis for the remand
to the Immigration Judge is for background and security checks to be
completed or updated by DHS. For example, the proposed Board decision
provides that the alien is eligible for cancellation of removal, but the record of
proceedings does not reveal that security checks have been reported to the
Immigration Judge by DHS, or the record does not reveal that the previously
reported checks are current (i.e., not expired).
(xi) REM. – This code must be selected if the decision remands the
case to the Immigration Judge or DHS officer except for:
• Background check remand (BCR), use BCR
• Returning case to Immigration Judge to rule on a motion, use OTH
or DIS/DEN and instruct Docket Team (Special Instruction to Docket
on circulation sheet) to not put file in CASE storage
(xii) NJU. – This code applies where the Board lacks jurisdiction to
review the merits of the appeal or motion. For example, this code is used when
an alien files a direct appeal of an in absentia order, or an appeal is untimely.
(xiii) WDL. – This code applies when an appeal or motion is withdrawn.
However, see subsection (xiv) below when the Immigration Judge’s decision
terminates proceedings.
(xiv) TER. – This code applies when the underlying
removal/deportation/exclusion proceedings are terminated. Examples for
when to use this code include the following:
• Alien not subject to removal proceedings
• Alien is deceased
• Board advised that DHS adjusted alien’s status to that of a lawful
permanent resident and grants request to terminate proceedings
• Board advised that alien has been granted U.S. citizenship
• Withdrawal of an appeal from an Immigration Judge’s decision to
terminate proceedings
However, this code should not be selected when an application for
relief, for example, asylum, is granted.

BIA Style Manual Chapter 9
194 January 12, 2018
(xv) MBD. – This code applies in any one of the following circumstances
in bond proceedings:
• Bond appeal is dismissed as moot per Matter of Valles, 21 I&N Dec.
769 (BIA 1997) (while an appeal is pending from and Immigration
Judge’s bond redetermination decision the Immigration Judge
renders a second bond redetermination)
• When the primary issue in the alien’s deportation or removal
proceeding is decided by the Board or Immigration Judge (final
administrative decision)
• Where the alien departed the United States (i.e., no longer
considered in DHS custody)
(xvi) CFG. – This code must be selected when the Board’s decision
results in final grant of cancellation of removal or suspension of deportation in
a CoR Cap Case (certain cancellation of removal/EOIR-42B or suspension of
deportation/EOIR-40 applications subject to § 240A(e)(1) of the Act).
(xvii) CFD. – This code must be selected when the Board’s decision
overturns an Immigration Judge grant of cancellation of removal or suspension
of deportation in a CoR Cap Case (certain cancellation of removal/EOIR-42B
or suspension of deportation/EOIR-40 applications subject to § 240A(e)(1) of
the Act).
(xviii) CFV. – This code must be selected when the Board’s decision
overturns an Immigration Judge grant of cancellation of removal or suspension
of deportation but grants voluntary departure in a CoR Cap Case (certain
cancellation of removal/EOIR-42B or suspension of deportation/EOIR-40
applications subject to § 240A(e)(1) of the Act).
(xix) CON. – This code applies when proceedings are being continued
indefinitely. Currently, this code is being used to identify cases that are
administratively closed because of repapering eligibility.
(xx) ABC. – This code applies to cases that are administratively closed
pursuant to the settlement agreement in American Baptist Churches v.
Thornburgh, 760 F. Supp. 796 (N.D. Cal. 1991) (“ABC”).
(xxi) DED. – This code applies to cases that are administratively closed
because the alien is subject to deferred enforcement departure through a
Presidential Order.

BIA Style Manual Chapter 9
195 January 12, 2018
(xxii) TPS. – This code applies to cases administratively closed
because the Attorney General or DHS has granted Temporary Protected
Status to aliens of a designated nationality.
(xxiii) ADM. – This code applies to cases that are administratively
closed for reasons other than CON, ABC, DED, TPS, or APD.
(xxiv) APD. – This code applies to cases administratively closed base
on DHS’ affirmative exercise of prosecutorial discretion.
(xxv) TPD. – This code applies to cases terminated based on DHS’
affirmative exercise of prosecutorial discretion.
(xxvi) WPD. – This code applies when the withdrawal of a DHS appeal
is based on DHS’ affirmative exercise of prosecutorial discretion.
(xxvii) OTH. – This code applies only when none of the other codes
accurately reflect the outcome of the case. For example, when a case is
certified to the Board by either the Immigration Judge or the DHS adjudicator
as provided by the regulations, and the Board either “affirms” or “reverses” the
underlying decision. See 8 C.F.R. §§ 1003.1(c) and 1003.7.
In addition, if this code is selected, include information in the Special
Instruction to Docket field of the circulation sheet advising of the need to include
information in Decision Comments in CASE.
9.4 Board Members Usage of Circulation Sheets
(a) Front side of circulation sheet. –
(i) Initials & Date box. – After reviewing the proposed decision, Board
Members should place their initials next to their name, followed by the date.
This informs the Board Member legal assistants that the decision has been
reviewed by that specific Board Member and that the case may either be
moved to another Board Member for consideration or sent to the Clerk’s Office
for processing.
(ii) Vote. – Board Members should indicate “Yes” or “OK” if they accept
the proposed decision or “No” if they do not agree with the decision as drafted.
The Clerk’s Office will not process the decision unless the vote of each Board
Member involved in that case is recorded in this box, along with the Board
Member(s) initials and date.

BIA Style Manual Chapter 9
196 January 12, 2018
(iii) SOP. – Board Members should indicate whether they intend to write
a separate opinion.
(iv) Special instructions to docket. – This section should be used to
bring any special processing instructions to the attention of the Clerk’s Office
Docket Team. See Chapter 9.3(b)(v) (Special instructions to docket).
(A) Copy of circulation sheet to Attorney/Paralegal box. – If
positive feedback is provided to the attorney or paralegal in the
Comments/Analysis section of the circulation sheet, the Board Member
should mark this box. The Docket Team will arrange for a copy of the
circulation sheet to be provided to the attorney or paralegal as well as
to his or her TL and SPA.
(B) Notes to other Board Members or other legal staff. – This
space should never be used to communicate with other Board
Members, attorneys, paralegals, or other legal support staff.
(C) CoR Cap Case. – The CoR Cap Case field is listed on
circulation sheets and must be completed by the attorney or paralegal
when the case is circulated or re-circulated.
For more information regarding this field, see Chapter 9.3(b)(vi).
(v) Comments/Analysis field. – After reviewing the decision, Board
Members may elect to provide written comments regarding the drafted decision
to other Board Members for their consideration in this section. As a general
rule, however, Board Members should write their comments either on the
circulation sheet (if brief) or on a separate “goldenrod,” but not on any other
attachments to the record. See Chapter 9.6 (e) (Communication between
Board Members (“Goldenrods”). Board Members may also elect to
communicate with the attorney or paralegal through the use of a “green slip.”
See Chapter 9.6(c) (Revision of proposed decision (“Green slips”)).
This area may also be utilized to provide positive feedback to the
attorney or paralegal who prepared the proposed decision. As noted above in
subsection (iv)(A), the Board Member should select the “Copy of Circulation
Sheet to Atty/PL, TL & SPA” box in the Special Instructions to Docket section.
(vi) Referral codes. – Cases involving questionable conduct by an
Immigration Judge, alien’s attorney, or DHS attorney, or possible fraud by a
party, may be referred by the Board to the appropriate EOIR component.
Board Members should not cross out an attorney’s or paralegal’s selection of
the IJR and/or AC code. If a Board Member disagrees with the selection of the

BIA Style Manual Chapter 9
197 January 12, 2018
IJR and/or AC by an attorney, paralegal, or other Board Member, a brief
explanation should be added to the Comments/Analysis section on the
circulation sheet. After the issuance of the Board’s decision, all cases with the
IJR or AC selected are referred to a SLA for review on behalf of the Chairman
before any potential referral.
(A) IJR. –. If an attorney or paralegal has not already done so,
Board Members should mark this box if any of these apply:
• language in the circulated decision involves the
Immigration Judge’s conduct in the proceedings
below
• the judge’s conduct during the proceedings might be
referable to OCIJ
• the case is being remanded to another Immigration
Judge on account of a judge’s conduct
(B) AC. – This notation relates to egregious conduct by an
alien’s (or petitioner’s) attorney or by a DHS attorney. If an attorney or
paralegal has not already done so, a Board Member should select the
AC code when the record reveals that an attorney’s conduct in
representing the alien or DHS is questionable or reprehensible that it
may warrant an investigation by EOIR’s Office of General Counsel
(OGC). See 8 C.F.R. § 1003.102.
In addition, this notation should be selected if there are any
suspicions or concerns about possible fraud. The case may then be
referred to OGC’s Fraud Program for further consideration after
issuance of the Board’s decision.
(b) Reverse side of circulation sheet. – Although it is the primary
responsibility of the attorney or paralegal who prepared the decision to complete the
reverse side of the circulation sheet, Board Members should review the decision code
marked to verify that it is accurate. For more information regarding Board decision
codes, see Chapter 9.3(c) (Reverse side).
9.5 Special Case Processing
(a) Protective Order case. – The drafting attorney must attach the “Special
Processing Instructions” sheet to the front of the circulation sheet when the proposed
decision is circulated.

BIA Style Manual Chapter 9
198 January 12, 2018
(b) High Profile case. – The drafting attorney must include the instructions
below in the “Special Instructions to Docket” section of the circulation sheet.
“Send a copy of the signed decision to the [staff attorney], [Team
Leader, and [SPA] immediately after its issuance.”
9.6 Board Member Review
(a) Generally. – Cases circulate to the Board Members for review and
approval. For single-Board Member cases, once the Board Member has reviewed
and approved the decision, that Board Member will sign the order and it will be
forwarded to the Clerk’s Office for processing. If the case has been circulated for
three-Board Member review, it must go to three Board Members on the appropriate
panel for review and vote. A Board Member who dissents, in whole or in part, may
elect to dissent without opinion or draft a short dissenting or concurring opinion.
(b) En banc consideration. –
(i) Electronic En Banc. – If any permanent Board Member of a three
member Panel decides that the circulated decision should be considered by
the entire Board, that decision (and any separate opinions) is then posted
electronically for en banc consideration, along with the appropriate supporting
documents. If a majority of the permanent Board Members votes to hear the
case en banc, then the case is scheduled for an en banc conference.
Temporary Board Members do not have the authority to vote on any matter
decided by the Board en banc. 8 C.F.R. § 1003.1(a)(4).
(ii) En Banc Conferences. – The attorney who drafted the circulated
decision will generally be advised by e-mail of the date and time for an en banc
discussion. The attorney is expected to attend that discussion. After the
conference, the attorney will generally receive further guidance and directives
for the revision and processing of the case.
(c) Revision of proposed decision (“Green slips”). – If a Board Member
wants revisions made to a circulated decision, the case may be returned to the
attorney or paralegal with a directive on a “green slip” from the Board Member. The
“green slip” contains the Board Member’s specific instructions on how to revise the
decision. The Board Member may also pose questions on further legal research or
analysis, or ask the attorney or paralegal to discuss the case in person.
In addition, the “green slip” will generally provide guidance on whether the case
merely needs to be returned to the Board Member making the request, or whether it
may be recirculated without return to that Board Member. More complex cases where

BIA Style Manual Chapter 9
199 January 12, 2018
three Board Members have reviewed and provided comments may require more
interaction with the Board Members involved. Where the drafting attorney or paralegal
is uncertain how to proceed, especially where the Board Members involved may not
have a consensus on what the decision should say, the attorney or paralegal can
always bring questions or concerns about what the Board Member wants to his or her
TL. The Board Member may also elect to make revisions to an order without returning
the case to the attorney or paralegal, in which case he or she will send a “blue slip” to
the Board’s administrative support staff with instructions on what change(s) should be
made to the decision.
(i) Receipt of green slip. – If the attorney or paralegal understands the
directive, but wishes to raise a question regarding its substance (e.g., to see if
the directive can be changed or modified in some way), the attorney/paralegal
should discuss the matter with the Board Member who issued the green slip.
It is appropriate for the attorney/paralegal to bring it to the Board Member’s or
a supervisor’s attention if he or she believes something has been overlooked
or misunderstood. However, a case should not be redrafted in a manner that
does not comply with a Board Member’s directive without first getting the
approval of the Board Member(s).
(ii) Recirculate. – When the green slip instructs the case to be
recirculated, a new circulation sheet should be completed and the “recirculate”
box checked on the front side. The new circulation sheet should reflect which
Board Members the case should be reviewed by. The old version of the
decision should always be folded and stapled to the new circulation sheet and
green slip so that neither the Board Member nor the Clerk’s Office is confused
about which version is the final.
(iii) Return to me. – When the green slip instructs the case to be
returned to a particular Board Member, the attorney or paralegal should write
the Board Member’s name in the space provided in the “STAFF ATTORNEY
USE ONLY” section of the green slip and recirculate the case according to the
guidance in section (ii) above.
(iv) Timely completion of revisions. – Cases returned for revision
should be redrafted and returned/recirculated promptly. If the case involves a
detained alien, it must be handled expeditiously. Non-detained “returned”
cases should be handled as soon as any other pending detained cases have
been resolved, unless the attorney/paralegal has been instructed otherwise.
(d) Separate opinion. – At times, the recommended modification will require
preparation of a separate opinion or the revision of the circulated decision to respond
to a point raised in a separate opinion. The dissenting Board Member generally will
have noted on the circulation sheet the basis upon which he or she requests that a

BIA Style Manual Chapter 9
200 January 12, 2018
dissent be drafted. The attorney/paralegal may request clarification or guidance from
the dissenting Board Member. A draft of the dissenting opinion, along with the case
file, should be returned to that Board Member through his or her legal assistant. Once
the dissent is approved by that Board Member, the case will recirculate as appropriate.
(e) Communications between Board Members (“goldenrods”). – The
goldenrod is used by a Board Member to communicate with other Board Members
regarding a specific case. This could be used for a case that is designated as a three
Board Member as well as a single Board Member case.
9.7 Publication of Board Decision
The Board will generally determine whether to publish as precedent decisions those
cases involving novel and important questions of law and decisions that overrule, modify, or
further explain a published Board decision. If an attorney or paralegal believes that
publication of a particular case may be warranted, he or she should so indicate on the
circulation sheet and attach a “3-Board Member Referral Sheet” with the appropriate box
checked.
In addition, when a case is designated for publication, the Board retains the option to
select the attorney or another individual to write the majority, dissenting, or concurring
opinions. Moreover, although a decision may initially be designated for publication, it is
subject to further voting by the en banc Board, which may result in the case being published
as a Panel decision or having publication status rescinded.
Once a decision has been designated for publication and any necessary revisions
have been made, the Publication Unit will ask the attorney to complete data input sheet for
the case, which includes (i) draft “headnotes” for the case, (ii) a list of the cases, statutes, and
regulations pertinent to the decision; and, (iii) the topics under which the case should appear
in the library index and the index of published decisions. The decision and headnotes will be
edited for publication by the Publication Unit and then reviewed for final approval.

BIA Style Manual Appendix A
A-1 January 12, 2018
APPENDIX A
Acronyms
The following is a listing of some of the abbreviations that appear in this manual and are commonly used
at the Board.
AAO Administrative Appeals Office, DHS
A# Alien registration number
AWC/ATD Adult(s) with Children (i.e., family units) who are released from custody and are
subject to a form of DHS supervision or reporting
AWC/D Adult(s) with Children who are being detained by DHS
AWO Affirmance Without Opinion
BIA Board of Immigration Appeals
CASE Case Access System for EOIR
CBP U.S. Customs and Border Protection, DHS
DD District Director
DHS Department of Homeland Security
EOIR-26 Notice of Appeal from a Decision of an Immigration Judge
EOIR-27 Notice of Appearance as Attorney or Representative Before the Board of
Immigration Appeals
EOIR-29 Notice of Appeal to the Board of Immigration Appeals from a Decision of a USCIS
Officer
EOIR-33 Alien's Change of Address Forms
EEUH Exceptional and extremely unusual hardshp
FCR Federal Court Remand
GPR Government Performance and Results Act
HPC High Profile Case

BIA Style Manual Appendix A
A-2 January 12, 2018
Abbreviations cont’d
ICE U.S. Immigration and Customs Enforcement, DHS
IJMTRs Appeal of an Immigration Judge’s decision regarding a motion
INS Immigration and Naturalization Service
MTR-REI Motion requesting the Board to reinstate proceedings
NOA Notice of Appeal
OIL Office of Immigration Litigation, DOJ
OSC Order to Show Cause
R&A Recognition and Accreditation
ROP Record of Proceeding
RBC/D Recent Border Crossers who are Detained
SCMS Supervisory Case Management Specialist
SLA Senior Legal Advisor
SPA Senior Panel Attorney
UAC Unaccompanied Alien Children
UC Unaccompanied Children
TL Team Leader


BIA Style Manual Appendix B
B-2 January 12, 2018
This page intentionally left blank


BIA Style Manual Appendix C
C-2 January 12, 2018
This page is intentionally blank

BIA Style Manual Appendix D
D-1 January 12, 2018
APPENDIX D
List of Applications for APPLICATION caption
Below is a partial listing of applications that may be listed in the “APPLICATION” caption. See Chapter
4.13 (Application).
Removal proceedings
Applications for relief or protection
Adjustment of status
Admission to the United States
Admission to the United States as lawful permanent resident
Admission to the United States as returning lawful permanent resident
Admission to the United States as nonimmigrant
Asylum
Cancellation of removal under section 240A(a) of the Act
Cancellation of removal under section 240A(b) of the Act
Change of venue
Convention Against Torture
Joint petition under section 216 of the Act
Reconsideration
Registry
Remand
Reopening
Retroactive permission to reapply for admission after removal
Stay of removal
Termination of proceedings
Voluntary departure
Waiver of inadmissibility under section _______ of the Act

BIA Style Manual Appendix D
D-2 January 12, 2018
Removal proceedings
Applications for relief or protection (cont.)
Waiver under section 237(a)(1)(H) of the Act
Waiver under section 216(c)(4) of the Act
Withholding of removal
Motions
Reconsideration
Remand
Reopening
Bond cases
Change in custody status
Change in custody status (Autostay)
Elimination of condition of bond
Redetermination of bond
Reduction in amount of bond
Release on own recognizance
Continued Detention Review Proceedings
Review of custody status pending removal from United States
Deportation proceedings
Applications for relief or protection
Adjustment of status
Asylum
Change of venue
Convention Against Torture
Hearing de novo
Joint petition under section 216 of the Act

BIA Style Manual Appendix D
D-3 January 12, 2018
Deportation proceedings
Applications for relief or protection (cont.)
Reconsideration
Registry
Remand
Reopening
Retroactive permission to reapply for admission after deportation
Stay of deportation
Suspension of deportation
Termination of proceedings
Voluntary departure
Waiver of inadmissibility under section _______ of the Act
Waiver under section 241(a)(1)(H) of the Act
Waiver of deportability under section 241(f) of the Act
Waiver under section 216(c)(4) of the Act
Withholding of deportation
Motions
Reconsideration
Remand
Reopening
Bond cases
Change in custody status
Change in custody status (Autostay)
Elimination of condition of bond
Redetermination of bond
Reduction in amount of bond
Release on own recognizance

BIA Style Manual Appendix D
D-4 January 12, 2018
Deportation proceedings
Continued Detention Review Proceedings
Review of custody status pending removal from United States
Exclusion proceedings
Applications for relief or protection
Admission to the United States
Admission to the United States as lawful permanent resident
Admission to the United States as returning lawful permanent resident
Admission to the United States as nonimmigrant
Asylum
Change of venue
Convention Against Torture
Remand
Reconsideration
Reopening
Termination of proceedings
Waiver of inadmissibility under section ______ of the Act
Withdrawal of application for admission
Withholding of exclusion and deportation
Motions
Reconsideration
Remand
Reopening

BIA Style Manual Appendix D
D-5 January 12, 2018
Fine proceedings
Mitigation of fine
Remission of fine
Termination
Visa Petition cases
Petition to classify status of alien relative for issuance of immigrant visa
Petition for classification as spouse of deceased citizen for issuance of immigrant visa
Application for Advance Permission to Enter as a Nonimmigrant Pursuant to Section 212(d)(3)(A)
of Immigration and Nationality Act
Advance Permission to enter as nonimmigrant

BIA Style Manual Appendix D
D-6 January 12, 2018
This page intentionally left blank

BIA Style Manual Appendix E
E-1 January 12, 2018
APPENDIX E
Immigration Judge Gender List
(As of November 3, 2017)
≠ Indicates no longer serving as an Immigration Judge.
Indicates Name Change.
Abbott, William L. (Mr.)
Abrams, Steven R. ≠ (Mr.)
Achtsam, Howard E. ≠ (Mr.)
Adams, Justin F. (Mr.)
Adkins Blanch, Charles ≠ (Mr.)
Aina, Nathan (Mr.)
Alberdi, Yon K. (Mr.)
Alexander, Scott G. (Mr.)
Allred, Keith ≠ (Mr.)
Anderson, David C. (Mr.)
Anderson, Jack L. (Mr.)
Argumendo, Victoria L. ≠ (Ms.)
Arthur, Andrew R. ≠ (Mr.)
Arrellano, Silvia R. (Ms)
Arrington, Saundra D. ≠ (Ms)
Arrington-Dempsey,Saundra ≠(Ms)
Averwater, Richard J. (Mr.)
Atenaide, Anthony ≠ (Mr.)
Attia, Olga E. (Ms.)
Averwater, Richard J. (Mr.)
Ayala, David (Mr.)
Bagley, Kenneth A. ≠ (Mr.)
Bain, Quynh Vu (Ms.)
Bain, Terry A. (Ms.)
Baird, Michael P. (Mr.)
Baker, Glen R. (Mr.)
Bakke Varzandeh, Joyce (Ms.)
Balasquide, Javier E. (Mr.)
Bank, Ira E. (Mr.)
Barcus, Edward M. (Mr.)
Barrett, Bruce M. ≠ (Mr.)
Barrett, Robert J. ≠ (Mr.)
Bartolomei, Jr., Richard (Mr.)
Bass, Lori R. (Ms.)
Baxter, Laura A. ≠ (Ms.)
Beamer, Dayna (Ms.)
Beatman, Sr., Jerry A. ≠ (Mr.)
Bennett, Michael H. ≠ (Mr.)
Benton, Jimmie L. ≠ (Mr.)
Bernstein, Jeffrey ≠ (Mr.)
Bhagat, Nimmo (Ms.)
Bither, Christine A. (Ms.)
Bower, Glen L. ≠ (Mr.)
Bradley, Kevin G. ≠ (Mr.)
Brahos, O. John ≠ (Mr.)
Brennan, Noel A. (Ms.)
Brisack, Chris A. (Mr.)
Bronzina, Isabel A. ≠ (Ms.)
Brown, Alison M. (Ms.)
Brown, Charlotte D. (Ms.)
Brown, Denise ≠ (Ms.)
Bryant, John M. (Mr.)
Buchanan, Patricia L. ≠ (Ms.)
Bukszpan, Joanna M. ≠ (Ms.)
Burch, Valerie (Ms.)
Burke, David (Mr.)
Burkhart, Margaret D. (Ms.)
Burkholder, Gary D. ≠ (Mr.)
Burman, Lawrence O. (Mr.)
Burr, Sarah M. ≠ (Ms.)
Cabrera, Esmeralda ≠ (Ms.)
Calcador, Kerri (Ms.)
Caley, Steven D. (Mr.)

BIA Style Manual Appendix E
E-2 January 12, 2018
Carbone, Nina M. (Ms.)
Carle, John (Mr.)
Carté, John D. ≠ (Mr.)
Cassidy, William A. (Mr.)
Cassin, Olivia L. (Ms.)
Castro, Susan E. ≠ (Ms.)
Castrolugo, Elise ≠ (Ms.)
Chapa, Teofilo (Mr.)
Chapman, Kevin (Mr.)
Chait, Barry S. (Mr.)
Chase, Jeffrey S. ≠ (Mr.)
Chen, David (Mr.)
Cheng, Mary (Ms.)
Chew, George T. ≠ (Mr.)
Christensen, Jesse B. (Mr.)
Chugh, Amit (Mr.)
Churchill, Joan V. ≠ (Ms.)
Cigarroa, Barbara (Ms.)
Clemente, Jesus (Mr.)
Cohen, Raisa (Ms.)
Cole, Samuel B. (Mr.)
Cole, Timothy M. (Mr.)
Coleman, Sandra S. ≠ (Ms.)
Connelly, Steven J. (Mr.)
Conroy, Charles R. (Mr.)
Copeland, Cary H. ≠ (Mr.)
Cordova, David J. ≠ (Mr.)
Corrin, Melanie K. (Ms.)
Costa, Philip J. (Mr.)
Coughlon, Robert E. (Mr.)
Couch, Stuart V. (Mr.)
Cramer, Francis L. ≠ (Mr.)
Crews, John (Mr.)
Criss, Scott D. (Mr.)
Crossan,Jr., Thomas G. (Mr.)
Crosland, David W. (Mr.)
Cuevas, Carlos ≠ (Mr.)
D’Angelo, Matthew J. (Mr.)
Daugherty, Daniel J. (Mr.)
Davis, John W. (Mr.)
Davis, Paula V. ≠ (Ms.)
Davis-Gumbs, Xiomara (Ms.)
Daw, Alison (Ms.)
Day, Steven F. (Mr.)
Dean, Larry R. ≠ (Mr.)
De Angelis, Kathryn (Ms.)
De Cardona, Lisa A. (Ms.)
DeFonzo, Paul A. (Mr.)
Deiss, Ila C. (Ms.)
De Paolo, Zsa Zsa (Ms.)
DelBene, Charles A ≠ (Mr.)
DeVitto, James ≠ (Mr.)
Dias, Dayna (Ms.)
DiCostanzo, Lawrence ≠ (Mr.)
Dierkes, Joseph R. ≠ (Mr.)
DiMarzio, Philip L. ≠ (Mr.)
Dixon, David R. ≠ (Mr.)
Dogin, Henry S. ≠ (Mr.)
Donnolo, Paula J. (Ms.)
Donoso Stevens, Karen (Ms.)
Dorfman, Arlene E. (Ms.)
Dornell, Lisa (Ms.)
Douchy, Evalyn (Ms.)
Dowell, J. Daniel (Mr.)
Duck, Jr., John A. (Mr.)
Dufresne, Jill H. (Ms.)
Duncan, Randall W. (Mr.)
Dunkel Bradley, Dorothy ≠ (Ms.)
Durling, Walter A. (Mr.)
Einhorn, Bruce J. ≠ (Mr.)
Ellington, John (Mr.)
Elstein, Annette S. ≠ (Ms.)
Endelman, Gary E. (Mr.)
Evans, Jr., D. Williams ≠ (Mr.)
Everett, Timothy H. (Mr.)
Farber, Lauren T. (Ms.)
Frazer, Molly S. (Ms.)
Feder, Robin E. (Ms.)
Feldman, Irene (Ms.)
Ferlise, Donald V. ≠ (Mr.)
Fernandez, Ignacio P. ≠ (Mr.)

BIA Style Manual Appendix E
E-3 January 12, 2018
Ferris, Noel Anne ≠ (Ms.)
Finston, Leo A. (Mr.)
Fitting, Tammy L. (Ms.)
Fong, Thomas Y.K. ≠ (Mr.)
Foote Monsky, Megan ≠ (Ms.)
Ford, Rex J. (Mr.)
Foster, Neale S. ≠ (Mr.)
Freeman, D’Anna (Ms.)
Freerks, LaMonte S. (Mr.)
Fujimoto, James R. (Mr.)
Gagnon, Paul M. (Mr.)
Garcia, Madeline (Ms.)
Garcy, Annie S. (Ms.)
Gardzelewski, Ivan E. (Mr.)
Gastley, Harry L. ≠ (Mr.)
Gaz, Jennifer I. (Ms.)
Geisse, Loreto (Ms.)
Gembacz, Gilbert T. ≠ (Mr.)
Gemoets, Marcos (Mr.)
Ghartey, Victoria L. (Ms.)
Giambastiani, Jennie L. (Ms.)
Giattina, Anthony T. ≠ (Mr.)
Golparvar, Kuymars (Mr.)
Gonzalez, Alberto E. ≠ (Mr.)
Gonzalez, Delia I. (Ms.)
Gonzalez, Guadalupe R. (Ms.)
Gonzalez, Yvonne S. (Ms.)
Goodwin, Deborah K. (Ms.)
Gordon Uruakpa, Vivienne (Ms.)
Gorland, Jennifer (Ms.)
Gorman, Stephanie E. (Ms.)
Gossart, Jr., John F. ≠ (Mr.)
Grant, M. Christopher ≠ (Mr.)
Greene, III., Charles S. (Mr.)
Greer, Anne J. ≠ (Ms.)
Greer, Christopher M. (Mr.)
Greenstein, Saul (Mr.)
Grim, James K. (Mr.)
Griswold, Stephen S. (Mr.)
Guilloty, Crimilda (Ms.)
Guzzo, Fred ≠ (Mr.)
Habich, Paul M. (Mr.)
Hacker, Elizabeth A. ≠ (Ms.)
Halliday-Roberts, Catherine E. (Ms.)
Hansen, Katherine L. (Ms.)
Hanson, Mahlon F. (Mr.)
Harbeck, Dorothy (Ms.)
Harlow, Craig A. (Mr.)
Harris, Monique (Ms.)
Harris, Rodger C. (Mr.)
Hayward, Miriam R. (Ms.)
Hladylowycz, Roxanne C. (Ms.)
Ho, Anna (Ms.)
Holiday, Carey R. ≠ (Mr.)
Hollis, Wendell A. (Mr.)
Holmes Simmons, Theresa (Ms.)
Holt, Rebecca L. (Ms.)
Hom, Sandy K. (Mr.)
Hochul, Denise (Ms.)
Honeyman, Charles M. (Mr.)
Holyoak, Dalin R. (Mr.)
Hong, J. Traci (Ms.)
Hoogasian, Amy C. (Ms.)
Horn, Michael C. (Mr.)
Hough, Robert S. (Mr.)
Houser, Jr., Wayne K. (Mr.)
Howard, Justin (Mr.)
Hrycenko, Ingrid K. ≠ (Ms.)
Hughes, Edwin R. ≠ (Mr.)
Hunsucker, Keith E. (Mr.)
Hurewitz, Kenneth S. ≠ (Mr.)
Ipema, Jr., Henry P. (Mr.)
Iskra, Wayne R. ≠ (Mr.)
Jamadar, Richard A. (Mr.)
James, Dennis R. ≠ (Mr.)
Jamil, Rebecca (Ms.)
Janus, Thomas ≠ (Mr.)
Jankun, William F. ≠ (Mr.)
Jebson, Mark (Mr.)
Jefferies, Scott M. ≠ (Mr.)
Johnson, Jeremiah (Mr.)

BIA Style Manual Appendix E
E-4 January 12, 2018
Josephson, Kenneth ≠ (Mr.)
Kandler, Edward R. ≠ (Mr.)
Kane, Alison (Ms.)
Karden, Stuart F. (Mr.)
Katsivalas, George P. ≠ (Mr.)
Kaufman, Matthew W. (Mr.)
Keenan, Sean H. (Mr.)
Keener, Dana Marks (Ms.)
Keller, MaryBeth (Ms.)
Kelly, Edward F. ≠ (Mr.)
Kessler, Elizabeth A. (Ms.)
Khan, Amiena A. (Ms.)
Kilroy, Michael A. ≠ (Mr.)
Kimball, Robert W. (Mr.)
King, Carol A. ≠ (Ms.)
Klein, Eliza C. ≠ (Ms.)
Kleinfeld, Seymour R. ≠ (Mr.)
Knapp, Car O. (Ms.)
Knuck, Richard H. ≠ (Mr.)
Kolbe, Margaret (Ms.)
Laforest, Brigitte (Ms.)
Lafuente-Gaona, Cynthia (Ms.)
Lamb, Elizabeth A. (Ms.)
Lang, Elizabeth G. (Ms.)
Lane, Denise A. Marks (Ms.)
La Rocca, Joseph B. (Mr.)
Latimore, Jan D. (Ms.)
Laurent, Scott (Mr.)
Law, Philip S. (Mr.)
Lee, Amy T. (Ms.)
Leeds, Frederic G. (Mr.)
Left, James (Mr.)
Levay, Dean A. ≠ (Mr.)
Liebmann, Beth ≠ (Ms.)
Little, Monica (Ms.)
Lippman, Daniel (Mr.)
Livingston, Donn L. (Mr.)
Logan, Steven P. ≠ (Mr.)
Lopez Defillo, Irma (Ms.)
Lopez-Enriquez, Maria (Ms.)
Loprest, Jr., Frank (Mr.)
Luis, Lisa (Ms.)
Lurye, Maria (Ms.)
Lyons, Christopher ≠ (Mr.)
Lyons, Joren (Mr.)
Maggard, Robert Print (Mr.)
Mahtabfar, Sunita B. (Ms.)
Maingot, Anthony E. (Mr.)
Maldonado, Njeri B. (Ms.)
Malloy, Rosalind K. (Ms.)
Malphrus, Garry ≠ (Mr.)
Mander, Stephen E. (Mr.)
Manuel, Elise (Ms.)
Marguez, Charlotte S. (Ms.)
Marks, Dana Leigh (Ms.)
Marsteller, Eric W. (Mr.)
Mart, H. Kevin (Mr.)
Martin, Clay (Mr.)
Martin, Jr., William J. ≠ (Mr.)
Martinez, Anibal D. (Mr.)
Martinez-Esquivel, Lourdes (Ms)
Mateo, Rene D. (Mr.)
Mazzie, Sarah B. (Ms.)
Maury, Carlos E. (Mr.)
McCarthy, James (Mr.)
McCormack, Nancy R. ≠ (Ms.)
McCullough, Charles M. (Mr.)
McDermott, Patrick T. ≠ (Mr.)
McGoings, Michael ≠ (Mr.)
McGrail, Elizabeth H. (Ms.)
McHugh, R. Kevin ≠ (Mr.)
McKee, Robert (Mr.)
McManus, Margaret (Ms.)
McNulty, Sheila (Ms.)
McPhaul, Glenn P. ≠ (Mr.)
McSeveney, Robert B.C. ≠ (Mr.)
Mesa, Myrna A. ≠ (Ms.)
Meisner, Daniel A. ≠ (Mr.)
Metcalf, Mark H. ≠ (Mr.)
Miles, Vernon (Mr.)
Miller, Joe D. ≠ (Mr.)

BIA Style Manual Appendix E
E-5 January 12, 2018
Mills, Miriam K. ≠ (Ms.)
Miranda, Pedro A. ≠ (Mr.)
Montante, Jr., Philip J. (Mr.)
Morace, Philip L. ≠ (Mr.)
Morley, Steven A. (Mr.)
Morris, Daniel A. (Mr.)
Morrissey, Matthew E. (Mr.)
Mulligan, Thomas J. (Mr.)
Mullins, Ronald L. ≠ (Mr.)
Munoz, Lorraine J. ≠ (Ms.)
Murry, Anthony S. (Mr.)
Nadkarni, Deepali (Ms.)
Naselow-Nahas, Tara (Ms.)
Navarro, Maria E. (Ms.)
Neal, David L. ≠ (Mr.)
Nelson, Barbara A. (Ms.)
Nelson, Julie L. (Ms.)
Nettles, Marsha Kay (Ms.)
Neumeister, William (Mr.)
Newberry, Robert D. ≠ (Mr.)
Nguyn, An Mai (Ms.)
Nickerson, Jr., William ≠ (Mr.)
Nixon, William L. ≠ (Mr.)
Nugent, James (Mr.)
O’Brien, Patrick S. (Mr.)
O’Connor, Lee A. (Mr.)
O’Hare, Donald (Mr.)
O’Leary, Brian ≠ (Mr.)
O’Leary, Thomas M. (Mr.)
O’Malley, Brenda (Ms.)
O’Malley, John R. ≠ (Mr.)
O’Sullivan, Maureen S. (Ms.)
Odell, John C. (Mr.)
Olmanson, Kristin W. (Ms.)
Onyewuchi, Moris (Mr.)
Opaciuch, Adam (Mr.)
Opaciuch, John (Mr.)
Ortiz Segura, Rafael B. (Mr.)
Owens, Robert P. (Mr.)
Ozmun, Richard R. (Mr.)
Padgett, Gail ≠ (Ms.)
Page, Alan L. ≠ (Mr.)
Page-Lozano, Jennifer L. (Ms.)
Palomino, Jacinto (Mr.)
Parchert, Brett M. (Mr.)
Park, Jeannette (Ms.)
Park, Joseph Y. (Mr.)
Partida, Ana (Ms.)
Paruch, David H. (Mr.)
Paul, Nancy J. (Ms.)
Paulino, Robin K. (Ms.)
Pazar, Charles E. ≠ (Mr.)
Pead, Dustin ≠ (Mr.)
Pelletier, J. Dan (Mr.)
Pen᷉alosa, Jose L. Jr. (Mr).
Pepper, Kathleen ≠ (Ms.)
Perez-Guzman, Virginia (Ms.)
Perlman, Helaine (Ms.)
Peters, Rose C. (Ms.)
Peterson, William C. ≠ (Mr.)
Pettinato, Barry J. (Mr.)
Peyton, Jennifer I. (Ms.)
Phan-Quang, Tue ≠ (Mr.)
Phelps, Richard (Mr.)
Phillips, Beverley M. ≠ (Ms.)
Picos, Georgina (Ms.)
Pimentel, Frank T. (Mr.)
Pleters, Michael S. (Mr.)
Poczter, Aviva L. (Ms.)
Powell, Robert L. (Mr.)
Price, Abigail M. ≠ (Ms.)
Proctor, George W. ≠ (Mr.)
Pugliese, Eugene ≠ (Mr.)
Ragno, Thomas M. ≠ (Mr.)
Ramirez, Laura L. (Ms.)
Randall, Anthony J. ≠ (Mr.)
Rankin, Clarease (Ms.)
Rast, G. Mackenzie ≠ (Mr.)
Rastegar, Ramin (Mr.)
Reese, Agnelis L. (Ms.)
Reichenberg, Margaret R. ≠ (Ms.)

BIA Style Manual Appendix E
E-6 January 12, 2018
Reid, John B. (Mr.)
Renner, Renee L. (Ms.)
Richardson, John (Mr.)
Riefkohl, Alberto J. (Mr.)
Riggs, George W. (Mr.)
Riley, Kevin W. (Mr.)
Rocco, Michaelangelo ≠ (Mr.)
Rodriguez de Jongh, Luordes (Ms.)
Roepke, Thomas C. (Mr.)
Rogers, D. Anthony ≠ (Mr.)
Rohan, Patricia A. ≠ (Ms.)
Romig, Jeffrey L. (Mr.)
Rood, Ryan (Mr.)
Rooyani, Rodin (Ms.)
Rosche, Robin (Ms.)
Rose, Howard ≠ (Mr.)
Roy, Susan G. ≠ (Ms.)
Ruane, Rachel A. (Ms.)
Rubin, Shifra (Ms.)
Ruehle, Walter H. (Mr.)
Ruhle, Stephen M. (Mr.)
Sagerman, Roger F. (Mr.)
Salinardi, Jayme (Mr.)
Saltzman, Eva S. (Ms.)
Sanchez, Jose A. (Mr.)
Sanders, Charles J. (Mr.)
Santander, Daniel J. (Mr.)
Santen, Sean D. ≠ (Mr.)
Santoro, Christopher A (Mr.)
Santos-Garcia, Sandra (Ms.)
Savage, Patrick S. (Mr.)
Scala, Theresa M. (Ms.)
Schmidt, Paul W. ≠ (Mr.)
Schoppert, Douglas B. (Mr.)
Sease, Grace A. ≠ (Ms.)
Segal, Alice (Ms.)
Seppanen, Christopher R. (Mr.)
Shapiro, Leonard I. ≠ (Mr.)
Sharda, Munish (Mr.)
Sheppard, Patricia M. ≠ (Ms.)
Sholomson, Stephen L. ≠ (Mr.)
Shugall, Ilyce S. (Ms.)
Sichel, Helen (Ms.)
Siegel, Stuart A. (Mr.)
Simons, Ian R. (Mr.)
Simpson, Brian H. ≠ (Mr.)
Simpson, Jonathan S. (Mr.)
Sims, Deitrich H. (Mr.)
Sitgraves, D. D. (Ms.)
Slavin, Denise N. (Ms.)
Sloan, Andrea ≠ (Ms.)
Smith, Gary W. ≠ (Mr.)
Smith, Renetta ≠ (Ms.)
Snow, Thomas G. (Mr.)
Sogocio, Rico M. (Mr.)
Solow, Bruce W. ≠ (Mr.)
Sonom, Ronald G. ≠ (Mr.)
Soper, Emmett D. (Mr)
Spencer-Walters, Linda (Ms.)
Sponzo, Jem C. (Ms.)
Stancill, Christine E. (Ms.)
Staton, Jack W. ≠ (Mr.)
Stockton, Bette Kane ≠ (Ms.)
Stogner, W. Wayne ≠ (Mr.)
Strasser, William K. ≠ (Mr.)
Straus, Michael W. (Mr.)
Sturla, Mario J. (Mr.)
Sukkar, Elisa M. (Ms.)
Swink, Arwen A. (Ms.)
Tabaddor, A. Ashley (Ms.)
Tadal, Mirlande (Ms.)
Taylor, Bruce A. (Mr.)
Taylor, John D. ≠ (Mr.)
Teeter, Marilyn J. ≠ (Ms.)
Thompson, Donald (Mr.)
Torreh Bayouth, Lilliana (Ms.)
Tovar, Eleazar ≠ (Mr.)
Travieso, Frank M. (Mr.)
Tregerman, Gwendylan E. (Ms.)
Trimble, Dan (Mr.)
Trujillo, Eileen R. (Ms.)

BIA Style Manual Appendix E
E-7 January 12, 2018
Truman, Phillip M. (Mr.)
Tsankov, Mimi (Ms.)
Tucman, Dean S. (Mr.)
Tyrakoski, Meredith (Ms.)
Vahid-Tehrani, Gita (Ms.)
Van Winkle, Howard ≠ (Mr.)
Van Wyke, William P. ≠ (Mr.)
Vandello, James P. ≠ (Mr.)
Verman, Dinesh C. (Mr.)
Verrillo, Phillip (Mr.)
Vicars, Robert O. ≠ (Mr.)
Videla, Gabriel C. (Mr.)
Villegas, Veronica S. (Ms.)
Vinikoor, Robert D. (Mr.)
Virchis, Bridget (Ms.)
Vomacka, Alan A. (Mr.)
Wagner, Jr., Clarence (Mr.)
Walsh, John F. (Mr.)
Walton, Richard D. (Mr.)
Webber, Polly A. ≠ (Ms.)
Weil, Jack H. (Mr.)
Whipple, David C. (Mr.)
Weisel, Robert D. ≠ (Mr.)
Weiss, Daniel (Mr.)
Weiss, Irene ≠ (Ms.)
White, Ted A. ≠ (Mr.)
White, Vincent ≠ (Mr.)
Wiegand, III. Charles A. ≠ (Mr.)
Williams, John C. ≠ (Mr.)
Williams, Philip T. (Mr.)
Wilson, Earle (Mr.)
Wright, Virna A. (Ms.)
Yam, Mimi S. ≠ (Ms.)
Yamaguchi, Michael J. ≠ (Mr.)
Yarbrough, Susan L. ≠ (Ms.)
Yates, Clarease Rankin (Ms.)
Yeargin, Robert ≠ (Mr.)
Young, Elizabeth L. (Ms.)
Young, Victoria E. ≠ (Ms.)
Zagzoug, Randa (Ms.)
Zanfardino, Richard M. (Mr.)
Zerbe, Craig M. ≠ (Mr.)
Zimmer, William K. ≠ (Mr.)
Zlatow, Jeffrey ≠ (Mr.)
Zuniga, Bertha A. ≠ (Ms.)

BIA Style Manual Appendix E
E-8 January 12, 2018
This page intentionally left blank






BIA Style Manual Appendix G
G -4 January 12, 2018
This page intentionally left blank




BIA Style Manual Appendix H
H -4 January 12, 2018
This page intentionally left blank



