Critical Thinking: A Concise Guide, 3rd Edition 33505 Thinking
User Manual:
Open the PDF directly: View PDF .
Page Count: 305 [warning: Documents this large are best viewed by clicking the View PDF Link!]


crıtıcal thınkıng
Attempts to persuade us – to believe something, to do something, to buy something –
G
are everywhere. How can we learn to think critically about such attempts and to
distinguish those that actually provide us with good reasons for being persuaded?
Critical Thinking: A Concise Guide is a much-needed guide to argument analysis and
a clear introduction to thinking clearly and rationally for oneself. Through precise and
accessible discussion, this book equips students with the essential skills required to tell
a good argument from a bad one.
Key features of the book are:
•clear, jargon-free discussion of key concepts in argumentation
•how to avoid common confusions surrounding words such as ‘truth’, ‘knowledge’
and ‘opinion’
•how to identify and evaluate the most common types of argument
•how to spot fallacies in arguments and tell good reasoning from bad
•topical examples from politics, sport, medicine and music; chapter summaries;
glossary and exercises throughout.
This third edition has been revised and updated throughout, with new exercises and
up-to-date topical examples, including: ‘real-world’ arguments; practical reasoning;
understanding quantitative data, statistics, and the rhetoric used about them; scientific
reasoning; and expanded discussion of conditionals, ambiguity, vagueness, slippery
slope arguments, and arguments by analogy.
The Routledge Critical Thinking companion website features a wealth of further
resources, including examples and case studies, sample questions, practice questions
and answers, and student activities.
Tracy Bowell is senior lecturer in Philosophy at the University of Waikato, New
Zealand.
Gary Kemp is senior lecturer in Philosophy at the University of Glasgow, UK.
Reviews of earlier editions
‘This concise guide offers relevant, rigorous and approachable methods . . . The
authors focus on analysing and assessing arguments in a thoughtfully structured
series of chapters, with clear definitions, a glossary, plenty of examples and some
useful exercises.’
Will Ord, Times Educational Supplement
‘In my view this book is the most useful textbook on the market for its stated
audience. It provides exceptionally clear explanations, with sufficient technical
detail, but without over-complication. It is my first-choice text for teaching critical
thinking to first-year undergraduate students.’
Dawn Phillips, University of Southampton
‘. . . written with actual undergraduates, and the standard mistakes and confusions
that they tend to be subject to, clearly borne in mind...’
Helen Beebee,
‘This is the best single text I have seen for addressing the level, presumptions, and
interests of the non-specialist.’
Charles Ess, Drury University

TRACY BOWELL
and
GARY KEMP
crıtıcal
thınkıng
A CONCISE GUIDE
3RD EDITION
First published 2002
G
This edition published 2010
by Routledge
2 Park Square, Milton Park, Abingdon, Oxon OX14 4RN
Simultaneously published in the USA and Canada
by Routledge
270 Madison Ave, New York, NY 10016
Routledge is an imprint of the Taylor & Francis Group, an informa business
© 2010 Tracy Bowell and Gary Kemp
All rights reserved. No part of this book may be reprinted or
reproduced or utilised in any form or by any electronic,
mechanical, or other means, now known or hereafter
invented, including photocopying and recording, or in any
information storage or retrieval system, without permission in
writing from the publishers.
British Library Cataloguing in Publication Data
A catalogue record for this book is available from the British Library
Library of Congress Cataloging-in-Publication Data
Bowell, Tracy, 1965–
Critical thinking: a concise guide / Tracy Bowell and Gary Kemp. – 3rd ed.
p. cm.
Includes bibliographical references and index.
1. Critical thinking. I. Kemp, Gary, 1960 Oct. 14– II. Title.
B809.2B69 2009-07-10
16—dc22
2009002265
ISBN10: 0–415–47182–6 (hbk)
ISBN10: 0–415–47183–4 (pbk)
ISBN10: 0–203–87413–7 (ebk)
ISBN13: 978–0–415–47182–4 (hbk)
ISBN13: 978–0–415–47183–1 (pbk)
ISBN13: 978–0–203–87413–4 (ebk)
This edition published in the Taylor & Francis e-Library, 2009.
To purchase your own copy of this or any of Taylor & Francis or Routledge’s
collection of thousands of eBooks please go to www.eBookstore.tandf.co.uk.
ISBN 0-203-87413-7 Master e-book ISBN

CONTENTS
Preface to the third edition ix
GINTRODUCTION AND PREVIEW 1
1 INTRODUCING ARGUMENTS 3
BEGINNING TO THINK CRITICALLY: RECOGNISING ARGUMENTS 6
ASPECTS OF MEANING 10
STANDARD FORM 12
IDENTIFYING CONCLUSIONS AND PREMISES 14
ARGUMENTS AND EXPLANATIONS 20
INTERMEDIATE CONCLUSIONS 22
CHAPTER SUMMARY 23
EXERCISES 24
2 LANGUAGE AND RHETORIC 27
LINGUISTIC PHENOMENA 27
RHETORICAL PLOYS 40
CHAPTER SUMMARY 50
EXERCISES 51

3 LOGIC: DEDUCTIVE VALIDITY 55
THE PRINCIPLE OF CHARITY 56
TRUTH 60
DEDUCTIVE VALIDITY 62
PRESCRIPTIVE CLAIMS VS DESCRIPTIVE CLAIMS 67
CONDITIONAL PROPOSITIONS 68
THE ANTECEDENT AND CONSEQUENT OF A CONDITIONAL 71
ARGUMENT TREES 73
DEDUCTIVE SOUNDNESS 76
THE CONNECTION TO FORMAL LOGIC 78
CHAPTER SUMMARY 81
EXERCISES 82
4 LOGIC: INDUCTIVE FORCE 89
INDUCTIVE FORCE 90
‘ALL’, ‘MOST’ AND ‘SOME’ 98
SOFT GENERALISATIONS: A REMINDER 99
INDUCTIVE SOUNDNESS 100
PROBABILITY IN THE PREMISES 100
ARGUMENTS WITH MULTIPLE PROBABILISTIC PREMISES 101
INDUCTIVE FORCE IN EXTENDED ARGUMENTS 104
CONDITIONAL PROBABILITY IN THE CONCLUSION 105
EVIDENCE 105
INDUCTIVE INFERENCES 107
A PROGRAMME FOR ASSESSMENT 112
CHAPTER SUMMARY 113
EXERCISES 114
contentsvi

5 THE PRACTICE OF ARGUMENT-RECONSTRUCTION 118
EXTRANEOUS MATERIAL 119
DEFUSING THE RHETORIC 122
LOGICAL STREAMLINING 123
IMPLICIT AND EXPLICIT 125
CONNECTING PREMISES 132
COVERING GENERALISATIONS 133
RELEVANCE 135
AMBIGUITY AND VAGUENESS 138
MORE ON GENERALISATIONS 144
PRACTICAL REASONING 147
BALANCING COSTS, BENEFITS AND PROBABILITIES 150
EXPLANATIONS AS CONCLUSIONS 153
CAUSAL GENERALISATIONS 156
A SHORT-CUT 158
CHAPTER SUMMARY 159
EXERCISES 160
6 ISSUES IN ARGUMENT-ASSESSMENT 169
RATIONAL PERSUASIVENESS 169
SOME STRATEGIES FOR LOGICAL ASSESSMENT 177
REFUTATION BY COUNTEREXAMPLE 180
ENGAGING WITH THE ARGUMENT I: AVOIDING THE ‘WHO IS TO
SAY?’ CRITICISM 183
ENGAGING WITH THE ARGUMENT II: DON’T MERELY LABEL THE
POSITION 184
ARGUMENT COMMENTARY 185
COMPLETE EXAMPLES 188
COMMENTARY ON THE COMMENTARY 195
contents vii

CHAPTER SUMMARY 196
EXERCISES 197
7 PSEUDO-REASONING 202
FALLACIES 202
FAULTY ARGUMENT TECHNIQUES 228
TOO MUCH MATHS! 235
CHAPTER SUMMARY 237
EXERCISES 239
8 TRUTH, KNOWLEDGE AND BELIEF 242
TRUTH AND RELATIVITY 243
TRUE FOR ME, TRUE FOR YOU 248
TRUTH, VALUE AND MORALITY 251
THEORIES 252
BELIEF, JUSTIFICATION AND TRUTH 253
JUSTIFICATION WITHOUT ARGUMENTS 255
KNOWLEDGE 256
JUSTIFICATION FAILURE 257
KNOWLEDGE AND RATIONAL PERSUASIVENESS 259
PHILOSOPHICAL DIRECTIONS 261
CHAPTER SUMMARY 264
EXERCISES 264
Glossary 266
Answers and hints to selected exercises 275
Index 291
contentsviii
PREFACE TO THE THIRD EDITION
Like all authors of texts on critical thinking or critical reasoning, we have tried to write
a book that is genuinely useful. But our conception of what is useful differs somewhat
from that of most of those authors.
On the one hand, we have avoided formal logical methods. Whereas the application of
formal methods is justified primarily by its value in coping with complex logical structure,
the logical structure of everyday argumentation is very seldom so complex that an argu-
ment’s validity, or lack of it, cannot be revealed to ordinary intuition by a clear statement
of the argument in English. Yet no formal means short of the first-order predicate calculus
is sufficient to represent the logic of the majority of everyday arguments. Rather than
compromise by presenting less comprehensive formal methods that are useful only in a
narrow range of cases, we have avoided them entirely.
On the other hand, we have discussed and employed the concepts of logic more
thoroughly than is customary in texts that avoid formal methods. We have defined them
as accurately and in as much detail as we could, without superfluous refinement or
inappropriate theoretical elaboration. We have done this for three reasons. First, it is only
by grasping those concepts clearly that the student can achieve a stable and explicit under-
standing of the purposes of presenting and analysing arguments. Second, facility with
those concepts enables the student to think and to talk about arguments in a systematically
precise way; it provides a common currency in terms of which to generalise about
arguments and to compare them. Third, experience, including our teaching experience,
suggests that the concepts of logic themselves, when they explicitly appear in argumenta-
tive contexts, are amongst the most persistent sources of confusion. A symptom of this
is the relativism that is so often encountered and so often lamented. At the root of this,
we assume, are certain equivocations over the word ‘truth’. We have tried to clear these up
in a common-sense and non-dogmatic way, and thereby to clarify further concepts that
depend on the concept of truth, such as validity, probability, inductive force, soundness,
justification and knowledge. We hope that clarity about these concepts, and the ability to
use them with confidence in analysing arguments, will be among the most valuable
accomplishments to be acquired by studying this book.

We do not entirely accept the view that examples and exercises in a book on critical
thinking should be real, or even that they should be realistic. Of course, the aim is that
students should be able to deal with real arguments. But, whereas real examples typically
call for the exercise of several strategies and the application of various concepts at once,
those strategies and concepts have to be learned one at a time. Unrealistic, trumped-up
examples and exercises are often much more useful for illustrating and learning isolated
concepts and points of strategy. We have tried to vary the realistic with the artificial as the
situation recommends.
For work on the first edition, we’d like thank Lee Churchman and Damien Cole, both of
whom updated earlier versions of the original text for us in preparation for teaching, and
thereby provided many helpful examples. Thanks also to all those who have provided ideas
either as teaching assistants or students of our Critical Reasoning course at the University
of Waikato during its initial years: especially Paul Flood, Stephanie Gibbons, Andrew
Jorgensen, Dawn Marsh, Alastair Todd, Louis Wilkins and Tim Wilson. We also thank the
Philosophy Department at the University of Waikato for giving Bowell time to stop in
Glasgow to work with Kemp in October 1999.
The second and third editions have benefited enormously from teachers using the book
who have been kind enough to pass along comments and suggestions. The most recent
changes include the split of the material on rhetorical ploys and fallacies into a separate
chapter on fallacies (Chapter 7) and a chapter on linguistic matters generally, including
rhetorical ploys (Chaper 2), a treatment of the vexing issues surrounding the use of the
word ‘theory’ in argumentation, and a simplification of the treatment of inductive force.
Along the way, we have streamlined, clarified and reordered in sundry smaller but
sometimes significant ways, and updated many examples and exercises. We have many
tutors, teachers and other readers to thank, but we would especially like to single out
Helen Beebee, Jimmy Foulds, Ilan Goldberg, Lawrence Goldstein, Chris Lindsay, Anne
Pittock and Dimitris Platchias. We thank Bre Gordon for all her work on the index.
We also thank the Faculty of Arts and Social Sciences, University of Waikato, for funding
Kemp’s visits to Waikato in spring 2004 and spring 2008, and the study leave granted to
Bowell in autumn 2008 to enable her to visit Glasgow to work on this edition.
Tracy Bowell, University of Waikato
Gary Kemp, University of Glasgow
15 December 2008
preface to the third editionx

introduction and
preview
We are frequently confronted with arguments: these are attempts to persuade us – to
influence our beliefs and actions – by giving us reasons to believe this or that, or to act in
this way or that. This book will equip you with concepts and techniques used in the
identification, analysis and assessment of arguments. The aim is to improve your ability
to tell whether an argument is being given, exactly what the argument is and whether you
ought to be persuaded by it.
Chapter 1 introduces the concept of argument as it should be understood for the purposes
of critical thinking. Argument is distinguished from other linguistic means of getting
people to do and to believe things. We introduce a method for laying out arguments so as
to understand them more clearly.
Chapter 2 begins with a detailed discussion of various ways in which language can
obscure an arguer’s intended meaning. We then return to non-argumentative techniques
of persuasion, introducing rhetorical ploys. Common species of rhetorical ploys are
considered.
Chapter 3 introduces validity and soundness, the main concepts required for the analysis
and assessment of deductive arguments. These are arguments whose premises, if true,
guarantee the truth of the conclusion. We discuss the assessment of validity and sound-
ness, and explain the meaning and use of the principle of charity.
Chapter 4 continues our coverage of the concepts central to this book, this time for the
analysis and assessment of inductive arguments: inductive force and inductive soundness.
We also discuss inductive inferences and degrees of probability.
Chapter 5 covers in more detail the techniques required for reconstructing arguments
and discusses specific issues that tend to arise in practice. We demonstrate techniques for
deciding which material is relevant to an argument; for dealing with ambiguous and vague
language; for uncovering an argument’s hidden premises; for adding connecting premises;
for dealing with practical reasoning and for dealing with causal arguments.
Chapter 6 is concerned with further concepts and techniques for argument assessment.
We introduce the concept of rational persuasiveness, and introduce further techniques for

assessing arguments and for refuting them. We also include complete worked examples,
applying and illustrating the analytical techniques and concepts developed during the
course of the book.
Chapter 7 is a detailed discussion of fallacies and faulty argument techniques, two species
of what we call ‘pseudo-reasoning’. Common species of each are considered and, using the
concepts and techniques covered in previous chapters, we provide a method for exposing
fallacious reasoning and explaining what is fallacious about it.
Finally, in Chapter 8 we consider some of the philosophical issues underlying the concepts
and techniques used here. We discuss truth and its relationship to belief and knowledge,
and relate these issues to the concept of rational persuasiveness. We sketch some con-
nections to philosophical questions in the theory of knowledge.
Each chapter concludes with a chapter summary and exercises; answers to selected
exercises are at the end of the text. Where appropriate, the reader is encouraged to look
outside the book for further examples to serve as exercises.
introduction and preview2

1
introducing
arguments
•Beginning to think critically: recognising arguments 6
•Aspects of meaning 10
Rhetorical force • Implicature • Definitions
•Standard form 12
•Identifying conclusions and premises 14
Identifying conclusions • Several points make the identification of
conclusions an easier task • Identifying premises • Extraneous material
•Arguments and explanations 20
•Intermediate conclusions 22
•Chapter summary 23
•Exercises 24
The focus of this book is written and spoken ways of persuading us to do things and to
believe things. Every day we are bombarded with messages apparently telling us what to do
or not to do, what to believe or not to believe: buy this soft drink; eat that breakfast cereal;
vote for Mrs Bloggs; practise safe sex; don’t drink and drive; don’t use drugs; buy free trade
goods; euthanasia is murder; abortion is murder; meat is murder; aliens have visited the
earth; the economy is in danger; capitalism is just; reduce your carbon footprint, etc. Some
messages we just ignore, some we unreflectively accept and some we unreflectively reject.
Others we might think about and question, asking, ‘why should I do, or refrain from doing
that?’, or ‘why should I believe that, or not believe it?’
When we ask the question ‘why?’ we’re asking for a reason for doing what we are being
enjoined to do, or for believing what we are being enjoined to believe. Why should I vote
for Mrs Bloggs, or eat this particular breakfast cereal? Why should I believe that meat is

murder, or that the economy is in danger? When we ask for a reason in this way we are
asking for a justification for taking the action recommended or accepting the belief – not
just a reason, but a good reason – that ought to motivate us to act or believe as we are
recommended to do. We might be told, for example, that Wheetybites are a nutritious,
sugar-free, low-fat breakfast cereal; if this is so, and we want to eat a healthy breakfast, then
we’ve been given a good reason to eat Wheetybites. If, on the other hand, we are given only
state-of-the-art marketing techniques – for example, images of good-looking people
happily eating Wheetybites with bright red strawberries out of fashionable crockery –
then, although an attempt has been made to persuade us to buy Wheetybites, it would not
appear that any attempt has been made to provide good reasons for doing so.
To attempt to persuade by giving good reasons is to give an argument. We encounter many
different types of attempts to persuade.1 Not all of these are arguments, and one of the
tasks we will concentrate on early in this book is how to distinguish attempts to persuade
in which the speaker or writer intends to put forward an argument, from those in which
their intention is to persuade us by some means other than argument. Critical thinkers
should primarily be interested in arguments and whether they succeed in providing us
with good reasons for acting or believing. But we also need to consider non-argumentative
attempts to persuade, as we need to be able to distinguish these from arguments. This is
not always straightforward, particularly as many attempts to persuade involve a mixture
of various argumentative and non-argumentative techniques to get us to accept a point of
view or take a certain course of action.
You may find it surprising to think of an ‘argument’ as a term for giving someone a reason
to do or believe something – telling them why they should buy certain products or avoid
illicit drugs for instance. Perhaps in your experience the word ‘argument’ means a dis-
agreement – shouting the odds, slamming doors, insults, sulking, etc. In fact in some of
those situations the participants might actually be advancing what we mean by an argu-
ment, putting forward a well-argued case for putting one’s own dishes in the dishwasher,
for example, but in many cases they will not be arguing in the sense that we have in mind
here.
The sort of argument we have in mind occurs frequently in ordinary, everyday situations.
It is by no means restricted to the works of Plato, Descartes and other scholars famous for
the arguments they put forward. You and your friends or family give each other reasons
for believing something or doing something all the time – why we should expect our
friend to be late for dinner, why we should walk rather than wait for the bus, and so on.
Open a newspaper, and you’ll find arguments in the letters section, editorials and various
1 Not all attempts to persuade use language. Often they use images or combine images with language; most
advertising, for instance, involves a combination of images and text or speech aimed to persuade us by non-
argumentative means to buy stuff. Although the persuasive power of images is an interesting issue, here we are
interested only in attempts to persuade that use written or spoken language. But images can also occur in
argumentative attempts to persuade. We see on television, for example, a shot of dead fish in a dirty pond.
A voice says, ‘This is why we must strengthen the anti-pollution laws’. In this sort of case, we can think of the
image as implicitly stating a premise, in the sense to be described below (p. 19).
introducing arguments4

other discussion pieces. In television and radio broadcasts (especially current affairs shows)
and in internet forums and blogs you’ll find people arguing their case (though they may
well also resort to other persuasive techniques, as well). The same thing occurs in a more
elevated form at university and college. Throughout your time as a student you will hear
lecturers and other students arguing for a point of view, and in set readings you will
encounter attempts to persuade you of various claims about all manner of issues. In the
workplace you may find yourself having to argue for a particular course of action or argue
on behalf of a client or associate.
If you develop your ability to analyse people’s attempts to persuade so that you can
accurately interpret what they are saying or writing and evaluate whether or not they are
giving a good argument – whether, for example, they are providing you with a good reason
to believe that you should buy Fairtrade goods – then you can begin to liberate yourself
from accepting what others try to persuade you of without knowing whether you actually
have a good reason to be persuaded.2
But then, you may ask, why is it liberating to demand reasons before you are persuaded to
adopt new beliefs or to do something? Isn’t it less trouble to go through life unreflectively,
doing more or less as you please and not worrying too much about whether you have good
reason to do or believe something, beyond whether or not you want to? Well, it may often
be easier in the short run, but it might lead to a life dominated by bad decisions and
discontentment. Socrates, the ancient Athenian philosopher, famously argued that ‘the
unexamined life is not worth living’.3 While this may or may not be true, the only way to
find out is to approach the issue in a critical and rational manner. Even though you may
not always be able to tell definitively whether you have been presented with a good
argument, paying due attention to arguments gets you closer to the truth of a matter,
thereby making the world and the people in it easier to comprehend and to deal with.
Even if a desire to discover the truth does not seem a sufficiently strong reason for being
concerned about having good reasons to justify your actions and beliefs, there are various
life situations in which the ability to interpret and evaluate a person’s case properly may be
crucial to that person’s well-being, or even to their remaining alive. For example, in a court
trial the jury is instructed to convict an alleged murderer if the prosecution has proved
their guilt beyond reasonable doubt. The jury is being asked to consider the prosecution’s
case (which, ideally, is an argumentative attempt to persuade them of the guilt of the
accused), and the evidence they offer at each step of making that case. It has to consider
2 Although this book emphasises the value of reason and the benefits of using techniques of persuasion that
are rational, we should also bear in mind that what is claimed to be rational is not always rational, and certainly
does not always have positive consequences. Historically, for example, those who wield power have often
granted themselves authority over what counts as ‘rational’, condemning as ‘irrational’ what threatens the status
quo. The correct response to that sort of rhetorical manoeuvre, however, is not to say ‘so much the worse for
rationality, then!’; the correct response is to question whether the charge of irrationality is justified, or whether
the term is merely being abused or manipulated. Rationality in itself is a neutral force, independent of anyone’s
particular interests or beliefs.
3 Plato, Apology, 38a (Harmondsworth: Penguin, 1969), p. 72.
introducing arguments 5

whether there is good reason to accept the argument or whether some faults in it mean
that there must be some doubt about its truth. The skills of evaluation and interpretation
involved in argument analysis are what we use (or ought to use) in determining the
strength of the prosecution’s case in such situations. In fact in any situation in which we
have to make decisions, be they about our lives or the lives of others, there is no substitute
for the ability to think logically and to detect errors in the thinking of others.
It is a good reflection of the importance of the skills you are developing that those in power
sometimes fear the effects of those who can think critically about moral, social, economic
and political issues. The ability to think critically, then, is essential if one is to function
properly in one’s role as a citizen. It is not for nothing that Socrates, the most famous of
critical thinkers, was sometimes referred to as ‘the Gadfly’.
BEGINNING TO THINK CRITICALLY: RECOGNISING
ARGUMENTS
We do many things with language – state a fact, ask a question, tell someone to do
something, insult someone, praise someone, promise to do something, swear an oath, make
a threat, tell a story, recite a poem, sing a song, say a character’s lines in a play, cheer on a
football team. In this book we write about ‘attempts to persuade’ – by argument and by
other means. As we’ve mentioned, not all attempts to persuade (using language) are
attempts to persuade by argument. Others are attempts to persuade by means of rhetorical
devices. In Chapter 2 we discuss the most common of these devices in detail. For the time
being we’ll just make some remarks about rhetoric in general. For our purposes rhetoric is
defined as follows:
Rhetoric
Any verbal or written attempt to persuade someone to believe, desire or do
something that does not attempt to give good reasons for the belief, desire or
action, but attempts to motivate that belief, desire or action solely through the
power of the words used.
The crucial thing to understand here is that an attempt to persuade by argument is an
attempt to provide you with reasons for believing a claim, desiring something or doing
something. Arguments appeal to your critical faculties, your reason. Rhetoric, on the other
hand, tends to rely on the persuasive power of certain words and verbal techniques to
influence your beliefs, desires and actions by appeal to your desires, fears and other
feelings.
Threats and bribes are special cases that may appear to count as rhetoric according to
our definition. In fact they are closer to argument; for they work by announcing to the
introducing arguments6

recipient that they have a good reason to act as suggested. For example, if Smith attempts
to persuade Jones to lend him her car by threatening to inform the police that she uses
a fake driver’s licence, then he is implicitly giving her a reason to lend him her car – if
she doesn’t do so, the police will find out about the driver’s licence; since she doesn’t
want that to happen, she has a reason to lend him the car. Although threats and bribes
may be immoral and may motivate partly by appeal to our fears and desires, among
other feelings, they do motivate through force of reason and for that reason do not count
as rhetoric.
Rhetorical techniques can be manipulative and coercive; their use should generally be
avoided by those who aspire to think critically and to persuade by reason. That is not to
say that rhetoric is always undesirable. Often it is used to great effect for good causes.
Consider this excerpt from Barack Obama’s victory speech to supporters after winning
the 2008 US Presidential election in which he attempts to temper the sense of euphoria at
his success, and to remind Americans that they should not squander the opportunity for
significant change and to build a better future for their children. Obama uses some
remarkably effective rhetoric for a good cause, as he had done throughout his campaign,
and he might well be admired as a talented rhetorician. But his speech does not amount to
an attempt to persuade by argument:
America, we have come so far. We have seen so much. But there is so much more to
do. So tonight, let us ask ourselves – if our children should live to see the next
century; if my daughters should be so lucky to live as long as Ann Nixon Cooper,
what change will they see? What progress will we have made? This is our chance
to answer that call. This is our moment. This is our time, to put our people
back to work and open doors of opportunity for our kids; to restore prosperity
and promote the cause of peace; to reclaim the American dream and reaffirm that
fundamental truth, that, out of many, we are one; that while we breathe, we hope.
And where we are met with cynicism and doubts and those who tell us that we
can’t, we will respond with that timeless creed that sums up the spirit of a people:
Yes, we can.
Those who try to persuade us of not such good causes might also be effective, persuasive
rhetoricians. European dictators of the last century – Hitler, Mussolini, Franco, Stalin –
provide good examples of this.
Of attempts to persuade that are arguments, not all are good arguments. So when analysing
attempts to persuade we have to perform three tasks:
•The crucial first stage involves distinguishing whether an argument is being presented.
We need to identify the issue being discussed, and determine whether or not the writer
or speaker is attempting to persuade by means of argument.
•Once we have established that the writer/speaker is presenting an argument, we can
move to the task of reconstructing the argument so as to express it clearly, and so as to
demonstrate clearly the steps and form of the argument’s reasoning.
introducing arguments 7

•A clear reconstruction makes our third and final stage – evaluating the argument,
asking what’s good about it and what’s bad about it – much easier to perform and to
justify.
In subsequent chapters we explain in detail what we mean by reconstruction, and explain
what makes an argument a good one. Our aim is not to help you acquire the basic com-
prehension skills that you need to work out what a passage or speech is about. We assume
that you already have that skill, though working through this book might help you to
hone it more finely. So we will begin with the first step, by considering how to distinguish
arguments from other ways of putting forward opinions and persuading people to act.
When we put forward an argument we are either advancing an opinion (a claim that we
think is true) or recommending an action. In either case we give a number of claims
intended to support the claim or the recommendation. However, these two types of
arguments can be collapsed into one. For we can think of an argument that recommends
an action as advancing a claim to the effect that the hearer or reader should, or ought to, do
such-and-such. For example, an argument whose aim is to get you to buy Wheetybites can
be understood as advancing the claim ‘you ought to buy Wheetybites.’
Thus all arguments can be understood as attempting to provide reasons for thinking that
some claim is true. The nature of truth is a deep and controversial philosophical issue that
we do not need to contemplate here. We are working with an ordinary, non-theoretical
concept of truth – one which says that to label a person’s claim as true is to say that what
it states is how things really are. For example, if a person makes the true claim ‘Moscow
is further from London than Paris is’, then according to our intuitive conception of
truth, it is true just because Moscow is further from London than Paris is. Our working
definition of truth, then, is as follows:
To say that a claim is true is to say that what is claimed is how things actually are.
A single claim, however, does not constitute an argument. An argument needs more than
one claim: it needs the claim of which the arguer hopes to convince his or her audience,
plus at least one claim offered in support of that claim. To illustrate the difference
between arguments and claims, consider these unsupported claims:
•It’s going to rain later.
•Obama is a better leader than Bush ever was.
•Philosophers are odd, unworldly people.
•The world is facing environmental catastrophe.
The following examples, by contrast, attempt to give some support for these claims.
Whether they provide adequate support is something we will look at later. The important
point is to see the difference between this set and the first set:
introducing arguments8

•It’s going to rain later; I know because I heard the weather forecast on the radio
and it’s usually reliable.
•Obama is a better leader than Bush ever was. He already has the support of most
sectors of the population and is well-respected by leaders overseas.
•I’ve met a few philosophers in my time and they’ve always been strange people,
heads in the clouds, not really in touch with the real world. Philosophers are odd,
unworldly people.
•Climate scientists predict that the world is facing environmental catastrophe,
and they are the experts on these issues.
There are special terms for the two parts of arguments: the primary claim, the one we are
trying to get others to accept, is the conclusion. The supporting claims, the ones intended
to give us reasons for accepting the conclusion, are the premises. As with the word
‘argument’, we are using the word ‘premise’ here in a restricted way, not necessarily
corresponding to all the ways in which the word is ordinarily used. People might respond
to an expression of opinion by saying, ‘that’s just your premise, but no one knows that for
sure’; they do so to cast doubt on the truth of the claim being made. That is not the sense
of the word ‘premise’ used in the discussion and analysis of arguments: for this purpose, a
premise is simply any claim put forward as support for the conclusion of an argument,
however certain or uncertain that claim may be.
We can now give a working definition of argument:
An argument
A set of propositions of which one is a conclusion and the remainder are premises,
intended as support for the conclusion.
And what exactly do we mean by a proposition?
A proposition
The factual content expressed by a declarative sentence on a particular occasion.
The same proposition may be expressed by different sentences. For example, on a
given occasion, ‘The Government has decided to hold a public enquiry into the
affair’ would express the same proposition as ‘It was decided that the Government
would hold a public enquiry into the affair’.
The same proposition can be expressed by different sentences when we change the
personal pronoun. For instance, if Eric says to Pattie, ‘You look wonderful tonight’ and
she replies ‘Yes, I look wonderful tonight’, then they each utter different sentences, but
they express the same proposition, namely that Pattie looks wonderful tonight.
introducing arguments 9

Conversely, the same sentence can express different propositions depending (among
other things) on who utters it. For instance, if Muhammad Ali, John McEnroe and Pele
were each to utter the sentence, ‘I am the greatest sportsman of all time’, they would each
express a different proposition, one about Ali, McEnroe and Pele respectively.
One outcome of this is that different sets of sentences could express the same argument
and a particular sentence within an argument could express more than one proposition.
Which proposition the sentence expresses is usually discernible by careful attention to
context.4
ASPECTS OF MEANING
Depending on how we use a sentence, it may express aspects of meaning additional to its
factual, propositional content.
Rhetorical force
This is the rhetorical aspect of a sentence’s meaning. It is not part of the propositional
content that it expresses; rather, it is the emotive or otherwise suggestive window-dressing
surrounding the proposition, which may be used to persuade us. The sentence in question
can reasonably be taken to express this rhetorical message given the linguistic conventions
according to which the words involved are normally used. The point is best grasped when
we consider sentences that express the same proposition but have different rhetorical
force. The sentence ‘She is bringing up her children on her own’ expresses the same
proposition as the more rhetorically charged ‘She’s a single mum’. But, while the former
merely expresses a fact about the person’s family arrangements, the second, by its use
of the emotive and politically significant term ‘single mum’, might function not only to
inform us of a fact, but also to manipulate our sympathies concerning the person in
question (depending upon our beliefs and feelings about parenthood).
Implicature
Implicature is meaning, which is not stated, but which one can reasonably take to be
intended, given the context in which the sentence is written or uttered (it is known more
generally in linguistics as conversational implicature). Unlike rhetorical force, implicature
cannot typically be interpreted according to conventions covering our ordinary use of the
words in the sentence used. In order to recognise implicature, if there is any, we need
to know the context in which a statement is made. Contextual factors include who the
speaker is, who she is addressing and the circumstances surrounding the particular use of
4 The examples provided here involve words called indexicals. The meaning of an indexical changes relative to
its context of use or the person to whom it refers, as the term ‘I’ does in the example about sportsmen. We deal
with indexicals in more detail in Chapter 8.
introducing arguments10

the sentence. Suppose, for example, that a student’s parent asks one of her lecturers how
she is progressing in her studies and he replies, ‘well, she hasn’t been thrown out for
missing classes.’ The lecturer doesn’t actually state ‘she’s not doing very well’, but the
implicature is that she’s not. Implicature can serve as a source of rhetorical power when
the unsaid, implied aspect of a sentence’s meaning is employed to stimulate responses
motivated by emotion or prejudice (we discuss this rhetorical ploy on p. 48). It is also a way
of communicating something without incurring the full responsibility of having explicitly
said it. Note that a statement cannot implicate something merely because the speaker
intends to convey it. A statement implicates a given proposition only if a listener who is
fully aware of the relevant context would reasonably take that proposition to have been
intended. For the same reason, something can be implicated even when the speaker
does not intend it. If a given proposition is indeed what a fully informed listener would
reasonably take to have been implicitly intended by a statement, then that proposition is
implicated even if the speaker did not intend it. Thus our responsibility for what we say –
our responsibility to choose the right words – goes beyond what we explicitly state.
Definitions
Definitions tell us what it takes for something to qualify as a particular type of thing. The
kind of definition with which you are most familiar is probably a dictionary definition. A
dictionary definition of a word explains the normal use of a word by providing synonyms
for its various uses. For example, a dictionary definition of ‘house’ (taken as a noun) is
‘a building made for people to live in, a home’.5 You will have noticed that we provide
definitions of key terms used throughout this book (the definitions appear in boxes). These
definitions are not dictionary definitions; rather they set out what it takes for something to
count as the type of thing to which the term defined applies. For example, our definition of
an argument sets out what it is for something to count as an argument. This kind of
definition of some thing or phenomenon tells us the necessary and sufficient conditions
for counting as that kind of thing. The necessary conditions for being some thing or some
phenomenon X are the conditions that a thing must satisfy if it is to count as an X.
NB X functions here a placeholder, it stands for ‘some object or feature’. The sufficient
conditions for being some thing or some phenomenon X are the conditions such that if
something meets them, that is enough for it to count as an X. Here are some examples.
1. Something is a ewe if and only if it is a) a sheep and b) female
A ewe must be female and a sheep, and its being female and a sheep is enough to make it
a ewe. It may have wool, it may say ‘bah’, it may eat grass, but these are neither necessary
nor sufficient conditions of its being a ewe. (The discussion of primary and secondary
connotation in Chapter 2 provides insight into the role of these non-essential features in
determining the meanings of terms.)
5 Cf. Oxford Paperback Dictionary (Oxford: OUP, 1994) p. 386.
introducing arguments 11

2. Something is square if and only if it is a planar figure with a) four sides of equal
length and b) four equal angles adding up to 360°
A flat, two-dimensional figure must have four equal sides and four equal angles totalling
360°, and its having four equal sides and four equal angles is enough to make it square. It
may be 2cm2, it may be 100m2, it may be red, green, purple with orange spots, but these
are neither necessary nor sufficient conditions of its being square.
When devising such definitions we start with some plausible candidate(s) for necessary
and sufficient conditions. We then test them by seeing if there are any counterexamples to
them. In this context a counterexample is either something that fits the definition, but that
we strongly believe isn’t an example of whatever is being defined, or something that we
strongly believe is an example of whatever is being defined, but which fails to meet the
conditions suggested as necessary and sufficient. When faced with a counterexample, we
either alter the definition to accommodate something(s) we strongly believe should count
as cases of the X in question or accept the definition and admit that the thing in question
does not count as a case of X. For example, suppose we start off defining square as ‘a planar
figure with four equal sides’. We would soon realise that such a definition is not strict
enough – it would allow diamonds to count as square. Being a planar figure with four sides is
clearly a necessary condition of being a square, but it isn’t a sufficient condition; our putative
definition needs refining in order to include the sufficient conditions for being square.
STANDARD FORM
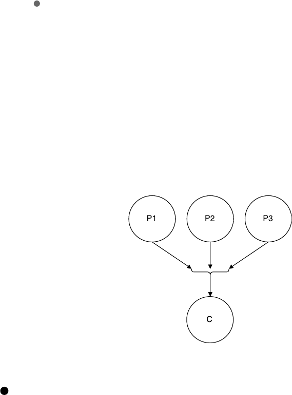
An argument may be about any subject and have any number of premises, but it will
always have only one final conclusion. This argument has just one premise:
Bart has two sisters.
Therefore, Bart is not an only child.
This has two:
Helping someone to commit suicide is the same as murder.
Murder is wrong.
Therefore, helping someone to commit suicide is wrong.
And this one has three:
Car use is seriously damaging the environment.
Reducing car journeys would reduce damage to the environment.
introducing arguments12

We should do what we can to protect the environment.
Therefore, we should use cars less.
As you can see, arguments for analysis are set out in a particular style, with the premises
listed in the order that they occur in the reasoning process and the conclusion appearing at
the bottom. We can refine this style and further clarify the argument by numbering the
premises P1, P2 and so on, and drawing a line between the last premise and the conclusion,
which we mark with a ‘C’. The line between premises and conclusion is called an inference
bar, and its purpose is to distinguish steps in reasoning. The bar should be read as standing
for ‘therefore’. This style of setting out arguments is called standard form. The purpose
of setting out arguments in this manner is to maximise clarity. Using this method helps
us to see the stages of reasoning clearly and to make comparisons between arguments of
similar form. When dealing with arguments as they are ordinarily presented, distinguish-
ing the exact conclusion from the premises, the premises from each other, and the
premises and conclusion from other, irrelevant, material can be difficult. Writing the
argument in standard form provides us with the most comprehensive and clearest possible
view of it, ensuring that while discussing the argument and attempting to evaluate it we
do not lose track of exactly what the argument is.
A number of the exercises included in this book require you to set out arguments in
standard form. To do this is to reconstruct the argument, and the end product – the
argument set out in standard form – is called a reconstruction of the argument, or an
argument-reconstruction. In reconstructing arguments you should follow the example
below by taking these steps:
•Identify the conclusion.
•Identify the premises.
•Number the premises and write them out in order.
•Draw in the inference bar.
•Write out the conclusion, placing ‘C)’ in front of it.
Thus the previous example looks thus in standard form:
P1) Car use is seriously damaging the environment.
P2) Reducing car journeys would reduce damage to the environment.
P3) We should do what we can to protect the environment.
C) We should use cars less.
introducing arguments 13

IDENTIFYING CONCLUSIONS AND PREMISES
The question of whether a passage or speech contains an argument is the question of
whether the speaker or writer is attempting, by means of that passage or speech, to
persuade her audience of some conclusion by offering premises in support of it. This is a
question about the intentions of the writer or speaker – ‘What does this person intend to
do with these words here?’ – that cannot always be answered unless we know something of
the context – the circumstances in which the passage or speech appeared or took place.
But even when we’ve determined that an argument is being advanced, its premises and
conclusion are often buried deep among the other elements of a speech or text, and there
are no hard-and-fast rules for distinguishing the propositions that form an argument from
those that perform some other function in a text or speech. Identifying arguments is
largely a matter of determining what the author or speaker intends by interpreting her
words (spoken or written), and this comes with practice. Often writers and speakers leave
some of their premises unstated because they assume that readers or listeners will know
what they have in mind. So in reconstructing arguments we often have to add premises to
make their structure and content complete. Further, people do not always express their
arguments in very clear language, so we have to clarify each proposition before we can
command a clear view of the argument as a whole (we look at difficulties with linguistic
meaning later in Chapter 2).
Identifying conclusions
Once you have determined that a text or speech contains an attempt to persuade by
argument, it is easiest to proceed by identifying its conclusion. Determining whether a
passage contains an attempt to persuade by argument and identifying the conclusion of
that argument do not always occur independently, however. Sometimes you will identify
the conclusion in the process of working out that a passage does indeed contain an
argument. On other occasions you may have already worked out that a passage contains
an argument by paying careful attention to the writing style and the context without yet
having identified the conclusion. We will, in any case, treat these processes as independent
steps in argument analysis.
The conclusions of the following examples are probably clear from the first reading:
Since Jo Bloggs is a politician and politicians are always corrupt, I guess Jo Bloggs is
corrupt.
I’m anti-hunting because I believe that hunting animals is wrong. After all, it’s
wrong to kill simply for pleasure and hunting involves the killing of innocent
animals for pleasure.
Before moving on, make sure that you can identify the conclusions in each of these
examples.
introducing arguments14

Several points make the identification of conclusions an easier task
1 Once you have decided that a passage or speech contains an attempt to persuade by
argument, try to see what the main point of the passage or speech is. Ask what point
the speaker or author is trying to establish; that point will be the conclusion. Once
you come to reconstruct an argument for analysis, paraphrasing the main point as one
simple proposition will make the argument easier to handle. Bear in mind that a
writer or speaker may make the same point in a number of different ways, so you
may have to settle upon one particular way of expressing it.
2 Any proposition on any topic can be a conclusion. It is possible to attempt to argue
for any claim, from the highly theoretical to the most mundane. So the type of
subject-matter of a proposition – religion, morality, science, the weather, politics,
sport – is not in itself a guide to identifying whether or not that proposition is
intended as the conclusion of a passage’s argument. The premises and conclusions of
arguments should ideally be expressed in declarative sentences, but in real-life argu-
ments they may be expressed otherwise. When reconstructing arguments, we may
need to rewrite premises and conclusions as declarative sentences in order to clarify
the propositions expressed. For example, the apparent question ‘Aren’t all socialists
idealists?’ might be used to express a premise that all socialists are idealists. The types
of linguistic phenomena that need to be rewritten for clarity’s sake are discussed in
detail in Chapter 2.
3 A single text or speech may contain several arguments for several different but
connected conclusions. Sometimes we argue for one point, then a second, and then
use those conclusions as premises in an argument for a third and final conclusion.
These chains of arguments are known as extended arguments and we look at them in
more detail shortly.
4 A helpful guide to recognising arguments are words that usually indicate that a writer
or speaker is putting forward an argument. For example, if someone says, ‘Given the
facts that A, B and C, it follows that D’, you can be sure that D is the conclusion
of the intended argument (and that A, B and C are the premises). Other common
conclusion indicators are:
•Therefore...
•Hence...
•Thus...
•It can be concluded that...
•So...
Usually (though not always) these words or phrases follow the sentences that express
an argument’s premises. Another way of expressing an argument is to include the
premises and conclusion in a single sentence with an indicator word separating them.
For example, in the sentence ‘The fact that John Plunkett is a politician proves that
he has a very big ego’, the conclusion that Mr Plunkett has a very big ego is separated
from the premise that states that he is a politician by the indicator ‘proves’. Other
words that serve the same function are:
introducing arguments 15

•. . . implies...
•. . . establishes...
•. . . shows...
Commonly, a writer or speaker will state the conclusion of their argument before
stating the premises. There are indicator words that are typically placed after the
conclusion in these cases. For example, in the sentence ‘Joe Biden must be a very
important man since he is Vice-President of the USA’, the conclusion that Mr Biden
must be a very important man is separated from the premise stating that he is Vice-
President of the USA by the indicator word ‘since’. Other words and phrases that
serve the same function are:
•. . . because...
•...for...
•. . . follows from the fact that...
•. . . is established by...
•. . . is implied by...
These indicators are not foolproof and should not be treated as a substitute for
careful identification and interpretation of attempts to persuade by argument. Not all
arguers will help the critical thinker out by making use of indicator words. The fact
that a text or speech does not include an indicator word is not a reliable reason for
thinking that it does not express an argument. If a passage does not appear to have
any conclusion indicators then an alternative way of identifying the conclusion is to
try inserting conclusion indicators at appropriate places in sentences that appear to be
good candidates for the conclusion. Then see if the passage or speech still reads or is
heard smoothly and if its meaning is unchanged. There are no conclusion indicators
in the following speech, but it is still an attempt to argue:
I think that Dinnah should sue the local council. They have admitted that
they were negligent in not mending the cracked pavement that she
tripped over when she broke her ankle and that’s sufficient grounds for
compensation.
Here if we try placing the conclusion indicator ‘therefore’ at the beginning of the
second sentence (‘They have admitted that they were negligent . . .’), it becomes clear
that it is not the conclusion of the intended argument. Inserting ‘because’ between
the first and second sentence (and thereby joining them to make one sentence), on
the other hand, leaves the meaning intact and makes it clear that the conclusion – the
claim that the speaker wants us to accept – appears at the beginning of the speech.
Of course, when we write out the argument in standard form we change the order of
the sentences and place the conclusion at the end preceded by the inference bar.
Notice that the second sentence contains two premises so that in standard form the
argument would be written thus:
introducing arguments16

P1) The local council has admitted negligence.
P2) An admission of negligence is sufficient grounds for compensating an
injured party.
C) The local council should compensate Dinnah.
5Indicator words are not parts of the propositions that the argument comprises; rather
they introduce or frame the conclusion and premises. So when we write arguments in
standard form so as to reconstruct them, we omit the conclusion indicator words
from our reconstruction.
6 So far we have only discussed explicit conclusions in which a writer or speaker
expresses her conclusion directly and more or less clearly. However, conclusions
sometimes remain unexpressed. These are implicit conclusions. They are only
implied or suggested by the actual text or speech content, not explicitly expressed
by it. This usually happens when the speaker or writer thinks that the context is
sufficient to make the conclusion obvious so that it literally ‘goes without saying’.
This is often a bad idea, as the conclusion is not always as obvious to those
whom one is trying to persuade as it is to the persuader. It can also be a way of
concealing one’s uncertainty as to exactly what one is arguing for. In the name
of clarity and explicitness, try to avoid implicit conclusions in your own writing
and speech. It isn’t clear, for example, what (if any) conclusion is implicit in the
following:
There’s so much pornography available via the internet these days and young
people are so easily influenced, it’s bound to result in a social collapse into an
orgy of rape, abuse and indecency.
Identifying premises
As you go through the process of identifying an argument’s conclusion, it is likely that
you will also spot some or all of its premises. Thus the stages of identification are not
entirely separate in practice. The identification of an argument’s premises is a search for
reasons given by the writer or speaker to think that their conclusion is true. Like the
identification of conclusions, much of the process of identifying premises amounts to close
and charitable reading of what a writer or speaker says, but again there are some helpful
guides:
1 Ask yourself what the writer’s or speaker’s reasons for believing their conclusion are.
What evidence does the writer or speaker give to think that the conclusion is true?
The propositions that you come up with in response to these questions are likely to
be the premises of the intended argument.
2 Like conclusions, premises can have any subject-matter whatsoever. It does not
matter whether a proposition is controversial or unanimously agreed, it can still be a
premise.
introducing arguments 17

3 In most real examples of writing and speech, arguments are embedded within other
language that is not intended as part of the argument itself, although some of this
language may be used rhetorically (we discuss such uses in Chapter 2). Again, it helps
to work out the overall structure of the passage when trying to identify the premises.
Consider the following:
I really think the Government should reconsider its policies on the environ-
ment. The environment is such a complicated topic, and their policies are just
more poll-driven nonsense; Brown and his cronies are so business-oriented with
their corporate-looking suits and so on, they invite business types to advise
on policy and behave as if they too were chief executives of multi-national
corporations, just out to make money for their friends really.
In this example the speaker gets sidetracked into commenting upon the Prime
Minister’s suits and policy advisors and fails, beyond the vague charge that the
Government’s policies are ‘poll-driven nonsense’, to offer a substantive criticism.
Most of what is said is at best only obliquely relevant to the issue.
4 As with conclusions, there are certain words that usually (but not always) indicate
the presence of premises – premise indicators. We have already seen some of these
because they mark the speaker or writer’s move from premises to conclusion or from
conclusion to premises (‘since’, ‘because’, ‘is implied by’ and so on). There are other
words and phrases that introduce sentences stating a premise or premises. A speaker
or writer might state their conclusion and then begin the next proposition with such
phrases as:
•My reason is...
•My evidence for this is...
•This is so because...
For example:
I put it to you that Ms White killed Colonel Mustard in the ballroom with the
candlestick. The reason I make this claim is that on the night of Colonel
Mustard’s death Lady Scarlet saw Ms White in the ballroom beating Colonel
Mustard over the head with the very candlestick that was later found to have
Ms White’s fingerprints and Colonel Mustard’s blood on it.
Other premise indicators may occur at the beginning of a sentence containing both
the premise and the conclusion. For example:
On the basis of the fact that they have promised big tax cuts, I conclude that
the Conservative Party will probably win the next general election in Great
Britain.
introducing arguments18

5 Again, when writing out the premises of an argument in standard form, take care not
to include the indicator words, as they are not part of the propositions that make up
the argument. When indicator words such as ‘since’ and ‘because’ are not functioning
to indicate premises or conclusions, however, but are used within an argument’s
propositions, then they should be included in the reconstruction. This is particularly
important when ‘because’ is used in a proposition used to express an explanation. See
the section later in this chapter, discussing the distinction between arguments and
explanations.
6 Again, as with conclusions, a text or speech may not include specific premise indica-
tors. Context is the best means of identifying premises in such cases. It may also help
to try adding premise indicators to propositions to see if the passage or speech still
runs smoothly.
7 Ordinary language can make identifying arguments more difficult than it might
otherwise be, because people do not always express all of their premises explicitly.
Thus many attempts to persuade by argument rely on implicit premises: these are
propositions assumed or intended by the arguer as reasons in support of the conclu-
sion, but which are not actually expressed by any sentence provided by the arguer.
Sometimes this happens out of oversight; and other times because the arguer assumes
that, in the given context, the premise may already be taken for granted. In Chapter 5
we will discuss the interpretation of hidden premises and the reconstruction of
arguments to include them.
Extraneous material
As you try to identify arguments’ conclusions and premises, you will notice that much
of what people say or write when putting forward an argument plays no role in the
argument itself. It is there as stage-setting, for emphasis, for rhetorical effect, or has some
purpose other than that of expressing the propositions that constitute the argument.
Before identifying those propositions – the argument’s conclusion and the premises given
as support for it – we often have to identify and hive off this material, which has no role to
play in the reconstruction of the argument. Here’s an example. We’ve given each sentence
a number in order to facilitate discussion.
These days we live on an overabundant supply of news and comment, and everyone
seems to get involved. 1
One day people phone in or email or write in about global warming, the next day
about scandals and sleaze in the government, the next day about child abuse and
social services, the next day about taxes, and the next day about who knows what
else. 2
It’s enough to make your head spin! 3
But one issue is so obvious and maddening that it makes me want to speak up
myself. 4
introducing arguments 19

Is it true that the exposure of uranium to neutrons inside a nuclear reactor is not
responsible for large outputs of greenhouse gases; but it does create plutonium, the
material for nuclear weapons. 5
No one has any idea what to do with this dangerous waste, and the economic impact
of this will be seriously significant. 6
Our generation must not bequeath a lethal legacy to our children, their children and
their children’s children. 7
Mr. Jeremy Dayton
Bournemouth
In sentences 1–4 Dayton is merely providing some commentary on an unrelated issue,
complaining of the non-stop news media that is ‘enough to make your head spin!’; this has
to do with the general circumstances in which he writes but not the issue he is concerned
to write about. This is not part of the argument he is advancing and should be omitted
from a reconstruction of the argument.
Sentences 5 and 6 express claims about the effects of nuclear power generation, our lack
of knowledge about how to deal with them and their economic implications. These claims
form the premises of Drayton’s argument. This conclusion appears in sentence 7 where
the writer expresses the main point, but the proposition being expressed is obscured by the
rhetorical flourish provided by the phrase ‘lethal legacy’. This rhetorical element should be
omitted from the argument reconstruction.
ARGUMENTS AND EXPLANATIONS
Words that function as indicator words can be used for other purposes. The sentence,
‘Since 2007 I have been a student at the University of Anytown’ contains the word ‘since’;
but in this case the word merely designates the beginning of a period of time, and does not
indicate a premise of an argument.
A trickier case is the use of words such as ‘since’ and ‘because’ – especially ‘because’ – in
explanations. The distinction between arguments and explanations is important, but
not always easy to make because arguments and explanation often have a very similar
structure. In some cases we have to think hard about the context in order to determine
which is intended. We need to work out whether they are telling us that such and such
event occurred as a result of some other event – that is, whether they intend to assert a
relation of cause and effect. For in that case, ‘because’ is being used to introduce an
explanation, not an argument.
introducing arguments20

The best way to appreciate the distinction between arguments and explanations is to
consider an example. Consider this proposition:
The tap is leaking.
Someone might advance an explanation for this by saying something like:
The tap is leaking because it needs a new washer.
On the other hand, we can imagine someone advancing an argument for that very same
proposition, reasoning as follows:
There is a sound of dripping water coming from the bathroom.
Therefore, the tap is leaking.
What exactly is the difference? The difference is that, when giving the explanation, the
speaker assumes that his or her audience already accepts the proposition that the tap is
leaking, or at least that the speaker has no need to persuade the audience of this fact.
Given this fact, the speaker is asserting that the cause of that fact is the faulty or
worn-out washer. By contrast, when giving an argument, the speaker does not assume
that the audience accepts or will accept that the tap is leaking outright; the arguer
intends to persuade the audience that this is so by giving the audience a good reason to
believe it.
This example of an explanation uses the word ‘because’ – the word here indicates a
causal relationship instead of a logical connection between premise and conclusion. As
demonstrated by the following examples, ‘since’, ‘therefore’, ‘thus’ and ‘so’ may also be
used in explanations that are not intended to provide reasons for acting or believing
something:6
•Since we forgot to add yeast, the bread didn’t rise.
•We forgot to add yeast, therefore the bread didn’t rise.
•We forgot to add yeast, thus the bread didn’t rise.
•We forgot to add yeast, so the bread didn’t rise.
The distinction between arguments and explanations can be confusing where the
explanation of actions is concerned (that is, things that people do). This confusion arises
because, in the case of actions, reasons are causes! That is, the explanation of an action
normally involves specifying the reason for it: a person does something because he or she
had a certain reason. Thus, in asking about reasons for actions – asking, ‘Why are you
doing that?’ – we are sometimes looking for a justification – that is, we want the person to
6 While reading this book you may also have noticed a further use of ‘thus’. ‘Thus’ can be used to mean ‘in
this way’ and often precedes an example or a quotation.
introducing arguments 21

give us an argument for why the action is reasonable or acceptable – and other times we
simply want an explanation, in the sense of wanting to know the cause. Nevertheless, the
distinction between arguments and explanations still holds.
Suppose you are driving fast and your passenger asks, ‘Why are you driving so fast?’. You
assume your passenger is not in any way suggesting that you shouldn’t drive so fast.
You think they don’t mind in the slightest. You assume they are merely curious as to why
you’re driving fast – whether it’s because you’re late, being chased by the police or perhaps
testing the limits of your new car. Your reply, however, is simply, ‘Because I enjoy it.’ This
would be an explanation: you are telling your passenger why you’re driving fast, not trying
to persuade them of anything.
But suppose, when your passenger asked, ‘Why are you driving so fast?’, you think maybe
they do mind. So you take the question as demanding a justification for your driving so
fast. If you now say, ‘Because I enjoy it’, then you would be arguing, roughly, that it is all
right to drive at such a speed on the grounds that you have a right to do what you like. In
that case ‘Because I enjoy it’ would be a premise of an argument, which might initially be
expressed thus:
It’s OK for me to drive as fast as I like, because I like driving fast.
I think we should be free to do anything that we enjoy.
It might be rewritten thus in standard form:
P1) I enjoy driving fast.
P2) It is acceptable for me to do anything I enjoy.
C) It is acceptable for me to drive fast.
In such a case, your enjoying it might be both a reason for driving fast and a cause of it.
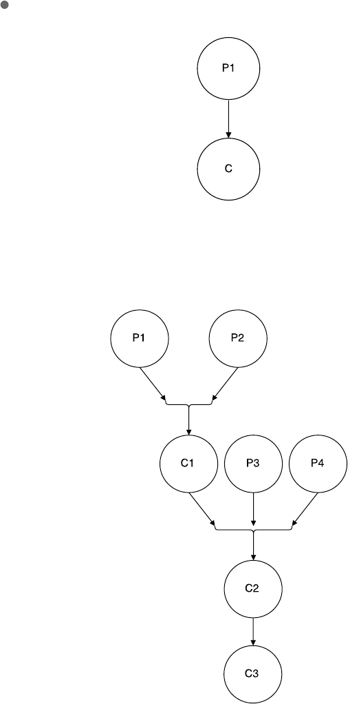
INTERMEDIATE CONCLUSIONS
The conclusion of one argument may serve as a premise of a subsequent argument. The
conclusion of that argument may itself serve as a premise for another argument and so on.
A simple illustration:
Fido is a dog. All dogs are mammals, so Fido is a mammal. And since all mammals
are warm-blooded, it follows that Fido is warm blooded.
In this argument, an intermediate conclusion – that Fido is a mammal – is used as a
premise for a further argument, whose conclusion is that Fido is warm-blooded. We
represent extended arguments of this kind like this:
introducing arguments22

P1) Fido is a dog.
P2) All dogs are mammals.
C1) Fido is a mammal.
P3) All mammals are warm-blooded.
C2) Fido is warm-blooded.
We give the two conclusions numbers: C1 is the conclusion of an argument whose
premises are P1 and P2; C2 is the conclusion of an argument whose premises are C1 and
P3. So C1 is both the conclusion of one argument and the premise of another.
Normally, in such cases, the last conclusion reached (the one with the highest number) is
the proposition that the arguer is most concerned to establish. It is the ultimate target. So
we call this simply the conclusion of the argument, whereas any other conclusions, reached
as steps along the way, are called intermediate conclusions.
We sometimes want to concentrate for a moment on a particular part of an extended
argument. In the above case, for example, we might be particularly interested either in the
first part of the argument, or in the second. We will sometimes speak of the argument
from P1 and P2 to C1, or of the argument from C1 and P3 to C2. We can also speak of the
inference from P1 and P2 to C1, and the inference from C1 and P3 to C2.
The use of the word ‘inference’ in logic and critical thinking is another case where a word
is used in a somewhat restricted sense in comparison with ordinary language. All reasoning
consists of inferences. In the logician’s sense of the word, each step of reasoning, each
move from premise or premises to conclusion, is an inference. Contrary to the way the
word is often ordinarily employed, there need be nothing doubtful about an inference.
We sometimes say, ‘but that’s just an inference’, meaning to cast doubt upon whether a
given proposition should really be accepted on the basis of others. But in our sense of the
word, an inference may be completely certain, not subject to doubt. For example, it is an
inference, in our sense, to go from ‘John is a classical musician’ to ‘John is a musician’ –
despite the fact that there can be no doubt that if the first proposition is true, then so is the
second (in the terminology to be introduced in Chapter 3, it is a valid inference).
CHAPTER SUMMARY
Critical thinking enables us to ensure that we have good reasons to believe or do that
which people attempt to persuade us to do or to believe. Attempts to persuade may be
argumentative or non-argumentative. Most of the latter count as rhetoric, which is any
attempt to persuade that does not attempt to give good reasons for the belief, desire or
action in question, but attempts to motivate that belief, desire or action solely through the
power of the words used. The former, on the other hand, persuade us by giving reasons for
us to accept a claim or take the action suggested. Not all arguments are good arguments.
Good arguments are those that provide us with good reasons to act or to accept a claim.
introducing arguments 23

An argument consists of a set of propositions. The proposition expressed by a statement is
its factual content, and should as far as possible be distinguished from the rhetorical force
of the sentence. Propositions may implicated by an utterance without being explicitly
stated: a proposition is implicated by an utterance when it would reasonably be taken to
have been intended. Among the propositions that constitute an argument, one is its
conclusion – the proposition argued for – and the rest are its premises – the reasons given
to accept the conclusion. Once we have determined that a text or a speech contains an
argument, we must work out which sentence is intended to express the argument’s con-
clusion and which are intended to express its premises. Words that serve as conclusion
indicators and premise indicators offer a helpful (but not foolproof ) guide to doing so
successfully. We should also pay close attention to the context of the text or speech
and be careful to exclude any extraneous material from our argument reconstruction.
Setting out arguments in standard form is a five-stage process that enables us to see the
form of arguments better and, hence, to compare, analyse and assess them more easily.
Arguments must be distinguished sharply from explanations: arguments attempt to
provide reasons for believing a proposition whose truth is not assumed already to be
accepted; explanations assume a certain proposition is already accepted as fact, and
attempt to specify the cause.
EXERCISES
1 Decide whether each of the following cases contains an argument. If it does not,
write ‘N/A’. If it does, identify its premises and conclusion by underlining the
appropriate propositions and writing ‘C’ under the conclusion and ‘P’ and the
appropriate number under the premises. Remember that premise and conclusion
indicators are not part of those propositions:
Example
Bob is a dog and all dogs are black. So Bob is black.
✎P1 P2 C
Notice that we have not underlined the words that connect or introduce the
propositions, only the propositions themselves.
a You should tidy up after yourself since nobody likes to use this room after
you.
b The room is messy because John Campbell was in here earlier, and he is a
messy person.
c Is the dollar over-valued?
d Isn’t it obvious that the dollar is over-valued?
e Jimmy thinks the dollar is over-valued.
f Jimmy thinks the NZ dollar is over-valued, so the NZ dollar is over-valued.
introducing arguments24

g Ilan is the lecturer for Critical Thinking. Falafel is yummy. So Ilan must like
falafel.
h Eat your greens!
i Students should not have to pay any fees for tertiary education. A well-
educated population benefits the country and the country should be
prepared to pay for those benefits.
j In order to think critically about a particular subject you need to have
enough knowledge about that subject.
k In order to think critically about a particular subject you need to have
enough knowledge about that subject. So you should look for deficiencies in
your beliefs.
l Studying critical thinking can help you clarify your thinking, and
make better choices in belief and action. Everyone should study critical
thinking.
m If you put an effort into your studies, and if you apply the material to other
courses, then a critical thinking course can help to improve your academic
skills.
n Doing one critical thinking course will not automatically make you think any
better.
o Morality is culturally relative, so female circumcision is okay and we should
not criticise it.
p I’m late because there was an unexpected traffic jam that I couldn’t
avoid.
q I’m in a traffic jam, so I’m probably going to be late.
r He’s been on crutches since he was injured in the accident.
s The biscuit tin is empty because the children ate all the biscuits.
t If the children ate all the biscuits, the biscuit tin will be empty. The children
ate all the biscuits, so the biscuit tin is empty.
2 Write out the following arguments in standard form. You need not supply missing
premises or change the words used unless it is absolutely necessary to retain the sense
of a sentence, but you should omit indicator words:
Example
The Government should regulate the sale of spray paint. Spray paint can be
used for tagging and tagging causes damage to private property. The sale of
anything that causes damage to private property should be regulated.
✎P1) Spray paint can be used for tagging.
P2) Tagging causes damage to private property.
P3) The sale of anything that causes damage to private property should be
regulated.
C) The Government should regulate the sale of spray paint.
introducing arguments 25

a Mrs Brown says it’s acceptable for parents to smack their kids. Mrs Brown
raised eight kids successfully. It’s acceptable for parents to smack their kids.
b If we want to know if it’s okay to believe or do something, we need to know
if the arguments in support of it are good enough. Argument analysis helps
us to ascertain the quality of arguments. So argument analysis can help us
make better decisions.
c Most people believe that the invasion of Iraq was morally wrong. What
the majority believe is probably true. So the invasion of Iraq was morally
wrong.
d Almost everyone eats meat. What the majority does is okay to do. Eating
meat, then, is not morally wrong.
e If Manchester United win against Arsenal, Chelsea will go to the top of the
Premier League. Manchester United have beaten Arsenal, so Chelsea will be
top of the league.
f History will show President Bush to have been a successful president after
all. The reason is that he managed to maintain the USA’s reputation as
a superpower and that’s the most important criterion by which to judge a
US president.
3 Without looking back at the relevant section of the chapter, explain the difference
between arguments and explanations. Use examples to illustrate your answer.
4 Without looking back at the relevant section of the chapter, explain what necessary
and sufficient conditions are.
5 What are the necessary and sufficient conditions for the following?
Example
✎Being square: something is square if and only if it is a planar figure that a) has
four sides of equal length and b) four angles, each measuring 90°.
a Being a car?
b Being a mammal?
c Being an oak tree?
d Being milk?
e Being water?
introducing arguments26

2
language and
rhetoric
•Linguistic phenomena 27
Ambiguity • Vagueness • Primary and secondary connotation • Rhetorical
questions • Irony • Implicitly relative sentences • Problems with quantifiers •
Quantifiers and generalisations
•Rhetorical ploys 40
Appeals to specific feelings • Appeal to novelty • Appeal to popularity •
Appeal to compassion, pity or guilt • Appeal to cuteness • Appeal to
sexiness • Appeal to wealth, status, power, hipness, coolness, etc. • Appeal to
fear (also known as scare tactics) • Appeal to ridicule • The direct attack and
hard sell • Buzzwords • Scare quotes • Trading on an equivocation • Trading
on implicature • Many questions (aka leading question or complex question) •
Smokescreen (changing the subject) • Spin
•Chapter summary 50
•Exercises 51
LINGUISTIC PHENOMENA
As we’ve seen, once we’ve determined that a text or a speech contains an attempt to
persuade by argument, the remainder of argument-reconstruction is largely a matter of
interpreting the speech or text as accurately as possible. Here we are trying to work out
what the speaker or writer intends readers or listeners to understand, and consequently
do or believe, on hearing or reading their words. Phenomena in ordinary language some-
times make this task more difficult because they obscure speakers’ and writers’ intended
meanings and therefore make it hard to tell which proposition their sentences are
supposed to convey. So aspirant critical thinkers need to be aware of the ways in which

language can work to hide writers’ and speakers’ meanings and must practise spotting
potentially problematic sentences. We begin this chapter by examining some of these
problematic phenomena and explaining how they work. At this stage you should aim to be
able to recognise these sentences and to be able to give the possible interpretations of
them; that is, the propositions that they could be used to convey. In the second part of the
chapter, we continue our focus on language by considering rhetorical ploys; that is, various
ways in which the power of words is used to persuade us to do or believe things in the
absence of giving us reasons in the way that an argument does.
Ambiguity
A sentence is ambiguous in a given context when there is more than one possible way of
interpreting it in that context – that is, if there is more than one proposition it could
plausibly be taken to express in that context. There are two types of ambiguity.
Lexical ambiguity
This is a property of individual words and phrases that occurs when the word or phrase
has more than one meaning. The set or group of things to which an expression applies
is called its extension (it helps to think of an extension as all the things over which the
word or phrase extends or spreads itself). Thus the extension of the word ‘student’ is the
set of all students. An ambiguous word or phrase, then, has two or more separate and
different extensions – it picks out two or more different sets of things. Ambiguous words
and phrases can bring their ambiguity into sentences, making those sentences capable of
having more than one possible interpretation. The word ‘match’ is one such word. The
sentence ‘He is looking for a match’ could be intended to mean any of the following
propositions:
•He is looking for a small stick of wood with an inflammable tip.
•He is looking for another one the same [as this one].
•He is looking for [wants] a game of tennis (or some such).
Words that are potentially lexically ambiguous are not necessarily ambiguous in every
context. Suppose you know that the person ‘looking for a match’ in the example above is
trying to light a fire, then there would be little reason to interpret him as looking for
anything other than a small stick of wood with an inflammable tip. Notice that it is not
only nouns that can be lexically ambiguous. Suppose you are going to meet someone for
the first time and all you’ve been told about them is what a friend has told you – ‘She’s a
hard woman’. This could mean: She’s a difficult person; She’s an aggressive person; She has
a very well-toned muscular body. Whichever interpretation you adopt will have an
important effect on your expectations of the woman in question. When interpreting
sentences that are lexically ambiguous, we have to focus on the context in which they are
written or said and the consequent probability of each of the possible interpretations being
the correct one. For instance the sentence ‘A visitor to the zoo was attacked by the
language and rhetoric28

penguins’ is lexically ambiguous because the preposition ‘by’ has two possible meanings in
this context. The sentence could express either of the following propositions:
•The penguins attacked a visitor.
•A visitor was attacked beside the penguins’ enclosure.
However, in the absence of any information about a vicious penguin, and given what we
know about the usually non-aggressive behaviour of penguins towards zoo visitors, it
would probably be reasonable to interpret the sentence as intended to express the second
proposition.
There are a few words that are not really ambiguous but may seem so when we hear them,
though not when we see them written. This is because the words, though spelled dif-
ferently, sound the same. For example, when heard, as opposed to read, the question ‘Are
you a mussel (muscle) man?’ could be either an enquiry as to a person’s taste in seafood or
as to his physique. Of course, once we see the question written, we are in no doubt as to its
meaning.
The examples considered so far are relatively simple to understand because the alternative
meanings of words such as ‘match’ and ‘hard’ are very different. However, instances of
lexical ambiguity also occur when a word has alternative meanings that are much closer
together. Such cases are much harder to interpret and we need to pay a lot of attention to
the context in which the word is being used and to the probability of the speaker or
writer’s intending one interpretation rather than the other.
Suppose someone reports that ‘The average mortgage has doubled in six years’. The
speaker or writer might mean to say that the average existing mortgage has doubled its
value in the past six years, so people with mortgages owe twice as much now as they did
six years ago, which would be a pretty worrying situation because so many people would
have increased their debts in such a short space of time. On the other hand, the speaker or
writer might have intended to claim that the average mortgage taken out now is twice as
big as the average mortgage taken out six years ago, which would simply be a reflection of
increasing property prices.
Syntactic ambiguity
This occurs when the arrangement of words in a sentence is such that the sentence
could be understood in more than one way (as expressing more than one proposition).
You will probably be familiar with examples of syntactic ambiguity as it is often the basis
of jokes and newspaper headlines that appear odd. For example, ‘33-year old Mrs Jones
admitted to dangerous driving in Leeds Crown Court yesterday’ could mean either of the
following:
•In Leeds Crown Court yesterday Mrs Jones admitted to dangerous driving.
•Yesterday Mrs Jones admitted to driving dangerously inside Leeds Crown Court
itself.
language and rhetoric 29

The sentence is syntactically ambiguous because it could, consistent with English
grammar, be used to express either proposition. But since the second interpretation
is extremely implausible, it is unlikely that an actual use of this sentence would be
ambiguous. But consider this case:
US President Obama has cancelled a trip to Canada to attend a peace summit.
We can easily imagine a real context in which this sentence is ambiguous as to whether the
purpose of the cancelled trip was to attend a peace summit or whether the trip was
cancelled so that the President could attend a peace summit (elsewhere than Canada).
Once we decide the most likely interpretation, we should always rewrite the ambiguous
sentence so as to eliminate the ambiguity. For example, we might rewrite the above
sentence thus:
In order for him to attend a peace summit, US President Obama’s trip to Canada has
been cancelled.
Notice that in cases such as this we have to change the sentence quite radically to rid it of
the syntactic ambiguity and clarify its meaning. Consider a further example:
The Government will announce that the electricity supply is to be cut off tomorrow.
The sentence leaves ambiguous the question of when the announcement will be made and
when the electricity supply is to be cut off:
•Tomorrow, the Government will announce that the electricity supply is to be cut
off. (The announcement will be made tomorrow.)
•The Government is going to announce that, tomorrow, the electricity supply will
be cut off. (The announcement will be made now, the electricity will be cut off
tomorrow.)
Syntactic ambiguities are sometimes more difficult to interpret on the basis of context
than lexical ones are. Also, the possible interpretations of a sentence may be closely related
so that there may not appear to be a very wide difference in meaning. Often we assume
that one interpretation is intended without giving any consideration to alternatives. But
such differences can be very significant indeed. Suppose someone were to claim:
We should not tolerate those homeless people living on our streets.
They might be saying that we should be intolerant of homeless people themselves. Or they
might be saying that the people who do live on the streets should not be allowed to live on
the street. On the other hand, the intended proposition might be that we should not
tolerate the fact that there are homeless people living on our streets. That is to say, the view
expressed might be critical of a society in which people are forced to live on the streets
rather than critical of such people themselves.
language and rhetoric30

Vagueness
Vagueness is a property of words and phrases. It is not the same as ambiguity, but it is
often mistaken for it. For instance, when former world leaders US President George W.
Bush and British Prime Minister Tony Blair used the alleged threat of ‘weapons of mass
destruction’ as a reason to form a coalition of willing nations (a group that was to become
known as the ‘Coalition of the Willing’) to invade Iraq and overthrow its government, they
traded on the vagueness of the phrase – a weapon of mass destruction could be any
weapon capable of killing large numbers of people, but it needn’t be a weapon that has
a particularly long range – they were able effectively to appeal to the US and British
populations’ fear of annihilation even though the weapons they were talking about were
probably only capable of killing or maiming a large number of Iraqi people. As we saw
when considering lexical ambiguity, a word is ambiguous when it has two or more possible
and different meanings – thus two or more separate extensions. The particular meanings
might themselves be perfectly clear and precise. The vagueness of a word, on the other
hand, is really a feature of its meaning: the meaning of a word or expression is vague if it is
indefinite or uncertain what is conveyed by the word. Thus a word may be ambiguous
without being vague – as in ‘ball’ (round plaything, formal dancing-party) – or vague
without being ambiguous, as in ‘weapons of mass destruction’ (what exactly counts as such
a weapon – hundreds of people can be killed in a train or plane crash; does that make
trains and planes weapons of mass destruction?).
Sometimes, someone aware of the weakness of their own position will deliberately leave
their meaning vague in order to camouflage that weakness and to evoke strong feelings
of approval or disapproval in their readers or listeners. Many highly charged words that
wield rhetorical power in public discourse are used vaguely. Examples include ‘rights’,
‘liberal’, ‘harassment’, ‘racism’, ‘sexism’. It is hard to discern one perfectly exact meaning
for each of these words and it would be unrealistic to expect them to have such a meaning.
Their extensions tend to include a cluster of objects, beliefs or actions that are not
necessarily unified in any precise way. Take ‘left-wing’, for instance. This word conveys
various characteristics including:
•belief in a permissive society
•pro-trade union
•socialist
•communist
•pro-feminist
•anti-war
•environmenalist
•activist
•radical
•protester
•progressive
•Marxist.
language and rhetoric 31

One might be aligned with the political left and not hold all of these beliefs or have
all of these characteristics. Indeed, a person might have some or even many of them and
not be left-wing. Here is a whole passage infected with vagueness of the kind we have
in mind:
Make no mistake, the researchers involved in the highly controversial project to
map the human genome are involved in a radical project of unprecedented gravity
and spiritual significance. Do they venture there with appropriate caution and
humility? What they are doing is not even comparable to the research that made the
atomic bomb possible, for it goes right to the essence of what we are as human
beings. Like Dr Frankenstein, they are tinkering with life; they are travelling into
unknown and sacred regions as no scientist previously has ever dared. The secret
wellsprings of life, of our very being as homo sapiens, have ever remained shut up,
concealed by aeons of either blind but cunning and ultimately unfathomable
natural processes, or, as some continue to believe despite the showy displays of
science and technology, concealed by the very hand of its Author, the Author
of Nature Himself.
What is the writer of this rather over-excited dose of hyperbole trying to argue? Clearly
they think that there is something dangerous or otherwise ill-advised about the project to
map the human genome. But they have not begun to make it clear what the danger is. The
research is distinguished from atomic research by its concern specifically with life, but
nothing is said as to why this is peculiarly dangerous beyond the use of extremely vague
verbiage such as ‘sacred’, ‘radical’, ‘gravity’, ‘spiritual significance’ and so on. In a context
such as this, with so much at stake, we need to have precise reasons why, despite the
promise of medical benefits, the project is dangerous.
Words can also be vague in another, more philosophically technical respect. Philosophers
of language use the term ‘vague’ to apply to words that have a clear meaning, but which
have an indefinitely demarcated extension. Obvious cases are colour words like ‘orange’:
there is no precise division between orange things and yellow things, for example. Things
can often be precisely compared with respect to such attributes, however. For example, X
may be more bald, or fatter, sleepier, taller or faster than Y, even if it is not definite
whether or not X is bald, fat, sleepy, tall or fast. Borderline cases can also arise in the case of
nouns. In fact vagueness occurs in many more cases than we might at first think. Take
‘city’: York is normally said to be a city, but is it really? Is it not merely a town? What about
Doncaster? Lancaster? Harrogate? Carlisle?
To a great extent, we take these sorts of vagueness in our stride, having become used to
interpreting these phenomena unreflectively in ordinary language. But even the simplest
cases can cause misunderstandings. Suppose your boss promises that you’re going to
receive a ‘big pay rise’ this year. When you receive the pay increase, you discover that the
rise is only 10p an hour. When you complain, your boss defends their promise by saying
that the rise is bigger than last year’s and therefore big in comparison (see the section
on implicit relativity, pp. 35–36, for further discussion of such cases). These examples
language and rhetoric32

demonstrate how widespread and common ambiguity and vagueness are and the extent to
which they frustrate our attempts clearly to understand others and to communicate clearly
ourselves.
Primary and secondary connotation
The rich secondary connotation of some words provides a further source of vagueness.
Every ordinary noun and every adjective – ‘elephant’, ‘immoral’, ‘company’, ‘stupid’ – has
a range of things to which it applies: the extension of the term. The set of all bananas
constitutes the extension of ‘banana’; the set of all square things constitutes the extension
of ‘square’. A given thing falls within a word’s extension if, and only if, it fits a certain rule
associated with the use of that word. For example, the rule for the noun ‘ram’ is ‘male
sheep’. This rule is called the primary connotation of the term. This will be some set of
characteristics, in this case being male and being a sheep which, by definition, everything
to which the word applies must have. All of a term’s primary connotation must apply to an
object for that term to apply to it. The notion of a female ram, for example, is a logical
impossibility, a contradiction. If you know the primary connotation of a term, then you at
least know the necessary and sufficient conditions for something to count as part of that
term’s extension. Thus when we are told that something is a B, for some general term B,
we know that the thing must exemplify the primary connotation of the term and, hence,
that it satisfies the necessary and sufficient conditions for counting as a B; if we’re told it’s a
ram, then we know it’s a male sheep.
However, when we are told that something is a ram, we tend to assume other things about
that thing that are not included in the primary connotation: that it is woolly, has horns,
lives on a mountainside or in a field, eats grass . . . So if you know that something is a
ram, it is reasonable to suppose that it has these additional characteristics. These further
characteristics that the term ‘ram’ also conveys make up its secondary connotation. Things
that fall under the term will generally exhibit these characteristics, but there is no logical
contradiction in supposing there to be a thing that falls under the term but lacks a
characteristic included under the secondary connotation. For instance, there is no logical
contradiction in supposing that a thing might count as a ram – that is, fulfil the demands
of the primary connotation – yet lack some or, indeed, all of these characteristics. It is not
logically impossible that there could be a bald, hornless male sheep that lives in a barn and
whose diet consists of potatoes.
Why should critical thinkers be interested in the distinction between primary and
secondary connotation? The most immediate relevance was demonstrated in our exami-
nation of vagueness. It is difficult to pin down the precise meaning of a word such as
‘left-wing’ because, on the one hand, its primary connotation is very difficult to pin down
and, on the other, its secondary connotation is so rich. In fact, in the case of vague words,
the distinction between primary and secondary connotation tends to break down, or be
difficult to draw. Take a look back at the list given earlier of characteristics conveyed by
‘left-wing’: it is difficult to say which are part of its primary connotation, and which are
only part of its secondary connotation.
language and rhetoric 33

A further reason for us to concern ourselves with this distinction is that it is the secondary
connotation of many words that gives the sentences in which they occur their rhetorical
force. Consider the noun ‘feminist’. Its primary connotation is difficult to pin down and it
is full of secondary connotations that can be used to the rhetorical advantage of both those
who support and those who oppose feminism. Here are just some of the characteristics our
critical thinking students have come up with when asked what the word ‘feminist’ conveys
to them:
When interpreting speakers and writers we should also be aware of the role of secondary
connotation in metaphorical uses of language. Metaphors often function by bringing
only the secondary connotation of a word into play. In most cases the primary connotation
is in fact false of the object or person in question. When someone insults another person
by calling them a ‘pig’, the claim is literally false, but they are attempting to ascribe some
of the characteristics of the secondary connotation of ‘pig’ – the way it eats, the way it
smells, its penchant for mud, for instance. In the course of interpretation, we should take
care not to treat metaphors as literal claims and not to confuse a metaphorical use of a
word with an ambiguous one. When Shakespeare’s Romeo attempts to express the beauty
of his lover, Juliet, he says, ‘My love is a rose’; this is intended as a metaphor that ascribes
some of the characteristics of the secondary connotation of ‘rose’ to her – its beauty,
fragility and sweetness – and is not ambiguous between literal and metaphorical meanings
of ‘rose’.
Rhetorical questions
Rhetorical questions take the form of a question but indirectly assert a proposition
(whereas a declarative sentence directly asserts a proposition). That is, they are not really
used to ask a question, but to make a point in an indirect way. Speakers and writers often
use rhetorical questions when they’re making a point they assume to be obvious, so the
answer to the question ‘goes without saying’. However, in many cases the point is neither
obvious nor universally agreed. Rhetorical questions obfuscate speakers’ and writers’
intended meanings because they make it more difficult to interpret whether or not a
speaker/writer really does support a given claim. Rhetorical questions are common in
polemical newspaper articles and in contributions to internet discussion forums. If you
encounter rhetorical questions in texts and speech that you are analysing, try to rewrite the
question as a declarative sentence. For instance, if someone were to write:
Should my right to freedom of speech be limited just because you disagree with me?
•Man-hating •Fighter
•Lesbian •Staunch
•Dungarees •Left-wing
•Unshaven •Pro-abortion
•Strong •Pro-women
•Political
language and rhetoric34

they probably wish to convey the proposition that their freedom should not be so cur-
tailed, so they are not genuinely asking a question. They expect that the reader’s response
will be an automatic ‘No, of course not’. To convey the proposition that seems to be
intended, we could rewrite the rhetorical question as a declarative sentence:
My right to freedom of speech should not be limited just because you disagree with
me.
You should resist the temptation to employ rhetorical questions in your own arguments.
Irony
Speakers and writers sometimes express their claims using irony. This takes the form of
language that, taken literally, would convey the opposite of what they wish to convey,
or something otherwise very different from it. Consider the following instance:
It is pouring with rain, very windy and cold. Mr I. Ronic says, ‘Mmm, lovely weather
today’.
Mr Ronic is probably being ironic, and intends to comment that the weather is lousy.
It is important to be aware of the possibility of irony. In order to ridicule a position they
are opposed to, speakers and writers sometimes sarcastically pretend to espouse that
position; but it isn’t always obvious that they are doing so.
Implicitly relative sentences
Consider the following examples:
•She earns an above average salary.
•It is the best of its kind.
•Great Uncle Eddie is a fast runner.
•Taxes are high.
•The rent on our flat is low.
Sentences such as these represent another potential problem for the critical thinker
striving to work out exactly what a speaker or writer intends to convey by their words. The
sentences are implicitly relative. They make a comparison with some group of things, but
that comparison is not explicitly mentioned. For instance, to understand what it is for a
person to earn an ‘above average salary’, we need to know of what group the average to
which it is compared is. Or consider the one about Uncle Eddie? Does the speaker intend
to convey that Great Uncle Eddie is a fast runner such that he runs at world-record pace or
that he is a fast runner for a man of his age? Or something in between, such as that he is
faster than the average person? If such sentences are interpreted without the recognition of
their implicit relativity, then there is the possibility that they will be interpreted as making
language and rhetoric 35

a comparison with a group other than that intended by the writer or speaker. Great Uncle
Eddie is not a fast runner when compared with Usain Bolt and thus interpreted the claim
would be false. But when compared with other 94-year-olds, many of whom haven’t
broken into a run for many years, he is a fast runner and the claim is true. Once we
recognise such claims as implicitly relative and interpret them accordingly, they are more
likely to have a definite truth-value. But not always. Implicit relativity is often com-
pounded by other sources of vagueness. For example, even if we do know what comparison
class is being invoked in the case of Uncle Eddie, it is by no means clear just how much
faster a person must be than the average person of that class in order to be fast relative to it.
Problems with quantifiers
Quantifiers are words that tell us how many/much of something there are/is, or how often
something happens. As you will see, not all quantifiers specify an exact quantity of the
thing; rather they provide a rough guide. In the following examples the quantifiers are
underlined (this is not an exhaustive list of quantifiers):
•All men drive too fast.
•Politicians are often self-serving.
•Few doctors support health reform.
•Nearly all the students passed the course.
•She likes hardly any of her fellow students.
•No examiner should take bribes.
•Lots of computers develop faults.
•Nine hospitals will close at the end of this year.
•She never closes the door behind her.
•There are adequate computing facilities in fewer than half of the country’s
schools.
•He always writes his own speeches.
•Most women would choose to stay at home with their children if they could
afford to.
There are three potential problems with quantifiers:
1 Speakers and writers don’t always use quantifiers with sufficient precision, so that the
proposition they intend to convey is unclear and open to misinterpretation and
rhetorical abuse. Suppose your friend says: ‘Premiership footballers all earn massive
payments from sponsorship deals.’ You don’t agree and you mention an exception –
Fergie Footballer receives only his (admittedly relatively generous) footballer’s salary,
with no extra money from endorsing sports shoes or shirts. Suppose your friend
defends her claim by saying that she didn’t really mean that every single player in the
Premiership earns big money from endorsements and sponsorship, but only that
most or nearly all of them supplement their earnings in this way. Now that her claim
is clear, you see that it is one with which you are more likely to agree.
language and rhetoric36

2 Some quantifier-words are themselves vague. Suppose, for instance, that someone
claims:
Some doctors support the decriminalisation of cannabis use.
What does ‘some’ mean here? It could mean that only a handful hold the view
described, it could mean that a larger minority of members hold that view. Without a
more precise understanding of how many doctors are intended to be conveyed by
‘some’, it is difficult to know how to respond to the claim. Moreover, the claim is
open to abuse from people who hold views on both sides of such a debate. Advocates
of decriminalisation can use it in support of their cause; their opponents can use it to
back up their anti-decriminalisation stance (the latter might say, ‘Only some doctors
support . . .’).
3 Often people simply omit quantifiers. For instance, someone might protest:
Lecturers don’t give students a chance to complain.
At face value this might appear to convey the proposition that:
No lecturer (ever) gives a student a chance to complain.
Yet it is likely that what the speaker really wants to say is something like:
Most of the lecturers I’ve encountered haven’t given students enough chance
to complain.
Notice that once the appropriate quantifier is made explicit, the claim applies to a
much smaller group of lecturers than one might have supposed when the quantifier
remained implicit.
Consider another example:
Today’s students are dedicated to their studies.
If we interpret this as expressing this proposition:
All of today’s students are dedicated to their studies.
we are likely to want to challenge the claim as we will be able to cite exceptions to the
generalisation. If, however, we interpret the claim as it is more likely to be intended, then
the quantifier that we make explicit should be ‘most’ or ‘almost all’, thereby exposing
the proposition really intended as:
Most of today’s students are dedicated to their studies.
language and rhetoric 37

and this proposition has a greater likelihood of being true. Cases that we use to challenge
the truth of a generalising claim are known as counterexamples. You will notice that this is
a slightly different, but related, use of the notion of a counterexample from that intro-
duced in the discussion of definitions in Chapter 1. In both cases, however, the notion
encompasses the idea of an exception to a claim or to a suggested rule. (The process
discussed here should not be confused with that of refuting a complete argument by
counterexample, which is dealt with in Chapter 6.)
Quantifiers and generalisations
It is a commonplace for people to say that you can never really generalise. However, this is
certainly not true just as it stands. When someone says this they might be understood as
claiming, ‘all generalisations are false’. But this is itself a generalisation; so if the claim is
true, the claim is false! So that can’t be what it means. In any case, it is obvious that some
generalisations are true (even if they are not very interesting ones). That is, there are
counterexamples to the claim that all generalisations are false. For example, ‘All cities
in the UK have a bus service’ is obviously true and no case could really be raised to
undermine its truth.
What exactly is a generalisation? In fact, the ordinary term ‘generalisation’ is a bit vague; it
means, roughly, ‘a statement about a category of things’. A generalisation is not simply any
statement that includes quantifiers, since ‘there are five eggs in the refrigerator’ contains
the quantifier-phrase ‘there are five’, but is not a generalisation. But we need not be too
precise about this. For our purposes we will reserve the term for ‘categorical’ statements
involving quantifiers such as ‘all’, ‘every’, ‘always’, ‘no’, ‘never’ and so on, but also ‘most’,
‘usually’ and the like.
To get a better grasp of which types of generalisations may cause problems during the
analysis and assessment of arguments, the main thing we need is to distinguish between
hard and soft generalisations. Consider the following generalisations (note that few of
them have explicit quantifiers):
•Girls’ schools attain better examination results than boys’ schools.
•Traffic congestion is bad in Glasgow.
•Regular exercise benefits your health.
•Left-leaning voters support a ban on SUVs in cities.
•People play less sport when they get older.
No doubt the counterexample fanatic will be able to provide us with plenty of exceptions
– congestion-free short cuts across Glasgow; voters who vote for left-of-centre candidates
but don’t support a ban on urban SUVs; the person who had a heart attack while doing
their regular workout at the gym. And they can cite this as a reason to accept the claim that
all generalisations are false because one can always find an exception to them. However, to
do so would be to misinterpret what people usually intend to convey when they say or
write such things. It’s rare for someone to mean that these sorts of generalisations are true
language and rhetoric38

without exception. The quantifier they intend to imply is probably one that is not syn-
onymous with ‘all’ or ‘every’, but one such as ‘in most cases’, ‘usually’, or ‘almost all’. These
generalisations are soft generalisations. We use soft generalisations when we want to
express the idea that such and such is true of certain things normally, typically, generally,
usually, on average, for the most part.1 In the examples above, the speaker/writer could
make her intended meaning much clearer by adding one of these words or phrases; for
example:
Girls’ schools generally attain better examination results than boys’ schools.
On the other hand, someone using a hard generalisation does intend it to apply without
exception. Such a generalisation is rightly conveyed by a quantifier such as ‘all’, ‘every’,
‘no’, ‘always’, ‘never’. For example:
•Every passenger must hold a valid passport.
•No doctor who helps a patient to die should consider themselves to be above the
law.
If someone makes a claim that is intended as a hard generalisation and we can find a
counterexample to it, then we have refuted their claim. But quantifier-free generalisations
are not typically intended as hard generalisations. If the fanatical anti-generaliser does have
a point, we believe, it is a point about rhetoric, not truth. What the anti-generaliser is
justifiably worried about are generalisations about groups defined by race, ethnicity,
nationality, gender, class and sexuality. Suppose that there are two social classes amongst
Martians: the Zormons and the Ringons. And suppose the generalisation ‘Ringons are
more violent than Zormons’ is true when taken as a soft generalisation, but false when
taken as a hard generalisation. A Ringon anti-generaliser might object to someone’s saying
this. But we’ve seen that the point cannot be that the generalisation is not true, in spite of
the fact that not every Ringon is more violent than every Zormon. This generalisation is, it
must be admitted, true when taken as a soft generalisation.
However, it might be argued, it is rhetorically dangerous. There are two reasons. The first
reason is that many people are not very clear about the possible ambiguities of such a
statement. It might wrongly be taken as a hard generalisation, and furthermore it might
wrongly be taken as asserting something about the innate or genetic qualities of Ringons.
In itself, it does not do this. So unless these possible misinterpretations are deflected by
making the exact intended meaning perfectly explicit, this generalisation will remain very
provocative and a likely cause of ill-feeling. The second reason is the brute fact that, even if
1 Care should be taken interpreting and using ‘usually’ to express soft generalisations because it is ambiguous
in some contexts. For instance, the sentence, ‘British universities usually have a mathematics department’ could
be intended to mean that most or almost all British universities have a mathematics department, or that they
have them most or almost all of the time, but at some times they have no such department. If ‘usually’ could be
ambiguous in a context, it is better to use ‘typically’ or ‘generally’ instead.
language and rhetoric 39

these ambiguities are resolved, generalisations (even soft ones) about groups of people
do often cause people to take offence. There are times when people take offence at a
generalisation about a group and are simply irrational in doing so; no amount of explaining
the difference between a soft generalisation and a hard one, or the difference between a
generalisation about actual facts and one about alleged genetic qualities, will change this.
Like many kinds of irrationality, this is a natural kind of irrationality that cannot easily be
overcome. No matter how factually true a generalisation may be, it is natural to feel that
there is something dehumanising about it. So we cannot reasonably expect that people will
always be able to overcome that feeling. Morality requires us to consider the consequences
of our actions and, since speech and writing are types of action, natural (though irrational)
responses to what we say and write must sometimes be taken into account in deciding
what we ought to say. We should not say what is false, but that a proposition is true is
not always enough to justify expressing it. This, we believe, is the grain of truth in the
anti-generaliser’s position.
RHETORICAL PLOYS
Sometimes we are moved to accept or reject claims when we have been given no good
grounds for doing so. Often this is because speakers or writers attempt to persuade us in
ways that appear to provide motivation for doing or believing something, but do not give
us good reasons to do or believe that thing. These attempts to persuade fall into two
categories: rhetorical ploys and fallacies. Neither rhetorical ploys nor fallacies provide us
with good reasons to do or believe that of which they attempt to persuade us. Fallacies are
argumentative, but they constitute bad reasoning. Later, in Chapter 7, we refer to them as
‘pseudo-reasoning’. That is, they are still arguments in the sense that fits our definition of a
set of propositions, some of which are premises, one of which is a conclusion, the latter
intended to follow from the former. But in one way or another, they are bad arguments.
Rhetorical ploys, on the other hand, are non-argumentative: some of these persuasive
devices may pretend to provide reasons for accepting a claim, but their real persuasive
capacity depends on something non-argumentative. It is important to learn to distinguish
between rhetorical ploys and fallacies, as the latter can be dealt with using techniques of
argument analysis and assessment. Here we aim to familiarise you with various common
types of rhetorical ploys. Later, in Chapter 7, we focus on common types of fallacies. Recall
our earlier definition of rhetoric as:
Rhetoric
Any verbal or written attempt to persuade someone to believe, desire or do
something that does not attempt to give good reasons for the belief, desire or
action, but attempts to motivate that belief, desire or action solely through the
power of the words used.
language and rhetoric40

As we saw in Chapter 1, politicians, advertisers and newspaper columnists tend to be
experts when it comes to using rhetorical ploys. Rhetorical ploys typically make a more or
less direct appeal to feeling and emotion rather than to reason, which is the domain of
argument.
The detection of rhetorical ploys is an exercise of psychology: we consider ways in which
our desires, fears, beliefs and actions could be non-rationally influenced by uses of language
that are intended to persuade us to hold beliefs and perform actions. As critical thinkers,
we aim to become adept at distinguishing and identifying these different types of
rhetorical ploy. We want to understand how they work, and how to avoid being taken in
by them. In the next sections, we consider specific types of rhetorical ploy and examples
thereof.
Appeals to specific feelings
There is a range of rhetorical ploys that attempt to tap into specific feelings in order to
influence our behaviour and opinions (especially our consumer behaviour). Here we dis-
cuss a number of the most common. Some of them are not strictly or specifically linguistic
ploys, but this will not affect the points we need to make.
Appeal to novelty
Here someone attempts to persuade us to try or buy something because the item is new
and, by implication, different from and better than existing related items. Often this ploy
appeals to our desire not to miss out on a new trend, or arouses our fear of appearing
outdated in our tastes. Sometimes it appeals to our (vain) sense of ourselves as flexible and
willing to try out new experiences. It may also persuade us that, because the product is
new, it must be an improved version of the existing product. Familiar examples of the
appeal to novelty include advertising that attempts to persuade us to upgrade to allegedly
new and improved versions of existing products such as computer software and new
cars. The appeal to novelty may also be employed to persuade us to adopt new ideas or
beliefs. Again, this appeals to our desire not to appear inflexible or stick-in-the-mud. Thus
we might be enjoined to give up a belief in the value of trade union participation on the
grounds that trade unionism is ‘old-fashioned’ and ‘has no place in the workplace of the
twenty-first century’. Notice that we have been given no reason to reject trade unionism;
we are just told that it is ‘old-fashioned’ and thus, by implication, something undesirable
that we wouldn’t want to be involved with if we care about our image as progressive and
in touch.
Appeal to popularity
Like the appeal to novelty, this ploy appeals to our desire to run with the crowd, not to
appear different from the norm and not to miss out on what others have. Again, it is
commonly used to persuade us to buy things, but also occurs frequently as a means to
language and rhetoric 41

persuade us to adopt a belief or to follow a certain course of action. Consider the following
attempt to persuade students to buy a computer software package:
Get Hotstuff! – the best-selling comprehensive software package among today’s
students – and turn your assignments into hot stuff.
Such an advertisement can work in various ways. It makes a straightforward appeal to our
desire to have what others have and not to miss out on the benefits enjoyed by those who
already use the package in question. But, in addition, it tends to lead us to make some
unjustified assumptions about why the product is the most popular (‘best-selling’). If we
take insufficient care, we are inclined to think that the most popular product must be the
most effective, but its popularity might stem purely from its competitive price or the
success of the marketing campaign. The fact that the software package is the best-selling
does not give us a compelling reason either to buy the product or to conclude that it must
be the most suitable software package for student-use.
Like many rhetorical ploys, the appeal to popularity can sometimes be construed as pre-
senting an argument – in this case, as presenting a reason to buy something. As we can
see from the following reconstruction, the reason given is not typically a good one (so the
argument is fallacious):
P1) The software package that sells best among students must be the best
software package for students.
P2) The software package that sells best among students is Hotstuff.
C1) Hotstuff is the best software package for students.
This argument would be valid but almost certainly not sound because the assumption
made explicit in P1 is not plausible; it is not the case in general that the best-selling product
of a given kind is the best of that kind (see the discussion of the fallacy of majority belief in
Chapter 7). Certainly if you were a student intending to invest in an expensive software
package, you would want much stronger evidence that Hotstuff is the best (and further-
more, you might well think that, since different students have different needs, the claim
that a given software package is the best for students in general must be pretty vague, and
without any direct implication for you, with your particular needs; we will discuss this
kind of vagueness in more detail on pp. 47–48).
Appeal to compassion, pity or guilt
This common rhetorical ploy operates by attempting to move us to do something purely
by evoking a feeling of compassion towards the recipients of the suggested act or belief, or
a feeling of guilt about their plight. The feeling alone does not provide a good reason for
us to perform the act in question. Examples of this ploy are myriad. Charity appeals and
advertising provide plenty of instances. Pictures of hungry children, suffering animals and
so forth, accompanied by simple slogans, are designed to tweak our feelings of compassion,
language and rhetoric42

pity and guilt about the situation of the people or animals featured. Remember that
the primary purpose of our examination of rhetorical ploys is a critical one; that is, we
encourage critical thinkers not to be persuaded by rhetoric and to avoid rhetoric in their
own attempts rationally to persuade others.
As we pointed out in Chapter 1, however, rhetoric can play a useful role when put to good
ends. In the case of the appeal to compassion, it serves a positive role by pricking our
conscience and opening us up to rational argument regarding how we should act in the
given situation. Feelings of compassion can prompt us to look for arguments that do
provide good reasons for the course of action recommended by the rhetorical ploy.
Suppose, for example, you read a charity advertisement that appeals to your sense of
compassion toward hungry children. You may go on to reason that if one can do something
to alleviate hardship, one should; and if you are in a position to do so then you should
make a donation to the charity. Such an argument might look thus when reconstructed
and rendered in standard form:
P1) A donation to the Worldwide Fund for Children would probably help to alleviate
the suffering of children from extreme hunger.
P2) I should try to alleviate extreme suffering where it’s possible for me to do so.
P3) It is possible for me to make a donation to the WWFC.
C) Probably, I should make a donation to the WWFC.
Notice that the argument is inductively forceful, its premises make it probable that I
should act in the way prescribed. It is certainly not implausible to say that this argument is
sound. Suppose, then, that you were moved to donate to the WWFC by a message simply
stating that many children throughout the world suffer from extreme hunger, along with
instructions on how to donate to the WWFC. The message certainly does not present the
above argument, nor any other. But it might have moved you to act by causing you to
think of the argument yourself.
Appeal to cuteness
This rhetorical technique supplements its words with images of children, animals or
animated characters to deliver a message. The product that we are urged to buy or the
action we are urged to take is made to seem attractive by its association with the cute
character that urges us to buy it or take it. The appeal can also work by helping us
to remember a product (what advertisers would call making us brand-aware) via its
association with the cute figure delivering the sales pitch.
Appeal to sexiness
This is similar to the appeal to cuteness, except that it uses a different type of image. It also
has a further dimension. To those who would desire the sexy person depicted in the
language and rhetoric 43

advertisement, the product is made to seem desirable by its association with the sexy
person. But it is also made to seem desirable to those who would like to think of
themselves as sexy in the way that the sexy person is. The ad seeks to flatter us. It may
even invite us to reason, fallaciously: all sexy people buy or do this; therefore, if I buy or
do this, I’m sexy. This would be the fallacy of affirming the consequent, discussed in
Chapter 7.
Appeal to wealth, status, power, hipness, coolness, etc.
You can easily work out what these are by analogy with the appeals to cuteness and
sexiness.
Appeal to fear (also known as scare tactics)
This is the tactic of trying to elicit a fear in one’s readers or listeners in order to influence
their behaviour or attitudes. A frequent example of the appeal to fear occurs in discussions
about immigration into wealthy countries. Many politicians and other opinion-formers use
the tactic of eliciting citizens’ fears of economic destitution and cultural demise by con-
structing deliberately exaggerated images of ‘waves of immigrants’2 entering a country
illegally and generally living a life better than that they deserve; taking jobs, education,
health care and state benefits to which they have no rightful entitlement and thereby
making Mr and Ms Average Citizen worse off. This familiar scare tactic (that almost
certainly also makes appeal to some people’s racist attitudes) is often used by politicians to
persuade people to support draconian immigration policies and infringements of people’s
civil rights, and to demonstrate that support by voting for them at election time. But no
reason has been given for the belief that disaster would result if such extreme policies were
not enacted. Instead, it is hoped that describing these disastrous scenarios will alarm
people so severely as to disturb their reason, prompting the confused supposition that
the disastrousness of the worst possible scenario should be matched by the severity of the
preventive measures taken.
The appeal to fear should be distinguished from genuine warnings. In instances of the
former, there is no warranted connection between the fear elicited and taking the sug-
gested course of action or accepting the claim, whereas in the case of a warning, we are
given a good reason to act. This is usually because the circumstances of the warning are
themselves such as to warrant the belief that the warning is well-founded. For example, the
warning ‘Don’t touch the dog, it may look cute and friendly but it bites!’ would normally
be given only by someone who knows that the dog bites; since such warnings are very
seldom given insincerely or with a deceitful motive, the fact that such a warning has been
given is good reason to heed it. Such an inference, needless to say, would be much more
doubtful in the realm of advertising or political discourse.
2 Notice the rhetorical power of the phrase ‘waves of immigrants’, connoting as it does a flood that will sweep
people away.
language and rhetoric44

Appeal to ridicule
This ploy occurs when a speaker/writer attacks their opponent’s position or claim by
casting it in a light that will make it seem ridiculous to their audience. For example, during
the 2008 US Presidential Campaign, the Republicans frequently labelled President
Obama’s policies as ‘socialist’. This can be understood as an appeal to fear – invoking
voters’ fears of the types of policies enacted by the ‘socialist’ dictatorships of the mid-
twentieth century – and the use of a buzzword (see below). In response, Obama said,
‘Next they’ll be calling me a communist because I shared my toys in kindergarten’. Pushing
the ‘socialist’ label to an extreme makes it appear silly and neutralises its appeal to fear. In
addition, by invoking mental images of Obama as a small boy who shared his toys, the
remark also makes an implicit appeal to cuteness, thereby casting the inclination towards
sharing and community in a good light.
These are just the most common instances of rhetorical ploys intended to manipulate
specific feelings and thereby to influence our attitudes and behaviour, but there are others
that occur frequently. Try to think of some and find some examples of your own.
The direct attack and hard sell
The direct attack is the simplest of all rhetorical ploys. It occurs most frequently in
advertising, though it also appears in political campaigning. It often takes the form of a
very simple slogan. For instance, ‘Say no to tuition fees!’, ‘Drink cola!’ Notice that we are
given no reason to say ‘no’ or to drink cola. The belief of those who employ the direct
attack is that the more we hear or read these commands and internalise them, the more
likely we are to do as they advocate, despite having been given no reason to do so. We often
talk about ‘giving someone the hard sell’. The hard sell is simply the direct attack repeated
persistently. Children are notably effective with it. The persuader just keeps it up until the
subject of their attack gives in and does as they want, the persuader thereby having
influenced their target by verbal means without giving reasons for doing as they command.
Buzzwords
This is the technique of using fashionable or otherwise currently ‘hot’ words or phrases
that are loaded with rhetorical power due to their rich secondary connotation. (If you
don’t feel familiar with the concept of secondary connotation, have another look at the
relevant section of this chapter.) Buzzwords can be enormously provocative and therefore
hard to tame, and this makes them especially problematic for the critical thinker. If we
want to make an objective analysis of a passage or speech act, we should rephrase what is
said or written in such a way as to eliminate the buzzwords, and then embark on the
analysis. For example, in the 2008 US Presidential campaign the word ‘change’ became a
buzzword. Tuning in to voters’ desire for new policies and a new approach to governance,
the Democratic campaign constructed their candidate as the candidate of ‘change’. In the
context of voters’ desire for a different approach, the term, which in other contexts may
language and rhetoric 45

have had negative connotations and invoked fear of the future, took on a positive
rhetorical import. It is notable that the nature of the promised change wasn’t frequently
spelled out, the positive rhetorical pull of the term ‘change’ was sufficient to attract voters’
support.
Scare quotes
This tactic is a means of influencing opinion against a view that one opposes. The speaker/
writer takes key words in terms of which their opponent expresses their views and
attempts to discredit those views by making them appear ridiculous or suspicious
through the use of scare quotes. No reason is given for rejecting the view; we are simply
manipulated into rejecting it because it has been made to appear ridiculous or suspicious.
Suppose someone makes the following claim about people trying to settle in a new country
for reasons of political asylum:
Almost all asylum seekers are economic migrants.
Now consider the effect of using scare quotes around the term ‘asylum seekers’ so that the
claim becomes:
Almost all ‘asylum seekers’ are economic migrants.
As you can see, the addition of scare quotes has the same rhetorical effect as putting
the phrase ‘so-called’ before the crucial term or phrase. The claim becomes much more
explicitly negative in respect of its questioning of the legitimacy of people’s claims for
asylum. Indeed, it has virtually the same effect as the rhetorically explosive phrase ‘bogus
asylum seekers’.
This tactic can also be used more subtly, but to similar effect. In such cases an opponent’s
opinion is made to seem dubious by placing scare quotes around words used to describe
what would be perfectly normal, acceptable facts about them. This can turn a perfectly
innocuous statement into one that casts doubt on someone’s credibility. Compare:
My opponent does of course have his reasons for what he believes to be right.
with the scare-quoted:
My opponent does of course have his ‘reasons’ for what he believes to be right.
While the first sentence suggests disagreement with the opponent’s view, the use of scare
quotes in the second lends it increased rhetorical power, not only expressing disagreement
with the opinion in question, but also casting doubt on the legitimacy of the justification
provided for those views.
Care should be taken not to confuse the rhetorical ploy of scare quoting with the legitim-
ate use of quotation marks to demarcate a direct citation of what someone has said or
language and rhetoric46

written. Sometimes we use quotation marks in this way even if the view we are quoting is
one with which we disagree. For instance, in responding to a letter one has read in a
newspaper, one might write:
Ms Long is simply mistaken when she claims that ‘men are better critical thinkers
than women’.
Here the writer is simply using quotation marks to show that she is using the original
writer’s words verbatim. Sometimes we do use citations of what people actually say or
write to rhetorical effect and we use quotation marks to demarcate their actual words, but
this is not the same as the tactic of scare quoting. A good example of this latter technique is
the use of someone else’s words taken out of context in order to give rhetorical support to
one’s own opinions.
Trading on an equivocation
This ploy deliberately exploits the ambiguity, and in some cases the vagueness, of a word
or phrase in the given context. Although nothing false is claimed, the speaker or writer
manages to influence our actions or beliefs by misleading us. It is generally used when
someone is attempting to persuade us of the benefits and virtues of their product or
policy; hence it is common in advertising. So imagine we come across the following
advertisement:
Petrol consumption zero, the new Barolla and Chav4 diesels are here.
To equivocate is misleadingly to use the same word in more than one sense; the ploy is to
get us to interpret a message in a way that favours the product or view being advanced. In
this case, the word ‘petrol’ is used vaguely to give the initial impression that the vehicles
in question consume no petro-chemical fuels at all. Reading the smaller print, however, we
see that the advertisement attempts to persuade us to buy a vehicle that runs on diesel.
The advertisement equivocates by treating the word ‘petrol’ as meaning something
imprecise such as ‘fuel for cars’ rather than a specific type of refined oil product. Of course,
the vehicle consumes fuel – but diesel, not petrol (gasoline) in the specific sense. So, while
it is true that it does not consume petrol in this specific sense, it is not true that it doesn’t
consume any fuel in the less precise sense denoted in the use of ‘petrol’ in the advertise-
ment’s initial slogan.
Another common instance of equivocation occurs when the ambiguity and vagueness of
the phrase ‘links to’ is used rhetorically to imply that someone is involved in some kind
of illegal or immoral activity (and is therefore a bad person). Suppose you read a newspaper
article which reports that:
Mr Smith, who is believed to have links to terrorist organisations, was seen boarding
a flight at Heathrow Airport.
language and rhetoric 47

You may well be inclined to think that Mr Smith is a terrorist. But all that you have been
told is that someone believes he has ‘links to’ terrorist organisations. These ‘links’ could
amount to nothing more than his having visited premises belonging to such organisations,
or he may have attended a meeting, or bought propaganda material, or done business with
members of such an organisation, or simply have a relation who is involved in such an
organisation. The ploy is also commonly employed using the phrase ‘associated with’, as in
‘Mr Smith is believed to be associated with Al Qaeda’.3
The ploy of equivocation also occurs when someone attempts to mislead with statistics
by saying something that is true, but which they expect their audience to understand
according to an interpretation that is false. The following example of attempting to
mislead with statistics, which comes from a speech by George W. Bush, also includes an
equivocation on the meaning of ‘average’:
These tax reductions will bring real and immediate benefits to middle-income
Americans. Ninety-two million Americans will keep an average of $1,083 more of
their own money.
This claim sounds like the average American will get a little over $1,000. But hang
on. Ninety-two million is the number of Americans who pay income tax. One might
understand Bush, as his speechwriters intend one to, as saying that the tax bill of the
average American will reduce by $1,083. But if ‘average American’ means ‘American with
average income’, then Bush’s claim is false. What is true is that $1,083 is the average tax
reduction under the new plan. But that’s because the highest earners save hundreds of
thousands (similarly, if Bill Gates is in the room along with ten call-centre workers, then
the average net worth is still in the billions). The American with average income still only
gets a few hundred dollars relief.
Trading on implicature
This is the tactic of using a statement’s implicature to mislead the audience (if you are
not clear on what implicature is, revisit the discussion in Chapter 1, pp. 10–11). Since the
proposition implicated is not actually stated by the speaker, the speaker can hope to avoid
responsibility for having misled the audience. This is common in political discussion. For
instance, suppose an opposition politician says:
If the Government increases income tax, it will be a further burden on working
families.
3 Notice that the word ‘terrorism’ is itself vague in that the boundaries of what counts as terrorism are fluid
and the meaning of the term remains contested. Public discourse about terrorism often involves trading on
equivocation about the meaning of ‘terrorism’. As the cliché goes, one person’s terrorist is another’s freedom
fighter.
language and rhetoric48

Suppose the politician knows that the Government is not actually considering the tax
increase. Still, the audience is led to believe that the Government is considering it – for
why else would the politician think it relevant to specify the negative consequence of a tax
increase? In using implicature in his way, the speaker or writer intends their audience to
interpret their words in this misleading way and to be emotionally moved as a result. Yet,
if accused of having misled the audience, the politician can say that he did not actually say
anything false, since he did not assert that the Government is considering a tax increase.
Many questions (aka leading question or complex question)
This is another ploy used knowingly to mislead one’s audience. It is the tactic of posing a
question that appears to seek an explanation for some proposition, p, thereby misleadingly
implying that p is true (if you feel unsure about how explanations work, review the section
on explanation and argument on pp. 20–22). For example, when we are asked, ‘Why do
cats paint?’, we are asked for an explanation of the proposition ‘cats paint’ and don’t
question whether they do paint; we assume it is true. A familiar instance of this misleading
use of questions is ‘Are you still beating your wife?’, the effect of which is to imply that the
proposition ‘x beats his wife’ is true. The many questions ploy is often treated as a fallacy.
We believe this to be misleading as it is not an attempt to argue; rather it is an attempt to
mislead an audience into accepting a proposition by embedding it in a question.
Smokescreen (changing the subject)
This is the tactic of avoiding discussion of an issue or acknowledgement of a point through
diverting or distracting one’s opponent from the issue at hand by addressing a different
(possibly related) issue. The issue irrelevant to the discussion thereby acts like a smoke-
screen by obscuring our view of the real issue. The more subtle the smokescreen, the
more effective at distracting the listener or reader it tends to be. Consider, for instance, a
government minister trying to defend her government’s proposed changes to legislation of
some kind. The proposals have come to light because a civil servant has leaked some
classified documents. In defending the proposals, the minister responds to questions by
launching into a speech about how the leak constitutes a dreadful dereliction of duty and
breach of trust. Instead of addressing the issue at hand – whether or not the proposed
legislative changes are good ones – the minister is attempting to distract attention from it
by obscuring it in the rhetoric of her speech about duty, responsibility and trust, a speech
that is rhetorically powerful because duty, responsibility and trust are the sorts of things
that right-minded people are supposed to uphold and admire.
The smokescreen tactic is very similar to the red herring fallacy, discussed in more detail
below (pp. 230–231). The crucial difference is that, while the smokescreen works via its
rhetorical power, the red herring is still an attempt to persuade by argument: it gives
reasons for accepting a claim, just not good reasons. When we are trying to distinguish the
smokescreen ploy from the red herring fallacy, we must first work out whether or not the
writer or speaker is attempting to persuade by argument.
language and rhetoric 49

Spin
You will often hear talk of ‘spin’ and ‘spin-doctors’, particularly in the context of political
discourse. Essentially, the term ‘spin’ is a way of referring to techniques that employ
rhetorical ploy to good effect in influencing people’s (potential voters, opponents, the
media) opinions. Consider, for example, the language employed to describe various
governments’ attempts to rescue or support banks that might otherwise go bankrupt or do
not have sufficient funds to lend to businesses. When large amounts of money are pro-
vided to those banks, governments are not simply ‘giving them money’; rather they are
‘injecting liquidity’. The use of this buzz phrase enables the project of giving public
funds to support banks to be ‘spun’ as something positive that anyone with a proper
understanding of finance would advocate. Employing the phrase ‘injecting liquidity’, then,
makes it seem like something that we should approve of, something highly technical that
takes financial expertise to understand. If we don’t really understand the phrase, then the
spin will also have done the job of obfuscating the truth about what is going on between
governments and banks, thereby making us less likely to understand and to oppose it.
CHAPTER SUMMARY
There are various linguistic phenomena that can make the task of identifying and
interpreting arguments more difficult. In the case of ambiguity, vagueness, metaphor,
rhetorical questions and irony, these can be problematic because they obscure speakers’
and writers’ intended meanings. In the case of implicitly relative sentences and sentences
that use quantifiers inappropriately, they can be problematic because they fail to convey
speakers’ and writers’ intended meanings in their entirety. Quantifying sentences can
also cause problems for the interpretation of arguments when they are used to express
generalisations inaccurately. There are two types of generalisation: hard and soft. Hard
generalisations are true only if they are true without exception. To avoid misinterpretation
they should be expressed in sentences that use quantifiers such as all, every, no, none,
always, never. Soft generalisations are only true of the majority of the class that is the
subject of the generalisation. They should be expressed in sentences that use quantifiers
such as most, almost all, in most cases, generally, typically, usually. In all cases linguistic
phenomena prevent the intended meaning from being explicit, we should pay careful
attention to context in order to render the most plausible interpretation of the attempt to
persuade. Where appropriate we should rewrite sentences to make their meaning explicit.
Rhetorical ploys seek to persuade by non-argumentative means. Insofar as we aim to be
rational, and to appeal to the rationality of others, we should avoid using rhetorical ploys
and fallacies in our own attempts to persuade and should take care not to be persuaded by
others’ rhetorical attempts to persuade us to do and believe things. The best way of doing
so is to familiarise ourselves with various common rhetorical ploys.
Many rhetorical ploys are appeals to specific feelings or desires; these include the appeals to
novelty, popularity, compassion, pity, guilt, fear, cuteness, sexiness, hipness, coolness,
language and rhetoric50

wealth, power, ridicule and many others. Typically a position or consumer item is repre-
sented in association with some object of the specific feeling or desire, in order that the
feeling or desire should be directed upon the position or consumer item. The direct attack
involves the bold assertion of a position or command; the hard sell is the direct attack
repeated. The use of buzzwords is the use of words with high emotive or otherwise
rhetorical charge to manipulate the passions of an audience. Scare quotes are used
mockingly to make an opponent’s position or other phenomenon look ridiculous or
dubious. Trading on an equivocation occurs when someone knowingly makes an ambigu-
ous or vague statement that may be true when interpreted in a certain way, but when
interpreted in another way may be false, but also more favourable to the position being
advanced or to the product being advertised. Smokescreen occurs when one talks about
some highly controversial, compelling or otherwise arresting issue or object, in an effort to
divert the audience momentarily from the issue under discussion. A successful smoke-
screen causes the audience to overlook the fact that the issue has not been addressed.
EXERCISES
1 Without looking back at the relevant section, write a paragraph explaining the
difference between lexical and syntactic ambiguity, then give a plausible example of
each and explain their possible interpretations.
2 In the following sentences indicate the words or phrases that are lexically ambiguous
and explain their possible meanings:
a The last time I saw them they were sitting beside the court.
b Happiness is the end of life.
c Archbishop of Canterbury praises organ donor for his humanity.
d Museum visitor attacked by mummy.
e Stolen car found by statue.
f British left waffles on Ireland.
g Iraqi head seeks arms.
h An intense depression swept over the Midwest today.
i Obama leans further to the right.
j Finance Minister wins on budget, but more lies ahead.
3 The following sentences are syntactically ambiguous. Rewrite them so as to give the
most plausible interpretation. If two or more interpretations are equally plausible,
give them all. You may need to rearrange the word order and/or add words:
Example
A former professional dancer was accused of assaulting a 33-year old woman
with her daughter.
✎A former professional dancer and her daughter were accused of assaulting a
33-year old woman.
language and rhetoric 51

a The two suspects fled the area before the officers’ arrival in a red Ford Escort
driven by a woman in black.
b I was invited to go to the movies yesterday.
c Mary left her friends depressed.
d People who use cocaine often die early.
e Smith had a pair of boots and a pair of slippers that he borrowed from
Jones.
f Wanted: a bay mare, suitable for a novice with white socks.
g Jones left the company in a better state.
h Glasgow’s first commercial sperm bank opened last Friday with semen
samples from twenty men frozen in a stainless steel tank.
i They were exposed to someone who was infected with the virus a week
ago.
j The police would like to speak to two women and a van driver who fled the
scene of the accident.
4 Without looking back at the relevant sections, write a paragraph explaining the
difference between vagueness and ambiguity. Give examples to illustrate your
explanation.
5 For each of the following, identify the quantifier and say whether the generalisation is
soft or hard:
Example
Almost all students have contemplated cheating in an examination.
✎Almost all soft generalisation
a No one may leave the room until the culprit owns up.
b Few of the applicants are sufficiently qualified for the job.
c Most politicians are committed to the people they represent.
d A majority of our members are prepared to go out on strike in support of
their pay claim.
e All passengers must fasten their seatbelts for take-off and landing.
f Generally birds can fly.
g Almost all of the patients are ready to be discharged.
h Hardly any of the people surveyed were in favour of the proposed law
change.
i Every doctor must abide by the Hippocratic Oath.
j Almost none of the candidates have the charisma to succeed in politics.
6 Each of the following sentences expresses a generalisation, but its quantifier is
missing. For each sentence, if it is true as a hard generalisation, add an appropriate
quantifier to make it a hard generalisation. If it could only be true as a soft generalisa-
tion, add an appropriate quantifier to make it a soft generalisation:
language and rhetoric52

Example
Passengers must hold a valid ticket before boarding the train.
✎All passengers must hold a valid ticket before boarding the train.
a Cats have tails.
b Children like to eat ice cream.
c Voters voted for Democratic Party candidates in the 2008 US election.
d Owls are mammals.
e Cars run on petrol or diesel.
f Citizens of a democratic country should be free to come and go as they
please.
g Members of Parliament are male.
h UK universities have an English Department.
i People care enough about climate change to change their lifestyles.
j Americans can speak a language other than English.
7 Name the following rhetorical ploys.
Example
If we allow the development of nuclear power plants, we are leaving our
children and our children’s children open to the threat of environmental
catastrophe.
✎Appeal to fear/scare tactics.
a The ‘relationships’ of homosexuals cannot be compared to that of marriage:
marriage is something that involves a man and a woman united through the
word of God.
b Take a look at the latest hatchback from Fraud: the all new Ego.
c Successfully applied knowledge management is now impacting on organisa-
tions in terms of both direct competitive advantage, and in building a
learning culture that identifies itself through a shared vision and common
purpose.
d More pet owners feed their puppies First Choice puppy food than any other.
If you want to give the little fella a head start, shouldn’t you too?
e These people say we have a moral duty to honour our United Nations com-
mitments and provide refugees with a safe haven. I say to you: look at all
these people arriving here and then claiming state benefits, they are sucking
the taxpayer dry.
f Fatbusters – the most successful weight loss programme on the market today!
g Imagine yourself, or worse, your daughter, alone beside your broken-down
car on a remote country road in the middle of the night. Few people pass by,
no one stops to help and your cell phone has no signal. Don’t get caught like
that – don’t get caught without the super 3GM digital phone, offering the
widest coverage available.
language and rhetoric 53

h By scheduling the broadcast at 1 am, the TV company is committing an act
of censorship.
i Hair unmanageable and dull? Try Goldie Glow from Bella. The latest in hair
management technology.
j Have you stopped smoking those dreadful cigars?
8 Give an example of each of the following rhetorical ploys. Try to make your examples
appreciably different from those already provided. Explain how, in your example, the
ploy functions to persuade us to do or believe something.
a Appeal to ridicule
b Many questions
c Trading on an equivocation
d Buzzwords
e Scare quote.
9 Try to find an example of spin that appears in the media, either print or digital.
i) Explain why it exemplifies the phenomenon of spin.
ii) Identify the rhetorical ploys it employs.
iii) Analyse how they influence our feelings and beliefs in favour or against the
idea or person in question.
language and rhetoric54

3
logic: deductive
validity
•The principle of charity 56
•Truth 60
•Deductive validity 62
How to judge validity • Further examples
•Prescriptive claims vs descriptive claims 67
•Conditional propositions 68
•The antecedent and consequent of a conditional 71
Conditionals vs arguments
•Argument trees 73
•Deductive soundness 76
•The connection to formal logic 78
•Chapter summary 81
•Exercises 82
We hope that you are now a little better than you were at distinguishing rhetorical pseudo-
reasoning from arguments. You have got more tools for identifying and characterising
the former; your defences are keener and more nimble. Now we want to improve your
capacity to understand and reason about the latter.
Our attempts to engage in critical thinking are sometimes frustrating. Often, even when
we feel certain that there is something wrong with an argument, we find it hard to explain
exactly what it is that’s wrong with it. Sometimes this is frustration with ourselves; but it
can easily look like frustration with the person giving the argument (it can certainly be

interpreted as such by that person!). One of the primary aims of training in critical
thinking is to learn concepts and techniques that will help us to express clearly what is
wrong with an argument, thereby dispelling that frustration. By helping us to assess
arguments more efficiently, this helps us in the pursuit of truth. But also, by becoming
more articulate in our criticisms, we become less frustrated, and thereby less bad-
tempered. This can help to smooth out our relationships with other people.
This frustration derives from two sources. First, confronted with an argument, we find it
hard to hold the whole thing clearly before our mind’s eye; we find it hard to say exactly
what the argument is. Second, even when we do succeed in laying the argument out before
us clearly, we find it hard to describe or explain what is wrong with it:
•The first issue is addressed by techniques and strategies for argument-reconstruction:
the representation of arguments in standard form, so as to give us a clear and com-
prehensive view of them.
•The second issue is addressed by techniques and concepts of argument assessment: the
determination of whether or not arguments provide good reasons for accepting their
conclusions.
We discuss practical details of argument-reconstruction in Chapter 5. This chapter and the
next are mostly concerned with argument assessment. Ordinarily, we speak of arguments
as being good or bad, strong or weak, valid or invalid, sound or unsound, persuasive or
unpersuasive, intelligent or stupid, without having a clear idea of what we mean by these
terms, and without clearly distinguishing their meanings. So not only are we vague when
we use one of these terms to criticise the argument; our attempts to explain ourselves by
means of the others are still vague. Thus our primary task in this chapter and the next is to
explain the basic logical concepts in terms of which assessment is carried out – validity,
soundness and inductive force.
You may be surprised that detailed discussion of argument assessment precedes the
detailed discussion of argument-reconstruction in Chapter 5; surely you have to
reconstruct an argument before you can assess it? In fact, it is slightly less straightforward
than that: although the final assessment of an argument must await its reconstruction,
good reconstruction practice must be informed by a good grasp of the concepts used in
assessment. The purpose of the next section is to explain this important point.
THE PRINCIPLE OF CHARITY
An argument is a system of propositions: a set of premises advanced in support of a
conclusion. People succeed in expressing the propositions they have in mind with varying
degrees of clarity. In addition, an argument may depend upon premises that the arguer
does not state at all, but which he or she is implicitly assuming.
For example, if someone argues: ‘Sally is an artist; so I’ll bet she has some paintbrushes’, the
arguer is probably using the rather vague term ‘artist’ in the narrow sense of ‘painter’. In
logic: deductive validity56

the wider sense of ‘artist’ that includes sculptors and even pop and rock musicians, this
would obviously be a bad argument. Furthermore, the arguer is assuming, without
explicitly stating, that someone’s being a painter is reason to think they have paintbrushes.
So two sorts of thing are left implicit in this argument: first, the arguer assumes a more
precise meaning than is explicitly expressed by the word ‘artist’; second, the arguer fails to
make explicit all the facts from which he or she infers the conclusion. A premise is left
implicit.
Since the purpose of argument-reconstruction is to determine exactly what argument
has been given, part of the task of argument-reconstruction is to clarify what the
arguer actually said, and to supplement what the arguer actually said (to make explicit
what was merely implicit in the arguer’s statements). That is, we try to represent the
argument in such a way as to create a perfect match between the propositions that actually
constitute the argument and the sentences which represent the argument in standard
form.
Two important consequences follow from this:
•The sentences we use in a reconstruction of the argument need not be the very same
sentences used by the arguer in giving their argument. We may employ sentences that
more clearly or precisely express the propositions that constitute the argument.
•Our reconstructed version of the argument may contain premises that are not
expressed by any of the sentences actually used by the arguer.
Argument-reconstruction is essentially a task of interpretation. What we are trying to
reconstruct, to represent as clearly as we can, is a certain train of thought, of reasoning –
however well or badly the arguer may have succeeded in expressing it. This cannot be an
exact science. It cannot be mechanical or foolproof. It calls for judgement, a critical but
sympathetic eye or ear and even a certain degree of intuition, of understanding of people –
of the ways people tend to think in given sets of circumstances, and of some typical ways in
which people fail to express themselves clearly.
Nevertheless, the process can be undertaken in a systematic and more self-conscious way,
and there are general guidelines to follow. One of the most important of these is what we
call the principle of charity, which we now explain.
We have just said that argument-reconstruction is often a task of surmising what the
arguer had in mind, and was trying to express. Our primary evidence for this, naturally, is
the specific words actually used by the arguer. Beyond this, we look to various sorts of facts
about the context or circumstances in which the person employed the words that he or she
did. For example, consider this argument:
But he is still in Paris! Therefore, he cannot possibly be in Moscow by tomorrow.
Of course nowadays Moscow is only a few hours from Paris by aeroplane. If someone were
to give such an argument regarding some presently living person – Vladimir Putin, for
logic: deductive validity 57

example – then we would be puzzled. Since everyone is aware of air travel, nobody thinks
that it is impossible to get from Paris to Moscow in one day. So in the context of today, we
would have to inquire further to discover what the arguer thinks is preventing Mr Putin’s
journey. But suppose these words were given by someone in 1807, referring to Napoleon.
Then surely the arguer would be assuming, correctly, that it is not possible to get from
Paris to Moscow at such a speed. Indeed it would have gone without saying, which is
precisely why the arguer need not have expressed it explicitly. The fastest way to travel
then was by horse.
Such facts pertaining to the context in which the argument is given, together with the
specific words used by the person, will constitute the total evidence you have for
reconstructing the argument. In some cases, the context is known, and makes it obvious
what the arguer was implicitly assuming. In other cases, we may have to learn more about
the context; this happens especially when interpreting historical documents.
In still other cases, however, we may learn all the relevant contextual factors, yet it remains
possible to represent the person’s argument in more than one way. And it may happen
that one reconstruction represents the argument as a good one, another as a bad one. In
such a case, which reconstruction should you prefer? Which should you advance as the
reconstruction of the argument?
It depends upon your purpose. If you are hoping to convince others that the person
is wrong, you are most likely to succeed if you represent it as a bad one. Indeed, this is
a very common ploy. If your aim is to defeat your opponent – or to make it seem as if
you have defeated them – then success is more likely if you attack a weakened form
of your opponent’s argument. In a context like that of a public debate, this is often a
good strategy. For what you are trying to do is to appear, in the eyes of the audience,
to get the upper hand. By representing your opponent’s position as weaker than it really
is, you are more likely to appear to be the victor. You also put your opponent on the
defensive, forcing him to scramble, saying things like ‘that’s not what I meant’. If your
aim is to persuade, or to appear to be the victor, then you may be well advised to choose
the weaker version, especially if your audience is not aware that a stronger version is
available.
However, if what matters to you is whether or not the conclusion of the person’s argument is true,
then you should choose the best representation of the argument.
Why? Suppose you are wondering whether some particular proposition is true. You are
wondering, for example, whether increasing taxes for the wealthy would lead to a rise
in unemployment. Suppose further that you honestly have no idea whether or not
this is true. Now suppose that someone attempts to persuade you that this proposition
is true by giving you an argument for it. But you find that this argument admits of
being reconstructed in either of two ways. On one reconstruction, the argument is good;
that is, it provides a good reason for accepting the proposition as true. On the other
reconstruction, however, it is no good at all; you find that the reasons you have repre-
sented the person as giving in favour of this proposition do not support it at all. Suppose
logic: deductive validity58

you decide on this latter representation of the argument, the one which represents it
as bad.
Can you now conclude that the proposition is true, or that it is false? Since, reconstructed
that way, the argument was no good, you certainly cannot conclude, on the basis of it, that
the proposition is true. But nor can you conclude that the proposition is false. The fact that
someone has given a bad argument for some proposition is not, in itself, a reason to reject
the proposition as false. For example, someone might argue that since three is a lucky
number, there will not be a third world war. That is a bad argument; it gives you no reason
to believe that there will not be a third world war. But (fortunately!) its being a bad
argument provides no reason to believe that there will be a third world war. In short, the
fact that someone has given a bad argument for the proposition in question leaves you in
precisely the same position as you were when you started. If you began with no evidence
either for or against the proposition, then your position is unchanged – you’ve no reason to
accept the proposition as true, and none to reject it as false.
Suppose, then, that you accept the first reconstruction of the argument. Since this con-
stitutes a good argument, you are now in a different position; now you do have some
indication as to whether or not the proposition is true. In particular, you have a reason for
its being true. Thus, insofar as we engage in critical thinking – insofar as our interest is in
discovering the truth of things, and not just in persuading or refuting people – we are
most interested to discover good arguments, not bad ones. So we should always choose the
best reconstruction of a given argument. That way, we discover reasons for accepting or
rejecting particular propositions, advancing the cause of knowledge. Thus the principle of
charity.
There is a further reason for observing the principle of charity, which has more to do with
ethics than with logic. When you give an argument, you may or may not succeed in
expressing yourself clearly, but you do want your listener to try to understand you. If your
listener impatiently seizes upon your words in order to refute your argument as swiftly as
possible without taking the trouble to understand you, naturally you feel ill-used, that the
person is not being fair to you. You think it wrong, unjust to be treated that way. If so,
then we ought to try to be equally receptive to others – to try to understand them, rather
than be too eager to refute them or discredit them.
The principle of charity, however, has a certain threshold, beyond which the nature of
what we are doing changes somewhat. If our task is to reconstruct the argument actually
intended by the person, then we must not go beyond what, based upon the evidence
available to us, we may reasonably expect the arguer to have had in mind. Once we go
beyond what we may reasonably assume the arguer to have had in mind, then we are no
longer in the business of interpreting their argument. Instead, we have become the arguer.
If our concern is with how well a particular person has argued, then we should not
overstep this boundary. However, if our concern is simply with the truth of the matter in
question, then to overstep this boundary is perfectly all right. It often happens that, in
reconstructing an argument, we hit upon another, similar or related argument for the same
logic: deductive validity 59

conclusion which is better than the one we are reconstructing. If what concerns us is simply
finding the best arguments on either side of an issue, then we will want to give a representation of
this better argument.
TRUTH
If your aim is to give the best possible reconstruction of an argument, then you have to
know something of what makes an argument good or bad. Fortunately, logic gives us some
very clear answers as to what does make arguments good or bad.
The fundamental concept of logic is the concept of truth.1 For one thing, the overarching
concern of the critical thinker is typically with the truth (or lack of it) of the conclusions of
arguments. Further, truth is the concept in terms of which the logician attempts to explain
everything else. Thus, we begin our discussion of the concepts of logic by saying a little bit
more about this uniquely important concept.
Many people are put off by the word ‘truth’. This is usually the symptom of a
philosophical worry that one cannot speak simply of ‘truth’. One might worry that
perhaps there is no one truth: that what is true for one person or group need not
be true for another person or group. Or one may worry that truth is in some way
beyond us, unapproachable by mere fallible human beings. But for our purposes we
can leave aside those sorts of abstruse philosophical worries as irrelevant. As noted in
Chapter 1, the way in which the logician uses the word ‘truth’ is really very simple
and down-to-earth. Properly understood, the word should not invite those sorts of
controversies.
Consider the following proposition:
(A) Fish live in water.
This proposition is true. What does it mean to say that this proposition is true? It means,
simply, that that is the way things are. To say that the proposition is true is to say nothing
more than: yes, fish do live in water. Thus, consider the proposition that says that (A)
is true:
(B) It is true that fish live in water.
(A) and (B) are equivalent in the sense that, necessarily, if (A) is true then so is (B), and if (B)
is true then so is (A). In other words, to say that it is true that fish live in water comes to
the same thing as saying that fish live in water. Used this way – which is all that is needed
for logic or critical thinking – the word ‘true’ is no more mysterious than the words
1 The great German logician Gottlob Frege – who is genuinely agreed to have the strongest claim to being the
inventor of the modern science of logic – said that the laws of logic are really the ‘laws of truth’, in something
like the way that the laws of physics are the laws of the physical world.
logic: deductive validity60

occurring in the sentence ‘Fish live in water’. In this sense, you cannot doubt that there
is ‘really’ such a thing as truth, or that truth is knowable, any more than you can doubt
that fish live in water, or that the sky is blue, or that the Earth is bigger than a grapefruit.
For these are all known truths.
Discomfort with the word ‘true’ is sometimes due to a failure to distinguish truth from
belief. If John says, ‘Fish live in water’, then he does, of course, show that he believes that
fish live in water (presumably he knows that fish live in water). Likewise, if Mary now
indicates what John said, and says, ‘That’s true’, then she also shows that she believes that
fish live in water. Despite their having done so by different means, both John and Mary
have asserted the proposition that fish live in water. Mary, unlike John, has used the word
‘true’. But they have asserted the same proposition; they have expressed the same belief,
the same commitment. Yet clearly the truth of this proposition has nothing to do with
what Mary believes. That depends only on how things stand as regards fish, and what fish
do does not depend upon what people think. So despite the fact that Mary has used the
word ‘true’ to assert something, the truth of what she asserts does not depend on her
beliefs in any way.
Of course, what Mary believes depends on her, and it is possible that people could have
different beliefs as regards fish. But that has no effect on fish (we will, however, return to
this issue in the final chapter).
The reverse side of this is that to say that a proposition is false is just to deny it – in this
case, for example, some misinformed person who thought that snakes are fish might say,
‘That’s false; not all fish live in water’.
Sometimes we will speak of the truth-value of a proposition. This just means the truth of
the proposition, if it is true, or its falsity, if it is false. There are two truth-values, true and
false. For example, we can say that the truth-value of ‘Fish live in water’ is truth, that that
of ‘Fish live in the sky’ is falsity, and that the truth-value of ‘It is now Tuesday’ must always
differ from that of ‘It is now Friday’. To ask ‘what is the truth-value of that proposition?’ is
the same as asking whether or not that proposition is true.
A question might have occurred to you: If to say that a proposition is true is equivalent to
asserting it, then why do we have the terms ‘is true’ and ‘is false’? What is their purpose?
Why are they not just redundant, superfluous appendages? One reason is convenience;
saying ‘that’s true’ is quick and easy, like saying ‘yes’, or nodding one’s head. But a more
important reason is that we sometimes want to gain the effect of asserting propositions
without knowing which ones they are. For example, one might say, of someone whom one
trusts, ‘Whatever he said, it was true’. Connected with this is that we sometimes wish to
speak about true or false propositions in general, without specifying any propositions in
particular; an example is the law of non-contradiction, which says, ‘No proposition is both
true and false’. This is crucial in the formal study of logic, but less technical examples are
no less important. For example, we have characterised critical thinking as aiming at truth.
This means that we undertake it because we want to know whether capitalism is the fairest
economic system, whether so-and-so committed the crime, whether the danger of war is
logic: deductive validity 61

increasing or decreasing . . . and so on, for everything we might want to know. That critical
thinking aims at truth is a generalisation that sums this up.2
DEDUCTIVE VALIDITY
In fact, we need this sort of generalisation in order to define the important concept
of deductive validity, to which we now turn. For brevity, we will sometimes call it
simply ‘validity’. In studying it, you should forget whatever the word might mean to you
ordinarily. We mean logical validity, the concept of validity that concerns logic, the study
of reasoning.
Consider the following arguments:
A
P1) The Prime Minister’s dog is infested with fleas.
P2) All fleas are bacteria.
C) The Prime Minister’s dog is infested with bacteria.
B
P1) Colette owned a dog.
P2) All French Bulldogs are dogs.
C) Colette owned a French Bulldog.
Argument A speaks of ‘The Prime Minister’s dog’, but it is not made clear who that is, for
we are given no indication of when, or even in what country, this argument was given. So
we have no idea what dog, if any, has been referred to. Furthermore, P2 of A would be false
under any circumstances in which the argument might have been given – fleas are insects,
not bacteria. But scrutinise these arguments carefully. You can easily recognise that there
is something right about A, and something wrong with B. The conclusion of A does follow
from its premises, and the conclusion of B does not follow from its premises. What you are
recognising is that A is valid, and that B is invalid.
Now, what does this mean? What, exactly, are you seeing when you see that A is valid and
B is invalid? Consider A. When you recognise its validity, you do not need to know
2 We speak of ‘gaining the effect’ of asserting, or ‘committing’ to an assertion, because it is infelicitous to
speak of asserting a proposition without knowing what it is. In fact, this is not quite right either, since one can
merely entertain the proposition that such-and-such is true, or doubt it and so on. ‘Such-and-such is true’ is better
thought of as a device for expressing the proposition indicated by ‘such-and-such’. This is, of course, just the tip
of an iceberg of issues surrounding the details of ‘true’; but everyone is agreed that a correct account of ‘true’
must deliver the expressive function we have described. See Chapter 8, pp. 242–251.
logic: deductive validity62

whether or not P1 or C of A is true or even precisely which dog of which Prime
Minister of which country is intended; nor do you care about the fact that P2 of A is
positively false. For what you are seeing is that if the premises of A were true, then
the conclusion would have to be true as well. In short, it would be impossible for the
premises to be true but the conclusion false. The truth of the premises, in any possible or
imaginable situation, would guarantee the truth of the conclusion. If fleas were bacteria,
and the dog being referred to were infested with fleas, then it would, in that case, be
infested with bacteria.
On the other hand, consider B. When you recognise that it is not a valid argument, what
you are recognising is that even if the premises were true, it would still be possible for the
conclusion to be false. The conclusion does not follow. Whether or not the premises are in
fact true, it would be possible or conceivable for the premises to be true and the conclusion
false. The truth of the premises would not guarantee the truth of the conclusion.
Now as it happens, the premises of B are true. The French author Colette did have a
dog, and of course French Bulldogs are dogs. Indeed, the conclusion of B is also true;
Colette’s dog was a French Bulldog. But that is beside the point, so far as validity is
concerned. It may be true that Colette had a French Bulldog, but this does not follow
merely from the fact that she had a dog. A person given only the premises of the
argument, and lacking any further information about Colette, would be in no position to
infer that Colette had a French Bulldog. If this point seems strange, remember that you
saw that the argument is invalid before you knew the truth-values of its premises or of its
conclusion. And that is as it should be. You can tell that an argument is valid or not
without knowing the truth-values of the propositions it comprises, because the validity
of an argument (or lack thereof ) does not depend upon the actual truth-values of those
propositions.
To put it another way: the concept of validity pertains to the connection between
the premises and conclusion of an argument, not their actual truth-values considered
individually. This is indeed the crucial lesson about the concept of validity: it pertains to
whole arguments (more exactly: it pertains to inferences; extended arguments may contain
more than one inference, and each one is subject to being valid or invalid).
Thus, it should be clear that it would be nonsense, to say of a single proposition, that it is
valid. That would be like saying, of a single word, that it rhymes (a rhyme requires a
relation between words). By the same token, it would be nonsense to say, of an argument,
that it is true. That would be like saying, of an entire tennis match, that it was a double-
fault. A single proposition can be true or false, but not valid or invalid; an argument can be
valid or invalid, but not true or false.
These two points should be borne in mind, as it is a common mistake to confuse the
notions of truth and validity, applying them to the wrong sorts of things.
Here, then, are two definitions of validity; they are equivalent (they come to the same
thing), so you are free to make use of the one you find easiest to work with:
logic: deductive validity 63

To say that an argument is
valid
is to say: It would be impossible for all the
premises of the argument to be true, but the conclusion false.3
And the second one:
To say that an argument is
valid
is to say: If the premises are (or were) true, the
conclusion would also have to be true.
If the condition specified by the definition does not hold, then the argument is invalid.
A consequence of these definitions is that the following cases of valid arguments are all
possible:
1 The premises are all (actually) true, and the conclusion is (actually) true.
2 The premises are all (actually) false, and the conclusion is (actually) false.
3 The premises are all (actually) false, and the conclusion is (actually) true.
4 Some of the premises are (actually) true, some (actually) false and the con-
clusion is (actually) true.
5 Some of the premises are (actually) true, some (actually) false and the
conclusion is (actually) false.
The only case in which an argument cannot be valid is the case when the
premises are all (actually) true, but the conclusion is (actually) false. For if that is so,
then obviously there is a possible case in which the premises hold true when the
conclusion is false – the actual case.
This is easier to grasp by looking at some examples. The following are, respectively,
examples of cases 1–5 given above; the ‘T’s and ‘F’s in parentheses to the right of each
premise or conclusion indicates its actual truth or falsity, as the case may be:
1 P1) Janet Baker is an opera singer. (T)
P2) All opera singers are musicians. (T)
C) Janet Baker is a musician. (T)
3 This definition has the consequence that if any premise of an argument is a necessary falsehood, or if the
conclusion is a necessary truth, then the argument is valid (a necessary falsehood is a proposition that could not
possibly have been true; a necessary truth is a proposition that could not possibly have been false). In such cases
the premises may be entirely irrelevant to the conclusion. For example, ‘There is a married bachelor, therefore
the moon is made of green cheese’ is valid, as is ‘The moon is made of green cheese, therefore there is no married
bachelor’. Our definition, then, is quite useless as a guide to reasoning, where necessary truths and necessary
falsehoods are concerned. We believe this a reasonable price to pay, for the alternative – a definition of validity
whereby an argument is valid by virtue of its form – is too difficult, for our purposes, to apply profitably to
ordinary language. Further, it is really very seldom that necessary truths or falsehoods figure as the conclusions
or premises of arguments encountered ordinarily.
logic: deductive validity64

2 P1) Janet Baker is a baritone. (F)
P2) All baritones are Italians. (F)
C) Janet Baker is an Italian. (F)
3 P1) Janet Baker is a baritone. (F)
P2) All baritones are English. (F)
C) Janet Baker is English. (T)
4 P1) Janet Baker is a soprano. (T)
P2) All sopranos are English. (F)
C) Janet Baker is English. (T)
5 P1) Janet Baker is a soprano. (T)
P2) All sopranos are Italians. (F)
C) Janet Baker is an Italian. (F)
And here are some invalid arguments (we will consider further common invalid
argument-types in Chapter 7 in the section ‘Formal fallacies’):
6 P1) Janet Baker is a soprano. (T)
P2) Janet Baker is a musician. (T)
C) Janet Baker is an Italian. (F)
7 P1) Janet Baker is a woman. (T)
P2) All baritones are women. (F)
C) Janet Baker is a baritone. (F)
8 P1) Janet Baker is a woman. (T)
P2) All sopranos are singers. (T)
C) Janet Baker is a English. (T)
9 P1) Janet Baker is a baritone. (F)
P2) All singers are baritones. (F)
C) Janet Baker is a singer. (T)
logic: deductive validity 65

How to judge validity
The way to determine whether or not an argument is valid is to ignore the actual truth-
values of the premises and the actual truth-value of the conclusion (of course, if the
conclusion is actually false, and the premises are all true, then the argument must be
invalid. But normally when assessing arguments we do not know the truth-value of the
conclusion, because the whole reason for considering the argument is that we want to find
out the truth-value of the conclusion). The way to do it – and this is what the definition of
validity should lead you to expect – is to reason as follows:
Whether or not they are actually true, suppose or pretend that the premises were
all true; then in that situation – aside from how things
actually
are – could the
conclusion conceivably be false? If it could not be false, then the argument is
valid
. If it could be false, then the argument is
invalid
.
The systematic study of validity is the concern of logic. Logicians are concerned to devise
perfectly reliable procedures for detecting validity, or the lack of it, even in the case of
extremely complex arguments such as those occurring in mathematical proofs. Since the
validity of an argument is independent of the truth-values of its premises, logic has a
unique status among the sciences; for other sciences are concerned to find out the truth-
values of particular propositions about its characteristic subject-matter. Ichthyology, for
example, seeks to know which propositions about fish are true, and which false. The
logician has no particular concern with fish, nor with the truth as regards anything else in
particular. Logic has no concern with particular truths. The logician is concerned only with
relations between propositions, not with their actual truth-values.
Further examples
The examples so far of valid arguments have all been of the same type or form. Here
are some further, still quite simple, types of valid arguments. The examples are all fictional.
Their being fictional helps us to realise that the actual truth-values of premises and con-
clusions are usually irrelevant to determining whether or not arguments are valid:
P1) No Zormons are ticklish.
P2) Trozak is a Zormon.
C Trozak is not ticklish.
P1) Either Trozak is on Mars, or he is on Venus.
P2) Trozak is not on Mars.
C Trozak is on Venus.
logic: deductive validity66

P1) It is not possible to visit Mars and Venus in same day.
C If Trozak visited Mars today, then he did not visit Venus today.
P1) If Ichnik is ticklish, then Zadon is ticklish.
P2) If Trozak is ticklish, then Ichnik is ticklish.
P3) Trozak is ticklish.
C Zadon is ticklish.
P1) If Trozak is on Mars, he will visit Ichnik.
P2) Trozak is on Mars.
C Trozak will visit Ichnik.
P1) If Trozak ate all the biscuits, then the biscuit tin is empty.
P2) The biscuit tin is not empty.
C Trozak did not eat all the biscuits.
PRESCRIPTIVE CLAIMS VS DESCRIPTIVE CLAIMS
It is normal to try to distinguish fact-stating descriptive claims from claims which state or
express desires, values, norms or moral rules, which we shall call prescriptive claims. Here
are a few examples of each:
Descriptive
The cat is on the mat.
Jupiter is larger than Saturn.
2 + 2 = 4.
If Susie is late, then she will miss dinner.
There are some otters in the river.
Prescriptive
It is wrong to keep Rover on a chain all day.
You ought to allow John to attend the party.
Freedom is a basic value.
I want a pretzel.
The US needs a different health care system.
How exactly to formulate this distinction is a difficult and contentious matter. But happily
for you, it is not necessary to do so. In Chapter 1, we said that a proposition is simply the
meaning of declarative sentence (as uttered in a given context). And in our discussion of
logic: deductive validity 67

truth in this chapter, we said that to claim that a proposition is true is the same thing as
agreeing with it, in the sense that, for example, ‘That’s true’ said in response to ‘Fish live in
water’ is the same as affirming that fish live in water. It follows that the distinction
between descriptive and prescriptive claims is not to be made out in terms of truth. If
someone, for example, says that the US needs a different health care system, and you agree,
then you can say that it’s true; if you don’t agree, then you can say that it’s false.
In other words, descriptive and prescriptive claims are equally susceptible to being called
‘true’ and ‘false’. This is not because we assume a rampant objectivism about prescriptive
claims, or that we fail to recognise their difference from descriptive claims; it is just a
‘shallow’ consequence of the practical position we take as regards truth. For the purposes
of reconstruction and assessment of arguments, it is by far the simplest and easiest line to
take. It means, among other things, that our concept of validity can be applied across the
board, to all arguments irrespective of subject-matter.
CONDITIONAL PROPOSITIONS
This is a good point at which to distinguish arguments from a certain kind of statement,
which both logicians and grammarians call the conditional. Conditionals are most charac-
teristically expressed using the ‘if–then’ form of declarative sentences. For example:
If it is raining, then it is cloudy.
Conditionals can also be expressed in other ways, however. In fact, all of the following
statements express the very same proposition as the example just given; they represent
exactly the same connection between rain and clouds:
•It is raining only if it is cloudy.
•Either it is cloudy, or it is not raining.
•It is not raining unless it is cloudy.
•If it is not cloudy, then it is not raining.
•It is not raining if it is not cloudy.
•It is cloudy if it is raining.
At first, it may not be obvious that each of these is equivalent to ‘If it is raining, then it is
cloudy’. So let us stop to consider the ones that people most often find puzzling. Hence-
forth, for convenience, we shall adopt the device of substituting the letters ‘P’ and ‘Q’ for
arbitrary declarative sentences.
I. ‘If not . . . then not . . .’ If it is raining then it is cloudy; there is no rain without clouds.
Therefore, if it is not raining, then it is not cloudy. So if we have ‘If P then Q’, we also have
‘If not-Q then not-P’. But we can also go the other way, from ‘If not-Q then not-P’ to ‘If P
then Q’. You can see this by thinking about the rain example, but take another. The
detective says, ‘If there is no mud on Smith’s shoes, then Smith is not the murderer’. The
logic: deductive validity68

detective is not saying that if there is mud on Smith’s shoes, then Smith is the murderer.
What he is saying is that if Smith is the murderer, then there is mud on his shoes. So saying
‘If not-Q then not-P’ is equivalent to saying ‘If P then Q’.
II. ‘Either–or’. Usually, when two statements are joined by ‘either–or’, or just by ‘or’, to
form a compound statement, the compound is equivalent to a statement using ‘if–then’,
and vice versa. But to pass from the version using ‘or’ to the version using ‘if–then’, or vice
versa, we have to insert the word ‘not’. For example, the following pairs of statements are
equivalent:
Rangers will win the league or Celtic will win the league.
If Rangers do not win the league then Celtic will win the league.
Either Jane will practise diligently or she will fail her exam.
If Jane does not practise diligently then she will fail her exam.
A complication is that the word ‘or’ is used in either of two ways, known as the ‘inclusive’
and ‘exclusive’ sense. In the inclusive sense, ‘P or Q’ means that either P is true, or Q is
true, or they are both true; so the compound sentence is false only if both P and Q are false.
This is the sense intended if one says something like ‘He will lose if either he doesn’t serve
well or he doesn’t return serves well’. In the exclusive sense, ‘P or Q’ means that either P is
true or Q is true, but not both. This is the sense normally intended if one says something
like ‘Either you go to bed now or I will not read you a story’ (the child would rightly feel
cheated if he or she goes to bed immediately but doesn’t get a story).
A conditional statement ‘If P then Q’ is equivalent only to ‘Either not-P or Q’ only in the
inclusive sense of ‘or’. Where it is clear that the exclusive sense is intended, the
reconstructed argument should contain conditionals running in both directions. A
sentence such as ‘Either the murder took place here or there was an accident here’,
intended in the exclusive sense, would be represented as ‘If no accident took place here
then the murder took place here’ and ‘If an accident took place here then the murder did
not take place here’.
III. ‘Only if’. This one is trickier. It should be clear that the following are equivalent, in the
sense that they state the same relationship between rain and clouds:
•It is raining only if it is cloudy.
•If it is raining then it is cloudy.
In the first, the word ‘if’ precedes the bit about clouds rather than the bit about the rain.
It says: ‘It is raining only on condition that it is cloudy.’ Thus if it is raining, then that
condition must be fulfilled – so it must be cloudy. Note that it would be false to put it the
other way round; it would be false to say: ‘It is cloudy only if it is raining.’ For the very
logic: deductive validity 69

same reason, it would false to say: ‘If it is cloudy, then it is raining.’ What makes these false
is that sometimes it is cloudy but not raining.
Take another, more real-life sort of example. Someone says: ‘Jane is coming to the party
only if Joe is.’ Suppose that’s true. Then if Jane is coming to the party, then Joe is coming to
the party also. Note further that someone who says, ‘Jane is coming to the party only if Joe
is’ is not committed to ‘If Joe is coming to the party then Jane is coming to the party’.
Perhaps Jane won’t come to the party without Joe being there, but might not come even if
Joe does.
We can express this last point by saying that ‘P only if Q’ makes the same assertion as ‘If P
then Q’, but does not logically commit one to ‘If Q then P’. What makes this difficult to
appreciate is that in some cases ‘P only if Q’ implicates ‘If Q then P’ in the sense explained
in Chapter 1 (pp. 10–11). For example, suppose a parent says: ‘You’ll get ice cream only if
you finish your peas.’ This tells the child that if he does not finish his peas he won’t get ice
cream. And unless the parent is being mean, the child rightly assumes that if he eats his
peas, he will get ice cream. Still, the parent’s announcement does not actually assert ‘If you
finish your peas, you’ll get ice cream’. We know this because, if it did, then we would have
to say that to assert ‘It is raining only if it is cloudy’ is also to assert ‘If it is cloudy then it is
raining’, which it certainly is not. The reason that things seem otherwise in the ice-cream
case is that the parent’s announcement, though it does not assert that the child will get ice
cream if he eats his peas, implicates it.
Finally, care should be taken not to confuse ‘only if’ with another device: ‘if and only if’. To
say ‘P if and only if Q’ is to say ‘P if Q’ and ‘P only if Q’. ‘P if Q’ means the same as ‘If Q
then P’. According to what we have said about ‘only if’, ‘P only if Q’ means the same as ‘If
P then Q’. Therefore: ‘P if and only if Q’ means the same as ‘If P then Q, and if Q then P’. It
means ‘Either both P and Q, or neither’. So, for example, ‘It is raining if and only if it is
cloudy’ is false. On the other hand, if we wanted to say that Jane will not come to the party
without Joe, but will definitely come if he does come, we could say ‘Jane will come to the
party if and only if Joe comes to the party’.
IV.‘Unless’. Begin with these, each of which, again, states the same relationship between
rain and clouds:
•It is not raining unless it is cloudy.
•If it is raining then it is cloudy.
‘Unless’ is confusing in many of the same ways that ‘only if’ is confusing. For example,
someone says, ‘That plant will grow well unless it gets whitefly’. Are they saying ‘If the
plant doesn’t get whitefly it will grow well’, or ‘If the plant gets whitefly it will not grow
well’? Look again at the example about rain and clouds. What it tells us is that ‘not-P unless
Q’ is equivalent to ‘If P then Q’. The transition from the ‘unless’ form to the ‘if–then’ form
can be represented as follows. Begin with ‘unless’:
Not-P unless Q. (It is not raining unless it is cloudy.)
logic: deductive validity70

Replace ‘unless’ with ‘if not’:
Not-P if not-Q. (It is not raining if it is not cloudy.)
This is clearly just another way of saying:
If not-Q then not-P. (If it is not cloudy then it is not raining.)
But according to what we said above (under I), this is equivalent to:
If P then Q. (If it is raining then it is cloudy.)
In other words, the trick for dealing with ‘unless’ is to think of it as meaning ‘if not’: ‘P
unless Q’ means ‘P if not Q’, which is the same as ‘If not-Q then P’. Therefore, the
statement ‘That plant will grow well unless it gets whitefly’ means ‘If that plant doesn’t
get whitefly then it will grow well’. It does not mean ‘If that plant gets whitefly then it will
not grow well’. Similarly, ‘You will fail unless you study’ means ‘If you don’t study then
you will fail’, but not ‘If you study, then you will not fail’. On the other hand, ‘You will not
fail unless you don’t study’ means ‘If you do study then you will not fail’.
THE ANTECEDENT AND CONSEQUENT OF
A CONDITIONAL
In general, a conditional is a compound proposition consisting of two parts, each of which
is itself a proposition, where these two parts are joined by some connecting words (they
are called ‘logical connectives’) such as ‘if–then’, ‘either–or’, ‘unless’, or ‘only–if’, or some-
thing similar. However they are joined, what a conditional says is that the truth of one
proposition ensures that of another. In formal logic this relation is represented by a single
device, usually an arrow:
It is raining → It is cloudy.
P → Q.
The one from which the arrow points is called the antecedent; the one to which the arrow
points is called the consequent, for obvious reasons. We will use this terminology a lot, so
you should memorise it.
Now, here is a tricky and important point. In one way or another, the examples on p. 68
express the very same conditional proposition about rain and clouds. They express the
same relation between rain and clouds. Thus the antecedent and consequent in all those
examples is the same – in all of them, the logical antecedent is the proposition that it is
raining, and the logical consequent is the proposition that it is cloudy. In this sense, the fact
logic: deductive validity 71

that one proposition is the antecedent and another the consequent of a conditional state-
ment is a matter of the logic of the statements. It is not a matter of the grammar of the
sentences. It does not matter in what order, in the whole sentence, the two smaller
sentences occur; what matters is the logical relationship asserted by the sentence. You can
see this from the fact that in the sentences at the beginning of this section relating rain to
clouds, the bit about rain sometimes occurs before the bit about clouds and sometimes
occurs after it.
Conditionals vs arguments
Our example of a conditional is a true statement. Some conditionals are false, such as ‘If
it is cloudy, then it is raining’ (since, sometimes, it is cloudy but it is not raining).4
A conditional is said to be true or false, rather than valid or invalid. For a conditional is not
itself an argument. A conditional is one proposition that comprises two propositions as
parts, joined by ‘if–then’ or a similar device. An argument cannot be just one proposition.
It needs at least two.
The following, however, would be an argument:
It is raining. Therefore, it is cloudy.
This is not a conditional, but an argument composed of two propositions. Moreover, this
argument actually asserts that it is raining, and also that it is cloudy. A person giving it
would actually be asserting those things. Not so for the corresponding conditional: to say
‘If it is raining then it is cloudy’ is not itself to assert that it is raining, or that it is cloudy.
People sometimes make a mistake on this point; we sometimes witness conversations like
this:
Mary: If Edna gets drunk, then her graduation party will be a mess.
Jane: Why do you say Edna’s going to get drunk? You’re always so unfair to her.
Mary: I didn’t say Edna is going to get drunk, I said if Edna gets drunk...
Jane: Well, it’s the same thing!
Mary: No, it isn’t!
Jane: Don’t try to get out of it! You always think the worst of Edna, and you’re
always trying to take back what you say!
What Jane seems not to understand is that a conditional does not assert either its ante-
cedent or its consequent. An argument asserts its premises and its conclusion, but Mary is
not arguing that the party is going to be a mess; she is only saying that it will be if Edna gets
drunk (presumably because she thinks Edna misbehaves when she drinks too much).
4 Strictly, we should say that whereas all utterances of ‘If it is raining then it is cloudy’ are true, some utterances
of ‘If is cloudy then it is raining’ are false. This is a case of implicit indexicality, which we’ll discuss further in
Chapter 8.
logic: deductive validity72

Strictly speaking, she is not even saying that Edna is likely to get drunk. Of course, she
would not have brought the whole thing up if she did not think there was some danger of
Edna’s getting drunk. The grain of truth in Jane’s reaction is that the assertion of a
conditional often implicates that there is some probability that the antecedent of the
conditional is or will be true (on conversational implicature see Chapter 1, pp. 10–11).
Even so, Mary might well think this probability to be less than fifty–fifty, and she did not
say that Edna’s going to get drunk.
Finally, it is important to recognise that many arguments have conditional conclusions –
that is, conclusions which are themselves conditionals. For example:
P1) If Labour does not change its platform, it will not attract new supporters.
P2) If Labour does not attract new supporters, it will lose the next election.
C) If Labour does not change its platform, then it will lose the next election.
Here both premises as well as the conclusion are conditionals. This particular pattern is
very common, and is called a ‘chain’ argument. A chain of conditionals is set up, like a row
of dominoes. What the argument is saying is that if the antecedent of P1 comes true, then
the consequent of P2 is true. Chain arguments can have any number of links. One of the
‘Further examples’ earlier in this chapter (p. 67) involved a chain; the evaluation of such
arguments will be discussed in Chapter 6.
ARGUMENT TREES
An argument tree is a device that can be used for representing arguments in the form of a
diagram. They are helpful when we are reconstructing arguments, particularly complex
ones, because they provide a means of showing the ways in which the different parts of an
argument are related to each other. They show how the premises support the conclusion.
Constructing argument trees is a very valuable tool and you will find it helpful to use them
in your own analyses of real-world arguments.
The process of constructing an argument tree is especially useful before you have supplied
missing premises, and before you have settled upon a reconstruction of the argument in
standard form. In fact, it can be useful to construct an argument tree at almost any stage in
the reconstruction, including when the reconstruction is complete, simply as a way of
illustrating the structure of the argument, of making it clear to oneself and to others.
But to illustrate, we stick to arguments already in standard form. Consider the following
simple arguments:
AP1) Susan is a marathon runner.
P2) Susan eats well and sleeps well.
C) Susan is healthy.
logic: deductive validity 73

BP1) Willy is in the music club.
P2) No member of the music club plays jazz.
C) Willy does not play jazz.
These arguments both infer a conclusion from two premises, but there is an important
difference.
In argument A, each premise supports the conclusion individually. That is, P1 is cited as a
reason for C, and P2 is cited as another reason for C. One could argue from P1 alone to C;
one could also argue from P2 alone to C. By contrast, in argument B, neither premise
supports C by itself. Neither P1 nor P2 would, by itself, be a reason to accept C. Rather,
they work together to support C. This is always the case when one premise is a conditional
and another is the antecedent of that same conditional.
Argument A is represented as in Figure 3.1 and argument B is represented as in Figure 3.2.
Figure 3.1
Figure 3.2
logic: deductive validity74

Now these examples are very simple. Argument trees are especially helpful when used to
represent more complicated arguments with intermediate conclusions. For example:
P1) Consumption is increasing.
P2) The pound is weakening against other currencies.
C1) Inflation will increase.
P3) Whenever inflation increases, mortgage rates rise.
C2) Mortgage rates will rise.
P4) Whenever mortgage rates rise, the building trade suffers.
C3) The building trade will suffer.
The correct argument tree for this is shown in Figure 3.3. Note that the first sub-argument
is not valid as it stands. P1 and P2 may be said to support C1, but only by virtue of a
Figure 3.3
logic: deductive validity 75

relation that is not explicitly stated between consumption rates, the relative strength of
currencies and inflation. Thus the argument does not explicitly include what later in the
book we will call its ‘connecting’ premise or premises. The most plausible connecting
premise would be of the form, ‘If P1 and P2, then C1’. We had the same sort of situation
in the argument about Susan the marathon runner. The connecting premise was left
implicit. A plausible connecting premise, in this case, might be something like:
P3) No marathon runner who eats and sleeps well is not healthy.
If we do it this way, then the three premises work together to support the conclusion; an
instance of this generalisation would be: ‘If P1 and P2, then Susan is healthy.’ So the
argument would be represented as shown in Figure 3.4.
DEDUCTIVE SOUNDNESS
Normally, you assess an argument because you wonder whether or not the conclusion is
true. You want to know whether the arguer has given you a reason for thinking that
the conclusion is true. If you find that the argument is invalid, then you know that even
if the premises are true, the conclusion could be false. Therefore, the reasons given by the
arguer – the premises – do not suffice to establish the conclusion, even if they are true.
But suppose you find that the argument is valid. Then there are two possibilities:
(A) One or more of the premises are (actually) false.
(B) All of the premises are (actually) true.
Now, as illustrated by examples 2 and 5 on p. 65, knowing that the argument is valid is
not enough to show you that the conclusion is true. In order to determine that, you need
a further step: you must determine the truth-values of the premises. You might already
know them. But if you don’t, then of course, logic is no help. If one of the premises is that
Figure 3.4
logic: deductive validity76

the octopus is a fish, then unless you know already, you have to consult a book or ask an
ichthyologist. Suppose now that you have done this, and what you have is a case of (A),
i.e. one (or more) of the premises is false. In that case, you can draw no conclusion as to
the truth-value of the conclusion (as illustrated by arguments 4 and 5 on p. 65, a valid
argument with one or more false premises may have either a true or a false conclusion).
But now suppose you find the argument to be a case of (B) – that is, you have found it to
be a valid argument with true premises. Eureka! For, according to the definition of validity,
a valid argument with true premises cannot have a false conclusion. So the conclusion must
be true. The argument has accomplished its purpose; it has demonstrated its conclusion
to be true. We call this a deductively sound argument. Argument 1 above about Janet
Baker, for example, is a deductively sound argument:
To say that an argument is deductively sound is to say: The argument is valid, and
all its premises are (actually) true.
This reveals the importance of the concept of validity. Given the definition of validity, it
follows from the definition of deductive soundness that the conclusion of a deductively
sound argument must be true. Thus, there cannot be a deductively sound argument with a
false conclusion.
An argument that is not deductively sound – one which has one or more false premises, or
is invalid, or both – is said to be deductively unsound. Deductive soundness, like validity,
pertains to whole arguments, and not to single propositions.
It is important to recognise what follows if you happen to know that the conclusion of an
argument is not true. Suppose someone gives you an argument, the conclusion of which
is that there are platypuses at the local zoo. And suppose you know that this is not true.
You know that the local zoo has no platypuses. Therefore, you know that this argument
is not deductively sound. You should make it clear to yourself why this is so; check the
definitions again if this is not clear.
If you do know that there are no platypuses at the zoo, then you know it is possible to give
a deductively sound argument for that conclusion. But there cannot be deductively sound
arguments on both sides of the issue. For deductively sound arguments have true conclusions.
If there were deductively sound arguments on both sides of this issue, it would follow that
there are platypuses at the zoo, and also that there are not, which is impossible. This is
important to recognise, because frequently we do say that there can be ‘good’ arguments
on both sides of a given issue (especially a controversial one); we say this, perhaps, out of a
wish to show respect for different opinions, or simply to express our own indecision over
the issue. But in saying this, we cannot mean that there are deductively sound arguments on
both sides of an issue. Later, we will explain in exactly what sense there can be ‘good’
arguments on both sides of an issue (for, to be sure, there can be).
If we know that the conclusion of an argument is false, then we know that the argument
is deductively unsound. What follows from that? Look at the definition of deductive
logic: deductive validity 77

soundness. If the argument is deductively unsound, it follows that either the argument has
(at least) one false premise, or the argument is invalid (or perhaps both – perhaps it is
invalid and it has one or more false premises). Suppose then that you determine the
argument to be valid. Then you know that at least one premise must be false. On the other
hand, suppose that you find that the argument is invalid. What can you conclude about
the truth-values of the premises? Nothing! For you know that an invalid argument with a
false conclusion may have either true premises or false premises.
THE CONNECTION TO FORMAL LOGIC
Occasionally in discussing logical points we have used ‘dummy’ letters to stand in place of
sentences. For example, we said that ‘P unless Q’ is equivalent to ‘If not-Q, then P’. The
letters ‘P’ and ‘Q’ were used to stand in place of arbitrary declarative sentences like ‘It is
raining’ or ‘The cat is on the mat’. We can do this because the point we wish to make does
not depend on what particular sentences we put for ‘P’ and ‘Q’. The point concerns only
the meanings or logical properties of such expressions as ‘unless’ and ‘if–then’, and it would
hold for any declarative sentences put for ‘P’ and ‘Q’.
Here is an example of a simple, valid argument form:
P1) If P then Q.
P2) P.
C) Q.
This inference is called modus ponens. This is one example of what is known as a valid
argument-form, sometimes called a valid argument schema. An instance of this form is given
on p. 67, the third example about Trozak: ‘If Trozak is on Mars, then he will visit Ichnik;
Trozak is on Mars; therefore Trozak will visit Ichnik.’ Others, together with their usual
names, include:
Modus tollens
P1) If P then Q.
P2) not-Q
C) not-P.
Disjunctive syllogism
P1) P or Q.
P2) not-P
C) Q
logic: deductive validity78

P1) P or Q
P2) not-Q
C) P
Chain
P1) If P then Q
P2) If Q then R
C) If P then R
The next step towards formal logic is to introduce surrogates for the logical expressions of
English that join sentences. We’ve already introduced ‘→’ for ‘if–then’ (sometimes ‘⊃’ is
used instead). Others include ‘∨’ for inclusive ‘or’, ‘∧’ (or ‘&’) for ‘and’, and ‘¬’ (or ‘∼’)
for ‘not’ or ‘it is not the case that’. We also require certain rules governing the use of
parentheses, so as to distinguish, for example,
P → (Q ∨ R)
from
(P → Q) ∨ R
The first one says that if P is true, then either Q or R is true; the second one says that either
‘If P, then Q’ is true, or R is true. Such devices are all that is required for statement logic
or truth-functional logic.
But this is not the whole of formal logic. Again, the letters ‘P’ and ‘Q’ are placeholders for
whole sentences, not for expressions – ‘sub-sentential expressions’ – that do not
constitute sentences. Look now at the set of valid arguments about Janet Baker on
pp. 64–65. As we noted, they are all of the same form. We can display this form in the
following way:
P1) x is an F.
P2) All F are G.
C) x is a G.
This means that whatever name we put for ‘x’ – whether ‘Janet Baker’, ‘Mount Fuji’ or
‘Vienna’ – and whatever general terms we put for ‘F’ and ‘G’ – whether ‘soprano’, ‘volcano’
or ‘capital city’ – the resulting argument will be valid (so long as we always put the same
logic: deductive validity 79

name or general term for the same letter).5 The validity of the argument is independent of
the particular meanings of ‘Janet Baker’, ‘soprano’ and so on. Interestingly, you can readily
see that this is so: you can easily see that whatever ‘x’ is, and whatever is taken for ‘F’ and
‘G’, the argument-form will never have true premises and a false conclusion, i.e. that it
will be valid. In advance of studying formal logic, we already have a good eye for formal
validity.
Note that we used ‘F’ and ‘G’ for general terms, and ‘P’ and ‘Q’ for sentences (if more were
needed, we would use ‘H’, ‘I’ and so on for general terms, ‘R’, ‘S’ and so on for sentences).
We used lower-case letters in place of names. This is the usual practice in logic, but there is
no need for a strict rule in this context.
This is typical of what is known as formal logic: claims about logical relationships are made
most efficiently by abstracting from the particular subject-matter we talk about and con-
centrating on the logical forms of the arguments. However, logical forms are not completely
without content or meaning. In the first example, what we are really focusing on is the
meaning of the word ‘All’; in the second, we are focusing on the meaning of the expression
‘if–then’. We don’t put in dummy letters for those. Accordingly, these words are often
known as ‘logical words’ or ‘logical particles’, and formal logic may appropriately be said to
concern itself with those. Other logical particles, in addition to those listed above, include
the quantifiers ‘(∀x) . . .’ for ‘everything is’ ‘(∃x) . . .’ for ‘something is’.
Representing the logical form of an argument by means of dummy letters can be very
useful for showing that an argument is invalid. For an argument-form is invalid if it has
what we call an ‘instance’ with true premises and a false conclusion. Thus consider invalid
argument number 7 on p. 65:
P1) Janet Baker is a woman. (T)
P2) All baritones are women. (F)
C) Janet Baker is a baritone. (F)
But suppose you weren’t sure about P2 and C. You could represent its logical form as the
following schema:
P1) x is an F.
P2) All G are F.
C) x is a G.
5 Of course this is to cut corners. Somewhat more exact: whatever denoting singular term is put for ‘x’, and
whatever indexical-free general terms are put for ‘F’ and ‘G’ – always putting the same singular term for the
same dummy letter – then, reading ‘is’ and ‘is an’ and ‘are’ as grammatical variants of the ‘is’ of predication, the
result is a valid argument of English. For an introduction to formal logic, see Goldfarb, Deductive Logic (Hackett,
2003) or Forbes, Modern Logic: A Text in Elementary Symbolic Logic (Oxford University Press, 1994).
logic: deductive validity80

Then put ‘Elton John’ for ‘x’, ‘human’ for ‘F’ and ‘women’ for ‘G’:
P1) Elton John is human. (T)
P2) All women are human. (T)
C) Elton John is a woman. (F)
Here you have an instance of this schema – that is, an argument with the same logical
form – that has true premises and a false conclusion, thereby proving that the logical form
of the original argument is invalid, and therefore that the original argument is itself
invalid. This technique is called ‘refutation by counterexample’; we will return to it in
Chapter 6.
There are sophisticated technical procedures for exploring formal logical relationships in a
systematic, detailed way. For the most part, it is necessary to invent artificial languages for
this purpose employing special symbols in place of the logical particles of English such as
the ‘→’ sign for the conditional ‘if–then’ we mentioned earlier. However, getting clear on
the exact meaning of the logical particles of English, and what is claimed when one writes a
fully symbolic sentence for one of English, prove to be somewhat contentious affairs. One
reason is that logical relationships in a ‘natural’ language such as English tend to be too
cumbersome and poorly defined to represent clearly and systematically (look at all the
different ways of representing the conditional, when really only one way is needed!). By
contrast, the validity of arguments expressed in symbolic notation is determined by precise
rules, and the forms of the arguments are always exactly determined. Courses on ‘formal
logic’ – otherwise known as ‘mathematical logic’ or ‘symbolic logic’ – are taught in
Philosophy, Mathematics, Linguistics and Computer Science. In critical thinking we are
doing what you might call ‘practical logic’. We want to learn to identify the reasoning in
commonly encountered attempts to persuade us, and to assess it as good or bad. For this,
we need the concept of validity, but we do not need artificial symbols or elaborate
technical procedures for detecting validity with absolute precision. It’s better to leave in a
certain amount of slack. The reason is that the logic of the vast majority of arguments in
everyday life is rarely of any great complexity. Once we know what the argument is,
whether or not it is valid can almost always be seen by applying the definition given above.
Most of the work goes into the reconstruction. And as we have seen – and will see in more
detail later – we cannot profitably reconstruct an argument without knowing what makes
a good argument, hence not without grasping the concept of validity.
Nevertheless, it will sometimes be useful to use ‘dummy’ letters as we have already done,
to draw attention to the forms of arguments and statements where appropriate.
CHAPTER SUMMARY
The aim of argument-reconstruction is to clarify, and make fully explicit, the argument
intended by an arguer. We do this by putting the argument into standard form. If
our main concern is whether or not the conclusion of the argument is true, then our
logic: deductive validity 81

reconstruction should be guided by the principle of charity: we should aim for the best
possible reconstruction of the argument.
In order to do this, we need precise concepts in terms of which to assess arguments. We
need, to begin with, the concepts of truth, deductive validity and deductive soundness. A
deductively valid argument (a valid argument, for short) is one whose premises could not
possibly be true without the conclusion being true also. A deductively sound argument is a
valid argument with true premises. It follows that a deductively sound argument must
have a true conclusion.
The conclusion of one argument may serve as a premise for another. We call such a
conclusion an intermediate conclusion for an extended argument.
A proposition is what is true or false, and is the meaning of a declarative sentence as used
in a given context. It follows that for our purposes, prescriptive statements – statements
of value, prescription and the like – are not fundamentally different from fact-stating or
descriptive statements on the score of susceptibility to agreement and disagreement, and
therefore of truth and falsity. The same methods of representation in standard form, and
the same concept of deductive validity, apply to each.
Individual propositions can be true or false, but not valid or invalid. Arguments can be
valid or invalid, but not true or false. Conditional propositions are not arguments, but
single propositions: a conditional proposition is a single proposition made up of two
propositions, the antecedent and consequent. Typically the antecedent and consequent of
a conditional proposition are joined by ‘if–then’, but many other devices can do the same
job. The crucial thing is the logical relationship between them.
Arguments do stand in a certain relationship to conditional propositions. If the argument
is valid, then this conditional proposition is true: if the argument’s premises are true, then
its conclusion is true.
It is sometimes useful to employ ‘dummy’ letters in place of sentences, names or general
terms in order to display the logical form of an argument; this is the first step towards the
study of formal logic. From the formal point of view, the definition of validity is: an
argument is valid if (and only if ) its logical form is valid. A logical form is valid if (and only
if ) there is no instance of that form with true premises and a false conclusion (not even if
we are allowed to change the meanings of the non-logical expressions contained in an
instance). For our purposes the most useful implication of this is that if a given argument
has the same form as another argument with the same form, the given argument is invalid.
Showing invalidity in this way is called refutation by counterexample.
EXERCISES
1 Study the section that describes the principle of charity. Then, without looking at the
section again, and in your own words, write a short essay of about 250 words that
explains the principle, and why it should be observed.
logic: deductive validity82

2 Suppose that someone says: ‘The purpose of argument is to defeat the opponent.’
Write a short essay (about 250 words) commenting on this.
3 Again, without consulting the book, and in your own words, explain the purpose of
argument-reconstruction. Try to invoke some of the concepts you have learned in this
chapter, such as validity.
4 Suppose that Mr Smith argues as follows:
Mr Jones argues that the unemployment rate will rise this year. However, as we
have explained, Mr Jones’ argument is clearly invalid. Furthermore, we have
shown that the premises of the argument are false. Therefore, Mr Jones is
wrong. The unemployment rate will not rise this year.
Criticise Mr Smith’s argument.
5 Suppose that Bob says:
Sarah is so arrogant. She’s entitled to her opinions, of course. I don’t mind her
saying that landlords have an ancient right to prevent walkers’ access to their
property. That’s her opinion. But she has to say it’s true. I hate that. She always
thinks she’s right. She always thinks her opinion is the truth.
Does Bob have a point, or is he confused? Explain your answer an essay of about
150 words.
6 For each argument, decide whether or not it is deductively valid. If it is not valid,
briefly explain why. Remember that being able to judge validity does not require any
familiarity with the particular subject-matter of the argument. If it seems useful, describe
a possible situation in which the premises are true, but the conclusion false.
Example
P1) Every Roman emperor before Constantine was a pagan.
P2) Julian was a Roman emperor.
C) Julian was a pagan.
✎Invalid. P2 says that Julian was a Roman emperor, but not that he ruled
before Constantine. It would be possible for the premises to be true but
the conclusion false, then, if Julian were a non-pagan Roman emperor
after Constantine.
P1) Either Jane is in the kitchen, or Mary is in the kitchen.a
P2) Jane is not in the kitchen.
C) Mary is in the kitchen.
logic: deductive validity 83

P1) Either inflation will increase, or personal debt will increase.b
P2) If the central bank does not increase interest rates, inflation will not
increase.
P3) The central bank will not increase interest rates.
C) Personal debt will increase.
P1) If the guerrillas have left the area, then there is traffic on the roads.c
P2) There is no traffic on the roads.
C) The guerrillas have not left the area.
P1) No member of the Green Party voted for the tax cut.d
P2) Mr Jacobs did not vote for the tax cut.
C) Mr Jacobs is a member of the Green Party.
P1) No member of the Green Party voted for the tax cut.e
P2) Mr Jacobs voted for the tax cut.
C) Mr Jacobs is not a member of the Green Party.
P1) Every member of the Conservative Party voted for the tax cut.f
P2) Mr Winterbottom voted for the tax cut.
C) Mr Winterbottom is a member of the Conservative Party.
P1) Some members of the Liberal Party voted for the tax cut.g
P2) Some who voted for the tax cut voted for new defence spending.
C) Some members of the Liberal Party voted for new defence
spending.
P1) If abortion is morally permissible, then infanticide is morally permissible.h
C) Abortion is not morally permissible.
P1) If abortion is not murder, then infanticide is not murder.i
P2) If infanticide is not murder, then killing innocent children is not murder.
P3) Killing innocent children is murder.
C) Abortion is murder.
P1) If each person has the right to determine what happens to his or her ownj
body, then suicide should be legal.
P2) Suicide should not be legal.
C) No person has the right to determine what happens to his or her own
body.
logic: deductive validity84

P1) Every regime is either corrupt or inefficient.k
P2) The Soviet regime was inefficient.
C) The Soviet regime was not corrupt.
P1) If there is no blown resistor, then there is failed connection.l
P2) There is a blown resistor.
C) There is no failed connection.
P1) Constantine ruled Rome before Constantius.m
P2) Constantius ruled Rome before Julian.
C) Constantine ruled Rome before Julian.
P1) Only democracies are just political systems.n
P2) Rome’s political system was unjust.
C) Rome’s political system was not a democracy.
P1) The only just political systems are democracies.o
P2) Rome’s political system was unjust.
C) Rome’s political system was not a democracy.
P1) Unless some historians have told lies, there were miracles during the firstp
century.
P2) There were no miracles during the first century.
C) Some historians have told lies.
P1) Analysis has shown that Mr Cleever’s accident was caused by faultyq
brakes, not by drunk driving.
P2) If Mr Cleever was not drunk at the time of the accident, then he should be
acquitted of drunk driving.
C) Mr Cleever should be acquitted of drunk driving.
P1) If Constantius’ professed Christianity was genuine, then history hasr
represented him unfairly.
P2) There is no convincing evidence that Constantius’ professed Christianity
was not genuine.
C) History has represented Constantius unfairly.
logic: deductive validity 85

P1) If Germanicus had not died at the German front, he would have becomes
emperor.
P2) If Germanicus had become emperor, then Tiberius would not have
become emperor.
P3) If Tiberius had not become emperor, then Caligula would not have
become emperor.
P4) If Caligula had not become emperor, then he would not have been
murdered.
P5) If Caligula had not been murdered, then Claudius would not have become
emperor.
C) If Germanicus had not died at the German front, then Claudius would
not have become emperor.
P1) If any Roman emperor was wise, then Marcus Aurelius was wise.t
P2) Augustus was a Roman emperor.
P3) If Augustus was wise, then Marcus Aurelius was not wise.
C) Marcus Aurelius was wise.
P1) If any Roman emperor was wise, then Marcus Aurelius was wise.u
P2) Augustus was a Roman emperor.
P3) If Augustus was wise, then Marcus Aurelius was not wise.
C) Augustus was not wise.
P1) If John or Susan are late, then Mary will be disappointed.v
P2) John is late.
P3) Susan is late.
C) Mary will be disappointed.
P1) If John and Susan are late, then Mary will be disappointed.w
P2) John is late.
C) Mary will be disappointed.
P1) If John and Susan are late, then Mary will be disappointed.x
P2) John is late.
P3) Susan is not late.
C) Mary will not be disappointed.
P1) If John and Susan are married, then Mary will be disappointed.y
P2) John is married.
P3) Susan is married.
C) Mary will be disappointed.
logic: deductive validity86

P1) If the Prime Minister does what the opinion polls say the people want, thenz
he is cowardly.
P2) If the Prime Minister does not do what the opinion polls say the people
want, then he is arrogant.
C) If the Prime Minister is not arrogant, then he is cowardly.
7 Which of the following statements are true, and which false?
a It is impossible for all the premises of a valid argument to be false.
b It is possible for the conclusion of a valid argument to be false.
c It is possible for a deductively sound argument to have a false conclusion.
d A valid argument cannot have all true premises and a false conclusion.
e A valid argument cannot have all false premises and a true conclusion.
f It is impossible for all the premises of a valid argument to be true, if the
conclusion is false.
g A valid argument must have true premises.
h If the conclusion of a valid argument is false, then all the premises must be
false.
i If an argument has more than one premise, then if one of the premises is
true, then the others must also be true.
j If a valid argument is sound, then one of its premises must be false.
k A sound argument cannot have a false premise.
l An argument cannot be both valid and sound.
m If an argument has true premises and a true conclusion, then it is valid.
n If an argument does not have all true premises and a false conclusion, then it
is valid.
o An argument may have all true premises and a false conclusion.
p If a valid argument has a false conclusion, then all its premises must be false.
q If a valid argument has a false conclusion, the at least one of its premises
must be false.
8 In Exercise 7, a–f, various scenarios are said to be possible or impossible. In cases
where the thing is possible, give an example.
9 Rewrite the following sentences using ‘if–then’ and ‘not’, in order to express
the same relation between propositions (and do not use the expression ‘only if’).
Sometimes you may have to remove, rather than insert, a ‘not’.
a Either Trajan was great or Hadrian was great.
b Dogs are loyal to their masters unless they are mistreated.
c Unless there were no benevolent emperors, Marcus Aurelius was a benevo-
lent emperor.
d You will not pass unless you study.
e My dog will get the ball unless your dog gets the ball.
f You will be admitted only if you are wearing a tie.
logic: deductive validity 87

g You will not be admitted if you are not wearing a tie.
h My dog barks only if your dog barks.
i You will pass only if you do not drink every night.
j You will pass only if you study.
k You will only pass if you study.
l The champion will win only if he fights aggressively.
m Either your dog will get the ball or mine will, unless the ball goes in the
water.
n Galerius and Maximin were not both admired in Rome.
10 Can there be more than one deductively sound argument for the same conclusion? If
so, give an example. If not, explain why not.
11 Consider the following two sentences:
Lee Harvey Oswald murdered John Kennedy.
Lee Harvey Oswald did not murder John Kennedy.
Suppose we have two arguments, one with the first as conclusion and the other with
second as conclusion. Could both arguments be valid? Could both arguments be
deductively sound? Why or why not?
12 Using the ‘dummy’ letters ‘P’, ‘Q’, ‘R’ and so on to stand in for sentences such as
‘Your dog barks’ and ‘Trajan was great’, rewrite the sentences in Exercise 9. Then
rewrite your answers in the same way, writing them next to the corresponding
original sentence.
Example
Either Trajan was great or Hadrian was great.
✎Either P or Q. If not-P, then Q.
13 Using the ‘dummy’ letters ‘P’, ‘Q’ and ‘R’ and so on for whole sentences, ‘F’ and ‘G’
for general terms, and ‘x’ and ‘y’ for names, try to construct argument-forms corres-
ponding to the following problems in Exercise 6, a, b, f–j, p–w.
Example
P1) Only fools are drug-users.
P2) Ross Lambeau is a drug-user.
C) Ross Lambeau is a fool.
✎P1) Only F are G.
P2) x is a G.
C)x is an F.
14 Draw tree diagrams for the ‘Further examples’, pp. 66–67. Consider the diagrams for
arguments with two premises. What do they have in common? Can you explain why?
logic: deductive validity88

4
logic: inductive
force
•Inductive force 90
Probability
•‘All’, ‘most’ and ‘some’98
•Soft generalisations: a reminder 99
•Inductive soundness 100
•Probability in the premises 100
•Arguments with multiple probabilistic premises 101
•Inductive force in extended arguments 104
•Conditional probability in the conclusion 105
•Evidence 105
•Inductive inferences 107
How representative is the sample?
•A programme for assessment 112
•Chapter summary 113
•Exercises 114

INDUCTIVE FORCE
Consider this argument:
P1) Fiona lives in Inverness, Scotland.
C) Fiona owns at least one item of woollen clothing.
Is this argument valid? You might think so. Inverness is a pretty cold place. And wool is
plentiful: Scotland has millions of sheep. So surely you may conclude that Fiona must have
a woollen jumper or two. Nevertheless, the argument is clearly invalid: it would not be
impossible for someone to live in Inverness, yet not have any woollen items of clothing.
Indeed, there probably are people there without any (some people are allergic to wool, for
example).
We could make the argument valid by adding the premise, ‘Everyone in Inverness owns at
least one woollen item of clothing’. Thus:
P1) Fiona lives in Inverness, Scotland.
P2) Everyone who lives in Inverness, Scotland, owns at least one woollen item of
clothing.
C) Fiona owns at least one woollen item of clothing.
But this argument, though valid, is probably not sound, since P2 is probably false. Yet the
original argument is surely a good argument, in some sense. The truth of the premise
would be a good reason for expecting the conclusion to be true; it would be surprising to
find it was false. Certainly if you had to bet on whether or not the conclusion is true, then,
given no relevant information except for P1, you would bet that it is true, not that it is
false. It would be reasonable to infer the truth of C from P1, and unreasonable to infer
its falsity.
However, we must notice something very important about the inference from P1 to C.
A critical thinker might not be in a position to recognise the forcefulness of this argument
as we have written it so far. For in order to recognise it, one has to know certain facts about
Inverness – the facts that make it different from, say, a hot place around which they grow
cotton such as Cairo. Someone giving the argument is implicitly relying on a proposition
that is similar to P2 in the argument given directly above, but that is much more likely to
be true – namely, that the vast majority of people in Inverness own some items of woollen
clothing. Almost no one owns none. That is to say, the use of the quantifier ‘everyone’
would be inappropriate here, but use of the weaker quantifier ‘almost everyone’ is
appropriate. Given what we know about Inverness, we can be almost completely certain
that almost everyone in Inverness owns at least one woollen item of clothing. (Recall from
Chapter 2 that expressions such as ‘most’, ‘almost all’ and ‘few’ are called ‘quantifiers’.) We
can represent the argument, then, as follows:
logic: inductive force90

P1) Fiona lives in Inverness, Scotland.
P2) Almost everyone in Inverness, Scotland, owns at least one item of woollen
clothing.
C) Fiona owns at least one woollen item of clothing.
This argument is still not deductively valid, since Fiona still might conceivably be one of
those few who do not have any woollen clothing. Still, these premises, just by themselves,
do provide a good reason for accepting the conclusion; the critical thinker, knowing noth-
ing about the matter except the truth of P1 and P2, could happily accept that if the
premises are true, then, probably, so is C. We recognise this by calling such an argument
inductively forceful (the word ‘inductively’ is meant to contrast with ‘deductively’), and
inserting the word ‘probably’ before the conclusion:1
P1) Fiona lives in Inverness, Scotland.
P2) Almost everyone in Inverness, Scotland, owns at least one item of woollen
clothing.
C) Probably, Fiona owns at least one woollen item of clothing.
When judging the inductive force of an argument, the way to think of the word ‘probably’
is not to regard it as part of the conclusion. Like the words ‘therefore’ and ‘so’, think of
it as an indication to the reader that the argument has been judged, by the person doing
the reconstruction, to be inductively forceful. If we were to remove it from the
above reconstruction, the inductive force of the argument, and its status as not being
deductively valid, would be unaffected. Roughly, then, an inductively forceful argument is
one that is not deductively valid – the truth of the premises would not ensure the truth
of the conclusion – but whose premises provide good reason to expect the conclusion
to be true rather than false. Before we characterise the concept of inductive force more
accurately, however, it will be useful to look briefly at the closely related concept of
probability.
Probability
We typically express the probability that a given proposition is true (or that a given event
has occurred or will occur) on a numerical scale between 0 and 1, expressed either as a
decimal or as a fraction. For example, the probability that a tossed coin will land heads up
1 Inductive force is often called inductive strength, and sometimes inductive cogency or simply cogency. It is also
common to speak of the degree of support provided by the premises for the conclusion. The term ‘inductive
validity’ is used by some writers and might have been expected, but it is not usual. The reason is that if
‘inductively valid’ is used, then ‘valid’ becomes ambiguous between the inductive and deductive variety, thus
spoiling the entrenched and convenient practice of using ‘valid’ as short for ‘deductively valid’.
logic: inductive force 91

is 0.5 or 1/2. Perhaps surprisingly, there are different ways in which to explain probability.
We will briefly consider three: proportion, frequency and rational expectation.2
First, proportion. Many arguments contain a premise that says something like ‘Most X are
Y’ or ‘7/8 of Xs are Ys’. Such quantifiers as ‘most’ and ‘7/8 of’ indicate proportions, and are
importantly related to probability. Suppose you want to know the probability that the
card you have drawn from an ordinary, complete deck of playing cards is an ace. One way
to do this would be to assume that this probability is equal to the proportion of aces in the
deck to the total number of cards in the deck. Since this figure is 1/13 (there are four aces
and fifty-two cards, and 4/52 =1/13), you assume that probability that you’ll draw an ace
is 1/13 (about 0.077).
Now frequency. Suppose you want to know the probability that it is going to snow in
December in London, when December is still several months away. One simple way to do
this would be find out how frequently this has actually happened over the past – say, one
hundred years. Suppose you find that, out of the past one hundred Decembers, it has
snowed during fourteen of them. Then you might infer that the probability that it will
snow in London this coming December is 14/100 (0.14).
These strategies are extremely important in the general theory of probability and statistics,
but they are not sufficiently general for our purposes. There seem to be cases for which
neither proportion nor frequency will serve as a direct indicator of probability. For
example, bookmakers sometimes give odds that a given politician will become the
next leader of his or her party. Suppose they say that the odds of Mr X becoming the next
leader of the Labour Party are 1:1 (i.e. the probability is 1/2). Estimates such as these are
often perfectly reasonable. But clearly the bookmaker, in this case, is not basing the
probability on the frequency with which Mr X has become leader of the Labour Party in
the past; that frequency is zero! Probability-estimates of this kind are sometimes quite
reasonable, but there is no immediate and simple recipe for basing them upon frequencies
or proportions.3 In such cases, we cannot simply convert a proportion or a frequency into a
probability.
2 Another common basis for probability-estimates is the use of models. For example, if an engineer wants to
estimate the probability that a new aeroplane design will be stable at very high speeds, he or she might build a
real or computer model and test it under simulated conditions; if the model is stable under the simulated
conditions, then the engineer might infer that the actual aeroplane is likely to be stable under actual conditions.
3 This is not to say that such estimates cannot be based upon proportions or frequencies. In fact, they typically
are: it is precisely the task of those whose profession is to estimate probabilities (in the insurance industry, for
example) to base the estimates upon relevant proportions, frequencies and other data. More generally, to say
that a degree of expectation is rational, it seems, is precisely to say that some such statistical facts are available in
terms of which the expectation can be justified. However, such justifications often turn out to be extremely
complex, and in many cases we seem to know that probability-estimates are well-founded even when we are
unable to explain them adequately. Since degree of rational expectation is arguably the most inclusive or general
characterisation of probability, our strategy here is to proceed without requiring that probability-claims always
be justified in terms of statistics. The science of such justifications – taught in courses in Statistics and
Probability Theory – is extremely interesting and of ever-increasing importance.
logic: inductive force92

Because of these complications, we shall take degree of rational expectation as our
general concept of probability.4 A person’s degree of rational expectation in a given
proposition is the degree to which he or she is entitled to believe it, given the evidence
he or she has. Besides the fact that this concept of probability is more widely applicable
than others, it has the further advantage that it corresponds to the way that the
word ‘probably’ is typically used: when we say, ‘That’s probably true’, we typically mean
that our total sum of evidence makes it reasonable to expect the proposition in question
to be true.
This can best be appreciated by thinking again of something like cards. Suppose George
has a card face down on the table before him; he doesn’t know what it is, but he has been
correctly informed that it is red. Since George knows that clubs are black, he can be
perfectly certain – rationally completely certain – that the card is not a club. So his
degree of rational expectation that the card is not a club is 1 (equivalently: his degree of
rational expectation that the card is a club is 0). Provided he knows that hearts and
diamonds are the only red suits, his degree of rational expectation that the card is a heart
is 1/2.
Notice two things about this characterisation of probability in terms of rational expect-
ation. First, it is clear that the basis for assigning degrees of rational expectation
may consist in proportions. It is because George knows the relevant proportions that we
can assign degrees of rational expectation in this case. In other cases, frequencies provide
the basis for assigning degrees of rational expectation. In further cases, we may assign
degrees of rational expectation without knowing either relevant proportions or relevant
frequencies.
Second, notice that when assigning degrees of rational expectation, we spoke of the degree
to which one is entitled to believe something, given such-and-such evidence. Since we are
taking the degree of rational expectation as our concept of probability, what this means
can be expressed by saying that our key concept is the concept of conditional probability.
That is to say, what we are interested in is the probability that a proposition is true, given
that, or on the assumption that, some given set of propositions is true. More exactly, this is
the degree to which it would be reasonable to accept a certain proposition, given no other
relevant information except that contained within a certain set of propositions. In George’s
case, his evidence is that the card is red (along with the fact that exactly half the red cards
are hearts). So the conditional probability of the proposition the card is a heart, relative to
the proposition the card is red, is 1/2.
We can now say more precisely what an inductively forceful argument is:
4 There are many terms in the existing literature for this; common ones include ‘epistemic probability’ and
‘rational credence’.
logic: inductive force 93

Let [P] stand for one or more premises, and let A stand for a conclusion. Suppose
we have an argument:
[P]...
C) A
To say that such an argument is
inductively forceful
is to say that the conditional
probability of A relative to the set [P] is greater than one-half, but less than 1. (The
degree of inductive force of an argument is the conditional probability of A relative
to [P].)
This is our ‘official’ explanation, but you may find it more helpful to think of inductive
force along the lines of the following:
To say that an argument is
inductively forceful
is to say: The argument is not
deductively valid, but, if the premises are true (or were true), then, given no
information about the subject-matter of the argument except that contained in the
premises, it would be more reasonable to expect the conclusion to be true than it
would to expect it to be false.
Or we can say: relative to the information contained in the premises [P], the conclusion is
more likely to be true than false.
There are several further points to bear in mind as regards probability and inductive force.
1 It is true that we do not always express probabilities as conditional probabilities.
For example, if we simply pick a card at random from the deck, it seems we can say
outright that the chance of its being an ace is 1/13. So, it seems we do ordinarily
attribute probability to a single proposition without stopping to specify any further
information. Usually, however, this is only because the relevant further information
upon which the probability-claim is based is left implicit; it is sufficiently well-known
such that we don’t have to mention it explicitly. In this case, the relevant information
that one would normally take for granted is that the deck is standard and complete,
in which case four of its fifty-two cards are aces. Sometimes, however, the relevant
background is relatively vague, as in the example above about the leader of the
Labour Party, but still the relevant information, though only dimly glimpsed, exists.
So long as it is kept in mind that there must be a relevant set of information or some
premises in the picture, it is perfectly harmless to attribute probability to single
propositions, and we will sometimes do so.
2 Probability of the kind that we are speaking of is not an alternative to truth or falsity
in the way that finishing in the middle of the league table (or standings) is an
logic: inductive force94

alternative to finishing at the top or at the bottom. Nor is probability a kind of truth.
To say that a proposition is probable, in this sense, is to say that it is most likely to be
true. It is to express an expectation, which falls short of perfect certainty, that a
proposition is correct. What one says is true, if the evidence upon which the claim is
based really does make the expectation rational. The idea is not that there is some
third thing between truth and falsity, namely probability. For example, if I know that
Reggie has taken his driving test today, and I say, ‘Probably, Reggie failed his driving
test’, I am not saying, ‘It isn’t true that Reggie failed his driving test, and it isn’t false;
it’s probable that he failed it’. No: either it is true that Reggie failed his driving test or
it is false. That is, there are two possible states of affairs: either he failed the test or he
did not. There is no mysterious third state of affairs, i.e. that he probably failed it.
Rather, the function of the word ‘probably’ is to indicate that the evidence makes it
rational to believe, but does not make it certain, that the proposition is true.
3 Unlike truth, probability is a matter of degree; different propositions may have
various degrees of probability (relative to a given body of information). For example,
given the information we have, it is very highly probable that in the year 863 BC
someone ate a mushroom. But there is a very tiny possibility that no one did. It is
somewhat less probable, but still probable, that someone will swim the English
Channel during the year 2046. It is possible, but improbable, that someone swam the
English Channel in the year 863 BC. We do sometimes specify probabilities in terms
of numerical values, but often the probability of something being the case cannot be
estimated with enough precision to justify assigning an exact numerical value. Some-
times the most we can do is to rank probabilities; for example, we can say with
confidence that a certain man is more likely to eat a cucumber than he is to visit
Japan during the coming year, but we cannot assign precise numerical probabilities to
these propositions in the way that we can with the cards. And sometimes we cannot
even rank them with confidence. Of single propositions, the most we can say in
such cases is ‘that’s probable’, or ‘that’s very probable’, or ‘that’s improbable’. (By
‘probable’, remember, we mean the case in which the probability is greater than 1/2;
by ‘improbable’ mean the case in which it is less than 1/2; something can be neither
probable nor improbable, if its probability is exactly 1/2.)
Because of this, inductive force, unlike deductive validity, is also a matter of degree.
We cannot say that one argument is more valid than another, but we can say that one
argument is more inductively forceful than another. Validity was defined in terms of
impossibility, in which case the probability is zero (look at the definition of validity
again). Validity is thus all-or-nothing. Indeed, one could define validity simply as the
‘limiting case’ of inductive force – the case in which the conditional probability of
the conclusion relative to the premises is 1. That is, we can think of arguments as
being arranged on a scale of conditional probability, ranging from deductively valid to
a complete lack of inductive force (see Figure 4.1).
Thus an argument may be inductively forceful but only to a very small degree.
For example, if you know that fifteen of the twenty-nine children in the class
are wearing white shoes, then you have an inductively forceful argument for the
logic: inductive force 95

conclusion that the child who got the highest mark in spelling is wearing white shoes.
But the probability of that conclusion, relative to the premise, is only slightly better
than 1/2; so the argument is just barely inductively forceful. It is inductively forceful,
but only to a low degree.
4 As ordinarily used, the term ‘probably’ is somewhat vague. Usually, when we say
something like ‘David will probably win the match’, we don’t just mean the
probability of his winning is greater than 1/2; we mean it is substantially higher than
that. But exactly how much higher must it be, if it is to be appropriate to say
‘probably’? Of course, there is no exact answer. The person saying this may be willing
to give a more precise figure, but they needn’t in order to be entitled to use the word
‘probably’. In fact, there is good reason to maintain that the use of ‘probably’ is
appropriate if, and only if, the intended probability exceeds 1/2. If you are asked ‘Is
David going to win?’, and you think his chances are better than 50–50 but only just,
it is appropriate to say ‘probably’ – but in doing so, you would normally use a
hesitating tone of voice to convey that you put the probability at only just over the
50–50 threshold.
What is very likely is that ordinary uses of ‘probably’ mean a probability of greater
than 1/2, but typically carry a conversational implicature that the probability
substantially exceeds that threshold (see Chapter 1, pp. 10–11, for discussion of
conversational implicature). We can cancel the implicature through tone of voice.
Exactly the same point goes for the quantifier ‘most’. If someone were to make an
accusation by saying, ‘Most students cheated on the exam’, they would probably
intend to convey that substantially more than half of them cheated, not just a bare
majority. Nevertheless, if were to turn out that fifteen of the twenty-nine students in
the class cheated, the accuser might be surprised, but would not thereby be found
to have spoken falsely. The concept of conversational implicature captures this point
perfectly.
Figure 4.1
logic: inductive force96

For these reasons we define inductive force as conditional probability of premises to
conclusion greater than 1/2. Because of this, it is sometimes important to make sure
we do not underestimate the inductive force of an argument; if an argument has a
high degree of inductive force, we should say so, and not pronounce simply that the
argument is inductively forceful. When assessing inductive arguments, it is usually
important to specify, as accurately as we can, the degree of inductive force.
5 Whether or not an argument is deductively valid does not depend on whether anyone
thinks it is. Likewise, probability, in our sense, is the degree to which it is rational or
reasonable to expect something to be true (given a certain set of premises), irrespec-
tive of how likely we actually think it to be. When we claim that an argument is
inductively forceful, we are not always correct. We may think that a set of premises
(our evidence) makes it reasonable to accept a conclusion, when in fact it is not.
Rational expectation concerns what is in fact reasonable, not what any particular
person thinks is reasonable.
We can reinforce this point by considering a case in which everyone will agree that
rational expectation depends on proportion. Suppose that Fiona is asked to pick a
card at random. Her chance of getting, say, a heart, is exactly one in four. Her chance
of not getting a heart, then, is three in four, or 3/4. So she will probably not get a
heart. If she is perfectly rational and well-informed, she will be 3/4 certain that she
won’t get a heart. Suppose, however, that Fiona is not perfectly rational. She thinks
that since she has recently fallen in love, she probably will choose a heart. She might
express her thinking so by saying, ‘I’ll probably choose a heart’. Nevertheless, the
probability that she will not choose a heart is greater – indeed, three times as great –
as the probability that she will. Fiona’s actual degree of expectation is higher than the
degree of rational expectation. More generally, we can observe that different people,
going on the same set of premises, can have different degrees of expectation that
something is or will be true; but by and large there is only one correct answer as to
how reasonable it is to infer the conclusion from the premises.
6 Like the validity or invalidity of an argument, the degree of inductive force of an
argument is independent of the truth-values of the premises. This can be seen most
easily in the case of a completely fictional example, in which the question of the
truth-values of the premises cannot even arise:
P1) Almost all Zormons play chess.
P2) Trozak is a Zormon.
C) Probably, Trozak plays chess.
Of course this is not even a real argument, since there are no such beings as Zormons, and
no such being as Trozak. Nevertheless, if there were, then this certainly would be an
inductively forceful argument. If you did not know whether or not these beings exist, you
would still be right to say that if this did express a real argument, it would be inductively
forceful. Whether or not there is such a being as Trozak or such beings as Zormons, and
whether or not P1 is true, are thus irrelevant to the estimate of inductive force.
logic: inductive force 97

However, it is important to reiterate that we have adhered, so to speak, to a non-
mathematical definition of probability and hence of inductive force. Proportions, statistics
and frequency are not the whole; degree of rational expectation may be, but are not always,
based on them. This means that part of what we are doing in asking whether an inference
is inductively forceful relative to a set of premises is to ask whether a human agent – given
what human agents ordinarily know – would be rational or reasonable in expecting the
conclusion to be true. This is precisely what our definition of probability as degree of
rational expectation brings to the fore: some estimates of probability depend inscrutably
on human ‘intuition’. True, this means that in some cases, two arguers, with the best
intentions as critical thinkers, may legitimately disagree on the inductive force of an
argument. But the correct response to this possibility is not to conclude that both are
correct, hence that there is an unresolved element of irrationality in critical thinking. The
correct response is to insist that such possibilities should be resolved by working harder at
making the implicit propositions that divide people explicit.
‘ALL’, ‘MOST’ AND ‘SOME’
To say that all rodents have tails is the same as saying, ‘Every rodent has a tail’, or ‘Any
rodent has a tail’, or ‘No rodent has no tail’. To say that most rodents have tails is to say
that more than half of all rodents have tails, or that there are more rodents with tails than
there are without them. But what about ‘Some rodents have tails’? What proportion of
rodents must have tails for that to be true? In fact, that is a bad question. Such a statement
does not tell you what proportion of rodents have tails. Consider this argument:
P1) Some patients who have been treated with X have developed liver disease.
C) If I am treated with X, then I will develop liver disease.
This argument is not inductively forceful. P1 could be true even if, say, three patients
developed liver disease upon being treated with X, yet thousands were treated with X
without developing liver disease.
That much should be fairly obvious. But the word ‘some’, as ordinarily used, can be rather
tricky. Often, when we actually say something of the form ‘Some A are B’ (such as P1), we
say it when we believe that more than one A is B, but that not all A are B. Often when
using the word this way, we say, ‘Only some A are B’. Other times, we say it when we
believe that more than one A is B, but do not know whether or not all A are B. For
example, a medical researcher who discovers a few patients that have developed liver
disease after being treated with X might use the sentence P1 to announce the discovery –
but this would be to leave open the possibility that perhaps all patients treated with X
develop liver disease. He would not be ruling it out.
For the purpose of reconstructing arguments it is most convenient to assume the latter
understanding of ‘some’, whereby ‘some A are B’ does not rule out that all A are B. It does
logic: inductive force98

not say, ‘Some, but not all, A are B’. In this sense, ‘Some A are B’ means ‘Some, perhaps all,
A are B’.
Further, when using ‘some’ in our argument-reconstructions, we will take it to mean
‘at least one’. That is: if only one A is B, then it will be true that some A are B. On this
understanding of ‘some’, what ‘Some rodents have tails’ means is simply that it is not the
case that no rodents have tails. Similarly, ‘Some rodents do not have tails’ means the same
as ‘Not all rodents have tails’. This departs slightly from what ordinary language typically
suggests, but it is much more convenient for our purposes. If, when reconstructing an
argument, it is clear that by ‘some’ the arguer means ‘at least two’, then we can simply
make this explicit in the reconstruction, writing ‘at least two’.
SOFT GENERALISATIONS: A REMINDER
It is worth re-stressing a point introduced in Chapter 1 (pp. 36–38), namely that in
reconstructing arguments with generalisations, we should always supply missing
quantifiers. We often run across arguments like this:
The Government’s policy is based on the claim that violent offenders re-offend.
I resent and refute this claim utterly. My nephew was imprisoned in his late teens
on an armed robbery conviction but unlike a lot of these wasters he thoroughly
sorted himself out; he’s now been married with a steady job for many years and
there is no way he’s going to commit a crime again.
The arguer seems to argue that the generalisation ‘violent offenders reoffend’ is refuted by
the existence of a violent offender who has not re-offended. And of course this argument
would be valid:
P1) My nephew is violent offender who has not re-offended and will not.
C) Not all violent offenders re-offend.
But it’s very unlikely that the Government asserted that all violent offenders re-offend.
More likely, they asserted that most do, or that the frequency of violent offending among
those who have already committed a violent crime is significantly higher than it is among
those who have not, or some such thing. If so, then the single example of the arguer’s
nephew does little or nothing to undermine the Government’s claim.
The issue arises frequently in everyday life, and is a common but easily avoided source of
misunderstanding and tension between people. For example, Sandra arrives late yet again
for a date with Peter, who is justifiably peeved:
Peter: You’re always late!
Sandra: That’s not true! Why do you attack me so? Last Friday I was early! Let’s have
some champagne, Mr Grouch.
logic: inductive force 99

If Peter had said, for example, ‘You’re late most of the time’, then, although it wouldn’t be
quite as pungent as what he did say, it would focus Sandra on the relevant issue; it
wouldn’t have invited Sandra to make the diversionary response that she did. Precise
generalisations make it harder to set up smokescreens and red herrings.
INDUCTIVE SOUNDNESS
You can probably guess what this is, by analogy with the definition of deductive soundness:
To say that an argument is inductively sound is to say: It is inductively forceful and
its premises are (actually) true.
The important thing to note here is that an inductively sound argument, unlike a deduc-
tively sound argument, may have a false conclusion. That possibility is precisely what is
left open by the definition of inductive force – an inductively forceful argument is the
case where the truth of the premises makes the truth of the conclusion probable, but does
not guarantee it. Look again at the last argument given concerning Fiona, who lives in
Inverness. Suppose it is true that Fiona lives in Inverness, and that almost everyone there
has some woollen garments. An argument with those two facts as premises, and that Fiona
has at least one woollen garment as a conclusion, would be inductively sound – even if, as
it happens, Fiona has no woollen garments.
Note that we have not said that one should always be convinced by inductively sound
arguments. You could know that an argument is inductively sound, but also know, for
independent reasons, that the conclusion is false (review the discussion of inductive
soundness if this is surprising). We will return to this point in Chapter 6.
PROBABILITY IN THE PREMISES
So far in this chapter we have mostly considered premises expressing proportions, such
as ‘Most Zormons plays chess’. Proportions are expressed using quantifiers such as ‘most’,
‘95 per cent of’, and the like. But consider this case:
P1) If Napoleon is not ill then the French will attack.
P2) Probably, Napoleon is not ill.
C1) Probably, the French will attack.
This argument is inductively forceful, but it does not contain any quantifiers. The reason
that the truth of the premises would not guarantee that the French will attack, of course, is
the presence of the word ‘probably’ in P2; it is only said to be probable that Napoleon is
logic: inductive force100

not ill. (We would get the same result if in place of P2 we wrote ‘Napoleon is probably not
ill’, or ‘It is unlikely that Napoleon is ill’, or some other sentence synonymous with P2 as
written.)
Note that words such as ‘probably’ can also occur in the antecedents and consequents of
conditionals. For example:
P1) If Napoleon is not ill then, probably, the French will attack.
P2) Napoleon is not ill.
C1) Probably, the French will attack.
This too is an inductively forceful argument.
ARGUMENTS WITH MULTIPLE PROBABILISTIC
PREMISES
Sometimes, probabilistic elements can occur in more than one premise. Assessing such
arguments can be tricky. For example, suppose we have just dropped James off at the
airport, and are wondering whether he made it to his flight in time. You argue:
P1) James is not likely to have lost his passport.
P2) James is not likely to have been delayed by a long queue at check-in.
C) Probably, James made it to his flight on time.
If ‘not likely’ means ‘probability is less than one-half’, then the argument, as stated, is not
inductively forceful. Nor does it become inductively forceful if we make it explicit that the
only things that could prevent James from making his flight on time are the loss of his
passport or being delayed by a long queue at check-in:
P1) James is not likely to have lost his passport.
P2) James is not likely to be delayed by a long queue at check-in.
P3) If James has not lost his passport or been delayed by a long queue at check-in,
then he will have made it to his flight on time.
C) Probably, James made it to his flight on time.
The reason is that, in this case, the ways in which James could fail to make his flight,
though individually not likely, may be collectively likely; that is, the probability of losing his
passport or being delayed by a long queue at check-in may, for all that the premises state,
exceed one in two (1/2). So in order to have an inductively forceful argument, we would
require the premise that the probability of his losing his passport or being delayed by a long
queue at check-in is less than one in two.
logic: inductive force 101

The example about James is an example of multiple probabilistic premises where the
probabilities are independent: whether or not one loses one’s passport has no bearing
on whether one is delayed by a long queue at check-in, and whether or not one is delayed
by a long queue at check-in has no bearing on whether one loses one’s passport. But other
examples exhibit probabilistic dependence; for example, James’s accidentally and unknow-
ingly leaving his passport at the check-in counter and his failing to get through passport
control are not independent outcomes, since if the former happens then the latter is sure
to happen.5
The example just given above in standard form involves two independent probabilistic
premises that each bear upon the conclusion separately (although, as stated, they do not
add up to a reason to accept the conclusion). But independent probabilistic premises can
also cause confusion in another way, when used in combination. Consider the following,
which has the underlying structure of a chain argument discussed in Chapter 3:
P1) Most Americans are people who were born in America.
P2) Most people who were born in American are white.
C) Most Americans are white.
Note that the argument tree for this is as shown in Figure 4.2.
5 The exact meaning of the independence of two events is: B and C are independent if and only if the
conditional probability of B given C is equal to the probability of B. When B and C are independent, then some
simple, useful relationships hold. First, the probability that event A does not happen is always 1 − A. Then the
probability of the conjunction of B and C (i.e. both happen) is simply the probability of B multiplied by the
probability of C. In symbols: Pr(B and C) = Pr(B) Pr(C). Then since ‘B or C’ means the same as ‘Not both: not-B
and not-C’, it follows that the probability of the disjunction (B or C) is 1 minus the probability of neither B nor
C. In symbols: Pr(B or C) = 1 − [Pr(not-B and not-C)]. The conditional probability of B given C is normally
written Pr(B/C), and is defined as the probability of the conjunction (B and C) divided by the probability
of C. In symbols:
Pr(B/C) =Pr(B and C)
Pr(C)
A familiar example of a set of possible outcomes that are independent is the case of rolling a die; if the possible
outcomes are specified as the six possibilities of rolling a one, a two and so on, then each outcome has no bearing,
either logically or causally, on any other. So if you roll it n times, you have n independent outcomes. A familiar
example of a set of possible outcomes that are not independent is the case of drawing cards. What are the
chances that the first card you draw from a complete deck is a heart? One in four cards in the deck is a heart, so
the chance 0.25. What is the chance that your next card is a heart? It depends, and it is not 0.25! If the first card
you drew was a heart, then 12 of the remaining 51 cards are hearts, so the probability is about 0.235. If the first
card was not a heart, then 13 of the remaining 51 are hearts, so the probability is about 0.255. The outcome of
the second draw is not independent of the outcome of the first, and this shows up in the difference between the
conditional probability of drawing a heart given that you first drew a heart, and that of drawing a heart given
that you first drew a non-heart. This is only scratching the surface of the vast subject of probability and statistics.
However, you can learn enough from the most basic textbooks on probability or statistics to equip you to be far
more savvy and critical than most people in interpreting and evaluating the sorts of statistical claims made in the
media and elsewhere.
logic: inductive force102

This argument, as stated, is not inductively forceful. Strictly speaking, ‘most’ guarantees
only that the statement is true of more than half of the given group. The premises could
well be true, then, in the following circumstances: slightly more than half the American
people were born in America; slightly more than half the American-born people are white.
If that were so, then the proportion of white Americans would be slightly more than half
of slightly more than half the American population. Since half of a half is 1/2 ×1/2 =1/4,
this means that, in these circumstances, the proportion of white Americans would be a
little bit more than 1/4. It is important, in such cases, to determine whether or not the
proportions indicated by ‘most’ are sufficient for the purpose of the argument.
The same sort of thing applies when a word such as ‘probably’ occurs more than once in
the premises, or a premise with a word like ‘probably’ and a premise with a quantifier such
as ‘most’:
P1) Probably, James will gain a science degree.
P2) Most people with science degrees earn better-than-average salaries.
C) James will earn a better-than-average salary.
Once again, this argument is not inductively forceful. However, if the argument were
changed so as to indicate a sufficiently high probability of James’s gaining a science degree,
and/or to indicate a sufficiently high proportion of science degree-earners earning better-
than-average salaries, then the argument would be inductively forceful.
Another tricky situation that sometimes arises is illustrated by the following:
P1) Nine out of ten Green Party members are vegetarians.
P2) Only one in ten non-Green Party members are vegetarians.
P3) Alastair is a vegetarian.
C) Alastair is a Green Party member.
Figure 4.2
logic: inductive force 103

It is tempting to think that this argument is inductively forceful; you might reason: very
few outside the Green Party are vegetarians, and almost all Green Party members are
vegetarians; so surely if Alastair is a vegetarian, then mostly likely he’s a Green Party
member. But this would be a mistake (the mistake is known as the ‘base rate fallacy’;
see the discussion in Chapter 7, pp. 206–207). In fact, even if P1 said that all Green Party
members are vegetarians, the inference would be mistaken. For suppose that only one out
of every 101 people (in the UK, for example) is a member of the Green Party. If the
remaining (non-Green) population is 10 per cent vegetarian, then, since every Green is
vegetarian, eleven out of every 101 people are vegetarian. But only one of those eleven is a
Green. Thus ten out of every 101 people are non-Green vegetarians, and the non-Green
vegetarians outnumber the Green vegetarians by ten to one! So if you meet a vegetarian
such as Alastair, then, unless you had other reasons to think he is a Green, the reasonable
expectation would be that he is not a Green. Summing up, then, the premises do not give
you a good reason to think that Alastair is a Green.
Similarly: all plumbers own pipe wrenches, and few non-plumbers own them; but these
facts do not entitle us to say that if someone owns a pipe wrench, then probably, they are a
plumber. As a matter of fact, many DIYers own pipe wrenches. And there are a lot more
DIYers than there are plumbers. So the number of non-plumbers owning pipe wrenches
may well outnumber the plumbers.
INDUCTIVE FORCE IN EXTENDED ARGUMENTS
The conclusion of an inductively forceful argument may serve as a premise for a further
argument, which may itself be deductively valid, inductively forceful or neither. However,
if any sub-argument of an extended argument is not deductively valid, then the argument
as a whole is not deductively valid. At most, it is inductively forceful. Here is a hybrid
extended argument that illustrates the point:
P1) If Napoleon is not ill then the French will attack.
P2) Probably, Napoleon is not ill.
C1) Probably, the French will attack.
P3) If the French attack, then the Prussians will be routed.
C2) Probably, the Prussians will be routed.
If the first argument were valid, entitling us to assert C1 categorically – that is, without
the qualifier ‘probably’ – then since the argument from C1 and P2 to C2 is deductively
valid, there would be no need to write ‘probably’ beneath the second inference bar. As it
stands, however, C2 inherits the qualifier ‘probably’ from its ultimate source in P2. The
logic: inductive force104

simplest way to think of this is to think of C2 as a proposition inferred from three
premises: P1, P2 and P3. If the word ‘probably’ were deleted from P2, then that argument
would be deductively valid. As it stands, however, that argument is only inductively
forceful.
CONDITIONAL PROBABILITY IN THE CONCLUSION
Consider the following argument:
If you start a new internet company, then probably it will fold, or get bought by
another company within three years. Most new internet companies do.
The conclusion of this argument is not ‘Probably, your new internet company will fold or
be bought by another company within three years’. It is, rather, ‘If you start a new internet
company, then, probably, it will fold or get bought by another company within three
years’. Its conclusion, then, states a conditional probability. We can reconstruct it like this:
P1) Most new internet companies either fold, or get bought by another company,
within three years.
C) If you start a new internet company, then, probably, it will either fold, or be
bought by another company, within three years.
As before, when judging the inductive force of this argument, the thing to do is to suppress
the word ‘probably’ in the conclusion. So understood, the conclusion might be false when
the premise is true – if you started the new company but it survived beyond three years –
so the argument is not valid. But according to P1, if you do start an internet company,
chances are that it will not survive for three years. So we may insert the word ‘probably’.6
EVIDENCE
Arguments presented as being inductively forceful may have several premises. Consider
the following:
6 Note that a conclusion of the form ‘If P, then, probably, Q’ is quite different from something of the form
‘Probably, if P then Q’. In fact in ordinary speech, the latter form is quite unusual, and we never use it in this
book. Even when we say, for example, ‘Probably if Ronaldo plays, he’ll score’ what we mean is ‘If Ronaldo plays,
then, probably, he will score’. It depends on exactly what the English ‘if–then’ is taken to mean, but at least on
one orthodox reading of it, the probability that a conditional ‘If P then Q’ is true is much higher than the
conditional probability of Q relative to P. Thus ‘Probably (If P then Q)’ can be true when ‘If P, then, probably,
Q’ is false. For example, if the initial probability of P and Q are both very low, then the former can be true even
though P and Q are completely independent, so the conditional probability is low (in which case the latter
statement is false).
logic: inductive force 105

The case against Dr X can be summed up as follows: Dr X, a medical doctor, has the
knowledge, and had the opportunity, to carry out the type of gradual programme of
strychnine poisoning that killed the victim. He had a strong motive for the murder.
And finally, Miss Y, a reliable witness, has testified that Dr X expressed to her his
wish that the victim were dead.
Let us grant that the case against Dr X is compelling. Here are four facts that seem jointly
to condemn Dr X as the murderer. The case does not take the form of a deductively valid
argument; it would not be impossible for these facts to be as the arguer says, yet Dr X
be innocent. But it is crucial to recognise that the case should not be reconstructed as
four separate arguments, each presented as inductively forceful in its own right. The
prosecutor’s case is based on four premises:
P1) Dr X has the knowledge to carry out the type of gradual programme of
strychnine poisoning that killed the victim.
P2) Dr X had the opportunity to carry out the murder.
P3) Dr X had a strong motive for the murder.
P4) Miss Y, a reliable witness, has testified that Dr X expressed to her his wish that
the victim were dead.
These constitute the evidence against Dr X. But an argument for the conclusion that Dr X
murdered the victim, based on P1 alone, would not be inductively forceful. If it were, then
the argument would point with equal force to the guilt of a great many other people with
the requisite knowledge of strychnine. Nor would an argument similarly based only upon
P2, P3 or P4. If the prosecutor were to advance any of these four separate arguments by
itself, then the jury could only conclude that the prosecutor lacks a compelling case: none
of the arguments would be inductively forceful. It is essential to the prosecutor’s case that
these four items of evidence point jointly though independently to the defendant’s guilt, as
indicated by the argument tree in Figure 4.3:
Figure 4.3
logic: inductive force106

The argument, then, should be constructed like this:
P1) Dr X has the knowledge to carry out the type of gradual programme of
strychnine poisoning that killed the victim.
P2) Dr X had the opportunity to commit the murder.
P3) Dr X had a strong motive for the murder.
P4) Miss Y, a reliable witness, has testified that Dr X expressed to her his wish that
the victim were dead.
C) It is highly probable that Dr X murdered the victim.
This is how it is with items of evidence: if both B and C are evidence for A, the conjunction
of B and C is (typically) stronger evidence than B or C alone.7 Put in terms of arguments,
the argument with B and C as premises is more forceful than either the argument with B
as a premise or that with C as a premise.
Note also that in this example we have a case where the estimate of inductive force does
not appeal to a proportion or a frequency, and does not depend on the presence of a
probabilistic premise. The basis for the inference from premises to conclusion is left
inexplicit. This does not mean that we could not at least to some degree make it more
explicit. For example, we might include the premise that very few people have the kind of
knowledge described in P1. But it is not always appropriate to try to do so; for example, the
exact ways in which P2–P4 contribute to the argument cannot easily, and probably not
very usefully, be spelled out.
INDUCTIVE INFERENCES
Consider the following argument:
So far, every one of several goldfish I’ve had has died when I fed it cat food. There-
fore, if I feed my new goldfish cat food, it will die.
This inference seems reasonable, but how do we reconstruct the argument? We might try:
P1 (a) All goldfish die if fed cat food.
C) My new goldfish will die if I feed it cat food.
7 This holds so long as B and C are independent: whether or not B occurs has no bearing on whether or not C
occurs, and vice versa. Otherwise the situation is more complicated; see footnote 5.
logic: inductive force 107

Or:
P1 (b) Most goldfish die if fed cat food.
C) Probably, my new goldfish will die if I feed it cat food.
The first argument is valid and the second inductively forceful. But there is a problem
with these reconstructions. The arguer has not asserted either version of P1. What he
has asserted is that all the goldfish to which he has fed cat food have died. The sample of
goldfish with which the arguer has had this experience is only a tiny fraction of the total
number of goldfish in the universe. So the arguer has not said anything about all, or most,
goldfish. Presumably the arguer does believe either P1(a) or P1(b), but, if so, he does so on
the basis of his previous experience with goldfish and cat food. Somehow, the arguer must
get from the proposition ‘Every goldfish I’ve had has died when I fed it cat food’ to ‘My
new goldfish will die if fed cat food’, or even ‘Most (or all) goldfish die when fed cat food’.
So far, in our discussions of arguments, we have said nothing to help us with this sort of
inference.8
However, this kind of inference is very common, both in science and in ordinary life. We
call it an inductive inference. This is our name for the case when you extrapolate from a
sample of a total population of things either to something outside the sample, or to a
generalisation about the population as a whole (so far, we have always gone the other way
– either from a generalisation about a whole population to a claim about some smaller
sample, or from the whole population to a claim about a single member of it). In the above
case, the arguer needs to extrapolate directly from the sample of goldfish they have
experimented with to a proposition about the new goldfish:
P1) Every observed goldfish has died when fed cat food.
C1) My new goldfish will die if I feed it cat food.
If we judge this inference to be inductively forceful – let as assume for the moment that it
is – then, just as with any inductively forceful argument, we write ‘probably’ before the
conclusion:
8 As we pointed out, many probabilities can be based upon proportion. One of the tasks of statistical analysis
is to show how this is so, even in cases that might initially seem to resist this strategy. Inductive inferences
represent a class of cases where proportion certainly cannot be applied straightforwardly. If we know that, say,
74 per cent of the past 956 cases of A have been cases of B, we cannot without further ado assume that the
probability that the next case of A will be a case of B is 74 per cent. The next case of A is not among the set of
cases for which that proportion is known to have held. So it is not like the case of a card face down on the table,
which is drawn from set of cards for which the relevant proportion is known. In the inductive case we have to
make the further assumption that probabilities taken from proportions of known cases can be transferred to
unknown cases. Of course such inferences do often seem to be rationally justified; the question of why this is so
– the ‘Problem of Induction’ – was first raised by David Hume in his Treatise of Human Nature (1739), and
remains an open problem.
logic: inductive force108

P1) Every observed goldfish has died when fed cat food.
C1) Probably, my new goldfish will die if I feed it cat food.
Alternatively, the arguer could have obtained this conclusion by a slightly longer route.
The arguer might have reached the conclusion by means of an extended argument, com-
prising an inductive inference to a generalisation about all goldfish, together with a second,
deductively valid inference from that generalisation to the conclusion concerning the
arguer’s new goldfish:
P1) Every observed goldfish has died when fed cat food.
C1) All goldfish die if fed cat food.
C2) My new goldfish will die if I feed it cat food.
However, assuming the truth of P1, one could not assert the conclusion here with
quite as much confidence as in the first case. We may assert C2 with as much, but no
more, confidence than that with which we may assert C1. But since C1 is a generalisa-
tion about all goldfish, it stands a greater chance of being false than C1 of the first
goldfish-argument – a statement about a single goldfish. The reason is that the second
argument depends upon a more ambitious extrapolation than the first, one that is not
needed for the desired conclusion. Yet, the inferences to C1 in either case are funda-
mentally of the same type. They are both extrapolations from observed cases to
unobserved cases. Each can be thought of as an extrapolation from a sample to a larger
population of which the sample is a part. In the first case we can think of the larger
population referred to as comprising the sample (the observed goldfish) plus this one
new goldfish. In the second case, obviously, the larger population is simply the total
population of goldfish. Some inductive inferences are concerned to make a broad gen-
eralisation (all goldfish); others are concerned only to extend to a few new cases, or to
a single new case (the new goldfish). But they are fundamentally the same type of infer-
ence. Thus we define:
To say that an inference is an inductive inference is to say: (a) it is not deductively
valid; (b) its premises include a generalisation about a sample of a given
population; and (c) its conclusion extrapolates the generalisation to all or part of
the total population from which the sample is drawn.
Requirement (a) is to avoid counting the following sort of inference as inductive: ‘Some
black cats have no tails; therefore not all cats have tails.’
Inductive inferences frequently extrapolate from past to future. For example, if we infer,
from Ireland’s never having won the football World Cup, that probably it never will, our
logic: inductive force 109

sample is all the World Cups that have so far been contested, and the total population is
the set of all World Cups – past, present and future.
Often the conclusion of an inductive inference is a statistical generalisation such as ‘37 per
cent’. For example, when a pollster finds that 37 per cent of a sample of the adult British
population supports a given political party, the pollster might conclude that 37 per cent of
the adult British population supports that party. In such a case, the sample is the sample
polled, and the total population is the entire adult population of Great Britain. Instead
of extrapolating 100 per cent (‘all’) from sample to total population, we extrapolate the
figure ‘37’.
How representative is the sample?
In our characterisation of inductive force, we said that it should concern itself only with
the probability of the conclusion relative to the information given by the premises. The
inductive force of an argument is the same as the conditional probability of the conclusion
relative to the premises. This means that, in order to maximise the inductive force of an
argument, everything known to be relevant to the inductive force of an inference should
be stated in the premises.
We said that we would assume the first standard formulation of the inductive inference
about goldfish to be forceful as stated, but it lacks one bit of information to genuinely
make it so. For, as stated, the premises could be true, even though one had only one
goldfish in the past, whereas the original statement of the argument speaks of several past
goldfish. If so, then the inference to the new goldfish would be rather weak. What is
missing is a premise that says that the sample forming the basis of the inductive inference is
representative.
To illustrate further, suppose you live near the North Pole, and every bear you’ve ever seen
is white. So you argue:
P1) Every observed bear is white.
C) All bears are white.
Formally, this argument is just like the one about the goldfish. But, whereas the goldfish-
inference seemed at first to be correct, this one definitely seems not to be. Only a minority
of bears are white (polar bears, and perhaps some albinos of other species). The difference
is that, whereas the goldfish-arguer can reasonably assume that the sample of observed
goldfish was representative of the total population of goldfish, the bear-arguer cannot.
That is, the goldfish-arguer can reasonably assume that the sample of goldfish was
relevantly similar to the total population, but the bear-arguer cannot. Polar bears are only
one of many species of bears, and if you know anything about zoology and adaptation,
you know that a trait like colour, though somewhat likely to be similar across a single
species, is not nearly so likely to be similar across different species, even within the same
logic: inductive force110

genus or families of species. Further, you can reasonably assume that mammals living in
non-snowy regions are much less likely to be white than ones living in perpetual snow (it is
advantageous to carnivores to blend visually into the background, so in snowy regions
white bears will have a greater chance of survival and procreation, in which case the gene
for white fur is more likely to get passed on). Being a different species, which lives in a
completely different climate, is certainly a relevant difference when drawing inductive
inferences about colour with respect to classes of mammals, even if the species is a closely
related one.
How do you know whether a sample is representative of the total population, i.e. rele-
vantly similar to it? There is no simple rule for this; our estimate of relevant similarity
must be based upon our knowledge of the subject-matter in question. For example, we
drew upon some basic evolutionary biology in criticising the bear-inference. Where
such statistical inferences as the one mentioned above are concerned, the question is
much more complicated, calling for more specialised expertise. A pollster sampling the
population for voting preferences must study the many ways in which voting behaviour
correlates with factors such as income, geographical location, profession and so on, and
then ensure the that polled sample reflects the distribution of these factors in the popula-
tion as a whole.
Nevertheless, in general, the larger and more representative the sample used for a given
generalisation, the more inductively forceful, or the stronger the inductive inference.
An inductive inference that is not forceful – one whose premise does not really support
its conclusion – is a weak one. For example, suppose someone argues: ‘My brother is a
fool. Therefore, probably, all boys are fools.’ That is a very weak inductive inference. The
bear-arguer’s inference is not quite as bad as that, but it is also very weak. Also, from a
given sample, an inference to a generalisation about most of the totality is a stronger one
than an inference to a generalisation about all of the totality, since obviously the latter is
less certain.
Thus we can adopt the following generalised schemata for inductive inferences:
Inductive Inference Style No. 1
P1) X% of the observed sample of Fs are G.
P2) The observed sample of Fs with respect to G is representative.
C) X% of Fs are G.
Or:
Inductive Inference Style No. 2
P1) X% of the observed sample of Fs are G.
P2) The observed sample of Fs with respect to G is representative.
C) The probability is .X that this F is G.
logic: inductive force 111

To recapture the goldfish argument, put in ‘goldfish’ for ‘F’, ‘dies when fed cat food’ for
‘G’, and either ‘All’ or ‘100%’ for ‘X%’ (either style of argument would be suitable). For the
argument about polls and the voting public, put ‘member of the UK voting public’ for ‘F’,
‘supports such and such political party’ for ‘G’, and ‘37%’ for ‘X%’ (in this case, the first
style would be suitable).
A PROGRAMME FOR ASSESSMENT
We are now in a position to outline a basic procedure for the assessment of arguments
represented in standard form. We first consider arguments that have only one inference
(that is, ones that are not extended arguments). When you represent an argument in
standard form, do not include the word ‘probably’, or any similar word, in the conclusion
– not yet. Put such words in the premises only. Once you have reconstructed the
argument in this way, you should proceed as follows (and you should, looking back at
the definitions given in this chapter, stop to see why the chart is arranged as it is):
1 Is the argument deductively valid?
If not, proceed to 2.
If yes, are all the premises true?
If yes, the argument is deductively sound. Stop.
If not, the argument is valid but unsound. Stop.
2 Is the argument inductively forceful?
If not, the argument is neither valid nor inductively forceful. Stop.
If yes, how forceful is it? Write ‘probably’, or suitable variant, in the appropriate place
in the conclusion. Are the premises true?
If yes, the argument is inductively sound. Stop.
If not, the argument is neither deductively nor inductively sound. Stop.
Of course as critical thinkers we may be unable to decide the soundness of an argument,
since that will depend on matters of fact calling for specialised knowledge. A premise
might state, say, the number of species of amphibians in Nepal; few people have such
knowledge. So don’t think you’ve got to complete the above routine in every case.
In the case of extended arguments, this procedure is to be carried out first with respect to
the sub-arguments whose conclusions are premises of the extended argument. For
example, suppose we have an extended argument whose form is like this:
P1) . . .
P2) . . .
C1) . . .
P3) . . .
C2) . . .
logic: inductive force112

In this case the argument whose conclusion is C1 is a sub-argument for an extended
argument whose conclusion is C2. You would first assess the argument from P1 and P2 to
C1; you would then assess the argument from C1 and P3 to C2. Finally, you would use
these results to assess the total argument from P1, P2 and P3 to C2.
Assessment is to be distinguished from reconstruction, which is discussed in more detail
in the next chapter. Broadly speaking, assessment may be said to fall into two categories.
The first we may call logical assessment, which is that whereby we make judgements of
deductive validity and inductive force. The second we may call factual assessment; here is
where we ask after the truth-values of premises, in determining the soundness of argu-
ments already found to be deductively valid or inductively forceful. However, as noted,
the evaluation of inductive force is not purely independent of matters of fact in the way
that judgements of validity are. For example, the evaluation of inductive inferences
depends on judgements about how representative a sample is, which requires knowledge
of matters of fact. In other cases, such as judgements in jury cases, it is asking far too much
to demand that all the reasons be made explicit.
It is important to realise that if your verdict is that the argument, as you have
reconstructed it, is not deductively sound, you might be able to reconstruct it so as to make
it inductively sound. Look again at the example involving Fiona and wool. An early
attempt at reconstructing it used the premise ‘Everyone in Inverness owns at least one
article of woollen clothing’. So rendered, the argument was valid, but not sound. We then
weakened the premise to ‘Almost everyone in Inverness owns at least one article of woollen
clothing’. The result was not deductively valid, but it was inductively forceful. In general,
it is best to sacrifice validity to soundness when reconstructing; an inductively sound
argument is more useful than a valid but unsound argument.
Later, we will learn some techniques that aid logical assessment. There is, to repeat, no
readily definable procedure for factual assessment; for this is simply the task of deter-
mining whether particular propositions are true – e.g. whether there are whales in the
Black Sea, whether inflation rose in 1993, and so on. For that we must look outside logic
books!
CHAPTER SUMMARY
The conditional probability of a proposition relative to a set of a premises is the degree to
which it would be rational to expect it to be true, given the information relevant to the
conclusion given in the premises. Estimates of rational expectation are often based upon
other measures of probability such as proportion and frequency, but need not be.
A deductively valid argument enables us to be certain of the truth of its conclusion, if we
are certain of the truth of its premises. An inductively forceful argument does not allow
this, but it does allow us to think its conclusion more likely to be true than not: an
inductively forceful argument is one for which the conditional probability of the conclu-
sion relative to the premises is greater than 0.5.
logic: inductive force 113

Like deductive validity, both probability and inductive force are objective: the conditional
probability of a conclusion relative to a given set of premises is independent of people’s
actual estimates of conditional probability, as shown by the possibility of mistakes about
the latter. But unlike deductive validity, both probability and inductive force are a matter
of degree. An argument maybe inductively forceful but only just barely. It is important to
estimate the degree of an argument’s inductive force as accurately as the case allows.
Inductively sound arguments are inductively forceful arguments with true premises.
Unlike deductively sound arguments, they may have false conclusions.
Some arguments contain inductive inferences. An inductive inference is a deductively
invalid inference whose premise is a generalisation about some sample of a given popula-
tion, and whose conclusion is a generalisation about the population as a whole, or about a
particular member or set of members of the population outside the sample. In general, the
force of an inductive inference depends on the degree to which the sample is representa-
tive of the population.
EXERCISES
1 Each argument below contains at least one premise with a missing quantifier.
(A) Reconstruct the argument, adding appropriate quantifiers. Use the strongest
quantifiers you can, so long as the resulting premises are what someone giving the
argument would have intended (that is, don’t use ‘most’, if it seems that the arguer
would have intended all or almost all, or some such). (B) If the resulting argument
is deductively valid, say so. If the argument is inductively forceful, say so, and insert
‘probably’ before the conclusion.
a Sex crimes are committed by people who have themselves been victims of
child abuse. The defendant has committed a sex crime. Therefore, the
defendant was a victim of child abuse.
b Children love Harry Potter books. Therefore your child will love the Harry
Potter books.
c If doctors in this country are overworked, then the general health of the
population will decline. Doctors in this country are overworked. Therefore,
the general health of the population will decline.
d Old people have poor eyesight. People with poor eyesight should not be
allowed to drive. Therefore, old people should not be allowed to drive.
e In countries colonised by Spain, there are many people of Spanish descent.
There are very few people of Spanish descent in Laos. Therefore, Laos was
not colonised by Spain.
logic: inductive force114

2 Consider the following pair of arguments:
P1) Most HIV-positive patients in California are homosexual.
P2) Mr X is a California HIV-positive patient.
C) Mr X is a homosexual.
P1) Most residents of Orange County, California, are not homosexual.
P2) Mr X is a resident of Orange County, California.
C) Mr X is not homosexual.
Assume that this is the same Mr X referred to in each argument. (A) Are these
arguments inductively forceful? (B) Could both arguments be inductively sound? If
not, explain why not. Otherwise, describe a scenario in which they would both be
sound. (C) If we knew the premises of both arguments to be true, would we have
reason to believe, or not to believe, that Mr X is homosexual?
3 Statements are said to be incompatible if it is impossible for both of them to be true
(if they are incompatible, it may or may not be possible for both to be false). Which
of the following pairs of statements are incompatible?
a Some hamsters are black. All hamsters are white.
b Some hamsters are black. Some hamsters are white.
c Some hamsters are black. Most hamsters are not black.
d Some hamsters are black. All hamsters are black.
e Many hamsters are black. Many hamsters are white.
f Every hamster is black. This hamster is white.
g This hamster is black. Some hamsters are white.
h No hamster is black. No hamster is not black.
i No hamster is black. No hamster is white.
j Few hamsters are black. Many black hamsters are small.
k Most hamsters are black. Many hamsters are white.
l Most hamsters are black. All my hamsters are white.
m Most hamsters are black. Every English hamster is white.
4 Reconstruct the following as either three separate arguments or as one, depending on
which strategy would amount to a more forceful case. Also draw a tree diagram for it.
Lance Armstrong is probably not going to win another Tour de France. He is
now older than any previous winner of the event. He hasn’t got any racing
experience this year, and his training has been inadequate lately because of a
back injury.
5 (A) Reconstruct the following arguments. (B) Say whether or not they are valid or
inductively forceful. (C) If the argument is neither valid nor inductively forceful,
logic: inductive force 115

change or add one premise, or change the conclusion, so that it becomes valid or
inductively forceful. There may be more than one reasonable answer. (D) Add any
further remarks that seem appropriate to evaluating the argument.
a If alcohol advertising is banned, then, probably, drinking would decline. If
drinking declines, then domestic violence would decline. Therefore, if alco-
hol advertising is banned, then, probably, domestic violence would decline.
b If alcohol advertising is banned, then, probably, drinking would decline. If
drinking declines, then, probably, domestic violence would decline. There-
fore, if alcohol advertising is banned, then, probably, domestic violence
would decline.
c Most children who go without breakfast have trouble concentrating at school
in the morning. Johnny concentrates well at school in the morning. There-
fore, probably, he does not go without breakfast.
d If this meat was grown in Scotland, then it is extremely unlikely it is infected
with BSE. And even if it is infected, then it is very unlikely that eating it
will make you ill. Therefore, if this meat was grown in Scotland, eating this
meat will not make you ill.
e Brazil is more likely to win the World Cup than Argentina. Therefore,
probably, Brazil will win the World Cup.
f Scotland has never won the World Cup. Therefore, probably, Scotland will
never win the World Cup.
g Probably, English football fans will make trouble at the next World Cup. If
English football fans do make trouble at the next World Cup, then England
may be expelled from the European Cup. Therefore, it is likely that England
will be expelled from the European Cup.
h If the murderer passed through here, then, probably, there would be hairs
from the victim on the rug. But there are no hairs from the victim on the rug.
Therefore, the murderer did not pass through here.
i Very few habitual cannabis users are violent. The murderer is clearly very
violent. Mr X is a habitual cannabis user. Therefore, probably, Mr X is not
the murderer.
j UN intervention in local conflicts usually leads to a more stable political
situation. A more stable political situation usually leads to economic growth.
Therefore, probably, UN intervention in this local conflict will lead to
economic growth.
k Almost all successful athletes have trained long and hard to become success-
ful. Therefore, if you train long and hard, you will become a successful
athlete.
l Many teachers at Lenman secondary school are known to smoke cannabis.
Mr X is a teacher at Lenman secondary school. Therefore, probably, Mr X
smokes cannabis.
m Most vegetarians eat eggs. A great many people in Berkeley are vegetarians.
Roger is from Berkeley. Therefore, probably, Roger eats eggs.
logic: inductive force116

n If Hansen is leaving early tomorrow, then, probably, he isn’t in the bar.
Hansen isn’t in the bar. So he is probably leaving early tomorrow.
6 The following passages contain inductive inferences. (A) Rewrite them as arguments
in standard form. (You may have to supply a missing quantifier.) (B) Can you think
of any reasons why the sample might not be representative? If so, list them, and add
any comments you think relevant.
a The elimination of sweets and other junk food from school lunch menus has
resulted in improved student performance in schools all over the country,
and in every case in which it has been tried. If we do this at our school, then
we can look forward to improved performance.
b No communist system can succeed. Since communist regimes began early in
the twentieth century, every one has either collapsed, or is near collapse.
c Surprisingly, musicians have a higher average IQ than either doctors or
lawyers. A study of seventeen conductors of major orchestras found their
average IQ to be 17 points higher than that of UK doctors, and 18 points
higher than that of UK lawyers.
d Most teenagers who take illicit drugs have serious family problems. I know,
because as a counsellor for teenagers I have found that most of those who
have come to me and confessed to taking illicit drugs do have serious family
problems.
e Manchester United are an English team that have won the treble once
(domestic league championship, league cup tournament, and the European
tournament known as the ‘Champions League’), but they’re not going to win
it again. No English team has won it twice.
f Take vitamins for a long life; my uncle Bill is ninety-three, and hasn’t missed
a day of taking his vitamins for almost fifty years.
g Studies have shown that people who regularly take vitamins live longer than
average. Jenna takes vitamins regularly, so probably she will live longer
than average.
logic: inductive force 117

5
the practice of
argument-
reconstruction
•Extraneous material 119
•Defusing the rhetoric 122
•Logical streamlining 123
•Implicit and explicit 125
•Connecting premises 132
•Covering generalisations 133
•Relevance 135
•Ambiguity and vagueness 138
Ambiguity • Vagueness
•More on generalisations 144
The scope of a generalisation
•Practical reasoning 147
•Balancing costs, benefits and probabilities 150
•Explanations as conclusions 153
•Causal generalisations 156
•A short-cut 158
•Chapter summary 159
•Exercises 160

The goal of argument-reconstruction is to produce a clear and completely explicit state-
ment of the argument that the arguer had in mind. The desired clarity and explicitness is
achieved by putting all of the argument, and nothing but the argument, into standard
form: this displays the argument’s premises, intermediate conclusions and conclusion, and
indicates the inferences between them. The strength of the argument is understood in
terms of the concepts discussed in Chapters 3 and 4 – validity, inductive force, deductive
and inductive soundness. In this chapter, we begin to see, in more detail, how the practice
of reconstruction goes; in particular, we learn some ways of coping with commonly
encountered difficulties.
EXTRANEOUS MATERIAL
The first step in analysing and reconstructing an argument is to identify its conclusion,
then its premises. But, as discussed briefly in Chapter 1, much of what people say or write,
when advancing an argument, plays no argumentative role. Much is there for emphasis, or
is rhetorical, or plays some other role than that of expressing the propositions that properly
constitute the argument. When reconstructing arguments, then, we have to hive off this
extraneous material. Here’s a more extended example; again we’ve given each sentence a
number in order to facilitate a detailed discussion of it:
(1) Once again the problem of young people drinking in city centres and generally
creating chaos rears its ugly head. (2) The recent trouble in York was some of the
worst. (3) It happens over and over, so much that people just seem to shrug their
shoulders, accepting it as a fact of life, or a law of nature. (4) So are we simply
resigned to it? (5) Do we simply accept that our young people are going to waste the
best years of their lives acting like hooligans? (Or rather, being hooligans?) (6) Do we
stand idly by? (7) I don’t think so. (8) Not I, at any rate. (9) And there’s a ready
solution. (10) Let us turn to an old solution for a new problem: compulsory military
service. (11) Because they would learn habits of discipline, and something about
community spirit, it’s pretty obvious that young people would be a lot less likely to
cause trouble when finished.
The arguer’s conclusion here seems to be that Britain should introduce compulsory
military service for its youth. The most important premise is the conditional state-
ment that if compulsory military service were introduced, then the problem of drunken-
ness and hooliganism among British youth would be curtailed. Sentence 11 seems to
be provided as a premise in a sub-argument for that claim. But there is a lot of other
material:
•The first two sentences function as stage-setting: they alert the reader to the problem
being discussed, and perhaps serve to emphasise the immediacy and severity of the
problem. Sentences 1–8, as a group, are intended to persuade the reader that the
problem is serious enough that something ought to be done about it. That much is
the practice of argument-reconstruction 119

surely a premise of the main argument; but it should be evident that they do not
provide an argument for that claim. They merely assert the claim in a rhetorically
charged way.
•The function of sentence 9 is simply to announce that the author is now going to turn
from stressing the gravity of the problem to suggesting a solution – in other words, that
the author is now going to give the argument.
•Sentence 10 asserts the conclusion. But it does not do so in the most economical or
straightforward way. The bit about the ‘old solution for a new problem’ is a rhetorical
flourish that should be omitted from the reconstruction. Also, it seems clear that the
arguer is saying that compulsory military service should be introduced, not just that it
would solve the problem. The conclusion, then, should be rewritten as ‘Compulsory
military service should be introduced’ (there will be more on this type of ‘practical’
conclusion later in the chapter).
•Sentence 11 includes the words ‘it’s pretty obvious that . . .’ Phrases of that kind –
phrases that merely serve to emphasise the claim being made – should always be
eliminated from reconstructed arguments.
•Sentence 11 exemplifies a use of the word ‘because’ that should always be eliminated
from reconstructed arguments. Often we use ‘because’ when speaking of cause and
effect, as in ‘The cake is dry because it was baked too long’. In sentence 11, however,
the word does something else: it indicates a relation between premise and conclusion of
a sub-argument to the main argument. In particular, the arguer is giving the following
sub-argument:
P1) If British youth were to acquire habits of discipline and community spirit,
then the problem of drunkenness and hooliganism among them would be
reduced.
P2) If made to perform military service, British youth would acquire habits of
discipline and community service.
C1) If British youth were made to perform military service, the problem of
drunkenness and hooliganism among them would be reduced.
C1 serves as an intermediate conclusion in the arguer’s overall argument. The word
‘because’, in this usage, is equivalent to the word ‘since’, which functions in the following
way. If we say, ‘If there are no clouds, it isn’t raining’, then we have not asserted either that
it isn’t raining, nor that there aren’t any clouds (review the section in Chapter 3 on
conditionals if this is not clear). If we say, however, ‘Since there are no clouds, it isn’t
raining’, then we’ve asserted both. So what the word ‘since’ does is to transform a con-
ditional statement into a statement that asserts both the conditional and the antecedent
of that conditional, and thereby asserts its consequent. It provides a compact way of
expressing simple arguments of the form: ‘If P, then Q; P, therefore Q’. ‘Because’, in the
usage we are discussing, does exactly the same thing. And since our aim in reconstructing
arguments is to lay out the arguments explicitly and clearly, we should eliminate such uses
of ‘because’ and ‘since’, and unpack the arguments they serve to indicate. (The causal use
the practice of argument-reconstruction120

of ‘because’ is another matter, however; it will be discussed later in this chapter; see also
the discussion of ‘because’ in Chapter 1, pp. 20–22.)
Bearing in mind that the above argument laid out in standard form is a sub-argument for
C1, a reconstruction of the remainder of the argument might go like this:
C1) If British youth were made to perform military service, the problem of
drunkenness and hooliganism among them would be reduced.
P3) Something should be done to reduce the problem of drunkenness and
hooliganism among British youth.
C2) Britain should introduce compulsory military service for its youth.
We will be in a better position later in the chapter to say whether or not such an argument
is valid. The main lesson here is that the first step in reconstructing an argument is to make
a list of the argument’s premises and conclusion that leaves out extraneous material, and
that expresses the premises and conclusion as concisely and clearly as possible. Note,
however, that making such a list is only the first step towards a complete reconstruction.
A complete reconstruction also includes premises and conclusions that are only implicit in
the original argument (and which therefore do not appear on the initial list). A complete
reconstruction also displays the structure of an extended argument by displaying
intermediate conclusions. It should be clear that the correct argument tree is as shown in
Figure 5.1.
Figure 5.1
the practice of argument-reconstruction 121

DEFUSING THE RHETORIC
Much of the task of reconstruction is the task of clarification. In Chapter 2, we discussed
several linguistic phenomena that frequently impede clarity, including ambiguity,
vagueness, the differing roles of primary and secondary connotation and conversational
implicature, rhetorical questions, figures of speech, irony and implicit relativity. We will
deal with the specific problems of ambiguity and vagueness later in this chapter. At this
point we deal with some other impediments to clear reconstruction. Suppose Kemp has
been caught stealing money from the company, and someone says:
That damned Kemp’s been caught with his hand in the cookie jar again. He’s
history.
The arguer is reasoning is follows:
P1) If Kemp has been caught stealing money from the company, then he is going to
be fired.
P2) Kemp has been caught stealing money from the company.
C) Kemp is going to be fired.
As you can see, in giving the reconstruction, we have eliminated the metaphor ‘caught
with his hand in the cookie jar’, the expressive epithet ‘that damned Kemp’, and the slang
‘he’s history’. Not as colourful, but much more amenable to logical analysis. When
reconstructing, eliminate metaphors, expressive epithets and slang.
What exactly are expressive epithets? These are terms used to refer to some person, group
or other entity – just like a proper name such as ‘Gary Kemp’ or ‘Paris’ – but that
characterise the entity referred to for rhetorical purposes (non-logically persuasive pur-
poses, or non-persuasive purposes such as humour). Let us look at a well-known real
example that demonstrates how complex their use can be. In 2003, US and British forces,
along with smaller forces from some other countries, invaded Iraq, for the purpose of
removing the government and military capabilities of its president Saddam Hussein. His
military capabilities, it was claimed, included the so-called ‘Weapons of Mass Destruction’
(note that this itself might be regarded as an expressive epithet). American Secretary of
State Colin Powell had in March of that year announced a list of thirty countries that had
agreed to be named as supporting the invasion, including, of course, those that would
actually be contributing troops or other military assistance. He announced it as ‘The
Coalition of the Willing’. In the weeks before the invasion, however, leaders of France,
Germany and Belgium had strongly opposed the invasion, arguing that UN inspection
teams should be given more time to verify whether or not Iraq possessed illegal weapons,
which constituted the primary reason for the invasion. Here is a comment from a public
debate held at the time:
the practice of argument-reconstruction122

You think our coalition of the willing needs the Gang of Three? They can sit on the
fence; let ’em.
In the context, it was clear that the first sentence was a rhetorical question: the speaker’s
intention was to assert that the answer is no, the coalition of the willing does not need the
Gang of Three. Rhetorical questions should always be rewritten as declarative sentences.
Now, as for the epithets. What the terms stand for, literally, are simply two groups of
countries: one supporting the invasion, and one opposed. ‘Coalition of the willing’ has a
rather positive ‘spin’ to it (for the others are made to sound ‘unwilling’, hence complacent
or perhaps cowardly), but ‘Gang of Three’ sounds distinctly negative, owing to the
connotation of ‘Gang of Four’, which signified a notorious group within the Chinese
communist government in the 1970s who were partly responsible for the disastrous
‘cultural revolution’ of Mao Tse-Tung’s later years. But shorn of all this spin and rhetoric,
these emotive associations, the factual content of the sentence is merely something like
this:
In order to undertake the invasion successfully, the invading countries and their
supporters do not require approval or support from France, Germany and Belgium.
The phrase ‘sit on the fence’ is, in this context, another pejorative phrase; the sentence
containing it seems to mean that approval and support from those countries is not needed.
The intended argument, then, was probably this:
P1) In order to undertake the invasion successfully, the invading countries and their
supporters do not require approval or support from France, Germany and
Belgium.
P2) If, in order to undertake the invasion successfully, the invading countries and
their supporters do not require approval or support from France, Germany and
Belgium, then they should undertake the invasion without it.
C) The invading countries should undertake the invasion without approval
or support from France, Germany and Belgium.
LOGICAL STREAMLINING
In Chapter 3 we devoted a good deal of attention to certain expressions whose logical
nature is comparatively easy to grasp. These include ‘if–then’, ‘not’, ‘every’, ‘all’ and ‘or’.
For example, one exercise asked you to translate sentences containing the comparatively
difficult expressions ‘only if’ and ‘unless’ into easier forms using ‘if–then’ and, where
needed, ‘not’. So we learned that ‘A unless B’ means the same as ‘If not-B, then A’. In
general, when reconstructing arguments we should strive to display the logical relation-
ships in an argument in the simplest, clearest and most familiar ways possible. An example
will illustrate this:
the practice of argument-reconstruction 123

We read over and over that when all is said and done, what is best for the child is the
family. But what would the elimination of the marriage tax-credit mean? Less incen-
tive to marry. And what would that mean? Fewer couples getting married. And what
would that mean? A reduction in the proportion of children living in families.
It should be clear after the first sentence that the arguer is expressing some conditionals: if
the marriage tax-credit is eliminated, then there will be less incentive to get married. If
there is less incentive to get married, then fewer couples will get married. If fewer couples
get married, then the proportion of children living in families will be reduced. But this,
according to the arguer’s first sentence, should be avoided. Thus the argument might be
reconstructed like this:
P1) If the marriage tax-credit is eliminated, then there will less incentive to get
married.
P2) If there is less incentive to get married, then fewer couples will get married.
P3) If fewer couples get married, then the proportion of children living in families
will be reduced.
P4) The proportion of children living in families should not be reduced.
C) The marriage tax-credit should not be eliminated.
This reconstruction, however, leaves two intermediate conclusions implicit. A completely
explicit reconstruction represents it as an extended argument:
P1) If the marriage tax-credit is eliminated, then there will be less incentive to get
married.
P2) If there is less incentive to get married, then fewer couples will get married.
C1) If the marriage tax-credit is eliminated, then fewer couples will get
married.
P3) If fewer couples get married, then the proportion of children living in families
will be reduced.
C2) If the marriage tax-credit is eliminated, then the proportion of children
living in families will be reduced.
P4) The proportion of children living in families should not be reduced.
C3) The marriage tax-credit should not be eliminated.
The point we want to stress here is that we have replaced the language used by the arguer
to express these conditional propositions with explicit ‘if–then’ sentences. The language
used by the arguer is not especially unclear, but it is awkward to deal with because it does
the practice of argument-reconstruction124

not even take the form of proper sentences. Rewriting the material in terms of ‘if–then’
sentences makes the argument easier to handle and its logic more obvious.
This is just one example of what we mean by logical streamlining. There are many, many
ways in which ordinary language can be awkward to reconstruct, and in which logical
relationships can be concealed; so we cannot give anything like an exhaustive list of exact
rules for logical streamlining. But here are some ‘rules of thumb’ that you should apply
whenever you can do so in a way that remains faithful to the arguer’s apparent meaning:
1 Where appropriate, rewrite sentences as either conditional or disjunctive sentences of
one of the following forms:
If A then B. If not-A then not-B.
If not-A then B. If A then not-B.
A or B. A or not-B.
Not-A or B. Not-A or not-B.
2 Rewrite generalisations in one of the following forms, where the blank ‘ ’ is filled by
a quantifier such as ‘all’, ‘some’, ‘most’, ‘no’, ‘almost all’, etc.:
F are G.
are not-G.
We will not stick to this religiously, as it is not always possible, and doing it will sometimes
distract from other points we are trying to make. What we will do, rather, is continue
to practise it on many occasions throughout the book. For example, in the section on
rewriting for rhetorical neutrality we employed simple ‘if–then’ sentences. If you pay
attention, you should gradually develop a feel for logical streamlining.
IMPLICIT AND EXPLICIT
Not only do actual statements of arguments typically include a lot of material that is
inessential to the argument, they often exclude some of what is essential to the argument:
some essential propositions are left implicit. Our task in reconstruction is to make the
argument fully explicit. To say that a proposition is implicit in an argument is to say that it
is part of the argument intended by the arguer – either as a premise or as the conclusion –
but that it has not actually been stated by the arguer. To make the proposition explicit
is simply to state it – in particular, to include it in our reconstruction of the argument. So a
large part of argument-reconstruction is to make explicit what was merely implicit in the
original statement of the argument.
Consider a very simple case:
Is Mr Jenkins well-educated? Well of course. Didn’t you know that he’s a successful
politician?
the practice of argument-reconstruction 125

The arguer might be presumed to be arguing as follows:
P1) Mr Jenkins is a successful politician.
C) Mr Jenkins is well-educated.
So rendered, the argument is invalid. Nor is it inductively forceful, since in order to know
whether or not the premise makes the conclusion probable, you have to know something
the argument’s premise does not tell us – namely whether or not successful politicians, at
least usually, are well-educated. But it is clear that, in drawing this inference, the arguer is
making the assumption that successful politicians are well-educated. We have to make this
assumption explicit:
P1) Mr Jenkins is a successful politician.
P2) All successful politicians are well-educated.
C) Mr Jenkins is well-educated.
Or perhaps we should write ‘almost all’ rather than ‘all’.
Let us now consider a real and more complicated example. The moa was a very large,
flightless bird, which was native to New Zealand but which is now believed to be extinct.
The yeti is a large, white-furred ape, which is probably only mythical, but which some
people believe actually inhabits the Himalayas. Here is the argument:
The moa is thought to have been extinct for at least a hundred years. So naturally a
great deal of scepticism is met by Paddy Freaney’s claim to have seen a moa in 1993.
But as Freaney himself has pointed out, Freaney has climbed Mount Everest twice,
and has not claimed to have seen a yeti. So we ought to believe Mr Freaney’s claim.1
The first task of argument-reconstruction should be to identify and, if necessary, to restate,
the conclusion of the argument. Now in this case it might seem obvious that the con-
clusion of this argument is stated explicitly in the last sentence: ‘we ought to believe Mr
Freaney’s claim.’ But this is not the most straightforward and informative way to put it.
Ask yourself: exactly what proposition is the ultimate concern of the arguer here? The
arguer attempts to persuade us to accept a certain claim of Paddy Freaney’s; but this does
not really tell us the ultimate concern of the arguer until we specify what claim that is.
Freaney’s claim, the one that ultimately concerns the arguer, is the claim that he saw a
moa. So what the arguer is really trying to persuade us of is that Paddy Freaney did see
a moa. Here then is a case in which the conclusion is at least partly implicit; none of the
sentences directly says that Paddy Freaney saw a moa. Indeed, it might plausibly be
suggested that the conclusion ultimately at issue here is one that is inferred from the
11 Sunday Star-Times, Auckland, New Zealand, 10 December 1995, p. C5.
the practice of argument-reconstruction126

proposition that Freaney saw a moa, namely, that the moa is not extinct. In that case it
would be even more obvious that the conclusion of the argument is only implicit in the
original statement of the argument. But let us not push the matter quite as far as that. For
simplicity we shall take the conclusion to be that Paddy Freaney saw a moa.
Once we have identified the conclusion, we must identify the argument’s premises. It is
clear that the first two sentences in the example function as stage-setting, informing the
reader of some of the relevant concerns surrounding the issue, and are not premises of
the argument. The arguer is arguing that Paddy Freaney saw a moa; this proposition is
certainly not supported by the fact that the moa is thought to be extinct, nor by the fact
that many people doubt Freaney’s claim to have seen one. If anything, those facts make it
less credible that Freaney saw a moa. So, by the principle of charity, we should not take the
arguer to be citing those facts in support of the conclusion that Freaney saw a moa. Rather,
the function of these propositions is to acknowledge that there is reasonable resistance to
Freaney’s claim. This sort of thing is very common: very frequently, an arguer will begin by
explaining why there is opposition to his or her conclusion.
The only premise explicitly given is that Freaney has twice climbed Mount Everest, and
has not claimed to see a yeti. So our first shot at a reconstruction might look like this:
P1) Paddy Freaney climbed Mount Everest twice, and did not claim to see a yeti.
C) Paddy Freaney saw a moa.
Now this is a start, but clearly it does not do justice to the arguer’s intentions. As it stands,
the argument is neither deductively valid nor inductively forceful. To see this, suppose the
only information you are given is that a certain person climbed Mount Everest twice, and
that that person did not claim that he saw a yeti. Does that give you any reason to infer that
that person saw a moa? Obviously not. P1 does not support the conclusion by itself.
Yet the argument as originally intended by the arguer surely does have at least some
inductive force. Therefore, the arguer must be implicitly relying upon some further
premise or premises, which we should try to make explicit. One proposition, which
is surely relied upon by the argument, but which is not explicitly stated in the
argument, is simply that Paddy Freaney claimed he saw a moa. The second sentence
almost states this explicitly, but does not quite do so. So we should include this in our
reconstruction:
P1) Paddy Freaney has claimed he saw a moa.
P2) Paddy Freaney climbed Mount Everest twice, and did not claim to see a yeti.
C) Paddy Freaney saw a moa.
This is better. We now have in the premises, it seems, a statement of all the particular
facts about Paddy Freaney from which the arguer is inferring that Paddy Freaney saw a
the practice of argument-reconstruction 127

moa. But still we have not made everything explicit. In order to see this, ask yourself, why
does P2 – in view of the fact that Paddy Freaney claimed he saw a moa – support
the conclusion that he did see a moa? It is something like this: the arguer seems to be
responding to the charge that Freaney is a liar, that he wishes fraudulently to claim credit
for a certain sort of zoological discovery. As against this, the arguer points out that Freaney
climbed Everest twice without claiming a yeti-sighting. But surely, reasons the arguer, if a
person were the sort to go around making false claims about seeing strange creatures, then
if he has twice climbed Mount Everest, he would probably have claimed to see a yeti (for
such a person, having visited Everest, surely would not be able to resist claiming to have
seen the notorious yeti). But Freaney climbed Everest twice without making such a claim,
so he must not be such a person. If he is not such a person, then he didn’t lie about the
moa. So, if he said he saw a moa, he did see a moa.
What is missing from the preceding reconstruction, then, is an assumed generalisation:
a person who has visited Mount Everest without claiming to see a yeti is not a person
who would fabricate the sighting of a creature whose existence is disputed. This is a
generalisation because it is not something said on the basis of knowledge about Paddy
Freaney in particular. It is plausible to say, as a general fact about human nature, that a
person who wishes to tell ‘tall tales’ about some particular kind of thing is unlikely to pass
up a favourable opportunity to do so.
The argument implicitly depends upon this generalisation as a premise; hence in our
reconstruction we should make it explicit:
P1) Paddy Freaney has claimed he saw a moa.
P2) Paddy Freaney climbed Mount Everest twice, and did not claim to see a
yeti.
P3) A person who lies about sighting creatures whose existence is disputed would
claim to see a yeti, if he or she were to climb Mount Everest.
C) Paddy Freaney saw a moa.
Note that, although we could have produced a valid argument by writing ‘everything
Paddy Freaney says is true’ (or an inductively forceful argument by writing ‘most of what
Paddy Freaney says is true’), doing so would have failed to take into account the relevance
of P2. If we had written that premise in place of the actual P3, then the conclusion could
have been inferred from that premise along with P1, and P2 would have played no role in
the argument. This is important, because the arguer clearly means to give us a very specific
reason to believe this particular claim of Freaney’s; he or she is clearly not simply relying on
Freaney’s general honesty or trustworthiness.
This reconstruction of the argument now seems to include the relevant facts about Paddy
Freaney upon which the arguer is relying, and it includes the generalisation upon which
the arguer is (implicitly) relying. We could make its structure a bit more explicit by
the practice of argument-reconstruction128

making an intermediate conclusion explicit, and adding one further relevant point about
the moa (note that we have had to change the numbering of the premises):
P1) Paddy Freaney climbed Mount Everest twice, and did not claim to see a yeti.
P2) A person who lies about sighting creatures whose existence is disputed would
claim to see a yeti, if he or she were to climb Mount Everest.
C1) Paddy Freaney does not lie about sighting creatures whose existence is
disputed.
P3) Paddy Freaney has claimed he saw a moa.
P4) The moa is a creature whose existence is disputed.
C2) Paddy Freaney saw a moa.
The argument is not deductively valid. To see this, suppose that the premises P1–P4 of the
argument are indeed true. In that case, Paddy Freaney was not lying, making up a story, in
saying that he saw a moa. But it does not follow that Paddy Freaney did see a moa, for he
could have been mistaken rather than lying. In that case, his claim to have seen one was not
a lie, but nor was it true. Thus the inference from C1, P3 and P4 to C2 is invalid. So the
argument as a whole is invalid. In order to make this clear, we can represent the argument
like this:
P1) Paddy Freaney climbed Mount Everest twice, and did not claim to see a yeti.
P2) A person who lies about sighting creatures whose existence is disputed would
claim to see a yeti, if he or she were to climb Mount Everest.
C1) Paddy Freaney does not lie about sighting creatures whose existence is
disputed.
P3) Paddy Freaney has claimed he saw a moa.
P4) The moa is a creature whose existence is disputed.
C2) Either Paddy Freaney saw a moa, or he was mistaken in believing he did.
C3) Paddy Freaney saw a moa.
This makes the argument’s invalidity quite obvious: the inference from C2 to C3 is
invalid. Might the argument be inductively forceful, then? What follows from the prem-
ises is that Freaney either saw a moa or was mistaken. In order to conclude that Freaney
probably saw a moa, we would thus need to know which of these alternatives is more
likely. Since the argument does not give us any information relevant to this, we are not
really in a position to judge the argument inductively forceful.
Note finally that having begun with an argument whose structure was like this:
the practice of argument-reconstruction 129

We arrived at a much more complicated one like this:
Let us now look at an example from down under (Australia this time), which shows how
making a generalisation explicit can reveal the weakness of an argument:
Figure 5.2
Figure 5.3
the practice of argument-reconstruction130

The suggestion, that in order to protect children from sunburn a rule should be
instituted requiring all children at our school to wear a sun hat when they are
outside after 11 a.m., is unacceptable. For clearly such a rule would be an infringe-
ment upon the freedom of the individual.
The conclusion, obviously, is that a sun hat rule at school would be unacceptable. The only
explicit premise is that given in the second sentence. So we may begin with:
P1) A sun hat rule at school would infringe upon the freedom of the individual.
C) A sun hat rule should not be instituted.
Obviously a generalisation is being implicitly assumed. A first shot at making it explicit,
and which might well seem to capture what the arguer must have been thinking, might
be this: that no rule that infringes upon the freedom of the individual is acceptable. So
we write:
P1) A sun hat rule at school would infringe upon the freedom of the individual.
P2) No rule that infringes upon the freedom of the individual is acceptable.
C) A sun hat rule at school is unacceptable.
Here is a deductively valid argument. If the premises are true, then certainly the con-
clusion is true. However, this does not establish that the conclusion is true. For that, we
have to ask whether the premises are true – whether the argument is not only deductively
valid but deductively sound.
Surely P1 is true, in a sense: by definition, a rule of any kind restricts, hence infringes
upon, the freedom of those to whom it applies – in this case the children of the school
in question. So let us grant that P1 is true. But look at P2. We often hear this sort of
statement, and we are often so impressed by such a phrase as ‘the freedom of the indi-
vidual’ that we accept the statement as true. We have the feeling that ‘the freedom of the
individual’ is something important and valuable; therefore that anything which takes it
away must be a bad thing. But, as stated here, this proposition is absurd. For, as we just
said, all rules ‘infringe upon the freedom of the individual’. So what P2 amounts to is
the absurd proposition that all rules are unacceptable. Unless you are a kind of radical
anarchist, you have to conclude that this argument is not deductively sound.
Now there may be some less sweeping generalisation that the argument might employ
instead of P2, which would be more plausible, yet sufficient to obtain the desired con-
clusion. But the arguer has not given any hint as to what generalisation this might be. So
we cannot credit the arguer with actually having supplied a helpful argument on the issue.
They may have something more plausible in mind, but they have not conveyed it.
This argument, by the way, is a good illustration of the importance of distinguishing
between argument and rhetoric. It was by thinking carefully about the precise literal
the practice of argument-reconstruction 131

meanings of the words expressing the argument that we came to see that the argument is
unsound. In order to do this, however, we had to have some courage: a phrase such as ‘the
freedom of the individual’ is rhetorically powerful; nevertheless, it is just not literally true
that every rule that ‘infringes upon the freedom of the individual’ is unacceptable – on the
contrary, it is absurd to suggest it.
CONNECTING PREMISES
Look back at the argument about successful politicians (pp. 125–126). And now consider
this argument:
We can assume that inflation will increase, because we know that consumer confidence is
increasing.
Reconstructing, we might write:
P1) Consumer confidence is increasing.
C) Inflation will increase.
As it stands, the argument is neither valid nor inductively forceful. But we can see that the
arguer is implicitly assuming that, if consumer confidence is increasing, then inflation will
increase. So we write:
P1) Consumer confidence is increasing.
P2) If consumer confidence is increasing, then inflation will increase.
C) Inflation will increase.
In each case – the inflation argument and the politician argument – the premise, which
had to be made explicit in order to make the argument valid, is what we call a connecting
premise. We have had to add connecting premises in many of the arguments we have so
far considered. Usually, when people give arguments, the premises they give explicitly will
be only those which pertain to the particular facts or subject-matter they are talking about.
For example, someone might say, ‘My cat won’t have kittens; she’s been spayed’. The
arguer explicitly sets forth the relevant fact about her particular cat, but doesn’t bother to
state explicitly the generalisation she assumes, that spayed cats can’t have kittens. Probably
she assumes this to be common knowledge; if she did not, then she would have made the
premise explicit. The point then is that arguers very often leave implicit the more general
assumptions they make. That is what happened in the inflation case and the politician case
discussed earlier.
We cannot assume, however, that whenever an argument, as explicitly given, is neither
valid nor inductively forceful, the intended argument is valid or inductively forceful. It is
the practice of argument-reconstruction132

not always the case that the arguer is implicitly relying on an appropriate connecting
premise. Sometimes people just do give bad arguments, ones that are neither valid nor
inductively forceful. That is what may have happened in the Paddy Freaney case. In
further cases, the implicit connecting premise is just not true, in which case the argument
is unsound. That’s what happened in the sun hat case.
COVERING GENERALISATIONS
In the politician case, the connecting premise was a generalisation (review the discussion
of generalisations in Chapter 2 if you are not clear about what a generalisation is).
Connecting premises are usually generalisations. But in the inflation case the connecting
premise we used was a conditional (see Chapter 3). This is also common. However, there
is an important relationship between conditionals and generalisations that must be
appreciated. Consider the following propositions:
a If Betty is a Siamese cat, then she has blue eyes.
b All Siamese cats have blue eyes.
(a) is a conditional, (b) is a generalisation. The special relationship in which they stand is
that (b) is a covering generalisation for (a). (We can also say that (a) is an instance of (b),
as is common in logic.) Note that (a) may be inferred from (b); the argument from (b) to
(a) would be valid. But covering generalisations need not be hard generalisations: ‘If Jane’s
cat is Siamese then its eyes are blue’ is an instance of ‘All Siamese cats have blues eyes’, but
it is also an instance of ‘Most Siamese cats have blues eyes’. In such a case the inference
from generalisation to instance is inductive rather than deductive.
There is one further aspect to the relationship between covering generalisations and their
instances that should be appreciated. Another way to express the proposition expressed by
the generalisation (b) is this:
c If something is a Siamese cat, then it has blue eyes.
Or we could say, ‘Whatever X may be, if X is a Siamese cat, then X has blue eyes’. This
is exactly like (a), except we use the indefinite pronoun instead of the name ‘Betty’; this
makes the conditional statement into a generalisation. In other words, generalisations of
the ‘All A are B’ sort are themselves conditionals, except they are generalised. (b) and
(c) are generalised forms of (a). The same goes for generalisations of the form ‘No A
are B’, as in ‘No ungulates are carnivores’. This says, in effect, that all ungulates are
non-carnivores. So it could be expressed as ‘If something is an ungulate, then it is not a
carnivore’.
Very often, when people assert conditionals, they do so on the basis of some covering
generalisation. It is important to be aware of this when reconstructing arguments. Suppose
you are given the inflation argument, but without a connecting premise:
the practice of argument-reconstruction 133

P1) Consumer confidence is increasing.
C) Inflation will increase.
Suppose you reply to the arguer by saying that you just have no idea whether or not P1
constitutes a reason to infer C, that inflation is going to increase. You point out that the
argument, at any rate, is certainly not valid as it stands, and would not be inductively
forceful. Suppose that the arguer now tries to satisfy you with:
P1) Consumer confidence is increasing.
P2) If consumer confidence is increasing, then inflation will increase.
C) Inflation will increase.
Does this really improve the argument? It does make it valid. But this doesn’t really help
you. All that P2 says is that if P1 is true, then so is C. You have already said that you have
no idea whether P1 constitutes a reason to infer C. The arguer is not going to convince you
merely by asserting P2; to do so is merely to assert that P1 is a good reason to infer C. So
the new version is not really an advance on the first version; although you cannot deny that
the new version of the argument is valid and fully explicit, you can’t really say whether the
argument is sound, even if you grant that the arguer does know that P1 is true (for more
on this, see the section on begging the question in Chapter 7, pp. 233–234).
Suppose, however, that you wished to find out whether or not to believe P2. Well P2 says
that if consumer confidence is now increasing (which it is), then inflation will increase. So
the only way to find out whether P2 is true would be to look into the future to see whether
inflation does increase. But that you cannot do. So what do you do? What you need is to
find out whether, in general, increases in consumer confidence bring about increases in
inflation. And that you can find out, by doing some statistical research (consumer con-
fidence is defined in terms of how much people buy, and how much they borrow in order
to buy). So what you really need to know, and what it is possible to find out, is whether the
following covering generalisation is true:
Whenever consumer confidence increases, inflation increases.
Probably it isn’t, but the corresponding soft generalisation might well be true:
Usually, when consumer confidence increases, inflation increases.
This could be established by inductive inference from a survey of past cases in which
consumer confidence increased.
So, the arguer giving the inflation argument gives a conditional premise rather than a
generalisation, but if the arguer believes the conditional, he or she probably does so on the
the practice of argument-reconstruction134

basis of believing the corresponding covering generalisation. Since that is what the arguer
is assuming at bottom, that is what should be included in the reconstruction of the
argument. If we do not do this, then our analysis of a given argument may be superficial.
Indeed, it is easy to reconstruct an argument as valid in a completely superficial way,
if we do not take pains to discover what connecting premises an arguer is relying on at
bottom. For example, the following argument might have been given on the evening of the
28 June 1914:
P1) If the Austrian Archduke Ferdinand has been assassinated today, then a
general war involving all the European powers will soon break out.
P2) The Austrian Archduke Ferdinand has been assassinated today.
C) A general war involving all the European powers will soon break out.
Now in fact this argument would have been sound: the Archduke was assassinated that
day, and that single event touched off what would become known as the Great War,
later as the First World War. But someone not well-apprised of the political situation in
Europe at the time would have needed a lot of explanation in order to see why they should
accept P1. P1 is a connecting premise that ensures validity, but it hardly begins to tell us
why the arguer thinks that a single assassination will lead to a general war involving several
countries. In reconstructing, we should try to bring out as much of this as we can. Con-
necting premises are almost always necessary, but they can fail to be sufficient to bring
out the real basis of an argument.
Finally, you should take care to distinguish the relationship we have just been discussing
between conditionals and generalisations from the following sorts of cases:
If all men are mortal, then all women are mortal.
If no men are mortal, then no women are mortal.
If all men are mortal, then Socrates is mortal.
If Socrates is mortal, then all men are mortal.
These are conditionals that have generalisations as antecedents, as consequents, or as both.
They are quite common.
RELEVANCE
This chapter began with a discussion of the necessity of eliminating extraneous material
from argument-reconstructions. We turn now to some further aspects of this, and to some
cases where the matter is more complex. Consider this argument:
the practice of argument-reconstruction 135

At Les Champignons they are usually fully booked (Professor Gilmour once took me
to dine there). So we can safely expect Les Champignons to be fully booked tonight.
Without bothering to reconstruct, you can see that this would be an inductively forceful
argument (of course it isn’t deductively valid). You might try reconstructing the argument
like this:
P1) Les Champignons is usually fully booked.
P2) Professor Gilmour once took me to dine at Les Champignons.
C) Probably, Les Champignons will be fully booked tonight.
But, if you think about it, there is no point in including P2 in the reconstruction of the
argument. P1 alone is the basis for thinking that the restaurant will be fully booked; that
the arguer once dined there with Professor Gilmour is irrelevant. When a proposition
stated by the arguer is irrelevant to the reasoning that delivers the conclusion, that
proposition should not be included in a reconstruction of the argument.
It might seem that the only reason not to include irrelevant material in an argument is that
it would be distracting. But in fact it can affect our assessment of the argument in a more
important way. For suppose P1 is true, but P2 is not; the arguer, wishing to boast of a
greater intimacy with Professor Gilmour than they in fact enjoy, fibbed when telling us
that they dined out with him. If we were to discover this, yet persist in the above
reconstruction of the argument, we should have to pronounce the argument to be
unsound. Indeed, upon discovering the lie and becoming annoyed with the arguer, we
might well be eager to do just this. But this would be wrong, because P2 is irrelevant to the
argument. The argument should be represented like this:
P1) Les Champignons is usually fully booked.
C) Probably, Les Champignons will be fully booked tonight.
Since P1 is true, and the inductive inference is reasonable, the argument is inductively
sound.
This is an obvious point, but some cases are more subtle. In such cases it is a point that
is easy to lose sight of, especially when we wish to refute the argument. Consider this
example:
If the tuna industry is not regulated more stringently, it will collapse altogether,
because tuna populations will vanish. The evidence is obvious: tuna catches have
decreased significantly every year for the past nine years. Indeed, because of
depleting stocks, the Mid-Pacific Tuna Company went out of business.
Suppose we initially reconstruct the argument as follows:
the practice of argument-reconstruction136

P1) Tuna catches have decreased significantly every year for the past nine years.
P2) Last year, the Mid-Pacific Tuna Company went out of business.
C) If the tuna industry is not regulated more stringently, it will collapse
altogether.
For the moment, we leave out connecting premises. Here the arguer is claiming that P1
supports the conclusion by itself. But the arguer also seems to regard P2 as providing some
additional evidence, in the form of an inductive inference from one case to the general
proposition that tuna stocks have declined sufficiently to cause difficulty for the tuna
industry as a whole. So surely P2 is not completely irrelevant to the argument. Both P1 and
P2 support the conclusion. Suppose now you discover that, although P1 is true, P2 is false,
because the Mid-Pacific Tuna Company did not go out of business; rather, it was taken
over by the larger Pan-Pacific Tuna Company. You might then conclude that since P2 is
false, the argument is unsound, end of story. You might, indeed, exploit this mistake in
attempting to discredit the arguer. If you were a person who opposed greater regulation of
tuna fishing, drawing attention to this factual error might be a good rhetorical strategy to
use in persuading people not to listen to arguments for increased regulation. Nevertheless,
it would be a mistake from the point of view of critical thinking. This is simply because P1,
by itself, constitutes a good reason for accepting the conclusion. To fixate upon the falsity
of P2 simply diverts attention from the arguer’s having cited P1. According to the
principle of charity, we should simply omit P2 in our final reconstruction of the argument.
More exactly: both P1 and P2, quite independently of each other, would support the
conclusion. So really we should regard the arguer as having given two arguments for the
conclusion, one of which we know to be unsound. So according the principle of charity,
we should now focus on the other argument, the one utilising P1. Adding the needed
connecting premises and an intermediate conclusion, we get:2
P1) Tuna catches have been decreasing significantly for the past nine years.
P2) If tuna catches have been decreasing significantly for the past nine years, then,
if the tuna industry is not regulated more stringently, the tuna population will
vanish.
C1) If the tuna industry is not regulated more stringently, the tuna population
will vanish.
P3) If the tuna population vanishes, the tuna industry will collapse altogether.
C2) If the tuna industry is not regulated more stringently, it will collapse
altogether.
2 It might be more plausible to reconstruct this argument as inductive rather than deductive, but we have
ignored this in order to maintain the focus on the point about relevance.
the practice of argument-reconstruction 137

This reconstruction makes for a plausible argument as it stands. There are two comments
that it may be useful to make.
First, note that, as usual, we have deleted the phrase ‘the evidence is obvious’, which
adds nothing to the substance of the argument. Second, note that we have applied our
policy of logical streamlining fairly rigorously in this case. Most conspicuously, the
argument contained a non-causal use of ‘because’, functioning in a way similar to ‘since’
(see pp. 20–22). We replaced it with a conditional and a statement of the antecedent
of the conditional as a separate premise, thereby ‘opening up’ the logical texture of the
argument.
It is easy to see that the argument from C1 and P3 to C2 is valid. Suppose that the tuna
industry is not regulated more stringently. Then according to C1, the tuna population
will vanish. But if so, then according to P3, the tuna industry will collapse. So it follows
from C1 and P3 that if the tuna industry is not regulated more stringently, then the
tuna industry will collapse; which is exactly what C2 says. (This is an example of a ‘chain
argument’, as discussed near the end of Chapter 3.)
Returning now to the main theme of this section. The basic moral of this section is that the
truth-values of the premises actually advanced by an arguer can be more or less relevant
to the soundness of the argument. Sometimes it is highly relevant that a given premise is
false, sometimes it is much less so. It depends upon the nature of the mistake, and upon
the role played in the argument by the premise. The degree of relevance must therefore be
taken into account in the process of reconstruction.
AMBIGUITY AND VAGUENESS
If our explanations of ambiguity and vagueness are not clear to you, then you should
review the discussions of those concepts in Chapter 2. In this section, we explain how to
cope with vagueness and ambiguity when you encounter it in arguments.
Ambiguity
In reconstructing arguments, we have to eliminate any ambiguities in the original state-
ment of the argument. If the original statement contains an ambiguous sentence, we have
to decide which of the possible interpretations was most likely intended by the arguer,
and, in our reconstruction of the argument, rewrite the sentence, choosing a form of words
that conveys the intended meaning unambiguously.
Let us take an example. Suppose that Jane, a Londoner, decides to invest some money in
the share market (the stock market). She decides to look for an investment advisor, and
finds an advertisement which runs as follows:
Sharemasters: London’s leading personal investment advice service!
the practice of argument-reconstruction138

Suppose that this expresses a true proposition, and Jane accepts that what it says is true;
she accepts that Sharemasters is London’s leading personal investment service. Assuming
that it would be fraudulent to publish such a claim if it were not true, Jane reasons as
follows (for simplicity, we will ignore the reference to London in the advertised claim; this
will not affect the point we are making):
P1) Sharemasters is the leading personal investment service.
P2) If I employ a personal investment service, then I should employ the leading
personal investment service.
C) If I employ a personal investment service, then I should employ
Sharemasters.
This looks to be a deductively valid argument. But this is not quite clear, because P1 is
ambiguous. What does ‘leading’ mean, in this context? It could mean (and this is no doubt
what the advertisers hope that people like Jane will think it means) that Sharemasters is
the most effective personal investment service – that it secures better returns for its clients
than other personal investment services. But it could also mean that Sharemasters is
the biggest such organisation – in the sense of having the most clients (this is the sense
in which McDonald’s is the world’s leading restaurant); it might even mean that Share-
masters is the most profitable personal investment service – that is, that it makes the
most profits for the owners of Sharemasters itself, not necessarily for its clients (after all,
this organisation is a business, and profitability can plausibly be said to be the measure of
who is the ‘leader’ in a certain field of business). Suppose now that you wish to evaluate
Jane’s argument. You are aware of the ambiguity, so you rephrase P1 in each of the three
ways, yielding three arguments:
A P1) (a) Sharemasters secures higher returns for its clients than any other
personal investment service.
P2) (a) If Jane employs a personal investment service, then she should
employ the personal investment service that secures higher returns for its
clients than any other personal investment service.
C) If Jane employs a personal investment service, she should employ
Sharemasters.
B P1) (b) Sharemasters makes more profits for its own shareholders than any
other personal investment service.
P2) (b) If Jane employs a personal investment service, then she should
employ the one that makes more profits for its own shareholders than any
other personal investment service.
C) If Jane employs a personal investment service, she should employ
Sharemasters.
the practice of argument-reconstruction 139

C P1) (c) Sharemasters is the biggest personal investment service.
P2) (c) If Jane employs a personal investment service, then she should
employ the biggest personal investment service.
C) If Jane employs a personal investment service, she should employ
Sharemasters.
Now all three arguments are deductively valid. But are any of them sound? First of all
consider arguments B and C. Even if we assume that P1(b) and P1(c) are true, it does not
seem that these are sound arguments, because it does not seem that either P2(b) or P2(c)
are true. Perhaps they have some plausibility – since presumably if Sharemasters were
highly unsuccessful at making money for its clients, then it would not have grown so big or
become so profitable. But these would not be very reliable assumptions; to reason in the
manner of C, for example, would be like concluding that since McDonald’s is the biggest
restaurant in the world it has the best food.
So you can conclude that Jane’s argument has a good chance of being sound only if
argument A is what she had in mind. Suppose you investigate, and find that it is true that
Sharemasters is the biggest as well as the most profitable personal investment service in
London. Suppose you find, however, that it is not the most effective personal investment
service in London; its size and profitability are due to its high fees, its organisational
efficiency and effective advertising. Hence P1(b) and P1(c) are true, but P1(a) is false. You
must therefore conclude that, although it is valid, argument A is unsound. Since neither
B nor C seems to be sound, you must conclude that Jane’s original argument is unsound;
in none of the three possible interpretations does it appear to be sound.
Eliminating the ambiguity of the original argument was crucial in discovering this, for
one could very easily think that the original argument was sound. Advertisements of
this kind may be said to exploit this sort of ambiguity. If Sharemasters is indeed the
largest personal investment service in London, but not the most effective, then the slogan
does express something true; yet the advertisers might hope that readers will interpret the
claim along the lines of argument A (or possibly along the lines of B, making the
questionable assumption that the biggest service of a given sort is likely to be the most
effective).
Remember that a primary purpose of reconstruction is to represent the propositions that
constitute an argument in the clearest possible way. Thus we should have no qualms about
changing the language used to express those propositions; in changing it, we are only trying
to gain a better grasp of what the arguer was thinking. There is no guarantee that we will
not change or distort the arguer’s thinking, but there is no point in allowing ambiguous
language to remain unchanged. For we simply cannot evaluate an argument if we do not
know exactly what argument we are evaluating. If we simply cannot decide between two
interpretations of an ambiguity, then we must give both interpretations of the argument,
and evaluate the two arguments independently.
the practice of argument-reconstruction140

Vagueness
As noted in Chapter 2, many words and phrases are vague in the way that ‘bald’ is vague.
Examples include ‘tall’, ‘orange’, ‘heap of sand’ (i.e. we cannot draw a precise boundary
between tall and not-tall, between orange and red, and cannot say exactly how many grains
of sand you need to have a heap). Each such word pertains to a certain quality, such as
height, region of the colour spectrum (which proceeds gradually from red through orange,
yellow, green, blue and violet), or amount of sand, which has ‘fuzzy’ boundaries, but the
meaning of the term is clear. The terms have vague extensions (the range of things to which
they apply) but the concepts or ideas they express are not vague.
These sorts of words seldom present problems for actual argument-reconstruction and
assessment.3 More important for critical reasoning are words whose actual meanings are
vague. Indeed, many of the most rhetorically powerful or emotionally provocative words
in public (and private) discourse are vague in this way. Consider:
As pointed out in Chapter 2, we often have the feeling that these things are bad, or that
they are good, without any precise idea of what we mean by them. What they signify is
typically a whole group or cluster of things that are not unified in any exact way.
Let us take ‘conservative’ (in the political sense) as our example. There are various
attributes often associated with someone’s being ‘conservative’:
Conservative
•Believes in minimum government.
•Favours free market economics.
•politics/political •radical
•liberal •ideology
•elitism •rights
•racism •responsibility
•conservative •love
•sovereignty •weapons of mass destruction
•terrorism •political correctness
•freedom fighter
3 But they do cause trouble for logic. Consider the term ‘sand dune’. There is no exact rule for how much
sand is needed to constitute a sand dune, but here is one proposition about sand dunes that seems undeniable: if
X is a sand dune and one grain of sand is removed from X, then X is still a sand dune. But now suppose that X is
a sand dune. If we remove one grain of sand from X, then X is still a sand dune. But then if we remove one grain
of sand from this, we still have a sand dune. And so on. But then eventually we run out of sand, so we have no
sand dune. So at some point, X was a sand dune consisting of n grains of sand for some number n, such that X
ceased to be a sand dune, upon the removal of one grain of sand. But that seems absurd; we cannot imagine
a sand dune such that removing one grain of sand destroys its status as a sand dune. So we seem to have a
contradiction. This paradox – Paradox of the Heap or Sorites Paradox – was puzzled over by the ancient Greeks,
and there is still no consensus as to how to avoid the apparent contradiction.
the practice of argument-reconstruction 141

•Favours privatisation of government industries and services.
•Against the dole, welfare, etc.
•Supports ‘traditional’ values – pro-family, anti-gay, etc.
•Against government help for minorities, women, etc.
•Supports strong police, military, severe prison sentences.
•Supports business as against labour, environmental groups.
Someone could rightly be called ‘conservative’ without exhibiting all these attributes or
tendencies. Exactly which attributes you must have, and which you must not have, to be a
conservative, is simply not clear. So ‘conservative’ is vague.
Now, in reconstructing arguments, the best thing to do with vague words is simply to
eliminate them. This can be seen from the following example:
MP Jeremy Price has made his conservative stance clear by favouring ‘traditional
values’ and stronger sentencing for criminals. Therefore, we can certainly assume he
will oppose any new laws protecting the environment.
It might occur to you to represent this as a two-stage argument, thus:
P1) Jeremy Price favours ‘traditional values’ and stronger sentencing for
criminals.
C1) Jeremy Price is a conservative.
C2) Jeremy Price will oppose new laws protecting the environment.
The inferences from P1 to C1, and from C1 to C2, depend upon implicit generalisations,
which, having learned earlier lessons well, you know you would do well to make
explicit:
P1) Jeremy Price favours ‘traditional values’ and stronger sentencing for criminals.
P2) All those who favour ‘traditional values’ and stronger sentencing for criminals
are conservatives.
C1) Jeremy Price is a conservative.
P3) All conservatives oppose new laws protecting the environment.
C2) Jeremy Price opposes new laws protecting the environment.
The argument from C1 and P2 to C2 is deductively valid, but it might then occur to you
that P3 is implausible. Surely not every conservative is so disdainful of environmental
restriction. So you replace ‘all’ with ‘most’:
the practice of argument-reconstruction142

P1) Jeremy Price favours ‘traditional values’ and stronger sentencing for criminals.
P2) All those who favour ‘traditional values’ and stronger sentencing for criminals
are conservatives.
C1) Jeremy Price is a conservative.
P3) Most conservatives oppose new laws protecting the environment.
C2) Probably, Jeremy Price will oppose new laws protecting the environment.
Now this argument might seem plausible to the average person; it might seem to be
inductively sound. But the argument appears better than it is, because of the presence of
the word ‘conservative’. And in fact, all the actual logic of the original argument can be
reproduced without making use of that word at all. It is simple: The actual evidence the
arguer has for their conclusion that Jeremy Price will oppose new environmental laws is
that Price favours traditional values and stronger sentencing for criminals. The arguer
supplies no further evidence, and the word ‘conservative’ plays no role at all. Thus, adding
the necessary generalisation, we might just as well represent the argument like this:
P1) Jeremy Price favours traditional values and stronger sentencing for criminals.
P2) Most people who favour traditional values and stronger sentences for criminals
oppose new laws protecting the environment.
C) Probably, Jeremy Price opposes new laws protecting the environment.
This remains inductively forceful, and it is no less inductively forceful than the previous
version. But the inductive soundness of this argument is far from certain, because P2 is
far from certain. This reconstruction thus makes the weakness of the original argument
perfectly clear. It does so by removing the distraction created by the word ‘conservative’
(even if you do think that P2 is true, you have to admit that this reconstruction centres our
attention on the real issue).
Since many of the most rhetorically highly charged words in public discourse are
also vague, eliminating them from our argument-reconstructions achieves two things: it
clarifies the argument, and, by eliminating emotionally provocative words, enables us to
focus without distraction upon the logic of the argument.
The best thing to do with ambiguous or vague language, then, is simply to replace it with
language that is not vague or ambiguous. The aim is to employ language that will express
the intended propositions without ambiguity or vagueness. But this is not always possible.
Where a sentence is ambiguous, we cannot always tell which of the different possible
interpretations was intended by the arguer, even if we apply the principle of charity. In
such a case we can assess each of the possible versions of the argument, but we may have
to confess that we cannot tell which version the arguer intended. And – especially where
the language used by the arguer is vague rather than ambiguous – we have to admit that
the practice of argument-reconstruction 143

the arguer’s thinking may simply have been vague or confused, not just his or her language.
Indeed, where vague words such as those listed above play a role in an argument, this is
very often the case. In constructing your own arguments, such words are best simply
avoided. They tend to obscure the issue rather than clarify it. However, not all vague
language can be removed. We will return to this in the next chapter.
MORE ON GENERALISATIONS
As we noted in Chapter 2, only hard generalisations can rightly be conveyed by using a
quantifier-word like ‘all’, ‘no’ or ‘every’. Indeed, that is the usual function of those words –
to make it perfectly explicit that a hard generalisation is what is intended. For example,
someone at a meeting of Parliament might say, ‘Every single MP in this chamber takes
bribes’, rather than ‘MPs in this chamber take bribes’. Soft generalisations, indeed, are very
often expressed without any quantifier at all, as in ‘Children like sweeties’. Other times, we
add a quantifier such as ‘most’ or ‘almost all’ to a soft generalisation, in order to make it
clear that a soft generalisation is what is intended, and also to make it clear just how soft
(or how close to being hard) it is meant to be.
Since there is often confusion over the difference between hard and soft generalisations,
we should, when reconstructing arguments, always make it clear whether a generalisation
is hard or soft (the one exception to this is the case of statements about cause and effect;
this will be discussed near the end of this chapter). The confusion most often arises when
the generalisation, as stated, lacks an explicit quantifier. The intended quantifier is merely
implicit, so there is room for misinterpretation. A generalisation in which the quantifier is
merely implicit is thus a kind of ambiguity. The way to eliminate the ambiguity is to add
an explicit quantifier.
The scope of a generalisation
Consider the following hard generalisations:
1 All cows are herbivores.
2 All black cows are herbivores.
The subjects of these generalisations – what the generalisations are about – are cows and
black cows, respectively. Both generalisations are true, and they stand in a special relation-
ship. There are two aspects of this relationship. First, they attribute the same feature to
their subjects (that of being herbivores). Second, the subject of the second is a subset of the
first (all black cows are cows, but not all cows are black). Thus we say that the scope of (1)
is wider than that of (2) and conversely that the scope of (2) is narrower than that of (1).
Note that we can compare generalisations in this way only when the subject of one is a
subset of the subject of the other. We cannot, for example, say that the generalisation ‘All
lions are carnivores’ is narrower than, or wider than, either (1) or (2). Nor can we compare
the scope of ‘All sheep are herbivores’ to that of either (1) or (2).
the practice of argument-reconstruction144

Figure 5.4 represents the situation expressed by (1) and (2).
It can sometimes be important to adjust the scope of a generalisation, making it either
narrower or wider. Usually, in reconstructing arguments, we have to narrow them;
hardly ever do we have to widen them. Suppose, for example, you are a fervent
environmentalist, and believe that radical measures must be taken immediately to pro-
tect the environment from air pollution. In particular, you believe that our reliance
upon petroleum products – such as petrol (gasoline) for cars – must be halted as soon
as possible. So you argue:
Private vehicles that emit carbon monoxide should not be allowed.
We must ban automobiles.
The reasoning here is pretty clear, but in reconstructing, some care must be taken with the
generalisation implicit in it. The implicit generalisation, obviously, is that automobiles
emit carbon monoxide. The argument might be reconstructed as follows:
P1) We should ban all private vehicles that emit carbon monoxide.
P2) All automobiles emit carbon monoxide.
C) We should ban all automobiles.
Note that in writing P1, we added the quantifier ‘all’. Usually when someone speaks of
‘banning’ something they don’t add the word ‘all’ (or any equivalent word), but they do
mean that none should be allowed. Still, as always, it is worthwhile when reconstructing
to make the quantifier explicit. Now assume you really do believe P1. This argument is
deductively valid. However, you must admit that it has a weak point. For P2, as written,
is clearly untrue. Some automobiles, for example, are electric, and run on batteries. Since
Figure 5.4
the practice of argument-reconstruction 145

they do not burn petrol (or any other petroleum product), they do not emit carbon
monoxide (indeed they do not pollute the air at all, at least not directly). So even if P1 is
true, you have failed to give a sound argument.
Now you could make the argument inductively sound by changing the word ‘all’ in P2 to
‘most’. But you could do better, for two reasons.
First, it could become false that most automobiles emit carbon monoxide, without any
reduction at all in the number of petrol-driven cars, in which case the pollution (and
other problems) caused by the burning of petrol might not have been curtailed at all. For
it would be possible that so many electric cars or other alternatives to be produced over a
few years’ time that they outnumber petrol-driven cars without any reduction in the
number of petrol-driven cars. In that case, P2 would be false but you would still want to
argue against petrol-driven cars, since they would still be emitting the same amount of
pollution.
Second, changing ‘all’ to ‘most’, although it renders the argument sound, does not clarify
the issue as much as another alternative.
This other alternative is to change the scope of the generalisation expressed by P2 – in
particular, to reduce its scope. Instead of ‘All automobiles emit carbon monoxide’, we can
more accurately write ‘All petrol-driven automobiles emit carbon monoxide’, rewriting the
argument thus:
P1) We should ban all private vehicles that emit carbon monoxide.
P2) All petrol-driven automobiles emit carbon monoxide.
C) We should ban all petrol-driven automobiles.
Assuming the truth of P1, this is a deductively sound argument. Even if you doubt P1, this
is, at any rate, a much better argument than the earlier version; since the new P2 is a
narrower generalisation than the old P2, its premises have a better chance of being true.
Furthermore, by narrowing the generalisation, the issue is defined more exactly. We now
have it explicitly before us that the point at issue is the use of petrol-driven automobiles,
not automobiles in general.
Thus, when reconstructing arguments, we should take care not to employ a hard
generalisation that is wider in scope than we need, if there is anything doubtful about
the wider one that could be eliminated by employing a narrower one. If a narrower (but
hard) generalisation will suffice for constructing an argument for the desired conclusion,
then we should employ the narrower one. This is not to say we should always choose
narrower generalisations whenever possible. For example, it would not improve the
argument to rewrite P2 as ‘All blue petrol-driven automobiles emit carbon monoxide’.
For adding the word ‘blue’, besides not making the generalisation any more likely to be
true (or at least not appreciably so), renders the argument for the desired conclusion
invalid. The point is that if one generalisation is narrower than another and more likely to
the practice of argument-reconstruction146

be true, then, provided that it is sufficient for obtaining the desired conclusion, the
narrower one should be employed.
Note that in some cases there is no natural word or phrase for the class of cases we wish to
generalise about. In such cases we have to reduce the scope of a generalisation by explicitly
excepting a certain class of what would otherwise be counterexamples. For example,
consider the inference ‘That is a mammal; therefore it doesn’t fly’. The generalisation
needed is ‘No mammals except bats fly’, since ‘No mammals fly’ is false (and of course we
would also need the premise that the creature in question is not a bat; we ignore flying
squirrels).
PRACTICAL REASONING
The above argument about the automobile is one that has a practical conclusion: it enjoins
or commends a particular action. What the argument says, roughly, is that doing one thing
(banning the petrol-driven automobile) is necessary if a certain desirable outcome or end
(finding alternatives to vehicles that emit carbon monoxide) is to be achieved. Other
arguments with practical conclusions are those that say that a certain action would be
sufficient to bring about the desired end, and for that reason ought to be performed. Still
others say that a certain action would lead to a certain undesirable outcome, and therefore
ought not to be performed. Reasoning of this kind is often called practical reasoning, or
means–end reasoning, and is normally based upon two sorts of considerations: First, an
outcome is specified as being either desirable or undesirable (in this book we prefer to use
‘must’ or ‘should’ to specify the outcome, as illustrated below; normally, ‘must’ expresses a
stronger demand or requirement than ‘should’). Second, there is a proposition put forward
that says either:
(1) that if such-and-such action is performed, the outcome will result;
(2) that if the action is performed, the outcome will not result;
(3) that if the action is not performed the outcome will not come about; or
(4) that if the action is not performed then the outcome will come about.
This gives rise to eight different types of argument that concern a relation between
action and outcome. Just for the purpose of illustration, then, suppose that the outcome
is that the amount of chocolate in the world be increased, and the action in question
is X. Then, using ‘should’, the eight types of practical reasoning can be sketched like
this:
1 P1) The amount of chocolate in the world should be increased.
P2) If action X is performed, then the amount of chocolate in the world will be
increased.
C) Action X should be performed.
the practice of argument-reconstruction 147

2 P1) The amount of chocolate in the world should be increased.
P2) If action X is not performed, then the amount of chocolate in the world will
not be increased.
C) Action X should be performed.
3 P1) The amount of chocolate in the world should be increased.
P2) If action X is not performed, then the amount of chocolate in the world will
be increased.
C) Action X should not be performed.
4 P1) The amount of chocolate in the world should be increased.
P2) If action X is performed, then the amount of chocolate in the world will not
be increased.
C) Action X should not be performed.
5 P1) The amount of chocolate in the world should not be increased.
P2) If action X is performed, then the amount of chocolate in the world will be
increased.
C) Action X should not be performed.
6 P1) The amount of chocolate in the world should not be increased.
P2) f action X is not performed, then the amount of chocolate in the world will
not be increased.
C) Action X should not be performed.
7 P1) The amount of chocolate in the world should not be increased.
P2) If action X is not performed, then the amount of chocolate in the world will
be increased.
C) Action X should be performed.
8 P1) The amount of chocolate in the world should not be increased.
P2) If action X is performed, then the amount of chocolate in the world will not
be increased.
C) Action X should be performed.
There is, however, an important complication that is most easily explained in connection
with type 1. Suppose that we believe that increasing the number of doctors would improve
the NHS (the UK National Health Service). We might set out the argument like this:
the practice of argument-reconstruction148

P1) The NHS should be improved.
P2) If the number of doctors were increased, the NHS would improve.
C) The number of doctors should be increased.
This is a start, but as it stands it is really not adequate. For if you think about it, the
argument is clearly not valid. It does not follow, from the fact that such-and-such would
bring about some desirable result, that we should do such-and-such (also look again at the
earlier argument about the sun hat rule). There are two reasons.
First, we need to know that the cost of the proposed action does not outweigh the benefit
of the outcome. For example, it would certainly improve the NHS if the Government were
to increase its budget by tenfold. But that would not be a good idea, as the cost would be
far too great. This sort of thing – ‘weighing the costs’ – is clearest where money is at stake,
but it is not limited to monetary considerations. If you want stronger muscles, for
example, then you have to weigh the desirability for you of stronger muscles against the
‘cost’ of exercising (the time expended, the pain, etc.). Indeed, even in the argument about
the NHS, we are not assuming that the value of an improved NHS can be assessed in
monetary terms.
Second, we need to know that there is not some other means that would bring about the
same benefit but at a lower cost. We need to know, that is, that the proposed action is the
most efficient or economical way to bring about the desired outcome.
In reconstructing practical reasoning, then, we have to incorporate both of these points as
premises. The argument concerning the NHS, then, would go something like this:
P1) The NHS should be improved.
P2) If the number of doctors were increased, the NHS would improve.
P3) The benefits of improving the NHS would outweigh the costs of increasing the
number of doctors.
P4) Increasing the number of doctors would be the most efficient means of
improving the NHS.
C) The number of doctors should be increased.
This argument is valid. Strictly speaking, P1 and P2 are now redundant, since they can be
inferred from P3 and P4; but it is harmless, and it makes it clearer, to leave them in. Of
course, the argument is a bit vague: it does not say to what extent the NHS should be
improved, nor by how many the number of doctors should be increased. Someone actually
advancing this argument would want to fill in these details.
In considering this issue we focused on an argument of type 1, but the weighing of costs
and benefits may enter into four of the eight types of practical argument. Types 2, 4, 5 and
7 are valid as they stand, but types 1, 3, 6 and 8 are invalid types, and must always be
supplemented by premises outlining costs, benefits and efficiency. For example, consider
the practice of argument-reconstruction 149

type 3. It might be that the cost of not performing action X would be greater than the
benefit of increasing the amount of chocolate (that is to say, it might be that the benefit of
performing it is greater than the benefit of increasing the amount of chocolate).
BALANCING COSTS, BENEFITS AND PROBABILITIES
Practical reason, as we’ve just seen, involves a weighing of one value – the value of the
desired result – against another – the negative value of the cost of the envisaged means of
bringing about the desired result. It’s important to recognise that almost any action could,
in principle, be rationalised by practical reason. For example, if I get up to make a cup of
coffee, then I could reasonably be said to act according to practical reasoning; roughly,
I take it that the cost (the effort) would be outweighed by the benefit of coffee. So this sort
of calculation is thoroughly normal; all that we are doing here is making the calculation
more explicit.
Someone giving the above argument about the NHS might concede that there is some
possibility, even if the number of doctors were increased, that the NHS would not
improve. So long as he or she is reasonably certain that it would, however, it would be
simplest to leave the conditional P2 as it is, rather than inserting ‘probably’ before its
consequent, thereby making the argument inductive rather than deductive. In that case
the problem is relatively simple: If the benefit exceeds the cost, then the action should be
performed.
But in other cases – when the argument must be represented as inductive – we have to
juggle three factors: cost, benefit and probability. We have pointed out that there is no
general guide for weighing costs and benefits, and it is likewise with probability: we often
have to rely on our best, most informed guesses. But there are constraints that any weighing
should obey. For example, suppose you are repairing a window. Having removed it, you are
invited to a party, which is taking place now. You know the party would be a lot of fun,
but although you could very easily repair the window tomorrow, there is no time to
replace the window before going to the party; either you leave the window off and go to
the party, risking the possibility of rain getting in (assume the window is too high up for
there to be a risk of burglary), or you continue working on the window and miss the party.
What should you do?
Obviously the benefit of going to the party is high, but so would be the cost of rain getting
in. If we assume that these are roughly equal, then clearly your decision should rest on the
probability of rain: if the probability of rain is less than 1/2, then you should go to the
party; if it is higher than 1/2, then you should not. But suppose the cost of rain getting in
would be much greater than the benefit of attending the party. In that case you should not
risk going to the party even if the chance of rain is fairly low. We can represent this in a
table:
the practice of argument-reconstruction150

Here we are assuming that the unpleasantness of the rain, if you leave the window off and
go to the party, would be roughly twice the positive pleasure of going to the party if it
doesn’t rain, and that not going to the party would be neither bad nor good. Note that
it does not matter that we used −10 and +5 to represent this relationship; we could just
as well have used −4 and +2, or −2 and +1; the crucial thing is the relation: rain if you go to
the party would be twice as bad as the pleasure of going to the party if it does not rain.
Also, these are only rough estimates: no one assumes that anyone can specify exactly how
bad or how good outcomes would be relatively to each other. But that does not mean that
we have no idea as to what outcomes are preferred; everyone agrees, for example, that
pinching one’s toe has about the same disvalue as pinching one’s finger, and that neither
is nearly as bad as breaking one’s leg. The idea is to get these estimates to the best of our
ability; we do not require anything more.
In this situation, then, you should stay home, unless the probability of its raining is less
than half the probability of its not raining. That is, you should stay home unless the
probability of rain is less than one third.
What we are leading up to is the concept of expected value:
Let o1, o2 ... o
n be the possible outcomes of an action A; let V(o) be the value (cost
or benefit) of each outcome o, and let P(o) be the probability of each outcome
(given that action A was performed). Then the expected value of an action A is:
[P(o1) × V(o1)] + [P(o2) × V(o2)] + . . . [P(on) × V(on)]
That is, for each possible outcome of the action, you multiply the probability of the
outcome by its value (its cost or benefit, as the case may be). Then you add these figures
together to get the expected value of the action. The idea behind this is that, given a range
of possible actions, one should do whatever maximises expected value. This is what we
spoke of as a constraint on rational action. If one’s possible actions are A1, A2, ... A
n, and
one of these – say Ak – has the highest expected value, then one should perform Ak. In the
case of the window and the party, the possibilities are: stay and repair the window, or go to
the party. If we assume that the probability of rain is 0.5, then the expected value of going
to the party, according the values given in the chart above, would be:
(0.5 ×(−10)) +(0.5 ×5) =(−5) +2.5 =−2.5
Rain No rain
Go to party −10 +5
Not go to party 0 0
the practice of argument-reconstruction 151

The expected value of not going to the party is:
(0.5 ×0) +(0.5 ×0) =0
Since the expected value of staying to repair the window (0) is greater than that of going to
the party (−2.5), you should stay to repair the window.
It is very helpful to have a firm grasp of the concept of expected value, because it is one of
the areas in which people most frequently make mistakes in reasoning. For example, we
often see arguments like this:
The bottom line is this: no matter how safe the Government says it is, they cannot
rule out the possibility of a catastrophic accident. We should decommission all
nuclear power plants as soon as possible.
If the arguer is right, then the expected value of decommissioning all nuclear plants
should be greater than that of not doing so. But, although this may be true, the arguer
has given us no reason to believe it. In order to reach that conclusion, we would need to
know the actual probability of an accident; we would also need to know how the cost of
an accident would compare with the benefits and other costs of continuing to use nuclear
power, as well as the benefits and costs of relying on other sources of energy. The arguer
has provided none of this, and the mere fact that an accident is not impossible is not
disputed by anyone. Nor does anyone dispute that a nuclear accident would be a very
bad thing. But the mere fact that something bad – no matter how bad – is a possible
outcome of some action certainly does not establish that the action should not be
performed.
It is somewhat controversial to suppose that the rationality of all action depends on its
expected value. Suppose, for example, that there are ten people who will certainly die
unless they are treated with a rare enzyme that happens to be present in your brain. It
cannot be found anywhere else, and extracting it from your head will kill you. A doctor
decides forcibly to extract it from your head – thus killing you – but justifies this on the
grounds that since ten people will die if the enzyme is not extracted, and only one will die
if it is, the expected value of the action is positive. (Assume that no other harm would
result; e.g. the doctor would not be charged with murder or anything like that.) It might be
noble of you to volunteer for this, but it seems wrong to say that the doctor would be right
or justified in extracting the enzyme from your brain. The reason is that his doing so would
violate your rights. Alternatively, we might hold that there is an absolute moral rule, that
(outside the context of war) it is always wrong to kill an innocent person, or to use a
person’s life against their will. Thus there is a certain limit to the application of expected
value calculations: the expected value of a proposed action tells us whether or not it would
be rational to do something, unless it is overridden by the existence of rights or moral
rules. Normally, moral rules are invoked in a very straightforward way: x has property F;
actions with property F must never be performed, therefore x must not be performed. The
main difficulty faced by reasoning in terms of moral rules is that, at least on the surface,
the practice of argument-reconstruction152

they sometimes come into conflict, as when one person’s or group’s rights seem to be
incompatible with another’s. Courses in ethics or moral philosophy are often concerned
to find principled ways of resolving such dilemmas. Another central concern is the inter-
play between moral rules and expected value (or utility, as it is often called), and the
degree to which the former might be explained in terms of the latter. A way to accom-
modate this without complicating our argument-reconstructions is simply to think of
rights and duties as entering into the calculation of cost and benefit in their own right,
without any assumption that can be explained in terms of some independent conception
of cost and benefit.
EXPLANATIONS AS CONCLUSIONS
In the first chapter, we took care to distinguish arguments from explanations. An
argument supplies reasons why we should believe a certain proposition whose truth-value
is in question. By contrast, an explanation tells us why it is that a certain proposition
is the case, when the truth-value of that proposition is not in question. It is especially
important to observe this distinction when dealing with arguments whose conclusions
are themselves explanations. The aim of this sort of argument is to persuade the audience
that such-and-such is the actual cause of a fact or event. Such arguments are very common.
For example:
We must not have fertilised that plant. It hasn’t got a disease. We’ve watered it
correctly, and it gets enough sun, but it still isn’t growing well.
This passage does involve an explanation; but it is, nevertheless, an argument. The con-
clusion is that the cause of the plant’s poor growth is that it wasn’t fertilised. So we might
reconstruct it like this:
P1) If a plant is not growing well, then either it has a disease, it is getting the wrong
amount of water, it isn’t getting enough sun or it has not got enough fertiliser.
P2) This plant is not growing well.
P3) This plant has not got a disease, it gets the right amount of water and it gets
enough sun.
C) This plant has not got enough fertiliser.
This argument is valid. But it is not quite right, because the conclusion does not say that
the plant’s poor growth is caused by its not having enough fertiliser. It is a perfectly good
argument, and indeed it is part of what the arguer is trying to establish; but it is not all of
it. In order to display the full force of the argument, we need to use the word ‘cause’ in
both the premises and the conclusion:
the practice of argument-reconstruction 153

P1) If a plant is not growing well, then the cause is either that it has a disease, that it
is getting the wrong amount of water, that it isn’t getting enough sun or that it
has not got enough fertiliser.
P2) This plant is not growing well.
P3) This plant has not got a disease, it gets the right amount of water and it gets
enough sun.
C) The cause of this plant’s not growing well is that it has not got enough
fertiliser.
Or, as we might more naturally put it, this plant is not growing well because it has not got
enough fertiliser – that would be the causal use of ‘because’ that was discussed in the first
section of this chapter. Note that in order to obtain the desired conclusion, it was necessary
to include the word ‘cause’ (or the word ‘because’) in P1. If we had left P1 as it is in the
first version, then the inference to the conclusion in the second version would have been
invalid. For it is certainly not true that if A is true (the plant hasn’t enough fertiliser), and
B is true (the plant isn’t growing well), then A is the cause of B (though of course if A is the
cause of B, then A and B must both be true).
In fact this is not quite the whole argument, but only a sub-argument. In order to get the
final conclusion, ‘This plant is not growing well because we did not fertilise it’, we’d have
to add another premise after the given conclusion: ‘If we had fertilised this plant, then it
would have had enough fertiliser.’
Note that the correct reconstruction is not like this:
P1) If a plant has got a disease, it is getting the wrong amount of water, it isn’t
getting enough sun, or it has not got enough fertiliser, then it doesn’t grow
well.
P2) This plant is not getting enough fertiliser.
C) This plant doesn’t grow well.
In the passage, the arguer assumes that the audience agrees that the plant isn’t growing
well. This fact is not in question. The aim of the argument is to persuade the audience as to
the cause, that is, the explanation, of this fact.
All such arguments begin with an accepted fact – some proposition that the arguer expects
his or her audience already accepts. The arguer’s aim is to answer the question ‘What is the
correct explanation of this fact?’ by giving an argument. In the above example, the arguer
recognises that there are several possible causes of the agreed fact, and, by eliminating all
but one, advances the remaining one as the correct explanation. The pattern can be
represented like this:
the practice of argument-reconstruction154

P1) (The agreed fact).
P2) (The agreed fact), was caused by either A or B (or C, or . . .).
P3) B is not the case (nor is C, nor . . .).
C) (The agreed fact) was caused by A. 4
Normally P2 will be backed by a covering generalisation, of the form ‘Whenever such-
and-such happens, it is caused by . . .’. But not always; sometimes we know what the
possible causes of a given fact or event are, but are unable to articulate generalisations
from which they may be inferred. In cases where we do know the appropriate general-
isations, however, we should, as always, include them in the reconstruction. That is
what we did in the plant example. Of course, the list of possible causes listed in P2
may be of any length.5
The generalisations appealed to in arguments of this kind are often soft rather than hard.
For example, a sudden increase in the temperature of an automobile engine’s cooling
system is usually, but not always, caused either by a leak in the cooling system or a broken
fan belt. In such cases, we must insert ‘usually’, or ‘probably’ or some suitable variant, into
the appropriate place in P2. Likewise, we may not be able to rule out with certainty the
possible explanations listed in P3. Again, in such cases we should have to insert ‘probably’,
‘usually’ or some suitable variant, into the appropriate place in P3 (or perhaps ‘probably
not’, etc.). In these cases the arguments will be inductive rather than deductive. Such an
argument might look like this:
P1) The temperature of the engine’s cooling system has suddenly increased.
P2) Almost always, a sudden increase of the temperature of an engine’s cooling
system is caused by a broken fan belt, or a leak in the cooling system.
P3) It is very unlikely that the fan belt has broken.
C) Probably, the increase of the temperature of the engine’s cooling system
was caused by a leak in the cooling system.
In this case, P3 might be the conclusion of another argument; for example, it may have
been inferred from the fact that the fan belt is new.
4 A more complex kind of case is one where we know that the cause was A or B, and that A and B were both
true, yet we still wish to determine which was the actual cause (e.g. we might know that the patient’s death was
caused by either heart disease or liver disease, and that both his heart and liver were diseased). But we shall not
discuss these sorts of cases here.
5 It may, indeed, contain only one item, in which case there is no need for P3. For example: smoke is always
caused by fire; therefore if we see smoke, then since we know that it is always caused by fire, and never by
anything else, we can conclude immediately that the smoke we see is caused by a fire. Such cases, of course, are
not very interesting.
the practice of argument-reconstruction 155

CAUSAL GENERALISATIONS
In the preceding examples we were concerned with causal relationships between particular
events or states of affairs. We were concerned, for example, with whether or not the
particular event in a car’s cooling system was caused by a particular fault. However
causal statements often appear as generalisations about types of events or states of affairs,
as in:
Powerful electric shocks cause the muscles to contract.
This sort of statement is relatively unproblematic. What it means, roughly, is that when-
ever powerful electric charges are applied to a living person’s body, the muscles contract
(unless there is something wrong with their nervous system). So it is a hard generalisation
about events. However, the word ‘cause’ does not always, or even typically, indicate a hard
generalisation of this kind. Consider:
Smoking causes cancer.
This is not a hard generalisation about events, persons or states of affairs. It does not mean,
for example, that every act of smoking causes an outbreak of cancer, or that everyone
who smokes gets cancer. It does not even mean that smoking usually causes cancer (since
it is not true that most smokers develop cancer). The following argument, then, is not
inductively forceful:
P1) Smoking causes cancer.
C) If you smoke, then, probably, you will get cancer.
What, then, does ‘Smoking causes cancer’ mean? Roughly, what it means is that each
person is more likely to develop cancer if they smoke than that person would be if they
did not smoke. Smoking raises the probability of getting cancer. So this argument is
deductively valid:
P1) Smoking causes cancer.
C) You will be more likely to get cancer if you smoke than if you don’t.
But note that the statement about smoking does not tell us to what degree smoking
raises the probability of getting cancer. In that respect it is vague. A more precise causal
generalisation would take the form: ‘Smoking raises the probability of cancer by such-and-
such per cent.’
the practice of argument-reconstruction156

This connects with another important issue regarding generalisations. Consider:
A recent study of primary school children has discovered a strong correlation
between diet and school performance: better diets were strongly linked to better test
marks. One of the simplest things we can do to improve performance in primary
schools, then, is simply to improve the foods on offer at school refectories.
To discover a ‘correlation’ between X and Y is to discover that the proportion of things
that exhibit the feature Y is higher among things that exhibit feature X than it is among
things that do not exhibit feature X. The arguer here seems to infer a causal relationship
from the correlation of better test marks with better diets. In the language to be intro-
duced in Chapter 7, this is the fallacy of confusing correlation with cause. The inference
goes like this:
P1) X is strongly correlated with Y.
C) X causes Y.
But this inference is no good. This can be seen easily by considering the following example
of the same pattern:
P1) High concentrations of bicycles are strongly correlated with air pollution.
C) High concentrations of bicycles cause air pollution.
P1 is actually true, since high concentrations of bicycles and high levels of air pollution
are typically found in the same place, namely large cities such as Paris or Bangkok. But
obviously C is false. This argument-pattern is evidently not valid, and not inductively
forceful either.
Usually, when there is a correlation between X and Y without causation, what is going on
is that some underlying factor causes both X and Y. In the case of bicycles and pollution, the
common underlying cause is the presence of a large and concentrated population of
human beings (the population density explains the presence of such sources of pollution as
cars, which in turn cause the pollution). As for the case of children and test scores, it is
certainly plausible to suppose that diet influences school performance, but there may be a
common underlying cause in that case, as well. For example, it might be that children from
better-educated households tend to be more intelligent (if only because intelligent people
are more likely to complete a university education), and that better-educated households
tend to eat better diets (perhaps because they tend to have more money, and hence can
afford a better diet). Or it might be that children from poor households tend to eat poorer
diets, and that poor households tend to suffer from other sorts of family problems that
tend to impair school performance. Thus the correlation is not sufficient to establish the
causal relationship.
the practice of argument-reconstruction 157

Under what circumstances, then, can we legitimately infer the presence of a causal rela-
tionship? The answer should be evident from the rough-and-ready definition of causation
given above: In order to infer a causal relationship from a correlation between X and Y, we
need to know that the correlation holds, or would hold, even when other possible causes of
Y are absent or were absent.
In other words, we need to know that Y exists more frequently when X exists than when
it doesn’t, regardless of the circumstances in which we find X. We need to rule out other
possible causes. So what we would need to know in the case of the children, for example, is
whether or not children from well-off households do worse at school if their diets are poor,
and likewise for children from less well-educated households, and similarly for other
alternative factors that might influence performance at school.
It is important to be aware of these issues, and especially to be able to point it out when a
causal relationship is wrongly inferred from a correlation. But it would take us too far
into the subject to give a general recipe for validly inferring causal relationships from
correlations; in the language of Chapter 1, the characterisation offered above tells only a
necessary condition, not a sufficient condition. Probably the most important single lesson to
take away is that a causal relationship entails a correlation, but a correlation does not entail
a causal relationship.
A SHORT-CUT
Where an argument contains a conditional among its premises, we have, in order to infer
the consequent of the conditional, to write down its antecedent as a separate premise. This
means that we have to write a certain sentence down twice. This can be cumbersome, and
it often makes the structure of an argument more difficult to see than it need be. Consider
again the first sub-argument in the argument about the tuna industry:
P1) Tuna catches have been decreasing significantly for the past nine years.
P2) If tuna catches have been decreasing significantly for the past nine years, then,
if the tuna industry is not regulated more stringently, the tuna population will
vanish.
C1) If the tuna industry is not regulated more stringently, the tuna population
will vanish.
P2 is a conditional whose antecedent is P1. Instead of rewriting P1 out in full, we may
abbreviate it simply as ‘P1’. So we may rewrite the argument as follows:
P1) Tuna catches have been decreasing significantly for the past nine years.
P2) If (P1), then, if the tuna industry is not regulated more stringently, the tuna
population will vanish.
C1) If the tuna industry is not regulated more stringently, the tuna population
will vanish.
the practice of argument-reconstruction158

This is easier to read, and it saves you having to write things out unnecessarily. Henceforth,
whenever an argument draws an inference from a conditional premise, feel free to
abbreviate in this way.
CHAPTER SUMMARY
This chapter was concerned to address some of the main logical problems encountered in
the reconstruction of arguments.
General aspects of this include defusing the rhetoric (rewriting so as to improve clarity by
eliminating rhetoric) and logical streamlining (clarifying logical connections by using
logically clear expressions such as ‘if–then’ for conditional relationships). In many cases,
one or more premises upon which a conclusion depends is left implicit by the arguer.
A necessary part of reconstruction is to make such premises explicit. Implicit premises
are usually, though not always, connecting premises: these are either conditionals or
generalisations. Where an argument contains a conditional among its premises, the con-
ditional is often regarded by the arguer as being supported by a covering generalisation. In
reconstruction, we should take care to include a suitable covering generalisation where
appropriate. Covering generalisations may be either hard or soft generalisations.
Not everything explicitly stated by an arguer is relevant to the argument. A proposition
asserted by an arguer may be completely irrelevant; that is, the arguer does not advance
that proposition as support for the conclusion. Such propositions should not be included
in the reconstruction. In other cases, a proposition explicitly stated does provide some
independent support for the conclusion, but is such that if it were ignored, the arguer
would still, by virtue of other propositions put forward, have given an argument for the
intended conclusion. In such a case, the proposition in question should be removed from
the argument. But if it is plausible to do so, it may be treated as a premise in a separate
argument for the same conclusion.
Where possible, ambiguity and vagueness should be coped with by removing them. If it is
possible to do so, the ambiguous or vague language should be replaced by language that is
not ambiguous or vague. If a word in a premise or conclusion is ambiguous (can be read
as expressing either of two meanings), and it is not clear which meaning is intended,
then two reconstructions of the argument should be given, each reflecting one of the two
meanings.
All generalisations in reconstructed arguments, whether hard or soft, should have explicit
quantifiers. Where a premise is a generalisation, the scope of a generalisation should
be as narrow as is needed to maximise its probability of being true, but not so narrow
that the inference to the conclusion is no longer valid (or inductively forceful, as the case
may be).
Practical reasoning, or means–end reasoning, is embodied in arguments that specify an
outcome as being either desirable or undesirable, along with an action said to be either
the practice of argument-reconstruction 159

necessary or sufficient for bringing about that outcome. Such arguments can take any of
eight basic forms. In order to reconstruct such arguments as valid or inductively forceful,
we often have to add a premise stating that the proposed action is the most efficient
means of bringing about the outcome, and a premise stating that the benefit of the
outcome outweighs the cost of the action (or, in the negative case, that the cost of an action
would outweigh the benefit of the outcome). But sometimes the outcomes of actions are
only probable. This may require us to calculate the expected value of an action, even if
our estimates of costs, benefit and probabilities are vague or sketchy. The conclusions of
arguments based on expected value may be overridden by moral rules.
Arguments are distinct from explanations, but many arguments have explanations
as conclusions: such arguments attempt to establish which, of various possible causes
of a given fact or event, is the actual cause. Arguments that attempt to establish causal
generalisations present more difficulty. It is common to see causal generalisations
fallaciously inferred from mere correlations. Causal generalisations are not as informative
as one might be tempted to think: what they tell us is that one type of event or state of
affairs increases the probability of another type of event or state of affairs.
EXERCISES
1 As given, the arguments below are invalid. But each can plausibly be thought to
contain either a generalisation or conditional as an implicit premise – a proposition
that the arguer is assuming but has not explicitly stated. The arguments can easily be
made deductively valid by making the implicit premise explicit. (A) Identify the
conclusion and explicit premises, then add the premise needed to make the argument
valid. (B) Reconstruct the argument in standard form. Use a hard generalisation if
you can think of one that is plausible; otherwise settle for a conditional. You should
write all conditionals in the ‘if–then’ form.
a Mr Bean is an idiot. You should not marry him.
b All men are idiots. You should not marry one.
c Johnny will like the Blandings Castle books; he likes the Jeeves books.
d That fat man is going to sit in that chair! It’s going to break!
e Prices are not going to rise, because the savings rate is not decreasing.
f Massa won’t win unless Hamilton’s car breaks down. So Massa won’t win
unless Hamilton’s mechanic makes a major mistake.
g Verdi was greater than Rossini, so obviously Verdi was greater than Puccini.
h Since only democracies are just, no socialist countries are just.
i If he doesn’t accept the offer, then we will either withdraw the offer or raise
it. If we raise it, then we incur financial risk. Therefore, if he doesn’t accept
the offer, then either we carry on with a second-rate manager, or we incur
financial risk.
j Unless John brought wine, there isn’t any. John didn’t bring wine. So we’ll
drink beer.
the practice of argument-reconstruction160

k Cigarette advertisements don’t encourage people to smoke? Ha. I think it
safe to say that ads for chocolate encourage people to eat chocolates.
2 Rewrite the following in such a way as to defuse the rhetoric.
a The democratic candidate’s policy on the issues is that he jumps on the
winning bandwagon.
b The invasion of Iraq: the mother of all miscalculations.
c If they impose trade tariffs then we don’t have a level playing field.
d She’s been raking it in since she switched to writing chick-lit.
e They can peddle that same ideology all they want, but we’re not buying.
f The Bio-tech shares offered by Ramsay? Just another fool’s gold.
g Our crusade against the junk-food mongers will not cease until the last
junk-food ad has disappeared from children’s television.
h Blundering doctors killed 40,000 patients this year.
3 Logical streamlining: rewrite the following as single sentences using simple logical
expressions such as ‘if–then’ and ‘every’.
a You threaten not to release prisoners? Then no cease-fire.
b There is no way we’re going to win the election without increasing our
appeal to women.
c There are places in which the most offensive speech is always deemed
acceptable. They are called universities.
d A leaf-blower is louder than a rake.
e Embryo research is the thin end of the wedge towards human cloning.
f He who laughs last laughs longest.
g No pain, no gain.
4 Find appropriate covering generalisations for the following conditionals. Choose a
hard or soft generalisation as seems appropriate.
a If John is under 18, then he cannot legally purchase alcohol in the UK.
b If that is a scorpion, then it is poisonous.
c If that wine is not French, then it is probably not overpriced.
d That picture is not likely to be an oil painting, unless it was painted after
1500 or is Dutch or Flemish.
e He is probably good at analysing arguments, if he is a successful lawyer.
f If the patient is now haemorrhaging, then his blood pressure is decreasing.
g It is too dangerous for Annie to drive all the way from Thurso, if she’s only 17.
5 a Suppose you know that Doctor Bowes does not own or drive a Ferrari.
Reconstruct the argument in accordance with the principle of charity.
the practice of argument-reconstruction 161

Doctor Bowes, the candidate, owns a majority share in a large and
successful corporation. Furthermore, he drives a brand-new Ferrari. Of
course he is wealthy.
b The following passage includes the assertion that the defendant has been
addicted to cocaine for two years. Suppose you know this assertion to be
entirely false (the defendant has never used any illicit drug). Reconstruct the
argument in accordance with the principle of charity. In order to reconstruct
it, you will have to rephrase some of the sentences, ignore some material, and
also make implicit premises explicit. The conclusion is also implicit.
The evidence is very compelling. The defendant has been addicted to
cocaine for over two years. Her blood and fingerprints were found on
the murder weapon. She was seen emerging from the victim’s flat not
more than half an hour after the murder took place. She boarded a
flight for Greece only twelve hours after the murder. And finally, the
victim had recently ended the sexual relationship between himself and
the accused.
6 We very frequently hear of claims or actions being criticised on the grounds that they
are politically motivated. Sometimes this is put by saying that someone is ‘playing
politics’ or using something as a ‘political football’. What does this mean? Why is it a
criticism? Find examples in the print media, and try to explain exactly what the point
is, in such cases, in calling something ‘political’.
7 Reconstruct the following arguments, taking care to eliminate vague or ambiguous
terms. You will have to rewrite sentences, ignore some material, and make implicit
propositions explicit.
a Ms Jones has demonstrated her commitment to feminism by supporting an
across-the-board pay rise for female academics. So no doubt she’ll support a
reduction of the evidential standard for rape convictions.
b Make no mistake: whatever their keepers say, these so-called ‘domesticated’
wolves are wild. Wild animals are too dangerous to be kept as pets.
c Researchers have found that heroin use in teenagers is linked to parents with
histories of depression. Parents under psychiatric care for depression should
therefore be told the symptoms of heroin use.
d The Mayor made San Francisco into a sanctuary for illegal aliens; he has no
appreciation whatsoever that San Francisco is a city within the United States,
not a ‘city-state’.
e Sarah Palin is clearly a socialist; she supported an across-the-board dividend
to all citizens of Alaska funded by oil revenue, which makes her the very
thing she criticised in Obama: one who favours taking legitimately created
wealth and ‘spreading it around’. And socialism is a godless doctrine. So don’t
tell me she’ll protect our American rights, i.e. to low taxes, gun ownership
and Christianity.
the practice of argument-reconstruction162

8 For this argument, reconstruct it twice: once retaining the vague term ‘political
correctness’, and once eliminating it.
When the Bunbury Women’s Group proposes that the City Council bar men
from the ‘Women’s Safe House’, we realise that we must not allow them to
have influence on the Council. For this makes it obvious that the virus of
‘political correctness’ has infected the women’s group, and we know what
‘political correctness’ stands for – they would promote such horrors as homo-
sexuality being taught in schools and legal prohibitions against language
deemed ‘incorrect’.
9 Reconstruct the following arguments, making implicit propositions explicit as
needed. If the argument is not deductively valid, increase its inductive force by
decreasing the scope of the generalisation. If the argument is deductively valid,
increase its chances of being sound by decreasing the scope of the generalisation.
a Of course your new horse can be trained without much difficulty. Most
horses can be.
b Most men marry. Therefore most men have, have had or will have a mother-
in-law.
c No primates can learn to talk. Bobo is a chimpanzee, hence a primate, there-
fore he cannot learn to talk.
d All countries can be attacked by sea. Thus all countries require a naval
defence.
10 Reconstruct the argument about compulsory military service discussed at the begin-
ning of this chapter (pp. 119–121). Take into account the advice given in the section
on practical reasoning (pp. 147–153).
11 Look at argument-pattern (1) in the section on practical reasoning (pp. 147–148). In
order for such arguments to be valid, we need to add two premises: first, that the
benefit of increasing the amount of chocolate outweighs the cost of performing
action X; second, that action X is the most efficient way of increasing the amount of
chocolate. What similar premises are needed to make argument-patterns (3), (6) and
(8) valid?
12 Reconstruct the argument below. Some guidance: you will need to remove some
extraneous material and perhaps defuse some rhetoric. It is not easy to tell exactly
what the conclusion is, and it may be implicit. Once you have decided, you may
need to add implicit premises. You should also think about the role of the word
‘deviant’; is it vague or ambiguous? Should it be avoided in the reconstruction of the
argument?
Why has marriage always meant man and woman? Because other sexual
relationships are deviant. Obviously homosexual relationships are deviant;
that’s just biological fact. And that’s what the legalisation of same-sex
the practice of argument-reconstruction 163

marriage would mean: the legal protection of deviant sexual relationships –
the legal protection of all sexual relationships, of whatever kind. Why not
incest and bestiality too?
13 The following argument contains a fair amount of rhetoric, stage-setting and explan-
ation, but also a practical argument. Decide which of the eight patterns of practical
reasoning the central argument of the passage fits, and reconstruct it. Don’t worry too
much about including every point that might be relevant; your main task should be
to get the central argument laid out before you (then you can add sub-arguments,
if you find any). Part of the first paragraph is concerned to reply to a point made by
the correspondent referred to; think carefully about whether, and in what way, this
contributes to the writer’s intended argument.
I despair of your correspondent who responded to the article on otters and
mink (Letters, 9 July). Mink are certainly not playful and delightful animals.
She must be confusing them with ferrets. While I agree it is no fault of their
own that they are with us, it is not a question of survival. Mink are in paradise
here in the wild: no harsh winter; no natural predators; a vast range of prey.
In the Mustelid family they have found a niche halfway between otters and
pine marten with the aquatic ability of the former and the natural aggression
of the latter. Mink are consequently able to reach nesting colonies of ducks
and seabirds, formerly secure from predation, wiping them out and rendering
the island sanctuaries untenable by birds. I would invite your correspondent to
come to Argyll and see for herself. Mink are a scourge on our environment and
should be eliminated at every opportunity.6
14 Another practical argument, this time giving you more practice identifying implicit
premises and conclusion. Reconstruct according to the instructions on practical
reasoning. The letter is humorous, but contains a serious (though implicit) argument.
Sir, having read your report on how the police plan to test drivers for drugs,
I and both my children in their early twenties attempted the tests described,
without having taken any illegal substances.
We consistently failed the second test (on one leg, head tilted back, eyes closed,
other leg off the ground, arms extended, touch nose with each index finger).
Swaying and giggling helplessly at each other’s attempts, we would have given
every appearance of intoxication.
We have therefore decided that, if we are stopped and invited to perform these
tests at the roadside, we will first ask the officer for a demonstration.7
6 Michael Murray, Independent, 16 July 2000.
7 John Tayler, The Times, 4 August 2000.
the practice of argument-reconstruction164

15 A friend offers you a wager: if you draw an ace out of a (normal) pack of playing
cards, he’ll give you £10. If you don’t, you pay him £1. What is the expected value of
accepting the wager? Should you do it?
16 The post office is holding a sweepstakes draw: all you have to do is post a letter with
your name and address to the address given, and your name will go into the draw.
The lucky winner, drawn from a barrel containing 400,000 names, will receive
£100,000! Assuming that a second-class stamp costs 26p, what is the expected
(monetary) value of posting your letter, thereby entering the sweepstakes?
17 Criticize the following arguments.
a He cites the old shibboleth that nuclear power is already emission-free. In
fact there have always been significant external energy inputs into the
nuclear cycle. Nuclear power is not the solution.
b The purpose of the National Lottery is to earn money for the Government.
Thus the amount collected from ticket sales exceeds the amount paid out in
prizes. Therefore the expected value of buying a lottery ticket is negative.
Therefore one should not buy lottery tickets.
18 The following passage contains an argument that can reasonably be construed as
balancing costs, benefits and probabilities. Try to reconstruct it accordingly.
Elimination of global hunger, prevention of deficiency diseases and protection
of the world’s threatened environments are within reach as bio-tech and genet-
ically modified food research improves.
The debate over food production has swung in favour of new high-tech
methods. The benefits to consumers, producers and the environment from
these new technologies are increasingly evident and vastly outweigh the risks.
Every year millions of lives are lost to malnutrition. Thousands of hectares of
precious habitat are sacrificed in the struggle to produce food using inefficient
methods, namely conventional methods.
For example, vitamin A deficiency is a serious worldwide problem. So it is hard
to see the merit in eco-terrorists who destroy test crops of GM ‘golden rice’ –
which contains high levels of beta-carotene to help fight rampant vitamin A
deficiency and resulting blindness in developing nations.
Meanwhile, too many people drastically overestimate the risks because they
don’t understand that GM crops are not essentially anything new. Genetic
improvement has a long and venerable history, and with the exception of wild
game, wild berries and the like, virtually all the foods in our diet are obtained
from organisms that have been genetically improved. Scientists worldwide
agree that adding genes to plants does not make them less safe either to the
environment or for humans to eat. Dozens of new plant varieties produced
through hybridisation and other traditional methods of genetic improvement
enter the marketplace each year without scientific review or scientific labelling.
the practice of argument-reconstruction 165

Many such products are plant varieties that do not and cannot exist in nature!
The scientific consensus is unequivocal: gene-splicing is more precise, con-
trollable and predictable than other, ‘traditional’ or conventional techniques.
For example, new insect-resistant varieties of grain crafted with gene-splicing
techniques have lower levels of contamination with toxic fungi and insect parts
than conventional grains. Thus, gene-spliced grain is not only cheaper to pro-
duce but is a potential boon to human health. Moreover, by reducing the need
for spraying chemical pesticides on crops, it is environmentally friendly.
Florence Wambubu, and agronomist from Kenya, described how all farming
there is ‘organic’ and has produced low yields and hungry people. She spent
three years at Monsanto, in the United States developing a genetically modified
sweet potato to help the farmers in her country, where the crop has been
nearly destroyed by a virus. The engineered sweet potato is virus-resistant, and
requires no pesticides. Wambugu is scornful of the environmental ‘hooligans’,
whom she sees as trying to tear down many years of work on behalf of romantic
notions and bad science.
19 The following are not simply explanations, but rather arguments that have
explanations as conclusions. Reconstruct them, eliminating extraneous material and
making implicit material explicit as needed.
a At your last visit I said that the pain in your abdomen is caused either by a
kidney infection, a musculoskeletal injury or cancer in the pancreas or liver.
But no indicators for a kidney infection showed up in the urinalysis, and if
it were musculoskeletal, the pain would have subsided, not grown, by now.
I’m afraid you have cancer.
b The stress of modern life is not because we work more than our parents
did – we don’t – but because we no longer go to church. Instead we shop:
the world’s most stressful activity.
c Nietzsche’s going irrevocably mad was caused either by his tortured
intellectual life – as romantically minded people would like to believe – or
by the syphilis he contracted as a young man. But if it were his intellectual
proclivities, then we should expect a great many other notable intellectuals
to have gone irrevocably mad. The truth – again contrary to romantic
fantasies – is that very few have.
d We read with horror that the age of the onset of puberty in girls is getting
younger. We don’t believe this has to do with artificial hormones in the
milk or anything like that – surely in these more environmentally aware
times, there are fewer artificial hormones and suchlike in our food than there
were, say, twenty years ago. The real reason is the unprecedented onslaught
of sexualised images to which children are now subjected, especially on
television.
e Mr Jenkins blames the high unemployment rate on Britain’s high interest
rates: these strengthen the pound, making British exports uncompetitive,
the practice of argument-reconstruction166

which in turn forces British manufacturers to cut costs by means of
redundancies. We blame it in the ease with which people out of work can go
on the dole. Jenkins’ argument assumes that the non-manufacturing sector
of the economy is not growing as fast as the manufacturing side shrinks.
Manifestly, it is.
f Mr Pettigrew says that greenhouse gases are mostly produced by trees, not by
industry. That makes perfect sense. Global warming is on the rise, and we all
see how, all over the world, people are busy planting trees and closing down
factories, getting rid of their cars, and so on. The world of our pre-industrial
ancestors must have been a real hothouse.
20 Review the section on causal generalisations. Every example below is a case either of
(1) assuming that a causal relation entails a hard generalisation or a generalisation of
the ‘most’ type; or (2) too readily inferring a causal relationship from a statistical
correlation. In a short paragraph, criticise the following arguments: say whether each
argument is a case of either (1) or (2) and explain your answer.
a It is just not true that prolonged exposure to the sun causes skin cancer. If it
did, then everyone who has ever had a suntan or a sunburn would get skin
cancer.
b I am so tired of hearing that social and economic deprivation ‘cause’ teenage
criminality. Plenty of teenagers suffer from social and economic deprivation
without turning to crime.
c Taking lots of vitamin C makes my colds go away. I always take vitamin C
when I get a cold, and it always goes away.
d A causal link between violent video games and juvenile violence has been
demonstrated. A study has shown that the incidence of violence is much
higher among teenage boys who play violent video games regularly than it is
among those who do not.
e Oxbridge representatives claim that their admission procedures are not
biased against students from poor backgrounds. How can they maintain this
obvious falsehood, when their own figures show that the proportion of
Oxbridge undergraduates from impoverished backgrounds is far lower than
the proportion of applicants from impoverished backgrounds? Oxbridge
continues to exclude the poor because they are poor.
21 (A) Draw tree-diagrams for the following arguments as written. (B) Reconstruct them
thoroughly, and draw tree-diagrams for the reconstructed versions. (C) Say whether
they are valid, inductively forceful or neither.
a The sharp increase in the death rate in ancient Antioch, in the year AD 364,
has been ascribed to many factors: to famine, to an influx of disease
brought by soldiers returning from the Persian campaign, and to problems
with the city’s water supply. It was probably the water supply: if it were food
the practice of argument-reconstruction 167

shortages, it is unlikely both that no contemporary historian mentions it, and
that there should be no record of similar sufferings in the lesser towns of the
area or the surrounding countryside. And if the soldiers had contracted
disease in Mesopotamia, then, since they were seriously weakened by hunger
and the strain of a long and arduous campaign, they would have died of
disease in significant numbers. And then it is certain that Ammanius, an
eyewitness, would have recorded those fatalities – so cruel after the humili-
ations and losses they had endured in battle – in his history. But he is silent
on the point.
b Jepsen’s Neural Syndrome – JNS – seems to be caused in dolphins by an
excessive intake of heavy metals. A genetic cause is ruled out, because if the
cause were genetic, then the correlation discovered between JNS and the
presence of abnormally high levels of heavy metals in dolphins would be
extremely unlikely. True, the correlation between JNS and abnormally high
levels of heavy metals is no greater than that of JNS with the consumption of
large amounts of squid. But squid, as we know, tend to retain, over time,
large concentrations of the trace heavy metals that pass through their bodies.
Dolphins tend to eat the larger, therefore older, squid. It is very probable that
if squid did not retain heavy metals, then the correlation between JNS and
squid consumption would not exist. Since there are no other significant
correlations with JNS, the heavy metals diagnosis looks highly probable.
c If alcoholic behaviour in parents – as opposed to genetic predispositions
to alcoholism – caused alcoholism in children, then we would find that
children whose parents are not alcoholic, and who are adopted at a very early
age by alcoholic parents, were significantly more likely to become alcoholics.
But our study shows that they are not. Therefore mere heavy drinking in
parents does not, despite the well-known correlation, cause children to grow
up to be alcoholic.
the practice of argument-reconstruction168

6
issues in argument-
assessment
•Rational persuasiveness 169
•Some strategies for logical assessment 177
Arguments with conditionals or generalisations as conclusions –
conditional proof • Supposing the conclusion false
•Refutation by counterexample 180
•Engaging with the argument I: avoiding the ‘who is to say?’
criticism 183
•Engaging with the argument II: don’t merely label the position 184
•Argument commentary 185
•Complete examples 188
First argument: penalties for possession of cannabis • Second argument:
a criminal wins the lottery
•Commentary on the commentary 195
•Chapter summary 196
•Exercises 197
RATIONAL PERSUASIVENESS
It is plain common sense that the role of an argument is to give us reasons for accepting its
conclusion as true. The aim is to give an argument that the intended audience ought to be
persuaded by. But we have not quite defined what it is, exactly, for an argument to do this.
You might think that we have done this with the notions of deductive and inductive

soundness, but that is not quite right. One reason is that, even if we have reconstructed an
argument perfectly, we cannot always tell whether or not the argument is sound. And that
is because a sound argument must have true premises. A deductively sound argument is
one that has true premises and which is deductively valid; an inductively sound argument
is one with true premises that is inductively forceful. Since we do not always know which
propositions are true and which false, we cannot always tell whether an argument is sound
or not.
Here is a very simple illustration. Suppose you are wondering whether or not you should
expect that interest rates will increase in the next year, and someone presents you with the
following argument:
P1) Interest rates will neither decrease nor remain unchanged in the next year.
C) Interest rates will increase in the next year.
Clearly this argument is of no use to you. It is deductively valid, but such an argument
could not persuade anyone of the conclusion who did not already accept it. For if you did
not know whether or not to expect interest rates to increase, then of course you didn’t
know whether to expect them to decrease, or to remain unchanged.
Here is another illustration. Suppose Bert drops a coin into a cup of coffee, and it settles to
the bottom ‘heads up’. But neither Bert nor Barney can see it, so neither knows that it
landed heads up. Neither has any idea which way the coin landed. Then Bert and Barney
consider the following argument:
P1) If the coin landed tails down, then it landed heads up.
P2) The coin landed tails down.
C) The coin landed heads up.
In the envisaged situation, the argument would be deductively sound, since it is deduc-
tively valid and the premises are true. But, although P2 is true, neither Bert nor Barney has
any reason think so. So, although the argument is deductively sound, and Bert and Barney
can see that it is deductively valid, it gets them no closer to knowing the truth-value of the
conclusion.
In such a situation, we say that the argument is rationally unpersuasive. More exactly we
must say it is rationally unpersuasive for Barney, and also for Bert. Why we must put it this
way – why we must relativise the notion of the rational persuasiveness of an argument –
can be seen from a variation of the story.
Suppose that Barney, but not Bert, knows that the coin is weighted in such a way that it
almost always ends up tails down. Then Barney, but not Bert, has a good reason to accept
P2. Therefore Barney has a good reason to accept that the argument is sound, but Bert does
not. Therefore the argument is rationally persuasive for Barney, but not for Bert.
issues in argument-assessment170

Now imagine a further variation on the story. Suppose that at a particular moment, Barney
tells Bert about the weighting of the coin. If Bert had considered the argument before
that moment, the argument would not have been rationally persuasive for him. But
if he considers it after that moment, then it is rationally persuasive for him, because
of Bert’s acquisition of the relevant information. So rational persuasiveness is doubly
relative: an argument is or is not rationally persuasive for a person at a particular
time. Since different people are in different states of information at different times, an
argument may be rationally persuasive for Barney but not for Bert, and it may be rationally
persuasive for Bert at one time but fail to be at another time. In what follows, we will
usually suppress this complication, but it is worth knowing that it can sometimes be
relevant.
Before we give our official definition of rational persuasiveness, there is one last complica-
tion to be discussed. Looking over the example just given, you might think that an
argument is rationally persuasive (for a person at a time) if (i) it is inductively forceful or
deductively valid and (ii) the person reasonably believes the premises (at the time). But
this is not quite right.
For consider now the following example:
P1) Almost all residents of Inverness, Scotland own at least one item of woollen
clothing.
P2) Fiona is a resident of Inverness.
C) Probably, Fiona owns at least one item of woollen clothing.
This is an inductively forceful argument. Suppose in fact you have good reason to accept
both P1 and P2. Indeed, suppose you know with certainty that they are both true. Does it
follow that you should accept C? Can you imagine a situation in which you know that P1
and P2 are true, but in which you could reasonably reject C? Yes. For suppose that, in
addition to your knowledge of P1 and P2, you knew Fiona personally, and with certainty
that C is in fact false (she is violently allergic to wool). Someone who knew the truth of P1
and P2, but nothing else about Fiona, could reasonably expect C to be true, but not you.
The argument would be rationally persuasive for them, but not for you.
What we say, in such a case, is that the argument is defeated for you by other evidence that
you have; in this case you have, in effect, two arguments: the argument as given, and also a
more compelling argument for the falsity of the first argument’s conclusion.
In particular:
To say that an inductively forceful argument is
defeated
for a person is to say: The
person reasonably believes the premises, but, nevertheless, reasonably rejects
the conclusion.
issues in argument-assessment 171

An inductively forceful argument whose premises you have reason to accept is rationally
persuasive only if your total evidence does not defeat the argument for you (we will
say more about evidence in Chapter 8). Note that the above definition pertains only to
inductive arguments. The reason for this will be clear in a moment.
Thus our definition of rational persuasiveness:
To say that an argument is
rationally persuasive
for a person (at a time) is to say:
(i) the argument is either deductively valid or inductively forceful;
(ii) the person reasonably believes the argument’s premises (at the time); and
(iii) it is not an inductively forceful argument that is defeated for that person (at that
time).
There are seven further points to bear in mind as regards rational persuasiveness.
1 It is not possible for the conclusion of a deductively valid argument to be defeated
by a person’s total evidence – this is only possible for inductively forceful argu-
ments. Thus condition (iii) of the definition of rational persuasiveness only applies to
inductively forceful arguments. The reasons for this are:
a If you accept with good reason the premises of an argument that you
recognise to be deductively valid, then you must accept the conclusion as
well; for you know that if the premises are true, then the conclusion must
be true as well. If a person has good reason to accept the premises of a
deductively valid argument, then we may conclude that it is rationally
persuasive for that person without further ado. Any further consideration
that, for that person, casts doubt on the conclusion, must equally cast doubt
on the premises.
The reason for this comes from the definition of a valid argument: if its
premises are true, then its conclusion must be true. Remember from
Chapter 3 that validity has nothing to do with the actual truth of the
premises. Therefore, if the premises are true and the argument is valid – the
conclusion must necessarily (no exceptions) be true. So if you have reason to
accept the premises then those very same reasons are equally strong reasons
to accept the conclusion. The only way that a deductively valid argument can
fail to be rationally persuasive is if a person is without reason to accept the
truth of one or more of the premises (remember that since the argument is
deductively valid, condition (i) has already been fulfilled).
b The adverb ‘probably’ (or similar term) before the conclusion of an induct-
ively forceful argument allows the possibility that the premises are true and
the conclusion false. That is why such an argument may be defeated for a
issues in argument-assessment172

person: the person has evidence that prevents him or her from accepting the
conclusion even though (A) he or she reasonably accepts that the premises
are true and (B) the argument is inductively forceful.
2 It is not part of the definition that the argument be sound (either deductively or
inductively). The reason is simple: the notion of rational persuasiveness is intended to
capture what it is about an argument that constitutes its rational claim on a person. It
explains what it means to say: this person ought to accept the conclusion of this argument.
It is the notion of an argument’s giving a person good reason to accept its conclusion.
Indeed, an argument can have a false premise, and hence be unsound (neither
deductively nor inductively sound), yet be rationally persuasive for a person. To
illustrate, go back to the second version of the weighted coin. Suppose that on this
one rare occasion, the coin settles to the bottom of the cup heads down, so P2 is false.
Still, in that case, Barney would still be quite reasonable in thinking that P2 is true
(for he knows that the coin is weighted). So the argument would still be rationally
persuasive for Barney, despite its having a false premise, and thereby being unsound.
He would be quite right – in the sense of being rationally justified – to accept the
conclusion of the argument, even though, in fact, it is false.
This point about rational persuasiveness illustrates an important fact to which we
will return later in more detail: a person may reasonably believe a proposition that is,
as it happens, false. In other words, there is such a thing as a reasonable mistake. This
is an elementary point, but it is an easy one to forget – and hence, for example, you
might inappropriately blame people when they make a mistake of this nature.
Indeed, a useful way to put the point is to say that the word ‘mistake’ is ambiguous.
To say that someone is ‘mistaken’ could mean either (i) that they have accepted a
false conclusion, or (ii) that they have been persuaded by bad reasons – by an
argument which is not in fact rationally persuasive for them (or they have failed to be
persuaded by good reasons – by an argument that is rationally persuasive for them).
Clearly we are responsible for our mistakes of type (ii); we ought to be persuaded
by good reasons, and not by bad reasons. If we fail in this, then, typically, we are
blameworthy. But it is much less clear that we are always responsible for mistakes of
type (i). If someone believes a proposition on the basis of good reasons – on the basis
of arguments that are rationally persuasive for him or her – then it might just be bad
luck if the proposition turns out to be false. If so, then the person need not be to
blame for having made a ‘mistake’.
Suppose, for example, that you are a doctor. Suppose there is a drug X that you know
to have cured a certain dangerous disease every single time it has been used, in over a
million cases; furthermore, you know that it has never had a negative side effect, and
contains no substances known to be dangerous in any way. A patient has the disease
and you prescribe X. Unfortunately, instead of being cured by X, the patient is made
ill by it. Were you mistaken in believing that X would safely cure the disease? Not if
by ‘mistaken’ we mean a mistake of type (ii), and hence not in the sense required
if you are to be blameworthy. Indeed, you would have been open to criticism if you
issues in argument-assessment 173

had decided not to prescribe the drug, since you would have been going against a
massive body of evidence.
3 It should be appreciated why we have named rational persuasiveness as we have.
Remember that at the beginning we said that there are various kinds of attempts at
persuasion. This book is about trying to distinguish argumentative from non-
argumentative – especially rhetorical – attempts at persuasion, and learning to
evaluate them. An attempt at persuasion by argument is an attempt at rational
persuasion, as opposed to other kinds of persuasion, which do not appeal to your
reason (but rather to your emotions or prejudices). Directed at you, it is an attempt at
providing you with a rationally persuasive argument. Note, again, that this does not
mean that the argument must be a sound argument. The attempt depends upon
what you reasonably believe regardless of whether or not those reasonable beliefs are
in fact true.
4 Rational persuasiveness is a matter of degree; it is not all-or-nothing. This is evident
from (i) the fact that the reasonability with which one holds beliefs is a matter of
degree, and (ii) the fact that inductive force is a matter of degree.
5 ‘Rationally persuasive’ does not mean merely ‘persuasive’ or ‘convincing’. A rationally
persuasive argument may fail to persuade anyone. Whether or not an argument is
rationally persuasive for you does not depend upon whether you think it is. The crux
of the matter is to understand this: an argument may be rationally persuasive for you
even though you are not persuaded by it. This should not be regarded as paradoxical.
All it means is that there are cases where you ought to be persuaded by an argument,
but you are not. Likewise, there are cases where you are persuaded or convinced
by an argument, but where you should not be, because the argument is not actually
rationally persuasive for you. It is one task of rhetoric to cause people to overestimate
the rational persuasiveness of an argument – to convince or persuade people without
actually giving them good reasons.
To understand why this is so, examine Figure 6.1. You can see from this figure that
when we examine the relationships between sound arguments, rationally persuasive
arguments and the arguments that actually persuade people, it is possible for a given
argument to be one, two or all three of them. The important point you need to note
is that rational persuasiveness and soundness are properties that arguments can have
independently of whether an individual or group actually finds them persuasive.
Human beings are not always perfectly rational and part of the function of the
concept of rational persuasiveness as we have defined it is to acknowledge this. If
rational persuasiveness were defined so as to make all rationally persuasive arguments
ones that actually persuaded people, we would have no way of accounting for the fact
that sometimes people fail to be persuaded by arguments that they really should
be persuaded by, and are sometimes persuaded by arguments that they should not be
persuaded by.
There are three ways in which one can be mistaken about the rational persuasiveness
of an argument. Study them carefully, especially if the preceding paragraphs are
mysterious to you.
issues in argument-assessment174

First, we can make mistakes concerning whether or not an argument is valid or
inductively forceful. Especially in the case of a logically complex argument, we may,
for example, think the argument deductively valid or inductively forceful when it is
neither (for example, when the argument contains a fallacy that is also an effective
rhetorical ploy; see Chapters 2 and 7). If so, then even if we accept the truth of the
premises, and are perfectly justified or reasonable in doing so, we may think that the
argument is rationally persuasive for us when it is not. Equally, if we think an
argument invalid when it is valid, or think it inductively unforceful when it is
inductively forceful, it is possible to think an argument rationally unpersuasive for us
when in fact it is rationally persuasive for us.
Second, we can think we have good reason to accept a premise when we don’t, or vice
versa. For example, consider the following argument:
P1) Next summer will be a hot one.
P2) Hot weather is good for Cabernet Sauvignon grapes.
C) Probably, next year’s Cabernet Sauvignon harvest will be good.
This looks like an inductively forceful argument, and let us grant that P2 is true. Now
suppose Jane knows that P2 is true. She also thinks that P1 is true, but her reason is
that she has the superstitious belief that whenever it rains on winter solstice, the
following summer will be hot. In that case, assuming she knows it did rain on winter
solstice, she may think her belief in P1 is reasonable or well-founded, but it is not. So
in that case, having noticed its inductive forcefulness, she may well think that this
Figure 6.1
issues in argument-assessment 175

argument is rationally persuasive for her, but she would be wrong. She may be
persuaded, but she is not rationally persuaded.
Third, you can be mistaken about whether or not an argument is defeated for you.
On the one hand, you might accept an argument for a given conclusion – thereby
accepting the argument as rationally persuasive – without realising that you have
information sufficient to construct another argument that defeats the conclusion of
the first argument. You might, for example, accept an argument for the conclusion
that Mr Jones will attend the meeting, momentarily forgetting that Mr Jones had
scheduled a holiday today. On the other hand, you might think that an argument is
defeated for you when it isn’t. You might, that is, mistakenly think you have good
reasons to reject the conclusion of an argument that is inductively forceful and whose
premises you accept.
Obviously one can give arguments for various purposes, including deceitful ones. But
the rational, non-deceitful motivation for giving an argument is surely this: it is to give
a sound argument that is rationally persuasive for oneself, and for its intended audience.
Different arguments may be required for different audiences. We cannot always
know with certainty whether an argument is sound, but that is the human pre-
dicament. It is simply a consequence of the fact that we do not always know with
certainty which propositions are true and which false. If we did, we would never need
arguments.
6 Judgements about rational persuasiveness very frequently depend on estimates of
the legitimacy of the authority behind certain propositions. For example, an
official statement by the editor of the newspaper that such-and-such proposition
appearing in the newspaper was a mistake normally carries a good deal more
authority than the word of a random letter to the editor. A child would do better to
listen to his teacher on spelling than to her or his classmate. We will discuss this
more in Chapter 7, but in general it is perfectly normal and rational that one’s
credulity in certain propositions is proportional to our estimates of the authority
behind them.
7 In saying that an argument is rationally persuasive for a person only if the person
reasonably believes the premises, we are not requiring that the person have, at his or
her disposal, further arguments with those premises as conclusions. What we are
requiring is that the person be justified in accepting the premises. Justification is a
wider concept than rational persuasiveness: if one has a rationally persuasive argu-
ment for a proposition then one is justified in accepting it, but one may be justified in
accepting it by means other than argument. In particular, some beliefs, especially
perceptual beliefs such as ‘I see a dog in front of me’, are often justified – reasonable
– even though they are not inferred from other beliefs. We will return to this in the
last chapter.
issues in argument-assessment176

SOME STRATEGIES FOR LOGICAL ASSESSMENT
Once we have an argument represented in standard form, we have to pronounce whether
or not the argument is valid, and if not, whether or not it is inductively forceful. To do
this, the basic technique is simple: ask yourself, can I imagine or conceive of a situation in
which the premises are true, but the conclusion false? If under no conceivable situation
could that be, then the argument is valid.
If you can think of ways in which the premises would be true but the conclusion false,
then you must determine to what degree, if any, the argument is inductively forceful.
What you do here is to imagine various situations in which all the premises are true. Of
these situations, which are more likely – the ones in which the conclusion is true, or the
ones in which it is false? If the situations in which the conclusion is true would be more
likely than those in which it is false, then the argument is inductively forceful; if not, not.
If it is forceful, it remains only to specify the degree to which it is so.
Here is an illustrative example:
P1) The diamond thief wore size five high heels.
C) The diamond thief was a woman.
This is not deductively valid, since it is not impossible that the thief was a man with very
small feet wearing high heels, or even a child. This is readily conceivable. Is the argument
inductively forceful? The premises themselves do not tell us that children seldom steal
diamonds and that men very seldom have such small feet. But these are items of general
knowledge that we can add as premises, thus making the inductive force of the argument
explicit:
P1) The diamond thief wore size five high heels.
P2) Very few men wear size five high heels.
P3) Very few children steal diamonds.
C1) Probably, the diamond thief was a woman.
Whenever we find that an argument is not valid, we should always ask whether there are
premises that (1) the arguer could reasonably be expected to know, or which we know to
be true, and (2) would make the argument inductively forceful, if added.
Arguments with conditionals or generalisations as conclusions –
conditional proof
The process described above, where we ask ourselves whether there is a possible situation
in which an argument’s premises are true but its conclusion false, can be mentally
issues in argument-assessment 177

taxing, where the argument’s conclusion is a conditional or a generalisation. Recall the
argument from Chapter 5 concerning the tuna industry, rewritten to eliminate the use
of ‘unless’:
P1) Tuna catches have been decreasing significantly for the past nine years.
P2) If tuna catches have been decreasing significantly for the past nine years, then,
if the tuna industry is not regulated more stringently, the tuna population will
vanish.
C1) If the tuna industry is not regulated more stringently, then the tuna
population will vanish.
P3) If the tuna population vanishes, the tuna industry will collapse altogether.
C2) If the tuna industry is not regulated more stringently, it will collapse
altogether.
Concentrate on the argument from C1 and P3 to C2. It might be a bit difficult to imagine
C1 and P3 true, and then ask whether C2 could be false in such a situation. But in fact,
when we considered this argument earlier, we used a method that makes it easier. We shall
now make this more explicit, as it is important when considering arguments that have as
much logical complexity as this argument (or more). Note that C2 is a conditional. What a
conditional asserts, roughly, is a certain relation between the antecedent and consequent –
that if the antecedent is true, then so is the consequent. So the question we want to answer
is this: If the premises of the argument were true, then would this purported relationship
hold? To answer this question we suppose, not only that the premises of the argument are
true, but that the antecedent of the argument’s conclusion is also true. And then what we want
to know is whether, under all those suppositions, the consequent of the argument’s con-
clusion would also have to be true. If that is so, then that conditional proposition does
follow from the premises.
We can illustrate the matter like this, using the arrow ‘→’ to indicate ‘if – then’ as we did
in Chapter 3. Suppose we have an argument that looks like this, with capital letters
standing in for sentences:
P1) . . .
P2) . . .
C) P → Q
Such an argument is valid only if the following is also valid, where P1 and P2 are the same
as before:
issues in argument-assessment178

P1) . . .
P2) . . .
P3) P
C) Q
That is to say, in order to determine whether P → Q follows from some premises, we ask
whether Q follows from those premises together with P. The technique is known as
conditional proof, since it provides a simplified means for proving a conditional.
So back to the tuna fishing argument. Suppose C1 and P3 are true, and that the tuna
industry is not (going to be) regulated more stringently (this is the antecedent of C2). We
can now reason as follows: we have assumed that the tuna industry is not regulated more
stringently; therefore, according to C1, the tuna population will vanish. But in that case,
according to P3, the tuna industry will collapse altogether. But that is precisely what
the consequent of the C2 says. So we see that if C1 and P3 are true, then it does follow,
from the antecedent of C2’s being true, that the consequent of C2 is true also. So, by the
technique of conditional proof, the argument is valid.
The same sort of technique is useful where the conclusion of an argument is a generalisa-
tion. Consider this argument:
P1) Every midfielder on the Italian national side is a good defender.
P2) No one is a good defender who does not tackle well.
C) Every midfielder on the Italian national side tackles well.
Here, as before, we begin by supposing the premises true. But in this case the conclusion
is a generalisation. Now recall from Chapter 5 that generalisations can typically be
regarded as generalised conditionals. So the conclusion C can (somewhat awkwardly) be
re-worded as: ‘If someone is a midfielder on the Italian national side, then that person
tackles well.’ Thus suppose that P1 and P2 are true. What we do in this case is to suppose
that someone is a midfielder on the Italian national side; that is, we consider any mid-
fielder on the Italian national side. What we now want to know is whether P1 and P2
force us to conclude that that person tackles well. They do: according to P1 this person
is a good defender; but then, according to P2, this person must tackle well. But this
was just any Italian midfielder, not any one in particular. So we can conclude that every
Italian midfielder tackles well (if P1 and P2 are true). Now consider a slightly different
argument:
P1) Every midfielder on the Italian national side is a good defender.
P2) Every player who tackles well is a good defender.
C) Every midfielder on the Italian national side tackles well.
issues in argument-assessment 179

If we imagine our Italian midfielder again, P1 entails that he is a good defender. But P2
does not entail that he tackles well. It says that every player who tackles well is a good
defender, but it does not tell us that if he is a good defender, then he tackles well. So P1
and P2, in this argument, do not allow us to conclude that our Italian midfielder tackles
well. The argument is invalid.
Supposing the conclusion false
Another way to assess the validity of an argument is suppose the premises are true but
the conclusion false. If we can see that this is impossible, then, according to the
definition of validity, the argument is valid; if we can see that this is possible, then we
know that the argument is invalid. So consider the first argument about the Italian
footballers. To suppose the conclusion false is to suppose that there is at least one
Italian midfielder who does not tackle well. If he does not, then by P2 he is not a good
defender. But then he is an Italian midfielder who is not a good defender, which
contradicts P1. So if the conclusion is false, it is impossible for the premises to be true.
So the argument is valid.
Do the same with the second argument about the Italian footballers. We now imagine an
Italian midfielder who does not tackle well. According to P1, he must be a good defender.
But P2 does not force us, or enable us, to draw any further conclusion about this Italian
midfielder. It tells us that if he tackles well, then he is a good defender, but it does not tell
us anything about the case where he does not tackle well: it does not say that if he does not
tackle well then he is not a good defender. So the falsity of the conclusion is perfectly
consistent with the two premises being true. For all the premises say, our midfielder might
be a good defender for other reasons – he might be very quick and energetic, good at
clearances and so on. So the argument is invalid.
This method can be used on any argument, not just those whose conclusions are
conditionals or generalisations. But it is especially helpful in those cases.
REFUTATION BY COUNTEREXAMPLE
We move now to an important technique for showing that an argument is invalid or
inductively unforceful. Normally, you would use this when you have already determined
that the argument is not valid or inductively forceful, and, in an argument commentary,
when you wish to explain why the argument is not valid or inductively forceful. It is
grasped most easily by looking at an example. Consider this argument:
P1) Almost all heroin addicts were marijuana smokers before becoming heroin
addicts.
C) Marijuana smokers tend to become heroin addicts.
issues in argument-assessment180

This argument is sometimes given as a reason not to legalise marijuana (or cannabis). But it
is definitely a bad argument. This can be seen very readily by comparing it with this
argument:
P1) Almost all heroin addicts were milk drinkers before becoming heroin addicts.
C) Milk drinkers tend to become heroin addicts.
Obviously this argument would not give us a reason to outlaw the drinking of milk. Yet it
has a true premise, just as the first argument, and more importantly, it embodies exactly
the same reasoning as the first argument. In particular, both arguments assume that if
almost everyone who does X did Y beforehand, then having done Y makes them more
likely to do X (or, those who do Y tend to become people who do X). As the second
argument above illustrates, that is clearly wrong.
If you were given the first argument, you could show that it is a bad argument by present-
ing the second as an example of the same reasoning. That is what we mean by refuting an
argument by means of a counterexample. The second example is a counterexample to the
belief in this form of reasoning.
Now in this case we have been able to lay bare the mistaken assumption upon which the
mistaken reasoning rested. This can often be very useful, and according to our general
policy of making everything explicit, we should make the assumption explicit, rendering
the two arguments thus:
P1) Almost all heroin addicts were marijuana smokers before becoming heroin
addicts.
P2) If almost everyone who does X did Y beforehand, then those who do Y tend to
become people who do X.
C) Marijuana smokers tend to become heroin addicts.
And:
P1) Almost all heroin addicts were milk drinkers before becoming heroin addicts.
P2) If almost everyone who does X did Y beforehand, then those who do Y tend to
become people who do X.
C) Milk drinkers tend to become heroin addicts.
In making this generalisation explicit, we make explicit exactly what is wrong with the
original argument. For we have now represented the argument as a deductively valid one.
But in this way we represent the argument as very obviously unsound, owing to the falsity
of P2. The second argument shows this, because it is valid, yet P1 is true and C is false.
According to the definition of validity, it follows that P2 is false.
issues in argument-assessment 181

The technique just discussed is this: if an argument is unsound due to an implicitly
assumed but false generalisation, first make explicit the assumed generalisation, in such a
way that the argument becomes deductively valid (or inductively forceful). Then find
a true premise and false conclusion that are suitably analogous to the premise and con-
clusion of the original argument, and substitute them (as we did with P1 and C of the
above argument).
Sometimes an arguer’s assumed, faulty generalisation is perfectly obvious, but they seem
not to notice that it is faulty. Here is an example:
The continuing carnage on our roads must be stopped. Since it will certainly reduce
the number of fatal road accidents, I propose that we immediately reduce all speed
limits by 25%.
We can reconstruct this, making the generalisation explicit, as follows:
P1) Reducing speed all limits by 25% would reduce the number of fatal road
accidents.
P2) Anything which will reduce the number of fatal road accidents should be done
immediately.
C) All speed limits should immediately be reduced by 25%.
This is deductively valid, but it can easily be refuted by counterexample:
P1) Banning all motor vehicles would reduce the number of fatal road accidents.
P2) Anything which will reduce the number of fatal road accidents should be done
immediately.
C) All motor vehicles should be banned immediately.
Since P1 is true and C false, and the argument is valid, P2 must be false. So the original
argument, since its P2 is the same, is unsound. Of course, this does not mean that nothing
should be done to reduce road fatalities. It means only that the fact that a given remedy
would reduce them is not sufficient for carrying it out. As explained in the Chapter 5
section on practical arguments, we must, in such cases, show that the overall expected
value of the envisaged remedy would be positive (i.e. that it would not cause other, worse
problems), and also that no other remedy would have a higher expected value (no other
would be more practical and effective).
issues in argument-assessment182

ENGAGING WITH THE ARGUMENT I: AVOIDING THE
‘WHO IS TO SAY?’ CRITICISM
Sometimes an argument will contain a premise that no one would say can be known with
certainty. Sometimes these will have to do with what a particular person was thinking, or
with what motives people in certain circumstances are likely to have, or with the future,
such as whether unemployment will increase or the Labour Party will win the next
election. Consider this argument:
If they close down the factory – making over 500 workers redundant – then
unemployment in our town will immediately double, at the very least. This will
surely lead to increases in family tensions, hence in domestic violence. Studies have
found this happening in every case where there is such an abrupt and dramatic
increase in unemployment.
The conclusion is that if the factory closes, domestic violence will increase. Without
bothering to reconstruct further, you can well imagine someone reacting to this argument
with:
Well, who is to say what will happen? You don’t know that increased domestic
violence would result; you can’t just assume that the people in our town are as bad as
that.
But this is an empty criticism of the argument. The critic has given no reason to suppose
that the people of the town in question are different from other people. The critic is just
ignoring the argument, not analysing it. Assuming the premises to be true, the evidence
that an increase in domestic violence tends to follow large increases in unemployment is
very strong. Perhaps this sort of thing cannot be absolutely certain until it happens, but
that is the nature of inductive inferences. Where an argument is inductively forceful, the
person who says ‘who is to say’ that the conclusion is true is either repeating what nobody
doubts – that the argument is not deductively valid – or expressing a seemingly unreason-
able scepticism, like a person who refuses to believe that past observation supports the
hypothesis that spring will follow winter.
Another variety of the ‘who is to say?’ response is illustrated in the following example:
P1) Our finest works of art are irreplaceable cultural assets.
P2) It is the Government’s responsibility to protect our irreplaceable cultural
assets.
C) It is the Government’s responsibility to protect our finest works of art.
Now the phrase ‘finest work of art’ is a vague term; no doubt the boundary between the
finest works and the not-so-fine works is not clear. It is also what is sometimes called a
issues in argument-assessment 183

‘value-laden’ term, since what makes something a fine work of art depends at least partly
upon whether, in fact, people do value it (more generally, a value-laden term is one whose
application to things depends in some way upon our attitudes towards those things; for
example, the word ‘weed’ is value-laden, since whether or not something is a weed depends
on whether we like or tolerate it in gardens or among crops). So now suppose some
opponent of the conclusion responds to this argument with:
Well, who is to say what are our finest works of art? It’s a matter of opinion.
This is not an effective criticism of the argument. It may well be that there is some
difficulty in achieving unanimity on such a question. But in order effectively to criticise
an argument – in order to engage with it – one must either (i) show that the argument
is neither valid nor inductively forceful; or (ii) show or argue that there is no reason
to believe one or more of the premises, or that one or more of them is false; or (iii) show,
if it is an inductive argument, that it is defeated by some other argument. Merely
pointing out that a term occurring in the argument is vague or value-laden is not sufficient.
Certainly remarking the presence of vagueness is not sufficient. For example, ‘bald’ is a
vague term, yet it is inductively forceful to argue ‘Robin is female, therefore it is unlikely
that Robin is bald’. Nor is remarking the presence of a value-laden term sufficient as a
criticism.
To make this vivid, consider this argument:
P1) Killing innocent children is immoral.
P2) One should not do what is immoral.
C) One should not kill innocent children.
This argument contains the words ‘immoral’, and ‘innocent’, which are certainly value-
laden. It would certainly be possible for someone to say: ‘Who is to say what is immoral, or
what is innocent?’ But the fact that these terms can present problems of application does
not detract from the evident soundness of this argument.
Of course, it might be that if the Government policy suggested by the argument about
works of art were enacted, it would be very difficult to apply it, owing to the difficulty of
identifying ‘our finest’ works of art. That might even constitute an argument against such a
policy. But in order actually to engage with the argument, the critic must actually produce
such arguments; merely to point out that an argument contains a problematic or vague
term like ‘fine work of art’ is not enough, as shown by the murder example.
ENGAGING WITH THE ARGUMENT II: DON’T MERELY
LABEL THE POSITION
Here is a typical example of what we mean by this:
issues in argument-assessment184

Freiberg argues that rape victims are ‘peculiarly vulnerable’ to emotional distress and
therefore should be given special protections when questioned by defence lawyers.
This is the usual ‘politically correct’ stance that gives every break to women or so-
called ‘minorities’.
It should be clear that whatever Freiberg’s argument was, the writer has not engaged with
it. The writer has not given a reason to think that the argument is not sound: they have not
criticised either its reasoning or its premises. What the writer has done, in calling Freiberg’s
position ‘politically correct’, is indulge in a certain kind of prejudicial labelling. Used in
this way, the label invites the reader to think that Freiberg is merely biased in certain ways,
subscribing unreflectively to a certain perceived orthodoxy. Similar things happen when
positions or arguments are labelled ‘conservative’, ‘liberal’ and the like.
ARGUMENT COMMENTARY
We have now completed our survey of our basic concepts and procedures of argument
analysis. By ‘argument analysis’ we mean a two-stage process; comprising first the
reconstruction, then the assessment of the argument. At this point, we need to say a bit
more about the final product of this process. When the analysis of an argument is under-
taken, you may sometimes want to produce a piece of written work that summarises the
analysis you have made. This should consist of three parts:
1 The argument (or arguments) as originally expressed.
2 The argument(s) expressed in standard form.
3A commentary on the argument(s), written in ordinary prose.
Generating 2 out of 1 is the stage of argument-reconstruction; most of what was said in
Chapter 5 of this book is addressed to various sorts of difficulties commonly encountered
in making that step. The concepts discussed in Chapters 3 and 4 also bear systematically
upon the step from 1 to 2, because, as explained earlier, the principle of charity enjoins us
to reconstruct the argument in the most favourable way, and we need those concepts in
order to determine exactly what that means.
What we have not yet discussed explicitly is step 3. What this comes to is simply a written
piece of work that covers the following points (either all of them, or as many as seems
relevant in the particular case):
(i) A general discussion of the argument, explaining, as appropriate: (1) The context in
which the argument is given, that is, whatever facts a reader would need to know in
order to understand the point of the argument. Often this will include a description
of what the arguer’s opponents are saying or arguing, especially when the arguer’s
primary intention is to rebut those arguments. (2) If needed, some discussion of the
structure of what the arguer has written or said. For example, if the arguer gives
issues in argument-assessment 185

several arguments, or devotes a great deal of space to explanation or rhetoric rather
than argument, then it may be useful to explain this.
(ii) A discussion of how and why the standard-form reconstruction was derived as it was,
focusing especially on any problems encountered in the process. In particular:
•The exclusion of extraneous material should be explained.
•Any rhetorical ploys should be pointed out, explained, and eliminated.
•If any implicit premises (or any implicit conclusions) have been added, it should
be explained why.
•If the conclusion or any premises have been re-worded, it should be explained
why (for example, it should be explained why an ambiguous sentence has been
rewritten, why a vague or highly rhetorical term has been replaced, etc.).
•It may also be useful to explain meanings of important words that appear in the
reconstruction.
In general, this section should ideally include everything necessary to justify the given
reconstruction. You have to explain why you have reconstructed the argument in the
way that you have (but there is no need to state points which are simply obvious).
Frequently, this will mention the likely intentions of the author of the original
argument, and the context in which the argument was given.
(iii) A discussion of the validity or degree of inductive force of the argument. You
have first to pronounce whether or not the argument is deductively valid. If it is not,
you should explain why it is not (here, for example, you might use the method
of refutation by counterexample). And if it is not, you should pronounce and
explain to what degree, if any, the argument is inductively forceful. If the argument
commits a fallacy, then you may identify it at this point, especially if the fallacy is a
formal one.
(iv) If the argument is either valid or inductively forceful, a discussion and verdict con-
cerning the truth-values of the premises. This will amount to a verdict regarding the
soundness of the argument. It should be explained in detail which premises are most
debatable, and why. Except where it is more or less obvious, these explanations must
be substantive; actual reasons for accepting or doubting particular premises must be
given. One should avoid the ‘who is to say?’ criticism, for example. If the argument
commits a substantial fallacy (see Chapter 7, pp. 207–228), then you would explain
this here.
(v) In the case of an inductively sound argument, you should also say whether or not the
argument is defeated for you. An argument’s being defeated for you is a fact about
your relation to the argument, not a fact directly about the argument itself. By
contrast, an argument’s validity or inductive force (or lack of it), and its soundness (or
lack of it), are matters concerning which there is a single right answer, a fact about the
argument which is independent of the state of knowledge of particular people.
Nevertheless, when our ultimate concern is with the truth-value of the conclusion
of an argument, it is obviously relevant, when the argument is defeated for you, to
point this out in your argument commentary. In other cases, however, we may be
issues in argument-assessment186

interested, not so much in the truth of the conclusion, but in the merits of the
argument as given by the arguer. For example, Napoleon may have advanced an
inductively sound argument for the conclusion that his army would prevail at Water-
loo. That argument would be defeated for us, since we know that his army did not
win. But if our concern were to assess Napoleon’s reasoning, then we would not fault
it on the grounds that his argument is defeated for us.
We might rest with showing that the argument was inductively sound. Still, this
leaves open whether the argument was rationally persuasive for Napoleon. In order to
find this out, we would need to know more about what Napoleon knew or might
have known. As historians or military strategists, we might be interested in this
question. And depending on the answer, we might find Napoleon open to criticism in
either of two ways. First, even if the argument was inductively sound and rationally
persuasive for Napoleon, its degree of inductive force may not have been sufficient to
risk the battle. In other words, the expected value of fighting the battle may have
been negative, or insufficient to justify the risk. Second, the argument may have been
defeated for Napoleon, and hence not rationally persuasive for him despite being
inductively sound. That is, the argument may have been defeated by some fact that
he knew but failed to take into account.
If an argument is defeated for you, you may be perfectly justified in saying: the
conclusion is false. For if an argument for a conclusion is defeated for you by a more
powerful argument against that conclusion, then you have a good reason for asserting
that the conclusion is false. In that case, you can say something stronger than ‘this
argument is defeated for me’; you can say: ‘the conclusion of this argument is false’.
We cannot always reach a definite verdict concerning a valid or inductively forceful
argument. In some cases your belief in the premises may not be strong enough for
you to pronounce confidently that the argument is sound. In such a case you would
say that you think that the argument is probably sound. In other cases we fail to have
a belief either way with respect to an argument’s premises. What we should do in
such a case, rather than arbitrarily committing ourselves to a soundness verdict, is to
say that we cannot determine it because we are too ignorant of the truth-values of the
premises (note that one is in such a case showing that one finds the argument
rationally unpersuasive). We should also explain, if we can, what we would need to
find out in order to alleviate that ignorance.
Ideally, it is helpful to keep the discussions (i)–(v) separate. However, this is not always
practical. For example, we may justify a given reconstruction on the grounds that it is
inductively more forceful than another possible reconstruction (following the principle of
charity). So we would be jumping ahead to (iv) in the midst of (ii). That is all right. The
main thing is to ensure that all three tasks are completed, with as much clarity as possible.
issues in argument-assessment 187

COMPLETE EXAMPLES
What follows are two complete reconstructions with commentaries of arguments
appearing in the newspapers – one relatively easy to reconstruct and the other relatively
more difficult.
First argument: penalties for possession of cannabis
‘Class A’ drugs in the UK include heroin and cocaine; ‘class B’ includes oral amphetamine;
‘class C’ includes tranquillisers and certain painkillers. Cannabis (marijuana or hashish) is
presently a class C drug in the UK, downgraded from Class B in 2004 (class C means it
is roughly equivalent to a US-style misdemeanour to possess a small amount for personal
use; in practice it means at most a fine, not imprisonment). The argument is given by Dr
Evan Harris MP, co-signed by an impressive team of experts in the area.1 We have assigned
letters to paragraphs and numbered sentences within in order to facilitate discussion, but
this is not always necessary, provided that you can clearly indicate which parts of the
argument as originally presented you are talking about.
Part 1 The arguments as presented
(A) 1 Today the House of Lords debates the proposal from the Home Office to
reclassify cannabis from class C to class B. 2 In recommending this change to
parliament, the government has rejected the explicit advice of its appointed
experts, the Advisory Council on the Misuse of Drugs, for the first time in nearly
30 years. 3 In its last report, produced at the request of the Home Secretary, the
ACMD clearly recommended – for the third time in the last six years – that cannabis
remains a class C drug, and did so after examining all the available and latest
evidence on short- and long-term health risks, as well as social harms, public
attitudes and policing priorities.
1 Dr Evan Harris: MP Lib Dem science spokesman; David King: former government chief scientific adviser;
Prof Michael Rawlins: Chair, ACMD 1998–2008; (Lord) Robert May: former government chief scientific
adviser; Phil Willis MP: Chair, Science select committee; Prof Gabriel Horne: Chair, Academy of Medical
Science working group on addiction; Prof Colin Blakemore: Member, UK Drug Policy Commission, former
director, Medical Research Council; Tracey Brown: Director, Sense about Science, Dr Leslie King: member,
ACMD; Ruth Runciman: former member, ACMD; Prof Ian Gilmore: President, Royal College of Physicians
and member, Academy of Medical Sciences Working Group on Brain Science, Addiction and Drugs; Prof Roger
Brownsword: Professor of Law at King’s College London and member, Academy of Medical Sciences Working
Group on Brain Science, Addiction and Drugs, Prof Bill Deakin: Professor of Psychiatry, Manchester University
and member, Academy of Medical Sciences Working Group on Brain Science, Addiction and Drugs; Prof
Trevor Robbins: Professor of Cognitive Neuroscience, University of Cambridge, member, Academy of Medical
Sciences Working Group on Brain Science, Addiction and Drugs. The letter is from the Guardian, Thursday
25 November 2008; it has been abridged.
issues in argument-assessment188

(B) 1 The impact of parliament agreeing to the government’s policy could be very
damaging. 2 Cannabis use has fallen in recent years, especially following its
downgrading to class C in 2004, and it is obviously unwise to risk reversing that
trend. 3 The classification system must be credible – reclassification would
send out an ambiguous message about the dangers of current class B drugs.
4Even more importantly, the move would be a sad departure from the welcome
trend – established after the Phillips report into the BSE disaster – of public policy
following expert scientific advice unless there is new evidence.
Part 2 The arguments reconstructed
Argument 1
P1) The ACMD’s position on drug classification is the position of the
government’s own team of experts, and takes account of short- and long-
term health risks, social harms, public attitude and policing priorities.
P2) If (P1), then the ACMD’s position on drug classification should not be
rejected by the government.
C1) The government should not reject the ACMD’s advice on drug
classification.
P3) If the government reclassifies cannabis from class C to class B, the
government will have rejected the explicit and repeated advice of the
ACMD.
C2) The government should not reclassify cannabis from Class C to
Class B.
Argument 2
P1) If the government reclassifies cannabis from class C to class B, it risks
reversing the decline of cannabis use in the UK since it became a class C
drug in 2004.
P2) A reversal of the decline in cannabis use in the UK since it became a class C
drug in 2004 should not be risked.
C) The government should not reclassify cannabis from class C to class B.
Argument 3
P1) The government, in matters of public policy, should follow expert scientific
advice.
P2) If the government reclassifies cannabis from class C to class B, the
government would be contradicting expert scientific advice on a matter of
public policy.
C) The government should not reclassify cannabis from class C to class B.
issues in argument-assessment 189

Argument 4
P1) The classification system must be credible.
P2) If the government reclassifies cannabis from class C to class B, the
classification system will not be credible.
C) The government should not reclassify cannabis from class C to class B.
Part 3 Commentary
With connecting premises added, all four arguments seem to me to be valid, and
they all have the same conclusion. Sentence 1 from paragraph 1 is factual stage-
setting, and plays no argumentative role. Sentences 2 and 3, paragraph 1, make it
clear that Harris represents a formidable body of experts. Thus arguments 1 (from
paragraph 1, sentences 2 and 3) and 3 (paragraph 2, sentence 4) are straight-
forward arguments by appeals to authority, which in these cases appear to be
legitimate. In argument 1, I have represented Harris as first arguing that authorities
are indeed legitimate, and
then
arguing that to upgrade cannabis from C to B
would amount to rejecting their advice. I find argument 1 much more persuasive
than argument 3: (P1) of argument 3 is extremely sweeping; it entails, for example,
that scientific advice the only relevant consideration in setting the laws covering
abortion; that is at best contentious. Even if it were so, it does not seem relevant to
the issue here. In fact argument 3 is perhaps merely argument 1 but with a wider
scope in the generalisation, and hence the generalisation is more likely to have
counterexamples. Argument 1 is much more focused on the relevant issue.
Argument 2 is rather weak (straightforwardly derived from paragraph 2, sentences
1 and 2). The argument appears to claim that it is probable that a decline in cannabis
use since 2004 has been
caused
by its being downgraded at that time, but no
evidence is provided that this is not a mere
correlation
. Argument 4 (paragraph 2,
sentence 3) is also rather unpersuasive because of P2: If the government
reclassifies cannabis, I don’t think it will mean that the credibility of the classification
system would be undermined. At least, I would need far more information that what
is provided here, and it is unclear that the author is a relevant authority. It is the one
place where the rhetoric gets in the way: what is it, in this context, to ‘send out an
ambiguous message about the dangers of current class B drugs’? Presumably it
means that to lump cannabis with current class B drugs would be unwarranted,
since cannabis is not as bad as those. But that is the very point at issue; it would be
a case of begging the question. Perhaps Harris meant to point to the dangers of
the appearance of a governmental ‘flip-flop’ – the downgrade in 2004 followed by
an upgrade in 2008 – but I’m not sure exactly what he meant.
I think that Argument 1 is sound and very persuasive; argument 2 is almost
definitely unsound and not all persuasive; arguments 3 and 4 are of doubtful
soundness and unpersuasive. Since Argument 1 is
deductively
sound, the
conclusion is established.
issues in argument-assessment190

Second argument: a criminal wins the lottery
These are some arguments appearing in a London Times editorial piece by Mick Hume.
Many members of the public, and some tabloid newspapers, had expressed outrage that a
convicted rapist who had served fifteen years of his sentence had won £7 million in the UK
National Lottery, having purchased a ticket while out on weekend furlough (he was due to
be released the following year).
Part 1 The arguments as presented
(A) 1 LIFE, they say, is a lottery. 2 But life has taught me that some things, other
than death and taxes, are dead certainties. 3 It seems a safe bet, for instance,
that as soon as newspapers stir up public outrage over something, the Home
Secretary will promise a law to ban it. 4 When it comes to new legislation, David
Blunkett’s knee jerks so fast and often that his guide dog might need to wear a
riot helmet.
(B) 1 Mr Blunkett’s latest example of made-to-order law and order is a pledge to
stop prisoners who win the National Lottery benefiting from their winnings in jail,
and make them pay compensation to the official victims’ fund. 2 This comes after
the public uproar over Iorworth Hoare, a convicted rapist serving a life sentence,
who won £7 million while on release from an open prison.
(C) 1 The Home Secretary considers this so important that he has written an article
in
The Sun
promising to ‘find a way to stop this happening again’. 2 Given that it
has never happened before, there seems no reason to imagine that it ever will.
3Yet Mr Blunkett’s article protests that ‘this is not a knee-jerk reaction’.
(D) 1 Hoare is obviously a horrible specimen deserving of public contempt, and I
could not care less about his ‘human right’ to buy a Lotto ticket. 2 I am worried,
however, about this irrational outburst of national outrage.
(E) 1 Everybody seems to be up in arms about such a bad man enjoying such good
fortune. ‘And he’s not the only undeserving winner’, moans one newspaper.
2Indeed he is not. 3 I am also an undeserving lottery winner. 4 And if, like me, you
have picked up the occasional tenner, then you are one, too. 5 As Clint Eastwood
tells Gene Hackman in
Unforgiven
, ‘Deserves got nothin’ to do with it’. 6 Life may or
may not be a lottery, but Lotto definitely is. 7 To win it, nobody has to prove his moral
worth, simply that he has the price of the ticket.
(F) 1 Some complain that they are outraged by Hoare’s windfall because they play
the lottery to give money to good causes. 2 Come off it. 3 When I buy a ticket it is no
more an act of charity than when I bet on the dogs or football. 4 It gives me (and my
young daughters who pick the numbers) a quick frisson of excitement on a
Saturday evening. 5 But when we don’t win, what difference can it make to us who
does?
issues in argument-assessment 191

(G) 1 Now Mr Blunkett says that ‘there’s no justice’ if Hoare can win the lottery
while his victims suffer. 2 Since when, Home Secretary, has criminal justice had
anything to do with who wins a raffle? 3 I always thought justice involved criminals
paying their debt to society, not repaying their lottery winnings to the Home Office.
4 That is why Hoare was sent to prison. 5 No doubt there is an argument to be had
about whether he should have been on release. 6 But the widespread suggestion
that his victims should start suing him for compensation is likely to make matters
worse. 7 What price do you put on a rape that happened 20 years ago, anyway?
8 It is entirely understandable that the women he attacked in the seventies and
eighties should feel aggrieved at this turn of events. 9 But exactly how are they
supposed to benefit from seeing their past ordeals dragged across the national
media today?
(H) 1 Lotto can be neither a force for good nor evil in society, whether that
overblown raffle is won by a convicted rapist or a conviction politician. 2 And there
cannot be a new law to ban everything that we don’t like in life.
Part 2 The arguments reconstructed
Argument 1
P1) Something should not be banned if it is unlikely to happen.
P2) It is unlikely that another imprisoned criminal will win the lottery.
C) Imprisoned criminals should not be banned from winning the lottery.
Argument 2
P1) Very few lottery winners deserve their winnings.
P2) Most lottery winners are entitled to collect their winnings.
C1) Some lottery winners who do not deserve their winnings are entitled to
their winnings.
C2) In order to be entitled to lottery winnings, it is not necessary to deserve
them.
Argument 3
P1) Most people, when playing the lottery, are not motivated primarily by the
desire to support good causes.
P2) Most lottery winners are entitled to collect their winnings.
C1) Some lottery winners who are not motivated by the desire to support
good causes are entitled to their winnings.
C2) In order to be entitled to lottery winnings, it is not necessary that one’s
playing the lottery should be primarily motivated by the desire to
support good causes.
issues in argument-assessment192

Argument 4
P1) If a someone convicted of a crime has served the sentence prescribed for
that crime, then, if the sentence was sufficient for the crime, the person has
been sufficiently punished for the crime.
P2) Mr Hoare has served the sentence prescribed for the crime for which he was
convicted.
C) Either Mr Hoare’s sentence was not sufficient for the crime, or he has
been sufficiently punished for it.
Part 3 Commentary
Iorworth Hoare, a convicted rapist, purchased a lottey ticket while on weekend
furlough from prison. he has served 15 years and is due to be released shortly.
The ticket was the winning ticket for a prize of £7 million. The author, Mick Hume,
appears to be responding to claims that Hoare should not be given the money,
which seem to be supported by arguments based on the following premises. First,
that imprisoned criminals should be banned from winning the lottery. Second, that
only people who ‘deserve’ to win the lottery are entitled to lottery winnings. Third,
that only people who play the lottery with the intention to contribute to ‘good
causes’ (the causes funded by lottery ticket sales) can be entitled to lottery
winnings. Hoare is an imprisoned criminal, is not a ‘deserving’ person, and
presumably did not play with the intention of contributing to good causes. Thus if
these premises are true, then we have three sound arguments for the conclusion
that Hoare is not entitled to the £7 million. Hume provides a further argument
whose relevance will be explained below.
Paragraph D, sentence 1 makes it clear that Hume is not contesting that Hoare is a
‘horrible specimen’. Sentence 2 expresses a vague worry about an ‘irrational
outburst of national outrage’, but it is never made clear what this worry is.
Argument 1 is derived from paragraph C. Paragraphs A and B are largely stage-
setting and rhetoric. Hume also criticises Home Secretary2 David Blunkett.
Argument 2 is derived from paragraph E. Some people, Hume says, complain
that Hoare is an ‘undeserving’ lottery winner, and therefore that he should not be
entitled to collect the prize. However, Hume says that he too is an ‘undeserving
lottery winner’. By this, as sentences 4–5 make clear, he means to present himself
as a
typical
case. The typical lottery winner does not ‘deserve’ the money they win;
thus, as represented in the reconstruction, very few winners ‘deserve’ the money.
The word ‘deserve’ is important here. To
deserve
something does not simply mean
2 In the British system of government, the Home Secretary is a member of the Prime Minister’s cabinet who is
responsible for various domestic matters, especially law and order and immigration policy. Blunkett was Home
Secretary in 2004, when this argument was given.
issues in argument-assessment 193

that one is
entitled
to it. For example, a person who merely finds a pound (or a
dollar) on the street does not thereby
deserve
it even though he or she is entitled to
keep it. On the other hand a person who does appropriate labour may have earned
the money and thereby deserve it. We also say, for example, that a man who has
worked hard for several months in succession ‘deserves’ a holiday. In general,
‘deserves it’ seems to mean ‘is owed it’, or ‘has earned it, by virtue of work or other
valuable actions’. So in this sense (P1) very few lottery winners
deserve
their
winnings. Yet we do accept that most winners are entitled to them: typically, if your
ticket is the winner, you have the right to collect. C1 of argument 2 thus follows. In
fact, it is probably true and accepted by most people that all but a few winners are
entitled to the prize, in which case it would follow that
most
lottery winners do not
deserve their prize but are entitled to it. But all we need here is the weaker P2 as
written. C2 follows from C1, which establishes Hume’s point: one cannot argue that
Hoare is not entitled to the lottery prize from the premise that he is undeserving.
For the needed premise, that winners are entitled to the prize only if they deserve
it, is false.
Argument 3, derived from paragraph F, is similar to argument 2. Again, some
people claim that those who do not play the lottery with the intention of
contributing to good causes by purchasing lottery tickets are not entitled to the
prize. Since Hoare is a bad person, they reason, he cannot have had that intention,
so he is not entitled to the prize. Hume contests the first premise of that argument.
Hume points out that he and his daughters are not motivated in this way when they
play, and again assumes that he and his daughters are typical in this respect.
Hence P1. P2 is as in argument 2; from these follow C1, from which follows C2,
contradicting the idea that only those who intend to support good causes by
purchasing lottery tickets are entitled to collect winnings.
Argument 4 is directed against the quoted claim by David Blunkett that ‘there’s no
justice’ if a criminal such as Hoare wins the lottery. Hume interprets this as
meaning that if the criminal wins the lottery, then the requirements of
criminal
justice will not have been satisfied. That is to say, it will not be the case that the
criminal has received a legal punishment appropriate to the crime. As against this,
Hume poses what is written in the reconstruction as P1, and which seems to be
what is expressed by sentences 2–4. The condition ‘if the sentence was sufficient
for the crime’ seems necessary. For suppose we wrote simply ‘if someone
convicted of a crime has served the sentence prescribed for that crime, then the
person has been sufficiently punished for the crime’. This is surely not true, since
at least some prescribed sentences are too lenient. Hume’s point seems to be that
it is the purpose of penal sentences to satisfy the demands of criminal justice.
Provided that the sentence fits the crime, a criminal who has served the prescribed
sentence has satisfied the demands of criminal justice. Although Hume does not
do so, it might be added that it is
wrong
to punish a criminal further, when the
criminal has already satisfied the demands of criminal justice, and thus it would be
inappropriate to deprive him of money (the lottery winnings) that would otherwise
issues in argument-assessment194

legally be his. Since Hume does not assert that Hoare’s sentence was appropriate
to the crime, and I do not know whether it was, I have stated Hume’s conclusion
(which is only implicit in his presentation of the argument) as a disjunction: ‘Either
Mr Hoare’s sentence was not sufficient for the crime, or he has been sufficiently
punished for it.’
All four of the arguments are valid, and arguments 2–4 seem to me to be sound.
Argument 1 does not seem to me to be sound because P1 seems to me to be false.
If something is highly unlikely, then still it might be that it should be banned,
especially if its consequences would be extremely bad. Also, it is not clear whether
P2 is true. Perhaps it is not likely that
another
prisoner will win £7 million, but if it
has happened once, it cannot be so unlikely that we can assume it won’t happen
again. Also, it is not so unlikely that prisoners will win smaller prizes, which would
raise the same issue.
Finally, some mention should be made of paragraph H. Hume’s opponents think
that something is morally wrong if bad people win the lottery. Hume’s main point
seems to be that it is the whole purpose of the lottery that the winner should be
determined by pure luck – not moral considerations or anything of that sort. So
argument 2 seems to be the most important one. Since it is sound, I conclude that
Hume has been successful in his main task.
COMMENTARY ON THE COMMENTARY
In work of this kind, there is always the question of how much detail to go into. In this case
we have included quite a lot of detail, largely in order to be highly illustrative. Still, we
could have gone into a lot more. In other cases – especially where it seems important or
interesting to do so – even more detail may be appropriate; more likely, less detail may be
appropriate. Also you should bear in mind that this case only illustrates a handful of the
techniques and issues that have been raised in this book; no one case is going to illustrate
very many of them, and every argument presents its own problems of interpretation and
reconstruction. There is certainly no need to copy the style of the foregoing commentary
slavishly – what is important is that the reconstruction be explained and justified in a way
that it is informative, clear, non-rhetorical and balanced (that is, you should aim to be
judicious and disinterested, in the sense of being neutral or unbiased). Any technique,
style or approach that serves these aims may be appropriate. Note also that, although the
ability to analyse arguments is a highly transferable skill – that is, it can be exercised on
arguments on any subject, and does not typically require specialised knowledge of the
subject – knowledge of the subject is often helpful, especially for understanding the context
in which the argument is given. This is often crucial, since so many key components of
arguments are often only implicit.
issues in argument-assessment 195

CHAPTER SUMMARY
A rationally persuasive argument must be either deductively valid or inductively forceful.
A deductively valid argument is rationally persuasive for you (at a time) if you have good
reason to accept its premises (at that time). An inductively forceful argument is rationally
persuasive for you (at a time) provided that you have good reason to accept the premises
(at that time), and the argument is not defeated for you (at that time). An inductively
forceful argument is defeated for you (at a time) if you have some other argument
for rejecting the conclusion that is more rationally persuasive for you than the one in
question.
Unlike validity, inductive force and soundness, rational persuasiveness is not a feature of
arguments in themselves. It is also a matter of a given person’s relationship to an argument
(at a time). An argument may be rationally persuasive for one person but not for another,
and for a person at a given time but not for the same person at another time. An argument
may be sound but not rationally persuasive for you, for the premises might be true even
though you lack good reasons to accept them, or you may accept the premises of an
argument that you recognise to be inductively sound, yet the argument is defeated for
you. Moreover, an argument may be rationally persuasive for you but not sound. For you
may have good reasons for accepting a set of premises, even when one of the premises
is false. But the question of whether or not an argument is rationally persuasive for you
is not simply the question of whether or not you find it persuasive, or whether you are
in fact persuaded by it. For unlike the question of whether we are actually persuaded
by an argument, we can be mistaken about rational persuasiveness: an argument may
be rationally persuasive for you even when you think it isn’t, and fail to be when you
think it is. The importance of the concept of rational persuasiveness is that it captures
what arguments are intended to do: the distinctive aim of persuasion by argument is to
persuade people rationally, that is, by actually giving them good reasons to accept a given
conclusion, and not just seeming to. The person ought to accept the conclusion, even if
they do not.
There are various informal methods of logical assessment, and of demonstrating that an
argument is not valid or inductively forceful. The principal task is simply to apply the
definitions of deductive validity and inductive force, but there are some strategies to
facilitate this in more difficult cases. One strategy that is almost always pertinent is to
suppose the conclusion of the argument to be false, and then to ask whether it would still
be possible for all the premises to be true. Another strategy, where the conclusion of an
argument is a conditional, is to suppose that the antecedent of that conditional is true, and
then to determine whether the remaining premises force one to conclude that the con-
sequent would also be true. If the conclusion of an argument is a generalisation, an
analogous strategy is to suppose that the antecedent of an arbitrary instance of the general-
isation is true. Finally, an effective way of demonstrating that an argument is invalid, or
inductively unforceful, is the method of refutation by counterexample. This involves
giving an argument that employs the same type of inference as the one in question, but
which is obviously invalid or unforceful.
issues in argument-assessment196

It is important to avoid the ‘who is to say?’ criticism. One form this takes is to complain
that the conclusion of an inductively forceful argument has not been ‘proven’, that it
‘might’ be false. Another is to object to an argument on the grounds that it contains a
value-laden term. It should be clear that these are not genuine criticisms from a rational
point of view. One must also avoid merely labelling an argument of position, for example,
as ‘politically correct’, ‘socialist’ or whatever; the applicability of such a label does not in
itself show why the argument or position should be rejected or accepted.
EXERCISES
1 For questions a–i, consider this argument:
P1) If Rangers won the match then the pub will sell pints for £1 tonight.
P2) Whenever Rangers are ahead at half-time of a Scottish Premiership
match, they almost always win the match.
P3) Rangers were ahead at half-time, and this is a Scottish Premiership match.
C) Very probably, the pub will sell pints for £1 tonight.
Suppose that the premises are true. Suppose that both Andrew and James know that
the premises are true (they have both seen the sign in the pub window about the £1
pints, they both saw the half-time score of 1–0 in favour of Rangers announced on
television, and both know that Rangers have won every Scottish Premiership match
in the past three years when leading at half-time). Andrew has no other information
relevant to the truth of the conclusion; but, unlike Andrew, James saw on television
that the opposing side scored twice in the second half to win the match 2–1.
a Is the argument deductively valid?
b Is the argument deductively sound?
c Is the argument inductively forceful?
d Is the argument inductively sound?
e Is the argument rationally persuasive for Andrew?
f Is the argument rationally persuasive for James?
g Should Andrew be persuaded by the argument?
h Should James be persuaded by the argument?
i If the argument is not rationally persuasive for either Andrew or James,
explain why.
2 Now consider this argument:
P1) The majority of well-educated Germans speak English.
P2) Jacob is a well-educated German.
C) Probably, Jacob speaks English.
issues in argument-assessment 197

Assume this time that P1 is true and that the conclusion is true; but assume that P2 is
false: Jacob is Austrian, and not very well-educated either. Still, he did learn English
quite well from his American mother. Assume that Catherine, Jane, Mary and Anna
all know that P1 is true. Catherine believes P2 is true because her friend David told
her it is; David is a reliable person who knows Jacob, and Catherine has no reason to
doubt him. In fact David’s mistake was quite reasonable: Jacob lied to him, telling
him he completed a university degree in history; further, it was reasonable for David
to infer, from Jacob’s accent, that Jacob is German. For, although German is the
national language of Austria, the vast majority of native German speakers are Ger-
man. Catherine knows nothing else about Jacob, and accepts C. Jane also believes P2,
but for different reasons: she fancies Jacob, having seen him, at a distance, at a party,
and thinks he’s well-educated because she saw Jacob wearing glasses and a tie. Jane
also accepts C, but has no other information relevant to the truth of C. Mary believes
both P1 and P2, for the same reasons as Catherine; but she does not accept C, because
she heard Jacob speaking German to David at the party, and inferred, quite reason-
ably, that Jacob does not speak English. She has no other information relevant to the
truth of C. Anna does not believe P2. She heard what David said to Catherine, and
believes that David is always sincere and well-informed; but Jacob is athletic and
handsome and she has a stupid irrational prejudice according to which athletic,
handsome men are almost always stupid, and therefore not well-educated. She has no
other information relevant to the truth of C.
a Is the argument inductively forceful?
b Is the argument inductively sound?
c Is the argument rationally persuasive for Catherine? Why or why not?
d Is the argument rationally persuasive for Jane? Why or why not?
e Is the argument rationally persuasive for Mary? Why or why not?
f Is the argument rationally persuasive for Anna? Why or why not?
3 Consider the following argument:
George W. Bush’s apparent obsession with Saddam Hussein may have the
appearance of paranoid schizophrenia: the fear that someone is out to get us
(paranoia) and the belief that only we can save the world (grandiosity). But
Bush’s beliefs wander into dangerous mental territory only if they’re wrong.
If he’s right about the danger presented by Saddam and our role in ending
that danger, then he’s perfectly rational.
Harry Sorenson, San Francisco Chronicle, 17 March 2003
(i) The last two sentences embody a serious confusion. Explain this confusion in
terms of the distinction between the rational persuasiveness of an argument and
truth of an argument’s conclusion.
(ii) What do you suppose is the intended conclusion of the argument? Reconstruct
the argument. Is it sound? Why not?
issues in argument-assessment198

4 The conclusions of the following arguments are conditionals or generalisations.
Reconstruct them. Then, using the technique discussed earlier of supposing the
antecedent of a conditional conclusion to be true, explain why the argument is, or is
not, valid. (In h, the conclusion is a generalisation; trying supposing ‘X is a Roman’,
whatever X may be.)
Example
This man is either a Russian spy or a criminal. No Russian spy wears a Rolex.
Everyone who enters this repair shop wears a Rolex. Therefore, if this man
enters this repair shop, then he is a criminal.
✎P1) No Russian spy wears a Rolex.
P2) Everyone who enters this repair shop wears a Rolex.
P3) If this man is not a Russian spy, then he is a criminal.
C) If this man enters this repair shop, then he is a criminal.
Suppose the man enters the repair shop. Then according to P2, he wears a Rolex.
Then according to P1, he is not a Russian spy. Then according to P3, he is a criminal.
So if he enters the repair shop, then he is a criminal.
a If the Lena is polluted, then the Ob is polluted. But if the Ob is polluted,
then the Dnieper is polluted. Therefore if the Lena is polluted, then so is the
Dnieper.
b The Lena is longer than the Ob. Therefore if the Danube is longer than the
Lena, it is longer than the Ob.
c Every Russian spy wears a Rolex. Everyone who enters this repair shop wears
a Rolex. Therefore if this man enters the repair shop, then he is a Russian
spy.
d If this man is not a spy, then he is a detective. But all detectives wear trench
coats, and he is not wearing one. If he is a spy, then either he is Russian or
American. But no American spy knows how to order dessert wines, unless he
is from New York. But all spies from New York wear trench coats. Therefore,
if this man knows how to order dessert wine, then he is a Russian spy.
e If the ancient Allemani wre both vicious and loyal, then the Romans would
have purchased their allegiance. If they had done so, then the Franks would
never have challenged the Allemani. But they certainly did. Therefore, if the
Allemani were vicious, they were not loyal.
f All Roman citizens were literate. Therefore if some ancient Visigoths were
literate, then some ancient Visigoths were Roman citizens.
g All Roman citizens were literate. Therefore if some ancient Visigoths were
Roman citizens, then some ancient Visigoths were literate.
h Every educated Roman knew Homer. But anyone who knows Homer knows
the story of Achilles. Therefore all Romans knew the story of Achilles.
issues in argument-assessment 199

i If God is unwilling to prevent evil, then God is not good. If God is unable to
prevent evil, then God is not omnipotent. God exists only if God is both
good and omnipotent. If God is willing and able to prevent evil, then evil
does not exist. Therefore if evil exists, then God does not exist.
j If God is unwilling to prevent evil, then God is not good. If God is unable to
prevent evil, then God is not omnipotent. If God exists, then God is good
and omnipotent. If God is willing and able to prevent evil, then evil does not
exist. Therefore if evil does not exist, then God exists.
5 The conclusions of the arguments in Exercise 3, a–e and i–j are conditionals. Split
them into two statements: antecedent and consequent. Now add the antecedent to
the premises, regard the consequent as the conclusion of the argument, and rewrite
the argument accordingly in standard form.
Example
P1) All Roman citizens were literate.
C) Therefore if some ancient Visigoths were Roman citizens, then some
ancient Visigoths were literate.
✎P1) All Roman citizens were literate.
P2) Some ancient Visigoths were Roman citizens.
C) Some ancient Visigoths were literate.
6 Reconstruct the following arguments, then refute them by counterexample – that is,
by giving arguments that embody the same pattern, but which have true premises
and false conclusions. It may help to extract the logical form of the argument (as
according to Chapter 3, pp. 78–81).
a A significant increase in the rabbit population would bring about an
increase in the number of foxes. And sure enough, the number of foxes
has increased lately. This must, therefore, be due to an increase in the rabbit
population.
b If free will is impossible, then the concept of responsibility is nonsense. If so,
then the existing justice system is legitimate. Therefore if free will is possible,
then the existing justice system is legitimate.
c Many people have tried to prove that Nessie does not exist. But they have
failed. You should by now admit it. Nessie is real.
d You admit that the Loch Ness monster has not been seen in recent years.
If so, then it must be very secretive. But if it is secretive, then, obviously, it
exists. Therefore you have admitted that Nessie exists.
e Why don’t we do what we know will stop these evils? We should give drug-
dealers and paedophiles life prison sentences.
issues in argument-assessment200

7 For Exercise 3, a and c–j, extract the logical form. Use capital letters for sentences or
general terms. (See Chapter 3, pp. 78–81.) Some are difficult! It may help to choose
letters that remind you of what you’re replacing them for. For example, in d, you
could use S for ‘spy’, D for ‘detective’, T for ‘trench coat wearer’, R for ‘Russian’, A
for ‘American’ and Y for ‘from New York’.
8 Draw tree-diagrams for the arguments in Exercise 3.
9 List the explicit premises and the conclusions of the arguments in Exercises 16, 18
and 19 of Chapter 5. Draw tree-diagrams for these, including only the explicit prem-
ises. Now add the needed implicit premises to the list, and draw new tree-diagrams
for the complete arguments.
10 Could one give an argument that (i) one knows to be sound, (ii) is rationally per-
suasive for its audience and (iii) is not rationally persuasive for oneself ? If not, why
not? If so, would that be deceitful, or otherwise naughty in any way? Why or why
not? Make up an example.
issues in argument-assessment 201

7
pseudo-reasoning
•Fallacies 202
Formal fallacies • Substantive fallacies
•Faulty argument techniques 228
Equivocation • Red herring • Slippery slope • Straw man • Begging the
question • False dilemma
•Too much maths! 235
Confusing absolute and relative difference • Margin of error
•Chapter summary 237
•Exercises 239
FALLACIES
Fallacies are arguments in the sense that fits our definition of a set of propositions,
some of which are premises, one of which is a conclusion, the latter intended to follow
from the former. But in one way or another, they are bad arguments. Strictly speaking,
a fallacy is a mistake in reasoning. One commits a fallacy when the reasons advanced or
accepted in support of a claim fail to justify its acceptance. A fallacy can be committed
either when one is deciding whether to accept a claim on the basis of a fallacious
argument with which one has been presented, or when one is presenting the fallacious
argument oneself.
A fallacious argument or inference is one in which there is an inappropriate connection
between premises and conclusion. Almost all fallacies fall under one of the following two
types:
•Formal fallacies. Sometimes the inappropriate connections are failures of logical con-
nection, for example, in the case of the fallacy (below) of affirming the consequent;
here the argument or inference is neither deductively valid nor inductively forceful,
even where all implicit premises have been made explicit. It is simply a logical mistake.

•Substantive fallacies. Sometimes the inappropriate connections involve reliance on
some very general unjustified assumptions or inferences. We need only make these
premises explicit in order to see that they are false and unjustified. What distinguishes
a fallacious argument of this kind from an ordinary unsound argument is that the
implicit, false or dubious premise will be of a very general nature, having nothing
specifically to do with the subject-matter of the argument. What this means will
become apparent when we turn to examples.
The vast majority of fallacies that we encounter in everyday texts and speech are substan-
tive fallacies, but some are formal fallacies. Arguments embodying formal or substantive
fallacies are necessarily unsound, but not all fallacious arguments are actually unsound.
Since fallacies are many and various in this way, it would be tedious and distracting to
formulate a precise definition. We will simply take fallacies to be mistakes in reasoning
that arise because of inappropriate connections between premises and conclusions; we
will identify the most commonly encountered fallacies, and we will demonstrate different
strategies for dealing with them.
It is important at the outset to note the general point, however, that a fallacious argu-
ment can have true or false premises: simply having false premises does not make an
argument fallacious. Nor does having true premises guarantee that an argument is not
fallacious.
Furthermore, a proposition accepted on the basis of a fallacious argument may turn out to
be true as a matter of actual fact. Suppose that someone reasons as follows:
There is blood on the candelabra. And if Colonel Mustard killed the victim with the
candelabra, then there would be. So Colonel Mustard must be the murderer.
Laid out in standard form the argument is thus:
P1) If Colonel Mustard killed the victim with the candelabra, then there is blood on
the candelabra.
P2) There is blood on the candelabra.
C) Colonel Mustard killed the victim.
Now suppose that, in fact, the conclusion is true: Colonel Mustard is the murderer. Still,
the reasoning that takes us to that conclusion is fallacious (the fallacy is the fallacy of
affirming the consequent, which we discuss shortly). It is not legitimate to infer on the
basis of P1 and P2 that Colonel Mustard is the murderer. Even if both premises were true,
it would be possible for the conclusion to be false: for example, someone else could have
killed the victim with the candelabra. Knowledge of the truth of those premises, just by
themselves, would not be sufficient to infer the conclusion, even if that conclusion were
actually true. If you were to be fooled by such an argument, you would end up with a true
belief, but for mistaken reasons.
pseudo-reasoning 203

Like linguistic phenomena and rhetorical ploys, the best way to become acquainted with
the different types of fallacies considered in this chapter is to practise identifying and
analysing them. As they are attempts to persuade by argument, you need to reconstruct
them in standard form and then use techniques of argument analysis and assessment to
demonstrate the ways in which they are fallacious.
And one last thing to bear in mind before we work through specific types of fallacies: many
types of fallacious argument are effective as rhetorical ploys. Someone might be aware that
their argument commits a fallacy, but will use it to try to persuade us because they are
aware of its rhetorical power: they are aware, that is, that it does tend to persuade people.
Fallacies tend to be effective as attempts to persuade because the psychological effect of
their rhetorical power means that we often find them persuasive even though we ought
not to. Common examples include uses of ad hominem, majority belief and slippery slope
arguments to rhetorical effect.
Formal fallacies
The first group of fallacies we want to discuss here are strictly formal fallacies; these are
patterns of argument whose reasoning makes purely logical mistakes. Each type of fallacy
constitutes an invalid argument and once you are familiar with the patterns, the fallacies
will be recognised by the presence of the particular invalid pattern.
Affirming the consequent of a conditional
Or ‘affirming the consequent’ for short. This occurs when we argue from the conditional
premise that if P (the antecedent), then Q (the consequent) together with the premise that
Q to the conclusion that P, as in the following example:
If someone is a philosopher then they are wise. Jon is wise, so Jon is a philosopher.
Reconstruction of the argument reveals its invalidity:
P1) If someone is a philosopher (P), then they are wise (Q).
P2) Jon is wise (Q).
C) Jon is a philosopher (P).
If the premises were true, the conclusion would not have to be true. There are plenty
of people who are wise and are not philosophers. So the fact that someone is wise is
insufficient for us to draw the conclusion that they are a philosopher. That the inference
is fallacious is obvious if we consider a true conditional such as ‘If it is raining, then there
are clouds’; it certainly does not follow, from this and the premise ‘there are clouds’, that it
is raining.
Notice that affirming the antecedent of a conditional premise does not make for an invalid
argument:
pseudo-reasoning204

P1) If someone is a philosopher (P), then they are wise (Q).
P2) Jon is a philosopher (P).
C) Jon is wise (Q).
This is of course valid because the conditional gives one condition under which someone is
wise and P2 asserts that the condition is met; so it is legitimate to conclude that the person
in question is wise.
Denying the antecedent of a conditional
Or ‘denying the antecedent’ for short. This is the fallacy that occurs when we argue from a
conditional premise (if P then Q) together with the negation of its antecedent (not-P) for
the conclusion that the consequent is also negated (not-Q). The invalidity of this pattern
can be seen clearly using a version of the example above:
P1) If someone is a philosopher (P), then they are wise (Q).
P2) Jon is not a philosopher (not P).
C) Jon is not wise (not Q).
The invalidity here has similar grounds to that of the fallacy of affirming the consequent.
There are conditions other than being a philosopher under which someone could be wise,
so the fact that someone is not a philosopher does not give us sufficient grounds for
concluding that they are not wise; other factors may mean that they are wise. Or again:
from ‘If it is raining then there are clouds’ and ‘it is not raining’, it does not follow that
there are no clouds.
Fallacy of deriving ‘ought’ from ‘is’
The Scottish philosopher David Hume famously argued that an ‘ought’ cannot be derived
from an ‘is’. The claim can be understood in two ways: first, as a claim about motivations
to act or refrain from acting. The fact that something is thus-and-so, argued Hume, is
insufficient as a reason for thinking that one ought to act in such-and-such a way. The fact
that torturing animals causes them suffering is not, according to this argument, sufficient
reason to refrain from torturing animals. An additional motivating force – a desire to
avoid harm to animals – must also play a role in our motivation to act in such cases.
Although an interesting and controversial thesis, this way of interpreting Hume’s claim is
not the one that interests us here.1 Rather, we are interested in Hume’s claim under-
stood as the claim that a prescriptive conclusion cannot be validly derived from purely
descriptive premises, such an inference is fallacious. Thus the fallacy of deriving an ‘ought’
1 For a detailed discussion of this debate see J. L. Mackie, Ethics: Inventing Right and Wrong (Harmondsworth:
Penguin, 1977).
pseudo-reasoning 205

from an ‘is’ occurs when a prescriptive conclusion – a conclusion making a claim about
something that should or ought to be done or avoided or believed or not believed – is
deduced solely on the basis of descriptive, fact-stating, premises. Inferences from descrip-
tive to prescriptive propositions are considered fallacious because the fact that something
happens to be the case, or happens not to be the case, is insufficient grounds for concluding
that it ought or ought not to be the case. If we want to make a valid argument for a
prescriptive conclusion, we must always do so from premises at least one of which is
prescriptive. Thus the following commits the fallacy of deriving ‘ought’ from ‘is’:
How can anyone claim that the monarchy should be abolished? The monarchy
as we know it has been central to British life for nearly a thousand years, arguably
longer.
Although it is not expressed as such, the conclusion of this argument is really a prescriptive
one – that the British monarchy should be retained – but the conclusion is arrived at
purely on the basis of the premise that it exists, and has done so for a long time. As such,
the argument is plainly invalid:
C) The British monarchy should be retained.
In this particular case we can make the argument valid by adding a prescriptive premise as
follows:
P1) The British monarchy has existed for nearly a thousand years.
P2) Anything that has existed for nearly a thousand years should be retained.
C) The British monarchy should be retained.
But the argument is clearly deductively unsound: poverty has existed for at least a
thousand years, but it is surely false to claim that it should be retained. Note that P2 does
not become more plausible if we make it into a soft generalisation. Thus the argument
cannot be saved by attempting to make it inductively forceful and inductively sound.
The base rate fallacy
This fallacy has already been mentioned in Chapter 4 (see pp. 103–104). It is committed
when an argument takes the following form: the proportion of one group that has a certain
feature is higher than the proportion of another group that has that feature. Therefore,
some X that has that feature is more likely to be from the first group than the second.
Suppose someone reasons, for example: Rex is either a rat or a cat, 75 per cent of cats are
black whereas only 45 per cent of rats are black, Rex is black, therefore Rex is probably
a cat. The inference is mistaken because the number of black rats may still be larger
than the number of black cats. In fact it surely is: the overall number of rats in the
world is far greater than the number of cats, so even if blackness is more common among
pseudo-reasoning206

cats than rats, the number of black rats can still be much higher than the number of
black cats.
The fallacy commonly occurs when arguers resort to gender or racial stereotypes to make a
point. Suppose that Ringons are a minority group outnumbered by non-Ringons by ten to
one and someone argues:
P1) Most Ringons have a criminal record.
P2) Few non-Ringons have a criminal record.
P3) Apex has a criminal record.
C) Probably Apex is a Ringon.
Even though there is a high incidence of criminality among Ringons, there are so many
more non-Ringons than Ringons that someone with a criminal record is still more likely
to be a non-Ringon than they are to be a Ringon. Since the argument tells you nothing
about the total number of Ringons as compared with non-Ringons, the argument is not
inductively forceful: P1–P3 do not give you a reason to infer the conclusion. In fact, if you
did know that non-Ringons outnumber Ringons ten to one, then, given P1–P3 and asked
to guess whether Apex is a Ringon or a non-Ringon, ‘non-Ringon’ would be the better
guess.
Substantive fallacies
The first two substantive fallacies that we consider involve an illegitimate inference from
the prevalence of a belief or an action to its acceptability. As with all of the substantive
fallacies we’ll discuss, we can expose the fallacy by making explicit the hidden assumption
that generates the illegitimate inference.
The fallacy of majority belief
This is the fallacy of concluding, on the basis of the fact that the majority believe a certain
proposition, that the proposition is true. The following reasoning commits it:
Of course the Government must crack down on identify theft, after all that’s what
most reasonable, law-abiding people believe.
The only reason the arguer gives for a government crack-down is that most people think
such a crack-down would be a good thing. We can see this more clearly by laying out the
argument in standard form:
P1) Most reasonable, law-abiding people believe that the Government should
crack down on identity theft.
C) The Government should crack down on identity theft.
pseudo-reasoning 207

So rendered, the argument is invalid. But we can make the cause of the faulty reasoning
clearer by making the hidden assumption explicit thus:
P1) Most reasonable, law-abiding people believe that the Government should
crack down on identity theft.
P2) Any belief shared by most reasonable, law-abiding people is true.
C) The Government should crack down on identity theft.
Once we add the implicit premise, the argument becomes valid; but we can now see that
the assumption underlying the argument, expressed by the hard generalisation P2, is false
and that the argument is therefore unsound. Even if a majority of people do believe a
proposition and even if they are of sound character, etc. their believing it is not sufficient
to make it true. Imagine, for example, if most reasonable, law-abiding people believed that
the Earth was flat, that would not establish that it is! More controversially, if a majority
of reasonable, law-abiding people believe that capital punishment should be restored as a
sentence for murder, the fact that it is a majority belief is not sufficient to make it true.2
Even though the claim that the Government should take measures to prevent and punish
identity theft is uncontroversial, the fact remains that the fact that a majority of people
agree that this is so does not give us grounds to accept it. We are owed some justification
for the claim that is independent of what anyone might believe. Here we have demon-
strated the principal strategy for dealing with substantive fallacies; by exposing the hidden
assumption generating the fallacy, we reveal that the same (or a very similar) false
proposition, usually a generalisation, figures in all instances of a particular fallacy.
The fallacy of majority belief often places us in an apparent dilemma when we have to take
decisions on behalf of others. Suppose you are a member of the jury in an important and
high-profile trial that has received a great deal of pre-courtroom publicity. On that basis
you know that most people believe that the defendant was the victim of a conspiracy
on the part of the investigating police officers; nevertheless, the evidence presented in
court gives you good reasons to believe that he is guilty. Thus you might be tempted into
reasoning as follows:
P1) Most people believe that the defendant was set up and is not guilty of the crime
he is alleged to have committed.
C) The defendant is innocent.
Such reasoning would commit the fallacy of majority belief and should be avoided as a
basis for a juror’s decision. Again we can make the faulty reasoning clear by exposing the
hidden false assumption, which will be a very similar generalisation to that which figured
in the previous example, thus:
2 We consider the relationship between truth and belief in more detail in Chapter 8.
pseudo-reasoning208

P1) Most people believe that the defendant was set up and is not guilty.
P2) Any belief held by the majority is true.
C) The defendant is innocent.
So the argument is valid but not sound.
The fallacy of majority belief is similar to the rhetorical ploy of appeal to popularity,
because both use the fact of something’s popularity or commonality to attempt to per-
suade us to do or believe it. Sometimes, the very act of presenting an argument that
commits the fallacy of majority belief is at the same time an example of the rhetorical ploy
of appealing to popularity. Still these are distinct things: again, to call it a (substantive)
fallacy is to say that the argument presented implicitly embodies a certain sort of unjusti-
fied assumption; to call it a rhetorical ploy is to say that it attempts causally to induce us
to accept a certain belief by activating our social instincts, desires and fears. Some cases
exemplify the fallacy without exemplifying the rhetorical ploy: someone might, for
example, be quite sincere in thinking that if something is believed by the majority it must
be true, and accept a conclusion on that basis. On the other hand, some cases exemplify
the rhetorical ploy without exemplifying the fallacy: an advertisement, for example, that
shows someone being humiliated because they are the only person not drinking a certain
brand of cola is clearly trying to influence us by way of our social instincts and feelings, not
by presenting an argument.
Common practice
This is the tactic of attempting to persuade someone to do something they shouldn’t do
by giving them the justification that ‘everyone does it’. The implication of this faulty
reasoning is that if everyone does X, X must be acceptable. We often use this tactic to
provide justification to ourselves for doing things we ought not to do. For example: ‘I feel
like a day off today. It won’t hurt to call in sick, everyone does it once or twice a year.’ Like
the fallacy of majority belief, the common practice fallacy is driven by a false assumption
concerning the connection between what is commonly believed or done and what it is
morally, socially or rationally acceptable to believe or do. The following reasoning is an
instance of the common practice fallacy:
Of course it’s OK to cheat on your expenses once in a while, everyone does.
This standard form rendition of the argument shows it to be invalid because there is no
appropriate connection between the premise and the conclusion:
P1) Everyone falsifies their expenses occasionally.
C) It is acceptable to cheat on one’s expenses occasionally.
Once again, exposing the false assumption produces the following argument, the
unsoundness of which rests on the actual falsity of both P1 and P2:
pseudo-reasoning 209

P1) Everyone cheats on their expenses occasionally.
P2) Any act that everyone occasionally performs is acceptable.
C) Cheating on one’s expenses is acceptable.
Surely there are some people who have never cheated when making a claim for expenses
from their employer; and we can think of actions – meting out violence to an innocent
stranger, for example – which, if performed occasionally by everyone, would still be
unacceptable. Even if the quantifier in P1 and P2 was qualified by ‘almost’, making the
argument inductive rather than deductive, although P1 might be true, it becomes even less
plausible that P2 is true.
The next group of fallacies involve using alleged facts about the person(s) putting forward
an argument as the basis for inferring a conclusion that their argument should not be
accepted. In each case the fact about the person is irrelevant to the issue of whether or
not we should accept their argument. As critical thinkers we are only interested in the
argument, not in the character of the person giving it. It is also helpful to remember this
if we feel uncomfortable criticising arguments put forward by people we like, respect, fear
or want to impress. If the argument is a good one, it makes no difference by whom it was
given, likewise if it is a bad one.
Ad hominem
This fallacy (the name derives from the Latin, meaning ‘to the man’) can be committed in
two ways: either by responding to someone’s argument by making an attack upon the
person, rather than addressing the argument itself, or by rejecting a claim because of
disapproval of or dislike for the person who makes it. An example of the latter use of the
ad hominem fallacy is provided by the following reasoning which commits this fallacy by
citing a claim about a politician’s political allegiance as a reason for rejecting the legislation
they propose to prevent physical punishment of children:
Jill Goodwin says we should ban smacking, but what does she know, she’s a
representative of the bleeding heart, do-gooding, lentil eating, sandal-wearing Green
Party, for heaven’s sake!!
To reconstruct we need first to defuse the rhetoric used to ridicule the person making the
proposal with which the arguer disagrees. This initial reconstruction displays the argument
as invalid:
P1) Jill Goodwin wants to legislate to ban smacking.
P2) Jill Goodwin is a representative of the Green Party.
C) We should not ban smacking.
pseudo-reasoning210

Our strategy of exposing the crucial underlying assumption results in the following argu-
ment, which is unsound because P3 is false:
P1) Jill Goodwin wants to legislate to ban smacking.
P2) Jill Goodwin is a member of the Green Party.
P3) We should never pass legislation proposed by Green Party MPs.
C) We should not legislate to ban smacking.
All instances of the ad hominem fallacy will depend upon similar underlying general
assumptions referring to certain characteristics or beliefs of arguers.
Ad hominem
circumstantial
This is a sub-species of the ad hominem fallacy and occurs when someone’s argument in
favour of doing or believing something is discounted on the grounds that they would
allegedly benefit from our doing or believing it. Someone would be committing the ad
hominem circumstantial fallacy if they were to argue:
Of course academics argue in favour of the proposed expansion of university
education: the more aspiring graduates there are, the more job opportunities there
are for people like them.
Notice that the conclusion of this argument is left implicit, but given the arguer’s tone,
it is reasonable to conclude that they do not agree with the expansion proposal. When
reconstructing we need to add the conclusion for ourselves:
P1) Academics argue in favour of the proposed expansion of university education.
P2) They would benefit from such an expansion.
C) We should reject academics’ arguments in favour of the proposal to
expand university education.
The result, however, is an argument that is neither valid nor inductively forceful. Once
again, we can see the true shape of the reasoning that constitutes this fallacy by exposing
the hidden assumption thus:
P1) Academics argue in favour of the proposed expansion of university education.
P2) They would benefit from such an expansion.
P3) Whenever someone would benefit from something they propose, we should
reject their arguments in favour of it.
C) We should reject academics’ arguments in favour of the proposal to
expand university education.
pseudo-reasoning 211

Note that P3 is really quite ludicrous: if it were true, then one could never hope to argue
successfully for what one wants! Normally, that is exactly what we do, and there is nothing
intrinsically illegitimate about it. So it is unreasonable to reject an argument because the
arguer desires or would benefit from the truth of the conclusion. What matters is the
strength of the reasons given for the claim, irrespective of the arguer’s motives for making
the claim. Reason places no strictures on arguing in favour of things from which one
would benefit.
However, this is not to say that the issue of a speaker’s or a writer’s character is entirely
irrelevant in matters of argument analysis and evaluation. A person’s character and actions
are certainly relevant to their credibility: the degree to which someone’s having said
something constitutes a reason to think it true. We should, for example, be on our guard
against believing the claims of people whom we know to be dishonest. Even those who are
not habitually dishonest are more likely to attempt deception if they are arguing for
something that is strongly in their own interest. There is certainly a higher probability
that someone who is not disinterested will deliberately resort to techniques of faulty
reasoning in their attempts to persuade us of the truth of their claims; for they have more
to lose if their arguments are not accepted. This probability increases with the degree to
which the person is unscrupulous. In such cases we should check the reasoning carefully,
and we should not take their having advanced a premise as a reason, in itself, to think it
true. This is not, however, to say that we should positively assume their reasoning to be
faulty or their premises false. That would be committing the ad hominem fallacy. We
should never lose sight of the need to assess the argument on its own account. If the
argument is found to be valid or inductively forceful, or the premises true, the character
of the arguer is irrelevant. As we have seen, considerations about the character of an
arguer do come into play when we consider whether or not an argument is rationally
persuasive for us. Whether or not the source of the claim that forms a premise of an
argument is a reliable source is a factor we should bring to bear in consideration of
whether we have reasons to accept an argument’s premises. Note that this is a matter of
assessment of our cognitive relationship to the premises, rather than a question of the
truth-values of those premises.
There is one final observation to make concerning the relationship between people’s
characters and reputations and the strength of their arguments. This point does not
directly concern a type of fallacious reasoning, but is relevant to considerations about the
credibility of arguers and their arguments: sometimes we are tempted to ignore or reject
criticism of a person’s arguments because of the way in which they have been labelled or
treated by the media. The sorts of cases we have in mind are those in which someone has
received racist, sexist or homophobic treatment in the media and this has been given as a
reason for avoiding criticism of or for accepting their views. An example was provided by
arguments that it was acceptable to allow the convicted rapist and former heavyweight
boxing champion Mike Tyson into the UK on the grounds that much of the media
coverage of the case was racist. It may well be the case that a good deal of what was written
and said about Mr Tyson was racist and also that there were good reasons to grant him
entry. It is crucial to recognise, however, that the existence of the racist discourse was
pseudo-reasoning212

irrelevant to the strength or weakness of arguments that he should or shouldn’t have been
granted leave to enter the UK.
Tu quoque
In common with ad hominem fallacies, the tu quoque (‘you too’) fallacy occurs when we
make unwarranted connections between a person’s alleged lack of credibility and the
strength of their argument. Here the alleged lack of credibility ensues specifically from
their being hypocritical; from a perceived inconsistency between the arguer’s actions and
their claims. The fallacy is committed when we reject a person’s claim that a behaviour or
proposal should be refrained from or discarded on the grounds that they themselves
practise that behaviour; or when we reject a person’s claim that a behaviour or proposal
should be adopted on the grounds that they fail to follow it themselves. Consider the
following argument:
My Dad’s always telling me not to talk on my mobile phone while I’m driving, but
why should I take any notice of him? He’s always taking calls when he’s driving.
An initial reconstruction yields an invalid argument:
P1) My Dad says one shouldn’t talk on the mobile phone while driving.
P2) My Dad talks on his mobile phone while he’s driving.
C) It is OK to talk on the mobile phone while driving.
Exposing the hidden false assumption demonstrates that the argument is unsound due to
the falsity of P3):
P1) My Dad says one shouldn’t talk on the mobile phone while driving.
P2) My Dad talks on his mobile phone while he’s driving.
P3) Whenever someone’s behaviour is inconsistent with their advice, that advice is
false.
C) It is OK to talk on the mobile phone while driving.
The tu quoque fallacy occurs frequently in discussions of the gaps between politicians’
policy and private decisions.
Suppose someone were to argue the following:
The Government’s transport policy is a joke. How can we take them seriously when
they tell us to leave the car at home and use public transport when they themselves
go everywhere in chauffeur-driven limousines?
An initial reconstruction yields an invalid argument:
pseudo-reasoning 213

P1) The Government tells the public to use public transport.
P2) Members of the Government use cars instead of public transport.
C) We should not take the Government’s transport policy seriously.
Exposing the hidden false assumption (P3) demonstrates that the argument is
unsound:
P1) The Government tells the public to use public transport.
P2) Members of the Government use cars instead of public transport.
P3) Whenever someone’s behaviour is inconsistent with their policies, we should
not take those policies seriously.
C) We should not take Labour’s transport policy seriously.
The arguer has spotted the inconsistency between what the Government does and what it
says, but that inconsistency does not render false the Government’s views about public
transport and it does not provide a reason to reject the policies in question. Whether it
would be a good idea for more people to use public transport instead of private cars does
not depend on whether or not the members of the Government use public transport
themselves. When we commit this fallacy we are going against the old adage: ‘Don’t do as
I do, do as I say.’ We might well think that people ought to follow their own advice and
principles; in fact in most cases it is irrational for them not to do so, but it is equally
irrational of us to discount their arguments solely on the grounds that they themselves
don’t heed the conclusions of those arguments. Of course, the fact that someone in the
public arena behaves inconsistently or hypocritically does undermine their credibility and
may lead us to withdraw our trust and respect, but it is not in itself a reason to reject their
arguments. What seems to happen in such cases is that someone gives advice or expounds
a policy that they believe applies to their audience, but apparently not to themselves. We
suspect they delude themselves into thinking that they represent an exception to the
prescriptive claim that they are making. For instance, in the first case above, Dad might
delude himself into thinking that he’s such an experienced and safe driver that when he
talks on his mobile phone while driving, he is not a danger to himself and to others and so
need not desist from doing it.
Appeal to authority
This fallacy also involves mistaken assumptions about the people mentioned by an
argument. It is committed when an argument makes an unjustified appeal to an alleged
authority. This can occur either because the authority appealed to is not in fact authorita-
tive on the matter in hand or because there is good reason to doubt that the claimed
authority is adequately informed of the facts of the matter. Often the alleged authority
will have some association with the matter in hand, but that association is not of a type to
make them an authority on the question on which they pronounce. For instance:
pseudo-reasoning214

Angus McKay, whisky blender for MacDonald’s distillery for 30 years, called today
for alcohol education to be introduced for children as young as five. With all those
years in the industry, Mr McKay must know what he’s talking about.
An initial reconstruction shows the argument to be valid:
P1) Mr McKay says that alcohol education should be introduced for five year
olds.
P2) Mr McKay has 30 years’ experience as a whisky blender.
P3) If someone has 30 years’ experience as a whisky blender, they must be an
expert on alcohol education.
P4) If someone is an expert on a subject, we have good reason to accept their
opinion on that subject.
C) Alcohol education should be introduced for five year olds.
It is unsound, however, because of the falsity of the conditional P3. The fact that someone
is very experienced, and expert, at making whisky is not sufficient reason to think that
they are knowledgeable about everything to do with alcohol. We should be aware of the
risk of making unjustified appeals to authority when using the internet as a source of
information. The fact that an internet site states that something is the case should not
automatically be taken to mean that it is authoritative. We should take care to check the
source of the material and use the techniques introduced in this book to determine
whether we have good reason to accept the claims made.
This does not mean, of course, that all appeals to authority are fallacious; only those
that are mistaken about someone’s claim to be authoritative about the matter in hand.
Whisky blenders can claim authority on those matters on which they are best qualified to
speak. If Mr McKay were to say that the best way to make a single malt whisky is to use the
purest possible ingredients, then one might accept that claim on the basis of his evident
expertise in such matters. An argument incorporating such an appeal to authority might
look thus:
P1) Mr McKay says that the best way to make a single malt whisky is to use the
purest possible ingredients.
P2) Mr McKay has 30 years’ experience as a whisky blender.
P3) If someone has 30 years’ experience as a whisky blender, they must be an
expert on whisky blending
P4) If someone is an expert on a subject, we have good reason to accept their
opinion on that subject.
C) The best way to make a single malt whisky is to use the purest possible
ingredients.
pseudo-reasoning 215

Notice that, although the premises of the second argument are almost identical to those of
the fallacious one, it is valid and sound.3
The appeal to authority can also function as a rhetorical ploy; the pull of the alleged
authority being used to lure us into accepting the proposition argued for. A common
example of this use of the appeal to authority is the use of celebrity endorsement to sell
things. Although one might take Andy Murray’s endorsement of a brand of tennis rackets
as a good reason for buying that brand, one ought to be more wary about taking him to be
an authority on makes of car, for example, whereas Lewis Hamilton’s endorsement of a car
would be authoritative but his recommendation of a particular brand of golf clubs would
not.
The perfectionist fallacy
This fallacy occurs when we place excessive demands on an idea or a proposal and then
reject it purely on the grounds that it will not completely solve a problem. Someone would
commit the perfectionist fallacy if they were to argue or to accept the argument that:
World leaders should give up their plans to spend billions of dollars on rescuing
financial markets. It would take trillions of dollars to fix this mess, the amount they
are talking about will only partially solve the serious problems we face.
An initial reconstruction shows that the argument is invalid:
P1) World leaders’ plans to spend billions of dollars to rescue financial markets will
not solve the economic problems completely.
C) The plans should be abandoned.
The assumption driving this instance of the perfectionist fallacy is that solutions should
only be pursued if they will completely solve the problems they are intended to solve;
more generally, the perfectionist assumption is that no measure aimed at solving or
reducing a problem is justified unless it solves or reduces it completely. This is really quite
silly if you think about it. It is obvious that many measures are intended to reduce a
problem, not completely eradicate it, and are justified if they do reduce the problem
sufficiently. For example, fences are put around cow pastures to keep the cows in; once in a
while a cow escapes, but no one would say that the occasional escape shows that the fences
are unjustified.
When we include the perfectionist premise in the argument, in this case expressed as a
conditional, we see that it is deductively unsound because the perfectionist premise is
false:
3 Our judgement that the argument is sound, however, is fallible. We might still be mistaken about the truth-
value of P3) or P4). Notice also that the argument could plausibly be interpreted as an inductive argument the
premises of which claim that we usually or almost always have good reason to accept the opinions of experts.
pseudo-reasoning216

P1) World leaders’ plans to spend billions of dollars to rescue financial markets will
not solve the economic problems completely.
P2) If a proposed solution will not completely solve the problem it is intended to
solve, it should be abandoned.
C) Plans for rescuing financial markets should be abandoned.
Conflation of morality with legality
This is the mistake of assuming that anything legal must be moral or, conversely, that
anything illegal must be immoral. For something to be legal within the boundaries of a
given political entity (nation, city, district, the United Nations) is to say that there is no law
in the statutes of that entity that prohibits it. However, the fact that something is legal
does not automatically make it morally acceptable. For example, it is not illegal to cheat on
your lover, or to be rude to a shy person at a party just out of cruelty, but these things are
immoral. More gravely, in some countries, slavery, though obviously immoral, was legal
until the nineteenth century. In other countries, even today, people may legally be denied
human and civil rights because of their race, ethnicity, gender or religious belief.
In some cases the laws ought to be changed in order to reflect what is morally right. Indeed,
it is tempting to argue that what is legal should include only what is moral. But to try to
outlaw everything immoral would be unworkable, and indeed it would overstep what are
generally considered to be the proper bounds of governmental authority. Some aspects of
behaviour that we find morally unacceptable are not necessarily appropriate subjects for
legislation – conduct in personal relationships, for example. We would not want it to be
against the law to tell a lie, break a promise, make fun of someone or fail to show up for a
date. Conversely, the fact that something is illegal does not automatically make it immoral.
In some countries, Australia for example, it is illegal not to cast a vote in elections, but it is
not obvious that there is a moral issue at stake here. Similarly, you are breaking the law
when you park in a no-parking zone, but it is arguable whether or not you are doing
anything immoral. And sometimes laws that are meant to legislate against immorality are
mistaken; throughout the ages there have been laws against all manner of things, thought
by the authorities of the time to be immoral, that in retrospect we think are not immoral,
and that never were – the worship or non-worship of certain gods, the education of
women, the wearing of certain clothes. Indeed, to think that everything legal is moral is to
nullify the possibility of criticising existing laws on moral grounds.
Consider this example:
I don’t see why people are so hard on Donald Mirving. After all, he’s done nothing
wrong; in this country there’s no law against denying the Holocaust.
The ‘there’s no law against it, so it’s acceptable’ argument is an extremely common
instance of the fallacy of conflating legality and morality. The first reconstruction shows
that the argument is invalid without the conflating assumption; the second shows that it is
pseudo-reasoning 217

valid but unsound with it because P3), which is made explicit in the second argument, is,
as the counterexamples discussed above demonstrate, clearly false:4
P1) Donald Mirving has denied the extent and facts of the Holocaust.
P2) It is not illegal to do this in the UK.
C) Donald Mirving’s denial of the extent and facts of the Holocaust was not
morally wrong.
P1) Donald Mirving has denied the extent and facts of the Holocaust.
P2) It is not illegal to do this in the UK.
P3) Anything legal is moral.
C) Donald Mirving’s denial of the Holocaust was not morally wrong.
So, pointing out that the act in question is not against the law does not show that it is not
wrong. Of course, many of the questions surrounding whether or not an issue is a moral
one are controversial (the examples given above are by no means clear-cut); they may
require reflection and argument in their own right.
Weak analogy
Analogies are often interesting and may be illustrative of points one wishes to make, but
arguing on the basis of analogy is often unsuccessful and turns out to be fallacious either
because the analogy is too weak to sustain the argument or because the analogy itself has
not been argued for. (This makes the argument question-begging. We discuss arguments
that beg the question later in this chapter.) In the case of the fallacy of weak analogy, it will
be helpful first to see the form that instances usually take, and then to consider an
example. The fallacy of weak analogy usually proceeds on the basis of a proposition that
because one thing is similar to another in one respect, it is, therefore, similar in a further
respect. This mistaken inference is based on the false assumption that if something is
similar to another thing in one respect, it is similar in all respects. Hence we construct an
argument of the following valid but unsound form:
P1) An object X is similar to an object Y in respect of characteristic A.
P2) Whenever an object X is similar to an object Y in one respect, it is similar in all
respects.
P3) Y has characteristic B.
C) X has characteristic B.
4 We could, of course, use the technique of refutation by counterexample (see Chapter 6) to demonstrate the
weakness of this argument.
pseudo-reasoning218

An instance of this fallacy occurs frequently in debates about legislation to control the
ownership and use of firearms. So let’s take such an instance as our example:
I don’t see what all the fuss is about guns. Of course gun ownership shouldn’t be
prohibited, you can kill someone with a hockey stick, but no one proposes to ban
ownership of hockey sticks.
A reconstruction demonstrates that this argument takes the form characteristic of the
fallacy of weak analogy, except that to render the arguer’s reasoning fully, we have to add
a further premise to the effect that things that are the same should always be treated the
same:
P1) Guns are like hockey sticks in that both can be used to kill people.
P2) Whenever an object X is similar to an object Y in one respect, it is similar in all
respects.
P3) Objects that are similar to each other in all respects should be treated identically.
P4) We would not ban ownership of hockey sticks.
C) We should not ban ownership of guns.
The argument is unsound because it is obviously false to assume that similarity in one
respect implies similarity in all respects. While it is of course true that hockey sticks and
guns have some shared similarities, those similarities are not sufficient for the analogy to
hold. The dissimilarities – hockey sticks have a different primary purpose; it is difficult
to commit mass murder with a hockey stick, and so on – outweigh the similarities (indeed,
one can kill a person with just about any solid, heavy object, such as a television; it is
unreasonable to argue that since we don’t ban those potential murder weapons, we
shouldn’t ban firearms!)
The fact that arguments from analogy frequently turn out to be fallacious does not mean
that they are universally unsuccessful. For an analogy to be effective in giving us a reason to
accept a conclusion, an arguer must first present an argument for the claim that the objects
that are allegedly analogous (hockey sticks and guns in the case under consideration) are
sufficiently similar in the relevant respects. Once established, this conclusion would
become a premise of a subsequent argument for the claim that gun ownership should
not be banned. For example, suppose that having offered an effective argument for the
conclusion that Britain and Sweden are sufficiently similar in the relevant respects,
someone were to argue thus:
The claim that the Government’s proposed legislation to target those who buy sex
from trafficked women is ‘unworkable’ (Letters Nov 21st) must be robustly chal-
lenged. In Sweden, where such legislation was introduced in 1999, the number of
trafficked women has dropped from about 2,500 to 500 per year. Our Government
should be applauded [for its proposals.]
June Purvis, Portsmouth, Guardian, 22/11/08
pseudo-reasoning 219

The letter writer is arguing in favour of the British Government’s proposed legislation
to make it a criminal offence to buy sex from trafficked women working as sex workers. To
support her conclusion that the Government should be commended for its proposals,
she draws on a comparison with similar legislation in Sweden that has been successful in
reducing the number of trafficked women. The argument can be reconstructed thus
(remember we are assuming that P1) has been satisfactorily argued for):5
P1) The British Government is proposing legislation to make buying sex from
trafficked women a criminal offence.
P2) A similar law has been in force in Sweden since 1999.
P3) The Swedish law has been effective in significantly reducing the number of
trafficked women.
P4) Britain is sufficiently similar to Sweden in all the relevant respects.
P5) If P4), then it is likely that similar legislation would be effective in Britain.
P6) Governments that propose legislation that is likely to be effective should be
commended.
C) Probably, the British Government should be commended for its
proposed legislation to make it a criminal offence to buy sex from
trafficked women.
Causal fallacies
These fallacies are committed when we make mistaken inferences about the cause(s) of
something. Three types can be distinguished:
•Post hoc ergo propter hoc (from the Latin, meaning ‘after that, this, therefore this because
of that);
•fallacy of mistaking correlation for cause; and
•inversion of cause and effect.
Post hoc ergo propter hoc
This fallacy occurs when we mistakenly infer that an event X caused an event Y merely on
the basis that Y occurred after X. In the following example, the fallacy is committed twice.
We can tell that the argument includes a causal claim because the proposition expressed
by the conclusion states that one event – making a will – makes another event happen –
living longer:
Making a will makes you live longer. That’s the conclusion reached by legacy
specialists Live and Let Live, who compared the mortality figures of those who had
5 We should note that, although a theory may be in principle provable, it may remain neither proved nor
unproved indefinitely because there is insufficient evidence to prove or disprove it conclusively.
pseudo-reasoning220

made a will with those who hadn’t. The average age of death for people who hadn’t
made a will was 72 years, 6 months. However, bequeath your personal possessions
on paper and life expectancy shoots up to 80 years, 5 months. Want to live even
longer? Leave some cash to charity; generous donors lasted until the ripe old age of
83 years.
As with previous cases, we can first represent causal fallacies as neither invalid nor induc-
tively forceful arguments, then, to demonstrate that they are driven by a false assumption,
make the argument valid or inductively forceful but unsound:
P1) Generally, people who make a will live longer than those who don’t.
C) Probably, making a will causes people to live longer.
Adding the implicit general assumption and making explicit a further implicit
premise, needed to make the argument inductively forceful, gives the following, which
is inductively forceful but unsound due to the falsity of P2:
P1) Generally people who make a will live longer than those who don’t.
P2) Whenever one event (Y) occurs after another event (X), Y is caused by X.
P3) Living longer (not dying) occurs after making a will.
C) Probably, making a will causes people to live longer.
The post hoc ergo propter hoc fallacy is frequently committed in public discourse when
arguers are attempting to persuade people of the merits of a recently introduced policy or
piece of legislation. Thus, tougher sentencing policies might be fallaciously inferred to be
the cause of a drop in the crime rate, or a teachers’ pay increase to be the cause of better
examination marks in schools. Where the second event is alleged to be causally linked to
the first solely on the basis that it occurred after the first, the argument is almost definitely
fallacious. This is not to say that tougher sentencing couldn’t be a cause of a drop in the
crime rate; it’s just that we need to be given stronger reasons to accept the causal claim
than simply the fact that one event occurred before the other.
Fallacy of mistaking correlation for cause
Whereas the fallacy of post hoc ergo propter hoc occurs because the temporal priority of one
event over another is mistakenly assumed to be sufficient to establish a causal relationship
between those events, this fallacy is committed when the fact that one type of event or
state of affairs is always or usually found in conjunction with another type of event or state
of affairs is mistakenly taken to be sufficient to establish that events or states of affairs of
the one type cause the other. In short, the fallacy is committed when a statistical correl-
ation is assumed, without any further justification, to establish a causal relation. So, for
instance, someone who argues:
pseudo-reasoning 221

You only have to look at the statistics to see that poverty is the obvious cause of
educational under-achievement. Eighty per cent of those who leave school with no
qualifications come from homes whose income is at least 50 per cent below the
national average.
commits the fallacy of mistaking correlation for cause. Our point here is not that it is
completely mistaken to think that there is a link between poverty and educational under-
achievement. Indeed, there is plenty of credible research establishing a relationship
between them. And certainly a statistical correlation is necessary for a causal relation: if
there is no statistical correlation, then there cannot be a causal relation. What is crucial,
though, is that we resist making the mistaken inferential leap from the fact of their
statistical correlation to the alleged fact of a causal relationship between them. There
may well be such a relationship, but correlation alone is not sufficient to conclude
that the relationship is causal, as we see when we reconstruct the argument in standard
form:
P1) There is a statistical correlation between poverty and educational under-
achievement.
C) Poverty causes educational under-achievement.
Making explicit the hidden assumption, we derive the following valid but unsound
argument:
P1) There is a statistical correlation between poverty and educational under-
achievement.
P2) Whenever two phenomena X and Y are correlated, X is the cause of Y.
C) Poverty causes educational under-achievement.
That P2 is false can be made obvious by considering certain counterexamples. Creatures
that wear clothes, for example, tend to be more intelligent than those that do not. These
things are statistically correlated. But wearing clothes does not cause intelligence. In cases
where there is correlation between two or more events or phenomena and they are in
fact causally related, it is often difficult to distinguish which is cause and which is effect.
Poverty and ill health tend to go together, but which causes which? It is probable that in
many cases they are mutually causally efficacious.
Inversion of cause and effect
Here one mistakenly infers that if X causes Y, an absence of X will prevent Y:
Research carried out by a team of researchers shows that vitamin E may be the
key to the secret of everlasting youth. The team believe that the vitamin may be
pseudo-reasoning222

at work normally in humans to prevent ageing. Experiments carried out on
laboratory rats have enabled the scientists to discover that animals deprived of
vitamin E seem to age faster and even become senile. Their spokesperson, Dr Young,
said that although the ageing process remains mysterious, these experiments have
demonstrated an ‘interesting causal relationship’ between vitamin E and the ageing
process.
It is not warranted to infer from the fact that vitamin E deficiency seems to hasten ageing
to the claim that vitamin E is the secret of everlasting youth (i.e. that it prevents ageing).
The proposition that a lack of something (vitamin E) causes X (hastened ageing) does not
entail the proposition that the presence of that thing (vitamin E) causes the opposite of X
(slowed ageing). We can use a reconstruction to expose the mistaken causal assumption
driving this fallacy:
P1) Vitamin E deprivation causes hastened ageing.
P2) If a lack of something X is the cause of a phenomenon Y, the presence of X will
cause of the opposite of Y.
C) Vitamin E causes the ageing process to slow.
Sometimes we encounter the inversion fallacy and the fallacy of mistaking correlation
for cause committed simultaneously. The following reasoning fallaciously infers a causal
relation between eating certain foods and eating disorders from a correlation between
those things (in this case the correlation is anecdotal rather than statistical), but also
commits the inversion fallacy by mistakenly inverting that causal relationship:
Contrary to what the healthy eating lobby dictates, traditional British cooking is
good for you. Remember the good old days when we ate bacon, eggs, sausages, fried
tomatoes, potatoes, toast and marmalade? And that was just for breakfast. Well, in
those days, people didn’t succumb to anorexia or bulimia and the incidence of
obesity was much lower. Seems the ‘experts’ have got it wrong again.
This argument seems to conclude not only that eating traditional British cooking
protects people from anorexia, bulimia and obesity, but that not eating it causes those
illnesses. To expose the fallacies, we can reconstruct the entire argument as an extended
argument:
P1) When we ate traditional foods (X) there was a significantly lower incidence of
anorexia, bulimia and obesity (lack of Y).
P2) Whenever two phenomena (X) and (Y) are correlated, X is the cause of Y.
C1) Eating traditional foods (X) causes a low incidence of anorexia, etc.
(lack of Y).
pseudo-reasoning 223

P3) Now we don’t eat those foods (lack of X) and the incidence of anorexia, etc. is
much higher (Y).
P4) Whenever X causes a lack of Y, a lack of X causes Y.
C2) Not eating traditional foods (lack of X) causes a higher incidence of
anorexia, bulimia and obesity (Y).
The fallacy of mistaking correlation for cause is signalled by P2. The mistaken inversion is
signalled by P4, which is false. Some causal relationships can be inverted, but it is certainly
not true of causal relationships in general that they can be. For example, drinking milk
causes us not to be thirsty. But it is not true that not drinking milk causes us to be thirsty!
The next two fallacies that we consider are committed when we make unwarranted
inferences from what is known, believed or proven.
Epistemic fallacies
Appeal to ignorance
This is the fallacy of concluding either that because a claim has not been proven it must be
false (the negative form), or that because it has not been disproved it must be true (the
positive form). It is often used when defending a belief in something that remains
unproven such as astrology or the existence of a deity. The following commits the negative
form of the fallacy:
As no one has proved that UFOs exist, it’s reasonable to assume that they don’t.
whereas this equally fallacious argument commits the positive form:
No one has managed to prove that UFOs don’t exist, so we can reasonably conclude
that they do.
As we see when we reconstruct the arguments, each fallacious and unsound argument is
driven either by the false assumption that absence of proof means a proposition is false or
that absence of disproof means a proposition is true. Notice that in reconstructing this
argument, we omit the indicator phrase ‘it is reasonable to conclude that’:
P1) No one has proved that UFOs exist.
P2) All unproved propositions are false.
C) UFOs do not exist.
P1) No one has proved that UFOs don’t exist.
P2) All propositions that have not been disproved are true.
C) UFOs do exist.
pseudo-reasoning224

Of course, in cases where efforts to prove something have been sufficiently strenuous, it
may be reasonable to infer the falsity of the proposition. For example, repeated efforts have
been made, using sophisticated scientific equipment, to find the Loch Ness monster (to
prove the proposition that Nessie exists); but to no avail. It is reasonable on that basis to
conclude, alas, that Nessie doesn’t exist. But that is because we know that if Nessie did
exist, then she probably would have been detected by those efforts. The mere fact that a
proposition hasn’t been proved, just by itself, is no reason to think it false. Likewise,
the mere fact that a proposition hasn’t been disproved, just by itself, is no reason to think
it true.
‘Proof’ connotes certainty, and part of the faulty reasoning driving this fallacy is that
people sometimes think that if a claim is not certain, then it can reasonably be denied. But
that is not how things are, as should be reasonably clear from Chapter 4. Where we know
we have an inductively very forceful argument with true premises, then, despite not
having perfect certainty, it would be unreasonable to deny the conclusion (with certain
exceptions, as explained in Chapter 6). Some claims and theories provide the most
probable explanations of the phenomena they concern even though they remain neither
proved nor disproved. The theory of natural selection is one such example. The arguments
in favour of it have a great deal of inductive force, but as yet no one has managed to prove
it. Reasons why it should be considered the most plausible explanation of the evolution
of species ought to be incorporated into relevant arguments; whether or not it has been
proved is not essential to the question of whether we ought to believe it.
Epistemic fallacy
This fallacy (from the Greek episteme, meaning ‘knowledge’) arises because of the tricky
nature of knowledge and belief, and the difficulty of discerning from the third-personal
point of view what someone believes or knows. It is committed when we make a fallacious
inference from the fact that someone believes that P that they must also believe that Q
on the grounds that P and Q are about the same thing or person, even though the way
in which they refer to that thing or person is different. The following provides a simple
instance of the epistemic fallacy:
Chris believes that the US President enjoys basketball. Barack Obama is the US
President, so Chris believes that Barack Obama likes basketball.
A reconstruction gives us:
P1) Chris believes that the US President enjoys basketball.
P2) Barack Obama is the US President.
C) Chris believes that Barack Obama enjoys basketball.
pseudo-reasoning 225

The inference is incorrect and the argument invalid because the arguer has assumed that,
in addition to having beliefs about the President’s preferred leisure pursuits, Chris also
knows that Barack Obama is the President. But the arguer has given no grounds for this
assumption. Chris may only have a belief about the President but not know who is the
President. If so, then C might be false. Another way of putting this is to say that Chris may
not know that ‘the US President’ and ‘Barack Obama’ refer to the same person. Thus, if
Chris is indeed ignorant of Barack Obama’s being US President, the following argument,
though valid, would be unsound due to the falsity of P3 and of C:
P1) Chris believes that the US President enjoys basketball.
P2) Barack Obama is the US President.
P3) Chris knows that Barack Obama is the US President.
C) Chris believes that Barack Obama enjoys basketball.
It is important to note that similar inferences made in different contexts are warranted and
the arguments containing them valid. Consider the following:
P1) The British Prime Minister is a world champion darts player.
P2) Gordon Brown is the British Prime Minister.
C) Gordon Brown is a world champion darts player.
Inferences such as this are sanctioned by an apparently indubitable logical principle known
as Leibniz’s Law (after the seventeenth-century German philosopher and mathematician,
Gottfried Leibniz). This law holds that if one thing is the same identical thing as another,
then what is true of one must be true of the other. For example, if Superman has blond
hair and Superman and Clark Kent are the same person, then Clark Kent must have
blond hair. Sentences about people’s beliefs or knowledge, such as our example about
Barack Obama and basketball, are exceptions to Leibniz’s Law. If Chris believes that X is
thus-and-so, even if X and Y are the same thing, it does not follow that Chris believes Y to
be thus-and-so because we do not know whether or not Chris knows that X and Y are the
same thing. The inference would only be warranted if the arguer knew that Chris knew
this. How to make sense of these sorts of cases is a famous philosophical puzzle, but we
need not let that worry us here.6
The epistemic fallacy is often used knowingly to discredit someone’s opinion. For example:
Mr Smith believes that the cultivation and use of cannabis should remain a criminal
offence in this country. But cannabis is the most effective anti-nausea drug for
6 The most famous discussion is ‘On sense and reference’, by Gottlob Frege, reprinted in Meaning and
Reference, ed. A. W. Moore (Oxford: Oxford University Press, 1993).
pseudo-reasoning226

chemotherapy patients. So Mr Smith believes that it should remain a criminal
offence to produce or use the most effective anti-nausea drug for chemotherapy
patients.
An initial reconstruction of the argument gives us the following valid argument:
P1) Mr Smith believes that it should be a criminal offence to produce or to use
cannabis.
P2) Cannabis is the most effective anti-nausea drug for chemotherapy patients.
C) Mr Smith believes that it should be a criminal offence to produce or to use
the most effective anti-nausea drug for chemotherapy patients.
If we add an implicit premise of the same form as P3 in the previous example, we see that
we cannot conclude that the argument is sound unless we have some grounds for saying
that P3 (and hence C) are true:
P1) Mr Smith believes that it should be a criminal offence to produce or to use
cannabis.
P2) Cannabis is the most effective anti-nausea drug for chemotherapy patients.
P3) Mr Smith knows that the most effective anti-nausea drug for chemotherapy
patients is cannabis.
C) Mr Smith believes that it should be a criminal offence to produce or to use
the most effective anti-nausea drug for chemotherapy patients.
We are unjustified in making this knowledge attribution if we don’t know whether Mr
Smith is aware of the anti-nausea properties of cannabis. It is possible that Smith is
unaware that cannabis is the best anti-nausea drug for chemotherapy patients. Indeed, it
might well be that Smith believes that the best remedy for nausea ought to be made
available to chemotherapy patients, and so long as he is genuinely ignorant that cannabis
is the best such remedy, he would not be inconsistent in making this claim. The danger
of epistemic fallacies, then, is that they may attribute beliefs to persons that they do not
really hold.
Notice that the familiar ‘if you’re not with us you’re against us’ type of argument is an
instance of the epistemic fallacy. By claiming that a non-supporter takes an opposing
position, the arguer makes an unwarranted assumption about the non-supporter’s beliefs
when, in fact, the non-supporter may hold a view that does not amount to an opposing
one, or she may simply not have a view on the issue in question.7 Here’s an example:
7 The ‘if you’re not with us, you’re against us’ argument can also be an instance of the false dilemma fallacy.
The arguer implies that there are only two positions available on the issue in question – their own and one that
is in direct opposition to it.
pseudo-reasoning 227

The President has made it perfectly clear: we know who the terrorists are, and we are
going to hunt them down. Now Senator Routman wants to set limits on the pursuit
of these killers, by opposing covert overseas invasions by Special Forces. So he thinks
we should simply let them go?
The fact that the Senator opposes a particular means of pursuing terrorists is not sufficient
to warrant the claim that he believes that terrorists shouldn’t be pursued at all. In all
likelihood he does believe they should be pursued, but by some means other than covert
overseas operations. Notice that the use of the epistemic fallacy in this way has a strong
rhetorical pull – the view attributed to the non-supporter is often a much stronger
position (a straightforward negation of the arguer’s position) than that which she actually
holds on the issue in question. The rhetorical effect of using the fallacy in this way is to
make opponents’ positions appear more extreme than they actually are and, hence, to
undermine the credibility of and support for that position. These examples turn on verbs
such as ‘knows’, ‘believes’ and ‘wants’. Philosophers and linguists call verbs such as these
propositional attitude verbs. If we reflect upon how these verbs are used, we see that
we say someone believes that . . ., where the blank is filled by the expression of some
proposition or other. A propositional attitude, then, expresses the fact that someone holds
some attitude towards a specific proposition. Smith believes that such-and-such is the case;
Jones wants such-and-such to happen; Brown knows that such-and-such is the case. Other
examples are ‘desires’, ‘hopes’, ‘prays’ and ‘wishes’.
FAULTY ARGUMENT TECHNIQUES
As we have seen both formal and substantial fallacies make for unsound arguments;
they are either irremediably invalid, or depend on some very general, but false, implicit
assumption. We turn now, to a different group of arguments. These are sometimes
labelled as fallacies, but not every instance of them will be invalid, or inductively unforce-
ful, or even unsound. However, they are all poor techniques at argument; they should be
criticised when we analyse arguments, and avoided in our own attempts to persuade by
argument. Many of them, however, are useful for non-rational persuasion: they are
frequently used to avoid engagement with an opponent, or to trump an opponent in the
knowledge that their premises do not actually give good reason to accept their conclusions.
In many cases they do have persuasive power, but it is not rational persuasive power and
we make an error in reasoning if we are persuaded by them.
Although reconstruction will be helpful in analysing instances of these argument tech-
niques, they cannot be exposed by making explicit a false assumption that drives all
instances of the technique in question. This is because there is no single false assumption
(expressed as a generalisation or a conditional) that underlies all instances of each of these
techniques. So, while we should, in order to expose their faulty reasoning, continue the
practice of reconstructing arguments that we suspect of employing these techniques, it is
not so easy to give a straightforward method for detecting them.
pseudo-reasoning228

Equivocation
The rhetorical ploy of trading on an equivocation is the ploy whereby we deliberately use a
word or form of words with the intention to confuse the audience; one hopes that the
audience will conflate the two or more possible interpretations. A single unsupported
claim, rather than an argument, may be the instrument of the ploy. To fall prey to an
argument that employs equivocation, by contrast, is to fail to notice an ambiguity, or in
some cases an instance of vagueness, thereby accepting the conclusion of an argument, when
one should not have. Silly but clear examples are easy to come by – for example, ‘In the
Philosophy department, someone broke one of the chair’s legs; therefore one of the
Philosophy department’s professors has a broken leg’ (equivocation on the word ‘chair’).
Such a case is simple and amusing but no one would actually be taken in by it. In the more
interesting cases, explaining the faulty reasoning can be a subtle conceptual task. For
example:
Some conservatives claim moral universal truths; they claim that throughout
history, in all times and places, people fundamentally have the same rights. This
displays a lamentable ignorance of history, and – characteristically of conservatives
– of other cultures. It is a plain fact that at other times in history, and in other parts
of the world today, human beings do not have the same rights. In some countries,
for example, a man has the right forcibly to confine his wife to the home if he sees
fit; not so in our culture. The conservative claim of universal rights is plainly false.
The arguer wishes to conclude that, contrary to certain conservatives who believe in
universal moral truths, whether or not a human being possesses a given right depends on
what culture they are in. Thus ignoring some irrelevant material, we may reconstruct it as
a very simple argument:
P1) In some countries, men have the right to confine their wives forcibly; in other
countries they do not.
C1) It is not the case that human beings have the same rights in all places and
at all times.
C2) The conservative claim – that throughout history, in all times and places,
people fundamentally have the same rights – is false.
The argument equivocates on the word ‘right’, however. Both senses are established items
in our language, but they are close together in meaning. In one sense of the word, to
possess a ‘right’ is be allowed, by the culture or other social environment one is in (often,
but not always, this a system of laws), to perform a certain action. Call this the ‘con-
ventional’ sense of the word. In the other sense, to possess a ‘right’ is to be such that one
ought, whatever culture or other social environment one is in, to be allowed to perform a
certain action – even if one is not in fact allowed to. Call this the ‘philosophical’ sense of
pseudo-reasoning 229

the word. Thus one may possess rights in the philosophical sense that are not rights in the
conventional sense. The trouble with the argument is that it uses both senses: if we keep to
the conventional sense of the word, P1 is true, C1 is true, and the inference from P1 to C1
is valid. The inference to C2 would be valid if the conservative claim were intended in the
conventional sense. But the conservative claim, no doubt, was that rights are invariant in
the philosophical sense of the word. In that case C2 cannot be inferred from C1; the
inference would be no better than the silly one about the broken chair.
Red herring
So-named after the practice of dragging a smelly, salt-cured (and therefore reddish)
herring across the trail of an animal tracked by dogs, the red herring technique is used to
throw someone off the scent of one’s argument by distracting them with an irrelevance.
The rhetorical ploy of the smokescreen constitutes a similar tactic. However, where an
irrelevant premise(s) is given as a reason for accepting the conclusion being advanced, a
faulty argument is being used. For example:
The judge should rule against the charge of false accounting against the Chief
Executive of Utilicorp. The CEO is very popular with shareholders, and presides over
an extremely healthy company.
The arguer seems to advance the CEO’s popularity and success at running her company as
a reason to rule against the charge of financial corruption. If we make the reasonable
assumption that the judge should rule strictly on the basis of the accused’s guilt or inno-
cence, then the CEO’s popularity and business acumen is utterly irrelevant.
Reconstructed, the argument looks like this:
P1) The CEO is very popular with shareholders, and presides over an extremely
healthy company.
P2) If the CEO is very popular with shareholders, and presides over an extremely
healthy company, then the judge should rule against the charge of false
accounting.
C) The court should rule against the charge of false accounting.
In general, the red herring fallacy is that of inferring a conclusion from a premise that is
strictly irrelevant to it, but in a way that has the potential to fool the audience into
accepting the inference. Normally this is accomplished by a premise that tends to instil
some sort of positive attitude towards the conclusion. In this case, the premise is intended
to make the audience feel supportive towards the CEO and to think that she is successful
in her role as CEO, thus unreceptive to the idea that she should be convicted of
misconduct.
Note that, although red herring arguments can easily be represented as valid (as in the
example above), red herring is not a substantive fallacy. P2 is obviously false, but our
pseudo-reasoning230

ability to recognise this depends on our knowledge of what is and what is not relevant to
the establishment of guilt in a court of law. More generally, what is and what is not
relevant to a conclusion will depend on the conclusion’s particular subject-matter. So there
is not going to be one characteristic premise that red herring arguments assume, in the
way that there is, for example, in the case of inverting cause and effect. So red herring,
according to our categories, is not a substantive fallacy, but it is a faulty argument
technique.
A common example of the red herring technique occurs when someone argues, in
response to criticism of their own approach to some problem or other, that because the
critic offers no solution to the problem, their criticism is wrong. Politicians often use this
technique when trying to score points from each other in debate. Of course, whether or
not your opponent is offering a solution to the problem at hand is irrelevant to whether or
not their criticism of your position is justified. It might be relevant to the question of their
credibility with respect to the issue under discussion, but that is a question about the
arguer, not the argument. Like many of the fallacies and faulty argument techniques
we discuss here, the red herring technique is certainly effective rhetorically, pulling an
audience’s attention away from the matter in hand towards some other issue.
It is worth re-emphasising, finally, that to say that someone has been taken in by a red
herring argument is to say that they have been fooled. The ability to recognise red herring
arguments varies depending on our knowledge of the subject-matter of the argument. But
if X honestly believes, for example, that cancer is always caused by thinking morally bad
thoughts, then, although having developed cancer is irrelevant to the question of the moral
character of their thoughts, X does not commit red herring if X infers, from the fact Y has
cancer, that Y must have been thinking bad thoughts. X is just badly informed. The point
of distinguishing red herring as an argument trading on irrelevance is to single out the
cases where one is fooled by an irrelevance, where one ought to have known better. Every
minimally educated person knows, for example, that guilt or innocence in a court of law
is properly established only by the preponderance of evidence; because of this, one who
advances or accepts the argument given above has been fooled by an irrelevance, and has
thus committed red herring.
Slippery slope
This technique is employed when an arguer wrongly assumes that to permit or forbid a
course of action will inevitably lead to the occurrence of further related and undesirable
events, without providing good reasons to suppose that the further events will indeed
inevitably follow; and thus to allow the first is to tread on a slippery slope down which we
will slide to the other events. Since its rhetorical power is derived from fear or dislike of the
undesirable events, it is from a rhetorical point of view closely related to the appeal to fear.
Slippery slope arguments are sometimes used to justify particularly harsh laws or penal
sentences and occur frequently in debates about the liberalisation or toughening of laws or
constraints on behaviour, as in the following example about the decriminalisation of
cannabis use:
pseudo-reasoning 231

The decriminalisation of cannabis would be just the start. It would lead to a down-
ward spiral into widespread abuse of harder drugs like heroin and cocaine.
The implicit conclusion is that cannabis should not be decriminalised. The only explicit
premise is that if cannabis were decriminalised then the use of hard drugs would increase.
So an initial reconstruction represents the argument as invalid:
P1) If cannabis were to be decriminalised, the use of hard drugs would increase.
C) Cannabis should not be decriminalised.
Notice that as it stands the argument also commits the fallacy of deriving ‘ought’ from ‘is’.
To correct this, we need to add a premise to make good the connection between the non-
prescriptive premise and the prescriptive conclusion, thus ending up with the following
argument:
P1) If cannabis use were decriminalised, the use of hard drugs would increase.
P2) Anything that leads to increased use of harder drugs should be avoided.
C) Cannabis should not be decriminalised.
The immediate problem is that we have not been given a reason to think that P1 is true;
that is, no reason to think that decriminalisation of cannabis will unavoidably be the
beginning of a slippery slope to an increase in the use of hard drugs. Of course, some slopes
really are slippery; even in this case, it might be possible to give such reasons and they
might form part of an extended argument for the same conclusion. But as it stands the
argument remains faulty, because the arguer has not given a reason for supposing that it is
inevitable that allowing the first event will precipitate a slide into even worse events. (This
form of argument is sometimes called floodgates – the arguer alleges without evidence that
allowing X will inevitably open the floodgates to Y and Z.) Occasionally, the appeal to a
slippery slope is legitimate – there is good reason to believe that some event X will
inexorably lead to some other event Y, which is undesirable. If this is so, however, the
reasons for believing that X is highly likely to lead to Y should be made explicit in an
argument.
Straw man
This is the technique used when an arguer ignores their opponent’s real position on an
issue and sets up a weaker version of that position by misrepresentation, exaggeration,
distortion or simplification. This makes it easier to defeat; thereby creating the impression
that the real argument has been refuted. The straw man argument, like the straw man
himself, is easier to knock down than the real thing. Suppose that Jones is an advocate of
the legalisation of voluntary euthanasia; that is, Jones believes that terminally ill patients
should have the legal right to choose to have their life ended if their suffering has greatly
pseudo-reasoning232

diminished their quality of life, and doctors agree that the patient’s mental state is
sufficiently sound to make the decision rationally. Smith, Jones’ opponent, responds as
follows:
How can you support giving doctors the right to end a person’s life just because they
decide that the person’s life is no longer worth living; no one should have that power
over another person’s life, and doctors should not kill patients.
According to Smith, Jones advocates that doctors should unilaterally have the power to
end a patient’s life, if they think that the patient’s life is not worth living. That would be a
very controversial position. But it is not Jones’ position. Jones’ position is that patients
should have the choice of euthanasia, so long as that choice is approved by doctors. Of
course the doctor administers the lethal drug, but, as Jones envisages things, only at the
behest of the patient. Smith thus fails to engage with Jones’ actual position and instead
misrepresents it as a more extreme and therefore weaker position that (as far as we know)
Jones does not advocate.
Begging the question
An argument commits the fallacy of begging the question when the truth of its conclusion
is assumed by one or more of its premises, and the truth of the premises depend for their
justification on the truth of the conclusion. Thus the premises ask the audience to grant
the conclusion even before the argument is given. Contrary to the way in which the phrase
is sometimes used in ordinary language, ‘begging the question’ does not mean raising the
question without offering an argument. By way of example, imagine the following
scenario:
Three thieves pull off a successful heist and steal four diamonds, but they can’t
decide how to divide their haul. Eventually the first thief says: ‘I should get two
diamonds, and you two should get one each, because I’m the leader.’ The second
thief says: ‘Wait a minute, who says you’re the leader?’ The first thief replies: ‘I must
be the leader, I’m getting the largest share of the haul.’
A reconstruction enables us to see clearly the way in which the first thief’s reasoning begs
the question. Initially thief number one appears to argue from the proposition that he’s the
leader together with the implicit premise that leaders should always get the biggest haul to
the conclusion that he should get the biggest share:
P1) I’m the leader of the gang.
P2) Gang leaders should always get the biggest share of their gang’s haul.
C) I should get the biggest share of the haul.
But when requested by thief number two to justify P1, he argues as follows:
pseudo-reasoning 233

P1) I’m getting the biggest share of the haul.
P2) Whoever gets the biggest share of the haul is the leader of the gang.
C1) I must be the leader of the gang.
Once we put the two steps of the argument together to form a complex argument, we see
that it begs the question of who should get the biggest share:
P1) I’m getting the biggest share of the haul.
P2) Whomever receives the biggest share of the haul is the leader of the gang.
C1) I must be the leader of the gang.
P3) Gang leaders always receive the biggest share of their gang’s haul.
C2) I’m getting the biggest share of the haul.
Thief number one is guilty of begging the question (in addition to armed robbery) because
P1, which he uses to reach C2, expresses the same proposition as that expressed by C2. So
the conclusion – that thief number one gets the biggest share – is already assumed by the
premises. Notice that each inference stage passes our test for validity. If the premises
were true, the conclusion would have to be true, but the argument is a clear instance of
the fallacy of begging the question of who should get the biggest share of the proceeds
of the robbery.
An argument’s premise(s) and conclusion need not express a proposition in precisely the
same way (as they do in the previous example) in order for it to count as an instance
of begging the question. It is sufficient that the premise be a version of, or rely upon, the
claim made by the conclusion. If someone were to argue from the premise that newspaper
editors claim that their publications are better than any other medium for finding out
about global affairs, to the conclusion that newspapers are the best source of international
news, their argument would still beg the question. For obvious reasons, arguments that beg
the question are often referred to as ‘circular reasoning’.
False dilemma
This is the technique of limiting consideration of positions on an issue to fewer alterna-
tives than are actually available to be considered. Typically, the arguer pretends that there
are only two options, when in fact there are more: the arguer sets up a dilemma where
none really exists by misrepresenting the possible positions on an issue, so that there
appears to be a straight choice between their own and its opposite. The technique is
employed by a politician who argues as follows:
There is a tough choice facing the Government and the nation: either we cut
taxes and increase everyone’s spending power, thereby providing much needed
pseudo-reasoning234

stimulation to the economy, or we increase spending on health and education. It is
impossible to do both; and without a tax cut the economy will remain weak. So
increased spending on health and education will have to wait.
As the reconstruction shows, the argument is valid, it is driven by the false assumption
that cutting taxes and increasing public spending on health and education preclude each
other.
P1) We should stimulate the economy.
P2) The only way to stimulate the economy is by cutting taxes.
C1) We should cut taxes.
P3) We cannot both cut taxes and increase public spending on health and
education.
C2) We should not increase public spending on health and education.
The assumption in P3 is not true because (a) if a tax cut does improve the economy, then
even if the Government takes a smaller proportion of the Gross National Product it might
take more in absolute terms (because the GNP will be larger); (b) expenditure on health
and education might be increased by diverting Government funds from other areas such as
defence; (c) the Government might be able to sustain a period of decreased tax revenues
and increased overall expenditure by increasing its debt (or decreasing its surplus, as the
case may be).
The false dilemma technique is often used to make the false assumption that if someone
does not agree with X, they must be anti-X, whereas they may hold some intermediate
position or be undecided. For example, suppose someone asks you if you are in favour of
positive discrimination towards under-represented groups in the award of promotion to
higher grades of a profession (affirmative action). You reply that you are not and, employ-
ing a fallacious inference, they accuse you of being against affirmative action, when in fact
you may just be undecided, neither for nor against it. Or, worse, perhaps they retort that
you support discrimination against under-represented groups, and therefore are racist,
ageist and misogynist (among other things).
TOO MUCH MATHS!
We will end this chapter on poor reasoning with a brief discussion of ways in which we
sometimes fail properly to take account of statistical material. This constitutes faulty
reasoning because misinterpretation of statistics can lead us draw unwarranted con-
clusions about what we should do or believe. Here we consider two common occurrences
of this type of mistake.
pseudo-reasoning 235

Confusing absolute and relative difference
This confusion is often seen in discussion of the results of trials of new medication; of the
likely effects of consuming/not consuming some or other foodstuff or the effects of using
some product or other, often cosmetic or domestic cleaning products. In some cases media
reports apparently deliberately gloss over the difference between absolute and relative risk,
perhaps because they feel the distinction is too complex for their audience to grasp or
because discussion of relative risk has more headline-grabbing appeal than that of absolute
risk. Consider the following:
Researchers are excited about new wonder drug Roccastatin. Trials revealed a
dramatic decrease in risks of cardio-related illnesses, with risk of heart attack
lowered by 54%, and risk of stroke lowered by 48%.
Headlines such as these refer to the reduction in relative risk of developing a condition or
experiencing an adverse event. Relative risk is a measure of the difference in risk between
someone taking the medication that’s being trialled and someone who’s not taking it. If
we are told that the risk of heart attack reduces by 54 per cent if the medication in
question is used, then we might be inclined to believe that taking the drug would make a
big difference to our life expectancy and ask our doctor to prescribe the drug. However, in
order properly to understand the likely effects on our life expectancy of taking the medica-
tion, we need to know the absolute risk because the relative risk reduction figure is
actually a percentage of the absolute risk. So if trials of Roccastatin are reported to reduce
the risk of heart attack by 54 per cent, we should understand this as a 54 per cent
reduction in the absolute risk. Suppose that risk is 0.5 per cent, then taking the new
medication would reduce that risk to 0.27 per cent. Now the effects of the medication
seem much less ‘dramatic’ and, assuming one’s absolute risk were not elevated by other
factors, one might feel less inclined to start taking the drug.
A (possibly deliberate) conflation of the distinction between relative and absolute dif-
ference occurs in advertising. Consider the following:
Perfectskin is the total solution to skin ageing. In tests, 9 out of 10 women reported
an 80% improvement in fine lines and wrinkles compared with their usual skin care
routine.
If you were a lady of a certain age worried about your appearance, an advertisement such as
this might incline you to try out the new cream. Indeed, an 80 per cent improvement in
the skin’s appearance seems a pretty impressive result. However, 80 per cent represents the
difference between how the skin appeared using the new product and how skin appeared
when the testers used their regular face cream. So, although the new cream affords an
80 per cent improvement, that improvement is 80 per cent of whatever improvement they
saw when using their usual cream. That figure will most likely vary depending on the
tester and the cream used (so the advertisement is misleading in glossing over those
differences, as well), but let’s suppose that testers regularly using some other cream
generally see an improvement in their skin of approximately 20 per cent, then, according
pseudo-reasoning236

to the results of the clinical tests, using the new cream affords an absolute improvement of
36 per cent. Perhaps impressive enough for one to give it a try, but nothing like the
promise held out by the original 80 per cent figure.
As you can see, the rhetorical effects of the conflation of relative and absolute risk should
not be underestimated. Notice also that appeals to scientific and clinical evidence are
increasingly used rhetorically to give the impression of a product that has been subject to
rigorous scientific investigation, thereby leading us to form the belief that the product in
question is safe, effective and of top quality.
Often relative and absolute difference are confused simply because the language used
to explain the data in question is insufficiently precise to capture the distinction. It is
common for the language used by media writers in reporting scientific matters to the
general public to be insufficiently precise. For instance, in reporting a correlation between
screening for a certain type of cancer and detection of that cancer, a journalist may report
that ‘the incidence of cancer has risen in every country with screening’ but the information
that should be communicated is that detection of cancer has risen in every county with
screening. Clearly there is a correlation between increased screening and increased detec-
tion (indeed, achieving such a correlation is one of the secondary aims of introducing
screening), but it would be incorrect, and misleading, to claim a correlation between
screening and incidence of cancer. A further frequently encountered case is the mis-
representation of the margin of error involved in interpreting opinion poll data.
Margin of error
The notion of margin of error is associated with the interpretation of opinion poll data,
such as that gathered in pre-election polling. If we are told that a poll has a margin of error
of n percentage points, then we are being told that the poll predicts the actual percentage
within n percentage points with 95 per cent probability of being correct. There is no less
complex way of putting it. Often, impatient with the actual meaning of ‘margin of error’
(or uncomprehending of it), people assume something simpler and in doing so distort the
facts, as happens in the following case:
A recent CNN poll, conducted by the Opinion Research Corp., shows Clinton 3
percentage points ahead of McCain, 50–47, in a hypothetical matchup. That’s
within the poll’s margin of error, so it’s a tie.
Ruben Navarrette Jr8
CHAPTER SUMMARY
Fallacies can be grouped together according to certain shared features. Formal fallacies are
simply mistaken inferences – inferences of certain characteristic kinds that are often
8 From the CNN website, at http://www.cnn.com/2008/POLITICS/02/11/navarrette/index.html
pseudo-reasoning 237

mistakenly thought to be valid or inductively forceful. These include: the fallacies of
affirming the consequent (of a conditional proposition) and denying the antecedent (of a
conditional proposition); the fallacy of deriving ‘ought’ from ‘is’, which is committed by
any argument that attempts to move from solely descriptive premises to a prescriptive
conclusion; and the base rate fallacy.
Substantive fallacies are committed by arguments that tacitly assume some very general
principle of a characteristic kind that it may be tempting to rely upon, but which is false,
and which can easily be seen to be false the moment it is brought to light. The fallacies of
majority belief and common practice make illegitimate inferences from the commonality
of a belief or an action to its acceptability. The ad hominem fallacy and the tu quoque
fallacy use facts about the person(s) putting forward a position as grounds for rejecting it.
The appeal to authority makes a mistaken appeal to the opinion of someone who is not
qualified (or under-qualified) on the matter in hand. The perfectionist fallacy is com-
mitted when excessive demands are placed on an idea or proposal; the fallacy of conflating
morality with legality occurs when we mistakenly assume that anything that is legal
must also be moral or that anything that is illegal must be immoral. The fallacy of weak
analogy arises when an argument employs an unsustainable or an unjustified analogy.
Causal fallacies are committed when we make mistaken inferences about the cause of a
phenomenon or an event. There are three types of causal fallacy: post hoc ergo propter hoc
– the fallacy of assuming that the temporal priority of X over Y makes X the cause of Y;
the fallacy of mistaking correlation for cause – falsely assuming that the simultaneous
occurrence of X and Y makes one the cause of the other; and the fallacy of causal inversion
– the mistaken inference that if X causes Y, an absence of X will prevent Y. Epistemic
fallacies and the fallacy of appeal to ignorance occur because of unwarranted inferences
from what is known, believed or proven to additional knowledge, beliefs or proof of which
the arguer has no independent evidence.
Substantive fallacies can be exposed by careful argument-reconstruction. An initial
reconstruction will demonstrate that the argument, as stated, is either invalid or lacking
inductive force. A second reconstruction can be used to reveal the false assumption that
drives the fallacious reasoning, thereby demonstrating that the (amended) argument is
unsound. For each substantive fallacy, all instances of the fallacy will be driven by the same
or a very similar assumption.
Some common argument techniques are not fallacies according to our account, but they
are faulty argument techniques. Not all instances of these techniques are invalid, non-
inductively forceful or unsound even when carefully reconstructed. A deductively sound,
hence valid, argument may beg the question, for example. While the method of exposing
hidden assumptions will prove helpful for some instances, there is no single false assump-
tion that underlies all instances of each of these faulty argument techniques. The red
herring fallacy occurs when irrelevant premises are given as a reason for accepting a
conclusion. Slippery slope arguments occur when an arguer assumes without justification
that to permit or forbid a course of action will inevitably cause a chain of undesirable
events. The straw man is deliberately set up as a target that will be easier to defeat than
pseudo-reasoning238

an opponent’s real argument. An argument begs the question when the truth of its
conclusion is assumed by its premise(s). The false dilemma technique is employed when
an argument limits consideration of positions on an issue to two mutually exclusive ones,
thereby setting up an apparent dilemma, when there are other positions that could be
considered.
EXERCISES
1 Name the fallacy committed by the following arguments. If no fallacy is committed,
write ‘N/F’.
Example
No one has ever been able to prove the existence of extrasensory perception.
We must therefore conclude that extrasensory perception is a myth.
✎Appeal to ignorance.
a Of course the monarchy shouldn’t be abolished; we’ve had a monarchy in
this country for centuries.
b A few minutes after the minister made his speech to the City of London, a
devastating explosion occurred. For the safety of the people who live and
work in the city, it is imperative that the minister makes no more speeches
here.
c Publishing these vile criminals’ names and addresses in our paper was
definitely the right thing to do. We have been inundated with calls and faxes
from readers who support our stance.
d If she doesn’t finish her assignment on time, she will fail the course. She has
failed the course, so obviously she didn’t finish her assignment on time.
e If the Bank of England lowers interest rates, the pound will lose value against
the US dollar. The Bank of England has not put interest rates down, so the
pound will not lose value against the US dollar.
f As my client has pointed out, tax avoidance is not illegal, so she has done
nothing immoral.
g The Japanese diet is low in dairy products and certain cancers have a very low
incidence in Japan. So if you want to avoid cancer, give up drinking mild and
eating milk products.
h Teachers say their job is becoming harder and harder and that they deserve
better pay and conditions. But the Government should ignore them; they’re
just a bunch of whingeing liberals.
i It’s all very well for a TV chef to tell people how they should feed their
families on a budget, but there he is, a multi-millionaire driving around in a
flash SUV. What right has he got to tell real working people how to live their
lives?
pseudo-reasoning 239

j Given the evidence that so many students are plagiarising their assignments,
assessment by coursework should be abandoned in favour of examinations.
2 (i) Name the fallacy committed by each of the following arguments and (ii)
reconstruct the argument to demonstrate its fallaciousness.
Example
Democracy is the best system of government. Most people in the world believe
in the superiority of democratic systems.
✎(i) Fallacy of majority belief.
✎(ii) P1) Most people believe that democratic systems are superior systems
of government.
✎P2) Any belief held by the majority is true.
C) Democracy is the best system of government.
a Our lecturers are always extolling the virtues of critical thinking, but they
would, wouldn’t they? They only keep their jobs if they’ve got students to
teach.
b It’s not illegal for me to exaggerate my skills on my curriculum vitae, so it
can’t be immoral either.
c My doctor says that wearing high heels is bad for your knees and I shouldn’t
wear them, but she wears high heels, so I don’t think they really are.
d Smoking causes cancer, so if you don’t smoke, you won’t get cancer.
e Whenever the cherry trees blossom, the weather begins to get warmer. So
cherry blossom makes the weather warmer.
f David Beckham is the best midfielder ever to play for England and he says
that Arbarmi jeans are his favourite. They must be the best.
g There’s nothing wrong with getting drunk once in a while; everyone I know
tends to have a few too many every now and then.
h There’s no point in implementing harsh penalties for drunk drivers because
there will always be some people who are going to drive drunk no matter
what penalties are in place.
i Jo knows that Bono is the lead singer of U2, so she also knows that Paul
Hewson is the lead singer of U2.
j If a car breaks down on the road, no one thinks that a passing mechanic is
obligated to render emergency road service. So why expect doctors and
nurses to render emergency medical assistance to all and sundry when they
are off duty?
3 Identify the faulty argument technique employed in each of the following:
a Our employees have asked us to provide lounge areas where they can spend
their breaks. We will have to refuse. If we give them lounges, next they’ll be
pseudo-reasoning240

asking for a fitness centre, then it’ll be a swimming pool and sauna, tennis
courts, basketball courts...
b That’s the trouble with her: it’s always her way or the highway, no
compromise.
c Of course he’s not a liar: he swore to me that he always tells the truth.
d David’s criticism of our plan for the company re-branding is simply wrong.
After all, he’s not offering any alternative.
e The minister says he will cut public services in order to cut taxes for middle-
income families. He’s like a reverse Robin Hood, giving to the rich and taking
from the poor.
4 Provide an example of each of the following fallacies and faulty argument techniques.
Try to make your example appreciably different from those already provided for you.
Example
Denying the antecedent
✎If he took all of his medication, he should be feeling better by now. He
flushed half of his medication down the lavatory so he can’t be feeling
any better.
a Begging the question
b Red herring
c Straw man
d Mistaking correlation for cause
e Perfectionist fallacy
fAd hominem
g Deriving ‘ought’ from ‘is’
h Weak analogy
i Base rate fallacy
jTu quoque
k Appeal to authority
l Equivocation
m False dilemma
n Slippery slope
o Epistemic fallacy
5 Without looking back at the relevant section, write a paragraph explaining the
difference between relative difference and absolute difference. Try to find an
example of a media report in which relative and absolute difference are confused.
Hint: such reports often concern the likely benefits of new medications, cosmetic
products or domestic cleaning products.
6 Without looking back at the relevant section, write a paragraph explaining what
‘margin of error’ means with respect to an opinion poll. Explain what is meant by
saying that a poll has a margin of error of ‘plus or minus 4 per cent’.
pseudo-reasoning 241

8
truth, knowledge
and belief
•Truth and relativity 243
•True for me, true for you 248
•Truth, value and morality 251
•Theories 252
•Belief, justification and truth 253
•Justification without arguments 255
•Knowledge 256
•Justification failure 257
Insufficiency • Mistakes about justification
•Knowledge and rational persuasiveness 259
•Philosophical directions 261
Foundationalism vs coherentism • Internal vs external justification •
Probability and justification
•Chapter summary 264
•Exercises 264
In this final chapter we will delve deeper into some of the philosophical issues underlying
the principles of good critical thinking. We begin the chapter by extending the discussion
of truth that appears in Chapters 1 and 3 and attempting to dispel what in our experience
is a deep-seated myth – that what is true depends on nothing more than personal opinion
or taste. As we will explain, this is the myth that all truth is relative. Later we examine the
relationship between believing that something is the case and knowing that it is the case.

These relationships are important for critical thinking because they are concerned with the
adequacy of evidence for beliefs. Thus they are at the root of our determinations of
whether or not premises are true, whether or not the conclusion of an inductively forceful
argument is defeated for a person, and whether or not an argument is rationally persuasive
for a person. Further, the concepts of truth, knowledge and evidence are such frequent
sources of confusion in argumentative contexts that clarity about them is extremely
valuable in its own right.
TRUTH AND RELATIVITY
When we claim something such as ‘The kettle has boiled’, we assert something; we
express a belief. A belief is an attitude we take towards a proposition: to believe a
proposition is to accept it as true. Assertion is a truth-claim, and belief is a truth-attitude.
Assertion, belief and truth are internally related in this way. From the outset we have
been working with an intuitive understanding of truth such that to say that a claim is true
is simply to say that things are as the claim says they are: to assert that a proposition is true is
equivalent to asserting that very same proposition. What this means is that a pair of sentences
such as the following:
•Serena Williams was the Wimbledon Women’s Singles Champion in 2008.
•It is true that Serena Williams was the Wimbledon Women’s Singles Champion
in 2008.
must have the same truth value; if one of them is true, then so is the other. This necessary
equivalence is the fundamental fact about the ordinary meaning of the word ‘true’.
Suppose, then, that Julie says that Serena Williams was the Wimbledon Women’s Singles
Champion in 2008. To say that Julie’s claim is true, at bottom, is just to say that Serena
Williams did win the Women’s Singles at Wimbledon in 2008. Thus, although truth is a
feature of claims that people make (of some claims, of course, not of all of them), whether
or not a claim is true has nothing at all to do with the person who makes it; nor with that
person’s beliefs, culture or language (except when the proposition is explicitly about those
things). Whether or not Julie’s claim about Serena Williams is true depends only on
whether or not Serena Williams won the Women’s Singles at Wimbledon in 2008, and
does not depend in any way on anything about Julie. In particular, the mere fact that Julie
believes, and has claimed, that Serena Williams won Wimbledon, has nothing to do with
whether or not her belief or claim is true.
Notice also the following consequence of the equivalence noted above. If John responds
to Julie’s claim by saying, ‘That’s true’, then what he does, in effect, is to assert the very
same thing that Julie did. He agrees with her. Her claim is true if Serena Williams won
Wimbledon and false otherwise; likewise with John’s.
These points are quite straightforward, but they can be easy to lose sight of in other
contexts, and these contexts can create confusion about truth generally. In order to dispel
truth, knowledge and belief 243

the myth that truth is relative, we first explain the concepts of indexicals and implicit
speaker-relativity. Consider the following sets of claims:
1•Bill Clinton was the US President immediately before George W. Bush.
•Water is H2O.
•Neptune is larger than Venus.
•La Paz is the capital of Bolivia.
2•It’s raining here.
•She’s 35 years old.
•That book is too expensive for most students to afford.
•The boss is visiting our office today.
3•Algebra is hard.
•Chocolate ice cream tastes better than vanilla ice cream.
•George Clooney is more handsome than Brad Pitt.
•Gone with the Wind is a highly entertaining film.
•It is more fun to play Monopoly than it is to play football.
The claims in each of the three sets are expressed using the same assertoric form.
Assertoric form is generally used to express a belief that such-and-such is true (except
when someone is lying or play-acting); but the fact that someone has made an assertion
does not establish that the assertion is true, only that the speaker believes it to be so. Thus,
if someone asserts ‘Neptune is larger than Venus’, they express their belief that one planet
is larger than another, that it is fact that the one is larger than the other. But whether or
not the assertion is true depends only on whether or not Neptune really is larger than
Venus. Similarly with ‘Bill Clinton was the US President immediately before George W.
Bush’ and ‘La Paz is the capital of Bolivia’. Note that, although someone making one of
these statements asserts their own belief, they are certainly not talking about themselves;
someone who asserts that La Paz is the capital of Bolivia asserts one of their beliefs, but the
statement, and their belief, is only about La Paz and Bolivia.
Now look at the second set of claims, which, as we have noted already, are expressed in the
same assertoric form. Each claim includes an indexical – ‘here’, ‘she’, ‘that’ and ‘today’,
respectively. An indexical is a word that picks out a particular thing (in philosophers’
terms, it is a ‘referring term’), but precisely which thing it picks out depends upon the
context of utterance, and sometimes on the intention of the speaker. Thus what it picks
out can change from utterance to utterance. This has the effect of making the truth-value
of the sentence context-relative too. ‘It’s raining here’ uttered in Glasgow might be true,
whereas uttered in Madrid at the very same moment it might be false. So determining
what location ‘here’ refers to in a given context is crucial to determining the truth-value
of the sentence in which it occurs. Similarly ‘She’s 35 years old’ might be true if uttered
about Jones, yet false when uttered about Smith; while it might be true that the boss is
visiting today when ‘today’ refers to Tuesday, it might be false if ‘today’ is Friday; and if
‘that book’ is a 100-page paperback that costs £50, then it is indeed too expensive for most
students, if, on the other hand, ‘that book’ refers to a 300-page edition at £5, then it is false
to claim that it is beyond the means of most students.
truth, knowledge and belief244

Sentences are often context-relative in a certain respect without explicitly containing an
indexical that signifies it as such. Consider ‘It’s raining here’ again. That might be true if
uttered in Glasgow today, but false if uttered in Glasgow tomorrow (one can always hope).
The sentence does not contain the indexical word ‘now’, but it is context-sensitive with
respect to the time of utterance. It is exactly as if the sentence were ‘It’s raining here now’.
That is how it is with many typical uses of present-tense verbs: if you say ‘I’m hungry’, or
‘The car needs a wash’, you are saying that these things are so now (similarly with past and
future tenses – ‘She used to be married’, etc.). Location is also a contextual feature that is
often left tacit. For example, we usually say ‘It’s raining’, reserving ‘It’s raining here’ for the
case where speaker and hearer are in different places, as on the telephone. So ‘It’s raining’
involves two implicit indexicals: ‘here’ and ‘now’.
More generally, a sentence containing indexicality (explicit or implicit) expresses different
propositions in different contexts of utterance. A context is simply a collection of factors
relevant to determining what is said by a given utterance. This will include the identity of
the speaker (who is speaking), the time and place of utterance, and other factors such as
what a speaker happens to be pointing to. Thus if Groucho says ‘I’m hungry’ at 3.00 p.m.
and Chico says ‘I’m hungry’ at 5.00, then they express different propositions – Groucho
says that Groucho is hungry at 3.00, whereas Chico says that Chico is hungry at 5.00. If they
both speak truly, they report different facts.
Since what is expressed by a sentence involving indexicality depends on the context of
utterance, its truth-value depends on context of utterance. But such sentences are still fact-
stating: once we have determined the relevant features of the context, we have a complete
proposition with a fixed truth-value. The truth-value of the proposition is not context-
relative: either Groucho was really hungry at 3.00 or he wasn’t, end of story (ignoring the
possible vagueness of ‘hungry’). Other indexical terms include personal pronouns such as
‘I’, ‘he’, ‘we’, ‘you’ and ‘they’; impersonal ones such as ‘this’ and ‘there’ (often accompanied
by a pointing gesture or suchlike); expressions employing possessive pronouns such as ‘my
house’, ‘your car’, ‘our dog’, ‘their holiday’; and temporal expressions such as ‘tomorrow’
and ‘yesterday’.
Turning to the third set of claims, if we consider the first claim:
Algebra is hard.
It appears to assert a fact about the difficulty of algebra. But imagine Jane – who has had
no end of tutoring and has certainly tried her best – saying this to Mary; Mary replies, ‘No
it’s not! It’s easy!’ Must they really be disagreeing? It seems not. In such a case, it seems that
what Jane might really be saying is that algebra is hard for her; Mary is saying that she,
Mary, finds it easy (unless Mary is telling Jane that she’s so dim she can’t even do some-
thing that is in fact easy – but let’s assume she isn’t!). Since the sentence expresses a
different proposition depending on who utters it, the sentence is implicitly indexical and
hence context-relative. In this kind of case, we say that the claim is implicitly relative. A
claim is implicitly relative when it states a comparison or other relation to something it
truth, knowledge and belief 245

doesn’t explicitly mention (see Chapter 2, pp. 35–36, for a review of this concept). For
example, said of an adult man, ‘John is tall’ states a comparison, a relation, between John
and other men; it really says that John is taller than the average man.1
Furthermore, what Mary says about algebra is implicitly speaker-relative. Unlike ‘John is
tall’, the fact expressed is implicitly about the person making the assertion. Mary, we are
assuming, is really expressing the proposition that Algebra is hard for Mary. Similarly,
suppose that John has very fair skin, and says ‘The sun is too strong’ during a walk on a
Mediterranean beach. He alludes to the danger of sunburn. Julie, whose darker skin is less
sensitive to the sun, says ‘No it isn’t’. In such a case, John might only be saying that the sun
is too strong for him, and Julie saying that it isn’t too strong for her.
Implicit speaker-relativity is most common in the expression of attitudes, preferences and
the like, as illustrated by the remainder of the examples in the third set. If Julie says,
‘Chocolate ice cream tastes better than vanilla’, then what she is really saying is that she
prefers chocolate to vanilla. Similarly, if John asserts this very same sentence, then he is
saying that chocolate ice cream tastes better to him than vanilla does. So Julie and John are
saying different things, despite the fact that they use the same sentence to say it. These
two speakers’ assertions are statements of fact about their respective preferences, not
statements of fact about the superiority of chocolate over vanilla ice cream independent of
anyone’s preference.
To sum up the discussion of the third group: the sentence by means of which we express
such a proposition – ‘Chocolate ice cream tastes better than vanilla’ – is an incomplete
expression of the proposition we express by means of it. The statement actually expresses a
fact about the person making it, but the sentence does not explicitly mention this; that is
why the statement is implicitly speaker-relative.2
The importance of these differences emerges when we consider what happens when
people appear to disagree over claims that are implicitly speaker-relative in this way, and
compare this with genuine factual disagreement. Suppose now that Julie and John disagree
about the capital of Bolivia. Julie says:
La Paz is the capital of Bolivia.
But John denies it. He says: ‘La Paz is not the capital of Bolivia’ (perhaps he thinks it’s the
capital of Columbia). In this case, there is exactly one proposition – that La Paz is the
1 Of course there is no such thing as ‘the average man’, as if, in addition to Tom, Dick, Harry and the rest,
there were another chap, the average man. To say that John is taller than the average man is to say that if you
take the average (the mean) of the heights of all men, then John’s height exceeds that figure.
2 There is one slight complication, however: statements of this kind may mean that something is preferred or
liked by most people. For example, this is plausibly what someone means who says: ‘soured milk does not taste
good.’ Nevertheless, these statements are still implicitly relative, because they still depend for their truth on an
implicit reference to people’s preferences. In such a case, the statement is a generalisation about people’s actual
preferences rather than a statement of one person’s preference.
truth, knowledge and belief246

capital of Bolivia – such that Julie asserts it and John denies it. That is what genuine
factual disagreement is: genuine disagreement is when there is one proposition that is
asserted by one person but denied by another. If Julie and John value the truth, they will
want to know whose claim is true.
Contrast with the case when Julie says ‘I am wearing wool socks’, and John says ‘I am not
wearing wool socks’. The sentence that John asserts is the negation of the sentence that
Julie asserts, but obviously they are not disagreeing about anything. Due to the explicit
context-relativity introduced by the indexical ‘I’, the proposition asserted by Julie is not
the proposition denied by John.
But when context-relativity is implicit rather than explicit, there can appear to be genuine
factual disagreement when there isn’t. Suppose that Julie and John seemingly dis-
agree about the relative merits of chocolate and vanilla ice cream: Julie contends that
chocolate tastes better, while John is on the side of vanilla. As we have seen, in order to
make her meaning perfectly explicit, Julie would have to say ‘Chocolate ice cream tastes
better than vanilla to me’; John would have to say the same in order to be explicit. So what
Julie is really saying is that chocolate tastes better to her; John, that vanilla tastes better to
him.
The proposition that Julie expresses can equally well be expressed as:
(1) Chocolate ice cream tastes better than vanilla to Julie.
whereas John’s proposition is:
(2) Vanilla ice cream tastes better than chocolate to John.
These are two different propositions. There is certainly no logical conflict between them:
they could both be true. But in that case, Julie and John do not really disagree: there is not
one proposition here that either Julie or John asserts, and that the other denies. They are
not really disagreeing about the truth-value of the same proposition. That is, they do not
dispute the facts of the matter; their claims are simply expressions of different preferences.
To continue to dispute such an issue would be a waste of time. Indeed, notice that (1) and
(2) are no longer implicitly speaker-relative; they are explicitly speaker-relative. So there
should be no temptation to say that the truth of either (1) or (2) depends on who is
making the claim. If you say ‘Chocolate ice cream tastes better than vanilla’, then you are
implicitly talking about yourself, and the truth of what you say depends on facts about you
(your preferences). If you assert (1), however, the truth of your assertion depends only on
facts about Julie, not on facts about you.
Having discussed the concepts of indexicals and implicit speaker-relativity, we are now in a
position to confront the myth that truth is relative.
truth, knowledge and belief 247

TRUE FOR ME, TRUE FOR YOU
Often, people who have succumbed to the myth that ‘the truth is always relative’ respond
to a disagreement about the facts by saying something like: ‘Well, that may be true for you,
but it’s not true for me.’ In doing so, they use a common ploy to avoid proper engagement
with the argument. Unless the matter under discussion is one that is actually implicitly
speaker-relative, as it is in the ice-cream example, this is not a legitimate move to make
within an attempt to persuade rationally. It is a refusal to argue any further.3 A similar
refusal to engage in debate occurs when someone responds to others’ claims by saying,
‘that’s just your opinion’, as though expressing one’s mere opinion is not an attempt to
make a true claim about a matter but, rather, tantamount to expressing a preference for
chocolate rather than vanilla ice cream. But when we express our opinion on a matter –
the best way of reducing crime rates, say – we are expressing our beliefs about the truth of
a matter. It is really a kind of self-deception not to face up to this: that when we express
our opinion, we are making a claim to truth. So criticising someone’s contribution to a
conversation by saying ‘that’s just a matter of opinion’ is another attempt to hinder
rational persuasion or debate, and unjustifiably denies that there is any such thing as
disagreement.
The ‘true-for-me’ phraseology, however, is not just a device for evading arguments. It is a
characteristic way of expressing the relativity-myth (though the relativity-myth may itself
be motivated by the wish to avoid the sometimes unpleasant reality of disagreement).
Thus we shall try to dispel the myth by considering it in more detail. Consider again the
sentence:
Chocolate ice cream tastes better than vanilla.
The implicit speaker-relativity of a sentence like this might be described by saying that the
sentence is true for Julie, and not true for John. Upon hearing Julie assert this sentence,
John might say: ‘Well, that may be true for you, but it isn’t true for me.’ John might, in
this case, simply be making the point about implicit speaker-relativity. If so, then that is all
right; he is quite right to do so. However, phrases such as ‘true for me’ are sometimes used
in what appear to be factual contexts where implicit speaker-relativity is not in play. For
example, suppose that Julie believes in astrology, and says:
Scorpios tend to be luckier than Libras.
John does not believe in astrology, and therefore does not believe that one’s character
depends on what the part of the year one is born. So he thinks this proposition is false. But
John, wishing to avoid a painful disagreement, expresses himself by saying: ‘Well, that may
be true for you, but it isn’t true for me.’
3 When you think about it, it is very hard to see exactly what this claim amounts to. It seems to say that truth
is relative to persons; yet it is odd that the only way that this can be the case is for that statement itself to be true
in just the way that the statement itself denies – thus it seems that relativism about truth may be contradictory.
truth, knowledge and belief248

As we have just seen, where implicit speaker-relativity is involved, the use of such phrases
as ‘true for you’ is perfectly legitimate. But in the astrology case, the use of this phrase is
misleading. Is this sentence implicitly speaker-relative? Is the sentence about a preference,
belief or other attitude? It certainly does not seem to be. It is like the sentence about
La Paz: it purports to state a fact about the respective fortunes of Scorpios and Libras.
Someone asserting the sentence about La Paz expresses their belief concerning La Paz, but
they are not talking about themselves, they are talking only about La Paz and Bolivia. This
is shown by the fact that the truth of what they say depends only on how things are with
La Paz and Bolivia; its truth does not depend in any way on the beliefs of the speaker.
Likewise, someone asserting the astrology sentence expresses their own attitudes about
Scorpios and Libras, but is not saying anything about their own attitudes towards Scorpios
and Libras. So when John says, of the astrology sentence, that it might be true for Julie but
not for him, he cannot be saying that the sentence is implicitly speaker-relative, and could
therefore be true when Julie says it but false when he says it.
What, then, could John reasonably mean by ‘true for you’ in this context? As we noted,
when someone sincerely asserts a declarative sentence, they express a belief. By ‘true for
you’, then, John could simply mean that according to Julie, the sentence is true. That is to
say, he could mean simply that Julie believes the proposition expressed by the sentence;
that she believes that Scorpios tend to be luckier than Libras. John, of course, denies this
very same proposition. So this is a straightforward case of genuine disagreement over the
same proposition. In suggesting that the sentence is true for Julie and not for himself, all
that John is doing is pointing out the fact that he and Julie do disagree: Julie believes, and
John disbelieves, the very same proposition. Unfortunately, by using the phrase ‘true for
you’, he makes it sound as if it’s a case of implicit speaker-relativity, in which case there is
no actual disagreement. Since that is the sort of case where ‘true for me’ has a legitimate
point to it, he makes it sound as if there is no actual disagreement, thus smoothing over his
difference with Julie. This is perhaps polite of him, but it is really just an evasion.
With these points in mind concerning ‘true-for-me’, we can now dispel the myth that all
truth is relative. The myth is often expressed by saying that we cannot legitimately speak
simply of what is true, but only of what is true for me, or true for you, or more generally true-
for-X, where X is some person (or perhaps culture). If this is explained as the claim that
all statements are really implicitly speaker-relative, then this is clearly not so, as we have
seen: a statement like the one about La Paz just isn’t speaker-relative. However, the claim
that all truth is truth-for-X might also be understood in accordance with the way that
John employed the phrase in his dispute with Julie about astrology. According to this
interpretation of ‘true-for-X’, to say that a proposition is true for X is to say that X believes
it. Could all truth really be truth-for-X, in that sense?
Let us work out the implications of supposing that it is. Consider these two sentences:
(3) Scorpios tend to be luckier than Libras.
(4) It is true that Scorpios tend to be luckier than Libras.
truth, knowledge and belief 249

According to what we said about the word ‘true’ at the beginning of this chapter, (3) and
(4) are necessarily equivalent: it is impossible for one of them to be true and the other false.
That is why we can always register our agreement with a claim simply by saying, ‘that’s
true’. And that, we might say, is the point of having the word ‘true’: that is how the word is
used. However, according to the version of the myth we are considering, if Julie asserts (4),
then she would be speaking more accurately if she were to say: ‘It is true for me that
Scorpios tend to be luckier than Libras.’ Thus, as we ourselves would express it, what she
says by means of (4), according to the myth, is really:
(5) It is true for Julie that Scorpios tend to be luckier than Libras.
And this, as we said, is more accurately expressed by:
(6) Julie believes that Scorpios tend to be luckier than Libras.
So according to this version of the relativity-myth, Julie’s utterance of (4) is equivalent to
(5), which is equivalent to (6). So according to the myth, (4) is equivalent to (6). But (6) is
certainly not equivalent to (3). (3) makes no reference to Julie; it would be possible for (3)
to be true but (6) false, or the other way round (in fact, if (6) were true, then since
presumably (3) is false, they would actually differ in truth-value). Thus, according to this
version of the myth, we would have to say that (4) is not equivalent to (3). But that cannot be
right, for that is simply not how the word ‘true’ is used. This version of the relativity-myth
violates the actual, ordinary day-to-day meaning of the word ‘true’ according to which (3)
and (4) are equivalent. According to that meaning, Julie is right when she says (3) if, and
only if, she is right when she says (4). So (3) and (4), whoever utters them, cannot differ in
truth-value. If so, then since (5) and (6) mean the same thing, (5) cannot be what is meant
by (4), in which case ‘true’ cannot mean ‘true-for-X’.
There is no getting around it, then. There is no way to make satisfactory sense of the
relativity-myth. So truth is not relative. It is objective, and the truth of a proposition is
independent of our desiring or believing it to be true. Just as thinking or desiring cannot
make the moon be made of green cheese, thinking or desiring cannot make it true that the
moon is made of green cheese. To believe is to believe something to be true, but truth is
not the same thing as belief. This means that truth is independent of all of us; it does not
mean that one powerful person or being could hold the key to all that is true about the
world. Thus, in saying that truth is objective, we are certainly not taking any kind of
political stance, saying that certain cultures or institutions have or might have a monopoly
on truth. The aim of good reasoning and argument is to get at the truth, at the way the
world is, irrespective of how people think or feel it to be. Rationality is a great leveller. In
the pursuit of truth, we are all equally placed before the world, and no amount of political
power can provide an advantage.
truth, knowledge and belief250

TRUTH, VALUE AND MORALITY
So far we have been tackling the myth that all truth is relative. Many people are also
tempted to think that values like those central to moral issues are relative to personal or
cultural preferences. It is possible that people are tempted to think that truth is relative
because they think that value is relative. In fact, however, the non-relativity of truth does
not imply the non-relativity of value. The question of the relativity of value is a different
sort of question, and it is important to see how and why. By way of example, we’ll take the
claim:
Doctor-assisted suicide is immoral.
According to the relativist view, when opponents of doctor-assisted suicide say it is morally
unacceptable and their opponents contradict them and say that it is morally acceptable,
there is no real disagreement; rather the two sides do not share the same moral preferences.
Thus, for the relativist, value-statements are always speaker-relative, whether implicitly or
explicitly. Thus the incoherence of relativism about all truth does not entail that value-
statements are not relative in this way: the relativist can claim that all value-statements are
speaker-relative without claiming that all statements are speaker-relative. An apparent
disagreement over a value is in this respect like that between Julie and John concerning
chocolate versus vanilla ice cream. One reason why this relativistic view of moral issues is
so tempting is that we feel uncomfortable about being seen to dictate morals to other
people because we (rightly) value tolerance of different opinions.4
We cannot prove, and would not try to prove, that moral relativism is false. It is conceiv-
able that all claims about values are implicitly speaker-relative, or perhaps implicitly rela-
tive in some other way. We will, however, try to explain why there is good reason to resist
moral relativism. While moral issues are almost always complicated and can be difficult to
agree upon, the problem with this simplistic relativist approach is that it leaves no room
for genuine disagreement about moral issues. It enjoins us to say, ‘You feel OK about
doctors helping their patients to die, I don’t, end of story’ without attempting rationally to
persuade one another of the truth of our beliefs. The poverty of such a view of morals is
illustrated by the following case. Suppose there emerged a terrible fascist regime that
murdered millions of people on grounds of race, religion or political beliefs. Simplistic
relativists who desire to remain consistent with their relativist commitment would be
unable to hope that the fascists are wrong, and that, therefore, others could rationally be
persuaded that the fascists are wrong; for the fascists’ views about the moral status of their
victims would be nothing more than preferences that just happen to be different from
most other people’s. In the same way that many people prefer ice cream to carrots, this
4 This repudiation of moral relativism is aimed only at the very naive type of relativism that holds that moral
questions are simply a matter of personal or cultural preference and therefore not the subject of genuine
disagreements. There are various more sophisticated versions of moral relativism. It is not our intention to
repudiate such theories.
truth, knowledge and belief 251

regime prefers murdering people who are different from them to living tolerantly along-
side them. This is a very extreme example, but the point is well made. To adopt naive
relativism about moral matters, to deny there can be a truth of the matter; and to say that
claims such as the claim that torture is wrong have a similar status to the claim that
chocolate ice cream tastes best, is to deny ourselves the opportunity to attempt rationally
to persuade others that their moral beliefs are false and to persuade them not to follow
courses of action that would be harmful to others. It places fundamental moral issues
outside of the ambit of critical thinking.
Yet the critical thinker does not have to give up hope. While people may continue to
believe that moral relativism is true, they must also be consistent in their judgements. For
example, it is irrational to hold that murderers are bad people, and at the same time, in
full knowledge of his crimes, hold that Jack the Ripper was not a bad person. Thus, the
critical thinker can at least demand logical consistency of the relativist; they can show
that there is a valid argument from a premise accepted by the relativist to the conclusion
that Jack the Ripper was bad. This means that it is possible to refute the relativist’s moral
views if it can be established that they are incoherent. In moral arguments a good way to
do this is to find a general principle that the relativist accepts and go on to show how it
is inconsistent with the belief that you wish to challenge. For example, if a relativist is
pro-abortion and you discover that they are also against any form of killing, then you could
force them to revise their beliefs if you could establish by argument that abortion was a
type of killing.5
THEORIES
In similar fashion to the ‘that’s just an opinion’ response, we also dismiss assertions or
refuse to engage in arguments by labelling them as ‘just a theory’. This seems to belittle
theories as something subjective – to dismiss them merely as someone’s opinion. Properly
understood, however, the term ‘theory’ has a specific meaning that contrasts scientific
hypotheses with less methodologically sound and evidence-based views about the way that
the world is. To say that something is a theory is not in itself to cast doubt on its objectivity
in any way; we speak, for example, of the ‘theory of the calculus’ in mathematics or the
‘theory of gravity’ in physics, without meaning to cast doubt on the theories or the
reliability of their resulting applications, as for example in the building of bridges. Nor is
calling something a ‘theory’ to mark an invidious distinction from facts; a theory is a
system of propositions concerning some particular domain of facts, such that if true then
it is a correct account of those facts. True propositions are never themselves identical to the
facts they are about or represent.
5 See Louis Pojman’s essay ‘Ethical relativism versus ethical objectivism’ in his Introduction to Philosophy:
Classical and Contemporary Readings 3rd edition (New York: Oxford University Press, 2004) for an excellent
critical analysis of moral relativism and a convincing case for a version of moral objectivism. This very accessible
paper is aimed at beginning Philosophy students.
truth, knowledge and belief252

In general, a scientific theory posits an hypothesis that is testable, and those tests (or
experiments) are able to be carried out in a way that makes them perspective-free; that is,
they are able to be carried out by anyone able to observe the results and use any measuring
apparatus competently. This notion of a scientific theory is broad and need not refer
exclusively to theories posited and tested by professional scientists, although it does
require hypotheses to be tested by methods that are held to be scientifically respectable.
Thus a theory posited by school children concerning how mice or rats find their way
out of a maze the fastest qualifies as a scientific theory if it is tested according to accepted
methods. Evolutionary theory counts as a scientific theory on this account, and, again, to
say that is a ‘theory’ does not itself mean that there is something doubtful about it. Its
hypothesis about the evolution of the universe and the species in it can be, and has been,
exhaustively tested using data provided by scientifically respectable methods such as
carbon dating and DNA testing. By contrast, creationism, which also seeks to explain
the origins of the universe, is not a scientific theory by these lights because the
faith-based account of the creation of the universe it presents is not testable by such
means.
In Chapter 1 we distinguished between explanation and argument, pointing out that
whereas an argument seeks to provide reasons to accept a proposition, an explanation seeks
to show why a proposition is the case. If you are seeking an explanation of why the bread
didn’t rise, for example, you already accept that the bread didn’t rise – you don’t need to
be persuaded by means of an argument that it is so. Certain such explanations are scientific
explanations. They are supported by causal laws (laws covering the relation of causes to
their effects, which also enable us to make reliable predictions concerning the likely effects
of certain events). Thus the explanation ‘the bread didn’t rise because we forgot to add
yeast’ is licensed by causal laws that are a reflection of the fact that, all other things being
equal, whenever leavening products, such as yeast, are added to flour and liquid and mixed
to form a dough, carbon dioxide will be produced in the dough and this will cause it to
swell in size.6
BELIEF, JUSTIFICATION AND TRUTH
It is not the case that, for any given proposition, we either believe it to be true (believe it)
or believe it be false (disbelieve it). We may simply have no attitude towards it, either
because it has never come to our attention, or because we choose not to consider the
question. Or we may have an attitude that is midway between belief and disbelief: we may
suspend judgement, because we find, upon reflection, that we lack sufficient evidence to
make the judgement. This happens when we lack an argument either for or against the
proposition that is rationally persuasive for us. The issue of the existence of a single deity
6 This just scratches the surface of various issues in the Philosophy of Science; see Alex Rosenberg, Philosophy
of Science: A Contemporary Introduction (Routledge 2005).
truth, knowledge and belief 253

who is said to have created the world provides a good example with which to illustrate the
point. Consider the claim:
The world was created by an omnipotent and omniscient being.
Some people, let’s call them ‘theists’, believe the proposition expressed here. Others, athe-
ists, disbelieve it. Others, agnostics, are not sure whether or not to believe it so they have
suspended judgement until such time as they acquire sufficient evidence (or faith) to
support a belief either way. These three positions probably cover most adults in our
society. But consider the position of most pre-school children. They do not believe that a
deity made the world. They do not believe that a deity didn’t make the world. However, it
would not be accurate to say that they have suspended judgement on the issue. For they
have not considered the issue, indeed they are probably too young to understand the claim
that is the subject of debate. Of course, when assessing an argument’s soundness and
rational persuasiveness, the stance of having no opinion about the truth of the premises is
not an option for critical thinkers. Either we consider ourselves to have sufficient evidence
to believe or disbelieve the proposition expressed by the premise(s) or we recognise that we
lack such evidence, and suspend judgement until such evidence is available. And even if
we believe the argument to be inductively sound, we may find that, having accepted its
premises, the argument is not rationally persuasive for us because its conclusion is defeated
by some further evidence that we have.
It is crucial to bear in mind that in saying that someone does not hold a certain belief, we
are not saying or implying that they hold the opposite belief. If someone tells you that they
don’t believe that the British Prime Minister is a bad person, they are not thereby saying or
implying that they believe that the British Prime Minister is not a bad person, let alone that the
British Prime Minister is a good person. They may not know the British Prime Minister
very well and may want to learn more about the British Prime Minister before making a
judgement, or they may simply not care and have no intention of ever forming a belief
about the British Prime Minister’s moral standing. Or perhaps they have never even heard
of the British Prime Minister. As we saw in Chapter 7, an argument that assumes that
someone who does not believe a proposition believes its negation commits a version of the
epistemic fallacy.
Of the four stances we can take towards a proposition – believing it, not believing it,
suspending judgement, not engaging with it – two, believing and not believing, admit of
degrees. Smith and Jones may both believe that the Conservative Party will form the
Government after the next British general election, but they may not hold the belief with
the same degree of confidence. Smith may be nearly certain, while Jones, an arch-sceptic
when it comes to predicting voting behaviour, still believes it, but to a lesser degree.
Similarly, Jack and Jill may both disbelieve the proposition that the Conservative Party
will form the next Government, but the strength of Jack’s disbelief may be such that
he’ll bet two weeks’ wages at odds of 20 to 1 on a Conservative defeat. Whereas Jill,
normally a keen betting woman, would not risk nearly as much money (if offered the same
odds).
truth, knowledge and belief254

Given that someone holds a certain belief, we can ask whether or not the belief is justified,
and whether or not it is true. Suppose Smith works for a national polling organisation and
has seen the results of several methodologically sound top-secret polls that predict the
Conservative Party will gain 80 per cent of the vote on election day. In the absence of any
evidence that goes against that prediction, Smith is in possession of an argument that is
highly rationally persuasive for him. He would thus be well-justified (other factors such as
the reliability of the data notwithstanding) in believing the conclusion of the argument
with a strong degree of certainty. As critical thinkers we may conclude that Smith’s belief
is reasonable or justified given what we know about the evidence available to them.
Whenever someone’s belief is backed by an argument that is rationally persuasive for
them, it follows that they are justified in believing the conclusion, precisely to the extent
that the argument is rationally persuasive for them.7
However, the fact that Smith is perfectly rational and justified in holding this belief does
not establish that the belief is true. That depends upon whether the Conservative Party
does in fact form the next Government. A belief ’s being true is a matter of its fitting the
facts, not of there being good reasons to think that such-and-such is the case. We see this
clearly when we consider the possibility of being justified in holding a belief that is actually
false. Suppose I form the belief that the Government has just been deposed in a military
coup. I am led to form this belief because, while writing this chapter, I have been distracted
into reading newspapers online and I find the same story appearing on several previously
reliable and reputable news sites. I track down one or two colleagues, they look at their
own favourite sites and, sure enough, find the same story. Given the widespread coverage
of the coup and the fact that the sources are reliable and reputable, I would be justified in
believing that the Government had been deposed by a military coup. But in fact, despite
my good reasons for having formed this belief, it turns out to be false. A clever computer
hacker has managed to hack into several internet news services and post this false story. So
I have a justified but false belief. I may be in possession of an argument that is rationally
persuasive for me, but my belief in its conclusion need not be true.
JUSTIFICATION WITHOUT ARGUMENTS
In order to be justified in holding a certain belief, must one be in possession of a (rationally
persuasive) argument for that belief? No – or at least not in any ordinary sense. There are
forms of justification that do not involve having reasons in the usual sense. The obvious
case is that of perception. If you perceive, under normal circumstances, that the cat is on
7 This is not to say that a belief is justified only if one has a rationally persuasive argument for it. According to
many theorists, some beliefs, especially those that arise in perception, are justified but not ‘inferentially’ – not,
that is, by means of arguments or reasoning. Others deny this, holding that even the justification of perceptual
beliefs depends upon underlying premises or assumptions. Since this is a fundamental open question in the
theory of knowledge (epistemology), we have avoided taking a stand on it here. See the concluding section of
this chapter. For detailed discussion, see Robert Audi, Epistemology: A Contemporary Introduction to the Theory of
Knowledge, 2nd edition (Routledge, 2003).
truth, knowledge and belief 255

the mat, then you are normally justified in believing that the cat is on the mat. If you say
‘The cat is on the mat’, and someone asks ‘How do you know?’, it is a perfectly adequate
answer to say ‘Because I see it’. The question of exactly how perception is related to
justification is a complicated philosophical problem, but for our purposes it is sufficiently
straightforward that a normal person in normal circumstances who perceives that such-
and-such is justified in believing it; put another way, perceiving something is good reason
for believing it. That is why, in our discussion of rational persuasiveness in Chapter 6, we
said that in order for an argument to be rationally persuasive for a person, they must be
justified in accepting the premises – having rationally persuasive arguments for those
premises in turn is one way for that requirement to be satisfied, but it is not the only way.
Other, less obvious non-argumentative forms of justification include introspection, or
reports of one’s own thoughts, feelings and emotions (though these might be regarded as
‘perception’ in a somewhat extended sense of the word). Thus if you report that you are
hungry, happy or afraid of failing the exam, then, except in bizarre circumstances, your
belief that you are hungry, happy or afraid of failing the exam is surely justified, and does
not stand in need of an argument.
KNOWLEDGE
Truth and knowledge are intimately linked. Our desire to accumulate knowledge
stems from a desire to get at the truth. And certainly if one knows something, then the
proposition known must be true: one cannot rightly be said to know that the cat is on the
mat if the cat is not on the mat. The truth of a belief is certainly one necessary condition of
that belief’s being knowledge. So it may seem reasonable to suppose that if Jones believes
that the Government has been deposed in a military coup, and the Government has been
deposed in a military coup, then Jones knows that the Government has been deposed in a
military coup. This is to say that knowledge that such-and-such is the case is simply having a
true belief that such-and-such is the case.
However, this is not correct. Having a belief that is true is necessary, but not sufficient for
knowledge. Suppose that Smith has been given LSD. He is hallucinating like mad, and his
reason has gone completely haywire. The conviction suddenly impresses itself upon his
unhinged mind that evil leprechauns have set fire to his mother’s house in Sydney, 15,000
miles away. So he believes that his mother’s house is on fire. In fact, Smith takes LSD every
day, and believes, every time, that his mother’s house is on fire (though for a different
reason each time). But this time, it just so happens that his mother’s house is on fire. Just
by chance, the belief, this time, was true. No one would say that Smith, in this situation,
knows that his mother’s house is on fire. It was true belief, but not knowledge. He is like a
person who shoots at a target blindfolded, dozens of times, and finally hits it, despite not
having had any idea where the target was.
So knowledge cannot be identified simply with having a true belief. A further ingredient
must be added to true belief, if it is to be knowledge. In particular, a true belief counts as
truth, knowledge and belief256

knowledge only if we arrive at that true belief via the right route: we have knowledge only if
we have good reasons for a holding belief that turns out to be true. We have to be justified;
we need to have solid evidential support. We must, if you like, earn the right to be sure.
Lucky true beliefs do not count as knowledge.
This third requirement is incorporated into the traditional philosophical account of
knowledge, which is called the tripartite account:
For any subject (S) and any proposition (P), S
knows
that P if and only if:
(i) S believes that P.
(ii) P is true.
(iii) S is justified in believing that P.
According to this account, to know that P is to have a justified true belief that P. It
amounts to saying, then, that knowledge is identical with justified true belief. If I have a
justified true belief that Barack Obama is the US President, then I know that Barack
Obama is the US President.
JUSTIFICATION FAILURE
There are two ways in which belief can lack the justification, the evidential support,
required for knowledge: it can either be genuine but insufficient, or simply not genuine,
that is, mistaken.
Insufficiency
Consider Mrs Green, the greengrocer, who discovers that a customer has left their shop-
ping behind. She has served five customers so far that day – Mr Red, Mrs Pink, Mr Orange,
Mr Yellow and Mrs Blue. She has no reason to suppose that any one of them is any more
forgetful than any of the others. None of them is in the habit of forgetting their shopping,
for instance. Mrs Green concludes that one of the men left the shopping behind. She does
have some justification for forming this belief: of the five customers three were male, so on
the balance of probability the forgetful shopper is more likely to be a man. That is to say,
she does have an argument for that conclusion which is somewhat rationally persuasive
for her. But, intuitively, we may feel that this probability is somewhat slim justification for
her belief. Even if it turns out that the shopping belongs to Mr Orange, we don’t feel
inclined to say that she arrived at her true belief via the right route; that is, that her true
belief is really justified. So even if she’s right, we don’t feel that she knows that the forgetful
shopper is a man. This is not to say that probability as a justification for true belief should
be ruled out per se. The problem here is that the probability is not strong enough. If there
truth, knowledge and belief 257

had been four male shoppers and one woman, we would be more inclined to allow that
Mrs Green’s belief is justified. If there had been 99 men and 1 woman, we would certainly
be so inclined.
There are occasions when there is far more at stake in having the proper justification for
forming a true belief than simply making sure that someone gets their groceries. An
obvious case is where principles of justice are involved, where evidence is required to
demonstrate beyond reasonable doubt that a defendant is guilty of an alleged crime.
Suppose Jones is accused of the murder of Brown. In fact, Jones is guilty: he strangled
Brown to death. Smith is called as a prosecution witness to Jones’ crime. He is called as a
witness because he has given a police statement in which he claims to have seen Jones
emerging from Brown’s house carrying a knife. If this is all the evidence the jury has, is
it, by itself, sufficient reason for jury members to form the true belief that Jones is guilty
of Brown’s murder? Clearly not, even though Jones is in fact guilty of the murder. So
although the jury members may have reached their true belief about Jones’ guilt on the
basis of Smith’s evidence, they do not have a justified belief about Jones’ guilt. If this
is the only evidence they have for reaching their verdict, then they should not convict
Jones of Brown’s murder. Again, note that this holds even though Jones happens to be
guilty.
How strong must our evidential support be, if a belief is to be justified? How strong must
it be if a true belief is to qualify as knowledge? Unfortunately, there is no precise answer
to this question. The terms ‘justified’ and ‘knowledge’, like ‘bald’, are somewhat vague:
just as there is no exact quantity or proportion of cranial hairlessness required for bald-
ness, there is no exact strength of evidence for a belief short of which it is not knowledge,
and beyond which it is knowledge. But this should not trouble us too much. In practice,
we are adept at recognising the cases where our degree of justification is borderline. This
does not change the nature of our task as critical thinkers: we know that our task is to
fashion sound arguments that are rationally persuasive for ourselves or for their intended
audiences. By paying attention to the reasons why we are entitled to form true beliefs,
we are able to achieve the firmest possible grasp upon what we can legitimately claim to
know.
Mistakes about justification
Sometimes misevaluation of evidence leads us to form irrational beliefs, even in cases that
are not so extreme as Smith and his hallucinations. In such cases we overestimate our
evidential support, or we think that the evidence supports a belief when it doesn’t. This
is an error that people who attempt to persuade by devious means can often exploit to
their advantage (indeed we noticed in Chapter 7 that some fallacies actually work well
as rhetorical ploys). For instance, they might describe one or two vivid examples of some
alleged phenomenon with the aim of getting us to form generalisations for which the
examples do not provide adequate support. An example that should be familiar to
observers of debates about immigration is that of a vivid description of the situation of a
fairly recent immigrant or asylum seeker that apparently supports the claim that they
truth, knowledge and belief258

enjoy an undeservedly luxurious lifestyle. Such examples are rolled out in an attempt to
persuade readers to believe that the majority of immigrants and asylum seekers who
receive state support are undeserving cheats. Often, the details of such examples and the
manner of their presentation are so rhetorically powerful that they cause us to misevaluate
the significance of the evidence presented to us. In particular, we make an unjustified
inductive inference (one with very low force). When we are led to make such mistakes and
form irrational beliefs, we allow ourselves to be distracted by factors other than principles
of good reasoning.
There is another type of irrational belief. Sometimes we allow ourselves to accept a false
belief because we believe that accepting it will benefit us in some way. In such cases we not
only lack evidence for the belief, but we also seem not to care that we have none. For
instance, someone might believe that the predictions of their astrologer will come true;
they might believe in faith-healing; ESP; life after death; that everything in the Bible is
literally true; that their terminally ill grandparent will make a recovery; that a certain
alternative healing method will cure cancer. We often feel that it would be unfeeling to
point out that such a person’s beliefs are irrational. Indeed, we often admire their faith and
sincerity. However, it would be a mistake to retreat into relativity and conclude that their
belief is ‘true for them’. The belief is false, that’s that. Indeed, such people can sometimes
paradoxically be described as believing that which they know to be false – self-deceived.
However, we should not be too cold-blooded. It’s not usually the case that such people are
intentionally deceiving themselves, but rather that they are trying to deal with their plight
by having faith that their hopes (however unlikely) will be borne out.8 So it’s rather unfair
and unfeeling to accuse such people of being irrational, even though strictly speaking they
are. While we should try to avoid irrationality, we must also accept that as human beings,
it is sometimes psychologically better for us if our beliefs and behaviour fall short of
rationality.
KNOWLEDGE AND RATIONAL PERSUASIVENESS
Rational persuasiveness requires that you be justified in accepting the premises of an
argument. If the argument is deductively valid, then if you are justified in accepting the
premises, you are equally justified in accepting the conclusion. If the premises of such an
argument are actually true, and you know that they are, then if you recognise that the
argument is valid, you know the conclusion to be true.9
8 There are, of course, cases where people are guilty of self-deception. A classic one is the person who knows
(for their clothing has become too tight) that they have gained weight, but refuses to believe that their scales are
functioning properly.
9 In epistemology, this is called the ‘closure principle’. It might seem undeniable, but in more advanced
philosophical treatments of these issues, it is called into question.
truth, knowledge and belief 259

However, there are two complications. First, a rationally persuasive argument can be
unsound: rational persuasiveness does not itself require that the premises of the argument
actually be true. It requires that one be justified in accepting the premises; but, we have
seen, it is perfectly possible to have good reasons, to be justified, in holding a false belief.
Thus one can be rationally persuaded by an argument but not know the argument’s
premises to be true. In such a case, one can be rationally persuaded by an argument
without thereby acquiring knowledge. Knowledge that an argument is sound, on the
other hand, makes a stronger demand on our epistemological relationship with its
premises. To know that an argument is sound, we have to know that its premises are true.
To know that an argument is sound, we need justified true beliefs in the premises.
Whereas for rational persuasiveness, we need only the justification; the belief need not
be true.
Second, in the case of an inductively forceful argument that is not defeated, the degree of
justification transmitted from known premises to the argument’s conclusion may be
insufficient to establish the conclusion as knowledge. For the degree of inductive force
may be too weak. One might, for example, know with certainty that 51 of 100 stones in a
bag are black; one would thus have an inductively sound argument that is rationally
persuasive for the conclusion that the next stone drawn at random from the bag will be
black. But the argument is only slightly rationally persuasive. Even if that conclusion turns
out to be true, the belief in it would be insufficiently justified by the argument, and so
would not count as knowledge. More generally, the degree of justification one has for the
conclusion of an argument that is inductively forceful but not deductively sound will
be smaller than the degree one has for the premises (unless one has some other source of
justification for the conclusion).
Finally, here is a case that displays what knowledge is, as opposed to what it isn’t. The
following scenario provides an example of the fulfilment of the requirements placed on
knowledge claims:
Rachel Redtop, a journalist, is at a restaurant one evening and sees a prominent
celebrity at an adjacent table with a person she knows not to be their spouse.
‘Perhaps there’s a story in this’, she thinks. Later, as she walks to her car, she notices
a couple locked in a passionate embrace in a parked car that just happens to be
parked under a street lamp. On discreet but close inspection she sees that the couple
is the celebrity and their companion. She forms the belief (which happens to be
true) that the celebrity is having an illicit affair with this person. In fact, she believes
that the evidence for her belief is sufficiently strong that she persuades her editor,
and the newspaper’s legal team, that her story should be the next morning’s front-
page lead.
Here we have the three components that are apparently required for legitimate knowledge
claims: a true belief that the politician is having an affair and a rational justification for that
belief based upon what Rachel witnessed in the restaurant and subsequently in the parked
car, that is, the criteria provided by the tripartite account of knowledge are all met and it is
truth, knowledge and belief260

reasonable to say that Rachel knows that the celebrity is having an intimate relationship (or
at least a one-off passionate embrace) with the person in question.10
PHILOSOPHICAL DIRECTIONS
In this final section, we mention just a few questions that arise naturally out of some of
the main topics of this chapter, answers to which require more detailed or strenuous
philosophical analysis than would be appropriate here. This may help you to see why
philosophical inquiries are not always ‘irrelevant’ to real life: they arise inevitably when we
reason critically about things, or try to determine exactly what is involved in doing so. We
will quickly sketch these issues and recommend some sources for further reading. They are
all issues in epistemology and the theory or science of knowledge.11
Foundationalism vs coherentism
We said that, unlike other sorts of beliefs, we do not normally think of beliefs based on
perception as standing in need of reasons, that is, arguments. We think of normal per-
ceptual beliefs as justified just as they stand, just by virtue of being grounded in perception.
So long as we think so, then it is natural to think of other beliefs as ultimately being based
on perception. Scientific theories, for example, seem to be ultimately based upon observa-
tion, that is, perception. Thus for each non-perceptual belief P, it seems plausible that it is
justified – and hence potentially knowledge – only if we can trace it back along a chain of
reasons to some perceptual belief or set of beliefs. Since perceptual beliefs are self-justifying;
they can transmit justification along the train of reasons back up to the belief P that was in
question.
This way of conceiving the structure of knowledge fits common sense very well, and is
known as foundationalism. There is, however, a contrary point of view that – strangely
enough – also appeals to commonsense. As everybody knows, perception is not 100 per
cent reliable. We are subject to visual illusions (the man outside the train seems to be
moving – no, it’s the train beginning to move) and other less exotic perceptual mistakes
(the football referee honestly but mistakenly sees the player as offside). More dramatically,
we dream and even hallucinate; aren’t we then having false perceptions or, at least,
experiences that are indistinguishable from true perceptions? Of course much or most of
the time our perceptions are correct – we are quite certain we’re not dreaming or other-
wise mistaken. But even so, aren’t we implicitly assuming that the circumstances are
10 In a famous essay, Edmund Gettier described cases that appear to be justified true belief but not know-
ledge, thus casting doubt on the intuitive theory that knowledge is justified true belief. If you’d like to learn
more, see Robert Audi, Epistemology: A Contemporary Introduction, 2nd edition (Routledge, 2002). Gettier’s
original paper, along with notable attempts to solve the problem, is reprinted in Michael Huerner, Epistemology:
Contemporary Readings (Routledge, 2002).
11 For further reading on these and other issues in epistemology, see Audi, Epistemology: A Contemporary
Introduction, and Huerner, Epistemology.
truth, knowledge and belief 261

favourable? Aren’t we reasoning something like this: this is the experience I would have if
I were really seeing the cat on the mat under favourable circumstances. Circumstances are
favourable. Therefore I really am seeing the cat on the mat. If so, then the question arises:
what are the premises of that little argument based upon? The anti-foundational position
known as coherentism claims that if we always insist on a foundation in self-justifying
perceptual beliefs, then we can never get it, and no belief is ever justified. Since that is
absurd, the foundationalist demand must be misconceived. Instead, we should think of
our whole network of beliefs as mutually supporting: each belief – even if it is a perceptual
belief – is justified just insofar as it fits with or coheres with the network we already have.
Perceptual beliefs typically do pass this test, but not always: it looks like the magician saws
the woman in half, but that does not cohere with other things we already know, so we
don’t believe it. On the other hand, coherentism has its problems too. Most conspicuously,
surely a whole set of beliefs could be mostly false (the person is deluded about almost
everything!); if another belief coheres with that set, does that justify it? It seems not.
Both theories have problems, but they are the only obvious options.
Internal vs external justification
Exactly how is it that perceptual beliefs are justified? One answer is that perception is
reliable. That is, in normal circumstances, when a perceptual belief arises in a normal,
properly functioning human being, the belief is almost always correct. Perception is in
this way truth-conducive. Thus we might suppose: if a person has a perceptual belief, then
so long as the person is functioning normally and the perceptual circumstances are normal,
the belief is justified; if not, then the belief is not justified.
On the other hand, you might wonder: surely it is not enough for the circumstances to be
favourable in that way; doesn’t the person have to know that the circumstances are favour-
able? Otherwise, by what right would he or she accept the belief ? This might seem like a
reasonable demand, until you recognise how much it requires, for how are we supposed to
know that the circumstances are favourable, except by perception? But if we need more
perceptions in order to justify the first perception, don’t we need yet more to justify these?
And so on; we are off, it seems, on what philosophers call a vicious regress. It is vicious,
because unless we can put a stop to it, it seems we are unable to justify any perceptual
beliefs.
Again, both sides have their advantages and disadvantages. The view that beliefs may be
justified simply by having been acquired in the right way – whether or not we know them
to have been so acquired – is called, for obvious reasons, externalism; the view that one
must always be aware of the means of justification is internalism. The issue between them
is by no means merely academic. For example, in 2002, British military forces participated
the US-led invasion of Iraq at least partly on the grounds that Iraq was concealing so-called
weapons of mass destruction. There turned out not to be any. But the (then) British Prime
Minister Tony Blair defended the decision on the grounds that at the time of the invasion,
the evidence available to him suggested that Iraq was concealing such weapons. Many
truth, knowledge and belief262

people who granted Blair’s sincerity on the issue were nonetheless unsatisfied. Plausibly,
such critics were thinking that, however Blair’s decision may have been justified on internal
grounds, it was not justified from an external point of view, because the means of justifica-
tion was not in fact reliable.
Probability and justification
Where our reason for believing something is an argument with inductive force, is the
question of justification simply the same thing as the degree to which the argument is
rationally persuasive for us? In most cases, it is correct to assume so. But not, in seems, in
all. Suppose that a few minutes ago you filled and switched on the electric kettle. So you
know there’s hot water in the kettle. Now compare this case. Your sister tells you she’s got
a lottery ticket. You happen to know that the chance that her ticket is a winner is one in
ten million. As it happens, the draw has already taken place; neither of you know it, but
her ticket is not a winner. In such a case, you naturally believe that your sister’s ticket is a
non-winner; this belief is true, and its probability of being true was very high. But do you
know that her ticket is a non-winner? It seems wrong to say so. Yet the probability of this
belief ’s being correct is much higher than that of your belief about the kettle! The failure
rate of kettles is much higher than one in ten million. To repeat: both beliefs are true. The
kettle-belief constitutes knowledge but the lottery-belief does not, despite the fact that the
kettle-belief had a greater chance of being wrong.
One could respond to this seeming paradox in different ways. At first, you might think
maybe you do know that the lottery ticket is a loser. But that seems wrong: every purchaser
of a lottery ticket is in exactly the same position, has exactly the same evidence as to
whether or not they’ve won: everyone knows their chance is minuscule, namely one in ten
million. So everyone would be equally justified in claiming to have lost. But one such
person would be wrong to claim this, namely the winner. If we say that the losers knew
they were losers, then knowledge seems to be a matter of mere luck, which seems wrong; it
also makes it seem completely irrational to play the lottery – why would you buy lottery
tickets if you know that you’re not going to win?
Another response is to suppose that standards for what counts as justification – criteria of
justification – shift depending on the subject-matter. So in some cases we demand a higher
probability of being right than in others. Or perhaps probability can never suffice for
justification: perhaps if the only reason for accepting a certain proposition is its probability
of being true, then we cannot be justified in believing it, even if in point of fact it is true.
But this seems to fly in the face of the notion of probability itself, which we explained as
degree of rational expectation; probability just is a measure of the degree to which it is
reasonable to believe something. Yet another tack is to suppose that only what is certain –
100 per cent probable – can properly be said to be known. The problem with that route
is that it leads swiftly to philosophical scepticism, the view that nothing, or very little, can
actually be known. It remains one the defining endeavours of philosophy to formulate a
consistent theory of knowledge that does not result in scepticism.
truth, knowledge and belief 263

CHAPTER SUMMARY
It is crucial for critical thinkers to recognise that truth is objective and not relative.
Otherwise the critical thinker’s objective of analysing and assessing arguments with the
aim getting at the truth of a matter is deeply undermined. Some sentences that appear
to be straightforward assertions are in fact implicitly relative expressions of subjective
preferences and tastes: they are implicitly speaker-relative. In such cases there cannot be
genuine disagreements about the facts of the matter, whereas when a non speaker-relative
proposition is asserted, a genuine disagreement can occur because a truth is at stake. To
deny this, to accept the myth that all truth is relative, is to accept something of which it
seems impossible to make sense. In the case of moral beliefs, or beliefs about value,
relativism may not be readily refutable, but (1) the consequences of denying that there is
truth in this realm appear to be extremely pernicious and (2) relativism does not com-
pletely close the door to rational persuasion, because we may still demand consistency of
the relativist. If our stance is not that of not considering it, or refusing to consider it,
which one of the three remaining stances we choose to take towards a given proposition
depends upon the evidence available to us. We require sufficient evidence for the truth or
falsity of a proposition in order to justify believing or rejecting it. If such evidence is
unavailable, we should suspend our judgement. It is perfectly possible to be justified in
holding a false belief. The evidence available to us might make it rational for us to accept a
proposition despite the fact that it turns out to be false. Some forms of justification do not
involve arguments or reasoning. Perception is the obvious case. Merely having a true belief
in a proposition is not sufficient to count as knowing the proposition, though it is neces-
sary for knowledge of it. Traditionally, philosophers have concluded that knowledge
requires a true belief arrived at via the right route; that is, via good reasoning based upon
sufficient evidential support. This leads to the formulation of an account of knowledge
known as the tripartite account according to which to know that P is to have a justified true
belief that P. Knowledge is a stronger requirement than having a rationally persuasive
argument. One may have a rationally persuasive argument for a proposition without
thereby knowing it, if the degree of rational persuasiveness of the argument is not
sufficiently high.
EXERCISES
1 Without looking back at the relevant section of the book, write a paragraph
explaining the difference between indexical sentences and implicitly speaker-relative
sentences and then give an example of each.
2 For each of the following sentences, say whether it is indexical, implicitly speaker-
relative or neither. If it is implicitly speaker-relative, explain also whether it could be
implicitly relative to the preferences of the person asserting it. Explain your answers.
Note that, in some cases, there is room for reasonable disagreement as to the correct
answer. So don’t worry if you are not sure how to answer; the important thing is to
try to explain the answer you do give.
truth, knowledge and belief264

a The maximum speed limit on any UK road is 70 miles per hour.
b Chicago is nearby.
c Andy Murray did not win the 2008 US Open Tennis Championship.
d It’s raining there.
e Euthanasia is morally acceptable.
f The climate in southern Italy is too warm.
g Haggis is delicious.
h George W. Bush was a great President.
i I am in pain.
j Drink-driving should be punished by a prison sentence.
k The Government should cut petrol taxes.
l Ale tastes better than lager.
m I like ale better than lager.
n Mariah Carey has sold more records than Coldplay.
o Mariah Carey’s music is better than Coldplay’s.
p If you eat more fruit and vegetables you will be healthier.
q It’s going to snow tomorrow.
r Tchaikovsky wrote the 1812 Overture.
s We all live in a yellow submarine.
t That hurts!
u France and Great Britain were Second World War allies.
v 10 is the square root of 100.
w All pop/rock music is pathetic cacophony and a waste of any intelligent
person’s time.
x All triangles have three angles totalling 180 degrees.
y Blood is thicker than water.
z This one is better than that one.
3 Without looking back at the relevant section of the book, write out the tripartite
account of knowledge. Then, using your own example, explain why simply having a
true belief that P is insufficient for knowledge that P.
4 Suppose you are justified in believing a proposition that is in fact false. Could there
be an argument for that proposition which is rationally persuasive for you? Would
the situation change if the proposition were actually true rather than false? Explain
your answer, using examples – your own examples – if you find it useful.
5 It is sometimes held that testimony – what people tell you – is like perception, in
that one is normally justified in accepting the proposition without having an argu-
ment for it. The alternative view would be that in accepting something on the basis
of testimony, one is implicitly doing some reasoning, relying on an argument. What
would the argument be?
6 Give an example of a scientific theory and explain why it would count as an example.
Contrast that example with an example of something that might be labelled a
‘theory’ but is not a scientific theory.
truth, knowledge and belief 265

glossary
Words written in bold indicate references to relevant further glossary entries.
Ambiguity A sentence is ambiguous in a given context if there is more than one possible
way to interpret it in that context. A word is ambiguous in a given context if there is more
than one possible way to interpret in that context. See also lexical ambiguity, syntactic
ambiguity. Compare vagueness.
Antecedent A conditional statement asserts a relation between two propositions, the
antecedent and the consequent. When the antecedent of a true conditional statement
is true, the consequent must also be true. Thus the antecedent of ‘If John wins then Mary
will cry’ is ‘John wins’; if one accepts both this conditional and its antecedent as true, then
one must also accept that Mary will cry.
Argument An argument is a system of propositions comprising one or more premises
advanced by the arguer in support of a conclusion. Arguments may be evaluated as valid,
inductively forceful or neither, but not as true or false.
Argument commentary An argument commentary is a short essay that discusses an
argument-reconstruction, covering the following points: (i) how and why the argument
was reconstructed as it was; (ii) the validity or degree of inductive force of the argument;
(iii) the truth-values of the premises; (iv) the degree of rational persuasiveness of the
argument for relevant audiences, where this is not already addressed by (iii).
Argument-reconstruction A presentation of an argument in standard form in which
premises may be added, made explicit or clarified in order to make the argument either
valid or inductively forceful.
Argument-tree A graphical representation of the structure of an argument. See
pp. 73–76.
Causal generalisation A causal generalisation is a generalisation to the effect that things
of one kind tend to cause things of another kind. Such a generalisation is true if the
presence of a thing of the first kind raises the probability of things of the second kind, even
when other possible causes are absent.
Conclusion An argument’s conclusion is the proposition that its premises are intended
to support. The distinctive aim of giving an argument is to persuade an audience rationally
that the conclusion is true.

Conclusion indicators These are words such as ‘therefore’, ‘so’ and ‘thus’ that are often
used to indicate the conclusion of an argument. Such words sometimes serve other pur-
poses, however, such as indicating a causal relationship.
Conditional A conditional proposition is single proposition that joins two propositions,
the antecedent and consequent. Its usual function is to assert that if the antecedent is true,
then so is the consequent. It is most characteristically expressed by means of ‘if–then’.
Conditionals, unlike arguments, may be evaluated as true or false.
Conditional probability The conditional probability of a proposition P, given evidence
(set of premises) A, is the probability, if A holds (that is, if all the premises in A are true),
that P is true. Conditional probabilities are to be assessed ignoring any evidence not
included in A that might be relevant to the truth-value of P.
Connecting premises These are conditionals or generalisations, usually implicitly
assumed by an arguer, that are needed in order to infer the argument’s conclusion. For
example, if the argument is ‘Mary is a doctor, therefore Mary has a university degree’, a
suitable connecting premise is ‘All doctors have university degrees’.
Connotation, primary/secondary The primary connotation of a term is the condition
that is necessary and sufficient for something’s being a member of the extension of the
term: it is the rule that determines whether or not a given thing is or is not correctly
designated by the term. The secondary connotation of a term is the range of further
attributes that a thing is commonly assumed to possess if it is thought to be correctly
designated by the term. The primary connotation of ‘mink coat’, for example, is ‘coat made
from the furs of minks’; its secondary connotation might include ‘expensive’, ‘posh’, ‘old-
fashioned’, ‘warm’ and ‘beautiful’ or ‘immoral’, depending on opinion. Unlike a term’s
primary connotation, its secondary connotation can vary from person to person.
Consequent See antecedent and conditional.
Context The context of an argument is the set of circumstances in which an argument is
actually advanced by an arguer. Context is significant because in order to reconstruct an
argument (see argument-reconstruction) we often have to fill in premises that are only
implicitly assumed by the arguer. To determine what an arguer is likely to have assumed,
we usually need to know the circumstances in which the argument is advanced. We also
need to know the context in order to know the meaning of indexical (context-relative)
expressions used.
Counterexample (i) A counterexample to a generalisation is a particular statement – a
statement that is not a generalisation – that is the negation of an instance of the generalisa-
tion. For example, ‘Darcey Bussell is a great ballerina who is tall’ is a counterexample to
‘No great ballerinas are tall’. (ii) A counterexample to an argument is an argument of
the same form or pattern as the first argument that is clearly invalid or inductively non-
forceful. It is used as an illustration to make it clear that the first argument is invalid or
inductively non-forceful.
glossary 267

Covering generalisation Often, where a premise of an argument is a conditional prop-
osition of the form ‘If Mary is a doctor, then Mary has a university degree’, it is implicitly
inferred from a generalisation of which it is an instance – in this case, ‘All doctors have
university degrees’. This relation is made more conspicuous if we express the generalisa-
tion in the form ‘For any given person, if that person is a doctor, then that person has a
university degree’.
Credibility The degree to which someone’s having said something constitutes a reason to
think it true. While critical reasoning requires us to focus on an argument and not on the
person putting it forward, a person’s character and actions are certainly relevant to their
credibility.
Deductive validity Validity can be defined according to either of the following, equiva-
lent formulations: (1) An argument is valid if and only if it would be impossible for its
premises to be true but its conclusion false. (2) An argument is valid if and only if,
necessarily, if its premises are true, then its conclusion is true.
Defeated argument An inductively forceful argument, whose premises a person
reasonably believes, is defeated for that person if he or she has good reasons to think the
conclusion false.
Definition The necessary and sufficient conditions under which something counts as an
instance of some type of thing or phenomena.
Descriptive claim Descriptive claims are typically propositions stating facts, whereas
prescriptive claims are propositions stating values, rules, norms or virtues; typically they
contain such words as ‘should’, ‘ought’, ‘right’ and so on. For the purposes of this book,
there is no real distinction between them; both may be true and false, and thus serve as
premises and conclusions of arguments.
Expected value The expected value of a given action depends on the values and
probabilities of the possible outcomes. In particular, if o1, o2, . . . and so on are the possible
outcomes of an action, V(o) is the value of a given outcome, and Pr(o) is the probability of
a given outcome, then the expected value of the action is:
[P(o1) × V(o1)] + [P(o2) × V(o2)] + . . . [P(on) × V(on)]
The value of each outcome must be assigned a number, but the purpose of the numbers is
only to indicate the comparative values of the possible outcomes. For example, if one
outcome is judged to be twice as good as a second, we could assign them any two numbers
so long as the first is assigned a number that is twice that assigned to the second. Expected
value is the central concept of cost/benefit analysis. The idea is that, given a range of
possible actions, one should perform the action with the highest expected value.
Explanation We give an argument for something when we seek to persuade an audience
that that proposition is true. By contrast, when we give an explanation of something, we
know, or assume, that the audience already accepts that the proposition to be explained is
glossary268

true. Our aim is not to give reasons for believing that proposition, but to specify, for
example, the causes of the event that it mentions. Both arguments and explanations can be
described as answering ‘why’ questions, but there is a crucial difference: whereas the
question in the case of explanation is ‘why is it so?’, or ‘why did it happen?’, the question
in the case of argument is ‘why should I believe it?’. Potentially confusing is that in order to
establish that an explanation is the correct one – e.g. that it specifies the actual cause of an
event – we often have to give reasons why it should be believed, i.e. an argument. That is,
we sometimes have to argue for an explanation.
Extended argument An extended argument for a proposition is one containing more
than one inference: a conclusion is used as a premise for a further argument, the conclu-
sion of which may be used as a premise for a further argument, and so on. Conclusions
used as premises for further inferences in an extended argument are called intermediate
conclusions.
Extension The extension of a general term such as ‘cat’ or ‘red car’ is the set or group of
things designated by the term.
Factual assessment The stage in the assessment of an argument in which we deter-
mine whether or not the argument’s premises are true. If the argument is either valid or
inductively forceful, then the argument is sound if and only if all its premises are true.
Fallacies The term ‘fallacy’ encompasses certain commonly encountered failures of
argumentation; it is partly because they are often effective as rhetorical ploys that they are
commonly encountered. Formal fallacies are simply logical mistakes; that is, arguments
that fail to be valid or inductively forceful in certain characteristic ways. Substantive
fallacies are arguments that implicitly assume some quite general premise of a kind which,
when more closely and explicitly considered, can readily be seen to be false. Some other
common defects in argumentation fit neither classification, but since they involve fooling
the audience in the context of argument they can be appropriately classified with fallacies.
Faulty argument techniques Common defects in argumentation that fit neither classifi-
cation of fallacies but do, like fallacies, involve fooling the audience in the context of
argument.
Generalisation A generalisation is a proposition concerning a class of things, either
explicitly or implicitly involving a quantifier such as ‘all’, ‘every’, ‘no’, ‘some’, ‘most’,
‘twelve’, ‘at least twelve’ and so on. For example, whereas ‘That dog is black’ is not a
generalisation, replacing ‘that dog’ with ‘every dog’, ‘no dog’, ‘at least one dog’ and so on,
yields a generalisation. Sometimes the verb must be changed to the plural form, and
likewise the predicate if it involves a noun rather than an adjective.
Good reasons For someone to have good reasons for believing a proposition is for that
person to possess an argument for that proposition that is rationally persuasive for them.
Hard generalisation A hard generalisation is one that is correctly conveyed by using a
quantifier such as ‘all’, ‘every’, ‘each’ and ‘no’. Unlike soft generalisations, such generalisa-
tions are true only if there are no counterexamples.
glossary 269

Implicature (conversational implicature) A proposition is said to be implicated or con-
versationally implicated by a statement (asserted utterance of a declarative sentence) when
the proposition (i) is not explicitly stated by the utterance and (ii) is such that a listener
who knew the relevant facts about the context would reasonably take it to have been
intended by the speaker. Example: a tailor asks whether you want your jacket made in this
particular fabric; you say, ‘That’s ugly’. The tailor reasonably takes you to be intending to
convey that you don’t want it made in that fabric.
Implicit A premise is implicit in an argument if it has been assumed but not actually
stated by the arguer. Conclusions may also be implicit, though this is less common.
Whether or not, as a matter of psychological fact, a given premise has been assumed by an
arguer is often beside the point. In general, implicit propositions are those not stated by the
arguer that would be included in an argument-reconstruction produced in accordance
with the principle of charity.
Implicit relativity A statement is implicitly relative when the type of fact it expresses
involves a relation to something that is not explicitly mentioned in the statement. For
example, ‘John is tall’ is implicitly relative because what it really means is ‘John is taller
than the average man’ (if John is a man). The relation to the average man is not explicit in
the original statement.
Implicit speaker-relativity An implicitly speaker-relative statement is one that is impli-
citly relative, where the implicit term of the relation is the person making the statement.
Thus the statement is speaker-relative, but only implicitly so. For example, ‘Chocolate ice
cream tastes better than strawberry ice cream’ is implicitly speaker-relative because what it
really means is ‘Chocolate ice cream tastes better to me than strawberry ice cream does’.
(Some might say that the implicit term here should not be ‘me’ but something like ‘most
people’.)
Inductive force The inductive force of an argument is the conditional probability of its
conclusion relative to its premises.
Inductive inference To draw an inductive inference is to conclude, on the basis that a
certain proportion of a sample of a population possesses a certain feature, that the same
proportion of the whole population possesses that feature. The inference is inductively
forceful to the degree that the sample is representative of the population.
Inductive soundness See soundness.
Inference An inference is a step in reasoning from one or more premises to a conclusion.
All arguments contain at least one inference. Inferences are evaluated not as true/false, but
as valid/invalid and inductively forceful/inductively non-forceful.
Inference bar In an argument-reconstruction, an inference bar is a line written between
a premise and conclusion, indicating that the proposition expressed below the line has
been inferred from one or more of the propositions above it. It can be read as ‘therefore’.
Every reconstructed argument contains at least one inference bar.
glossary270

Instance An instance of a generalisation is a proposition about an individual that is
directly implied by the generalisation. Normally this will be a conditional. For example, ‘If
Socrates is a philosopher, then he is wise’ is an instance of ‘All philosophers are wise’. The
inference from a hard generalisation to a corresponding instance is always deductively
valid. That from a soft generalisation to an instance is inductively forceful.
Intermediate conclusion In an extended argument, an intermediate conclusion is a con-
clusion inferred from some set of premises that is used, in the same argument, as a premise
for a further inference.
Invalid Synonymous with ‘not deductively valid’. An argument may be invalid yet
inductively forceful, or neither valid nor inductively forceful.
Justification One’s degree of rational justification for believing a proposition is the
degree to which one is entitled to think it true. In many cases this will depend on whether
or not one has good reasons – arguments that are rationally persuasive – for thinking so.
In other cases – especially beliefs acquired by perception – one may be justified with-
out being able to give further reasons. Rational justification can be distinguished from
pragmatic justification, according to which one is justified in believing something if
believing it has desirable consequences. Rational justification and pragmatic justification
do not always coincide.
Knowledge See tripartite account of knowledge.
Lexical ambiguity An ambiguous sentence is lexically ambiguous if it contains an
ambiguous word.
Logic Logic is the systematic study of arguments, especially deductive validity and
inductive force.
Logical assessment Logical assessment is the stage of argument assessment at which it is
determined whether the argument is valid or invalid, and at which the degree of inductive
force of invalid arguments is determined. Except where inductive inferences are con-
cerned, it is sharply to be distinguished from factual assessment.
Necessary and sufficient conditions The necessary conditions of counting as an instance
of some kind of thing or phenomenon X are the conditions that a thing must satisfy to
count as an X. The sufficient conditions of counting as an instance of some kind of thing
or phenomenon X are the conditions such that satisfying them is enough for the thing in
question to count as an X.
Practical reasoning Practical reasoning is the use of arguments whose conclusions
recommend an action. See expected value.
Premise A premise in an argument is advanced as a reason for inferring the argument’s
conclusion.
Premise indicators These are expressions such as ‘since, ‘because’ and ‘for the reason
that’, which are often used to indicate a premise in an argument. As in the case of
glossary 271

conclusion indicators, however, such words sometimes serve other purposes, such as indi-
cating a causal relationship.
Prescriptive claim See descriptive claim.
Principle of charity According to this principle, if our aim is to discover the truth about a
given issue, then we should reconstruct arguments so as to yield the maximum degree of
rational persuasiveness for the relevant audience (which normally will include ourselves).
Probability The probability of a proposition is the degree to which it is likely to be true,
where this degree is expressed as fraction or decimal between 0 and 1. There are different
ways of explaining this, such as proportion and frequency, but in this book the degree to
which a proposition is likely to be true is taken to be the degree to which it would be
perfectly rational to expect it to be true. Since this obviously depends on the evidence one
has, the key concept is that of conditional probability: the degree to which it is rational to
expect a proposition to be true given such-and-such evidence.
Proposition A proposition is the factual content expressed by a declarative sentence on
a particular occasion of using (writing or uttering) the sentence. In particular, it is what is
expressed that admits of being true or false. Different sentences can express the same
proposition. For example, ‘Antony kissed Cleopatra’ expresses the same proposition as
‘Cleopatra was kissed by Antony’. Different propositions may be expressed by means of
the same sentence. For example, if Antony and Cleopatra each utter the sentence ‘I’m
hungry’, they express different propositions, since they talk about different people. A
sentence’s propositional content is independent of its rhetorical or emotive content.
Pseudo-reasoning Attempts to persuade which appear to give reasons for accepting/
rejecting a claim but in fact do not give us any reason for doing so are instances of pseudo-
reasoning. Fallacies and faulty argument techniques are types of pseudo-reasoning.
Quantifiers Quantifiers are expressions such as ‘all’, ‘some’, ‘every’, ‘many’, ‘twelve’, not
very many’ and ‘no’, used in the explicit statement of generalisations. Often, where both
hard and soft generalisations are concerned, they are left implicit.
Rational persuasiveness This is the concept we use to characterise a person’s having
‘good reason’ for accepting a conclusion. An argument is rationally persuasive for a person
if, and only if: (i) the person accepts its premises, and is justified in doing so; (ii) the
argument is either deductively valid or inductively forceful; and (iii) if it is inductively
forceful, the argument is not defeated for that person.
Refutation by counterexample This is a method of criticising an argument. One
fabricates an argument that embodies the same form or strategy as the argument one
means to criticise, but which is clearly invalid, not inductively forceful or fallacious. This
shows that the strategy or form of the argument one means to criticise is defective in the
same way.
Relevance The falsity of a premise can be more or less relevant, where the aim is to
discover reasons for or against the conclusion in question. Sometimes a false premise can
glossary272

simply be removed from an argument without destroying its validity or degree of inductive
force; the resulting argument may thus be sound. Other times the false premise can be
replaced by another, similar premise that is true, again without compromising validity or
inductive force. For example, the scope of a generalisation may be reduced.
Representative See samples.
Rhetoric A verbal or written attempt to persuade someone to believe, desire or do
something that does not attempt to give good reasons for the belief, desire or action, but
attempts to motivate that belief, desire or action solely through the power of the words
used is an instance of rhetoric.
Rhetorical force Not part of the proposition that a sentence expresses, but the emotive
or otherwise suggestive window-dressing that surrounds that proposition and is used to
persuade us to believe or do something by appeal to our non-critical faculties.
Rhetorical ploys Commonly encountered instances of rhetorical use of language, these
include: appeal to novelty, appeal to popularity, appeal to compassion, pity or guilt, appeal
to cuteness, appeal to sexiness, appeals to wealth, status, power, hipness, coolness, etc.
appeal to fear (also known as scare tactics), the direct attack and hard sell, buzzwords, scare
quotes, trading on an equivocation and smokescreen (changing the subject).
Rhetorical question An interrogative sentence that is not really intended as a question,
but as a statement, usually of a proposition with which the speaker or writer assumes the
audience will agree.
Samples An inductive inference is inductively forceful if, and only if, the sample cited in
the premise of the inference is representative of the population cited in the conclusion of
the inference. Suppose that n is the proportion of the sample known to bear a certain trait.
We can reasonably conclude that the proportion of the population bearing that trait is n
only if we have good reason to think that nothing has caused that proportion in the sample
that does not equally affect the population as a whole.
Scope To speak of the scope of a generalisation – for example, one of the form ‘All X are
Y’ – is a way of discussing the size of the class X. For example, the scope of ‘All dogs are
friendly’ is wider than that of ‘All beagles are friendly’. See relevance.
Soft generalisation A soft generalisation such as ‘Most dogs are friendly’ is contrasted
with a hard generalisation such as ‘All dogs are friendly’. Unlike hard generalisations, soft
generalisations cannot be refuted by a single counterexample. Soft generalisations are
frequently expressed without an explicit quantifier, as in ‘Siamese cats meow a lot’.
Soundness An argument is sound if, but only if, its premises are all true, and it is either
deductively valid or inductively forceful.
Speaker-relativity A kind of statement is speaker-relative if it expresses a different
proposition depending on who makes the statement. For example, if John says ‘I am left-
handed’ he says that he is left-handed, whereas if Mary says ‘I am left-handed’ she says that
she is left-handed. The two propositions, then, could have different truth-values.
glossary 273

Stance There are four possible stances that can be taken towards a proposition with
which one is presented: believing it, not believing it, suspending judgement, not engaging
with it. Believing and not believing a proposition admit of degrees dependent upon the
evidence available to provide justification for belief in that proposition.
Standard form This is a style of displaying an argument’s premises, conclusion and
inferences, in which each proposition is enumerated, and each inference indicated by an
inference bar. For example:
P1) If Mrs McFee were murdered, there would be signs of a struggle.
P2) There are no signs of a struggle.
C1) Mrs McFee was not murdered.
P3) If Mrs McFee was not murdered, then Inspector Radcliffe ought to leave the
premises.
C2) Inspector Radcliffe ought to leave the premises.
Syntactic ambiguity An ambiguous sentence is syntactically ambiguous when the
arrangement of its words is such that the sentence could be understood in more than one
way (as expressing more than one proposition.) See also lexical ambiguity.
Tripartite account of knowledge According to this account of knowledge, someone
counts as knowing a proposition if and only if (i) they believe it, (ii) it is true and (iii) they
are justified in believing it.
True To say, of a proposition that it is true is to say that things are as the proposition says
it is. For example, to say that it is true that snow is white is to say that snow is as that
proposition says it is, namely white. Another way to put the point: to say that it is true
that snow is white is equivalent to saying that snow is white. Unless a statement is speaker-
relative, the proposition that it expresses cannot be true for one person but false for
another.
Truth-value Sometimes it is convenient to speak of the truth-value of a proposition (see,
for example, speaker-relativity): the truth-value of a true proposition such as ‘snow is
white’ is truth, and that of a false proposition such as ‘snow is green’ is falsity.
Vagueness An expression is vague if (i) its extension is indefinitely bounded, e.g. ‘bald’,
‘tall’, or (ii) in a given context it is unclear what is meant by it. In the first case, the meaning
of the term may be clear, but the extension is ‘fuzzy’ because there is no clear point at
which things arranged on a single dimension (e.g. degree of baldness) cease to have the
quality denoted by the term. In the second case, particular uses of a term such as ‘political’
are vague: it may not be clear exactly what is meant by calling something political in a given
context. Because of this, a word such as ‘political’ may be vague in both senses – because its
meaning is vague, so is its extension.
Validity See deductive validity.
glossary274

answers and
hints to selected
exercises
CHAPTER 1
1(a) Argument. (b) N/A it’s an explanation (hint: the text tells us why the room is
messy. It does not try to persuade us that the room is untidy). (c) N/A it’s a question.
(d) N/A it’s a rhetorical question (hint: this could legitimately be converted into this
proposition, ‘The dollar is over-valued’, but an argument needs at least one premise
in support of a conclusion, and this proposition is unsupported). (e) N/A it’s an
unsupported proposition. (f) Argument. (g) Argument. (h) N/A it’s a command. (i )
Argument. (j) N/A it’s an unsupported proposition. (k) Argument. (l ) Argument
(hint: if you insert a conclusion indicator such as ‘therefore’, you see more clearly
that this is an argument). (m) N/A it’s a conditional. (n) N/A it’s an unsupported
proposition. (o) Argument. (p) N/A it’s an explanation (hint: there is no attempt to
persuade us that the speaker is late). (q) Argument. (r) N/A it’s an unsupported
proposition (hint: don’t be misled by the use of ‘since’ here, it’s used to talk about a
period of time). (s) N/A it’s an explanation (hint: there’s no attempt to persuade us
that the biscuit tin is empty). (t) Argument.
CHAPTER 2
2(a) ‘Court’ could mean a judicial institution, a place for playing a sport, such as
tennis, or an enclosed outdoor area. (b) ‘End of life’ could mean the final part of one’s
life or the goal/function of life. (c) ‘Organ donor’ could mean someone who donated
a body part or someone who donated a musical instrument (hint: the term is
ambiguous here because of the context – the Archbishop of Canterbury praises the
donor). (d ) ‘Mummy’ could mean either someone’s mother (probably the victim’s) or
an ancient Egyptian exhibit (hint: the context makes the term ambiguous – the attack

takes place in a museum). The phrase ‘by mummy’ could also be ambiguous: the
sentence could mean either that someone’s mother or a museum exhibit was respon-
sible for the attack, or that the attack took place in the vicinity of either someone’s
mother or a museum exhibit. (e) ‘By statue’ could mean that the statue found the car
or that the car was found beside the statue. (f) ‘British left waffles’ could mean that
British left-wing politicians talk meaninglessly about Ireland or it could mean that the
British (military, maybe) left some square pancake-like pastries in Ireland. (g) ‘Arms’
could mean weapons or limbs. ‘Head’ could also be ambiguous here, meaning either a
head of state or a body part, so there are four possible interpretations of the sentence,
though not all of them are equally plausible. (h) ‘Depression’ could mean a drop in
the atmospheric pressure or a psychological condition. (i) ‘The right’ could mean that
Obama is physically leaning further over to the right-hand side or that he is shifting
his political position rightwards. (j) ‘More lies ahead’ could mean that the Finance
Minister is facing further challenges or that the public can expect to be told more
untruths.
3(a) Before the officers’ arrival the two suspects fled the area in a red Ford Escort
that was driven by a woman in black. (b) Yesterday I was invited to go to the movies.
(c) When Mary left her friends she was feeling depressed or When Mary left, her
friends were feeling depressed. (d ) Often people who use cocaine die early or
People who often use cocaine tend to die early. (e) Smith had five pairs of boots as
well as a pair of slippers. He lent the slippers to Jones or Smith had five pairs of boots
and a pair of slippers and he lent them all to Jones. (f) Wanted: a bay mare with
white socks, suitable for a novice. (g) When Jones left the company, it was in a better
state or When Jones left the company, he was in a better state. (h) Glasgow’s first
commercial sperm bank opened last Friday with twenty men’s semen samples frozen
in a stainless steel tank. (i) A week ago, they were exposed to someone who was
infected with the virus or They were exposed to someone who had been exposed to
the virus a week ago. (j) The police would like to speak to two women and a van
driver who all fled the scene of the accident or The police would like to speak to two
women and also to a van driver who fled the scene of the accident.
5(a) No one / Hard. (b) Few / Soft (c) Most / Soft (d ) A majority of / Soft (e) All / Hard
(f) Generally / Soft (g) Almost all / Soft (h) Hardly any / Soft (i) Every / Hard (j)
Almost none / Soft
6 Only (d ) is uncontroversially true as a hard generalisation and you need to use ‘No
owls’. (a), (b), (c), (e), (f), (g), (i) and (j) should all be soft. (h) may turn out to be
true as a hard generalisation, but it is unlikely that readers (and their lecturers)
have sufficient information about UK universities’ English departments at their
fingertips to determine this. Also, there may be some disagreement about what
constitutes a ‘department’, hence a hard generalisation is unlikely to be uncon-
troversially true.
7(a) Scare quotes. (b) Appeal to novelty. (c) Buzzwords (‘knowledge management’,
‘competitive advantage’, ‘learning culture’, ‘shared vision’, ‘common purpose’). (d )
Appeal to popularity. (e) Smokescreen (hint: avoids the question of our moral duty).
(f) Equivocation (over the vagueness of ‘most successful’). (g) Appeal to fear.
answers and hints to selected exercises276

(h) Buzzword (‘censorship’). (i) Appeal to novelty or appeal to vanity; ‘hair manage-
ment technology’ is a buzzword (phrase). (j) Many questions.
CHAPTER 3
4Hint: according to the definition of soundness, an unsound argument may have a true
conclusion.
5Hint: review the remarks on pp. 60–61 on the concept of truth.
6(a) Valid. (b) Valid (hint: see what follows from P2 and P3, then see what follows
from that proposition together with P1). (c) Valid. (d ) Invalid. Even if no member of
the Green Party voted for the tax cut, it could be that people outside the Green Party
voted against it as well (or failed to vote for it). So Mr Jacobs could be one of those
outside the Green Party who didn’t vote for it. (e) Valid. (f) If every member of the
Conservative Party voted for the tax cut, it could be that others outside that party
voted for it as well. (g) P2 says that some of those who voted for the tax cut voted to
increase defence spending, but it doesn’t say that all who voted for the tax cut voted
to increase defence spending. So it could be that some voted for the tax cut without
voting for increased defence spending; if so, then that group could contain all the
Liberal Party members who voted for the tax cut. (h) Invalid: to make the argument
valid, we would have to add the premise ‘Infanticide is not morally permissible’. That
premise might be obviously true, but until it is actually added to the argument, the
argument remains invalid. (i) Valid. (j) Invalid(!): what follows from the premises is
that the antecedent of the conditional P1 is false – namely, that it is not the case that
each person has the right to determine what happens to his or her own body. This
means: not every person has that right. This leaves it open that some people might
have that right, even if not everyone does. The conclusion, however, says that no
people have that right. So the premises could be true and the conclusion false. As a
further exercise, you might try to construct an argument similar to (j) but which is
valid. (k) Invalid: P1 allows that a regime might be both corrupt and inefficient.
(l ) Invalid: P1 doesn’t tell us that only one of those two things could have happened.
Compare: if the car has no petrol (gasoline), then it will not start. If the car does have
petrol, it doesn’t follow that it will start – it might have a dead battery, a faulty
starter, etc. (m) Valid. (n) Invalid: P1 tells you that if a political system is just, then it
is a democracy. It doesn’t tell you anything about unjust political systems; it could
be that, although all just systems are democracies, not all democracies are just.
(o) Invalid: the word ‘only’ can be tricky. Actually P1 here says exactly the same thing
as P1 in the previous argument. Compare: ‘Only boys are members of the club’ and
‘The only members of the club are boys’ – these say exactly the same thing, namely
that every member of the club is a boy. (p) Valid. (q) Invalid: Mr Cleever may have
been drunk at the time of the accident, even though his drunkenness did not cause
the accident. (r) Invalid: in order to infer the conclusion from the conditional P1, we
need to know that Constantius’ Christianity was genuine, but P2 only tells us that we
do not know that it was not genuine; it doesn’t tell us that it was. So perhaps
answers and hints to selected exercises 277

Constantius’ faith was a fraud, but no evidence of that fraudulence has survived.
(s) Valid. (t) Invalid. If no Roman emperors were wise, then it could be that Marcus
Aurelius was not wise, and P1–P3 are all true. (u) Valid. (To see this, see what
happens if we try to suppose the conclusion false but the premises true. Thus
suppose C is false, i.e. that Augustus was wise. Then according to P3 Marcus Aurelius
was not wise. Then according to P1 no Roman emperor is wise. But then Augustus, a
Roman emperor according to P2, is wise! So it is impossible for the premises to be
true but the conclusion false.) (v) Valid. (w) Invalid: P1 says that Mary will be
disappointed if both John and Susan are late, so perhaps she won’t be disappointed if
only John is late. (x) Invalid: perhaps P1–P3 are all true, but Mary is disappointed for
some other reason; perhaps John’s being late was enough to disappoint her (P1
doesn’t say Mary will be disappointed only if both John and Mary are late). (y)
Invalid: this is disputable, but it seems that P1 tells us that Mary will be disappointed
if John and Susan are married to each other. Perhaps John and Susan are both
married but not to each other, in which case the premises could all be true but the
conclusion false. (z) Valid.
7(a) False. (b) True. (c) False. (d ) True. (e) False. (f) True. (g) False. (h) False. (i) False.
(j) False. (k) True. (l ) False. (m) False. (n) False. (o) True. (p) False. (q) True.
9Note: each of these admit of more than one correct answer; for example, ‘If Hadrian
was not great then Trajan was great’ is equivalent to the answer given to (a), and
would be equally correct. (a) If Trajan was not great then Hadrian was great. (b) If
they are not mistreated, then dogs are loyal to their masters. (c) If there were any
benevolent emperors, then Marcus Aurelius was a benevolent emperor. (d ) If you
do not study, then you will not pass. (e) If your dog does not get the ball, then my
dog will get the ball. (f) If you are not wearing a tie, then you will not be admitted.
(g) If you are not wearing a tie, then you will not be admitted. (h) If my dog barks,
then your dog barks (or: if your dog does not bark, then my dog does not bark). (i) If
you drink every night, then you will not pass. (j) If you do not study, then you will
not pass. (k) If you do not study, then you will not pass. (l ) If the champion does not
fight aggressively then he will not win. (m) If the ball does not go in the water, then
either your dog will get the ball or mine will. (n) If Maximin was admired in Rome,
then Galerius was not admired in Rome.
CHAPTER 4
P1) Most sex crimes are committed by victims of child abuse.
1(a) (A)
P2) The defendant committed a sex crime.
C) Probably, the defendant was a victim of child abuse.
Inductively forceful.(B)
answers and hints to selected exercises278

P1) Most old people have poor eyesight.
(d ) (A)
P2) No one with poor eyesight should be allowed to drive.
C) Probably, most old people should not be allowed to drive.
Inductively forceful.(B)
Both are inductively forceful. (B) They could both be sound. If Mr X is a2 (A)
non-homosexual AIDS patient living in Orange County, then still the
premises of both arguments could be true. (C) The four premises together do
not give us a reason to conclude that Mr X is a homosexual, and do not give
us a reason to conclude that he is not.
(a) Incompatible. (b) Compatible. (c) Compatible. (d ) Compatible (accord-3
ing to our convention, ‘some’ means ‘at least one’). (e) Compatible. (f)
Incompatible. (g) Compatible. (h) Incompatible. (i) Compatible. (j) Com-
patible. (k) Compatible. (l ) Compatible. (m) Compatible.
Reconstruct it as a single argument; its tree would have three premises4
pointing separately to the conclusion ‘Probably, Lance Armstrong is not
going to win another Tour de France’.
P1) If this meat was grown in Scotland, then it is extremely unlikely that it
5(d ) (A)
is infected with BSE.
P2) If this meat is infected, then it is very unlikely that eating it will make
you ill.
C) If this meat was grown is Scotland, then eating this meat will not
make you ill.
Invalid. (C) But the argument can be made valid as follows:(B)
P1) If this meat was grown in Scotland, then it is extremely unlikely that it
is infected with BSE.
P2) If this meat is infected, then it is very unlikely that eating it will make
you ill.
C) If this meat was grown is Scotland, then, probably, eating this
meat will not make you ill.
This assumes that the expressions ‘extremely unlikely’ and ‘very unlikely’ in(D)
the premises are strong enough to justify the word ‘probably’ in the
consequent of the conclusion.
P1) Brazil is more likely to win the World Cup than Argentina.
(e) (A)
C) Brazil will win the World Cup.
answers and hints to selected exercises 279

Invalid, and not inductively forceful. (D) The arguer is probably thinking(B)
that Brazil is the team most likely to win the World Cup, but that could
be true even if the probability of Brazil winning is less than one-half.
P1) Probably, English football fans will make trouble at the World Cup.
(g) (A)
P2) If English football fans make trouble at the World Cup, then England
may be expelled from the European Cup.
C) England will be expelled from the European Cup.
Invalid, and not inductively forceful. (C) However, it could be made valid as(B)
follows:
P1) English football fans will make trouble at the World Cup.
P2) If English football fans make trouble at the World Cup, then England
may be expelled from the European Cup.
C) England may be expelled from the European Cup.
Alternatively, it could be made inductively forceful:
P1) Probably, English football fans will make trouble at the World Cup.
P2) If English football fans make trouble at the World Cup, then England
will be expelled from the European Cup.
C) Probably, England will be expelled from the European Cup.
P1) If the murderer passed through here, then, probably, there would be
(h) (A)
hairs from the victim on the rug.
P2) But there are no hairs from the victim on the rug.
C) Probably, the murderer did not pass through here.
Not valid, but it is inductively forceful.(B)
(l ) Hint: note that ‘many’ of a given population can be thus-and-so, when
most are not. For example, many people have gym memberships, but most
do not go to the gym.
(a) and (b) seem to be inductively forceful; (a) is very forceful because the6
sample looks to be representative; (b) seems to be less so, since it is possible
that communist systems might succeed in other historical circumstances.
Reconstructions should be obvious.
This is a bit more tricky to reconstruct. One way is as follows:(c) (A)
P1) The average IQ from among 17 conductors of major orchestras is
17 points higher than that of UK doctors, and 18 points higher than
that of UK lawyers.
C) Probably, the average IQ of musicians is higher than that of
either doctors or lawyers.
answers and hints to selected exercises280

This argument is not inductively forceful because the sample is not repre-(B)
sentative. The relevant population mentioned in the conclusion is musicians,
but the sample cited in the premise is only that of conductors of major
orchestras. These are likely to be among the most intelligent musicians, so it
is no wonder that they should be found to have high IQs.
P1) Most of the teenagers who have come to me (a counsellor for
(d ) (A)
teenagers) and confessed to taking illicit drugs have serious family
problems.
C) Probably, most teenagers who take illicit drugs have serious
family problems.
Not inductively forceful because the sample is not representative. It might(B)
be that most teenagers who take illicit drugs do not have serious family
problems, and do not do seek the services of a counsellor. The counsellor sees
only those teenagers who are sufficiently troubled to seek a counsellor.
P1) No English club has won the treble twice.
(e) (A)
P2) Manchester United is an English club.
C) Probably, Manchester United is not going to win the treble again.
The argument is not inductively forceful. For all that the premises tell us,(B)
perhaps only one English club (United) has won the treble (FA Cup, League/
Premiership, Champions League/European Cup). (In fact, that is true; only
United has done it – but you don’t need to know this in order to see the
weakness of the argument.) Thus, even if no English clubs have won it twice,
it could be that, given that a club has won the treble once, it is likely to win it
again. That is, P1 could be true even though the conditional probability of an
English club’s winning the treble given that it has won it before is quite high.
Note also: it is tempting to think we should add ‘Manchester United won the
treble once’ as a premise, but that statement does not support the conclu-
sion, so it is not part of the argument.
P1) People who take vitamins regularly live longer than average.
(g) (A)
P2) Jenna takes vitamins regularly.
C) Probably, Jenna will live longer than average.
This is inductively forceful. If you think it isn’t, it is probably because you(B)
are reasoning as follows: ‘We cannot conclude from P1 that taking vitamins
regularly causes people to live longer than average, because it might be that
already healthy people are more likely to take vitamins (perhaps well-off
people tend to take vitamins more, and are healthier because they are
answers and hints to selected exercises 281

well-off, not because they take the vitamins); therefore we can’t conclude
that because Jenna takes vitamins regularly she’s likely to live longer.’ It is
true that P1 doesn’t tell us anything about a causal relationship. But C
doesn’t tell us about a causal relationship either! Compare: ‘Most people
with sore throats get a runny nose. Jenna has a sore throat. Therefore,
probably, she’ll get a runny nose.’ The sore throat doesn’t cause the runny
nose, but still the argument is inductively forceful.
CHAPTER 5
1 Except in the case of (k), we provide only the missing premises. (a) ‘You should not
marry an idiot’, where this is understood as a hard generalisation, or perhaps ‘If
someone is an idiot, then you should not marry him’. (b) Same. (c) ‘Everyone who
likes the Jeeves books likes the Blandings Castle books.’ (d ) ‘If that fat man sits in
that chair, then it will break.’ Or possibly add two premises (though this is not
specified as an option in the instructions: ‘If a very heavy person sits on that chair,
then it will break,’ and ‘That fat man is a very heavy person’. (e) Possibly a hard
generalisation: ‘Prices rise only when the savings rate decreases’, or ‘When the savings
rate does not decrease, prices do not rise’; or a soft one, i.e. ‘Usually, when the savings
rate does not decrease, prices do not rise’. (f) ‘If Hamilton’s mechanic is not inept,
then Hamilton’s car will not break down.’ It may help in this case to translate all
the uses of ‘unless’ into sentences using ‘not’ and either ‘if’ or ‘only if’. The first
sentence would be ‘Massa will win only if Hamilton’s car breaks down’, or ‘If
Hamilton’s car does not break down, then Massa won’t win’. (g) ‘Rossini was
greater than Puccini.’ (h) ‘No socialist country is a democracy.’ (i) ‘If we withdraw
the offer, then we carry on with a second-rate manager.’ (j) ‘If there isn’t any wine,
then we’ll drink beer.’ (k) The conclusion – ‘Cigarette advertisements encourage
people to smoke more’ – is not quite explicit. One likely implicit premise is simply
the conditional: ‘If ads for chocolates encourage people to eat chocolates, then
cigarette advertisements encourage people to smoke.’ One might think the implicit
premise is something like the covering generalisation: ‘All ads for a given brand of
consumable product encourage people to consume that product.’ This generalisa-
tion would be too broad in scope, however; it doesn’t seem true that ads for
toothpaste or toilet paper encourage people to use more toothpaste or toilet paper
(as opposed to encourage them so select a particular brand). Yet the suggested
conditional is surely motivated by a generalisation (why should there be a con-
nection between chocolates and cigarettes?). A good exercise would be to find a
plausible generalisation (or appropriate scope) that would serve the purpose of the
argument.
2 There are many ways in which these sentences might be reformulated; we offer one
suggestion for each. (a) The democratic candidate adopts whatever position is most
popular. (b) The invasion of Iraq was a huge (large, massive, etc.) miscalculation. (c) If
they impose trade tariffs then trading agreements will not be fair. (d ) Since beginning
answers and hints to selected exercises282

to write novels aimed at a young female adult audience, she has earned a great deal of
money. (e) However long they attempt to persuade us of their position, we will not be
persuaded. (f) Although it is widely believed that shares in Ramsay represent good
value, they do not. (g) We will continue our attempts to ban the advertisement on
children’s television of innutritious convenience foods until such advertisements
have been completely eliminated. (h) Mistakes by doctors contributed to the deaths
of 40,000 patients last year. (One might use ‘caused’ instead of ‘contributed to’, but
one would have to know more of the relevant facts in order to determine which is
appropriate.)
3(a) If you do not release prisoners then there will be no cease-fire. (b) If we do not
increase our appeal to women then we will not win the election. (c) All universities
allow the most offensive forms of speech (conceivably, this means only that
some universities allow such speech). (d ) Every leaf-blower is louder than every
rake. (e) If embryo research is allowed then human cloning will be allowed.
(f) Everyone who laughs last laughs longest. Alternatively: for every group of people,
the one who laughs after everyone else in the group has laughed laughs longer than
anyone else in the group. (g) No one who receives no pain (or, no pain of the sort
appropriate to the given activity) will receive any gain (or rewards appropriate for the
given activity).
4 As is often the case, each of these might be answered in either of several ways; here
are some suggestions, but try to find an alternative. (a) No one under the age of 18
can legally purchase alcohol in the UK. (b) All scorpions are poisonous. (c) Most non-
French wines are not overpriced or Few non-French wines are overpriced. (d ) Most
oil paintings from before 1500 are either Dutch or Flemish or Except for Dutch and
Flemish paintings, few paintings from before 1500 were painted in oil. (e) Most
successful lawyers are good at analysing arguments. (f) The blood pressure of any
haemorrhaging patient will decrease. (g) Most drivers aged 17 are too young to drive
long distances.
P1) Everyone who supports across-the-board pay rises for female
7(a)
academics supports a reduction in the evidential standard for rape
convictions.
P2) Mrs Jones supports across-the-board pay rises for female
academics.
C) Mrs. Jones will support a reduction in the evidential standard for
rape convictions.
P1) Most healthy, young horses can be trained without too much
9(a)
difficulty.
P2) Your new horse is healthy and young.
C) Probably, your new horse can be trained without too much
difficulty.
answers and hints to selected exercises 283

P1) Most men marry.
(b)
P2) Every married woman has, at the time of her wedding, a mother.
C) Most men have, have had, or will have a mother-in-law.
Since human beings are primates, the scope of the generalisation must be(c)
reduced. The argument might be represented in different ways, but, how-
ever it is done, some implicit premises will need to be made explicit.
P1) All chimpanzees are primates.
P2) No chimpanzee is human.
P3) Bobo is a chimpanzee.
C1) Bobo is a non-human primate.
P4) No primates except humans can learn to talk.
C2) Bobo cannot learn to talk.
Not all countries can be attacked by sea – Paraguay, Laos and Switzerland,(d )
for example, are land-locked (assuming that ‘attacked by sea’ means ‘attacked
using ships or boats’, and does not include attacks by aeroplanes from aircraft
carriers and the like). But most countries have a seacoast.
P1) Most countries can be attacked by sea.
P2) Any country that can be attacked by sea requires a naval defence.
C) Most countries require a naval defence.
P might well be disputed. Does, say, Equatorial Guinea require a naval
defence?
The conclusion is that same-sex marriage should not be legal. Note that the following12
reconstruction would be inadequate:
P1) No deviant sexual relationship should be legally protected.
P2) The legalisation of same-sex marriage would legally protect
homosexual relationships.
P3) Homosexual relationships are deviant sexual relationships.
C) Same-sex marriage should not be legalised.
First, this reconstruction leaves out of account the ‘slippery slope’ appealed to in the
last sentence (turn to Chapter 7 pp. 231–232 for further discussion of slippery slope
arguments). The point seems to be that the only reason that only heterosexual
relationships (between mature persons not genetically closer than cousins) are entitled
answers and hints to selected exercises284

to legal protection is that others are deviant. Therefore, if homosexual relationships
are entitled to legal protection, then since they are deviant, all deviant sexual relation-
ships are entitled to it. Second, this reconstruction uses the word ‘deviant’. But there
are at least three possible meanings here, one of which is rhetorically charged: the
word can mean simply ‘deviating from the norm’, which might mean ‘not biologically
typical’, or ‘not socially typical’. But it also carries an opprobrious connotation of
sickness or unhealthy abnormality, as when we speak of ‘social deviants’. The factual
basis of the argument can be clarified by eliminating the term.
15 There are just two relevant outcomes here: you draw an ace, or you do not draw
an ace. A pack of playing cards contains 52 cards, of which four are aces. So the
probability of drawing an ace is 4/52 =1/13, and the probability of not drawing one
is 12/13. So:
EV =(1/13 ×10) +(12/13 ×−1)
=(0.77 ×10) +(0.92 ×−1)
=0.77 +(−0.92)
=−0.15.
The expected value is negative, so you shouldn’t accept the wager.
17 The first two sentences are true, but only the second is relevant as a premise. Hints:
the first conclusion is ambiguous. Interpreted one way, there is a sound argument
for it using the second sentence as a premise, but it does not support the second
conclusion. Interpreted the other way, it supports the second conclusion but is not
supported by the second sentence.
19 (b) The conclusion might be ‘The stress of modern life is caused by the amount
of shopping we do, combined with our not going to church’, or something like
‘Our lives are more stressful than our parents’ lives were because we shop more
and attend church less than they did’. Taking the latter as the conclusion, a simple
reconstruction might be:
P1) Our lives are more stressful than our parents’ lives were either
because we shop more and attend church less than they did, or
because we work more than they did.
P2) We do not work more than they did.
C) Our lives are more stressful than our parents’ lives were either
because we shop more than they did, and they went to church
whereas we do not.
Note, however, that the argument hints at an argument for P1 itself. Since
shopping is said to be a highly stressful activity, the arguer might also be assuming
that attending church reduces stress.
answers and hints to selected exercises 285

CHAPTER 6
1(a) No. (b) No. (c) Yes. (d ) Yes. (e) Yes. (f) No. (g) Yes. (h) No. (i) The argument
is defeated for James because he has much stronger evidence that the conclusion is
false (in fact, he knows that the conclusion is false).
2(a) Yes. (b) No. (c)–(f) The argument is rationally persuasive for Catherine if we
assume she was justified in accepting what David told her. It seems that she was.
Jane’s case is less clear, but it seems the argument is not rationally persuasive for her
because her reason for accepting P2 is not good. The argument is defeated for Mary,
hence not rationally persuasive for her. Though she does not accept the conclusion, it
seems the argument is rationally persuasive for Anna: her reason for rejecting the
conclusion is poor.
3 (i) Hint: Remember that false beliefs can be reasonable, i.e. well-supported and justi-
fied. The word ‘wrong’ is possibly ambiguous in this context; does it mean ‘false’ or
‘unjustified’?
P1) Every educated Roman knew Homer.
4(h)
P2) Everyone who knows Homer knows the story of Achilles.
C) Every Roman knew the story of Achilles.
Suppose X is any Roman. According to P1, X knew Homer. Then, according
to P2, he knew the story of Achilles. So whatever Roman X is, X knew the
story of Achilles. So, every Roman knew the story of Achilles.
P1) If P then Q.
7(a)
P2) If Q then R.
C) If P then R.
P1) If a is not an S, then a is a D.
(d )
P2) All Ds are T, and a is not T.
P3) If a is an S, then either a is R or a is A.
P4) Every W is either not-A or Y.
P5) Everything that is S and Y is T.
C) If a is W, then a is R and S.
We can try checking for validity just using the logical form. We suppose a is
W, and see whether the premises tell us that a must be R and S. We know
from P2 that a is not T. Therefore from P2 a cannot be a D (if it were, then it
would be T, which it is not). Then P1 tells us that a is an S. So we know that a
is an S. It remains to show that a is R. P4 tells us that a is either not-A or Y.
Let us see what follows on each alternative: first that a is Y, then that a is
not-A. So suppose a is Y. Since we know that a is an S, P5 tells us that a is a T.
answers and hints to selected exercises286

But we know from P2 that a is not a T. So a can’t be Y. So suppose a is not-A.
Then P3 tells us that if a is S, a is R. According to P1, if a is not S, then a is D.
So a is either D or R. But we know that a is not a D. So a is R. So if a is W,
then a is both S and R, and the argument-form is valid.
CHAPTER 7
1(a) Deriving ought from is (hint: the conclusion is prescriptive, but the premise is
descriptive). (b) Post hoc ergo propter hoc. (c) Fallacy of majority belief. (d ) Affirming
the consequent. (e) Denying the antecedent. (f) Conflation of morality with legality.
(g) Mistaking correlation for cause. (h) Ad hominem. (i) Tu quoque (hint: it is implied
that the chef is rich and does not follow his own prescriptions with respect to feeding
a family on a budget). (j) Perfectionist fallacy.
2General hint: remember that the crucial move when reconstructing substantial
fallacies is that of adding the premise (which is usually hidden and operates in all
instances of the fallacy) that exposes the fallacy.
Ad hominiem circumstantial:(a)
P1) Lecturers are always extolling the virtues of critical thinking.
P2) Lecturers only have jobs if they have students to teach.
P3) Whenever someone would beneift from something we should reject
their arguments in favour of that thing.
C) We should reject lecturers’ arguments in favour of critical
thinking.
Conflation of morality with legality:(b)
P1) It’s not illegal for me to exaggerate my skills on my CV.
P2) Anything which is not illegal is not immoral.
C) It’s morally acceptable for me to exaggerate my skills on my CV.
Tu quoque:(c)
P1) My doctor says that wearing high heels is bad for your knees and
should be avoided.
P2) My doctor wears high heels.
P3) Whenever someone’s actions are inconsistent with their advice, we
should not follow their advice.
C) I should not follow my doctor’s advice to avoid wearing high
heels.
answers and hints to selected exercises 287

Inversion of cause and effect:(d )
P1) Smoking causes lung cancer.
P2) Whenever one thing X causes another Y, an absence of X will cause
an absence of Y.
C) People who do not smoke will not suffer lung cancer.
Could be either confusion of correlation with cause or post hoc ergo propter(e)
hoc, depending on whether we interpret P1 as saying that the trees blossom
and the weather begins to get warmer at the same time (confusing corre-
lation with cause), or as saying that first the trees blossom, and then the
weather gets warmer. The first interpretation is probably more plausible, but
the reasoning remains fallacious.
P1) Whenever the cherry trees blossom, the weather begins to get
warmer.
P2) Whenever two events are correlated, one is the cause of the
other.
C) Cherry blossom makes the weather warmer.
Or
P1) Whenever the cherry trees blossom, the weather begins to get
warmer.
P2) Whenever one event precedes another, the first is the cause of the
second.
C) Cherry blossom makes the weather warmer.
3(a) Slippery slope. (b) False dilemma. (c) Begging the question. (d ) Red herring.
(e) Straw man. Hint: hidden behind the rhetoric is a misrepresentation of the
minister’s proposal to cut taxes for people who earn average incomes as a proposal to
give money to people earning considerably more than the average wage.
CHAPTER 8
2(b), (d ), (i ), (m), (q), (s), (t) and (z) are indexical. (t) could also be implicitly speaker-
relative if it means ‘that hurts me’, as could (z) if it means something like ‘I think this
one is better than that one’, in which case it could also be implicitly relative to the
preferences of the speaker (but need not be).
(g), (h), (l ), (o) and (w) are implicitly speaker-relative and also implicitly relative to
the preferences of the speaker with respect to food, presidents, beer and music,
respectively.
answers and hints to selected exercises288

(f) depends on context. It could be both implicitly speaker-relative and relative
to the preferences (in respect of climate) of the speaker if she is explaining, for
example, why she doesn’t want to go to southern Italy for a holiday. On the other
hand, the speaker might be talking about, say, the suitability of the climate for
growing a certain crop – Riesling grapes, for instance – in which case the sentence
would be neither implicitly speaker-relative nor relative to the preferences of the
speaker. Note that it would be implicitly speaker-relative in the sense dealt with in
Chapter 1.
(e), (j) and (k) make prescriptive claims ((e) and (j) are specifically moral claims, (k)
arguably so). These are tricky. If we take the philosophical view that moral values are
relative to the preferences of an individual or to a group of individuals or a culture
(the position called moral relativism, discussed in this chapter), then we should say
that these sentences are both implicitly speaker-relative and implicitly relative to the
preferences of the speaker(s) asserting them. If, on the other hand, we take the
philosophical view that moral values are independent of individual or collective
preferences (the position called moral objectivism), then we should say that the sen-
tences are neither implicitly speaker-relative nor relative to the preferences of the
speaker(s).
4 A sample answer: Yes, if I were justified in believing a proposition that is in fact false,
there could still be an argument for that proposition that is rationally persuasive for
me. This is because rational persuasiveness only requires (a) that an argument be valid
or inductively forceful, (b) that I have good reason to accept the premises and, if the
argument is inductively forceful, (c) that the conclusion is not defeated for me. So
providing these criteria are met, the fact that the conclusion is false does not under-
mine the argument’s rational persuasiveness for me. The situation would not change
if the proposition were actually true. Apart from (c), which is not relevant to this
case, the criteria for rational persuasiveness do not make reference to the actual truth
values of an argument’s conclusion.
Example
P1) Jeremy is a nine-year-old boy.
P2) Most nine-year-old boys like to play football.
C) Probably, Jeremy likes to play football.
I have good reason to believe that Jeremy likes to play football because I
frequently see him playing football, he has football posters in his bedroom,
reads football comics, and so on. In fact, the proposition is false. He doesn’t
really like to play; he just goes along with it to please his father, a very keen
football fan. The argument is inductively forceful and I have good reasons
to accept P1 and P2 – I know Jeremy and I have more than a passing
acquaintance with the likes and dislikes of nine-year-old boys – so criteria (a)
and (b) are met. I have no evidence that should lead me to reject C); that is,
answers and hints to selected exercises 289

I don’t know that Jeremy’s apparent football fervour is really a front to please
his dad, so the argument is not defeated for me. Thus it is rationally per-
suasive for me. If it turned out to be true that Jeremy likes to play football,
the argument would still be rationally persuasive for me.
answers and hints to selected exercises290
INDEX
absolute and relative difference 236–237
ad hominem fallacy 210–212, 238; ad
hominem circumstantial fallacy 211
affirming the consequent: fallacy of 44,
202–203, 205, 238
ambiguity 28–30, 33, 47, 50, 266;
eliminating from an argument 138–141,
159; and generalisations 144; lexical
28–29, 31, 271; syntactic 29–30, 274
appeal to: compassion, pity or guilt 42–43,
50, 273; cuteness 43, 45, 50, 273; fear
44–45, 50, 273; novelty 41, 50, 273;
popularity 41–42, 50, 273; sexiness
43–44, 50, 273; wealth, status, power
44, 51, 273
appeal to authority: fallacy of 214–216,
238
appeal to ignorance: fallacy of 224–225,
238
argument: chain 73, 102, 138; contrasted
with explanation 20–22; contrasted
with rhetoric 6–7; definition of 9;
extended 15, 22–23, 63, 82, 104–105,
112–113, 121, 124, 269; practical
147–153; significance of 4–6; see also
practical reasoning
argument assessment 56, 271; factual
113, 271; logical 113, 177, 271;
programme for 112–113
argument commentary 180, 185–187,
266; commentary on 195; example of
190, 193–195
argument reconstruction 13, 20, 24, 27,
56, 57, 89, 99, 119, 185, 238, 266, 267,
270; defusing rhetoric in 122–123;
elimination of extraneous material in
119–121; logical streamlining in
123–125; making premises explicit in
125–132; principle of charity in 127,
137, 143
argument tree 73–76, 266
assertoric form 244
base rate fallacy 104, 206–207, 238
begging the question 233–234
belief 176, 225, 226, 228, 238, 243, 244,
248, 249, 251, 254
buzzwords 45–46, 51, 273
coherentism 262
common practice: fallacy of 209–210,
238
conclusion 9, 12, 13, 14–17, 24, 56, 60,
98, 104, 121, 126, 171–172, 186–187,
203, 243, 259, 266
conditional 68–71, 81, 82, 120–121,
124, 125, 138, 158–159, 267, 271;
antecedent of 71–72, 82, 101, 120, 205,
238, 266; as conclusion 73, 177–180,
196; consequent of 71, 82, 101, 203,

238, 266; relation to generalisations
133–135, 159, 268
conditional probability see probability
conditionals as 73, 177–180, 196;
explanations as 153–155, 160;
generalisations as 177–180, 196;
implicit 17, 127, 159, 270; indicators
15–17, 24, 267; intermediate 22–23,
74, 119, 121, 124, 271; prescriptive
205, 206, 232, 238; probability in 105;
supposing to be false 180
conflation of morality with legality: fallacy
of 217–218, 238
connotation, primary/secondary 33–34,
45, 122, 123, 267
context 10, 14, 19, 24, 28–29, 30, 57, 58,
185, 186, 195, 245, 267
context relativity 244–247
correlation 157–158, 160; mistaking for
cause: fallacy of 220, 221–222, 224,
238
cost/benefit 149–153, 160, 268; see also
expected value
counterexample 38, 39, 267; refutation
by 81, 82, 180–182, 196, 272
credibility 46, 212–213, 214, 268
deductively sound 77–78, 82, 112, 113,
131, 146, 170, 190, 238, 260; definition
of 77
deductive validity see validity
defeated argument 171–174, 176, 184,
186–187, 196, 243, 254, 260, 268;
definition of 171
denying the antecedent: fallacy of 205,
238
deriving ought from is: fallacy of
205–206, 232, 238
descriptive claims 67–68
direct attack 45, 51, 273
epistemic fallacy 225–228, 238,
254
epistemology 255 n. 7, 261
equivocation: fallacy of 229–230; trading
on an 47–8, 51, 273
evidence 105–07
expected value 151–153, 160, 182, 187,
268; see also cost/benefit
explanation 225, 268–269; as conclusion
153–155, 160; contrasted with
argument 20–22, 24, 160
expressive epithets 122–123
extension 28, 31, 32, 33, 141, 269
extraneous material 19–20, 24, 119–121,
135–138
fallacies 40–41, 175, 186, 202–204,
237–238, 269, 272; formal 186, 202,
204–207, 237–238; substantive 186,
203, 207–228, 238
false dilemma 227 n. 7, 234–235,
239
faulty argument techniques 228–235
formal logic 78–81
foundationalism 261–262
generalisation 37–38, 50, 108–112, 114,
125, 130–132, 159, 160, 181, 208
258–259, 266, 269, 271; causal
156–158, 160, 266; as conclusion
177–180, 196; covering 133–135, 155,
159, 268; hard/soft 38–40, 50, 99, 144,
159, 269, 273; scope of 144–147, 159,
273; see also counterexample
Gettier cases 261 n. 10
hard sell 45, 51, 273
Implicature 10–11, 270; conversational
10, 96–97, 122; trading on 48–49
Indexical 244–247, 267
inductive inference 107–112, 113, 114,
134, 136, 137, 183, 259, 270; definition
of 109
inductively forceful 56, 90–91, 93–8,
100, 103, 104–105, 108, 112,
113–114, 127, 174, 175, 177, 186, 187,
index292

196, 225, 238, 260, 263, 270; definition
of 94
inductively sound 100, 112, 113, 114,
136, 143, 146, 170, 173, 186, 187,
196, 206, 254, 260, 270; definition of
100
inference 23, 63, 270
inference bar 13, 16, 270
inversion of cause and effect: fallacy of
220, 222–224, 238
irony 35, 50, 122
justification 4, 21, 22, 46, 92 n. 3, 176,
253–259, 261, 264, 271; failure of
257–259; insufficiency of 257–258;
internal vs external 262–263; and
probability 263; see also knowledge
knowledge 186, 195, 225, 226, 228, 238,
255 n. 7, 256–257, 258, 260–261, 263,
264, 274; and belief 176, 243,
253–255, 264, 271; and justification
257; and rational persuasiveness 196,
259–261, 264; tripartite account of
257, 260–261, 264, 274; and truth
256–257
labeling the position 184–185, 197
Leibniz’s Law 226
linguistic phenomena 15, 27–40, 50, 122
logic 60, 61, 66, 80–81, 82, 141 n. 3, 143,
271
logical streamlining 123–125, 138, 159
lottery problem 263
majority belief: fallacy of 42, 207–209,
238
margin of error 237
morality 40; and truth 251–252
perfectionist fallacy 216–217, 238
post hoc ergo propter hoc: fallacy of
220–221, 238
practical argument see practical reasoning
practical reasoning 147–153, 159–160,
271
premise 9, 12, 13, 14, 15, 17–19, 22, 23,
24, 56, 63, 64, 66, 72, 73–74, 76, 82,
91, 94, 97, 100, 111, 112, 113, 114,
119, 121, 138, 170, 171, 172, 173, 175,
176, 177, 178, 179, 180, 183, 186, 187,
196, 202, 203, 243, 254, 259–261, 262,
266, 269, 271, 272; conditional 73,
134–135, 158–159, 204, 205;
connecting 76, 132–133, 135, 137,
159, 267; implicit 57, 125–132, 159,
186, 202, 208, 233, 270; indicators
18–19, 24, 271–272; prescriptive 206
prescriptive claims 67–68
principle of charity 56–60, 82, 127, 137,
143, 185, 272
probability 91–8, 113–114, 150–153,
156, 160, 257, 267, 272; in conclusion
of an argument 105–107; degrees of
95–96; as frequency 92, 113; and
justification 263; in premises of an
argument 100–104; as proportion 92,
113
proposition 9–12, 14–15, 17, 18, 19, 24,
28, 29, 34, 36, 56–57, 61–64, 82, 119,
125–126, 136, 140, 159–160, 243,
245–246, 266, 272, 273, 274; definition
of 9; stances toward a 254, 264, 274
propositional attitude 228
pseudo-reasoning; see also fallacy; rhetorical
ploy 40, 200–241
quantifier 36–40, 50, 90, 92, 96, 99, 100,
125, 144, 159, 269, 272, 273
rational persuasiveness 169–176, 196,
254, 256, 264, 266, 272; definition of
172; and knowledge 259–261
red herring 49, 230–231, 238
relativity: context 244–245, 247; implicit
35–36, 122, 270; implicit speaker
244–246, 270; and truth 242, 243–247
relevance 135–138, 159, 272–273
index 293

representative see sample
rhetoric 6–7, 11, 23, 31, 36, 39, 119, 120,
131–132, 137, 141, 143, 174, 186, 193,
273; definition of 6, 40; defusing of
122–123, 159
rhetorical force 10, 24, 34, 273
rhetorical ploy 11, 28, 40–50, 175, 186,
204, 209, 216, 229, 230, 258, 273
rhetorical question 34–35, 50, 122, 123,
273
sample 107–112, 114, 270, 273
scare quotes 46–47, 51, 273
scepticism 263
slippery slope 204, 231–232, 238
smokescreen 49, 51, 100, 230, 273
soundness see deductively sound;
inductively sound
spin 50
standard form 12–13, 16, 17, 24, 56, 57,
81, 102, 112, 119, 177, 185, 186, 266,
274
straw man 232–233, 238
truth 5, 8, 9, 39, 56, 59, 60–62, 81,
94–96, 172, 203, 250, 264, 274;
definition of 8; and knowledge
256–257; and relativity 242, 243–250,
264
truth-value 61, 66, 76–78, 97, 113, 138,
186, 243, 244, 245, 247
tu quoque fallacy 213–214, 238
vagueness 31–33, 36, 37, 42, 47–48, 50,
122, 274; in arguments 138, 141–144,
159, 184, 186
validity 23, 56, 62–67, 72, 76–77,
78–9, 82, 91 n. 1, 95, 97, 112–114,
133, 170, 172–173, 175, 177,
178–179, 180, 186, 187, 196, 202,
204–206, 238, 259, 266, 268, 269,
270, 271, 273, 274; definition of
63–64; test for 66, 234
weak analogy: fallacy of 218–220, 238
‘who is to say?’ criticism 183–184, 186,
197
index294