IEEE Std 1666 2011, Standard For SystemC® Language Reference Manual 6134619(IEEE 4 System C Manual)
User Manual:
Open the PDF directly: View PDF
.
Page Count: 638 [warning: Documents this large are best viewed by clicking the View PDF Link!]
- IEEE Std 1666-2011 Front Cover
- Title Page
- Introduction
- Notice to users
- Participants
- Contents
- Important Notice
- 1. Overview
- 2. Normative references
- 3. Terminology and conventions used in this standard
- 4. Elaboration and simulation semantics
- 5. Core language class definitions
- 5.1 Class header files
- 5.2 sc_module
- 5.3 sc_module_name
- 5.4 sc_sensitive†
- 5.5 sc_spawn_options and sc_spawn
- 5.6 sc_process_handle
- 5.7 sc_event_finder and sc_event_finder_t
- 5.8 sc_event_and_list and sc_event_or_list
- 5.9 sc_event_and_expr† and sc_event_or_expr†
- 5.10 sc_event
- 5.11 sc_time
- 5.12 sc_port
- 5.13 sc_export
- 5.14 sc_interface
- 5.15 sc_prim_channel
- 5.16 sc_object
- 5.17 Hierarachical naming of objects and events
- 5.18 sc_attr_base
- 5.19 sc_attribute
- 5.20 sc_attr_cltn
- 6. Predefined channel class definitions
- 6.1 sc_signal_in_if
- 6.2 sc_signal_in_if<bool> and sc_signal_in_if<sc_dt::sc_logic>
- 6.3 sc_signal_inout_if
- 6.4 sc_signal
- 6.5 sc_signal<bool,WRITER_POLICY> and sc_signal<sc_dt::sc_logic,WRITER_POLICY>
- 6.6 sc_buffer
- 6.7 sc_clock
- 6.8 sc_in
- 6.9 sc_in<bool> and sc_in<sc_dt::sc_logic>
- 6.10 sc_inout
- 6.11 sc_inout<bool> and sc_inout<sc_dt::sc_logic>
- 6.12 sc_out
- 6.13 sc_signal_resolved
- 6.14 sc_in_resolved
- 6.15 sc_inout_resolved
- 6.16 sc_out_resolved
- 6.17 sc_signal_rv
- 6.18 sc_in_rv
- 6.19 sc_inout_rv
- 6.20 sc_out_rv
- 6.21 sc_fifo_in_if
- 6.22 sc_fifo_out_if
- 6.23 sc_fifo
- 6.24 sc_fifo_in
- 6.25 sc_fifo_out
- 6.26 sc_mutex_if
- 6.27 sc_mutex
- 6.28 sc_semaphore_if
- 6.29 sc_semaphore
- 6.30 sc_event_queue
- 7. SystemC data types
- 7.1 Introduction
- 7.2 Common characteristics
- 7.3 String literals
- 7.4 sc_value_base†
- 7.5 Limited-precision integer types
- 7.6 Finite-precision integer types
- 7.7 Integer concatenations
- 7.8 Generic base proxy class
- 7.9 Logic and vector types
- 7.10 Fixed-point types
- 7.11 Contexts
- 7.12 Control of string representation
- 8. SystemC utilities
- 9. Overview of TLM-2.0
- 10. Introduction to TLM-2.0
- 11. TLM-2.0 core interfaces
- 12. TLM-2.0 global quantum
- 13. Combined TLM-2.0 interfaces and sockets
- 14. TLM-2.0 generic payload
- 14.1 Introduction
- 14.2 Extensions and interoperability
- 14.3 Generic payload attributes and methods
- 14.4 Class definition
- 14.5 Generic payload memory management
- 14.6 Constructors, assignment, and destructor
- 14.7 Default values and modifiability of attributes
- 14.8 Option attribute
- 14.9 Command attribute
- 14.10 Address attribute
- 14.11 Data pointer attribute
- 14.12 Data length attribute
- 14.13 Byte enable pointer attribute
- 14.14 Byte enable length attribute
- 14.15 Streaming width attribute
- 14.16 DMI allowed attribute
- 14.17 Response status attribute
- 14.18 Endianness
- 14.19 Helper functions to determine host endianness
- 14.20 Helper functions for endianness conversion
- 14.21 Generic payload extensions
- 15. TLM-2.0 base protocol and phases
- 16. TLM-2.0 utilities
- 17. TLM-1 Message passing interface and analysis ports
- Annex A (informative) Introduction to SystemC
- Annex B (informative) Glossary
- Annex C (informative) Deprecated features
- Annex D (informative) Changes between IEEE Std 1666-2005 and IEEE Std 1666-2011
- Index

IEEE Standard for Standard
SystemC® Language Reference
Manual
Sponsored by the
Design Automation Standards Committee
IEEE
3 Park Avenue
New York, NY 10016-5997
USA
9 January 2012
IEEE Computer Society
IEEE Std 1666™-2011
(Revision of
IEEE Std 1666-2005)
Authorized licensed use limited to: Furkan Tuncer. Downloaded on October 16,2017 at 17:05:54 UTC from IEEE Xplore. Restrictions apply.
Authorized licensed use limited to: Furkan Tuncer. Downloaded on October 16,2017 at 17:05:54 UTC from IEEE Xplore. Restrictions apply.

IEEE Std 1666™-2011
(Revision of
IEEE Std 1666-2005)
IEEE Standard for Standard
SystemC® Language Reference
Manual
Sponsor
Design Automation Standards Committee
of the
IEEE Computer Society
Approved 10 September 2011
IEEE-SA Standards Board
Authorized licensed use limited to: Furkan Tuncer. Downloaded on October 16,2017 at 17:05:54 UTC from IEEE Xplore. Restrictions apply.

The Institute of Electrical and Electronics Engineers, Inc.
3 Park Avenue, New York, NY 10016-5997, USA
Copyright © 2012 by the Institute of Electrical and Electronics Engineers, Inc.
All rights reserved. Published 9 January 2012. Printed in the United States of America.
IEEE is a registered trademark in the U.S. Patent & Trademark Office, owned by the Institute of Electrical and Electronics
Engineers, Incorporated.
SystemC is a registered trademark in the U.S. Patent & Trademark Office, owned by the Accellera Systems Initiative.
Print: ISBN 978-0-7381-6801-2 STD97162
PDF: ISBN 978-0-7381-6802-9 STDPD97162
IEEE prohibits discrimination, harassment, and bullying. For more information, visit http://www.ieee.org/web/aboutus/
whatis/policies/p9-26.html.
No part of this publication may be reproduced in any form, in an electronic retrieval system or otherwise, without the prior
written permission of the publisher.
Grateful acknowledgment is made to the Open SystemC Initiative (OSCI) for the permission to use
the following source material:
— OSCI TLM Language Reference Manual Version 2.0.1
Note that a merger of OSCI and Accellera, announced on 5 December 2011, created a new
organization, Accellera Systems Initiative.
Abstract: SystemC® is defined in this standard. SystemC is an ANSI standard C++ class library
for system and hardware design for use by designers and architects who need to address complex
systems that are a hybrid between hardware and software. This standard provides a precise and
complete definition of the SystemC class library so that a SystemC implementation can be
developed with reference to this standard alone. The primary audiences for this standard are the
implementors of the SystemC class library, the implementors of tools supporting the class library,
and the users of the class library.
Keywords: C++, computer languages, digital systems, discrete event simulation, electronic
design automation, electronic system level, electronic systems, embedded software, fixed-point,
hardware description language, hardware design, hardware verification, IEEE 1666, SystemC,
system modeling, system-on-chip, transaction level
Authorized licensed use limited to: Furkan Tuncer. Downloaded on October 16,2017 at 17:05:54 UTC from IEEE Xplore. Restrictions apply.
IEEE Standards documents are developed within the IEEE Societies and the Standards Coordinating
Committees of the IEEE Standards Association (IEEE-SA) Standards Board. The IEEE develops its standards
through a consensus development process, approved by the American National Standards Institute, which
brings together volunteers representing varied viewpoints and interests to achieve the final product. Volunteers
are not necessarily members of the Institute and serve without compensation. While the IEEE administers the
process and establishes rules to promote fairness in the consensus development process, the IEEE does not
independently evaluate, test, or verify the accuracy of any of the information contained in its standards.
Use of an IEEE Standard is wholly voluntary. The IEEE disclaims liability for any personal injury, property or
other damage, of any nature whatsoever, whether special, indirect, consequential, or compensatory, directly or
indirectly resulting from the publication, use of, or reliance upon this, or any other IEEE Standard document.
The IEEE does not warrant or represent the accuracy or content of the material contained herein, and expressly
disclaims any express or implied warranty, including any implied warranty of merchantability or fitness for a
specific purpose, or that the use of the material contained herein is free from patent infringement. IEEE
Standards documents are supplied “AS IS.”
The existence of an IEEE Standard does not imply that there are no other ways to produce, test, measure,
purchase, market, or provide other goods and services related to the scope of the IEEE Standard. Furthermore,
the viewpoint expressed at the time a standard is approved and issued is subject to change brought about
through developments in the state of the art and comments received from users of the standard. Every IEEE
Standard is subjected to review at least every five years for revision or reaffirmation. When a document is
more than five years old and has not been reaffirmed, it is reasonable to conclude that its contents, although
still of some value, do not wholly reflect the present state of the art. Users are cautioned to check to determine
that they have the latest edition of any IEEE Standard.
In publishing and making this document available, the IEEE is not suggesting or rendering professional or
other services for, or on behalf of, any person or entity. Nor is the IEEE undertaking to perform any duty owed
by any other person or entity to another. Any person utilizing this, and any other IEEE Standards document,
should rely upon the advice of a competent professional in determining the exercise of reasonable care in any
given circumstances.
Interpretations: Occasionally questions may arise regarding the meaning of portions of standards as they relate
to specific applications. When the need for interpretations is brought to the attention of IEEE, the Institute will
initiate action to prepare appropriate responses. Since IEEE Standards represent a consensus of concerned
interests, it is important to ensure that any interpretation has also received the concurrence of a balance of
interests. For this reason, IEEE and the members of its societies and Standards Coordinating Committees are
not able to provide an instant response to interpretation requests except in those cases where the matter has
previously received formal consideration. At lectures, symposia, seminars, or educational courses, an
individual presenting information on IEEE standards shall make it clear that his or her views should be
considered the personal views of that individual rather than the formal position, explanation, or interpretation
of the IEEE. Comments for revision of IEEE Standards are welcome from any interested party, regardless of
membership affiliation with IEEE. Suggestions for changes in documents should be in the form of a proposed
change of text, together with appropriate supporting comments.
Comments on standards and requests for interpretations should be addressed to:
Secretary, IEEE-SA Standards Board
445 Hoes Lane
Piscataway, NJ 08854-4141
USA
Authorization to photocopy portions of any individual standard for internal or personal use is granted by the
Institute of Electrical and Electronics Engineers, Inc., provided that the appropriate fee is paid to Copyright
Clearance Center. To arrange for payment of licensing fee, please contact Copyright Clearance Center,
Customer Service, 222 Rosewood Drive, Danvers, MA 01923 USA; +1 978 750 8400. Permission to
photocopy portions of any individual standard for educational classroom use can also be obtained through the
Copyright Clearance Center.
Authorized licensed use limited to: Furkan Tuncer. Downloaded on October 16,2017 at 17:05:54 UTC from IEEE Xplore. Restrictions apply.

iv
Copyright © 2012 IEEE. All rights reserved.
Introduction
This document defines SystemC, which is a C++ class library.
As the electronics industry builds more complex systems involving large numbers of components including
software, there is an increasing need for a modeling language that can manage the complexity and size of
these systems. SystemC provides a mechanism for managing this complexity with its facility for modeling
hardware and software together at multiple levels of abstraction. This capability is not available in
traditional hardware description languages.
Stakeholders in SystemC include Electronic Design Automation (EDA) companies who implement
SystemC class libraries and tools, integrated circuit (IC) suppliers who extend those class libraries and use
SystemC to model their intellectual property, and end users who use SystemC to model their systems.
Before the publication of this standard, SystemC was defined by an open-source, proof-of-concept C++
library, also known as the reference simulator, available from the Accellera Systems Initiative. In the event
of discrepancies between the behavior of the reference simulator and statements made in this standard, this
standard shall be taken to be definitive.
This standard is not intended to serve as a user’s guide or to provide an introduction to SystemC. Readers
requiring a SystemC tutorial or information on the intended use of SystemC should consult the Accellera
Systems Initiative Web site (www.accellera.org) to locate the many books and training classes available.
Note that the Open Systems Initiative (OSCI) announced in December 2011 its merger with Accellera to
form the “Accellera Systems Initiative.” The name of the new organization has been used throughout this
document instead of the name “Open SystemC Imitative” or the acronym “OSCI.” The exceptions are in
statements that refer to previous OSCI actions, and standards such as “OSCI TLM-2.0.1,” whose names
have not been changed.
Notice to users
Laws and regulations
Users of these documents should consult all applicable laws and regulations. Compliance with the
provisions of this standard does not imply compliance to any applicable regulatory requirements.
Implementers of the standard are responsible for observing or referring to the applicable regulatory
requirements. IEEE does not, by the publication of its standards, intend to urge action that is not in
compliance with applicable laws, and these documents may not be construed as doing so.
Copyrights
This document is copyrighted by the IEEE. It is made available for a wide variety of both public and private
uses. These include both use, by reference, in laws and regulations, and use in private self-regulation,
standardization, and the promotion of engineering practices and methods. By making this document
available for use and adoption by public authorities and private users, the IEEE does not waive any rights in
copyright to this document.
This introduction is not part of IEEE Std 1666-2011, IEEE Standard for Standard SystemC® Language Reference
Manual.
Authorized licensed use limited to: Furkan Tuncer. Downloaded on October 16,2017 at 17:05:54 UTC from IEEE Xplore. Restrictions apply.

v
Copyright © 2012 IEEE. All rights reserved.
Updating of IEEE documents
Users of IEEE standards should be aware that these documents may be superseded at any time by
the issuance of new editions or may be amended from time to time through the issuance of
amendments, corrigenda, or errata. An official IEEE document at any point in time consists of the
current edition of the document together with any amendments, corrigenda, or errata then in effect.
In order to determine whether a given document is the current edition and whether it has been
amended through the issuance of amendments, corrigenda, or errata, visit the IEEE Standards
Association website at http://ieeexplore.ieee.org/xpl/standards.jsp, or contact the IEEE at the address
listed previously.
For more information about the IEEE Standards Association or the IEEE standards development process,
visit the IEEE-SA website at http://standards.ieee.org.
Errata
Errata, if any, for this and all other standards can be accessed at the following URL: http://
standards.ieee.org/findstds/errata/index.html. Users are encouraged to check this URL for errata
periodically.
Interpretations
Current interpretations can be accessed at the following URL: http://standards.ieee.org/findstds/
interps/index.html.
Patents
Attention is called to the possibility that implementation of this standard may require use of subject matter
covered by patent rights. By publication of this standard, no position is taken with respect to the existence or
validity of any patent rights in connection therewith. The IEEE shall not be responsible for identifying
patents or patent applications for which a license may be required to implement an IEEE standard or for
conducting inquiries into the legal validity or scope of those patents that are brought to its attention.
Authorized licensed use limited to: Furkan Tuncer. Downloaded on October 16,2017 at 17:05:54 UTC from IEEE Xplore. Restrictions apply.
vi
Copyright © 2012 IEEE. All rights reserved.
Participants
This entity-based standard was created under the leadership of the following individuals:
Stan Krolikoski, Chair
Jerome Cornet, Vice Chair
John Aynsley, Technical Lead and Author
David Long, Co-Author (SystemC Data Types)
Dennis Brophy, Secretary
Sofie Vandeputte, Typographical Editor
At the time this entity-based standard was completed, the LRM Working Group had the following
membership:
The following members of the entity-based balloting committee voted on this standard. Balloting entities
may have voted for approval, disapproval, or abstention.
The working group gratefully acknowledges the contributions of the following participants:
Accellera Organization
Cadence Design Systems
Freescale Semiconductors
Intel Corporation
JEITA
Mentor Graphics
NXP Semiconductors
OSCI
STARC
STMicroelectronics
Synopsys
Texas Instruments
Accellera Organization
Cadence Design Systems
Intel Corporation
JEITA
Mentor Graphics
NXP Semiconductors
OSCI
Qualcomm Incorporated
SGCC
STARC
STMicroelectronics
Synopsys
Texas Instruments
John Aynsley
Bishnupriya Bhattacharya
David C. Black
Jerome Cornet
Alan Fitch
Mark Glasser
Puneet Goel
Andy Goodrich
Philipp A. Hartmann
Hiroshi Imai
Martin Janssen
Tor Jeremiassen
David Long
Michael McNamara
Mike Meredith
Eric E. Roesler
Stuart Swan
Bart Vanthournout
Yossi Veller
Kaz Yoshinaga
Authorized licensed use limited to: Furkan Tuncer. Downloaded on October 16,2017 at 17:05:54 UTC from IEEE Xplore. Restrictions apply.
vii
Copyright © 2012 IEEE. All rights reserved.
When the IEEE-SA Standards Board approved this standard on 10 September 2011, it had the following
membership:
Richard H. Hulett, Chair
John Kulick, Vice Chair
Robert Grow, Past Chair
Judith Gorman, Secretary
*Member Emeritus
Also included are the following nonvoting IEEE-SA Standards Board liaisons:
Satish K. Aggarwal, NRC Representative
Richard DeBlasio, DOE Representative
Alan H. Cookson, NIST Representative
Michelle D. Turner
IEEE Standards Program Manager, Document Development
Joan Woolery
IEEE Standards Program Manager, Technical Program Development
Masayuki Ariyoshi
William Bartley
Ted Burse
Clint Chaplin
Wael Diab
Jean-Philippe Faure
Alex Gelman
Paul Houzé
Jim Hughes
Joseph L. Koepfinger*
David Law
Thomas Lee
Hung Ling
Oleg Logvinov
Ted Olsen
Gary Robinson
Jon Rosdahl
Sam Sciacca
Mike Seavey
Curtis Siller
Phil Winston
Howard Wolfman
Don Wright
Authorized licensed use limited to: Furkan Tuncer. Downloaded on October 16,2017 at 17:05:54 UTC from IEEE Xplore. Restrictions apply.
viii
Copyright © 2012 IEEE. All rights reserved.
Contents
1. Overview.............................................................................................................................................. 1
1.1 Scope............................................................................................................................................ 1
1.2 Purpose......................................................................................................................................... 1
1.3 Subsets ......................................................................................................................................... 2
1.4 Relationship with C++................................................................................................................. 2
1.5 Guidance for readers.................................................................................................................... 2
2. Normative references........................................................................................................................... 4
3. Terminology and conventions used in this standard............................................................................ 5
3.1 Terminology................................................................................................................................. 5
3.1.1 Shall, should, may, can ....................................................................................................5
3.1.2 Implementation, application ............................................................................................ 5
3.1.3 Call, called from, derived from........................................................................................ 5
3.1.4 Specific technical terms ...................................................................................................5
3.2 Syntactical conventions ............................................................................................................... 7
3.2.1 Implementation-defined................................................................................................... 7
3.2.2 Disabled ........................................................................................................................... 7
3.2.3 Ellipsis (...)....................................................................................................................... 7
3.2.4 Class names...................................................................................................................... 7
3.2.5 Embolded text .................................................................................................................. 8
3.3 Semantic conventions .................................................................................................................. 8
3.3.1 Class definitions and the inheritance hierarchy ............................................................... 8
3.3.2 Function definitions and side-effects ............................................................................... 8
3.3.3 Functions whose return type is a reference or a pointer .................................................. 8
3.3.4 Namespaces and internal naming .................................................................................. 10
3.3.5 Non-compliant applications and errors.......................................................................... 11
3.4 Notes and examples ................................................................................................................... 11
4. Elaboration and simulation semantics ............................................................................................... 12
4.1 Elaboration................................................................................................................................. 12
4.1.1 Instantiation ................................................................................................................... 12
4.1.2 Process macros............................................................................................................... 14
4.1.3 Port binding and export binding .................................................................................... 14
4.1.4 Setting the time resolution ............................................................................................. 15
4.2 Simulation.................................................................................................................................. 15
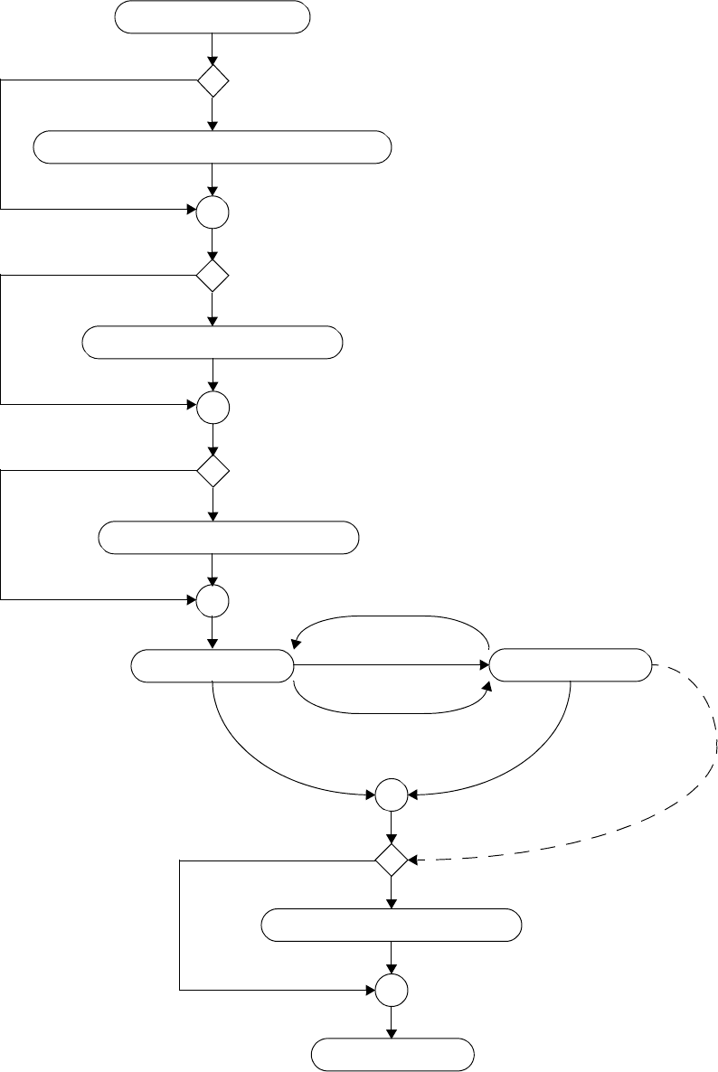
4.2.1 The scheduling algorithm .............................................................................................. 16
4.2.2 Initialization, cycles, and pauses in the scheduling algorithm....................................... 19
4.3 Running elaboration and simulation .......................................................................................... 20
4.3.1 Function declarations..................................................................................................... 20
4.3.2 Function sc_elab_and_sim............................................................................................. 20
4.3.3 Functions sc_argc and sc_argv ...................................................................................... 21
4.3.4 Running under application control using functions sc_main and sc_start..................... 21
4.3.5 Running under control of the kernel .............................................................................. 23
4.4 Elaboration and simulation callbacks ........................................................................................ 23
4.4.1 before_end_of_elaboration ............................................................................................ 24
4.4.2 end_of_elaboration ........................................................................................................ 25
4.4.3 start_of_simulation ........................................................................................................26
Authorized licensed use limited to: Furkan Tuncer. Downloaded on October 16,2017 at 17:05:54 UTC from IEEE Xplore. Restrictions apply.
ix
Copyright © 2012 IEEE. All rights reserved.
4.4.4 end_of_simulation ......................................................................................................... 27
4.5 Other functions related to the scheduler .................................................................................... 27
4.5.1 Function declarations..................................................................................................... 27
4.5.2 Function sc_pause..........................................................................................................28
4.5.3 Function sc_stop, sc_set_stop_mode, and sc_get_stop_mode ...................................... 29
4.5.4 Function sc_time_stamp ................................................................................................ 30
4.5.5 Function sc_delta_count ................................................................................................ 31
4.5.6 Function sc_is_running.................................................................................................. 31
4.5.7 Functions to detect pending activity .............................................................................. 31
4.5.8 Function sc_get_status................................................................................................... 32
5. Core language class definitions ......................................................................................................... 35
5.1 Class header files ....................................................................................................................... 35
5.1.1 #include "systemc".........................................................................................................35
5.1.2 #include "systemc.h"...................................................................................................... 35
5.2 sc_module .................................................................................................................................. 37
5.2.1 Description..................................................................................................................... 37
5.2.2 Class definition .............................................................................................................. 37
5.2.3 Constraints on usage ...................................................................................................... 39
5.2.4 kind ................................................................................................................................ 39
5.2.5 SC_MODULE ............................................................................................................... 40
5.2.6 Constructors ................................................................................................................... 40
5.2.7 SC_CTOR...................................................................................................................... 40
5.2.8 SC_HAS_PROCESS ..................................................................................................... 41
5.2.9 SC_METHOD, SC_THREAD, SC_CTHREAD........................................................... 42
5.2.10 Method process .............................................................................................................. 43
5.2.11 Thread and clocked thread processes............................................................................. 43
5.2.12 Clocked thread processes............................................................................................... 44
5.2.13 reset_signal_is and async_reset_signal_is ..................................................................... 46
5.2.14 sensitive ......................................................................................................................... 48
5.2.15 dont_initialize ................................................................................................................ 48
5.2.16 set_stack_size................................................................................................................. 49
5.2.17 next_trigger.................................................................................................................... 50
5.2.18 wait................................................................................................................................. 52
5.2.19 Positional port binding...................................................................................................53
5.2.20 before_end_of_elaboration, end_of_elaboration, start_of_simulation,
end_of_simulation ......................................................................................................... 55
5.2.21 get_child_objects and get_child_events ........................................................................ 55
5.2.22 sc_gen_unique_name..................................................................................................... 56
5.2.23 sc_behavior and sc_channel........................................................................................... 56
5.3 sc_module_name ....................................................................................................................... 57
5.3.1 Description..................................................................................................................... 57
5.3.2 Class definition .............................................................................................................. 57
5.3.3 Constraints on usage ...................................................................................................... 58
5.3.4 Module hierarchy...........................................................................................................58
5.3.5 Member functions .......................................................................................................... 58
5.4 sc_sensitive† .............................................................................................................................. 60
5.4.1 Description..................................................................................................................... 60
5.4.2 Class definition .............................................................................................................. 60
5.4.3 Constraints on usage ...................................................................................................... 60
5.4.4 operator<<...................................................................................................................... 60
5.5 sc_spawn_options and sc_spawn............................................................................................... 61
5.5.1 Description..................................................................................................................... 61
Authorized licensed use limited to: Furkan Tuncer. Downloaded on October 16,2017 at 17:05:54 UTC from IEEE Xplore. Restrictions apply.
x
Copyright © 2012 IEEE. All rights reserved.
5.5.2 Class definition .............................................................................................................. 61
5.5.3 Constraints on usage ...................................................................................................... 62
5.5.4 Constructors ................................................................................................................... 62
5.5.5 Member functions .......................................................................................................... 63
5.5.6 sc_spawn........................................................................................................................ 64
5.5.7 SC_FORK and SC_JOIN............................................................................................... 66
5.6 sc_process_handle ..................................................................................................................... 67
5.6.1 Description..................................................................................................................... 67
5.6.2 Class definition .............................................................................................................. 68
5.6.3 Constraints on usage ...................................................................................................... 69
5.6.4 Constructors ................................................................................................................... 69
5.6.5 Member functions .......................................................................................................... 69
5.6.6 Member functions for process control ........................................................................... 73
5.6.7 sc_get_current_process_handle ..................................................................................... 88
5.6.8 sc_is_unwinding ............................................................................................................89
5.7 sc_event_finder and sc_event_finder_t ..................................................................................... 90
5.7.1 Description..................................................................................................................... 90
5.7.2 Class definition .............................................................................................................. 90
5.7.3 Constraints on usage ...................................................................................................... 90
5.8 sc_event_and_list and sc_event_or_list..................................................................................... 92
5.8.1 Description..................................................................................................................... 92
5.8.2 Class definition .............................................................................................................. 92
5.8.3 Constraints and usage .................................................................................................... 93
5.8.4 Constructors, destructor, assignment ............................................................................. 93
5.8.5 Member functions and operators ................................................................................... 94
5.9 sc_event_and_expr† and sc_event_or_expr†............................................................................ 95
5.9.1 Description..................................................................................................................... 95
5.9.2 Class definition .............................................................................................................. 95
5.9.3 Constraints on usage ...................................................................................................... 96
5.9.4 Operators........................................................................................................................ 96
5.10 sc_event ..................................................................................................................................... 97
5.10.1 Description..................................................................................................................... 97
5.10.2 Class definition .............................................................................................................. 97
5.10.3 Constraints on usage ......................................................................................................98
5.10.4 Constructors, destructor, and event naming.................................................................. 98
5.10.5 Functions for naming and hierarchy traversal .............................................................. 99
5.10.6 notify and cancel.......................................................................................................... 100
5.10.7 Event lists..................................................................................................................... 101
5.10.8 Multiple event notifications ......................................................................................... 101
5.11 sc_time ..................................................................................................................................... 101
5.11.1 Description................................................................................................................... 101
5.11.2 Class definition ............................................................................................................ 101
5.11.3 Time resolution ............................................................................................................ 102
5.11.4 Function sc_max_time................................................................................................. 103
5.11.5 Functions and operators............................................................................................... 103
5.11.6 SC_ZERO_TIME ........................................................................................................ 103
5.12 sc_port...................................................................................................................................... 104
5.12.1 Description................................................................................................................... 104
5.12.2 Class definition ............................................................................................................ 104
5.12.3 Template parameters.................................................................................................... 105
5.12.4 Constraints on usage .................................................................................................... 106
5.12.5 Constructors ................................................................................................................. 107
5.12.6 kind .............................................................................................................................. 107
5.12.7 Named port binding ..................................................................................................... 108
Authorized licensed use limited to: Furkan Tuncer. Downloaded on October 16,2017 at 17:05:54 UTC from IEEE Xplore. Restrictions apply.
xi
Copyright © 2012 IEEE. All rights reserved.
5.12.8 Member functions for bound ports and port-to-port binding....................................... 109
5.12.9 before_end_of_elaboration, end_of_elaboration, start_of_simulation,
end_of_simulation ....................................................................................................... 112
5.13 sc_export.................................................................................................................................. 113
5.13.1 Description................................................................................................................... 113
5.13.2 Class definition ............................................................................................................ 113
5.13.3 Template parameters.................................................................................................... 114
5.13.4 Constraints on usage .................................................................................................... 114
5.13.5 Constructors ................................................................................................................. 114
5.13.6 kind .............................................................................................................................. 114
5.13.7 Export binding ............................................................................................................. 115
5.13.8 Member functions for bound exports and export-to-export binding ........................... 116
5.13.9 before_end_of_elaboration, end_of_elaboration, start_of_simulation,
end_of_simulation ....................................................................................................... 117
5.14 sc_interface .............................................................................................................................. 117
5.14.1 Description................................................................................................................... 117
5.14.2 Class definition ............................................................................................................ 117
5.14.3 Constraints on usage .................................................................................................... 118
5.14.4 register_port ................................................................................................................. 118
5.14.5 default_event................................................................................................................ 119
5.15 sc_prim_channel ...................................................................................................................... 119
5.15.1 Description................................................................................................................... 119
5.15.2 Class definition ............................................................................................................ 119
5.15.3 Constraints on usage .................................................................................................... 121
5.15.4 Constructors, destructor, and hierarchical names ........................................................ 121
5.15.5 kind .............................................................................................................................. 121
5.15.6 request_update and update........................................................................................... 121
5.15.7 next_trigger and wait ................................................................................................... 123
5.15.8 before_end_of_elaboration, end_of_elaboration, start_of_simulation,
end_of_simulation ....................................................................................................... 123
5.16 sc_object .................................................................................................................................. 124
5.16.1 Description................................................................................................................... 124
5.16.2 Class definition ............................................................................................................ 124
5.16.3 Constraints on usage .................................................................................................... 125
5.16.4 Constructors and destructor ......................................................................................... 126
5.16.5 name, basename, and kind ........................................................................................... 126
5.16.6 print and dump ............................................................................................................. 127
5.16.7 Functions for object hierarchy traversal ...................................................................... 127
5.16.8 Member functions for attributes .................................................................................. 129
5.17 Hierarachical naming of objects and events ............................................................................ 130
5.18 sc_attr_base.............................................................................................................................. 131
5.18.1 Description................................................................................................................... 131
5.18.2 Class definition ............................................................................................................ 131
5.18.3 Member functions ........................................................................................................ 132
5.19 sc_attribute............................................................................................................................... 132
5.19.1 Description................................................................................................................... 132
5.19.2 Class definition ............................................................................................................ 132
5.19.3 Template parameters.................................................................................................... 132
5.19.4 Member functions and data members.......................................................................... 132
5.20 sc_attr_cltn............................................................................................................................... 133
5.20.1 Description................................................................................................................... 133
5.20.2 Class definition ............................................................................................................ 133
5.20.3 Constraints on usage .................................................................................................... 133
5.20.4 Iterators ........................................................................................................................ 133
Authorized licensed use limited to: Furkan Tuncer. Downloaded on October 16,2017 at 17:05:54 UTC from IEEE Xplore. Restrictions apply.
xii
Copyright © 2012 IEEE. All rights reserved.
6. Predefined channel class definitions................................................................................................ 135
6.1 sc_signal_in_if ......................................................................................................................... 135
6.1.1 Description................................................................................................................... 135
6.1.2 Class definition ............................................................................................................ 135
6.1.3 Member functions ........................................................................................................ 135
6.2 sc_signal_in_if<bool> and sc_signal_in_if<sc_dt::sc_logic>................................................. 136
6.2.1 Description................................................................................................................... 136
6.2.2 Class definition ............................................................................................................ 136
6.2.3 Member functions ........................................................................................................ 137
6.3 sc_signal_inout_if.................................................................................................................... 137
6.3.1 Description................................................................................................................... 137
6.3.2 Class definition ............................................................................................................ 137
6.3.3 Member functions ........................................................................................................ 138
6.4 sc_signal................................................................................................................................... 139
6.4.1 Description................................................................................................................... 139
6.4.2 Class definition ............................................................................................................ 139
6.4.3 Template parameter T.................................................................................................. 140
6.4.4 Reading and writing signals......................................................................................... 140
6.4.5 Constructors ................................................................................................................. 141
6.4.6 register_port ................................................................................................................. 141
6.4.7 Member functions for reading ..................................................................................... 141
6.4.8 Member functions for writing...................................................................................... 142
6.4.9 Member functions for events ....................................................................................... 142
6.4.10 Diagnostic member functions ...................................................................................... 143
6.4.11 operator<<.................................................................................................................... 143
6.5 sc_signal<bool,WRITER_POLICY> and sc_signal<sc_dt::sc_logic,WRITER_POLICY> .. 144
6.5.1 Description................................................................................................................... 144
6.5.2 Class definition ............................................................................................................ 144
6.5.3 Member functions ........................................................................................................ 146
6.6 sc_buffer .................................................................................................................................. 147
6.6.1 Description................................................................................................................... 147
6.6.2 Class definition ............................................................................................................ 147
6.6.3 Constructors ................................................................................................................. 147
6.6.4 Member functions ........................................................................................................ 148
6.7 sc_clock ................................................................................................................................... 149
6.7.1 Description................................................................................................................... 149
6.7.2 Class definition ............................................................................................................ 149
6.7.3 Characteristic properties .............................................................................................. 150
6.7.4 Constructors ................................................................................................................. 150
6.7.5 write ............................................................................................................................. 151
6.7.6 Diagnostic member functions ...................................................................................... 151
6.7.7 before_end_of_elaboration .......................................................................................... 151
6.7.8 sc_in_clk ...................................................................................................................... 151
6.8 sc_in ......................................................................................................................................... 152
6.8.1 Description................................................................................................................... 152
6.8.2 Class definition ............................................................................................................ 152
6.8.3 Member functions ........................................................................................................ 153
6.8.4 Function sc_trace ......................................................................................................... 153
6.8.5 end_of_elaboration ...................................................................................................... 153
6.9 sc_in<bool> and sc_in<sc_dt::sc_logic>................................................................................. 153
6.9.1 Description................................................................................................................... 153
6.9.2 Class definition ............................................................................................................ 154
6.9.3 Member functions ........................................................................................................ 155
Authorized licensed use limited to: Furkan Tuncer. Downloaded on October 16,2017 at 17:05:54 UTC from IEEE Xplore. Restrictions apply.
xiii
Copyright © 2012 IEEE. All rights reserved.
6.10 sc_inout.................................................................................................................................... 156
6.10.1 Description................................................................................................................... 156
6.10.2 Class definition ............................................................................................................ 156
6.10.3 Member functions ........................................................................................................ 157
6.10.4 initialize ....................................................................................................................... 157
6.10.5 Function sc_trace .........................................................................................................157
6.10.6 end_of_elaboration ...................................................................................................... 158
6.10.7 Binding......................................................................................................................... 158
6.11 sc_inout<bool> and sc_inout<sc_dt::sc_logic> ...................................................................... 158
6.11.1 Description................................................................................................................... 158
6.11.2 Class definition ............................................................................................................ 158
6.11.3 Member functions ........................................................................................................ 160
6.12 sc_out ....................................................................................................................................... 160
6.12.1 Description................................................................................................................... 160
6.12.2 Class definition ............................................................................................................ 160
6.12.3 Member functions ........................................................................................................ 161
6.13 sc_signal_resolved ................................................................................................................... 161
6.13.1 Description................................................................................................................... 161
6.13.2 Class definition ............................................................................................................ 161
6.13.3 Constructors ................................................................................................................. 162
6.13.4 Resolution semantics ................................................................................................... 162
6.13.5 Member functions ........................................................................................................ 163
6.14 sc_in_resolved ......................................................................................................................... 164
6.14.1 Description................................................................................................................... 164
6.14.2 Class definition ............................................................................................................ 164
6.14.3 Member functions ........................................................................................................ 165
6.15 sc_inout_resolved .................................................................................................................... 165
6.15.1 Description................................................................................................................... 165
6.15.2 Class definition ............................................................................................................ 165
6.15.3 Member functions ........................................................................................................ 166
6.16 sc_out_resolved ....................................................................................................................... 166
6.16.1 Description................................................................................................................... 166
6.16.2 Class definition ............................................................................................................ 166
6.16.3 Member functions ........................................................................................................ 167
6.17 sc_signal_rv ............................................................................................................................. 167
6.17.1 Description................................................................................................................... 167
6.17.2 Class definition ............................................................................................................ 167
6.17.3 Semantics and member functions ................................................................................ 167
6.18 sc_in_rv.................................................................................................................................... 168
6.18.1 Description................................................................................................................... 168
6.18.2 Class definition ............................................................................................................ 168
6.18.3 Member functions ........................................................................................................ 169
6.19 sc_inout_rv............................................................................................................................... 169
6.19.1 Description................................................................................................................... 169
6.19.2 Class definition ............................................................................................................ 169
6.19.3 Member functions ........................................................................................................ 170
6.20 sc_out_rv.................................................................................................................................. 170
6.20.1 Description................................................................................................................... 170
6.20.2 Class definition ............................................................................................................ 170
6.20.3 Member functions ........................................................................................................ 171
6.21 sc_fifo_in_if............................................................................................................................. 171
6.21.1 Description................................................................................................................... 171
6.21.2 Class definition ............................................................................................................ 171
6.21.3 Member functions ........................................................................................................ 172
Authorized licensed use limited to: Furkan Tuncer. Downloaded on October 16,2017 at 17:05:54 UTC from IEEE Xplore. Restrictions apply.
xiv
Copyright © 2012 IEEE. All rights reserved.
6.22 sc_fifo_out_if........................................................................................................................... 172
6.22.1 Description................................................................................................................... 172
6.22.2 Class definition ............................................................................................................ 172
6.22.3 Member functions ........................................................................................................ 173
6.23 sc_fifo ...................................................................................................................................... 173
6.23.1 Description................................................................................................................... 173
6.23.2 Class definition ............................................................................................................ 173
6.23.3 Template parameter T.................................................................................................. 174
6.23.4 Constructors ................................................................................................................. 175
6.23.5 register_port ................................................................................................................. 175
6.23.6 Member functions for reading ..................................................................................... 175
6.23.7 Member functions for writing...................................................................................... 176
6.23.8 The update phase ......................................................................................................... 176
6.23.9 Member functions for events ....................................................................................... 177
6.23.10Member functions for available values and free slots ................................................. 177
6.23.11Diagnostic member functions ...................................................................................... 177
6.23.12operator<<.................................................................................................................... 177
6.24 sc_fifo_in ................................................................................................................................. 178
6.24.1 Description................................................................................................................... 178
6.24.2 Class definition ............................................................................................................ 178
6.24.3 Member functions ........................................................................................................ 179
6.25 sc_fifo_out ............................................................................................................................... 179
6.25.1 Description................................................................................................................... 179
6.25.2 Class definition ............................................................................................................ 179
6.25.3 Member functions ........................................................................................................ 180
6.26 sc_mutex_if.............................................................................................................................. 182
6.26.1 Description................................................................................................................... 182
6.26.2 Class definition ............................................................................................................ 182
6.26.3 Member functions ........................................................................................................ 182
6.27 sc_mutex .................................................................................................................................. 182
6.27.1 Description................................................................................................................... 182
6.27.2 Class definition ............................................................................................................ 182
6.27.3 Constructors ................................................................................................................. 183
6.27.4 Member functions ........................................................................................................ 183
6.28 sc_semaphore_if ...................................................................................................................... 184
6.28.1 Description................................................................................................................... 184
6.28.2 Class definition ............................................................................................................ 184
6.28.3 Member functions ........................................................................................................ 184
6.29 sc_semaphore........................................................................................................................... 185
6.29.1 Description................................................................................................................... 185
6.29.2 Class definition ............................................................................................................ 185
6.29.3 Constructors ................................................................................................................. 185
6.29.4 Member functions ........................................................................................................ 185
6.30 sc_event_queue........................................................................................................................ 186
6.30.1 Description................................................................................................................... 186
6.30.2 Class definition ............................................................................................................ 186
6.30.3 Constraints on usage .................................................................................................... 187
6.30.4 Constructors ................................................................................................................. 187
6.30.5 kind .............................................................................................................................. 187
6.30.6 Member functions ........................................................................................................ 187
7. SystemC data types.......................................................................................................................... 189
7.1 Introduction.............................................................................................................................. 189
Authorized licensed use limited to: Furkan Tuncer. Downloaded on October 16,2017 at 17:05:54 UTC from IEEE Xplore. Restrictions apply.
xv
Copyright © 2012 IEEE. All rights reserved.
7.2 Common characteristics........................................................................................................... 191
7.2.1 Initialization and assignment operators ....................................................................... 192
7.2.2 Precision of arithmetic expressions ............................................................................. 193
7.2.3 Base class default word length..................................................................................... 193
7.2.4 Word length ................................................................................................................. 194
7.2.5 Bit-select ...................................................................................................................... 194
7.2.6 Part-select..................................................................................................................... 195
7.2.7 Concatenation ..............................................................................................................196
7.2.8 Reduction operators ..................................................................................................... 197
7.2.9 Integer conversion........................................................................................................ 198
7.2.10 String input and output ................................................................................................ 198
7.2.11 Conversion of application-defined types in integer expressions ................................. 199
7.3 String literals............................................................................................................................ 199
7.4 sc_value_base† ........................................................................................................................ 201
7.4.1 Description................................................................................................................... 201
7.4.2 Class definition ............................................................................................................ 201
7.4.3 Constraints on usage .................................................................................................... 201
7.4.4 Member functions ........................................................................................................ 202
7.5 Limited-precision integer types ............................................................................................... 202
7.5.1 Type definitions ...........................................................................................................202
7.5.2 sc_int_base................................................................................................................... 203
7.5.3 sc_uint_base................................................................................................................. 208
7.5.4 sc_int............................................................................................................................ 213
7.5.5 sc_uint.......................................................................................................................... 215
7.5.6 Bit-selects..................................................................................................................... 217
7.5.7 Part-selects ................................................................................................................... 222
7.6 Finite-precision integer types................................................................................................... 227
7.6.1 Type definitions ...........................................................................................................227
7.6.2 Constraints on usage .................................................................................................... 227
7.6.3 sc_signed...................................................................................................................... 227
7.6.4 sc_unsigned.................................................................................................................. 234
7.6.5 sc_bigint....................................................................................................................... 240
7.6.6 sc_biguint..................................................................................................................... 242
7.6.7 Bit-selects..................................................................................................................... 244
7.6.8 Part-selects ................................................................................................................... 248
7.7 Integer concatenations ............................................................................................................. 253
7.7.1 Description................................................................................................................... 253
7.7.2 Class definition ............................................................................................................ 253
7.7.3 Constraints on usage .................................................................................................... 255
7.7.4 Assignment operators .................................................................................................. 255
7.7.5 Implicit type conversion .............................................................................................. 255
7.7.6 Explicit type conversion .............................................................................................. 255
7.7.7 Other member functions .............................................................................................. 256
7.8 Generic base proxy class.......................................................................................................... 256
7.8.1 Description................................................................................................................... 256
7.8.2 Class definition ............................................................................................................ 256
7.8.3 Constraints on usage .................................................................................................... 256
7.9 Logic and vector types............................................................................................................. 257
7.9.1 Type definitions ...........................................................................................................257
7.9.2 sc_logic ........................................................................................................................ 257
7.9.3 sc_bv_base ................................................................................................................... 262
7.9.4 sc_lv_base.................................................................................................................... 267
7.9.5 sc_bv ............................................................................................................................ 273
7.9.6 sc_lv ............................................................................................................................. 275
Authorized licensed use limited to: Furkan Tuncer. Downloaded on October 16,2017 at 17:05:54 UTC from IEEE Xplore. Restrictions apply.
xvi
Copyright © 2012 IEEE. All rights reserved.
7.9.7 Bit-selects..................................................................................................................... 277
7.9.8 Part-selects ................................................................................................................... 280
7.9.9 Concatenations.............................................................................................................286
7.10 Fixed-point types ..................................................................................................................... 293
7.10.1 Fixed-point representation ........................................................................................... 293
7.10.2 Fixed-point type conversion ........................................................................................ 294
7.10.3 Fixed-point data types.................................................................................................. 295
7.10.4 Fixed-point expressions and operations....................................................................... 296
7.10.5 Bit and part selection ................................................................................................... 299
7.10.6 Variable-precision fixed-point value limits ................................................................. 300
7.10.7 Fixed-point word length and mode.............................................................................. 300
7.10.8 Conversions to character string.................................................................................... 302
7.10.9 Finite word-length effects............................................................................................ 304
7.10.10sc_fxnum...................................................................................................................... 327
7.10.11sc_fxnum_fast.............................................................................................................. 332
7.10.12sc_fxval........................................................................................................................ 337
7.10.13sc_fxval_fast ................................................................................................................ 341
7.10.14sc_fix............................................................................................................................ 346
7.10.15sc_ufix.......................................................................................................................... 349
7.10.16sc_fix_fast.................................................................................................................... 352
7.10.17sc_ufix_fast.................................................................................................................. 355
7.10.18sc_fixed........................................................................................................................ 358
7.10.19sc_ufixed...................................................................................................................... 360
7.10.20sc_fixed_fast ................................................................................................................ 362
7.10.21sc_ufixed_fast .............................................................................................................. 365
7.10.22Bit-selects..................................................................................................................... 367
7.10.23Part-selects ................................................................................................................... 369
7.11 Contexts ................................................................................................................................... 375
7.11.1 sc_length_param .......................................................................................................... 375
7.11.2 sc_length_context ........................................................................................................ 377
7.11.3 sc_fxtype_params ........................................................................................................ 378
7.11.4 sc_fxtype_context ........................................................................................................ 380
7.11.5 sc_fxcast_switch ..........................................................................................................381
7.11.6 sc_fxcast_context.........................................................................................................382
7.12 Control of string representation ............................................................................................... 383
7.12.1 Description................................................................................................................... 383
7.12.2 Class definition ............................................................................................................ 383
7.12.3 Functions...................................................................................................................... 384
8. SystemC utilities .............................................................................................................................. 385
8.1 Trace files ................................................................................................................................ 385
8.1.1 Class definition and function declarations................................................................... 385
8.1.2 sc_trace_file ................................................................................................................. 385
8.1.3 sc_create_vcd_trace_file.............................................................................................. 386
8.1.4 sc_close_vcd_trace_file ............................................................................................... 386
8.1.5 sc_write_comment ....................................................................................................... 386
8.1.6 sc_trace ........................................................................................................................ 386
8.2 sc_report................................................................................................................................... 388
8.2.1 Description................................................................................................................... 388
8.2.2 Class definition ............................................................................................................ 388
8.2.3 Constraints on usage .................................................................................................... 389
8.2.4 sc_verbosity ................................................................................................................. 389
8.2.5 sc_severity ................................................................................................................... 389
Authorized licensed use limited to: Furkan Tuncer. Downloaded on October 16,2017 at 17:05:54 UTC from IEEE Xplore. Restrictions apply.
xvii
Copyright © 2012 IEEE. All rights reserved.
8.2.6 Copy constructor and assignment ................................................................................ 390
8.2.7 Member functions ........................................................................................................ 390
8.3 sc_report_handler..................................................................................................................... 391
8.3.1 Description................................................................................................................... 391
8.3.2 Class definition ............................................................................................................ 391
8.3.3 Constraints on usage .................................................................................................... 393
8.3.4 sc_actions..................................................................................................................... 393
8.3.5 report............................................................................................................................ 393
8.3.6 set_actions.................................................................................................................... 394
8.3.7 stop_after ..................................................................................................................... 395
8.3.8 get_count...................................................................................................................... 396
8.3.9 Verbosity level............................................................................................................. 396
8.3.10 suppress and force........................................................................................................396
8.3.11 set_handler ................................................................................................................... 397
8.3.12 get_new_action_id ....................................................................................................... 398
8.3.13 sc_interrupt_here and sc_stop_here............................................................................. 398
8.3.14 get_cached_report and clear_cached_report................................................................ 398
8.3.15 set_log_file_name and get_log_file_name .................................................................. 399
8.4 sc_exception............................................................................................................................. 399
8.4.1 Description................................................................................................................... 399
8.4.2 Class definition ............................................................................................................ 399
8.5 sc_vector .................................................................................................................................. 400
8.5.1 Description................................................................................................................... 400
8.5.2 Class definition ............................................................................................................ 400
8.5.3 Constraints on usage .................................................................................................... 403
8.5.4 Constructors and destructors........................................................................................ 403
8.5.5 init and create_element ................................................................................................ 404
8.5.6 kind, size, get_elements ............................................................................................... 405
8.5.7 operator[] and at........................................................................................................... 406
8.5.8 Iterators ........................................................................................................................ 406
8.5.9 bind .............................................................................................................................. 406
8.5.10 sc_assemble_vector ..................................................................................................... 408
8.6 Utility functions ....................................................................................................................... 410
8.6.1 Function declarations................................................................................................... 410
8.6.2 sc_abs........................................................................................................................... 411
8.6.3 sc_max ......................................................................................................................... 411
8.6.4 sc_min.......................................................................................................................... 411
8.6.5 Version and copyright.................................................................................................. 411
9. Overview of TLM-2.0...................................................................................................................... 413
9.1 Compliance with the TLM-2.0 standard.................................................................................. 414
10. Introduction to TLM-2.0.................................................................................................................. 415
10.1 Background.............................................................................................................................. 415
10.2 Transaction-level modeling, use cases, and abstraction .......................................................... 415
10.3 Coding styles............................................................................................................................ 416
10.3.1 Untimed coding style ................................................................................................... 416
10.3.2 Loosely-timed coding style and temporal decoupling ................................................. 417
10.3.3 Synchronization in loosely-timed models.................................................................... 418
10.3.4 Approximately-timed coding style .............................................................................. 418
10.3.5 Characterization of loosely-timed and approximately-timed coding styles ................ 419
10.3.6 Switching between loosely-timed and approximately-timed modeling ...................... 419
Authorized licensed use limited to: Furkan Tuncer. Downloaded on October 16,2017 at 17:05:54 UTC from IEEE Xplore. Restrictions apply.
xviii
Copyright © 2012 IEEE. All rights reserved.
10.3.7 Cycle-accurate modeling ............................................................................................. 419
10.3.8 Blocking versus non-blocking transport interfaces ..................................................... 419
10.3.9 Use cases and coding styles ......................................................................................... 420
10.4 Initiators, targets, sockets, and transaction bridges ................................................................. 420
10.5 DMI and debug transport interfaces ........................................................................................ 423
10.6 Combined interfaces and sockets.............................................................................................423
10.7 Namespaces ............................................................................................................................. 423
10.8 Header files and version numbers............................................................................................424
10.8.1 Software version information ...................................................................................... 424
10.8.2 Definitions ................................................................................................................... 424
10.8.3 Rules ............................................................................................................................ 425
11. TLM-2.0 core interfaces .................................................................................................................. 426
11.1 Transport interfaces ................................................................................................................. 426
11.1.1 Blocking transport interface......................................................................................... 426
11.1.2 Non-blocking transport interface ................................................................................. 430
11.1.3 Timing annotation with the transport interfaces .......................................................... 438
11.1.4 Migration path from TLM-1 ........................................................................................ 442
11.2 Direct memory interface .......................................................................................................... 442
11.2.1 Introduction.................................................................................................................. 442
11.2.2 Class definition ............................................................................................................ 443
11.2.3 get_direct_mem_ptr method ........................................................................................ 444
11.2.4 template argument and tlm_generic_payload class ..................................................... 445
11.2.5 tlm_dmi class ............................................................................................................... 445
11.2.6 invalidate_direct_mem_ptr method ............................................................................. 448
11.2.7 DMI versus transport ................................................................................................... 449
11.2.8 DMI and temporal decoupling..................................................................................... 449
11.2.9 Optimization using a DMI hint.................................................................................... 450
11.3 Debug transport interface......................................................................................................... 450
11.3.1 Introduction.................................................................................................................. 450
11.3.2 Class definition ............................................................................................................ 450
11.3.3 TRANS template argument and tlm_generic_payload class ....................................... 451
11.3.4 Rules ............................................................................................................................ 451
12. TLM-2.0 global quantum................................................................................................................. 453
12.1 Introduction.............................................................................................................................. 453
12.2 Header file................................................................................................................................ 453
12.3 Class definition ........................................................................................................................ 453
12.4 Class tlm_global_quantum ...................................................................................................... 454
13. Combined TLM-2.0 interfaces and sockets..................................................................................... 455
13.1 Combined interfaces ................................................................................................................ 455
13.1.1 Introduction.................................................................................................................. 455
13.1.2 Class definition ............................................................................................................ 455
13.2 Initiator and target sockets....................................................................................................... 456
13.2.1 Introduction.................................................................................................................. 456
13.2.2 Class definition ............................................................................................................ 456
13.2.3 Classes tlm_base_initiator_socket_b and tlm_base_target_socket_b.......................... 460
13.2.4 Classes tlm_base_initiator_socket and tlm_base_target_socket.................................. 460
13.2.5 Classes tlm_initiator_socket and tlm_target_socket.................................................... 461
Authorized licensed use limited to: Furkan Tuncer. Downloaded on October 16,2017 at 17:05:54 UTC from IEEE Xplore. Restrictions apply.
xix
Copyright © 2012 IEEE. All rights reserved.
14. TLM-2.0 generic payload ................................................................................................................ 465
14.1 Introduction.............................................................................................................................. 465
14.2 Extensions and interoperability ............................................................................................... 465
14.2.1 Use the generic payload directly, with ignorable extensions....................................... 466
14.2.2 Define a new protocol traits class containing a typedef for tlm_generic_payload...... 467
14.2.3 Define a new protocol traits class and a new transaction type .................................... 467
14.3 Generic payload attributes and methods.................................................................................. 467
14.4 Class definition ........................................................................................................................ 468
14.5 Generic payload memory management ................................................................................... 470
14.6 Constructors, assignment, and destructor ................................................................................ 474
14.7 Default values and modifiability of attributes ......................................................................... 474
14.8 Option attribute ........................................................................................................................ 476
14.9 Command attribute .................................................................................................................. 477
14.10Address attribute ..................................................................................................................... 478
14.11Data pointer attribute .............................................................................................................. 479
14.12Data length attribute................................................................................................................ 480
14.13Byte enable pointer attribute................................................................................................... 480
14.14Byte enable length attribute .................................................................................................... 481
14.15Streaming width attribute........................................................................................................ 482
14.16DMI allowed attribute............................................................................................................. 482
14.17Response status attribute......................................................................................................... 483
14.17.1The standard error response......................................................................................... 484
14.18Endianness .............................................................................................................................. 487
14.18.1Introduction.................................................................................................................. 487
14.18.2Rules ............................................................................................................................ 488
14.19Helper functions to determine host endianness ...................................................................... 490
14.19.1Introduction.................................................................................................................. 490
14.19.2Definition ..................................................................................................................... 490
14.19.3Rules ............................................................................................................................ 491
14.20Helper functions for endianness conversion ........................................................................... 491
14.20.1Introduction.................................................................................................................. 491
14.20.2Definition ..................................................................................................................... 492
14.20.3Rules ............................................................................................................................ 492
14.21Generic payload extensions .................................................................................................... 494
14.21.1Introduction.................................................................................................................. 494
14.21.2Rationale ...................................................................................................................... 494
14.21.3Extension pointers, objects and transaction bridges .................................................... 495
14.21.4Rules ............................................................................................................................ 495
15. TLM-2.0 base protocol and phases.................................................................................................. 500
15.1 Phases....................................................................................................................................... 500
15.1.1 Introduction.................................................................................................................. 500
15.1.2 Class definition ............................................................................................................ 500
15.1.3 Rules ............................................................................................................................ 501
15.2 Base protocol ........................................................................................................................... 502
15.2.1 Introduction.................................................................................................................. 502
15.2.2 Class definition ............................................................................................................ 503
15.2.3 Base protocol phase sequences .................................................................................... 503
15.2.4 Permitted phase transitions .......................................................................................... 505
15.2.5 Ignorable phases ..........................................................................................................508
15.2.6 Base protocol timing parameters and flow control...................................................... 510
15.2.7 Base protocol rules concerning timing annotation ...................................................... 514
Authorized licensed use limited to: Furkan Tuncer. Downloaded on October 16,2017 at 17:05:54 UTC from IEEE Xplore. Restrictions apply.
xx
Copyright © 2012 IEEE. All rights reserved.
15.2.8 Base protocol rules concerning b_transport................................................................. 514
15.2.9 Base protocol rules concerning request and response ordering ................................... 515
15.2.10Base protocol rules for switching between b_transport and nb_transport................... 516
15.2.11Other base protocol rules ............................................................................................. 517
15.2.12Summary of base protocol transaction ordering rules ................................................. 517
15.2.13Guidelines for creating base-protocol-compliant components .................................... 517
16. TLM-2.0 utilities.............................................................................................................................. 521
16.1 Convenience sockets................................................................................................................ 521
16.1.1 Introduction.................................................................................................................. 521
16.1.2 Simple sockets ............................................................................................................. 523
16.1.3 Tagged simple sockets ................................................................................................. 529
16.1.4 Multi-sockets ............................................................................................................... 532
16.2 Quantum keeper....................................................................................................................... 537
16.2.1 Introduction.................................................................................................................. 537
16.2.2 Header file.................................................................................................................... 537
16.2.3 Class definition ............................................................................................................ 537
16.2.4 General guidelines for processes using temporal decoupling...................................... 538
16.2.5 Class tlm_quantumkeeper............................................................................................ 539
16.3 Payload event queue ................................................................................................................ 541
16.3.1 Introduction.................................................................................................................. 541
16.3.2 Header file.................................................................................................................... 542
16.3.3 Class definition ............................................................................................................ 542
16.3.4 Rules ............................................................................................................................ 543
16.4 Instance-specific extensions .................................................................................................... 544
16.4.1 Introduction.................................................................................................................. 544
16.4.2 Header file.................................................................................................................... 544
16.4.3 Class definition ............................................................................................................ 544
17. TLM-1 Message passing interface and analysis ports ..................................................................... 546
17.1 Put, get, peek, and transport interfaces ....................................................................................546
17.1.1 Description................................................................................................................... 546
17.1.2 Class Definition ........................................................................................................... 546
17.1.3 Blocking versus non-blocking interfaces..................................................................... 548
17.1.4 Blocking put, get, peek, and transport ......................................................................... 549
17.1.5 Non-blocking interface methods.................................................................................. 549
17.1.6 Argument passing and transaction lifetime ................................................................. 550
17.1.7 Constraints on the transaction data type ...................................................................... 551
17.2 TLM-1 fifo interfaces .............................................................................................................. 551
17.2.1 Description................................................................................................................... 551
17.2.2 Class Definition ........................................................................................................... 551
17.2.3 Member functions ........................................................................................................ 552
17.3 tlm_fifo .................................................................................................................................... 552
17.3.1 Description................................................................................................................... 552
17.3.2 Class Definition ........................................................................................................... 553
17.3.3 Template parameter T.................................................................................................. 554
17.3.4 Constructors and destructor ......................................................................................... 554
17.3.5 Member functions ........................................................................................................ 554
17.3.6 Delta cycle semantics................................................................................................... 556
17.4 Analysis interface and analysis ports.......................................................................................558
17.4.1 Class definition ............................................................................................................ 558
17.4.2 Rules ............................................................................................................................ 559
Authorized licensed use limited to: Furkan Tuncer. Downloaded on October 16,2017 at 17:05:54 UTC from IEEE Xplore. Restrictions apply.
xxi
Copyright © 2012 IEEE. All rights reserved.
Annex A (informative) Introduction to SystemC ........................................................................................ 562
Annex B (informative) Glossary.................................................................................................................. 566
Annex C (informative) Deprecated features ................................................................................................ 583
Annex D (informative) Changes between IEEE Std 1666-2005 and IEEE Std 1666-2011 ........................ 585
Index ............................................................................................................................................................ 589
Authorized licensed use limited to: Furkan Tuncer. Downloaded on October 16,2017 at 17:05:54 UTC from IEEE Xplore. Restrictions apply.
Authorized licensed use limited to: Furkan Tuncer. Downloaded on October 16,2017 at 17:05:54 UTC from IEEE Xplore. Restrictions apply.

1
Copyright © 2012 IEEE. All rights reserved.
IEEE Standard for Standard
SystemC® Language Reference
Manual
IMPORTANT NOTICE: This standard is not intended to ensure safety, security, health, or
environmental protection. Implementers of the standard are responsible for determining appropriate
safety, security, environmental, and health practices or regulatory requirements.
This IEEE document is made available for use subject to important notices and legal disclaimers. These
notices and disclaimers appear in all publications containing this document and may be found under the
heading "Important Notice" or "Important Notices and Disclaimers Concerning IEEE Documents." They
can also be obtained on request from IEEE or viewed at http://standards.ieee.org/IPR/disclaimers.html.
1. Overview
1.1 Scope
This standard defines SystemC®1 with Transaction Level Modeling (TLM) as an ANSI standard C++ class
library for system and hardware design.
1.2 Purpose
The general purpose of this standard is to provide a C++-based standard for designers and architects who
need to address complex systems that are a hybrid between hardware and software.
The specific purpose of this standard is to provide a precise and complete definition of the SystemC class
library including a TLM library so that a SystemC implementation can be developed with reference to this
standard alone. This standard is not intended to serve as a user’s guide or to provide an introduction to
SystemC, but it does contain useful information for end users.
1SystemC® is a registered trademark of the Accellera Systems Initiative.
Authorized licensed use limited to: Furkan Tuncer. Downloaded on October 16,2017 at 17:05:54 UTC from IEEE Xplore. Restrictions apply.

IEEE Std 1666-2011
IEEE Standard for Standard SystemC® Language Reference Manual
2
Copyright © 2012 IEEE. All rights reserved.
1.3 Subsets
It is anticipated that tool vendors will create implementations that support only a subset of this standard or
that impose further constraints on the use of this standard. Such implementations are not fully compliant
with this standard but may nevertheless claim partial compliance with this standard and may use the name
SystemC. See also 9.1 for a description of TLM-2.0-compliance.
1.4 Relationship with C++
This standard is closely related to the C++ programming language and adheres to the terminology used in
ISO/IEC 14882:2003.2 This standard does not seek to restrict the usage of the C++ programming language;
a SystemC application may use any of the facilities provided by C++, which in turn may use any of the
facilities provided by C. However, where the facilities provided by this standard are used, they shall be used
in accordance with the rules and constraints set out in this standard.
This standard defines the public interface to the SystemC class library and the constraints on how those
classes may be used. The SystemC class library may be implemented in any manner whatsoever, provided
only that the obligations imposed by this standard are honored.
A C++ class library may be extended using the mechanisms provided by the C++ language. Implementors
and users are free to extend SystemC in this way, provided that they do not violate this standard.
NOTE—It is possible to create a well-formed C++ program that is legal according to the C++ programming language
standard but that violates this standard. An implementation is not obliged to detect every violation of this standard.3
1.5 Guidance for readers
Readers who are not entirely familiar with SystemC should start with Annex A, “Introduction to SystemC,”
which provides a brief informal summary of the subject intended to aid in the understanding of the
normative definitions. Such readers may also find it helpful to scan the examples embedded in the normative
definitions and to see Annex B, “Glossary.”
Readers should pay close attention to Clause 3, “Terminology and conventions used in this standard.” An
understanding of the terminology defined in Clause 3 is necessary for a precise interpretation of this stan-
dard.
Clause 4, “Elaboration and simulation semantics,” defines the behavior of the SystemC kernel and is central
to an understanding of SystemC. The semantic definitions given in the subsequent clauses detailing the
individual classes are built on the foundations laid in Clause 4.
The clauses from Clause 5 onward define the public interface to the SystemC class library. The following
information is listed for each class:
a) A C++ source code listing of the class definition
b) A statement of any constraints on the use of the class and its members
c) A statement of the semantics of the class and its members
d) For certain classes, a description of functions, typedefs, and macros associated with the class
e) Informative examples illustrating both typical and atypical uses of the class
2Information on references can be found in Clause 2.
3Notes in text, tables, and figures are given for information only and do not contain requirements needed to implement the standard.
Authorized licensed use limited to: Furkan Tuncer. Downloaded on October 16,2017 at 17:05:54 UTC from IEEE Xplore. Restrictions apply.
IEEE Std 1666-2011
IEEE Standard for Standard SystemC® Language Reference Manual
3
Copyright © 2012 IEEE. All rights reserved.
Readers should bear in mind that the primary obligation of a tool vendor is to implement the abstract
semantics defined in Clause 4, using the framework and constraints provided by the class definitions starting
in Clause 5.
The clauses from Clause 9 onward define the public interface to the TLM-2.0 class library, including the
classes of the interoperability layer and the utilities.
Clause 17 defines the TLM-1 Message passing interface, including tlm_fifo and analysis ports.
Annex A is intended to aid the reader in the understanding of the structure and intent of the SystemC class
library.
Annex B is a glossary giving informal descriptions of the terms used in this standard.
Annex C lists the deprecated features, that is, features that were present in version 2.0.1 of the Open
SystemC Initiative (OSCI) open source proof-of-concept SystemC implementation but are not part of this
standard.
Annex D lists the changes between IEEE Std 1666-2005 and IEEE 1666-2011.
Authorized licensed use limited to: Furkan Tuncer. Downloaded on October 16,2017 at 17:05:54 UTC from IEEE Xplore. Restrictions apply.

IEEE Std 1666-2011
IEEE Standard for Standard SystemC® Language Reference Manual
4
Copyright © 2012 IEEE. All rights reserved.
2. Normative references
The following referenced documents are indispensable for the application of this document (i.e., they must
be understood and used, so each referenced document is cited in text and its relationship to this document is
explained). For dated references, only the edition cited applies. For undated references, the latest edition of
the referenced document (including any amendments or corrigenda) applies.
This standard shall be used in conjunction with the following publications:
ISO/IEC 14882:2003, Programming Languages—C++.4
4ISO/IEC publications are available from the ISO Central Secretariat, Case Postale 56, 1 rue de Varembé, CH-1211, Genève 20,
Switzerland/Suisse (http://www.iso.ch/). ISO/IEC publications are also available in the United States from Global Engineering
Documents, 15 Inverness Way East, Englewood, Colorado 80112, USA (http://global.ihs.com/). Electronic copies are available in the
United States from the American National Standards Institute, 25 West 43rd Street, 4th Floor, New York, NY 10036, USA (http://
www.ansi.org/).
Authorized licensed use limited to: Furkan Tuncer. Downloaded on October 16,2017 at 17:05:54 UTC from IEEE Xplore. Restrictions apply.
IEEE Std 1666-2011
IEEE Standard for Standard SystemC® Language Reference Manual
5
Copyright © 2012 IEEE. All rights reserved.
3. Terminology and conventions used in this standard
3.1 Terminology
3.1.1 Shall, should, may, can
The word shall is used to indicate a mandatory requirement.
The word should is used to recommend a particular course of action, but it does not impose any obligation.
The word may is used to mean shall be permitted (in the sense of being legally allowed).
The word can is used to mean shall be able to (in the sense of being technically possible).
In some cases, word usage is qualified to indicate on whom the obligation falls, such as an application may
or an implementation shall.
3.1.2 Implementation, application
The word implementation is used to mean any specific implementation of the full SystemC, TLM-1, and
TLM-2.0 class libraries as defined in this standard, only the public interface of which need be exposed to the
application.
The word application is used to mean a C++ program, written by an end user, that uses the SystemC, TLM-
1, and TLM-2.0 class libraries, that is, uses classes, functions, or macros defined in this standard.
3.1.3 Call, called from, derived from
The term call is taken to mean call directly or indirectly. Call indirectly means call an intermediate function
that in turn calls the function in question, where the chain of function calls may be extended indefinitely.
Similarly, called from means called from directly or indirectly.
Except where explicitly qualified, the term derived from is taken to mean derived directly or indirectly from.
Derived indirectly from means derived from one or more intermediate base classes.
3.1.4 Specific technical terms
The following terms are sometimes used to refer to classes and sometimes used to refer to objects of those
classes. When the distinction is important, the usage of the term may be qualified. For example, a port
instance is an object of a class derived from the class sc_port, whereas a port class is a class derived from
class sc_port.
A module is a class derived from the class sc_module.
A port is either a class derived from the class sc_port or an object of the class sc_port.
An export is an object of the class sc_export.
An interface is a class derived from the class sc_interface.
An interface proper is an abstract class derived from the class sc_interface but not derived from the class
sc_object.
Authorized licensed use limited to: Furkan Tuncer. Downloaded on October 16,2017 at 17:05:54 UTC from IEEE Xplore. Restrictions apply.
IEEE Std 1666-2011
IEEE Standard for Standard SystemC® Language Reference Manual
6
Copyright © 2012 IEEE. All rights reserved.
A primitive channel is a non-abstract class derived from one or more interfaces and also derived from the
class sc_prim_channel.
A hierarchical channel is a non-abstract class derived from one or more interfaces and also derived from the
class sc_module.
A channel is a non-abstract class derived from one or more interfaces. A channel may be a primitive channel
or a hierarchical channel. If not, it is strongly recommended that a channel be derived from the class
sc_object.
An event is an object of the class sc_event.
A signal is an object of the class sc_signal.
A process instance is an object of an implementation-defined class derived from the class sc_object and
created by one of the three macros SC_METHOD, SC_THREAD, or SC_CTHREAD or by calling the
function sc_spawn.
The term process refers to either a process instance or to the member function that is associated with a
process instance when it is created. The meaning is made clear by the context.
A static process is a process created during the construction of the module hierarchy or from the
before_end_of_elaboration callback.
A dynamic process is a process created from the end_of_elaboration callback or during simulation.
An unspawned process is a process created by invoking one of the three macros SC_METHOD,
SC_THREAD, or SC_CTHREAD. An unspawned process is typically a static process, but it would be a
dynamic process if invoked from the end_of_elaboration callback.
A spawned process is a process created by calling the function sc_spawn. A spawned process is typically a
dynamic process, but it would be a static process if sc_spawn is called before the end of elaboration.
A process handle is an object of the class sc_process_handle.
The module hierarchy is the total set of module instances constructed during elaboration. The term is
sometimes used to include all of the objects instantiated within those modules during elaboration. The
module hierarchy is a subset of the object hierarchy.
The object hierarchy is the total set of objects of the class sc_object. Part of the object hierarchy is
constructed during elaboration (the module hierarchy) and includes module, port, primitive channel, and
static process instances. Part is constructed dynamically and destroyed dynamically during simulation and
includes dynamic process instances (see 5.16). Events do not belong to the object hierarchy, although like
objects of the class sc_object, events may have a hierarchical name.
A given instance is within module M if the constructor of the instance is called (explicitly or implicitly) from
the constructor of module M and if the instance is not within another module instance that is itself within
module M.
A given module is said to contain a given instance if the instance is within that module.
A child of a given module is an instance that is within that module.
A parent of a given instance is a module having that instance as a child.
Authorized licensed use limited to: Furkan Tuncer. Downloaded on October 16,2017 at 17:05:54 UTC from IEEE Xplore. Restrictions apply.
IEEE Std 1666-2011
IEEE Standard for Standard SystemC® Language Reference Manual
7
Copyright © 2012 IEEE. All rights reserved.
A top-level module is a module that is not instantiated within any other module.
The concepts of elaboration and simulation are defined in Clause 4. The terms during elaboration and
during simulation indicate that an action may happen at that time. The implementation makes a number of
callbacks to the application during elaboration and simulation. Whether a particular action is allowed within
a particular callback cannot be inferred from the terms during elaboration and during simulation alone but is
defined in detail in 4.4. For example, a number of actions that are permitted during elaboration are explicitly
forbidden during the end_of_elaboration callback.
The term during elaboration includes the construction of the module hierarchy and the
before_end_of_elaboration callbacks.
The term during elaboration or simulation includes every phase from the construction of the module
hierarchy up to and including the final delta cycle, but neither includes nor excludes activity subsequent to
the final delta cycle. In other words, use of this term infers nothing about whether specific actions are or are
not permitted after the final delta cycle.
The term during simulation includes the initialization, evaluation, and update phases and any period when
simulation is paused.
3.2 Syntactical conventions
3.2.1 Implementation-defined
The italicized term implementation-defined is used where part of a C++ definition is omitted from this
standard. In such cases, an implementation shall provide an appropriate definition that honors the semantics
defined in this standard.
3.2.2 Disabled
The italicized term disabled is used within a C++ class definition to indicate a group of member functions
that shall be disabled by the implementation so that they cannot be called by an application. The disabled
member functions are typically the default constructor, the copy constructor, or the assignment operator.
3.2.3 Ellipsis (...)
An ellipsis, which consists of three consecutive dots (...), is used to indicate that irrelevant or repetitive parts
of a C++ code listing or example have been omitted for clarity.
3.2.4 Class names
Class names italicized and annotated with a superscript dagger (†) should not be used explicitly within an
application. Moreover, an application shall not create an object of such a class. It is strongly recommended
that the given class name be used. However, an implementation may substitute an alternative class name in
place of every occurrence of a particular daggered class name.
Only the class name is considered here. Whether any part of the definition of the class is implementation-
defined is a separate issue.
Authorized licensed use limited to: Furkan Tuncer. Downloaded on October 16,2017 at 17:05:54 UTC from IEEE Xplore. Restrictions apply.
IEEE Std 1666-2011
IEEE Standard for Standard SystemC® Language Reference Manual
8
Copyright © 2012 IEEE. All rights reserved.
The class names are the following:
3.2.5 Embolded text
Embolding is used to enhance readability in this standard but has no significance in SystemC itself.
Embolding is used for names of types, classes, functions, and operators in running text and in code
fragments where these names are defined. Embolding is never used for uppercase names of macros,
constants, and enum literals.
3.3 Semantic conventions
3.3.1 Class definitions and the inheritance hierarchy
An implementation may differ from this standard in that an implementation may introduce additional base
classes, class members, and friends to the classes defined in this standard. An implementation may modify
the inheritance hierarchy by moving class members defined by this standard into base classes not defined by
this standard. Such additions and modifications may be made as necessary in order to implement the
semantics defined by this standard or in order to introduce additional functionality not defined by this
standard.
3.3.2 Function definitions and side-effects
This standard explicitly defines the semantics of the C++ functions in the SystemC class library. Such
functions shall not have any side-effects that would contradict the behavior explicitly mandated by this
standard. In general, the reader should assume the common-sense rule that if it is explicitly stated that a
function shall perform action A, that function shall not perform any action other than A, either directly or by
calling another function defined in this standard. However, a function may, and indeed in certain
circumstances shall, perform any tasks necessary for resource management, performance optimization, or to
support any ancillary features of an implementation. As an example of resource management, it is assumed
that a destructor will perform any tasks necessary to release the resources allocated by the corresponding
constructor. As an example of an ancillary feature, an implementation could have the constructor for class
sc_module increment a count of the number of module instances in the module hierarchy.
3.3.3 Functions whose return type is a reference or a pointer
Many functions in this standard return a reference to an object or a pointer to an object; that is, the return
type of the function is a reference or a pointer. This subclause gives some general rules defining the lifetime
and the validity of such objects.
sc_bind_proxy†sc_fxnum_bitref†sc_signed_bitref†sc_uint_subref†
sc_bitref†sc_fxnum_fast_bitref†sc_signed_bitref_r†sc_uint_subref_r†
sc_bitref_r†sc_fxnum_fast_subref†sc_signed_subref†sc_unsigned_bitref†
sc_concatref†sc_fxnum_subref†sc_signed_subref_r†sc_unsigned_bitref_r†
sc_concref†sc_int_bitref†sc_subref†sc_unsigned_subref†
sc_concref_r†sc_int_bitref_r†sc_subref_r†sc_unsigned_subref_r†
sc_context_begin†sc_int_subref† sc_switch†sc_value_base†
sc_event_and_expr†sc_int_subref_r†sc_uint_bitref†sc_vector_iter†
sc_event_or_expr†sc_sensitive†sc_uint_bitref_r†
Authorized licensed use limited to: Furkan Tuncer. Downloaded on October 16,2017 at 17:05:54 UTC from IEEE Xplore. Restrictions apply.
IEEE Std 1666-2011
IEEE Standard for Standard SystemC® Language Reference Manual
9
Copyright © 2012 IEEE. All rights reserved.
An object returned from a function by pointer or by reference is said to be valid during any period in which
the object is not deleted and the value or behavior of the object remains accessible to the application. If an
application refers to the returned object after it ceases to be valid, the behavior of the implementation shall
be undefined.
3.3.3.1 Functions that return *this or an actual argument
In certain cases, the object returned is either an object (*this) returned by reference from its own member
function (for example, the assignment operators), or it is an object that was passed by reference as an actual
argument to the function being called [for example, std::ostream& operator<< (std::ostream&, const
T&)]. In either case, the function call itself places no additional obligations on the implementation concern-
ing the lifetime and validity of the object following return from the function call.
3.3.3.2 Functions that return const char*
Certain functions have the return type const char*; that is, they return a pointer to a null-terminated
character string. Such strings shall remain valid until the end of the program with the exception of member
function sc_process_handle::name and member functions of class sc_report, where the implementation is
only required to keep the string valid while the process handle or report object itself is valid.
3.3.3.3 Functions that return a reference or pointer to an object in the module hierarchy
Certain functions return a reference or pointer to an object that forms part of the module hierarchy or a
property of such an object. The return types of these functions include the following:
a) sc_interface * // Returns a channel
b) sc_event& // Returns an event
c) sc_event_finder& // Returns an event finder
d) sc_time& // Returns a property of primitive channel sc_clock
The implementation is obliged to ensure that the returned object is valid either until the channel, event, or
event finder is deleted explicitly by the application or until the destruction of the module hierarchy,
whichever is sooner.
3.3.3.4 Functions that return a reference or pointer to a transient object
Certain functions return a reference or pointer to an object that may be deleted by the application or the
implementation before the destruction of the module hierarchy. The return types of these functions include
the following:
a) sc_object *
b) sc_event *
c) sc_attr_base *
d) std::string& // Property of an attribute object
The functions concerned are the following:
sc_object* sc_process_handle::get_parent_object() const;
sc_object* sc_process_handle::get_process_object() const;
sc_object* sc_object::get_parent_object() const;
sc_object* sc_event::get_parent_object() const;
sc_object* sc_find_object( const char* );
sc_event* sc_find_event( const char* );
sc_attr_base* sc_object::get_attribute( const std::string& );
Authorized licensed use limited to: Furkan Tuncer. Downloaded on October 16,2017 at 17:05:54 UTC from IEEE Xplore. Restrictions apply.
IEEE Std 1666-2011
IEEE Standard for Standard SystemC® Language Reference Manual
10
Copyright © 2012 IEEE. All rights reserved.
const sc_attr_base* sc_object::get_attribute( const std::string& ) const;
sc_attr_base* sc_object::remove_attribute( const std::string& );
const std::string& sc_attr_base::name() const;
The implementation is only obliged to ensure that the returned reference is valid until the sc_object,
sc_event, sc_attr_base, or std::string object itself is deleted.
Certain functions return a reference to an object that represents a transient collection of other objects, where
the application may add or delete objects before the destruction of the module hierarchy such that the
contents of the collection would be modified. The return types of these functions include the following:
a) std::vector< sc_object * > &
b) std::vector< sc_event * > &
c) sc_attr_cltn *
The functions concerned are the following:
virtual const std::vector<sc_object*>& sc_module::get_child_objects() const;
virtual const std::vector<sc_event*>& sc_module::get_child_events() const;
const std::vector<sc_object*>& sc_process_handle::get_child_objects() const;
const std::vector<sc_event*>& sc_process_handle::get_child_events() const;
virtual const std::vector<sc_object*>& sc_object::get_child_objects() const;
virtual const std::vector<sc_event*>& sc_object::get_child_events() const;
const std::vector<sc_object*>& sc_get_top_level_objects();
const std::vector<sc_event*>& sc_get_top_level_events();
sc_attr_cltn& sc_object::attr_cltn();
const sc_attr_cltn& sc_object::attr_cltn() const;
The implementation is only obliged to ensure that the returned object (the vector or collection) is itself valid
until an sc_object, an sc_event, or an attribute is added or deleted that would affect the collection returned
by the function if it were to be called again.
3.3.3.5 Functions sc_time_stamp and sc_signal::read
The implementation is obliged to keep the object returned from function sc_time_stamp valid until the start
of the next timed notification phase.
The implementation is obliged to keep the object returned from function sc_signal::read valid until the end
of the current evaluation phase.
For both functions, it is strongly recommended that the application be written in such a way that it would
have identical behavior, whether these functions return a reference to an object or return the same object by
value.
3.3.4 Namespaces and internal naming
An implementation shall place every declaration specified by this standard, with the one exception of
sc_main, within one of the five namespaces sc_core, sc_dt, sc_unnamed, tlm, and tlm_utils. The core
language and predefined channels shall be placed in the namespace sc_core. The SystemC data types proper
shall be placed in the namespace sc_dt. The SystemC utilities are divided between the two namespaces
sc_core and sc_dt.
Authorized licensed use limited to: Furkan Tuncer. Downloaded on October 16,2017 at 17:05:54 UTC from IEEE Xplore. Restrictions apply.
IEEE Std 1666-2011
IEEE Standard for Standard SystemC® Language Reference Manual
11
Copyright © 2012 IEEE. All rights reserved.
It is recommended that an implementation use nested namespaces within sc_core and sc_dt in order to
reduce to a minimum the number of implementation-defined names in these two namespaces. The names of
any such nested namespaces shall be implementation-defined.
In general, the choice of internal, implementation-specific names within an implementation can cause
naming conflicts within an application. It is up to the implementor to choose names that are unlikely to cause
naming conflicts within an application.
3.3.5 Non-compliant applications and errors
In the case where an application fails to meet an obligation imposed by this standard, the behavior of the
SystemC implementation shall be undefined in general. When this results in the violation of a diagnosable
rule of the C++ standard, the C++ implementation will issue a diagnostic message in conformance with the
C++ standard.
When this standard explicitly states that the failure of an application to meet a specific obligation is an error
or a warning, the SystemC implementation shall generate a diagnostic message by calling the function
sc_report_handler::report. In the case of an error, the implementation shall call function report with a
severity of SC_ERROR. In the case of a warning, the implementation shall call function report with a
severity of SC_WARNING.
An implementation or an application may choose to suppress run-time error checking and diagnostic
messages because of considerations of efficiency or practicality. For example, an application may call
member function set_actions of class sc_report_handler to take no action for certain categories of report.
An application that fails to meet the obligations imposed by this standard remains in error.
There are cases where this standard states explicitly that a certain behavior or result is undefined. This
standard places no obligations on the implementation in such a circumstance. In particular, such a circum-
stance may or may not result in an error or a warning.
3.4 Notes and examples
Notes appear at the end of certain subclauses, designated by the uppercase word NOTE. Notes often
describe the consequences of rules defined elsewhere in this standard. Certain subclauses include examples
consisting of fragments of C++ source code. Such notes and examples are informative to help the reader but
are not an official part of this standard.
Authorized licensed use limited to: Furkan Tuncer. Downloaded on October 16,2017 at 17:05:54 UTC from IEEE Xplore. Restrictions apply.
IEEE Std 1666-2011
IEEE Standard for Standard SystemC® Language Reference Manual
12
Copyright © 2012 IEEE. All rights reserved.
4. Elaboration and simulation semantics
An implementation of the SystemC class library includes a public shell consisting of those predefined
classes, functions, macros, and so forth that can be used directly by an application. Such features are defined
in Clause 5, Clause 6, Clause 7, and Clause 8 of this standard. An implementation also includes a private
kernel that implements the core functionality of the class library. The underlying semantics of the kernel are
defined in this clause.
The execution of a SystemC application consists of elaboration followed by simulation. Elaboration results
in the creation of the module hierarchy. Elaboration involves the execution of application code, the public
shell of the implementation (as mentioned in the preceding paragraph), and the private kernel of the
implementation. Simulation involves the execution of the scheduler, part of the kernel, which in turn may
execute processes within the application.
In addition to providing support for elaboration and implementing the scheduler, the kernel may also
provide implementation-specific functionality beyond the scope of this standard. As an example of such
functionality, the kernel may save the state of the module hierarchy after elaboration and run or restart
simulation from that point, or it may support the graphical display of state variables on-the-fly during
simulation.
The phases of elaboration and simulation shall run in the following sequence:
a) Elaboration—Construction of the module hierarchy
b) Elaboration—Callbacks to function before_end_of_elaboration
c) Elaboration—Callbacks to function end_of_elaboration
d) Simulation—Callbacks to function start_of_simulation
e) Simulation—Initialization phase
f) Simulation—Evaluation, update, delta notification, and timed notification phases (repeated)
g) Simulation—Callbacks to function end_of_simulation
h) Simulation—Destruction of the module hierarchy
4.1 Elaboration
The primary purpose of elaboration is to create internal data structures within the kernel as required to
support the semantics of simulation. During elaboration, the parts of the module hierarchy (modules, ports,
primitive channels, and processes) are created, and ports and exports are bound to channels.
The actions stated in the following subclauses can occur during elaboration and only during elaboration.
NOTE 1—Because these actions can only occur during elaboration, SystemC does not support the dynamic creation or
modification of the module hierarchy during simulation, although it does support dynamic processes.
NOTE 2—Other actions besides those listed below may occur during elaboration, provided that they do not contradict
any statement made in this standard. For example, the objects of class sc_dt::sc_logic may be created during elaboration
and spawned processes may be created during elaboration, but the function notify of class sc_event cannot be called
during elaboration.
4.1.1 Instantiation
Instances of the following classes (or classes derived from these classes) may be created during elaboration
and only during elaboration. Such instances shall not be deleted before the destruction of the module
hierarchy at the end of simulation.
Authorized licensed use limited to: Furkan Tuncer. Downloaded on October 16,2017 at 17:05:54 UTC from IEEE Xplore. Restrictions apply.
IEEE Std 1666-2011
IEEE Standard for Standard SystemC® Language Reference Manual
13
Copyright © 2012 IEEE. All rights reserved.
sc_module (see 5.2)
sc_port (see 5.12)
sc_export (see 5.13)
sc_prim_channel (see 5.15)
An implementation shall permit an application to have zero or one top-level module and may permit more
than one top-level module (see 4.3.4.1 and 4.3.5).
Instances of class sc_module and class sc_prim_channel may only be created within a module or from
function sc_main (or a function called from sc_main), or in the absence of an sc_main (see 4.3.5), in the
form of one or more top-level modules. Instances of class sc_port and class sc_export can only be created
within a module. It shall be an error to instantiate a module or primitive channel other than as described
above, or to instantiate a port or export other than within a module.
The instantiation of a module also implies the construction of objects of class sc_module_name and class
sc_sensitive† (see 5.4).
Although these rules allow for considerable flexibility in instantiating the module hierarchy, it is strongly
recommended that, wherever possible, module, port, export, and primitive channel instances be data
members of a module or their addresses be stored in data members of a module. Moreover, the names of
those data members should match the string names of the instances wherever possible.
NOTE 1—The four classes sc_module, sc_port, sc_export, and sc_prim_channel are derived from a common base
class sc_object, and thus, they have some member functions in common (see 5.16).
NOTE 2—Objects of classes derived from sc_object but not derived from one of these four classes may be instantiated
during elaboration or simulation, as may objects of user-defined classes.
Example:
#include "systemc.h"
struct Mod: sc_module
{
SC_CTOR(Mod) { }
};
struct S
{
Mod m; // Unusual coding style - module instance within struct
S(char* name_) : m(name_) {}
};
struct Top: sc_module // Five instances of module Mod exist within module Top.
{
Mod m1; // Recommended coding style
Mod *m2; // Recommended coding style
S s1;
SC_CTOR(Top)
: m1("m1"), // m1.name() returns "top.m1"
s1("s1") // s1.m.name() returns "top.s1"
{
m2 = new Mod("m2"); // m2->name() returns "top.m2"
f();
Authorized licensed use limited to: Furkan Tuncer. Downloaded on October 16,2017 at 17:05:54 UTC from IEEE Xplore. Restrictions apply.
IEEE Std 1666-2011
IEEE Standard for Standard SystemC® Language Reference Manual
14
Copyright © 2012 IEEE. All rights reserved.
S *s2 = new S("s2"); // s2->m.name() returns "top.s2"
}
void f() {
Mod *m3 = new Mod("m3"); // Unusual coding style - not recommended
} // m3->name() returns "top.m3"
};
int sc_main(int argc, char* argv[])
{
Top top("top");
sc_start();
return 0;
}
4.1.2 Process macros
An unspawned process instance is a process created by invoking one of the following three process macros:
SC_METHOD
SC_THREAD
SC_CTHREAD
The name of a member function belonging to a class derived from class sc_module shall be passed as an
argument to the macro. This member function shall become the function associated with the process
instance.
Unspawned processes can be created during elaboration or from the end_of_elaboration callback. Spawned
processes may be created by calling the function sc_spawn during elaboration or simulation.
The purpose of the process macros is to register the associated function with the kernel such that the
scheduler can call back that member function during simulation. It is also possible to use spawned processes
for this same purpose. The process macros are provided for backward compatibility with earlier versions of
SystemC and to provide clocked threads for hardware synthesis.
4.1.3 Port binding and export binding
Port instances can be bound to channel instances, to other port instances, or to export instances. Export
instances can be bound to channel instances or to other export instances but not to port instances. Port
binding is an asymmetrical relationship, and export binding is an asymmetrical relationship. If a port is
bound to a channel, it is not true to say that the channel is bound to the port. Rather, it is true to say that the
channel is the channel to which the port is bound.
Ports can be bound by name or by position. Named port binding is performed by a member function of class
sc_port (see 5.12.7). Positional port binding is performed by a member function of class sc_module (see
5.2.19). Exports can only be bound by name. Export binding is performed by a member function of class
sc_export (see 5.13.7).
A given port instance shall not be bound both by name and by position.
A port should typically be bound within the parent of the module instance containing that port. Hence, when
port A is bound to port B, the module containing port A will typically be instantiated within the module
containing port B. An export should typically be bound within the module containing the export. A port
should typically be bound to a channel or a port that lies within the same module in which the port is bound
Authorized licensed use limited to: Furkan Tuncer. Downloaded on October 16,2017 at 17:05:54 UTC from IEEE Xplore. Restrictions apply.
IEEE Std 1666-2011
IEEE Standard for Standard SystemC® Language Reference Manual
15
Copyright © 2012 IEEE. All rights reserved.
or to an export within a child module. An export should typically be bound to a channel that lies within the
same module in which the export is bound or to an export within a child module.
When port A is bound to port B, and port B is bound to channel C, the effect shall be the same as if port A
were bound directly to channel C. Wherever this standard refers to port A being bound to channel C, it shall
be assumed this means that port A is bound either directly to channel C or to another port that is itself bound
to channel C according to this very same rule. This same rule shall apply when binding exports.
Port and export binding can occur during elaboration and only during elaboration. Whether a port need be
bound is dependent on the port policy argument of the port instance, whereas every export shall be bound
exactly once. A module may have zero or more ports and zero or more exports. If a module has no ports, no
(positional) port bindings are necessary or permitted for instances of that module. Ports may be bound (by
name) in any sequence. The binding of ports belonging to different module instances may be interleaved.
Since a port may be bound to another port that has not yet itself been bound, the implementation may defer
the completion of port binding until a later time during elaboration, whereas exports shall be bound
immediately. Such deferred port binding shall be completed by the implementation before the callbacks to
function end_of_elaboration.
The channel to which a port is bound shall not be deleted before the destruction of the module hierarchy at
the end of simulation.
Where permitted in the definition of the port object, a single port can be bound to multiple channel or port
instances. Such ports are known as multiports (see 5.12.3). An export can only be bound once. It shall be an
error to bind a given port instance to a given channel instance more than once, even if the port is a multiport.
When a port is bound to a channel, the kernel shall call the member function register_port of the channel.
There is no corresponding function called when an export is bound (see 5.14).
The purpose of port and export binding is to enable a port or export to forward interface method calls made
during simulation to the channel instances to which that port was bound during elaboration. This forwarding
is performed during simulation by member functions of the class sc_port and the class sc_export, such as
operator->. A port requires the services defined by an interface (that is, the type of the port), whereas an
export provides the services defined by an interface (that is, the type of the export).
NOTE 1—A phrase such as bind a channel to a port is not used in this standard. However, it is recognized that such a
phrase may be used informally to mean bind a port to a channel.
NOTE 2—A port of a child module instance can be bound to an export of that same child module instance.
NOTE 3—The member function register_port is defined in the class sc_interface from which every channel is derived.
4.1.4 Setting the time resolution
The simulation time resolution can be set during elaboration and only during elaboration. The time
resolution is set by calling the function sc_set_time_resolution (see 5.11.3).
NOTE—Time resolution can only be set globally. There is no concept of a local time resolution.
4.2 Simulation
This subclause defines the behavior of the scheduler and the semantics of simulated time and process
execution.
The primary purpose of the scheduler is to trigger or resume the execution of the processes that the user
supplies as part of the application. The scheduler is event-driven, meaning that processes are executed in
Authorized licensed use limited to: Furkan Tuncer. Downloaded on October 16,2017 at 17:05:54 UTC from IEEE Xplore. Restrictions apply.
IEEE Std 1666-2011
IEEE Standard for Standard SystemC® Language Reference Manual
16
Copyright © 2012 IEEE. All rights reserved.
response to the occurrence of events. Events occur (are notified) at precise points in simulation time. Events
are represented by objects of the class sc_event, and by this class alone (see 5.10).
Simulation time is an integer quantity. Simulation time is initialized to zero at the start of simulation and
increases monotonically during simulation. The physical significance of the integer value representing time
within the kernel is determined by the simulation time resolution. Simulation time and time intervals are
represented by class sc_time. Certain functions allow time to be expressed as a value pair having the
signature double,sc_time_unit (see 5.11.1).
The scheduler can execute a spawned or unspawned process instance as a consequence of one of the
following five causes, and these alone:
— In response to the process instance having been made runnable during the initialization phase (see
4.2.1.1)
— In response to a call to function sc_spawn during simulation
— In response to the occurrence of an event to which the process instance is sensitive
— In response to a time-out having occurred
— In response to a call to a process control member function of the class sc_process_handle.
The sensitivity of a process instance is the set of events and time-outs that can potentially cause the process
to be resumed or triggered. The static sensitivity of an unspawned process instance is fixed during
elaboration. The static sensitivity of a spawned process instance is fixed when the function sc_spawn is
called. The dynamic sensitivity of a process instance may vary over time under the control of the process
itself. A process instance is said to be sensitive to an event if the event has been added to the static sensitivity
or dynamic sensitivity of the process instance. A time-out occurs when a given time interval has elapsed.
The scheduler shall also manage event notifications and primitive channel update requests.
4.2.1 The scheduling algorithm
The semantics of the scheduling algorithm are defined in the following subclauses. For the sake of clarity,
imperative language is used in this description. The description of the scheduling algorithm uses the
following four sets:
— The set of runnable processes
— The set of update requests
— The set of delta notifications and time-outs
— The set of timed notifications and time-outs
An implementation may substitute an alternative scheme, provided the scheduling semantics given here are
retained.
A process instance shall not appear more than once in the set of runnable processes. An attempt to add to this
set a process instance that is already runnable shall be ignored.
An update request results from, and only from, a call to member function request_update or
async_request_update of class sc_prim_channel (see 5.15.6).
An immediate notification results from, and only from, a call to member function notify of class sc_event
with no arguments (see 5.10.6).
A delta notification results from, and only from, a call to member function notify of class sc_event with a
zero-valued time argument.
Authorized licensed use limited to: Furkan Tuncer. Downloaded on October 16,2017 at 17:05:54 UTC from IEEE Xplore. Restrictions apply.
IEEE Std 1666-2011
IEEE Standard for Standard SystemC® Language Reference Manual
17
Copyright © 2012 IEEE. All rights reserved.
A timed notification results from, and only from, a call to member function notify of class sc_event with a
non-zero-valued time argument. The time argument determines the time of the notification, relative to the
time when function notify is called.
A time-out results from, and only from, certain calls to functions wait or next_trigger, which are member
functions of class sc_module, member functions of class sc_prim_channel, and non-member functions. A
time-out resulting from a call with a zero-valued time argument is added to the set of delta notifications and
time-outs. A time-out resulting from a call with a non-zero-valued time argument is added to the set of timed
notifications and time-outs (see 5.2.17 and 5.2.18).
The scheduler starts by executing the initialization phase.
4.2.1.1 Initialization phase
Perform the following three steps in the order given:
a) Run the update phase as defined in 4.2.1.3 but without continuing to the delta notification phase.
b) Add every method and thread process instance in the object hierarchy to the set of runnable
processes, but exclude those process instances for which the function dont_initialize has been
called, and exclude clocked thread processes.
c) Run the delta notification phase, as defined in 4.2.1.4. At the end of the delta notification phase, go
to the evaluation phase.
NOTE—The update and delta notification phases are necessary because update requests can be created during
elaboration in order to set initial values for primitive channels, for example, from function initialize of class sc_inout.
4.2.1.2 Evaluation phase
From the set of runnable processes, select a process instance, remove it from the set, and only then trigger or
resume its execution. Run the process instance immediately and without interruption up to the point where it
either returns or, in the case of a thread or clocked thread process, calls the function wait or calls the member
function suspend of a process handle associated with the process instance itself.
Since process instances execute without interruption, only a single process instance can be running at any
one time, and no other process instance can execute until the currently executing process instance has
yielded control to the kernel. A process shall not pre-empt or interrupt the execution of another process. This
is known as co-routine semantics or co-operative multitasking.
The order in which process instances are selected from the set of runnable processes is implementation-
defined. However, if a specific version of a specific implementation runs a specific application using a
specific input data set, the order of process execution shall not vary from run to run.
A process may execute an immediate notification, in which case all process instances that are currently
sensitive to the notified event shall be added to the set of runnable processes. Such process instances shall be
executed in the current evaluation phase. The currently executing process instance shall not be added to the
set of runnable processes as the result of an immediate notification executed by the process instance itself.
A process may call function sc_spawn to create a spawned process instance, in which case the new process
instance shall be added to the set of runnable processes (unless function sc_spawn_options::dont_initialize
is called) and subsequently executed in this very same evaluation phase.
A process may call the member function request_update or async_request_update of a primitive channel,
which will cause the member function update of that same primitive channel to be called back during the
very next update phase.
Authorized licensed use limited to: Furkan Tuncer. Downloaded on October 16,2017 at 17:05:54 UTC from IEEE Xplore. Restrictions apply.
IEEE Std 1666-2011
IEEE Standard for Standard SystemC® Language Reference Manual
18
Copyright © 2012 IEEE. All rights reserved.
A process may call a process control member function of the class sc_process_handle, which may cause a
process instance to become runnable in the current evaluation phase or may remove a process instance from
the set of runnable processes.
Repeat this step until the set of runnable processes is empty; then go on to the update phase.
The scheduler is not pre-emptive. An application can assume that a method process will execute in its
entirety without interruption, and a thread or clocked thread process will execute the code between two
consecutive calls to function wait without interruption.
Because the order in which processes are run within the evaluation phase is not under the control of the
application, access to shared storage should be explicitly synchronized to avoid non-deterministic behavior.
An implementation running on a machine that provides hardware support for concurrent processes may
permit two or more processes to run concurrently, provided that the behavior appears identical to the co-
routine semantics defined in this subclause. In other words, the implementation would be obliged to analyze
any dependencies between processes and to constrain their execution to match the co-routine semantics.
When an immediate notification occurs, only processes that are currently sensitive to the notified event shall
be made runnable. This excludes processes that are only made dynamically sensitive to the notified event
later in the same evaluation phase, unless those processes happen to be statically sensitive to the given event.
4.2.1.3 Update phase
Execute any and all pending calls to function update resulting from calls to function request_update made
in the immediately preceding evaluation phase or made during elaboration if the update phase is executed as
part of the initialization phase or resulting from calls to function async_request_update. Function update
shall be called no more than once for each primitive channel instance in each update phase.
If no remaining pending calls to function update exist, go on to the delta notification phase (except when
executed from the initialization phase).
4.2.1.4 Delta notification phase
If pending delta notifications or time-outs exist (which can only result from calls to function notify or
function wait in the immediately preceding evaluation phase or update phase):
a) Determine which process instances are sensitive to these events or time-outs.
b) Add all such process instances to the set of runnable processes.
c) Remove all such notifications and time-outs from the set of delta notifications and time-outs.
If, at the end of the delta notification phase, the set of runnable processes is non-empty, go back to the
evaluation phase.
4.2.1.5 Timed notification phase
If pending timed notifications or time-outs exist:
a) Advance simulation time to the time of the earliest pending timed notification or time-out.
b) Determine which process instances are sensitive to the events notified and time-outs lapsing at this
precise time.
c) Add all such process instances to the set of runnable processes.
d) Remove all such notifications and time-outs from the set of timed notifications and time-outs.
Authorized licensed use limited to: Furkan Tuncer. Downloaded on October 16,2017 at 17:05:54 UTC from IEEE Xplore. Restrictions apply.
IEEE Std 1666-2011
IEEE Standard for Standard SystemC® Language Reference Manual
19
Copyright © 2012 IEEE. All rights reserved.
If no pending timed notifications or time-outs exist, the end of simulation has been reached. So, exit the
scheduler.
If, at the end of the timed notification phase, the set of runnable processes is non-empty, go back to the
evaluation phase.
NOTE—On exiting the scheduler, the value of the simulation time will depend on how the scheduler was invoked (see
4.3.4.2).
4.2.2 Initialization, cycles, and pauses in the scheduling algorithm
A delta cycle is a sequence of steps in the scheduling algorithm consisting of the following steps in the order
given:
a) An evaluation phase
b) An update phase
c) A delta notification phase
The initialization phase does not include a delta cycle.
Update requests may be created during elaboration or before the initialization phase, and they shall be
scheduled to execute in the update phase during the initialization phase.
Delta notifications and timed notifications may be created during elaboration or before the initialization
phase. Such delta notifications shall be scheduled to occur in the delta notification phase during the
initialization phase.
The scheduler repeatedly executes whole delta cycles and may cease execution at the boundary between the
delta notification and evaluation phases. The only circumstances in which the scheduler can cease execution
other than at this boundary are after a call to function sc_stop, when an exception is thrown, or when
simulation is stopped or aborted by the report handler (see 8.3).
When sc_pause is called, the scheduler shall cease execution at the end of a delta notification phase, and if it
is to resume execution, the scheduler shall resume at the start of the next evaluation phase.
An application may create update requests and event notifications while the scheduler is paused, and these
shall be treated by the scheduler as if they had been created in the evaluation phase immediately following
resumption, in the following sense: update requests shall be queued to be executed in the first update phase
following resumption, immediate notifications shall make any sensitive processes runnable in the first
evaluation phase, and delta notifications shall make any sensitive processes runnable in the second
evaluation phase following resumption.
Update requests created before the initialization phase or while the scheduler is paused shall not be
associated with any process instance with respect to the rules for updating the state of any primitive channel,
for example, the writer policy of sc_signal.
NOTE 1—The scheduling algorithm implies the existence of three causal loops resulting from immediate notification,
delta notification, and timed notification, as follows:
— The immediate notification loop is restricted to a single evaluation phase.
— The delta notification loop takes the path of an evaluation phase, followed by an update phase, followed by a
delta notification phase, and back to an evaluation phase. This loop advances simulation by one delta cycle.
— The timed notification loop takes the path of an evaluation phase, followed by an update phase, followed by a
delta notification phase, followed by a timed notification phase, and back to an evaluation phase. This loop
advances simulation time.
Authorized licensed use limited to: Furkan Tuncer. Downloaded on October 16,2017 at 17:05:54 UTC from IEEE Xplore. Restrictions apply.
IEEE Std 1666-2011
IEEE Standard for Standard SystemC® Language Reference Manual
20
Copyright © 2012 IEEE. All rights reserved.
NOTE 2—The immediate notification loop is non-deterministic in the sense that process execution can be interleaved
with immediate notification, and the order in which runnable processes are executed is undefined.
NOTE 3—The delta notification and timed notification loops are deterministic in the sense that process execution
alternates with primitive channel updates. If, within a particular application, inter-process communication is confined to
using only deterministic primitive channels, the behavior of the application will be independent of the order in which the
processes are executed within the evaluation phase (assuming no other explicit dependencies on process order such as
external input or output exist).
4.3 Running elaboration and simulation
An implementation shall provide either or both of the following two mechanisms for running elaboration
and simulation:
— Under application control using functions sc_main and sc_start
— Under control of the kernel
Both mechanisms are defined in the following subclauses. An implementation is not obliged to provide both
mechanisms.
4.3.1 Function declarations
namespace sc_core {
int sc_elab_and_sim( int argc, char* argv[] );
int sc_argc();
const char* const* sc_argv();
enum sc_starvation_policy {
SC_RUN_TO_TIME,
SC_EXIT_ON_STARVATION
};
void sc_start();
void sc_start( const sc_time&, sc_starvation_policy p = SC_RUN_TO_TIME );
void sc_start( double , sc_time_unit, sc_starvation_policy p = SC_RUN_TO_TIME );
}
4.3.2 Function sc_elab_and_sim
The function main that is the entry point of the C++ program may be provided by the implementation or by
the application. If function main is provided by the implementation, function main shall initiate the
mechanisms for elaboration and simulation as described in this subclause. If function main is provided by
the application, function main shall call the function sc_elab_and_sim, which is the entry point into the
SystemC implementation.
The implementation shall provide a function sc_elab_and_sim with the following declaration:
int sc_elab_and_sim( int argc, char* argv[] );
Function sc_elab_and_sim shall initiate the mechanisms for running elaboration and simulation. The
application should pass the values of the parameters from function main as arguments to function
sc_elab_and_sim. Whether the application may call function sc_elab_and_sim more than once is
implementation-defined.
Authorized licensed use limited to: Furkan Tuncer. Downloaded on October 16,2017 at 17:05:54 UTC from IEEE Xplore. Restrictions apply.
IEEE Std 1666-2011
IEEE Standard for Standard SystemC® Language Reference Manual
21
Copyright © 2012 IEEE. All rights reserved.
A return value of 0 from function sc_elab_and_sim shall indicate successful completion. An
implementation may use other return values to indicate other termination conditions.
NOTE—Function sc_elab_and_sim was named sc_main_main in an earlier version of SystemC.
4.3.3 Functions sc_argc and sc_argv
The implementation shall provide functions sc_argc and sc_argv with the following declarations:
int sc_argc();
const char* const* sc_argv();
These two functions shall return the values of the arguments passed to function main or function
sc_elab_and_sim.
4.3.4 Running under application control using functions sc_main and sc_start
The application provides a function sc_main and calls the function sc_start, as defined in 4.3.4.1 and
4.3.4.2.
4.3.4.1 Function sc_main
An application shall provide a function sc_main in the global namespace with the following declaration.
The order and types of the arguments and the return type shall be as shown here:
int sc_main( int argc, char* argv[] );
This function shall be called once from the kernel and is the only entry point into the application. The
arguments argc and argv[] are command-line arguments. The implementation may pass the values of C++
command-line arguments (as passed to function main) through to function sc_main. The choice of which
C++ command-line arguments to pass is implementation-defined.
Elaboration consists of the execution of the sc_main function from the start of sc_main to the point
immediately before the first call to the function sc_start.
A return value of 0 from function sc_main shall indicate successful completion. An application may use
other return values to indicate other termination conditions.
NOTE 1—As a consequence of the rules defined in 4.1, before calling function sc_start for the first time, the function
sc_main may instantiate modules, instantiate primitive channels, bind the ports and exports of module instances to
channels, and set the time resolution. More than one top-level module may exist.
NOTE 2—Throughout this standard, the term call is taken to mean call directly or indirectly. Hence, function sc_start
may be called indirectly from function sc_main by another function or functions.
4.3.4.2 Function sc_start
The implementation shall provide a function sc_start in the namespace sc_core, overloaded with the follow-
ing signatures:
void sc_start();
void sc_start( const sc_time&, sc_starvation_policy p = SC_RUN_TO_TIME );
void sc_start( double , sc_time_unit, sc_starvation_policy p = SC_RUN_TO_TIME );
The behavior of the latter function shall be equivalent to the following definition:
Authorized licensed use limited to: Furkan Tuncer. Downloaded on October 16,2017 at 17:05:54 UTC from IEEE Xplore. Restrictions apply.
IEEE Std 1666-2011
IEEE Standard for Standard SystemC® Language Reference Manual
22
Copyright © 2012 IEEE. All rights reserved.
void sc_start( double d, sc_time_unit t, sc_starvation_policy p ) { sc_start( sc_time(d, t), p ); }
When called for the first time, function sc_start shall start the scheduler, which shall run up to the
simulation time passed as an argument (if an argument was passed), unless otherwise interrupted, and as
determined by the starvation policy argument. The scheduler shall execute the initialization phase before
executing the first evaluation phase, as described in 4.2.1.1.
When called on the second and subsequent occasions, function sc_start shall resume the scheduler from the
time it had reached at the end of the previous call to sc_start. The scheduler shall run for the time passed as
an argument (if an argument was passed), relative to the current simulation time, unless otherwise
interrupted, and as determined by the starvation policy argument. The scheduler shall execute from the
evaluation phase of a new delta cycle, as described in 4.2.2.
When a time is passed as an argument, the scheduler shall execute up to and including the latest timed
notification phase with simulation time less than or equal to the end time (calculated by adding the time
given as an argument to the simulation time when function sc_start is called). On return from sc_start, if
the argument of type sc_starvation_policy has the value SC_RUN_TO_TIME, the implementation shall set
simulation time equal to the end time, regardless of the time of the most recent event notification or time-
out. If the argument of type sc_starvation_policy has the value SC_EXIT_ON_STARVATION, the
implementation shall set simulation time equal to the time of the most recent event notification or time-out,
which may be less than the end time.
When function sc_start is called without any arguments, the scheduler shall run until there is no remaining
activity, unless otherwise interrupted. In other words, except when sc_stop or sc_pause have been called or
an exception has been thrown, control shall only be returned from sc_start when the set of runnable
processes, the set of update requests, the set of delta notifications and time-outs, and the set of timed
notifications and time-outs are all empty. On return from sc_start, the implementation shall set simulation
time equal to the time of the most recent event notification or time-out.
When function sc_start is called with a zero-valued time argument, the scheduler shall run for one delta
cycle, that is, an evaluation phase, an update phase, and a delta notification phase, in that order. The value of
the starvation policy argument shall be ignored. Simulation time shall not be advanced. If this is the first call
to sc_start, the scheduler shall execute the initialization phase before executing the evaluation phase, as
described in 4.2.1.1. If, when sc_start is called with a zero-valued time argument, the set of runnable
processes is empty, the set of update requests is empty, and the set of delta notifications and time-outs is
empty; that is, if sc_pending_activity_at_current_time() == false, the implementation shall issue a
warning and the value returned from sc_delta_count shall not be incremented.
Once started, the scheduler shall run until either it reaches the end time, there is no remaining activity, or the
application calls the function sc_pause or sc_stop, an exception occurs, or simulation is stopped or aborted
by the report handler (see 8.3). If the function sc_pause has been called, function sc_start may be called
again. Once the function sc_stop has been called, function sc_start shall not be called again. If neither
sc_pause nor sc_stop have been called, the implementation shall insert an implicit call to sc_pause before
returning control from function sc_start, and function sc_start may be called again.
Update requests, timed notifications, and delta notifications may be created before the first call to sc_start,
but immediate notifications shall not be created before the first call to sc_start. Update requests and event
notifications, including immediate notifications, may be created between or after calls to sc_start.
Function sc_start may be called from function sc_main, and only from function sc_main.
Applications are recommended to call function sc_stop before returning control from sc_main to ensure that
the end_of_simulation callbacks are called (see 4.4.4).
Authorized licensed use limited to: Furkan Tuncer. Downloaded on October 16,2017 at 17:05:54 UTC from IEEE Xplore. Restrictions apply.
IEEE Std 1666-2011
IEEE Standard for Standard SystemC® Language Reference Manual
23
Copyright © 2012 IEEE. All rights reserved.
Example:
int sc_main( int argc, char* argv[] )
{
Top top("top"); // Instantiate module hierarchy
sc_start(100, SC_NS); // Run for exactly 100 ns
sc_start(); // Run until no more activity
if (sc_get_status() == SC_PAUSED) {
SC_REPORT_INFO("", "sc_stop called to terminate a paused simulation");
sc_stop();
}
return 0;
}
NOTE—When the scheduler is paused between successive calls to function sc_start, the set of runnable processes does
not need to be empty.
4.3.5 Running under control of the kernel
Elaboration and simulation may be initiated under the direct control of the kernel, in which case the
implementation shall not call the function sc_main, and the implementation is not obliged to provide a
function sc_start.
An implementation may permit more than one top-level module, but it is not obliged to do so.
In this case, the mechanisms used to initiate elaboration and simulation and to identify top-level modules are
implementation-defined.
In this case, an implementation shall honor all obligations set out in this standard with the exception of those
in 4.3.4.
4.4 Elaboration and simulation callbacks
Four callback functions are called by the kernel at various stages during elaboration and simulation. They
have the following declarations:
virtual void before_end_of_elaboration();
virtual void end_of_elaboration();
virtual void start_of_simulation();
virtual void end_of_simulation();
The implementation shall define each of these four callback functions as member functions of the classes
sc_module, sc_port, sc_export, and sc_prim_channel, and each of these definitions shall have empty
function bodies. The implementation also overrides various of these functions as member functions of
various predefined channel and port classes and having specific behaviors (see Clause 6). An application
may override any of these four functions in any class derived from any of the classes mentioned in this
paragraph. If an application overrides any such callback function of a predefined class and the callback has
implementation-defined behavior (for example, sc_in::end_of_elaboration), the application-defined
member function in the derived class may or may not call the implementation-defined function of the base
class, and the behavior will differ, depending on whether the member function of the base class is called.
Authorized licensed use limited to: Furkan Tuncer. Downloaded on October 16,2017 at 17:05:54 UTC from IEEE Xplore. Restrictions apply.
IEEE Std 1666-2011
IEEE Standard for Standard SystemC® Language Reference Manual
24
Copyright © 2012 IEEE. All rights reserved.
Within each of the four categories of callback functions, the order in which the callbacks are made for
objects of class sc_module, sc_port, sc_export, and sc_prim_channel shall be implementation-defined.
The implementation shall make callbacks to all such functions for every instance in the module hierarchy, as
defined in the following subclauses.
The implementation shall provide the following two functions:
namespace sc_core {
bool sc_start_of_simulation_invoked();
bool sc_end_of_simulation_invoked();
}
Function sc_start_of_simulation_invoked shall return true after and only after all the callbacks to function
start_of_simulation have executed to completion. Function sc_end_of_simulation_invoked shall return
true after, and only after, all the callbacks to function end_of_simulation have executed to completion.
4.4.1 before_end_of_elaboration
The implementation shall make callbacks to member function before_end_of_elaboration after the
construction of the module hierarchy defined in 4.3 is complete. Function before_end_of_elaboration may
extend the construction of the module hierarchy by instantiating further modules (and other objects) within
the module hierarchy.
The purpose of member function before_end_of_elaboration is to allow an application to perform actions
during elaboration that depend on the global properties of the module hierarchy and that also need to modify
the module hierarchy. Examples include the instantiation of top-level modules to monitor events buried
within the hierarchy.
The following actions may be performed directly or indirectly from the member function
before_end_of_elaboration.
a) The instantiation of objects of class sc_module, sc_port, sc_export, sc_prim_channel.
b) The instantiation of objects of other classes derived from class sc_object.
c) Port binding.
d) Export binding.
e) The macros SC_METHOD, SC_THREAD, SC_CTHREAD, and SC_HAS_PROCESS.
f) The member sensitive and member functions dont_initialize, set_stack_size, reset_signal_is, and
async_reset_signal_is, of the class sc_module.
g) Calls to event finder functions.
h) Calls to function sc_spawn to create static, spawned processes.
i) Calls to member function set_sensitivity of class sc_spawn_options to set the sensitivity of a
spawned process using an event, an interface, or an event finder function. A port cannot be used
because port binding may have been deferred.
j) Calls to member functions reset_signal_is and async_reset_signal_is of the class
sc_spawn_options.
k) Calls to member functions request_update or async_request_update of class sc_prim_channel to
create update requests (for example, by calling member function initialize of class sc_inout).
l) Calls to member functions notify(const sc_time&) and notify(double,sc_time_unit) of class
sc_event to create delta and timed notifications.
m) Calls to the process control member functions suspend, resume, disable, enable, sync_reset_on,
and sync_reset_off of class sc_process_handle.
Authorized licensed use limited to: Furkan Tuncer. Downloaded on October 16,2017 at 17:05:54 UTC from IEEE Xplore. Restrictions apply.
IEEE Std 1666-2011
IEEE Standard for Standard SystemC® Language Reference Manual
25
Copyright © 2012 IEEE. All rights reserved.
The following constructs shall not be used directly or indirectly within callback before_end_of_elaboration:
a) Calls to member function notify of class sc_event with an empty argument list to create immediate
notifications
b) Calls to the process control member functions kill, reset, or throw_it of class sc_process_handle
The following constructs cannot be used directly within member function before_end_of_elaboration, but
they may be used where permitted within module instances nested within callbacks to
before_end_of_elaboration:
a) The macro SC_CTOR
operator-> and operator[] of class sc_port should not be called from the function
before_end_of_elaboration because the implementation may not have completed port binding at the time
of this callback and, hence, these operators may return null pointers. The member function size may return a
value less than its final value.
Any sc_object instances created from callback before_end_of_elaboration shall be placed at a location in
the module hierarchy as if those instances had been created from the constructor of the module to which the
callback belongs, or to the parent module if the callback belongs to a port, export, or primitive channel. In
other words, it shall be as if the instances were created from the constructor of the object whose callback is
called.
Objects instantiated from the member function before_end_of_elaboration may themselves override any of
the four callback functions, including the member function before_end_of_elaboration itself. The
implementation shall make all such nested callbacks. An application can assume that every such member
function will be called back by the implementation, whatever the context in which the object is instantiated.
4.4.2 end_of_elaboration
The implementation shall call member function end_of_elaboration at the very end of elaboration after all
callbacks to before_end_of_elaboration have completed and after the completion of any instantiation or
port binding performed by those callbacks and before starting simulation.
The purpose of member function end_of_elaboration is to allow an application to perform housekeeping
actions at the end of elaboration that do not need to modify the module hierarchy. Examples include design
rule checking, actions that depend on the number of times a port is bound, and printing diagnostic messages
concerning the module hierarchy.
The following actions may be performed directly or indirectly from the callback end_of_elaboration:
a) The instantiation of objects of classes derived from class sc_object but excluding classes
sc_module, sc_port, sc_export, and sc_prim_channel
b) The macros SC_METHOD, SC_THREAD, and SC_HAS_PROCESS
c) The member sensitive and member functions dont_initialize and set_stack_size of the class
sc_module
d) Calls to function sc_spawn to create dynamic spawned processes
e) Calls to member functions request_update or async_request_update of class sc_prim_channel to
create update requests (for example, by calling member function write of class sc_inout)
f) Calls to member functions notify(const sc_time&) and notify(double,sc_time_unit) of class
sc_event to create delta and timed notifications
g) Calls to the process control member functions suspend, resume, disable, enable, sync_reset_on,
and sync_reset_off of class sc_process_handle
Authorized licensed use limited to: Furkan Tuncer. Downloaded on October 16,2017 at 17:05:54 UTC from IEEE Xplore. Restrictions apply.
IEEE Std 1666-2011
IEEE Standard for Standard SystemC® Language Reference Manual
26
Copyright © 2012 IEEE. All rights reserved.
h) Interface method calls using operator-> and operator[] of class sc_port, provided that those calls
do not attempt to perform actions prohibited outside simulation such as event notification
The following constructs shall not be used directly or indirectly within callback end_of_elaboration:
a) The instantiation of objects of class sc_module, sc_port, sc_export, sc_prim_channel
b) Port binding
c) Export binding
d) The macros SC_CTOR, SC_CTHREAD
e) The member functions reset_signal_is and async_reset_signal_is of the class sc_module
f) Calls to event finder functions
g) Calls to member function notify of class sc_event with an empty argument list to create immediate
notifications
h) Calls to the process control member functions kill, reset, or throw_it of class sc_process_handle
4.4.3 start_of_simulation
The implementation shall call member function start_of_simulation immediately when the application
calls function sc_start for the first time or at the very start of simulation, if simulation is initiated under the
direct control of the kernel. If an application makes multiple calls to sc_start, the implementation shall only
make the callbacks to start_of_simulation on the first such call to sc_start. The implementation shall call
function start_of_simulation after the callbacks to end_of_elaboration and before invoking the
initialization phase of the scheduler.
The purpose of member function start_of_simulation is to allow an application to perform housekeeping
actions at the start of simulation. Examples include opening stimulus and response files and printing
diagnostic messages. The intention is that an implementation that initiates elaboration and simulation under
direct control of the kernel (in the absence of functions sc_main and sc_start) shall make the callbacks to
end_of_elaboration at the end of elaboration and the callbacks to start_of_simulation at the start of
simulation.
The following actions may be performed directly or indirectly from the callback start_of_simulation:
a) The instantiation of objects of classes derived from class sc_object but excluding classes
sc_module, sc_port, sc_export, and sc_prim_channel
b) Calls to function sc_spawn to create dynamic spawned processes
c) Calls to member functions request_update or async_request_update of class sc_prim_channel to
create update requests (for example by calling member function write of class sc_inout)
d) Calls to member functions notify(const sc_time&) and notify(double,sc_time_unit) of class
sc_event to create delta and timed notifications
e) Calls to the process control member functions suspend, resume, disable, enable, sync_reset_on,
and sync_reset_off of class sc_process_handle
f) Interface method calls using operator-> and operator[] of class sc_port, provided that those calls
do not attempt to perform actions prohibited outside simulation such as event notification
The following constructs shall not be used directly or indirectly within callback start_of_simulation:
a) The instantiation of objects of class sc_module, sc_port, sc_export, sc_prim_channel
b) Port binding
c) Export binding
d) The macros SC_CTOR, SC_METHOD, SC_THREAD, SC_CTHREAD, and SC_HAS_PROCESS
Authorized licensed use limited to: Furkan Tuncer. Downloaded on October 16,2017 at 17:05:54 UTC from IEEE Xplore. Restrictions apply.
IEEE Std 1666-2011
IEEE Standard for Standard SystemC® Language Reference Manual
27
Copyright © 2012 IEEE. All rights reserved.
e) The member sensitive and member functions dont_initialize, set_stack_size, reset_signal_is, and
async_reset_signal_is of the class sc_module
f) Calls to event finder functions
g) Calls to member function notify of class sc_event with an empty argument list to create immediate
notifications
h) Calls to the process control member functions kill, reset, or throw_it of class sc_process_handle
4.4.4 end_of_simulation
The implementation shall call member function end_of_simulation at the point when the scheduler halts
because of the function sc_stop having been called during simulation (see 4.5.3) or at the very end of
simulation if simulation is initiated under the direct control of the kernel. The end_of_simulation callbacks
shall only be called once even if function sc_stop is called multiple times.
The purpose of member function end_of_simulation is to allow an application to perform housekeeping
actions at the end of simulation. Examples include closing stimulus and response files and printing
diagnostic messages. The intention is that an implementation that initiates elaboration and simulation under
direct control of the kernel (in the absence of functions sc_main and sc_start) shall make the callbacks to
end_of_simulation at the very end of simulation whether or not function sc_stop has been called.
As a consequence of the language mechanisms of C++, the destructors of any objects in the module
hierarchy will be called as these objects are deleted at the end of program execution. Any callbacks to
function end_of_simulation shall be made before the destruction of the module hierarchy. The function
sc_end_of_simulation_invoked may be called by the application within a destructor to determine whether
the callback has been made.
The implementation is not obliged to support any of the following actions when made directly or indirectly
from the member function end_of_simulation or from the destructors of any objects in the module
hierarchy. Whether any of these actions causes an error is implementation-defined.
a) The instantiation of objects of classes derived from class sc_object
b) Calls to function sc_spawn to create dynamic spawned processes
c) Calls to member functions request_update or async_request_update of class sc_prim_channel to
create update requests (for example by calling member function write of class sc_inout)
d) Calls to member function notify of the class sc_event
4.5 Other functions related to the scheduler
4.5.1 Function declarations
namespace sc_core {
void sc_pause();
enum sc_stop_mode
{
SC_STOP_FINISH_DELTA ,
SC_STOP_IMMEDIATE
};
extern void sc_set_stop_mode( sc_stop_mode mode );
extern sc_stop_mode sc_get_stop_mode();
Authorized licensed use limited to: Furkan Tuncer. Downloaded on October 16,2017 at 17:05:54 UTC from IEEE Xplore. Restrictions apply.
IEEE Std 1666-2011
IEEE Standard for Standard SystemC® Language Reference Manual
28
Copyright © 2012 IEEE. All rights reserved.
void sc_stop();
const sc_time& sc_time_stamp();
const sc_dt::uint64 sc_delta_count();
bool sc_is_running();
bool sc_pending_activity_at_current_time();
bool sc_pending_activity_at_future_time();
bool sc_pending_activity();
sc_time sc_time_to_pending_activity();
enum sc_status
{
SC_ELABORATION = 0x01,
SC_BEFORE_END_OF_ELABORATION = 0x02,
SC_END_OF_ELABORATION = 0x04,
SC_START_OF_SIMULATION = 0x08,
SC_RUNNING = 0x10,
SC_PAUSED = 0x20,
SC_STOPPED = 0x40,
SC_END_OF_SIMULATION = 0x80
};
sc_status sc_get_status();
}
4.5.2 Function sc_pause
The implementation shall provide a function sc_pause with the following declaration:
void sc_pause();
Function sc_pause shall cause the scheduler to cease execution at the end of the current delta cycle such that
the scheduler can be resumed again later. If sc_start was called, sc_pause shall cause the scheduler to return
control from sc_start at the end of the current delta cycle such that the scheduler can be resumed by a
subsequent call to sc_start.
Function sc_pause shall be non-blocking; that is, the calling function shall continue to execute until it yields
or returns.
If the function sc_pause is called during the evaluation phase or the update phase, the scheduler shall com-
plete the current delta cycle before ceasing execution; that is, the scheduler shall complete the evaluation
phase, the update phase, and the delta notification phase.
Function sc_pause may be called during elaboration, from function sc_main, or from one of the callbacks
before_end_of_elaboration, end_of_elaboration, start_of_simulation, or end_of_simulation, in which
case it shall have no effect and shall be ignored by the implementation.
If sc_stop has already been called, a call to sc_pause shall have no effect.
The following operations are permitted while simulation is paused:
a) The instantiation of objects of a type derived from sc_object provided that instantiation of those
objects is permitted during simulation
b) Calls to function sc_spawn to create dynamic processes
Authorized licensed use limited to: Furkan Tuncer. Downloaded on October 16,2017 at 17:05:54 UTC from IEEE Xplore. Restrictions apply.
IEEE Std 1666-2011
IEEE Standard for Standard SystemC® Language Reference Manual
29
Copyright © 2012 IEEE. All rights reserved.
c) Calls to member functions request_update and async_request_update of class sc_prim_channel
to create update requests
d) Calls to member function notify of class sc_event to create immediate, delta, or timed notifications
e) Calls to the process control member functions suspend, resume, disable, enable, sync_reset_on,
and sync_reset_off of class sc_process_handle
f) Interface method calls using operator-> and operator[] of class sc_port, provided those functions
do not themselves perform any operations that are forbidden while simulation is paused
g) Calls to function sc_stop
It shall be an error to perform any of the following operations while simulation is paused:
a) The instantiation of objects of class sc_module, sc_port, sc_export, or sc_prim_channel
b) Port binding
c) Export binding
d) Invocation of the macros SC_METHOD, SC_THREAD, or SC_CTHREAD
e) Use of the member sensitive of class sc_module to create static sensitivity
f) Calls to the member functions dont_initialize, set_stack_size, reset_signal_is, or
async_reset_signal_is of the class sc_module
g) Calls to event finder functions
h) Calls to the process control member functions kill, reset, or throw_it of class sc_process_handle
i) Calls to the member functions wait or next_trigger of classes sc_module and sc_prim_channel or
to the non-member functions wait or next_trigger
4.5.3 Function sc_stop, sc_set_stop_mode, and sc_get_stop_mode
The implementation shall provide functions sc_set_stop_mode, sc_get_stop_mode, and sc_stop with the
following declarations:
enum sc_stop_mode
{
SC_STOP_FINISH_DELTA ,
SC_STOP_IMMEDIATE
};
extern void sc_set_stop_mode( sc_stop_mode mode );
extern sc_stop_mode sc_get_stop_mode();
void sc_stop();
The function sc_set_stop_mode shall set the current stop mode to the value passed as an argument. The
function sc_get_stop_mode shall return the current stop mode. Function sc_set_stop_mode may be called
during elaboration or from one of the callbacks before_end_of_elaboration, end_of_elaboration, or
start_of_simulation. If sc_set_stop_mode is called more than once, the most recent call shall take
precedence. It shall be an error for the application to call function sc_set_stop_mode from the initialization
phase onward.
The function sc_stop may be called by the application from an elaboration or simulation callback, from a
process, from the member function update of class sc_prim_channel, or from function sc_main. The
implementation may call the function sc_stop from member function report of class sc_report_handler.
Authorized licensed use limited to: Furkan Tuncer. Downloaded on October 16,2017 at 17:05:54 UTC from IEEE Xplore. Restrictions apply.
IEEE Std 1666-2011
IEEE Standard for Standard SystemC® Language Reference Manual
30
Copyright © 2012 IEEE. All rights reserved.
A call to function sc_stop shall cause elaboration or simulation to halt as described below and control to
return to function sc_main or to the kernel. The implementation shall print out a message from function
sc_stop to standard output to indicate that simulation has been halted by this means. The implementation
shall make the end_of_simulation callbacks as described in 4.4.4.
If the function sc_stop is called from one of the callbacks before_end_of_elaboration,
end_of_elaboration, start_of_simulation, or end_of_simulation, elaboration or simulation shall halt after
the current callback phase is complete, that is, after all callbacks of the given kind have been made.
If the function sc_stop is called during the evaluation phase or the update phase, the scheduler shall halt as
determined by the current stop mode but in any case before the delta notification phase of the current delta
cycle. If the current stop mode is SC_STOP_FINISH_DELTA, the scheduler shall complete both the current
evaluation phase and the current update phase before halting simulation. If the current stop mode is
SC_STOP_IMMEDIATE and function sc_stop is called during the evaluation phase, the scheduler shall
complete the execution of the current process and shall then halt without executing any further processes and
without executing the update phase. If function sc_stop is called during the update phase, the scheduler shall
complete the update phase before halting. Whatever the stop mode, simulation shall not halt until the
currently executing process has yielded control to the scheduler (such as by calling function wait or by
executing a return statement).
The default stop mode shall be SC_STOP_FINISH_DELTA.
It shall be an error for the application to call function sc_start after function sc_stop has been called.
If function sc_stop is called a second time before or after elaboration or simulation has halted, the
implementation shall issue a warning. If function stop_after of class sc_report_handler has been used to
cause sc_stop to be called on the occurrence of a warning, the implementation shall override this report-
handling mechanism and shall not make further calls to sc_stop, preventing an infinite regression.
A call to sc_stop shall take precedence over a call to sc_pause.
NOTE 1—A function sc_stop shall be provided by the implementation, whether or not the implementors choose to
provide a function sc_start.
NOTE 2—Throughout this standard, the term call is taken to mean call directly or indirectly. Hence, function sc_stop
may be called indirectly, for example, by an interface method call.
4.5.4 Function sc_time_stamp
The implementation shall provide a function sc_time_stamp with the following declaration:
const sc_time& sc_time_stamp();
The function sc_time_stamp shall return the current simulation time. During elaboration and initialization,
the function shall return a value of zero.
NOTE—The simulation time can only be modified by the scheduler.
Authorized licensed use limited to: Furkan Tuncer. Downloaded on October 16,2017 at 17:05:54 UTC from IEEE Xplore. Restrictions apply.
IEEE Std 1666-2011
IEEE Standard for Standard SystemC® Language Reference Manual
31
Copyright © 2012 IEEE. All rights reserved.
4.5.5 Function sc_delta_count
The implementation shall provide a function sc_delta_count with the following declaration:
const sc_dt::uint64 sc_delta_count();
The function sc_delta_count shall return an integer value that is incremented exactly once in each delta
cycle in which at least one process is triggered or resumed and, thus, returns a count of the absolute number
of delta cycles that have occurred during simulation, starting from zero, ignoring any delta cycles in which
there were no runnable processes. The delta count shall be 0 during elaboration, during the initialization
phase, and during the first evaluation phase. The delta count shall first be incremented after the evaluation
phase of the first whole delta cycle. The delta count shall be incremented between the evaluation phase and
the update phase of each delta cycle in which there were runnable processes.
A delta cycle in which there are no runnable processes can occur when function sc_start is called with a
zero-valued time argument or when the scheduler is resumed following a call to sc_pause.
When the scheduler is resumed following a call to function sc_pause, the delta count shall continue to be
incremented as if sc_pause had not been called.
When the delta count reaches the maximum value of type sc_dt::uint64, the count shall start again from
zero. Hence, the delta count in successive delta cycles might be maxvalue-1, maxvalue, 0, 1, 2, and so on.
NOTE—This function is intended for use in primitive channels to detect whether an event has occurred by comparing
the delta count with the delta count stored in a variable from an earlier delta cycle. The following code fragment will test
whether a process has been executed in two consecutive delta cycles:
if (sc_delta_count() == stored_delta_count + 1) { /* consecutive */ }
stored_delta_count = sc_delta_count();
4.5.6 Function sc_is_running
The implementation shall provide a function sc_is_running with the following declaration:
bool sc_is_running();
The function sc_is_running shall return the value true while the scheduler is running or paused, including
the initialization phase, and shall return the value false during elaboration, during the callbacks
start_of_simulation and end_of_simulation, and on return from sc_start after sc_stop has been called.
The following relation shall hold:
sc_assert( sc_is_running() == (sc_get_status() & (SC_RUNNING | SC_PAUSED)) );
4.5.7 Functions to detect pending activity
The implementation shall provide four functions to detect pending activity with the following declarations:
bool sc_pending_activity_at_current_time();
bool sc_pending_activity_at_future_time();
bool sc_pending_activity();
sc_time sc_time_to_pending_activity();
Authorized licensed use limited to: Furkan Tuncer. Downloaded on October 16,2017 at 17:05:54 UTC from IEEE Xplore. Restrictions apply.
IEEE Std 1666-2011
IEEE Standard for Standard SystemC® Language Reference Manual
32
Copyright © 2012 IEEE. All rights reserved.
The function sc_pending_activity_at_current_time shall return the value true if and only if the set of
runnable processes is not empty, the set of update requests is not empty, or the set of delta notifications and
time-outs is not empty. By implication, if sc_pending_activity_at_current_time were to return the value
false, the next action of the scheduler would be to execute the timed notification phase.
The function sc_pending_activity_at_future_time shall return the value true if and only if the set of timed
notifications and time-outs is not empty.
The function sc_pending_activity shall return the value true if and only if
sc_pending_activity_at_current_time or sc_pending_activity_at_future_time would return true.
The function sc_time_to_pending_activity shall return the time until the earliest pending activity,
calculated as follows.
—If sc_pending_activity_at_current_time() == true, the value returned is SC_ZERO_TIME.
— Otherwise, if sc_pending_activity_at_future_time() == true, the value returned is T -
sc_time_stamp(), where T is the time of the earliest timed notification or time-out in the set of
timed notifications and time-outs.
— Otherwise, the value returned is sc_max_time() - sc_time_stamp().
These four functions may be called at any time during or following elaboration or simulation.
The function sc_pending_activity may return false at the end of elaboration. Therefore, care should be
taken when calling sc_start in a loop conditional on any of the functions that detect pending activity.
Example:
int sc_main( int argc, char* argv[] )
{
// Instantiate top-level module
...
sc_start( SC_ZERO_TIME ); // Run the initialization phase to create pending activity
while( sc_pending_activity() ) {
sc_start( sc_time_to_pending_activity() ); // Run up to the next activity
}
return 0;
}
4.5.8 Function sc_get_status
The implementation shall provide a function sc_get_status with the following declaration:
sc_status sc_get_status();
The function sc_get_status shall return one of the eight values of type sc_status to indicate the current
phase of elaboration or simulation as defined by Table 1.
Authorized licensed use limited to: Furkan Tuncer. Downloaded on October 16,2017 at 17:05:54 UTC from IEEE Xplore. Restrictions apply.

IEEE Std 1666-2011
IEEE Standard for Standard SystemC® Language Reference Manual
33
Copyright © 2012 IEEE. All rights reserved.
When called from before_end_of_elaboration, the function sc_get_status shall return
SC_BEFORE_END_OF_ELABORATION even when called from a constructor (of a module or other
object) that is called directly or indirectly from before_end_of_elaboration. In other words, sc_get_status
permits the application to distinguish between the construction of the module hierarchy defined in 4.3 and
the extended construction of the module hierarchy defined in 4.4.1.
When sc_start is being used, sc_get_status shall return SC_ELABORATION when called before the first
call to sc_start and shall return either SC_PAUSED or SC_STOPPED when called between or after calls to
sc_start.
If sc_pause and sc_stop have both been called, sc_get_status shall return SC_STOPPED.
When called from end_of_simulation, the function sc_get_status shall return
SC_END_OF_SIMULATION irrespective of whether sc_pause or sc_stop have been called.
Example:
if (sc_get_status() & (SC_RUNNING | SC_PAUSED | SC_STOPPED) )
...
Figure 1 shows the possible transitions between the values of type sc_status as returned from function
sc_get_status when called during the various phases of simulation.
NOTE—When sc_start is not being used, the mechanisms for running elaboration and simulation are implementation-
defined, as are the callbacks to end_of_simulation in the absence of a call to sc_stop (see 4.3 and 4.4.4).
Table 1—Value returned by sc_get_status
Value When called
SC_ELABORATION During the construction of the module hierarchy, or if sc_start
is being used, before the first call to sc_start
SC_BEFORE_END_OF_ELABORATION From the callback function before_end_of_elaboration
SC_END_OF_ELABORATION From the callback function end_of_elaboration
SC_START_OF_SIMULATION From the callback function start_of_simulation
SC_RUNNING From the initialization, evaluation, or update phase
SC_PAUSED When the scheduler is not running and sc_pause has been
called
SC_STOPPED When the scheduler is not running and sc_stop has been called
SC_END_OF_SIMULATION From the callback function end_of_simulation
Authorized licensed use limited to: Furkan Tuncer. Downloaded on October 16,2017 at 17:05:54 UTC from IEEE Xplore. Restrictions apply.

IEEE Std 1666-2011
IEEE Standard for Standard SystemC® Language Reference Manual
34
Copyright © 2012 IEEE. All rights reserved.
Figure 1—Transitions between values returned by sc_get_status
SC_ELABORATION
SC_BEFORE_END_OF_ELABORATION
SC_END_OF_ELABORATION
SC_START_OF_SIMULATION
SC_RUNNING SC_PAUSED
SC_END_OF_SIMULATION
SC_STOPPED
sc_start
(Callbacks)
sc_stop
Starvation
Implementation-defined
sc_pause
(Callbacks)
(Callbacks)
sc_start
sc_stop
Starvation
(Callbacks)
Authorized licensed use limited to: Furkan Tuncer. Downloaded on October 16,2017 at 17:05:54 UTC from IEEE Xplore. Restrictions apply.
IEEE Std 1666-2011
IEEE Standard for Standard SystemC® Language Reference Manual
35
Copyright © 2012 IEEE. All rights reserved.
5. Core language class definitions
5.1 Class header files
To use the SystemC class library features, an application shall include either of the C++ header files
specified in this subclause at appropriate positions in the source code as required by the scope and linkage
rules of C++. The TLM-1 and TLM-2.0 classes and TLM-2.0 utilities are in separate header files (see 10.8).
5.1.1 #include "systemc"
The header file named systemc shall add the names sc_core, sc_dt, and sc_unnamed to the declarative
region in which it is included, and these three names only. The header file systemc shall not introduce into
the declarative region in which it is included any other names from this standard or any names from the
standard C or C++ libraries.
It is recommended that applications include the header file systemc rather than the header file systemc.h.
Example:
#include "systemc"
using sc_core::sc_module;
using sc_core::sc_signal;
using sc_core::SC_NS;
using sc_core::sc_start;
using sc_dt::sc_logic;
#include <iostream>
using std::ofstream;
using std::cout;
using std::endl;
5.1.2 #include "systemc.h"
The header file named systemc.h shall add all of the names from the namespaces sc_core and sc_dt to the
declarative region in which it is included, together with the name sc_unnamed and selected names from the
standard C or C++ libraries as defined in this subclause. It is recommended that an implementation keep to a
minimum the number of additional implementation-specific names introduced by this header file.
The header file systemc.h is provided for backward compatibility with earlier versions of SystemC and may
be deprecated in future versions of this standard.
The header file systemc.h shall include at least the following:
#include "systemc"
// Using declarations for all the names in the sc_core namespace specified in this standard
using sc_core::sc_module;
...
// Using declarations for all the names in the sc_dt namespace specified in this standard
using sc_dt::sc_int;
...
Authorized licensed use limited to: Furkan Tuncer. Downloaded on October 16,2017 at 17:05:54 UTC from IEEE Xplore. Restrictions apply.
IEEE Std 1666-2011
IEEE Standard for Standard SystemC® Language Reference Manual
36
Copyright © 2012 IEEE. All rights reserved.
// Using declarations for selected names in the standard libraries
using std::ios;
using std::streambuf;
using std::streampos;
using std::streamsize;
using std::iostream;
using std::istream;
using std::ostream;
using std::cin;
using std::cout;
using std::cerr;
using std::endl;
using std::flush;
using std::dec;
using std::hex;
using std::oct;
using std::fstream;
using std::ifstream;
using std::ofstream;
using std::size_t;
using std::memchr;
using std::memcmp;
using std::memcpy;
using std::memmove;
using std::memset;
using std::strcat;
using std::strncat;
using std::strchr;
using std::strrchr;
using std::strcmp;
using std::strncmp;
using std::strcpy;
using std::strncpy;
using std::strcspn;
using std::strspn;
using std::strlen;
using std::strpbrk;
using std::strstr;
using std::strtok;
Authorized licensed use limited to: Furkan Tuncer. Downloaded on October 16,2017 at 17:05:54 UTC from IEEE Xplore. Restrictions apply.
IEEE Std 1666-2011
IEEE Standard for Standard SystemC® Language Reference Manual
37
Copyright © 2012 IEEE. All rights reserved.
5.2 sc_module
5.2.1 Description
Class sc_module is the base class for modules. Modules are the principle structural building blocks of
SystemC.
5.2.2 Class definition
namespace sc_core {
class sc_bind_proxy† { implementation-defined };
const sc_bind_proxy† SC_BIND_PROXY_NIL;
class sc_module
: public sc_object
{
public:
virtual ~sc_module();
virtual const char* kind() const;
void operator() ( const sc_bind_proxy†& p001,
const sc_bind_proxy†& p002 = SC_BIND_PROXY_NIL,
const sc_bind_proxy†& p003 = SC_BIND_PROXY_NIL,
...
const sc_bind_proxy†& p063 = SC_BIND_PROXY_NIL,
const sc_bind_proxy†& p064 = SC_BIND_PROXY_NIL );
virtual const std::vector<sc_object*>& get_child_objects() const;
virtual const std::vector<sc_event*>& get_child_events() const;
protected:
sc_module( const sc_module_name& );
sc_module();
void reset_signal_is( const sc_in<bool>& , bool );
void reset_signal_is( const sc_inout<bool>& , bool );
void reset_signal_is( const sc_out<bool>& , bool );
void reset_signal_is( const sc_signal_in_if<bool>& , bool );
void async_reset_signal_is( const sc_in<bool>& , bool );
void async_reset_signal_is( const sc_inout<bool>& , bool );
void async_reset_signal_is( const sc_out<bool>& , bool );
void async_reset_signal_is( const sc_signal_in_if<bool>& , bool );
sc_sensitive† sensitive;
void dont_initialize();
void set_stack_size( size_t );
void next_trigger();
Authorized licensed use limited to: Furkan Tuncer. Downloaded on October 16,2017 at 17:05:54 UTC from IEEE Xplore. Restrictions apply.
IEEE Std 1666-2011
IEEE Standard for Standard SystemC® Language Reference Manual
38
Copyright © 2012 IEEE. All rights reserved.
void next_trigger( const sc_event& );
void next_trigger( const sc_event_or_list & );
void next_trigger( const sc_event_and_list & );
void next_trigger( const sc_time& );
void next_trigger( double , sc_time_unit );
void next_trigger( const sc_time& , const sc_event& );
void next_trigger( double , sc_time_unit , const sc_event& );
void next_trigger( const sc_time& , const sc_event_or_list &);
void next_trigger( double , sc_time_unit , const sc_event_or_list & );
void next_trigger( const sc_time& , const sc_event_and_list & );
void next_trigger( double , sc_time_unit , const sc_event_and_list & );
void wait();
void wait( int );
void wait( const sc_event& );
void wait( const sc_event_or_list &);
void wait( const sc_event_and_list & );
void wait( const sc_time& );
void wait( double , sc_time_unit );
void wait( const sc_time& , const sc_event& );
void wait( double , sc_time_unit , const sc_event& );
void wait( const sc_time& , const sc_event_or_list & );
void wait( double , sc_time_unit , const sc_event_or_list & );
void wait( const sc_time& , const sc_event_and_list & );
void wait( double , sc_time_unit , const sc_event_and_list & );
virtual void before_end_of_elaboration();
virtual void end_of_elaboration();
virtual void start_of_simulation();
virtual void end_of_simulation();
private:
// Disabled
sc_module( const sc_module& );
sc_module& operator= ( const sc_module& );
};
void next_trigger();
void next_trigger( const sc_event& );
void next_trigger( const sc_event_or_list & );
void next_trigger( const sc_event_and_list & );
void next_trigger( const sc_time& );
void next_trigger( double , sc_time_unit );
void next_trigger( const sc_time& , const sc_event& );
void next_trigger( double , sc_time_unit , const sc_event& );
void next_trigger( const sc_time& , const sc_event_or_list & );
void next_trigger( double , sc_time_unit , const sc_event_or_list & );
void next_trigger( const sc_time& , const sc_event_and_list & );
void next_trigger( double , sc_time_unit , const sc_event_and_list & );
void wait();
void wait( int );
void wait( const sc_event& );
void wait( const sc_event_or_list & );
Authorized licensed use limited to: Furkan Tuncer. Downloaded on October 16,2017 at 17:05:54 UTC from IEEE Xplore. Restrictions apply.
IEEE Std 1666-2011
IEEE Standard for Standard SystemC® Language Reference Manual
39
Copyright © 2012 IEEE. All rights reserved.
void wait( const sc_event_and_list & );
void wait( const sc_time& );
void wait( double , sc_time_unit );
void wait( const sc_time& , const sc_event& );
void wait( double , sc_time_unit , const sc_event& );
void wait( const sc_time& , const sc_event_or_list & );
void wait( double , sc_time_unit , const sc_event_or_list & );
void wait( const sc_time& , const sc_event_and_list & );
void wait( double , sc_time_unit , const sc_event_and_list & );
#define SC_MODULE(name) struct name : sc_module
#define SC_CTOR(name) implementation-defined; name(sc_module_name)
#define SC_HAS_PROCESS(name) implementation-defined
#define SC_METHOD(name) implementation-defined
#define SC_THREAD(name) implementation-defined
#define SC_CTHREAD(name,clk) implementation-defined
const char* sc_gen_unique_name( const char* );
typedef sc_module sc_behavior;
typedef sc_module sc_channel;
} // namespace sc_core
5.2.3 Constraints on usage
Objects of class sc_module can only be constructed during elaboration. It shall be an error to instantiate a
module during simulation.
Every class derived (directly or indirectly) from class sc_module shall have at least one constructor. Every
such constructor shall have one and only one parameter of class sc_module_name but may have further
parameters of classes other than sc_module_name. That parameter is not required to be the first parameter
of the constructor.
A string-valued argument shall be passed to the constructor of every module instance. It is good practice to
make this string name the same as the C++ variable name through which the module is referenced, if such a
variable exists.
Inter-module communication should typically be accomplished using interface method calls; that is, a
module should communicate with its environment through its ports. Other communication mechanisms are
permissible, for example, for debugging or diagnostic purposes.
NOTE 1—Because the constructors are protected, class sc_module cannot be instantiated directly but may be used as a
base class.
NOTE 2—A module should be publicly derived from class sc_module.
NOTE 3—It is permissible to use class sc_module as an indirect base class. In other words, a module can be derived
from another module. This can be a useful coding idiom.
5.2.4 kind
Member function kind shall return the string "sc_module".
Authorized licensed use limited to: Furkan Tuncer. Downloaded on October 16,2017 at 17:05:54 UTC from IEEE Xplore. Restrictions apply.
IEEE Std 1666-2011
IEEE Standard for Standard SystemC® Language Reference Manual
40
Copyright © 2012 IEEE. All rights reserved.
5.2.5 SC_MODULE
The macro SC_MODULE may be used to prefix the definition of a module, but the use of this macro is not
obligatory.
Example:
// The following two class definitions are equally acceptable.
SC_MODULE(M)
{
M(sc_module_name) {}
...
};
class M: public sc_module
{
public:
M(sc_module_name) {}
...
};
5.2.6 Constructors
sc_module( const sc_module_name& );
sc_module();
Module names are managed by class sc_module_name, not by class sc_module. The string name of the
module instance is initialized using the value of the string name passed as an argument to the constructor of
the class sc_module_name (see 5.3).
5.2.7 SC_CTOR
This macro is provided for convenience when declaring or defining a constructor of a module. Macro
SC_CTOR shall only be used at a place where the rules of C++ permit a constructor to be declared and can
be used as the declarator of a constructor declaration or a constructor definition. The name of the module
class being constructed shall be passed as the argument to the macro.
Example:
SC_MODULE(M1)
{
SC_CTOR(M1) // Constructor definition
: i(0)
{}
int i;
...
};
SC_MODULE(M2)
{
SC_CTOR(M2); // Constructor declaration
int i;
Authorized licensed use limited to: Furkan Tuncer. Downloaded on October 16,2017 at 17:05:54 UTC from IEEE Xplore. Restrictions apply.
IEEE Std 1666-2011
IEEE Standard for Standard SystemC® Language Reference Manual
41
Copyright © 2012 IEEE. All rights reserved.
...
};
M2::M2(sc_module_name) : i(0) {}
The use of macro SC_CTOR is not obligatory. Using SC_CTOR, it is not possible to add user-defined
arguments to the constructor. If an application needs to pass additional arguments, the constructor shall be
provided explicitly. This is a useful coding idiom.
NOTE 1—The macros SC_CTOR and SC_MODULE may be used in conjunction or may be used separately.
NOTE 2—Since macro SC_CTOR is equivalent to declaring a constructor for a module, an implementation will ensure
that the constructor so declared has a parameter of type sc_module_name.
NOTE 3—If process macros are invoked but macro SC_CTOR is not used, macro SC_HAS_PROCESS should be used
instead (see 5.2.8).
Example:
SC_MODULE(M)
{
M(sc_module_name n, int a, int b) // Additional constructor parameters
: sc_module(n)
{}
...
};
5.2.8 SC_HAS_PROCESS
Macro SC_CTOR includes definitions used by the macros SC_METHOD, SC_THREAD and
SC_CTHREAD. These same definitions are introduced by the macro SC_HAS_PROCESS. If a process
macro is invoked from the constructor body of a module but macro SC_CTOR is not used within the module
class definition, macro SC_HAS_PROCESS shall be invoked within the class definition or the constructor
body of the module. If a process macro is invoked from the before_end_of_elaboration or
end_of_elaboration callbacks of a module but macro SC_CTOR is not used within the module class
definition, macro SC_HAS_PROCESS shall be invoked within the class definition of the module or from
that same callback.
Macro SC_HAS_PROCESS shall only be used within the class definition, constructor body, or member
function body of a module. The name of the module class being constructed shall be passed as the argument
to the macro. The macro invocation shall be terminated with a semicolon.
NOTE—The use of the macros SC_CTOR and SC_HAS_PROCESS is not required in order to call the function
sc_spawn.
Example:
SC_MODULE(M)
{
M(sc_module_name n) // SC_CTOR not used
: sc_module(n)
{
SC_THREAD(T); // Process macro
}
void T();
Authorized licensed use limited to: Furkan Tuncer. Downloaded on October 16,2017 at 17:05:54 UTC from IEEE Xplore. Restrictions apply.
IEEE Std 1666-2011
IEEE Standard for Standard SystemC® Language Reference Manual
42
Copyright © 2012 IEEE. All rights reserved.
SC_HAS_PROCESS(M); // Necessary
...
};
5.2.9 SC_METHOD, SC_THREAD, SC_CTHREAD
The argument passed to the macro SC_METHOD or SC_THREAD or the first argument passed to
SC_CTHREAD shall be the name of a member function. The macro shall associate that function with a
method process instance, a thread process instance, or a clocked thread process instance, respectively. This
shall be the only way in which an unspawned process instance can be created (see 4.1.2).
The second argument passed to the macro SC_CTHREAD shall be an expression of the type
sc_event_finder.
In each case, the macro invocation shall be terminated with a semicolon.
These three macros shall only be invoked in the body of the constructor, in the before_end_of_elaboration
or end_of_elaboration callbacks of a module, or in a member function called from the constructor or
callback. Macro SC_CTHREAD shall not be invoked from the end_of_elaboration callback. The first
argument shall be the name of a member function of that same module.
A member function associated with an unspawned process instance shall have a return type of void and shall
have no arguments. (Note that a function associated with a spawned process instance may have a return type
and may have arguments.)
A single member function can be associated with multiple process instances within the same module. Each
process instance is a distinct object of a class derived from class sc_object, and each macro shall use the
member function name (in quotation marks) as the string name ultimately passed as an argument to the
constructor of the base class sub-object of class sc_object. Each process instance can have its own static
sensitivity and shall be triggered or resumed independently of other process instances.
Associating a member function with a process instance does not impose any explicit restrictions on how that
member function may be used by the application. For example, such a function may be called directly by the
application, as well as by the kernel.
A process instance can be suspended, resumed, disabled, enabled, killed, or reset using the member
functions of class sc_process_handle.
Example:
SC_MODULE(M)
{
sc_in<bool> clk;
SC_CTOR(M)
{
SC_METHOD(a_method);
SC_THREAD(a_thread);
SC_CTHREAD(a_cthread, clk.pos());
}
void a_method();
void a_thread();
Authorized licensed use limited to: Furkan Tuncer. Downloaded on October 16,2017 at 17:05:54 UTC from IEEE Xplore. Restrictions apply.
IEEE Std 1666-2011
IEEE Standard for Standard SystemC® Language Reference Manual
43
Copyright © 2012 IEEE. All rights reserved.
void a_cthread();
...
};
5.2.10 Method process
This subclause shall apply to both spawned and unspawned process instances.
A method process is said to be triggered when the kernel calls the function associated with the process
instance. When a method process is triggered, the associated function executes from beginning to end, then
returns control to the kernel. A method process can only be terminated by calling the kill method of a
process handle associated with that process.
A method process instance may have static sensitivity. A method process, and only a method process, may
call the function next_trigger to create dynamic sensitivity. Function next_trigger is a member function of
class sc_module, a member function of class sc_prim_channel, and a non-member function.
A method process instance cannot be made runnable as a result of an immediate notification executed by the
process itself, regardless of the static sensitivity or dynamic sensitivity of the method process instance (see
4.2.1.2).
An implementation is not obliged to run a method process in a separate software thread. A method process
may run in the same execution context as the simulation kernel.
Member function kind of the implementation-defined class associated with a method process instance shall
return the string “sc_method_process”.
NOTE 1—Any local variables declared within the process will be destroyed on return from the process. Data members
of the module should be used to store persistent state associated with the method process.
NOTE 2—Function next_trigger can be called from a member function of the module itself, from a member function of
a channel, or from any function subject only to the rules of C++, provided that the function is ultimately called from a
method process.
5.2.11 Thread and clocked thread processes
This subclause shall apply to both spawned and unspawned process instances.
A function associated with a thread or clocked thread process instance is called once and only once by the
kernel, except when a process is reset; in which case, the associated function may be called again (see
5.2.12).
A thread or clocked thread process, and only such a process, may call the function wait. Such a call causes
the calling process to suspend execution. Function wait is a member function of class sc_module, a member
function of class sc_prim_channel, and a non-member function.
A thread or clocked thread process instance is said to be resumed when the kernel causes the process to
continue execution, starting with the statement immediately following the most recent call to function wait.
When a thread or clocked thread process is resumed, the process executes until it reaches the next call to
function wait. Then, the process is suspended once again.
A thread process instance may have static sensitivity. A thread process instance may call function wait to
create dynamic sensitivity. A clocked thread process instance is statically sensitive only to a single clock.
Authorized licensed use limited to: Furkan Tuncer. Downloaded on October 16,2017 at 17:05:54 UTC from IEEE Xplore. Restrictions apply.
IEEE Std 1666-2011
IEEE Standard for Standard SystemC® Language Reference Manual
44
Copyright © 2012 IEEE. All rights reserved.
A thread or clocked thread process instance cannot be made runnable as a result of an immediate notification
executed by the process itself, regardless of the static sensitivity or dynamic sensitivity of the thread process
instance (see 4.2.1.2).
Each thread or clocked thread process requires its own execution stack. As a result, context switching
between thread processes may impose a simulation overhead when compared with method processes.
If the thread or clocked thread process executes the entire function body or executes a return statement and
thus returns control to the kernel, the associated function shall not be called again for that process instance.
The process instance is then said to be terminated.
Member function kind of the implementation-defined class associated with a thread process instance shall
return the string “sc_thread_process”.
Member function kind of the implementation-defined class associated with a clocked thread process
instance shall return the string “sc_cthread_process”.
NOTE 1—It is a common coding idiom to include an infinite loop containing a call to function wait within a thread or
clocked thread process in order to prevent the process from terminating prematurely.
NOTE 2—When a process instance is resumed, any local variables defined within the process will retain the values they
had when the process was suspended.
NOTE 3—If a thread or clocked thread process executes an infinite loop that does not call function wait, the process will
never suspend. Since the scheduler is not pre-emptive, no other process will be able to execute.
NOTE 4—Function wait can be called from a member function of the module itself, from a member function of a
channel, or from any function subject only to the rules of C++, provided that the function is ultimately called from a
thread or clocked thread process.
Example:
SC_MODULE(synchronous_module)
{
sc_in<bool> clock;
SC_CTOR(synchronous_module)
{
SC_THREAD(thread);
sensitive << clock.pos();
}
void thread() // Member function called once only
{
for (;;)
{
wait(); // Resume on positive edge of clock
...
}
}
...
};
5.2.12 Clocked thread processes
A clocked thread process shall be a static process; clocked threads cannot be spawned processes.
Authorized licensed use limited to: Furkan Tuncer. Downloaded on October 16,2017 at 17:05:54 UTC from IEEE Xplore. Restrictions apply.
IEEE Std 1666-2011
IEEE Standard for Standard SystemC® Language Reference Manual
45
Copyright © 2012 IEEE. All rights reserved.
A clocked thread process shall be statically sensitive to a single clock, as determined by the event finder
passed as the second argument to macro SC_CTHREAD. The clocked thread process shall be statically
sensitive to the event returned from the given event finder.
A clocked thread process may call either of the following functions:
void wait();
void wait( int );
It shall be an error for a clocked thread process to call any other overloaded form of the function wait.
A clocked thread process may have any number of synchronous and asynchronous reset signals specified
using reset_signal_is and async_reset_signal_is, respectively.
Any of the process control member functions of class sc_process_handle may be called for a clocked thread
process, although certain caveats apply to the use of member functions suspend, resume, reset, and
throw_it due to the fact that they can be called asynchronously with respect to the clock. These caveats are
described below.
It is recommended to call disable and enable rather than suspend and resume for clocked thread processes.
In the case that resume is called for a clocked thread process, it is the responsibility of the caller to ensure
that resume is called during the evaluation phase that immediately follows the delta notification or timed
notification phase in which the clock event notification occurs. If a clocked thread is resumed at any other
time, that is, if the call to resume is not synchronized with the clock, the behavior shall be implementation-
defined.
The process control member functions kill, reset, and throw_it may be called asynchronously with respect
to the clock and their effect is immediate, even in the case of a clocked thread process. Similarly, the effect
of an asynchronous reset attaining its active value is immediate for a clocked thread process.
In summary, a clocked thread process shall have exactly one clock signal and may have any number of
synchronous and asynchronous reset signals as well as being reset by calling the process control member
function of class sc_process_handle. As a consequence, the body of the associated function should
normally consist of reset behavior followed by a loop statement that contains a call to wait followed by the
behavior to be executed in each clock cycle (see the example below).
The first time the clock event is notified, the function associated with a clocked thread process shall be
called whether or not the reset signal is active. If a clocked thread process instance has been terminated, the
clock event shall be ignored for that process instance. A terminated process cannot be reset.
Example:
sc_in<bool> clock;
sc_in<bool> reset;
sc_in<bool> async_reset;
SC_CTOR(M)
{
SC_CTHREAD(CT1, clock.pos());
reset_signal_is(reset, true);
SC_CTHREAD(CT2, clock.pos());
async_reset_signal_is(async_reset, true);
Authorized licensed use limited to: Furkan Tuncer. Downloaded on October 16,2017 at 17:05:54 UTC from IEEE Xplore. Restrictions apply.
IEEE Std 1666-2011
IEEE Standard for Standard SystemC® Language Reference Manual
46
Copyright © 2012 IEEE. All rights reserved.
}
void CT1()
{
if (reset)
{
... // Reset actions
}
while(true)
{
wait(1); // Wait for 1 clock cycle
... // Clocked actions
}
}
void CT2()
{
... // Reset actions
while(true)
{
try {
while (true)
{
wait(); // Wait for 1 clock cycle
... // Regular behavior
}
}
catch (...) // Some exception has been thrown
{
... // Handle exception and go back to waiting for clock
}
}
}
5.2.13 reset_signal_is and async_reset_signal_is
void reset_signal_is( const sc_in<bool>& , bool );
void reset_signal_is( const sc_inout<bool>& , bool );
void reset_signal_is( const sc_out<bool>& , bool );
void reset_signal_is( const sc_signal_in_if<bool>& , bool );
void async_reset_signal_is( const sc_in<bool>& , bool );
void async_reset_signal_is( const sc_inout<bool>& , bool );
void async_reset_signal_is( const sc_out<bool>& , bool );
void async_reset_signal_is( const sc_signal_in_if<bool>& , bool );
Member functions reset_signal_is and async_reset_signal_is of class sc_module shall determine the
synchronous and asynchronous reset signals, respectively, of a thread, clocked thread, or method process.
These two member functions shall only be called in the body of the constructor, in the
before_end_of_elaboration callback of a module, or in a member function called from the constructor or
callback, and only after having created a process instance within that same constructor or callback.
The order of execution of the statements within the body of the constructor or the
before_end_of_elaboration callback shall be used to associate the call to reset_signal_is or
Authorized licensed use limited to: Furkan Tuncer. Downloaded on October 16,2017 at 17:05:54 UTC from IEEE Xplore. Restrictions apply.
IEEE Std 1666-2011
IEEE Standard for Standard SystemC® Language Reference Manual
47
Copyright © 2012 IEEE. All rights reserved.
async_reset_signal_is with a particular process instance; the call is associated with the most recently
created process instance. If a module is instantiated within the constructor or callback between the process
being created and function reset_signal_is or async_reset_signal_is being called, the effect of calling
reset_signal_is or async_reset_signal_is shall be undefined.
The first argument passed to function reset_signal_is or async_reset_signal_is shall identify the signal
instance to be used as the reset. The signal may be identified indirectly by passing a port instance that is
bound to the reset signal. The second argument shall be the active level of the reset signal, meaning that the
process is to be reset only when the value of the reset signal is equal to the value of this second argument.
When the reset signal (as specified by the first argument) attains its active value (as specified by the second
argument), the process instance shall enter the synchronous reset state. While in the synchronous reset state,
a process instance shall be reset each time it is resumed, whether due to an event notification or to a time-
out. Being reset in this sense shall have the same effect as would a call to the reset method of a process
handle associated with the given process instance. The synchronous reset state is described more fully in
5.6.6.3.
If a process instance enters the synchronous reset state while it is suspended (meaning that suspend has been
called), the behavior shall be implementation-defined (see 5.6.6.11).
In the case of async_reset_signal_is only, the process shall also be reset whenever the reset signal attains its
active value. Being reset in this sense shall have the same effect as would a call to the reset method of a
process handle associated with the given process instance. Since the reset signal is itself a primitive channel
that can only change value in the update phase, the process instance shall be reset by effectively calling the
reset method of an associated process handle at some time during the evaluation phase immediately
following the reset signal attaining its active value and in an order determined by the kernel. An
asynchronous reset does not take priority over other processes that are due to run in the same evaluation
phase.
When an asynchronous reset signal attains its active value, the consequent reset shall have the same priority
as a call to reset. When a process instance is reset while in the synchronous reset state, the consequent reset
shall have the same priority as sync_reset_on, regardless of whether the reset signal is synchronous or
asynchronous (see 5.6.6.11).
A given process instance may have any number of synchronous and asynchronous reset signals. When all
such reset signals attain the negation of their active value, the process instance shall leave the synchronous
reset state unless a call to sync_reset_on is in force for the given process instance (see 5.6.6.3).
reset_signal_is and async_reset_signal_is are permitted for method processes. The effect of resetting a
method process shall be to cancel any dynamic sensitivity, to restore the static sensitivity, and to call the
function associated with that process instance.
Example:
SC_METHOD(rtl_proc);
sensitive << clock.pos();
async_reset_signal_is(reset, true);
...
void rtl_proc()
{
if (reset)
// Asynchronous reset behavior, executed whenever the reset is active
Authorized licensed use limited to: Furkan Tuncer. Downloaded on October 16,2017 at 17:05:54 UTC from IEEE Xplore. Restrictions apply.
IEEE Std 1666-2011
IEEE Standard for Standard SystemC® Language Reference Manual
48
Copyright © 2012 IEEE. All rights reserved.
else
// Synchronous behavior, only executed on a positive clock edge
}
5.2.14 sensitive
sc_sensitive† sensitive;
This subclause describes the static sensitivity of an unspawned process. Static sensitivity for a spawned
process is created using member function set_sensitivity of class sc_spawn_options (see 5.5).
Data member sensitive of class sc_module can be used to create the static sensitivity of an unspawned
process instance using operator<< of class sc_sensitive† (see 5.4). This shall be the only way to create static
sensitivity for an unspawned process instance. However, static sensitivity may be enabled or disabled by
calling function next_trigger (see 5.2.17) or function wait (see 5.2.18).
Static sensitivity shall only be created in the body of the constructor, in the before_end_of_elaboration or
end_of_elaboration callbacks of a module, or in a member function called from the constructor or callback,
and only after having created an unspawned process instance within that same constructor or callback. It
shall be an error to modify the static sensitivity of an unspawned process during simulation.
The order of execution of the statements within the body of the constructor or the
before_end_of_elaboration or end_of_elaboration callbacks is used to associate static sensitivity with a
particular unspawned process instance; sensitivity is associated with the process instance most recently
created within the body of the current constructor or callback.
A clocked thread process cannot have static sensitivity other than to the clock itself. Using data member
sensitive to create static sensitivity for a clocked thread process shall have no effect.
NOTE 1—Unrelated statements may be executed between creating an unspawned process instance and creating the
static sensitivity for that same process instance. Static sensitivity may be created in a different function body from the
one in which the process instance was created.
NOTE 2—Data member sensitive can be used more than once to add to the static sensitivity of any particular
unspawned process instance; each call to operator<< adds further events to the static sensitivity of the most recently
created process instance.
5.2.15 dont_initialize
void dont_initialize();
This subclause describes member function dont_initialize of class sc_module, which determines the
behavior of an unspawned process instance during initialization. The initialization behavior of a spawned
process is determined by the member function dont_initialize of class sc_spawn_options (see 5.5).
Member function dont_initialize of class sc_module shall prevent a particular unspawned process instance
from being made runnable during the initialization phase of the scheduler. In other words, the member
function associated with the given process instance shall not be called by the scheduler until the process
instance is triggered or resumed because of the occurrence of an event.
dont_initialize shall only be called in the body of the constructor, in the before_end_of_elaboration or
end_of_elaboration callbacks of a module, or in a member function called from the constructor or callback,
and only after having created an unspawned process instance within that same constructor or callback.
Authorized licensed use limited to: Furkan Tuncer. Downloaded on October 16,2017 at 17:05:54 UTC from IEEE Xplore. Restrictions apply.
IEEE Std 1666-2011
IEEE Standard for Standard SystemC® Language Reference Manual
49
Copyright © 2012 IEEE. All rights reserved.
The order of execution of the statements within the body of the constructor or the
before_end_of_elaboration or end_of_elaboration callbacks is used to associate the call to
dont_initialize with a particular unspawned process instance; it is associated with the most recently created
process instance. If a module is instantiated within the constructor or callback between the process being
created and function dont_initialize being called, the effect of calling dont_initialize shall be undefined.
dont_initialize shall have no effect if called for a clocked thread process, which is not made runnable during
the initialization phase in any case. An implementation may generate a warning but is not obliged to do so.
Example:
SC_MODULE(Mod)
{
sc_signal<bool> A, B, C, D, E;
SC_CTOR(Mod)
{
sensitive << A; // Has no effect. Poor coding style
SC_THREAD(T);
sensitive << B << C; // Thread process T is made sensitive to B and C.
SC_METHOD(M);
f(); // Method process M is made sensitive to D.
sensitive << E; // Method process M is made sensitive to E as well as D.
dont_initialize(); // Method process M is not made runnable during initialization.
}
void f() { sensitive << D; }// An unusual coding style
void T();
void M();
...
};
5.2.16 set_stack_size
void set_stack_size( size_t );
This subclause describes member function set_stack_size of class sc_module, which sets the stack size of
an unspawned process instance during initialization. The stack size of a spawned process is set by the
member function set_stack_size of class sc_spawn_options (see 5.5).
An application may call member function set_stack_size to request a change to the size of the execution
stack for the thread or clocked thread process instance for which the function is called. The effect of this
function is implementation-defined.
set_stack_size shall only be called in the body of the constructor, in the before_end_of_elaboration or
end_of_elaboration callbacks of a module, or in a member function called from the constructor or callback,
and only after having created an unspawned process instance within that same constructor or callback. It
shall be an error to call set_stack_size at other times or to call set_stack_size for a method process instance.
Authorized licensed use limited to: Furkan Tuncer. Downloaded on October 16,2017 at 17:05:54 UTC from IEEE Xplore. Restrictions apply.
IEEE Std 1666-2011
IEEE Standard for Standard SystemC® Language Reference Manual
50
Copyright © 2012 IEEE. All rights reserved.
The order of execution of the statements within the body of the constructor or the
before_end_of_elaboration or end_of_elaboration callbacks is used to associate the call to set_stack_size
with a particular unspawned process instance; it is associated with the most recently created unspawned
process instance.
5.2.17 next_trigger
This subclause shall apply to both spawned and unspawned process instances.
This subclause shall apply to member function next_trigger of class sc_module, member function
next_trigger of class sc_prim_channel, and non-member function next_trigger.
When called with one or more arguments, the function next_trigger shall set the dynamic sensitivity of the
method process instance from which it is called for the very next occasion on which that process instance is
triggered, and for that occasion only. The dynamic sensitivity is determined by the arguments passed to
function next_trigger.
If function next_trigger is called more than once during a single execution of a particular method process
instance, the last call to be executed shall prevail. The effects of earlier calls to function next_trigger for
that particular process instance shall be cancelled.
If function next_trigger is not called during a particular execution of a method process instance, the method
process instance shall next be triggered according to its static sensitivity.
A call to the function next_trigger with one or more arguments shall override the static sensitivity of the
process instance.
It shall be an error to call function next_trigger from a thread or clocked thread process.
NOTE—The function next_trigger does not suspend the method process instance; a method process cannot be
suspended but always executes to completion before returning control to the kernel.
void next_trigger();
The process shall be triggered on the static sensitivity. In the absence of static sensitivity for this
particular process instance, the process shall not be triggered again during the current simulation.
Calling next_trigger with an empty argument list shall cancel the effect of any earlier calls to
next_trigger during the current execution of the method process instance and, thus, in effect shall
be equivalent to not calling next_trigger at all during a given process execution.
void next_trigger( const sc_event& );
The process shall be triggered when the event passed as an argument is notified.
void next_trigger( const sc_event_or_list & );
The argument shall take the form of a list of events separated by the operator| of class sc_event or
sc_event_or_list. The process shall be triggered when any one of the given events is notified. The
occurrence or non-occurrence of the other events in the list shall have no effect on that particular
triggering of the process. If a particular event appears more than once in the list, the behavior shall
be the same as if that event had appeared only once. It shall be an error to pass an empty event list
object as an argument to next_trigger (see 5.8 and 5.9).
Authorized licensed use limited to: Furkan Tuncer. Downloaded on October 16,2017 at 17:05:54 UTC from IEEE Xplore. Restrictions apply.
IEEE Std 1666-2011
IEEE Standard for Standard SystemC® Language Reference Manual
51
Copyright © 2012 IEEE. All rights reserved.
void next_trigger( const sc_event_and_list & );
The argument shall take the form of a list of events separated by the operator& of class sc_event or
sc_event_and_list. In order for the process to be triggered, every single one of the given events
shall be notified, with no explicit constraints on the time or order of those notifications. The process
is triggered when the last such event is notified, last in the sense of being at the latest point in
simulation time, not last in the list. An event in the list may be notified more than once before the
last event is notified. If a particular event appears more than once in the list, the behavior shall be the
same as if that event had appeared only once. It shall be an error to pass an empty event list object as
an argument to next_trigger (see 5.8 and 5.9).
void next_trigger( const sc_time& );
The process shall be triggered after the time given as an argument has elapsed. The time shall be
taken to be relative to the time at which function next_trigger is called. When a process is triggered
in this way, a time-out is said to have occurred. In this method call and in those that follow below,
the argument that specifies the time-out shall not be negative.
void next_trigger( double v , sc_time_unit tu );
is equivalent to the following:
void next_trigger( sc_time( v , tu ) );
void next_trigger( const sc_time& , const sc_event& );
The process shall be triggered after the given time or when the given event is notified, whichever
occurs first.
void next_trigger( double , sc_time_unit , const sc_event& );
void next_trigger( const sc_time& , const sc_event_or_list & );
void next_trigger( double , sc_time_unit , const sc_event_or_list & );
void next_trigger( const sc_time& , const sc_event_and_list & );
void next_trigger( double , sc_time_unit , const sc_event_and_list & );
Each of these compound forms combines a time with an event or event list. The semantics of these
compound forms shall be deduced from the rules given for the simple forms. In each case, the
process shall be triggered after the given time-out or in response to the given event or event list,
whichever is satisfied first.
Example:
SC_MODULE(M)
{
SC_CTOR(M)
{
SC_METHOD(entry);
sensitive << sig;
}
void entry() // Run first at initialization.
{
if (sig == 0) next_trigger(e1 | e2); // Trigger on event e1 or event e2 next time
else if (sig == 1) next_trigger(1, SC_NS); // Time-out after 1 nanosecond.
else next_trigger(); // Trigger on signal sig next time.
}
Authorized licensed use limited to: Furkan Tuncer. Downloaded on October 16,2017 at 17:05:54 UTC from IEEE Xplore. Restrictions apply.
IEEE Std 1666-2011
IEEE Standard for Standard SystemC® Language Reference Manual
52
Copyright © 2012 IEEE. All rights reserved.
sc_signal<int> sig;
sc_event e1, e2;
...
};
5.2.18 wait
This subclause shall apply to both spawned and unspawned process instances.
In addition to causing the process instance to suspend, the function wait may set the dynamic sensitivity of
the thread or clocked thread process instance from which it is called for the very next occasion on which that
process instance is resumed, and for that occasion only. The dynamic sensitivity is determined by the
arguments passed to function wait.
A call to the function wait with an empty argument list or with a single integer argument shall use the static
sensitivity of the process instance. This is the only form of wait permitted within a clocked thread process.
A call to the function wait with one or more non-integer arguments shall override the static sensitivity of the
process instance.
When calling function wait with a passed-by-reference parameter, the application shall be obliged to ensure
that the lifetimes of any actual arguments passed by reference extend from the time the function is called to
the time the function call reaches completion, and moreover in the case of a parameter of type sc_time, the
application shall not modify the value of the actual argument during that period.
It shall be an error to call function wait from a method process.
void wait();
The process shall be resumed on the static sensitivity. In the absence of static sensitivity for this
particular process, the process shall not be resumed again during the current simulation.
void wait( int );
A call to this function shall be equivalent to calling the function wait with an empty argument list
for a number of times in immediate succession, the number of times being passed as the value of the
argument. It shall be an error to pass an argument value less than or equal to zero. The
implementation is expected to optimize the execution speed of this function for clocked thread
processes.
void wait( const sc_event& );
The process shall be resumed when the event passed as an argument is notified.
void wait( const sc_event_or_list &);
The argument shall take the form of a list of events separated by the operator| of classes sc_event
and sc_event_or_list. The process shall be resumed when any one of the given events is notified.
The occurrence or non-occurrence of the other events in the list shall have no effect on the
resumption of that particular process. If a particular event appears more than once in the list, the
behavior shall be the same as if it appeared only once. It shall be an error to pass an empty event list
object as an argument to wait (see 5.8 and 5.9).
Authorized licensed use limited to: Furkan Tuncer. Downloaded on October 16,2017 at 17:05:54 UTC from IEEE Xplore. Restrictions apply.
IEEE Std 1666-2011
IEEE Standard for Standard SystemC® Language Reference Manual
53
Copyright © 2012 IEEE. All rights reserved.
void wait( const sc_event_and_list & );
The argument shall take the form of a list of events separated by the operator& of classes sc_event
and sc_event_and_list. In order for the process to be resumed, every single one of the given events
shall be notified, with no explicit constraints on the time or order of those notifications. The process
is resumed when the last such event is notified, last in the sense of being at the latest point in
simulation time, not last in the list. An event in the list may be notified more than once before the
last event is notified. If a particular event appears more than once in the list, the behavior shall be the
same as if it appeared only once. It shall be an error to pass an empty event list object as an argument
to wait (see 5.8 and 5.9).
void wait( const sc_time& );
The process shall be resumed after the time given as an argument has elapsed. The time shall be
taken to be relative to the time at which function wait is called. When a process is resumed in this
way, a time-out is said to have occurred. In this method call and in those that follow below, the
argument that specifies the time-out shall not be negative.
void wait( double v , sc_time_unit tu );
is equivalent to the following:
void wait( sc_time( v, tu ) );
void wait( const sc_time& , const sc_event& );
The process shall be resumed after the given time or when the given event is notified, whichever
occurs first.
void wait( double , sc_time_unit , const sc_event& );
void wait( const sc_time& , const sc_event_or_list & );
void wait( double , sc_time_unit , const sc_event_or_list & );
void wait( const sc_time& , const sc_event_and_list & );
void wait( double , sc_time_unit , const sc_event_and_list & );
Each of these compound forms combines a time with an event or event list. The semantics of these
compound forms shall be deduced from the rules given for the simple forms. In each case, the
process shall be resumed after the given time-out or in response to the given event or event list,
whichever is satisfied first.
5.2.19 Positional port binding
Ports can be bound using either positional binding or named binding. Positional binding is performed using
the operator() defined in the current subclause. Named binding is performed using the operator() or the
function bind of the class sc_port (see 5.12).
void operator() (
const sc_bind_proxy†& p001,
const sc_bind_proxy†& p002 = SC_BIND_PROXY_NIL,
...
const sc_bind_proxy†& p063 = SC_BIND_PROXY_NIL,
const sc_bind_proxy†& p064 = SC_BIND_PROXY_NIL );
This operator shall bind the port instances within the module instance for which the operator is called to the
channel instances and port instances passed as actual arguments to the operator, the port order being
Authorized licensed use limited to: Furkan Tuncer. Downloaded on October 16,2017 at 17:05:54 UTC from IEEE Xplore. Restrictions apply.
IEEE Std 1666-2011
IEEE Standard for Standard SystemC® Language Reference Manual
54
Copyright © 2012 IEEE. All rights reserved.
determined by the order in which the ports were constructed. The first port to be constructed shall be bound
to the first argument, the second port to the second argument, and so forth. It shall be an error if the number
of actual arguments is greater than the number of ports to be bound.
A multiport instance (see 5.12.3) shall be treated as a single port instance when positional binding is used
and may only be bound once, to a single channel instance or port instance. However, if a multiport instance
P is bound by position to another multiport instance Q, the child multiport P may be bound indirectly to
more than one channel through the parent multiport Q. A given multiport shall not be bound both by position
and by name.
This operator shall only bind ports, not exports. Any export instances contained within the module instance
shall be ignored by this operator.
An implementation may permit more than 64 ports to be bound in a single call to operator() by allowing
more than 64 arguments but is not obliged to do so. operator() shall not be called more than once for a given
module instance.
The following objects, and these alone, can be used as actual arguments to operator():
a) A channel, which is an object of a class derived from class sc_interface
b) A port, which is an object of a class derived from class sc_port
The type of a port is the name of the interface passed as a template argument to class sc_port when the port
is instantiated. The interface implemented by the channel in case a) or the type of the port in case b) shall be
the same as or derived from the type of the port being bound.
An implementation may defer the completion of port binding until a later time during elaboration because
the port to which a port is bound may not yet itself have been bound. Such deferred port binding shall be
completed by the implementation before the callbacks to function end_of_elaboration.
NOTE 1—To bind more than 64 ports of a single module instance, named binding should be used.
NOTE 2—Class sc_bind_proxy†, the parameter type of operator(), may provide user-defined conversions in the form of
two constructors, one having a parameter type of sc_interface, and the other a parameter type of sc_port_base.
NOTE 3—The actual argument cannot be an export, because this would require the C++ compiler to perform two
implicit conversions. However, it is possible to pass an export as an actual argument by explicitly calling the user-
defined conversion sc_export::operator IF&. It is also possible to bind a port to an export using named port binding.
Example:
SC_MODULE(M1)
{
sc_inout<int> P, Q, R; // Ports
...
};
SC_MODULE(Top1)
{
sc_inout <int> A, B;
sc_signal<int> C;
M1 m1; // Module instance
SC_CTOR(Top1)
: m1("m1")
{
m1(A, B, C); // Binds P-to-A, Q-to-B, R-to-C
Authorized licensed use limited to: Furkan Tuncer. Downloaded on October 16,2017 at 17:05:54 UTC from IEEE Xplore. Restrictions apply.
IEEE Std 1666-2011
IEEE Standard for Standard SystemC® Language Reference Manual
55
Copyright © 2012 IEEE. All rights reserved.
}
...
};
SC_MODULE(M2)
{
sc_inout<int> S;
sc_inout<int> *T; // Pointer-to-port (an unusual coding style)
sc_inout<int> U;
SC_CTOR(M2) { T = new sc_inout<int>; }
...
};
SC_MODULE(Top2)
{
sc_inout <int> D, E;
sc_signal<int> F;
M2 m2; // Module instance
SC_CTOR(Top2)
: m2("m2")
{
m2(D, E, F); // Binds S-to-D, U-to-E, (*T)-to-F
// Note that binding order depends on the order of port construction
}
...
};
5.2.20 before_end_of_elaboration, end_of_elaboration, start_of_simulation,
end_of_simulation
See 4.4.
5.2.21 get_child_objects and get_child_events
virtual const std::vector<sc_object*>& get_child_objects() const;
Member function get_child_objects shall return a std::vector containing a pointer to every instance
of class sc_object that lies within the module in the object hierarchy. This shall include pointers to
all module, port, primitive channel, unspawned process, and spawned process instances within the
module and any other application-defined objects derived from class sc_object within the module.
virtual const std::vector<sc_event*>& get_child_events() const;
Member function get_child_events shall return a std::vector containing a pointer to every object of
type sc_event that is a hierarchically named event and whose parent is the current module.
NOTE 1—The phrase within a module does not include instances nested within modules instances but only includes the
immediate children of the given module.
NOTE 2—An application can identify the instances by calling the member functions name and kind of class sc_object
or can determine their types using a dynamic cast.
NOTE 3—An event may have a hierarchical name and may have a parent in the object hierarchy, but in any case events
are not themselves part of the object hierarchy.
Authorized licensed use limited to: Furkan Tuncer. Downloaded on October 16,2017 at 17:05:54 UTC from IEEE Xplore. Restrictions apply.
IEEE Std 1666-2011
IEEE Standard for Standard SystemC® Language Reference Manual
56
Copyright © 2012 IEEE. All rights reserved.
Example:
int sc_main (int argc, char* argv[])
{
Top_level_module top("top");
std::vector<sc_object*> children = top.get_child_objects();
// Print out names and kinds of top-level objects
for (unsigned i = 0; i < children.size(); i++)
std::cout << children[i]->name() << " " << children[i]->kind() << std::endl;
sc_start();
return 0;
}
5.2.22 sc_gen_unique_name
const char* sc_gen_unique_name( const char* seed );
The function sc_gen_unique_name shall return a unique character string that depends on the context from
which the function is called. For this purpose, each module instance shall have a separate space of unique
string names, and there shall be a single global space of unique string names for calls to
sc_gen_unique_name not made from within any module. These spaces of unique string names shall be
maintained by function sc_gen_unique_name and are only visible outside this function in so far as they
affect the value of the strings returned from this function. Function sc_gen_unique_name shall only
guarantee the uniqueness of strings within each space of unique string names. There shall be no guarantee
that the generated name does not clash with a string that was not generated by function
sc_gen_unique_name.
The unique string shall be constructed by appending a string of two or more characters as a suffix to the
character string passed as argument seed, subject to the rules given in the remainder of this subclause. The
appended suffix shall take the form of a single underscore character, followed by a series of one of more
decimal digits from the character set 0-9. The number and choice of digits shall be implementation-defined.
There shall be no restrictions on the character set of the seed argument to function sc_gen_unique_name.
The seed argument may be the empty string.
String names are case-sensitive, and every character in a string name is significant. For example, “a”, “A”,
“a_”, and “A_” are each unique string names with respect to one another.
NOTE—The intended use of sc_gen_unique_name is to generate unique string names for objects of class sc_object.
Class sc_object does impose restrictions on the character set of string names passed as constructor arguments. The value
returned from function sc_gen_unique_name may be used for other unrelated purposes.
5.2.23 sc_behavior and sc_channel
typedef sc_module sc_behavior;
typedef sc_module sc_channel;
The typedefs sc_behavior and sc_channel are provided for users to express their intent.
NOTE—There is no distinction between a behavior and a hierarchical channel other than a difference of intent. Either
may include both ports and public member functions.
Authorized licensed use limited to: Furkan Tuncer. Downloaded on October 16,2017 at 17:05:54 UTC from IEEE Xplore. Restrictions apply.
IEEE Std 1666-2011
IEEE Standard for Standard SystemC® Language Reference Manual
57
Copyright © 2012 IEEE. All rights reserved.
Example:
class bus_interface
: virtual public sc_interface
{
public:
virtual void write(int addr, int data) = 0;
virtual void read (int addr, int& data) = 0;
};
class bus_adapter
: public bus_interface, public sc_channel
{
public:
virtual void write(int addr, int data); // Interface methods implemented in channel
virtual void read (int addr, int& data);
sc_in<bool> clock; // Ports
sc_out<bool> wr, rd;
sc_out<int> addr_bus;
sc_out<int> data_out;
sc_in <int> data_in;
SC_CTOR(bus_adapter) { ... } // Module constructor
private:
...
};
5.3 sc_module_name
5.3.1 Description
Class sc_module_name acts as a container for the string name of a module and provides the mechanism for
building the hierarchical names of instances in the module hierarchy during elaboration.
When an application creates an object of a class derived directly or indirectly from class sc_module, the
application typically passes an argument of type char* to the module constructor, which itself has a single
parameter of class sc_module_name and thus the constructor sc_module_name( const char* ) is called as
an implicit conversion. On the other hand, when an application derives a new class directly or indirectly
from class sc_module, the derived class constructor calls the base class constructor with an argument of
class sc_module_name and thus the copy constructor sc_module_name( const sc_module_name& ) is
called.
5.3.2 Class definition
namespace sc_core {
class sc_module_name
{
public:
sc_module_name( const char* );
sc_module_name( const sc_module_name& );
Authorized licensed use limited to: Furkan Tuncer. Downloaded on October 16,2017 at 17:05:54 UTC from IEEE Xplore. Restrictions apply.
IEEE Std 1666-2011
IEEE Standard for Standard SystemC® Language Reference Manual
58
Copyright © 2012 IEEE. All rights reserved.
~sc_module_name();
operator const char*() const;
private:
// Disabled
sc_module_name();
sc_module_name& operator= ( const sc_module_name& );
};
} // namespace sc_core
5.3.3 Constraints on usage
Class sc_module_name shall only be used as the type of a parameter of a constructor of a class derived from
class sc_module. Moreover, every such constructor shall have exactly one parameter of type
sc_module_name, which need not be the first parameter of the constructor.
In the case that the constructor of a class C derived directly or indirectly from class sc_module is called
from the constructor of a class D derived directly from class C, the parameter of type sc_module_name of
the constructor of class D shall be passed directly through as an argument to the constructor of class C. In
other words, the derived class constructor shall pass the sc_module_name through to the base class
constructor as a constructor argument.
NOTE 1—The macro SC_CTOR defines such a constructor.
NOTE 2—In the case of a class C derived directly from class sc_module, the constructor for class C is not obliged to
pass the sc_module_name through to the constructor for class sc_module. The default constructor for class sc_module
may be called explicitly or implicitly from the constructor for class C.
5.3.4 Module hierarchy
To keep track of the module hierarchy during elaboration, the implementation may maintain an internal
stack of pointers to objects of class sc_module_name, referred to below as the stack. For the purpose of
building hierarchical names, when objects of class sc_module, sc_port, sc_export, sc_prim_channel, or
sc_event are constructed or when spawned or unspawned processes instances are created, they are assumed
to exist within the module identified by the sc_module_name object on the top of the stack. In other words,
each instance in the module hierarchy is named as if it were a child of the module identified by the item on
the top of the stack at the point when the instance is created.
The implementation is not obliged to use these particular mechanisms (a stack of pointers), but if not, the
implementation shall substitute an alternative mechanism that is semantically equivalent.
NOTE 1—The hierarchical name of an instance in the object hierarchy is returned from member function name of class
sc_object, which is the base class of all such instances.
NOTE 2—An object of type sc_event may have a hierarchical name and may have a parent in the object hierarchy, but
in any case sc_event is not derived from sc_object and events are not themselves part of the object hierarchy.
5.3.5 Member functions
sc_module_name( const char* );
This constructor shall push a pointer to the object being constructed onto the top of the stack. The
constructor argument shall be used as the string name of the module being instantiated within the
module hierarchy by ultimately being passed as an argument to the constructor of class sc_object.
Authorized licensed use limited to: Furkan Tuncer. Downloaded on October 16,2017 at 17:05:54 UTC from IEEE Xplore. Restrictions apply.
IEEE Std 1666-2011
IEEE Standard for Standard SystemC® Language Reference Manual
59
Copyright © 2012 IEEE. All rights reserved.
sc_module_name( const sc_module_name& );
This constructor shall copy the constructor argument but shall not modify the stack.
~sc_module_name();
If and only if the object being destroyed was constructed by sc_module_name( const char* ), the
destructor shall remove the sc_module_name pointer from the top of the stack.
operator const char*() const;
This conversion function shall return the string name (not the hierarchical name) associated with the
sc_module_name.
NOTE 1—When a complete object of a class derived from sc_module is constructed, the constructor for that
derived class is passed an argument of type char*. The first constructor above will be called to perform an
implicit conversion from type char* to type sc_module_name, thus pushing the newly created module name
onto the stack and signifying the entry into a new level in the module hierarchy. On return from the constructor
for the class of the complete object, the destructor for class sc_module_name will be called and will remove
the module name from the stack.
NOTE 2—When an sc_module_name is passed as an argument to the constructor of a base class, the above
copy constructor is called. The sc_module_name parameter of the base class may be unused. The reason for
mandating that every such constructor have a parameter of class sc_module_name (even if the parameter is
unused) is to ensure that every such derived class can be instantiated as a module in its own right.
Example:
struct A: sc_module
{
A(sc_module_name) {} // Calls sc_module()
};
struct B: sc_module
{
B(sc_module_name n)
: sc_module(n) {} // Calls sc_module(sc_module_name&)
};
struct C: B // One module derived from another
{
C(sc_module_name n)
: B(n) {} // Calls sc_module_name(sc_module_name&) then
// B(sc_module_name)
};
struct Top: sc_module
{
A a;
C c;
Top(sc_module_name n)
: sc_module(n), // Calls sc_module(sc_module_name&)
a("a"), // Calls sc_module_name(char*) then calls A(sc_module_name)
c("c") {} // Calls sc_module_name(char*) then calls C(sc_module_name)
};
Authorized licensed use limited to: Furkan Tuncer. Downloaded on October 16,2017 at 17:05:54 UTC from IEEE Xplore. Restrictions apply.
IEEE Std 1666-2011
IEEE Standard for Standard SystemC® Language Reference Manual
60
Copyright © 2012 IEEE. All rights reserved.
5.4 sc_sensitive†
5.4.1 Description
Class sc_sensitive† provides the operators used to build the static sensitivity of an unspawned process
instance. To create static sensitivity for a spawned process, use the member function set_sensitivity of the
class sc_spawn_options (see 5.5).
5.4.2 Class definition
namespace sc_core {
class sc_sensitive†
{
public:
sc_sensitive†& operator<< ( const sc_event& );
sc_sensitive†& operator<< ( const sc_interface& );
sc_sensitive†& operator<< ( const sc_port_base& );
sc_sensitive†& operator<< ( sc_event_finder& );
// Other members
implementation-defined
};
} // namespace sc_core
5.4.3 Constraints on usage
An application shall not explicitly create an object of class sc_sensitive†.
Class sc_module shall have a data member named sensitive of type sc_sensitive†. The use of sensitive to
create static sensitivity is described in 5.2.14.
5.4.4 operator<<
sc_sensitive†& operator<< ( const sc_event& );
The event passed as an argument shall be added to the static sensitivity of the process instance.
sc_sensitive†& operator<< ( const sc_interface& );
The event returned by member function default_event of the channel instance passed as an
argument to operator<< shall be added to the static sensitivity of the process instance.
NOTE 1—If the channel passed as an argument does not override function default_event, the member function
default_event of class sc_interface is called through inheritance.
NOTE 2—An export can be passed as an actual argument to this operator because of the existence of the user-
defined conversion sc_export<IF>::operator.
sc_sensitive†& operator<< ( const sc_port_base& );
The event returned by member function default_event of the channel instance to which the port
instance passed as an argument to operator<< is bound shall be added to the static sensitivity of the
process instance. In other words, the process is made sensitive to the given port, calling function
Authorized licensed use limited to: Furkan Tuncer. Downloaded on October 16,2017 at 17:05:54 UTC from IEEE Xplore. Restrictions apply.
IEEE Std 1666-2011
IEEE Standard for Standard SystemC® Language Reference Manual
61
Copyright © 2012 IEEE. All rights reserved.
default_event to determine to which particular event it should be made sensitive. If the port instance
is a multiport (see 5.12.3), the events returned by calling member function default_event for each
and every channel instance to which the multiport is bound shall be added to the static sensitivity of
the process instance.
sc_sensitive†& operator<< ( sc_event_finder& );
The event found by the event finder passed as an argument to operator<< shall be added to the
static sensitivity of the process instance (see 5.7).
NOTE—An event finder is necessary to create static sensitivity when the application needs to select between
multiple events defined in the channel. In a such a case, the default_event mechanism is inadequate.
5.5 sc_spawn_options and sc_spawn
5.5.1 Description
Function sc_spawn is used to create a static or dynamic spawned process instance.
Class sc_spawn_options is used to create an object that is passed as an argument to function sc_spawn
when creating a spawned process instance. The spawn options determine certain properties of the spawned
process instance when used in this way. Calling the member functions of an sc_spawn_options object shall
have no effect on any process instance unless the object is passed as an argument to sc_spawn.
5.5.2 Class definition
namespace sc_core {
class sc_spawn_options
{
public:
sc_spawn_options();
void spawn_method();
void dont_initialize();
void set_stack_size( int );
void set_sensitivity( const sc_event* );
void set_sensitivity( sc_port_base* );
void set_sensitivity( sc_export_base* );
void set_sensitivity( sc_interface* );
void set_sensitivity( sc_event_finder* );
void reset_signal_is( const sc_in<bool>& , bool );
void reset_signal_is( const sc_inout<bool>& , bool );
void reset_signal_is( const sc_out<bool>& , bool );
void reset_signal_is( const sc_signal_in_if<bool>& , bool );
void async_reset_signal_is( const sc_in<bool>& , bool );
void async_reset_signal_is( const sc_inout<bool>& , bool );
void async_reset_signal_is( const sc_out<bool>& , bool );
void async_reset_signal_is( const sc_signal_in_if<bool>& , bool );
Authorized licensed use limited to: Furkan Tuncer. Downloaded on October 16,2017 at 17:05:54 UTC from IEEE Xplore. Restrictions apply.
IEEE Std 1666-2011
IEEE Standard for Standard SystemC® Language Reference Manual
62
Copyright © 2012 IEEE. All rights reserved.
private:
// Disabled
sc_spawn_options( const sc_spawn_options& );
sc_spawn_options& operator= ( const sc_spawn_options& );
};
template <typename T>
sc_process_handle sc_spawn(
T object ,
const char* name_p = 0 ,
const sc_spawn_options* opt_p = 0 );
template <typename T>
sc_process_handle sc_spawn(
typename T::result_type* r_p ,
T object ,
const char* name_p = 0 ,
const sc_spawn_options* opt_p = 0 );
#define sc_bind boost::bind
#define sc_ref(r) boost::ref(r)
#define sc_cref(r) boost::cref(r)
#define SC_FORK implementation-defined
#define SC_JOIN implementation-defined
} // namespace sc_core
namespace sc_unnamed {
implementation-defined _1;
implementation-defined _2;
implementation-defined _3;
implementation-defined _4;
implementation-defined _5;
implementation-defined _6;
implementation-defined _7;
implementation-defined _8;
implementation-defined _9;
} // namespace sc_unnamed
5.5.3 Constraints on usage
Function sc_spawn may be called during elaboration or from a static, dynamic, spawned, or unspawned
process during simulation. Similarly, objects of class sc_spawn_options may be created or modified during
elaboration or simulation.
5.5.4 Constructors
sc_spawn_options ();
The default constructor shall create an object having the default values for the properties set by the functions
spawn_method, dont_initialize, set_stack_size, and set_sensitivity.
Authorized licensed use limited to: Furkan Tuncer. Downloaded on October 16,2017 at 17:05:54 UTC from IEEE Xplore. Restrictions apply.
IEEE Std 1666-2011
IEEE Standard for Standard SystemC® Language Reference Manual
63
Copyright © 2012 IEEE. All rights reserved.
5.5.5 Member functions
void spawn_method();
Member function spawn_method shall set a property of the spawn options to indicate that the
spawned process shall be a method process. The default is a thread process.
void dont_initialize();
Member function dont_initialize shall set a property of the spawn options to indicate that the
spawned process instance shall not be made runnable during the initialization phase or when it is
created. By default, this property is not set, and thus by default the spawned process instance shall be
made runnable during the initialization phase of the scheduler if spawned during elaboration, or it
shall be made runnable in the current or next evaluation phase if spawned during simulation
irrespective of the static sensitivity of the spawned process instance. If the process is spawned
during elaboration, member function dont_initialize of class sc_spawn_options shall provide the
same behavior for spawned processes as the member function dont_initialize of class sc_module
provides for unspawned processes.
void set_stack_size( int );
Member function set_stack_size shall set a property of the spawn options to set the stack size of the
spawned process. This member function shall provide the same behavior for spawned processes as
the member function set_stack_size of class sc_module provides for unspawned processes. The
effect of calling this function is implementation-defined.
It shall be an error to call set_stack_size for a method process.
void set_sensitivity( const sc_event* );
void set_sensitivity( sc_port_base* );
void set_sensitivity( sc_export_base* );
void set_sensitivity( sc_interface* );
void set_sensitivity( sc_event_finder* );
Member function set_sensitivity shall set a property of the spawn options to add the object passed
as an argument to set_sensitivity to the static sensitivity of the spawned process, as described for
operator<< in 5.4.4, or if the argument is the address of an export, the process is made sensitive to
the channel instance to which that export is bound. If the argument is the address of a multiport, the
process shall be made sensitive to the events returned by calling member function default_event for
each and every channel instance to which the multiport is bound. By default, the static sensitivity is
empty. Calls to set_sensitivity are cumulative: each call to set_sensitivity extends the static
sensitivity as set in the spawn options. Calls to the four different overloaded member functions can
be mixed.
void reset_signal_is( const sc_in<bool>& , bool );
void reset_signal_is( const sc_inout<bool>& , bool );
void reset_signal_is( const sc_out<bool>& , bool );
void reset_signal_is( const sc_signal_in_if<bool>& , bool );
void async_reset_signal_is( const sc_in<bool>& , bool );
void async_reset_signal_is( const sc_inout<bool>& , bool );
void async_reset_signal_is( const sc_out<bool>& , bool );
void async_reset_signal_is( const sc_signal_in_if<bool>& , bool );
Authorized licensed use limited to: Furkan Tuncer. Downloaded on October 16,2017 at 17:05:54 UTC from IEEE Xplore. Restrictions apply.
IEEE Std 1666-2011
IEEE Standard for Standard SystemC® Language Reference Manual
64
Copyright © 2012 IEEE. All rights reserved.
Member functions reset_signal_is and async_reset_signal_is shall set a property of the spawn
options to add the object passed as an argument as a synchronous or an asynchronous reset signal of
the spawned process instance, respectively, as described in 5.2.13. Each call to either of these
member functions shall add a reset signal to the given spawn options object. The signal may be
identified indirectly by passing a port instance that is bound to the reset signal. A spawned process
instance may have any number of synchronous and asynchronous reset signals.
NOTE 1—There are no member functions to set the spawn options to spawn a thread process or to make a process
runnable during initialization. This functionality is reliant on the default values of the sc_spawn_options object.
NOTE 2—It is not possible to spawn a dynamic clocked thread process.
5.5.6 sc_spawn
template <typename T>
sc_process_handle sc_spawn(
T object ,
const char* name_p = 0 ,
const sc_spawn_options* opt_p = 0 );
template <typename T>
sc_process_handle sc_spawn(
typename T::result_type* r_p ,
T object ,
const char* name_p = 0 ,
const sc_spawn_options* opt_p = 0 );
#define sc_bind boost::bind
#define sc_ref(r) boost::ref(r)
#define sc_cref(r) boost::cref(r)
Function sc_spawn shall create a static or dynamic spawned process instance.
Function sc_spawn may be called during elaboration, in which case the spawned process is a child of the
module instance within which function sc_spawn is called or is a top-level object if function sc_spawn is
called from function sc_main.
Function sc_spawn may be called during simulation, in which case the spawned process is a child of the
process that called function sc_spawn. Function sc_spawn may be called from a method process, a thread
process, or a clocked thread process.
The process or module from which sc_spawn is called is the parent of the spawned process. Thus a set of
dynamic process instances may have a hierarchical relationship, similar to the module hierarchy, which will
be reflected in the hierarchical names of the process instances.
If function sc_spawn is called during the evaluation phase, the spawned process shall be made runnable in
the current evaluation phase (unless dont_initialize has been called for this process instance). If function
sc_spawn is called during the update phase, the spawned process shall be made runnable in the very next
evaluation phase (unless dont_initialize has been called for this process instance).
The argument of type T shall be either a function pointer or a function object, that is, an object of a class that
overloads operator() as a member function and shall specify the function associated with the spawned
process instance, that is, the function to be spawned. This shall be the only mandatory argument to function
sc_spawn.
Authorized licensed use limited to: Furkan Tuncer. Downloaded on October 16,2017 at 17:05:54 UTC from IEEE Xplore. Restrictions apply.
IEEE Std 1666-2011
IEEE Standard for Standard SystemC® Language Reference Manual
65
Copyright © 2012 IEEE. All rights reserved.
If present, the argument of type T::result_type* shall pass a pointer to a memory location that shall receive
the value returned from the function associated with the process instance. In this case, the argument of type
T shall be a function object of a class that exposes a nested type named result_type. Furthermore,
operator() of the function object shall have the return type result_type. It is the responsibility of the
application to ensure that the memory location is still valid when the spawned function returns. For example,
the memory location could be a data member of an enclosing sc_module but should not be a stack variable
that would have been deallocated by the time the spawned function returns. See the example below.
The macros sc_bind, sc_ref, and sc_cref are provided for convenience when using the free Boost C++
libraries to bind arguments to spawned functions. Passing arguments to spawned processes is a powerful
mechanism that allows processes to be parameterized when they are spawned and permits processes to
update variables over time through reference arguments. boost::bind provides a convenient way to pass
value arguments, reference arguments, and const reference arguments to spawned functions, but its use is
not mandatory. See the examples below and the Boost documentation available on the Internet.
The only purpose of namespace sc_unnamed is to allow the implementation to provide a set of argument
placeholders for use with sc_bind. _1, _2, _3 ... shall be provided by the implementation to give access to
the placeholders of the same names from the Boost libraries. These placeholders can be passed as arguments
to sc_bind in order to defer the binding of function arguments until the call to the function object returned
from sc_bind. Again, see the Boost documentation for details.
The argument of type const char* shall give the string name of the spawned process instance and shall be
passed by the implementation to the constructor for the sc_object that forms the base class sub-object of the
spawned process instance. If no such argument is given or if the argument is an empty string, the
implementation shall create a string name for the process instance by calling function sc_gen_unique_name
with the seed string "thread_p" in the case of a thread process or "method_p" in the case of a method
process.
The argument of type sc_spawn_options* shall set the spawn options for the spawned process instance. If
no such argument is provided, the spawned process instance shall take the default values as defined for the
member functions of class sc_spawn_options. The application is not obliged to keep the sc_spawn_options
object valid after the return from function sc_spawn.
Function sc_spawn shall return a valid process handle to the spawned process instance. A process instance
can be suspended, resumed, disabled, enabled, killed, or reset using the member functions of class
sc_process_handle.
If a spawn options argument is given, a process string name argument shall also be given, although that
string name argument may be an empty string.
NOTE—Function sc_spawn provides a superset of the functionality of the macros SC_THREAD and SC_METHOD. In
addition to the functionality provided by these macros, function sc_spawn provides the passing of arguments and return
values to and from processes spawned during elaboration or simulation. The macros are retained for compatibility with
earlier versions of SystemC.
Example:
int f();
struct Functor
{
typedef int result_type;
result_type operator() ();
};
Authorized licensed use limited to: Furkan Tuncer. Downloaded on October 16,2017 at 17:05:54 UTC from IEEE Xplore. Restrictions apply.
IEEE Std 1666-2011
IEEE Standard for Standard SystemC® Language Reference Manual
66
Copyright © 2012 IEEE. All rights reserved.
Functor::result_type Functor::operator() () { return f(); }
int h(int a, int& b, const int& c);
struct MyMod: sc_module
{
sc_signal<int> sig;
void g();
SC_CTOR(MyMod)
{
SC_THREAD(T);
}
int ret;
void T()
{
sc_spawn(&f); // Spawn a function without arguments and discard any return value.
// Spawn a similar process and create a process handle.
sc_process_handle handle = sc_spawn(&f);
Functor fr;
sc_spawn(&ret, fr); // Spawn a function object and catch the return value.
sc_spawn_options opt;
opt.spawn_method();
opt.set_sensitivity(&sig);
opt.dont_initialize();
sc_spawn(f, "f1", &opt); // Spawn a method process named "f1", sensitive to sig, not initialized.
// Spawn a similar process named "f2" and catch the return value.
sc_spawn(&ret, fr, "f2", &opt);
// Spawn a member function using Boost bind.
sc_spawn(sc_bind(&MyMod::g, this));
int A = 0, B, C;
// Spawn a function using Boost bind, pass arguments
// and catch the return value.
sc_spawn(&ret, sc_bind(&h, A, sc_ref(B), sc_cref(C)));
}
};
5.5.7 SC_FORK and SC_JOIN
#define SC_FORK implementation-defined
#define SC_JOIN implementation-defined
The macros SC_FORK and SC_JOIN can only be used as a pair to bracket a set of calls to function
sc_spawn from within a thread or clocked thread process. It is an error to use the fork-join construct in a
method process. Each call to sc_spawn (enclosed between SC_FORK and SC_JOIN) shall result in a
separate process instance being spawned when control enters the fork-join construct. The child processes
shall be spawned without delay and may potentially all become runnable in the current evaluation phase
(depending on their spawn options). The spawned process instances shall be thread processes. It is an error
Authorized licensed use limited to: Furkan Tuncer. Downloaded on October 16,2017 at 17:05:54 UTC from IEEE Xplore. Restrictions apply.
IEEE Std 1666-2011
IEEE Standard for Standard SystemC® Language Reference Manual
67
Copyright © 2012 IEEE. All rights reserved.
to spawn a method process within a fork-join construct. Control leaves the fork-join construct when all the
spawned process instances have terminated.
The text between SC_FORK and SC_JOIN shall consist of a series of one or more calls to function
sc_spawn separated by commas. The value returned from the function call may be discarded or the function
call may be the only expression on the right-hand-side of an assignment to a variable, where the variable will
be set to the process handle returned from sc_spawn.
The comma after the final call to sc_spawn and immediately before SC_JOIN shall be optional. There shall
be no other characters other than white space separating SC_FORK, the function calls, or variable
assignments, the commas, and SC_JOIN. If an application violates these rules, the effect shall be undefined.
Example 1:
SC_FORK
sc_spawn( arguments ) ,
sc_spawn( arguments ) ,
sc_spawn( arguments )
SC_JOIN
Example 2:
sc_process_handle h1, h2, h3;
SC_FORK
h1 = sc_spawn( arguments ) ,
h2 = sc_spawn( arguments ) ,
h3 = sc_spawn( arguments )
SC_JOIN
5.6 sc_process_handle
5.6.1 Description
Class sc_process_handle provides a process handle to an underlying spawned or unspawned process
instance. A process handle can be in one of two states: valid or invalid. A valid process handle shall be
associated with a single underlying process instance, which may or may not be in the terminated state. An
invalid process handle may be associated with a single underlying process instance provided that process
instance has terminated. An empty process handle is an invalid handle that is not associated with any
underlying process instance. In other words, an invalid process handle is either an empty handle or is
associated with a terminated process instance. A process instance may be associated with zero, one or many
process handles, and the number and identity of such process handles may change over time.
Since dynamic process instances can be created and destroyed dynamically during simulation, it is in
general unsafe to manipulate a process instance through a raw pointer to the process instance (or to the base
class sub-object of class sc_object). The purpose of class sc_process_handle is to provide a safe and
uniform mechanism for manipulating both spawned and unspawned process instances without reliance on
raw pointers. If control returns from the function associated with a thread process instance (that is, the
process terminates), the underlying process instance may be deleted, but the process handle will continue to
exist.
The provision of operator<, which supplies a strict weak ordering relation on the underlying process
instances, allows process handles to be stored in a standard C++ container such as std::map.
Authorized licensed use limited to: Furkan Tuncer. Downloaded on October 16,2017 at 17:05:54 UTC from IEEE Xplore. Restrictions apply.
IEEE Std 1666-2011
IEEE Standard for Standard SystemC® Language Reference Manual
68
Copyright © 2012 IEEE. All rights reserved.
5.6.2 Class definition
namespace sc_core {
enum sc_curr_proc_kind
{
SC_NO_PROC_ ,
SC_METHOD_PROC_ ,
SC_THREAD_PROC_ ,
SC_CTHREAD_PROC_
};
enum sc_descendant_inclusion_info
{
SC_NO_DESCENDANTS,
SC_INCLUDE_DESCENDANTS
};
class sc_unwind_exception: public std::exception
{
public:
virtual const char* what() const throw();
virtual bool is_reset() const;
protected:
sc_unwind_exception();
sc_unwind_exception( const sc_unwind_exception& );
virtual ~sc_unwind_exception() throw();
};
class sc_process_handle
{
public:
sc_process_handle();
sc_process_handle( const sc_process_handle& );
explicit sc_process_handle( sc_object* );
~sc_process_handle();
bool valid() const;
sc_process_handle& operator= ( const sc_process_handle& );
bool operator== ( const sc_process_handle& ) const;
bool operator!= ( const sc_process_handle& ) const;
bool operator< ( const sc_process_handle& ) const;
void swap( sc_process_handle& );
const char* name() const;
sc_curr_proc_kind proc_kind() const;
const std::vector<sc_object*>& get_child_objects() const;
const std::vector<sc_event*>& get_child_events() const;
sc_object* get_parent_object() const;
sc_object* get_process_object() const;
bool dynamic() const;
Authorized licensed use limited to: Furkan Tuncer. Downloaded on October 16,2017 at 17:05:54 UTC from IEEE Xplore. Restrictions apply.
IEEE Std 1666-2011
IEEE Standard for Standard SystemC® Language Reference Manual
69
Copyright © 2012 IEEE. All rights reserved.
bool terminated() const;
const sc_event& terminated_event() const;
void suspend ( sc_descendant_inclusion_info include_descendants = SC_NO_DESCENDANTS );
void resume ( sc_descendant_inclusion_info include_descendants = SC_NO_DESCENDANTS );
void disable ( sc_descendant_inclusion_info include_descendants = SC_NO_DESCENDANTS );
void enable ( sc_descendant_inclusion_info include_descendants = SC_NO_DESCENDANTS );
void kill ( sc_descendant_inclusion_info include_descendants = SC_NO_DESCENDANTS );
void reset ( sc_descendant_inclusion_info include_descendants = SC_NO_DESCENDANTS );
bool is_unwinding() const;
const sc_event& reset_event() const;
void sync_reset_on
( sc_descendant_inclusion_info include_descendants = SC_NO_DESCENDANTS );
void sync_reset_off
( sc_descendant_inclusion_info include_descendants = SC_NO_DESCENDANTS );
template <typename T>
void throw_it( const T& user_defined_exception,
sc_descendant_inclusion_info include_descendants = SC_NO_DESCENDANTS );
};
sc_process_handle sc_get_current_process_handle();
bool sc_is_unwinding();
} // namespace sc_core
5.6.3 Constraints on usage
None. A process handle may be created, copied, or deleted at any time during elaboration or simulation. The
handle may be valid or invalid.
5.6.4 Constructors
sc_process_handle();
The default constructor shall create an empty process handle. An empty process handle shall be an
invalid process handle.
sc_process_handle( const sc_process_handle& );
The copy constructor shall duplicate the process handle passed as an argument. The result will be
two handles to the same underlying process instance or two empty handles.
explicit sc_process_handle( sc_object* );
If the argument is a pointer to a process instance, this constructor shall create a valid process handle
to the given process instance. Otherwise, this constructor shall create an empty process handle.
5.6.5 Member functions
bool valid() const;
Member function valid shall return true if and only if the process handle is valid.
Authorized licensed use limited to: Furkan Tuncer. Downloaded on October 16,2017 at 17:05:54 UTC from IEEE Xplore. Restrictions apply.
IEEE Std 1666-2011
IEEE Standard for Standard SystemC® Language Reference Manual
70
Copyright © 2012 IEEE. All rights reserved.
sc_process_handle& operator= ( const sc_process_handle& );
The assignment operator shall duplicate the process handle passed as an argument. The result will be
two handles to the same underlying process instance or two empty handles.
bool operator== ( const sc_process_handle& ) const;
The equality operator shall return true if and only if the two process handles are both valid and share
the same underlying process instance.
bool operator!= ( const sc_process_handle& ) const;
The inequality operator shall return false if and only if the two process handles are both valid and
share the same underlying process instance.
bool operator< ( const sc_process_handle& ) const;
The less-than operator shall define a strict weak ordering relation on the underlying process
instances in the following sense. Given three process handles H1, H2, and H3:
strict means that H1 < H1 shall return false (whether H1 is valid, invalid, or empty)
weak means that if H1 and H2 are both handles (valid or invalid) associated with the same
underlying process instance or both are empty handles, then H1 < H2 shall return false and H2 < H1
shall return false. Otherwise, if H1 and H2 are handles associated with different underlying process
instances or if only one is an empty handle, then exactly one of H1 < H2 and H2 < H1 shall return
true.
ordering relation means that if H1 < H2 and H2 < H3, then H1 < H3 (whether H1, H2, or H3 are
valid or invalid).
Example:
sc_process_handle a, b; // Two empty handles
sc_assert( !a.valid() && !b.valid() ); // Both are invalid
sc_assert( a != b );
sc_assert( !(a < b) && !(b < a) );
a = sc_spawn(...);
b = sc_spawn(...);
sc_assert( a != b );
sc_assert( (a < b) || (b < a) ); // Two handles to different processes
sc_process_handle c = b;
sc_assert( b == c );
sc_assert( !(b < c) && !(c < b) ); // Two handles to the same process
wait( a.terminated_event() & b.terminated_event() );
sc_assert( (a < b) || (b < a) ); // Same ordering whether handles are valid or not
if ( b.valid() ) // Handles may or may not have been invalidated
sc_assert( b == c );
else
sc_assert( b != c );
Authorized licensed use limited to: Furkan Tuncer. Downloaded on October 16,2017 at 17:05:54 UTC from IEEE Xplore. Restrictions apply.
IEEE Std 1666-2011
IEEE Standard for Standard SystemC® Language Reference Manual
71
Copyright © 2012 IEEE. All rights reserved.
sc_assert( b.valid() == c.valid() ); // Invalidation is consistent
sc_assert( !(b < c) && !(c < b) ); // Two handles to the same process, whether valid or not
sc_assert( c.terminated() );
void swap( sc_process_handle& );
Member function swap shall exchange the process instances underlying the process handles *this
and the sc_process_handle argument. If H1 < H2 prior to the call H1.swap(H2), then H2 < H1 after
the call. Either handle may be invalid.
Example:
sc_process_handle a, b = sc_get_current_process_handle();
sc_assert( b.valid() );
a.swap( b );
sc_assert( a == sc_get_current_process_handle() );
sc_assert( !b.valid() );
const char* name() const;
Member function name shall return the hierarchical name of the underlying process instance. If the
process handle is invalid, member function name shall return an empty string, that is, a pointer to
the string “”. The implementation is only obliged to keep the returned string valid while the process
handle is valid.
sc_curr_proc_kind proc_kind() const;
For a valid process handle, member function proc_kind shall return one of the three values
SC_METHOD_PROC_, SC_THREAD_PROC_, or SC_CTHREAD_PROC_, depending on the
kind of the underlying process instance, that is, method process, thread process, or clocked thread
process, respectively. For an invalid process handle, member function proc_kind shall return the
value SC_NO_PROC_.
const std::vector<sc_object*>& get_child_objects() const;
Member function get_child_objects shall return a std::vector containing a pointer to every instance
of class sc_object that is a child of the underlying process instance. This shall include every
dynamic process instance that has been spawned during the execution of the underlying process
instance and has not yet been deleted, and any other application-defined objects derived from class
sc_object created during the execution of the underlying process instance that have not yet been
deleted. Processes that are spawned from child processes are not included (grandchildren, as it
were). If the process handle is invalid, member function get_child_objects shall return an empty
std::vector.
This same function shall be overridden in any implementation-defined classes derived from
sc_object and associated with spawned and unspawned process instances. Such functions shall have
identical behavior provided that the process handle is valid.
const std::vector<sc_event*>& get_child_events() const;
Member function get_child_events shall return a std::vector containing a pointer to every object of
type sc_event that is a hierarchically named event and whose parent is the current process instance.
Authorized licensed use limited to: Furkan Tuncer. Downloaded on October 16,2017 at 17:05:54 UTC from IEEE Xplore. Restrictions apply.
IEEE Std 1666-2011
IEEE Standard for Standard SystemC® Language Reference Manual
72
Copyright © 2012 IEEE. All rights reserved.
If the process handle is invalid, member function get_child_events shall return an empty
std::vector.
This same function shall be overridden in any implementation-defined classes derived from
sc_object and associated with spawned and unspawned process instances. Such functions shall have
identical behavior provided that the process handle is valid.
sc_object* get_parent_object() const;
Member function get_parent_object shall return a pointer to the module instance or process
instance from which the underlying process instance was spawned. If the process handle is invalid,
member function get_parent_object shall return the null pointer. If the parent object is a process
instance and that process has terminated, get_parent_object shall return a pointer to that process
instance. A process instance shall not be deleted (nor any associated process handles invalidated)
while the process has surviving children, but it may be deleted once all its child objects have been
deleted.
sc_object* get_process_object() const;
If the process handle is valid, member function get_process_object shall return a pointer to the
process instance associated with the process handle. If the process handle is invalid, member
function get_process_object shall return the null pointer. An application should test for a null
pointer before dereferencing the pointer. Moreover, an application should assume that the pointer
remains valid only until the calling process suspends.
bool dynamic() const;
Member function dynamic shall return true if the underlying process instance is a dynamic process
and false if the underlying process instance is a static process. If the process handle is invalid,
member function dynamic shall return the value false.
bool terminated() const;
Member function terminated shall return true if and only if the underlying process instance has
terminated. A thread or clocked thread process is terminated after the point when control is returned
from the associated function. A process can also be terminated by calling the kill method of a
process handle associated with that process. This is the only way in which a method process can be
terminated. If the process handle is empty, member function terminated shall return the value false.
When the underlying process instance terminates, if the process instance has no surviving children,
an implementation may choose to invalidate any associated process handles, but it is not obliged to
do so. An implementation shall not invalidate a process handle while the process instance has child
objects. However, if an implementation chooses to invalidate a process handle, it shall invalidate
every process handle associated with the underlying process instance at that time. In other words, it
shall not be possible to have a valid and an invalid handle to the same underlying process instance in
existence at the same time. After the process instance has terminated, function terminated will
continue to return true, even if the process handle becomes invalid. The process instance shall
continue to exist as long as the process handle is valid. Once all the handles associated with a given
process instance have been invalidated, an implementation is free to delete the process instance, but
it is not obliged to do so. With respect to the value of function terminated and the ordering relation
that defines the behavior of operator< and method swap, in effect an invalid process handle
remains associated with a process instance even after that process instance has been deleted.
Authorized licensed use limited to: Furkan Tuncer. Downloaded on October 16,2017 at 17:05:54 UTC from IEEE Xplore. Restrictions apply.
IEEE Std 1666-2011
IEEE Standard for Standard SystemC® Language Reference Manual
73
Copyright © 2012 IEEE. All rights reserved.
const sc_event& terminated_event() const;
Member function terminated_event shall return a reference to an event that is notified when the
underlying process instance terminates. It shall be an error to call member function
terminated_event for an invalid process handle.
5.6.6 Member functions for process control
The member functions of class sc_process_handle described in this clause and its subclauses are concerned
with process control. Examples of process control include suspending, resuming, killing, or resetting a
process instance. Process control involves a calling process controlling a target process. In each case, the
calling process calls a member function of a process handle associated with the target process (or with its
parent object, grandparent object, and so forth).
The calling process and the target process may be distinct process instances or may be the same process
instance. In the latter case, certain process control member functions are meaningless, such as having a
process instance attempt to resume itself.
Several of the process control member functions are organized as complementary pairs:
—suspend and resume
—disable and enable
—sync_reset_on and sync_reset_off
—kill
— reset
— throw_it
Each of the above member functions may be called where the underlying process instance is a method
process, a thread process, or a clocked thread process. There are certain caveats concerning the use of
suspend, resume, reset, and throw_it with clocked thread processes (see 5.2.12).
The distinction between suspend/resume and disable/enable lies in the sensitivity of the target process
during the period while it is suspended or disabled. With suspend, the kernel keeps track of the sensitivity of
the target process while it is suspended such that a relevant event notification or time-out while suspended
would cause the process to become runnable immediately when resume is called. With disable, the
sensitivity of the target process is nullified while it is suspended such that the process is not made runnable
by the call to enable, but only on the next relevant event notification or time-out subsequent to the call to
enable. In other words, with suspend/resume, the kernel keeps a record of whether the target process would
have awoken while in fact being suspended, whereas with disable/enable, the kernel entirely ignores the
sensitivity of the target process while disabled. Also see 5.2.12 regarding clocked thread processes.
Example:
struct M1: sc_module
{
M1(sc_module_name _name)
{
SC_THREAD(ticker);
SC_THREAD(calling);
SC_THREAD(target);
t = sc_get_current_process_handle();
}
sc_process_handle t;
Authorized licensed use limited to: Furkan Tuncer. Downloaded on October 16,2017 at 17:05:54 UTC from IEEE Xplore. Restrictions apply.
IEEE Std 1666-2011
IEEE Standard for Standard SystemC® Language Reference Manual
74
Copyright © 2012 IEEE. All rights reserved.
sc_event ev;
void ticker()
{
for (;;)
{
wait(10, SC_NS);
ev.notify();
}
}
void calling()
{
wait(15, SC_NS);
// Target runs at time 10 NS due to notification
t.suspend();
wait(10, SC_NS);
// Target does not run at time 20 NS while suspended
t.resume();
// Target runs at time 25 NS when resume is called
wait(10, SC_NS);
// Target runs at time 30 NS due to notification
t.disable();
wait(10, SC_NS);
// Target does not run at time 40 NS while disabled
t.enable();
// Target does not run at time 45 NS when enable is called
wait(10, SC_NS);
// Target runs at time 50 NS due to notification
sc_stop();
}
void target()
{
for (;;)
{
wait(ev);
cout << "Target awoke at " << sc_time_stamp() << endl;
}
}
SC_HAS_PROCESS(M1);
};
sync_reset_on and sync_reset_off provide a procedural way of putting a process instance into and out of
the synchronous reset state (see 5.6.6.3). This is equivalent in effect to having specified a reset signal using
Authorized licensed use limited to: Furkan Tuncer. Downloaded on October 16,2017 at 17:05:54 UTC from IEEE Xplore. Restrictions apply.
IEEE Std 1666-2011
IEEE Standard for Standard SystemC® Language Reference Manual
75
Copyright © 2012 IEEE. All rights reserved.
the member function reset_signal_is of class sc_module or sc_spawn_options and that reset signal
attaining its active value or the negation of its active value, respectively.
Example:
struct M2: sc_module
{
M2(sc_module_name _name)
{
SC_THREAD(ticker);
SC_THREAD(calling);
SC_THREAD(target);
t = sc_get_current_process_handle();
}
sc_process_handle t;
sc_event ev;
void ticker()
{
for (;;)
{
wait(10, SC_NS);
ev.notify();
}
}
void calling()
{
wait(15, SC_NS);
// Target runs at time 10 NS due to notification
t.sync_reset_on();
// Target does not run at time 15 NS
wait(10, SC_NS);
// Target is reset at time 20 NS due to notification
wait(10, SC_NS);
// Target is reset again at time 30 NS due to notification
t.sync_reset_off();
// Target does not run at time 35 NS
wait(10, SC_NS);
// Target runs at time 40 NS due to notification
sc_stop();
}
void target()
{
cout << "Target called/reset at " << sc_time_stamp() << endl;
Authorized licensed use limited to: Furkan Tuncer. Downloaded on October 16,2017 at 17:05:54 UTC from IEEE Xplore. Restrictions apply.
IEEE Std 1666-2011
IEEE Standard for Standard SystemC® Language Reference Manual
76
Copyright © 2012 IEEE. All rights reserved.
for (;;)
{
wait(ev);
cout << "Target awoke at " << sc_time_stamp() << endl;
}
}
SC_HAS_PROCESS(M2);
};
kill interrupts and irrevocably terminates the target process. reset interrupts the target process and, in the
case of a thread process, calls the associated function again from the top. kill and reset both cause an
exception to be thrown within the target process, and that exception may be caught and handled by the
application. Both have immediate semantics such that the target process is killed or reset before return from
the function call.
Example:
struct M3: sc_module
{
M3(sc_module_name _name)
{
SC_THREAD(ticker);
SC_THREAD(calling);
SC_THREAD(target);
t = sc_get_current_process_handle();
}
sc_process_handle t;
sc_event ev;
int count;
void ticker()
{
for (;;)
{
wait(10, SC_NS);
ev.notify();
}
}
void calling()
{
wait(15, SC_NS);
// Target runs at time 10 NS due to notification
sc_assert( count == 1 );
wait(10, SC_NS);
// Target runs again at time 20 NS due to notification
sc_assert( count == 2 );
t.reset();
// Target reset immediately at time 25 NS
Authorized licensed use limited to: Furkan Tuncer. Downloaded on October 16,2017 at 17:05:54 UTC from IEEE Xplore. Restrictions apply.
IEEE Std 1666-2011
IEEE Standard for Standard SystemC® Language Reference Manual
77
Copyright © 2012 IEEE. All rights reserved.
sc_assert( count == 0 );
wait(10, SC_NS);
// Target runs again at time 30 NS due to notification
sc_assert( count == 1 );
t.kill();
// Target killed immediately at time 35 NS
sc_assert( t.terminated() );
sc_stop();
}
void target()
{
cout << "Target called/reset at " << sc_time_stamp() << endl;
count = 0;
for (;;)
{
wait(ev);
cout << "Target awoke at " << sc_time_stamp() << endl;
++count;
}
}
SC_HAS_PROCESS(M3);
};
A process may be reset in several ways: by a synchronous or asynchronous reset signal specified using
reset_signal_is or async_reset_signal_is, respectively (see 5.2.13), by calling sync_reset_on, or by calling
reset. Whichever alternative is used, the reset action itself is ultimately equivalent to a call to reset.
throw_it permits a user-defined exception to be thrown within the target process.
For each of the nine member functions for process control described in this clause and its subclauses, if the
process handle is invalid, the implementation shall generate a warning and the member function shall return
immediately without having any other effect.
In this clause, the phrase during elaboration or before the process has first executed shall encompass the
following cases:
— At any time during elaboration
— From one of the callbacks before_end_of_elaboration, end_of_elaboration, or
start_of_simulation
— During simulation but before the given process instance has executed for the first time
In each case, if the include_descendants argument has the value SC_INCLUDE_DESCENDANTS, the
member function shall be applied to the associated process instance and recursively in bottom-up order to
all its children in the object hierarchy that are also process instances, where each process instance shall in
turn act as the target process. In other words, the member function shall be applied to the children,
grandchildren, great grandchildren, and so forth, of the associated process instance, starting with the
deepest descendant, and finishing with the associated process instance itself. If the include_descendants
argument has the value SC_NO_DESCENDANTS, the member function shall only be applied to the
associated process instance. There are no restrictions concerning how this argument may be used across
Authorized licensed use limited to: Furkan Tuncer. Downloaded on October 16,2017 at 17:05:54 UTC from IEEE Xplore. Restrictions apply.
IEEE Std 1666-2011
IEEE Standard for Standard SystemC® Language Reference Manual
78
Copyright © 2012 IEEE. All rights reserved.
pairs of calls to suspend-resume, disable-enable, or sync_reset_on-sync_reset_off. For example, it is
permitted to suspend a process and all of its descendants but only resume the process itself.
The member functions for process control shall not be called during the update phase.
Beware that the rules given in the following subclauses are to be understood alongside the rules given in
5.6.6.11 concerning the interaction between the member functions for process control, which shall take
precedence where appropriate.
5.6.6.1 suspend and resume
void suspend( sc_descendant_inclusion_info include_descendants = SC_NO_DESCENDANTS );
Member function suspend shall suspend the target process instance such that it cannot be made
runnable again until it is resumed by a call to member function resume, at the earliest (but see
5.6.6.11 for the rules concerning reset). If the process instance is in the set of runnable processes, it
shall be removed from that set immediately such that it does not run in the current evaluation phase.
While the process is suspended in this way, if an event notification or time-out occurs to which the
process was sensitive at the time the process was suspended, and if resume is called subsequently,
the process instance shall become runnable in the evaluation phase in which resume is called. In
other words, the implementation shall in effect add an implicit event to the sensitivity of the process
instance using the event_and_list operator&, and shall create an immediate notification for this
event when resume is called.
Calling suspend on a process instance that is already suspended shall have no effect on that
particular process instance, although it may cause descendants to be suspended. Only a single call to
resume is required to resume a suspended process instance.
If a method process suspends itself, the associated function shall run to the end before returning
control to the kernel. If that same method process calls the resume method before returning control
to the kernel, the effect of the call to suspend shall be removed as if suspend had not been called.
If a thread process suspends itself, the process instance shall be suspended immediately without
control being returned from the suspend method back to the associated function.
If suspend is called for a target process instance that is not suspended (meaning that suspend has
not been called) and is in the synchronous reset state, the behavior shall be implementation-defined
(see 5.6.6.11).
Calling suspend on a terminated process instance shall have no effect on that particular process
instance, although it may cause the suspension of any non-terminated descendant process instances.
Calling suspend during elaboration or before the process has first executed is permitted. If
dont_initialize is in force, the implementation shall in effect add an implicit event to the sensitivity
of the process instance using the event_and_list operator&, and shall create an immediate
notification for this event when resume is called. Otherwise, the implementation shall make the
process instance runnable immediately when resume is called, in effect deferring initialization until
the process instance is resumed.
void resume( sc_descendant_inclusion_info include_descendants = SC_NO_DESCENDANTS );
Member function resume shall remove the effect of any previous call to suspend such that the
process instance shall be made runnable in the current evaluation phase if and only if the sensitivity
of the process instance would have caused it to become runnable while it was in fact suspended. If
the process instance was in the set of runnable processes at the time is was suspended, member
function resume shall cause the process instance to be made runnable in the current evaluation
phase (but see 5.6.6.11 for the rules concerning the interaction between process control member
functions). If the process instance was not in the set of runnable processes at the time it was
suspended and if there were no event notifications or time-outs that would have caused the process
Authorized licensed use limited to: Furkan Tuncer. Downloaded on October 16,2017 at 17:05:54 UTC from IEEE Xplore. Restrictions apply.
IEEE Std 1666-2011
IEEE Standard for Standard SystemC® Language Reference Manual
79
Copyright © 2012 IEEE. All rights reserved.
instance to become runnable while it was in fact suspended, member function resume shall not
make the target process instance runnable.
Member function resume shall restore the sensitivity of the target process as it was when suspend
was called.
If a resume is preceded by a reset, any event notifications or time-outs that occurred before the time
of the reset shall be ignored when determining the effect of resume.
A thread process shall be resumed from the executable statement following the call to suspend. A
method process shall be resumed by calling the associated function.
Calling resume on a process instance that is not suspended shall have no effect on that particular
process instance, although it may cause suspended descendants to be resumed. As a consequence,
multiple calls to resume from the same or from multiple processes within the same evaluation phase
may cause the target process to run only once or to run more than once within that evaluation phase,
depending on the precise order of process execution.
If multiple target processes become runnable within an evaluation phase as a result of multiple calls
to resume, they will be run in an implementation-defined order (see 4.2.1.2).
If resume is called for a target process instance that is both suspended (meaning that suspend has
been called) and disabled, the behavior shall be implementation-defined (see 5.6.6.11).
Calling resume on a terminated process instance shall have no effect on that particular process
instance, although it may cause any non-terminated descendant process instances to be resumed.
Calling resume during elaboration or before the process has first executed is permitted, in which
case the above rules shall apply.
The function associated with any process instance can call suspend or resume: there is no
obligation that a process instance be suspended and resumed by the same process instance.
5.6.6.2 disable and enable
void disable( sc_descendant_inclusion_info include_descendants = SC_NO_DESCENDANTS );
Member function disable shall disable the target process instance such that it cannot be made
runnable again until it is enabled by a call to member function enable, at the earliest. If the disabled
process instance is in the set of runnable processes, it shall not be removed from that set but shall be
allowed to run in the current evaluation phase. While a process instance is disabled in this way, any
events or time-outs to which it is sensitive shall be ignored for that particular process instance such
that it will not be inserted into the set of runnable processes. As a consequence of this rule, a
disabled process instance may run once and only once while it remains disabled, and then only if it
was already runnable at the time it was disabled.
Calling disable on a process instance that is already disabled shall have no effect on that particular
process instance, although it may cause descendants to be disabled. Only a single call to enable is
required to enable a disabled process instance.
If a process disables itself, whether it be a method process or a thread process the associated function
shall continue to run to the point where it calls wait or to the end before returning control to the
kernel. If that same process calls the enable method before returning control to the kernel, the effect
of the call to disable shall be removed as if disable had not been called.
If disable is called for a target process instance that is not disabled and is waiting on a time-out (with
or without an event or event list), the behavior shall be implementation-defined (see 5.6.6.11).
Calling disable on a terminated process instance shall have no effect on that particular process
instance, although it may cause any non-terminated descendant process instances to be disabled.
Calling disable during elaboration or before the process has first executed is permitted: if the
process is already in the set of runnable processes at the time disable is called, during initialization,
for example, it shall be allowed to run.
Authorized licensed use limited to: Furkan Tuncer. Downloaded on October 16,2017 at 17:05:54 UTC from IEEE Xplore. Restrictions apply.
IEEE Std 1666-2011
IEEE Standard for Standard SystemC® Language Reference Manual
80
Copyright © 2012 IEEE. All rights reserved.
void enable( sc_descendant_inclusion_info include_descendants = SC_NO_DESCENDANTS );
Member function enable shall remove the effect of any previous disable such that the process
instance can be made runnable by subsequent event notifications or time-outs. Unlike resume, an
enabled process shall not become runnable due to event notification or time-outs that occurred while
it was disabled.
If a time-out occurs while a process instance is disabled and that process instance is sensitive to no
other events aside from the time-out itself, the process instance will not run again (unless it is reset)
and the implementation may issue a warning.
When the enabled process instance next executes, if it is a waiting thread process it shall execute
from the statement following the call to wait at which it was disabled, and if a method process it
shall execute by calling the associated function.
Calling enable on a process instance that is not disabled shall have no effect on that particular
process instance, although it may cause disabled descendants to be enabled.
Calling enable on a terminated process instance shall have no effect on that particular process
instance, although it may cause any non-terminated descendant process instances to be enabled.
Calling enable during elaboration or before the process has first executed is permitted, in which case
the above rules shall apply.
If disable is called during elaboration and enable is only called after the initialization phase, the
target process instance shall not become runnable during the initialization phase, and shall not
become runnable when enable is called.
The function associated with any process instance can call disable or enable: there is no obligation
that a process instance be disabled and enabled by the same process instance.
5.6.6.3 Member functions to reset processes
A process instance can be reset in one of three ways:
— By a call to member function reset of a process handle associated with that process instance, which
shall reset the target process instance immediately
— By a reset signal specified using async_reset_signal_is attaining its reset value, at which time the
process instance shall be reset immediately (see 5.2.13)
— By the process instance being resumed while it is in the synchronous reset state, defined as follows:
A process instance can be put into the synchronous reset state in one of three ways:
— By a call to member function sync_reset_on of a process handle associated with that process
instance
— When any reset signal specified using reset_signal_is for that process instance attains its active
value
— When any reset signal specified using async_reset_signal_is for that process instance attains its
active value
A process instance can only leave the synchronous reset state when all of the following apply:
— Member function sync_reset_off is called or member function sync_reset_on has not yet been
called for a process handle associated with that process instance
— Every reset signal specified using reset_signal_is for that process instance has the negation of its
active value
— Every reset signal specified using async_reset_signal_is for that process instance has the negation
of its active value
Authorized licensed use limited to: Furkan Tuncer. Downloaded on October 16,2017 at 17:05:54 UTC from IEEE Xplore. Restrictions apply.
IEEE Std 1666-2011
IEEE Standard for Standard SystemC® Language Reference Manual
81
Copyright © 2012 IEEE. All rights reserved.
In each case, any resultant reset shall be equivalent to a call to member function reset, and hence, the event
returned by member function reset_event shall be notified.
Any given process instance can have multiple resets specified using reset_signal_is and
async_reset_signal_is in addition to being the target of calls to member functions reset and sync_reset_on
of an associated process handle.
5.6.6.4 kill
void kill( sc_descendant_inclusion_info include_descendants = SC_NO_DESCENDANTS );
Member function kill shall kill the target process instance such that an sc_unwind_exception shall
be thrown (see 5.6.6.6) for the killed process instance and the killed process instance shall not be
made runnable again during the current simulation. A killed process shall be terminated.
In the case of an exception thrown for a kill, member function is_reset of class
sc_unwind_exception shall return the value false.
kill shall have immediate effect; that is, the killed process instance shall be removed from the set of
runnable processes, the call stack unwound, the process instance put into the terminated state, and
the terminated event notified before the return from the kill function. Calls to kill can have side-
effects. If a process kills another process, control shall return to the function that called kill. If a
process kills itself, the statements following the call to kill shall not be executed again during the
current simulation, and control shall return to the kernel.
Calling kill on a terminated process instance shall have no effect on that particular process instance,
although it may cause any non-terminated descendant process instances to be killed.
Calling kill before the process has first executed is permitted, in which case the target process
instance shall not be run during the current simulation.
It shall be an error to call kill during elaboration, before the initialization phase, or while the
simulation is paused or stopped.
5.6.6.5 reset
void reset( sc_descendant_inclusion_info include_descendants = SC_NO_DESCENDANTS );
Member function reset shall reset the target process instance such that the process shall be removed
from the set of runnable processes, an sc_unwind_exception shall be thrown for the process
instance, any dynamic sensitivity associated with the process removed, and the static sensitivity
restored. The target process shall not be terminated. The process handle shall remain valid. The
associated function shall then be called again and, as a consequence, will execute until it calls wait,
suspends itself, or returns.
reset shall have immediate effect; that is, the target process instance shall be removed from the set
of runnable processes, the call stack unwound, and the reset event notified before the return from the
reset function. Calls to reset can have side-effects. In particular, care should be taken to avoid
mutual recursion between processes that reset one another. sc_unwind_exception may be caught
provided it is immediately re-thrown.
In the case of an sc_unwind_exception thrown for a reset, member function is_reset of class
sc_unwind_exception shall return the value true.
A method process may be reset, although the associated function will not have a call stack to be
unwound except in the case where a method process resets itself. When a method process is reset,
any dynamic sensitivity associated with the process shall be removed, the static sensitivity restored,
and the associated function called again.
A thread or a method process instance may reset itself (by a call to the reset method of an associated
process handle), in which case the call stack shall be unwound immediately.
Authorized licensed use limited to: Furkan Tuncer. Downloaded on October 16,2017 at 17:05:54 UTC from IEEE Xplore. Restrictions apply.
IEEE Std 1666-2011
IEEE Standard for Standard SystemC® Language Reference Manual
82
Copyright © 2012 IEEE. All rights reserved.
Calling reset on a terminated process instance shall have no effect on that particular process
instance, although it may cause any non-terminated descendant process instances to be reset.
Calling reset before the process has first executed is permitted, but it shall have no effect other than
to notify the event returned by reset_event.
It shall be an error to call reset during elaboration, before the initialization phase, or while the
simulation is paused or stopped.
5.6.6.6 Class sc_unwind_exception
Class sc_unwind_exception is the type of the exception thrown by member functions kill and reset.
In the case of a thread process suspended by a call to wait, or a thread or method process that kills or resets
itself, the sc_unwind_exception shall cause the call stack of the associated function to be unwound and any
local objects to have their destructors called. In the case of a method process, the associated function does
not have a call stack to be unwound unless the process kills or resets itself, but a call to kill shall cause the
method process to be terminated nonetheless.
As a process is being killed or reset, the unwinding of the call stack may have side-effects, including calls to
destructors for local objects. Such side-effects shall not include calls to wait or next_trigger, but they may
include calls to process control member functions for other process instances, including the calling process
itself. In other words, calls to kill or reset can be nested (as can calls to throw_it, as described in 5.6.6.10).
(The default actions of the SystemC report handler following an error include the SC_THROW action,
which by default throws an exception. An implementation is obliged to catch the sc_unwind_exception
before having the sc_report_handler throw another exception.)
The target process is permitted to catch the sc_unwind_exception within its associated function body, in
which case it shall re-throw the exception such that the implementation can properly execute the kill or reset.
It shall be an error for an application to catch the sc_unwind_exception without re-throwing it.
The catch block in the target process shall execute in the context of the target process, not the calling
process. As a consequence, the function sc_get_current_process_handle shall return a handle to the target
process instance when called from the catch block.
virtual const char* what() const;
Member function what shall return an implementation-defined string describing the exception.
virtual bool is_reset() const;
Member function is_reset shall return the value true if the exception is thrown by reset and false if
the exception is thrown by kill.
sc_unwind_exception();
sc_unwind_exception( const sc_unwind_exception& );
virtual ~sc_unwind_exception();
This exception shall only be thrown by the kernel. Hence, the constructors and destructor shall be
protected members.
Example:
SC_MODULE(m)
{
Authorized licensed use limited to: Furkan Tuncer. Downloaded on October 16,2017 at 17:05:54 UTC from IEEE Xplore. Restrictions apply.
IEEE Std 1666-2011
IEEE Standard for Standard SystemC® Language Reference Manual
83
Copyright © 2012 IEEE. All rights reserved.
SC_CTOR(m)
{
SC_THREAD(run);
}
void run()
{
try {
...
}
catch (const sc_unwind_exception& ex) {
// Perform clean-up
if (ex.is_reset())
...
else
...
throw ex;
}
}
...
};
5.6.6.7 is_unwinding
bool is_unwinding() const;
Member function is_unwinding shall return the value true from the point when the kernel throws
an sc_unwind_exception to the point when the kernel catches that same sc_unwind_exception, and
otherwise shall return the value false. Hence, is_unwinding shall return true when called during the
unwinding of the call stack following a call to kill or reset, but not following a call to throw_it. The
intent is that this member function can be called from the destructor of a local object defined within
the function associated with a process instance, where it can be used to differentiate between the
case where a process is killed or reset and the end of simulation.
If called for an invalid process handle, the implementation shall generate a warning and
is_unwinding shall return the value false.
There also exists a non-member function that calls is_unwinding for the currently executing process
(see 5.6.8).
5.6.6.8 reset_event
const sc_event& reset_event() const;
Member function reset_event shall return a reference to an event that is notified whenever the target
process instance is reset, whether that be through an explicit call to member function reset, through
a process instance being resumed while it is in the synchronous reset state, or through a reset signal
attaining its active value. The reset event shall be scheduled using an immediate notification in the
evaluation phase in which the explicit or implicit call to reset occurs. It shall be an error to call
member function reset_event for an invalid process handle.
5.6.6.9 sync_reset_on and sync_reset_off
void sync_reset_on( sc_descendant_inclusion_info include_descendants = SC_NO_DESCENDANTS );
void sync_reset_off( sc_descendant_inclusion_info include_descendants = SC_NO_DESCENDANTS );
Member function sync_reset_on shall cause the target process instance to enter the synchronous
reset state. While in the synchronous reset state, a process instance shall be reset each time it is
Authorized licensed use limited to: Furkan Tuncer. Downloaded on October 16,2017 at 17:05:54 UTC from IEEE Xplore. Restrictions apply.
IEEE Std 1666-2011
IEEE Standard for Standard SystemC® Language Reference Manual
84
Copyright © 2012 IEEE. All rights reserved.
resumed, whether due to an event notification or to a time-out. The call to sync_reset_on shall not
itself cause the process to be reset immediately; the process shall only be reset each time it is
subsequently resumed. Being reset in this sense shall have the same effect as would a call to the
reset method, as described above.
Member function sync_reset_off shall cause the target process instance to leave the synchronous
reset state (unless any reset signal specified using reset_signal_is or async_reset_signal_is for that
process instance has its active value), thereby reversing the effect of any previous call to
sync_reset_on for that process instance. sync_reset_off shall not modify the effect of any reset
signal and shall not modify the effect of any explicit call to the reset method.
As a consequence of the above rules, if a call to sync_reset_on is followed by a call to
sync_reset_off before a particular process instance has been resumed, that process instance cannot
have been reset due to the sync_reset_on call, although it may have been reset due to the effect of a
reset signal (specified using reset_signal_is or async_reset_signal_is) or a call to the reset method.
It is permissible to call sync_reset_on and sync_reset_off with the include_descendants argument
having the value SC_INCLUDE_DESCENDANTS and where the descendants are a mixture of
method and thread processes; the appropriate action shall be taken for each descendant process
instance according to whether it is a method process or a thread process.
Calling sync_reset_on for a process instance that is already in the synchronous reset state shall have
no effect on that particular process instance, although it may cause descendants to enter the
synchronous reset state. Only a single call to sync_reset_off is required for a particular process
instance to leave the synchronous reset state (assuming there is no reset signal active).
Calling sync_reset_off for a process instance that is not currently in the synchronous reset state shall
have no effect on that particular process instance, although it may cause descendants to leave the
synchronous reset state.
A process instance may call sync_reset_on or sync_reset_off with itself as the target. As a
consequence of the above rules, the effect of the call will only be visible the next time the process
instance is resumed.
If sync_reset_on is called for a target process instance that is not in the synchronous reset state and
is suspended (meaning that suspend has been called), the behavior shall be implementation-defined
(see 5.6.6.11).
Calling sync_reset_on or sync_reset_off for a terminated process instance shall have no effect on
that particular process instance, although it may cause descendant process instances to enter or leave
the synchronous reset state.
Calling sync_reset_on or sync_reset_off during elaboration or before the process has first executed
is permitted, in which case the target process instance shall enter or leave the synchronous reset state
accordingly. Being in the synchronous reset state shall have no effect on the initialization of a
process instance; that is, the process instance shall be resumed during the first evaluation phase and
shall run up to the point where it either returns or calls wait. If a process instance is still in the
synchronous reset state when it is first resumed (from a call to wait), then it shall be reset as
described above.
The function associated with any process instance can call sync_reset_on or sync_reset_off: there
is no obligation that sync_reset_on and sync_reset_off should be called by the same process
instance.
5.6.6.10 throw_it
template <typename T>
void throw_it( const T& user_defined_exception,
sc_descendant_inclusion_info include_descendants = SC_NO_DESCENDANTS );
Member function throw_it shall throw an exception within the target process instance. The
exception to be thrown shall be passed as the first argument to function throw_it. The exception
Authorized licensed use limited to: Furkan Tuncer. Downloaded on October 16,2017 at 17:05:54 UTC from IEEE Xplore. Restrictions apply.
IEEE Std 1666-2011
IEEE Standard for Standard SystemC® Language Reference Manual
85
Copyright © 2012 IEEE. All rights reserved.
shall be thrown in the context of the target process, not in the context of the caller. Excepting the
special case where a process throws an exception to itself, this shall require two context switches:
from the caller to the target process and from the target process back to the caller.
It is recommended that the exception being thrown should be derived from class std::exception, but
an application may throw an exception not derived from class std::exception.
Any dynamic sensitivity associated with the target process instance shall be removed and the static
sensitivity restored. The target process instance shall not be terminated by virtue of the fact that
throw_it was called, although a thread process may immediately terminate if control is returned
from the associated function after the exception has been caught.
throw_it shall have immediate effect; that is, control shall be passed from the caller to the target
process and the exception thrown and caught before the return from the throw_it function. Calls to
throw_it can have side-effects.
The target process instance shall catch the exception in its associated function. It shall be an error for
the target process instance not to catch the exception. After catching the exception, the associated
function may return (and thus terminate in the case of a thread process) or may call wait. It shall be
an error for the target process to throw another exception while handling the first exception.
If a process throws an exception to another process, control shall return to the function that called
throw_it. If a process throws an exception to itself, function throw_it does not return control to the
caller because its execution is interrupted by the exception, but control shall pass to a catch block in
the function associated with the process.
The act of catching and handling the exception may have side-effects, including calls to destructors
for local objects. Such side-effects shall not include calls to wait or next_trigger, but they may
include calls to process control member functions for other process instances, including the calling
process itself. In other words, calls to throw_it can be nested (as can calls to kill or reset, as
described in 5.6.6.6).
throw_it is only applicable when the target is a non-terminated thread process. Calls to throw_it
where the target process instance is a method process or a terminated process are permitted and shall
have no effect except that an implementation may issue a warning. This shall include the case where
a method process throws an exception to itself. In particular, it is permissible to call throw_it with
the include_descendants argument having the value SC_INCLUDE_DESCENDANTS and where
the descendants are a mixture of method and thread processes, some of which may have terminated;
the appropriate action shall be taken for each descendant process instance. If the target process is a
non-terminated method process, that process shall not be terminated by the call to throw_it.
throw_it is only applicable when the target process instance has been suspended during execution,
that is, has called wait or has been the target of a call to suspend or disable. A call to throw_it in
any other context during simulation shall have no effect except that an implementation may generate
a warning. In particular, a call to throw_it during simulation before the target process has first
executed shall have no effect except to generate a warning.
It shall be an error to call throw_it during elaboration, before the initialization phase, or while the
simulation is paused or stopped.
Authorized licensed use limited to: Furkan Tuncer. Downloaded on October 16,2017 at 17:05:54 UTC from IEEE Xplore. Restrictions apply.

IEEE Std 1666-2011
IEEE Standard for Standard SystemC® Language Reference Manual
86
Copyright © 2012 IEEE. All rights reserved.
5.6.6.11 Interactions between member functions for process control
In Table 2, the phrase The current evaluation phase means that the effect on the target process becomes
visible during the evaluation phase in which the process control member function is called. For example, a
call to suspend could remove the target process from the set of runnable processes, and an immediate
notification following a call to enable could cause the target process to run in the current evaluation phase.
The next evaluation phase implies that disable would not prevent the target process from running in the
current evaluation phase, but it would prevent the target process from running in the subsequent evaluation
phase. Immediate means that an exception is thrown and any associated actions are completed in the target
process before return to the caller.
As described above, member functions kill and reset each achieve their effect by throwing an object of class
sc_unwind_exception, while member function throw_it throws an exception of a user-defined class. Calls
to kill, reset, and throw_it may be nested such that a process catching an exception may kill or reset another
process instance or may throw an exception in another process instance before itself returning control to the
kernel. Similarly, the destructor of an object that is going out-of-scope during stack unwinding (as a result of
an sc_unwind_exception having been thrown) may itself kill or reset another process instance or may throw
an exception in another process instance. It is possible that such a chain of calls can get interrupted by a
process instance killing or resetting itself, either directly or indirectly. For example, if a given process
instance attempts to kill all the descendants of its parent process with the call
handle.kill(SC_INCLUDE_DESCENDANTS), the descendant process instances will be killed one-by-
one until the calling process instance is reached, at which point the caller itself will be killed and the call
stack unwound.
Care should be taken to avoid mutual recursion between processes that kill or reset one another, as such
mutual recursion can result in stack overflow.
The relative priorities of the process control member functions are given below, ordered from highest
priority to lowest priority:
1) kill, reset, throw_it
2) disable, enable
3) suspend, resume
4) sync_reset_on, sync_reset_off
Table 2—When process control member functions take effect
Member function When it takes effect on the target process instance
suspend The current evaluation phase
resume The current evaluation phase
disable The next evaluation phase
enable The current evaluation phase
kill Immediate
reset Immediate
throw_it Immediate
sync_reset_on The current evaluation phase
sync_reset_off The current evaluation phase
Authorized licensed use limited to: Furkan Tuncer. Downloaded on October 16,2017 at 17:05:54 UTC from IEEE Xplore. Restrictions apply.
IEEE Std 1666-2011
IEEE Standard for Standard SystemC® Language Reference Manual
87
Copyright © 2012 IEEE. All rights reserved.
For each process instance, the implementation shall in effect maintain three independent flags to track the
state of calls to the member functions disable/enable, suspend/resume, and sync_reset_on/sync_reset_off,
and shall then act according to the relative priority of those calls as listed above. Each of these three flags
shall be set and cleared by calls to the corresponding pair of member functions irrespective of the values of
the remaining two flags and irrespective of the fact that certain interactions between the process control
member functions are implementation-defined. For example, given two successive calls to resume with no
intervening call to suspend, the second call to resume would have no effect, irrespective of any intervening
calls to disable or enable.
Member functions kill, reset, and throw_it have immediate semantics that are executed immediately even if
the target process instance is disabled, suspended, or in the synchronous reset state. In such a case, the target
process shall remain disabled, suspended, or in the synchronous reset state after the immediate action has
been completed. For example, a call to throw_it where the target process was disabled might cause the
target process to wake up, catch the exception, call wait within its catch block, and finally yield control back
to the kernel, all the while remaining in the disabled state.
The behavior of certain interactions between the process control member functions shall be implementation-
defined, as follows:
a) If resume is called for a target process instance that is currently both suspended and disabled, the
behavior shall be implementation-defined (where suspended means suspend has been called and
disabled means disable has been called).
b) If sync_reset_on is called or if a synchronous or asynchronous reset signal attains its active value
for a target process instance that is currently both suspended and not in the synchronous reset state,
the behavior shall be implementation-defined.
c) If suspend is called for a target process instance that is currently both in the synchronous reset state
(whether by means of a call to sync_reset_on or by means of a synchronous or asynchronous reset
signal having attained its active value) and not suspended, the behavior shall be implementation-
defined.
d) If disable is called for a target process instance that is currently both not disabled and waiting on a
time-out (whether or not the time-out is accompanied by an event or an event list), the behavior shall
be implementation-defined.
If reset is called while a target process instance is suspended, reset shall remove the dynamic sensitivity of
the target process such that any event notification or time-out that occurred before the time of the reset will
be ignored when determining the behavior of a subsequent call to resume for that same target process. In
other words, a reset shall wipe the slate clean when determining the behavior of resume.
It shall be an error to call the three member functions with immediate semantics during elaboration, before
the initialization phase, or while the simulation is paused or stopped, but the remaining member functions
may be called while in those states.
NOTE—The intent of making certain interactions between the process control member functions implementation-
defined is to shield the user from surprising behavior while also allowing for more specific semantics to be defined in the
future as and when the use cases for the process control member functions are clarified.
Example:
sc_process_handle h;
...
t.sync_reset_on(); // Target process put into the synchronous reset state
A(); // Blocking call
t.suspend(); // Target process suspended
Authorized licensed use limited to: Furkan Tuncer. Downloaded on October 16,2017 at 17:05:54 UTC from IEEE Xplore. Restrictions apply.
IEEE Std 1666-2011
IEEE Standard for Standard SystemC® Language Reference Manual
88
Copyright © 2012 IEEE. All rights reserved.
B(); // Blocking call
t.disable(); // Target process disabled
C(); // Blocking call
t.reset(); // Target process immediately reset but still disabled
// Static sensitivity restored for target process
D(); // Blocking call
t.enable(); // Target process enabled but still suspended
E(); // Blocking call
t.disable(); // Target process disabled
F(); // Blocking call
t.enable(); // Target process enabled but still suspended
G(); // Blocking call
t.resume(); // Target process resumed but still in the synchronous reset state
// Target process is made runnable if sensitive to an event notified by E or G
// Target process not made runnable if sensitive to an event notified by A, B, C, D,
// or F
5.6.7 sc_get_current_process_handle
sc_process_handle sc_get_current_process_handle();
The value returned from function sc_get_current_process_handle shall depend on the context in which it is
called. When called during elaboration from the body of a module constructor or from a function called from
the body of a module constructor, sc_get_current_process_handle shall return a handle to the spawned or
unspawned process instance most recently created within that module, if any. When called from one of the
callbacks before_end_of_elaboration or end_of_elaboration, sc_get_current_process_handle shall
return a handle to the spawned or unspawned process instance most recently created within that specific
callback function, if any. If the most recently created process instance was not within the current module, or
in the case of before_end_of_elaboration or end_of_elaboration was not created within that specific
callback, an implementation may return either a handle to the most recently created process instance or an
invalid handle. When called from sc_main during elaboration or from the callback start_of_simulation,
sc_get_current_process_handle may return either a handle to the most recently created process instance or
an invalid handle. When called during simulation, sc_get_current_process_handle shall return a handle to
the currently executing spawned or unspawned process instance, if any. If there is no such process instance,
sc_get_current_process_handle shall return an invalid handle. When called from sc_main during
simulation, sc_get_current_process_handle shall return an invalid handle.
Example:
SC_MODULE(Mod)
{
...
SC_CTOR(Mod)
{
SC_METHOD(Run);
sensitive << in;
sc_process_handle h1 = sc_get_current_process_handle(); // Returns a handle to process Run
Authorized licensed use limited to: Furkan Tuncer. Downloaded on October 16,2017 at 17:05:54 UTC from IEEE Xplore. Restrictions apply.
IEEE Std 1666-2011
IEEE Standard for Standard SystemC® Language Reference Manual
89
Copyright © 2012 IEEE. All rights reserved.
}
void Run()
{
sc_process_handle h2 = sc_get_current_process_handle(); // Returns a handle to process Run
if (h2.proc_kind() == SC_METHOD_PROC_)
... // Running a method process
sc_object* parent = h2.get_parent_object(); // Returns a pointer to the
// module instance
if (parent)
{
handle = sc_process_handle(parent); // Invalid handle - parent is not a process
if (handle.valid())
... // Executed if parent were a
// valid process
}
}
...
};
5.6.8 sc_is_unwinding
bool sc_is_unwinding();
Function sc_is_unwinding shall return the value returned from member function is_unwinding of the
process handle returned from sc_get_current_process_handle. In other words, sc_is_unwinding shall
return true if and only if the caller is currently the target process instance of a call to kill or reset.
Example:
struct wait_on_exit
{
~wait_on_exit() {
if( !sc_is_unwinding() ) // needed, because we might get killed
wait( 10, SC_NS ) ; // ... and this wait would be illegal
}
};
void some_module::some_process()
{
while( true )
{
try {
wait_on_exit w; // local object, destroyed before catch
// ...
} catch( const sc_unwind_exception& ) {
// some other cleanup
throw;
}
}
}
Authorized licensed use limited to: Furkan Tuncer. Downloaded on October 16,2017 at 17:05:54 UTC from IEEE Xplore. Restrictions apply.
IEEE Std 1666-2011
IEEE Standard for Standard SystemC® Language Reference Manual
90
Copyright © 2012 IEEE. All rights reserved.
5.7 sc_event_finder and sc_event_finder_t
5.7.1 Description
An event finder is a member function of a port class with a return type of sc_event_finder&. When a port
instance is bound to a channel instance containing multiple events, an event finder permits a specific event
from the channel to be retrieved through the port instance and added to the static sensitivity of a process
instance. sc_event_finder_t is a templated wrapper for class sc_event_finder, where the template parame-
ter is the interface type of the port.
An event finder function is called when creating static sensitivity to events through a port. Because port
binding may be deferred, it may not be possible for the implementation to retrieve an event to which a pro-
cess is to be made sensitive at the time the process instance is created. Instead, an application should call an
event finder function, in which case the implementation shall defer the adding of events to the static sensitiv-
ity of the process until port binding has been completed. These deferred actions shall be completed by the
implementation before the callbacks to function end_of_elaboration.
If an event finder function is called for a multiport bound to more than one channel instance, the events for
all such channel instances shall be added to the static sensitivity of the process.
5.7.2 Class definition
namespace sc_core {
class sc_event_finder implementation-defined ;
template <class IF>
class sc_event_finder_t
: public sc_event_finder
{
public:
sc_event_finder_t( const sc_port_base& port_, const sc_event& (IF::*event_method_) () const );
// Other members
implementation-defined
};
} // namespace sc_core
5.7.3 Constraints on usage
An application shall only use class sc_event_finder as the return type (passed by reference) of a member
function of a port class, or as the base class for an application-specific event finder class template that may
possess additional template parameters and event method parameters.
An application shall only use class sc_event_finder_t<interface> in constructing the object returned from
an event finder.
An event finder shall have a return type of sc_event_finder& and shall return an object of class
sc_event_finder_t<interface> or an application-specific event finder class template, where:
a) interface shall be the name of an interface to which said port can be bound, and
b) the first argument passed to the constructor for said object shall be the port object itself, and
Authorized licensed use limited to: Furkan Tuncer. Downloaded on October 16,2017 at 17:05:54 UTC from IEEE Xplore. Restrictions apply.
IEEE Std 1666-2011
IEEE Standard for Standard SystemC® Language Reference Manual
91
Copyright © 2012 IEEE. All rights reserved.
c) the second argument shall be the address of a member function of said interface. The event found by
the event finder is the event returned by this function.
An event finder member function may only be called when creating the static sensitivity of a process using
operator<<, function set_sensitivity, or macro SC_CTHREAD. An event finder member function shall
only be called during elaboration, either from a constructor or from the before_end_of_elaboration call-
back. An event finder member function shall not be called from the end_of_elaboration callback or during
simulation. Instead, an application may make a process directly sensitive to an event.
In the case of a multiport, an event finder member function cannot find an event from an individual channel
instance to which the multiport is bound using an index number. An application can work around this
restriction by getting the events from the individual channel instances in the end_of_elaboration callback
after port binding is complete (see example below).
Example:
#include "systemc.h"
class if_class
: virtual public sc_interface
{
public:
virtual const sc_event& ev_func() const = 0;
...
};
class chan_class
: public if_class, public sc_prim_channel
{
public:
virtual const sc_event& ev_func() const { return an_event; }
...
private:
sc_event an_event;
};
template<int N = 1>
class port_class
: public sc_port<if_class,N>
{
public:
sc_event_finder& event_finder() const
{
return *new sc_event_finder_t<if_class>( *this , &if_class::ev_func );
}
...
};
SC_MODULE(mod_class)
{
port_class<1> port_var;
port_class<0> multiport;
Authorized licensed use limited to: Furkan Tuncer. Downloaded on October 16,2017 at 17:05:54 UTC from IEEE Xplore. Restrictions apply.
IEEE Std 1666-2011
IEEE Standard for Standard SystemC® Language Reference Manual
92
Copyright © 2012 IEEE. All rights reserved.
SC_CTOR(mod_class)
{
SC_METHOD(method);
sensitive << port_var.event_finder(); // Sensitive to chan_class::an_event
}
void method();
...
void end_of_elaboration()
{
SC_METHOD(method2);
for (int i = 0; i < multiport.size(); i++)
sensitive << multiport[i]->ev_func(); // Sensitive to chan_class::an_event
}
void method2();
...
};
NOTE—For particular examples of event finders, refer to the functions pos and neg of class sc_in<bool> (see 6.9).
5.8 sc_event_and_list and sc_event_or_list
5.8.1 Description
The classes sc_event_and_list and sc_event_or_list are used to represent explicit event list objects which
may be constructed and manipulated prior to being passed as arguments to the functions next_trigger (see
5.2.17) and wait (see 5.2.18). An event list object shall store pointers or references to zero or more event
objects. An event list may contain multiple references to the same event object. The order of the events
within the event list shall have no effect on the behavior of the event list when it is used to create dynamic
sensitivity.
5.8.2 Class definition
namespace sc_core {
class sc_event_and_list
{
public:
sc_event_and_list();
sc_event_and_list( const sc_event_and_list& );
sc_event_and_list( const sc_event& );
sc_event_and_list& operator= ( const sc_event_and_list& );
~sc_event_and_list();
int size() const;
void swap( sc_event_and_list& );
sc_event_and_list& operator&= ( const sc_event& );
sc_event_and_list& operator&= ( const sc_event_and_list& );
sc_event_and_expr† operator& ( const sc_event& ) const;
sc_event_and_expr† operator& ( const sc_event_and_list& ) const;
};
Authorized licensed use limited to: Furkan Tuncer. Downloaded on October 16,2017 at 17:05:54 UTC from IEEE Xplore. Restrictions apply.
IEEE Std 1666-2011
IEEE Standard for Standard SystemC® Language Reference Manual
93
Copyright © 2012 IEEE. All rights reserved.
class sc_event_or_list
{
public:
sc_event_or_list();
sc_event_or_list( const sc_event_or_list& );
sc_event_or_list( const sc_event& );
sc_event_or_list& operator= ( const sc_event_or_list& );
~sc_event_or_list();
int size() const;
void swap( sc_event_or_list& );
sc_event_or_list& operator|= ( const sc_event& );
sc_event_or_list& operator|= ( const sc_event_or_list& );
sc_event_or_expr† operator| ( const sc_event& ) const;
sc_event_or_expr† operator| ( const sc_event_or_list& ) const;
};
} // namespace sc_core
5.8.3 Constraints and usage
The intended usage for objects of class sc_event_and_list and sc_event_or_list is that they are passed as
arguments to the functions wait and next_trigger. Unlike the case of event expression objects, which are
deleted automatically by the implementation (see 5.9.3), the application shall be responsible for deleting
event list objects when they are no longer required. The application shall be responsible for ensuring that an
event list object is still valid (that is, has not been destroyed) when a process instance resumes or is triggered
as a direct result of the notification of one or more events in the event list. If the event list object has already
been destroyed at this point, the behavior of the implementation shall be undefined.
5.8.4 Constructors, destructor, assignment
sc_event_and_list();
sc_event_or_list();
Each default constructor shall construct an empty event list object. It shall be an error to pass an
empty event list object as an argument to the functions wait or next_trigger.
sc_event_and_list( const sc_event_and_list& );
sc_event_or_list( const sc_event_or_list& );
sc_event_and_list& operator= ( const sc_event_and_list& );
sc_event_or_list& operator= ( const sc_event_or_list& );
The copy constructors and assignment operators shall permit event list objects to be initialized and
assigned by the application.
sc_event_and_list( const sc_event& );
sc_event_or_list( const sc_event& );
These constructors shall construct event list objects containing the single event passed as an argu-
ment to the constructor.
Authorized licensed use limited to: Furkan Tuncer. Downloaded on October 16,2017 at 17:05:54 UTC from IEEE Xplore. Restrictions apply.
IEEE Std 1666-2011
IEEE Standard for Standard SystemC® Language Reference Manual
94
Copyright © 2012 IEEE. All rights reserved.
~sc_event_and_list();
~sc_event_or_list();
An event list object may be constructed as a stack or as a heap variable. In the case of the heap, the
application is responsible for deleting an event list object when it is no longer required.
5.8.5 Member functions and operators
int size() const;
Member function size shall return the number of events in the event list. Any duplicate events in the
event list shall not count toward the value of size.
Example:
sc_event ev;
sc_event_or_list list = ev | ev;
sc_assert( list.size() == 1 );
void swap( sc_event_and_list& );
void swap( sc_event_or_list& );
Member function swap shall exchange the current event list object *this with the event list passed as
an argument.
sc_event_and_list& operator&= ( const sc_event& );
sc_event_and_list& operator&= ( const sc_event_and_list& );
sc_event_and_expr† operator& ( const sc_event& ) const;
sc_event_and_expr† operator& ( const sc_event_and_list& ) const;
sc_event_or_list& operator|= ( const sc_event& );
sc_event_or_list& operator|= ( const sc_event_or_list& );
sc_event_or_expr† operator| ( const sc_event& ) const;
sc_event_or_expr† operator| ( const sc_event_or_list& ) const;
Each of these operators shall append the event or event list passed as an argument to the current
event list object *this, and shall return the resultant elongated event list as the value of the operator.
In the case of the assignment operators &= and |=, the operator shall return a reference to the current
object, which shall have been modified to contain the elongated event list. In the case of the remain-
ing operators & and |, the current object *this shall not be modified.
Example:
struct M: sc_module
{
sc_port<sc_signal_in_if<int>, 0> p; // Multiport
M(sc_module_name _name)
{
SC_THREAD(T);
}
sc_event_or_list all_events() const
{
sc_event_or_list or_list;
Authorized licensed use limited to: Furkan Tuncer. Downloaded on October 16,2017 at 17:05:54 UTC from IEEE Xplore. Restrictions apply.
IEEE Std 1666-2011
IEEE Standard for Standard SystemC® Language Reference Manual
95
Copyright © 2012 IEEE. All rights reserved.
for (int i = 0; i < p.size(); i++)
or_list |= p[i]->default_event();
return or_list;
}
sc_event event1, event2;
...
void T()
{
for (;;)
{
wait( all_events() );
...
sc_event_and_list list;
sc_assert( list.size() == 0 );
list = list & event1;
sc_assert( list.size() == 1 );
list &= event2;
sc_assert( list.size() == 2 );
wait(list);
sc_assert( list.size() == 2 );
...
}
}
SC_HAS_PROCESS(M);
};
5.9 sc_event_and_expr† and sc_event_or_expr†
5.9.1 Description
The classes sc_event_and_expr† and sc_event_or_expr† provide the & and | operators used to construct the
event expressions passed as arguments to the functions wait (see 5.2.17) and next_trigger (see 5.2.18). An
event expression object shall store pointers or references to zero or more event objects. An event expression
may contain multiple references to the same event object. The order of the events within the event
expression shall have no effect on the behavior of the event expression when it is used to create dynamic
sensitivity.
5.9.2 Class definition
namespace sc_core {
class sc_event_and_expr†
{
public:
operator const sc_event_and_list &() const;
Authorized licensed use limited to: Furkan Tuncer. Downloaded on October 16,2017 at 17:05:54 UTC from IEEE Xplore. Restrictions apply.
IEEE Std 1666-2011
IEEE Standard for Standard SystemC® Language Reference Manual
96
Copyright © 2012 IEEE. All rights reserved.
// Other members
implementation-defined
};
sc_event_and_expr† operator& ( sc_event_and_expr† , sc_event const& );
sc_event_and_expr† operator& ( sc_event_and_expr† , sc_event_and_list const& );
class sc_event_or_expr†
{
public:
operator const sc_event_or_list &() const;
// Other members
implementation-defined
};
sc_event_or_expr† operator| ( sc_event_or_expr† , sc_event const& );
sc_event_or_expr† operator| ( sc_event_or_expr† , sc_event_or_list const& );
} // namespace sc_core
5.9.3 Constraints on usage
An application shall not explicitly create an object of class sc_event_and_expr† or sc_event_or_expr†. An
application wishing to create explicit event list objects should use the classes sc_event_and_list and
sc_event_or_list.
Classes sc_event_and_expr† and sc_event_or_expr† are the return types of operator& and operator|,
respectively, of classes sc_event, sc_event_and_list, and sc_event_or_list.
The existence of the type conversion operators from type sc_event_and_expr† to type const
sc_event_and_list & and from type sc_event_or_expr† to type const sc_event_or_list & allow expressions
of type sc_event_and_expr† and sc_event_or_expr† to be passed as arguments to the functions wait and
next_trigger, for example, wait(ev1 & ev2). The objects of type sc_event_and_expr† and
sc_event_or_expr† are temporaries returned by operator& or operator| in an event expression, and would
be destroyed automatically after the call to wait or next_trigger. The implementation shall delete the event
list object when the process instance resumes or is triggered as a direct result of the notification of one or
more events in the event expression. In other words, the implementation shall be responsible for the
creation, deletion, and memory management of event list objects returned from the above type conversion
operators.
5.9.4 Operators
operator const sc_event_and_list &() const;
operator const sc_event_or_list &() const;
Each of these type conversion operators shall return a reference to an event list object equivalent to
the event list expression represented by the current object *this, equivalent in the sense that the
event list object shall contain references to the same set of events as the event list expression.
sc_event_and_expr† operator& ( sc_event_and_expr† , sc_event const& );
sc_event_and_expr† operator& ( sc_event_and_expr† , sc_event_and_list const& );
sc_event_or_expr† operator| ( sc_event_or_expr† , sc_event const& );
sc_event_or_expr† operator| ( sc_event_or_expr† , sc_event_or_list const& );
Authorized licensed use limited to: Furkan Tuncer. Downloaded on October 16,2017 at 17:05:54 UTC from IEEE Xplore. Restrictions apply.
IEEE Std 1666-2011
IEEE Standard for Standard SystemC® Language Reference Manual
97
Copyright © 2012 IEEE. All rights reserved.
A call to either operator shall append the event or events passed as the second argument to the event
expression passed as the first argument, and shall return the resultant elongated event expression as
the value of the operator.
Example:
sc_event event1, event2;
void thread_process()
{
...
wait( event1 | event2 );
// When the thread process resumes following the notification of event1 or event2,
// the implementation shall delete the object of type sc_event_or_expr returned from operator|
...
}
5.10 sc_event
5.10.1 Description
An event is an object of class sc_event used for process synchronization. A process instance may be
triggered or resumed on the occurrence of an event, that is, when the event is notified. Any given event may
be notified on many separate occasions.
Events can be hierarchically named or not. An event without a hierarchical name shall have an
implementation-defined name. A hierarchically named event shall either have a parent in the object
hierarchy (in which case the event would be returned from member function get_child_events of that
parent) or be a top-level event (in which case the event would be returned by function
sc_get_top_level_events). If an event has a parent, that parent shall be either a module instance or a process
instance. An event without a hierarchical name shall not have a parent in the object hierarchy.
A kernel event is an event that is instantiated by the implementation, such as an event within a predefined
primitive channel. A kernel event shall not be hierarchically named but shall have an implementation-
defined name, regardless of whether it is instantiated during elaboration or during simulation.
With the exception of kernel events, every event that is instantiated during elaboration or before the
initialization phase shall be a hierarchically named event.
NOTE 1—Events without a hierarchical name are provided for backward compatibility with earlier versions of this
standard and to avoid the potential performance impact of creating hierachical names during simulation.
NOTE 2—Although an event may have a parent of type sc_object, an event object is not itself an sc_object, and hence
an event cannot be returned by member function get_child_objects. Member function get_child_events is provided for
the purpose of retrieving the events within a given module or process instance.
NOTE 3—In the case of a hierarchically named event, the rules for hierachical naming imply that the name of the event
is formed by concatenating the hierarchical name of the parent of the event with the basename of the event, with the two
parts separated by a period character.
5.10.2 Class definition
namespace sc_core {
class sc_event
Authorized licensed use limited to: Furkan Tuncer. Downloaded on October 16,2017 at 17:05:54 UTC from IEEE Xplore. Restrictions apply.
IEEE Std 1666-2011
IEEE Standard for Standard SystemC® Language Reference Manual
98
Copyright © 2012 IEEE. All rights reserved.
{
public:
sc_event();
explicit sc_event( const char* );
~sc_event();
const char* name() const;
const char* basename() const;
bool in_hierarchy() const;
sc_object* get_parent_object() const;
void notify();
void notify( const sc_time& );
void notify( double , sc_time_unit );
void cancel();
sc_event_and_expr† operator& ( const sc_event& ) const;
sc_event_and_expr† operator& ( const sc_event_and_list& ) const;
sc_event_or_expr† operator| ( const sc_event& ) const;
sc_event_or_expr† operator| ( const sc_event_or_list& ) const;
private:
// Disabled
sc_event( const sc_event& );
sc_event& operator= ( const sc_event& );
};
const std::vector<sc_event*>& sc_get_top_level_events();
sc_event* sc_find_event( const char* );
} // namespace sc_core
5.10.3 Constraints on usage
Objects of class sc_event may be constructed during elaboration or simulation. Events may be notified
during elaboration or simulation, except that it shall be an error to create an immediate notification during
elaboration or from one of the callbacks before_end_of_elaboration, end_of_elaboration, or
start_of_simulation.
5.10.4 Constructors, destructor, and event naming
sc_event();
explicit sc_event( const char* );
Calling the constructor sc_event(const char*) with an empty string shall have the same effect as
calling the default constructor, regardless of when it is called by the application.
When called by the application during elaboration or before the initialization phase, each of the
above two constructors shall create a hierarchically named event.
When the default constructor is called by the application from the initialization phase onwards,
whether or not a hierarchically named event is created shall be implementation-defined on a per-
instance basis.
When the constructor sc_event(const char*) is called by the application from the initialization
phase onward with a non-empty string argument, the implementation shall create a hierachically
named event.
Authorized licensed use limited to: Furkan Tuncer. Downloaded on October 16,2017 at 17:05:54 UTC from IEEE Xplore. Restrictions apply.
IEEE Std 1666-2011
IEEE Standard for Standard SystemC® Language Reference Manual
99
Copyright © 2012 IEEE. All rights reserved.
When a hierarchically named event is constructed, if a non-empty string is passed as a constructor
argument, that string shall be used to set the string name of the event. Otherwise, the string name
shall be set to "event". The string name shall be used to determine the hierarchical name as
described in 5.17.
If a constructor needs to substitute a new string name in place of the original string name as the
result of a name clash, the constructor shall generate a single warning.
An event that is not hierarchically named shall have a non-empty implementation-defined name.
That name shall take the form of a hierachical name as described in 5.17 but may contain one or
more characters that are not in the recommended character set for application-defined hierarchical
names (such as punctuation characters and mathematical symbols). The intent is that an
implementation may use special characters to distinguish implementation-defined names from
application-defined names, although it is not obliged to do so.
Kernel events shall obey the same rules as application-defined events that are not hierarchically
named.
NOTE—An implementation is not required to guarantee that each implementation-defined event name is
unique. The intent is that the implementation will use characters not recommended in application-defined
names to reduce the probability of a name clash between a hierarchical name and an implementation-defined
name.
~sc_event();
The destructor shall delete the object and shall remove the event from the object hierarchy such that
the event is no longer a top-level event or a child event.
5.10.5 Functions for naming and hierarchy traversal
const char* name() const;
Member function name shall return the hierarchical name of the event instance in the case of a
hierarchically named event, or otherwise, it shall return the implementation-defined name of the
event instance. The name shall always be non-empty.
const char* basename() const;
Member function basename shall return the string name of the event instance in the case of a
hierarchically named event, or otherwise, it shall return an implementation-defined name. This is the
string name created when the event instance was constructed. In the case of an implementation-
defined name, the relationship between the strings returned from member functions name and
basename is also implementation-defined.
bool in_hierarchy() const;
Member function in_hierarchy shall return the value true if and only if the event is a hierarchically
named event.
The three functions below return information that supports the traversal of events that have a parent in the
object hierarchy. An implementation shall allow each of these three functions to be called at any stage
during elaboration or simulation. If called before elaboration is complete, they shall return information
concerning the partially constructed object hierarchy as it exists at the time the functions are called. In other
words, a function shall return pointers to any sc_event objects that have been constructed before the time the
function is called but will exclude any objects constructed after the function is called.
Authorized licensed use limited to: Furkan Tuncer. Downloaded on October 16,2017 at 17:05:54 UTC from IEEE Xplore. Restrictions apply.
IEEE Std 1666-2011
IEEE Standard for Standard SystemC® Language Reference Manual
100
Copyright © 2012 IEEE. All rights reserved.
sc_object* get_parent_object() const;
Member function get_parent_object shall return a pointer to the sc_object that is the parent of the
current sc_event object in the case of hierarchically named events, or otherwise, it shall return the
null pointer. get_parent_object shall also return a null pointer for a top-level event. If the parent
object is a process instance and that process has terminated, get_parent_object shall return a
pointer to that process instance. A process instance shall not be deleted (nor any associated process
handles invalidated) while the process has surviving children, but it may be deleted once all its child
objects have been deleted.
const std::vector<sc_event*>& sc_get_top_level_events();
Function sc_get_top_level_events shall return a std::vector containing pointers to all of the top-
level sc_event objects, that is, events that are hierarchically named but have no parent.
sc_event* sc_find_event( const char* );
Function sc_find_event shall return a pointer to the hierarchically named sc_event object that has a
name that exactly matches the value of the string argument or shall return the null pointer if there is
no hierarchically named sc_event with that name. Function sc_find_event shall not return a pointer
to an event that has an implementation-defined name.
5.10.6 notify and cancel
void notify();
A call to member function notify with an empty argument list shall create an immediate notification.
Any and all process instances sensitive to the event shall be made runnable before control is returned
from function notify, with the exception of the currently executing process instance, which shall not
be made runnable due to an immediate notification regardless of its static or dynamic sensitivity (see
4.2.1.2).
NOTE 1—Process instances sensitive to the event will not be resumed or triggered until the process that called
notify has suspended or returned.
NOTE 2—All process instances sensitive to the event will be run in the current evaluation phase and in an order
that is implementation-defined. The presence of immediate notification can introduce non-deterministic
behavior.
NOTE 3—Member function update of class sc_prim_channel shall not call notify to create an immediate
notification.
void notify( const sc_time& );
void notify( double , sc_time_unit );
A call to member function notify with an argument that represents a zero time shall create a delta
notification.
A call to function notify with an argument that represents a non-zero time shall create a timed
notification at the given time, expressed relative to the simulation time when function notify is
called. In other words, the value of the time argument is added to the current simulation time to
determine the time at which the event will be notified. The time argument shall not be negative.
NOTE—In the case of a delta notification, all processes that are sensitive to the event in the delta notification
phase will be made runnable in the subsequent evaluation phase. In the case of a timed notification, all
processes sensitive to the event at the time the event occurs will be made runnable at the time, which will be a
future simulation time.
Authorized licensed use limited to: Furkan Tuncer. Downloaded on October 16,2017 at 17:05:54 UTC from IEEE Xplore. Restrictions apply.
IEEE Std 1666-2011
IEEE Standard for Standard SystemC® Language Reference Manual
101
Copyright © 2012 IEEE. All rights reserved.
void cancel();
Member function cancel shall delete any pending notification for this event.
NOTE 1—At most one pending notification can exist for any given event.
NOTE 2—Immediate notification cannot be cancelled.
5.10.7 Event lists
sc_event_and_expr† operator& ( const sc_event& ) const;
sc_event_and_expr† operator& ( const sc_event_and_list& ) const;
sc_event_or_expr† operator| ( const sc_event& ) const;
sc_event_or_expr† operator| ( const sc_event_or_list& ) const;
A call to either operator shall return an event expression formed by appending the current event
object to the event or event list passed as an argument.
NOTE—Event lists are used as arguments to functions wait (see 5.2.18) and next_trigger (see 5.2.17).
5.10.8 Multiple event notifications
A given event shall have no more than one pending notification.
If function notify is called for an event that already has a notification pending, only the notification
scheduled to occur at the earliest time shall survive. The notification scheduled to occur at the later time
shall be cancelled (or never be scheduled in the first place). An immediate notification is taken to occur
earlier than a delta notification, and a delta notification earlier than a timed notification. This is irrespective
of the order in which function notify is called.
Example:
sc_event e;
e.notify(SC_ZERO_TIME); // Delta notification
e.notify(1, SC_NS); // Timed notification ignored due to pending delta notification
e.notify(); // Immediate notification cancels pending delta notification. e is notified
e.notify(2, SC_NS); // Timed notification
e.notify(3, SC_NS); // Timed notification ignored due to earlier pending timed notification
e.notify(1, SC_NS); // Timed notification cancels pending timed notification
e.notify(SC_ZERO_TIME); // Delta notification cancels pending timed notification
// e is notified in the next delta cycle
5.11 sc_time
5.11.1 Description
Class sc_time is used to represent simulation time and time intervals, including delays and time-outs. An
object of class sc_time is constructed from a double and an sc_time_unit. Time shall be represented
internally as an unsigned integer of at least 64 bits. For implementations using more than 64 bits, the return
value of member function value need not be of type sc_dt::uint64 (see member function value in 5.11.2).
5.11.2 Class definition
namespace sc_core {
enum sc_time_unit {SC_FS = 0, SC_PS, SC_NS, SC_US, SC_MS, SC_SEC};
Authorized licensed use limited to: Furkan Tuncer. Downloaded on October 16,2017 at 17:05:54 UTC from IEEE Xplore. Restrictions apply.
IEEE Std 1666-2011
IEEE Standard for Standard SystemC® Language Reference Manual
102
Copyright © 2012 IEEE. All rights reserved.
class sc_time
{
public:
sc_time();
sc_time( double , sc_time_unit );
sc_time( const sc_time& );
sc_time& operator= ( const sc_time& );
sc_dt::uint64 value() const;
double to_double() const;
double to_seconds() const;
const std::string to_string() const;
bool operator== ( const sc_time& ) const;
bool operator!= ( const sc_time& ) const;
bool operator< ( const sc_time& ) const;
bool operator<= ( const sc_time& ) const;
bool operator> ( const sc_time& ) const;
bool operator>= ( const sc_time& ) const;
sc_time& operator+= ( const sc_time& );
sc_time& operator-= ( const sc_time& );
sc_time& operator*= ( double );
sc_time& operator/= ( double );
void print( std::ostream& = std::cout ) const;
};
const sc_time operator+ ( const sc_time&, const sc_time& );
const sc_time operator- ( const sc_time&, const sc_time& );
const sc_time operator* ( const sc_time&, double );
const sc_time operator* ( double, const sc_time& );
const sc_time operator/ ( const sc_time&, double );
double operator/ ( const sc_time&, const sc_time& );
std::ostream& operator<< ( std::ostream&, const sc_time& );
const sc_time SC_ZERO_TIME;
void sc_set_time_resolution( double, sc_time_unit );
sc_time sc_get_time_resolution();
const sc_time& sc_max_time();
} // namespace sc_core
5.11.3 Time resolution
Time shall be represented internally as an integer multiple of the time resolution. The default time resolution
is 1 picosecond. Every object of class sc_time shall share a single common global time resolution.
Authorized licensed use limited to: Furkan Tuncer. Downloaded on October 16,2017 at 17:05:54 UTC from IEEE Xplore. Restrictions apply.
IEEE Std 1666-2011
IEEE Standard for Standard SystemC® Language Reference Manual
103
Copyright © 2012 IEEE. All rights reserved.
The time resolution can only be changed by calling the function sc_set_time_resolution. This function shall
only be called during elaboration, shall not be called more than once, and shall not be called after
constructing an object of type sc_time with a non-zero time value. The value of the double argument shall
be positive and shall be a power of 10. It shall be an error for an application to break the rules given in this
paragraph.
The constructor for sc_time shall scale and round the given time value to the nearest multiple of the time
resolution. Whether the value is rounded up or down is implementation-defined. The default constructor
shall create an object having a time value of zero.
The values of enum sc_time_unit shall be taken to have their standard physical meanings, for example,
SC_FS = femtosecond = 10E-15 seconds.
The function sc_get_time_resolution shall return the time resolution.
5.11.4 Function sc_max_time
The implementation shall provide a function sc_max_time with the following declaration:
const sc_time& sc_max_time();
The function sc_max_time shall return the maximum value of type sc_time, calculated after taking into
account the time resolution. Since function sc_max_time necessarily returns a reference to an object of type
sc_time that represents a non-zero time value, the time resolution cannot be modified after a call to
sc_max_time. Every call to sc_max_time during a given simulation run shall return an object having the
same value and representing the maximum simulation time. The actual value is implementation-defined.
Whether each call to sc_max_time returns a reference to the same object or a different object is
implementation-defined.
5.11.5 Functions and operators
All arithmetic, relational, equality, and assignment operators declared in 5.11.2 shall be taken to have their
natural meanings when performing integer arithmetic on the underlying representation of time. The results
of integer underflow and divide-by-zero shall be implementation-defined.
sc_dt::uint64 value() const;
double to_double() const;
double to_seconds() const;
These functions shall return the underlying representation of the time value, first converting the
value to a double in each of the two cases to_double and to_seconds, and then also scaling the
resultant value to units of 1 second in the case of to_seconds.
const std::string to_string() const;
void print( std::ostream& = std::cout ) const;
std::ostream& operator<< ( std::ostream& , const sc_time& );
These functions shall return the time value converted to a string or print that string to the given
stream. The format of the string is implementation-defined.
5.11.6 SC_ZERO_TIME
Constant SC_ZERO_TIME represents a time value of zero. It is good practice to use this constant whenever
writing a time value of zero, for example, when creating a delta notification or a delta time-out.
Authorized licensed use limited to: Furkan Tuncer. Downloaded on October 16,2017 at 17:05:54 UTC from IEEE Xplore. Restrictions apply.
IEEE Std 1666-2011
IEEE Standard for Standard SystemC® Language Reference Manual
104
Copyright © 2012 IEEE. All rights reserved.
Example:
sc_event e;
e.notify(SC_ZERO_TIME); // Delta notification
wait(SC_ZERO_TIME); // Delta time-out
5.12 sc_port
5.12.1 Description
Ports provide the means by which a module can be written such that it is independent of the context in which
it is instantiated. A port forwards interface method calls to the channel to which the port is bound. A port
defines a set of services (as identified by the type of the port) that are required by the module containing the
port.
If a module is to call a member function belonging to a channel that is outside the module itself, that call
should be made using an interface method call through a port of the module. To do otherwise is considered
bad coding style. However, a call to a member function belonging to a channel instantiated within the
current module may be made directly. This is known as portless channel access. If a module is to call a
member function belonging to a channel instance within a child module, that call should be made through an
export of the child module (see 5.13).
5.12.2 Class definition
namespace sc_core {
enum sc_port_policy
{
SC_ONE_OR_MORE_BOUND , // Default
SC_ZERO_OR_MORE_BOUND ,
SC_ALL_BOUND
};
class sc_port_base
: public sc_object { implementation-defined };
template <class IF>
class sc_port_b
: public sc_port_base
{
public:
void operator() ( IF& );
void operator() ( sc_port_b<IF>& );
virtual void bind( IF& );
virtual void bind( sc_port_b<IF>& );
int size() const;
IF* operator-> ();
const IF* operator-> () const;
IF* operator[] ( int );
Authorized licensed use limited to: Furkan Tuncer. Downloaded on October 16,2017 at 17:05:54 UTC from IEEE Xplore. Restrictions apply.
IEEE Std 1666-2011
IEEE Standard for Standard SystemC® Language Reference Manual
105
Copyright © 2012 IEEE. All rights reserved.
const IF* operator[] ( int ) const;
virtual sc_interface* get_interface();
virtual const sc_interface* get_interface() const;
protected:
virtual void before_end_of_elaboration();
virtual void end_of_elaboration();
virtual void start_of_simulation();
virtual void end_of_simulation();
explicit sc_port_b( int , sc_port_policy );
sc_port_b( const char* , int , sc_port_policy );
virtual ~sc_port_b();
private:
// Disabled
sc_port_b();
sc_port_b( const sc_port_b<IF>& );
sc_port_b<IF>& operator = ( const sc_port_b<IF>& );
};
template <class IF, int N = 1, sc_port_policy P = SC_ONE_OR_MORE_BOUND>
class sc_port
: public sc_port_b<IF>
{
public:
sc_port();
explicit sc_port( const char* );
virtual ~sc_port();
virtual const char* kind() const;
private:
// Disabled
sc_port( const sc_port<IF,N,P>& );
sc_port<IF,N,P>& operator= ( const sc_port<IF,N,P>& );
};
} // namespace sc_core
5.12.3 Template parameters
The first argument to template sc_port shall be the name of an interface proper. This interface is said to be
the type of the port. A port can only be bound to a channel derived from the type of the port or to another
port or export with a type derived from the type of the port.
The second argument to template sc_port is an optional integer value. If present, this argument shall specify
the maximum number of channel instances to which any one instance of the port belonging to any specific
module instance may be bound. If the value of this argument is zero, the port may be bound to an arbitrary
number of channel instances. It shall be an error to bind a port to more channel instances than the number
permitted by the second template argument.
Authorized licensed use limited to: Furkan Tuncer. Downloaded on October 16,2017 at 17:05:54 UTC from IEEE Xplore. Restrictions apply.
IEEE Std 1666-2011
IEEE Standard for Standard SystemC® Language Reference Manual
106
Copyright © 2012 IEEE. All rights reserved.
The default value of the second argument is 1. If the value of the second argument is not 1, the port is said to
be a multiport. If a port is bound to another port, the value of this argument may differ between the two
ports.
The third argument to template sc_port is an optional port policy of type sc_port_policy. The port policy
argument determines the rules for binding multiports and the rules for unbound ports.
The policy SC_ONE_OR_MORE_BOUND means that the port instance shall be bound to one or more
channel instances, the maximum number being determined by the value of the second template argument. It
shall be an error for the port instance to remain unbound at the end of elaboration.
The policy SC_ZERO_OR_MORE_BOUND means that the port instance shall be bound to zero or more
channel instances, the maximum number being determined by the value of the second template argument.
The port instance may remain unbound at the end of elaboration.
The policy SC_ALL_BOUND means that the port instance shall be bound to exactly the number of channel
instances given by value of the second template argument, no more and no less, provided that value is
greater than zero. If the value of the second template argument is zero, policy SC_ALL_BOUND shall have
the same meaning as policy SC_ONE_OR_MORE_BOUND. It shall be an error for the port instance to
remain unbound at the end of elaboration, or to be bound to fewer channel instances than the number
required by the second template argument.
It shall be an error to bind a given port instance to a given channel instance more than once, whether directly
or through another port.
The port policy shall apply independently to each port instance, even when a port is bound to another port.
For example, if a port on a child module with a type sc_port<IF> is bound to a port on a parent module with
a type sc_port<IF,2,SC_ALL_BOUND>, the two port policies are contradictory and one or other will
inevitably result in an error at the end of elaboration.
The port policies shall hold when port binding is completed by the implementation just before the callbacks
to function end_of_elaboration but are not required to hold any earlier. For example, a port of type
sc_port<IF,2,SC_ALL_BOUND> could be bound once in a module constructor and once in the callback
function before_end_of_elaboration.
Example:
sc_port<IF> // Bound to exactly 1 channel instance
sc_port<IF,0> // Bound to 1 or more channel instances
// with no upper limit
sc_port<IF,3> // Bound to 1, 2, or 3 channel instances
sc_port<IF,0,SC_ZERO_OR_MORE_BOUND> // Bound to 0 or more channel instances
// with no upper limit
sc_port<IF,1,SC_ZERO_OR_MORE_BOUND> // Bound to 0 or 1 channel instances
sc_port<IF,3,SC_ZERO_OR_MORE_BOUND> // Bound to 0, 1, 2, or 3 channel instances
sc_port<IF,3,SC_ALL_BOUND> // Bound to exactly 3 channel instances
NOTE—A port may be bound indirectly to a channel by being bound to another port or export (see 4.1.3).
5.12.4 Constraints on usage
An implementation shall derive class sc_port_base from class sc_object.
Authorized licensed use limited to: Furkan Tuncer. Downloaded on October 16,2017 at 17:05:54 UTC from IEEE Xplore. Restrictions apply.
IEEE Std 1666-2011
IEEE Standard for Standard SystemC® Language Reference Manual
107
Copyright © 2012 IEEE. All rights reserved.
Ports shall only be instantiated during elaboration and only from within a module. It shall be an error to
instantiate a port other than within a module. It shall be an error to instantiate a port during simulation.
The member functions size and get_interface can be called during elaboration or simulation, whereas
operator-> and operator[] should only be called from end_of_elaboration or during simulation.
It is strongly recommended that a port within a given module be bound at the point where the given module
is instantiated, that is, within the constructor from which the module is instantiated. Furthermore, it is
strongly recommended that the port be bound to a channel or another port that is itself instantiated within the
module containing the instance of the given module or to an export that is instantiated within a child module.
This recommendation may be violated on occasion. For example, it is convenient to bind an otherwise
unbound port from the before_end_of_elaboration callback of the port instance itself.
The constraint that a port be instantiated within a module allows for considerable flexibility. However, it is
strongly recommended that a port instance be a data member of a module wherever practical; otherwise, the
syntax necessary for named port binding becomes somewhat arcane in that it requires more than simple class
member access using the dot operator.
Suppose a particular port is instantiated within module C, and module C is itself instantiated within module
P. It is permissible for the port to be bound at some point in the code remote from the point at which module
C is instantiated, it is permissible for the port to be bound to a channel (or another port) that is itself
instantiated in a module other than the module P, and it is permissible for the port to be bound to an export
that is instantiated somewhere other than in a child module of module P. However, all such cases would
result in a breakdown of the normal discipline of the module hierarchy and are strongly discouraged in
typical usage.
5.12.5 Constructors
explicit sc_port_b( int , sc_port_policy );
sc_port_b( const char* , int , sc_port_policy );
virtual ~sc_port_b();
The constructor for class sc_port_b shall pass the values of its arguments though to the constructor
for the base class sub-object. The character string argument shall be the string name of the instance
in the module hierarchy, the int argument shall be the maximum number of channel instances, and
the sc_port_policy argument shall be the port policy.
sc_port();
explicit sc_port( const char* );
The constructor for class sc_port shall pass the character string argument (if such argument exists)
through to the constructor belonging to the base class sc_port_b to set the string name of the
instance in the module hierarchy, and shall pass the two template parameters N and P as arguments
to the constructor for class sc_port_b.
The default constructor shall call function sc_gen_unique_name("port") to generate a unique string name
that it shall then pass through to the constructor for the base class sc_object.
NOTE—A port instance need not be given an explicit string name within the application when it is constructed.
5.12.6 kind
Member function kind shall return the string "sc_port".
Authorized licensed use limited to: Furkan Tuncer. Downloaded on October 16,2017 at 17:05:54 UTC from IEEE Xplore. Restrictions apply.
IEEE Std 1666-2011
IEEE Standard for Standard SystemC® Language Reference Manual
108
Copyright © 2012 IEEE. All rights reserved.
5.12.7 Named port binding
Ports can be bound either using the functions listed in this subclause for named binding or using the
operator() from class sc_module for positional binding. An implementation may defer the completion of
port binding until a later time during elaboration because the port to which a port is bound may not yet itself
have been bound. Such deferred port binding shall be completed by the implementation before the callbacks
to function end_of_elaboration.
void operator() ( IF& );
virtual void bind( IF& );
Each of these two functions shall bind the port instance for which the function is called to the
channel instance passed as an argument to the function. The actual argument can be an export, in
which case the C++ compiler will call the implicit conversion sc_export<IF>::operator IF&. The
implementation of operator() shall achieve its effect by calling the virtual member function bind.
void operator() ( sc_port_b<IF>& );
virtual void bind( sc_port_b<IF>& );
Each of these two functions shall bind the port instance for which the function is called to the port
instance passed as an argument to the function. The implementation of operator() shall achieve its
effect by calling the virtual member function bind.
Example:
SC_MODULE(M)
{
sc_inout<int> P, Q, R, S; // Ports
sc_inout<int> *T; // Pointer-to-port (not a recommended coding style)
SC_CTOR(M) { T = new sc_inout<int>; }
...
};
SC_MODULE(Top)
{
sc_inout <int> A, B;
sc_signal<int> C, D;
M m; // Module instance
SC_CTOR(Top)
: m("m")
{
m.P(A); // Binds P-to-A
m.Q.bind(B); // Binds Q-to-B
m.R(C); // Binds R-to-C
m.S.bind(D); // Binds S-to-D
m.T->bind(E); // Binds T-to-E
}
...
};
Authorized licensed use limited to: Furkan Tuncer. Downloaded on October 16,2017 at 17:05:54 UTC from IEEE Xplore. Restrictions apply.
IEEE Std 1666-2011
IEEE Standard for Standard SystemC® Language Reference Manual
109
Copyright © 2012 IEEE. All rights reserved.
5.12.8 Member functions for bound ports and port-to-port binding
The member functions described in this subclause return information about ports that have been bound
during elaboration. These functions return information concerning the ordered set of channel instances to
which a particular port instance (which may or may not be a multiport) is bound.
The ordered set S of channel instances to which a given port is bound (for the purpose of defining the
semantics of the functions given in this subclause) is determined as follows.
a) When the port or export is bound to a channel instance, that channel instance shall be added to the
end of the ordered set S.
b) When the port or export is bound to an export, rules a) and b) shall be applied recursively to the
export.
c) When the port is bound to another port, rules a), b), and c) shall be applied recursively to the other
port.
Because an implementation may defer the completion of port binding until a later time during elaboration,
the number and order of the channel instances as returned from the member functions described in this
subclause may change during elaboration and the final order is implementation-defined, but it shall not
change during the end_of_elaboration callback or during simulation.
NOTE—As a consequence of the above rules, a given channel instance may appear to lie at a different position in the
ordered set of channel instances when viewed from ports at different positions in the module hierarchy. For example, a
given channel instance may be the first channel instance to which a port of a parent module is bound but the third
channel instance to which a port of a child module is bound.
5.12.8.1 size
int size() const;
Member function size shall return the number of channel instances to which the port instance for which it is
called has been bound.
If member function size is called during elaboration and before the callback end_of_elaboration, the value
returned is implementation-defined because the time at which port binding is completed is implementation-
defined.
NOTE—The value returned by size will be 1 for a typical port but may be 0 if the port is unbound or greater than 1 for a
multiport.
5.12.8.2 operator->
IF* operator-> ();
const IF* operator-> () const;
operator-> shall return a pointer to the first channel instance to which the port was bound during
elaboration.
It shall be an error to call operator-> for an unbound port. If operator-> is called during elaboration and
before the callback end_of_elaboration, the behavior is implementation-defined because the time at which
port binding is completed is implementation-defined.
NOTE—operator-> is key to the interface method call paradigm in that it permits a process to call a member function,
defined in a channel, through a port bound to that channel.
Authorized licensed use limited to: Furkan Tuncer. Downloaded on October 16,2017 at 17:05:54 UTC from IEEE Xplore. Restrictions apply.
IEEE Std 1666-2011
IEEE Standard for Standard SystemC® Language Reference Manual
110
Copyright © 2012 IEEE. All rights reserved.
Example:
struct iface
: virtual sc_interface
{
virtual int read() const = 0;
};
struct chan
: iface, sc_prim_channel
{
virtual int read() const;
};
int chan::read() const { ... }
SC_MODULE(modu)
{
sc_port<iface> P;
SC_CTOR(modu)
{
SC_THREAD(thread);
}
void thread()
{
int i = P->read(); // Interface method call
}
};
SC_MODULE(top)
{
modu *mo;
chan *ch;
SC_CTOR(top)
{
ch = new chan;
mo = new modu("mo");
mo->P(*ch); // Port P bound to channel *ch
}
};
5.12.8.3 operator[]
IF* operator[] ( int );
const IF* operator[] ( int ) const;
operator[] shall return a pointer to a channel instance to which a port is bound. The argument identifies
which channel instance shall be returned. The instances are numbered starting from zero in the order in
which the port binding was completed, the order being implementation-defined.
Authorized licensed use limited to: Furkan Tuncer. Downloaded on October 16,2017 at 17:05:54 UTC from IEEE Xplore. Restrictions apply.
IEEE Std 1666-2011
IEEE Standard for Standard SystemC® Language Reference Manual
111
Copyright © 2012 IEEE. All rights reserved.
The value of the argument shall lie in the range 0 to N – 1, where N is the number of instances to which the
port is bound. It shall be an error to call operator[] with an argument value that lies outside this range. If
operator[] is called during elaboration and before the callback end_of_elaboration, the behavior is
implementation-defined because the time at which port binding is completed is implementation-defined.
operator[] may be called for a port that is not a multiport, in which case the value of the argument should be
0.
Example:
class bus_interface;
class slave_interface
: virtual public sc_interface
{
public:
virtual void slave_write(int addr, int data) = 0;
virtual void slave_read (int addr, int& data) = 0;
};
class bus_channel
: public bus_interface, public sc_module
{
public:
...
sc_port<slave_interface, 0> slave_port; // Multiport for attaching slaves to bus
SC_CTOR(bus_channel)
{
SC_THREAD(action);
}
private:
void action()
{
for (int i = 0; i < slave_port.size(); i++) // Function size() returns number of slaves
slave_port[i]->slave_write(0,0); // Operator[] indexes slave port
}
};
class memory
: public slave_interface, public sc_module
{
public:
virtual void slave_write(int addr, int data);
virtual void slave_read (int addr, int& data);
...
};
SC_MODULE(top_level)
{
bus_channel bus;
memory ram0, ram1, ram2, ram3;
Authorized licensed use limited to: Furkan Tuncer. Downloaded on October 16,2017 at 17:05:54 UTC from IEEE Xplore. Restrictions apply.
IEEE Std 1666-2011
IEEE Standard for Standard SystemC® Language Reference Manual
112
Copyright © 2012 IEEE. All rights reserved.
SC_CTOR(top_level)
: bus("bus"), ram0("ram0"), ram1("ram1"), ram2("ram2"), ram3("ram3")
{
bus.slave_port(ram0);
bus.slave_port(ram1);
bus.slave_port(ram2);
bus.slave_port(ram3); // One multiport bound to four memory channels
}
};
5.12.8.4 get_interface
virtual sc_interface* get_interface();
virtual const sc_interface* get_interface() const;
Member function get_interface shall return a pointer to the first channel instance to which the port is bound.
If the port is unbound, a null pointer shall be returned. This member function may be called during
elaboration to test whether a port has yet been bound. Because the time at which deferred port binding is
completed is implementation-defined, it is implementation-defined whether get_interface returns a pointer
to a channel instance or a null pointer when called during construction or from the callback
before_end_of_elaboration.
get_interface is intended for use in implementing specialized port classes derived from sc_port. In general,
an application should call operator-> instead. However, get_interface permits an application to call a
member function of the class of the channel to which the port is bound, even if such a function is not a
member of the interface type of the port.
NOTE—Function get_interface cannot return channels beyond the first channel instance to which a multiport is bound;
use operator[] instead.
Example:
SC_MODULE(Top)
{
sc_in<bool> clock;
void before_end_of_elaboration()
{
sc_interface* i_f = clock.get_interface();
sc_clock* clk = dynamic_cast<sc_clock*>(i_f);
sc_time t = clk->period(); // Call method of clock object to which port is bound
...
5.12.9 before_end_of_elaboration, end_of_elaboration, start_of_simulation,
end_of_simulation
See 4.4.
Authorized licensed use limited to: Furkan Tuncer. Downloaded on October 16,2017 at 17:05:54 UTC from IEEE Xplore. Restrictions apply.
IEEE Std 1666-2011
IEEE Standard for Standard SystemC® Language Reference Manual
113
Copyright © 2012 IEEE. All rights reserved.
5.13 sc_export
5.13.1 Description
Class sc_export allows a module to provide an interface to its parent module. An export forwards interface
method calls to the channel to which the export is bound. An export defines a set of services (as identified by
the type of the export) that are provided by the module containing the export.
Providing an interface through an export is an alternative to a module simply implementing the interface.
The use of an explicit export allows a single module instance to provide multiple interfaces in a structured
manner.
If a module is to call a member function belonging to a channel instance within a child module, that call
should be made through an export of the child module.
5.13.2 Class definition
namespace sc_core {
class sc_export_base
: public sc_object { implementation-defined };
template<class IF>
class sc_export
: public sc_export_base
{
public:
sc_export();
explicit sc_export( const char* );
virtual ~sc_export();
virtual const char* kind() const;
void operator() ( IF& );
virtual void bind( IF& );
operator IF& ();
operator const IF& () const;
IF* operator-> ();
const IF* operator-> () const;
virtual sc_interface* get_interface();
virtual const sc_interface* get_interface() const;
protected:
virtual void before_end_of_elaboration();
virtual void end_of_elaboration();
virtual void start_of_simulation();
virtual void end_of_simulation();
Authorized licensed use limited to: Furkan Tuncer. Downloaded on October 16,2017 at 17:05:54 UTC from IEEE Xplore. Restrictions apply.
IEEE Std 1666-2011
IEEE Standard for Standard SystemC® Language Reference Manual
114
Copyright © 2012 IEEE. All rights reserved.
private
// Disabled
sc_export( const sc_export<IF>& );
sc_export<IF>& operator= ( const sc_export<IF>& );
};
} // namespace sc_core
5.13.3 Template parameters
The argument to template sc_export shall be the name of an interface proper. This interface is said to be the
type of the export. An export can only be bound to a channel derived from the type of the export or to
another export with a type derived from the type of the export.
NOTE—An export may be bound indirectly to a channel by being bound to another export (see 4.1.3).
5.13.4 Constraints on usage
An implementation shall derive class sc_export_base from class sc_object.
Exports shall only be instantiated during elaboration and only from within a module. It shall be an error to
instantiate an export other than within a module. It shall be an error to instantiate an export during
simulation.
Every export of every module instance shall be bound once and once only during elaboration. It shall be an
error to have an export remaining unbound at the end of elaboration. It shall be an error to bind an export to
more than one channel.
The member function get_interface can be called during elaboration or simulation, whereas operator->
should only be called during simulation.
It is strongly recommended that an export within a given module be bound within that same module.
Furthermore, it is strongly recommended that the export be bound to a channel that is itself instantiated
within the current module or implemented by the current module or bound to an export that is instantiated
within a child module. Any other usage would result in a breakdown of the normal discipline of the module
hierarchy and is strongly discouraged (see 5.12.4).
5.13.5 Constructors
sc_export();
explicit sc_export( const char* );
The constructor for class sc_export shall pass the character string argument (if there is one) through
to the constructor belonging to the base class sc_object in order to set the string name of the instance
in the module hierarchy.
The default constructor shall call function sc_gen_unique_name("export") in order to generate a
unique string name that it shall then pass through to the constructor for the base class sc_object.
NOTE—An export instance need not be given an explicit string name within the application when it is
constructed.
5.13.6 kind
Member function kind shall return the string "sc_export".
Authorized licensed use limited to: Furkan Tuncer. Downloaded on October 16,2017 at 17:05:54 UTC from IEEE Xplore. Restrictions apply.
IEEE Std 1666-2011
IEEE Standard for Standard SystemC® Language Reference Manual
115
Copyright © 2012 IEEE. All rights reserved.
5.13.7 Export binding
Exports can be bound using either of the two functions defined here. The notion of positional binding is not
applicable to exports. Each of these functions shall bind the export immediately, in contrast to ports for
which the implementation may need to defer the binding.
void operator() ( IF& );
virtual void bind( IF& );
Each of these two functions shall bind the export instance for which the function is called to the
channel instance passed as an argument to the function. The implementation of operator() shall
achieve its effect by calling the virtual member function bind.
NOTE—The actual argument could be an export, in which case operator IF& would be called as an implicit
conversion.
Example:
struct i_f: virtual sc_interface
{
virtual void print() = 0;
};
struct Chan: sc_channel, i_f
{
SC_CTOR(Chan) {}
void print() { std::cout << "I'm Chan, name=" << name() << std::endl; }
};
struct Caller: sc_module
{
sc_port<i_f> p;
...
};
struct Bottom: sc_module
{
sc_export<i_f> xp;
Chan ch;
SC_CTOR(Bottom) : ch("ch")
{
xp.bind(ch); // Bind export xp to channel ch
}
};
struct Middle: sc_module
{
sc_export<i_f> xp;
Bottom* b;
SC_CTOR(Middle)
{
b = new Bottom ("b");
xp.bind(b->xp); // Bind export xp to export b->xp
Authorized licensed use limited to: Furkan Tuncer. Downloaded on October 16,2017 at 17:05:54 UTC from IEEE Xplore. Restrictions apply.
IEEE Std 1666-2011
IEEE Standard for Standard SystemC® Language Reference Manual
116
Copyright © 2012 IEEE. All rights reserved.
b->xp->print(); // Call method of export within child module
}
};
struct Top: sc_module
{
Caller* c;
Middle* m;
SC_CTOR(Top)
{
c = new Caller ("c");
m = new Middle ("m");
c->p(m->xp); // Bind port c->p to export m->xp
}
};
5.13.8 Member functions for bound exports and export-to-export binding
The member functions described in this subclause return information about exports that have been bound
during elaboration, and hence, these member functions should only be called after the export has been bound
during elaboration or simulation. These functions return information concerning the channel instance to
which a particular export instance has been bound.
It shall be an error to bind an export more than once. It shall be an error for an export to be unbound at the
end of elaboration.
The channel instance to which a given export is bound (for the purpose of defining the semantics of the
functions given in this subclause) is determined as follows:
a) If the export is bound to a channel instance, that is the channel instance in question.
b) If the export is bound to another export, rules a) and b) shall be applied recursively to the other
export.
5.13.8.1 operator-> and operator IF&
IF* operator-> ();
const IF* operator-> () const;
operator IF& ();
operator const IF& () const;
operator-> and operator IF& shall both return a pointer to the channel instance to which the export
was bound during elaboration.
It shall be an error for an application to call this operator if the export is unbound.
NOTE 1—operator-> is intended for use during simulation when making an interface method call through an
export instance from a parent module of the module containing the export.
NOTE 2—operator IF& is intended for use during elaboration as an implicit conversion when passing an
object of class sc_export in a context that requires an sc_interface, for example, when binding a port to an
export or when adding an export to the static sensitivity of a process.
NOTE 3—There is no operator[] for class sc_export, and there is no notion of a multi-export. Each export can
only be bound to a single channel.
Authorized licensed use limited to: Furkan Tuncer. Downloaded on October 16,2017 at 17:05:54 UTC from IEEE Xplore. Restrictions apply.
IEEE Std 1666-2011
IEEE Standard for Standard SystemC® Language Reference Manual
117
Copyright © 2012 IEEE. All rights reserved.
5.13.8.2 get_interface
virtual sc_interface* get_interface();
virtual const sc_interface* get_interface() const;
Member function get_interface shall return a pointer to the channel instance to which the export is
bound. If the export is unbound, a null pointer shall be returned. This member function may be
called during elaboration to test whether an export has yet been bound.
5.13.9 before_end_of_elaboration, end_of_elaboration, start_of_simulation,
end_of_simulation
See 4.4.
5.14 sc_interface
5.14.1 Description
sc_interface is the abstract base class for all interfaces.
An interface is a class derived from the class sc_interface. An interface proper is an abstract class derived
from class sc_interface but not derived from class sc_object. An interface proper contains a set of pure
virtual functions that shall be defined in one or more channels derived from that interface proper. Such a
channel is said to implement the interface.
NOTE 1—The term interface proper is used to distinguish an interface proper from a channel. A channel is a class
derived indirectly from class sc_interface, and in that sense, a channel is an interface. However, a channel is not an
interface proper.
NOTE 2—As a consequence of the rules of C++, an instance of a channel derived from an interface IF or a pointer to
such an instance can be passed as the argument to a function with a parameter of type IF& or IF*, respectively, or a port
of type IF can be bound to such a channel.
5.14.2 Class definition
namespace sc_core {
class sc_interface
{
public:
virtual void register_port( sc_port_base& , const char* );
virtual const sc_event& default_event() const;
virtual ~sc_interface();
protected:
sc_interface();
private:
// Disabled
sc_interface( const sc_interface& );
sc_interface& operator= ( const sc_interface& );
};
} // namespace sc_core
Authorized licensed use limited to: Furkan Tuncer. Downloaded on October 16,2017 at 17:05:54 UTC from IEEE Xplore. Restrictions apply.
IEEE Std 1666-2011
IEEE Standard for Standard SystemC® Language Reference Manual
118
Copyright © 2012 IEEE. All rights reserved.
5.14.3 Constraints on usage
An application should not use class sc_interface as the direct base class for any class other than an interface
proper.
An interface proper shall obey the following rules:
a) It shall be publicly derived directly or indirectly from class sc_interface.
b) If directly derived from class sc_interface, it shall use the virtual specifier.
c) It shall not be derived directly or indirectly from class sc_object.
An interface proper should typically obey the following rules:
a) It should contain one or more pure virtual functions.
b) It should not be derived from any other class that is not itself an interface proper.
c) It should not contain any function declarations or function definitions apart from the pure virtual
functions.
d) It should not contain any data members.
NOTE 1—An interface proper may be derived from another interface proper or from two or more other interfaces
proper, thus creating a multiple inheritance hierarchy.
NOTE 2—A channel class may be derived from any number of interfaces proper.
5.14.4 register_port
virtual void register_port( sc_port_base& , const char* );
The definition of this function in class sc_interface does nothing. An application may override this function
in a channel.
The purpose of function register_port is to enable an application to perform actions that depend on port
binding during elaboration, such as checking connectivity errors.
Member function register_port of a channel shall be called by the implementation whenever a port is bound
to a channel instance. The first argument shall be a reference to the port instance being bound. The second
argument shall be the value returned from the expression typeid( IF ).name(), where IF is the interface type
of the port.
Member function register_port shall not be called when an export is bound to a channel.
If a port P is bound to another port Q, and port Q is in turn bound to a channel instance, the first argument to
member function register_port shall be the port P. In other words, register_port is not passed a reference to
a port on a parent module if a port on a child module is in turn bound to that port; instead, it is passed as a
reference to the port on the child module, and so on recursively down the module hierarchy.
In the case that multiple ports are bound to the same single channel instance or port instance, member
function register_port shall be called once for each port so bound.
Example:
void register_port( sc_port_base& port_, const char* if_typename_ )
{
std::string nm( if_typename_ );
if( nm == typeid( my_interface ).name() )
Authorized licensed use limited to: Furkan Tuncer. Downloaded on October 16,2017 at 17:05:54 UTC from IEEE Xplore. Restrictions apply.
IEEE Std 1666-2011
IEEE Standard for Standard SystemC® Language Reference Manual
119
Copyright © 2012 IEEE. All rights reserved.
std::cout << " channel " << name() << " bound to port " << port_.name() << std::endl;
}
5.14.5 default_event
virtual const sc_event& default_event() const;
Member function default_event shall be called by the implementation in every case where a port or channel
instance is used to define the static sensitivity of a process instance by being passed directly as an argument
to operator<< of class sc_sensitive†. In such a case, the application shall override this function in the
channel in question to return a reference to an event to which the process instance will be made sensitive.
If this function is called by the implementation but not overridden by the application, the implementation
may generate a warning.
Example:
struct my_if
: virtual sc_interface
{
virtual int read() = 0;
};
class my_ch
: public my_if, public sc_module
{
public:
virtual int read() { return m_val; }
virtual const sc_event& default_event() const { return m_ev; }
private:
int m_val;
sc_event m_ev;
...
};
5.15 sc_prim_channel
5.15.1 Description
sc_prim_channel is the base class for all primitive channels and provides such channels with unique access
to the update phase of the scheduler. In common with hierarchical channels, a primitive channel may
provide public member functions that can be called using the interface method call paradigm.
This standard provides a number of predefined primitive channels to model common communication
mechanisms (see Clause 6).
5.15.2 Class definition
namespace sc_core {
class sc_prim_channel
: public sc_object
{
Authorized licensed use limited to: Furkan Tuncer. Downloaded on October 16,2017 at 17:05:54 UTC from IEEE Xplore. Restrictions apply.
IEEE Std 1666-2011
IEEE Standard for Standard SystemC® Language Reference Manual
120
Copyright © 2012 IEEE. All rights reserved.
public:
virtual const char* kind() const;
protected:
sc_prim_channel();
explicit sc_prim_channel( const char* );
virtual ~sc_prim_channel();
void request_update();
void async_request_update();
virtual void update();
void next_trigger();
void next_trigger( const sc_event& );
void next_trigger( const sc_event_or_list & );
void next_trigger( const sc_event_and_list & );
void next_trigger( const sc_time& );
void next_trigger( double , sc_time_unit );
void next_trigger( const sc_time& , const sc_event& );
void next_trigger( double , sc_time_unit , const sc_event& );
void next_trigger( const sc_time& , const sc_event_or_list & );
void next_trigger( double , sc_time_unit , const sc_event_or_list & );
void next_trigger( const sc_time& , const sc_event_and_list & );
void next_trigger( double , sc_time_unit , const sc_event_and_list & );
void wait();
void wait( int );
void wait( const sc_event& );
void wait( const sc_event_or_list & );
void wait( const sc_event_and_list & );
void wait( const sc_time& );
void wait( double , sc_time_unit );
void wait( const sc_time& , const sc_event& );
void wait( double , sc_time_unit , const sc_event& );
void wait( const sc_time& , const sc_event_or_list & );
void wait( double , sc_time_unit , const sc_event_or_list & );
void wait( const sc_time& , const sc_event_and_list & );
void wait( double , sc_time_unit , const sc_event_and_list & );
virtual void before_end_of_elaboration();
virtual void end_of_elaboration();
virtual void start_of_simulation();
virtual void end_of_simulation();
private:
// Disabled
sc_prim_channel( const sc_prim_channel& );
sc_prim_channel& operator= ( const sc_prim_channel& );
};
} // namespace sc_core
Authorized licensed use limited to: Furkan Tuncer. Downloaded on October 16,2017 at 17:05:54 UTC from IEEE Xplore. Restrictions apply.
IEEE Std 1666-2011
IEEE Standard for Standard SystemC® Language Reference Manual
121
Copyright © 2012 IEEE. All rights reserved.
5.15.3 Constraints on usage
Objects of class sc_prim_channel can only be constructed during elaboration. It shall be an error to
instantiate a primitive channel during simulation.
A primitive channel should be publicly derived from class sc_prim_channel.
A primitive channel shall implement one or more interfaces.
Member functions request_update and async_request_update may be called during elaboration or
simulation. If called during elaboration, the update request shall be executed during the initialization phase.
NOTE—Because the constructors are protected, class sc_prim_channel cannot be instantiated directly but may be used
as a base class for a primitive channel.
5.15.4 Constructors, destructor, and hierarchical names
sc_prim_channel();
explicit sc_prim_channel( const char* );
The constructor for class sc_prim_channel shall pass the character string argument (if such argument
exists) through to the constructor belonging to the base class sc_object to set the string name of the instance
in the module hierarchy.
NOTE—A class derived from class sc_prim_channel is not obliged to have a constructor, in which case the default
constructor for class sc_object will generate a unique string name. As a consequence, a primitive channel instance need
not be given an explicit string name within the application when it is constructed.
5.15.5 kind
Member function kind shall return the string "sc_prim_channel".
5.15.6 request_update and update
Member functions request_update and async_request_update each cause the scheduler to queue an update
request. An application should not call both request_update and async_request_update for a given
primitive channel instance at any time during elaboration or simulation, but it may do so for different
primitive channel instances. If both request_update and async_request_update are called for the same
primitive channel instance, the behavior of the implementation is undefined.
void request_update();
Member function request_update shall cause the scheduler to queue an update request for the
current primitive channel (see 4.2.1.3). No more than one update request shall be queued for any
given primitive channel instance in any given update phase; that is, multiple calls to
request_update in the same evaluation phase shall result in a single update request.
void async_request_update();
Member function async_request_update shall cause the scheduler to queue an update request for
the current primitive channel in a thread-safe manner with respect to the host operating system. The
intent of async_request_update is that it may be called reliably from an operating system thread
other than those in which the SystemC kernel and any SystemC thread processes are executing.
An application may call async_request_update at any time during elaboration or simulation, and
these calls may be asynchronous with respect to the SystemC kernel. The implementation shall
guarantee that each call to async_request_update behaves as if it were executed in an evaluation
Authorized licensed use limited to: Furkan Tuncer. Downloaded on October 16,2017 at 17:05:54 UTC from IEEE Xplore. Restrictions apply.
IEEE Std 1666-2011
IEEE Standard for Standard SystemC® Language Reference Manual
122
Copyright © 2012 IEEE. All rights reserved.
phase. No more than one update request shall be queued for any given primitive channel instance in
any given update phase; that is, multiple calls to async_request_update received by the kernel
between two consecutive update phases shall result in a single update request. The precise phase in
which any given call to async_request_update is received and processed by the kernel is
undefined. As a consequence, two calls to async_request_update for the same primitive channel
and occurring within a narrow time window may result in a single update request, two update
requests in consecutive delta cycles, or two update requests in non-consecutive delta cycles.
The application is responsible for synchronizing access to any shared memory across calls to
async_request_update and update. The software thread that calls async_request_update would
typically need to write a value to some variable that is read by function update. The implementation
can give no guarantee with regard to the integrity of any such shared memory.
It is not recommended to call member function async_request_update from functions executed in
the context of the SystemC kernel, such as SystemC thread or method processes, but only by
operating system threads separate from the kernel. Calling async_request_update may cause a
performance degradation compared to request_update.
virtual void update();
Member function update shall be called back by the scheduler during the update phase in response
to a call to request_update or async_request_update. An application may override this member
function in a primitive channel. The definition of this function in class sc_prim_channel itself does
nothing.
When overridden in a derived class, member function update shall not perform any of the following
actions:
a) Call any member function of class sc_prim_channel with the exception of member function
update itself if overridden within a base class of the current object
b) Call member function notify() of class sc_event with no arguments to create an immediate
notification
c) Call any of the member functions of class sc_process_handle for process control (suspend or
kill, for example)
If the application violates the three rules just given, the behavior of the implementation shall be
undefined.
Member function update should not change the state of any storage except for data members of the
current object. Doing so may result in non-deterministic behavior.
Member function update should not read the state of any primitive channel instance other than the
current object. Doing so may result in non-deterministic behavior.
Member function update should not call interface methods of other channel instances. In particular,
member function update should not write to any signals.
Member function update may call function sc_spawn to create a dynamic process instance. Such a
process shall not become runnable until the next evaluation phase.
NOTE 1—The purpose of the member functions request_update and update is to permit simultaneous
requests to a channel made during the evaluation phase to be resolved or arbitrated during the update phase. The
nature of the arbitration is the responsibility of the application; for example, the behavior of member function
update may be deterministic or random.
NOTE 2—update will typically only read and modify data members of the current object and create delta
notifications.
Authorized licensed use limited to: Furkan Tuncer. Downloaded on October 16,2017 at 17:05:54 UTC from IEEE Xplore. Restrictions apply.
IEEE Std 1666-2011
IEEE Standard for Standard SystemC® Language Reference Manual
123
Copyright © 2012 IEEE. All rights reserved.
5.15.7 next_trigger and wait
The behavior of the member functions wait and next_trigger of class sc_prim_channel shall be identical to
that of the member functions of class sc_module with the same function names and signatures. Aside from
the fact that they are members of different classes and so have different scopes, the restrictions concerning
the context in which the member functions may be called is also identical. For example, the member
function next_trigger shall only be called from a method process.
5.15.8 before_end_of_elaboration, end_of_elaboration, start_of_simulation,
end_of_simulation
See 4.4.
Example:
struct my_if
: virtual sc_interface // An interface proper
{
virtual int read() = 0;
virtual void write(int) = 0;
};
struct my_prim
: sc_prim_channel, my_if // A primitive channel
{
my_prim() // Default constructor
:
sc_prim_channel( sc_gen_unique_name("my_prim") ),
m_req(false),
m_written(false),
m_cur_val(0) {}
virtual void write(int val)
{
if (!m_req) // Only keeps the 1st value written in any one delta
{
m_new_val = val;
request_update(); // Schedules an update request
m_req = true;
}
}
virtual void update() // Called back by the scheduler in the update phase
{
m_cur_val = m_new_val;
m_req = false;
m_written = true;
m_write_event.notify(SC_ZERO_TIME); // A delta notification
}
virtual int read()
{
if (!m_written) wait(m_write_event); // Blocked until update() is called
Authorized licensed use limited to: Furkan Tuncer. Downloaded on October 16,2017 at 17:05:54 UTC from IEEE Xplore. Restrictions apply.
IEEE Std 1666-2011
IEEE Standard for Standard SystemC® Language Reference Manual
124
Copyright © 2012 IEEE. All rights reserved.
m_written = false;
return m_cur_val;
}
bool m_req, m_written;
sc_event m_write_event;
int m_new_val, m_cur_val;
};
5.16 sc_object
5.16.1 Description
Class sc_object is the common base class for classes sc_module, sc_port, sc_export, and
sc_prim_channel, and for the implementation-defined classes associated with spawned and unspawned
process instances. The set of sc_objects shall be organized into an object hierarchy, where each sc_object
has no more than one parent but may have multiple siblings and multiple children. Only module objects and
process objects can have children.
An sc_object is a child of a module instance if and only if that object lies within the module instance, as
defined in 3.1.4. An sc_object is a child of a process instance if and only if that object was created during
the execution of the function associated with that process instance. Object P is a parent of object C if and
only if C is a child of P.
An sc_object that has no parent object is said to be a top-level object. Module instances, spawned process
instances, and objects of an application-defined class derived from class sc_object may be top-level objects.
Each call to function sc_spawn shall create a spawned process instance that is either a child of the caller or a
top-level object. The parent of the spawned process instance so created may be another spawned process
instance, an unspawned process instance, or a module instance. Alternatively, the spawned process instance
may be a top-level object.
Each sc_object shall have a unique hierarchical name reflecting its position in the object hierarchy.
Except where explicitly forbidden (as is the case for the classes sc_module, sc_port, sc_export, and
sc_prim_channel), objects of a class derived from sc_object may be deleted at any time. When such an
sc_object is deleted, it ceases to be a child. The object associated with a process instance shall not be deleted
while the process has surviving children, but it may be deleted by the implementation once all its child
objects have been deleted.
Attributes may be added to each sc_object.
NOTE—An implementation may permit multiple top-level sc_objects (see 4.3).
5.16.2 Class definition
namespace sc_core {
class sc_object
{
public:
const char* name() const;
const char* basename() const;
Authorized licensed use limited to: Furkan Tuncer. Downloaded on October 16,2017 at 17:05:54 UTC from IEEE Xplore. Restrictions apply.
IEEE Std 1666-2011
IEEE Standard for Standard SystemC® Language Reference Manual
125
Copyright © 2012 IEEE. All rights reserved.
virtual const char* kind() const;
virtual void print( std::ostream& = std::cout ) const;
virtual void dump( std::ostream& = std::cout ) const;
virtual const std::vector<sc_object*>& get_child_objects() const;
virtual const std::vector<sc_event*>& get_child_events() const;
sc_object* get_parent_object() const;
bool add_attribute( sc_attr_base& );
sc_attr_base* get_attribute( const std::string& );
const sc_attr_base* get_attribute( const std::string& ) const;
sc_attr_base* remove_attribute( const std::string& );
void remove_all_attributes();
int num_attributes() const;
sc_attr_cltn& attr_cltn();
const sc_attr_cltn& attr_cltn() const;
protected:
sc_object();
sc_object(const char*);
sc_object( const sc_object& );
sc_object& operator= ( const sc_object& );
virtual ~sc_object();
};
const std::vector<sc_object*>& sc_get_top_level_objects();
sc_object* sc_find_object( const char* );
} // namespace sc_core
5.16.3 Constraints on usage
An application may use class sc_object as a base class for other classes besides modules, ports, exports,
primitive channels, and processes. An application may access the hierarchical name of such an object or may
add attributes to such an object.
An application shall not define a class that has two or more base class sub-objects of class sc_object.
Objects of class sc_object may be instantiated during elaboration or may be instantiated during simulation.
However, modules, ports, exports, and primitive channels can only be instantiated during elaboration. It is
permitted to create a channel that is neither a hierarchical channel nor a primitive channel but is nonetheless
derived from class sc_object, and to instantiate such a channel either during elaboration or simulation.
Portless channel access is permitted for any channel, but a port or export cannot be bound to a channel that is
instantiated during simulation.
NOTE 1—Because the constructors are protected, class sc_object cannot be instantiated directly.
NOTE 2—Since the classes having sc_object as a direct base class (that is, sc_module, sc_port, sc_export, and
sc_prim_channel) have class sc_object as a non-virtual base class, any class derived from these classes can have at
most one direct base class derived from class sc_object. In other words, multiple inheritance from the classes derived
from class sc_object is not permitted.
Authorized licensed use limited to: Furkan Tuncer. Downloaded on October 16,2017 at 17:05:54 UTC from IEEE Xplore. Restrictions apply.
IEEE Std 1666-2011
IEEE Standard for Standard SystemC® Language Reference Manual
126
Copyright © 2012 IEEE. All rights reserved.
5.16.4 Constructors and destructor
sc_object();
sc_object(const char*);
Both constructors shall register the sc_object as part of the object hierarchy and shall construct a
hierarchical name for the object using the string name passed as an argument. Calling the constructor
sc_object(const char*) with an empty string shall have the same behavior as the default constructor; that is,
the string name shall be set to "object".
The rules for composing a hierarchical name are given in 5.17.
If the constructor needs to substitute a new string name in place of the original string name as the result of a
name clash, the constructor shall generate a single warning.
sc_object( const sc_object& arg );
The copy constructor shall create a new sc_object as if it had been created by the call sc_object(
arg.basename() ). In other words, the new object shall be a child of a module instance if created
from the constructor of that module or a child of a process instance if created from the function asso-
ciated with that process. The string name of the existing object shall be used as the seed for the string
name of the new object. Attributes or children of the existing object shall not be copied to the new
object.
sc_object& operator= ( const sc_object& );
The assignment operator shall not modify the hierarchical name or the parent of the destination
object in the object hierarchy. In other words, the destination object shall retain its current position
in the object hierarchy. Attributes and children of the destination object shall not be modified.
operator= shall return a reference to *this.
virtual ~sc_object();
The destructor shall delete the object, shall delete any attribute collection attached to the object, and
shall remove the object from the object hierarchy such that it is no longer a child.
NOTE—If an implementation were to create internal objects of class sc_object, the implementation would be obliged by
the rules of this subclause to exclude those objects from the object hierarchy and from the namespace of hierarchical
names. This would necessitate an extension to the semantics of class sc_object, and the implementation would be
obliged to make such an extension transparent to the application.
5.16.5 name, basename, and kind
const char* name() const;
Member function name shall return the hierarchical name of the sc_object instance in the object
hierarchy.
const char* basename() const;
Member function basename shall return the string name of the sc_object instance. This is the string
name created when the sc_object instance was constructed.
virtual const char* kind() const;
Member function kind returns a character string identifying the kind of the sc_object. Member
function kind of class sc_object shall return the string "sc_object". Every class that is part of the
Authorized licensed use limited to: Furkan Tuncer. Downloaded on October 16,2017 at 17:05:54 UTC from IEEE Xplore. Restrictions apply.
IEEE Std 1666-2011
IEEE Standard for Standard SystemC® Language Reference Manual
127
Copyright © 2012 IEEE. All rights reserved.
implementation and that is derived from class sc_object shall override member function kind to
return an appropriate string.
Example:
#include "systemc.h"
SC_MODULE(Mod)
{
sc_port<sc_signal_in_if<int> > p;
SC_CTOR(Mod) // p.name() returns "top.mod.p"
: p("p") // p.basename() returns "p"
{} // p.kind() returns "sc_port"
};
SC_MODULE(Top)
{
Mod *mod; // mod->name() returns "top.mod"
sc_signal<int> sig; // sig.name() returns "top.sig"
SC_CTOR(Top)
: sig("sig")
{
mod = new Mod("mod");
mod->p(sig);
}
};
int sc_main(int argc, char* argv[])
{
Top top("top"); // top.name() returns "top"
sc_start();
return 0;
}
5.16.6 print and dump
virtual void print( std::ostream& = std::cout ) const;
Member function print shall print the character string returned by member function name to the
stream passed as an argument. No additional characters shall be printed.
virtual void dump( std::ostream& = std::cout ) const;
Member function dump shall print at least the name and the kind of the sc_object to the stream
passed as an argument. The formatting shall be implementation-dependent. The purpose of dump is
to allow an implementation to print diagnostic information to help the user debug an application.
5.16.7 Functions for object hierarchy traversal
The four functions in this subclause return information that supports the traversal of the object hierarchy. An
implementation shall allow each of these four functions to be called at any stage during elaboration or
simulation. If called before elaboration is complete, they shall return information concerning the partially
constructed object hierarchy as it exists at the time the functions are called. In other words, a function shall
Authorized licensed use limited to: Furkan Tuncer. Downloaded on October 16,2017 at 17:05:54 UTC from IEEE Xplore. Restrictions apply.
IEEE Std 1666-2011
IEEE Standard for Standard SystemC® Language Reference Manual
128
Copyright © 2012 IEEE. All rights reserved.
return pointers to any objects that have been constructed before the time the function is called but will
exclude any objects constructed after the function is called.
virtual const std::vector<sc_object*>& get_child_objects() const;
Member function get_child_objects shall return a std::vector containing a pointer to every instance
of class sc_object that is a child of the current sc_object in the object hierarchy. The virtual function
sc_object::get_child_objects shall return an empty vector but shall be overridden by the
implementation in those classes derived from class sc_object that do have children, that is, class
sc_module and the implementation-defined classes associated with spawned and unspawned
process instances.
virtual const std::vector<sc_event*>& get_child_events() const;
Member function get_child_events shall return a std::vector containing a pointer to every object of
type sc_event that is a hierarchically named event and whose parent is the current object. The virtual
function sc_object::get_child_events shall return an empty vector but shall be overridden by the
implementation in those classes derived from class sc_object that do have children, that is, class
sc_module and the implementation-defined classes associated with spawned and unspawned
process instances.
sc_object* get_parent_object() const;
Member function get_parent_object shall return a pointer to the sc_object that is the parent of the
current object in the object hierarchy. If the current object is a top-level object, member function
get_parent_object shall return the null pointer. If the parent object is a process instance and that
process has terminated, get_parent_object shall return a pointer to that process instance. A process
instance shall not be deleted (nor any associated process handles invalidated) while the process has
surviving children, but it may be deleted once all its child objects have been deleted.
const std::vector<sc_object*>& sc_get_top_level_objects();
Function sc_get_top_level_objects shall return a std::vector containing pointers to all of the top-
level sc_objects.
sc_object* sc_find_object( const char* );
Function sc_find_object shall return a pointer to the sc_object that has a hierarchical name that
exactly matches the value of the string argument or shall return the null pointer if there is no
sc_object having a matching name.
Examples:
void scan_hierarchy(sc_object* obj) // Traverse the entire object subhierarchy
// below a given object
{
std::vector<sc_object*> children = obj->get_child_objects();
for ( unsigned i = 0; i < children.size(); i++ )
if ( children[i] )
scan_hierarchy( children[i] );
}
std::vector<sc_object*> tops = sc_get_top_level_objects();
for ( unsigned i = 0; i < tops.size(); i++ )
Authorized licensed use limited to: Furkan Tuncer. Downloaded on October 16,2017 at 17:05:54 UTC from IEEE Xplore. Restrictions apply.
IEEE Std 1666-2011
IEEE Standard for Standard SystemC® Language Reference Manual
129
Copyright © 2012 IEEE. All rights reserved.
if ( tops[i] )
scan_hierarchy( tops[i] ); // Traverse the object hierarchy below
// each top-level object
sc_object* obj = sc_find_object("foo.foobar"); // Find an object given its hierarchical name
sc_module* m;
if (m = dynamic_cast<sc_module*>(obj)) // Test whether the given object is a module
... // The given object is a module
sc_object* parent = obj->get_parent_object(); // Get the parent of the given object
if (parent) // parent is a null pointer for a top-level object
std::cout << parent->name() << " " << parent->kind();// Print the name and kind
5.16.8 Member functions for attributes
bool add_attribute( sc_attr_base& );
Member function add_attribute shall attempt to attach to the object of class sc_object the attribute
passed as an argument. If an attribute having the same name as the new attribute is already attached
to this object, member function add_attribute shall not attach the new attribute and shall return the
value false. Otherwise, member function add_attribute shall attach the new attribute and shall
return the value true. The argument should be an object of class sc_attribute, not sc_attr_base.
The lifetime of an attribute shall extend until the attribute has been completely removed from all
objects. If an application deletes an attribute that is still attached to an object, the behavior of the
implementation shall be undefined.
sc_attr_base* get_attribute( const std::string& );
const sc_attr_base* get_attribute( const std::string& ) const;
Member function get_attribute shall attempt to retrieve from the object of class sc_object an
attribute having the name passed as an argument. If an attribute with the given name is attached to
this object, member function get_attribute shall return a pointer to that attribute. Otherwise,
member function get_attribute shall return the null pointer.
sc_attr_base* remove_attribute( const std::string& );
Member function remove_attribute shall attempt to remove from the object of class sc_object an
attribute having the name passed as an argument. If an attribute with the given name is attached to
this object, member function remove_attribute shall return a pointer to that attribute and remove
the attribute from this object. Otherwise, member function remove_attribute shall return the null
pointer.
void remove_all_attributes();
Member function remove_all_attributes shall remove all attributes from the object of class
sc_object.
int num_attributes() const;
Member function num_attributes shall return the number of attributes attached to the object of
class sc_object.
sc_attr_cltn& attr_cltn();
const sc_attr_cltn& attr_cltn() const;
Authorized licensed use limited to: Furkan Tuncer. Downloaded on October 16,2017 at 17:05:54 UTC from IEEE Xplore. Restrictions apply.
IEEE Std 1666-2011
IEEE Standard for Standard SystemC® Language Reference Manual
130
Copyright © 2012 IEEE. All rights reserved.
Member function attr_cltn shall return the collection of attributes attached to the object of class
sc_object (see 5.20).
NOTE—A pointer returned from function get_attribute needs to be cast to type sc_attribute<T>* in order to
access data member value of class sc_attribute.
Example:
sc_signal<int> sig;
...
// Add an attribute to an sc_object
sc_attribute<int> a("number", 1);
sig.add_attribute(a);
// Retrieve the attribute by name and modify the value
sc_attribute<int>* ap;
ap = (sc_attribute<int>*)sig.get_attribute("number");
++ ap->value;
5.17 Hierarachical naming of objects and events
This clause describes the rules that determine the hierarchical naming of objects of type sc_object and of
hierarchically named events. The naming of events that are not hierarchically named is described in 5.10.4.
namespace sc_core {
bool sc_hierarchical_name_exists( const char* );
} // namespace sc_core
Function sc_hierarchical_name_exists shall return the value true if and only if the value of the string
argument exactly matches the hierarchical name of an sc_object or of a hierarchically named event. If the
value of the string argument exactly matches an implementation-defined event name, function
sc_hierarchical_name_exists shall return the value false unless the string argument also matches a
hierarchical name.
A hierarchical name shall be composed of a set of string names separated by the period character '.', starting
with the string name of a top-level sc_object instance and including the string name of each module instance
or process instance descending down through the object hierarchy until the current sc_object or sc_event is
reached. The hierarchical name shall end with the string name of the sc_object or sc_event itself.
Hierarchical names are case-sensitive.
It shall be an error if a string name includes the period character (.) or any white-space characters. It is
strongly recommended that an application limit the character set of a string name to the following:
a) Lowercase letters a–z
b) Uppercase letters A–Z
c) Decimal digits 0–9
d) Underscore character _
Authorized licensed use limited to: Furkan Tuncer. Downloaded on October 16,2017 at 17:05:54 UTC from IEEE Xplore. Restrictions apply.
IEEE Std 1666-2011
IEEE Standard for Standard SystemC® Language Reference Manual
131
Copyright © 2012 IEEE. All rights reserved.
An implementation may generate a warning if a string name contains characters outside this set but is not
obliged to do so.
There shall be a single global namespace for hierarchical names. Each sc_object and each hierarchically
named sc_event shall have a unique non-empty hierarchical name. An implementation shall not add any
names to this namespace other than the hierarchical names of sc_objects explicitly constructed by an
application and the hierarchical names of hierarchically named events.
The constructor shall build a hierarchical name from the string name (either passed in as an argument or the
default name "object" for an sc_object or "event" for an sc_event) and test whether that hierarchical name
is unique. If it is unique, that hierarchical name shall become the hierarchical name of the object. If not, the
constructor shall call function sc_gen_unique_name, passing the string name as a seed. It shall use the
value returned as a replacement for the string name and shall repeat this process until a unique hierarchical
name is generated.
If function sc_gen_unique_name is called more than once in the course of constructing any given object,
the choice of seed passed to sc_gen_unique_name on the second and subsequent calls shall be
implementation-defined but shall in any case be either the string name passed as the seed on the first such
call or shall be one of the string names returned from sc_gen_unique_name in the course of constructing
the given object. In other words, the final string name shall have the original string name as a prefix.
5.18 sc_attr_base
5.18.1 Description
Class sc_attr_base is the base class for attributes, storing only the name of the attribute. The name is used as
a key when retrieving an attribute from an object. Every attribute attached to a specific object shall have a
unique name but two or more attributes with identical names may be attached to distinct objects.
5.18.2 Class definition
namespace sc_core {
class sc_attr_base
{
public:
sc_attr_base( const std::string& );
sc_attr_base( const sc_attr_base& );
virtual ~sc_attr_base();
const std::string& name() const;
private:
// Disabled
sc_attr_base();
sc_attr_base& operator= ( const sc_attr_base& );
};
} // namespace sc_core
Authorized licensed use limited to: Furkan Tuncer. Downloaded on October 16,2017 at 17:05:54 UTC from IEEE Xplore. Restrictions apply.
IEEE Std 1666-2011
IEEE Standard for Standard SystemC® Language Reference Manual
132
Copyright © 2012 IEEE. All rights reserved.
5.18.3 Member functions
The constructors for class sc_attr_base shall set the name of the attribute to the string passed as an argument
to the constructor.
Member function name shall return the name of the attribute.
5.19 sc_attribute
5.19.1 Description
Class sc_attribute stores the value of an attribute. It is derived from class sc_attr_base, which stores the
name of the attribute. An attribute can be attached to an object of class sc_object.
5.19.2 Class definition
namespace sc_core {
template <class T>
class sc_attribute
: public sc_attr_base
{
public:
sc_attribute( const std::string& );
sc_attribute( const std::string&, const T& );
sc_attribute( const sc_attribute<T>& );
virtual ~sc_attribute();
T value;
private:
// Disabled
sc_attribute();
sc_attribute<T>& operator= ( const sc_attribute<T>& );
};
} // namespace sc_core
5.19.3 Template parameters
The argument passed to template sc_attribute shall be of a copy-constructible type.
5.19.4 Member functions and data members
The constructors shall set the name and value of the attribute using the name (of type std::string) and value
(of type T) passed as arguments to the constructor. If no value is passed to the constructor, the default
constructor (of type T) shall be called to construct the value.
Data member value is the value of the attribute. An application may read or assign this public data member.
Authorized licensed use limited to: Furkan Tuncer. Downloaded on October 16,2017 at 17:05:54 UTC from IEEE Xplore. Restrictions apply.
IEEE Std 1666-2011
IEEE Standard for Standard SystemC® Language Reference Manual
133
Copyright © 2012 IEEE. All rights reserved.
5.20 sc_attr_cltn
5.20.1 Description
Class sc_attr_cltn is a container class for attributes, as used in the implementation of class sc_object. It
provides iterators for traversing all of the attributes in an attribute collection.
5.20.2 Class definition
namespace sc_core {
class sc_attr_cltn
{
public:
typedef sc_attr_base* elem_type;
typedef elem_type* iterator;
typedef const elem_type* const_iterator;
iterator begin();
const_iterator begin() const;
iterator end();
const_iterator end() const;
// Other members
Implementation-defined
private:
// Disabled
sc_attr_cltn( const sc_attr_cltn& );
sc_attr_cltn& operator= ( const sc_attr_cltn& );
};
} // namespace sc_core
5.20.3 Constraints on usage
An application shall not explicitly create an object of class sc_attr_cltn. An application may use the
iterators to traverse the attribute collection returned by member function attr_cltn of class sc_object.
An implementation is only obliged to keep an attribute collection valid until a new attribute is attached to the
sc_object or an existing attribute is removed from the sc_object in question. Hence, an application should
traverse the attribute collection immediately on return from member function attr_cltn.
5.20.4 Iterators
iterator begin();
const_iterator begin() const;
iterator end();
const_iterator end() const;
Member function begin shall return a pointer to the first element of the collection. Each element of
the collection is itself a pointer to an attribute.
Authorized licensed use limited to: Furkan Tuncer. Downloaded on October 16,2017 at 17:05:54 UTC from IEEE Xplore. Restrictions apply.
IEEE Std 1666-2011
IEEE Standard for Standard SystemC® Language Reference Manual
134
Copyright © 2012 IEEE. All rights reserved.
Member function end shall return a pointer to the element following the last element of the
collection.
Example:
sc_signal<int> sig;
...
// Iterate through all the attributes of an sc_object
sc_attr_cltn& c = sig.attr_cltn();
for (sc_attr_cltn::iterator i = c.begin(); i < c.end(); i++)
{
sc_attribute<int>* ap = dynamic_cast<sc_attribute<int>*>(*i);
if (ap) std::cout << ap->name() << "=" << ap->value << std::endl;
}
Authorized licensed use limited to: Furkan Tuncer. Downloaded on October 16,2017 at 17:05:54 UTC from IEEE Xplore. Restrictions apply.
IEEE Std 1666-2011
IEEE Standard for Standard SystemC® Language Reference Manual
135
Copyright © 2012 IEEE. All rights reserved.
6. Predefined channel class definitions
6.1 sc_signal_in_if
6.1.1 Description
Class sc_signal_in_if is an interface proper used by predefined channels, including sc_signal. Interface
sc_signal_in_if gives read access to the value of a signal.
6.1.2 Class definition
namespace sc_core {
template <class T>
class sc_signal_in_if
: virtual public sc_interface
{
public:
virtual const T& read() const = 0;
virtual const sc_event& value_changed_event() const = 0;
virtual bool event() const = 0;
protected:
sc_signal_in_if();
private:
// Disabled
sc_signal_in_if( const sc_signal_in_if<T>& );
sc_signal_in_if<T>& operator= ( const sc_signal_in_if<T>& );
};
} // namespace sc_core
6.1.3 Member functions
The following member functions are all pure virtual functions. The descriptions refer to the expected
definitions of the functions when overridden in a channel that implements this interface. The precise
semantics will be channel-specific.
Member function read shall return a reference to the current value of the channel.
Member function value_changed_event shall return a reference to an event that is notified whenever the
value of the channel is written or modified.
Member function event shall return the value true if and only if the value of the channel was written or
modified in the immediately preceding delta cycle and at the current simulation time.
NOTE—The value of the channel may have been modified in the evaluation phase or in the update phase of the
immediately preceding delta cycle, depending on whether it is a hierarchical channel or a primitive channel (for
example, sc_signal).
Authorized licensed use limited to: Furkan Tuncer. Downloaded on October 16,2017 at 17:05:54 UTC from IEEE Xplore. Restrictions apply.
IEEE Std 1666-2011
IEEE Standard for Standard SystemC® Language Reference Manual
136
Copyright © 2012 IEEE. All rights reserved.
6.2 sc_signal_in_if<bool> and sc_signal_in_if<sc_dt::sc_logic>
6.2.1 Description
Classes sc_signal_in_if<bool> and sc_signal_in_if<sc_dt::sc_logic> are interfaces proper that provide
additional member functions appropriate for two-valued signals.
6.2.2 Class definition
namespace sc_core {
template <>
class sc_signal_in_if<bool>
: virtual public sc_interface
{
public:
virtual const T& read() const = 0;
virtual const sc_event& value_changed_event() const = 0;
virtual const sc_event& posedge_event() const = 0;
virtual const sc_event& negedge_event() const = 0;
virtual bool event() const = 0;
virtual bool posedge() const = 0;
virtual bool negedge() const = 0;
protected:
sc_signal_in_if();
private:
// Disabled
sc_signal_in_if( const sc_signal_in_if<bool>& );
sc_signal_in_if<bool>& operator= ( const sc_signal_in_if<bool>& );
};
template <>
class sc_signal_in_if<sc_dt::sc_logic>
: virtual public sc_interface
{
public:
virtual const T& read() const = 0;
virtual const sc_event& value_changed_event() const = 0;
virtual const sc_event& posedge_event() const = 0;
virtual const sc_event& negedge_event() const = 0;
virtual bool event() const = 0;
virtual bool posedge() const = 0;
virtual bool negedge() const = 0;
protected:
sc_signal_in_if();
Authorized licensed use limited to: Furkan Tuncer. Downloaded on October 16,2017 at 17:05:54 UTC from IEEE Xplore. Restrictions apply.
IEEE Std 1666-2011
IEEE Standard for Standard SystemC® Language Reference Manual
137
Copyright © 2012 IEEE. All rights reserved.
private:
// Disabled
sc_signal_in_if( const sc_signal_in_if<sc_dt::sc_logic>& );
sc_signal_in_if<sc_dt::sc_logic>& operator= ( const sc_signal_in_if<sc_dt::sc_logic>& );
};
} // namespace sc_core
6.2.3 Member functions
The following list is incomplete. For the remaining member functions, refer to the definitions of the member
functions for class sc_signal_in_if (see 6.1.3).
Member function posedge_event shall return a reference to an event that is notified whenever the value of
the channel (as returned by member function read) changes and the new value of the channel is true or '1'.
Member function negedge_event shall return a reference to an event that is notified whenever the value of
the channel (as returned by member function read) changes and the new value of the channel is false or '0'.
Member function posedge shall return the value true if and only if the value of the channel changed in the
update phase of the immediately preceding delta cycle and at the current simulation time, and the new value
of the channel is true or '1'.
Member function negedge shall return the value true if and only if the value of the channel changed in the
update phase of the immediately preceding delta cycle and at the current simulation time, and the new value
of the channel is false or '0'.
6.3 sc_signal_inout_if
6.3.1 Description
Class sc_signal_inout_if is an interface proper that is used by predefined channels, including sc_signal.
Interface sc_signal_inout_if gives both read and write access to the value of a signal, and it is derived from
a further interface proper sc_signal_write_if.
6.3.2 Class definition
namespace sc_core {
enum sc_writer_policy
{
SC_ONE_WRITER,
SC_MANY_WRITERS
};
template <class T>
class sc_signal_write_if
: virtual public sc_interface
{
public:
virtual sc_writer_policy get_writer_policy() const { return SC_ONE_WRITER; }
virtual void write( const T& ) = 0;
Authorized licensed use limited to: Furkan Tuncer. Downloaded on October 16,2017 at 17:05:54 UTC from IEEE Xplore. Restrictions apply.
IEEE Std 1666-2011
IEEE Standard for Standard SystemC® Language Reference Manual
138
Copyright © 2012 IEEE. All rights reserved.
protected:
sc_signal_write_if();
private:
// Disabled
sc_signal_write_if( const sc_signal_write_if<T>& );
sc_signal_write_if<T>& operator= ( const sc_signal_write_if<T>& );
};
template <class T>
class sc_signal_inout_if
: public sc_signal_in_if<T> , public sc_signal_write_if<T>
{
protected:
sc_signal_inout_if();
private:
// Disabled
sc_signal_inout_if( const sc_signal_inout_if<T>& );
sc_signal_inout_if<T>& operator= ( const sc_signal_inout_if<T>& );
};
} // namespace sc_core
6.3.3 Member functions
The following text describes the expected definitions of the member functions when overridden in a channel
that implements this interface. The precise semantics will be channel-specific.
virtual sc_writer_policy get_writer_policy() const { return SC_ONE_WRITER; }
Member function get_writer_policy shall return the value of the writer policy for the channel
instance. Unless overridden in a channel, this function shall return the value SC_ONE_WRITER for
backward compatibility with previous versions of this standard.
virtual void write( const T& ) = 0;
Member function write shall modify the value of the channel such that the channel appears to have
the new value (as returned by member function read) in the next delta cycle but not before then. The
new value is passed as an argument to the function.
Member function write shall honor the value of the writer policy set for the channel instance; that is,
it shall permit either one writer or many writers.
Authorized licensed use limited to: Furkan Tuncer. Downloaded on October 16,2017 at 17:05:54 UTC from IEEE Xplore. Restrictions apply.
IEEE Std 1666-2011
IEEE Standard for Standard SystemC® Language Reference Manual
139
Copyright © 2012 IEEE. All rights reserved.
6.4 sc_signal
6.4.1 Description
Class sc_signal is a predefined primitive channel intended to model the behavior of a single piece of wire
carrying a digital electronic signal.
6.4.2 Class definition
namespace sc_core {
template <class T, sc_writer_policy WRITER_POLICY = SC_ONE_WRITER>
class sc_signal
: public sc_signal_inout_if<T>, public sc_prim_channel
{
public:
sc_signal();
explicit sc_signal( const char* );
virtual ~sc_signal();
virtual void register_port( sc_port_base&, const char* );
virtual const T& read() const;
operator const T& () const;
virtual sc_writer_policy get_writer_policy() const;
virtual void write( const T& );
sc_signal<T,WRITER_POLICY>& operator= ( const T& );
sc_signal<T,WRITER_POLICY>& operator= ( const sc_signal<T,WRITER_POLICY>& );
virtual const sc_event& default_event() const;
virtual const sc_event& value_changed_event() const;
virtual bool event() const;
virtual void print( std::ostream& = std::cout ) const;
virtual void dump( std::ostream& = std::cout ) const;
virtual const char* kind() const;
protected:
virtual void update();
private:
// Disabled
sc_signal( const sc_signal<T,WRITER_POLICY>& );
};
template <class T, sc_writer_policy WRITER_POLICY>
inline std::ostream& operator<< ( std::ostream&, const sc_signal<T,WRITER_POLICY>& );
} // namespace sc_core
Authorized licensed use limited to: Furkan Tuncer. Downloaded on October 16,2017 at 17:05:54 UTC from IEEE Xplore. Restrictions apply.
IEEE Std 1666-2011
IEEE Standard for Standard SystemC® Language Reference Manual
140
Copyright © 2012 IEEE. All rights reserved.
6.4.3 Template parameter T
The argument passed to template sc_signal shall be either a C++ type for which the predefined semantics for
assignment and equality are adequate (for example, a fundamental type or a pointer), or a type T that obeys
each of the following rules:
a) The following equality operator shall be defined for the type T and should return the value true if
and only if the two values being compared are to be regarded as indistinguishable for the purposes of
signal propagation (that is, an event occurs only if the values are different). The implementation
shall use this operator within the implementation of the signal to determine whether an event has
occurred.
bool T::operator== ( const T& );
b) The following stream operator shall be defined and should copy the state of the object given as the
second argument to the stream given as the first argument. The way in which the state information is
formatted is undefined by this standard. The implementation shall use this operator in implementing
the behavior of the member functions print and dump.
std::ostream& operator<< ( std::ostream&, const T& );
c) If the default assignment semantics are inadequate (in the sense given in this subclause), the
following assignment operator should be defined for the type T. In either case (default assignment or
explicit operator), the semantics of assignment should be sufficient to assign the state of an object of
type T such that the value of the left operand is indistinguishable from the value of the right operand
using the equality operator mentioned in this subclause. The implementation shall use this
assignment operator within the implementation of the signal when assigning or copying values of
type T.
const T& operator= ( const T& );
d) If any constructor for type T exists, a default constructor for type T shall be defined.
e) If the class template is used to define a signal to which a port of type sc_in, sc_inout, or sc_out is
bound, the following function shall be defined:
void sc_trace( sc_trace_file*, const T&, const std::string& );
NOTE 1—The equality and assignment operators are not obliged to compare and assign the complete state of the object,
although they should typically do so. For example, diagnostic information may be associated with an object that is not to
be propagated through the signal.
NOTE 2—The SystemC data types proper (sc_dt::sc_int, sc_dt::sc_logic, and so forth) all conform to the rule set just
given.
NOTE 3—It is illegal to pass class sc_module (for example) as a template argument to class sc_signal, because
sc_module::operator== does not exist. It is legal to pass type sc_module* through a signal, although this would be
regarded as an abuse of the module hierarchy and thus bad practice.
6.4.4 Reading and writing signals
A signal is read by calling member function read or operator const T& ().
A signal is written by calling member function write or operator= of the given signal object. If the template
argument WRITER_POLICY has the value SC_ONE_WRITER, it shall be an error to write to a given
Authorized licensed use limited to: Furkan Tuncer. Downloaded on October 16,2017 at 17:05:54 UTC from IEEE Xplore. Restrictions apply.
IEEE Std 1666-2011
IEEE Standard for Standard SystemC® Language Reference Manual
141
Copyright © 2012 IEEE. All rights reserved.
signal instance from more than one process instance at any time during simulation. If the template argument
WRITER_POLICY has the value SC_MANY_WRITERS, it shall be an error to write to a given signal
instance from more than one process instance during any given evaluation phase, but different process
instances may write to a given signal instance during different delta cycles. A signal may be written during
elaboration (including the elaboration and simulation callbacks as described in 4.4) to initialize the value of
the signal. A signal may be written from function sc_main during elaboration or while simulation is paused,
that is, before or after the call to function sc_start.
Signals are typically read and written during the evaluation phase, but the value of the signal is only
modified during the subsequent update phase. If and only if the value of the signal actually changes as a
result of being written, an event (the value-changed event) shall be notified in the delta notification phase
that immediately follows.
If a given signal is written on multiple occasions within a particular evaluation phase, or during elaboration,
or from function sc_main, the value to which the signal changes in the immediately following update phase
shall be determined by the most recent write; that is, the last write wins.
NOTE 1—The specialized ports sc_inout and sc_out have a member function initialize for the purpose of initializing
the value of a signal during elaboration.
NOTE 2—If the value of a signal is read during elaboration, the value returned will be the initial value of the signal as
created by the default constructor for type T.
NOTE 3—If a given signal is written and read during the same evaluation phase, the old value will be read. The value
written will not be available to be read until the subsequent evaluation phase.
6.4.5 Constructors
sc_signal();
This constructor shall call the base class constructor from its initializer list as follows:
sc_prim_channel( sc_gen_unique_name( "signal" ) )
explicit sc_signal( const char* name_ );
This constructor shall call the base class constructor from its initializer list as follows:
sc_prim_channel( name_ )
Both constructors shall initialize the value of the signal by calling the default constructor for type T from
their initializer lists.
6.4.6 register_port
virtual void register_port( sc_port_base&, const char* );
Member function register_port of class sc_interface shall be overridden in class sc_signal and
shall perform the following error check. If the template argument WRITER_POLICY has the value
SC_ONE_WRITER, it shall be an error to bind more than one port of type sc_signal_inout_if to a
given signal. If the WRITER_POLICY has the value SC_MANY_WRITERS, one or more ports of
type sc_signal_inout_if may be bound to a given signal.
6.4.7 Member functions for reading
virtual const T& read() const;
Member function read shall return a reference to the current value of the signal but shall not modify
the state of the signal.
Authorized licensed use limited to: Furkan Tuncer. Downloaded on October 16,2017 at 17:05:54 UTC from IEEE Xplore. Restrictions apply.
IEEE Std 1666-2011
IEEE Standard for Standard SystemC® Language Reference Manual
142
Copyright © 2012 IEEE. All rights reserved.
operator const T& () const;
operator const T& () shall return a reference to the current value of the signal (as returned by
member function read).
6.4.8 Member functions for writing
virtual sc_writer_policy get_writer_policy() const;
Member function get_writer_policy shall return the value of the WRITER_POLICY template
parameter for the channel instance.
virtual void write( const T& );
Member function write shall modify the value of the signal such that the signal appears to have the
new value (as returned by member function read) in the next delta cycle but not before then. This
shall be accomplished using the update request mechanism of the primitive channel. The new value
is passed as an argument to member function write. Member function write may be called during
elaboration, in which case the update request shall be executed during the initialization phase.
operator=
The behavior of operator= shall be equivalent to the following definitions:
sc_signal<T,WRITER_POLICY>& operator= ( const T& arg ) { write( arg ); return *this; }
sc_signal<T,WRITER_POLICY>& operator= ( const sc_signal<T,WRITER_POLICY>& arg ) {
write( arg.read() ); return *this; }
virtual void update();
Member function update of class sc_prim_channel shall be overridden by the implementation in
class sc_signal to implement the updating of the signal value that occurs as a result of the signal
being written. Member function update shall modify the current value of the signal such that it gets
the new value (as passed as an argument to member function write), and it shall cause the value-
changed event to be notified in the immediately following delta notification phase if the value of the
signal has changed.
NOTE—Member function update is called by the scheduler but typically is not called by an application.
However, member function update of class sc_signal may be called from member function update of a class
derived from class sc_signal.
6.4.9 Member functions for events
virtual const sc_event& default_event() const;
virtual const sc_event& value_changed_event() const;
Member functions default_event and value_changed_event shall both return a reference to the
value-changed event.
virtual bool event() const;
Member function event shall return the value true if and only if the value of the signal changed in
the update phase of the immediately preceding delta cycle and at the current simulation time; that is,
a member function write or operator= was called in the immediately preceding evaluation phase,
and the value written or assigned was different from the previous value of the signal.
Authorized licensed use limited to: Furkan Tuncer. Downloaded on October 16,2017 at 17:05:54 UTC from IEEE Xplore. Restrictions apply.
IEEE Std 1666-2011
IEEE Standard for Standard SystemC® Language Reference Manual
143
Copyright © 2012 IEEE. All rights reserved.
NOTE—Member function event returns true when called from a process that was executed as a direct result of
the value-changed event of that same signal instance being notified.
6.4.10 Diagnostic member functions
virtual void print( std::ostream& = std::cout ) const;
Member function print shall print the current value of the signal to the stream passed as an
argument by calling operator<< (std::ostream&, T&). No additional characters shall be printed.
virtual void dump( std::ostream& = std::cout ) const;
Member function dump shall print at least the hierarchical name, the current value, and the new
value of the signal to the stream passed as an argument. The formatting shall be implementation-
defined.
virtual const char* kind() const;
Member function kind shall return the string "sc_signal".
6.4.11 operator<<
template <class T, sc_writer_policy WRITER_POLICY>
inline std::ostream& operator<< ( std::ostream& , const sc_ signal<T,WRITER_POLICY>& );
operator<< shall print the current value of the signal passed as the second argument to the stream
passed as the first argument by calling operator<< ( std::ostream& , T& ).
Example:
SC_MODULE(M)
{
sc_signal<int> sig;
SC_CTOR(M)
{
SC_THREAD(writer);
SC_THREAD(reader);
SC_METHOD(writer2);
sensitive << sig; // Sensitive to the default event
}
void writer()
{
wait(50, SC_NS);
sig.write(1);
sig.write(2);
wait(50, SC_NS);
sig = 3; // Calls operator= ( const T& )
}
void reader()
{
wait(sig.value_changed_event());
int i = sig.read(); // Reads a value of 2
wait(sig.value_changed_event());
i = sig; // Calls operator const T& (), which returns a value of 3
}
Authorized licensed use limited to: Furkan Tuncer. Downloaded on October 16,2017 at 17:05:54 UTC from IEEE Xplore. Restrictions apply.
IEEE Std 1666-2011
IEEE Standard for Standard SystemC® Language Reference Manual
144
Copyright © 2012 IEEE. All rights reserved.
void writer2()
{
sig.write(sig + 1); // An error. A signal shall not have multiple writers
}
};
NOTE—The following classes are related to class sc_signal:
— The classes sc_signal<bool,WRITER_POLICY> and sc_signal<sc_dt::sc_logic,WRITER_POLICY>
provide additional member functions appropriate for two-valued signals.
— The class sc_buffer is derived from sc_signal but differs in that the value-changed event is notified whenever
the buffer is written whether or not the value of the buffer has changed.
— The class sc_clock is derived from sc_signal and generates a periodic clock signal.
— The class sc_signal_resolved allows multiple writers.
— The classes sc_in, sc_out, and sc_inout are specialized ports that may be bound to signals, and which provide
functions to access the member functions of the signal conveniently through the port.
6.5 sc_signal<bool,WRITER_POLICY> and
sc_signal<sc_dt::sc_logic,WRITER_POLICY>
6.5.1 Description
Classes sc_signal<bool,WRITER_POLICY> and sc_signal<sc_dt::sc_logic,WRITER_POLICY> are
predefined primitive channels that provide additional member functions appropriate for two-valued signals.
6.5.2 Class definition
namespace sc_core {
template <sc_writer_policy WRITER_POLICY>
class sc_signal<bool,WRITER_POLICY>
: public sc_signal_inout_if<bool>, public sc_prim_channel
{
public:
sc_signal();
explicit sc_signal( const char* );
virtual ~sc_signal();
virtual void register_port( sc_port_base&, const char* );
virtual const bool& read() const;
operator const bool& () const;
virtual sc_writer_policy get_writer_policy() const;
virtual void write( const bool& );
sc_signal<bool,WRITER_POLICY>& operator= ( const bool& );
sc_signal<bool,WRITER_POLICY>& operator= ( const sc_signal<bool,WRITER_POLICY>& );
virtual const sc_event& default_event() const;
virtual const sc_event& value_changed_event() const;
virtual const sc_event& posedge_event() const;
virtual const sc_event& negedge_event() const;
Authorized licensed use limited to: Furkan Tuncer. Downloaded on October 16,2017 at 17:05:54 UTC from IEEE Xplore. Restrictions apply.
IEEE Std 1666-2011
IEEE Standard for Standard SystemC® Language Reference Manual
145
Copyright © 2012 IEEE. All rights reserved.
virtual bool event() const;
virtual bool posedge() const;
virtual bool negedge() const;
virtual void print( std::ostream& = std::cout ) const;
virtual void dump( std::ostream& = std::cout ) const;
virtual const char* kind() const;
protected:
virtual void update();
private:
// Disabled
sc_signal( const sc_signal<bool,WRITER_POLICY>& );
};
template <sc_writer_policy WRITER_POLICY>
class sc_signal<sc_dt::sc_logic,WRITER_POLICY>
: public sc_signal_inout_if<sc_dt::sc_logic,WRITER_POLICY>, public sc_prim_channel
{
public:
sc_signal();
explicit sc_signal( const char* );
virtual ~sc_signal();
virtual void register_port( sc_port_base&, const char* );
virtual const sc_dt::sc_logic& read() const;
operator const sc_dt::sc_logic& () const;
virtual void write( const sc_dt::sc_logic& );
sc_signal<sc_dt::sc_logic,WRITER_POLICY>& operator= ( const sc_dt::sc_logic& );
sc_signal<sc_dt::sc_logic,WRITER_POLICY>&
operator= ( const sc_signal<sc_dt::sc_logic,WRITER_POLICY>& );
virtual const sc_event& default_event() const;
virtual const sc_event& value_changed_event() const;
virtual const sc_event& posedge_event() const;
virtual const sc_event& negedge_event() const;
virtual bool event() const;
virtual bool posedge() const;
virtual bool negedge() const;
virtual void print( std::ostream& = std::cout ) const;
virtual void dump( std::ostream& = std::cout ) const;
virtual const char* kind() const;
protected:
virtual void update();
Authorized licensed use limited to: Furkan Tuncer. Downloaded on October 16,2017 at 17:05:54 UTC from IEEE Xplore. Restrictions apply.
IEEE Std 1666-2011
IEEE Standard for Standard SystemC® Language Reference Manual
146
Copyright © 2012 IEEE. All rights reserved.
private:
// Disabled
sc_signal( const sc_signal<sc_dt::sc_logic,WRITER_POLICY>& );
};
} // namespace sc_core
6.5.3 Member functions
The following list is incomplete. For the remaining member functions, refer to the definitions of the member
functions for class sc_signal (see 6.4).
virtual const sc_event& posedge_event () const;
Member function posedge_event shall return a reference to an event that is notified whenever the
value of the signal (as returned by member function read) changes and the new value of the signal is
true or '1'.
virtual const sc_event& negedge_event() const;
Member function negedge_event shall return a reference to an event that is notified whenever the
value of the signal (as returned by member function read) changes and the new value of the signal is
false or '0'.
virtual bool posedge () const;
Member function posedge shall return the value true if and only if the value of the signal changed in
the update phase of the immediately preceding delta cycle and at the current simulation time, and the
new value of the signal is true or '1'.
virtual bool negedge() const;
Member function negedge shall return the value true if and only if the value of the signal changed
in the update phase of the immediately preceding delta cycle and at the current simulation time, and
the new value of the signal is false or '0'.
Example:
sc_signal<bool> clk;
...
void thread_process()
{
for (;;)
{
if (clk.posedge())
wait(clk.negedge_event());
...
}
}
Authorized licensed use limited to: Furkan Tuncer. Downloaded on October 16,2017 at 17:05:54 UTC from IEEE Xplore. Restrictions apply.
IEEE Std 1666-2011
IEEE Standard for Standard SystemC® Language Reference Manual
147
Copyright © 2012 IEEE. All rights reserved.
6.6 sc_buffer
6.6.1 Description
Class sc_buffer is a predefined primitive channel derived from class sc_signal. Class sc_buffer differs from
class sc_signal in that a value-changed event is notified whenever the buffer is written rather than only when
the value of the signal is changed. A buffer is an object of the class sc_buffer.
6.6.2 Class definition
namespace sc_core {
template <class T, sc_writer_policy WRITER_POLICY>
class sc_buffer
: public sc_signal<T,WRITER_POLICY>
{
public:
sc_buffer();
explicit sc_buffer( const char* );
virtual void write( const T& );
sc_buffer<T,WRITER_POLICY>& operator= ( const T& );
sc_buffer<T,WRITER_POLICY>& operator= ( const sc_signal<T,WRITER_POLICY>& );
sc_buffer<T,WRITER_POLICY>& operator= ( const sc_buffer<T,WRITER_POLICY>& );
virtual const char* kind() const;
protected:
virtual void update();
private:
// Disabled
sc_buffer( const sc_buffer<T,WRITER_POLICY>& );
};
} // namespace sc_core
6.6.3 Constructors
sc_buffer();
This constructor shall call the base class constructor from its initializer list as follows:
sc_signal( sc_gen_unique_name( "buffer" ) )
explicit sc_buffer( const char* name_ );
This constructor shall call the base class constructor from its initializer list as follows:
sc_signal( name_ )
Authorized licensed use limited to: Furkan Tuncer. Downloaded on October 16,2017 at 17:05:54 UTC from IEEE Xplore. Restrictions apply.
IEEE Std 1666-2011
IEEE Standard for Standard SystemC® Language Reference Manual
148
Copyright © 2012 IEEE. All rights reserved.
6.6.4 Member functions
virtual void write( const T& );
Member function write shall modify the value of the buffer such that the buffer appears to have the
new value (as returned by member function read) in the next delta cycle but not before then. This
shall be accomplished using the update request mechanism of the primitive channel. The new value
is passed as an argument to member function write.
operator=
The behavior of operator= shall be equivalent to the following definitions:
sc_buffer<T,WRITER_POLICY>& operator= ( const T& arg ) { write( arg ); return *this; }
sc_buffer<T,WRITER_POLICY>&
operator= ( const sc_signal<T,WRITER_POLICY>& arg ) { write( arg.read() ); return *this; }
sc_buffer<T,WRITER_POLICY>&
operator= ( const sc_buffer<T,WRITER_POLICY>& arg ) { write( arg.read() ); return *this; }
virtual void update();
Member function update of class sc_signal shall be overridden by the implementation in class
sc_buffer to implement the updating of the buffer value that occurs as a result of the buffer being
written. Member function update shall modify the current value of the buffer such that it gets the
new value (as passed as an argument to member function write) and shall cause the value-changed
event to be notified in the immediately following delta notification phase, regardless of whether the
value of the buffer has changed (see 6.4.4 and 6.4.8). (This is in contrast to member function update
of the base class sc_signal, which only causes the value-changed event to be notified if the new
value is different from the old value.)
In other words, suppose the current value of the buffer is V, and member function write is called
with argument value V. Function write will store the new value V (in some implementation-defined
storage area distinct from the current value of the buffer) and will call request_update. Member
function update will be called back during the update phase and will set the current value of the
buffer to the new value V. The current value of the buffer will not change, because the old value is
equal to the new value but the value-changed event will be notified nonetheless.
virtual const char* kind() const;
Member function kind shall return the string "sc_buffer".
Authorized licensed use limited to: Furkan Tuncer. Downloaded on October 16,2017 at 17:05:54 UTC from IEEE Xplore. Restrictions apply.
IEEE Std 1666-2011
IEEE Standard for Standard SystemC® Language Reference Manual
149
Copyright © 2012 IEEE. All rights reserved.
Example:
SC_MODULE(M)
{
sc_buffer<int> buf;
SC_CTOR(M)
{
SC_THREAD(writer);
SC_METHOD(reader);
sensitive << buf;
}
void writer()
{
buf.write(1);
wait(SC_ZERO_TIME);
buf.write(1);
}
void reader()
{ // Executed during initialization and then twice more with buf = 0, 1, 1
std::cout << buf << std::endl;
}
};
6.7 sc_clock
6.7.1 Description
Class sc_clock is a predefined primitive channel derived from the class sc_signal and intended to model the
behavior of a digital clock signal. A clock is an object of the class sc_clock. The value and events associated
with the clock are accessed through the interface sc_signal_in_if<bool>.
6.7.2 Class definition
namespace sc_core {
class sc_clock
: public sc_signal<bool>
{
public:
sc_clock();
explicit sc_clock( const char* name_ );
sc_clock( const char* name_,
const sc_time& period_,
double duty_cycle_ = 0.5,
const sc_time& start_time_ = SC_ZERO_TIME,
bool posedge_first_ = true );
sc_clock( const char* name_,
double period_v_,
sc_time_unit period_tu_,
double duty_cycle_ = 0.5 );
Authorized licensed use limited to: Furkan Tuncer. Downloaded on October 16,2017 at 17:05:54 UTC from IEEE Xplore. Restrictions apply.
IEEE Std 1666-2011
IEEE Standard for Standard SystemC® Language Reference Manual
150
Copyright © 2012 IEEE. All rights reserved.
sc_clock( const char* name_,
double period_v_,
sc_time_unit period_tu_,
double duty_cycle_,
double start_time_v_,
sc_time_unit start_time_tu_,
bool posedge_first_ = true );
virtual ~sc_clock();
virtual void write( const bool& );
const sc_time& period() const;
double duty_cycle() const;
const sc_time& start_time() const;
bool posedge_first() const;
virtual const char* kind() const;
protected:
virtual void before_end_of_elaboration();
private:
// Disabled
sc_clock( const sc_clock& );
sc_clock& operator= ( const sc_clock& );
};
typedef sc_in<bool> sc_in_clk ;
} // namespace sc_core
6.7.3 Characteristic properties
A clock is characterized by the following properties:
a) Period—The time interval between two consecutive transitions from value false to value true,
which shall be equal to the time interval between two consecutive transitions from value true to
value false. The period shall be greater than zero. The default period is 1 nanosecond.
b) Duty cycle—The proportion of the period during which the clock has the value true. The duty cycle
shall lie between the limits 0.0 and 1.0, exclusive. The default duty cycle is 0.5.
c) Start time—The absolute time of the first transition of the value of the clock (false to true or true to
false). The default start time is zero.
d) Posedge_first—If posedge_first is true, the clock is initialized to the value false, and changes from
false to true at the start time. If posedge_first is false, the clock is initialized to the value true, and
changes from true to false at the start time. The default value of posedge_first is true.
NOTE—A clock does not have a stop time but will stop in any case when function sc_stop is called.
6.7.4 Constructors
The constructors shall set the characteristic properties of the clock as defined by the constructor arguments.
Any characteristic property not defined by the constructor arguments shall take a default value as defined in
6.7.3.
Authorized licensed use limited to: Furkan Tuncer. Downloaded on October 16,2017 at 17:05:54 UTC from IEEE Xplore. Restrictions apply.
IEEE Std 1666-2011
IEEE Standard for Standard SystemC® Language Reference Manual
151
Copyright © 2012 IEEE. All rights reserved.
The default constructor shall call the base class constructor from its initializer list as follows:
sc_signal( sc_gen_unique_name( "clock" ) )
6.7.5 write
virtual void write( const bool& );
It shall be an error for an application to call member function write. The member function write of
the base class sc_signal is not applicable to clocks.
6.7.6 Diagnostic member functions
const sc_time& period() const;
Member function period shall return the period of the clock.
double duty_cycle() const;
Member function duty_cycle shall return the duty cycle of the clock.
const sc_time& start_time() const;
Member function start_time shall return the start time of the clock.
bool posedge_first() const;
Member function posedge_first shall return the value of the posedge_first property of the clock.
virtual const char* kind() const;
Member function kind shall return the string "sc_clock".
6.7.7 before_end_of_elaboration
virtual void before_end_of_elaboration();
Member function before_end_of_elaboration, which is defined in the class sc_prim_channel,
shall be overridden by the implementation in the current class with a behavior that is
implementation-defined.
NOTE 1—An implementation may use before_end_of_elaboration to spawn one or more static processes to generate
the clock.
NOTE 2—If this member function is overridden in a class derived from the current class, function
before_end_of_elaboration as overridden in the current class should be called explicitly from the overridden member
function of the derived class in order to invoke the implementation-defined behavior.
6.7.8 sc_in_clk
typedef sc_in<bool> sc_in_clk ;
The typedef sc_in_clk is provided for convenience when adding clock inputs to a module and for
backward compatibility with earlier versions of SystemC. An application may use sc_in_clk or
sc_in<bool> interchangeably.
Authorized licensed use limited to: Furkan Tuncer. Downloaded on October 16,2017 at 17:05:54 UTC from IEEE Xplore. Restrictions apply.
IEEE Std 1666-2011
IEEE Standard for Standard SystemC® Language Reference Manual
152
Copyright © 2012 IEEE. All rights reserved.
6.8 sc_in
6.8.1 Description
Class sc_in is a specialized port class for use with signals. It provides functions to access conveniently
certain member functions of the channel to which the port is bound. It may be used to model an input pin on
a module.
6.8.2 Class definition
namespace sc_core {
template <class T>
class sc_in
: public sc_port<sc_signal_in_if<T>,1>
{
public:
sc_in();
explicit sc_in( const char* );
virtual ~sc_in();
virtual void bind ( const sc_signal_in_if<T>& );
void operator() ( const sc_signal_in_if<T>& );
virtual void bind ( sc_port<sc_signal_in_if<T>, 1>& );
void operator() ( sc_port<sc_signal_in_if<T>, 1>& );
virtual void bind ( sc_port<sc_signal_inout_if<T>, 1>& );
void operator() ( sc_port<sc_signal_inout_if<T>, 1>& );
virtual void end_of_elaboration();
const T& read() const;
operator const T& () const;
const sc_event& default_event() const;
const sc_event& value_changed_event() const;
bool event() const;
sc_event_finder& value_changed() const;
virtual const char* kind() const;
private:
// Disabled
sc_in( const sc_in<T>& );
sc_in<T>& operator= ( const sc_in<T>& );
};
template <class T>
inline void sc_trace( sc_trace_file*, const sc_in<T>&, const std::string& );
} // namespace sc_core
Authorized licensed use limited to: Furkan Tuncer. Downloaded on October 16,2017 at 17:05:54 UTC from IEEE Xplore. Restrictions apply.
IEEE Std 1666-2011
IEEE Standard for Standard SystemC® Language Reference Manual
153
Copyright © 2012 IEEE. All rights reserved.
6.8.3 Member functions
The constructors shall pass their arguments to the corresponding constructor for the base class sc_port.
The implementation of operator() shall achieve its effect by calling the virtual member function bind.
Member function bind shall call member function bind of the base class sc_port, passing through their
parameters as arguments to function bind, in order to bind the object of class sc_in to the channel or port
instance passed as an argument.
Member function read and operator const T&() shall each call member function read of the object to
which the port is bound using operator-> of class sc_port, that is:
(*this)->read()
Member functions default_event, value_changed_event, and event shall each call the corresponding
member function of the object to which the port is bound using operator-> of class sc_port, for example:
(*this)->event()
Member function value_changed shall return a reference to class sc_event_finder, where the event finder
object itself shall be constructed using the member function value_changed_event (see 5.7).
Member function kind shall return the string "sc_in".
6.8.4 Function sc_trace
template <class T>
inline void sc_trace( sc_trace_file*, const sc_in<T>&, const std::string& );
Function sc_trace shall trace the channel to which the port passed as the second argument is bound
(see 8.1) by calling function sc_trace with a second argument of type const T& (see 6.4.3). The port
need not have been bound at the point during elaboration when function sc_trace is called. In this
case, the implementation shall defer the call to trace the signal until after the port has been bound
and the identity of the signal is known.
6.8.5 end_of_elaboration
virtual void end_of_elaboration();
Member function end_of_elaboration, which is defined in the class sc_port, shall be overridden by
the implementation in the current class with a behavior that is implementation-defined.
NOTE 1—An implementation may use end_of_elaboration to implement the deferred call to sc_trace.
NOTE 2—If this member function is overridden in a class derived from the current class, function end_of_elaboration
as overridden in the current class should be called explicitly from the overridden member function of the derived class in
order to invoke the implementation-defined behavior.
6.9 sc_in<bool> and sc_in<sc_dt::sc_logic>
6.9.1 Description
Class sc_in<bool> and sc_in<sc_dt::sc_logic> are specialized port classes that provide additional member
functions for two-valued signals.
Authorized licensed use limited to: Furkan Tuncer. Downloaded on October 16,2017 at 17:05:54 UTC from IEEE Xplore. Restrictions apply.
IEEE Std 1666-2011
IEEE Standard for Standard SystemC® Language Reference Manual
154
Copyright © 2012 IEEE. All rights reserved.
6.9.2 Class definition
namespace sc_core {
template <>
class sc_in<bool>
: public sc_port<sc_signal_in_if<bool>,1>
{
public:
sc_in();
explicit sc_in( const char* );
virtual ~sc_in();
virtual void bind ( const sc_signal_in_if<bool>& );
void operator() ( const sc_signal_in_if<bool>& );
virtual void bind ( sc_port<sc_signal_in_if<bool>, 1>& );
void operator() ( sc_port<sc_signal_in_if<bool>, 1>& );
virtual void bind ( sc_port<sc_signal_inout_if<bool>, 1>& );
void operator() ( sc_port<sc_signal_inout_if<bool>, 1>& );
virtual void end_of_elaboration();
const bool& read() const;
operator const bool& () const;
const sc_event& default_event() const;
const sc_event& value_changed_event() const;
const sc_event& posedge_event() const;
const sc_event& negedge_event() const;
bool event() const;
bool posedge() const;
bool negedge() const;
sc_event_finder& value_changed() const;
sc_event_finder& pos() const;
sc_event_finder& neg() const;
virtual const char* kind() const;
private:
// Disabled
sc_in( const sc_in<bool>& );
sc_in<bool>& operator= ( const sc_in<bool>& );
};
template <>
inline void sc_trace<bool>( sc_trace_file*, const sc_in<bool>&, const std::string& );
template <>
class sc_in<sc_dt::sc_logic>
Authorized licensed use limited to: Furkan Tuncer. Downloaded on October 16,2017 at 17:05:54 UTC from IEEE Xplore. Restrictions apply.
IEEE Std 1666-2011
IEEE Standard for Standard SystemC® Language Reference Manual
155
Copyright © 2012 IEEE. All rights reserved.
: public sc_port<sc_signal_in_if<sc_dt::sc_logic>,1>
{
public:
sc_in();
explicit sc_in( const char* );
virtual ~sc_in();
virtual void bind ( const sc_signal_in_if<sc_dt::sc_logic>& );
void operator() ( const sc_signal_in_if<sc_dt::sc_logic>& );
virtual void bind ( sc_port<sc_signal_in_if<sc_dt::sc_logic>, 1>& );
void operator() ( sc_port<sc_signal_in_if<sc_dt::sc_logic>, 1>& );
virtual void bind ( sc_port<sc_signal_inout_if<sc_dt::sc_logic>, 1>& );
void operator() ( sc_port<sc_signal_inout_if<sc_dt::sc_logic>, 1>& );
virtual void end_of_elaboration();
const sc_dt::sc_logic& read() const;
operator const sc_dt::sc_logic& () const;
const sc_event& default_event() const;
const sc_event& value_changed_event() const;
const sc_event& posedge_event() const;
const sc_event& negedge_event() const;
bool event() const;
bool posedge() const;
bool negedge() const;
sc_event_finder& value_changed() const;
sc_event_finder& pos() const;
sc_event_finder& neg() const;
virtual const char* kind() const;
private:
// Disabled
sc_in( const sc_in<sc_dt::sc_logic>& );
sc_in<sc_dt::sc_logic>& operator= ( const sc_in<sc_dt::sc_logic>& );
};
template <>
inline void
sc_trace<sc_dt::sc_logic>( sc_trace_file*, const sc_in<sc_dt::sc_logic>&, const std::string& );
} // namespace sc_core
6.9.3 Member functions
The following list is incomplete. For the remaining member functions and for the function sc_trace, refer to
the definitions of the member functions for class sc_in (see 6.8.3).
Authorized licensed use limited to: Furkan Tuncer. Downloaded on October 16,2017 at 17:05:54 UTC from IEEE Xplore. Restrictions apply.
IEEE Std 1666-2011
IEEE Standard for Standard SystemC® Language Reference Manual
156
Copyright © 2012 IEEE. All rights reserved.
Member functions posedge_event, negedge_event, posedge, and negedge shall each call the corresponding
member function of the object to which the port is bound using operator-> of class sc_port, for example:
(*this)->negedge()
Member functions pos and neg shall return a reference to class sc_event_finder, where the event finder
object itself shall be constructed using the member function posedge_event or negedge_event, respectively
(see 5.7).
6.10 sc_inout
6.10.1 Description
Class sc_inout is a specialized port class for use with signals. It provides functions to access conveniently
certain member functions of the channel to which the port is bound. It may be used to model an output pin or
a bidirectional pin on a module.
6.10.2 Class definition
namespace sc_core {
template <class T>
class sc_inout
: public sc_port<sc_signal_inout_if<T>,1>
{
public:
sc_inout();
explicit sc_inout( const char* );
virtual ~sc_inout();
void initialize( const T& );
void initialize( const sc_signal_in_if<T>& );
virtual void end_of_elaboration();
const T& read() const;
operator const T& () const;
void write( const T& );
sc_inout<T>& operator= ( const T& );
sc_inout<T>& operator= ( const sc_signal_in_if<T>& );
sc_inout<T>& operator= ( const sc_port< sc_signal_in_if<T>, 1>& );
sc_inout<T>& operator= ( const sc_port< sc_signal_inout_if<T>, 1>& );
sc_inout<T>& operator= ( const sc_inout<T>& );
const sc_event& default_event() const;
const sc_event& value_changed_event() const;
bool event() const;
sc_event_finder& value_changed() const;
virtual const char* kind() const;
private:
// Disabled
Authorized licensed use limited to: Furkan Tuncer. Downloaded on October 16,2017 at 17:05:54 UTC from IEEE Xplore. Restrictions apply.
IEEE Std 1666-2011
IEEE Standard for Standard SystemC® Language Reference Manual
157
Copyright © 2012 IEEE. All rights reserved.
sc_inout( const sc_inout<T>& );
};
template <class T>
inline void sc_trace( sc_trace_file*, const sc_inout<T>&, const std::string& );
} // namespace sc_core
6.10.3 Member functions
The constructors shall pass their arguments to the corresponding constructor for the base class sc_port.
Member function read and operator const T&() shall each call member function read of the object to
which the port is bound using operator-> of class sc_port, that is:
(*this)->read()
Member function write and operator= shall each call the member function write of the object to which the
port is bound using operator-> of class sc_port, calling member function read to get the value of the
parameter, where the parameter is an interface or a port, for example:
sc_inout<T>& operator= ( const sc_inout<T>& port_ )
{ (*this)->write( port_->read() ); return *this; }
Member function write shall not be called during elaboration before the port has been bound (see 6.10.4).
Member functions default_event, value_changed_event, and event shall each call the corresponding
member function of the object to which the port is bound using operator-> of class sc_port, for example:
(*this)->event()
Member function value_changed shall return a reference to class sc_event_finder, where the event finder
object itself shall be constructed using the member function value_changed_event (see 5.7).
Member function kind shall return the string "sc_inout".
6.10.4 initialize
Member function initialize shall set the initial value of the signal to which the port is bound by calling
member function write of that signal using the value passed as an argument to member function initialize. If
the actual argument is a channel, the initial value shall be determined by reading the value of the channel.
The port need not have been bound at the point during elaboration when member function initialize is
called. In this case, the implementation shall defer the call to write until after the port has been bound and
the identity of the signal is known.
NOTE 1—A port of class sc_in will be bound to exactly one signal, but the binding may be performed indirectly through
a port of the parent module.
NOTE 2—The purpose of member function initialize is to allow the value of a port to be initialized during elaboration
before the port being bound. However, member function initialize may be called during elaboration or simulation.
6.10.5 Function sc_trace
template <class T>
inline void sc_trace( sc_trace_file*, const sc_inout<T>&, const std::string& );
Function sc_trace shall trace the channel to which the port passed as the second argument is bound
(see 8.1) by calling function sc_trace with a second argument of type const T& (see 6.4.3). The
port need not have been bound at the point during elaboration when function sc_trace is called. In
Authorized licensed use limited to: Furkan Tuncer. Downloaded on October 16,2017 at 17:05:54 UTC from IEEE Xplore. Restrictions apply.
IEEE Std 1666-2011
IEEE Standard for Standard SystemC® Language Reference Manual
158
Copyright © 2012 IEEE. All rights reserved.
this case, the implementation shall defer the call to trace the signal until after the port has been
bound and the identity of the signal is known.
6.10.6 end_of_elaboration
virtual void end_of_elaboration();
Member function end_of_elaboration, which is defined in the class sc_port, shall be overridden by
the implementation in the current class with a behavior that is implementation-defined.
NOTE 1—An implementation may use end_of_elaboration to implement the deferred calls for initialize and sc_trace.
NOTE 2—If this member function is overridden in a class derived from the current class, function end_of_elaboration
as overridden in the current class should be called explicitly from the overridden member function of the derived class in
order to invoke the implementation-defined behavior.
6.10.7 Binding
Because interface sc_signal_inout_if is derived from interface sc_signal_in_if, a port of class sc_in of a
child module may be bound to a port of class sc_inout of a parent module but a port of class sc_inout of a
child module cannot be bound to a port of class sc_in of a parent module.
6.11 sc_inout<bool> and sc_inout<sc_dt::sc_logic>
6.11.1 Description
Class sc_inout<bool> and sc_inout<sc_dt::sc_logic> are specialized port classes that provide additional
member functions for two-valued signals.
6.11.2 Class definition
namespace sc_core {
template <>
class sc_inout<bool>
: public sc_port<sc_signal_inout_if<bool>,1>
{
public:
sc_inout();
explicit sc_inout( const char* );
virtual ~sc_inout();
void initialize( const bool& );
void initialize( const sc_signal_in_if<bool>& );
virtual void end_of_elaboration();
const bool& read() const;
operator const bool& () const;
void write( const bool& );
sc_inout<bool>& operator= ( const bool& );
sc_inout<bool>& operator= ( const sc_signal_in_if<bool>& );
sc_inout<bool>& operator= ( const sc_port< sc_signal_in_if<bool>, 1>& );
sc_inout<bool>& operator= ( const sc_port< sc_signal_inout_if<bool>, 1>& );
Authorized licensed use limited to: Furkan Tuncer. Downloaded on October 16,2017 at 17:05:54 UTC from IEEE Xplore. Restrictions apply.
IEEE Std 1666-2011
IEEE Standard for Standard SystemC® Language Reference Manual
159
Copyright © 2012 IEEE. All rights reserved.
sc_inout<bool>& operator= ( const sc_inout<bool>& );
const sc_event& default_event() const;
const sc_event& value_changed_event() const;
const sc_event& posedge_event() const;
const sc_event& negedge_event() const;
bool event() const;
bool posedge() const;
bool negedge() const;
sc_event_finder& value_changed() const;
sc_event_finder& pos() const;
sc_event_finder& neg() const;
virtual const char* kind() const;
private:
// Disabled
sc_inout( const sc_inout<bool>& );
};
template <>
inline void sc_trace<bool>( sc_trace_file*, const sc_inout<bool>&, const std::string& );
template <>
class sc_inout<sc_dt::sc_logic>
: public sc_port<sc_signal_inout_if<sc_dt::sc_logic>,1>
{
public:
sc_inout();
explicit sc_inout( const char* );
virtual ~sc_inout();
void initialize( const sc_dt::sc_logic& );
void initialize( const sc_signal_in_if<sc_dt::sc_logic>& );
virtual void end_of_elaboration();
const sc_dt::sc_logic& read() const;
operator const sc_dt::sc_logic& () const;
void write( const sc_dt::sc_logic& );
sc_inout<sc_dt::sc_logic>& operator= ( const sc_dt::sc_logic& );
sc_inout<sc_dt::sc_logic>& operator= ( const sc_signal_in_if<sc_dt::sc_logic>& );
sc_inout<sc_dt::sc_logic>& operator= ( const sc_port< sc_signal_in_if<sc_dt::sc_logic>, 1>& );
sc_inout<sc_dt::sc_logic>& operator= ( const sc_port< sc_signal_inout_if<sc_dt::sc_logic>, 1>&);
sc_inout<sc_dt::sc_logic>& operator= ( const sc_inout<sc_dt::sc_logic>& );
const sc_event& default_event() const;
const sc_event& value_changed_event() const;
const sc_event& posedge_event() const;
const sc_event& negedge_event() const;
Authorized licensed use limited to: Furkan Tuncer. Downloaded on October 16,2017 at 17:05:54 UTC from IEEE Xplore. Restrictions apply.
IEEE Std 1666-2011
IEEE Standard for Standard SystemC® Language Reference Manual
160
Copyright © 2012 IEEE. All rights reserved.
bool event() const;
bool posedge() const;
bool negedge() const;
sc_event_finder& value_changed() const;
sc_event_finder& pos() const;
sc_event_finder& neg() const;
virtual const char* kind() const;
private:
// Disabled
sc_inout( const sc_inout<sc_dt::sc_logic>& );
};
template <>
inline void
sc_trace<sc_dt::sc_logic>( sc_trace_file*, const sc_inout<sc_dt::sc_logic>&, const std::string& );
} // namespace sc_core
6.11.3 Member functions
The following list is incomplete. For the remaining member functions and for the function sc_trace, refer to
the definitions of the member functions for class sc_inout.
Member functions posedge_event, negedge_event, posedge, and negedge shall each call the corresponding
member function of the object to which the port is bound using operator-> of class sc_port, for example:
(*this)->negedge()
Member functions pos and neg shall return a reference to class sc_event_finder, where the event finder
object itself shall be constructed using the member function posedge_event or negedge_event, respectively
(see 5.7).
Member function kind shall return the string "sc_inout".
6.12 sc_out
6.12.1 Description
Class sc_out is derived from class sc_inout and is identical to class sc_inout except for differences inherent
in it being a derived class, for example, constructors and assignment operators. The purpose of having both
classes is to allow users to express their intent, that is, sc_out for output pins and sc_inout for bidirectional
pins.
6.12.2 Class definition
namespace sc_core {
template <class T>
class sc_out
: public sc_inout<T>
Authorized licensed use limited to: Furkan Tuncer. Downloaded on October 16,2017 at 17:05:54 UTC from IEEE Xplore. Restrictions apply.
IEEE Std 1666-2011
IEEE Standard for Standard SystemC® Language Reference Manual
161
Copyright © 2012 IEEE. All rights reserved.
{
public:
sc_out();
explicit sc_out( const char* );
virtual ~sc_out();
sc_out<T>& operator= ( const T& );
sc_out<T>& operator= ( const sc_signal_in_if<T>& );
sc_out<T>& operator= ( const sc_port< sc_signal_in_if<T>, 1>& );
sc_out<T>& operator= ( const sc_port< sc_signal_inout_if<T>, 1>& );
sc_out<T>& operator= ( const sc_out<T>& );
virtual const char* kind() const;
private:
// Disabled
sc_out( const sc_out<T>& );
};
} // namespace sc_core
6.12.3 Member functions
The constructors shall pass their arguments to the corresponding constructors for the base class
sc_inout<T>.
The behavior of the assignment operators shall be identical to that of class sc_inout but with the class name
sc_out substituted in place of the class name sc_inout wherever appropriate.
Member function kind shall return the string "sc_out".
6.13 sc_signal_resolved
6.13.1 Description
Class sc_signal_resolved is a predefined primitive channel derived from class sc_signal. A resolved signal
is an object of class sc_signal_resolved or class sc_signal_rv. Class sc_signal_resolved differs from class
sc_signal in that a resolved signal may be written by multiple processes, conflicting values being resolved
within the channel.
6.13.2 Class definition
namespace sc_core {
class sc_signal_resolved
: public sc_signal<sc_dt::sc_logic,SC_MANY_WRITERS>
{
public:
sc_signal_resolved();
explicit sc_signal_resolved( const char* );
virtual ~sc_signal_resolved();
virtual void register_port( sc_port_base&, const char* );
Authorized licensed use limited to: Furkan Tuncer. Downloaded on October 16,2017 at 17:05:54 UTC from IEEE Xplore. Restrictions apply.
IEEE Std 1666-2011
IEEE Standard for Standard SystemC® Language Reference Manual
162
Copyright © 2012 IEEE. All rights reserved.
virtual void write( const sc_dt::sc_logic& );
sc_signal_resolved& operator= ( const sc_dt::sc_logic& );
sc_signal_resolved& operator= ( const sc_signal_resolved& );
virtual const char* kind() const;
protected:
virtual void update();
private:
// Disabled
sc_signal_resolved( const sc_signal_resolved& );
};
} // namespace sc_core
6.13.3 Constructors
sc_signal_resolved();
This constructor shall call the base class constructor from its initializer list as follows:
sc_signal( sc_gen_unique_name( "signal_resolved" ) )
explicit sc_signal_resolved( const char* name_ );
This constructor shall call the base class constructor from its initializer list as follows:
sc_signal( name_ )
6.13.4 Resolution semantics
A resolved signal is written by calling member function write or operator= of the given signal object. Like
class sc_signal, operator= shall call member function write.
Each resolved signal shall maintain a list of written values containing one value for each distinct process
instance that writes to the resolved signal object. This list shall store the value most recently written to the
resolved signal object by each such process instance.
If and only if the written value is different from the previous written value or this is the first occasion on
which the particular process instance has written to the particular signal object, the member function write
shall then call the member function request_update.
During the update phase, member function update shall first use the list of written values to calculate a
single resolved value for the resolved signal, and then perform update semantics similar to class sc_signal
but using the resolved value just calculated.
A value shall be added to the list of written values on the first occasion that each particular process instance
writes to the resolved signal object. Values shall not be removed from the list of written values. Before the
first occasion on which a given process instance writes to a given resolved signal, that process instance shall
not contribute to the calculation of the resolved value for that signal.
The resolved value shall be calculated from the list of written values using the following algorithm:
1) Take a copy of the list.
Authorized licensed use limited to: Furkan Tuncer. Downloaded on October 16,2017 at 17:05:54 UTC from IEEE Xplore. Restrictions apply.

IEEE Std 1666-2011
IEEE Standard for Standard SystemC® Language Reference Manual
163
Copyright © 2012 IEEE. All rights reserved.
2) Take any two values from the copy of the list and replace them with one value according to the
truth table shown in Table 3.
3) Repeat step 2) until only a single value remains. This is the resolved value.
Before the first occasion on which a given process instance writes to a given resolved signal, the value
written by that process instance is effectively 'Z' in terms of its effect on the resolution calculation. On the
other hand, the default initial value for a resolved signal (as would be returned by member function read
before the first write) is 'X'. Thus, it is strongly recommended that each process instance that writes to a
given resolved signal perform a write to that signal at time zero.
NOTE 1—The order in which values are passed to the function defined by the truth table in Table 3 does not affect the
result of the calculation.
NOTE 2—The calculation of the resolved value is performed using the value most recently written by each and every
process that writes to that particular signal object, regardless of whether the most recent write occurred in the current
delta cycle, in a previous delta cycle, or at an earlier time.
NOTE 3—These same resolution semantics apply, whether the resolved signal is accessed directly by a process or is
accessed indirectly through a port bound to the resolved signal.
6.13.5 Member functions
Member function register_port of class sc_signal shall be overridden in class sc_signal_resolved, such that
the error check for multiple output ports performed by sc_signal::register_port is disabled for channel
objects of class sc_signal_resolved.
Member function write, operator=, and member function update shall have the same behavior as the
corresponding members of class sc_signal, except where the behavior differs for multiple writers as defined
in 6.13.4.
Member function kind shall return the string "sc_signal_resolved".
Example:
SC_MODULE(M)
{
sc_signal_resolved sig;
SC_CTOR(M)
{
SC_THREAD(T1);
SC_THREAD(T2);
SC_THREAD(T3);
}
Table 3—Resolution table for sc_signal_resolved
'0''1''Z''X'
'0''0''X''0''X'
'1''X' '1' '1' 'X'
'Z''0' '1' 'Z' 'X'
'X''X' 'X' 'X' 'X'
Authorized licensed use limited to: Furkan Tuncer. Downloaded on October 16,2017 at 17:05:54 UTC from IEEE Xplore. Restrictions apply.
IEEE Std 1666-2011
IEEE Standard for Standard SystemC® Language Reference Manual
164
Copyright © 2012 IEEE. All rights reserved.
void T1()
{ // Time=0 ns, no written values sig=X
wait(10, SC_NS);
sig = sc_dt::SC_LOGIC_0; // Time=10 ns, written values=0 sig=0
wait(20, SC_NS);
sig = sc_dt::SC_LOGIC_Z; // Time=30 ns, written values=Z,Z sig=Z
}
void T2()
{
wait(20, SC_NS);
sig = sc_dt::SC_LOGIC_Z; // Time=20 ns, written values=0,Z sig=0
wait(30, SC_NS);
sig = sc_dt::SC_LOGIC_0; // Time=50 ns, written values=Z,0,1 sig=X
}
void T3()
{
wait(40, SC_NS);
sig = sc_dt::SC_LOGIC_1; // Time=40 ns, written values=Z,Z,1 sig=1
}
};
6.14 sc_in_resolved
6.14.1 Description
Class sc_in_resolved is a specialized port class for use with resolved signals. It is similar in behavior to port
class sc_in<sc_dt::sc_logic> from which it is derived. The only difference is that a port of class
sc_in_resolved shall be bound to a channel of class sc_signal_resolved, whereas a port of class
sc_in<sc_dt::sc_logic> may be bound to a channel of class
sc_signal<sc_dt::sc_logic,WRITER_POLICY> or class sc_signal_resolved.
6.14.2 Class definition
namespace sc_core {
class sc_in_resolved
: public sc_in<sc_dt::sc_logic>
{
public:
sc_in_resolved();
explicit sc_in_resolved( const char* );
virtual ~sc_in_resolved();
virtual void end_of_elaboration();
virtual const char* kind() const;
private:
// Disabled
sc_in_resolved( const sc_in_resolved& );
sc_in_resolved& operator= (const sc_in_resolved& );
};
Authorized licensed use limited to: Furkan Tuncer. Downloaded on October 16,2017 at 17:05:54 UTC from IEEE Xplore. Restrictions apply.
IEEE Std 1666-2011
IEEE Standard for Standard SystemC® Language Reference Manual
165
Copyright © 2012 IEEE. All rights reserved.
} // namespace sc_core
6.14.3 Member functions
The constructors shall pass their arguments to the corresponding constructors for the base class
sc_in<sc_dt::sc_logic>.
Member function end_of_elaboration shall perform an error check. It is an error if the port is not bound to
a channel of class sc_signal_resolved.
Member function kind shall return the string "sc_in_resolved".
NOTE—As always, the port may be bound indirectly through a port of a parent module.
6.15 sc_inout_resolved
6.15.1 Description
Class sc_inout_resolved is a specialized port class for use with resolved signals. It is similar in behavior to
port class sc_inout<sc_dt::sc_logic> from which it is derived. The only difference is that a port of class
sc_inout_resolved shall be bound to a channel of class sc_signal_resolved, whereas a port of class
sc_inout<sc_dt::sc_logic> may be bound to a channel of class
sc_signal<sc_dt::sc_logic,WRITER_POLICY> or class sc_signal_resolved.
6.15.2 Class definition
namespace sc_core {
class sc_inout_resolved
: public sc_inout<sc_dt::sc_logic>
{
public:
sc_inout_resolved();
explicit sc_inout_resolved( const char* );
virtual ~sc_inout_resolved();
virtual void end_of_elaboration();
sc_inout_resolved& operator= ( const sc_dt::sc_logic& );
sc_inout_resolved& operator= ( const sc_signal_in_if<sc_dt::sc_logic>& );
sc_inout_resolved& operator= ( const sc_port<sc_signal_in_if<sc_dt::sc_logic>, 1>& );
sc_inout_resolved& operator= ( const sc_port<sc_signal_inout_if<sc_dt::sc_logic>, 1>& );
sc_inout_resolved& operator= ( const sc_inout_resolved& );
virtual const char* kind() const;
private:
// Disabled
sc_inout_resolved( const sc_inout_resolved& );
};
} // namespace sc_core
Authorized licensed use limited to: Furkan Tuncer. Downloaded on October 16,2017 at 17:05:54 UTC from IEEE Xplore. Restrictions apply.
IEEE Std 1666-2011
IEEE Standard for Standard SystemC® Language Reference Manual
166
Copyright © 2012 IEEE. All rights reserved.
6.15.3 Member functions
The constructors shall pass their arguments to the corresponding constructors for the base class
sc_inout<sc_dt::sc_logic>.
Member function end_of_elaboration shall perform an error check. It is an error if the port is not bound to
a channel of class sc_signal_resolved.
The behavior of the assignment operators shall be identical to that of class sc_inout<sc_dt::sc_logic> but
with the class name sc_inout_resolved substituted in place of the class name sc_inout<sc_dt::sc_logic>
wherever appropriate.
Member function kind shall return the string "sc_inout_resolved".
NOTE—As always, the port may be bound indirectly through a port of a parent module.
6.16 sc_out_resolved
6.16.1 Description
Class sc_out_resolved is derived from class sc_inout_resolved, and it is identical to class
sc_inout_resolved except for differences inherent in it being a derived class, for example, constructors and
assignment operators. The purpose of having both classes is to allow users to express their intent, that is,
sc_out_resolved for output pins connected to resolved signals and sc_inout_resolved for bidirectional pins
connected to resolved signals.
6.16.2 Class definition
namespace sc_core {
class sc_out_resolved
: public sc_inout_resolved
{
public:
sc_out_resolved();
explicit sc_out_resolved( const char* );
virtual ~sc_out_resolved();
sc_out_resolved& operator= ( const sc_dt::sc_logic& );
sc_out_resolved& operator= ( const sc_signal_in_if<sc_dt::sc_logic>& );
sc_out_resolved& operator= ( const sc_port<sc_signal_in_if<sc_dt::sc_logic>, 1>& );
sc_out_resolved& operator= ( const sc_port<sc_signal_inout_if<sc_dt::sc_logic>, 1>& );
sc_out_resolved& operator= ( const sc_out_resolved& );
virtual const char* kind() const;
private:
// Disabled
sc_out_resolved( const sc_out_resolved& );
};
} // namespace sc_core
Authorized licensed use limited to: Furkan Tuncer. Downloaded on October 16,2017 at 17:05:54 UTC from IEEE Xplore. Restrictions apply.
IEEE Std 1666-2011
IEEE Standard for Standard SystemC® Language Reference Manual
167
Copyright © 2012 IEEE. All rights reserved.
6.16.3 Member functions
The constructors shall pass their arguments to the corresponding constructors for the base class
sc_inout_resolved.
The behavior of the assignment operators shall be identical to that of class sc_inout_resolved but with the
class name sc_out_resolved substituted in place of the class name sc_inout_resolved wherever appropriate.
Member function kind shall return the string "sc_out_resolved".
6.17 sc_signal_rv
6.17.1 Description
Class sc_signal_rv is a predefined primitive channel derived from class sc_signal. Class sc_signal_rv is
similar to class sc_signal_resolved. The difference is that the argument to the base class template sc_signal
is type sc_dt::sc_lv<W> instead of type sc_dt::sc_logic.
6.17.2 Class definition
namespace sc_core {
template <int W>
class sc_signal_rv
: public sc_signal<sc_dt::sc_lv<W>,SC_MANY_WRITERS>
{
public:
sc_signal_rv();
explicit sc_signal_rv( const char* );
virtual ~sc_signal_rv();
virtual void register_port( sc_port_base&, const char* );
virtual void write( const sc_dt::sc_lv<W>& );
sc_signal_rv<W>& operator= ( const sc_dt::sc_lv<W>& );
sc_signal_rv<W>& operator= ( const sc_signal_rv<W>& );
virtual const char* kind() const;
protected:
virtual void update();
private:
// Disabled
sc_signal_rv( const sc_signal_rv<W>& );
};
} // namespace sc_core
6.17.3 Semantics and member functions
The semantics of class sc_signal_rv shall be identical to the semantics of class sc_signal_resolved except
for differences due to the fact that the value to be resolved is of type sc_dt::sc_lv (see 6.13.4).
Authorized licensed use limited to: Furkan Tuncer. Downloaded on October 16,2017 at 17:05:54 UTC from IEEE Xplore. Restrictions apply.
IEEE Std 1666-2011
IEEE Standard for Standard SystemC® Language Reference Manual
168
Copyright © 2012 IEEE. All rights reserved.
The value shall be propagated through the resolved signal as an atomic value; that is, an event shall be
notified, and the entire value of the vector shall be resolved and updated whenever any bit of the vector
written by any process changes.
The list of written values shall contain values of type sc_dt::sc_lv, and each value of type sc_dt::sc_lv shall
be treated atomically for the purpose of building and updating the list.
If and only if the written value differs from the previous written value (in one or more bit positions) or this is
the first occasion on which the particular process has written to the particular signal object, the member
function write shall then call the member function request_update.
The resolved value shall be calculated for the entire vector by applying the rule described in 6.13.4 to each
bit position within the vector in turn.
The default constructor shall call the base class constructor from its initializer list as follows:
sc_signal( sc_gen_unique_name( "signal_rv" ) )
Member function kind shall return the string "sc_signal_rv".
6.18 sc_in_rv
6.18.1 Description
Class sc_in_rv is a specialized port class for use with resolved signals. It is similar in behavior to port class
sc_in<sc_dt::sc_lv<W>> from which it is derived. The only difference is that a port of class sc_in_rv shall
be bound to a channel of class sc_signal_rv, whereas a port of class sc_in<sc_dt::sc_lv<W>> may be
bound to a channel of class sc_signal<sc_dt::sc_lv<W>,WRITER_POLICY> or class sc_signal_rv.
6.18.2 Class definition
namespace sc_core {
template <int W>
class sc_in_rv
: public sc_in<sc_dt::sc_lv<W>>
{
public:
sc_in_rv();
explicit sc_in_rv( const char* );
virtual ~sc_in_rv();
virtual void end_of_elaboration();
virtual const char* kind() const;
private:
// Disabled
sc_in_rv( const sc_in_rv<W>& );
sc_in_rv<W>& operator= ( const sc_in_rv<W>& );
};
} // namespace sc_core
Authorized licensed use limited to: Furkan Tuncer. Downloaded on October 16,2017 at 17:05:54 UTC from IEEE Xplore. Restrictions apply.
IEEE Std 1666-2011
IEEE Standard for Standard SystemC® Language Reference Manual
169
Copyright © 2012 IEEE. All rights reserved.
6.18.3 Member functions
The constructors shall pass their arguments to the corresponding constructors for the base class
sc_in<sc_dt::sc_lv<W>>.
Member function end_of_elaboration shall perform an error check. It is an error if the port is not bound to
a channel of class sc_signal_rv.
Member function kind shall return the string "sc_in_rv".
NOTE—As always, the port may be bound indirectly through a port of a parent module.
6.19 sc_inout_rv
6.19.1 Description
Class sc_inout_rv is a specialized port class for use with resolved signals. It is similar in behavior to port
class sc_inout<sc_dt::sc_lv<W>> from which it is derived. The only difference is that a port of class
sc_inout_rv shall be bound to a channel of class sc_signal_rv, whereas a port of class
sc_inout<sc_dt::sc_lv<W>> may be bound to a channel of class
sc_signal<sc_dt::sc_lv<W>,WRITER_POLICY> or class sc_signal_rv.
6.19.2 Class definition
namespace sc_core {
template <int W>
class sc_inout_rv
: public sc_inout<sc_dt::sc_lv<W>>
{
public:
sc_inout_rv();
explicit sc_inout_rv( const char* );
virtual ~sc_inout_rv();
sc_inout_rv<W>& operator= ( const sc_dt::sc_lv<W>& );
sc_inout_rv<W>& operator= ( const sc_signal_in_if<sc_dt::sc_lv<W>>& );
sc_inout_rv<W>& operator= ( const sc_port<sc_signal_in_if<sc_dt::sc_lv<W>>, 1>& );
sc_inout_rv<W>& operator= ( const sc_port<sc_signal_inout_if<sc_dt::sc_lv<W>>, 1>& );
sc_inout_rv<W>& operator= ( const sc_inout_rv<W>& );
virtual void end_of_elaboration();
virtual const char* kind() const;
private:
// Disabled
sc_inout_rv( const sc_inout_rv<W>& );
};
} // namespace sc_core
Authorized licensed use limited to: Furkan Tuncer. Downloaded on October 16,2017 at 17:05:54 UTC from IEEE Xplore. Restrictions apply.
IEEE Std 1666-2011
IEEE Standard for Standard SystemC® Language Reference Manual
170
Copyright © 2012 IEEE. All rights reserved.
6.19.3 Member functions
The constructors shall pass their arguments to the corresponding constructors for the base class
sc_inout<sc_dt::sc_lv<W>>.
Member function end_of_elaboration shall perform an error check. It is an error if the port is not bound to
a channel of class sc_signal_rv.
The behavior of the assignment operators shall be identical to that of class sc_inout<sc_dt::sc_lv<W>> but
with the class name sc_inout_rv substituted in place of the class name sc_inout<sc_dt::sc_lv<W>>
wherever appropriate.
Member function kind shall return the string "sc_inout_rv".
NOTE—The port may be bound indirectly through a port of a parent module.
6.20 sc_out_rv
6.20.1 Description
Class sc_out_rv is derived from class sc_inout_rv, and it is identical to class sc_inout_rv except for
differences inherent in it being a derived class, for example, constructors and assignment operators. The
purpose of having both classes is to allow users to express their intent, that is, sc_out_rv for output pins
connected to resolved vectors and sc_inout_rv for bidirectional pins connected to resolved vectors.
6.20.2 Class definition
namespace sc_core {
template <int W>
class sc_out_rv
: public sc_inout_rv<W>
{
public:
sc_out_rv();
explicit sc_out_rv( const char* );
virtual ~sc_out_rv();
sc_out_rv<W>& operator= ( const sc_dt::sc_lv<W>& );
sc_out_rv<W>& operator= ( const sc_signal_in_if<sc_dt::sc_lv<W>>& );
sc_out_rv<W>& operator= ( const sc_port<sc_signal_in_if<sc_dt::sc_lv<W>>, 1>& );
sc_out_rv<W>& operator= ( const sc_port<sc_signal_inout_if<sc_dt::sc_lv<W>>, 1>& );
sc_out_rv<W>& operator= ( const sc_out_rv<W>& );
virtual const char* kind() const;
private:
// Disabled
sc_out_rv( const sc_out_rv<W>& );
};
} // namespace sc_core
Authorized licensed use limited to: Furkan Tuncer. Downloaded on October 16,2017 at 17:05:54 UTC from IEEE Xplore. Restrictions apply.
IEEE Std 1666-2011
IEEE Standard for Standard SystemC® Language Reference Manual
171
Copyright © 2012 IEEE. All rights reserved.
6.20.3 Member functions
The constructors shall pass their arguments to the corresponding constructors for the base class
sc_inout_rv<W>.
The behavior of the assignment operators shall be identical to that of class sc_inout_rv<W> but with the
class name sc_out_rv<W> substituted in place of the class name sc_inout_rv<W> wherever appropriate.
Member function kind shall return the string "sc_out_rv".
6.21 sc_fifo_in_if
6.21.1 Description
Class sc_fifo_in_if is an interface proper and is implemented by the predefined channel sc_fifo. Interface
sc_fifo_in_if gives read access to a fifo channel, and it is derived from two further interfaces proper,
sc_fifo_nonblocking_in_if and sc_fifo_blocking_in_if.
6.21.2 Class definition
namespace sc_core {
template <class T>
class sc_fifo_nonblocking_in_if
: virtual public sc_interface
{
public:
virtual bool nb_read( T& ) = 0;
virtual const sc_event& data_written_event() const = 0;
};
template <class T>
class sc_fifo_blocking_in_if
: virtual public sc_interface
{
public:
virtual void read( T& ) = 0;
virtual T read() = 0;
};
template <class T>
class sc_fifo_in_if : public sc_fifo_nonblocking_in_if<T>, public sc_fifo_blocking_in_if<T>
{
public:
virtual int num_available() const = 0;
protected:
sc_fifo_in_if();
private:
// Disabled
sc_fifo_in_if( const sc_fifo_in_if<T>& );
sc_fifo_in_if<T>& operator= ( const sc_fifo_in_if<T>& );
Authorized licensed use limited to: Furkan Tuncer. Downloaded on October 16,2017 at 17:05:54 UTC from IEEE Xplore. Restrictions apply.
IEEE Std 1666-2011
IEEE Standard for Standard SystemC® Language Reference Manual
172
Copyright © 2012 IEEE. All rights reserved.
};
} // namespace sc_core
6.21.3 Member functions
The following member functions are all pure virtual functions. The descriptions refer to the expected
definitions of the functions when overridden in a channel that implements this interface. The precise
semantics will be channel-specific.
Member functions read and nb_read shall return the value least recently written into the fifo and shall
remove that value from the fifo such that it cannot be read again. If the fifo is empty, member function read
shall suspend until a value has been written to the fifo, whereas member function nb_read shall return
immediately. The return value of the function nb_read shall indicate whether a value was read.
When calling member function void read(T&) of class sc_fifo_blocking_in_if, the application shall be
obliged to ensure that the lifetime of the actual argument extends from the time the function is called to the
time the function call reaches completion. Moreover, the application shall not modify the value of the actual
argument during that period.
Member function data_written_event shall return a reference to an event that is notified whenever a value
is written into the fifo.
Member function num_available shall return the number of values currently available in the fifo to be read.
6.22 sc_fifo_out_if
6.22.1 Description
Class sc_fifo_out_if is an interface proper and is implemented by the predefined channel sc_fifo. Interface
sc_fifo_out_if gives write access to a fifo channel and is derived from two further interfaces proper,
sc_fifo_nonblocking_out_if and sc_fifo_blocking_out_if.
6.22.2 Class definition
namespace sc_core {
template <class T>
class sc_fifo_nonblocking_out_if
: virtual public sc_interface
{
public:
virtual bool nb_write( const T& ) = 0;
virtual const sc_event& data_read_event() const = 0;
};
template <class T>
class sc_fifo_blocking_out_if
: virtual public sc_interface
{
public:
virtual void write( const T& ) = 0;
};
Authorized licensed use limited to: Furkan Tuncer. Downloaded on October 16,2017 at 17:05:54 UTC from IEEE Xplore. Restrictions apply.
IEEE Std 1666-2011
IEEE Standard for Standard SystemC® Language Reference Manual
173
Copyright © 2012 IEEE. All rights reserved.
template <class T>
class sc_fifo_out_if : public sc_fifo_nonblocking_out_if<T>, public sc_fifo_blocking_out_if<T>
{
public:
virtual int num_free() const = 0;
protected:
sc_fifo_out_if();
private:
// Disabled
sc_fifo_out_if( const sc_fifo_out_if<T>& );
sc_fifo_out_if<T>& operator= ( const sc_fifo_out_if<T>& );
};
} // namespace sc_core
6.22.3 Member functions
The following member functions are all pure virtual functions. The descriptions refer to the expected
definitions of the functions when overridden in a channel that implements this interface. The precise
semantics will be channel-specific.
Member functions write and nb_write shall write the value passed as an argument into the fifo. If the fifo is
full, member function write shall suspend until a value has been read from the fifo, whereas member
function nb_write shall return immediately. The return value of the function nb_write shall indicate
whether a value was written into an empty slot.
When calling member function void write(const T&) of class sc_fifo_blocking_out_if, the application
shall be obliged to ensure that the lifetime of the actual argument extends from the time the function is called
to the time the function call reaches completion, and moreover, the application shall not modify the value of
the actual argument during that period.
Member function data_read_event shall return a reference to an event that is notified whenever a value is
read from the fifo.
Member function num_free shall return the number of unoccupied slots in the fifo available to accept
written values.
6.23 sc_fifo
6.23.1 Description
Class sc_fifo is a predefined primitive channel intended to model the behavior of a fifo, that is, a first-in-
first-out buffer. In this clause, fifo refers to an object of class sc_fifo. Each fifo has a number of slots for
storing values. The number of slots is fixed when the object is constructed.
6.23.2 Class definition
namespace sc_core {
template <class T>
Authorized licensed use limited to: Furkan Tuncer. Downloaded on October 16,2017 at 17:05:54 UTC from IEEE Xplore. Restrictions apply.
IEEE Std 1666-2011
IEEE Standard for Standard SystemC® Language Reference Manual
174
Copyright © 2012 IEEE. All rights reserved.
class sc_fifo
: public sc_fifo_in_if<T>, public sc_fifo_out_if<T>, public sc_prim_channel
{
public:
explicit sc_fifo( int size_ = 16 );
explicit sc_fifo( const char* name_, int size_ = 16);
virtual ~sc_fifo();
virtual void register_port( sc_port_base&, const char* );
virtual void read( T& );
virtual T read();
virtual bool nb_read( T& );
operator T ();
virtual void write( const T& );
virtual bool nb_write( const T& );
sc_fifo<T>& operator= ( const T& );
virtual const sc_event& data_written_event() const;
virtual const sc_event& data_read_event() const;
virtual int num_available() const;
virtual int num_free() const;
virtual void print( std::ostream& = std::cout ) const;
virtual void dump( std::ostream& = std::cout ) const;
virtual const char* kind() const;
protected:
virtual void update();
private:
// Disabled
sc_fifo( const sc_fifo<T>& );
sc_fifo& operator= ( const sc_fifo<T>& );
};
template <class T>
inline std::ostream& operator<< ( std::ostream&, const sc_fifo<T>& );
} // namespace sc_core
6.23.3 Template parameter T
The argument passed to template sc_fifo shall be either a C++ type for which the predefined semantics for
assignment are adequate (for example, a fundamental type or a pointer) or a type T that obeys each of the
following rules:
a) The following stream operator shall be defined and should copy the state of the object given as the
second argument to the stream given as the first argument. The way in which the state information is
formatted is undefined by this standard. The implementation shall use this operator in implementing
the behavior of the member functions print and dump.
Authorized licensed use limited to: Furkan Tuncer. Downloaded on October 16,2017 at 17:05:54 UTC from IEEE Xplore. Restrictions apply.
IEEE Std 1666-2011
IEEE Standard for Standard SystemC® Language Reference Manual
175
Copyright © 2012 IEEE. All rights reserved.
std::ostream& operator<< ( std::ostream&, const T& );
b) If the default assignment semantics are inadequate to assign the state of the object, the following
assignment operator should be defined for the type T. The implementation shall use this operator to
copy the value being written into a fifo slot or the value being read out of a fifo slot.
const T& operator= ( const T& );
c) If any constructor for type T exists, a default constructor for type T shall be defined.
NOTE 1—The assignment operator is not obliged to assign the complete state of the object, although it should typically
do so. For example, diagnostic information may be associated with an object that is not to be propagated through the
fifo.
NOTE 2—The SystemC data types proper (sc_dt::sc_int, sc_dt::sc_logic, and so forth) all conform to the above rule
set.
NOTE 3—It is legal to pass type sc_module* through a fifo, although this would be regarded as an abuse of the module
hierarchy and thus bad practice.
6.23.4 Constructors
explicit sc_fifo( int size_ = 16 );
This constructor shall call the base class constructor from its initializer list as follows:
sc_prim_channel( sc_gen_unique_name( "fifo" ) )
explicit sc_fifo( const char* name_, int size_ = 16 );
This constructor shall call the base class constructor from its initializer list as follows:
sc_prim_channel( name_ )
Both constructors shall initialize the number of slots in the fifo to the value given by the parameter size_.
The number of slots shall be greater than zero.
6.23.5 register_port
virtual void register_port( sc_port_base&, const char* );
Member function register_port of class sc_interface shall be overridden in class sc_fifo and shall
perform an error check. It is an error if more than one port of type sc_fifo_in_if is bound to a given
fifo, and it is an error if more than one port of type sc_fifo_out_if is bound to a given fifo.
6.23.6 Member functions for reading
virtual void read( T& );
virtual T read();
virtual bool nb_read( T& );
Member functions read and nb_read shall return the value least recently written into the fifo and
shall remove that value from the fifo such that it cannot be read again. Multiple values may be read
within a single delta cycle. The order in which values are read from the fifo shall precisely match the
order in which values were written into the fifo. Values written into the fifo during the current delta
cycle are not available for reading in that delta cycle but become available for reading in the
immediately following delta cycle.
The value read from the fifo shall be returned as the value of the member function or as an argument
passed by reference, as appropriate.
Authorized licensed use limited to: Furkan Tuncer. Downloaded on October 16,2017 at 17:05:54 UTC from IEEE Xplore. Restrictions apply.
IEEE Std 1666-2011
IEEE Standard for Standard SystemC® Language Reference Manual
176
Copyright © 2012 IEEE. All rights reserved.
If the fifo is empty (that is, no values are available for reading), member function read shall suspend
until the data-written event is notified. At that point, it shall resume (in the immediately following
evaluation phase) and complete the reading of the value least recently written into the fifo before
returning.
If the fifo is empty, member function nb_read shall return immediately without modifying the state
of the fifo, without calling request_update, and with a return value of false. Otherwise, if a value is
available for reading, the return value of member function nb_read shall be true.
operator T ();
The behavior of operator T() shall be equivalent to the following definition:
operator T (){ return read(); }
6.23.7 Member functions for writing
virtual void write( const T& );
virtual bool nb_write( const T& );
Member functions write and nb_write shall write the value passed as an argument into the fifo.
Multiple values may be written within a single delta cycle. If values are read from the fifo during the
current delta cycle, the empty slots in the fifo so created do not become free for the purposes of
writing until the immediately following delta cycle.
If the fifo is full (that is, no free slots exist for the purposes of writing), member function write shall
suspend until the data-read event is notified. At which point, it shall resume (in the immediately
following evaluation phase) and complete the writing of the argument value into the fifo before
returning.
If the fifo is full, member function nb_write shall return immediately without modifying the state of
the fifo, without calling request_update, and with a return value of false. Otherwise, if a slot is free,
the return value of member function nb_write shall be true.
operator=
The behavior of operator= shall be equivalent to the following definition:
sc_fifo<T>& operator= ( const T& a ) { write( a ); return *this; }
6.23.8 The update phase
Member functions read, nb_read, write, and nb_write shall complete the act of reading or writing the fifo
by calling member function request_update of class sc_prim_channel.
virtual void update();
Member function update of class sc_prim_channel shall be overridden in class sc_fifo to update
the number of values available for reading and the number of free slots for writing and shall cause
the data-written event or the data-read event to be notified in the immediately following delta
notification phase as necessary.
NOTE—If a fifo is empty and member functions write and read are both called (from the same process or from
two different processes) during the evaluation phase of the same delta cycle, the write will complete in that
delta cycle, but the read will suspend because the fifo is empty. The number of values available for reading will
be incremented to one during the update phase, and the read will complete in the following delta cycle,
returning the value just written.
Authorized licensed use limited to: Furkan Tuncer. Downloaded on October 16,2017 at 17:05:54 UTC from IEEE Xplore. Restrictions apply.
IEEE Std 1666-2011
IEEE Standard for Standard SystemC® Language Reference Manual
177
Copyright © 2012 IEEE. All rights reserved.
6.23.9 Member functions for events
virtual const sc_event& data_written_event() const;
Member function data_written_event shall return a reference to an event, the data-written event,
that is notified in the delta notification phase that occurs at the end of the delta cycle in which a
value is written into the fifo.
virtual const sc_event& data_read_event() const;
Member function data_read_event shall return a reference to an event, the data-read event, that is
notified in the delta notification phase that occurs at the end of the delta cycle in which a value is
read from the fifo.
6.23.10 Member functions for available values and free slots
virtual int num_available() const;
Member function num_available shall return the number of values that are available for reading in
the current delta cycle. The calculation shall deduct any values read during the current delta cycle
but shall not add any values written during the current delta cycle.
virtual int num_free() const;
Member function num_free shall return the number of empty slots that are free for writing in the
current delta cycle. The calculation shall deduct any slots written during the current delta cycle but
shall not add any slots made free by reading in the current delta cycle.
6.23.11 Diagnostic member functions
virtual void print( std::ostream& = std::cout ) const;
Member function print shall print a list of the values stored in the fifo and that are available for
reading. They will be printed in the order they were written to the fifo and are printed to the stream
passed as an argument by calling operator<< (std::ostream&, T&). The formatting shall be
implementation-defined.
virtual void dump( std::ostream& = std::cout ) const;
Member function dump shall print at least the hierarchical name of the fifo and a list of the values
stored in the fifo that are available for reading. They are printed to the stream passed as an argument.
The formatting shall be implementation-defined.
virtual const char* kind() const;
Member function kind shall return the string "sc_fifo".
6.23.12 operator<<
template <class T>
inline std::ostream& operator<< ( std::ostream&, const sc_fifo<T>& );
operator<< shall call member function print to print the contents of the fifo passed as the second
argument to the stream passed as the first argument by calling operator operator<<
(std::ostream&, T&).
Authorized licensed use limited to: Furkan Tuncer. Downloaded on October 16,2017 at 17:05:54 UTC from IEEE Xplore. Restrictions apply.
IEEE Std 1666-2011
IEEE Standard for Standard SystemC® Language Reference Manual
178
Copyright © 2012 IEEE. All rights reserved.
Example:
SC_MODULE(M)
{
sc_fifo<int> fifo;
SC_CTOR(M) : fifo(4)
{
SC_THREAD(T);
}
void T()
{
int d;
fifo.write(1);
fifo.print(std::cout); // 1
fifo.write(2);
fifo.print(std::cout); // 1 2
fifo.write(3);
fifo.print(std::cout); // 1 2 3
std::cout << fifo.num_available(); // 0 values available to read
std::cout << fifo.num_free(); // 1 free slot
fifo.read(d); // read suspends and returns in the next delta cycle
fifo.print(std::cout); // 2 3
std::cout << fifo.num_available(); // 2 values available to read
std::cout << fifo.num_free(); // 1 free slot
fifo.read(d);
fifo.print(std::cout); // 3
fifo.read(d);
fifo.print(std::cout); // Empty
std::cout << fifo.num_available(); // 0 values available to read
std::cout << fifo.num_free(); // 1 free slot
wait(SC_ZERO_TIME);
std::cout << fifo.num_free(); // 4 free slots
}
};
6.24 sc_fifo_in
6.24.1 Description
Class sc_fifo_in is a specialized port class for use when reading from a fifo. It provides functions to access
conveniently certain member functions of the fifo to which the port is bound.
6.24.2 Class definition
namespace sc_core {
template <class T>
class sc_fifo_in
: public sc_port<sc_fifo_in_if<T>,0>
{
public:
sc_fifo_in();
explicit sc_fifo_in( const char* );
Authorized licensed use limited to: Furkan Tuncer. Downloaded on October 16,2017 at 17:05:54 UTC from IEEE Xplore. Restrictions apply.
IEEE Std 1666-2011
IEEE Standard for Standard SystemC® Language Reference Manual
179
Copyright © 2012 IEEE. All rights reserved.
virtual ~sc_fifo_in();
void read( T& );
T read();
bool nb_read( T& );
const sc_event& data_written_event() const;
sc_event_finder& data_written() const;
int num_available() const;
virtual const char* kind() const;
private:
// Disabled
sc_fifo_in( const sc_fifo_in<T>& );
sc_fifo_in<T>& operator= ( const sc_fifo_in<T>& );
};
} // namespace sc_core
6.24.3 Member functions
The constructors shall pass their arguments to the corresponding constructor for the base class sc_port.
Member functions read, nb_read, data_written_event, and num_available shall each call the
corresponding member function of the object to which the port is bound using operator-> of class sc_port,
for example:
T read() { return (*this)->read(); }
Member function data_written shall return a reference to class sc_event_finder, where the event finder
object itself shall be constructed using the member function data_written_event (see 5.7).
Member function kind shall return the string "sc_fifo_in".
6.25 sc_fifo_out
6.25.1 Description
Class sc_fifo_out is a specialized port class for use when writing to a fifo. It provides functions to access
conveniently certain member functions of the fifo to which the port is bound.
6.25.2 Class definition
namespace sc_core {
template <class T>
class sc_fifo_out
: public sc_port<sc_fifo_out_if<T>,0>
{
public:
sc_fifo_out();
explicit sc_fifo_out( const char* );
virtual ~sc_fifo_out();
void write( const T& );
Authorized licensed use limited to: Furkan Tuncer. Downloaded on October 16,2017 at 17:05:54 UTC from IEEE Xplore. Restrictions apply.
IEEE Std 1666-2011
IEEE Standard for Standard SystemC® Language Reference Manual
180
Copyright © 2012 IEEE. All rights reserved.
bool nb_write( const T& );
const sc_event& data_read_event() const;
sc_event_finder& data_read() const;
int num_free() const;
virtual const char* kind() const;
private:
// Disabled
sc_fifo_out( const sc_fifo_out<T>& );
sc_fifo_out<T>& operator= ( const sc_fifo_out<T>& );
};
} // namespace sc_core
6.25.3 Member functions
The constructors shall pass their arguments to the corresponding constructor for the base class sc_port.
Member functions write, nb_write, data_read_event, and num_free shall each call the corresponding
member function of the object to which the port is bound using operator-> of class sc_port, for example:
void write( const T& a ) { (*this)->write( a ); }
Member function data_read shall return a reference to class sc_event_finder, where the event finder object
itself shall be constructed using the member function data_read_event (see 5.7).
Member function kind shall return the string "sc_fifo_out".
Example:
// Type passed as template argument to sc_fifo<>
class U
{
public:
U(int val = 0) // If any constructor exists, a default constructor is required.
{
ptr = new int;
*ptr = val;
}
int get() const { return *ptr; }
void set(int i) { *ptr = i; }
// Default assignment semantics are inadequate
const U& operator= (const U& arg) { *(this->ptr) = *(arg.ptr); return *this; }
private:
int *ptr;
};
// operator<< required
std::ostream& operator<< (std::ostream& os, const U& arg) { return (os << arg.get()); }
SC_MODULE(M1)
{
sc_fifo_out<U> fifo_out;
Authorized licensed use limited to: Furkan Tuncer. Downloaded on October 16,2017 at 17:05:54 UTC from IEEE Xplore. Restrictions apply.
IEEE Std 1666-2011
IEEE Standard for Standard SystemC® Language Reference Manual
181
Copyright © 2012 IEEE. All rights reserved.
SC_CTOR(M1)
{
SC_THREAD(producer);
}
void producer()
{
U u;
for (int i = 0; i < 4; i++)
{
u.set(i);
bool status;
do {
wait(1, SC_NS);
status = fifo_out.nb_write(u); // Non-blocking write
} while (!status);
}
}
};
SC_MODULE(M2)
{
sc_fifo_in<U> fifo_in;
SC_CTOR(M2)
{
SC_THREAD(consumer);
sensitive << fifo_in.data_written();
}
void consumer()
{
for (;;)
{
wait(fifo_in.data_written_event());
U u;
bool status = fifo_in.nb_read(u);
std::cout << u << " "; // 0 1 2 3
}
}
};
SC_MODULE(Top)
{
sc_fifo<U> fifo;
M1 m1;
M2 m2;
SC_CTOR(Top)
: m1("m1"), m2("m2")
{
m1.fifo_out(fifo);
m2.fifo_in (fifo);
}
Authorized licensed use limited to: Furkan Tuncer. Downloaded on October 16,2017 at 17:05:54 UTC from IEEE Xplore. Restrictions apply.
IEEE Std 1666-2011
IEEE Standard for Standard SystemC® Language Reference Manual
182
Copyright © 2012 IEEE. All rights reserved.
};
6.26 sc_mutex_if
6.26.1 Description
Class sc_mutex_if is an interface proper and is implemented by the predefined channel sc_mutex.
6.26.2 Class definition
namespace sc_core {
class sc_mutex_if
: virtual public sc_interface
{
public:
virtual int lock() = 0;
virtual int trylock() = 0;
virtual int unlock() = 0;
protected:
sc_mutex_if();
private:
// Disabled
sc_mutex_if( const sc_mutex_if& );
sc_mutex_if& operator= ( const sc_mutex_if& );
};
} // namespace sc_core
6.26.3 Member functions
The behavior of the member functions of class sc_mutex_if is defined in class sc_mutex.
6.27 sc_mutex
6.27.1 Description
Class sc_mutex is a predefined channel intended to model the behavior of a mutual exclusion lock used to
control access to a resource shared by concurrent processes. A mutex is an object of class sc_mutex. A
mutex shall be in one of two exclusive states: unlocked or locked. Only one process can lock a given mutex
at one time. A mutex can only be unlocked by the particular process instance that locked the mutex but may
be locked subsequently by a different process.
6.27.2 Class definition
namespace sc_core {
class sc_mutex
Authorized licensed use limited to: Furkan Tuncer. Downloaded on October 16,2017 at 17:05:54 UTC from IEEE Xplore. Restrictions apply.
IEEE Std 1666-2011
IEEE Standard for Standard SystemC® Language Reference Manual
183
Copyright © 2012 IEEE. All rights reserved.
: public sc_mutex_if, public sc_object
{
public:
sc_mutex();
explicit sc_mutex( const char* );
virtual int lock();
virtual int trylock();
virtual int unlock();
virtual const char* kind() const;
private:
// Disabled
sc_mutex( const sc_mutex& );
sc_mutex& operator= ( const sc_mutex& );
};
} // namespace sc_core
6.27.3 Constructors
sc_mutex();
This constructor shall call the base class constructor from its initializer list as follows:
sc_object( sc_gen_unique_name( "mutex" ) )
explicit sc_mutex( const char* name_ );
This constructor shall call the base class constructor from its initializer list as follows:
sc_object( name_ )
Both constructors shall unlock the mutex.
6.27.4 Member functions
virtual int lock();
If the mutex is unlocked, member function lock shall lock the mutex and return.
If the mutex is locked, member function lock shall suspend until the mutex is unlocked (by another
process). At that point, it shall resume and attempt to lock the mutex by applying these same rules
again.
Member function lock shall unconditionally return the value 0.
If multiple processes attempt to lock the mutex in the same delta cycle, the choice of which process
instance is given the lock in that delta cycle shall be non-deterministic; that is, it will rely on the
order in which processes are resumed within the evaluation phase.
virtual int trylock();
If the mutex is unlocked, member function trylock shall lock the mutex and shall return the value 0.
If the mutex is locked, member function trylock shall immediately return the value –1. The mutex
shall remain locked.
Authorized licensed use limited to: Furkan Tuncer. Downloaded on October 16,2017 at 17:05:54 UTC from IEEE Xplore. Restrictions apply.
IEEE Std 1666-2011
IEEE Standard for Standard SystemC® Language Reference Manual
184
Copyright © 2012 IEEE. All rights reserved.
virtual int unlock();
If the mutex is unlocked, member function unlock shall return the value –1. The mutex shall remain
unlocked.
If the mutex was locked by a process instance other than the calling process, member function
unlock shall return the value –1. The mutex shall remain locked.
If the mutex was locked by the calling process, member function unlock shall unlock the mutex and
shall return the value 0. If processes are suspended and are waiting for the mutex to be unlocked, the
lock shall be given to exactly one of these processes (the choice of process instance being non-
deterministic) while the remaining processes shall suspend again. This shall be accomplished within
a single evaluation phase; that is, an implementation shall use immediate notification to signal the
act of unlocking a mutex to other processes.
virtual const char* kind() const;
Member function kind shall return the string "sc_mutex".
6.28 sc_semaphore_if
6.28.1 Description
Class sc_semaphore_if is an interface proper and is implemented by the predefined channel sc_semaphore.
6.28.2 Class definition
namespace sc_core {
class sc_semaphore_if
: virtual public sc_interface
{
public:
virtual int wait() = 0;
virtual int trywait() = 0;
virtual int post() = 0;
virtual int get_value() const = 0;
protected:
sc_semaphore_if();
private:
// Disabled
sc_semaphore_if( const sc_semaphore_if& );
sc_semaphore_if& operator= ( const sc_semaphore_if& );
};
} // namespace sc_core
6.28.3 Member functions
The behavior of the member functions of class sc_semaphore_if is defined in class sc_semaphore.
Authorized licensed use limited to: Furkan Tuncer. Downloaded on October 16,2017 at 17:05:54 UTC from IEEE Xplore. Restrictions apply.
IEEE Std 1666-2011
IEEE Standard for Standard SystemC® Language Reference Manual
185
Copyright © 2012 IEEE. All rights reserved.
6.29 sc_semaphore
6.29.1 Description
Class sc_semaphore is a predefined channel intended to model the behavior of a software semaphore used
to provide limited concurrent access to a shared resource. A semaphore has an integer value, the semaphore
value, which is set to the permitted number of concurrent accesses when the semaphore is constructed.
6.29.2 Class definition
namespace sc_core {
class sc_semaphore
: public sc_semaphore_if, public sc_object
{
public:
explicit sc_semaphore( int );
sc_semaphore( const char*, int );
virtual int wait();
virtual int trywait();
virtual int post();
virtual int get_value() const;
virtual const char* kind() const;
private:
// Disabled
sc_semaphore( const sc_semaphore& );
sc_semaphore& operator= ( const sc_semaphore& );
};
} // namespace sc_core
6.29.3 Constructors
explicit sc_semaphore( int );
This constructor shall call the base class constructor from its initializer list as follows:
sc_object( sc_gen_unique_name( "semaphore" ) )
sc_semaphore( const char* name_, int );
This constructor shall call the base class constructor from its initializer list as follows:
sc_object( name_ )
Both constructors shall set the semaphore value to the value of the int parameter, which shall be non-
negative.
6.29.4 Member functions
virtual int wait();
Authorized licensed use limited to: Furkan Tuncer. Downloaded on October 16,2017 at 17:05:54 UTC from IEEE Xplore. Restrictions apply.
IEEE Std 1666-2011
IEEE Standard for Standard SystemC® Language Reference Manual
186
Copyright © 2012 IEEE. All rights reserved.
If the semaphore value is greater than 0, member function wait shall decrement the semaphore value
and return.
If the semaphore value is equal to 0, member function wait shall suspend until the semaphore value
is incremented (by another process). At that point, it shall resume and attempt to decrement the
semaphore value by applying these same rules again.
Member function wait shall unconditionally return the value 0.
The semaphore value shall not become negative. If multiple processes attempt to decrement the
semaphore value in the same delta cycle, the choice of which process instance decrements the
semaphore value and which processes suspend shall be non-deterministic; that is, it will rely on the
order in which processes are resumed within the evaluation phase.
virtual int trywait();
If the semaphore value is greater than 0, member function trywait shall decrement the semaphore
value and shall return the value 0.
If the semaphore value is equal to 0, member function trywait shall immediately return the value –1
without modifying the semaphore value.
virtual int post();
Member function post shall increment the semaphore value. If processes exist that are suspended
and are waiting for the semaphore value to be incremented, exactly one of these processes shall be
permitted to decrement the semaphore value (the choice of process instance being non-
deterministic) while the remaining processes shall suspend again. This shall be accomplished within
a single evaluation phase; that is, an implementation shall use immediate notification to signal the
act of incrementing the semaphore value to any waiting processes.
Member function post shall unconditionally return the value 0.
virtual int get_value() const;
Member function get_value shall return the semaphore value.
virtual const char* kind() const;
Member function kind shall return the string "sc_semaphore".
NOTE 1—The semaphore value may be decremented and incremented by different processes.
NOTE 2—The semaphore value may exceed the value set by the constructor.
6.30 sc_event_queue
6.30.1 Description
Class sc_event_queue represents an event queue. Like class sc_event, an event queue has a member
function notify. Unlike an sc_event, an event queue is a hierarchical channel and can have multiple
notifications pending.
6.30.2 Class definition
namespace sc_core {
class sc_event_queue_if
Authorized licensed use limited to: Furkan Tuncer. Downloaded on October 16,2017 at 17:05:54 UTC from IEEE Xplore. Restrictions apply.
IEEE Std 1666-2011
IEEE Standard for Standard SystemC® Language Reference Manual
187
Copyright © 2012 IEEE. All rights reserved.
: public virtual sc_interface
{
public:
virtual void notify( double , sc_time_unit ) = 0;
virtual void notify( const sc_time& ) = 0;
virtual void cancel_all() = 0;
};
class sc_event_queue
: public sc_event_queue_if , public sc_module
{
public:
sc_event_queue( sc_module_name name_=
sc_module_name(sc_gen_unique_name(“event_queue”)));
~sc_event_queue();
virtual const char* kind() const;
virtual void notify( double , sc_time_unit );
virtual void notify( const sc_time& );
virtual void cancel_all();
virtual const sc_event& default_event() const;
};
} // namespace sc_core
6.30.3 Constraints on usage
Class sc_event_queue is a hierarchical channel, and thus, sc_event_queue objects can only be constructed
during elaboration.
NOTE—An object of class sc_event_queue cannot be used in most contexts requiring an sc_event but can be used to
create static sensitivity because it implements member function sc_interface::default_event.
6.30.4 Constructors
sc_event_queue( sc_module_name name_= sc_module_name(sc_gen_unique_name(“event_queue”)));
This constructor shall pass the module name argument through to the constructor for the base class
sc_module.
6.30.5 kind
Member function kind shall return the string "sc_event_queue".
6.30.6 Member functions
virtual void notify( double , sc_time_unit );
virtual void notify( const sc_time& );
A call to member function notify with an argument that represents a zero time shall cause a delta
notification on the default event.
A call to function notify with an argument that represents a non-zero time shall cause a timed
notification on the default event at the given time, expressed relative to the simulation time when
Authorized licensed use limited to: Furkan Tuncer. Downloaded on October 16,2017 at 17:05:54 UTC from IEEE Xplore. Restrictions apply.
IEEE Std 1666-2011
IEEE Standard for Standard SystemC® Language Reference Manual
188
Copyright © 2012 IEEE. All rights reserved.
function notify is called. In other words, the value of the time argument is added to the current
simulation time to determine the time at which the event will be notified.
If function notify is called when there is a already one or more notifications pending, the new
notification shall be queued in addition to the pending notifications. Each queued notification shall
occur at the time determined by the semantics of function notify, irrespective of the order in which
the calls to notify are made.
The default event shall not be notified more than once in any one delta cycle. If multiple
notifications are pending for the same delta cycle, those notifications shall occur in successive delta
cycles. If multiple timed notification are pending for the same simulation time, those notifications
shall occur in successive delta cycles starting with the first delta cycle at that simulation time step
and with no gaps in the delta cycle sequence.
virtual void cancel_all();
Member function cancel_all shall immediately delete every pending notification for this event
queue object including both delta and timed notifications, but it shall have no effect on other event
queue objects.
virtual const sc_event& default_event() const;
Member function default_event shall return a reference to the default event.
The mechanism used to queue notifications shall be implementation-defined, with the proviso that
an event queue object must provide a single default event that is notified once for every call to
member function notify.
NOTE—Event queue notifications are anonymous in the sense that the only information carried by the default
event is the time of notification. A process instance sensitive to the default event cannot tell which call to
function notify caused the notification.
Example:
sc_event_queue EQ;
SC_CTOR(Mod)
{
SC_THREAD(T);
SC_METHOD(M);
sensitive << EQ;
dont_initialize();
}
void T()
{
EQ.notify(2, SC_NS); // M runs at time 2ns
EQ.notify(1, SC_NS); // M runs at time 1ns, 1st or 2nd delta cycle
EQ.notify(SC_ZERO_TIME); // M runs at time 0ns
EQ.notify(1, SC_NS); // M runs at time 1ns, 2nd or 1st delta cycle
}
Authorized licensed use limited to: Furkan Tuncer. Downloaded on October 16,2017 at 17:05:54 UTC from IEEE Xplore. Restrictions apply.
IEEE Std 1666-2011
IEEE Standard for Standard SystemC® Language Reference Manual
189
Copyright © 2012 IEEE. All rights reserved.
7. SystemC data types
7.1 Introduction
All native C++ types are supported within a SystemC application. SystemC provides additional data type
classes within the sc_dt namespace to represent values with application-specific word lengths applicable to
digital hardware. These data types are referred to as SystemC data types.
The SystemC data type classes consist of the following:
—Limited-precision integers, which are classes derived from class sc_int_base, class sc_uint_base, or
instances of such classes. A limited-precision integer shall represent a signed or unsigned integer
value at a precision limited by its underlying native C++ representation and its specified word length.
—Finite-precision integers, which are classes derived from class sc_signed, class sc_unsigned, or
instances of such classes. A finite-precision integer shall represent a signed or unsigned integer value
at a precision limited only by its specified word length.
—Finite-precision fixed-point types, which are classes derived from class sc_fxnum or instances of
such classes. A finite-precision fixed-point type shall represent a signed or unsigned fixed-point
value at a precision limited only by its specified word length, integer word length, quantization
mode, and overflow mode.
—Limited-precision fixed-point types, which are classes derived from class sc_fxnum_fast or instances
of such classes. A limited-precision fixed-point type shall represent a signed or unsigned fixed-point
value at a precision limited by its underlying native C++ floating-point representation and its speci-
fied word length, integer word length, quantization mode, and overflow mode.
—Variable-precision fixed-point type, which is the class sc_fxval. A variable-precision fixed-point
type shall represent a fixed-point value with a precision that may vary over time and is not subject to
quantization or overflow.
—Limited variable-precision fixed-point type, which is the class sc_fxval_fast. A limited variable-
precision fixed-point type shall represent a fixed-point value with a precision that is limited by its
underlying C++ floating-point representation and that may vary over time and is not subject to
quantization or overflow.
—Single-bit logic types implement a four-valued logic data type with states logic 0, logic 1, high-
impedance, and unknown and shall be represented by the symbols '0', '1', 'X', and 'Z', respectively.
The lowercase symbols 'x' and 'z' are acceptable alternatives for 'X' and 'Z', respectively, as
character literals assigned to single-bit logic types.
—Bit vectors, which are classes derived from class sc_bv_base, or instances of such classes. A bit
vector shall implement a multiple bit data type, where each bit has a state of logic 0 or logic 1 and is
represented by the symbols '0' or '1', respectively.
—Logic vectors, which are classes derived from class sc_lv_base, or instances of such classes. A logic
vector shall implement a multiple-bit data type, where each bit has a state of logic 0, logic 1, high-
impedance, or unknown and is represented by the symbols '0', '1', 'X', or 'Z'. The lowercase symbols
'x' and 'z' are acceptable alternatives for 'X' and 'Z', respectively, within string literals assigned to
logic vectors.
Apart from the single-bit logic types, the variable-precision fixed-point types, and the limited variable-
precision fixed-point types, the classes within each category are organized as an object-oriented hierarchy
with common behavior defined in base classes. A class template shall be derived from each base class by the
implementation such that applications can specify word lengths as template arguments.
The term fixed-point type is used in this standard to refer to any finite-precision fixed-point type or limited-
precision fixed-point type. The variable-precision and limited variable-precision fixed-point types are fixed-
point types only in the restricted sense that they store a representation of a fixed-point value and can be
Authorized licensed use limited to: Furkan Tuncer. Downloaded on October 16,2017 at 17:05:54 UTC from IEEE Xplore. Restrictions apply.
IEEE Std 1666-2011
IEEE Standard for Standard SystemC® Language Reference Manual
190
Copyright © 2012 IEEE. All rights reserved.
mixed with other fixed-point types in expressions, but they are not fixed-point types in the sense that they do
not model quantization or overflow effects and are not intended to be used directly by an application.
The term numeric type is used in this standard to refer to any limited-precision integer, finite-precision
integer, finite-precision fixed-point type, or limited-precision fixed-point type. The term vector is used to
refer to any bit vector or logic vector. The word length of a numeric type or vector object shall be set when
the object is initialized and shall not subsequently be altered. Each bit within a word shall have an index. The
right-hand bit shall have index 0 and is the least-significant bit for numeric types. The index of the left-hand
bit shall be the word length minus 1.
The limited-precision signed integer base class is sc_int_base. The limited-precision unsigned integer base
class is sc_uint_base. The corresponding class templates are sc_int and sc_uint, respectively.
The finite-precision signed integer base class is sc_signed. The finite-precision unsigned integer base class
is sc_unsigned. The corresponding class templates are sc_bigint and sc_biguint, respectively.
The signed finite-precision fixed-point base class is sc_fix. The unsigned finite-precision fixed-point base
class is sc_ufix. Both base classes are derived from class sc_fxnum. The corresponding class templates are
sc_fixed and sc_ufixed, respectively.
The signed limited-precision fixed-point base class is sc_fix_fast. The unsigned limited-precision fixed-
point base class is sc_ufix_fast. Both base classes are derived from class sc_fxnum_fast. The corresponding
class templates are sc_fixed_fast and sc_ufixed_fast, respectively.
The variable-precision fixed-point class is sc_fxval. The limited variable-precision fixed-point class is
sc_fxval_fast. These two classes are used as the operand types and return types of many fixed-point
operations.
The bit vector base class is sc_bv_base. The corresponding class template is sc_bv.
The logic vector base class is sc_lv_base. The corresponding class template is sc_lv.
The single-bit logic type is sc_logic.
It is recommended that applications create SystemC data type objects using the class templates given in this
clause (for example, sc_int) rather than the untemplated base classes (for example, sc_int_base).
The relationships between the SystemC data type classes are shown in Table 4.
Authorized licensed use limited to: Furkan Tuncer. Downloaded on October 16,2017 at 17:05:54 UTC from IEEE Xplore. Restrictions apply.

IEEE Std 1666-2011
IEEE Standard for Standard SystemC® Language Reference Manual
191
Copyright © 2012 IEEE. All rights reserved.
7.2 Common characteristics
This subclause specifies some common characteristics of the SystemC data types such as common operators
and functions. This subclause should be taken as specifying a set of obligations on the implementation to
provide operators and functions with the given behavior. In some cases the implementation has some
flexibility with regard to how the given behavior is implemented. The remainder of Clause 7 gives a detailed
definition of the SystemC data type classes.
An underlying principle is that native C++ integer and floating-point types, C++ string types, and SystemC
data types may be mixed in expressions.
Equality and bitwise operators can be used for all SystemC data types. Arithmetic and relational operators
can be used with the numeric types only. The semantics of the equality operators, bitwise operators,
arithmetic operators, and relational operators are the same in SystemC as in C++.
User-defined conversions supplied by the implementation support translation from SystemC types to C++
native types and other SystemC types.
Bit-select, part-select, and concatenation operators return an instance of a proxy class. The term proxy class
is used in this standard to refer to a class whose purpose is to represent a SystemC data type object within an
expression and which provides additional operators or features not otherwise present in the represented
object. An example is a proxy class that allows an sc_int variable to be used as if it were a C++ array of bool
and to distinguish between its use as an rvalue or an lvalue within an expression. Instances of proxy classes
are only intended to be used within the expressions that create them. An application should not call a proxy
Table 4—SystemC data types
Class template Base class Generic base class Representation Precision
sc_int sc_int_base sc_value_base signed integer limited
sc_uint sc_uint_base sc_value_base unsigned integer limited
sc_bigint sc_signed sc_value_base signed integer finite
sc_biguint sc_unsigned sc_value_base unsigned integer finite
sc_fixed sc_fix sc_fxnum signed fixed-point finite
sc_ufixed sc_ufix sc_fxnum unsigned fixed-point finite
sc_fixed_fast sc_fix_fast sc_fxnum_fast signed fixed-point limited
sc_ufixed_fast sc_ufix_fast sc_fxnum_fast unsigned fixed-point limited
sc_fxval fixed-point variable
sc_fxval_fast fixed-point limited-variable
sc_logic single bit
sc_bv sc_bv_base bit vector
sc_lv sc_lv_base logic vector
Authorized licensed use limited to: Furkan Tuncer. Downloaded on October 16,2017 at 17:05:54 UTC from IEEE Xplore. Restrictions apply.
IEEE Std 1666-2011
IEEE Standard for Standard SystemC® Language Reference Manual
192
Copyright © 2012 IEEE. All rights reserved.
class constructor to create a named object and should not declare a pointer or reference to a proxy class. It is
strongly recommended that an application avoid the use of a proxy class as the return type of a function
because the lifetime of the object to which the proxy class refers may not extend beyond the function return
statement.
NOTE 1—The bitwise shift left or shift right operation has no meaning for a single-bit logic type and is undefined.
NOTE 2—The term user-defined conversions in this context has the same meaning as in the C++ standard. It applies to
type conversions of class objects by calling constructors and conversion functions that are used for implicit type
conversions and explicit type conversions.
NOTE 3—Care should be taken when mixing signed and unsigned numeric types in expressions that use implicit type
conversions since an implementation is not required to issue a warning if the polarity of a converted value is changed.
7.2.1 Initialization and assignment operators
Overloaded constructors shall be provided by the implementation for all integer (limited-precision integer
and finite-precision integer) class templates that allow initialization with an object of any SystemC data
type.
Overloaded constructors shall be provided for all vector (bit vector and logic vector) class templates that
allow initialization with an object of any SystemC integer or vector data type.
Overloaded constructors shall be provided for all finite-precision fixed-point and limited precision fixed-
point class templates that allow initialization with an object of any SystemC integer data type.
All SystemC data type classes shall define a copy constructor that creates a copy of the specified object with
the same value and the same word length.
Overloaded assignment operators and constructors shall perform direct or indirect conversion between
types. The data type base classes may define a restricted set of constructors and assignment operators that
only permit direct initialization from a subset of the SystemC data types. As a general principle, data type
class template constructors may be called implicitly by an application to perform conversion from other
types since their word length is specified by a template argument. On the other hand, the data type base class
constructors with a single parameter of a different type should only be called explicitly since the required
word length is not specified.
If the target of an assignment operation has a word length that is insufficient to hold the value assigned to it,
the left-hand bits of the value stored shall be truncated to fit the target word length. If truncation occurs, an
implementation may generate a warning but is not obliged to do so, and an application can in any case
disable such a warning (see 3.3.5).
If a data type object or string literal is assigned to a target having a greater word length, the value shall be
extended with additional bits at its left-hand side to match the target word length. Extension of a signed
numeric type shall preserve both its sign and magnitude and is referred to as sign extension. Extension of all
other types shall insert bits with a value of logic 0 and is referred to as zero extension.
Assignment of a fixed-point type to an integer type shall use the integer component only; any fractional
component is discarded.
Assignment of a value with a word length greater than 1 to a single-bit logic type shall be an error.
NOTE—An integer literal is always treated as unsigned unless prefixed by a minus symbol. An unsigned integer literal
will always be extended with leading zeros when assigned to a data type object having a larger word length, regardless
of whether the object itself is signed or unsigned.
Authorized licensed use limited to: Furkan Tuncer. Downloaded on October 16,2017 at 17:05:54 UTC from IEEE Xplore. Restrictions apply.
IEEE Std 1666-2011
IEEE Standard for Standard SystemC® Language Reference Manual
193
Copyright © 2012 IEEE. All rights reserved.
7.2.2 Precision of arithmetic expressions
The type of the value returned by any arithmetic expression containing only limited-precision integers or
limited-precision integers and native C++ integer types shall be an implementation-defined C++ integer type
with a maximum word length of 64 bits. The action taken by an implementation if the precision required by
the return value exceeds 64 bits is undefined and the value is implementation-dependent.
The value returned by any arithmetic expression containing only finite-precision integers or finite-precision
integers and any combination of limited-precision or native C++ integer types shall be a finite-precision
integer with a word-length sufficient to contain the value with no loss of accuracy.
The value returned by any arithmetic expression containing any fixed-point type shall be a variable-
precision or limited variable-precision fixed-point type (see 7.10.4).
Applications should use explicit type casts within expressions combining multiple types where an
implementation does not provide overloaded operators with signatures exactly matching the operand types.
Example:
int i = 10;
sc_dt::int64 i64 = 100; // long long int
sc_int<16> sci = 2;
sc_bigint<16> bi = 20;
float f = 2.5;
sc_fixed<16,8> scf = 2.5;
( i * sci ); // Ambiguous
( i * static_cast<sc_dt::int_type>(sci) ); // Implementation-defined C++ integer
( i * bi ); // 48-bit finite-precision integer (assumes int = 32 bits)
( i64 * bi ); // 80-bit finite-precision integer
( f * bi ); // Ambiguous
( static_cast<int>(f) * bi ); // 48-bit finite-precision integer (assumes int = 32 bits)
( scf * sci ); // Variable-precision fixed-point type
7.2.3 Base class default word length
The default word length of a data type base class shall be used where its default constructor is called
(implicitly or explicitly). The default word length shall be set by the length parameter in context at the point
of construction. A length parameter may be brought into context by creating a length context object. Length
contexts shall have local scope and by default be activated immediately. Once activated, they shall remain in
effect for as long as they are in scope, or until another length context is activated. Activation of a length
context shall be deferred if its second constructor argument is SC_LATER (the default value is SC_NOW).
A deferred length context can be activated by calling its member function begin.
Length contexts shall be managed by a global length context stack. When a length context is activated, it
shall be placed at the top of the stack. A length context may be deactivated and removed from the top of the
stack by calling its member function end. The end method shall only be called for the length context
currently at the top of the context stack. A length context is implicitly deactivated and removed from the
stack when it goes out of scope. A deferred length context that has been activated by calling its member
function begin should be explicitly deactivated and removed from the stack by calling its member function
end. The current context shall always be the length context at the top of the stack.
A length context shall only be activated once. An active length context shall only be deactivated once.
Authorized licensed use limited to: Furkan Tuncer. Downloaded on October 16,2017 at 17:05:54 UTC from IEEE Xplore. Restrictions apply.
IEEE Std 1666-2011
IEEE Standard for Standard SystemC® Language Reference Manual
194
Copyright © 2012 IEEE. All rights reserved.
The classes sc_length_param and sc_length_context shall be used to create length parameters and length
contexts, respectively, for SystemC integers and vectors.
In addition to the word length, the fixed-point types shall have default integer word length and mode
attributes. These shall be set by the fixed-point type parameter in context at the point of construction. A
fixed-point type parameter shall be brought into context by creating a fixed-point type context object. The
use of a fixed-point type context shall follow the same rules as a length context. A stack for fixed-point type
contexts with the same characteristics as the length context stack shall exist.
The classes sc_fxtype_params and sc_fxtype_context shall be used to create fixed-point type parameters
and fixed-point type contexts, respectively.
Example:
sc_length_param length10(10);
sc_length_context cntxt10(length10); // length10 now in context
sc_int_base int_array[2]; // Array of 10-bit integers
sc_core::sc_signal<sc_int_base> S1; // Signal of 10-bit integer
{
sc_length_param length12(12);
sc_length_context cntxt12(length12,SC_LATER); // cntxt12 deferred
sc_length_param length14(14);
sc_length_context cntxt14(length14,SC_LATER); // cntxt14 deferred
sc_uint_base var1; // length 10
cntxt12.begin(); // Bring length12 into context
sc_uint_base var2; // length 12
cntxt14.begin(); // Bring length14 into context
sc_uint_base var3; // length 14
cntxt14.end(); // end cntx14, cntx12 restored
sc_bv_base var4; // length 12
} // cntxt12 out of scope, cntx10 restored
sc_bv_base var5; // length 10
NOTE 1—The context stacks allow a default context to be locally replaced by an alternative context and subsequently
restored.
NOTE 2—An activated context remains active for the lifetime of the context object or until it is explicitly deactivated. A
context can therefore affect the default parameters of data type objects created outside of the function in which it is
activated. An application should ensure that any contexts created or activated within functions whose execution order is
non-deterministic do not result in temporal ordering dependencies in other parts of the application. Failure to meet this
condition could result in behavior that is implementation-dependent.
7.2.4 Word length
The word length (a positive integer indicating the number of bits) of a SystemC integer, vector, part-select,
or concatenation shall be returned by the member function length.
7.2.5 Bit-select
Bit-selects are instances of a proxy class that reference the bit at the specified position within an associated
object that is a SystemC numeric type or vector.
The C++ subscript operator (operator[] ) shall be overloaded by the implementation to create a bit-select
when called with a single non-negative integer argument specifying the bit position. It shall be an error if the
specified bit position is outside the bounds of its numeric type or vector object.
Authorized licensed use limited to: Furkan Tuncer. Downloaded on October 16,2017 at 17:05:54 UTC from IEEE Xplore. Restrictions apply.
IEEE Std 1666-2011
IEEE Standard for Standard SystemC® Language Reference Manual
195
Copyright © 2012 IEEE. All rights reserved.
User-defined conversions shall allow bit-selects to be used in expressions where a bool object operand is
expected. A bit-select of an lvalue may be used as an rvalue or an lvalue. A bit-select of an rvalue shall only
be used as an rvalue.
A bit-select or a bool value may be assigned to an lvalue bit-select. The assignment shall modify the state of
the selected bit within the associated numeric type or vector object represented by the lvalue. An application
shall not assign a value to an rvalue bit-select.
Bit-selects for integer, bit vector, and logic vector types shall have an explicit to_bool conversion function
that returns the state of the selected bit.
Example:
sc_int<4> I1; // 4 bit signed integer
I1[1] = true; // Selected bit used as lvalue
bool b0 = I1[0].to_bool(); // Selected bit used as rvalue
NOTE 1—Bit-selects corresponding to lvalues and rvalues of a particular type are themselves objects of two distinct
classes.
NOTE 2—A bit-select class can contain user-defined conversions for both implicit and explicit conversion of the
selected bit value to bool.
7.2.6 Part-select
Part-selects are instances of a proxy class that provide access to a contiguous subset of bits within an
associated object that is a numeric type or vector.
The member function range( int , int ) of a numeric type, bit vector, or logic vector shall create a part-select.
The two non-negative integer arguments specify the left- and right-hand index positions. A part-select shall
provide a reference to a word within its associated object, starting at the left-hand index position and
extending to, and including, the right-hand index position. It shall be an error if the left-hand index position
or right-hand index position lies outside the bounds of the object.
The C++ function call operator (operator()) shall be overloaded by the implementation to create a part-
select and may be used as a direct replacement for the range function.
User-defined conversions shall allow a part-select to be used in expressions where the expected operand is
an object of the numeric type or vector type associated with the part-select, subject to certain constraints (see
7.5.7.3, 7.6.8.3, and 7.9.8.3). A part-select of an lvalue may be used as an rvalue or as an lvalue. A part-
select of an rvalue shall only be used as an rvalue.
Integer part-selects may be directly assigned to an object of any other SystemC data type, with the
exception of bit-selects. Fixed-point part-selects may be directly assigned to any SystemC integer or vector,
any part-select or any concatenation. Vector part-selects may only be directly assigned to a vector, vector
part-select, or vector concatenation (assignments to other types are ambiguous or require an explicit
conversion).
The bits within a part-select do not reflect the sign of their associated object and shall be taken as
representing an unsigned binary number when converted to a numeric value. Assignments of part-selects to
a target having a greater word length shall be zero extended, regardless of the type of their associated object.
Example:
sc_int<8> I2 = 2; // "0b00000010"
Authorized licensed use limited to: Furkan Tuncer. Downloaded on October 16,2017 at 17:05:54 UTC from IEEE Xplore. Restrictions apply.
IEEE Std 1666-2011
IEEE Standard for Standard SystemC® Language Reference Manual
196
Copyright © 2012 IEEE. All rights reserved.
I2.range(3,2) = I2.range(1,0); // "0b00001010"
sc_int<8> I3 = I2.range(3,0); // "0b00001010"
// Zero-extended to 8 bits
sc_bv<8> b1 = "0b11110000";
b1.range(5,2) = b1.range(2,5); // "0b11001100"
// Reversed bit-order between position 5 and 2
NOTE 1—A part-select cannot be used to reverse the bit-order of a limited-precision integer type.
NOTE 2—Part-selects corresponding to lvalues and rvalues of a particular type are themselves objects of two distinct
classes.
NOTE 3—A part-select is not required to be an acceptable replacement where an object reference operand is expected. If
an implementation provides a mechanism to allow such replacements (for example, by defining the appropriate
overloaded member functions), it is not required to do so for all data types.
7.2.7 Concatenation
Concatenations are instances of a proxy class that reference the bits within multiple objects as if they were
part of a single aggregate object.
The concat( arg0 , arg1 ) function shall create a concatenation. The concatenation arguments (arg0 and
arg1) may be two SystemC integer, vector, bit-select, part-select, or concatenation objects. The C++ comma
operator (operator,) shall also be overloaded to create a concatenation and may be used as a direct
replacement for the concat function.
The type of a concatenation argument shall be a concatenation base type, or it shall be derived from a
concatenation base type. An implementation shall provide a common concatenation base type for all
SystemC integers and a common concatenation base type for all vectors. The concatenation base type of bit-
select and part-select concatenation arguments is the same as their associated integer or vector objects. The
concatenation arguments may be any combination of two objects having the same concatenation base type.
A concatenation object shall have the same concatenation base type as the concatenation arguments passed
to the function that created the object. The set of permissible concatenation arguments for a given
concatenation base type consists of the following:
a) Objects whose base class or concatenation base type matches the given concatenation base type
b) Bit-selects of item a)
c) Part-selects of item a)
d) Concatenations of item a) and/or item b) and/or item c) in any combination
When both concatenation arguments are lvalues, the concatenation shall be an lvalue. If any concatenation
argument is an rvalue, the concatenation shall be an rvalue.
A single concatenation argument may be a bool value when the other argument is a SystemC integer, vector,
bit-select, part-select, or concatenation object. The resulting concatenation shall be an rvalue.
An expression may be assigned to an lvalue concatenation if the base type of the expression return value is
the same as the base type of the lvalue concatenation. If the word length of a value assigned to a
concatenation with a signed base type is smaller than the word length of the concatenation, the value shall be
sign-extended to match the word length of the concatenation. Assignments to concatenations of all other
numeric types and vectors shall be zero-extended (if required). Assignment to a concatenation shall update
the values of the objects specified by its concatenation arguments.
Authorized licensed use limited to: Furkan Tuncer. Downloaded on October 16,2017 at 17:05:54 UTC from IEEE Xplore. Restrictions apply.
IEEE Std 1666-2011
IEEE Standard for Standard SystemC® Language Reference Manual
197
Copyright © 2012 IEEE. All rights reserved.
A concatenation may be assigned to an object whose base class is the same as the concatenation base type.
Where a concatenation is assigned to a target having a greater word length than the concatenation, it is zero-
extended to the target length. When a concatenation is assigned to a target having a shorter word length than
the concatenation, the left-hand bits of the value shall be truncated to fit the target word length. If truncation
occurs, an implementation may generate a warning but is not obliged to do so, and an application can in any
case disable such a warning (see 3.3.5).
Example:
The following concatenations are well-formed:
sc_uint<8> U1 = 2; // "0b00000010"
sc_uint<2> U2 = 1; // "0b01"
sc_uint<8> U3 = (true,U1.range(3,0),U2,U2[0]); // U3 = "0b10010011"
// Base class same as concatenation base type
(U2[0],U1[0],U1.range(7,1)) = (U1[7],U1); // Copies U1[7] to U2[0], U1 rotated left
concat(U2[0],concat(U1[0],U1.range(7,1))) = concat(U1[7],U1);
// Same as previous example but using concat
The following concatenations are ill-formed:
sc_bv<8> Bv1;
(Bv1,U1) = "0xffff"; // Bv1 and U1 do not share common base type
bool C1=true; bool C2 = false;
U2 = (C1,C1); // Cannot concatenate 2 bool objects
(C1,I1) = "0x1ff"; // Bool concatenation argument creates rvalue
NOTE 1—Parentheses are required around the concatenation arguments when using the C++ comma operator because
of its low operator precedence.
NOTE 2—An implementation is not required to support bit-selects and part-selects of concatenations.
NOTE 3—Concatenations corresponding to lvalues and rvalues of a particular type are themselves objects of two
distinct classes.
7.2.8 Reduction operators
The reduction operators shall perform a sequence of bitwise operations on a SystemC integer or vector to
produce a bool result. The first step shall be a boolean operation applied to the first and second bits of the
object. The boolean operation shall then be re-applied using the previous result and the next bit of the object.
This process shall be repeated until every bit of the object has been processed. The value returned shall be
the result of the final boolean operation. The following reduction operators shall be provided:
a) and_reduce performs a bitwise AND between all bits.
b) nand_reduce performs a bitwise NAND between all bits.
c) or_reduce performs a bitwise OR between all bits.
d) nor_reduce performs a bitwise NOR between all bits.
e) xor_reduce performs a bitwise XOR between all bits.
f) xnor_reduce performs a bitwise XNOR between all bits.
Authorized licensed use limited to: Furkan Tuncer. Downloaded on October 16,2017 at 17:05:54 UTC from IEEE Xplore. Restrictions apply.
IEEE Std 1666-2011
IEEE Standard for Standard SystemC® Language Reference Manual
198
Copyright © 2012 IEEE. All rights reserved.
7.2.9 Integer conversion
All SystemC data types shall provide an assignment operator that can accept a C++ integer value. A signed
value shall be sign-extended to match the length of the SystemC data type target.
SystemC data types shall provide member functions for explicit type conversion to C++ integer types as
follows:
a) to_int converts to native C++ int type.
b) to_uint converts to native C++ unsigned type.
c) to_long converts to native C++ long type.
d) to_ulong converts to native C++ unsigned long type.
e) to_uint64() converts to a native C++ unsigned integer type having a word length of 64 bits.
f) to_int64() converts to native C++ integer type having a word length of 64 bits.
These member functions shall interpret the bits within a SystemC integer, fixed-point type or vector, or any
part-select or concatenation thereof, as representing an unsigned binary value, with the exception of signed
integers and signed fixed-point types.
Truncation shall be performed where necessary for the value to be represented as a C++ integer.
Attempting to convert a logic vector containing 'X' or 'Z' values to an integer shall be an error.
7.2.10 String input and output
void scan( std::istream& is = std::cin );
void print( std::ostream& os = std::cout ) const;
All SystemC data types shall provide a member function scan that allows an object value to be set
by reading a string from the specified C++ input stream. The string content may use any of the
representations permitted by 7.3.
All SystemC data types shall provide a member function print that allows an object value to be
written to a C++ output stream.
SystemC numeric types shall be printed as signed or unsigned decimal values. SystemC vector types
shall be printed as a string of bit values.
All SystemC data types shall support the output stream inserter (operator<<) for formatted printing
to a C++ stream. The format shall be the same as for the member function print.
The C++ ostream manipulators dec, oct, and hex shall have the same effect for limited-precision
and finite-precision integers and vector types as they do for standard C++ integers: that is, they shall
cause the values of such objects to be printed in decimal, octal, or hexadecimal formats,
respectively. The formats used shall be those described in 7.3 with the exception that vectors shall
be printed as a bit-pattern string when the dec manipulator is active.
All SystemC data types shall support the input stream inserter (operator>>) for formatted input
from a C++ input stream. The permitted formats shall be the same as those permitted for the member
function scan.
Authorized licensed use limited to: Furkan Tuncer. Downloaded on October 16,2017 at 17:05:54 UTC from IEEE Xplore. Restrictions apply.
IEEE Std 1666-2011
IEEE Standard for Standard SystemC® Language Reference Manual
199
Copyright © 2012 IEEE. All rights reserved.
void dump ( std::ostream& os = std::cout ) const;
All fixed-point types shall additionally provide a member function dump that shall print at least the
type name and value to the stream passed as an argument. The purpose of dump is to allow an
implementation to dump out diagnostic information to help the user debug an application.
7.2.11 Conversion of application-defined types in integer expressions
The generic base proxy class template sc_generic_base shall be provided by the implementation and may be
used as a base class for application-defined classes.
All SystemC integer, integer part-select, and integer concatenation classes shall provide an assignment
operator that accepts an object derived from the generic base proxy class template. All SystemC integer
classes shall additionally provide an overloaded constructor with a single argument that is a constant
reference to a generic base proxy object.
NOTE—The generic base proxy class is not included in the collection of classes described by the term “SystemC data
types” as used in this standard.
7.3 String literals
A string literal representation may be used as the value of a SystemC numeric or vector type object. It shall
consist of a standard prefix followed by a magnitude expressed as one or more digits.
The magnitude representation for SystemC integer types shall be based on that of C++ integer literals.
The magnitude representation for SystemC vector types shall be based on that of C++ unsigned integer
literals.
The magnitude representation for SystemC fixed-point types shall be based on that of C++ floating literals
but without the optional floating suffix.
Where alphabetic characters appear in the prefix or magnitude representations, each individual character
may be a lowercase letter or an uppercase letter. A string literal representation shall not be case sensitive.
The permitted representations are identified with a symbol from the enumerated type sc_numrep as
specified in Table 5.
An implementation shall provide overloaded constructors and assignment operators that permit the value of
any SystemC numeric type or vector to be set by a character string having one of the prefixes specified in
Table 5. The character ‘+’ or ‘-’ may optionally be placed before the prefix for decimal and “sign &
magnitude” formats to indicate polarity. The prefix shall be followed by an unsigned integer value, except in
the cases of the binary, octal, and hexadecimal formats, where the prefix shall be followed by a two’s
complement value expressed as a binary, octal, or hexadecimal integer, respectively. An implementation
shall sign-extend any integer string literal used to set the value of an object having a longer word length.
The canonical signed digit representation shall use the character ‘-’ to represent the bit value –1.
A bit-pattern string (containing bit or logic character values with no prefix) may be assigned to a vector. If
the number of characters in the bit-pattern string is less than the vector word length, the string shall be zero
extended at its left-hand side to the vector word length. The result of assigning such a string to a numeric
type is undefined.
Authorized licensed use limited to: Furkan Tuncer. Downloaded on October 16,2017 at 17:05:54 UTC from IEEE Xplore. Restrictions apply.

IEEE Std 1666-2011
IEEE Standard for Standard SystemC® Language Reference Manual
200
Copyright © 2012 IEEE. All rights reserved.
An instance of a SystemC numeric type, vector, part-select, or concatenation may be converted to a C++
std::string object by calling its member function to_string. The signature of to_string shall be as follows:
std::string to_string( sc_numrep numrep , bool with_prefix );
The numrep argument shall be one of the sc_numrep values given in Table 5. The magnitude
representation in a string created from an unsigned integer or vector shall be prefixed by a single zero,
except where numrep is SC_DEC. If the with_prefix argument is true, the prefix corresponding to the
numrep value in Table 5 shall be appended to the left-hand side of the resulting string. The default value of
with_prefix shall be true.
It shall be an error to call the member function to_string of a logic-vector object if any of its elements have
the value 'X' or 'Z'.
The value of an instance of a single-bit logic type may be converted to a single character by calling its
member function to_char.
Example:
sc_int<4> I1; // 4-bit signed integer
I1 = "0b10100"; // 5-bit signed binary literal truncated to 4 bits
std::string S1 = I1.to_string(SC_BIN,true); // The contents of S1 will be the string "0b0100"
sc_int<10> I2; // 10-bit integer
I2 = "0d478"; // Decimal equivalent of "0b0111011110"
std::string S2 = I2.to_string(SC_CSD,false); // The contents of S2 will be the string "1000-000-0"
sc_uint<8> I3; // 8-bit unsigned integer
Table 5—String literal representation
sc_numrep Prefix (not case sensitive) Magnitude format
SC_NOBASE implementation-defined implementation-defined
SC_DEC 0d decimal
SC_BIN 0b binary
SC_BIN_US 0bus binary unsigned
SC_BIN_SM 0bsm binary sign & magnitude
SC_OCT 0o octal
SC_OCT_US 0ous octal unsigned
SC_OCT_SM 0osm octal sign & magnitude
SC_HEX 0x hexadecimal
SC_HEX_US 0xus hexadecimal unsigned
SC_HEX_SM 0xsm hexadecimal sign & magnitude
SC_CSD 0csd canonical signed digit
Authorized licensed use limited to: Furkan Tuncer. Downloaded on October 16,2017 at 17:05:54 UTC from IEEE Xplore. Restrictions apply.
IEEE Std 1666-2011
IEEE Standard for Standard SystemC® Language Reference Manual
201
Copyright © 2012 IEEE. All rights reserved.
I3 = "0x7"; // Zero-extended to 8-bit value "0x07"
std::string S3 = I3.to_string(SC_HEX); // The contents of S3 will be the string "0x007"
sc_lv<16> lv; // 16-bit logic vector
lv = "0xff"; // Sign-extended to 16-bit value "0xffff"
std::string S4 = lv.to_string(SC_HEX); // The contents of S4 will be the string "0x0ffff"
sc_bv<8> bv; // 8-bit bit vector
bv = "11110000"; // Bit-pattern string
std::string S5 = bv.to_string(SC_BIN); // The contents of S5 will be the string "0b011110000"
NOTE—SystemC data types may provide additional overloaded to_string functions that require a different number of
arguments.
7.4 sc_value_base†
7.4.1 Description
Class sc_value_base† provides a common base class for all SystemC limited-precision integers and finite-
precision integers. It provides a set of virtual methods that may be called by an implementation to perform
concatenation operations.
7.4.2 Class definition
namespace sc_dt {
class sc_value_base†
{
friend class sc_concatref†;
private:
virtual void concat_clear_data( bool to_ones=false );
virtual bool concat_get_ctrl( implementation-defined* dst_p , int low_i ) const;
virtual bool concat_get_data( implementation-defined* dst_p , int low_i ) const;
virtual uint64 concat_get_uint64() const;
virtual int concat_length( bool* xz_present_p=0 ) const;
virtual void concat_set( int64 src , int low_i );
virtual void concat_set( const sc_signed& src , int low_i );
virtual void concat_set( const sc_unsigned& src , int low_i );
virtual void concat_set( uint64 src , int low_i );
};
} // namespace sc_dt
7.4.3 Constraints on usage
An application should not create an object of type sc_value_base† and should not directly call any member
function inherited by a derived class from an sc_value_base† parent.
If an application-defined class derived from the generic base proxy class template sc_generic_base is also
derived from sc_value_base†, objects of this class may be used as arguments to an integer concatenation.
Such a class shall override the virtual member functions of sc_value_base† as private members to provide
the concatenation operations permitted for objects of that type.
It shall be an error for any member function of sc_value_base† that is not overriden in a derived class to be
called for an object of the derived class.
Authorized licensed use limited to: Furkan Tuncer. Downloaded on October 16,2017 at 17:05:54 UTC from IEEE Xplore. Restrictions apply.
IEEE Std 1666-2011
IEEE Standard for Standard SystemC® Language Reference Manual
202
Copyright © 2012 IEEE. All rights reserved.
7.4.4 Member functions
virtual void concat_clear_data( bool to_ones=false );
Member function concat_clear_data shall set every bit in the sc_value_base† object to the state
provided by the argument.
virtual bool concat_get_ctrl( implementation-defined* dst_p , int low_i ) const;
Member function concat_get_ctrl shall copy control data to the packed-array given as the first
argument, starting at the bit position within the packed-array given by the second argument. The
return value shall always be false. The type of the first argument shall be a pointer to an unsigned
integral type.
virtual bool concat_get_data( implementation-defined* dst_p , int low_i ) const;
Member function concat_get_data shall copy data to the packed-array given as the first argument,
starting at the bit position within the packed-array given by the second argument. The return value
shall be true if the data is non-zero; otherwise, it shall be false. The type of the first argument shall
be a pointer to an unsigned integral type.
virtual uint64 concat_get_uint64() const;
Member function concat_get_uint64 shall return the value of the sc_value_base† object as a C++
unsigned integer having a word length of exactly 64-bits.
virtual int concat_length( bool* xz_present_p=0 ) const;
Member function concat_length shall return the number of bits in the sc_value_base† object. The
value of the object associated with the optional argument shall be set to true if any bits have the
value 'X'' or 'Z'.
virtual void concat_set( int64 src , int low_i );
virtual void concat_set( const sc_signed& src , int low_i );
virtual void concat_set( const sc_unsigned& src , int low_i );
virtual void concat_set( uint64 src , int low_i );
Member function concat_set shall set the value of the sc_value_base† object to the bit-pattern of the
integer given by the first argument. The bit-pattern shall be read as a contiguous sequence of bits
starting at the position given by the second argument.
7.5 Limited-precision integer types
7.5.1 Type definitions
The following type definitions are used in the limited-precision integer type classes:
namespace sc_dt {
typedef implementation-defined int_type;
typedef implementation-defined uint_type;
typedef implementation-defined int64;
typedef implementation-defined uint64;
Authorized licensed use limited to: Furkan Tuncer. Downloaded on October 16,2017 at 17:05:54 UTC from IEEE Xplore. Restrictions apply.
IEEE Std 1666-2011
IEEE Standard for Standard SystemC® Language Reference Manual
203
Copyright © 2012 IEEE. All rights reserved.
} // namespace sc_dt
int_type is an implementation-dependent native C++ integer type. An implementation shall provide a
minimum representation size of 64 bits.
uint_type is an implementation-dependent native C++ unsigned integer type. An implementation shall
provide a minimum representation size of 64 bits.
int64 is a native C++ integer type having a word length of exactly 64 bits.
uint64 is a native C++ unsigned integer type having a word length of exactly 64 bits.
7.5.2 sc_int_base
7.5.2.1 Description
Class sc_int_base represents a limited word-length integer. The word length is specified by a constructor
argument or, by default, by the sc_length_context object currently in scope. The word length of an
sc_int_base object shall be fixed during instantiation and shall not subsequently be changed.
The integer value shall be held in an implementation-dependent native C++ integer type. A minimum
representation size of 64 bits is required.
sc_int_base is the base class for the sc_int class template.
7.5.2.2 Class definition
namespace sc_dt {
class sc_int_base
: public sc_value_base†
{
friend class sc_uint_bitref_r†;
friend class sc_uint_bitref†;
friend class sc_uint_subref_r†;
friend class sc_uint_subref†;
public:
// Constructors
explicit sc_int_base( int w = sc_length_param().len() );
sc_int_base( int_type v , int w );
sc_int_base( const sc_int_base& a );
template< typename T >
explicit sc_int_base( const sc_generic_base<T>& a );
explicit sc_int_base( const sc_int_subref_r†& a );
explicit sc_int_base( const sc_signed& a );
explicit sc_int_base( const sc_unsigned& a );
explicit sc_int_base( const sc_bv_base& v );
explicit sc_int_base( const sc_lv_base& v );
explicit sc_int_base( const sc_uint_subref_r†& v );
explicit sc_int_base( const sc_signed_subref_r†& v );
explicit sc_int_base( const sc_unsigned_subref_r†& v );
Authorized licensed use limited to: Furkan Tuncer. Downloaded on October 16,2017 at 17:05:54 UTC from IEEE Xplore. Restrictions apply.
IEEE Std 1666-2011
IEEE Standard for Standard SystemC® Language Reference Manual
204
Copyright © 2012 IEEE. All rights reserved.
// Destructor
~sc_int_base();
// Assignment operators
sc_int_base& operator= ( int_type v );
sc_int_base& operator= ( const sc_int_base& a );
sc_int_base& operator= ( const sc_int_subref_r†& a );
template<class T>
sc_int_base& operator= ( const sc_generic_base<T>& a );
sc_int_base& operator= ( const sc_signed& a );
sc_int_base& operator= ( const sc_unsigned& a );
sc_int_base& operator= ( const sc_fxval& a );
sc_int_base& operator= ( const sc_fxval_fast& a );
sc_int_base& operator= ( const sc_fxnum& a );
sc_int_base& operator= ( const sc_fxnum_fast& a );
sc_int_base& operator= ( const sc_bv_base& a );
sc_int_base& operator= ( const sc_lv_base& a );
sc_int_base& operator= ( const char* a );
sc_int_base& operator= ( unsigned long a );
sc_int_base& operator= ( long a );
sc_int_base& operator= ( unsigned int a );
sc_int_base& operator= ( int a );
sc_int_base& operator= ( uint64 a );
sc_int_base& operator= ( double a );
// Prefix and postfix increment and decrement operators
sc_int_base& operator++ (); // Prefix
const sc_int_base operator++ ( int ); // Postfix
sc_int_base& operator-- (); // Prefix
const sc_int_base operator-- ( int ); // Postfix
// Bit selection
sc_int_bitref† operator[] ( int i );
sc_int_bitref_r† operator[] ( int i ) const;
// Part selection
sc_int_subref† operator() ( int left , int right );
sc_int_subref_r† operator() ( int left , int right ) const;
sc_int_subref† range( int left , int right );
sc_int_subref_r† range( int left , int right ) const;
// Capacity
int length() const;
// Reduce methods
bool and_reduce() const;
bool nand_reduce() const;
bool or_reduce() const;
bool nor_reduce() const;
bool xor_reduce() const;
bool xnor_reduce() const;
// Implicit conversion to int_type
operator int_type() const;
Authorized licensed use limited to: Furkan Tuncer. Downloaded on October 16,2017 at 17:05:54 UTC from IEEE Xplore. Restrictions apply.
IEEE Std 1666-2011
IEEE Standard for Standard SystemC® Language Reference Manual
205
Copyright © 2012 IEEE. All rights reserved.
// Explicit conversions
int to_int() const;
unsigned int to_uint() const;
long to_long() const;
unsigned long to_ulong() const;
int64 to_int64() const;
uint64 to_uint64() const;
double to_double() const;
// Explicit conversion to character string
const std::string to_string( sc_numrep numrep = SC_DEC ) const;
const std::string to_string( sc_numrep numrep , bool w_prefix ) const;
// Other methods
void print( std::ostream& os = std::cout ) const;
void scan( std::istream& is = std::cin );
};
} // namespace sc_dt
7.5.2.3 Constraints on usage
The word length of an sc_int_base object shall not be greater than the maximum size of the integer
representation used to hold its value.
7.5.2.4 Constructors
explicit sc_int_base( int w = sc_length_param().len() );
Constructor sc_int_base shall create an object of word length specified by w. It is the default
constructor when w is not specified (in which case its value shall be set by the current length
context). The initial value of the object shall be 0.
sc_int_base( int_type v , int w );
Constructor sc_int_base shall create an object of word length specified by w with initial value
specified by v. Truncation of most significant bits shall occur if the value cannot be represented in
the specified word length.
template< class T >
sc_int_base( const sc_generic_base<T>& a );
Constructor sc_int_base shall create an sc_int_base object with a word length matching the
constructor argument. The constructor shall set the initial value of the object to the value returned
from the member function to_int64 of the constructor argument.
The other constructors shall create an sc_int_base object whose size and value matches that of the
argument. The size of the argument shall not be greater than the maximum word length of an sc_int_base
object.
Authorized licensed use limited to: Furkan Tuncer. Downloaded on October 16,2017 at 17:05:54 UTC from IEEE Xplore. Restrictions apply.
IEEE Std 1666-2011
IEEE Standard for Standard SystemC® Language Reference Manual
206
Copyright © 2012 IEEE. All rights reserved.
7.5.2.5 Assignment operators
Overloaded assignment operators shall provide conversion from SystemC data types and the native C++
integer representation to sc_int_base, using truncation or sign-extension as described in 7.2.1.
7.5.2.6 Implicit type conversion
operator int_type() const;
Operator int_type can be used for implicit type conversion from sc_int_base to the native C++
integer representation.
NOTE 1—This operator enables the use of standard C++ bitwise logical and arithmetic operators with
sc_int_base objects.
NOTE 2—This operator is used by the C++ output stream operator and by the member functions of other data
type classes that are not explicitly overload for sc_int_base.
7.5.2.7 Explicit type conversion
const std::string to_string( sc_numrep numrep = SC_DEC ) const;
const std::string to_string( sc_numrep numrep, bool w_prefix ) const;
Member function to_string shall perform the conversion to an std::string, as described in 7.2.11.
Calling the to_string function with a single argument is equivalent to calling the to_string function
with two arguments where the second argument is true. Calling the to_string function with no
arguments is equivalent to calling the to_string function with two arguments, where the first
argument is SC_DEC and the second argument is true.
7.5.2.8 Arithmetic, bitwise, and comparison operators
Operations specified in Table 6 are permitted. The following applies:
—n represents an object of type sc_int_base.
—i represents an object of integer type int_type.
The arguments of the comparison operators may also be of any other class that is derived from sc_int_base.
Authorized licensed use limited to: Furkan Tuncer. Downloaded on October 16,2017 at 17:05:54 UTC from IEEE Xplore. Restrictions apply.

IEEE Std 1666-2011
IEEE Standard for Standard SystemC® Language Reference Manual
207
Copyright © 2012 IEEE. All rights reserved.
Arithmetic and bitwise operations permitted for C++ integer types shall be permitted for sc_int_base objects
using implicit type conversions. The return type of these operations is an implementation-dependent C++
integer type.
NOTE—An implementation is required to supply overloaded operators on sc_int_base objects to satisfy the
requirements of this subclause. It is unspecified whether these operators are members of sc_int_base, global operators,
or provided in some other way.
7.5.2.9 Other member functions
void scan( std::istream& is = std::cin );
Member function scan shall set the value by reading the next formatted character string from the
specified input stream (see 7.2.10).
void print( std::ostream& os = std::cout ) const;
Member function print shall write the value as a formatted character string to the specified output
stream (see 7.2.10).
Table 6—sc_int_base arithmetic, bitwise, and comparison operations
Expression Return type Operation
n += i sc_int_base& sc_int_base assign sum
n -= i sc_int_base& sc_int_base assign difference
n *= i sc_int_base& sc_int_base assign product
n /= i sc_int_base& sc_int_base assign quotient
n %= i sc_int_base& sc_int_base assign remainder
n &= i sc_int_base& sc_int_base assign bitwise and
n |= i sc_int_base& sc_int_base assign bitwise or
n ^= i sc_int_base& sc_int_base assign bitwise exclusive or
n<<= i sc_int_base& sc_int_base assign left-shift
n >>= i sc_int_base& sc_int_base assign right-shift
n == n bool test equal
n != n bool test not equal
n < n bool test less than
n <= n bool test less than or equal
n > n bool test greater than
n >= n bool test greater than or equal
Authorized licensed use limited to: Furkan Tuncer. Downloaded on October 16,2017 at 17:05:54 UTC from IEEE Xplore. Restrictions apply.
IEEE Std 1666-2011
IEEE Standard for Standard SystemC® Language Reference Manual
208
Copyright © 2012 IEEE. All rights reserved.
int length() const;
Member function length shall return the word length (see 7.2.4).
7.5.3 sc_uint_base
7.5.3.1 Description
Class sc_uint_base represents a limited word-length unsigned integer. The word length shall be specified by
a constructor argument or, by default, by the sc_length_context object currently in scope. The word length
of an sc_uint_base object shall be fixed during instantiation and shall not subsequently be changed.
The integer value shall be held in an implementation-dependent native C++ unsigned integer type. A
minimum representation size of 64 bits is required.
sc_uint_base is the base class for the sc_uint class template.
7.5.3.2 Class definition
namespace sc_dt {
class sc_uint_base
: public sc_value_base†
{
friend class sc_uint_bitref_r†;
friend class sc_uint_bitref†;
friend class sc_uint_subref_r†;
friend class sc_uint_subref†;
public:
// Constructors
explicit sc_uint_base( int w = sc_length_param().len() );
sc_uint_base( uint_type v , int w );
sc_uint_base( const sc_uint_base& a );
explicit sc_uint_base( const sc_uint_subref_r†& a );
template <class T>
explicit sc_uint_base( const sc_generic_base<T>& a );
explicit sc_uint_base( const sc_bv_base& v );
explicit sc_uint_base( const sc_lv_base& v );
explicit sc_uint_base( const sc_int_subref_r†& v );
explicit sc_uint_base( const sc_signed_subref_r†& v );
explicit sc_uint_base( const sc_unsigned_subref_r†& v );
explicit sc_uint_base( const sc_signed& a );
explicit sc_uint_base( const sc_unsigned& a );
// Destructor
~sc_uint_base();
// Assignment operators
sc_uint_base& operator= ( uint_type v );
sc_uint_base& operator= ( const sc_uint_base& a );
sc_uint_base& operator= ( const sc_uint_subref_r†& a );
template <class T>
Authorized licensed use limited to: Furkan Tuncer. Downloaded on October 16,2017 at 17:05:54 UTC from IEEE Xplore. Restrictions apply.
IEEE Std 1666-2011
IEEE Standard for Standard SystemC® Language Reference Manual
209
Copyright © 2012 IEEE. All rights reserved.
sc_uint_base& operator= ( const sc_generic_base<T>& a );
sc_uint_base& operator= ( const sc_signed& a );
sc_uint_base& operator= ( const sc_unsigned& a );
sc_uint_base& operator= ( const sc_fxval& a );
sc_uint_base& operator= ( const sc_fxval_fast& a );
sc_uint_base& operator= ( const sc_fxnum& a );
sc_uint_base& operator= ( const sc_fxnum_fast& a );
sc_uint_base& operator= ( const sc_bv_base& a );
sc_uint_base& operator= ( const sc_lv_base& a );
sc_uint_base& operator= ( const char* a );
sc_uint_base& operator= ( unsigned long a );
sc_uint_base& operator= ( long a );
sc_uint_base& operator= ( unsigned int a );
sc_uint_base& operator= ( int a );
sc_uint_base& operator= ( int64 a );
sc_uint_base& operator= ( double a );
// Prefix and postfix increment and decrement operators
sc_uint_base& operator++ (); // Prefix
const sc_uint_base operator++ ( int ); // Postfix
sc_uint_base& operator-- (); // Prefix
const sc_uint_base operator-- ( int ); // Postfix
// Bit selection
sc_uint_bitref† operator[] ( int i );
sc_uint_bitref_r† operator[] ( int i ) const;
// Part selection
sc_uint_subref† operator() ( int left, int right );
sc_uint_subref_r† operator() ( int left, int right ) const;
sc_uint_subref† range( int left, int right );
sc_uint_subref_r† range( int left, int right ) const;
// Capacity
int length() const;
// Reduce methods
bool and_reduce() const;
bool nand_reduce() const;
bool or_reduce() const;
bool nor_reduce() const;
bool xor_reduce() const;
bool xnor_reduce() const;
// Implicit conversion to uint_type
operator uint_type() const;
// Explicit conversions
int to_int() const;
unsigned int to_uint() const;
long to_long() const;
unsigned long to_ulong() const;
int64 to_int64() const;
uint64 to_uint64() const;
Authorized licensed use limited to: Furkan Tuncer. Downloaded on October 16,2017 at 17:05:54 UTC from IEEE Xplore. Restrictions apply.
IEEE Std 1666-2011
IEEE Standard for Standard SystemC® Language Reference Manual
210
Copyright © 2012 IEEE. All rights reserved.
double to_double() const;
// Explicit conversion to character string
const std::string to_string( sc_numrep numrep = SC_DEC ) const;
const std::string to_string( sc_numrep numrep , bool w_prefix ) const;
// Other methods
void print( std::ostream& os = std::cout ) const;
void scan( std::istream& is = std::cin );
};
} // namespace sc_dt
7.5.3.3 Constraints on usage
The word length of an sc_uint_base object shall not be greater than the maximum size of the unsigned
integer representation used to hold its value.
7.5.3.4 Constructors
explicit sc_uint_base( int w = sc_length_param().len() );
Constructor sc_uint_base shall create an object of word length specified by w. This is the default
constructor when w is not specified (in which case its value is set by the current length context). The
initial value of the object shall be 0.
sc_uint_base( uint_type v , int w );
Constructor sc_uint_base shall create an object of word length specified by w with initial value
specified by v. Truncation of most significant bits shall occur if the value cannot be represented in
the specified word length.
template< class T >
sc_uint_base( const sc_generic_base<T>& a );
Constructor sc_uint_base shall create an sc_uint_base object with a word length matching the
constructor argument. The constructor shall set the initial value of the object to the value returned
from the member function to_uint64 of the constructor argument.
The other constructors shall create an sc_uint_base object whose size and value matches that of the
argument. The size of the argument shall not be greater than the maximum word length of an sc_uint_base
object.
7.5.3.5 Assignment operators
Overloaded assignment operators shall provide conversion from SystemC data types and the native C++
integer representation to sc_uint_base, using truncation or sign-extension as described in 7.2.1.
7.5.3.6 Implicit type conversion
operator uint_type() const;
Operator uint_type can be used for implicit type conversion from sc_uint_base to the native C++
unsigned integer representation.
Authorized licensed use limited to: Furkan Tuncer. Downloaded on October 16,2017 at 17:05:54 UTC from IEEE Xplore. Restrictions apply.
IEEE Std 1666-2011
IEEE Standard for Standard SystemC® Language Reference Manual
211
Copyright © 2012 IEEE. All rights reserved.
NOTE 1—This operator enables the use of standard C++ bitwise logical and arithmetic operators with
sc_uint_base objects.
NOTE 2—This operator is used by the C++ output stream operator and by the member functions of other data
type classes that are not explicitly overload for sc_uint_base.
7.5.3.7 Explicit type conversion
const std::string to_string( sc_numrep numrep = SC_DEC ) const;
const std::string to_string( sc_numrep numrep , bool w_prefix ) const;
Member function to_string shall perform the conversion to an std::string, as described in 7.2.11.
Calling the to_string function with a single argument is equivalent to calling the to_string function
with two arguments, where the second argument is true. Calling the to_string function with no
arguments is equivalent to calling the to_string function with two arguments, where the first
argument is SC_DEC and the second argument is true.
7.5.3.8 Arithmetic, bitwise, and comparison operators
Operations specified in Table 7 are permitted. The following applies:
—U represents an object of type sc_uint_base.
—u represents an object of integer type uint_type.
The arguments of the comparison operators may also be of any other class that is derived from
sc_uint_base.
Authorized licensed use limited to: Furkan Tuncer. Downloaded on October 16,2017 at 17:05:54 UTC from IEEE Xplore. Restrictions apply.

IEEE Std 1666-2011
IEEE Standard for Standard SystemC® Language Reference Manual
212
Copyright © 2012 IEEE. All rights reserved.
Arithmetic and bitwise operations permitted for C++ integer types shall be permitted for sc_uint_base
objects using implicit type conversions. The return type of these operations is an implementation-dependent
C++ integer type.
NOTE—An implementation is required to supply overloaded operators on sc_uint_base objects to satisfy the
requirements of this subclause. It is unspecified whether these operators are members of sc_uint_base, global operators,
or provided in some other way.
7.5.3.9 Other member functions
void scan( std::istream& is = std::cin );
Member function scan shall set the value by reading the next formatted character string from the
specified input stream (see 7.2.10).
void print( std::ostream& os = std::cout ) const;
Member function print shall write the value as a formatted character string to the specified output
stream (see 7.2.10).
Table 7—sc_uint_base arithmetic, bitwise, and comparison operations
Expression Return type Operation
U += u sc_uint_base& sc_uint_base assign sum
U -= u sc_uint_base& sc_uint_base assign difference
U *= u sc_uint_base& sc_uint_base assign product
U /= u sc_uint_base& sc_uint_base assign quotient
U %= u sc_uint_base& sc_uint_base assign remainder
U &= u sc_uint_base& sc_uint_base assign bitwise and
U |= u sc_uint_base& sc_uint_base assign bitwise or
U ^= u sc_uint_base& sc_uint_base assign bitwise exclusive or
U <<= u sc_uint_base& sc_uint_base assign left-shift
U >>= u sc_uint_base& sc_uint_base assign right-shift
U == U bool test equal
U != U bool test not equal
U < U bool test less than
U <= U bool test less than or equal
U > U bool test greater than
U >= U bool test greater than or equal
Authorized licensed use limited to: Furkan Tuncer. Downloaded on October 16,2017 at 17:05:54 UTC from IEEE Xplore. Restrictions apply.
IEEE Std 1666-2011
IEEE Standard for Standard SystemC® Language Reference Manual
213
Copyright © 2012 IEEE. All rights reserved.
int length() const;
Member function length shall return the word length (see 7.2.4).
7.5.4 sc_int
7.5.4.1 Description
Class template sc_int represents a limited word-length signed integer. The word length shall be specified by
a template argument.
Any public member functions of the base class sc_int_base that are overridden in class sc_int shall have the
same behavior in the two classes. Any public member functions of the base class not overridden in this way
shall be publicly inherited by class sc_int.
7.5.4.2 Class definition
namespace sc_dt {
template <int W>
class sc_int
: public sc_int_base
{
public:
// Constructors
sc_int();
sc_int( int_type v );
sc_int( const sc_int<W>& a );
sc_int( const sc_int_base& a );
sc_int( const sc_int_subref_r†& a );
template <class T>
sc_int( const sc_generic_base<T>& a );
sc_int( const sc_signed& a );
sc_int( const sc_unsigned& a );
explicit sc_int( const sc_fxval& a );
explicit sc_int( const sc_fxval_fast& a );
explicit sc_int( const sc_fxnum& a );
explicit sc_int( const sc_fxnum_fast& a );
sc_int( const sc_bv_base& a );
sc_int( const sc_lv_base& a );
sc_int( const char* a );
sc_int( unsigned long a );
sc_int( long a );
sc_int( unsigned int a );
sc_int( int a );
sc_int( uint64 a );
sc_int( double a );
// Assignment operators
sc_int<W>& operator= ( int_type v );
sc_int<W>& operator= ( const sc_int_base& a );
sc_int<W>& operator= ( const sc_int_subref_r†& a );
sc_int<W>& operator= ( const sc_int<W>& a );
Authorized licensed use limited to: Furkan Tuncer. Downloaded on October 16,2017 at 17:05:54 UTC from IEEE Xplore. Restrictions apply.
IEEE Std 1666-2011
IEEE Standard for Standard SystemC® Language Reference Manual
214
Copyright © 2012 IEEE. All rights reserved.
template <class T>
sc_int<W>& operator= ( const sc_generic_base<T>& a );
sc_int<W>& operator= ( const sc_signed& a );
sc_int<W>& operator= ( const sc_unsigned& a );
sc_int<W>& operator= ( const sc_fxval& a );
sc_int<W>& operator= ( const sc_fxval_fast& a );
sc_int<W>& operator= ( const sc_fxnum& a );
sc_int<W>& operator= ( const sc_fxnum_fast& a );
sc_int<W>& operator= ( const sc_bv_base& a );
sc_int<W>& operator= ( const sc_lv_base& a );
sc_int<W>& operator= ( const char* a );
sc_int<W>& operator= ( unsigned long a );
sc_int<W>& operator= ( long a );
sc_int<W>& operator= ( unsigned int a );
sc_int<W>& operator= ( int a );
sc_int<W>& operator= ( uint64 a );
sc_int<W>& operator= ( double a );
// Prefix and postfix increment and decrement operators
sc_int<W>& operator++ (); // Prefix
const sc_int<W> operator++ ( int ); // Postfix
sc_int<W>& operator-- (); // Prefix
const sc_int<W> operator-- ( int ); // Postfix
};
} // namespace sc_dt
7.5.4.3 Constraints on usage
The word length of an sc_int object shall not be greater than the maximum word length of an sc_int_base.
7.5.4.4 Constructors
sc_int();
Default constructor sc_int shall create an sc_int object of word length specified by the template
argument W. The initial value of the object shall be 0.
template< class T >
sc_int( const sc_generic_base<T>& a );
Constructor sc_int shall create an sc_int object of word length specified by the template argument.
The constructor shall set the initial value of the object to the value returned from the member
function to_int64 of the constructor argument.
The other constructors shall create an sc_int object of word length specified by the template argument W
and value corresponding to the integer magnitude of the constructor argument. If the word length of the
specified initial value differs from the template argument, truncation or sign-extension shall be used as
described in 7.2.1.
7.5.4.5 Assignment operators
Overloaded assignment operators shall provide conversion from SystemC data types and the native C++
integer representation to sc_int, using truncation or sign-extension as described in 7.2.1.
Authorized licensed use limited to: Furkan Tuncer. Downloaded on October 16,2017 at 17:05:54 UTC from IEEE Xplore. Restrictions apply.

IEEE Std 1666-2011
IEEE Standard for Standard SystemC® Language Reference Manual
215
Copyright © 2012 IEEE. All rights reserved.
7.5.4.6 Arithmetic and bitwise operators
Operations specified in Table 8 are permitted. The following applies:
—n represents an object of type sc_int.
—i represents an object of integer type int_type.
Arithmetic and bitwise operations permitted for C++ integer types shall be permitted for sc_int objects using
implicit type conversions. The return type of these operations is an implementation-dependent C++ integer
type.
NOTE—An implementation is required to supply overloaded operators on sc_int objects to satisfy the requirements of
this subclause. It is unspecified whether these operators are members of sc_int, global operators, or provided in some
other way.
7.5.5 sc_uint
7.5.5.1 Description
Class template sc_uint represents a limited word-length unsigned integer. The word length shall be
specified by a template argument. Any public member functions of the base class sc_uint_base that are
overridden in class sc_uint shall have the same behavior in the two classes. Any public member functions of
the base class not overridden in this way shall be publicly inherited by class sc_uint.
7.5.5.2 Class definition
namespace sc_dt {
template <int W>
class sc_uint
Table 8—sc_int arithmetic and bitwise operations
Expression Return type Operation
n += i sc_int<W>& sc_int assign sum
n -= i sc_int<W>& sc_int assign difference
n *= i sc_int<W>& sc_int assign product
n /= i sc_int<W>& sc_int assign quotient
n %= i sc_int<W>& sc_int assign remainder
n &= i sc_int<W>& sc_int assign bitwise and
n |= i sc_int<W>& sc_int assign bitwise or
n ^= i sc_int<W>& sc_int assign bitwise exclusive or
n <<= i sc_int<W>& sc_int assign left-shift
n >>= i sc_int<W>& sc_int assign right-shift
Authorized licensed use limited to: Furkan Tuncer. Downloaded on October 16,2017 at 17:05:54 UTC from IEEE Xplore. Restrictions apply.
IEEE Std 1666-2011
IEEE Standard for Standard SystemC® Language Reference Manual
216
Copyright © 2012 IEEE. All rights reserved.
: public sc_uint_base
{
public:
// Constructors
sc_uint();
sc_uint( uint_type v );
sc_uint( const sc_uint<W>& a );
sc_uint( const sc_uint_base& a );
sc_uint( const sc_uint_subref_r†& a );
template <class T>
sc_uint( const sc_generic_base<T>& a );
sc_uint( const sc_signed& a );
sc_uint( const sc_unsigned& a );
explicit sc_uint( const sc_fxval& a );
explicit sc_uint( const sc_fxval_fast& a );
explicit sc_uint( const sc_fxnum& a );
explicit sc_uint( const sc_fxnum_fast& a );
sc_uint( const sc_bv_base& a );
sc_uint( const sc_lv_base& a );
sc_uint( const char* a );
sc_uint( unsigned long a );
sc_uint( long a );
sc_uint( unsigned int a );
sc_uint( int a );
sc_uint( int64 a );
sc_uint( double a );
// Assignment operators
sc_uint<W>& operator= ( uint_type v );
sc_uint<W>& operator= ( const sc_uint_base& a );
sc_uint<W>& operator= ( const sc_uint_subref_r†& a );
sc_uint<W>& operator= ( const sc_uint<W>& a );
template <class T>
sc_uint<W>& operator= ( const sc_generic_base<T>& a );
sc_uint<W>& operator= ( const sc_signed& a );
sc_uint<W>& operator= ( const sc_unsigned& a );
sc_uint<W>& operator= ( const sc_fxval& a );
sc_uint<W>& operator= ( const sc_fxval_fast& a );
sc_uint<W>& operator= ( const sc_fxnum& a );
sc_uint<W>& operator= ( const sc_fxnum_fast& a );
sc_uint<W>& operator= ( const sc_bv_base& a );
sc_uint<W>& operator= ( const sc_lv_base& a );
sc_uint<W>& operator= ( const char* a );
sc_uint<W>& operator= ( unsigned long a );
sc_uint<W>& operator= ( long a );
sc_uint<W>& operator= ( unsigned int a );
sc_uint<W>& operator= ( int a );
sc_uint<W>& operator= ( int64 a );
sc_uint<W>& operator= ( double a );
// Prefix and postfix increment and decrement operators
sc_uint<W>& operator++ (); // Prefix
const sc_uint<W> operator++ ( int ); // Postfix
Authorized licensed use limited to: Furkan Tuncer. Downloaded on October 16,2017 at 17:05:54 UTC from IEEE Xplore. Restrictions apply.
IEEE Std 1666-2011
IEEE Standard for Standard SystemC® Language Reference Manual
217
Copyright © 2012 IEEE. All rights reserved.
sc_uint<W>& operator-- (); // Prefix
const sc_uint<W> operator-- ( int ); // Postfix
};
} // namespace sc_dt
7.5.5.3 Constraints on usage
The word length of an sc_uint object shall not be greater than the maximum word length of an
sc_uint_base.
7.5.5.4 Constructors
sc_uint();
Default constructor sc_uint shall create an sc_uint object of word length specified by the template
argument W. The initial value of the object shall be 0.
template< class T >
sc_uint( const sc_generic_base<T>& a );
Constructor sc_uint shall create an sc_uint object of word length specified by the template
argument. The constructor shall set the initial value of the object to the value returned from the
member function to_uint64 of the constructor argument.
The other constructors shall create an sc_uint object of word length specified by the template argument W
and value corresponding to the integer magnitude of the constructor argument. If the word length of the
specified initial value differs from the template argument, truncation or sign-extension shall be used as
described in 7.2.1.
7.5.5.5 Assignment operators
Overloaded assignment operators shall provide conversion from SystemC data types and the native C++
integer representation to sc_uint. If the size of a data type or string literal operand differs from the sc_uint
word length, truncation or sign-extension shall be used as described in 7.2.1.
7.5.5.6 Arithmetic and bitwise operators
Operations specified in Table 9 are permitted. The following applies:
—U represents an object of type sc_uint.
—u represents an object of integer type uint_type.
Arithmetic and bitwise operations permitted for C++ integer types shall be permitted for sc_uint objects
using implicit type conversions. The return type of these operations is an implementation-dependent C++
integer.
NOTE—An implementation is required to supply overloaded operators on sc_uint objects to satisfy the requirements of
this subclause. It is unspecified whether these operators are members of sc_uint, global operators, or provided in some
other way.
7.5.6 Bit-selects
7.5.6.1 Description
Class sc_int_bitref_r† represents a bit selected from an sc_int_base used as an rvalue.
Authorized licensed use limited to: Furkan Tuncer. Downloaded on October 16,2017 at 17:05:54 UTC from IEEE Xplore. Restrictions apply.

IEEE Std 1666-2011
IEEE Standard for Standard SystemC® Language Reference Manual
218
Copyright © 2012 IEEE. All rights reserved.
Class sc_int_bitref† represents a bit selected from an sc_int_base used as an lvalue.
Class sc_uint_bitref_r† represents a bit selected from an sc_uint_base used as an rvalue.
Class sc_uint_bitref† represents a bit selected from an sc_uint_base used as an lvalue.
7.5.6.2 Class definition
namespace sc_dt {
class sc_int_bitref_r†
: public sc_value_base†
{
friend class sc_int_base;
public:
// Copy constructor
sc_int_bitref_r†( const sc_int_bitref_r†& a );
// Destructor
virtual ~sc_int_bitref_r†();
// Capacity
int length() const;
// Implicit conversion to uint64
operator uint64 () const;
bool operator! () const;
bool operator~ () const;
Table 9—sc_uint arithmetic and bitwise operations
Expression Return type Operation
U += u sc_uint<W>& sc_uint assign sum
U -= u sc_uint<W>& sc_uint assign difference
U *= u sc_uint<W>& sc_uint assign product
U /= u sc_uint<W>& sc_uint assign quotient
U %= u sc_uint<W>& sc_uint assign remainder
U &= u sc_uint<W>& sc_uint assign bitwise and
U |= u sc_uint<W>& sc_uint assign bitwise or
U ^= u sc_uint<W>& sc_uint assign bitwise exclusive or
U <<= u sc_uint<W>& sc_uint assign left-shift
U >>= u sc_uint<W>& sc_uint assign right-shift
Authorized licensed use limited to: Furkan Tuncer. Downloaded on October 16,2017 at 17:05:54 UTC from IEEE Xplore. Restrictions apply.
IEEE Std 1666-2011
IEEE Standard for Standard SystemC® Language Reference Manual
219
Copyright © 2012 IEEE. All rights reserved.
// Explicit conversions
bool to_bool() const;
// Other methods
void print( std::ostream& os = std::cout ) const;
protected:
sc_int_bitref_r†();
private:
// Disabled
sc_int_bitref_r†& operator= ( const sc_int_bitref_r†& );
};
// -------------------------------------------------------------
class sc_int_bitref†
: public sc_int_bitref_r†
{
friend class sc_int_base;
public:
// Copy constructor
sc_int_bitref†( const sc_int_bitref†& a );
// Assignment operators
sc_int_bitref†& operator= ( const sc_int_bitref_r†& b );
sc_int_bitref†& operator= ( const sc_int_bitref†& b );
sc_int_bitref†& operator= ( bool b );
sc_int_bitref†& operator&= ( bool b );
sc_int_bitref†& operator|= ( bool b );
sc_int_bitref†& operator^= ( bool b );
// Other methods
void scan( std::istream& is = std::cin );
private:
sc_int_bitref†();
};
// -------------------------------------------------------------
class sc_uint_bitref_r†
: public sc_value_base†
{
friend class sc_uint_base;
public:
// Copy constructor
sc_uint_bitref_r†( const sc_uint_bitref_r†& a );
// Destructor
virtual ~sc_uint_bitref_r†();
Authorized licensed use limited to: Furkan Tuncer. Downloaded on October 16,2017 at 17:05:54 UTC from IEEE Xplore. Restrictions apply.
IEEE Std 1666-2011
IEEE Standard for Standard SystemC® Language Reference Manual
220
Copyright © 2012 IEEE. All rights reserved.
// Capacity
int length() const;
// Implicit conversion to uint64
operator uint64 () const;
bool operator! () const;
bool operator~ () const;
// Explicit conversions
bool to_bool() const;
// Other methods
void print( std::ostream& os = std::cout ) const;
protected:
sc_uint_bitref_r†();
private:
// Disabled
sc_uint_bitref_r†& operator= ( const sc_uint_bitref_r†& );
};
// -------------------------------------------------------------
class sc_uint_bitref†
: public sc_uint_bitref_r†
{
friend class sc_uint_base;
public:
// Copy constructor
sc_uint_bitref†( const sc_uint_bitref†& a );
// Assignment operators
sc_uint_bitref†& operator= ( const sc_uint_bitref_r†& b );
sc_uint_bitref†& operator= ( const sc_uint_bitref†& b );
sc_uint_bitref†& operator= ( bool b );
sc_uint_bitref†& operator&= ( bool b );
sc_uint_bitref†& operator|= ( bool b );
sc_uint_bitref†& operator^= ( bool b );
// Other methods
void scan( std::istream& is = std::cin );
private:
sc_uint_bitref†();
};
} // namespace sc_dt
Authorized licensed use limited to: Furkan Tuncer. Downloaded on October 16,2017 at 17:05:54 UTC from IEEE Xplore. Restrictions apply.
IEEE Std 1666-2011
IEEE Standard for Standard SystemC® Language Reference Manual
221
Copyright © 2012 IEEE. All rights reserved.
7.5.6.3 Constraints on usage
Bit-select objects shall only be created using the bit-select operators of an sc_int_base or sc_uint_base
object (or an instance of a class derived from sc_int_base or sc_uint_base).
An application shall not explicitly create an instance of any bit-select class.
An application should not declare a reference or pointer to any bit-select object.
It is strongly recommended that an application avoid the use of a bit-select as the return type of a function
because the lifetime of the object to which the bit-select refers may not extend beyond the function return
statement.
Example:
sc_dt::sc_int_bitref get_bit_n(sc_int_base i, int n) {
return i[n]; // Unsafe: returned bit-select references local variable
}
7.5.6.4 Assignment operators
Overloaded assignment operators for the lvalue bit-selects shall provide conversion from bool values.
Assignment operators for rvalue bit-selects shall be declared as private to prevent their use by an
application.
7.5.6.5 Implicit type conversion
operator uint64() const;
Operator uint64 can be used for implicit type conversion from a bit-select to the native C++
unsigned integer having exactly 64 bits. If the selected bit has the value '1' (true), the conversion
shall return the value 1; otherwise, it shall return 0.
bool operator! () const;
bool operator~ () const;
operator! and operator~ shall return a C++ bool value that is the inverse of the selected bit.
7.5.6.6 Other member functions
void scan( std::istream& is = std::cin );
Member function scan shall set the value of the bit referenced by an lvalue bit-select. The value
shall correspond to the C++ bool value obtained by reading the next formatted character string from
the specified input stream (see 7.2.10).
void print( std::ostream& os = std::cout ) const;
Member function print shall print the value of the bit referenced by the bit-select to the specified
output stream (see 7.2.10). The formatting shall be implementation-defined but shall be equivalent
to printing the value returned by member function to_bool.
int length() const;
Member function length shall unconditionally return a word length of 1 (see 7.2.4).
Authorized licensed use limited to: Furkan Tuncer. Downloaded on October 16,2017 at 17:05:54 UTC from IEEE Xplore. Restrictions apply.
IEEE Std 1666-2011
IEEE Standard for Standard SystemC® Language Reference Manual
222
Copyright © 2012 IEEE. All rights reserved.
7.5.7 Part-selects
7.5.7.1 Description
Class sc_int_subref_r† represents a signed integer part-select from an sc_int_base used as an rvalue.
Class sc_int_subref† represents a signed integer part-select from an sc_int_base used as an lvalue.
Class sc_uint_subref_r† represents an unsigned integer part-select from an sc_uint_base used as an rvalue.
Class sc_uint_subref† represents an unsigned integer part-select from an sc_uint_base used as an lvalue.
7.5.7.2 Class definition
namespace sc_dt {
class sc_int_subref_r†
{
friend class sc_int_base;
friend class sc_int_subref†;
public:
// Copy constructor
sc_int_subref_r†( const sc_int_subref_r†& a );
// Destructor
virtual ~sc_int_subref_r†();
// Capacity
int length() const;
// Reduce methods
bool and_reduce() const;
bool nand_reduce() const;
bool or_reduce() const;
bool nor_reduce() const;
bool xor_reduce() const;
bool xnor_reduce() const;
// Implicit conversion to uint_type
operator uint_type() const;
// Explicit conversions
int to_int() const;
unsigned int to_uint() const;
long to_long() const;
unsigned long to_ulong() const;
int64 to_int64() const;
uint64 to_uint64() const;
double to_double() const;
// Explicit conversion to character string
const std::string to_string( sc_numrep numrep = SC_DEC ) const;
const std::string to_string( sc_numrep numrep , bool w_prefix ) const;
Authorized licensed use limited to: Furkan Tuncer. Downloaded on October 16,2017 at 17:05:54 UTC from IEEE Xplore. Restrictions apply.
IEEE Std 1666-2011
IEEE Standard for Standard SystemC® Language Reference Manual
223
Copyright © 2012 IEEE. All rights reserved.
// Other methods
void print( std::ostream& os = std::cout ) const;
protected:
sc_int_subref_r†();
private:
// Disabled
sc_int_subref_r†& operator= ( const sc_int_subref_r†& );
};
// -------------------------------------------------------------
class sc_int_subref†
: public sc_int_subref_r†
{
friend class sc_int_base;
public:
// Copy constructor
sc_int_subref†( const sc_int_subref†& a );
// Assignment operators
sc_int_subref†& operator= ( int_type v );
sc_int_subref†& operator= ( const sc_int_base& a );
sc_int_subref†& operator= ( const sc_int_subref_r†& a );
sc_int_subref†& operator= ( const sc_int_subref†& a );
template< class T >
sc_int_subref†& operator= ( const sc_generic_base<T>& a );
sc_int_subref†& operator= ( const char* a );
sc_int_subref†& operator= ( unsigned long a );
sc_int_subref†& operator= ( long a );
sc_int_subref†& operator= ( unsigned int a );
sc_int_subref†& operator= ( int a );
sc_int_subref†& operator= ( uint64 a );
sc_int_subref†& operator= ( double a );
sc_int_subref†& operator= ( const sc_signed& );
sc_int_subref†& operator= ( const sc_unsigned& );
sc_int_subref†& operator= ( const sc_bv_base& );
sc_int_subref†& operator= ( const sc_lv_base& );
// Other methods
void scan( std::istream& is = std::cin );
protected:
sc_int_subref†();
};
// -------------------------------------------------------------
class sc_uint_subref_r†
{
Authorized licensed use limited to: Furkan Tuncer. Downloaded on October 16,2017 at 17:05:54 UTC from IEEE Xplore. Restrictions apply.
IEEE Std 1666-2011
IEEE Standard for Standard SystemC® Language Reference Manual
224
Copyright © 2012 IEEE. All rights reserved.
friend class sc_uint_base;
friend class sc_uint_subref†;
public:
// Copy constructor
sc_uint_subref_r†( const sc_uint_subref_r†& a );
// Destructor
virtual ~sc_uint_subref_r();
// Capacity
int length() const;
// Reduce methods
bool and_reduce() const;
bool nand_reduce() const;
bool or_reduce() const;
bool nor_reduce() const;
bool xor_reduce() const;
bool xnor_reduce() const;
// Implicit conversion to uint_type
operator uint_type() const;
// Explicit conversions
int to_int() const;
unsigned int to_uint() const;
long to_long() const;
unsigned long to_ulong() const;
int64 to_int64() const;
uint64 to_uint64() const;
double to_double() const;
// Explicit conversion to character string
const std::string to_string( sc_numrep numrep = SC_DEC ) const;
const std::string to_string( sc_numrep numrep , bool w_prefix ) const;
// Other methods
void print( std::ostream& os = std::cout ) const;
protected:
sc_uint_subref_r†();
private:
// Disabled
sc_uint_subref_r& operator= ( const sc_uint_subref_r& );
};
// -------------------------------------------------------------
class sc_uint_subref†
: public sc_uint_subref_r†
{
friend class sc_uint_base;
Authorized licensed use limited to: Furkan Tuncer. Downloaded on October 16,2017 at 17:05:54 UTC from IEEE Xplore. Restrictions apply.
IEEE Std 1666-2011
IEEE Standard for Standard SystemC® Language Reference Manual
225
Copyright © 2012 IEEE. All rights reserved.
public:
// Copy constructor
sc_uint_subref†( const sc_uint_subref†& a );
// Assignment operators
sc_uint_subref†& operator= ( uint_type v );
sc_uint_subref†& operator= ( const sc_uint_base& a );
sc_uint_subref†& operator= ( const sc_uint_subref_r& a );
sc_uint_subref†& operator= ( const sc_uint_subref& a );
template<class T>
sc_uint_subref†& operator= ( const sc_generic_base<T>& a );
sc_uint_subref†& operator= ( const char* a );
sc_uint_subref†& operator= ( unsigned long a );
sc_uint_subref†& operator= ( long a );
sc_uint_subref†& operator= ( unsigned int a );
sc_uint_subref†& operator= ( int a );
sc_uint_subref†& operator= ( int64 a );
sc_uint_subref†& operator= ( double a );
sc_uint_subref†& operator= ( const sc_signed& );
sc_uint_subref†& operator= ( const sc_unsigned& );
sc_uint_subref†& operator= ( const sc_bv_base& );
sc_uint_subref†& operator= ( const sc_lv_base& );
// Other methods
void scan( std::istream& is = std::cin );
protected:
sc_uint_subref†();
};
} // namespace sc_dt
7.5.7.3 Constraints on usage
Integer part-select objects shall only be created using the part-select operators of an sc_int_base or
sc_uint_base object (or an instance of a class derived from sc_int_base or sc_uint_base), as described in
7.2.6.
An application shall not explicitly create an instance of any integer part-select class.
An application should not declare a reference or pointer to any integer part-select object.
It shall be an error if the left-hand index of a limited-precision integer part-select is less than the right-hand
index.
It is strongly recommended that an application avoid the use of a part-select as the return type of a function
because the lifetime of the object to which the part-select refers may not extend beyond the function return
statement.
Example:
sc_dt::sc_int_subref get_byte(sc_int_base ib, int pos) {
Authorized licensed use limited to: Furkan Tuncer. Downloaded on October 16,2017 at 17:05:54 UTC from IEEE Xplore. Restrictions apply.
IEEE Std 1666-2011
IEEE Standard for Standard SystemC® Language Reference Manual
226
Copyright © 2012 IEEE. All rights reserved.
return ib(pos+7,pos); // Unsafe: returned part-select references local variable
}
7.5.7.4 Assignment operators
Overloaded assignment operators shall provide conversion from SystemC data types and the native C++
integer representation to lvalue integer part-selects. If the size of a data type or string literal operand differs
from the integer part-select word length, truncation, zero-extension, or sign-extension shall be used as
described in 7.2.1.
Assignment operators for rvalue integer part-selects shall be declared as private to prevent their use by an
application.
7.5.7.5 Implicit type conversion
sc_int_subref_r†::operator uint_type() const;
sc_uint_subref_r†::operator uint_type() const;
operator int_type and operator uint_type can be used for implicit type conversion from integer
part-selects to the native C++ unsigned integer representation.
NOTE 1—These operators enable the use of standard C++ bitwise logical and arithmetic operators with integer
part-select objects.
NOTE 2—These operators are used by the C++ output stream operator and by member functions of other data
type classes that are not explicitly overload for integer part-selects.
7.5.7.6 Explicit type conversion
const std::string to_string( sc_numrep numrep = SC_DEC ) const;
const std::string to_string( sc_numrep numrep , bool w_prefix ) const;
Member function to_string shall perform the conversion to an std::string, as described in 7.2.11.
Calling the to_string function with a single argument is equivalent to calling the to_string function
with two arguments, where the second argument is true. Calling the to_string function with no
arguments is equivalent to calling the to_string function with two arguments, where the first
argument is SC_DEC and the second argument is true.
7.5.7.7 Other member functions
void scan( std::istream& is = std::cin );
Member function scan shall set the values of the bits referenced by an lvalue part-select by reading
the next formatted character string from the specified input stream (see 7.2.10).
void print( std::ostream& os = std::cout ) const;
Member function print shall print the values of the bits referenced by the part-select to the specified
output stream (see 7.2.10).
int length() const;
Member function length shall return the word length of the part-select (see 7.2.4).
Authorized licensed use limited to: Furkan Tuncer. Downloaded on October 16,2017 at 17:05:54 UTC from IEEE Xplore. Restrictions apply.
IEEE Std 1666-2011
IEEE Standard for Standard SystemC® Language Reference Manual
227
Copyright © 2012 IEEE. All rights reserved.
7.6 Finite-precision integer types
7.6.1 Type definitions
The following type definitions are used in the finite-precision integer type classes:
namespace sc_dt{
typedef implementation-defined int64;
typedef implementation-defined uint64;
} // namespace sc_dt
int64 is a native C++ integer type having a word length of exactly 64 bits.
uint64 is a native C++ unsigned integer type having a word length of exactly 64 bits.
7.6.2 Constraints on usage
Overloaded arithmetic and comparison operators allow finite-precision integer objects to be used in
expressions following similar but not identical rules to standard C++ integer types. The differences from the
standard C++ integer operator behavior are the following:
a) Where one operand is unsigned and the other is signed, the unsigned operand shall be converted to
signed and the return type shall be signed.
b) The return type of a subtraction shall always be signed.
c) The word length of the return type of an arithmetic operator shall depend only on the nature of the
operation and on the word length of its operands.
d) A floating-point variable or literal shall not be directly used as an operand. It should first be
converted to an appropriate signed or unsigned integer type.
7.6.3 sc_signed
7.6.3.1 Description
Class sc_signed represents a finite word-length integer. The word length shall be specified by a constructor
argument or, by default, by the length context object currently in scope. The word length of an sc_signed
object shall be fixed during instantiation and shall not subsequently be changed.
The integer value shall be stored with a finite precision determined by the specified word length. The
precision shall not depend on the limited resolution of any standard C++ integer type.
sc_signed is the base class for the sc_bigint class template.
Authorized licensed use limited to: Furkan Tuncer. Downloaded on October 16,2017 at 17:05:54 UTC from IEEE Xplore. Restrictions apply.
IEEE Std 1666-2011
IEEE Standard for Standard SystemC® Language Reference Manual
228
Copyright © 2012 IEEE. All rights reserved.
7.6.3.2 Class definition
namespace sc_dt {
class sc_signed
: public sc_value_base†
{
friend class sc_concatref†;
friend class sc_signed_bitref_r†;
friend class sc_signed_bitref†;
friend class sc_signed_subref_r†;
friend class sc_signed_subref†;
friend class sc_unsigned;
friend class sc_unsigned_subref;
public:
// Constructors
explicit sc_signed( int nb = sc_length_param().len() );
sc_signed( const sc_signed& v );
sc_signed( const sc_unsigned& v );
template<class T>
explicit sc_signed( const sc_generic_base<T>& v );
explicit sc_signed( const sc_bv_base& v );
explicit sc_signed( const sc_lv_base& v );
explicit sc_signed( const sc_int_subref_r& v );
explicit sc_signed( const sc_uint_subref_r& v );
explicit sc_signed( const sc_signed_subref_r& v );
explicit sc_signed( const sc_unsigned_subref_r& v );
// Assignment operators
sc_signed& operator= ( const sc_signed& v );
sc_signed& operator= ( const sc_signed_subref_r†& a );
template< class T >
sc_signed& operator= ( const sc_generic_base<T>& a );
sc_signed& operator= ( const sc_unsigned& v );
sc_signed& operator= ( const sc_unsigned_subref_r†& a );
sc_signed& operator= ( const char* v );
sc_signed& operator= ( int64 v );
sc_signed& operator= ( uint64 v );
sc_signed& operator= ( long v );
sc_signed& operator= ( unsigned long v );
sc_signed& operator= ( int v );
sc_signed& operator= ( unsigned int v );
sc_signed& operator= ( double v );
sc_signed& operator= ( const sc_int_base& v );
sc_signed& operator= ( const sc_uint_base& v );
sc_signed& operator= ( const sc_bv_base& );
sc_signed& operator= ( const sc_lv_base& );
sc_signed& operator= ( const sc_fxval& );
sc_signed& operator= ( const sc_fxval_fast& );
sc_signed& operator= ( const sc_fxnum& );
sc_signed& operator= ( const sc_fxnum_fast& );
Authorized licensed use limited to: Furkan Tuncer. Downloaded on October 16,2017 at 17:05:54 UTC from IEEE Xplore. Restrictions apply.
IEEE Std 1666-2011
IEEE Standard for Standard SystemC® Language Reference Manual
229
Copyright © 2012 IEEE. All rights reserved.
// Destructor
~sc_signed();
// Increment operators.
sc_signed& operator++ ();
const sc_signed operator++ ( int );
// Decrement operators.
sc_signed& operator-- ();
const sc_signed operator-- ( int );
// Bit selection
sc_signed_bitref† operator[] ( int i );
sc_signed_bitref_r† operator[] ( int i ) const;
// Part selection
sc_signed_subref† range( int i , int j );
sc_signed_subref_r† range( int i , int j ) const;
sc_signed_subref† operator() ( int i , int j );
sc_signed_subref_r† operator() ( int i , int j ) const;
// Explicit conversions
int to_int() const;
unsigned int to_uint() const;
long to_long() const;
unsigned long to_ulong() const;
int64 to_int64() const;
uint64 to_uint64() const;
double to_double() const;
// Explicit conversion to character string
const std::string to_string( sc_numrep numrep = SC_DEC ) const;
const std::string to_string( sc_numrep numrep, bool w_prefix ) const;
// Print functions
void print( std::ostream& os = std::cout ) const;
void scan( std::istream& is = std::cin );
// Capacity
int length() const;
// Reduce methods
bool and_reduce() const;
bool nand_reduce() const;
bool or_reduce() const;
bool nor_reduce() const;
bool xor_reduce() const;
bool xnor_reduce() const;
// Overloaded operators
};
} // namespace sc_dt
Authorized licensed use limited to: Furkan Tuncer. Downloaded on October 16,2017 at 17:05:54 UTC from IEEE Xplore. Restrictions apply.
IEEE Std 1666-2011
IEEE Standard for Standard SystemC® Language Reference Manual
230
Copyright © 2012 IEEE. All rights reserved.
7.6.3.3 Constraints on usage
An object of type sc_signed shall not be used as a direct replacement for a C++ integer type since no
implicit type conversion member functions are provided. An explicit type conversion is required to pass the
value of an sc_signed object as an argument to a function expecting a C++ integer value argument.
7.6.3.4 Constructors
explicit sc_signed( int nb = sc_length_param().len() );
Constructor sc_signed shall create an sc_signed object of word length specified by nb. This is the
default constructor when nb is not specified (in which case its value is set by the current length
context). The initial value of the object shall be 0.
template< class T >
sc_signed( const sc_generic_base<T>& a );
Constructor sc_signed shall create an sc_signed object with a word length matching the constructor
argument. The constructor shall set the initial value of the object to the value returned from the
member function to_sc_signed of the constructor argument.
The other constructors create an sc_signed object with the same word length and value as the constructor
argument.
7.6.3.5 Assignment operators
Overloaded assignment operators shall provide conversion from SystemC data types and the native C++
integer representation to sc_signed, using truncation or sign-extension as described in 7.2.1.
7.6.3.6 Explicit type conversion
const std::string to_string( sc_numrep numrep = SC_DEC ) const;
const std::string to_string( sc_numrep numrep, bool w_prefix ) const;
Member function to_string shall perform conversion to an std::string representation, as described
in 7.2.11. Calling the to_string function with a single argument is equivalent to calling the to_string
function with two arguments, where the second argument is true. Calling the to_string function
with no arguments is equivalent to calling the to_string function with two arguments, where the first
argument is SC_DEC and the second argument is true.
7.6.3.7 Arithmetic, bitwise, and comparison operators
Operations specified in Table 10, Table 11, and Table 12 are permitted. The following applies:
—S represents an object of type sc_signed.
—U represents an object of type sc_unsigned.
—i represents an object of integer type int, long, unsigned int, unsigned long, sc_signed,
sc_unsigned, sc_int_base, or sc_uint_base.
—s represents an object of signed integer type int, long, sc_signed, or sc_int_base.
The operands may also be of any other class that is derived from those just given.
Authorized licensed use limited to: Furkan Tuncer. Downloaded on October 16,2017 at 17:05:54 UTC from IEEE Xplore. Restrictions apply.

IEEE Std 1666-2011
IEEE Standard for Standard SystemC® Language Reference Manual
231
Copyright © 2012 IEEE. All rights reserved.
Table 10—sc_signed arithmetic operations
Expression Return type Operation
S + i sc_signed sc_signed addition
i + S sc_signed sc_signed addition
U + s sc_signed addition of sc_unsigned and signed
s + U sc_signed addition of signed and sc_unsigned
S += i sc_signed& sc_signed assign sum
S - i sc_signed sc_signed subtraction
i - S sc_signed sc_signed subtraction
U - i sc_signed sc_unsigned subtraction
i - U sc_signed sc_unsigned subtraction
S -= i sc_signed& sc_signed assign difference
S * i sc_signed sc_signed multiplication
i * S sc_signed sc_signed multiplication
U * s sc_signed multiplication of sc_unsigned by signed
s * U sc_signed multiplication of signed by sc_unsigned
S *= i sc_signed& sc_signed assign product
S / i sc_signed sc_signed division
i / S sc_signed sc_signed division
U / s sc_signed division of sc_unsigned by signed
s / U sc_signed division of signed by sc_unsigned
S /= i sc_signed& sc_signed assign quotient
S % i sc_signed sc_signed remainder
i % S sc_signed sc_signed remainder
U % s sc_signed remainder of sc_unsigned with signed
s % U sc_signed remainder of signed with sc_unsigned
S %= i sc_signed& sc_signed assign remainder
+S sc_signed sc_signed unary plus
-S sc_signed sc_signed unary minus
-U sc_signed sc_unsigned unary minus
Authorized licensed use limited to: Furkan Tuncer. Downloaded on October 16,2017 at 17:05:54 UTC from IEEE Xplore. Restrictions apply.

IEEE Std 1666-2011
IEEE Standard for Standard SystemC® Language Reference Manual
232
Copyright © 2012 IEEE. All rights reserved.
If the result of any arithmetic operation is zero, the word length of the return value shall be set by the
sc_length_context in scope. Otherwise, the following rules apply:
— Addition shall return a result with a word length that is equal to the word length of the longest
operand plus one.
— Multiplication shall return a result with a word length that is equal to the sum of the word lengths of
the two operands.
— Remainder shall return a result with a word length that is equal to the word length of the shortest
operand.
— All other arithmetic operators shall return a result with a word length that is equal to the word length
of the longest operand.
Table 11—sc_signed bitwise operations
Expression Return type Operation
S & i sc_signed sc_signed bitwise and
i & S sc_signed sc_signed bitwise and
U & s sc_signed sc_unsigned bitwise and signed
s & U sc_signed signed bitwise and sc_unsigned
S &= i sc_signed& sc_signed assign bitwise and
S | i sc_signed sc_signed bitwise or
i | S sc_signed sc_signed bitwise or
U | s sc_signed sc_unsigned bitwise or signed
s | U sc_signed signed bitwise or sc_unsigned
S |= i sc_signed& sc_signed assign bitwise or
S ^ i sc_signed sc_signed bitwise exclusive or
i ^ S sc_signed sc_signed bitwise exclusive or
U ^ s sc_signed sc_unsigned bitwise exclusive or signed
s ^ U sc_signed sc_unsigned bitwise exclusive or signed
S ^= i sc_signed& sc_signed assign bitwise exclusive or
S << i sc_signed sc_signed left-shift
U << S sc_unsigned sc_unsigned left-shift
S <<= i sc_signed& sc_signed assign left-shift
S >> i sc_signed sc_signed right-shift
U >> S sc_unsigned sc_unsigned right-shift
S >>= i sc_signed& sc_signed assign right-shift
~S sc_signed sc_signed bitwise complement
Authorized licensed use limited to: Furkan Tuncer. Downloaded on October 16,2017 at 17:05:54 UTC from IEEE Xplore. Restrictions apply.

IEEE Std 1666-2011
IEEE Standard for Standard SystemC® Language Reference Manual
233
Copyright © 2012 IEEE. All rights reserved.
Binary bitwise operators shall return a result with a word length that is equal to the word length of the
longest operand.
The left shift operator shall return a result with a word length that is equal to the word length of its sc_signed
operand plus the right (integer) operand. Bits added on the right-hand side of the result shall be set to zero.
The right shift operator shall return a result with a word length that is equal to the word length of its
sc_signed operand. Bits added on the left-hand side of the result shall be set to the same value as the left-
hand bit of the sc_signed operand (a right-shift preserves the sign).
The behavior of a shift operator is undefined if the right operand is negative.
NOTE—An implementation is required to supply overloaded operators on sc_signed objects to satisfy the requirements
of this subclause. It is unspecified whether these operators are members of sc_signed, global operators, or provided in
some other way.
7.6.3.8 Other member functions
void scan( std::istream& is = std::cin );
Member function scan shall set the value by reading the next formatted character string from the
specified input stream (see 7.2.10).
void print( std::ostream& os = std::cout ) const;
Member function print shall write the value as a formatted character string to the specified output
stream (see 7.2.10).
Table 12—sc_signed comparison operations
Expression Return type Operation
S == i bool test equal
i == S bool test equal
S != i bool test not equal
i != S bool test not equal
S < i bool test less than
i < S bool test less than
S <= i bool test less than or equal
i <= S bool test less than or equal
S > i bool test greater than
i > S bool test greater than
S >= i bool test greater than or equal
i >= S bool test greater than or equal
Authorized licensed use limited to: Furkan Tuncer. Downloaded on October 16,2017 at 17:05:54 UTC from IEEE Xplore. Restrictions apply.
IEEE Std 1666-2011
IEEE Standard for Standard SystemC® Language Reference Manual
234
Copyright © 2012 IEEE. All rights reserved.
int length() const;
Member function length shall return the word length (see 7.2.4).
7.6.4 sc_unsigned
7.6.4.1 Description
Class sc_unsigned represents a finite word-length unsigned integer. The word length shall be specified by a
constructor argument or, by default, by the length context currently in scope. The word length of an
sc_unsigned object is fixed during instantiation and shall not be subsequently changed.
The integer value shall be stored with a finite precision determined by the specified word length. The
precision shall not depend on the limited resolution of any standard C++ integer type.
sc_unsigned is the base class for the sc_biguint class template.
7.6.4.2 Class definition
namespace sc_dt {
class sc_unsigned
: public sc_value_base†
{
friend class sc_concatref†;
friend class sc_unsigned_bitref_r†;
friend class sc_unsigned_bitref†;
friend class sc_unsigned_subref_r†;
friend class sc_unsigned_subref†;
friend class sc_signed;
friend class sc_signed_subref†;
public:
// Constructors
explicit sc_unsigned( int nb = sc_length_param().len() );
sc_unsigned( const sc_unsigned& v );
sc_unsigned( const sc_signed& v );
template<class T>
explicit sc_unsigned( const sc_generic_base<T>& v );
explicit sc_unsigned( const sc_bv_base& v );
explicit sc_unsigned( const sc_lv_base& v );
explicit sc_unsigned( const sc_int_subref_r& v );
explicit sc_unsigned( const sc_uint_subref_r& v );
explicit sc_unsigned( const sc_signed_subref_r& v );
explicit sc_unsigned( const sc_unsigned_subref_r& v );
// Assignment operators
sc_unsigned& operator= ( const sc_unsigned& v);
sc_unsigned& operator= ( const sc_unsigned_subref_r†& a );
template<class T>
sc_unsigned& operator= ( const sc_generic_base<T>& a );
sc_unsigned& operator= ( const sc_signed& v );
sc_unsigned& operator= ( const sc_signed_subref_r†& a );
Authorized licensed use limited to: Furkan Tuncer. Downloaded on October 16,2017 at 17:05:54 UTC from IEEE Xplore. Restrictions apply.
IEEE Std 1666-2011
IEEE Standard for Standard SystemC® Language Reference Manual
235
Copyright © 2012 IEEE. All rights reserved.
sc_unsigned& operator= ( const char* v);
sc_unsigned& operator= ( int64 v );
sc_unsigned& operator= ( uint64 v );
sc_unsigned& operator= ( long v );
sc_unsigned& operator= ( unsigned long v );
sc_unsigned& operator= ( int v );
sc_unsigned& operator= ( unsigned int v );
sc_unsigned& operator= ( double v );
sc_unsigned& operator= ( const sc_int_base& v );
sc_unsigned& operator= ( const sc_uint_base& v );
sc_unsigned& operator= ( const sc_bv_base& );
sc_unsigned& operator= ( const sc_lv_base& );
sc_unsigned& operator= ( const sc_fxval& );
sc_unsigned& operator= ( const sc_fxval_fast& );
sc_unsigned& operator= ( const sc_fxnum& );
sc_unsigned& operator= ( const sc_fxnum_fast& );
// Destructor
~sc_unsigned();
// Increment operators
sc_unsigned& operator++ ();
const sc_unsigned operator++ ( int );
// Decrement operators
sc_unsigned& operator-- ();
const sc_unsigned operator-- ( int) ;
// Bit selection
sc_unsigned_bitref† operator[] ( int i );
sc_unsigned_bitref_r† operator[] ( int i ) const;
// Part selection
sc_unsigned_subref† range ( int i , int j );
sc_unsigned_subref_r† range( int i , int j ) const;
sc_unsigned_subref† operator() ( int i , int j );
sc_unsigned_subref_r† operator() ( int i , int j ) const;
// Explicit conversions
int to_int() const;
unsigned int to_uint() const;
long to_long() const;
unsigned long to_ulong() const;
int64 to_int64() const;
uint64 to_uint64() const;
double to_double() const;
// Explicit conversion to character string
const std::string to_string( sc_numrep numrep = SC_DEC ) const;
const std::string to_string( sc_numrep numrep, bool w_prefix ) const;
// Print functions
void print( std::ostream& os = std::cout ) const;
void scan( std::istream& is = std::cin );
Authorized licensed use limited to: Furkan Tuncer. Downloaded on October 16,2017 at 17:05:54 UTC from IEEE Xplore. Restrictions apply.
IEEE Std 1666-2011
IEEE Standard for Standard SystemC® Language Reference Manual
236
Copyright © 2012 IEEE. All rights reserved.
// Capacity
int length() const; // Bit width
// Reduce methods
bool and_reduce() const;
bool nand_reduce() const;
bool or_reduce() const;
bool nor_reduce() const;
bool xor_reduce() const;
bool xnor_reduce() const;
// Overloaded operators
};
} // namespace sc_dt
7.6.4.3 Constraints on usage
An object of type sc_unsigned may not be used as a direct replacement for a C++ integer type since no
implicit type conversion member functions are provided. An explicit type conversion is required to pass the
value of an sc_unsigned object as an argument to a function expecting a C++ integer value argument.
7.6.4.4 Constructors
explicit sc_unsigned( int nb = sc_length_param().len() );
Constructor sc_unsigned shall create an sc_unsigned object of word length specified by nb. This is
the default constructor when nb is not specified (in which case its value is set by the current length
context). The initial value shall be 0.
template< class T >
sc_unsigned( const sc_generic_base<T>& a );
Constructor sc_unsigned shall create an sc_unsigned object with a word length matching the
constructor argument. The constructor shall set the initial value of the object to the value returned
from the member function to_sc_unsigned of the constructor argument.
The other constructors create an sc_unsigned object with the same word length and value as the
constructor argument.
7.6.4.5 Assignment operators
Overloaded assignment operators shall provide conversion from SystemC data types and the native C++
integer representation to sc_unsigned, using truncation or sign-extension as described in 7.2.1.
7.6.4.6 Explicit type conversion
const std::string to_string( sc_numrep numrep = SC_DEC ) const;
const std::string to_string( sc_numrep numrep, bool w_prefix ) const;
Member function to_string shall perform the conversion to an std::string, as described in 7.2.11.
Calling the to_string function with a single argument is equivalent to calling the to_string function
with two arguments, where the second argument is true. Calling the to_string function with no
Authorized licensed use limited to: Furkan Tuncer. Downloaded on October 16,2017 at 17:05:54 UTC from IEEE Xplore. Restrictions apply.

IEEE Std 1666-2011
IEEE Standard for Standard SystemC® Language Reference Manual
237
Copyright © 2012 IEEE. All rights reserved.
arguments is equivalent to calling the to_string function with two arguments, where the first
argument is SC_DEC and the second argument is true.
7.6.4.7 Arithmetic, bitwise, and comparison operators
Operations specified in Table 13, Table 14, and Table 15 are permitted. The following applies:
—S represents an object of type sc_signed.
—U represents an object of type sc_unsigned.
—i represents an object of integer type int, long, unsigned int, unsigned long, sc_signed,
sc_unsigned, sc_int_base, or sc_uint_base.
—s represents an object of signed integer type int, long, sc_signed, or sc_int_base.
—u represents an object of unsigned integer type unsigned int, unsigned long, sc_unsigned, or
sc_uint_base.
The operands may also be of any other class that is derived from those just given.
Table 13—sc_unsigned arithmetic operations
Expression Return type Operation
U + u sc_unsigned sc_unsigned addition
u + U sc_unsigned sc_unsigned addition
U + s sc_signed addition of sc_unsigned and signed
s + U sc_signed addition of signed and sc_unsigned
U += i sc_unsigned& sc_unsigned assign sum
U - i sc_signed sc_unsigned subtraction
i - U sc_signed sc_unsigned subtraction
U -= i sc_unsigned& sc_unsigned assign difference
U * u sc_unsigned sc_unsigned multiplication
u * U sc_unsigned sc_unsigned multiplication
U * s sc_signed multiplication of sc_unsigned by signed
s * U sc_signed multiplication of signed by sc_unsigned
U *= i sc_unsigned& sc_unsigned assign product
U / u sc_unsigned sc_unsigned division
u / U sc_unsigned sc_unsigned division
Authorized licensed use limited to: Furkan Tuncer. Downloaded on October 16,2017 at 17:05:54 UTC from IEEE Xplore. Restrictions apply.

IEEE Std 1666-2011
IEEE Standard for Standard SystemC® Language Reference Manual
238
Copyright © 2012 IEEE. All rights reserved.
If the result of any arithmetic operation is zero, the word length of the return value shall be set by the
sc_length_context in scope. Otherwise, the following rules apply:
— Addition shall return a result with a word length that is equal to the word length of the longest
operand plus one.
— Multiplication shall return a result with a word length that is equal to the sum of the word lengths of
the two operands.
— Remainder shall return a result with a word length that is equal to the word length of the shortest
operand.
— All other arithmetic operators shall return a result with a word length that is equal to the word length
of the longest operand.
Binary bitwise operators shall return a result with a word length that is equal to the word length of the
longest operand.
The left shift operator shall return a result with a word length that is equal to the word length of its
sc_unsigned operand plus the right (integer) operand. Bits added on the right-hand side of the result shall be
set to zero.
The right shift operator shall return a result with a word length that is equal to the word length of its
sc_unsigned operand. Bits added on the left-hand side of the result shall be set to zero.
NOTE—An implementation is required to supply overloaded operators on sc_unsigned objects to satisfy the
requirements of this subclause. It is unspecified whether these operators are members of sc_unsigned, global operators,
or provided in some other way.
U / s sc_signed division of sc_unsigned by signed
s / U sc_signed division of signed by sc_unsigned
U /= i sc_unsigned& sc_unsigned assign quotient
U % u sc_unsigned sc_unsigned remainder
u % U sc_unsigned sc_unsigned remainder
U % s sc_signed remainder of sc_unsigned with signed
s % U sc_signed remainder of signed with sc_unsigned
U %= i sc_unsigned& sc_unsigned assign remainder
+U sc_unsigned sc_unsigned unary plus
-U sc_signed sc_unsigned unary minus
Table 13—sc_unsigned arithmetic operations (continued)
Expression Return type Operation
Authorized licensed use limited to: Furkan Tuncer. Downloaded on October 16,2017 at 17:05:54 UTC from IEEE Xplore. Restrictions apply.

IEEE Std 1666-2011
IEEE Standard for Standard SystemC® Language Reference Manual
239
Copyright © 2012 IEEE. All rights reserved.
7.6.4.8 Other member functions
void scan( std::istream& is = std::cin );
Member function scan shall set the value by reading the next formatted character string from the
specified input stream (see 7.2.10).
Table 14—sc_unsigned bitwise operations
Expression Return type Operation
U & u sc_unsigned sc_unsigned bitwise and
u & U sc_unsigned sc_unsigned bitwise and
U & s sc_signed sc_unsigned bitwise and signed
s & U sc_signed signed bitwise and sc_unsigned
U &= i sc_unsigned& sc_unsigned assign bitwise and
U | u sc_unsigned sc_unsigned bitwise or
u | U sc_unsigned sc_unsigned bitwise or
U | s sc_signed sc_unsigned bitwise or signed
s | U sc_signed signed bitwise or sc_unsigned
U |= i sc_unsigned& sc_unsigned assign bitwise or
U ^ u sc_unsigned sc_unsigned bitwise exclusive or
u ^ U sc_unsigned sc_unsigned bitwise exclusive or
U ^ s sc_signed sc_unsigned bitwise exclusive or signed
s ^ U sc_signed sc_unsigned bitwise exclusive or signed
U ^= i sc_unsigned& sc_unsigned assign bitwise exclusive or
U << i sc_unsigned sc_unsigned left-shift
S << U sc_signed sc_signed left-shift
U <<= i sc_unsigned& sc_unsigned assign left-shift
U >> i sc_unsigned sc_unsigned right-shift
S >> U sc_signed sc_signed right-shift
U >>= i sc_unsigned& sc_unsigned assign right-shift
~U sc_unsigned sc_unsigned bitwise complement
Authorized licensed use limited to: Furkan Tuncer. Downloaded on October 16,2017 at 17:05:54 UTC from IEEE Xplore. Restrictions apply.

IEEE Std 1666-2011
IEEE Standard for Standard SystemC® Language Reference Manual
240
Copyright © 2012 IEEE. All rights reserved.
void print( std::ostream& os = std::cout ) const;
Member function print shall write the value as a formatted character string to the specified output
stream (see 7.2.10).
int length() const;
Member function length shall return the word length (see 7.2.4).
7.6.5 sc_bigint
7.6.5.1 Description
Class template sc_bigint represents a finite word-length signed integer. The word length shall be specified
by a template argument. The integer value shall be stored with a finite precision determined by the specified
word length. The precision shall not depend on the limited resolution of any standard C++ integer type.
Any public member functions of the base class sc_signed that are overridden in class sc_bigint shall have
the same behavior in the two classes. Any public member functions of the base class not overridden in this
way shall be publicly inherited by class sc_bigint. The operations specified in 7.6.3.7 are permitted for
objects of type sc_bigint.
7.6.5.2 Class definition
namespace sc_dt {
template< int W >
Table 15—sc_unsigned comparison operations
Expression Return type Operation
U == i bool test equal
i == U bool test equal
U != i bool test not equal
i != U bool test not equal
U < i bool test less than
i < U bool test less than
U <= i bool test less than or equal
i <= U bool test less than or equal
U > i bool test greater than
i > U bool test greater than
U >= i bool test greater than or equal
i >= U bool test greater than or equal
Authorized licensed use limited to: Furkan Tuncer. Downloaded on October 16,2017 at 17:05:54 UTC from IEEE Xplore. Restrictions apply.
IEEE Std 1666-2011
IEEE Standard for Standard SystemC® Language Reference Manual
241
Copyright © 2012 IEEE. All rights reserved.
class sc_bigint
: public sc_signed
{
public:
// Constructors
sc_bigint();
sc_bigint( const sc_bigint<W>& v );
sc_bigint( const sc_signed& v );
sc_bigint( const sc_signed_subref†& v );
template< class T >
sc_bigint( const sc_generic_base<T>& a );
sc_bigint( const sc_unsigned& v );
sc_bigint( const sc_unsigned_subref†& v );
sc_bigint( const char* v );
sc_bigint( int64 v );
sc_bigint( uint64 v );
sc_bigint( long v );
sc_bigint( unsigned long v );
sc_bigint( int v );
sc_bigint( unsigned int v );
sc_bigint( double v );
sc_bigint( const sc_bv_base& v );
sc_bigint( const sc_lv_base& v );
explicit sc_bigint( const sc_fxval& v );
explicit sc_bigint( const sc_fxval_fast& v );
explicit sc_bigint( const sc_fxnum& v );
explicit sc_bigint( const sc_fxnum_fast& v );
// Destructor
~sc_bigint();
// Assignment operators
sc_bigint<W>& operator= ( const sc_bigint<W>& v );
sc_bigint<W>& operator= ( const sc_signed& v );
sc_bigint<W>& operator= (const sc_signed_subref†& v );
template< class T >
sc_bigint<W>& operator= ( const sc_generic_base<T>& a );
sc_bigint<W>& operator= ( const sc_unsigned& v );
sc_bigint<W>& operator= ( const sc_unsigned_subref†& v );
sc_bigint<W>& operator= ( const char* v );
sc_bigint<W>& operator= ( int64 v );
sc_bigint<W>& operator= ( uint64 v );
sc_bigint<W>& operator= ( long v );
sc_bigint<W>& operator= ( unsigned long v );
sc_bigint<W>& operator= ( int v );
sc_bigint<W>& operator= ( unsigned int v );
sc_bigint<W>& operator= ( double v );
sc_bigint<W>& operator= ( const sc_bv_base& v );
sc_bigint<W>& operator= ( const sc_lv_base& v );
sc_bigint<W>& operator= ( const sc_int_base& v );
sc_bigint<W>& operator= ( const sc_uint_base& v );
sc_bigint<W>& operator= ( const sc_fxval& v );
sc_bigint<W>& operator= ( const sc_fxval_fast& v );
sc_bigint<W>& operator= ( const sc_fxnum& v );
Authorized licensed use limited to: Furkan Tuncer. Downloaded on October 16,2017 at 17:05:54 UTC from IEEE Xplore. Restrictions apply.
IEEE Std 1666-2011
IEEE Standard for Standard SystemC® Language Reference Manual
242
Copyright © 2012 IEEE. All rights reserved.
sc_bigint<W>& operator= ( const sc_fxnum_fast& v );
};
} // namespace sc_dt
7.6.5.3 Constraints on usage
An object of type sc_bigint may not be used as a direct replacement for a C++ integer type since no implicit
type conversion member functions are provided. An explicit type conversion is required to pass the value of
an sc_bigint object as an argument to a function expecting a C++ integer value argument.
7.6.5.4 Constructors
sc_bigint();
Default constructor sc_bigint shall create an sc_bigint object of word length specified by the
template argument W and shall set the initial value to 0.
template< class T >
sc_bigint( const sc_generic_base<T>& a );
Constructor sc_bigint shall create an sc_bigint object of word length specified by the template
argument. The constructor shall set the initial value of the object to the value returned from the
member function to_sc_signed of the constructor argument.
Other constructors shall create an sc_bigint object of word length specified by the template argument W and
value corresponding to the integer magnitude of the constructor argument. If the word length of the specified
initial value differs from the template argument, truncation or sign-extension shall be used as described in
7.2.1.
NOTE—Most constructors can be used as implicit conversions from fundamental types or SystemC data types to
sc_bigint. Hence, a function having an sc_bigint parameter can be passed a floating-point argument, for example, and
the argument will be implicitly converted. The exceptions are the conversions from fixed-point types to sc_bigint, which
must be called explicitly.
7.6.5.5 Assignment operators
Overloaded assignment operators shall provide conversion from SystemC data types and the native C++
integer representation to sc_bigint, using truncation or sign-extension as described in 7.2.1.
7.6.6 sc_biguint
7.6.6.1 Description
Class template sc_biguint represents a finite word-length unsigned integer. The word length shall be
specified by a template argument. The integer value shall be stored with a finite precision determined by the
specified word length. The precision shall not depend on the limited resolution of any standard C++ integer
type.
Any public member functions of the base class sc_unsigned that are overridden in class sc_biguint shall
have the same behavior in the two classes. Any public member functions of the base class not overridden in
this way shall be publicly inherited by class sc_biguint. The operations specified in 7.6.4.7 are permitted for
objects of type sc_biguint.
Authorized licensed use limited to: Furkan Tuncer. Downloaded on October 16,2017 at 17:05:54 UTC from IEEE Xplore. Restrictions apply.
IEEE Std 1666-2011
IEEE Standard for Standard SystemC® Language Reference Manual
243
Copyright © 2012 IEEE. All rights reserved.
7.6.6.2 Class definition
namespace sc_dt {
template< int W >
class sc_biguint
: public sc_unsigned
{
public:
// Constructors
sc_biguint();
sc_biguint( const sc_biguint<W>& v );
sc_biguint( const sc_unsigned& v );
sc_biguint( const sc_unsigned_subref†& v );
template< class T >
sc_biguint( const sc_generic_base<T>& a );
sc_biguint( const sc_signed& v );
sc_biguint( const sc_signed_subref†& v );
sc_biguint( const char* v );
sc_biguint( int64 v );
sc_biguint( uint64 v );
sc_biguint( long v );
sc_biguint( unsigned long v );
sc_biguint( int v );
sc_biguint( unsigned int v );
sc_biguint( double v );
sc_biguint( const sc_bv_base& v );
sc_biguint( const sc_lv_base& v );
explicit sc_biguint( const sc_fxval& v );
explicit sc_biguint( const sc_fxval_fast& v );
explicit sc_biguint( const sc_fxnum& v );
explicit sc_biguint( const sc_fxnum_fast& v );
// Destructor
~sc_biguint();
// Assignment operators
sc_biguint<W>& operator= ( const sc_biguint<W>& v );
sc_biguint<W>& operator= ( const sc_unsigned& v );
sc_biguint<W>& operator= ( const sc_unsigned_subref†& v );
template< class T >
sc_biguint<W>& operator= ( const sc_generic_base<T>& a );
sc_biguint<W>& operator= ( const sc_signed& v );
sc_biguint<W>& operator= ( const sc_signed_subref†& v );
sc_biguint<W>& operator= ( const char* v );
sc_biguint<W>& operator= ( int64 v );
sc_biguint<W>& operator= ( uint64 v );
sc_biguint<W>& operator= ( long v );
sc_biguint<W>& operator= ( unsigned long v );
sc_biguint<W>& operator= ( int v );
sc_biguint<W>& operator= ( unsigned int v );
sc_biguint<W>& operator= ( double v );
sc_biguint<W>& operator= ( const sc_bv_base& v );
sc_biguint<W>& operator= ( const sc_lv_base& v );
Authorized licensed use limited to: Furkan Tuncer. Downloaded on October 16,2017 at 17:05:54 UTC from IEEE Xplore. Restrictions apply.
IEEE Std 1666-2011
IEEE Standard for Standard SystemC® Language Reference Manual
244
Copyright © 2012 IEEE. All rights reserved.
sc_biguint<W>& operator= ( const sc_int_base& v );
sc_biguint<W>& operator= ( const sc_uint_base& v );
sc_biguint<W>& operator= ( const sc_fxval& v );
sc_biguint<W>& operator= ( const sc_fxval_fast& v );
sc_biguint<W>& operator= ( const sc_fxnum& v );
sc_biguint<W>& operator= ( const sc_fxnum_fast& v );
};
} // namespace sc_dt
7.6.6.3 Constraints on usage
An object of type sc_biguint may not be used as a direct replacement for a C++ integer type since no
implicit type conversion member functions are provided. An explicit type conversion is required to pass the
value of an sc_biguint object as an argument to a function expecting a C++ integer value argument.
7.6.6.4 Constructors
sc_biguint();
Default constructor sc_biguint shall create an sc_biguint object of word length specified by the
template argument W and shall set the initial value to 0.
template< class T >
sc_biguint( const sc_generic_base<T>& a );
Constructor shall create an sc_biguint object of word length specified by the template argument.
The constructor shall set the initial value of the object to the value returned from the member
function to_sc_unsigned of the constructor argument.
The other constructors shall create an sc_biguint object of word length specified by the template argument
W and value corresponding to the integer magnitude of the constructor argument. If the word length of the
specified initial value differs from the template argument, truncation or sign-extension shall be used as
described in 7.2.1.
NOTE—Most constructors can be used as implicit conversions from fundamental types or SystemC data types to
sc_biguint. Hence, a function having an sc_biguint parameter can be passed a floating-point argument, for example,
and the argument will be implicitly converted. The exceptions are the conversions from fixed-point types to sc_biguint,
which must be called explicitly.
7.6.6.5 Assignment operators
Overloaded assignment operators shall provide conversion from SystemC data types and the native C++
integer representation to sc_biguint, using truncation or sign-extension, as described in 7.2.1.
7.6.7 Bit-selects
7.6.7.1 Description
Class sc_signed_bitref_r† represents a bit selected from an sc_signed used as an rvalue.
Class sc_signed_bitref† represents a bit selected from an sc_signed used as an lvalue.
Class sc_unsigned_bitref_r† represents a bit selected from an sc_unsigned used as an rvalue.
Authorized licensed use limited to: Furkan Tuncer. Downloaded on October 16,2017 at 17:05:54 UTC from IEEE Xplore. Restrictions apply.
IEEE Std 1666-2011
IEEE Standard for Standard SystemC® Language Reference Manual
245
Copyright © 2012 IEEE. All rights reserved.
Class sc_unsigned_bitref† represents a bit selected from an sc_unsigned used as an lvalue.
7.6.7.2 Class definition
namespace sc_dt {
class sc_signed_bitref_r†
: public sc_value_base†
{
friend class sc_signed;
friend class sc_signed_bitref†;
public:
// Copy constructor
sc_signed_bitref_r†( const sc_signed_bitref_r†& a );
// Destructor
virtual ~sc_signed_bitref_r†();
// Capacity
int length() const;
// Implicit conversion to uint64
operator uint64 () const;
bool operator! () const;
bool operator~ () const;
// Explicit conversions
bool to_bool() const;
// Other methods
void print( std::ostream& os = std::cout ) const;
protected:
sc_signed_bitref_r†();
private:
// Disabled
sc_signed_bitref_r†& operator= ( const sc_signed_bitref_r†& );
};
// -----------------------------------------------------------------
class sc_signed_bitref†
: public sc_signed_bitref_r†
{
friend class sc_signed;
public:
// Copy constructor
sc_signed_bitref†( const sc_signed_bitref†& a );
// Assignment operators
sc_signed_bitref†& operator= ( const sc_signed_bitref_r†& );
Authorized licensed use limited to: Furkan Tuncer. Downloaded on October 16,2017 at 17:05:54 UTC from IEEE Xplore. Restrictions apply.
IEEE Std 1666-2011
IEEE Standard for Standard SystemC® Language Reference Manual
246
Copyright © 2012 IEEE. All rights reserved.
sc_signed_bitref†& operator= ( const sc_signed_bitref†& );
sc_signed_bitref†& operator= ( bool );
sc_signed_bitref†& operator&= ( bool );
sc_signed_bitref†& operator|= ( bool );
sc_signed_bitref†& operator^= ( bool );
// Other methods
void scan( std::istream& is = std::cin );
protected:
sc_signed_bitref†();
};
// -----------------------------------------------------------------
class sc_unsigned_bitref_r†
: public sc_value_base†
{
friend class sc_unsigned;
public:
// Copy constructor
sc_unsigned_bitref_r†( const sc_unsigned_bitref_r†& a );
// Destructor
virtual ~sc_unsigned_bitref_r†();
// Capacity
int length() const;
// Implicit conversion to uint64
operator uint64 () const;
bool operator! () const;
bool operator~ () const;
// Explicit conversions
bool to_bool() const;
// Other methods
void print( std::ostream& os = std::cout ) const;
protected:
sc_unsigned_bitref_r†();
private:
// Disabled
sc_unsigned_bitref_r†& operator= ( const sc_unsigned_bitref_r†& );
};
// -----------------------------------------------------------------
class sc_unsigned_bitref†
: public sc_unsigned_bitref_r†
Authorized licensed use limited to: Furkan Tuncer. Downloaded on October 16,2017 at 17:05:54 UTC from IEEE Xplore. Restrictions apply.
IEEE Std 1666-2011
IEEE Standard for Standard SystemC® Language Reference Manual
247
Copyright © 2012 IEEE. All rights reserved.
{
friend class sc_unsigned;
public:
// Copy constructor
sc_unsigned_bitref†( const sc_unsigned_bitref†& a );
// Assignment operators
sc_unsigned_bitref†& operator= ( const sc_unsigned_bitref_r†& );
sc_unsigned_bitref†& operator= ( const sc_unsigned_bitref†& );
sc_unsigned_bitref†& operator= ( bool );
sc_unsigned_bitref†& operator&= ( bool );
sc_unsigned_bitref†& operator|= ( bool );
sc_unsigned_bitref†& operator^= ( bool );
// Other methods
void scan( std::istream& is = std::cin );
protected:
sc_unsigned_bitref†();
};
} // namespace sc_dt
7.6.7.3 Constraints on usage
Bit-select objects shall only be created using the bit-select operators of an sc_signed or sc_unsigned object
(or an instance of a class derived from sc_signed or sc_unsigned).
An application shall not explicitly create an instance of any bit-select class.
An application should not declare a reference or pointer to any bit-select object.
It is strongly recommended that an application avoid the use of a bit-select as the return type of a function
because the lifetime of the object to which the bit-select refers may not extend beyond the function return
statement.
Example:
sc_dt::sc_signed_bitref get_bit_n(sc_signed iv, int n) {
return iv[n]; // Unsafe: returned bit-select references local variable
}
7.6.7.4 Assignment operators
Overloaded assignment operators for the lvalue bit-selects shall provide conversion from bool values.
Assignment operators for rvalue bit-selects shall be declared as private to prevent their use by an
application.
Authorized licensed use limited to: Furkan Tuncer. Downloaded on October 16,2017 at 17:05:54 UTC from IEEE Xplore. Restrictions apply.
IEEE Std 1666-2011
IEEE Standard for Standard SystemC® Language Reference Manual
248
Copyright © 2012 IEEE. All rights reserved.
7.6.7.5 Implicit type conversion
operator uint64 () const;
operator uint64 can be used for implicit type conversion from a bit-select to a native C++ unsigned
integer having exactly 64 bits. If the selected bit has the value '1' (true), the conversion shall return
the value 1; otherwise, it shall return 0.
bool operator! () const;
bool operator~ () const;
operator! and operator~ shall return a C++ bool value that is the inverse of the selected bit.
7.6.7.6 Other member functions
void scan( std::istream& is = std::cin );
Member function scan shall set the value of the bit referenced by an lvalue bit-select. The value
shall correspond to the C++ bool value obtained by reading the next formatted character string from
the specified input stream (see 7.2.10).
void print( std::ostream& os = std::cout ) const;
Member function print shall print the value of the bit referenced by the bit-select to the specified
output stream (see 7.2.10). The formatting shall be implementation-defined but shall be equivalent
to printing the value returned by member function to_bool.
int length() const;
Member function length shall unconditionally return a word length of 1 (see 7.2.4).
7.6.8 Part-selects
7.6.8.1 Description
Class sc_signed_subref_r† represents a signed integer part-select from an sc_signed used as an rvalue.
Class sc_signed_subref† represents a signed integer part-select from an sc_signed used as an lvalue.
Class sc_unsigned_subref_r† represents an unsigned integer part-select from an sc_unsigned used as an
rvalue.
Class sc_unsigned_subref† represents an unsigned integer part-select from an sc_unsigned used as an
lvalue.
7.6.8.2 Class definition
namespace sc_dt {
class sc_signed_subref_r†
: public sc_value_base†
{
friend class sc_signed;
friend class sc_unsigned;
Authorized licensed use limited to: Furkan Tuncer. Downloaded on October 16,2017 at 17:05:54 UTC from IEEE Xplore. Restrictions apply.
IEEE Std 1666-2011
IEEE Standard for Standard SystemC® Language Reference Manual
249
Copyright © 2012 IEEE. All rights reserved.
public:
// Copy constructor
sc_signed_subref_r†( const sc_signed_subref_r†& a );
// Destructor
virtual ~sc_unsigned_subref_r†();
// Capacity
int length() const;
// Implicit conversion to sc_unsigned
operator sc_unsigned () const;
// Explicit conversions
int to_int() const;
unsigned int to_uint() const;
long to_long() const;
unsigned long to_ulong() const;
int64 to_int64() const;
uint64 to_uint64() const;
double to_double() const;
// Explicit conversion to character string
const std::string to_string( sc_numrep numrep = SC_DEC ) const;
const std::string to_string( sc_numrep numrep, bool w_prefix ) const;
// Reduce methods
bool and_reduce() const;
bool nand_reduce() const;
bool or_reduce() const;
bool nor_reduce() const;
bool xor_reduce() const;
bool xnor_reduce() const;
// Other methods
void print( std::ostream& os = std::cout ) const;
protected:
sc_signed_subref_r†();
private:
// Disabled
sc_signed_subref_r†& operator= ( const sc_signed_subref_r†& );
};
// --------------------------------------------------------------
class sc_signed_subref†
: public sc_signed_subref_r†
{
friend class sc_signed;
public:
// Copy constructor
Authorized licensed use limited to: Furkan Tuncer. Downloaded on October 16,2017 at 17:05:54 UTC from IEEE Xplore. Restrictions apply.
IEEE Std 1666-2011
IEEE Standard for Standard SystemC® Language Reference Manual
250
Copyright © 2012 IEEE. All rights reserved.
sc_signed_subref†( const sc_signed_subref†& a );
// Assignment operators
sc_signed_subref†& operator= ( const sc_signed_subref_r†& a );
sc_signed_subref†& operator= ( const sc_signed_subref†& a );
sc_signed_subref†& operator= ( const sc_signed& a );
template< class T >
sc_signed_subref†& operator= ( const sc_generic_base<T>& a );
sc_signed_subref†& operator= ( const sc_unsigned_subref_r†& a );
sc_signed_subref†& operator= ( const sc_unsigned& a );
sc_signed_subref†& operator= ( const char* a );
sc_signed_subref†& operator= ( unsigned long a );
sc_signed_subref†& operator= ( long a );
sc_signed_subref†& operator= ( unsigned int a );
sc_signed_subref†& operator= ( int a );
sc_signed_subref†& operator= ( uint64 a );
sc_signed_subref†& operator= ( int64 a );
sc_signed_subref†& operator= ( double a );
sc_signed_subref†& operator= ( const sc_int_base& a );
sc_signed_subref†& operator= ( const sc_uint_base& a );
// Other methods
void scan( std::istream& is = std::cin );
private:
// Disabled
sc_signed_subref†();
};
// --------------------------------------------------------------
class sc_unsigned_subref_r†
: public sc_value_base†
{
friend class sc_signed;
friend class sc_unsigned;
public:
// Copy constructor
sc_unsigned_subref_r†( const sc_unsigned_subref_r†& a );
// Destructor
virtual ~sc_unsigned_subref_r†();
// Capacity
int length() const;
// Implicit conversion to sc_unsigned
operator sc_unsigned () const;
// Explicit conversions
int to_int() const;
unsigned int to_uint() const;
long to_long() const;
Authorized licensed use limited to: Furkan Tuncer. Downloaded on October 16,2017 at 17:05:54 UTC from IEEE Xplore. Restrictions apply.
IEEE Std 1666-2011
IEEE Standard for Standard SystemC® Language Reference Manual
251
Copyright © 2012 IEEE. All rights reserved.
unsigned long to_ulong() const;
int64 to_int64() const;
uint64 to_uint64() const;
double to_double() const;
// Explicit conversion to character string
const std::string to_string( sc_numrep numrep = SC_DEC ) const;
const std::string to_string( sc_numrep numrep , bool w_prefix ) const;
// Reduce methods
bool and_reduce() const;
bool nand_reduce() const;
bool or_reduce() const;
bool nor_reduce() const;
bool xor_reduce() const;
bool xnor_reduce() const;
// Other methods
void print( std::ostream& os = std::cout ) const;
protected:
sc_unsigned_subref_r†();
private:
// Disabled
sc_unsigned_subref_r& operator= ( const sc_unsigned_subref_r†& );
};
// --------------------------------------------------------------
class sc_unsigned_subref†
: public sc_unsigned_subref_r†
{
friend class sc_unsigned;
public:
// Copy constructor
sc_unsigned_subref†( const sc_unsigned_subref†& a );
// Assignment operators
sc_unsigned_subref†& operator= ( const sc_unsigned_subref_r†& a );
sc_unsigned_subref†& operator= ( const sc_unsigned_subref†& a );
sc_unsigned_subref†& operator= ( const sc_unsigned& a );
template<class T>
sc_unsigned_subref†& operator= ( const sc_generic_base<T>& a );
sc_unsigned_subref†& operator= ( const sc_signed_subref_r& a );
sc_unsigned_subref†& operator= ( const sc_signed& a );
sc_unsigned_subref†& operator= ( const char* a );
sc_unsigned_subref†& operator= ( unsigned long a );
sc_unsigned_subref†& operator= ( long a );
sc_unsigned_subref†& operator= ( unsigned int a );
sc_unsigned_subref†& operator= ( int a );
sc_unsigned_subref†& operator= ( uint64 a );
sc_unsigned_subref†& operator= ( int64 a );
Authorized licensed use limited to: Furkan Tuncer. Downloaded on October 16,2017 at 17:05:54 UTC from IEEE Xplore. Restrictions apply.
IEEE Std 1666-2011
IEEE Standard for Standard SystemC® Language Reference Manual
252
Copyright © 2012 IEEE. All rights reserved.
sc_unsigned_subref†& operator= ( double a );
sc_unsigned_subref†& operator= ( const sc_int_base& a );
sc_unsigned_subref†& operator= ( const sc_uint_base& a );
// Other methods
void scan( std::istream& is = std::cin );
protected:
sc_unsigned_subref†();
};
} // namespace sc_dt
7.6.8.3 Constraints on usage
Integer part-select objects shall only be created using the part-select operators of an sc_signed or
sc_unsigned object (or an instance of a class derived from sc_signed or sc_unsigned), as described in 7.2.6.
An application shall not explicitly create an instance of any integer part-select class.
An application should not declare a reference or pointer to any integer part-select object.
It is strongly recommended that an application avoid the use of a part-select as the return type of a function
because the lifetime of the object to which the part-select refers may not extend beyond the function return
statement.
Example:
sc_dt::sc_signed_subref get_byte(sc_signed s, int pos) {
return s(pos+7,pos); // Unsafe: returned part-select references local variable
}
NOTE—The left-hand index of a finite-precision integer part-select may be less than the right-hand index. The bit order
in the part-select is then the reverse of that in the original integer.
7.6.8.4 Assignment operators
Overloaded assignment operators shall provide conversion from SystemC data types and the native C++
integer representation to lvalue integer part-selects. If the size of a data type or string literal operand differs
from the integer part-select word length, truncation, zero-extension, or sign-extension shall be used, as
described in 7.2.1.
Assignment operators for rvalue integer part-selects shall be declared as private to prevent their use by an
application.
7.6.8.5 Implicit type conversion
sc_signed_subref_r†:: operator sc_unsigned () const;
sc_unsigned_subref_r†:: operator sc_unsigned () const;
operator sc_unsigned can be used for implicit type conversion from integer part-selects to
sc_unsigned.
Authorized licensed use limited to: Furkan Tuncer. Downloaded on October 16,2017 at 17:05:54 UTC from IEEE Xplore. Restrictions apply.
IEEE Std 1666-2011
IEEE Standard for Standard SystemC® Language Reference Manual
253
Copyright © 2012 IEEE. All rights reserved.
NOTE—These operators are used by the output stream operator and by member functions of other data type
classes that are not explicitly overloaded for finite-precision integer part-selects.
7.6.8.6 Explicit type conversion
const std::string to_string( sc_numrep numrep = SC_DEC ) const;
const std::string to_string( sc_numrep numrep , bool w_prefix ) const;
Member function to_string shall perform a conversion to an std::string representation, as described
in 7.2.11. Calling the to_string function with a single argument is equivalent to calling the to_string
function with two arguments, where the second argument is true. Calling the to_string function
with no arguments is equivalent to calling the to_string function with two arguments where the first
argument is SC_DEC and the second argument is true.
7.6.8.7 Other member functions
void scan( std::istream& is = std::cin );
Member function scan shall set the values of the bits referenced by an lvalue part-select by reading
the next formatted character string from the specified input stream (see 7.2.10).
void print( std::ostream& os = std::cout ) const;
Member function print shall print the values of the bits referenced by the part-select to the specified
output stream (see 7.2.10).
int length() const;
Member function length shall return the word length of the part-select (see 7.2.4).
7.7 Integer concatenations
7.7.1 Description
Class sc_concatref† represents a concatenation of bits from one or more objects whose concatenation base
types are SystemC integers.
7.7.2 Class definition
namespace sc_dt {
class sc_concatref†
: public sc_generic_base<sc_concatref†>, public sc_value_base†
{
public:
// Destructor
virtual ~sc_concatref†();
// Capacity
unsigned int length() const;
// Explicit conversions
int to_int() const;
unsigned int to_uint() const;
long to_long() const;
Authorized licensed use limited to: Furkan Tuncer. Downloaded on October 16,2017 at 17:05:54 UTC from IEEE Xplore. Restrictions apply.
IEEE Std 1666-2011
IEEE Standard for Standard SystemC® Language Reference Manual
254
Copyright © 2012 IEEE. All rights reserved.
unsigned long to_ulong() const;
int64 to_int64() const;
uint64 to_uint64() const;
double to_double() const;
void to_sc_signed( sc_signed& target ) const;
void to_sc_unsigned( sc_unsigned& target ) const;
// Implicit conversions
operator uint64() const;
operator const sc_unsigned&() const;
// Unary operators
sc_unsigned operator+ () const;
sc_unsigned operator- () const;
sc_unsigned operator~ () const;
// Explicit conversion to character string
const std::string to_string( sc_numrep numrep = SC_DEC ) const;
const std::string to_string( sc_numrep numrep , bool w_prefix ) const;
// Assignment operators
const sc_concatref†& operator= ( int v );
const sc_concatref†& operator= ( unsigned int v );
const sc_concatref†& operator= ( long v );
const sc_concatref†& operator= ( unsigned long v );
const sc_concatref†& operator= ( int64 v );
const sc_concatref†& operator= ( uint64 v );
const sc_concatref†& operator= ( const sc_concatref†& v );
const sc_concatref†& operator= ( const sc_signed& v );
const sc_concatref†& operator= ( const sc_unsigned& v );
const sc_concatref†& operator= ( const char* v_p );
const sc_concatref†& operator= ( const sc_bv_base& v );
const sc_concatref†& operator= ( const sc_lv_base& v );
// Reduce methods
bool and_reduce() const;
bool nand_reduce() const;
bool or_reduce() const;
bool nor_reduce() const;
bool xor_reduce() const;
bool xnor_reduce() const;
// Other methods
void print( std::ostream& os = std::cout ) const;
void scan( std::istream& is );
private:
sc_concatref†( const sc_concatref†& );
~sc_concatref†();
};
sc_concatref†& concat( sc_value_base†& a , sc_value_base†& b );
const sc_concatref†& concat( const sc_value_base†& a , const sc_value_base†& b );
const sc_concatref†& concat( const sc_value_base†& a, bool b );
Authorized licensed use limited to: Furkan Tuncer. Downloaded on October 16,2017 at 17:05:54 UTC from IEEE Xplore. Restrictions apply.
IEEE Std 1666-2011
IEEE Standard for Standard SystemC® Language Reference Manual
255
Copyright © 2012 IEEE. All rights reserved.
const sc_concatref†& concat( bool a , const sc_value_base†& b );
sc_concatref†& operator, ( sc_value_base†& a , sc_value_base†& b );
const sc_concatref†& operator, ( const sc_value_base†& a , const sc_value_base†& b );
const sc_concatref†& operator, ( const sc_value_base†& a , bool b );
const sc_concatref†& operator, ( bool a , const sc_value_base†& b );
} // namespace sc_dt
7.7.3 Constraints on usage
Integer concatenation objects shall only be created using the concat function (or operator,) according to the
rules in 7.2.7.
At least one of the concatenation arguments shall be an object with a SystemC integer concatenation base
type, that is, an instance of a class derived directly or indirectly from class sc_value_base†.
A single concatenation argument (that is, one of the two arguments to the concat function or operator,) may
be a bool value, a reference to a sc_core::sc_signal<bool,WRITER_POLICY> channel, or a reference to a
sc_core::sc_in<bool>, sc_core::sc_inout<bool>, or sc_core::sc_out<bool> port.
An application shall not explicitly create an instance of any integer concatenation class. An application shall
not implicitly create an instance of any integer concatenation class by using it as a function argument or as a
function return value.
An application should not declare a reference or pointer to any integer concatenation object.
7.7.4 Assignment operators
Overloaded assignment operators shall provide conversion from SystemC data types and the native C++
integer representation to lvalue integer concatenations. If the size of a data type or string literal operand
differs from the integer concatenation word length, truncation, zero-extension, or sign-extension shall be
used, as described in 7.2.1.
Assignment operators for rvalue integer concatenations shall not be called by an application.
7.7.5 Implicit type conversion
operator uint64 () const;
operator const sc_unsigned& () const;
Operators uint64 and sc_unsigned shall provide implicit unsigned type conversion from an integer
concatenation to a native C++ unsigned integer having exactly 64 bits or a an sc_unsigned object
with a length equal to the total number of bits contained within the objects referenced by the
concatenation.
NOTE—Enables the use of standard C++ and SystemC bitwise logical and arithmetic operators with integer
concatenation objects.
7.7.6 Explicit type conversion
const std::string to_string( sc_numrep numrep = SC_DEC ) const;
const std::string to_string( sc_numrep numrep , bool w_prefix ) const;
Member function to_string shall convert the object to an std::string representation, as described in
7.2.11. Calling the to_string function with a single argument is equivalent to calling the to_string
function with two arguments, where the second argument is true. Calling the to_string function with
Authorized licensed use limited to: Furkan Tuncer. Downloaded on October 16,2017 at 17:05:54 UTC from IEEE Xplore. Restrictions apply.
IEEE Std 1666-2011
IEEE Standard for Standard SystemC® Language Reference Manual
256
Copyright © 2012 IEEE. All rights reserved.
no arguments is equivalent to calling the to_string function with two arguments, where the first
argument is SC_DEC and the second argument is true.
7.7.7 Other member functions
void scan( std::istream& is = std::cin );
Member function scan shall set the values of the bits referenced by an lvalue concatenation by
reading the next formatted character string from the specified input stream (see 7.2.10).
void print( std::ostream& os = std::cout ) const;
Member function print shall print the values of the bits referenced by the concatenation to the
specified output stream (see 7.2.10).
int length() const;
Member function length shall return the word length of the concatenation (see 7.2.4).
7.8 Generic base proxy class
7.8.1 Description
Class template sc_generic_base provides a common proxy base class for application-defined data types that
are required to be converted to a SystemC integer.
7.8.2 Class definition
namespace sc_dt {
template< class T >
class sc_generic_base
{
public:
inline const T* operator-> () const;
inline T* operator-> ();
};
} // namespace sc_dt
7.8.3 Constraints on usage
An application shall not explicitly create an instance of sc_generic_base.
Any application-defined type derived from sc_generic_base shall provide the following public const
member functions:
int length() const;
Member function length shall return the number of bits required to hold the integer value.
uint64 to_uint64() const;
Member function to_uint64 shall return the value as a native C++ unsigned integer having exactly
64 bits.
Authorized licensed use limited to: Furkan Tuncer. Downloaded on October 16,2017 at 17:05:54 UTC from IEEE Xplore. Restrictions apply.
IEEE Std 1666-2011
IEEE Standard for Standard SystemC® Language Reference Manual
257
Copyright © 2012 IEEE. All rights reserved.
int64 to_int64() const;
Member function to_int64 shall return the value as a native C++ signed integer having exactly 64
bits.
void to_sc_unsigned( sc_unsigned& ) const;
Member function to_sc_unsigned shall return the value as an unsigned integer using the
sc_unsigned argument passed by reference.
void to_sc_signed( sc_signed& ) const;
Member function to_sc_signed shall return the value as a signed integer using the sc_signed
argument passed by reference.
7.9 Logic and vector types
7.9.1 Type definitions
The following enumerated type definition is used by the logic and vector type classes. Its literal values
represent (in numerical order) the four possible logic states: logic 0, logic 1, high-impedance, and unknown,
respectively. This type is not intended to be used directly by an application, which should instead use the
character literals '0', '1', 'Z', and 'X' to represent the logic states, or the application may use the constants
SC_LOGIC_0, SC_LOGIC_1, SC_LOGIC_Z, and SC_LOGIC_X in contexts where the character literals
would be ambiguous.
namespace sc_dt {
enum sc_logic_value_t
{
Log_0 = 0,
Log_1,
Log_Z,
Log_X
};
} // namespace sc_dt
7.9.2 sc_logic
7.9.2.1 Description
Class sc_logic represents a single bit with a value corresponding to any one of the four logic states.
Applications should use the character literals '0', '1', 'Z', and 'X' to represent the states logic 0, logic 1, high-
impedance, and unknown, respectively. The lowercase character literals 'z' and 'x' are acceptable
alternatives to 'Z' and 'X', respectively. Any other character used as an sc_logic literal shall be interpreted as
the unknown state.
The C++ bool values false and true may be used as arguments to sc_logic constructors and operators. They
shall be interpreted as logic 0 and logic 1, respectively.
Authorized licensed use limited to: Furkan Tuncer. Downloaded on October 16,2017 at 17:05:54 UTC from IEEE Xplore. Restrictions apply.

IEEE Std 1666-2011
IEEE Standard for Standard SystemC® Language Reference Manual
258
Copyright © 2012 IEEE. All rights reserved.
Logic operations shall be permitted for sc_logic values following the truth tables shown in Table 16,
Table 17, Table 18, and Table 19.
Table 16—sc_logic AND truth table
'0' '1' 'Z' 'X'
'0' '0''0''0''0'
'1' '0' '1' 'X' 'X'
'Z' '0' 'X' 'X' 'X'
'X' '0' 'X' 'X' 'X'
Table 17—sc_logic OR truth table
'0' '1' 'Z' 'X'
'0' '0' '1' 'X' 'X'
'1' '1''1''1''1'
'Z' 'X' '1' 'X' 'X'
'X' 'X' '1' 'X' 'X'
Table 18—sc_logic exclusive or truth table
'0' '1' 'Z' 'X'
'0' '0' '1' 'X' 'X'
'1' '1' '0' 'X' 'X'
'Z' 'X' 'X' 'X' 'X'
'X' 'X' 'X' 'X' 'X'
Table 19—sc_logic complement truth table
'0' '1' 'Z' 'X'
'1' '0' 'X' 'X'
Authorized licensed use limited to: Furkan Tuncer. Downloaded on October 16,2017 at 17:05:54 UTC from IEEE Xplore. Restrictions apply.
IEEE Std 1666-2011
IEEE Standard for Standard SystemC® Language Reference Manual
259
Copyright © 2012 IEEE. All rights reserved.
7.9.2.2 Class definition
namespace sc_dt {
class sc_logic
{
public:
// Constructors
sc_logic();
sc_logic( const sc_logic& a );
sc_logic( sc_logic_value_t v );
explicit sc_logic( bool a );
explicit sc_logic( char a );
explicit sc_logic( int a );
// Destructor
~sc_logic();
// Assignment operators
sc_logic& operator= ( const sc_logic& a );
sc_logic& operator= ( sc_logic_value_t v );
sc_logic& operator= ( bool a );
sc_logic& operator= ( char a );
sc_logic& operator= ( int a );
// Explicit conversions
sc_logic_value_t value() const;
char to_char() const;
bool to_bool() const;
bool is_01() const;
void print( std::ostream& os = std::cout ) const;
void scan( std::istream& is = std::cin );
private:
// Disabled
explicit sc_logic( const char* );
sc_logic& operator= ( const char* );
};
} // namespace sc_dt
7.9.2.3 Constraints on usage
An integer argument to an sc_logic constructor or operator shall be equivalent to the corresponding
sc_logic_value_t enumerated value. It shall be an error if any such integer argument is outside the range 0 to
3.
A literal value assigned to an sc_logic object or used to initialize an sc_logic object may be a character literal
but not a string literal.
Authorized licensed use limited to: Furkan Tuncer. Downloaded on October 16,2017 at 17:05:54 UTC from IEEE Xplore. Restrictions apply.
IEEE Std 1666-2011
IEEE Standard for Standard SystemC® Language Reference Manual
260
Copyright © 2012 IEEE. All rights reserved.
7.9.2.4 Constructors
sc_logic();
Default constructor sc_logic shall create an sc_logic object with a value of unknown.
sc_logic( const sc_logic& a );
sc_logic( sc_logic_value_t v );
explicit sc_logic( bool a );
explicit sc_logic( char a );
explicit sc_logic( int a );
Constructor sc_logic shall create an sc_logic object with the value specified by the argument.
7.9.2.5 Explicit type conversion
sc_logic_value_t value() const;
Member function value shall convert the sc_logic value to the sc_logic_value_t equivalent.
char to_char() const;
Member function to_char shall convert the sc_logic value to the char equivalent.
bool to_bool() const;
Member function to_bool shall convert the sc_logic value to false or true. It shall be an error to call
this function if the sc_logic value is not logic 0 or logic 1.
bool is_01() const;
Member function is_01 shall return true if the sc_logic value is logic 0 or logic 1; otherwise, the
return value shall be false.
7.9.2.6 Bitwise and comparison operators
The operations specified in Table 20 shall be permitted. The following applies:
—L represents an object of type sc_logic.
—n represents an object of type int, sc_logic, sc_logic_value_t, bool, char, or int.
NOTE—An implementation is required to supply overloaded operators on sc_logic objects to satisfy the requirements of
this subclause. It is unspecified whether these operators are members of sc_logic, global operators, or provided in some
other way.
Authorized licensed use limited to: Furkan Tuncer. Downloaded on October 16,2017 at 17:05:54 UTC from IEEE Xplore. Restrictions apply.

IEEE Std 1666-2011
IEEE Standard for Standard SystemC® Language Reference Manual
261
Copyright © 2012 IEEE. All rights reserved.
7.9.2.7 Other member functions
void scan( std::istream& is = std::cin );
Member function scan shall set the value by reading the next non-white-space character from the
specified input stream (see 7.2.10).
void print( std::ostream& os = std::cout ) const;
Member function print shall write the value as the character literal '0', '1', 'X', or 'Z' to the specified
output stream (see 7.2.10).
7.9.2.8 sc_logic constant definitions
A constant of type sc_logic shall be defined for each of the four possible sc_logic_value_t states. These
constants should be used by applications to assign values to, or compare values with, other sc_logic objects,
particularly in those cases where an implicit conversion from a C++ char value would be ambiguous.
namespace sc_dt {
const sc_logic SC_LOGIC_0( Log_0 );
const sc_logic SC_LOGIC_1( Log_1 );
const sc_logic SC_LOGIC_Z( Log_Z );
const sc_logic SC_LOGIC_X( Log_X );
Table 20—sc_logic bitwise and comparison operations
Expression Return type Operation
~L const sc_logic sc_logic bitwise complement
L & n const sc_logic sc_logic bitwise and
n & L const sc_logic sc_logic bitwise and
L &= n sc_logic& sc_logic assign bitwise and
L | n const sc_logic sc_logic bitwise or
n | L const sc_logic sc_logic bitwise or
L |= n sc_logic& sc_logic assign bitwise or
L ^ n const sc_logic sc_logic bitwise exclusive or
n^ L const sc_logic sc_logic bitwise exclusive or
L ^= n sc_logic& sc_logic assign bitwise exclusive or
L == n bool test equal
n == L bool test equal
L != n bool test not equal
n != L bool test not equal
Authorized licensed use limited to: Furkan Tuncer. Downloaded on October 16,2017 at 17:05:54 UTC from IEEE Xplore. Restrictions apply.
IEEE Std 1666-2011
IEEE Standard for Standard SystemC® Language Reference Manual
262
Copyright © 2012 IEEE. All rights reserved.
} // namespace sc_dt
Example:
sc_core::sc_signal<sc_logic> A;
A = '0'; // Error: ambiguous conversion
A = static_cast<sc_logic>('0'); // Correct but not recommended
A = SC_LOGIC_0; // Recommended representation of logic 0
7.9.3 sc_bv_base
7.9.3.1 Description
Class sc_bv_base represents a finite word-length bit vector. It can be treated as an array of bool or as an
array of sc_logic_value_t (with the restriction that only the states logic 0 and logic 1 are legal). The word
length shall be specified by a constructor argument or, by default, by the length context object currently in
scope. The word length of an sc_bv_base object shall be fixed during instantiation and shall not
subsequently be changed.
sc_bv_base is the base class for the sc_bv class template.
7.9.3.2 Class definition
namespace sc_dt {
class sc_bv_base
{
friend class sc_lv_base;
public:
// Constructors
explicit sc_bv_base( int nb = sc_length_param().len() );
explicit sc_bv_base( bool a, int nb = sc_length_param().len() );
sc_bv_base( const char* a );
sc_bv_base( const char* a , int nb );
template <class X>
sc_bv_base( const sc_subref_r†<X>& a );
template <class T1, class T2>
sc_bv_base( const sc_concref_r†<T1,T2>& a );
sc_bv_base( const sc_lv_base& a );
sc_bv_base( const sc_bv_base& a );
// Destructor
virtual ~sc_bv_base();
// Assignment operators
template <class X>
sc_bv_base& operator= ( const sc_subref_r†<X>& a );
template <class T1, class T2>
sc_bv_base& operator= ( const sc_concref_r†<T1,T2>& a );
sc_bv_base& operator= ( const sc_bv_base& a );
sc_bv_base& operator= ( const sc_lv_base& a );
sc_bv_base& operator= ( const char* a );
Authorized licensed use limited to: Furkan Tuncer. Downloaded on October 16,2017 at 17:05:54 UTC from IEEE Xplore. Restrictions apply.
IEEE Std 1666-2011
IEEE Standard for Standard SystemC® Language Reference Manual
263
Copyright © 2012 IEEE. All rights reserved.
sc_bv_base& operator= ( const bool* a );
sc_bv_base& operator= ( const sc_logic* a );
sc_bv_base& operator= ( const sc_unsigned& a );
sc_bv_base& operator= ( const sc_signed& a );
sc_bv_base& operator= ( const sc_uint_base& a );
sc_bv_base& operator= ( const sc_int_base& a );
sc_bv_base& operator= ( unsigned long a );
sc_bv_base& operator= ( long a );
sc_bv_base& operator= ( unsigned int a );
sc_bv_base& operator= ( int a );
sc_bv_base& operator= ( uint64 a );
sc_bv_base& operator= ( int64 a );
// Bitwise rotations
sc_bv_base& lrotate( int n );
sc_bv_base& rrotate( int n );
// Bitwise reverse
sc_bv_base& reverse();
// Bit selection
sc_bitref†<sc_bv_base> operator[] ( int i );
sc_bitref_r†<sc_bv_base> operator[] ( int i ) const;
// Part selection
sc_subref†<sc_bv_base> operator() ( int hi , int lo );
sc_subref_r†<sc_bv_base> operator() ( int hi , int lo ) const;
sc_subref†<sc_bv_base> range( int hi , int lo );
sc_subref_r†<sc_bv_base> range( int hi , int lo ) const;
// Reduce functions
sc_logic_value_t and_reduce() const;
sc_logic_value_t nand_reduce() const;
sc_logic_value_t or_reduce() const;
sc_logic_value_t nor_reduce() const;
sc_logic_value_t xor_reduce() const;
sc_logic_value_t xnor_reduce() const;
// Common methods
int length() const;
// Explicit conversions to character string
const std::string to_string() const;
const std::string to_string( sc_numrep ) const;
const std::string to_string( sc_numrep , bool ) const;
// Explicit conversions
int to_int() const;
unsigned int to_uint() const;
long to_long() const;
unsigned long to_ulong() const;
int64 to_int64() const;
uint64 to_uint64() const;
Authorized licensed use limited to: Furkan Tuncer. Downloaded on October 16,2017 at 17:05:54 UTC from IEEE Xplore. Restrictions apply.
IEEE Std 1666-2011
IEEE Standard for Standard SystemC® Language Reference Manual
264
Copyright © 2012 IEEE. All rights reserved.
bool is_01() const;
// Other methods
void print( std::ostream& os = std::cout ) const;
void scan( std::istream& is = std::cin );
};
} // namespace sc_dt
7.9.3.3 Constraints on usage
Attempting to assign the sc_logic_value_t values high-impedance or unknown to any element of an
sc_bv_base object shall be an error.
The result of assigning an array of bool or an array of sc_logic to an sc_bv_base object having a greater
word length than the number of array elements is undefined.
7.9.3.4 Constructors
explicit sc_bv_base( int nb = sc_length_param().len() );
Default constructor sc_bv_base shall create an sc_bv_base object of word length specified by nb
and shall set the initial value of each element to logic 0. This is the default constructor when nb is
not specified (in which case its value is set by the current length context).
explicit sc_bv_base( bool a , int nb = sc_length_param().len() );
Constructor sc_bv_base shall create an sc_bv_base object of word length specified by nb. If nb is
not specified, the length shall be set by the current length context. The constructor shall set the initial
value of each element to the value of a.
sc_bv_base( const char* a );
Constructor sc_bv_base shall create an sc_bv_base object with an initial value set by the string a.
The word length shall be set to the number of characters in the string.
sc_bv_base( const char* a , int nb );
Constructor sc_bv_base shall create an sc_bv_base object with an initial value set by the string and
word length nb. If the number of characters in the string does not match the value of nb, the initial
value shall be truncated or zero extended to match the word length.
template <class X> sc_bv_base( const sc_subref_r†<X>& a );
template <class T1, class T2> sc_bv_base( const sc_concref_r†<T1,T2>& a );
sc_bv_base( const sc_lv_base& a );
sc_bv_base( const sc_bv_base& a );
Constructor sc_bv_base shall create an sc_bv_base object with the same word length and value as
a.
NOTE—An implementation may provide a different set of constructors to create an sc_bv_base object from an
sc_subref_r†<T>, sc_concref_r†<T1,T2>, or sc_lv_base object, for example, by providing a class template that is used
as a common base class for all these types.
Authorized licensed use limited to: Furkan Tuncer. Downloaded on October 16,2017 at 17:05:54 UTC from IEEE Xplore. Restrictions apply.
IEEE Std 1666-2011
IEEE Standard for Standard SystemC® Language Reference Manual
265
Copyright © 2012 IEEE. All rights reserved.
7.9.3.5 Assignment operators
Overloaded assignment operators shall provide conversion from SystemC data types and the native C++
integer representation to sc_bv_base, using truncation or zero-extension, as described in 7.2.1.
7.9.3.6 Explicit type conversion
const std::string to_string() const;
const std::string to_string( sc_numrep ) const;
const std::string to_string( sc_numrep , bool ) const;
Member function to_string shall perform the conversion to an std::string representation, as
described in 7.2.11. Calling the to_string function with a single argument is equivalent to calling the
to_string function with two arguments, where the second argument is true.
Calling the to_string function with no arguments shall create a binary string with a single '1' or '0'
corresponding to each bit. This string shall not be prefixed by "0b" or a leading zero.
Example:
sc_bv_base B(4); // 4-bit vector
B = "0xf"; // Each bit set to logic 1
std::string S1 = B.to_string(SC_BIN,false); // The contents of S1 will be the string "01111"
std::string S2 = B.to_string(SC_BIN); // The contents of S2 will be the string "0b01111"
std::string S3 = B.to_string(); // The contents of S3 will be the string "1111"
bool is_01() const;
Member function is_01 shall always return true since an sc_bv_base object can only contain
elements with a value of logic 0 or logic 1.
Member functions that return the integer equivalent of the bit representation shall be provided to
satisfy the requirements of 7.2.9.
7.9.3.7 Bitwise and comparison operators
Operations specified in Table 21 and Table 22 are permitted. The following applies:
—B represents an object of type sc_bv_base.
—Vi represents an object of logic vector type sc_bv_base, sc_lv_base, sc_subref_r†<T>, or
sc_concref_r†<T1,T2> or integer type int, long, unsigned int, unsigned long, sc_signed,
sc_unsigned, sc_int_base, or sc_uint_base.
—i represents an object of integer type int.
—A represents an array object with elements of type char, bool, or sc_logic.
The operands may also be of any other class that is derived from those just given.
Binary bitwise operators shall return a result with a word length that is equal to the word length of the
longest operand.
The left shift operator shall return a result with a word length that is equal to the word length of its
sc_bv_base operand plus the right (integer) operand. Bits added on the right-hand side of the result shall be
set to zero.
The right shift operator returns a result with a word length that is equal to the word length of its sc_bv_base
operand. Bits added on the left-hand side of the result shall be set to zero.
Authorized licensed use limited to: Furkan Tuncer. Downloaded on October 16,2017 at 17:05:54 UTC from IEEE Xplore. Restrictions apply.

IEEE Std 1666-2011
IEEE Standard for Standard SystemC® Language Reference Manual
266
Copyright © 2012 IEEE. All rights reserved.
It is an error if the right operand of a shift operator is negative.
sc_bv_base& lrotate( int n );
Member function lrotate shall rotate an sc_bv_base object n places to the left.
Table 21—sc_bv_base bitwise operations
Expression Return type Operation
B & Vi const sc_lv_base sc_bv_base bitwise and
Vi & B const sc_lv_base sc_bv_base bitwise and
B & A const sc_lv_base sc_bv_base bitwise and
A & B const sc_lv_base sc_bv_base bitwise and
B &= Vi sc_bv_base& sc_bv_base assign bitwise and
B &= A sc_bv_base& sc_bv_base assign bitwise and
B | Vi const sc_lv_base sc_bv_base bitwise or
Vi | B const sc_lv_base sc_bv_base bitwise or
B | A const sc_lv_base sc_bv_base bitwise or
A | B const sc_lv_base sc_bv_base bitwise or
B |= Vi sc_bv_base& sc_bv_base assign bitwise or
B |= A sc_bv_base& sc_bv_base assign bitwise or
B ^ Vi const sc_lv_base sc_bv_base bitwise exclusive or
Vi ^ B const sc_lv_base sc_bv_base bitwise exclusive or
B ^ A const sc_lv_base sc_bv_base bitwise exclusive or
A ^ B const sc_lv_base sc_bv_base bitwise exclusive or
B ^= Vi sc_bv_base& sc_bv_base assign bitwise exclusive or
B ^= A sc_bv_base& sc_bv_base assign bitwise exclusive or
B << i const sc_lv_base sc_bv_base left-shift
B <<= i sc_bv_base& sc_bv_base assign left-shift
B >> i const sc_lv_base sc_bv_base right-shift
B >>= i sc_bv_base& sc_bv_base assign right-shift
~B const sc_lv_base sc_bv_base bitwise complement
Authorized licensed use limited to: Furkan Tuncer. Downloaded on October 16,2017 at 17:05:54 UTC from IEEE Xplore. Restrictions apply.

IEEE Std 1666-2011
IEEE Standard for Standard SystemC® Language Reference Manual
267
Copyright © 2012 IEEE. All rights reserved.
sc_bv_base& rrotate( int n );
Member function rrotate shall rotate an sc_bv_base object n places to the right.
sc_bv_base& reverse();
Member function reverse shall reverse the bit order in an sc_bv_base object.
NOTE—An implementation is required to supply overloaded operators on sc_bv_base objects to satisfy the
requirements of this subclause. It is unspecified whether these operators are members of sc_bv_base, global operators,
or provided in some other way.
7.9.3.8 Other member functions
void scan( std::istream& is = std::cin );
Member function scan shall set the value by reading the next formatted character string from the
specified input stream (see 7.2.10).
void print( std::ostream& os = std::cout ) const;
Member function print shall write the value as a formatted character string to the specified output
stream (see 7.2.10).
int length() const;
Member function length shall return the word length (see 7.2.4).
7.9.4 sc_lv_base
7.9.4.1 Description
Class sc_lv_base represents a finite word-length bit vector. It can be treated as an array of sc_logic_value_t
values. The word length shall be specified by a constructor argument or, by default, by the length context
object currently in scope. The word length of an sc_lv_base object shall be fixed during instantiation and
shall not subsequently be changed.
sc_lv_base is the base class for the sc_lv class template.
7.9.4.2 Class definition
namespace sc_dt {
class sc_lv_base
Table 22—sc_bv_base comparison operations
Expression Return type Operation
B == Vi bool test equal
Vi == B bool test equal
B == A bool test equal
A == B bool test equal
Authorized licensed use limited to: Furkan Tuncer. Downloaded on October 16,2017 at 17:05:54 UTC from IEEE Xplore. Restrictions apply.
IEEE Std 1666-2011
IEEE Standard for Standard SystemC® Language Reference Manual
268
Copyright © 2012 IEEE. All rights reserved.
{
friend class sc_bv_base;
public:
// Constructors
explicit sc_lv_base( int length_ = sc_length_param().len() );
explicit sc_lv_base( const sc_logic& a, int length_ = sc_length_param().len() );
sc_lv_base( const char* a );
sc_lv_base( const char* a , int length_ );
template <class X>
sc_lv_base( const sc_subref_r†<X>& a );
template <class T1, class T2>
sc_lv_base( const sc_concref_r†<T1,T2>& a );
sc_lv_base( const sc_bv_base& a );
sc_lv_base( const sc_lv_base& a );
// Destructor
virtual ~sc_lv_base();
// Assignment operators
template <class X>
sc_lv_base& operator= ( const sc_subref_r†<X>& a );
template <class T1, class T2>
sc_lv_base& operator= ( const sc_concref_r†<T1,T2>& a );
sc_lv_base& operator= ( const sc_bv_base& a );
sc_lv_base& operator= ( const sc_lv_base& a );
sc_lv_base& operator= ( const char* a );
sc_lv_base& operator= ( const bool* a );
sc_lv_base& operator= ( const sc_logic* a );
sc_lv_base& operator= ( const sc_unsigned& a );
sc_lv_base& operator= ( const sc_signed& a );
sc_lv_base& operator= ( const sc_uint_base& a );
sc_lv_base& operator= ( const sc_int_base& a );
sc_lv_base& operator= ( unsigned long a );
sc_lv_base& operator= ( long a );
sc_lv_base& operator= ( unsigned int a );
sc_lv_base& operator= ( int a );
sc_lv_base& operator= ( uint64 a );
sc_lv_base& operator= ( int64 a );
// Bitwise rotations
sc_lv_base& lrotate( int n );
sc_lv_base& rrotate( int n );
// Bitwise reverse
sc_lv_base& reverse();
// Bit selection
sc_bitref†<sc_bv_base> operator[] ( int i );
sc_bitref_r†<sc_bv_base> operator[] ( int i ) const;
// Part selection
sc_subref†<sc_lv_base> operator() ( int hi , int lo );
sc_subref_r†<sc_lv_base> operator() ( int hi , int lo ) const;
Authorized licensed use limited to: Furkan Tuncer. Downloaded on October 16,2017 at 17:05:54 UTC from IEEE Xplore. Restrictions apply.
IEEE Std 1666-2011
IEEE Standard for Standard SystemC® Language Reference Manual
269
Copyright © 2012 IEEE. All rights reserved.
sc_subref†<sc_lv_base> range( int h i, int lo );
sc_subref_r†<sc_lv_base> range( int hi , int lo ) const;
// Reduce functions
sc_logic_value_t and_reduce() const;
sc_logic_value_t nand_reduce() const;
sc_logic_value_t or_reduce() const;
sc_logic_value_t nor_reduce() const;
sc_logic_value_t xor_reduce() const;
sc_logic_value_t xnor_reduce() const;
// Common methods
int length() const;
// Explicit conversions to character string
const std::string to_string() const;
const std::string to_string( sc_numrep ) const;
const std::string to_string( sc_numrep , bool ) const;
// Explicit conversions
int to_int() const;
unsigned int to_uint() const;
long to_long() const;
unsigned long to_ulong() const;
int64 to_int64() const;
uint64 to_uint64() const;
bool is_01() const;
// Other methods
void print( std::ostream& os = std::cout ) const;
void scan( std::istream& is = std::cin );
};
} // namespace sc_dt
7.9.4.3 Constraints on usage
The result of assigning an array of bool or an array of sc_logic to an sc_lv_base object having a greater word
length than the number of array elements is undefined.
7.9.4.4 Constructors
explicit sc_lv_base( int nb = sc_length_param().len() );
Constructor sc_lv_base shall create an sc_lv_base object of word length specified by nb and shall
set the initial value of each element to logic 0. This is the default constructor when nb is not
specified (in which case its value shall be set by the current length context).
explicit sc_lv_base( bool a, int nb = sc_length_param().len() );
Constructor sc_lv_base shall create an sc_lv_base object of word length specified by nb and shall
set the initial value of each element to the value of a. If nb is not specified, the length shall be set by
the current length context.
Authorized licensed use limited to: Furkan Tuncer. Downloaded on October 16,2017 at 17:05:54 UTC from IEEE Xplore. Restrictions apply.
IEEE Std 1666-2011
IEEE Standard for Standard SystemC® Language Reference Manual
270
Copyright © 2012 IEEE. All rights reserved.
sc_lv_base( const char* a );
Constructor sc_lv_base shall create an sc_lv_base object with an initial value set by the string literal
a. The word length shall be set to the number of characters in the string literal.
sc_lv_base( const char* a , int nb );
Constructor sc_lv_base shall create an sc_lv_base object with an initial value set by the string literal
and word length nb. If the number of characters in the string literal does not match the value of nb,
the initial value shall be truncated or zero extended to match the word length.
template <class X> sc_lv_base( const sc_subref_r†<X>& a );
template <class T1, class T2> sc_lv_base( const sc_concref_r†<T1,T2>& a );
sc_lv_base( const sc_bv_base& a );
Constructor sc_lv_base shall create an sc_lv_base object with the same word length and value as a.
sc_lv_base( const sc_lv_base& a );
Constructor sc_lv_base shall create an sc_lv_base object with the same word length and value as a.
NOTE—An implementation may provide a different set of constructors to create an sc_lv_base object from an
sc_subref_r†<T>, sc_concref_r†, or sc_bv_base object, for example, by providing a class template that is used as a
common base class for all these types.
7.9.4.5 Assignment operators
Overloaded assignment operators shall provide conversion from SystemC data types and the native C++
integer representation to sc_lv_base, using truncation or zero-extension, as described in 7.2.1.
7.9.4.6 Explicit type conversion
const std::string to_string() const;
const std::string to_string( sc_numrep ) const;
const std::string to_string( sc_numrep , bool ) const;
Member function to_string shall perform a conversion to an std::string representation, as described
in 7.2.11. Calling the to_string function with a single argument is equivalent to calling the to_string
function with two arguments, where the second argument is true. Attempting to call the single or
double argument to_string function for an sc_lv_base object with one or more elements set to the
high-impedance or unknown state shall be an error.
Calling the to_string function with no arguments shall create a logic value string with a single '1',
'0', 'Z', or 'X' corresponding to each bit. This string shall not be prefixed by "0b" or a leading zero.
Example:
sc_lv_base L(4); // 4-bit vector
L = "0xf"; // Each bit set to logic 1
std::string S1 = L.to_string(SC_BIN,false); // The contents of S1 will be the string "01111"
std::string S2 = L.to_string(SC_BIN); // The contents of S2 will be the string "0b01111"
std::string S3 = L.to_string(); // The contents of S3 will be the string "1111"
Authorized licensed use limited to: Furkan Tuncer. Downloaded on October 16,2017 at 17:05:54 UTC from IEEE Xplore. Restrictions apply.
IEEE Std 1666-2011
IEEE Standard for Standard SystemC® Language Reference Manual
271
Copyright © 2012 IEEE. All rights reserved.
bool is_01() const;
Member function is_01 shall return true only when every element of an sc_lv_base object has a
value of logic 0 or logic 1. If any element has the value high-impedance or unknown, it shall return
false.
Member functions that return the integer equivalent of the bit representation shall be provided to
satisfy the requirements of 7.2.9. Calling any such integer conversion function for an object having
one or more bits set to the high-impedance or unknown state shall be an error.
7.9.4.7 Bitwise and comparison operators
Operations specified in Table 23 and Table 24 are permitted. The following applies:
—L represents an object of type sc_lv_base.
—Vi represents an object of logic vector type sc_bv_base, sc_lv_base, sc_subref_r†<T>, or
sc_concref_r†<T1,T2>, or integer type int, long, unsigned int, unsigned long, sc_signed,
sc_unsigned, sc_int_base, or sc_uint_base.
—i represents an object of integer type int.
—A represents an array object with elements of type char, bool, or sc_logic.
The operands may also be of any other class that is derived from those just given.
Binary bitwise operators shall return a result with a word length that is equal to the word length of the
longest operand.
The left shift operator shall return a result with a word length that is equal to the word length of its
sc_lv_base operand plus the right (integer) operand. Bits added on the right-hand side of the result shall be
set to zero.
The right shift operator shall return a result with a word length that is equal to the word length of its
sc_lv_base operand. Bits added on the left-hand side of the result shall be set to zero.
It is an error if the right operand of a shift operator is negative.
sc_lv_base& lrotate( int n );
Member function lrotate shall rotate an sc_lv_base object n places to the left.
sc_lv_base& rrotate( int n );
Member function rrotate shall rotate an sc_lv_base object n places to the right.
sc_lv_base& reverse();
Member function reverse shall reverse the bit order in an sc_lv_base object.
NOTE—An implementation is required to supply overloaded operators on sc_lv_base objects to satisfy the
requirements of this subclause. It is unspecified whether these operators are members of sc_lv_base, global operators, or
provided in some other way.
Authorized licensed use limited to: Furkan Tuncer. Downloaded on October 16,2017 at 17:05:54 UTC from IEEE Xplore. Restrictions apply.

IEEE Std 1666-2011
IEEE Standard for Standard SystemC® Language Reference Manual
272
Copyright © 2012 IEEE. All rights reserved.
Table 23—sc_lv_base bitwise operations
Expression Return type Operation
L & Vi const sc_lv_base sc_lv_base bitwise and
Vi & L const sc_lv_base sc_lv_base bitwise and
L & A const sc_lv_base sc_lv_base bitwise and
A & L const sc_lv_base sc_lv_base bitwise and
L &= Vi sc_lv_base& sc_lv_base assign bitwise and
L &= A sc_lv_base& sc_lv_base assign bitwise and
L | Vi const sc_lv_base sc_lv_base bitwise or
Vi | L const sc_lv_base sc_lv_base bitwise or
L | A const sc_lv_base sc_lv_base bitwise or
A | L const sc_lv_base sc_lv_base bitwise or
L |= Vi sc_lv_base& sc_lv_base assign bitwise or
L |= A sc_lv_base& sc_lv_base assign bitwise or
L ^ Vi const sc_lv_base sc_lv_base bitwise exclusive or
Vi ^ L const sc_lv_base sc_lv_base bitwise exclusive or
L ^ A const sc_lv_base sc_lv_base bitwise exclusive or
A ^ L const sc_lv_base sc_lv_base bitwise exclusive or
L ^= Vi sc_lv_base& sc_lv_base assign bitwise exclusive or
L ^= A sc_lv_base& sc_lv_base assign bitwise exclusive or
L << i const sc_lv_base sc_lv_base left-shift
L <<= i sc_lv_base& sc_lv_base assign left-shift
L >> i const sc_lv_base sc_lv_base right-shift
L >>= i sc_lv_base& sc_lv_base assign right-shift
~L const sc_lv_base sc_lv_base bitwise complement
Authorized licensed use limited to: Furkan Tuncer. Downloaded on October 16,2017 at 17:05:54 UTC from IEEE Xplore. Restrictions apply.

IEEE Std 1666-2011
IEEE Standard for Standard SystemC® Language Reference Manual
273
Copyright © 2012 IEEE. All rights reserved.
7.9.4.8 Other member functions
void scan( std::istream& is = std::cin );
Member function scan shall set the value by reading the next formatted character string from the
specified input stream (see 7.2.10).
void print( std::ostream& os = std::cout ) const;
Member function print shall write the value as a formatted character string to the specified output
stream (see 7.2.10).
int length() const;
Member function length shall return the word length (see 7.2.4).
7.9.5 sc_bv
7.9.5.1 Description
Class template sc_bv represents a finite word-length bit vector. It can be treated as an array of bool or as an
array of sc_logic_value_t values (with the restriction that only the states logic 0 and logic 1 are legal). The
word length shall be specified by a template argument.
Any public member functions of the base class sc_bv_base that are overridden in class sc_bv shall have the
same behavior in the two classes. Any public member functions of the base class not overridden in this way
shall be publicly inherited by class sc_bv.
7.9.5.2 Class definition
namespace sc_dt {
template <int W>
class sc_bv
: public sc_bv_base
{
public:
// Constructors
sc_bv();
explicit sc_bv( bool init_value );
explicit sc_bv( char init_value );
sc_bv( const char* a );
Table 24—sc_lv_base comparison operations
Expression Return type Operation
L == Vi bool test equal
Vi == L bool test equal
L == A bool test equal
A == L bool test equal
Authorized licensed use limited to: Furkan Tuncer. Downloaded on October 16,2017 at 17:05:54 UTC from IEEE Xplore. Restrictions apply.
IEEE Std 1666-2011
IEEE Standard for Standard SystemC® Language Reference Manual
274
Copyright © 2012 IEEE. All rights reserved.
sc_bv( const bool* a );
sc_bv( const sc_logic* a );
sc_bv( const sc_unsigned& a );
sc_bv( const sc_signed& a );
sc_bv( const sc_uint_base& a );
sc_bv( const sc_int_base& a );
sc_bv( unsigned long a );
sc_bv( long a );
sc_bv( unsigned int a );
sc_bv( int a );
sc_bv( uint64 a );
sc_bv( int64 a );
template <class X>
sc_bv( const sc_subref_r†<X>& a );
template <class T1, class T2>
sc_bv( const sc_concref_r†<T1,T2>& a );
sc_bv( const sc_bv_base& a );
sc_bv( const sc_lv_base& a );
sc_bv( const sc_bv<W>& a );
// Assignment operators
template <class X>
sc_bv<W>& operator= ( const sc_subref_r†<X>& a );
template <class T1, class T2>
sc_bv<W>& operator= ( const sc_concref_r†<T1,T2>& a );
sc_bv<W>& operator= ( const sc_bv_base& a );
sc_bv<W>& operator= ( const sc_lv_base& a );
sc_bv<W>& operator= ( const sc_bv<W>& a );
sc_bv<W>& operator= ( const char* a );
sc_bv<W>& operator= ( const bool* a );
sc_bv<W>& operator= ( const sc_logic* a );
sc_bv<W>& operator= ( const sc_unsigned& a );
sc_bv<W>& operator= ( const sc_signed& a );
sc_bv<W>& operator= ( const sc_uint_base& a );
sc_bv<W>& operator= ( const sc_int_base& a );
sc_bv<W>& operator= ( unsigned long a );
sc_bv<W>& operator= ( long a );
sc_bv<W>& operator= ( unsigned int a );
sc_bv<W>& operator= ( int a );
sc_bv<W>& operator= ( uint64 a );
sc_bv<W>& operator= ( int64 a );
};
} // namespace sc_dt
7.9.5.3 Constraints on usage
Attempting to assign the sc_logic_value_t values high-impedance or unknown to any element of an sc_bv
object shall be an error.
The result of assigning an array of bool or an array of sc_logic to an sc_bv object having a greater word
length than the number of array elements is undefined.
Authorized licensed use limited to: Furkan Tuncer. Downloaded on October 16,2017 at 17:05:54 UTC from IEEE Xplore. Restrictions apply.
IEEE Std 1666-2011
IEEE Standard for Standard SystemC® Language Reference Manual
275
Copyright © 2012 IEEE. All rights reserved.
7.9.5.4 Constructors
sc_bv();
The default constructor sc_bv shall create an sc_bv object of word length specified by the template
argument W, and it shall set the initial value of every element to logic 0.
The other constructors shall create an sc_bv object of word length specified by the template argument W
and value corresponding to the constructor argument. If the word length of a data type or string literal
argument differs from the template argument, truncation or zero-extension shall be applied, as described in
7.2.1. If the number of elements in an array of bool or array of sc_logic used as the constructor argument is
less than the word length, the initial value of all elements shall be undefined.
NOTE—An implementation may provide a different set of constructors to create an sc_bv object from an
sc_subref_r†<T>, sc_concref_r†<T1,T2>, sc_bv_base, or sc_lv_base object, for example, by providing a class
template that is used as a common base class for all these types.
7.9.5.5 Assignment operators
Overloaded assignment operators shall provide conversion from SystemC data types and the native C++
integer representation to sc_bv, using truncation or zero-extension, as described in 7.2.1. The exception is
assignment of an array of bool or an array of sc_logic to an sc_bv object, as described in 7.9.5.4.
7.9.6 sc_lv
7.9.6.1 Description
Class template sc_lv represents a finite word-length bit vector. It can be treated as an array of
sc_logic_value_t values. The word length shall be specified by a template argument.
Any public member functions of the base class sc_lv_base that are overridden in class sc_lv shall have the
same behavior in the two classes. Any public member functions of the base class not overridden in this way
shall be publicly inherited by class sc_lv.
7.9.6.2 Class definition
namespace sc_dt {
template <int W>
class sc_lv
: public sc_lv_base
{
public:
// Constructors
sc_lv();
explicit sc_lv( const sc_logic& init_value );
explicit sc_lv( bool init_value );
explicit sc_lv( char init_value );
sc_lv( const char* a );
sc_lv( const bool* a );
sc_lv( const sc_logic* a );
sc_lv( const sc_unsigned& a );
sc_lv( const sc_signed& a );
sc_lv( const sc_uint_base& a );
sc_lv( const sc_int_base& a );
Authorized licensed use limited to: Furkan Tuncer. Downloaded on October 16,2017 at 17:05:54 UTC from IEEE Xplore. Restrictions apply.
IEEE Std 1666-2011
IEEE Standard for Standard SystemC® Language Reference Manual
276
Copyright © 2012 IEEE. All rights reserved.
sc_lv( unsigned long a );
sc_lv( long a );
sc_lv( unsigned int a );
sc_lv( int a );
sc_lv( uint64 a );
sc_lv( int64 a );
template <class X>
sc_lv( const sc_subref_r†<X>& a );
template <class T1, class T2>
sc_lv( const sc_concref_r†<T1,T2>& a );
sc_lv( const sc_bv_base& a );
sc_lv( const sc_lv_base& a );
sc_lv( const sc_lv<W>& a );
// Assignment operators
template <class X>
sc_lv<W>& operator= ( const sc_subref_r†<X>& a );
template <class T1, class T2>
sc_lv<W>& operator= ( const sc_concref_r†<T1,T2>& a );
sc_lv<W>& operator= ( const sc_bv_base& a );
sc_lv<W>& operator= ( const sc_lv_base& a );
sc_lv<W>& operator= ( const sc_lv<W>& a );
sc_lv<W>& operator= ( const char* a );
sc_lv<W>& operator= ( const bool* a );
sc_lv<W>& operator= ( const sc_logic* a );
sc_lv<W>& operator= ( const sc_unsigned& a );
sc_lv<W>& operator= ( const sc_signed& a );
sc_lv<W>& operator= ( const sc_uint_base& a );
sc_lv<W>& operator= ( const sc_int_base& a );
sc_lv<W>& operator= ( unsigned long a );
sc_lv<W>& operator= ( long a );
sc_lv<W>& operator= ( unsigned int a );
sc_lv<W>& operator= ( int a );
sc_lv<W>& operator= ( uint64 a );
sc_lv<W>& operator= ( int64 a );
};
} // namespace sc_dt
7.9.6.3 Constraints on usage
The result of assigning an array of bool or an array of sc_logic to an sc_lv object having a greater word
length than the number of array elements is undefined.
7.9.6.4 Constructors
sc_lv();
Default constructor sc_lv shall create an sc_lv object of word length specified by the template
argument W and shall set the initial value of every element to unknown.
The other constructors shall create an sc_lv object of word length specified by the template argument W and
value corresponding to the constructor argument. If the word length of a data type or string literal argument
differs from the template argument, truncation or zero-extension shall be applied, as described in 7.2.1. If
Authorized licensed use limited to: Furkan Tuncer. Downloaded on October 16,2017 at 17:05:54 UTC from IEEE Xplore. Restrictions apply.
IEEE Std 1666-2011
IEEE Standard for Standard SystemC® Language Reference Manual
277
Copyright © 2012 IEEE. All rights reserved.
the number of elements in an array of bool or array of sc_logic used as the constructor argument is less than
the word length, the initial value of all elements shall be undefined.
NOTE—An implementation may provide a different set of constructors to create an sc_lv object from an
sc_subref_r†<T>, sc_concref_r†<T1,T2>, sc_bv_base, or sc_lv_base object, for example, by providing a class
template that is used as a common base class for all these types.
7.9.6.5 Assignment operators
Overloaded assignment operators shall provide conversion from SystemC data types and the native C++
integer representation to sc_lv, using truncation or zero-extension, as described in 7.2.1. The exception is
assignment from an array of bool or an array of sc_logic to an sc_lv object, as described in 7.9.6.4.
7.9.7 Bit-selects
7.9.7.1 Description
Class template sc_bitref_r†<T> represents a bit selected from a vector used as an rvalue.
Class template sc_bitref†<T> represents a bit selected from a vector used as an lvalue.
The use of the term “vector” here includes part-selects and concatenations of bit vectors and logic vectors.
The template parameter is the name of the class accessed by the bit-select.
7.9.7.2 Class definition
namespace sc_dt {
template <class T>
class sc_bitref_r†
{
friend class sc_bv_base;
friend class sc_lv_base;
public:
// Copy constructor
sc_bitref_r†( const sc_bitref_r†<T>& a );
// Bitwise complement
const sc_logic operator~ () const;
// Implicit conversion to sc_logic
operator const sc_logic() const;
// Explicit conversions
bool is_01() const;
bool to_bool() const;
char to_char() const;
// Common methods
int length() const;
// Other methods
void print( std::ostream& os = std::cout ) const;
Authorized licensed use limited to: Furkan Tuncer. Downloaded on October 16,2017 at 17:05:54 UTC from IEEE Xplore. Restrictions apply.
IEEE Std 1666-2011
IEEE Standard for Standard SystemC® Language Reference Manual
278
Copyright © 2012 IEEE. All rights reserved.
private:
// Disabled
sc_bitref_r†();
sc_bitref_r†<T>& operator= ( const sc_bitref_r†<T>& );
};
// -------------------------------------------------------------
template <class T>
class sc_bitref†
: public sc_bitref_r†<T>
{
friend class sc_bv_base;
friend class sc_lv_base;
public:
// Copy constructor
sc_bitref†( const sc_bitref†<T>& a );
// Assignment operators
sc_bitref†<T>& operator= ( const sc_bitref_r†<T>& a );
sc_bitref†<T>& operator= ( const sc_bitref†<T>& a );
sc_bitref†<T>& operator= ( const sc_logic& a );
sc_bitref†<T>& operator= ( sc_logic_value_t v );
sc_bitref†<T>& operator= ( bool a );
sc_bitref†<T>& operator= ( char a );
sc_bitref†<T>& operator= ( int a );
// Bitwise assignment operators
sc_bitref†<T>& operator&= ( const sc_bitref_r†<T>& a );
sc_bitref†<T>& operator&= ( const sc_logic& a );
sc_bitref†<T>& operator&= ( sc_logic_value_t v );
sc_bitref†<T>& operator&= ( bool a );
sc_bitref†<T>& operator&= ( char a );
sc_bitref†<T>& operator&= ( int a );
sc_bitref†<T>& operator|= ( const sc_bitref_r†<T>& a );
sc_bitref†<T>& operator|= ( const sc_logic& a );
sc_bitref†<T>& operator|= ( sc_logic_value_t v );
sc_bitref†<T>& operator|= ( bool a );
sc_bitref†<T>& operator|= ( char a );
sc_bitref†<T>& operator|= ( int a );
sc_bitref†<T>& operator^= ( const sc_bitref_r†<T>& a );
sc_bitref†<T>& operator^= ( const sc_logic& a );
sc_bitref†<T>& operator^= ( sc_logic_value_t v );
sc_bitref†<T>& operator^= ( bool a );
sc_bitref†<T>& operator^= ( char a );
sc_bitref†<T>& operator^= ( int a );
// Other methods
void scan( std::istream& is = std::cin );
Authorized licensed use limited to: Furkan Tuncer. Downloaded on October 16,2017 at 17:05:54 UTC from IEEE Xplore. Restrictions apply.
IEEE Std 1666-2011
IEEE Standard for Standard SystemC® Language Reference Manual
279
Copyright © 2012 IEEE. All rights reserved.
private:
// Disabled
sc_bitref();
};
} // namespace sc_dt
7.9.7.3 Constraints on usage
Bit-select objects shall only be created using the bit-select operators of an sc_bv_base or sc_lv_base object
(or an instance of a class derived from sc_bv_base or sc_lv_base) or a part-select or concatenation thereof,
as described in 7.2.6.
An application shall not explicitly create an instance of any bit-select class.
An application should not declare a reference or pointer to any bit-select object.
It is strongly recommended that an application avoid the use of a bit-select as the return type of a function
because the lifetime of the object to which the bit-select refers may not extend beyond the function return
statement.
Example:
sc_dt::sc_bitref<sc_bv_base> get_bit_n(sc_bv_base bv, int n) {
return bv[n]; // Unsafe: returned bit-select references local variable
}
7.9.7.4 Assignment operators
Overloaded assignment operators for the lvalue bit-select shall provide conversion to sc_logic_value_t
values. The assignment operator for the rvalue bit-select shall be declared as private to prevent its use by an
application.
7.9.7.5 Implicit type conversion
operator const sc_logic() const;
Operator sc_logic shall create an sc_logic object with the same value as the bit-select.
7.9.7.6 Explicit type conversion
char to_char() const;
Member function to_char shall convert the bit-select value to the char equivalent.
bool to_bool() const;
Member function to_bool shall convert the bit-select value to false or true. It shall be an error to call
this function if the sc_logic value is not logic 0 or logic 1.
bool is_01() const;
Member function is_01 shall return true if the sc_logic value is logic 0 or logic 1; otherwise, the
return value shall be false.
Authorized licensed use limited to: Furkan Tuncer. Downloaded on October 16,2017 at 17:05:54 UTC from IEEE Xplore. Restrictions apply.

IEEE Std 1666-2011
IEEE Standard for Standard SystemC® Language Reference Manual
280
Copyright © 2012 IEEE. All rights reserved.
7.9.7.7 Bitwise and comparison operators
Operations specified in Table 25 are permitted. The following applies:
B represents an object of type sc_bitref_r†<T> (or any derived class).
NOTE—An implementation is required to supply overloaded operators on sc_bitref_r†<T> objects to satisfy the
requirements of this subclause. It is unspecified whether these operators are members of sc_bitref_r†<T>, global
operators, or provided in some other way.
7.9.7.8 Other member functions
void scan( std::istream& is = std::cin );
Member function scan shall set the value of the bit referenced by an lvalue bit-select. The value
shall correspond to the C++ bool value obtained by reading the next formatted character string from
the specified input stream (see 7.2.10).
void print( std::ostream& os = std::cout ) const;
Member function print shall print the value of the bit referenced by the bit-select to the specified
output stream (see 7.2.10). The formatting shall be implementation-defined but shall be equivalent
to printing the value returned by member function to_bool.
int length() const;
Member function length shall unconditionally return a word length of 1 (see 7.2.4).
7.9.8 Part-selects
7.9.8.1 Description
Class template sc_subref_r†<T> represents a part-select from a vector used as an rvalue.
Class template sc_subref†<T> represents a part-select from a vector used as an lvalue.
The use of the term “vector” here includes part-selects and concatenations of bit vectors and logic vectors.
The template parameter is the name of the class accessed by the part-select.
Table 25—sc_bitref_r†<T> bitwise and comparison operations
Expression Return type Operation
B & B const sc_logic sc_bitref_r†<T> bitwise and
B | B const sc_logic sc_bitref_r†<T> bitwise or
B ^ B const sc_logic sc_bitref_r†<T> bitwise exclusive or
B == B bool test equal
B != B bool test not equal
Authorized licensed use limited to: Furkan Tuncer. Downloaded on October 16,2017 at 17:05:54 UTC from IEEE Xplore. Restrictions apply.
IEEE Std 1666-2011
IEEE Standard for Standard SystemC® Language Reference Manual
281
Copyright © 2012 IEEE. All rights reserved.
The set of operations that can be performed on a part-select shall be identical to that of its associated vector
(subject to the constraints that apply to rvalue objects).
7.9.8.2 Class definition
namespace sc_dt {
template <class T>
class sc_subref_r†
{
public:
// Copy constructor
sc_subref_r†( const sc_subref_r†<T>& a );
// Bit selection
sc_bitref_r†<sc_subref_r†<T>> operator[] ( int i ) const;
// Part selection
sc_subref_r†<sc_subref_r†<T>> operator() ( int hi , int lo ) const;
sc_subref_r†<sc_subref_r†<T>> range( int hi , int lo ) const;
// Reduce functions
sc_logic_value_t and_reduce() const;
sc_logic_value_t nand_reduce() const;
sc_logic_value_t or_reduce() const;
sc_logic_value_t nor_reduce() const;
sc_logic_value_t xor_reduce() const;
sc_logic_value_t xnor_reduce() const;
// Common methods
int length() const;
// Explicit conversions to character string
const std::string to_string() const;
const std::string to_string( sc_numrep ) const;
const std::string to_string( sc_numrep , bool ) const;
// Explicit conversions
int to_int() const;
unsigned int to_uint() const;
long to_long() const;
unsigned long to_ulong() const;
int64 to_int64() const;
uint64 to_uint64() const;
bool is_01() const;
// Other methods
void print( std::ostream& os = std::cout ) const;
bool reversed() const;
private:
// Disabled
sc_subref_r†();
Authorized licensed use limited to: Furkan Tuncer. Downloaded on October 16,2017 at 17:05:54 UTC from IEEE Xplore. Restrictions apply.
IEEE Std 1666-2011
IEEE Standard for Standard SystemC® Language Reference Manual
282
Copyright © 2012 IEEE. All rights reserved.
sc_subref_r†<T>& operator= ( const sc_subref_r†<T>& );
};
// -------------------------------------------------------------
template <class T>
class sc_subref†
: public sc_subref_r†<T>
{
public:
// Copy constructor
sc_subref†( const sc_subref†<T>& a );
// Assignment operators
template <class T>
sc_subref†<T>& operator= ( const sc_subref_r†<T>& a );
template <class T1, class T2>
sc_subref†<T>& operator= ( const sc_concref_r†<T1,T2>& a );
sc_subref†<T>& operator= ( const sc_bv_base& a );
sc_subref†<T>& operator= ( const sc_lv_base& a );
sc_subref†<T>& operator= ( const sc_subref_r†<T>& a );
sc_subref†<T>& operator= ( const sc_subref†<T>& a );
sc_subref†<T>& operator= ( const char* a );
sc_subref†<T>& operator= ( const bool* a );
sc_subref†<T>& operator= ( const sc_logic* a );
sc_subref†<T>& operator= ( const sc_unsigned& a );
sc_subref†<T>& operator= ( const sc_signed& a );
sc_subref†<T>& operator= ( const sc_uint_base& a );
sc_subref†<T>& operator= ( const sc_int_base& a );
sc_subref†<T>& operator= ( unsigned long a );
sc_subref†<T>& operator= ( long a );
sc_subref†<T>& operator= ( unsigned int a );
sc_subref†<T>& operator= ( int a );
sc_subref†<T>& operator= ( uint64 a );
sc_subref†<T>& operator= ( int64 a );
// Bitwise rotations
sc_subref†<T>& lrotate( int n );
sc_subref†<T>& rrotate( int n );
// Bitwise reverse
sc_subref†<T>& reverse();
// Bit selection
sc_bitref†<sc_subref†<T>> operator[] ( int i );
// Part selection
sc_subref†<sc_subref†<T>> operator() ( int hi , int lo );
sc_subref†<sc_subref†<T>> range( int hi , int lo );
// Other methods
void scan( std::istream& = std::cin );
Authorized licensed use limited to: Furkan Tuncer. Downloaded on October 16,2017 at 17:05:54 UTC from IEEE Xplore. Restrictions apply.
IEEE Std 1666-2011
IEEE Standard for Standard SystemC® Language Reference Manual
283
Copyright © 2012 IEEE. All rights reserved.
private:
// Disabled
sc_subref†();
};
} // namespace sc_dt
7.9.8.3 Constraints on usage
Part-select objects shall only be created using the part-select operators of an sc_bv_base or sc_lv_base
object (or an instance of a class derived from sc_bv_base or sc_lv_base) or a part-select or concatenation
thereof, as described in 7.2.6.
An application shall not explicitly create an instance of any part-select class.
An application should not declare a reference or pointer to any part-select object.
An rvalue part-select shall not be used to modify the vector with which it is associated.
It is strongly recommended that an application avoid the use of a part-select as the return type of a function
because the lifetime of the object to which the part-select refers may not extend beyond the function return
statement.
Example:
sc_dt::sc_subref<sc_bv_base> get_byte(sc_bv_base bv, int pos) {
return bv(pos+7,pos); // Unsafe: returned part-select references local variable
}
7.9.8.4 Assignment operators
Overloaded assignment operators shall provide conversion from SystemC data types and the native C++
integer representation to lvalue part-selects. If the size of a data type or string literal operand differs from the
part-select word length, truncation or zero-extension shall be used, as described in 7.2.1. If an array of bool
or array of sc_logic is assigned to a part-select and its number of elements is less than the part-select word
length, the value of the part-select shall be undefined.
The default assignment operator for an rvalue part-select is private to prevent its use by an application.
7.9.8.5 Explicit type conversion
const std::string to_string() const;
const std::string to_string( sc_numrep ) const;
const std::string to_string( sc_numrep , bool ) const;
Member function to_string shall convert to an std::string representation, as described in 7.2.11.
Calling the to_string function with a single argument is equivalent to calling the to_string function
with two arguments, where the second argument is true. Attempting to call the single or double
argument to_string function for a part-select with one or more elements set to the high-impedance
or unknown state shall be an error.
Calling the to_string function with no arguments shall create a logic value string with a single '1',
'0', 'Z' , or 'X' corresponding to each bit. This string shall not prefixed by "0b" or a leading zero.
Authorized licensed use limited to: Furkan Tuncer. Downloaded on October 16,2017 at 17:05:54 UTC from IEEE Xplore. Restrictions apply.

IEEE Std 1666-2011
IEEE Standard for Standard SystemC® Language Reference Manual
284
Copyright © 2012 IEEE. All rights reserved.
bool is_01() const;
Member function is_01 shall return true only when every element of a part-select has a value of
logic 0 or logic 1. If any element has the value high-impedance or unknown, it shall return false.
Member functions that return the integer equivalent of the bit representation shall be provided to
satisfy the requirements of 7.2.9. Calling any such integer conversion function for an object having
one or more bits set to the high-impedance or unknown state shall be an error.
7.9.8.6 Bitwise and comparison operators
Operations specified in Table 26 and Table 28 are permitted for all vector part-selects. Operations specified
in Table 27 are permitted for lvalue vector part-selects only. The following applies:
—P represents an lvalue or rvalue vector part-select.
—L represents an lvalue vector part-select.
—Vi represents an object of logic vector type sc_bv_base, sc_lv_base, sc_subref_r†<T>, or
sc_concref_r†<T1,T2>, or integer type int, long, unsigned int, unsigned long, sc_signed,
sc_unsigned, sc_int_base, or sc_uint_base.
—i represents an object of integer type int.
—A represents an array object with elements of type char, bool, or sc_logic.
The operands may also be of any other class that is derived from those just given.
Table 26—sc_subref_r†<T> bitwise operations
Expression Return type Operation
P & Vi const sc_lv_base sc_subref_r†<T> bitwise and
Vi & P const sc_lv_base sc_subref_r†<T> bitwise and
P & A const sc_lv_base sc_subref_r†<T> bitwise and
A & P const sc_lv_base sc_subref_r†<T> bitwise and
P | Vi const sc_lv_base sc_subref_r†<T> bitwise or
Vi | P const sc_lv_base sc_subref_r†<T> bitwise or
P | A const sc_lv_base sc_subref_r†<T> bitwise or
A | P const sc_lv_base sc_subref_r†<T> bitwise or
P ^ Vi const sc_lv_base sc_subref_r†<T> bitwise exclusive or
Vi ^ P const sc_lv_base sc_subref_r†<T> bitwise exclusive or
P ^ A const sc_lv_base sc_subref_r†<T> bitwise exclusive or
A ^ P const sc_lv_base sc_subref_r†<T> bitwise exclusive or
P << i const sc_lv_base sc_subref_r†<T> left-shift
P >> i const sc_lv_base sc_subref_r†<T> right-shift
~P const sc_lv_base sc_subref_r†<T> bitwise complement
Authorized licensed use limited to: Furkan Tuncer. Downloaded on October 16,2017 at 17:05:54 UTC from IEEE Xplore. Restrictions apply.

IEEE Std 1666-2011
IEEE Standard for Standard SystemC® Language Reference Manual
285
Copyright © 2012 IEEE. All rights reserved.
Binary bitwise operators shall return a result with a word length that is equal to the word length of the
longest operand.
The left shift operator shall return a result with a word length that is equal to the word length of its part-
select operand plus the right (integer) operand. Bits added on the right-hand side of the result shall be set to
zero.
The right shift operator shall return a result with a word length that is equal to the word length of its part-
select operand. Bits added on the left-hand side of the result shall be set to zero.
It is an error if the right operand of a shift operator is negative.
sc_subref†<T>& lrotate( int n );
Member function lrotate shall rotate an lvalue part-select n places to the left.
sc_subref†<T>& rrotate( int n );
Member function rrotate shall rotate an lvalue part-select n places to the right.
Table 27—sc_subref†<T> bitwise operations
Expression Return type Operation
L &= Vi sc_subref_r†<T>&sc_subref_r†<T> assign bitwise and
L &= A sc_subref_r†<T>&sc_subref_r†<T> assign bitwise and
L |= Vi sc_subref_r†<T>&sc_subref_r†<T> assign bitwise or
L |= A sc_subref_r†<T>&sc_subref_r†<T> assign bitwise or
L ^= Vi sc_subref_r†<T>&sc_subref_r†<T> assign bitwise exclusive or
L ^= A sc_subref_r†<T>&sc_subref_r†<T> assign bitwise exclusive or
L <<= i sc_subref_r†<T>&sc_subref_r†<T> assign left-shift
L >>= i sc_subref_r†<T>&sc_subref_r†<T> assign right-shift
Table 28—sc_subref_r†<T> comparison operations
Expression Return type Operation
P == Vi bool test equal
Vi == P bool test equal
P == A bool test equal
A == P bool test equal
Authorized licensed use limited to: Furkan Tuncer. Downloaded on October 16,2017 at 17:05:54 UTC from IEEE Xplore. Restrictions apply.
IEEE Std 1666-2011
IEEE Standard for Standard SystemC® Language Reference Manual
286
Copyright © 2012 IEEE. All rights reserved.
sc_subref†<T>& reverse();
Member function reverse shall reverse the bit order in an lvalue part-select.
NOTE—An implementation is required to supply overloaded operators on sc_subref_r†<T> and sc_subref†<T> objects
to satisfy the requirements of this subclause. It is unspecified whether these operators are members of sc_subref†<T>,
members of sc_subref†<T>, global operators, or provided in some other way.
7.9.8.7 Other member functions
void scan( std::istream& is = std::cin );
Member function scan shall set the values of the bits referenced by an lvalue part-select by reading
the next formatted character string from the specified input stream (see 7.2.10).
void print( std::ostream& os = std::cout ) const;
Member function print shall print the values of the bits referenced by the part-select to the specified
output stream (see 7.2.10).
int length() const;
Member function length shall return the word length of the part-select (see 7.2.4).
bool reversed() const;
Member function reversed shall return true if the elements of a part-select are in the reverse order
to those of its associated vector (if the left-hand index used to form the part-select is less than the
right-hand index); otherwise, the return value shall be false.
7.9.9 Concatenations
7.9.9.1 Description
Class template sc_concref_r†<T1,T2> represents a concatenation of bits from one or more vector used as an
rvalue.
Class template sc_concref†<T1,T2> represents a concatenation of bits from one or more vector used as an
lvalue.
The use of the term “vector” here includes part-selects and concatenations of bit vectors and logic vectors.
The template parameters are the class names of the two vectors used to create the concatenation.
The set of operations that can be performed on a concatenation shall be identical to that of its associated
vectors (subject to the constraints that apply to rvalue objects).
7.9.9.2 Class definition
namespace sc_dt {
template <class T1, class T2>
class sc_concref_r†
{
public:
// Copy constructor
sc_concref_r†( const sc_concref_r†<T1,T2>& a );
Authorized licensed use limited to: Furkan Tuncer. Downloaded on October 16,2017 at 17:05:54 UTC from IEEE Xplore. Restrictions apply.
IEEE Std 1666-2011
IEEE Standard for Standard SystemC® Language Reference Manual
287
Copyright © 2012 IEEE. All rights reserved.
// Destructor
virtual ~sc_concref_r†();
// Bit selection
sc_bitref_r†<sc_concref_r†<T1,T2>> operator[] ( int i ) const;
// Part selection
sc_subref_r†<sc_concref_r†<T1,T2>> operator() ( int hi , int lo ) const;
sc_subref_r†<sc_concref_r†<T1,T2>> range( int hi , int lo ) const;
// Reduce functions
sc_logic_value_t and_reduce() const;
sc_logic_value_t nand_reduce() const;
sc_logic_value_t or_reduce() const;
sc_logic_value_t nor_reduce() const;
sc_logic_value_t xor_reduce() const;
sc_logic_value_t xnor_reduce() const;
// Common methods
int length() const;
// Explicit conversions to character string
const std::string to_string() const;
const std::string to_string( sc_numrep ) const;
const std::string to_string( sc_numrep , bool ) const;
// Explicit conversions
int to_int() const;
unsigned int to_uint() const;
long to_long() const;
unsigned long to_ulong() const;
int64 to_int64() const;
uint64 to_uint64() const;
bool is_01() const;
// Other methods
void print( std::ostream& os = std::cout ) const;
private:
// Disabled
sc_concref†();
sc_concref_r†<T1,T2>& operator= ( const sc_concref_r†<T1,T2>& );
};
// -------------------------------------------------------------
template <class T1, class T2>
class sc_concref†
: public sc_concref_r†<T1,T2>
{
public:
// Copy constructor
Authorized licensed use limited to: Furkan Tuncer. Downloaded on October 16,2017 at 17:05:54 UTC from IEEE Xplore. Restrictions apply.
IEEE Std 1666-2011
IEEE Standard for Standard SystemC® Language Reference Manual
288
Copyright © 2012 IEEE. All rights reserved.
sc_concref†( const sc_concref†<T1,T2>& a );
// Assignment operators
template <class T>
sc_concref†<T1,T2>& operator= ( const sc_subref_r†<T>& a );
template <class T1, class T2>
sc_concref†<T1,T2>& operator= ( const sc_concref_r†<T1,T2>& a );
sc_concref†<T1,T2>& operator= ( const sc_bv_base& a );
sc_concref†<T1,T2>& operator= ( const sc_lv_base& a );
sc_concref†<T1,T2>& operator= ( const sc_concref†<T1,T2>& a );
sc_concref†<T1,T2>& operator= ( const char* a );
sc_concref†<T1,T2>& operator= ( const bool* a );
sc_concref†<T1,T2>& operator= ( const sc_logic* a );
sc_concref†<T1,T2>& operator= ( const sc_unsigned& a );
sc_concref†<T1,T2>& operator= ( const sc_signed& a );
sc_concref†<T1,T2>& operator= ( const sc_uint_base& a );
sc_concref†<T1,T2>& operator= ( const sc_int_base& a );
sc_concref†<T1,T2>& operator= ( unsigned long a );
sc_concref†<T1,T2>& operator= ( long a );
sc_concref†<T1,T2>& operator= ( unsigned int a );
sc_concref†<T1,T2>& operator= ( int a );
sc_concref†<T1,T2>& operator= ( uint64 a );
sc_concref†<T1,T2>& operator= ( int64 a );
// Bitwise rotations
sc_concref†<T1,T2>& lrotate( int n );
sc_concref†<T1,T2>& rrotate( int n );
// Bitwise reverse
sc_concref†<T1,T2>& reverse();
// Bit selection
sc_bitref†<sc_concref†<T1,T2>> operator[] ( int i );
// Part selection
sc_subref†<sc_concref†<T1,T2>> operator() ( int hi , int lo );
sc_subref†<sc_concref†<T1,T2>> range( int hi , int lo );
// Other methods
void scan( std::istream& = std::cin );
private:
// Disabled
sc_concref†();
};
// r-value concatenation operators and functions
template <typename C1, typename C2>
sc_concref_r†<C1,C2> operator, ( C1 , C2 );
template <typename C1, typename C2>
sc_concref_r†<C1,C2> concat( C1 , C2 );
Authorized licensed use limited to: Furkan Tuncer. Downloaded on October 16,2017 at 17:05:54 UTC from IEEE Xplore. Restrictions apply.
IEEE Std 1666-2011
IEEE Standard for Standard SystemC® Language Reference Manual
289
Copyright © 2012 IEEE. All rights reserved.
// l-value concatenation operators and functions
template <typename C1, typename C2>
sc_concref†<C1,C2> operator, ( C1 , C2 );
template <typename C1, typename C2>
sc_concref†<C1,C2> concat( C1 , C2 );
} // namespace sc_dt
7.9.9.3 Constraints on usage
Concatenation objects shall only be created using the concat function (or operator,) according to the rules
in 7.2.7. The concatenation arguments shall be objects with a common concatenation base type of
sc_bv_base or sc_lv_base (or an instance of a class derived from sc_bv_base or sc_lv_base) or a part-select
or concatenation of them.
An application shall not explicitly create an instance of any concatenation class.
An application should not declare a reference or pointer to any concatenation object.
An rvalue concatenation shall be created when any argument to the concat function (or operator,) is an
rvalue. An rvalue concatenation shall not be used to modify any vector with which it is associated.
It is strongly recommended that an application avoid the use of a concatenation as the return type of a
function because the lifetime of the objects to which the concatenation refer may not extend beyond the
function return statement.
Example:
sc_dt::sc_concref_r<sc_bv_base,sc_bv_base> pad(sc_bv_base& bv, char pchar) {
const sc_bv<4> padword(pchar); // Unsafe: returned concatenation references
// a non-static local variable (padword)
return concat(bv,padword);
}
7.9.9.4 Assignment operators
Overloaded assignment operators shall provide conversion from SystemC data types and the native C++
integer representation to lvalue concatenations. If the size of a data type or string literal operand differs from
the concatenation word length, truncation or zero-extension shall be used, as described in 7.2.1. If an array
of bool or array of sc_logic is assigned to a concatenation and its number of elements is less than the
concatenation word length, the value of the concatenation shall be undefined.
The default assignment operator for an rvalue concatenation shall be declared as private to prevent its use by
an application.
7.9.9.5 Explicit type conversion
const std::string to_string() const;
const std::string to_string( sc_numrep ) const;
Authorized licensed use limited to: Furkan Tuncer. Downloaded on October 16,2017 at 17:05:54 UTC from IEEE Xplore. Restrictions apply.
IEEE Std 1666-2011
IEEE Standard for Standard SystemC® Language Reference Manual
290
Copyright © 2012 IEEE. All rights reserved.
const std::string to_string( sc_numrep , bool ) const;
Member function to_string shall perform the conversion to an std::string representation, as
described in 7.2.11. Calling the to_string function with a single argument is equivalent to calling the
to_string function with two arguments, where the second argument is true. Attempting to call the
single or double argument to_string function for a concatenation with one or more elements set to
the high-impedance or unknown state shall be an error.
Calling the to_string function with no arguments shall create a logic value string with a single '1',
'0', 'Z', or 'X' corresponding to each bit. This string shall not prefixed by "0b" or a leading zero.
bool is_01() const;
Member function is_01 shall return true only when every element of a concatenation has a value of
logic 0 or logic 1. If any element has the value high-impedance or unknown, it shall return false.
Member functions that return the integer equivalent of the bit representation shall be provided to
satisfy the requirements of 7.2.9. Calling any such integer conversion function for an object having
one or more bits set to the high-impedance or unknown state shall be an error.
7.9.9.6 Bitwise and comparison operators
Operations specified in Table 29 and Table 31 are permitted for all vector concatenations; operations
specified in Table 30 are permitted for lvalue vector concatenations only. The following applies:
—C represents an lvalue or rvalue vector concatenation.
—L represents an lvalue vector concatenation.
—Vi represents an object of logic vector type sc_bv_base, sc_lv_base, sc_subref_r†<T>, or
sc_concref_r†<T1,T2>, or integer type int, long, unsigned int, unsigned long, sc_signed,
sc_unsigned, sc_int_base, or sc_uint_base.
—i represents an object of integer type int.
—A represents an array object with elements of type char, bool, or sc_logic.
The operands may also be of any other class that is derived from those just given.
Binary bitwise operators shall return a result with a word length that is equal to the word length of the
longest operand.
The left shift operator shall return a result with a word length that is equal to the word length of its
concatenation operand plus the right (integer) operand. Bits added on the right-hand side of the result shall
be set to zero.
The right shift operator shall return a result with a word length that is equal to the word length of its
concatenation operand. Bits added on the left-hand side of the result shall be set to zero.
sc_concref†<T1,T2>& lrotate( int n );
Member function lrotate shall rotate an lvalue part-select n places to the left.
sc_concref†<T1,T2>& rrotate( int n );
Member function rrotate shall rotate an lvalue part-select n places to the right.
sc_concref†<T1,T2>& reverse();
Member function reverse shall reverse the bit order in an lvalue part-select.
Authorized licensed use limited to: Furkan Tuncer. Downloaded on October 16,2017 at 17:05:54 UTC from IEEE Xplore. Restrictions apply.

IEEE Std 1666-2011
IEEE Standard for Standard SystemC® Language Reference Manual
291
Copyright © 2012 IEEE. All rights reserved.
Table 29—sc_concref_r†<T1,T2> bitwise operations
Expression Return type Operation
C & Vi const sc_lv_base sc_concref_r†<T1,T2> bitwise and
Vi & C const sc_lv_base sc_concref_r†<T1,T2> bitwise and
C & A const sc_lv_base sc_concref_r†<T1,T2> bitwise and
A & C const sc_lv_base sc_concref_r†<T1,T2> bitwise and
C | Vi const sc_lv_base sc_concref_r†<T1,T2> bitwise or
Vi | C const sc_lv_base sc_concref_r<T1,T2> bitwise or
C | A const sc_lv_base sc_concref_r<T1,T2> bitwise or
A | C const sc_lv_base sc_concref_r<T1,T2> bitwise or
C ^ Vi const sc_lv_base sc_concref_r<T1,T2> bitwise exclusive or
Vi ^ C const sc_lv_base sc_concref_r<T1,T2> bitwise exclusive or
C ^ A const sc_lv_base sc_concref_r<T1,T2> bitwise exclusive or
A ^ C const sc_lv_base sc_concref_r<T1,T2> bitwise exclusive or
C << i const sc_lv_base sc_concref_r<T1,T2> left-shift
C >> i const sc_lv_base sc_concref_r<T1,T2> right-shift
~C const sc_lv_base sc_concref_r<T1,T2> bitwise complement
Table 30—sc_concref†<T1,T2> bitwise operations
Expression Return type Operation
L &= Vi sc_concref†<T1,T2>&sc_concref†<T1,T2> assign bitwise and
L &= A sc_concref†<T1,T2>&sc_concref†<T1,T2> assign bitwise and
L |= Vi sc_concref†<T1,T2>&sc_concref†<T1,T2> assign bitwise or
L |= A sc_concref†<T1,T2>&sc_concref†<T1,T2> assign bitwise or
L ^= Vi sc_concref†<T1,T2>&sc_concref†<T1,T2> assign bitwise exclusive or
L ^= A sc_concref†<T1,T2>&sc_concref†<T1,T2> assign bitwise exclusive or
L <<= i sc_concref†<T1,T2>&sc_concref†<T1,T2> assign left-shift
L >>= i sc_concref†<T1,T2>&sc_concref†<T1,T2> assign right-shift
Authorized licensed use limited to: Furkan Tuncer. Downloaded on October 16,2017 at 17:05:54 UTC from IEEE Xplore. Restrictions apply.

IEEE Std 1666-2011
IEEE Standard for Standard SystemC® Language Reference Manual
292
Copyright © 2012 IEEE. All rights reserved.
NOTE—An implementation is required to supply overloaded operators on sc_concref_r†<T1,T2> and
sc_concref†<T1,T2> objects to satisfy the requirements of this subclause. It is unspecified whether these operators are
members of sc_concref_r†<T1,T2>, members of sc_concref†<T1,T2>, global operators, or provided in some other way.
7.9.9.7 Other member functions
void scan( std::istream& is = std::cin );
Member function scan shall set the values of the bits referenced by an lvalue concatenation by
reading the next formatted character string from the specified input stream (see 7.2.10).
void print( std::ostream& os = std::cout ) const;
Member function print shall print the values of the bits referenced by the concatenation to the
specified output stream (see 7.2.10).
int length() const;
Member function length shall return the word length of the concatenation (see 7.2.4).
7.9.9.8 Function concat and operator,
template <typename C1, typename C2>
sc_concref_r†<C1,C2> operator, ( C1 , C2 );
template <typename C1, typename C2>
sc_concref_r†<C1,C2> concat( C1 , C2 );
template <typename C1, typename C2>
sc_concref†<C1,C2> operator, ( C1 , C2 );
template <typename C1, typename C2>
sc_concref†<C1,C2> concat( C1 , C2 );
Explicit template specializations of function concat and operator, shall be provided for all permitted
concatenations. Attempting to concatenate any two objects that do not have an explicit template
specialization for function concat or operator, defined shall be an error.
A template specialization for rvalue concatenations shall be provided for all combinations of concatenation
argument types C1 and C2. Argument C1 has a type in the following list:
sc_bitref_r†<T>
Table 31—sc_concref_r†<T1,T2> comparison operations
Expression Return type Operation
C == Vi bool test equal
Vi == C bool test equal
C == A bool test equal
A == C bool test equal
Authorized licensed use limited to: Furkan Tuncer. Downloaded on October 16,2017 at 17:05:54 UTC from IEEE Xplore. Restrictions apply.
IEEE Std 1666-2011
IEEE Standard for Standard SystemC® Language Reference Manual
293
Copyright © 2012 IEEE. All rights reserved.
sc_subref_r†<T>
sc_concref_r†<T1,T2>
const sc_bv_base&
const sc_lv_base&
Argument C2 has one of the types just given or a type in the following list:
sc_bitref†<T>
sc_subref†<T>
sc_concref†<T1,T2>
sc_bv_base&
sc_lv_base&
Additional template specializations for rvalue concatenations shall be provided for the cases where a single
argument has type bool, const char*, or const sc_logic&. This argument shall be implicitly converted to an
equivalent single-bit const sc_lv_base object.
A template specialization for lvalue concatenations shall be provided for all combinations of concatenation
argument types C1 and C2, where each argument has a type in the following list:
sc_bitref†<T>
sc_subref†<T>
sc_concref†<T1,T2>
sc_bv_base&
sc_lv_base&
7.10 Fixed-point types
This subclause describes the fixed-point types and the operations and conventions imposed by these types.
7.10.1 Fixed-point representation
In the SystemC binary fixed-point representation, a number shall be represented by a sequence of bits with a
specified position for the binary point. Bits to the left of the binary point shall represent the integer part of
the number, and bits to the right of the binary point shall represent the fractional part of the number.
A SystemC fixed-point type shall be characterized by the following:
— The word length (wl), which shall be the total number of bits in the number representation.
— The integer word length (iwl), which shall be the number of bits in the integer part (the position of
the binary point relative to the left-most bit).
— The bit encoding (which shall be signed, two’s compliment, or unsigned).
The right-most bit of the number shall be the least significant bit (LSB), and the left-most bit shall be the
most significant bit (MSB).
The binary point may be located outside of the data bits. That is, the binary point may be a number of bit
positions to the right of the LSB or it may be a number of bit positions to the left of the MSB.
The fixed-point representation can be interpreted according to the following three cases:
—wl < iwl
There are (iwl-wl) zeros between the LSB and the binary point. See index 1 in Table 32 for an
example of this case.
Authorized licensed use limited to: Furkan Tuncer. Downloaded on October 16,2017 at 17:05:54 UTC from IEEE Xplore. Restrictions apply.

IEEE Std 1666-2011
IEEE Standard for Standard SystemC® Language Reference Manual
294
Copyright © 2012 IEEE. All rights reserved.
—0 <= iwl <= wl
The binary point is contained within the bit representation. See index 2, 3, 4, and 5 in Table 32 for
examples of this case.
—iwl < 0
There are (-iwl) sign-extended bits between the binary point and the MSB. For an unsigned type, the
sign-extended bits are zero. For a signed type, the extended bits repeat the MSB. See index 6 and 7
in Table 32 for examples of this case.
The MSB in the fixed-point representation of a signed type shall be the sign bit. The sign bit may be behind
the binary point.
The range of values for a signed fixed-point format shall be given by the following:
The range of values for a unsigned fixed-point format shall be given by the following:
7.10.2 Fixed-point type conversion
Fixed-point type conversion (conversion of a value to a specific fixed-point representation) shall be
performed whenever a value is assigned to a fixed-point type variable (including initialization).
Table 32—Examples of fixed-point formats
Index wl iwl Fixed-point
representationa
ax is an arbitrary binary digit, 0, or 1. s is a sign-extended digit, 0, or 1.
Range signed Ranged unsigned
1 5 7 xxxxx00. [–64,60] [0,124]
2 5 5 xxxxx. [–16,15] [0,31]
3 5 3 xxx.xx [–4,3.75] [0,7.75]
4 5 1 x.xxxx [–1,0.9375] [0,1.9375]
5 5 0 .xxxxx [–0.5,0.46875] [0,0.96875]
65–2 .ssxxxxx [0.125,0.1171875] [0,0.2421875]
71–1.sx [–0.25,0] [0,0.25]
2– iwl 1–()
f 2 iwl 1–()
2– wl iwl–()–
[, ]
0 2 iwl()
2– wl iwl–()–
[, ]
Authorized licensed use limited to: Furkan Tuncer. Downloaded on October 16,2017 at 17:05:54 UTC from IEEE Xplore. Restrictions apply.
IEEE Std 1666-2011
IEEE Standard for Standard SystemC® Language Reference Manual
295
Copyright © 2012 IEEE. All rights reserved.
If the magnitude of the value is outside the range of the fixed-point representation, or the value has greater
precision than the fixed-point representation provides, it shall be mapped (converted) to a value that can be
represented. This conversion shall be performed in two steps:
a) If the value is within range but has greater precision (it is between representable values),
quantization shall be performed to reduce the precision.
b) If the magnitude of the value is outside the range, overflow handling shall be performed to reduce
the magnitude.
If the target fixed-point representation has greater precision, the additional least significant bits shall be zero
extended. If the target fixed-point representation has a greater range, sign extension or zero extension shall
be performed for signed and unsigned fixed-point types, respectively, to extend the representation of their
most significant bits.
Multiple quantization modes (distinct quantization characteristics) and multiple overflow modes (distinct
overflow characteristics) are defined (see 7.10.9.1 and 7.10.9.9).
7.10.3 Fixed-point data types
This subclause describes the classes that are provided to represent fixed-point values.
7.10.3.1 Finite-precision fixed-point types
The following finite- and variable-precision fixed-point data types shall be provided:
sc_fixed<wl,iwl,q_mode,o_mode,n_bits>
sc_ufixed<wl,iwl,q_mode,o_mode,n_bits>
sc_fix
sc_ufix
sc_fxval
These types shall be parameterized as to the fixed-point representation (wl, iwl) and fixed-point conversion
modes (q_mode, o_mode, n_bits). The declaration of a variable of one of these types shall specify the
values for these parameters. The type parameter values of a variable shall not be modified after the variable
declaration. Any data value assigned to the variable shall be converted to specified representation (with the
specified word length and binary point location) with the specified quantization and overflow processing
(q_mode, o_mode, n_bits) applied if required.
The finite-precision fixed-point types have a common base class sc_fxnum. An application or
implementation shall not directly create an object of type sc_fxnum. A reference or pointer to class
sc_fxnum may be used to access an object of any type derived from sc_fxnum.
The type sc_fxval is a variable-precision type. A variable of type sc_fxval may store a fixed-point value of
arbitrary width and binary point location. A value assigned to a sc_fxval variable shall be stored without a
loss of precision or magnitude (the value shall not be modified by quantization or overflow handling).
Types sc_fixed, sc_fix, and sc_fxval shall have a signed (two’s compliment) representation. Types
sc_ufixed and sc_ufix have an unsigned representation.
A fixed-point variable that is declared without an initial value shall be uninitialized. Uninitialized variables
may be used wherever the use of an initialized variable is permitted. The result of an operation on an
uninitialized variable shall be undefined.
Authorized licensed use limited to: Furkan Tuncer. Downloaded on October 16,2017 at 17:05:54 UTC from IEEE Xplore. Restrictions apply.
IEEE Std 1666-2011
IEEE Standard for Standard SystemC® Language Reference Manual
296
Copyright © 2012 IEEE. All rights reserved.
7.10.3.2 Limited-precision fixed-point types
The following limited-precision versions of the fixed-point types shall be provided:
sc_fixed_fast<wl,iwl,q_mode,o_mode,n_bits>
sc_ufixed_fast<wl,iwl,q_mode,o_mode,n_bits>
sc_fix_fast
sc_ufix_fast
sc_fxval_fast
The limited-precision types shall use the same semantics as the finite-precision fixed-point types. Finite-
precision and limited-precision types may be mixed freely in expressions. A variable of a limited-precision
type shall be a legal replacement in any expression where a variable of the corresponding finite-precision
fixed-point type is expected.
The limited-precision fixed-point value shall be held in an implementation-dependent native C++ floating-
point type. An implementation shall provide a minimum length of 53 bits to represent the mantissa.
NOTE—For bit-true behavior with the limited-precision types, the word length of the result of any operation or
expression should not exceed 53 bits.
7.10.4 Fixed-point expressions and operations
Fixed-point operations shall be performed using variable-precision fixed-point values; that is, the evaluation
of a fixed-point operator shall proceed as follows (except as noted below for specific operators):
— The operands shall be converted (promoted) to variable-precision fixed-point values.
— The operation shall be performed, computing a variable-precision fixed-point result. The result shall
be computed so that there is no loss of precision or magnitude (that is, sufficient bits are computed to
precisely represent the result).
The right-hand side of a fixed-point assignment shall be evaluated as a variable-precision fixed-point value
that is converted to the fixed-point representation specified by the target of the assignment.
If all the operands of a fixed-point operation are limited-precision types, a limited-precision operation shall
be performed. This operation shall use limited variable-precision fixed-point values (sc_fxval_fast), and the
result shall be a limited variable-precision fixed-point value.
The right operand of a fixed-point shift operation (the shift amount) shall be of type int. If a fixed-point shift
operation is called with a fixed-point value for the right operand, the fractional part of the value shall be
truncated (no quantization).
The result of the equality and relational operators shall be type bool.
Fixed-point operands of a bitwise operator shall be of a finite- or limited-precision type (they shall not be
variable precision). Furthermore, both operands of a binary bitwise operator shall have the same sign
representation (both signed or both unsigned). The result of a fixed-point bitwise operation shall be either
sc_fix or sc_ufix (or sc_fix_fast or sc_ufix_fast), depending on the sign representation of the operands. For
binary operators, the two operands shall be aligned at the binary point. The operands shall be temporarily
extended (if necessary) to have the same integer word length and fractional word length. The result shall
have the same integer and fractional word lengths as the temporarily extended operands.
The remainder operator (%) is not supported for fixed-point types.
Authorized licensed use limited to: Furkan Tuncer. Downloaded on October 16,2017 at 17:05:54 UTC from IEEE Xplore. Restrictions apply.

IEEE Std 1666-2011
IEEE Standard for Standard SystemC® Language Reference Manual
297
Copyright © 2012 IEEE. All rights reserved.
The permitted operators are given in Table 33. The following applies:
—A represents a fixed-point object.
—B and C represent appropriate numeric values or objects.
—s1, s2, s3 represent signed finite- or limited-precision fixed-point objects.
—u1, u2, u3 represent unsigned finite- or limited-precision fixed-point objects.
The operands of arithmetic fixed-point operations may be combinations of the types listed in Table 34,
Table 35, Table 36, and Table 37.
The addition operations specified in Table 34 are permitted for finite-precision fixed-point objects. The
following applies:
—F, F1, F2 represent objects derived from type sc_fxnum.
—n represents an object of numeric type int, long, unsigned int, unsigned long, float, double,
sc_signed, sc_unsigned, sc_int_base, sc_uint_base, sc_fxval, or sc_fxval_fast, or an object
derived from sc_fxnum_fast or a numeric string literal.
The operands may also be of any other class that is derived from those just given.
Table 33—Fixed-point arithmetic and bitwise functions
Expression Operation
A = B + C; Addition with assignment
A = B - C; Subtraction with assignment
A = B * C; Multiplication with assignment
A = B / C; Division with assignment
A = B << i; Left shift with assignment
A = B >> i; Right shift with assignment
s1 = s2 & s3; Bitwise and with assignment for signed operands
s1 = s2 | s3; Bitwise or with assignment for signed operands
s1 = s2 ^ s3; Bitwise exclusive-or with assignment for signed operands
u1 = u2 & u3; Bitwise and with assignment for unsigned operands
u1 = u2 | u3; Bitwise or with assignment for unsigned operands
u1 = u2 ^ u3; Bitwise exclusive-or with assignment for unsigned operands
Authorized licensed use limited to: Furkan Tuncer. Downloaded on October 16,2017 at 17:05:54 UTC from IEEE Xplore. Restrictions apply.

IEEE Std 1666-2011
IEEE Standard for Standard SystemC® Language Reference Manual
298
Copyright © 2012 IEEE. All rights reserved.
The addition operations specified in Table 35 are permitted for variable-precision fixed-point objects. The
following applies:
—V, V1, V2 represent objects of type sc_fxval.
—n represents an object of numeric type int, long, unsigned int, unsigned long, float, double,
sc_signed, sc_unsigned, sc_int_base, sc_uint_base, or sc_fxval_fast, or an object derived from
sc_fxnum_fast or a numeric string literal.
The operands may also be of any other class that is derived from those just given.
The addition operations specified in Table 36 are permitted for limited-precision fixed-point objects. The
following applies:
—F, F1, F2 represent objects derived from type sc_fxnum_fast.
—n represents an object of numeric type int, long, unsigned int, unsigned long, float, double,
sc_signed, sc_unsigned, sc_int_base, sc_uint_base, or sc_fxval_fast, or a numeric string literal.
The operands may also be of any other class that is derived from those just given.
The addition operations specified in Table 37 are permitted for limited variable-precision fixed-point
objects. The following applies:
—V, V1, V2 represent objects of type sc_fxval_fast.
Table 34—Finite-precision fixed-point addition operations
Expression Operation
F = F1 + F2; sc_fxnum addition, sc_fxnum assign
F1 += F2; sc_fxnum assign addition
F1 = F2 + n; sc_fxnum addition, sc_fxnum assign
F1 = n + F2; sc_fxnum addition, sc_fxnum assign
F += n; sc_fxnum assign addition
Table 35—Variable-precision fixed-point addition operations
Expression Operation
V = V1 + V2; sc_fxval addition,
sc_fxval assign
V1 += V2; sc_fxval assign addition
V1 = V2 + n; sc_fxval addition,
sc_fxval assign
V1 = n + V2; sc_fxval addition,
sc_fxval assign
V += n; sc_fxval assign addition
Authorized licensed use limited to: Furkan Tuncer. Downloaded on October 16,2017 at 17:05:54 UTC from IEEE Xplore. Restrictions apply.

IEEE Std 1666-2011
IEEE Standard for Standard SystemC® Language Reference Manual
299
Copyright © 2012 IEEE. All rights reserved.
—n represents an object of numeric type int, long, unsigned int, unsigned long, float, double,
sc_signed, sc_unsigned, sc_int_base, or sc_uint_base, or a numeric string literal.
The operands may also be of any other class that is derived from those just given.
Subtraction, multiplication, and division operations are also permitted with the same combinations of
operand types as listed in Table 34, Table 35, Table 36, and Table 37.
7.10.5 Bit and part selection
Bit and part selection shall be supported for the fixed-point types, as described in 7.2.5 and 7.2.6. They are
not supported for the variable-precision fixed-point types sc_fxval or sc_fxval_fast.
If the left-hand index of a part-select is less than the right-hand index, the bit order of the part-select shall be
reversed.
A part-select may be created with an unspecified range (the range function or operator() is called with no
arguments). In this case, the part-select shall have the same word length and same value as its associated
fixed-point object.
Table 36—Limited-precision fixed-point addition operations
Expression Operation
F = F1 + F2; sc_fxnum_fast addition,
sc_fxnum_fast assign
F1 += F2; sc_fxnum_fast assign addition
F1 = F2 + n; sc_fxnum_fast addition,
sc_fxnum_fast assign
F1 = n + F2; sc_fxnum_fast addition,
sc_fxnum_fast assign
F += n; sc_fxnum_fast assign addition
Table 37—Limited variable-precision fixed-point addition operations
Expression Operation
V = V1 + V2; sc_fxval_fast addition,
sc_fxval_fast assign
V1 += V2; sc_fxval_fast assign addition
V1 = V2 + n; sc_fxval_fast addition,
sc_fxval_fast assign
V1 = n + V2; sc_fxval_fast addition,
sc_fxval_fast assign
V += n; sc_fxval_fast assign addition
Authorized licensed use limited to: Furkan Tuncer. Downloaded on October 16,2017 at 17:05:54 UTC from IEEE Xplore. Restrictions apply.

IEEE Std 1666-2011
IEEE Standard for Standard SystemC® Language Reference Manual
300
Copyright © 2012 IEEE. All rights reserved.
7.10.6 Variable-precision fixed-point value limits
In some cases, such as division, using variable precision could lead to infinite word lengths. An
implementation should provide an appropriate mechanism to define the maximum permitted word length of
a variable-precision value and to detect when this maximum word length is reached.
The action taken by an implementation when a variable-precision value reaches its maximum word length is
undefined. The result of any operation that causes a variable-precision value to reach its maximum word
length shall be the implementation-dependent representable value nearest to the ideal (infinite precision)
result.
7.10.7 Fixed-point word length and mode
The default word length, quantization mode, and saturation mode of a fixed-point type shall be set by the
fixed-point type parameter (sc_fxtype_param) in context at the point of construction as described in 7.2.3.
The fixed-point type parameter shall have a field corresponding to the fixed-point representation (wl,.iwl)
and fixed-point conversion modes (q_mode, o_mode, n_bits). Default values for these fields shall be
defined according to Table 38.
The behavior of a fixed-point object in arithmetic operations may be set to emulate that of a floating-point
variable by the floating-point cast switch in context at its point of construction. A floating-point cast switch
shall be brought into context by creating a floating-point cast context object. sc_fxcast_switch and
sc_fxcast_context shall be used to create floating-point cast switches and floating-point cast contexts,
respectively (see 7.11.5 and 7.11.6).
A global floating-point cast context stack shall manage floating-point cast contexts using the same semantics
as the length context stack described in 7.2.3.
A floating-point cast switch may be initialized to the value SC_ON or SC_OFF. These shall cause the
arithmetic behavior to be fixed-point or floating-point, respectively. A default floating-point context with
the value SC_ON shall be defined.
Example:
sc_fxtype_params fxt(32,16);
sc_fxtype_context fcxt(fxt);
sc_fix A,B,res; // wl = 32, iwl = 16
Table 38—Built-in default values
Parameter Value
wl 32
iwl 32
q_mode SC_TRN
o_mode SC_WRAP
n_bits 0
Authorized licensed use limited to: Furkan Tuncer. Downloaded on October 16,2017 at 17:05:54 UTC from IEEE Xplore. Restrictions apply.
IEEE Std 1666-2011
IEEE Standard for Standard SystemC® Language Reference Manual
301
Copyright © 2012 IEEE. All rights reserved.
A = 10.0;
B = 0.1;
res = A * B; // res = .999908447265625
sc_fxcast_switch fxs(SC_OFF);
sc_fxcast_context fccxt(fxs);
sc_fix C,D; // Floating-point behavior
C = 10.0;
D = 0.1;
res = C * D; // res = 1
7.10.7.1 Reading parameter settings
The following functions are defined for every finite-precision fixed-point object and limited-precision fixed-
point object and shall return its current parameter settings (at runtime).
const sc_fxcast_switch& cast_switch() const;
Member function cast_switch shall return the cast switch parameter.
int iwl() const;
Member function iwl shall return the integer word-length parameter.
int n_bits() const;
Member function n_bits shall return the number of saturated bits parameter.
sc_o_mode o_mode() const;
Member function o_mode shall return the overflow mode parameter using the enumerated type
sc_o_mode, defined as follows:
enum sc_o_mode
{
SC_SAT, // Saturation
SC_SAT_ZERO, // Saturation to zero
SC_SAT_SYM, // Symmetrical saturation
SC_WRAP, // Wrap-around (*)
SC_WRAP_SM // Sign magnitude wrap-around (*)
};
sc_q_mode q_mode() const;
Member function q_mode shall return the quantization mode parameter using the enumerated type
sc_q_mode, defined as follows:
enum sc_q_mode
{
SC_RND, // Rounding to plus infinity
SC_RND_ZERO, // Rounding to zero
SC_RND_MIN_INF, // Rounding to minus infinity
SC_RND_INF, // Rounding to infinity
Authorized licensed use limited to: Furkan Tuncer. Downloaded on October 16,2017 at 17:05:54 UTC from IEEE Xplore. Restrictions apply.
IEEE Std 1666-2011
IEEE Standard for Standard SystemC® Language Reference Manual
302
Copyright © 2012 IEEE. All rights reserved.
SC_RND_CONV, // Convergent rounding
SC_TRN, // Truncation
SC_TRN_ZERO // Truncation to zero
};
const sc_fxtype_params& type_params() const;
Member function type_params shall return the type parameters.
int wl() const;
Member function wl shall return the total word-length parameter.
7.10.7.2 Value attributes
The following functions are defined for every fixed-point object and shall return its current value attributes.
bool is_neg() const;
Member function is_neg shall return true if the object holds a negative value; otherwise, the return
value shall be false.
bool is_zero() const;
Member function is_zero shall return true if the object holds a zero value; otherwise, the return
value shall be false.
bool overflow_flag() const;
Member function overflow_flag shall return true if the last write action on this objects caused
overflow; otherwise, the return value shall be false.
bool quantization_flag() const;
Member function quantization_flag shall return true if the last write action on this object caused
quantization; otherwise, the return value shall be false.
The following function is defined for every finite-precision fixed-point object and shall return its current
value:
const sc_fxval value() const;
The following function is defined for every limited-precision fixed-point object and shall return its current
value:
const sc_fxval_fast value() const;
7.10.8 Conversions to character string
Conversion to character string of the fixed-point types shall be supported by the to_string method, as
described in 7.3.
Authorized licensed use limited to: Furkan Tuncer. Downloaded on October 16,2017 at 17:05:54 UTC from IEEE Xplore. Restrictions apply.

IEEE Std 1666-2011
IEEE Standard for Standard SystemC® Language Reference Manual
303
Copyright © 2012 IEEE. All rights reserved.
The to_string method for fixed-point types may be called with an additional argument to specify the string
format. This argument shall be of enumerated type sc_fmt and shall always be at the right-hand side of the
argument list.
enum sc_fmt { SC_F, SC_E };
The default value for fmt shall be SC_F for the finite- and limited-precision fixed-point types. For types
sc_fxval and sc_fxval_fast, the default value for fmt shall be SC_E.
The selected format shall give different character strings only when the binary point is not located within the
wl bits. In that case, either sign extension (MSB side) or zero extension (LSB side) shall be done (SC_F
format), or exponents shall be used (SC_E format).
In conversion to SC_DEC number representation or conversion from a variable-precision variable, only
those characters necessary to represent the value uniquely shall be generated. In converting the value of a
finite- or limited-precision variable to a binary, octal, or hex representation, the number of characters used
shall be determined by the integer and fractional widths (iwl, fwl) of the variable (with sign or zero
extension as needed).
Example:
sc_fixed<7,4> a = –1.5;
a.to_string(SC_DEC); // –1.5
a.to_string(SC_BIN); // 0b1110.100
sc_fxval b = –1.5;
b.to_string(SC_BIN); // 0b10.1
sc_fixed<4,6> c = 20;
c.to_string(SC_BIN,false,SC_F); // 010100
c.to_string(SC_BIN,false,SC_E); // 0101e+2
7.10.8.1 String shortcut methods
Four shortcut methods to the to_string method shall be provided for frequently used combinations of
arguments. The shortcut methods are listed in Table 39.
The shortcut methods shall use the default string formatting.
Table 39—Shortcut methods
Shortcut method Number representation
to_dec() SC_DEC
to_bin() SC_BIN
to_oct() SC_OCT
to_hex() SC_HEX
Authorized licensed use limited to: Furkan Tuncer. Downloaded on October 16,2017 at 17:05:54 UTC from IEEE Xplore. Restrictions apply.

IEEE Std 1666-2011
IEEE Standard for Standard SystemC® Language Reference Manual
304
Copyright © 2012 IEEE. All rights reserved.
Example:
sc_fixed<4,2> a = –1;
a.to_dec(); // Returns std::string with value "-1"
a.to_bin(); // Returns std::string with value "0b11.00"
7.10.8.2 Bit-pattern string conversion
Bit-pattern strings may be assigned to fixed-point part-selects. The result of assigning a bit-pattern string to
a fixed-point object (except using a part-select) is undefined.
If the number of characters in the bit-pattern string is less than the part-select word length, the string shall be
zero extended at its left-hand side to the part-select word length.
7.10.9 Finite word-length effects
The following subclauses describe the overflow and quantization modes of SystemC.
7.10.9.1 Overflow modes
Overflow shall occur when the magnitude of a value being assigned to a limited-precision variable exceeds
the fixed-point representation. In SystemC, specific overflow modes shall be available to control the
mapping to a representable value.
The mutually exclusive overflow modes listed in Table 40 shall be provided. The default overflow mode
shall be SC_WRAP. When using a wrap-around overflow mode, the number of saturated bits (n_bits) shall
by default be set to 0 but can be modified.
In the following subclauses, each overflow mode is explained in more detail. A figure is given to explain the
behavior graphically. The x axis shows the input values, and the y axis represents the output values.
Together they determine the overflow mode.
To facilitate the explanation of each overflow mode, the concepts MIN and MAX are used:
— In the case of signed representation, MIN is the lowest (negative) number that may be represented;
MAX is the highest (positive) number that may be represented with a certain number of bits. A value
x shall lie in the range:
–2n–1 (= MIN) <= x <= (2n–1 – 1) (= MAX)
Table 40—Overflow modes
Overflow mode Name
Saturation SC_SAT
Saturation to zero SC_SAT_ZERO
Symmetrical saturation SC_SAT_SYM
Wrap-arounda
aWith 0 or n_bits saturated bits (n_bits > 0). The default value for n_bits
is 0.
SC_WRAP
Sign magnitude wrap-aroundaSC_WRAP_SM
Authorized licensed use limited to: Furkan Tuncer. Downloaded on October 16,2017 at 17:05:54 UTC from IEEE Xplore. Restrictions apply.

IEEE Std 1666-2011
IEEE Standard for Standard SystemC® Language Reference Manual
305
Copyright © 2012 IEEE. All rights reserved.
where n indicates the number of bits.
— In the case of unsigned representation, MIN shall equal 0 and MAX shall equal 2n – 1, where n
indicates the number of bits.
7.10.9.2 Overflow for signed fixed-point numbers
The following template contains a signed fixed-point number before and after an overflow mode has been
applied and a number of flags. The flags are explained below the template. The flags between parentheses
indicate the additional optional properties of a bit.
The following flags and symbols are used in the template just given and in Table 41:
—x represents a binary digit (0 or 1).
—sD represents a sign bit before overflow handling.
—D represents deleted bits.
—lD represents the least significant deleted bit.
—sR represents the bit on the MSB position of the result number. For the SC_WRAP_SM, 0 and
SC_WRAP_SM, 1 modes, a distinction is made between the original value (sRo) and the new value
(sRn) of this bit.
—N represents the saturated bits. Their number is equal to the n_bits argument minus 1. They are
always taken after the sign bit of the result number. The n_bits argument is only taken into account
for the SC_WRAP and SC_WRAP_SM overflow modes.
—lN represents the least significant saturated bit. This flag is only relevant for the SC_WRAP and
SC_WRAP_SM overflow modes. For the other overflow modes, these bits are treated as R-bits. For
the SC_WRAP_SM, n_bits > 1 mode, lNo represents the original value of this bit.
—R represents the remaining bits.
—lR represents the least significant remaining bit.
Overflow shall occur when the value of at least one of the deleted bits (sD, D, lD) is not equal to the original
value of the bit on the MSB position of the result (sRo).
Table 41 shows how a signed fixed-point number shall be cast (in case there is an overflow) for each of the
possible overflow modes. The operators used in the table are “!” for a bitwise negation and “^” for a bitwise
exclusive-OR.
xxxxxxxxxx xxxx
xxxxxxxxx x
sD DDDlDsRR(N)R(IN)RRRRRRRRlR
xx x
xx
Before
After:
Flags:
Authorized licensed use limited to: Furkan Tuncer. Downloaded on October 16,2017 at 17:05:54 UTC from IEEE Xplore. Restrictions apply.

IEEE Std 1666-2011
IEEE Standard for Standard SystemC® Language Reference Manual
306
Copyright © 2012 IEEE. All rights reserved.
Table 41—Overflow handling for signed fixed-point numbers
Overflow mode Result
Sign bit (sR) Saturated bits (N, lN) Remaining bits (R, lR)
SC_SAT sD ! sD
The result number gets the sign bit of the original number. The remaining bits shall get
the inverse value of the sign bit.
SC_SAT_ZERO 0 0
All bits shall be set to zero.
SC_SAT_SYM sD ! sD,
The result number shall get the sign bit of the original number. The remaining bits shall
get the inverse value of the sign bit, except the least significant remaining bit, which
shall be set to one.
SC_WRAP, (n_bits =) 0 sR x
All bits except for the deleted bits shall be copied to the result.
SC_WRAP, (n_bits =) 1 sD x
The result number shall get the sign bit of the original number. The remaining bits shall
be copied from the original number.
SC_WRAP, n_bits > 1 sD ! sD x
The result number shall get the sign bit of the original number. The saturated bits shall
get the inverse value of the sign bit of the original number. The remaining bits shall be
copied from the original number.
SC_WRAP_SM,
(n_bits =) 0
lD x ^ sRo ^ sRn
The sign bit of the result number shall get the value of the least significant deleted bit.
The remaining bits shall be XORed with the original and the new value of the sign bit
of the result.
SC_WRAP_SM,
(n_bits =) 1
sD x ^ sRo ^ sRn
The result number shall get the sign bit of the original number. The remaining bits shall
be XORed with the original and the new value of the sign bit of the result.
SC_WRAP_SM,
n_bits > 1
sD ! sD x ^INo ^ ! sD
The result number shall get the sign bit of the original number. The saturated bits shall
get the inverse value of the sign bit of the original number. The remaining bits shall be
XORed with the original value of the least significant saturated bit and the inverse
value of the original sign bit.
Authorized licensed use limited to: Furkan Tuncer. Downloaded on October 16,2017 at 17:05:54 UTC from IEEE Xplore. Restrictions apply.

IEEE Std 1666-2011
IEEE Standard for Standard SystemC® Language Reference Manual
307
Copyright © 2012 IEEE. All rights reserved.
7.10.9.3 Overflow for unsigned fixed-point numbers
The following template contains an unsigned fixed-point number before and after an overflow mode has
been applied and a number of flags. The flags are explained below the template.
The following flags and symbols are used in the template just given and in Table 42:
—x represents an binary digit (0 or 1).
—D represents deleted bits.
—lD represents the least significant deleted bit.
—N represents the saturated bits. Their number is equal to the n_bits argument. The n_bits argument is
only taken into account for the SC_WRAP and SC_WRAP_SM overflow modes.
—R represents the remaining bits.
Table 42 shows how an unsigned fixed-point number shall be cast in case there is an overflow for each of
the possible overflow modes.
Table 42—Overflow handling for unsigned fixed-point numbers
Overflow mode Result
Saturated bits (N) Remaining bits (R)
SC_SAT 1 (overflow) 0 (underflow)
The remaining bits shall be set to 1 (overflow) or 0 (underflow).
SC_SAT_ZERO 0
The remaining bits shall be set to 0.
SC_SAT_SYM 1 (overflow) 0 (underflow)
The remaining bits shall be set to 1 (overflow) or 0 (underflow).
SC_WRAP, (n_bits =) 0 x
All bits except for the deleted bits shall be copied to the result
number.
SC_WRAP, n_bits > 0 1 x
The saturated bits of the result number shall be set to 1. The
remaining bits shall be copied to the result.
SC_WRAP_SM Not defined for unsigned numbers.
xxxxxxxxxx xxxx
xxxxxxxxx x
DDDDlDR(N)R(N)R(IN)RRRRRRRRR
xx x
xx
Before
After:
Flags:
Authorized licensed use limited to: Furkan Tuncer. Downloaded on October 16,2017 at 17:05:54 UTC from IEEE Xplore. Restrictions apply.

IEEE Std 1666-2011
IEEE Standard for Standard SystemC® Language Reference Manual
308
Copyright © 2012 IEEE. All rights reserved.
During the conversion from signed to unsigned, sign extension shall occur before overflow handling, while
in the unsigned to signed conversion, zero extension shall occur first.
7.10.9.4 SC_SAT
The SC_SAT overflow mode shall be used to indicate that the output is saturated to MAX in case of
overflow, or to MIN in the case of negative overflow. Figure 2 illustrates the SC_SAT overflow mode for a
word length of three bits. The x axis represents the word length before rounding; the y axis represents the
word length after rounding. The ideal situation is represented by the diagonal dashed line.
Figure 2—Saturation for signed numbers
Examples (signed, 3-bit number):
before saturation: 0110 (6)
after saturation: 011 (3)
There is an overflow because the decimal number 6 is outside the range of values that can be
represented exactly by means of three bits. The result is then rounded to the highest positive
representable number, which is 3.
before saturation: 1011 (–5)
after saturation: 100 (–4)
There is an overflow because the decimal number –5 is outside the range of values that can be
represented exactly by means of three bits. The result is then rounded to the lowest negative
representable number, which is –4.
Example (unsigned, 3-bit number):
before saturation: 01110 (14)
after saturation: 111 (7)
The SC_SAT mode corresponds to the SC_WRAP and SC_WRAP_SM modes with the
number of bits to be saturated equal to the number of kept bits.
1
1
2345 6
2
3
4
5
-1
-2
-3
-4
-5
-1
-2-3-4-5-6
x
y
Authorized licensed use limited to: Furkan Tuncer. Downloaded on October 16,2017 at 17:05:54 UTC from IEEE Xplore. Restrictions apply.

IEEE Std 1666-2011
IEEE Standard for Standard SystemC® Language Reference Manual
309
Copyright © 2012 IEEE. All rights reserved.
7.10.9.5 SC_SAT_ZERO
The SC_SAT_ZERO overflow mode shall be used to indicate that the output is forced to zero in case of an
overflow, that is, if MAX or MIN is exceeded. Figure 3 illustrates the SC_SAT_ZERO overflow mode for a
word length of three bits. The x axis represents the word length before rounding; the y axis represents the
word length after rounding.
Figure 3—Saturation to zero for signed numbers
Examples (signed, 3-bit number):
before saturation to zero: 0110 (6)
after saturation to zero: 000 (0)
There is an overflow because the decimal number 6 is outside the range of values that can be
represented exactly by means of three bits. The result is saturated to zero.
before saturation to zero: 1011 (–5)
after saturation to zero: 000 (0)
There is an overflow because the decimal number –5 is outside the range of values that can be
represented exactly by means of three bits. The result is saturated to zero.
Example (unsigned, 3-bit number):
before saturation to zero: 01110 (14)
after saturation to zero: 000 (0)
7.10.9.6 SC_SAT_SYM
The SC_SAT_SYM overflow mode shall be used to indicate that the output is saturated to MAX in case of
overflow, to –MAX (signed) or MIN (unsigned) in the case of negative overflow. Figure 4 illustrates the
SC_SAT_SYM overflow mode for a word length of three bits. The x axis represents the word length before
rounding; the y axis represents the word length after rounding. The ideal situation is represented by the
diagonal dashed line.
1
1
2345 6
2
3
4
5
-1
-2
-3
-4
-5
-1
-2-3-4-5-6
x
y
Authorized licensed use limited to: Furkan Tuncer. Downloaded on October 16,2017 at 17:05:54 UTC from IEEE Xplore. Restrictions apply.

IEEE Std 1666-2011
IEEE Standard for Standard SystemC® Language Reference Manual
310
Copyright © 2012 IEEE. All rights reserved.
Figure 4—Symmetrical saturation for signed numbers
Examples (signed, 3-bit number):
after symmetrical saturation: 0110 (6)
after symmetrical saturation: 011 (3)
There is an overflow because the decimal number 6 is outside the range of values that can be
represented exactly by means of three bits. The result is then rounded to the highest positive
representable number, which is 3.
after symmetrical saturation: 1011 (–5)
after symmetrical saturation: 101 (–3)
There is an overflow because the decimal number –5 is outside the range of values that can be
represented exactly by means of three bits. The result is then rounded to minus the highest
positive representable number, which is –3.
Example (unsigned, 3-bit number):
after symmetrical saturation: 01110 (14)
after symmetrical saturation: 111 (7)
7.10.9.7 SC_WRAP
The SC_WRAP overflow mode shall be used to indicate that the output is wrapped around in the case of
overflow.
Two different cases are possible:
— SC_WRAP with parameter n_bits = 0
— SC_WRAP with parameter n_bits > 0
1
1
2345 6
2
3
4
5
-1
-2
-3
-4
-5
-1
-2-3-4-5-6
x
y
Authorized licensed use limited to: Furkan Tuncer. Downloaded on October 16,2017 at 17:05:54 UTC from IEEE Xplore. Restrictions apply.

IEEE Std 1666-2011
IEEE Standard for Standard SystemC® Language Reference Manual
311
Copyright © 2012 IEEE. All rights reserved.
SC_WRAP, 0
This shall be the default overflow mode. All bits except for the deleted bits shall be copied to the result
number. Figure 5 illustrates the SC_WRAP overflow mode for a word length of three bits with the n_bits
parameter set to 0. The x axis represents the word length before rounding; the y axis represents the word
length after rounding.
Figure 5—Wrap-around with n_bits = 0 for signed numbers
Examples (signed, 3-bit number):
before wrapping around with 0 bits: 0100 (4)
after wrapping around with 0 bits: 100 (–4)
There is an overflow because the decimal number 4 is outside the range of values that can be
represented exactly by means of three bits. The MSB is truncated, and the result becomes
negative: –4.
before wrapping around with 0 bits: 1011 (–5)
after wrapping around with 0 bits: 011 (3)
There is an overflow because the decimal number –5 is outside the range of values that can be
represented exactly by means of three bits. The MSB is truncated, and the result becomes
positive: 3.
Example (unsigned, 3-bit number):
before wrapping around with 0 bits: 11011 (27)
after wrapping around with 0 bits: 011 (3)
SC_WRAP, n_bits > 0: SC_WRAP, 1
Whenever n_bits is greater than 0, the specified number of bits on the MSB side of the result shall be
saturated with preservation of the original sign; the other bits shall be copied from the original. Positive
numbers shall remain positive; negative numbers shall remain negative. Figure 6 illustrates the SC_WRAP
overflow mode for a word length of three bits with the n_bits parameter set to 1. The x axis represents the
word length before rounding; the y axis represents the word length after rounding.
1
1
2345 6
2
3
4
5
-1
-2
-3
-4
-5
-1
-2-3-4-5-6
x
y
78 9
-7-8-9
Authorized licensed use limited to: Furkan Tuncer. Downloaded on October 16,2017 at 17:05:54 UTC from IEEE Xplore. Restrictions apply.

IEEE Std 1666-2011
IEEE Standard for Standard SystemC® Language Reference Manual
312
Copyright © 2012 IEEE. All rights reserved.
Figure 6—Wrap-around with n_bits = 1 for signed numbers
Examples (signed, 3-bit number):
before wrapping around with 1 bit: 0101 (5)
after wrapping around with 1 bit: 001 (1)
There is an overflow because the decimal number 5 is outside the range of values that can be
represented exactly by means of three bits. The sign bit is kept, so that positive numbers remain
positive.
before wrapping around with 1 bit: 1011 (–5)
after wrapping around with 1 bit: 111 (–1)
There is an overflow because the decimal number –5 is outside the range of values that can be
represented exactly by means of three bits. The MSB is truncated, but the sign bit is kept, so
that negative numbers remain negative.
Example (unsigned, 5-bit number):
before wrapping around with 3 bits: 0110010 (50)
after wrapping around with 3 bits: 11110 (30)
For this example the SC_WRAP, 3 mode is applied. The result number is five bits wide. The
three bits at the MSB side are set to 1; the remaining bits are copied.
7.10.9.8 SC_WRAP_SM
The SC_WRAP_SM overflow mode shall be used to indicate that the output is sign-magnitude wrapped
around in the case of overflow. The n_bits parameter shall indicate the number of bits (for example, 1) on
the MSB side of the cast number that are saturated with preservation of the original sign.
Two different cases are possible:
— SC_WRAP_SM with parameter n_bits = 0
— SC_WRAP_SM with parameter n_bits > 0
1
1
2345 6
2
3
4
5
-1
-2
-3
-4
-5
-1
-2-3-4-5-6
x
y
78 9
-7-8-9
Authorized licensed use limited to: Furkan Tuncer. Downloaded on October 16,2017 at 17:05:54 UTC from IEEE Xplore. Restrictions apply.

IEEE Std 1666-2011
IEEE Standard for Standard SystemC® Language Reference Manual
313
Copyright © 2012 IEEE. All rights reserved.
SC_WRAP_SM, 0
The MSBs outside the required word length shall be deleted. The sign bit of the result shall get the value of
the least significant of the deleted bits. The other bits shall be inverted in case where the original and the new
values of the most significant of the kept bits differ. Otherwise, the other bits shall be copied from the
original to the result.
Figure 7—Sign magnitude wrap-around with n_bits = 0
Example:
The sequence of operations to cast a decimal number 4 into three bits and use the overflow mode
SC_WRAP_SM, 0, as shown in Figure 7, is as follows:
0100 (4)
The original representation is truncated to be put in a three-bit number:
100 (-4)
The new sign bit is 0. This is the value of least significant deleted bit.
Because the original and the new value of the new sign bit differ, the values of the remaining bits are
inverted:
011 (3)
This principle shall be applied to all numbers that cannot be represented exactly by means of three
bits, as shown in Table 43.
SC_WRAP_SM, n_bits > 0
The first n_bits bits on the MSB side of the result number shall be as follows:
— Saturated to MAX in case of a positive number
— Saturated to MIN in case of a negative number
All numbers shall retain their sign.
1
1
2345 6
2
3
4
5
-1
-2
-3
-4
-5
-1
-2-3-4-5-6
x
y
78 9
-7-8-9
Authorized licensed use limited to: Furkan Tuncer. Downloaded on October 16,2017 at 17:05:54 UTC from IEEE Xplore. Restrictions apply.

IEEE Std 1666-2011
IEEE Standard for Standard SystemC® Language Reference Manual
314
Copyright © 2012 IEEE. All rights reserved.
In case where n_bits equals 1, the other bits shall be copied and XORed with the original and the new value
of the sign bit of the result. In the case where n_bits is greater than 1, the remaining bits shall be XORed with
the original value of the least significant saturated bit and the inverse value of the original sign bit.
Example:
SC_WRAP_SM, n_bits > 0: SC_WRAP_SM, 3
The first three bits on the MSB side of the cast number are saturated to MAX or MIN.
If the decimal number 234 is cast into five bits using the overflow mode SC_WRAP_SM, 3, the following
happens:
011101010 (234)
The original representation is truncated to five bits:
01010
The original sign bit is copied to the new MSB (bit position 4, starting from bit position 0):
01010
Table 43—Sign magnitude wrap-around with n_bits = 0 for a three-bit number
Decimal Binary
8 111
7 000
6 001
5 010
4 011
3 011
2 010
1 001
0 000
–1 111
–2 110
–3 101
–4 100
–5 100
–6 101
–7 110
Authorized licensed use limited to: Furkan Tuncer. Downloaded on October 16,2017 at 17:05:54 UTC from IEEE Xplore. Restrictions apply.

IEEE Std 1666-2011
IEEE Standard for Standard SystemC® Language Reference Manual
315
Copyright © 2012 IEEE. All rights reserved.
The bits at position 2, 3, and 4 are saturated; they are converted to the maximum value that can be expressed
with three bits without changing the sign bit:
01110
The original value of the bit on position 2 was 0. The remaining bits at the LSB side (10) are XORed with
this value and with the inverse value of the original sign bit, that is, with 0 and 1, respectively.
01101 (13)
Example:
SC_WRAP_SM, n_bits > 0: SC_WRAP_SM, 1
The first bit on the MSB side of the cast number gets the value of the original sign bit. The other bits are
copied and XORed with the original and the new value of the sign bit of the result number.
Figure 8—Sign magnitude wrap-around with n_bits = 1
The sequence of operations to cast the decimal number 12 into three bits using the overflow mode
SC_WRAP_SM, 1, as shown in Figure 8, is as follows:
01100 (12)
The original representation is truncated to three bits.
100
The original sign bit is copied to the new MSB (bit position 2, starting from bit position 0).
000
The two remaining bits at the LSB side are XORed with the original (1) and the new value (0) of the new
sign bit.
011
This principle shall be applied to all numbers that cannot be represented exactly by means of three bits, as
shown in Table 44.
1
1
2345 6
2
3
4
5
-1
-2
-3
-4
-5
-1
-2-3-4-5-6
x
y
78 9
-7-8-9
Authorized licensed use limited to: Furkan Tuncer. Downloaded on October 16,2017 at 17:05:54 UTC from IEEE Xplore. Restrictions apply.

IEEE Std 1666-2011
IEEE Standard for Standard SystemC® Language Reference Manual
316
Copyright © 2012 IEEE. All rights reserved.
7.10.9.9 Quantization modes
Quantization shall be applied when the precision of the value assigned to a fixed-point variable exceeds the
precision of the fixed-point variable. In SystemC, specific quantization modes shall be available to control
the mapping to a representable value.
The mutually exclusive quantization modes listed in Table 45 shall be provided. The default quantization
mode shall be SC_TRN.
Table 44—Sign-magnitude wrap-around with n_bits=1 for a three-bit number
Decimal Binary
9 001
8 000
7 000
6 001
5 010
4 011
3 011
2 010
1 001
0 000
–1 111
–2 110
–3 101
–4 100
–5 100
–6 101
–7 110
–8 111
–9 111
Authorized licensed use limited to: Furkan Tuncer. Downloaded on October 16,2017 at 17:05:54 UTC from IEEE Xplore. Restrictions apply.

IEEE Std 1666-2011
IEEE Standard for Standard SystemC® Language Reference Manual
317
Copyright © 2012 IEEE. All rights reserved.
Quantization is the mapping of a value that may not be precisely represented in a specific fixed-point
representation to a value that can be represented with arbitrary magnitude. If a value can be precisely
represented, quantization shall not change the value. All the rounding modes shall map a value to the nearest
value that is representable. When there are two nearest representable values (the value is halfway between
them), the rounding modes shall provide different criteria for selection between the two. Both truncate
modes shall map a positive value to the nearest representable value that is less than the value. SC_TRN
mode shall map a negative value to the nearest representable value that is less than the value, while
SC_TRN_ZERO shall map a negative value to the nearest representable value that is greater than the value.
Each of the following quantization modes is followed by a figure. The input values are given on the x axis
and the output values on the y axis. Together they determine the quantization mode. In each figure, the
quantization mode specified by the respective keyword is combined with the ideal characteristic. This ideal
characteristic is represented by the diagonal dashed line.
Before each quantization mode is discussed in detail, an overview is given of how the different quantization
modes deal with quantization for signed and unsigned fixed-point numbers.
7.10.9.10 Quantization for signed fixed-point numbers
The following template contains a signed fixed-point number in two’s complement representation before
and after a quantization mode has been applied, and a number of flags. The flags are explained below the
template.
The following flags and symbols are used in the template just given and in Table 46:
—x represents a binary digit (0 or 1).
—sR represents a sign bit.
—R represents the remaining bits.
—lR represents the least significant remaining bit.
Table 45—Quantization modes
Quantization mode Name
Rounding to plus infinity SC_RND
Rounding to zero SC_RND_ZERO
Rounding to minus infinity SC_RND_MIN_INF
Rounding to infinity SC_RND_INF
Convergent rounding SC_RND_CONV
Truncation SC_TRN
Truncation to zero SC_TRN_ZERO
xxxxxxxxxx xxx
xxxxxxxx
sR RRRRRRRlRmDDDDDD
xx
x
Before
After:
Flags:
Authorized licensed use limited to: Furkan Tuncer. Downloaded on October 16,2017 at 17:05:54 UTC from IEEE Xplore. Restrictions apply.

IEEE Std 1666-2011
IEEE Standard for Standard SystemC® Language Reference Manual
318
Copyright © 2012 IEEE. All rights reserved.
—mD represents the most significant deleted bit.
—D represents the deleted bits.
—r represents the logical or of the deleted bits except for the mD bit in the template just given. When
there are no remaining bits, r is false. This means that r is false when the two nearest numbers are at
equal distance.
Table 46 shows how a signed fixed-point number shall be cast for each of the possible quantization modes in
cases where there is quantization. If the two nearest representable numbers are not at equal distance, the
result shall be the nearest representable number. This shall be found by applying the SC_RND mode, that is,
by adding the most significant of the deleted bits to the remaining bits.
The second column in Table 46 contains the expression that shall be added to the remaining bits. It shall
evaluate to a one or a zero. The operators used in the table are “!” for a bitwise negation, “|” for a bitwise
OR, and “&” for a bitwise AND.
Table 46—Quantization handling for signed fixed-point numbers
Quantization mode Expression to be added
SC_RND mD
Add the most significant deleted bit to the remaining bits.
SC_RND_ZERO mD & (sR | r)
If the most significant deleted bit is 1 and either the sign bit or at least one
other deleted bit is 1, add 1 to the remaining bits.
SC_RND_MIN_INF mD & r
If the most significant deleted bit is 1 and at least one other deleted bit is 1,
add 1 to the remaining bits.
SC_RND_INF mD & (! sR | r)
If the most significant deleted bit is 1 and either the inverted value of the
sign bit or at least one other deleted bit is 1, add 1 to the remaining bits.
SC_RND_CONV mD & (lR | r)
If the most significant deleted bit is 1 and either the least significant of the
remaining bits or at least one other deleted bit is 1, add 1 to the remaining
bits.
SC_TRN 0
Copy the remaining bits.
SC_TRN_ZERO sR & (mD | r)
If the sign bit is 1 and either the most significant deleted bit or at least one
other deleted bit is 1, add 1 to the remaining bits.
Authorized licensed use limited to: Furkan Tuncer. Downloaded on October 16,2017 at 17:05:54 UTC from IEEE Xplore. Restrictions apply.

IEEE Std 1666-2011
IEEE Standard for Standard SystemC® Language Reference Manual
319
Copyright © 2012 IEEE. All rights reserved.
7.10.9.11 Quantization for unsigned fixed-point numbers
The following template contains an unsigned fixed-point number before and after a quantization mode has
been applied, and a number of flags. The flags are explained below the template.
The following flags and symbols are used in the template just given and in Table 47:
—x represents a binary digit (0 or 1).
—R represents the remaining bits.
—lR represents the least significant remaining bit.
—mD represents the most significant deleted bit.
—D represents the deleted bits.
—r represents the logical or of the deleted bits except for the mD bit in the template just given. When
there are no remaining bits, r is false. This means that r is false when the two nearest numbers are at
equal distance.
Table 47 shows how an unsigned fixed-point number shall be cast for each of the possible quantization
modes in cases where there is quantization. If the two nearest representable numbers are not at equal
distance, the result shall be the nearest representable number. This shall be found for all the rounding modes
by applying the SC_RND mode, that is, by adding the most significant of the deleted bits to the remaining
bits.
The second column in Table 47 contains the expression that shall be added to the remaining bits. It shall
evaluate to a one or a zero. The “&” operator used in the table represents a bitwise AND and the “|” a bitwise
OR.
NOTE—For all rounding modes, overflow can occur. One extra bit on the MSB side is needed to represent the result in
full precision.
7.10.9.12 SC_RND
The result shall be rounded to the nearest representable number by adding the most significant of the deleted
LSBs to the remaining bits. This rule shall be used for all rounding modes when the two nearest
representable numbers are not at equal distance. When the two nearest representable numbers are at equal
distance, this rule implies that there is rounding toward plus infinity, as shown in Figure 9.
xxxxxxxxxx xxx
xxxxxxxx
RRRRRRRRlRmDDDDDD
xx
x
Before
After:
Flags:
Authorized licensed use limited to: Furkan Tuncer. Downloaded on October 16,2017 at 17:05:54 UTC from IEEE Xplore. Restrictions apply.

IEEE Std 1666-2011
IEEE Standard for Standard SystemC® Language Reference Manual
320
Copyright © 2012 IEEE. All rights reserved.
Figure 9—Rounding to plus infinity
Table 47—Quantization handling for unsigned fixed-point numbers
Quantization mode Expression to be added
SC_RND mD
Add the most significant deleted bit to the left bits.
SC_RND_ZERO 0
Copy the remaining bits.
SC_RND_MIN_INF 0
Copy the remaining bits.
SC_RND_INF mD
Add the most significant deleted bit to the left bits.
SC_RND_CONV mD & (lR | r)
If the most significant deleted bit is 1 and either the least significant
of the remaining bits or at least one other deleted bit is 1, add 1 to
the remaining bits.
SC_TRN 0
Copy the remaining bits.
SC_TRN_ZERO 0
Copy the remaining bits.
q
q
2q 3q
2q
3q
x
y
Authorized licensed use limited to: Furkan Tuncer. Downloaded on October 16,2017 at 17:05:54 UTC from IEEE Xplore. Restrictions apply.

IEEE Std 1666-2011
IEEE Standard for Standard SystemC® Language Reference Manual
321
Copyright © 2012 IEEE. All rights reserved.
In Figure 9, the symbol q refers to the quantization step, that is, the resolution of the data type.
Example (signed):
Numbers of type sc_fixed<4,2> are assigned to numbers of type sc_fixed<3,2,SC_RND>
before rounding to plus infinity: (1.25)
after rounding to plus infinity: 01.1 (1.5)
There is quantization because the decimal number 1.25 is outside the range of values that can
be represented exactly by means of a sc_fixed<3,2,SC_RND> number. The most significant of
the deleted LSBs (1) is added to the new LSB.
before rounding to plus infinity: 10.11 (–1.25)
after rounding to plus infinity: 11.0 (–1)
There is quantization because the decimal number –1.25 is outside the range of values that can
be represented exactly by means of a sc_fixed<3,2,SC_RND> number. The most significant of
the deleted LSBs (1) is added to the new LSB.
Example (unsigned):
Numbers of type sc_ufixed<16,8> are assigned to numbers of type sc_ufixed<12,8,SC_RND>
before rounding to plus infinity: 00100110.01001111 (38.30859375)
after rounding to plus infinity: 00100110.0101 (38.3125)
7.10.9.13 SC_RND_ZERO
If the two nearest representable numbers are not at equal distance, the SC_RND_ZERO mode shall be
applied.
If the two nearest representable numbers are at equal distance, the output shall be rounded toward 0, as
shown in Figure 10. For positive numbers, the redundant bits on the LSB side shall be deleted. For negative
numbers, the most significant of the deleted LSBs shall be added to the remaining bits.
Figure 10—Rounding to zero
q
q
2q 3q
2q
3q
x
y
Authorized licensed use limited to: Furkan Tuncer. Downloaded on October 16,2017 at 17:05:54 UTC from IEEE Xplore. Restrictions apply.

IEEE Std 1666-2011
IEEE Standard for Standard SystemC® Language Reference Manual
322
Copyright © 2012 IEEE. All rights reserved.
Example (signed):
Numbers of type sc_fixed<4,2> are assigned to numbers of type sc_fixed<3,2,SC_RND_ZERO>
before rounding to zero: (1.25)
after rounding to zero: 01.0 (1)
There is quantization because the decimal number 1.25 is outside the range of values that can
be represented exactly by means of a sc_fixed<3,2,SC_RND_ZERO> number. The redundant
bits are omitted.
before rounding to zero: 10.11 (–1.25)
after rounding to zero: 11.0 (–1)
There is quantization because the decimal number –1.25 is outside the range of values that can
be represented exactly by means of a sc_fixed<3,2,SC_RND_ZERO> number. The most
significant of the omitted LSBs (1) is added to the new LSB.
Example (unsigned):
Numbers of type sc_ufixed<16,8> are assigned to numbers of type
sc_ufixed<12,8,SC_RND_ZERO>
before rounding to zero: 000100110.01001 (38.28125)
after rounding to zero: 000100110.0100 (38.25)
7.10.9.14 SC_RND_MIN_INF
If the two nearest representable numbers are not at equal distance, the SC_RND_MIN_INF mode shall be
applied.
If the two nearest representable numbers are at equal distance, there shall be rounding toward minus infinity,
as shown in Figure 11, by omitting the redundant bits on the LSB side.
Figure 11—Rounding to minus infinity
q
q
2q 3q
2q
3q
x
y
Authorized licensed use limited to: Furkan Tuncer. Downloaded on October 16,2017 at 17:05:54 UTC from IEEE Xplore. Restrictions apply.

IEEE Std 1666-2011
IEEE Standard for Standard SystemC® Language Reference Manual
323
Copyright © 2012 IEEE. All rights reserved.
Example (signed):
Numbers of type sc_fixed<4,2> are assigned to numbers of type
sc_fixed<3,2,SC_RND_MIN_INF>
before rounding to minus infinity: 01.01 (1.25)
after rounding to minus infinity: 01.0 (1)
There is quantization because the decimal number 1.25 is outside the range of values that can
be represented exactly by means of a sc_fixed<3,2,SC_RND_MIN_INF> number. The
surplus bits are truncated.
before rounding to minus infinity: 10.11 (–1.25)
after rounding to minus infinity: 10.1 (–1.5)
There is quantization because the decimal number –1.25 is outside the range of values that can
be represented exactly by means of a sc_fixed<3,2,SC_RND_MIN_INF> number. The
surplus bits are truncated.
Example (unsigned):
Numbers of type sc_ufixed<16,8> are assigned to numbers of type
sc_ufixed<12,8,SC_RND_MIN_INF>
before rounding to minus infinity: 000100110.01001 (38.28125)
after rounding to minus infinity: 000100110.0100 (38.25)
7.10.9.15 SC_RND_INF
Rounding shall be performed if the two nearest representable numbers are at equal distance.
For positive numbers, there shall be rounding toward plus infinity if the LSB of the remaining bits is 1 and
toward minus infinity if the LSB of the remaining bits is 0, as shown in Figure 12.
For negative numbers, there shall be rounding toward minus infinity if the LSB of the remaining bits is 1 and
toward plus infinity if the LSB of the remaining bits is 0, as shown in Figure 12.
Figure 12—Rounding to infinity
q
q
2q 3q
2q
3q
x
y
Authorized licensed use limited to: Furkan Tuncer. Downloaded on October 16,2017 at 17:05:54 UTC from IEEE Xplore. Restrictions apply.

IEEE Std 1666-2011
IEEE Standard for Standard SystemC® Language Reference Manual
324
Copyright © 2012 IEEE. All rights reserved.
Example (signed):
Numbers of type sc_fixed<4,2> are assigned to numbers of type sc_fixed<3,2,SC_RND_INF>
before rounding to infinity: 01.01 (1.25)
after rounding to infinity: 01.1 (1.5)
There is quantization because the decimal number 1.25 is outside the range of values that can
be represented exactly by means of a sc_fixed<3,2,SC_RND_INF> number. The most
significant of the deleted LSBs (1) is added to the new LSB.
before rounding to infinity: 10.11 (–1.25)
after rounding to infinity: 10.1 (–1.5)
There is quantization because the decimal number –1.25 is outside the range of values that can
be represented exactly by means of a sc_fixed<3,2,SC_RND_INF> number. The surplus bits
are truncated.
Example (unsigned):
Numbers of type sc_ufixed<16,8> are assigned to numbers of type
sc_ufixed<12,8,SC_RND_INF>
before rounding to infinity: 000100110.01001 (38.28125)
after rounding to infinity: 000100110.0101 (38.3125)
7.10.9.16 SC_RND_CONV
If the two nearest representable numbers are not at equal distance, the SC_RND_CONV mode shall be
applied.
If the two nearest representable numbers are at equal distance, there shall be rounding toward plus infinity if
the LSB of the remaining bits is 1. There shall be rounding toward minus infinity if the LSB of the remain-
ing bits is 0. The characteristics are shown in Figure 13.
Figure 13—Convergent rounding
q
q
2q 3q
2q
3q
x
y
Authorized licensed use limited to: Furkan Tuncer. Downloaded on October 16,2017 at 17:05:54 UTC from IEEE Xplore. Restrictions apply.
IEEE Std 1666-2011
IEEE Standard for Standard SystemC® Language Reference Manual
325
Copyright © 2012 IEEE. All rights reserved.
Example (signed):
Numbers of type sc_fixed<4,2> are assigned to numbers of type sc_fixed<3,2,SC_RND_CONV>
before convergent rounding: 00.11 (0.75)
after convergent rounding: 01.0 (1)
There is quantization because the decimal number 0.75 is outside the range of values that can
be represented exactly by means of a sc_fixed<3,2,SC_RND_CONV> number. The surplus
bits are truncated, and the result is rounded toward plus infinity.
before convergent rounding: 10.11 (–1.25)
after convergent rounding: 11.0 (–1)
There is quantization because the decimal number –1.25 is outside the range of values that can
be represented exactly by means of a sc_fixed<3,2,SC_RND_CONV> number. The surplus
bits are truncated, and the result is rounded toward plus infinity.
Example (unsigned):
Numbers of type sc_ufixed<16,8> are assigned to numbers of type
sc_ufixed<12,8,SC_RND_CONV>
before convergent rounding: 000100110.01001 (38.28125)
after convergent rounding: 000100110.0100 (38.25)
before convergent rounding: 000100110.01011 (38.34375)
after convergent rounding: 000100110.0110 (38.375)
7.10.9.17 SC_TRN
SC_TRN shall be the default quantization mode. The result shall be rounded toward minus infinity; that is,
the superfluous bits on the LSB side shall be deleted. A quantized number shall be approximated by the first
representable number below its original value within the required bit range.
NOTE—In scientific literature, this mode is usually called “value truncation.”
The required characteristics are shown in Figure 14.
Authorized licensed use limited to: Furkan Tuncer. Downloaded on October 16,2017 at 17:05:54 UTC from IEEE Xplore. Restrictions apply.

IEEE Std 1666-2011
IEEE Standard for Standard SystemC® Language Reference Manual
326
Copyright © 2012 IEEE. All rights reserved.
Figure 14—Truncation
Example (signed):
Numbers of type sc_fixed<4,2> are assigned to numbers of type sc_fixed<3,2,SC_TRN>
before truncation: 01.01 (1.25)
after truncation: 01.0 (1)
There is quantization because the decimal number 1.25 is outside the range of values that can
be represented exactly by means of a sc_fixed<3,2,SC_TRN> number. The LSB is truncated.
before truncation: 10.11 (–1.25)
after truncation: 10.1 (–1.5)
There is quantization because the decimal number –1.25 is outside the range of values that can
be represented exactly by means of a sc_fixed<3,2,SC_TRN> number. The LSB is truncated.
Example (unsigned):
Numbers of type sc_ufixed<16,8> are assigned to numbers of type sc_ufixed<12,8,SC_TRN>
before truncation: 00100110.01001111 (38.30859375)
after truncation: 00100110.0100 (38.25)
7.10.9.18 SC_TRN_ZERO
For positive numbers, this quantization mode shall correspond to SC_TRN. For negative numbers, the result
shall be rounded toward zero (SC_RND_ZERO); that is, the superfluous bits on the right-hand side shall be
deleted and the sign bit added to the left LSBs, provided at least one of the deleted bits differs from zero. A
quantized number shall be approximated by the first representable number that is lower in absolute value.
NOTE—In scientific literature, this mode is usually called “magnitude truncation.”
q
q
2q 3q
2q
3q
x
y
Authorized licensed use limited to: Furkan Tuncer. Downloaded on October 16,2017 at 17:05:54 UTC from IEEE Xplore. Restrictions apply.

IEEE Std 1666-2011
IEEE Standard for Standard SystemC® Language Reference Manual
327
Copyright © 2012 IEEE. All rights reserved.
The required characteristics are shown in Figure 15.
Figure 15—Truncation to zero
Example (signed):
A number of type sc_fixed<4,2> is assigned to a number of type sc_fixed<3,2,SC_TRN_ZERO>
before truncation to zero: 10.11 (–1.25)
after truncation to zero: 11.0 (–1)
There is quantization because the decimal number –1.25 is outside the range of values that can
be represented exactly by means of a sc_fixed<3,2,SC_TRN_ZERO> number. The LSB is
truncated, and then the sign bit (1) is added at the LSB side.
Example (unsigned):
Numbers of type sc_ufixed<16,8> are assigned to numbers of type
sc_ufixed<12,8,SC_TRN_ZERO>
before truncation to zero: 00100110.01001111 (38.30859375)
after truncation to zero: 00100110.0100 (38.25)
7.10.10 sc_fxnum
7.10.10.1 Description
Class sc_fxnum is the base class for finite-precision fixed-point types. It shall be provided in order to define
functions and overloaded operators that will work with any derived class.
7.10.10.2 Class definition
namespace sc_dt {
class sc_fxnum
{
friend class sc_fxval;
q
q
2q 3q
2q
3q
x
y
Authorized licensed use limited to: Furkan Tuncer. Downloaded on October 16,2017 at 17:05:54 UTC from IEEE Xplore. Restrictions apply.
IEEE Std 1666-2011
IEEE Standard for Standard SystemC® Language Reference Manual
328
Copyright © 2012 IEEE. All rights reserved.
friend class sc_fxnum_bitref†;
friend class sc_fxnum_subref†;
friend class sc_fxnum_fast_bitref†;
friend class sc_fxnum_fast_subref†;
public:
// Unary operators
const sc_fxval operator- () const;
const sc_fxval operator+ () const;
// Binary operators
#define DECL_BIN_OP_T( op , tp ) \
friend const sc_fxval operator op ( const sc_fxnum& , tp ); \
friend const sc_fxval operator op ( tp , const sc_fxnum& );
#define DECL_BIN_OP_OTHER( op ) \
DECL_BIN_OP_T( op , int64 ) \
DECL_BIN_OP_T( op , uint64 ) \
DECL_BIN_OP_T( op , const sc_int_base& ) \
DECL_BIN_OP_T( op , const sc_uint_base& ) \
DECL_BIN_OP_T( op , const sc_signed& ) \
DECL_BIN_OP_T( op, const sc_unsigned& )
#define DECL_BIN_OP( op , dummy ) \
friend const sc_fxval operator op ( const sc_fxnum& , const sc_fxnum& ); \
DECL_BIN_OP_T( op , int ) \
DECL_BIN_OP_T( op , unsigned int ) \
DECL_BIN_OP_T( op , long ) \
DECL_BIN_OP_T( op , unsigned long ) \
DECL_BIN_OP_T( op , float ) \
DECL_BIN_OP_T( op , double ) \
DECL_BIN_OP_T( op, const char*) \
DECL_BIN_OP_T( op , const sc_fxval&) \
DECL_BIN_OP_T( op , const sc_fxval_fast& ) \
DECL_BIN_OP_T( op , const sc_fxnum_fast& ) \
DECL_BIN_OP_OTHER( op )
DECL_BIN_OP( * , mult )
DECL_BIN_OP( + , add )
DECL_BIN_OP( - , sub )
DECL_BIN_OP( / , div )
#undef DECL_BIN_OP_T
#undef DECL_BIN_OP_OTHER
#undef DECL_BIN_OP
friend const sc_fxval operator<< ( const sc_fxnum& , int );
friend const sc_fxval operator>> ( const sc_fxnum& , int );
// Relational (including equality) operators
#define DECL_REL_OP_T( op , tp ) \
friend bool operator op ( const sc_fxnum& , tp ); \
friend bool operator op ( tp , const sc_fxnum& ); \
DECL_REL_OP_T( op , int64 ) \
DECL_REL_OP_T( op , uint64 ) \
Authorized licensed use limited to: Furkan Tuncer. Downloaded on October 16,2017 at 17:05:54 UTC from IEEE Xplore. Restrictions apply.
IEEE Std 1666-2011
IEEE Standard for Standard SystemC® Language Reference Manual
329
Copyright © 2012 IEEE. All rights reserved.
DECL_REL_OP_T( op , const sc_int_base& ) \
DECL_REL_OP_T( op , const sc_uint_base& ) \
DECL_REL_OP_T( op , const sc_signed& ) \
DECL_REL_OP_T( op , const sc_unsigned& )
#define DECL_REL_OP( op ) \
friend bool operator op ( const sc_fxnum& , const sc_fxnum& ); \
DECL_REL_OP_T( op , int ) \
DECL_REL_OP_T( op , unsigned int ) \
DECL_REL_OP_T( op , long ) \
DECL_REL_OP_T( op , unsigned long ) \
DECL_REL_OP_T( op , float ) \
DECL_REL_OP_T( op , double ) \
DECL_REL_OP_T( op , const char* ) \
DECL_REL_OP_T( op , const sc_fxval& ) \
DECL_REL_OP_T( op , const sc_fxval_fast& ) \
DECL_REL_OP_T( op , const sc_fxnum_fast& ) \
DECL_REL_OP_OTHER( op )
DECL_REL_OP( < )
DECL_REL_OP( <= )
DECL_REL_OP( > )
DECL_REL_OP( >= )
DECL_REL_OP( == )
DECL_REL_OP( != )
#undef DECL_REL_OP_T
#undef DECL_REL_OP_OTHER
#undef DECL_REL_OP
// Assignment operators
#define DECL_ASN_OP_T( op , tp ) \
sc_fxnum& operator op( tp ); \
DECL_ASN_OP_T( op , int64 ) \
DECL_ASN_OP_T( op , uint64 ) \
DECL_ASN_OP_T( op , const sc_int_base& ) \
DECL_ASN_OP_T( op , const sc_uint_base& ) \
DECL_ASN_OP_T( op , const sc_signed& ) \
DECL_ASN_OP_T( op , const sc_unsigned& )
#define DECL_ASN_OP( op ) \
DECL_ASN_OP_T( op , int ) \
DECL_ASN_OP_T( op , unsigned int ) \
DECL_ASN_OP_T( op , long ) \
DECL_ASN_OP_T( op , unsigned long ) \
DECL_ASN_OP_T( op , float ) \
DECL_ASN_OP_T( op , double ) \
DECL_ASN_OP_T( op , const char* ) \
DECL_ASN_OP_T( op , const sc_fxval& ) \
DECL_ASN_OP_T( op , const sc_fxval_fast& ) \
DECL_ASN_OP_T( op , const sc_fxnum& ) \
DECL_ASN_OP_T( op , const sc_fxnum_fast& ) \
DECL_ASN_OP_OTHER( op )
DECL_ASN_OP( = )
DECL_ASN_OP( *= )
DECL_ASN_OP( /= )
DECL_ASN_OP( += )
Authorized licensed use limited to: Furkan Tuncer. Downloaded on October 16,2017 at 17:05:54 UTC from IEEE Xplore. Restrictions apply.
IEEE Std 1666-2011
IEEE Standard for Standard SystemC® Language Reference Manual
330
Copyright © 2012 IEEE. All rights reserved.
DECL_ASN_OP( -= )
DECL_ASN_OP_T( <<= , int )
DECL_ASN_OP_T( >>= , int )
#undef DECL_ASN_OP_T
#undef DECL_ASN_OP_OTHER
#undef DECL_ASN_OP
// Auto-increment and auto-decrement
const sc_fxval operator++ ( int );
const sc_fxval operator-- ( int );
sc_fxnum& operator++ ();
sc_fxnum& operator-- ();
// Bit selection
const sc_fxnum_bitref† operator[] ( int ) const;
sc_fxnum_bitref† operator[] ( int );
// Part selection
const sc_fxnum_subref† operator() ( int , int ) const;
sc_fxnum_subref† operator() ( int , int );
const sc_fxnum_subref† range( int , int ) const;
sc_fxnum_subref† range( int , int );
const sc_fxnum_subref† operator() () const;
sc_fxnum_subref† operator() ();
const sc_fxnum_subref† range() const;
sc_fxnum_subref† range();
// Implicit conversion
operator double() const;
// Explicit conversion to primitive types
short to_short() const;
unsigned short to_ushort() const;
int to_int() const;
unsigned int to_uint() const;
long to_long() const;
unsigned long to_ulong() const;
int64 to_int64() const;
uint64 to_uint64() const;
float to_float() const;
double to_double() const;
// Explicit conversion to character string
const std::string to_string() const;
const std::string to_string( sc_numrep ) const;
const std::string to_string( sc_numrep , bool ) const;
const std::string to_string( sc_fmt ) const;
const std::string to_string( sc_numrep , sc_fmt ) const;
const std::string to_string( sc_numrep , bool , sc_fmt ) const;
const std::string to_dec() const;
const std::string to_bin() const;
const std::string to_oct() const;
const std::string to_hex() const;
Authorized licensed use limited to: Furkan Tuncer. Downloaded on October 16,2017 at 17:05:54 UTC from IEEE Xplore. Restrictions apply.
IEEE Std 1666-2011
IEEE Standard for Standard SystemC® Language Reference Manual
331
Copyright © 2012 IEEE. All rights reserved.
// Query value
bool is_neg() const;
bool is_zero() const;
bool quantization_flag() const;
bool overflow_flag() const;
const sc_fxval value() const;
// Query parameters
int wl() const;
int iwl() const;
sc_q_mode q_mode() const;
sc_o_mode o_mode() const;
int n_bits() const;
const sc_fxtype_params& type_params() const;
const sc_fxcast_switch& cast_switch() const;
// Print or dump content
void print( std::ostream& = std::cout ) const;
void scan( std::istream& = std::cin );
void dump( std::ostream& = std::cout ) const;
private:
// Disabled
sc_fxnum();
sc_fxnum( const sc_fxnum& );
};
} // namespace sc_dt
7.10.10.3 Constraints on usage
An application shall not directly create an instance of type sc_fxnum. An application may use a pointer to
sc_fxnum or a reference to sc_fxnum to refer to an object of a class derived from sc_fxnum.
7.10.10.4 Assignment operators
Overloaded assignment operators shall provide conversion from SystemC data types and the native C++
numeric representation to sc_fxnum, using truncation or sign-extension, as described in 7.10.4.
Authorized licensed use limited to: Furkan Tuncer. Downloaded on October 16,2017 at 17:05:54 UTC from IEEE Xplore. Restrictions apply.
IEEE Std 1666-2011
IEEE Standard for Standard SystemC® Language Reference Manual
332
Copyright © 2012 IEEE. All rights reserved.
7.10.10.5 Implicit type conversion
operator double() const;
Operator double shall provide implicit type conversion from sc_fxnum to double.
7.10.10.6 Explicit type conversion
short to_short() const;
unsigned short to_ushort() const;
int to_int() const;
unsigned int to_uint() const;
long to_long() const;
unsigned long to_ulong() const;
int64 to_int64() const;
uint64 to_uint64() const;
float to_float() const;
double to_double() const;
These member functions shall perform conversion to C++ numeric types.
const std::string to_string() const;
const std::string to_string( sc_numrep ) const;
const std::string to_string( sc_numrep , bool ) const;
const std::string to_string( sc_fmt ) const;
const std::string to_string( sc_numrep , sc_fmt ) const;
const std::string to_string( sc_numrep , bool , sc_fmt ) const;
const std::string to_dec() const;
const std::string to_bin() const;
const std::string to_oct() const;
const std::string to_hex() const;
These member functions shall perform the conversion to a string representation, as described in
7.2.11, 7.10.8, and 7.10.8.1.
7.10.11 sc_fxnum_fast
7.10.11.1 Description
Class sc_fxnum_fast is the base class for limited-precision fixed-point types. It shall be provided in order to
define functions and overloaded operators that will work with any derived class.
7.10.11.2 Class definition
namespace sc_dt {
class sc_fxnum_fast
{
friend class sc_fxval_fast;
friend class sc_fxnum_bitref†;
friend class sc_fxnum_subref†;
friend class sc_fxnum_fast_bitref†;
friend class sc_fxnum_fast_subref†;
Authorized licensed use limited to: Furkan Tuncer. Downloaded on October 16,2017 at 17:05:54 UTC from IEEE Xplore. Restrictions apply.
IEEE Std 1666-2011
IEEE Standard for Standard SystemC® Language Reference Manual
333
Copyright © 2012 IEEE. All rights reserved.
public:
// Unary operators
const sc_fxval_fast operator- () const;
const sc_fxval_fast operator+ () const;
// Binary operators
#define DECL_BIN_OP_T( op , tp ) \
friend const sc_fxval_fast operator op ( const sc_fxnum_fast& , tp ); \
friend const sc_fxval_fast operator op ( tp , const sc_fxnum_fast& );
#define DECL_BIN_OP_OTHER( op ) \
DECL_BIN_OP_T( op , int64 ) \
DECL_BIN_OP_T( op , uint64 ) \
DECL_BIN_OP_T( op , const sc_int_base& ) \
DECL_BIN_OP_T( op , const sc_uint_base& ) \
DECL_BIN_OP_T( op , const sc_signed& ) \
DECL_BIN_OP_T( op, const sc_unsigned& )
#define DECL_BIN_OP( op , dummy ) \
friend const sc_fxval_fast operator op ( const sc_fxnum_fast& , const sc_fxnum_fast& ); \
DECL_BIN_OP_T( op , int ) \
DECL_BIN_OP_T( op , unsigned int ) \
DECL_BIN_OP_T( op , long ) \
DECL_BIN_OP_T( op , unsigned long ) \
DECL_BIN_OP_T( op , float ) \
DECL_BIN_OP_T( op , double ) \
DECL_BIN_OP_T( op, const char*) \
DECL_BIN_OP_T( op , const sc_fxval_fast& ) \
DECL_BIN_OP_OTHER( op )
DECL_BIN_OP( * , mult )
DECL_BIN_OP( + , add )
DECL_BIN_OP( - , sub )
DECL_BIN_OP( / , div )
#undef DECL_BIN_OP_T
#undef DECL_BIN_OP_OTHER
#undef DECL_BIN_OP
friend const sc_fxval operator<< ( const sc_fxnum_fast& , int );
friend const sc_fxval operator>> ( const sc_fxnum_fast& , int );
// Relational (including equality) operators
#define DECL_REL_OP_T( op , tp ) \
friend bool operator op ( const sc_fxnum_fast& , tp ); \
friend bool operator op ( tp , const sc_fxnum_fast& );
DECL_REL_OP_T( op , int64 ) \
DECL_REL_OP_T( op , uint64 ) \
DECL_REL_OP_T( op , const sc_int_base& ) \
DECL_REL_OP_T( op , const sc_uint_base& ) \
DECL_REL_OP_T( op , const sc_signed& ) \
DECL_REL_OP_T( op , const sc_unsigned& )
#define DECL_REL_OP( op ) \
friend bool operator op ( const sc_fxnum_fast& , const sc_fxnum_fast& ); \
DECL_REL_OP_T( op , int ) \
DECL_REL_OP_T( op , unsigned int ) \
Authorized licensed use limited to: Furkan Tuncer. Downloaded on October 16,2017 at 17:05:54 UTC from IEEE Xplore. Restrictions apply.
IEEE Std 1666-2011
IEEE Standard for Standard SystemC® Language Reference Manual
334
Copyright © 2012 IEEE. All rights reserved.
DECL_REL_OP_T( op , long ) \
DECL_REL_OP_T( op , unsigned long ) \
DECL_REL_OP_T( op , float ) \
DECL_REL_OP_T( op , double ) \
DECL_REL_OP_T( op , const char* ) \
DECL_REL_OP_T( op , const sc_fxval_fast& ) \
DECL_REL_OP_OTHER( op )
DECL_REL_OP( < )
DECL_REL_OP( <= )
DECL_REL_OP( > )
DECL_REL_OP( >= )
DECL_REL_OP( == )
DECL_REL_OP( != )
#undef DECL_REL_OP_T
#undef DECL_REL_OP_OTHER
#undef DECL_REL_OP
// Assignment operators
#define DECL_ASN_OP_T( op , tp ) \
sc_fxnum& operator op( tp ); \
DECL_ASN_OP_T( op , int64 ) \
DECL_ASN_OP_T( op , uint64 ) \
DECL_ASN_OP_T( op , const sc_int_base& ) \
DECL_ASN_OP_T( op , const sc_uint_base& ) \
DECL_ASN_OP_T( op , const sc_signed& ) \
DECL_ASN_OP_T( op , const sc_unsigned& )
#define DECL_ASN_OP( op ) \
DECL_ASN_OP_T( op , int ) \
DECL_ASN_OP_T( op , unsigned int ) \
DECL_ASN_OP_T( op , long ) \
DECL_ASN_OP_T( op , unsigned long ) \
DECL_ASN_OP_T( op , float ) \
DECL_ASN_OP_T( op , double ) \
DECL_ASN_OP_T( op , const char* ) \
DECL_ASN_OP_T( op , const sc_fxval& ) \
DECL_ASN_OP_T( op , const sc_fxval_fast& ) \
DECL_ASN_OP_T( op , const sc_fxnum& ) \
DECL_ASN_OP_T( op , const sc_fxnum_fast& ) \
DECL_ASN_OP_OTHER( op )
DECL_ASN_OP( = )
DECL_ASN_OP( *= )
DECL_ASN_OP( /= )
DECL_ASN_OP( += )
DECL_ASN_OP( -= )
DECL_ASN_OP_T( <<= , int )
DECL_ASN_OP_T( >>= , int )
#undef DECL_ASN_OP_T
#undef DECL_ASN_OP_OTHER
#undef DECL_ASN_OP
// Auto-increment and auto-decrement
const sc_fxval_fast operator++ ( int );
Authorized licensed use limited to: Furkan Tuncer. Downloaded on October 16,2017 at 17:05:54 UTC from IEEE Xplore. Restrictions apply.
IEEE Std 1666-2011
IEEE Standard for Standard SystemC® Language Reference Manual
335
Copyright © 2012 IEEE. All rights reserved.
const sc_fxval_fast operator-- ( int );
sc_fxnum_fast& operator++ ();
sc_fxnum_fast& operator-- ();
// Bit selection
const sc_fxnum_bitref† operator[] ( int ) const;
sc_fxnum_bitref† operator[] ( int );
// Part selection
const sc_fxnum_fast_subref† operator() ( int , int ) const;
sc_fxnum_fast_subref† operator() ( int , int );
const sc_fxnum_fast_subref† range( int , int ) const;
sc_fxnum_fast_subref† range( int , int );
const sc_fxnum_fast_subref† operator() () const;
sc_fxnum_fast_subref† operator() ();
const sc_fxnum_fast_subref† range() const;
sc_fxnum_fast_subref† range();
// Implicit conversion
operator double() const;
// Explicit conversion to primitive types
short to_short() const;
unsigned short to_ushort() const;
int to_int() const;
unsigned int to_uint() const;
long to_long() const;
unsigned long to_ulong() const;
int64 to_int64() const;
uint64 to_uint64() const;
float to_float() const;
double to_double() const;
// Explicit conversion to character string
const std::string to_string() const;
const std::string to_string( sc_numrep ) const;
const std::string to_string( sc_numrep , bool ) const;
const std::string to_string( sc_fmt ) const;
const std::string to_string( sc_numrep , sc_fmt ) const;
const std::string to_string( sc_numrep , bool , sc_fmt ) const;
const std::string to_dec() const;
const std::string to_bin() const;
const std::string to_oct() const;
const std::string to_hex() const;
// Query value
bool is_neg() const;
bool is_zero() const;
bool quantization_flag() const;
bool overflow_flag() const;
const sc_fxval_fast value() const;
// Query parameters
int wl() const;
Authorized licensed use limited to: Furkan Tuncer. Downloaded on October 16,2017 at 17:05:54 UTC from IEEE Xplore. Restrictions apply.
IEEE Std 1666-2011
IEEE Standard for Standard SystemC® Language Reference Manual
336
Copyright © 2012 IEEE. All rights reserved.
int iwl() const;
sc_q_mode q_mode() const;
sc_o_mode o_mode() const;
int n_bits() const;
const sc_fxtype_params& type_params() const;
const sc_fxcast_switch& cast_switch() const;
// Print or dump content
void print( std::ostream& = std::cout ) const;
void scan( std::istream& = std::cin );
void dump( std::ostream& = std::cout ) const;
private:
// Disabled
sc_fxnum_fast();
sc_fxnum_fast( const sc_fxnum_fast& );
};
} // namespace sc_dt
7.10.11.3 Constraints on usage
An application shall not directly create an instance of type sc_fxnum_fast. An application may use a pointer
to sc_fxnum_fast or a reference to sc_fxnum_fast to refer to an object of a class derived from
sc_fxnum_fast.
7.10.11.4 Assignment operators
Overloaded assignment operators shall provide conversion from SystemC data types and the native C++
numeric representation to sc_fxnum_fast, using truncation or sign-extension, as described in 7.10.4.
7.10.11.5 Implicit type conversion
operator double() const;
Operator double shall provide implicit type conversion from sc_fxnum_fast to double.
7.10.11.6 Explicit type conversion
short to_short() const;
unsigned short to_ushort() const;
int to_int() const;
unsigned int to_uint() const;
long to_long() const;
unsigned long to_ulong() const;
int64 to_int64() const;
uint64 to_uint64() const;
float to_float() const;
double to_double() const;
These member functions shall perform conversion to C++ numeric types.
const std::string to_string() const;
const std::string to_string( sc_numrep ) const;
const std::string to_string( sc_numrep , bool ) const;
Authorized licensed use limited to: Furkan Tuncer. Downloaded on October 16,2017 at 17:05:54 UTC from IEEE Xplore. Restrictions apply.
IEEE Std 1666-2011
IEEE Standard for Standard SystemC® Language Reference Manual
337
Copyright © 2012 IEEE. All rights reserved.
const std::string to_string( sc_fmt ) const;
const std::string to_string( sc_numrep , sc_fmt ) const;
const std::string to_string( sc_numrep , bool , sc_fmt ) const;
const std::string to_dec() const;
const std::string to_bin() const;
const std::string to_oct() const;
const std::string to_hex() const;
These member functions shall perform the conversion to a string representation, as described in
7.2.11, 7.10.8, and 7.10.8.1.
7.10.12 sc_fxval
7.10.12.1 Description
Class sc_fxval is the variable-precision fixed-point type. It may hold the value of any of the fixed-point
types and perform the variable-precision fixed-point arithmetic operations. Type casting shall be performed
by the fixed-point types themselves. Limited variable-precision type sc_fxval_fast and variable-precision
type sc_fxval may be mixed freely.
7.10.12.2 Class definition
namespace sc_dt {
class sc_fxval
{
public:
// Constructors and destructor
sc_fxval();
explicit sc_fxval( int );
explicit sc_fxval( unsigned int );
explicit sc_fxval( long );
explicit sc_fxval( unsigned long );
explicit sc_fxval( float );
explicit sc_fxval( double );
explicit sc_fxval( const char* );
sc_fxval( const sc_fxval& );
sc_fxval( const sc_fxval_fast& );
sc_fxval( const sc_fxnum& );
sc_fxval( const sc_fxnum_fast& );
explicit sc_fxval( int64 );
explicit sc_fxval( uint64 );
explicit sc_fxval( const sc_int_base& );
explicit sc_fxval( const sc_uint_base& );
explicit sc_fxval( const sc_signed& );
explicit sc_fxval( const sc_unsigned& );
~sc_fxval();
// Unary operators
const sc_fxval operator- () const;
const sc_fxval& operator+ () const;
friend void neg( sc_fxval& , const sc_fxval& );
// Binary operators
Authorized licensed use limited to: Furkan Tuncer. Downloaded on October 16,2017 at 17:05:54 UTC from IEEE Xplore. Restrictions apply.
IEEE Std 1666-2011
IEEE Standard for Standard SystemC® Language Reference Manual
338
Copyright © 2012 IEEE. All rights reserved.
#define DECL_BIN_OP_T( op , tp ) \
friend const sc_fxval operator op ( const sc_fxval& , tp ); \
friend const sc_fxval operator op ( tp , const sc_fxval& );
#define DECL_BIN_OP_OTHER( op ) \
DECL_BIN_OP_T( op , int64 ) \
DECL_BIN_OP_T( op , uint64 ) \
DECL_BIN_OP_T( op , const sc_int_base& ) \
DECL_BIN_OP_T( op , const sc_uint_base& ) \
DECL_BIN_OP_T( op , const sc_signed& ) \
DECL_BIN_OP_T( op , const sc_unsigned& )
#define DECL_BIN_OP( op , dummy ) \
friend const sc_fxval operator op ( const sc_fxval& , const sc_fxval& ); \
DECL_BIN_OP_T( op , int ) \
DECL_BIN_OP_T( op , unsigned int ) \
DECL_BIN_OP_T( op , long ) \
DECL_BIN_OP_T( op , unsigned long ) \
DECL_BIN_OP_T( op , float ) \
DECL_BIN_OP_T( op , double ) \
DECL_BIN_OP_T( op , const char* ) \
DECL_BIN_OP_T( op , const sc_fxval_fast& ) \
DECL_BIN_OP_T( op , const sc_fxnum_fast& ) \
DECL_BIN_OP_OTHER( op )
DECL_BIN_OP( * , mult )
DECL_BIN_OP( + , add )
DECL_BIN_OP( - , sub )
DECL_BIN_OP( / , div )
friend const sc_fxval operator<< ( const sc_fxval& , int );
friend const sc_fxval operator>> ( const sc_fxval& , int );
// Relational (including equality) operators
#define DECL_REL_OP_T( op , tp ) \
friend bool operator op ( const sc_fxval& , tp ); \
friend bool operator op ( tp , const sc_fxval& );
#define DECL_REL_OP_OTHER( op ) \
DECL_REL_OP_T( op , int64 ) \
DECL_REL_OP_T( op , uint64 ) \
DECL_REL_OP_T( op , const sc_int_base& ) \
DECL_REL_OP_T( op , const sc_uint_base& ) \
DECL_REL_OP_T( op , const sc_signed& ) \
DECL_REL_OP_T( op , const sc_unsigned& )
#define DECL_REL_OP( op ) \
friend bool operator op ( const sc_fxval& , const sc_fxval& ); \
DECL_REL_OP_T( op , int ) \
DECL_REL_OP_T( op , unsigned int ) \
DECL_REL_OP_T( op , long ) \
DECL_REL_OP_T( op , unsigned long ) \
DECL_REL_OP_T( op , float ) \
DECL_REL_OP_T( op , double ) \
DECL_REL_OP_T( op , const char* ) \
DECL_REL_OP_T( op , const sc_fxval_fast& ) \
DECL_REL_OP_T( op , const sc_fxnum_fast& ) \
DECL_REL_OP_OTHER( op )
Authorized licensed use limited to: Furkan Tuncer. Downloaded on October 16,2017 at 17:05:54 UTC from IEEE Xplore. Restrictions apply.
IEEE Std 1666-2011
IEEE Standard for Standard SystemC® Language Reference Manual
339
Copyright © 2012 IEEE. All rights reserved.
DECL_REL_OP( < )
DECL_REL_OP( <= )
DECL_REL_OP( > )
DECL_REL_OP( >= )
DECL_REL_OP( == )
DECL_REL_OP( != )
// Assignment operators
#define DECL_ASN_OP_T( op , tp ) \
sc_fxval& operator op( tp );
#define DECL_ASN_OP_OTHER( op ) \
DECL_ASN_OP_T( op , int64 ) \
DECL_ASN_OP_T( op , uint64 ) \
DECL_ASN_OP_T( op , const sc_int_base& ) \
DECL_ASN_OP_T( op , const sc_uint_base& ) \
DECL_ASN_OP_T( op , const sc_signed& ) \
DECL_ASN_OP_T( op , const sc_unsigned& )
#define DECL_ASN_OP( op ) \
DECL_ASN_OP_T( op , int ) \
DECL_ASN_OP_T( op , unsigned int ) \
DECL_ASN_OP_T( op , long ) \
DECL_ASN_OP_T( op , unsigned long ) \
DECL_ASN_OP_T( op , float ) \
DECL_ASN_OP_T( op , double ) \
DECL_ASN_OP_T( op , const char* ) \
DECL_ASN_OP_T( op , const sc_fxval& ) \
DECL_ASN_OP_T( op , const sc_fxval_fast& ) \
DECL_ASN_OP_T( op , const sc_fxnum& ) \
DECL_ASN_OP_T( op , const sc_fxnum_fast& ) \
DECL_ASN_OP_OTHER( op )
DECL_ASN_OP( = )
DECL_ASN_OP( *= )
DECL_ASN_OP( /= )
DECL_ASN_OP( += )
DECL_ASN_OP( -= )
DECL_ASN_OP_T( <<= , int )
DECL_ASN_OP_T( >>= , int )
// Auto-increment and auto-decrement
const sc_fxval operator++ ( int );
const sc_fxval operator-- ( int );
sc_fxval& operator++ ();
sc_fxval& operator-- ();
// Implicit conversion
operator double() const;
// Explicit conversion to primitive types
short to_short() const;
unsigned short to_ushort() const;
int to_int() const;
Authorized licensed use limited to: Furkan Tuncer. Downloaded on October 16,2017 at 17:05:54 UTC from IEEE Xplore. Restrictions apply.
IEEE Std 1666-2011
IEEE Standard for Standard SystemC® Language Reference Manual
340
Copyright © 2012 IEEE. All rights reserved.
unsigned int to_uint() const;
long to_long() const;
unsigned long to_ulong() const;
int64 to_int64() const;
uint64 to_uint64() const;
float to_float() const;
double to_double() const;
// Explicit conversion to character string
const std::string to_string() const;
const std::string to_string( sc_numrep ) const;
const std::string to_string( sc_numrep , bool ) const;
const std::string to_string( sc_fmt ) const;
const std::string to_string( sc_numrep , sc_fmt ) const;
const std::string to_string( sc_numrep , bool , sc_fmt ) const;
const std::string to_dec() const;
const std::string to_bin() const;
const std::string to_oct() const;
const std::string to_hex() const;
// Methods
bool is_neg() const;
bool is_zero() const;
void print( std::ostream& = std::cout ) const;
void scan( std::istream& = std::cin );
void dump( std::ostream& = std::cout ) const;
};
} // namespace sc_dt
7.10.12.3 Constraints on usage
A sc_fxval object that is declared without an initial value shall be uninitialized (unless it is declared as static,
in which case it shall be initialized to zero). Uninitialized objects may be used wherever an initialized object
is permitted. The result of an operation on an uninitialized object is undefined.
7.10.12.4 Public constructors
The constructor argument shall be taken as the initial value of the sc_fxval object. The default constructor
shall not initialize the value.
7.10.12.5 Operators
The operators that shall be defined for sc_fxval are given in Table 48.
operator<< and operator>> define arithmetic shifts that perform sign extension.
The types of the operands shall be as defined in 7.10.4.
7.10.12.6 Implicit type conversion
operator double() const;
Operator double can be used for implicit type conversion to the C++ type double.
Authorized licensed use limited to: Furkan Tuncer. Downloaded on October 16,2017 at 17:05:54 UTC from IEEE Xplore. Restrictions apply.

IEEE Std 1666-2011
IEEE Standard for Standard SystemC® Language Reference Manual
341
Copyright © 2012 IEEE. All rights reserved.
7.10.12.7 Explicit type conversion
short to_short() const;
unsigned short to_ushort() const;
int to_int() const;
unsigned int to_uint() const;
long to_long() const;
unsigned long to_ulong() const;
int64 to_int64() const;
uint64 to_uint64() const;
float to_float() const;
double to_double() const;
These member functions shall perform the conversion to the respective C++ numeric types.
const std::string to_string() const;
const std::string to_string( sc_numrep ) const;
const std::string to_string( sc_numrep , bool ) const;
const std::string to_string( sc_fmt ) const;
const std::string to_string( sc_numrep , sc_fmt ) const;
const std::string to_string( sc_numrep , bool , sc_fmt ) const;
const std::string to_dec() const;
const std::string to_bin() const;
const std::string to_oct() const;
const std::string to_hex() const;
These member functions shall perform the conversion to a string representation, as described in
7.2.11, 7.10.8, and 7.10.8.1.
7.10.13 sc_fxval_fast
7.10.13.1 Description
Type sc_fxval_fast is the limited variable-precision fixed-point type and shall be limited to a mantissa of
53 bits. It may hold the value of any of the fixed-point types and shall be used to perform the limited
variable-precision fixed-point arithmetic operations. Limited variable-precision fixed-point type
sc_fxval_fast and variable-precision fixed-point type sc_fxval may be mixed freely.
Table 48—Operators for sc_fxval
Operator class Operators in class
Arithmetic * / + - << >> ++ --
Equality == !=
Relational <<= >>=
Assignment = *= /= += -= <<= >>=
Authorized licensed use limited to: Furkan Tuncer. Downloaded on October 16,2017 at 17:05:54 UTC from IEEE Xplore. Restrictions apply.
IEEE Std 1666-2011
IEEE Standard for Standard SystemC® Language Reference Manual
342
Copyright © 2012 IEEE. All rights reserved.
7.10.13.2 Class definition
namespace sc_dt {
class sc_fxval_fast
{
public:
sc_fxval_fast();
explicit sc_fxval_fast( int );
explicit sc_fxval_fast( unsigned int );
explicit sc_fxval_fast( long );
explicit sc_fxval_fast( unsigned long );
explicit sc_fxval_fast( float );
explicit sc_fxval_fast( double );
explicit sc_fxval_fast( const char* );
sc_fxval_fast( const sc_fxval& );
sc_fxval_fast( const sc_fxval_fast& );
sc_fxval_fast( const sc_fxnum& );
sc_fxval_fast( const sc_fxnum_fast& );
explicit sc_fxval_fast( int64 );
explicit sc_fxval_fast( uint64 );
explicit sc_fxval_fast( const sc_int_base& );
explicit sc_fxval_fast( const sc_uint_base& );
explicit sc_fxval_fast( const sc_signed& );
explicit sc_fxval_fast( const sc_unsigned& );
~sc_fxval_fast();
// Unary operators
const sc_fxval_fast operator- () const;
const sc_fxval_fast& operator+ () const;
// Binary operators
#define DECL_BIN_OP_T( op , tp ) \
friend const sc_fxval_fast operator op ( const sc_fxval_fast& , tp ); \
friend const sc_fxval_fast operator op ( tp , const sc_fxval_fast& );
#define DECL_BIN_OP_OTHER( op ) \
DECL_BIN_OP_T( op , int64 ) \
DECL_BIN_OP_T( op , uint64 ) \
DECL_BIN_OP_T( op , const sc_int_base& ) \
DECL_BIN_OP_T( op , const sc_uint_base& ) \
DECL_BIN_OP_T( op , const sc_signed& ) \
DECL_BIN_OP_T( op , const sc_unsigned& )
#define DECL_BIN_OP( op , dummy ) \
friend const sc_fxval_fast operator op ( const sc_fxval_fast& , const sc_fxval_fast& ); \
DECL_BIN_OP_T( op , int ) \
DECL_BIN_OP_T( op , unsigned int ) \
DECL_BIN_OP_T( op , long ) \
DECL_BIN_OP_T( op , unsigned long ) \
DECL_BIN_OP_T( op , float ) \
DECL_BIN_OP_T( op , double ) \
DECL_BIN_OP_T( op , const char* ) \
DECL_BIN_OP_OTHER( op )
Authorized licensed use limited to: Furkan Tuncer. Downloaded on October 16,2017 at 17:05:54 UTC from IEEE Xplore. Restrictions apply.
IEEE Std 1666-2011
IEEE Standard for Standard SystemC® Language Reference Manual
343
Copyright © 2012 IEEE. All rights reserved.
DECL_BIN_OP( * , mult )
DECL_BIN_OP( + , add )
DECL_BIN_OP( - , sub )
DECL_BIN_OP( / , div )
friend const sc_fxval_fast operator<< ( const sc_fxval_fast& , int );
friend const sc_fxval_fast operator>> ( const sc_fxval_fast& , int );
// Relational (including equality) operators
#define DECL_REL_OP_T( op , tp ) \
friend bool operator op ( const sc_fxval_fast& , tp );\
friend bool operator op ( tp , const sc_fxval_fast& );
#define DECL_REL_OP_OTHER( op ) \
DECL_REL_OP_T( op , int64 ) \
DECL_REL_OP_T( op , uint64 ) \
DECL_REL_OP_T( op , const sc_int_base& ) \
DECL_REL_OP_T( op , const sc_uint_base& ) \
DECL_REL_OP_T( op , const sc_signed& ) \
DECL_REL_OP_T( op , const sc_unsigned& )
#define DECL_REL_OP( op ) \
friend bool operator op ( const sc_fxval_fast& , const sc_fxval_fast& ); \
DECL_REL_OP_T( op , int ) \
DECL_REL_OP_T( op , unsigned int ) \
DECL_REL_OP_T( op , long ) \
DECL_REL_OP_T( op , unsigned long ) \
DECL_REL_OP_T( op , float ) \
DECL_REL_OP_T( op , double ) \
DECL_REL_OP_T( op , const char* ) \
DECL_REL_OP_OTHER( op )
DECL_REL_OP( < )
DECL_REL_OP( <= )
DECL_REL_OP( > )
DECL_REL_OP( >= )
DECL_REL_OP( == )
DECL_REL_OP( != )
// Assignment operators
#define DECL_ASN_OP_T( op , tp ) sc_fxval_fast& operator op( tp );
#define DECL_ASN_OP_OTHER( op ) \
DECL_ASN_OP_T( op , int64 ) \
DECL_ASN_OP_T( op , uint64 ) \
DECL_ASN_OP_T( op , const sc_int_base& ) \
DECL_ASN_OP_T( op , const sc_uint_base& ) \
DECL_ASN_OP_T( op , const sc_signed& ) \
DECL_ASN_OP_T( op , const sc_unsigned& )
#define DECL_ASN_OP( op ) \
DECL_ASN_OP_T( op , int ) \
DECL_ASN_OP_T( op , unsigned int ) \
DECL_ASN_OP_T( op , long ) \
DECL_ASN_OP_T( op , unsigned long ) \
DECL_ASN_OP_T( op , float ) \
DECL_ASN_OP_T( op , double ) \
DECL_ASN_OP_T( op , const char* ) \
DECL_ASN_OP_T( op , const sc_fxval& ) \
Authorized licensed use limited to: Furkan Tuncer. Downloaded on October 16,2017 at 17:05:54 UTC from IEEE Xplore. Restrictions apply.
IEEE Std 1666-2011
IEEE Standard for Standard SystemC® Language Reference Manual
344
Copyright © 2012 IEEE. All rights reserved.
DECL_ASN_OP_T( op , const sc_fxval_fast& ) \
DECL_ASN_OP_T( op , const sc_fxnum& ) \
DECL_ASN_OP_T( op , const sc_fxnum_fast& ) \
DECL_ASN_OP_OTHER( top )
DECL_ASN_OP( = )
DECL_ASN_OP( *= )
DECL_ASN_OP( /= )
DECL_ASN_OP( += )
DECL_ASN_OP( -= )
DECL_ASN_OP_T( <<= , int )
DECL_ASN_OP_T( >>= , int )
// Auto-increment and auto-decrement
const sc_fxval_fast operator++ ( int );
const sc_fxval_fast operator-- ( int );
sc_fxval_fast& operator++ ();
sc_fxval_fast& operator-- ();
// Implicit conversion
operator double() const;
// Explicit conversion to primitive types
short to_short() const;
unsigned short to_ushort() const;
int to_int() const;
unsigned int to_uint() const;
long to_long() const;
unsigned long to_ulong() const;
int64 to_int64() const;
uint64 to_uint64() const;
float to_float() const;
double to_double() const;
// Explicit conversion to character string
const std::string to_string() const;
const std::string to_string( sc_numrep ) const;
const std::string to_string( sc_numrep , bool ) const;
const std::string to_string( sc_fmt ) const;
const std::string to_string( sc_numrep , sc_fmt ) const;
const std::string to_string( sc_numrep , bool, sc_fmt ) const;
const std::string to_dec() const;
const std::string to_bin() const;
const std::string to_oct() const;
const std::string to_hex() const;
// Other methods
bool is_neg() const;
bool is_zero() const;
void print( std::ostream& = std::cout ) const;
void scan( std::istream& = std::cin );
void dump( std::ostream& = std::cout ) const;
};
Authorized licensed use limited to: Furkan Tuncer. Downloaded on October 16,2017 at 17:05:54 UTC from IEEE Xplore. Restrictions apply.

IEEE Std 1666-2011
IEEE Standard for Standard SystemC® Language Reference Manual
345
Copyright © 2012 IEEE. All rights reserved.
} // namespace sc_dt
7.10.13.3 Constraints on usage
A sc_fxval_fast object that is declared without an initial value shall be uninitialized (unless it is declared as
static, in which case it shall be initialized to zero). Uninitialized objects may be used wherever an initialized
object is permitted. The result of an operation on an uninitialized object is undefined.
7.10.13.4 Public constructors
The constructor argument shall be taken as the initial value of the sc_fxval_fast object. The default
constructor shall not initialize the value.
7.10.13.5 Operators
The operators that shall be defined for sc_fxval_fast are given in Table 49.
NOTE—operator<< and operator>> define arithmetic shifts, not bitwise shifts. The difference is that no bits are lost
and proper sign extension is done. Hence, these operators are also well defined for signed types, such as sc_fxval_fast.
7.10.13.6 Implicit type conversion
operator double() const;
Operator double can be used for implicit type conversion to the C++ type double.
7.10.13.7 Explicit type conversion
short to_short() const;
unsigned short to_ushort() const;
int to_int() const;
unsigned int to_uint() const;
long to_long() const;
unsigned long to_ulong() const;
int64 to_int64() const;
uint64 to_uint64() const;
float to_float() const;
double to_double() const;
These member functions shall perform the conversion to the respective C++ numeric types.
Table 49—Operators for sc_fxval_fast
Operator class Operators in class
Arithmetic * / + - << >> ++ --
Equality == !=
Relational <<= >>=
Assignment = *= /= += -= <<= >>=
Authorized licensed use limited to: Furkan Tuncer. Downloaded on October 16,2017 at 17:05:54 UTC from IEEE Xplore. Restrictions apply.
IEEE Std 1666-2011
IEEE Standard for Standard SystemC® Language Reference Manual
346
Copyright © 2012 IEEE. All rights reserved.
const std::string to_string() const;
const std::string to_string( sc_numrep ) const;
const std::string to_string( sc_numrep , bool ) const;
const std::string to_string( sc_fmt ) const;
const std::string to_string( sc_numrep , sc_fmt ) const;
const std::string to_string( sc_numrep , bool, sc_fmt ) const;
const std::string to_dec() const;
const std::string to_bin() const;
const std::string to_oct() const;
const std::string to_hex() const;
These member functions shall perform the conversion to a string representation, as described in
7.2.11, 7.10.8, and 7.10.8.1.
7.10.14 sc_fix
7.10.14.1 Description
Class sc_fix shall represent a signed (two’s complement) finite-precision fixed-point value. The fixed-point
type parameters wl, iwl, q_mode, o_mode, and n_bits may be specified as constructor arguments.
7.10.14.2 Class definition
namespace sc_dt {
class sc_fix
: public sc_fxnum
{
public:
// Constructors and destructor
sc_fix();
sc_fix( int , int );
sc_fix( sc_q_mode , sc_o_mod e );
sc_fix( sc_q_mode , sc_o_mode, int );
sc_fix( int , int , sc_q_mode , sc_o_mode );
sc_fix( int , int , sc_q_mode, sc_o_mode, int );
sc_fix( const sc_fxcast_switch& );
sc_fix( int , int , const sc_fxcast_switch& );
sc_fix( sc_q_mode , sc_o_mode , const sc_fxcast_switch& );
sc_fix( sc_q_mode , sc_o_mode , int , const sc_fxcast_switch& );
sc_fix( int , int , sc_q_mode , sc_o_mode , const sc_fxcast_switch& );
sc_fix( int , int , sc_q_mode , sc_o_mode , int , const sc_fxcast_switch& );
sc_fix( const sc_fxtype_params& );
sc_fix( const sc_fxtype_params& , const sc_fxcast_switch& );
#define DECL_CTORS_T( tp ) \
sc_fix( tp , int, int ); \
sc_fix( tp , sc_q_mode , sc_o_mode ); \
sc_fix( tp , sc_q_mode , sc_o_mode, int ); \
sc_fix( tp , int , int , sc_q_mode , sc_o_mode ); \
sc_fix( tp , int , int , sc_q_mode , sc_o_mode , int ); \
sc_fix( tp , const sc_fxcast_switch& ); \
sc_fix( tp , int , int , const sc_fxcast_switch& ); \
sc_fix( tp , sc_q_mode , sc_o_mode , const sc_fxcast_switch& ); \
Authorized licensed use limited to: Furkan Tuncer. Downloaded on October 16,2017 at 17:05:54 UTC from IEEE Xplore. Restrictions apply.
IEEE Std 1666-2011
IEEE Standard for Standard SystemC® Language Reference Manual
347
Copyright © 2012 IEEE. All rights reserved.
sc_fix( tp , sc_q_mode , sc_o_mode , in , const sc_fxcast_switch& ); \
sc_fix( tp , int , int , sc_q_mode , sc_o_mode , const sc_fxcast_switch& ); \
sc_fix( tp , int, int , sc_q_mode , sc_o_mode , int , const sc_fxcast_switch& ); \
sc_fix( tp , const sc_fxtype_params& ); \
sc_fix( tp , const sc_fxtype_params& , const sc_fxcast_switch& );
#define DECL_CTORS_T_A( tp ) \
sc_fix( tp ); \
DECL_CTORS_T( tp )
#define DECL_CTORS_T_B( tp ) \
explicit sc_fix( tp ); \
DECL_CTORS_T( tp )
DECL_CTORS_T_A( int )
DECL_CTORS_T_A( unsigned int )
DECL_CTORS_T_A( long )
DECL_CTORS_T_A( unsigned long )
DECL_CTORS_T_A( float )
DECL_CTORS_T_A( double )
DECL_CTORS_T_A( const char* )
DECL_CTORS_T_A( const sc_fxval& )
DECL_CTORS_T_A( const sc_fxval_fast& )
DECL_CTORS_T_A( const sc_fxnum& )
DECL_CTORS_T_A( const sc_fxnum_fast& )
DECL_CTORS_T_B( int64 )
DECL_CTORS_T_B( uint64 )
DECL_CTORS_T_B( const sc_int_base& )
DECL_CTORS_T_B( const sc_uint_base& )
DECL_CTORS_T_B( const sc_signed& )
DECL_CTORS_T_B( const sc_unsigned& )
sc_fix( const sc_fix& );
// Unary bitwise operators
const sc_fix operator~ () const;
// Binary bitwise operators
friend const sc_fix operator& ( const sc_fix& , const sc_fix& );
friend const sc_fix operator& ( const sc_fix& , const sc_fix_fast& );
friend const sc_fix operator& ( const sc_fix_fast& , const sc_fix& );
friend const sc_fix operator| ( const sc_fix& , const sc_fix& );
friend const sc_fix operator| ( const sc_fix& , const sc_fix_fast& );
friend const sc_fix operator| ( const sc_fix_fast& , const sc_fix& );
friend const sc_fix operator^ ( const sc_fix& , const sc_fix& );
friend const sc_fix operator^ ( const sc_fix& , const sc_fix_fast& );
friend const sc_fix operator^ ( const sc_fix_fast& , const sc_fix& );
sc_fix& operator= ( const sc_fix& );
#define DECL_ASN_OP_T( op , tp ) \
sc_fix& operator op ( tp );
#define DECL_ASN_OP_OTHER( op ) \
DECL_ASN_OP_T( op , int64 ) \
DECL_ASN_OP_T( op , uint64 ) \
DECL_ASN_OP_T( op , const sc_int_base& ) \
DECL_ASN_OP_T( op , const sc_uint_base& ) \
Authorized licensed use limited to: Furkan Tuncer. Downloaded on October 16,2017 at 17:05:54 UTC from IEEE Xplore. Restrictions apply.
IEEE Std 1666-2011
IEEE Standard for Standard SystemC® Language Reference Manual
348
Copyright © 2012 IEEE. All rights reserved.
DECL_ASN_OP_T( op , const sc_signed& ) \
DECL_ASN_OP_T( op , const sc_unsigned& )
#define DECL_ASN_OP( op ) \
DECL_ASN_OP_T( op , int ) \
DECL_ASN_OP_T( op , unsigned int ) \
DECL_ASN_OP_T( op , long ) \
DECL_ASN_OP_T( op , unsigned long ) \
DECL_ASN_OP_T( op , float ) \
DECL_ASN_OP_T( op , double ) \
DECL_ASN_OP_T( op , const char* )\
DECL_ASN_OP_T( op , const sc_fxval& )\
DECL_ASN_OP_T( op , const sc_fxval_fast& )\
DECL_ASN_OP_T( op , const sc_fxnum& ) \
DECL_ASN_OP_T( op , const sc_fxnum_fast& ) \
DECL_ASN_OP_OTHER( op )
DECL_ASN_OP( = )
DECL_ASN_OP( *= )
DECL_ASN_OP( /= )
DECL_ASN_OP( += )
DECL_ASN_OP( -= )
DECL_ASN_OP_T( <<= , int )
DECL_ASN_OP_T( >>= , int )
DECL_ASN_OP_T( &= , const sc_fix& )
DECL_ASN_OP_T( &= , const sc_fix_fast& )
DECL_ASN_OP_T( |= , const sc_fix& )
DECL_ASN_OP_T( |= , const sc_fix_fast& )
DECL_ASN_OP_T( ^= , const sc_fix& )
DECL_ASN_OP_T( ^= , const sc_fix_fast& )
const sc_fxval operator++ ( int );
const sc_fxval operator-- ( int );
sc_fix& operator++ ();
sc_fix& operator-- ();
};
} // namespace sc_dt
7.10.14.3 Constraints on usage
The word length shall be greater than zero. The number of saturated bits, if specified, shall not be less than
zero.
7.10.14.4 Public constructors
The constructor arguments may specify the fixed-point type parameters, as described in 7.10.1. The default
constructor shall set fixed-point type parameters according to the fixed-point context in scope at the point of
construction. An initial value may additionally be specified as a C++ or SystemC numeric object or as a
string literal. A fixed-point cast switch may also be passed as a constructor argument to set the fixed-point
casting, as described in 7.10.7.
Authorized licensed use limited to: Furkan Tuncer. Downloaded on October 16,2017 at 17:05:54 UTC from IEEE Xplore. Restrictions apply.
IEEE Std 1666-2011
IEEE Standard for Standard SystemC® Language Reference Manual
349
Copyright © 2012 IEEE. All rights reserved.
7.10.14.5 Assignment operators
Overloaded assignment operators shall provide conversion from SystemC data types and the native C++
numeric representation to sc_fix, using truncation or sign-extension, as described in 7.10.4.
7.10.14.6 Bitwise operators
Bitwise operators for all combinations of operands of type sc_fix and sc_fix_fast shall be defined, as
described in 7.10.4.
7.10.15 sc_ufix
7.10.15.1 Description
Class sc_ufix shall represent an unsigned finite-precision fixed-point value. The fixed-point type parameters
wl, iwl, q_mode, o_mode, and n_bits may be specified as constructor arguments.
7.10.15.2 Class definition
namespace sc_dt {
class sc_ufix
: public sc_fxnum
{
public:
// Constructors
explicit sc_ufix();
sc_ufix( int , int );
sc_ufix( sc_q_mode , sc_o_mode );
sc_ufix( sc_q_mode , sc_o_mode , int );
sc_ufix( int , int , sc_q_mode , sc_o_mode );
sc_ufix( int , int , sc_q_mode , sc_o_mode, int );
explicit sc_ufix( const sc_fxcast_switch& );
sc_ufix( int , int , const sc_fxcast_switch& );
sc_ufix( sc_q_mode , sc_o_mode , const sc_fxcast_switch& );
sc_ufix( sc_q_mode , sc_o_mode , int , const sc_fxcast_switch& );
sc_ufix( int , int , sc_q_mode , sc_o_mode , const sc_fxcast_switch& );
sc_ufix( int , int , sc_q_mode , sc_o_mode , int , const sc_fxcast_switch& );
explicit sc_ufix( const sc_fxtype_params& );
sc_ufix( const sc_fxtype_params& , const sc_fxcast_switch& );
#define DECL_CTORS_T( tp ) \
sc_ufix( tp , int , int ); \
sc_ufix( tp , sc_q_mode , sc_o_mode ); \
sc_ufix( tp , sc_q_mode , sc_o_mode , int ); \
sc_ufix( tp , int , int , sc_q_mode , sc_o_mode ); \
sc_ufix( tp , int , int , sc_q_mode , sc_o_mode , int ); \
sc_ufix( tp , const sc_fxcast_switch& ); \
sc_ufix( tp , int , int , const sc_fxcast_switch& ); \
sc_ufix( tp , sc_q_mode , sc_o_mode , const sc_fxcast_switch& ); \
sc_ufix( tp , sc_q_mode , sc_o_mode , int , const sc_fxcast_switch& ); \
sc_ufix( tp , int , int , sc_q_mode , sc_o_mode , const sc_fxcast_switch& ); \
sc_ufix( tp , int , int , sc_q_mode , sc_o_mode , int , const sc_fxcast_switch& ); \
sc_ufix( tp , const sc_fxtype_params& ); \
Authorized licensed use limited to: Furkan Tuncer. Downloaded on October 16,2017 at 17:05:54 UTC from IEEE Xplore. Restrictions apply.
IEEE Std 1666-2011
IEEE Standard for Standard SystemC® Language Reference Manual
350
Copyright © 2012 IEEE. All rights reserved.
sc_ufix( tp , const sc_fxtype_params& , const sc_fxcast_switch& );
#define DECL_CTORS_T_A( tp ) \
sc_ufix( tp ); \
DECL_CTORS_T( tp )
#define DECL_CTORS_T_B( tp ) \
explicit sc_ufix( tp ); \
DECL_CTORS_T( tp )
DECL_CTORS_T_A( int )
DECL_CTORS_T_A( unsigned int )
DECL_CTORS_T_A( long )
DECL_CTORS_T_A( unsigned long )
DECL_CTORS_T_A( float )
DECL_CTORS_T_A( double )
DECL_CTORS_T_A( const char* )
DECL_CTORS_T_A( const sc_fxval& )
DECL_CTORS_T_A( const sc_fxval_fast& )
DECL_CTORS_T_A( const sc_fxnum& )
DECL_CTORS_T_A( const sc_fxnum_fast& )
DECL_CTORS_T_B( int64 )
DECL_CTORS_T_B( uint64 )
DECL_CTORS_T_B( const sc_int_base& )
DECL_CTORS_T_B( const sc_uint_base& )
DECL_CTORS_T_B( const sc_signed& )
DECL_CTORS_T_B( const sc_unsigned& )
#undef DECL_CTORS_T
#undef DECL_CTORS_T_A
#undef DECL_CTORS_T_B
// Copy constructor
sc_ufix( const sc_ufix& );
// Unary bitwise operators
const sc_ufix operator~ () const;
// Binary bitwise operators
friend const sc_ufix operator& ( const sc_ufix& , const sc_ufix& );
friend const sc_ufix operator& ( const sc_ufix& , const sc_ufix_fast& );
friend const sc_ufix operator& ( const sc_ufix_fast& , const sc_ufix& );
friend const sc_ufix operator| ( const sc_ufix& , const sc_ufix& );
friend const sc_ufix operator| ( const sc_ufix& , const sc_ufix_fast& );
friend const sc_ufix operator| ( const sc_ufix_fast& , const sc_ufix& );
friend const sc_ufix operator^ ( const sc_ufix& , const sc_ufix& );
friend const sc_ufix operator^ ( const sc_ufix& , const sc_ufix_fast& );
friend const sc_ufix operator^ ( const sc_ufix_fast& , const sc_ufix& );
// Assignment operators
sc_ufix& operator= ( const sc_ufix& );
Authorized licensed use limited to: Furkan Tuncer. Downloaded on October 16,2017 at 17:05:54 UTC from IEEE Xplore. Restrictions apply.
IEEE Std 1666-2011
IEEE Standard for Standard SystemC® Language Reference Manual
351
Copyright © 2012 IEEE. All rights reserved.
#define DECL_ASN_OP_T( op , tp ) \
sc_ufix& operator op ( tp );
#define DECL_ASN_OP_OTHER( op ) \
DECL_ASN_OP_T( op , int64 ) \
DECL_ASN_OP_T( op , uint64 ) \
DECL_ASN_OP_T( op , const sc_int_base& )\
DECL_ASN_OP_T( op , const sc_uint_base& )\
DECL_ASN_OP_T( op , const sc_signed& ) \
DECL_ASN_OP_T( op , const sc_unsigned& )
#define DECL_ASN_OP( op ) \
DECL_ASN_OP_T( op , int ) \
DECL_ASN_OP_T( op , unsigned int ) \
DECL_ASN_OP_T( op , long ) \
DECL_ASN_OP_T( op , unsigned long ) \
DECL_ASN_OP_T( op , float ) \
DECL_ASN_OP_T( op , double ) \
DECL_ASN_OP_T( op , const char* )\
DECL_ASN_OP_T( op , const sc_fxval& ) \
DECL_ASN_OP_T( op , const sc_fxval_fast& ) \
DECL_ASN_OP_T( op , const sc_fxnum& ) \
DECL_ASN_OP_T( op , const sc_fxnum_fast& )\
DECL_ASN_OP_OTHER( op )
DECL_ASN_OP( = )
DECL_ASN_OP( *= )
DECL_ASN_OP( /= )
DECL_ASN_OP( += )
DECL_ASN_OP( -= )
DECL_ASN_OP_T( <<= , int )
DECL_ASN_OP_T( >>= , int )
DECL_ASN_OP_T( &= , const sc_ufix& )
DECL_ASN_OP_T( &= , const sc_ufix_fast& )
DECL_ASN_OP_T( |= , const sc_ufix& )
DECL_ASN_OP_T( |= , const sc_ufix_fast& )
DECL_ASN_OP_T( ^= , const sc_ufix& )
DECL_ASN_OP_T( ^= , const sc_ufix_fast& )
#undef DECL_ASN_OP_T
#undef DECL_ASN_OP_OTHER
#undef DECL_ASN_OP
// Auto-increment and auto-decrement
const sc_fxval operator++ ( int );
const sc_fxval operator-- ( int );
sc_ufix& operator++ ();
sc_ufix& operator-- ();
};
} // namespace sc_dt
7.10.15.3 Constraints on usage
The word length shall be greater than zero. The number of saturated bits, if specified, shall not be less than
zero.
Authorized licensed use limited to: Furkan Tuncer. Downloaded on October 16,2017 at 17:05:54 UTC from IEEE Xplore. Restrictions apply.
IEEE Std 1666-2011
IEEE Standard for Standard SystemC® Language Reference Manual
352
Copyright © 2012 IEEE. All rights reserved.
7.10.15.4 Public constructors
The constructor arguments may specify the fixed-point type parameters, as described in 7.10.1. The default
constructor shall set fixed-point type parameters according to the fixed-point context in scope at the point of
construction. An initial value may additionally be specified as a C++ or SystemC numeric object or as a
string literal. A fixed-point cast switch may also be passed as a constructor argument to set the fixed-point
casting, as described in 7.10.7.
7.10.15.5 Assignment operators
Overloaded assignment operators shall provide conversion from SystemC data types and the native C++
numeric representation to sc_ufix, using truncation or sign-extension, as described in 7.10.4.
7.10.15.6 Bitwise operators
Bitwise operators for all combinations of operands of type sc_ufix and sc_ufix_fast shall be defined, as
described in 7.10.4.
7.10.16 sc_fix_fast
7.10.16.1 Description
Class sc_fix_fast shall represent a signed (two’s complement) limited-precision fixed-point value. The
fixed-point type parameters wl, iwl, q_mode, o_mode, and n_bits may be specified as constructor
arguments.
7.10.16.2 Class definition
namespace sc_dt {
class sc_fix_fast
: public sc_fxnum_fast
{
public:
// Constructors
sc_fix_fast();
sc_fix_fast( int , int );
sc_fix_fast( sc_q_mode , sc_o_mode );
sc_fix_fast( sc_q_mode , sc_o_mode , int );
sc_fix_fast( int , int , sc_q_mode , sc_o_mode );
sc_fix_fast( int , int , sc_q_mode , sc_o_mode , int );
sc_fix_fast( const sc_fxcast_switch& );
sc_fix_fast( int , int , const sc_fxcast_switch& );
sc_fix_fast( sc_q_mode , sc_o_mode , const sc_fxcast_switch& );
sc_fix_fast( sc_q_mode , sc_o_mode , int , const sc_fxcast_switch& );
sc_fix_fast( int , int , sc_q_mode , sc_o_mode , const sc_fxcast_switch& );
sc_fix_fast( int , int , sc_q_mode , sc_o_mode , int , const sc_fxcast_switch& );
sc_fix_fast( const sc_fxtype_params& );
sc_fix_fast( const sc_fxtype_params& , const sc_fxcast_switch& );
Authorized licensed use limited to: Furkan Tuncer. Downloaded on October 16,2017 at 17:05:54 UTC from IEEE Xplore. Restrictions apply.
IEEE Std 1666-2011
IEEE Standard for Standard SystemC® Language Reference Manual
353
Copyright © 2012 IEEE. All rights reserved.
#define DECL_CTORS_T( tp ) \
sc_fix_fast( tp , int , int ); \
sc_fix_fast( tp , sc_q_mode , sc_o_mode ); \
sc_fix_fast( tp , sc_q_mode , sc_o_mode , int ); \
sc_fix_fast( tp , int , int , sc_q_mode , sc_o_mode ); \
sc_fix_fast( tp , int , int , sc_q_mode , sc_o_mode , int ); \
sc_fix_fast( tp , const sc_fxcast_switch& ); \
sc_fix_fast( tp , int , int , const sc_fxcast_switch& ); \
sc_fix_fast( tp , sc_q_mode , sc_o_mode , const sc_fxcast_switch& ); \
sc_fix_fast( tp , sc_q_mod e, sc_o_mode , int , const sc_fxcast_switch& ); \
sc_fix_fast( tp , int , int , sc_q_mode , sc_o_mode , const sc_fxcast_switch& ); \
sc_fix_fast( tp , int , int , sc_q_mode , sc_o_mode , int , const sc_fxcast_switch& ); \
sc_fix_fast( tp , const sc_fxtype_params& ); \
sc_fix_fast( tp , const sc_fxtype_params& , const sc_fxcast_switch& );
#define DECL_CTORS_T_A( tp ) \
sc_fix_fast( tp ); \
DECL_CTORS_T( tp )
#define DECL_CTORS_T_B( tp ) \
explicit sc_fix_fast( tp ); \
DECL_CTORS_T( tp )
DECL_CTORS_T_A( int )
DECL_CTORS_T_A( unsigned int )
DECL_CTORS_T_A( long )
DECL_CTORS_T_A( unsigned long )
DECL_CTORS_T_A( float )
DECL_CTORS_T_A( double )
DECL_CTORS_T_A( const char* )
DECL_CTORS_T_A( const sc_fxval& )
DECL_CTORS_T_A( const sc_fxval_fast& )
DECL_CTORS_T_A( const sc_fxnum& )
DECL_CTORS_T_A( const sc_fxnum_fast& )
DECL_CTORS_T_B( int64 )
DECL_CTORS_T_B( uint64 )
DECL_CTORS_T_B( const sc_int_base& )
DECL_CTORS_T_B( const sc_uint_base& )
DECL_CTORS_T_B( const sc_signed& )
DECL_CTORS_T_B( const sc_unsigned& )
// Copy constructor
sc_fix_fast( const sc_fix_fast& );
// Operators
const sc_fix_fast operator~ () const;
friend const sc_fix_fast operator& ( const sc_fix_fast& , const sc_fix_fast& );
friend const sc_fix_fast operator^ ( const sc_fix_fast& , const sc_fix_fast& );
friend const sc_fix_fast operator| ( const sc_fix_fast& , const sc_fix_fast& );
sc_fix_fast& operator= ( const sc_fix_fast& );
#define DECL_ASN_OP_T( op , tp ) \
sc_fix_fast& operator op ( tp );
#define DECL_ASN_OP_OTHER( op ) \
DECL_ASN_OP_T( op , int64 ) \
DECL_ASN_OP_T( op , uint64 ) \
Authorized licensed use limited to: Furkan Tuncer. Downloaded on October 16,2017 at 17:05:54 UTC from IEEE Xplore. Restrictions apply.
IEEE Std 1666-2011
IEEE Standard for Standard SystemC® Language Reference Manual
354
Copyright © 2012 IEEE. All rights reserved.
DECL_ASN_OP_T( op , const sc_int_base& )\
DECL_ASN_OP_T( op , const sc_uint_base& )\
DECL_ASN_OP_T( op , const sc_signed& )\
DECL_ASN_OP_T( op , const sc_unsigned& )
#define DECL_ASN_OP( op ) \
DECL_ASN_OP_T( op , int ) \
DECL_ASN_OP_T( op , unsigned int ) \
DECL_ASN_OP_T( op , long ) \
DECL_ASN_OP_T( op , unsigned long ) \
DECL_ASN_OP_T( op , float) \
DECL_ASN_OP_T( op , double ) \
DECL_ASN_OP_T( op , const char* )\
DECL_ASN_OP_T( op , const sc_fxval& )\
DECL_ASN_OP_T( op , const sc_fxval_fast& )\
DECL_ASN_OP_T( op , const sc_fxnum& )\
DECL_ASN_OP_T( op , const sc_fxnum_fast& )\
DECL_ASN_OP_OTHER( op )
DECL_ASN_OP( = )
DECL_ASN_OP( *= )
DECL_ASN_OP( /= )
DECL_ASN_OP( += )
DECL_ASN_OP( -= )
DECL_ASN_OP_T( <<= , int )
DECL_ASN_OP_T( >>= , int )
DECL_ASN_OP_T( &= , const sc_fix& )
DECL_ASN_OP_T( &= , const sc_fix_fast& )
DECL_ASN_OP_T( |= , const sc_fix& )
DECL_ASN_OP_T( |= , const sc_fix_fast& )
DECL_ASN_OP_T( ^= , const sc_fix& )
DECL_ASN_OP_T( ^= , const sc_fix_fast& )
const sc_fxval_fast operator++ ( int );
const sc_fxval_fast operator-- ( int );
sc_fix_fast& operator++ ();
sc_fix_fast& operator-- ();
};
} // namespace sc_dt
7.10.16.3 Constraints on usage
The word length shall be greater than zero. The number of saturated bits, if specified, shall not be less than
zero.
sc_fix_fast shall use double-precision (floating-point) values. The mantissa of a double-precision value is
limited to 53 bits, so bit-true behavior cannot be guaranteed with the limited-precision types.
7.10.16.4 Public constructors
The constructor arguments may specify the fixed-point type parameters, as described in 7.10.1. The default
constructor shall set fixed-point type parameters according to the fixed-point context in scope at the point of
construction. An initial value may additionally be specified as a C++ or SystemC numeric object or as a
Authorized licensed use limited to: Furkan Tuncer. Downloaded on October 16,2017 at 17:05:54 UTC from IEEE Xplore. Restrictions apply.
IEEE Std 1666-2011
IEEE Standard for Standard SystemC® Language Reference Manual
355
Copyright © 2012 IEEE. All rights reserved.
string literal. A fixed-point cast switch may also be passed as a constructor argument to set the fixed-point
casting, as described in 7.10.7.
7.10.16.5 Assignment operators
Overloaded assignment operators shall provide conversion from SystemC data types and the native C++
numeric representation to sc_fix_fast, using truncation or sign-extension, as described in 7.10.4.
7.10.16.6 Bitwise operators
Bitwise operators for operands of type sc_fix_fast shall be defined, as described in 7.10.4.
7.10.17 sc_ufix_fast
7.10.17.1 Description
Class sc_ufix_fast shall represent an unsigned limited-precision fixed-point value. The fixed-point type
parameters wl, iwl, q_mode, o_mode, and n_bits may be specified as constructor arguments.
7.10.17.2 Class definition
namespace sc_dt {
class sc_ufix_fast
: public sc_fxnum_fast
{
public:
// Constructors
explicit sc_ufix_fast();
sc_ufix_fast( int , int );
sc_ufix_fast( sc_q_mode , sc_o_mode );
sc_ufix_fast( sc_q_mode , sc_o_mode , int );
sc_ufix_fast( int , int , sc_q_mode , sc_o_mode );
sc_ufix_fast( int , int , sc_q_mode , sc_o_mode , int );
explicit sc_ufix_fast( const sc_fxcast_switch& );
sc_ufix_fast( int , int , const sc_fxcast_switch& );
sc_ufix_fast( sc_q_mode , sc_o_mode , const sc_fxcast_switch& );
sc_ufix_fast( sc_q_mode , sc_o_mode , int , const sc_fxcast_switch& );
sc_ufix_fast( int , int , sc_q_mode , sc_o_mode , const sc_fxcast_switch& );
sc_ufix_fast( int , int , sc_q_mode , sc_o_mode , int , const sc_fxcast_switch& );
explicit sc_ufix_fast( const sc_fxtype_params& );
sc_ufix_fast( const sc_fxtype_params& , const sc_fxcast_switch& );
#define DECL_CTORS_T( tp ) \
sc_ufix_fast( tp , int , int ); \
sc_ufix_fast( tp , sc_q_mode , sc_o_mode ); \
sc_ufix_fast( tp , sc_q_mode , sc_o_mode , int ); \
sc_ufix_fast( tp , int , int , sc_q_mode , sc_o_mode ); \
sc_ufix_fast( tp , int , int , sc_q_mode , sc_o_mode , int ); \
sc_ufix_fast( tp , const sc_fxcast_switch& ); \
sc_ufix_fast( tp , int , int , const sc_fxcast_switch& ); \
sc_ufix_fast( tp , sc_q_mode , sc_o_mode , const sc_fxcast_switch& ); \
sc_ufix_fast( tp , sc_q_mode , sc_o_mode , int , const sc_fxcast_switch& ); \
sc_ufix_fast( tp , int , int , sc_q_mode , sc_o_mode , const sc_fxcast_switch& ); \
Authorized licensed use limited to: Furkan Tuncer. Downloaded on October 16,2017 at 17:05:54 UTC from IEEE Xplore. Restrictions apply.
IEEE Std 1666-2011
IEEE Standard for Standard SystemC® Language Reference Manual
356
Copyright © 2012 IEEE. All rights reserved.
sc_ufix_fast( tp , int , int , sc_q_mode , sc_o_mode , int , const sc_fxcast_switch& ); \
sc_ufix_fast( tp , const sc_fxtype_params& ); \
sc_ufix_fast( tp , const sc_fxtype_params& , const sc_fxcast_switch& );
#define DECL_CTORS_T_A( tp ) \
sc_ufix_fast( tp ); \
DECL_CTORS_T( tp )
#define DECL_CTORS_T_B( tp ) \
explicit sc_ufix_fast( tp ); \
DECL_CTORS_T( tp )
DECL_CTORS_T_A( int )
DECL_CTORS_T_A( unsigned int )
DECL_CTORS_T_A( long )
DECL_CTORS_T_A( unsigned long )
DECL_CTORS_T_A( float )
DECL_CTORS_T_A( double )
DECL_CTORS_T_A( const char* )
DECL_CTORS_T_A( const sc_fxval& )
DECL_CTORS_T_A( const sc_fxval_fast& )
DECL_CTORS_T_A( const sc_fxnum& )
DECL_CTORS_T_A( const sc_fxnum_fast& )
DECL_CTORS_T_B( int64 )
DECL_CTORS_T_B( uint64 )
DECL_CTORS_T_B( const sc_int_base& )
DECL_CTORS_T_B( const sc_uint_base& )
DECL_CTORS_T_B( const sc_signed& )
DECL_CTORS_T_B( const sc_unsigned& )
#undef DECL_CTORS_T
#undef DECL_CTORS_T_A
#undef DECL_CTORS_T_B
// Copy constructor
sc_ufix_fast( const sc_ufix_fast& );
// Unary bitwise operators
const sc_ufix_fast operator~ () const;
// Binary bitwise operators
friend const sc_ufix_fast operator& ( const sc_ufix_fast& , const sc_ufix_fast& );
friend const sc_ufix_fast operator^ ( const sc_ufix_fast& , const sc_ufix_fast& );
friend const sc_ufix_fast operator| ( const sc_ufix_fast& , const sc_ufix_fast& );
// Assignment operators
sc_ufix_fast& operator= ( const sc_ufix_fast& );
#define DECL_ASN_OP_T( op , tp ) \
sc_ufix_fast& operator op ( tp );
#define DECL_ASN_OP_OTHER( op ) \
DECL_ASN_OP_T( op , int64 ) \
DECL_ASN_OP_T( op , uint64 ) \
DECL_ASN_OP_T( op , const sc_int_base& )\
DECL_ASN_OP_T( op , const sc_uint_base& ) \
DECL_ASN_OP_T( op , const sc_signed& ) \
Authorized licensed use limited to: Furkan Tuncer. Downloaded on October 16,2017 at 17:05:54 UTC from IEEE Xplore. Restrictions apply.
IEEE Std 1666-2011
IEEE Standard for Standard SystemC® Language Reference Manual
357
Copyright © 2012 IEEE. All rights reserved.
DECL_ASN_OP_T( op , const sc_unsigned& )
#define DECL_ASN_OP( op ) \
DECL_ASN_OP_T( op , int ) \
DECL_ASN_OP_T( op , unsigned int )\
DECL_ASN_OP_T( op , long ) \
DECL_ASN_OP_T( op , unsigned long ) \
DECL_ASN_OP_T( op , float ) \
DECL_ASN_OP_T( op , double ) \
DECL_ASN_OP_T( op , const char* )\
DECL_ASN_OP_T( op , const sc_fxval& ) \
DECL_ASN_OP_T( op , const sc_fxval_fast& ) \
DECL_ASN_OP_T( op , const sc_fxnum& ) \
DECL_ASN_OP_T( op , const sc_fxnum_fast& ) \
DECL_ASN_OP_OTHER( op )
DECL_ASN_OP( = )
DECL_ASN_OP( *= )
DECL_ASN_OP( /= )
DECL_ASN_OP( += )
DECL_ASN_OP( -= )
DECL_ASN_OP_T( <<= , int )
DECL_ASN_OP_T( >>= , int )
DECL_ASN_OP_T( &= , const sc_ufix& )
DECL_ASN_OP_T( &= , const sc_ufix_fast& )
DECL_ASN_OP_T( |= , const sc_ufix& )
DECL_ASN_OP_T( |= , const sc_ufix_fast& )
DECL_ASN_OP_T( ^= , const sc_ufix& )
DECL_ASN_OP_T( ^= , const sc_ufix_fast& )
#undef DECL_ASN_OP_T
#undef DECL_ASN_OP_OTHER
#undef DECL_ASN_OP
// Auto-increment and auto-decrement
const sc_fxval_fast operator++ ( int );
const sc_fxval_fast operator-- ( int );
sc_ufix_fast& operator++ ();
sc_ufix_fast& operator-- ();
};
} // namespace sc_dt
7.10.17.3 Constraints on usage
The word length shall be greater than zero. The number of saturated bits, if specified, shall not be less than
zero.
sc_ufix_fast shall use double-precision (floating-point) values. The mantissa of a double-precision value is
limited to 53 bits, so bit-true behavior cannot be guaranteed with the limited-precision types.
7.10.17.4 Public constructors
The constructor arguments may specify the fixed-point type parameters, as described in 7.10.1. The default
constructor shall set fixed-point type parameters according to the fixed-point context in scope at the point of
Authorized licensed use limited to: Furkan Tuncer. Downloaded on October 16,2017 at 17:05:54 UTC from IEEE Xplore. Restrictions apply.
IEEE Std 1666-2011
IEEE Standard for Standard SystemC® Language Reference Manual
358
Copyright © 2012 IEEE. All rights reserved.
construction. An initial value may additionally be specified as a C++ or SystemC numeric object or as a
string literal. A fixed-point cast switch may also be passed as a constructor argument to set the fixed-point
casting, as described in 7.10.7.
7.10.17.5 Assignment operators
Overloaded assignment operators shall provide conversion from SystemC data types and the native C++
numeric representation to sc_ufix_fast, using truncation or sign-extension, as described in 7.10.4.
7.10.17.6 Bitwise operators
Bitwise operators for operands of type sc_ufix_fast shall be defined, as described in 7.10.4.
7.10.18 sc_fixed
7.10.18.1 Description
Class template sc_fixed shall represent a signed (two’s complement) finite-precision fixed-point value. The
fixed-point type parameters wl, iwl, q_mode, o_mode, and n_bits shall be specified by the template
arguments.
Any public member functions of the base class sc_fix that are overridden in class sc_fixed shall have the
same behavior in the two classes. Any public member functions of the base class not overridden in this way
shall be publicly inherited by class sc_fixed.
7.10.18.2 Class definition
namespace sc_dt {
template <int W, int I,
sc_q_mode Q = SC_DEFAULT_Q_MODE_,
sc_o_mode O = SC_DEFAULT_O_MODE_, int N = SC_DEFAULT_N_BITS_>
class sc_fixed
: public sc_fix
{
public:
// Constructors
sc_fixed();
sc_fixed( const sc_fxcast_switch& );
#define DECL_CTORS_T_A( tp ) \
sc_fixed( tp ); \
sc_fixed( tp , const sc_fxcast_switch& );
#define DECL_CTORS_T_B( tp ) \
sc_fixed( tp ); \
sc_fixed( tp , const sc_fxcast_switch& );
DECL_CTORS_T_A( int )
DECL_CTORS_T_A( unsigned int )
DECL_CTORS_T_A( long )
DECL_CTORS_T_A( unsigned long )
DECL_CTORS_T_A( float )
DECL_CTORS_T_A( double )
DECL_CTORS_T_A( const char* )
Authorized licensed use limited to: Furkan Tuncer. Downloaded on October 16,2017 at 17:05:54 UTC from IEEE Xplore. Restrictions apply.
IEEE Std 1666-2011
IEEE Standard for Standard SystemC® Language Reference Manual
359
Copyright © 2012 IEEE. All rights reserved.
DECL_CTORS_T_A( const sc_fxval& )
DECL_CTORS_T_A( const sc_fxval_fast& )
DECL_CTORS_T_A( const sc_fxnum& )
DECL_CTORS_T_A( const sc_fxnum_fast& )
DECL_CTORS_T_B( int64 )
DECL_CTORS_T_B( uint64 )
DECL_CTORS_T_B( const sc_int_base& )
DECL_CTORS_T_B( const sc_uint_base& )
DECL_CTORS_T_B( const sc_signed& )
DECL_CTORS_T_B( const sc_unsigned& )
sc_fixed( const sc_fixed<W,I,Q,O,N>& );
// Operators
sc_fixed& operator= ( const sc_fixed<W,I,Q,O,N>& );
#define DECL_ASN_OP_T( op , tp ) \
sc_fixed& operator op ( tp );
#define DECL_ASN_OP_OTHER( op ) \
DECL_ASN_OP_T( op , int64 ) \
DECL_ASN_OP_T( op , uint64 ) \
DECL_ASN_OP_T( op , const sc_int_base& ) \
DECL_ASN_OP_T( op , const sc_uint_base& ) \
DECL_ASN_OP_T( op , const sc_signed& ) \
DECL_ASN_OP_T( op , const sc_unsigned& )
#define DECL_ASN_OP( op ) \
DECL_ASN_OP_T( op , int ) \
DECL_ASN_OP_T( op , unsigned int ) \
DECL_ASN_OP_T( op , long ) \
DECL_ASN_OP_T( op , unsigned long ) \
DECL_ASN_OP_T( op, float ) \
DECL_ASN_OP_T( op , double ) \
DECL_ASN_OP_T( op , const char* ) \
DECL_ASN_OP_T( op , const sc_fxval& ) \
DECL_ASN_OP_T( op , const sc_fxval_fast& ) \
DECL_ASN_OP_T( op , const sc_fxnum& ) \
DECL_ASN_OP_T( op , const sc_fxnum_fast& ) \
DECL_ASN_OP_OTHER( op )
DECL_ASN_OP( = )
DECL_ASN_OP( *= )
DECL_ASN_OP( /= )
DECL_ASN_OP( += )
DECL_ASN_OP( -= )
DECL_ASN_OP_T( <<= , int )
DECL_ASN_OP_T( >>= , int )
DECL_ASN_OP_T( &= , const sc_fix& )
DECL_ASN_OP_T( &= , const sc_fix_fast& )
DECL_ASN_OP_T( |= , const sc_fix& )
DECL_ASN_OP_T( |= , const sc_fix_fast& )
DECL_ASN_OP_T( ^= , const sc_fix& )
DECL_ASN_OP_T( ^= , const sc_fix_fast& )
const sc_fxval operator++ ( int );
const sc_fxval operator-- ( int );
Authorized licensed use limited to: Furkan Tuncer. Downloaded on October 16,2017 at 17:05:54 UTC from IEEE Xplore. Restrictions apply.
IEEE Std 1666-2011
IEEE Standard for Standard SystemC® Language Reference Manual
360
Copyright © 2012 IEEE. All rights reserved.
sc_fixed& operator++ ();
sc_fixed& operator-- ();
};
} // namespace sc_dt
7.10.18.3 Constraints on usage
The word length shall be greater than zero. The number of saturated bits, if specified, shall not be less than
zero.
7.10.18.4 Public constructors
The initial value of an sc_fixed object may be specified as a constructor argument, that is, a C++ or SystemC
numeric object or a string literal. A fixed-point cast switch may also be passed as a constructor argument to
set the fixed-point casting, as described in 7.10.7.
7.10.18.5 Assignment operators
Overloaded assignment operators shall provide conversion from SystemC data types and the native C++
numeric representation to sc_fixed, using truncation or sign-extension, as described in 7.10.4.
7.10.19 sc_ufixed
7.10.19.1 Description
Class template sc_ufixed represents an unsigned finite-precision fixed-point value. The fixed-point type
parameters wl, iwl, q_mode, o_mode, and n_bits shall be specified by the template arguments.
Any public member functions of the base class sc_ufix that are overridden in class sc_ufixed shall have the
same behavior in the two classes. Any public member functions of the base class not overridden in this way
shall be publicly inherited by class sc_ufixed.
7.10.19.2 Class definition
namespace sc_dt {
template <int W, int I,
sc_q_mode Q = SC_DEFAULT_Q_MODE_,
sc_o_mode O = SC_DEFAULT_O_MODE_, int N = SC_DEFAULT_N_BITS_>
class sc_ufixed
: public sc_ufix
{
public:
// Constructors
explicit sc_ufixed();
explicit sc_ufixed( const sc_fxcast_switch& );
#define DECL_CTORS_T_A( tp ) \
sc_ufixed( tp ); \
sc_ufixed( tp , const sc_fxcast_switch& );
#define DECL_CTORS_T_B( tp ) \
explicit sc_ufixed( tp ); \
sc_ufixed( tp , const sc_fxcast_switch& );
Authorized licensed use limited to: Furkan Tuncer. Downloaded on October 16,2017 at 17:05:54 UTC from IEEE Xplore. Restrictions apply.
IEEE Std 1666-2011
IEEE Standard for Standard SystemC® Language Reference Manual
361
Copyright © 2012 IEEE. All rights reserved.
DECL_CTORS_T_A( int )
DECL_CTORS_T_A( unsigned int )
DECL_CTORS_T_A( long )
DECL_CTORS_T_A( unsigned long )
DECL_CTORS_T_A( float )
DECL_CTORS_T_A( double )
DECL_CTORS_T_A( const char* )
DECL_CTORS_T_A( const sc_fxval& )
DECL_CTORS_T_A( const sc_fxval_fast& )
DECL_CTORS_T_A( const sc_fxnum& )
DECL_CTORS_T_A( const sc_fxnum_fast& )
DECL_CTORS_T_B( int64 )
DECL_CTORS_T_B( uint64 )
DECL_CTORS_T_B( const sc_int_base& )
DECL_CTORS_T_B( const sc_uint_base& )
DECL_CTORS_T_B( const sc_signed& )
DECL_CTORS_T_B( const sc_unsigned& )
#undef DECL_CTORS_T_A
#undef DECL_CTORS_T_B
// Copy constructor
sc_ufixed( const sc_ufixed<W,I,Q,O,N>& );
// Assignment operators
sc_ufixed& operator= ( const sc_ufixed<W,I,Q,O,N>& );
#define DECL_ASN_OP_T( op , tp ) \
sc_ufixed& operator op ( tp );
#define DECL_ASN_OP_OTHER( op ) \
DECL_ASN_OP_T( op , int64 ) \
DECL_ASN_OP_T( op , uint64 ) \
DECL_ASN_OP_T( op , const sc_int_base& )\
DECL_ASN_OP_T( op , const sc_uint_base& ) \
DECL_ASN_OP_T( op , const sc_signed& ) \
DECL_ASN_OP_T( op , const sc_unsigned& )
#define DECL_ASN_OP( op ) \
DECL_ASN_OP_T( op , int ) \
DECL_ASN_OP_T( op , unsigned int )\
DECL_ASN_OP_T( op , long ) \
DECL_ASN_OP_T( op , unsigned long ) \
DECL_ASN_OP_T( op , float ) \
DECL_ASN_OP_T( op , double ) \
DECL_ASN_OP_T( op , const char* ) \
DECL_ASN_OP_T( op , const sc_fxval& ) \
DECL_ASN_OP_T( op , const sc_fxval_fast& ) \
DECL_ASN_OP_T( op , const sc_fxnum& ) \
DECL_ASN_OP_T( op , const sc_fxnum_fast& ) \
DECL_ASN_OP_OTHER( op )
DECL_ASN_OP( = )
DECL_ASN_OP( *= )
DECL_ASN_OP( /= )
DECL_ASN_OP( += )
DECL_ASN_OP( -= )
Authorized licensed use limited to: Furkan Tuncer. Downloaded on October 16,2017 at 17:05:54 UTC from IEEE Xplore. Restrictions apply.
IEEE Std 1666-2011
IEEE Standard for Standard SystemC® Language Reference Manual
362
Copyright © 2012 IEEE. All rights reserved.
DECL_ASN_OP_T( <<= , int )
DECL_ASN_OP_T( >>= , int )
DECL_ASN_OP_T( &= , const sc_ufix& )
DECL_ASN_OP_T( &= , const sc_ufix_fast& )
DECL_ASN_OP_T( |= , const sc_ufix& )
DECL_ASN_OP_T( |= , const sc_ufix_fast& )
DECL_ASN_OP_T( ^= , const sc_ufix& )
DECL_ASN_OP_T( ^= , const sc_ufix_fast& )
#undef DECL_ASN_OP_T
#undef DECL_ASN_OP_OTHER
#undef DECL_ASN_OP
// Auto-increment and auto-decrement
const sc_fxval operator++ ( int );
const sc_fxval operator-- ( int );
sc_ufixed& operator++ ();
sc_ufixed& operator-- ();
};
} // namespace sc_dt
7.10.19.3 Constraints on usage
The word length shall be greater than zero. The number of saturated bits, if specified, shall not be less than
zero.
7.10.19.4 Public constructors
The initial value of an sc_ufixed object may be specified as a constructor argument that is a C++ or
SystemC numeric object or a string literal. A fixed-point cast switch may also be passed as a constructor
argument to set the fixed-point casting, as described in 7.10.7.
7.10.19.5 Assignment operators
Overloaded assignment operators shall provide conversion from SystemC data types and the native C++
numeric representation to sc_ufixed, using truncation or sign-extension, as described in 7.10.4.
7.10.20 sc_fixed_fast
7.10.20.1 Description
Class template sc_fixed_fast shall represent a signed (two’s complement) limited-precision fixed-point
type. The fixed-point type parameters wl, iwl, q_mode, o_mode, and n_bits shall be specified by the
template arguments.
Any public member functions of the base class sc_fix_fast that are overridden in class sc_fixed_fast shall
have the same behavior in the two classes. Any public member functions of the base class not overridden in
this way shall be publicly inherited by class sc_fixed_fast.
Authorized licensed use limited to: Furkan Tuncer. Downloaded on October 16,2017 at 17:05:54 UTC from IEEE Xplore. Restrictions apply.
IEEE Std 1666-2011
IEEE Standard for Standard SystemC® Language Reference Manual
363
Copyright © 2012 IEEE. All rights reserved.
7.10.20.2 Class definition
namespace sc_dt {
template <int W, int I,
sc_q_mode Q = SC_DEFAULT_Q_MODE_,
sc_o_mode O = SC_DEFAULT_O_MODE_, int N = SC_DEFAULT_N_BITS_>
class sc_fixed_fast
: public sc_fix_fast
{
public:
// Constructors
sc_fixed_fast();
sc_fixed_fast( const sc_fxcast_switch& );
#define DECL_CTORS_T_A( tp ) \
sc_fixed_fast( tp ); \
sc_fixed_fast( tp , const sc_fxcast_switch& );
#define DECL_CTORS_T_B( tp ) \
sc_fixed_fast( tp ); \
sc_fixed_fast( tp , const sc_fxcast_switch& );
DECL_CTORS_T_A( int )
DECL_CTORS_T_A( unsigned int )
DECL_CTORS_T_A( long )
DECL_CTORS_T_A( unsigned long )
DECL_CTORS_T_A( float )
DECL_CTORS_T_A( double )
DECL_CTORS_T_A( const char* )
DECL_CTORS_T_A( const sc_fxval& )
DECL_CTORS_T_A( const sc_fxval_fast& )
DECL_CTORS_T_A( const sc_fxnum& )
DECL_CTORS_T_A( const sc_fxnum_fast& )
DECL_CTORS_T_B( int64 )
DECL_CTORS_T_B( uint64 )
DECL_CTORS_T_B( const sc_int_base& )
DECL_CTORS_T_B( const sc_uint_base& )
DECL_CTORS_T_B( const sc_signed& )
DECL_CTORS_T_B( const sc_unsigned& )
sc_fixed_fast( const sc_fixed_fast<W,I,Q,O,N>& );
// Operators
sc_fixed_fast& operator= ( const
sc_fixed_fast<W,I,Q,O,N>& );
#define DECL_ASN_OP_T( op , tp ) \
sc_fixed_fast& operator op ( tp );
#define DECL_ASN_OP_OTHER( op ) \
DECL_ASN_OP_T( op , int64 ) \
DECL_ASN_OP_T( op , uint64 ) \
DECL_ASN_OP_T( op , const sc_int_base& ) \
DECL_ASN_OP_T( op , const sc_uint_base& ) \
DECL_ASN_OP_T( op , const sc_signed& ) \
DECL_ASN_OP_T( op , const sc_unsigned& )
Authorized licensed use limited to: Furkan Tuncer. Downloaded on October 16,2017 at 17:05:54 UTC from IEEE Xplore. Restrictions apply.
IEEE Std 1666-2011
IEEE Standard for Standard SystemC® Language Reference Manual
364
Copyright © 2012 IEEE. All rights reserved.
#define DECL_ASN_OP( op ) \
DECL_ASN_OP_T( op , int ) \
DECL_ASN_OP_T( op , unsigned int ) \
DECL_ASN_OP_T( op , long ) \
DECL_ASN_OP_T( op , unsigned long ) \
DECL_ASN_OP_T( op , float ) \
DECL_ASN_OP_T( op , double ) \
DECL_ASN_OP_T( op , const char* ) \
DECL_ASN_OP_T( op , const sc_fxval& ) \
DECL_ASN_OP_T( op , const sc_fxval_fast& ) \
DECL_ASN_OP_T( op , const sc_fxnum& ) \
DECL_ASN_OP_T( op , const sc_fxnum_fast& ) \
DECL_ASN_OP_OTHER( op )
DECL_ASN_OP( = )
DECL_ASN_OP( *= )
DECL_ASN_OP( /= )
DECL_ASN_OP( += )
DECL_ASN_OP( -= )
DECL_ASN_OP_T( <<= , int )
DECL_ASN_OP_T( >>= , int )
DECL_ASN_OP_T( &= , const sc_fix& )
DECL_ASN_OP_T( &= , const sc_fix_fast& )
DECL_ASN_OP_T( |= , const sc_fix& )
DECL_ASN_OP_T( |= , const sc_fix_fast& )
DECL_ASN_OP_T( ^= , const sc_fix& )
DECL_ASN_OP_T( ^= , const sc_fix_fast& )
const sc_fxval_fast operator++ ( int );
const sc_fxval_fast operator-- ( int );
sc_fixed_fast& operator++ ();
sc_fixed_fast& operator-- ();
};
} // namespace sc_dt
7.10.20.3 Constraints on usage
The word length shall be greater than zero. The number of saturated bits, if specified, shall not be less than
zero.
sc_fixed_fast shall use double-precision (floating-point) values whose mantissa is limited to 53 bits.
7.10.20.4 Public constructors
The initial value of an sc_fixed_fast object may be specified as a constructor argument that is a C++ or
SystemC numeric object or a string literal. A fixed-point cast switch may also be passed as a constructor
argument to set the fixed-point casting, as described in 7.10.7.
7.10.20.5 Assignment operators
Overloaded assignment operators shall provide conversion from SystemC data types and the native C++
numeric representation to sc_fixed_fast, using truncation or sign-extension, as described in 7.10.4.
Authorized licensed use limited to: Furkan Tuncer. Downloaded on October 16,2017 at 17:05:54 UTC from IEEE Xplore. Restrictions apply.
IEEE Std 1666-2011
IEEE Standard for Standard SystemC® Language Reference Manual
365
Copyright © 2012 IEEE. All rights reserved.
7.10.21 sc_ufixed_fast
7.10.21.1 Description
Class template sc_ufixed_fast shall represent an unsigned limited-precision fixed-point type. The fixed-
point type parameters wl, iwl, q_mode, o_mode, and n_bits shall be specified by the template arguments.
Any public member functions of the base class sc_ufix_fast that are overridden in class sc_ufixed_fast shall
have the same behavior in the two classes. Any public member functions of the base class not overridden in
this way shall be publicly inherited by class sc_ufixed_fast.
7.10.21.2 Class definition
namespace sc_dt {
template <int W, int I,
sc_q_mode Q = SC_DEFAULT_Q_MODE_,
sc_o_mode O = SC_DEFAULT_O_MODE_, int N = SC_DEFAULT_N_BITS_>
class sc_ufixed_fast
: public sc_ufix_fast
{
public:
// Constructors
explicit sc_ufixed_fast();
explicit sc_ufixed_fast( const sc_fxcast_switch& );
#define DECL_CTORS_T_A( tp ) \
sc_ufixed_fast( tp ); \
sc_ufixed_fast( tp , const sc_fxcast_switch& );
#define DECL_CTORS_T_B( tp ) \
explicit sc_ufixed_fast ( tp );\
sc_ufixed_fast( tp , const sc_fxcast_switch& );
DECL_CTORS_T_A( int )
DECL_CTORS_T_A( unsigned int )
DECL_CTORS_T_A( long )
DECL_CTORS_T_A( unsigned long )
DECL_CTORS_T_A( float )
DECL_CTORS_T_A( double )
DECL_CTORS_T_A( const char* )
DECL_CTORS_T_A( const sc_fxval& )
DECL_CTORS_T_A( const sc_fxval_fast& )
DECL_CTORS_T_A( const sc_fxnum& )
DECL_CTORS_T_A( const sc_fxnum_fast& )
DECL_CTORS_T_B( int64 )
DECL_CTORS_T_B( uint64 )
DECL_CTORS_T_B( const sc_int_base& )
DECL_CTORS_T_B( const sc_uint_base& )
DECL_CTORS_T_B( const sc_signed& )
DECL_CTORS_T_B( const sc_unsigned& )
#undef DECL_CTORS_T_A
#undef DECL_CTORS_T_B
Authorized licensed use limited to: Furkan Tuncer. Downloaded on October 16,2017 at 17:05:54 UTC from IEEE Xplore. Restrictions apply.
IEEE Std 1666-2011
IEEE Standard for Standard SystemC® Language Reference Manual
366
Copyright © 2012 IEEE. All rights reserved.
// Copy constructor
sc_ufixed_fast( const sc_ufixed_fast<W,I,Q,O,N>& );
// Assignment operators
sc_ufixed_fast& operator= ( const sc_ufixed_fast<W,I,Q,O,N>& );
#define DECL_ASN_OP_T( op , tp ) \
sc_ufixed_fast& operator op ( tp );
#define DECL_ASN_OP_OTHER( op ) \
DECL_ASN_OP_T( op , int64 ) \
DECL_ASN_OP_T( op , uint64 ) \
DECL_ASN_OP_T( op , const sc_int_base& ) \
DECL_ASN_OP_T( op , const sc_uint_base& ) \
DECL_ASN_OP_T( op , const sc_signed& ) \
DECL_ASN_OP_T( op , const sc_unsigned& )
#define DECL_ASN_OP( op ) \
DECL_ASN_OP_T( op , int ) \
DECL_ASN_OP_T( op , unsigned int )\
DECL_ASN_OP_T( op , long ) \
DECL_ASN_OP_T( op , unsigned long ) \
DECL_ASN_OP_T( op, float ) \
DECL_ASN_OP_T( op , double ) \
DECL_ASN_OP_T( op , const char* )\
DECL_ASN_OP_T( op , const sc_fxval& ) \
DECL_ASN_OP_T( op , const sc_fxval_fast& ) \
DECL_ASN_OP_T( op , const sc_fxnum& ) \
DECL_ASN_OP_T( op , const sc_fxnum_fast& \
DECL_ASN_OP_OTHER( op )
DECL_ASN_OP( = )
DECL_ASN_OP( *= )
DECL_ASN_OP( /= )
DECL_ASN_OP( += )
DECL_ASN_OP( -= )
DECL_ASN_OP_T( <<= , int )
DECL_ASN_OP_T( >>= , int )
DECL_ASN_OP_T( &= , const sc_ufix& )
DECL_ASN_OP_T( &= , const sc_ufix_fast& )
DECL_ASN_OP_T( |= , const sc_ufix& )
DECL_ASN_OP_T( |= , const sc_ufix_fast& )
DECL_ASN_OP_T( ^= , const sc_ufix& )
DECL_ASN_OP_T( ^= , const sc_ufix_fast& )
#undef DECL_ASN_OP_T
#undef DECL_ASN_OP_OTHER
#undef DECL_ASN_OP
// Auto-increment and auto-decrement
const sc_fxval_fast operator++ ( int );
const sc_fxval_fast operator-- ( int );
sc_ufixed_fast& operator++ ();
sc_ufixed_fast& operator-- ();
};
Authorized licensed use limited to: Furkan Tuncer. Downloaded on October 16,2017 at 17:05:54 UTC from IEEE Xplore. Restrictions apply.
IEEE Std 1666-2011
IEEE Standard for Standard SystemC® Language Reference Manual
367
Copyright © 2012 IEEE. All rights reserved.
} // namespace sc_dt
7.10.21.3 Constraints on usage
The word length shall be greater than zero. The number of saturated bits, if specified, shall not be less than
zero.
sc_ufixed_fast shall use double-precision (floating-point) values whose mantissa is limited to 53 bits.
7.10.21.4 Public constructors
The initial value of an sc_fixed_fast object may be specified as a constructor argument, that is, a C++ or
SystemC numeric object or a string literal. A fixed-point cast switch may also be passed as a constructor
argument to set the fixed-point casting, as described in 7.10.7.
7.10.21.5 Assignment operators
Overloaded assignment operators shall provide conversion from SystemC data types and the native C++
numeric representation to sc_fixed_fast, using truncation or sign-extension, as described in 7.10.4.
7.10.22 Bit-selects
7.10.22.1 Description
Class sc_fxnum_bitref† shall represent a bit selected from an sc_fxnum.
Class sc_fxnum_fast_bitref† shall represent a bit selected from an sc_fxnum_fast.
No distinction shall be made between a bit-select used as an lvalue or as an rvalue.
7.10.22.2 Class definition
namespace sc_dt {
class sc_fxnum_bitref†
{
friend class sc_fxnum;
friend class sc_fxnum_fast_bitref†;
public:
// Copy constructor
sc_fxnum_bitref†( const sc_fxnum_bitref†& );
// Assignment operators
#define DECL_ASN_OP_T( op , tp ) \
sc_fxnum_bitref†& operator op ( tp );
#define DECL_ASN_OP( op ) \
DECL_ASN_OP_T( op , const sc_fxnum_bitref†& ) \
DECL_ASN_OP_T( op , const sc_fxnum_fast_bitref†& ) \
DECL_ASN_OP_T( op , bool )
DECL_ASN_OP( = )
DECL_ASN_OP( &= )
Authorized licensed use limited to: Furkan Tuncer. Downloaded on October 16,2017 at 17:05:54 UTC from IEEE Xplore. Restrictions apply.
IEEE Std 1666-2011
IEEE Standard for Standard SystemC® Language Reference Manual
368
Copyright © 2012 IEEE. All rights reserved.
DECL_ASN_OP( |= )
DECL_ASN_OP( ^= )
#undef DECL_ASN_OP_T
#undef DECL_ASN_OP
// Implicit conversion
operator bool() const;
// Print or dump content
void print( std::ostream& = std::cout ) const;
void scan( std::istream& = std::cin );
void dump( std::ostream& = std::cout ) const;
private:
// Disabled
// Constructors
sc_fxnum_bitref†( sc_fxnum& , int );
sc_fxnum_bitref†();
};
// -------------------------------------------------------------
class sc_fxnum_fast_bitref†
{
friend class sc_fxnum_fast;
friend class sc_fxnum_bitref†;
public:
// Copy constructor
sc_fxnum_fast_bitref†( const sc_fxnum_fast_bitref†& );
// Assignment operators
#define DECL_ASN_OP_T( op , tp ) \
sc_fxnum_fast_bitref†& operator op ( tp );
#define DECL_ASN_OP( op ) \
DECL_ASN_OP_T( op , const sc_fxnum_bitref†& ) \
DECL_ASN_OP_T( op , const sc_fxnum_fast_bitref†& ) \
DECL_ASN_OP_T( op , bool )
DECL_ASN_OP( = )
DECL_ASN_OP( &= )
DECL_ASN_OP( |= )
DECL_ASN_OP( ^= )
#undef DECL_ASN_OP_T
#undef DECL_ASN_OP
// Implicit conversion
operator bool() const;
// Print or dump content
void print( std::ostream& = std::cout ) const;
void scan( std::istream& = std::cin );
Authorized licensed use limited to: Furkan Tuncer. Downloaded on October 16,2017 at 17:05:54 UTC from IEEE Xplore. Restrictions apply.
IEEE Std 1666-2011
IEEE Standard for Standard SystemC® Language Reference Manual
369
Copyright © 2012 IEEE. All rights reserved.
void dump( std::ostream& = std::cout ) const;
private:
// Disabled
// Constructor
sc_fxnum_fast_bitref†( sc_fxnum_fast& , int );
sc_fxnum_fast_bitref†();
};
} // namespace sc_dt
7.10.22.3 Constraints on usage
Bit-select objects shall only be created using the bit-select operators of an instance of a class derived from
sc_fxnum or sc_fxnum_fast.
An application shall not explicitly create an instance of any bit-select class.
An application should not declare a reference or pointer to any bit-select object.
7.10.22.4 Assignment operators
Overloaded assignment operators shall provide conversion from bool values.
7.10.22.5 Implicit type conversion
operator bool() const;
Operator bool can be used for implicit type conversion from a bit-select to the native C++ bool
representation.
7.10.23 Part-selects
7.10.23.1 Description
Class sc_fxnum_subref† shall represent a part-select from an sc_fx_num.
Class sc_fxnum_fast_subref† shall represent a part-select from an sc_fxnum_fast.
No distinction shall be made between a part-select used as an lvalue or as an rvalue.
7.10.23.2 Class definition
namespace sc_dt {
class sc_fxnum_subref†
{
friend class sc_fxnum;
friend class sc_fxnum_fast_subref†;
public:
// Copy constructor
sc_fxnum_subref†( const sc_fxnum_subref†& );
Authorized licensed use limited to: Furkan Tuncer. Downloaded on October 16,2017 at 17:05:54 UTC from IEEE Xplore. Restrictions apply.
IEEE Std 1666-2011
IEEE Standard for Standard SystemC® Language Reference Manual
370
Copyright © 2012 IEEE. All rights reserved.
// Destructor
~sc_fxnum_subref†();
// Assignment operators
#define DECL_ASN_OP_T( tp ) \
sc_fxnum_subref†& operator= ( tp );
DECL_ASN_OP_T( const sc_fxnum_subref†& )
DECL_ASN_OP_T( const sc_fxnum_fast_subref†& )
DECL_ASN_OP_T( const sc_bv_base& )
DECL_ASN_OP_T( const sc_lv_base& )
DECL_ASN_OP_T( const char* )
DECL_ASN_OP_T( const bool* )
DECL_ASN_OP_T( const sc_signed& )
DECL_ASN_OP_T( const sc_unsigned& )
DECL_ASN_OP_T( const sc_int_base& )
DECL_ASN_OP_T( const sc_uint_base& )
DECL_ASN_OP_T( int64 )
DECL_ASN_OP_T( uint64 )
DECL_ASN_OP_T( int )
DECL_ASN_OP_T( unsigned int )
DECL_ASN_OP_T( long )
DECL_ASN_OP_T( unsigned long )
DECL_ASN_OP_T( char )
#undef DECL_ASN_OP_T
#define DECL_ASN_OP_T_A( op , tp ) \
sc_fxnum_subref†& operator op ## = ( tp );
#define DECL_ASN_OP_A( op ) \
DECL_ASN_OP_T_A( op , const sc_fxnum_subref†& ) \
DECL_ASN_OP_T_A( op , const sc_fxnum_fast_subref†& ) \
DECL_ASN_OP_T_A( op , const sc_bv_base& ) \
DECL_ASN_OP_T_A( op , const sc_lv_base& )
DECL_ASN_OP_A( & )
DECL_ASN_OP_A( | )
DECL_ASN_OP_A( ^ )
Authorized licensed use limited to: Furkan Tuncer. Downloaded on October 16,2017 at 17:05:54 UTC from IEEE Xplore. Restrictions apply.
IEEE Std 1666-2011
IEEE Standard for Standard SystemC® Language Reference Manual
371
Copyright © 2012 IEEE. All rights reserved.
#undef DECL_ASN_OP_T_A
#undef DECL_ASN_OP_A
// Relational operators
#define DECL_REL_OP_T( op , tp ) \
friend bool operator op ( const sc_fxnum_subref†& , tp ); \
friend bool operator op ( tp , const sc_fxnum_subref†& );
#define DECL_REL_OP( op ) \
friend bool operator op ( const sc_fxnum_subref†& , const sc_fxnum_subref†& ); \
friend bool operator op ( const sc_fxnum_subref†& , const sc_fxnum_fast_subref†& ); \
DECL_REL_OP_T( op , const sc_bv_base& ) \
DECL_REL_OP_T( op , const sc_lv_base& ) \
DECL_REL_OP_T( op , const char* ) \
DECL_REL_OP_T( op , const bool* ) \
DECL_REL_OP_T( op , const sc_signed& ) \
DECL_REL_OP_T( op , const sc_unsigned& ) \
DECL_REL_OP_T( op , int ) \
DECL_REL_OP_T( op , unsigned int ) \
DECL_REL_OP_T( op , long ) \
DECL_REL_OP_T( op , unsigned long )
DECL_REL_OP( == )
DECL_REL_OP( != )
#undef DECL_REL_OP_T
#undef DECL_REL_OP
// Reduce functions
bool and_reduce() const;
bool nand_reduce() const;
bool or_reduce() const;
bool nor_reduce() const;
bool xor_reduce() const;
bool xnor_reduce() const;
// Query parameter
int length() const;
// Explicit conversions
int to_int() const;
unsigned int to_uint() const;
long to_long() const;
unsigned long to_ulong() const;
int64 to_int64() const;
uint64 to_uint64() const;
const std::string to_string() const;
const std::string to_string( sc_numrep ) const;
const std::string to_string( sc_numrep , bool ) const;
// Implicit conversion
operator sc_bv_base() const;
Authorized licensed use limited to: Furkan Tuncer. Downloaded on October 16,2017 at 17:05:54 UTC from IEEE Xplore. Restrictions apply.
IEEE Std 1666-2011
IEEE Standard for Standard SystemC® Language Reference Manual
372
Copyright © 2012 IEEE. All rights reserved.
// Print or dump content
void print( std::ostream& = std::cout ) const;
void scan( std::istream& = std::cin );
void dump( std::ostream& = std::cout ) const;
private:
// Disabled
// Constructor
sc_fxnum_subref†( sc_fxnum& , int , int );
sc_fxnum_subref†();
};
// -------------------------------------------------------------
class sc_fxnum_fast_subref†
{
friend class sc_fxnum_fast;
friend class sc_fxnum_subref†;
public:
// Copy constructor
sc_fxnum_fast_subref†( const sc_fxnum_fast_subref†& );
// Destructor
~sc_fxnum_fast_subref†();
// Assignment operators
#define DECL_ASN_OP_T( tp ) \
sc_fxnum_fast_subref†& operator= ( tp );
DECL_ASN_OP_T( const sc_fxnum_subref†& )
DECL_ASN_OP_T( const sc_fxnum_fast_subref†& )
DECL_ASN_OP_T( const sc_bv_base& )
DECL_ASN_OP_T( const sc_lv_base& )
DECL_ASN_OP_T( const char* )
DECL_ASN_OP_T( const bool* )
DECL_ASN_OP_T( const sc_signed& )
DECL_ASN_OP_T( ( const sc_unsigned& )
DECL_ASN_OP_T( const sc_int_base& )
DECL_ASN_OP_T( const sc_uint_base& )
DECL_ASN_OP_T( int64 )
DECL_ASN_OP_T( uint64 )
DECL_ASN_OP_T( int )
DECL_ASN_OP_T( unsigned int )
DECL_ASN_OP_T( long )
DECL_ASN_OP_T( unsigned long )
DECL_ASN_OP_T( char )
#undef DECL_ASN_OP_T
#define DECL_ASN_OP_T_A( op , tp ) \
sc_fxnum_fast_subref& operator op ## = ( tp );
Authorized licensed use limited to: Furkan Tuncer. Downloaded on October 16,2017 at 17:05:54 UTC from IEEE Xplore. Restrictions apply.
IEEE Std 1666-2011
IEEE Standard for Standard SystemC® Language Reference Manual
373
Copyright © 2012 IEEE. All rights reserved.
#define DECL_ASN_OP_A( op ) \
DECL_ASN_OP_T_A( op , const sc_fxnum_subref†& ) \
DECL_ASN_OP_T_A( op , const sc_fxnum_fast_subref†& ) \
DECL_ASN_OP_T_A( op , const sc_bv_base& ) \
DECL_ASN_OP_T_A( op , const sc_lv_base& )
DECL_ASN_OP_A( & )
DECL_ASN_OP_A( | )
DECL_ASN_OP_A( ^ )
#undef DECL_ASN_OP_T_A
#undef DECL_ASN_OP_A
// Relational operators
#define DECL_REL_OP_T( op , tp ) \
friend bool operator op ( const sc_fxnum_fast_subref†& , tp ); \
friend bool operator op ( tp , const sc_fxnum_fast_subref†& );
#define DECL_REL_OP( op ) \
friend bool operator op ( const sc_fxnum_fast_subref†& , const sc_fxnum_fast_subref†& ); \
friend bool operator op ( const sc_fxnum_fast_subref†& , const sc_fxnum_subref†& ); \
DECL_REL_OP_T( op , const sc_bv_base& ) \
DECL_REL_OP_T( op , const sc_lv_base& ) \
DECL_REL_OP_T( op , const char* ) \
DECL_REL_OP_T( op , const bool* ) \
DECL_REL_OP_T( op , const sc_signed& ) \
DECL_REL_OP_T( op , const sc_unsigned& ) \
DECL_REL_OP_T( op , int ) \
DECL_REL_OP_T( op , unsigned int ) \
DECL_REL_OP_T( op , long ) \
DECL_REL_OP_T( op , unsigned long )
DECL_REL_OP( == )
DECL_REL_OP( != )
#undef DECL_REL_OP_T
#undef DECL_REL_OP
// Reduce functions
bool and_reduce() const;
bool nand_reduce() const;
bool or_reduce() const;
bool nor_reduce() const;
bool xor_reduce() const;
bool xnor_reduce() const;
// Query parameter
int length() const;
Authorized licensed use limited to: Furkan Tuncer. Downloaded on October 16,2017 at 17:05:54 UTC from IEEE Xplore. Restrictions apply.
IEEE Std 1666-2011
IEEE Standard for Standard SystemC® Language Reference Manual
374
Copyright © 2012 IEEE. All rights reserved.
// Explicit conversions
int to_int() const;
unsigned int to_uint() const;
long to_long() const;
unsigned long to_ulong() const;
int64 to_int64() const;
uint64 to_uint64() const;
const std::string to_string() const;
const std::string to_string( sc_numrep ) const;
const std::string to_string( sc_numrep , bool ) const;
// Implicit conversion
operator sc_bv_base() const;
// Print or dump content
void print( std::ostream& = std::cout ) const;
void scan( std::istream& = std::cin );
void dump( std::ostream& = std::cout ) const;
private:
// Disabled
// Constructor
sc_fxnum_fast_subref†( sc_fxnum_fast& , int , int );
sc_fxnum_fast_subref†();
};
} // namespace sc_dt
7.10.23.3 Constraints on usage
Fixed-point part-select objects shall only be created using the part-select operators of an instance of a class
derived from sc_fxnum or sc_fxnum_fast.
An application shall not explicitly create an instance of any fixed-point part-select class.
An application should not declare a reference or pointer to any fixed-point part-select object.
No arithmetic operators are provided for fixed-point part-selects.
7.10.23.4 Assignment operators
Overloaded assignment operators shall provide conversion from SystemC data types and the native C++
integer representation to fixed-point part-selects. If the size of a data type or string literal operand differs
from the fixed-point part-select word length, truncation, zero-extension, or sign-extension shall be used, as
described in 7.2.1.
7.10.23.5 Bitwise operators
Overloaded bitwise operators shall be provided for fixed-point part-select, bit-vector, and logic-vector
operands.
Authorized licensed use limited to: Furkan Tuncer. Downloaded on October 16,2017 at 17:05:54 UTC from IEEE Xplore. Restrictions apply.
IEEE Std 1666-2011
IEEE Standard for Standard SystemC® Language Reference Manual
375
Copyright © 2012 IEEE. All rights reserved.
7.10.23.6 Implicit type conversion
sc_fxnum_subref†:: operator sc_bv_base() const;
sc_fxnum_fast_subref†:: operator sc_bv_base() const;
Operator sc_bv_base can be used for implicit type conversion from integer part-selects to the
SystemC bit-vector representation.
7.10.23.7 Explicit type conversion
int to_int() const;
unsigned int to_uint() const;
long to_long() const;
unsigned long to_ulong() const;
int64 to_int64() const;
uint64 to_uint64() const;
These member functions shall perform the conversion to C++ integer types.
const std::string to_string() const;
const std::string to_string( sc_numrep ) const;
const std::string to_string( sc_numrep , bool ) const;
Member function to_string shall perform the conversion to a string representation, as described in
7.2.11, 7.10.8, and 7.10.8.1.
7.11 Contexts
This subclause describes the classes that are provided to set the contexts for the data types.
7.11.1 sc_length_param
7.11.1.1 Description
Class sc_length_param shall represent a length parameter and shall be used to create a length context, as
described in 7.2.3.
7.11.1.2 Class definition
namespace sc_dt {
class sc_length_param
{
public:
sc_length_param();
sc_length_param( int );
sc_length_param( const sc_length_param& );
sc_length_param& operator= ( const sc_length_param& );
friend bool operator== ( const sc_length_param& , const sc_length_param& );
friend bool operator!= ( const sc_length_param& , const sc_length_param& );
int len() const;
void len( int );
Authorized licensed use limited to: Furkan Tuncer. Downloaded on October 16,2017 at 17:05:54 UTC from IEEE Xplore. Restrictions apply.
IEEE Std 1666-2011
IEEE Standard for Standard SystemC® Language Reference Manual
376
Copyright © 2012 IEEE. All rights reserved.
const std::string to_string() const;
void print( std::ostream& = std::cout ) const;
void dump( std::ostream& = std::cout ) const;
};
} // namespace sc_dt
7.11.1.3 Constraints on usage
The length (where specified) shall be greater than zero.
7.11.1.4 Public constructors
sc_length_param();
Default constructor sc_length_param shall create an sc_length_param object with the default
word length of 32.
sc_length_param( int n ) ;
Constructor sc_length_param shall create an sc_length_param with n as the word length with n >
0.
sc_length_param( const sc_length_param& );
Constructor sc_length_param shall create a copy of the object given as its argument.
7.11.1.5 Public methods
int len() const;
Member function len shall return the word length stored in the sc_length_param.
void len( int n );
Member function len shall set the word length of the sc_length_param to n, with n > 0.
const std::string to_string() const;
Member function to_string shall convert the sc_length_param into its string representation.
void print( std::ostream& = std::cout ) const;
Member function print shall print the contents to a stream.
7.11.1.6 Public operators
sc_length_param& operator= ( const sc_length_param& a );
operator= shall assign the word-length value of a to the left-hand side sc_length_param instance.
friend bool operator== ( const sc_length_param& a , sc_length_param& b );
operator== shall return true if the stored lengths of a and b are equal.
friend bool operator!= ( const sc_length_param& a , const sc_length_param& b );
operator!= shall return true if the stored lengths of a and b are not equal.
Authorized licensed use limited to: Furkan Tuncer. Downloaded on October 16,2017 at 17:05:54 UTC from IEEE Xplore. Restrictions apply.
IEEE Std 1666-2011
IEEE Standard for Standard SystemC® Language Reference Manual
377
Copyright © 2012 IEEE. All rights reserved.
7.11.2 sc_length_context
7.11.2.1 Description
Class sc_length_context shall be used to create a length context for SystemC integer and vector objects.
7.11.2.2 Class definition
namespace sc_dt {
class sc_length_context
{
public:
explicit sc_length_context( const sc_length_param& , sc_context_begin† = SC_NOW );
~sc_length_context();
void begin();
void end();
static const sc_length_param& default_value();
const sc_length_param& value() const;
};
} // namespace sc_dt
7.11.2.3 Public constructor
explicit sc_length_context( const sc_length_param& , sc_context_begin† = SC_NOW );
Constructor sc_length_context shall create an sc_length_context object. The first argument shall
be the length parameter to use. The second argument, if supplied, shall have the value SC_NOW or
SC_LATER.
7.11.2.4 Public member functions
void begin();
Member function begin shall set the current length context, as described in 7.2.3.
static const sc_length_param& default_value();
Member function default_value shall return the length parameter currently in context.
void end();
Member function end shall deactivate the length context and shall remove it from the top of the
length context stack, as described in 7.2.3.
const sc_length_param& value() const;
Member function value shall return the length parameter.
Authorized licensed use limited to: Furkan Tuncer. Downloaded on October 16,2017 at 17:05:54 UTC from IEEE Xplore. Restrictions apply.
IEEE Std 1666-2011
IEEE Standard for Standard SystemC® Language Reference Manual
378
Copyright © 2012 IEEE. All rights reserved.
7.11.3 sc_fxtype_params
7.11.3.1 Description
Class sc_fxtype_params shall represent a length parameter and shall be used to create a length context for
fixed-point objects, as described in 7.2.3.
7.11.3.2 Class definition
namespace sc_dt {
class sc_fxtype_params
{
public:
// Constructors and destructor
sc_fxtype_params();
sc_fxtype_params( int , int );
sc_fxtype_params( sc_q_mode , sc_o_mode, int = 0 );
sc_fxtype_params( int , int , sc_q_mode , sc_o_mode , int = 0 );
sc_fxtype_params( const sc_fxtype_params& );
sc_fxtype_params( const sc_fxtype_params& , int , int );
sc_fxtype_params( const sc_fxtype_params& , sc_q_mode , sc_o_mode , int = 0 );
// Operators
sc_fxtype_params& operator= ( const sc_fxtype_params& );
friend bool operator== ( const sc_fxtype_params& , const sc_fxtype_params& );
friend bool operator!= ( const sc_fxtype_params& , const sc_fxtype_params& );
// Methods
int wl() const;
void wl( int );
int iwl() const;
void iwl( int );
sc_q_mode q_mode() const;
void q_mode( sc_q_mode );
sc_o_mode o_mode() const;
void o_mode( sc_o_mode );
int n_bits() const;
void n_bits( int );
const std::string to_string() const;
void print( std::ostream& = std::cout ) const;
void dump( std::ostream& = std::cout ) const;
};
} // namespace sc_dt
7.11.3.3 Constraints on usage
The length (where specified) shall be greater than zero.
7.11.3.4 Public constructors
sc_fxtype_params ( int wl , int iwl ) ;
sc_fxtype_params ( sc_q_mode q_mode , sc_o_mode o_mode ) ;
Authorized licensed use limited to: Furkan Tuncer. Downloaded on October 16,2017 at 17:05:54 UTC from IEEE Xplore. Restrictions apply.
IEEE Std 1666-2011
IEEE Standard for Standard SystemC® Language Reference Manual
379
Copyright © 2012 IEEE. All rights reserved.
sc_fxtype_params ( sc_q_mode q_mode , sc_o_mode o_mode , int n_bits ) ;
sc_fxtype_params ( int wl , int iwl , sc_q_mode q_mode , sc_o_mode o_mode , int n_bits ) ;
sc_fxtype_params ( int wl , int iwl , sc_q_mode q_mode , sc_o_mode o_mode ) ;
sc_fxtype_params () ;
Constructor sc_fxtype_params shall create an sc_fxtype_params object.
wl shall be the total number of bits in the fixed-point format. wl shall be greater than zero. The
default value for wl shall be obtained from the fixed-point context currently in scope.
iwl shall be the number of integer bits in the fixed-point format. iwl may be positive or negative. The
default value for iwl shall be obtained from the fixed-point context currently in scope.
q_mode shall be the quantization mode to use. Valid values for o_mode are given in 7.10.9.9. The
default value for q_mode shall be obtained from the fixed-point context currently in scope.
o_mode shall be the overflow mode to use. Valid values for o_mode are given in 7.10.9.1. The
default value for o_mode shall be obtained from the fixed-point context currently in scope.
n_bits shall be the number of saturated bits parameter for the selected overflow mode. n_bits shall
be greater than or equal to zero. If the overflow mode is specified, the default value shall be zero. If
the overflow mode is not specified, the default value shall be obtained from the fixed-point context
currently in scope.
If no fixed-point context is currently in scope, the default values for wl, iwl, q_mode, o_mode, and
n_bits shall be those defined in Table 38 (see 7.10.7).
7.11.3.5 Public member functions
int iwl() const;
Member function iwl shall return the iwl value.
void iwl( int val );
Member function iwl shall set the iwl value to val.
int n_bits() const;
Member function n_bits shall return the n_bits value.
void n_bits( int );
Member function n_bits shall set the n_bits value to val.
sc_o_mode o_mode() const;
Member function o_mode shall return the o_mode.
void o_mode( sc_o_mode mode );
Member function o_mode shall set the o_mode to mode.
sc_q_mode q_mode() const;
Member function q_mode shall return the q_mode.
void q_mode( sc_q_mode mode );
Member function q_mode shall set the q_mode to mode.
Authorized licensed use limited to: Furkan Tuncer. Downloaded on October 16,2017 at 17:05:54 UTC from IEEE Xplore. Restrictions apply.
IEEE Std 1666-2011
IEEE Standard for Standard SystemC® Language Reference Manual
380
Copyright © 2012 IEEE. All rights reserved.
int wl() const;
Member function wl shall return the wl value.
void wl( int val );
Member function wl shall set the wl value to val.
7.11.3.6 Operators
sc_fxtype_params& operator= ( const sc_fxtype_params& param_ );
operator= shall assign the wl, iwl, q_mode, o_mode, and n_bits of param_ of the right-hand side
to the left-hand side.
friend bool operator== ( const sc_fxtype_params& param_a , const sc_fxtype_params& param_b );
operator== shall return true if wl, iwl, q_mode, o_mode, and n_bits of param_a are equal to the
corresponding values of param_b; otherwise, it shall return false.
friend bool operator!= ( const sc_fxtype_params& , const sc_fxtype_params& );
operator!= shall return true if wl, iwl, q_mode, o_mode, and n_bits of param_a are not equal to
the corresponding values of param_b; otherwise, it shall return false.
7.11.4 sc_fxtype_context
7.11.4.1 Description
Class sc_fxtype_context shall be used to create a length context for fixed-point objects.
7.11.4.2 Class definition
namespace sc_dt {
class sc_fxtype_context
{
public:
explicit sc_fxtype_context( const sc_fxtype_params& , sc_context_begin† = SC_NOW );
~sc_fxtype_context();
void begin();
void end();
static const sc_fxtype_params& default_value();
const sc_fxtype_params& value() const;
};
} // namespace sc_dt
7.11.4.3 Public constructor
explicit sc_fxtype_context( const sc_fxtype_params& , sc_context_begin† = SC_NOW );
Constructor sc_fxtype_context shall create an sc_fxtype_context object. The first argument shall
be the fixed-point length parameter to use. The second argument (if supplied) shall have the value
SC_NOW or SC_LATER.
Authorized licensed use limited to: Furkan Tuncer. Downloaded on October 16,2017 at 17:05:54 UTC from IEEE Xplore. Restrictions apply.
IEEE Std 1666-2011
IEEE Standard for Standard SystemC® Language Reference Manual
381
Copyright © 2012 IEEE. All rights reserved.
7.11.4.4 Public member functions
void begin();
Member function begin shall set the current length context, as described in 7.2.3.
static const sc_fxtype_params& default_value();
Member function default_value shall return the length parameter currently in context.
void end();
Member function end shall deactivate the length context and remove it from the top of the length
context stack, as described in 7.2.3.
const sc_fxtype_params& value() const;
Member function value shall return the length parameter.
7.11.5 sc_fxcast_switch
7.11.5.1 Description
Class sc_fxcast_switch shall be used to set the floating-point cast context, as described in 7.10.7.
7.11.5.2 Class definition
namespace sc_dt {
class sc_fxcast_switch
{
public:
// Constructors
sc_fxcast_switch();
sc_fxcast_switch( sc_switch† );
sc_fxcast_switch( const sc_fxcast_switch& );
// Operators
sc_fxcast_switch& operator= ( const sc_fxcast_switch& );
friend bool operator== ( const sc_fxcast_switch& , const sc_fxcast_switch& );
friend bool operator!= ( const sc_fxcast_switch& , const sc_fxcast_switch& );
// Methods
const std::string to_string() const;
void print( std::ostream& = std::cout ) const;
void dump( std::ostream& = std::cout ) const;
};
} // namespace sc_dt
7.11.5.3 Public constructors
sc_fxcast_switch ();
sc_fxcast_switch ( sc_switch† );
Authorized licensed use limited to: Furkan Tuncer. Downloaded on October 16,2017 at 17:05:54 UTC from IEEE Xplore. Restrictions apply.
IEEE Std 1666-2011
IEEE Standard for Standard SystemC® Language Reference Manual
382
Copyright © 2012 IEEE. All rights reserved.
The argument (if supplied) shall have the value SC_OFF or SC_ON, as described in 7.10.7. The
default constructor shall use the floating-point cast context currently in scope.
7.11.5.4 Public member functions
void print( std::ostream& = std::cout ) const;
Member function print shall print the sc_fxcast_switch instance value to an output stream.
7.11.5.5 Explicit conversion
const std::string to_string() const;
Member function to_string shall return the switch state as the character string “SC_OFF” or
“SC_ON”.
7.11.5.6 Operators
sc_fxcast_switch& operator= ( const sc_fxtype_params& cast_switch );
operator= shall assign cast_switch to the sc_fxcast_switch on its left-hand side.
friend bool operator== (const sc_fxcast_switch& switch_a , const sc_fxcast_switch& switch_b ) ;
operator== shall return true if switch_a is equal to switch_b; otherwise, it shall return false.
friend bool operator!= ( const sc_fxcast_switch& switch_a , const sc_fxcast_switch& switch_b );
operator!= shall return true if switch_a is not equal to switch_b; otherwise, it shall return false.
std::ostream& operator<< ( std::ostream& os , const sc_fxcast_switch& a );
operator<< shall print the instance value of a to an output stream os.
7.11.6 sc_fxcast_context
7.11.6.1 Description
Class sc_fxcast_context shall be used to create a floating-point cast context for fixed-point objects.
7.11.6.2 Class definition
namespace sc_dt {
class sc_fxcast_context
{
public:
explicit sc_fxcast_context( const sc_fxcast_switch& , sc_context_begin† = SC_NOW );
sc_fxcast_context();
void begin();
void end();
static const sc_fxcast_switch& default_value();
const sc_fxcast_switch& value() const;
};
Authorized licensed use limited to: Furkan Tuncer. Downloaded on October 16,2017 at 17:05:54 UTC from IEEE Xplore. Restrictions apply.
IEEE Std 1666-2011
IEEE Standard for Standard SystemC® Language Reference Manual
383
Copyright © 2012 IEEE. All rights reserved.
} // namespace sc_dt
7.11.6.3 Public constructor
explicit sc_fxcast_context( const sc_fxcast_switch&, sc_context_begin† = SC_NOW );
Constructor sc_fxcast_context shall create an sc_fxcast_context object. Its first argument shall be
the floating-point cast switch to use. The second argument (if supplied) shall have the value
SC_NOW or SC_LATER.
7.11.6.4 Public member functions
void begin();
Member function begin shall set the current floating-point cast context, as described in 7.10.7.
static const sc_fxcast_switch& default_value();
Member function default_value shall return the cast switch currently in context.
void end();
Member function end shall deactivate the floating-point cast context and remove it from the top of
the floating-point cast context stack.
const sc_fxcast_switch& value() const;
Member function value shall return the cast switch.
7.12 Control of string representation
7.12.1 Description
Type sc_numrep is used to control the formatting of number representations as character strings when
passed as an argument to the to_string member function of a data type object.
7.12.2 Class definition
namespace sc_dt {
enum sc_numrep
{
SC_NOBASE = 0,
SC_BIN = 2,
SC_OCT = 8,
SC_DEC = 10,
SC_HEX = 16,
SC_BIN_US,
SC_BIN_SM,
SC_OCT_US,
SC_OCT_SM,
SC_HEX_US,
SC_HEX_SM,
SC_CSD
Authorized licensed use limited to: Furkan Tuncer. Downloaded on October 16,2017 at 17:05:54 UTC from IEEE Xplore. Restrictions apply.
IEEE Std 1666-2011
IEEE Standard for Standard SystemC® Language Reference Manual
384
Copyright © 2012 IEEE. All rights reserved.
};
const std::string to_string( sc_numrep );
}; // namespace sc_dt
7.12.3 Functions
const std::string to_string( sc_numrep );
Function to_string shall return a string consisting of the same sequence of characters as the name of
the corresponding constant value of the enumerated type sc_numrep.
Example:
to_string(SC_HEX) == "SC_HEX" // is true
Authorized licensed use limited to: Furkan Tuncer. Downloaded on October 16,2017 at 17:05:54 UTC from IEEE Xplore. Restrictions apply.
IEEE Std 1666-2011
IEEE Standard for Standard SystemC® Language Reference Manual
385
Copyright © 2012 IEEE. All rights reserved.
8. SystemC utilities
8.1 Trace files
A trace file records a time-ordered sequence of value changes during simulation. The VCD trace file format
shall be supported.
A VCD trace file can only be created and opened by calling function sc_create_vcd_trace_file. A trace file
may be opened during elaboration or at any time during simulation. Values can only be traced by calling
function sc_trace. A trace file shall be opened before values can be traced to that file, and values shall not be
traced to a given trace file if one or more delta cycles have elapsed since opening the file. A VCD trace file
shall be closed by calling function sc_close_vcd_trace_file. A trace file shall not be closed before the final
delta cycle of simulation.
An implementation may support other trace file formats by providing alternatives to the functions
sc_create_vcd_trace_file and sc_close_vcd_trace file.
The lifetime of a traced object need not extend throughout the entire time the trace file is open.
NOTE—A trace file can be opened at any time, but no mechanism is available to switch off tracing before the end of
simulation.
8.1.1 Class definition and function declarations
namespace sc_core {
class sc_trace_file
{
public:
virtual void set_time_unit( double , sc_time_unit ) = 0;
implementation-defined
};
sc_trace_file* sc_create_vcd_trace_file( const char* name );
void sc_close_vcd_trace_file( sc_trace_file* tf );
void sc_write_comment( sc_trace_file* tf , const std::string& comment );
void sc_trace ...
} // namespace sc_core
8.1.2 sc_trace_file
class sc_trace_file
{
public:
virtual void set_time_unit( double , sc_time_unit ) = 0;
implementation-defined
};
Class sc_trace_file is the abstract base class from which the classes that provide file handles for
VCD or other implementation-defined trace file formats are derived. An application shall not
construct objects of class sc_trace_file but may define pointers and references to this type.
Authorized licensed use limited to: Furkan Tuncer. Downloaded on October 16,2017 at 17:05:54 UTC from IEEE Xplore. Restrictions apply.
IEEE Std 1666-2011
IEEE Standard for Standard SystemC® Language Reference Manual
386
Copyright © 2012 IEEE. All rights reserved.
Member function set_time_unit shall be overridden in the derived class to set the time unit for the
trace file. The value of the double argument shall be positive and shall be a power of 10. In the
absence of any call function set_time_unit, the default trace file time unit shall be 1 picosecond.
8.1.3 sc_create_vcd_trace_file
sc_trace_file* sc_create_vcd_trace_file( const char* name );
Function sc_create_vcd_trace_file shall create a new file handle object of class sc_trace_file, open
a new VCD file associated with the file handle, and return a pointer to the file handle. The file name
shall be constructed by appending the character string “.vcd” to the character string passed as an
argument to the function.
8.1.4 sc_close_vcd_trace_file
void sc_close_vcd_trace_file( sc_trace_file* tf );
Function sc_close_vcd_trace_file shall close the VCD file and delete the file handle pointed to by
the argument.
8.1.5 sc_write_comment
void sc_write_comment( sc_trace_file* tf , const std::string& comment );
Function sc_write_comment shall write the string given as the second argument to the trace file
given by the first argument, as a comment, at the simulation time at which the function is called.
8.1.6 sc_trace
void sc_trace( sc_trace_file* , const bool& , const std::string& );
void sc_trace( sc_trace_file* , const bool* , const std::string& );
void sc_trace( sc_trace_file* , const float& , const std::string& );
void sc_trace( sc_trace_file* , const float* , const std::string& );
void sc_trace( sc_trace_file* , const double& , const std::string& );
void sc_trace( sc_trace_file* , const double* , const std::string& );
void sc_trace( sc_trace_file* , const sc_dt::sc_logic& , const std::string& );
void sc_trace( sc_trace_file* , const sc_dt::sc_logic* , const std::string& );
void sc_trace( sc_trace_file* , const sc_dt::sc_int_base& , const std::string& );
void sc_trace( sc_trace_file* , const sc_dt::sc_int_base* , const std::string& );
void sc_trace( sc_trace_file* , const sc_dt::sc_uint_base& , const std::string& );
void sc_trace( sc_trace_file* , const sc_dt::sc_uint_base* , const std::string& );
void sc_trace( sc_trace_file* , const sc_dt::sc_signed& , const std::string& );
void sc_trace( sc_trace_file* , const sc_dt::sc_signed* , const std::string& );
void sc_trace( sc_trace_file* , const sc_dt::sc_unsigned& , const std::string& );
void sc_trace( sc_trace_file* , const sc_dt::sc_unsigned* , const std::string& );
void sc_trace( sc_trace_file* , const sc_dt::sc_bv_base& , const std::string& );
void sc_trace( sc_trace_file* , const sc_dt::sc_bv_base* , const std::string& );
void sc_trace( sc_trace_file* , const sc_dt::sc_lv_base& , const std::string& );
void sc_trace( sc_trace_file* , const sc_dt::sc_lv_base* , const std::string& );
Authorized licensed use limited to: Furkan Tuncer. Downloaded on October 16,2017 at 17:05:54 UTC from IEEE Xplore. Restrictions apply.
IEEE Std 1666-2011
IEEE Standard for Standard SystemC® Language Reference Manual
387
Copyright © 2012 IEEE. All rights reserved.
void sc_trace( sc_trace_file* , const sc_dt::sc_fxval& , const std::string& );
void sc_trace( sc_trace_file* , const sc_dt::sc_fxval* , const std::string& );
void sc_trace( sc_trace_file* , const sc_dt::sc_fxval_fast& , const std::string& );
void sc_trace( sc_trace_file* , const sc_dt::sc_fxval_fast* , const std::string& );
void sc_trace( sc_trace_file* , const sc_dt::sc_fxnum& , const std::string& );
void sc_trace( sc_trace_file* , const sc_dt::sc_fxnum* , const std::string& );
void sc_trace( sc_trace_file* , const sc_dt::sc_fxnum_fast& , const std::string& );
void sc_trace( sc_trace_file* , const sc_dt::sc_fxnum_fast* , const std::string& );
void sc_trace( sc_trace_file* , const unsigned char& , const std::string& ,
int width = 8 * sizeof( unsigned char ) );
void sc_trace( sc_trace_file* , const unsigned char* , const std::string& ,
int width = 8 * sizeof( unsigned char ) );
void sc_trace( sc_trace_file* , const unsigned short& , const std::string& ,
int width = 8 * sizeof( unsigned short ) );
void sc_trace( sc_trace_file* , const unsigned short* , const std::string& ,
int width = 8 * sizeof( unsigned short ) );
void sc_trace( sc_trace_file* , const unsigned int& , const std::string& ,
int width = 8 * sizeof( unsigned int ) );
void sc_trace( sc_trace_file* , const unsigned int* , const std::string& ,
int width = 8 * sizeof( unsigned int ) );
void sc_trace( sc_trace_file* , const unsigned long& , const std::string& ,
int width = 8 * sizeof( unsigned long ) );
void sc_trace( sc_trace_file* , const unsigned long* , const std::string& ,
int width = 8 * sizeof( unsigned long ) );
void sc_trace( sc_trace_file* , const char& , const std::string& , int width = 8 * sizeof( char ) );
void sc_trace( sc_trace_file* , const char* , const std::string& , int width = 8 * sizeof( char ) );
void sc_trace( sc_trace_file* , const short& , const std::string& , int width = 8 * sizeof( short ) );
void sc_trace( sc_trace_file* , const short* , const std::string& , int width = 8 * sizeof( short ) );
void sc_trace( sc_trace_file* , const int& , const std::string& , int width = 8 * sizeof( int ) );
void sc_trace( sc_trace_file* , const int* , const std::string& , int width = 8 * sizeof( int ) );
void sc_trace( sc_trace_file* , const long& , const std::string& , int width = 8 * sizeof( long ) );
void sc_trace( sc_trace_file* , const long* , const std::string& , int width = 8 * sizeof( long ) );
void sc_trace( sc_trace_file* , const sc_dt::int64& , const std::string& ,
int width = 8 * sizeof( sc_dt::int64 ) );
void sc_trace( sc_trace_file* , const sc_dt::int64* , const std::string& ,
int width = 8 * sizeof( sc_dt::int64 ) );
Authorized licensed use limited to: Furkan Tuncer. Downloaded on October 16,2017 at 17:05:54 UTC from IEEE Xplore. Restrictions apply.
IEEE Std 1666-2011
IEEE Standard for Standard SystemC® Language Reference Manual
388
Copyright © 2012 IEEE. All rights reserved.
void sc_trace( sc_trace_file* , const sc_dt::uint64& , const std::string& ,
int width = 8 * sizeof( sc_dt::uint64 ) );
void sc_trace( sc_trace_file* , const sc_dt::uint64* , const std::string& ,
int width = 8 * sizeof( sc_dt::uint64 ) );
template <class T>
void sc_trace( sc_trace_file* , const sc_signal_in_if<T>& , const std::string& );
void sc_trace( sc_trace_file* , const sc_signal_in_if<char>& , const std::string& , int width );
void sc_trace( sc_trace_file* , const sc_signal_in_if<short>& , const std::string& , int width );
void sc_trace( sc_trace_file* , const sc_signal_in_if<int>& , const std::string& , int width );
void sc_trace( sc_trace_file* , const sc_signal_in_if<long>& , const std::string& , int width );
Function sc_trace shall trace the value passed as the second argument to the trace file passed as the
first argument, using the string passed as the third argument to identify the value in the trace file. All
changes to the value of the second argument that occur between the time the function is called and
the time the trace file is closed shall be recorded in the trace file.
NOTE—The function sc_trace is also overloaded elsewhere in this standard to support additional data types
(see 6.8.4 and 6.10.5).
8.2 sc_report
8.2.1 Description
Class sc_report represents an instance of a report as generated by function sc_report_handler::report.
sc_report objects are accessible to the application if the action SC_CACHE_REPORT is set for a given
severity level and message type. Also, sc_report objects may be caught by the application when thrown by
the report handler (see 8.3).
Type sc_severity represents the severity level of a report.
8.2.2 Class definition
namespace sc_core {
enum sc_severity {
SC_INFO = 0 ,
SC_WARNING ,
SC_ERROR ,
SC_FATAL ,
SC_MAX_SEVERITY
};
enum sc_verbosity {
SC_NONE = 0,
SC_LOW = 100,
SC_MEDIUM = 200,
SC_HIGH = 300,
Authorized licensed use limited to: Furkan Tuncer. Downloaded on October 16,2017 at 17:05:54 UTC from IEEE Xplore. Restrictions apply.
IEEE Std 1666-2011
IEEE Standard for Standard SystemC® Language Reference Manual
389
Copyright © 2012 IEEE. All rights reserved.
SC_FULL = 400,
SC_DEBUG = 500
};
class sc_report
: public std::exception
{
public:
sc_report( const sc_report& );
sc_report& operator= ( const sc_report& );
virtual ~sc_report() throw();
sc_severity get_severity() const;
const char* get_msg_type() const;
const char* get_msg() const;
int get_verbosity() const;
const char* get_file_name() const;
int get_line_number() const;
const sc_time& get_time() const;
const char* get_process_name() const;
virtual const char* what() const throw();
};
} // namespace sc_core
8.2.3 Constraints on usage
Objects of class sc_report are generated by calling the function sc_report_handler::report. An application
shall not directly create a new object of class sc_report other than by calling the copy constructor. The
individual attributes of an sc_report object may only be set by function sc_report_handler::report.
An implementation shall throw an object of class sc_report from function default_handler of class
sc_report_hander in response to the action SC_THROW. An application may throw an object of class
sc_report from an application-specific report handler function. An application may catch an sc_report in a
try-block.
8.2.4 sc_verbosity
The enumeration sc_verbosity provides the values of indicative verbosity levels that may be passed as
arguments to member function set_verbosity_level of class sc_report_handler and to member function
report of class sc_report_handler.
8.2.5 sc_severity
There shall be four severity levels. SC_MAX_SEVERITY shall not be a severity level. It shall be an error to
pass the value SC_MAX_SEVERITY to a function requiring an argument of type sc_severity.
Table 50 describes the intended meanings of the four severity levels. The precise meanings can be
overridden by the class sc_report_handler.
Authorized licensed use limited to: Furkan Tuncer. Downloaded on October 16,2017 at 17:05:54 UTC from IEEE Xplore. Restrictions apply.

IEEE Std 1666-2011
IEEE Standard for Standard SystemC® Language Reference Manual
390
Copyright © 2012 IEEE. All rights reserved.
8.2.6 Copy constructor and assignment
sc_report( const sc_report& );
sc_report& operator= ( const sc_report& );
The copy constructor and the assignment operator shall each create a deep copy of the sc_report
object passed as an argument.
8.2.7 Member functions
Several member functions specified in this subclause return a pointer to a null-terminated character string.
The implementation is only obliged to keep the returned string valid during the lifetime of the sc_report
object.
sc_severity get_severity() const;
const char* get_msg_type() const;
const char* get_msg() const;
int get_verbosity() const;
const char* get_file_name() const;
int get_line_number() const;
Each of these six member functions shall return the corresponding property of the sc_report object.
The properties themselves can only be set by passing their values as arguments to the function
sc_report_handler::report. If the value of the severity level is not SC_INFO, the value returned
from get_verbosity shall be implementation-defined.
const sc_time& get_time() const;
const char* get_process_name() const;
Each of these two member functions shall return the corresponding property of the sc_report object.
The properties themselves shall be set by function sc_report_handler::report according to the
simulation time at which the report was generated and the process instance within which it was
generated.
virtual const char* what() const;
Member function what shall return a text string composed from the severity level, message type,
message, file name, line number, process name, and time of the sc_report object. An
implementation may vary the content of the text string, depending on the severity level.
Table 50—Levels for sc_severity
Severity levels Description
SC_INFO An informative message
SC_WARNING A potential problem
SC_ERROR An actual problem from which an
application may be able to recover
SC_FATAL An actual problem from which an
application cannot recover
Authorized licensed use limited to: Furkan Tuncer. Downloaded on October 16,2017 at 17:05:54 UTC from IEEE Xplore. Restrictions apply.
IEEE Std 1666-2011
IEEE Standard for Standard SystemC® Language Reference Manual
391
Copyright © 2012 IEEE. All rights reserved.
Example:
try {
...
SC_REPORT_ERROR("msg_type", "msg");
...
} catch ( sc_report e ) {
std::cout << "Caught " << e.what() << std::endl;
}
8.3 sc_report_handler
8.3.1 Description
Class sc_report_handler provides features for writing out textual reports on the occurrence of exceptional
circumstances and for defining application-specific behavior to be executed when those reports are
generated.
Member function report is the central feature of the reporting mechanism, and by itself, it is sufficient for
the generation of reports using the default actions and default handler. Other member functions of class
sc_report_handler provide for application-specific report handling. Member function report shall be
called by an implementation whenever it needs to report an exceptional circumstance. Member function
report may also be called from SystemC applications created by IP vendors, EDA tool vendors, or end
users. The intention is that the behavior of reports embedded in an implementation or in precompiled
SystemC code distributed as object code may be modified by end users to calling the member functions of
class sc_report_handler.
In order to define application-specific actions to be taken when a report is generated, reports are categorized
according to their severity level and message type. Care should be taken when choosing the message types
passed to function report in order to give the end user adequate control over the definition of actions. It is
recommended that each message type take the following general form:
"/originating_company_or_institution/product_identifier/subcategory/subcategory..."
It is the responsibility of any party who distributes precompiled SystemC code to ensure that any reports that
the end user may need to distinguish for the purpose of setting actions are allocated unique message types.
8.3.2 Class definition
namespace sc_core {
typedef unsigned sc_actions;
enum {
SC_UNSPECIFIED = 0x0000 ,
SC_DO_NOTHING = 0x0001 ,
SC_THROW = 0x0002 ,
SC_LOG = 0x0004 ,
SC_DISPLAY = 0x0008 ,
SC_CACHE_REPORT = 0x0010 ,
SC_INTERRUPT = 0x0020 ,
SC_STOP = 0x0040 ,
SC_ABORT = 0x0080
Authorized licensed use limited to: Furkan Tuncer. Downloaded on October 16,2017 at 17:05:54 UTC from IEEE Xplore. Restrictions apply.
IEEE Std 1666-2011
IEEE Standard for Standard SystemC® Language Reference Manual
392
Copyright © 2012 IEEE. All rights reserved.
};
#define SC_DEFAULT_INFO_ACTIONS \
( SC_LOG | SC_DISPLAY )
#define SC_DEFAULT_WARNING_ACTIONS \
( SC_LOG | SC_DISPLAY )
#define SC_DEFAULT_ERROR_ACTIONS \
( SC_LOG | SC_CACHE_REPORT | SC_THROW )
#define SC_DEFAULT_FATAL_ACTIONS \
( SC_LOG | SC_DISPLAY | SC_CACHE_REPORT | SC_ABORT )
typedef void ( * sc_report_handler_proc ) ( const sc_report& , const sc_actions& );
class sc_report_handler
{
public:
static void report( sc_severity , const char* msg_type , const char* msg , const char* file , int line );
static void report( sc_severity , const char* msg_type , const char* msg , int verbosity,
const char* file , int line );
static sc_actions set_actions( sc_severity , sc_actions = SC_UNSPECIFIED );
static sc_actions set_actions( const char * msg_type , sc_actions = SC_UNSPECIFIED );
static sc_actions set_actions( const char * msg_type , sc_severity , sc_actions = SC_UNSPECIFIED );
static int stop_after( sc_severity , int limit = –1 );
static int stop_after( const char* msg_type , int limit = –1 );
static int stop_after( const char* msg_type , sc_severity , int limit = –1 );
static int get_count( sc_severity );
static int get_count( const char* msg_type );
static int get_count( const char* msg_type , sc_severity );
int set_verbosity_level( int );
int get_verbosity_level();
static sc_actions suppress( sc_actions );
static sc_actions suppress();
static sc_actions force( sc_actions );
static sc_actions force();
static void set_handler( sc_report_handler_proc );
static void default_handler( const sc_report& , const sc_actions& );
static sc_actions get_new_action_id();
static sc_report* get_cached_report();
static void clear_cached_report();
static bool set_log_file_name( const char* );
static const char* get_log_file_name();
};
Authorized licensed use limited to: Furkan Tuncer. Downloaded on October 16,2017 at 17:05:54 UTC from IEEE Xplore. Restrictions apply.
IEEE Std 1666-2011
IEEE Standard for Standard SystemC® Language Reference Manual
393
Copyright © 2012 IEEE. All rights reserved.
#define SC_REPORT_INFO_VERB( msg_type , msg, verbosity ) \
sc_report_handler::report( SC_INFO , msg_type , msg , verbosity, __FILE__ , __LINE__ )
#define SC_REPORT_INFO( msg_type , msg ) \
sc_report_handler::report( SC_INFO , msg_type , msg , __FILE__ , __LINE__ )
#define SC_REPORT_WARNING( msg_type , msg ) \
sc_report_handler::report( SC_WARNING , msg_type , msg , __FILE__ , __LINE__ )
#define SC_REPORT_ERROR( msg_type , msg ) \
sc_report_handler::report( SC_ERROR , msg_type , msg , __FILE__ , __LINE__ )
#define SC_REPORT_FATAL( msg_type , msg ) \
sc_report_handler::report( SC_FATAL , msg_type , msg , __FILE__ , __LINE__ )
#define sc_assert( expr ) \
( ( void ) ( ( expr ) ? 0 : ( SC_REPORT_FATAL( implementation-defined , #expr ) , 0 ) ) )
void sc_interrupt_here( const char* msg_type , sc_severity );
void sc_stop_here( const char* msg_type , sc_severity );
} // namespace sc_core
8.3.3 Constraints on usage
The member functions of class sc_report_handler can be called at any time during elaboration or
simulation. Actions can be set for a severity level or a message type both before and after the first use of that
severity level or message type as an argument to member function report.
8.3.4 sc_actions
The typedef sc_actions represents a word where each bit in the word represents a distinct action. More than
one bit may be set, in which case all of the corresponding actions shall be executed. The enumeration defines
the set of actions recognized and performed by the default handler. An application-specific report handler
set by calling function set_handler may modify or extend this set of actions.
The value SC_UNSPECIFIED is not an action as such but serves as the default value for a variable or
argument of type sc_actions, meaning that no action has been set. In contrast, the value SC_DO_NOTHING
is a specific action and shall inhibit any actions set with a lower precedence according to the rules given in
8.3.6.
Each severity level is associated with a set of default actions chosen to be appropriate for the given name,
but those defaults can be overridden by calling member function set_actions. The default actions shall be
defined by the macros SC_DEFAULT_INFO_ACTIONS, SC_DEFAULT_WARNING_ACTIONS,
SC_DEFAULT_ERROR_ACTIONS, and SC_DEFAULT_FATAL_ACTIONS.
8.3.5 report
static void report( sc_severity , const char* msg_type , const char* msg , const char* file , int line );
static void report( sc_severity , const char* msg_type , const char* msg , int verbosity, const char* file ,
int line );
Member function report shall generate a report and cause the appropriate actions to be taken as
defined below.
Authorized licensed use limited to: Furkan Tuncer. Downloaded on October 16,2017 at 17:05:54 UTC from IEEE Xplore. Restrictions apply.
IEEE Std 1666-2011
IEEE Standard for Standard SystemC® Language Reference Manual
394
Copyright © 2012 IEEE. All rights reserved.
Member function report shall use the severity passed as the first argument and the message type
passed as the second argument to determine the set of actions to be executed as a result of previous
calls to functions set_actions, stop_after, suppress, and force. Member function report shall
create an object of class sc_report initialized using all five argument values and shall pass this
object to the handler set by the member function set_handler. The object of class sc_report shall
not persist beyond the call to member function report unless the action SC_CACHE_REPORT is
set, in which case the object can be retrieved by calling function get_cached_reports. An
implementation shall maintain a separate cache of sc_report objects for each process instance and a
single global report cache for calls to function report from outside any process. Each such cache
shall store only the most recent report.
Member function report shall be responsible for determining the set of actions to be executed. The
handler function set by function set_handler shall be responsible for executing those actions.
Member function report shall maintain counts of the number of reports generated as described in
8.3.7. These counts shall be incremented regardless of whether actions are executed or suppressed,
except where reports are ignored due to their verbosity level, in which case the counts shall not be
incremented.
If the verbosity argument is present, and the value of the severity argument is SC_INFO, and the
value of the verbosity argument is greater than the maximum verbosity level, member function
report shall return without executing any actions and without incrementing any counts. If the
verbosity argument is absent and the value of the severity argument is SC_INFO, member function
report shall behave as if the verbosity argument were present and had a value of SC_MEDIUM. If
the severity argument has a value other than SC_INFO, the implementation shall ignore the
verbosity argument.
The macros SC_REPORT_INFO_VERB, SC_REPORT_INFO, SC_REPORT_WARNING,
SC_REPORT_ERROR, SC_REPORT_FATAL, and sc_assert are provided for convenience when
calling member function report, but there is no obligation on an application to use these macros.
NOTE—Class sc_report may provide a constructor for the exclusive use of class sc_report_handler in
initializing these properties.
8.3.6 set_actions
static sc_actions set_actions( sc_severity , sc_actions = SC_UNSPECIFIED );
static sc_actions set_actions( const char * msg_type , sc_actions = SC_UNSPECIFIED );
static sc_actions set_actions( const char * msg_type , sc_severity , sc_actions = SC_UNSPECIFIED );
Member function set_actions shall set the actions to be taken by member function report when
report is called with the given severity level, message type, or both. In determining which set of
actions to take, the message type shall take precedence over the severity level, and the message type
and severity level combined shall take precedence over the message type and severity level
considered individually. In other words, the three member functions set_actions just listed appear in
order of increasing precedence. The actions of any lower precedence match shall be inhibited.
Each call to set_actions shall replace the actions set by the previous call for the given severity,
message type, or severity-message type pair. The value returned from the member function
set_actions shall be the actions set by the previous call to that very same overloading of the function
set_actions for the given severity level, message type, or severity-message type pair. The first call to
function set_actions( sc_severity , sc_actions ) shall return the default actions associated with the
given severity level. The first call to one of the remaining two functions for a given message type
shall return the value SC_UNSPECIFIED. Each of the three overloaded functions operates
independently in this respect. Precedence is only relevant when report is called.
Authorized licensed use limited to: Furkan Tuncer. Downloaded on October 16,2017 at 17:05:54 UTC from IEEE Xplore. Restrictions apply.
IEEE Std 1666-2011
IEEE Standard for Standard SystemC® Language Reference Manual
395
Copyright © 2012 IEEE. All rights reserved.
Example:
sc_report_handler::set_actions(SC_WARNING, SC_DO_NOTHING);
sc_report_handler::set_actions("/Acme_IP", SC_DISPLAY);
sc_report_handler::set_actions("/Acme_IP", SC_INFO, SC_DISPLAY | SC_CACHE_REPORT);
...
SC_REPORT_WARNING("", "1"); // Silence
SC_REPORT_WARNING("/Acme_IP", "2"); // Written to standard output
SC_REPORT_INFO("/Acme_IP", "3"); // Written to standard output and cached
8.3.7 stop_after
static int stop_after( sc_severity , int limit = –1 );
static int stop_after( const char* msg_type , int limit = –1 );
static int stop_after( const char* msg_type , sc_severity , int limit = –1 );
Member function report shall maintain independent counts of the number of reports generated for
each severity level, each message type, and each severity-message type pair. Member function
stop_after shall set a limit on the number of reports that will be generated in each case. Member
function report shall call the function sc_stop when exactly the number of reports given by
argument limit to function stop_after have been generated for the given severity level, message
type, or severity-message type pair.
In determining when to call function sc_stop, the message type shall take precedence over the
severity level, and the message type and severity level combined shall take precedence over the
message type and severity level considered individually. In other words, the three member functions
stop_after just listed appear in order of increasing precedence. If function report is called with a
combination of severity level and message type that matches more than one limit set by calling
stop_after, only the higher precedence limit shall have any effect.
The appropriate counts shall be initialized to the value 1 the first time function report is called with
a particular severity level, message type, or severity-message type pair and shall not be modified or
reset when function stop_after is called. All three counts shall be incremented for each call to
function report whether or not any actions are executed. When a count for a particular severity-
message type pair is incremented, the counts for the given severity level and the given message type
shall be incremented also. If the limit being set has already been reached or exceeded by the count at
the time stop_after is called, sc_stop shall not be called immediately but shall be called the next
time the given count is incremented.
The default limit is –1, which means that no stop limit is set. Calling function stop_after with a limit
of –1 for a particular severity level, message type, or severity-message type pair shall remove the
stop limit for that particular case.
A limit of 0 shall mean that there is no stop limit for the given severity level, message type, or
severity-message type pair, and, moreover an explicit limit of 0 shall override the behavior of any
lower precedence case. However, even with an explicit limit of 0, the actions set for the given case
(by calling function sc_action or the default actions) may nonetheless result in function sc_stop or
abort being called or an exception thrown.
If function report is called with a severity level of SC_FATAL, the default behavior in the absence
of any calls to either function set_actions or function stop_after is to execute a set of actions,
including SC_ABORT.
The value returned from the member function stop_after shall be the limit set by the previous call to
that very same overloading of the function stop_after for the given severity level, message type, or
severity-message type pair. Otherwise, the value returned is the default limit of –1.
Authorized licensed use limited to: Furkan Tuncer. Downloaded on October 16,2017 at 17:05:54 UTC from IEEE Xplore. Restrictions apply.
IEEE Std 1666-2011
IEEE Standard for Standard SystemC® Language Reference Manual
396
Copyright © 2012 IEEE. All rights reserved.
Example 1:
sc_report_handler::stop_after(SC_WARNING, 1);
sc_report_handler::stop_after("/Acme_IP", 2);
sc_report_handler::stop_after("/Acme_IP", SC_WARNING, 3);
...
SC_REPORT_WARNING("/Acme_IP", "Overflow");
SC_REPORT_WARNING("/Acme_IP", "Conflict");
SC_REPORT_WARNING("/Acme_IP", "Misuse"); // sc_stop() called
Example 2:
sc_report_handler::stop_after(SC_WARNING, 5);
sc_report_handler::stop_after("/Acme_IP", SC_WARNING, 1);
...
SC_REPORT_WARNING("/Star_IP", "Unexpected");
SC_REPORT_INFO("/Acme_IP", "Invoked");
SC_REPORT_WARNING("/Acme_IP", "Mistimed"); // sc_stop() called
8.3.8 get_count
static int get_count( sc_severity );
static int get_count( const char* msg_type );
static int get_count( const char* msg_type , sc_severity );
Member function get_count shall return the count of the number of reports generated for each
severity level, each message type, and each severity-message type pair maintained by member
function report. If member function report has not been called for the given severity level, message
type, or severity-message type pair, member function get_count shall return the value zero.
8.3.9 Verbosity level
The maximum verbosity level is a single global quantity that shall only apply to reports with a severity level
of SC_INFO. Any individual reports having a severity level of SC_INFO and a verbosity level greater than
the maximum verbosity level shall be ignored; that is, the implementation shall in effect suppress all the
actions associated with that report.
int set_verbosity_level( int );
Member function set_verbosity_level shall set the maximum verbosity level to the value passed as
an argument and shall return the previous value of the maximum verbosity level as the value of the
function.
int get_verbosity_level();
Member function get_verbosity_level shall return the value of the maximum verbosity level.
8.3.10 suppress and force
static sc_actions suppress( sc_actions );
static sc_actions suppress();
Member function suppress shall suppress the execution of a given set of actions for subsequent calls
to function report. The actions to be suppressed are passed as an argument to function suppress.
The return value from function suppress shall be the set of actions that were suppressed
immediately prior to the call to function suppress. The actions passed as an argument shall replace
entirely the previously suppressed actions, there being only a single, global set of suppressed
Authorized licensed use limited to: Furkan Tuncer. Downloaded on October 16,2017 at 17:05:54 UTC from IEEE Xplore. Restrictions apply.
IEEE Std 1666-2011
IEEE Standard for Standard SystemC® Language Reference Manual
397
Copyright © 2012 IEEE. All rights reserved.
actions. By default, there are no suppressed actions. If the argument list is empty, the set of
suppressed actions shall be cleared, restoring the default behavior.
The suppression of certain actions shall not hinder the execution of any other actions that are not
suppressed.
static sc_actions force( sc_actions );
static sc_actions force();
Member function force shall force the execution of a given set of actions for subsequent calls to
function report. The actions to be forced are passed as an argument to function force. The return
value from function force shall be the set of actions that were forced immediately prior to the call to
function force. The actions passed as an argument shall replace entirely the previously forced
actions, there being only a single, global set of forced actions. By default, there are no forced
actions. If the argument list is empty, the set of forced actions shall be cleared, restoring the default
behavior.
Forced actions shall be executed in addition to the default actions for the given severity level and in
addition to any actions set by calling function set_actions.
If the same action is both suppressed and forced, the force shall take precedence.
8.3.11 set_handler
typedef void ( * sc_report_handler_proc ) ( const sc_report& , const sc_actions& );
static void set_handler( sc_report_handler_proc );
Member function set_handler shall set the handler function to be called from function report. This
allows an application-specific report handler to be provided.
static void default_handler( const sc_report& , const sc_actions& );
Member function default_handler shall be the default handler; that is, member function
default_handler shall be called from function report in the absence of any call to function
set_handler. Member function default_handler shall perform zero, one, or more than one of the
actions set out in Table 51, as determined by the value of its second argument. In this table, the
composite message shall be a text string composed from the severity level, message type, message,
file name, line number, process name, and time of the sc_report object. An implementation may
vary the content of the composite message, depending on the severity level.
Authorized licensed use limited to: Furkan Tuncer. Downloaded on October 16,2017 at 17:05:54 UTC from IEEE Xplore. Restrictions apply.

IEEE Std 1666-2011
IEEE Standard for Standard SystemC® Language Reference Manual
398
Copyright © 2012 IEEE. All rights reserved.
NOTE—To restore the default handler, call set_handler( &sc_report_handler::default_handler ).
8.3.12 get_new_action_id
static sc_actions get_new_action_id();
Member function get_new_action_id shall return a value of type sc_actions that represents an
unused action. The returned value shall be a word with exactly one bit set. The intention is that such
a value can be used to extend the set of actions when writing an application-specific report handler.
If there are no more unique values available, the function shall return the value SC_UNSPECIFIED.
An application shall not call function get_new_action_id before the start of elaboration.
8.3.13 sc_interrupt_here and sc_stop_here
void sc_interrupt_here( const char* msg_type , sc_severity );
void sc_stop_here( const char* msg_type , sc_severity );
Functions sc_interrupt_here and sc_stop_here shall be called from member function
default_handler in response to action types SC_INTERRUPT and SC_STOP, respectively. These
two functions may also be called from application-specific report handlers. The intention is that
these two functions serve as a debugging aid by allowing a user to set a breakpoint on or within
either function. To this end, an implementation may choose to implement each of these functions
with a switch statement dependent on the severity parameter such that a user can set a breakpoint
dependent on the severity level of the report.
8.3.14 get_cached_report and clear_cached_report
static sc_report* get_cached_report();
Member function get_cached_report shall return a pointer to the most recently cached report for
the current process instance if called from a process or the global cache otherwise. Previous reports
shall not be accessible.
Table 51—Actions by default_handler
Severity levels Description
SC_UNSPECIFIED No action (but function report will execute any lower precedence actions).
SC_DO_NOTHING No action (but causes function report to inhibit lower precedence actions).
SC_THROW Throw the sc_report object.
SC_LOG Write the composite message to the log file as set by function
set_log_file_name.
SC_DISPLAY Write the composite message to standard output.
SC_CACHE_REPORT No action (but causes function report to cache the report).
SC_INTERRUPT Call function sc_interrupt_here, passing the message type and severity level of
the sc_report object as arguments.
SC_STOP Call function sc_stop_here, passing the message type and severity level of the
sc_report object as arguments, then call function sc_stop.
SC_ABORT Call abort().
Authorized licensed use limited to: Furkan Tuncer. Downloaded on October 16,2017 at 17:05:54 UTC from IEEE Xplore. Restrictions apply.
IEEE Std 1666-2011
IEEE Standard for Standard SystemC® Language Reference Manual
399
Copyright © 2012 IEEE. All rights reserved.
static void clear_cached_report();
Member function clear_cached_report shall empty the report cache for the current process instance
if called from a process or the global cache otherwise. A subsequent call to get_cached_report
would return a null pointer until such a time as a further report was cached in the given cache.
8.3.15 set_log_file_name and get_log_file_name
static bool set_log_file_name( const char* );
static const char* get_log_file_name();
Member function set_log_file_name shall set the log file name. Member function
get_log_file_name shall return the log file name as set by set_log_file_name. The default value for
the log file name is a null pointer. If function set_log_file_name is called with a non-null pointer
and there is no existing log file name, the log file name shall be set by duplicating the string passed
as an argument and the function shall return true. If called with a non-null pointer and there is
already a log file name, function set_log_file_name shall not modify the existing name and shall
return false. If called with a null pointer, any existing log file name shall be deleted and the function
shall return false.
Opening, writing, and closing the log file shall be the responsibility of the report handler. Member
function default_handler shall call function get_log_file_name in response to the action SC_LOG.
Function get_log_file_name may also be called from an application-specific report handler.
Example:
sc_report_handler::set_log_file_name("foo"); // Returns true
sc_report_handler::get_log_file_name(); // Returns "foo"
sc_report_handler::set_log_file_name("bar"); // Returns false
sc_report_handler::get_log_file_name(); // Returns "foo"
sc_report_handler::set_log_file_name(0); // Returns false
sc_report_handler::get_log_file_name(); // Returns 0
8.4 sc_exception
8.4.1 Description
Class sc_report, which represents a report generated by the SystemC report handler, is derived from class
std::exception. The typedef sc_exception exists to provide a degree of backward compatibility with earlier
versions of the SystemC class library (see 8.2).
8.4.2 Class definition
namespace sc_core {
typedef std::exception sc_exception;
}
Authorized licensed use limited to: Furkan Tuncer. Downloaded on October 16,2017 at 17:05:54 UTC from IEEE Xplore. Restrictions apply.
IEEE Std 1666-2011
IEEE Standard for Standard SystemC® Language Reference Manual
400
Copyright © 2012 IEEE. All rights reserved.
8.5 sc_vector
8.5.1 Description
Class sc_vector is used to construct vectors of modules, channels, ports, exports, or objects of any other type
that is derived from sc_object. As such it provides a convenient way of describing repetitive or
parameterized structures. Class sc_vector provides member functions for picking out elements from a vector
and for port binding, including member functions to bind a vector-of-ports to a vector-of-objects.
Function sc_assemble_vector (together with its associated proxy class sc_vector_assembly) provides a
mechanism for assembling a vector of objects from a set of individual objects distributed across a vector of
modules. Such a vector assembly can be used in place of a vector in many contexts, such as when binding
ports.
Class sc_vector provides a mechanism for passing through user-defined module constructor arguments
when creating a vector of modules.
Throughout the current clause only, the term vector refers to an object of type sc_vector<T> for some
appropriate choice of T.
8.5.2 Class definition
namespace sc_core {
class sc_vector_base : public sc_object
{
public:
typedef implementation-defined size_type;
virtual const char* kind() const;
size_type size() const;
const std::vector<sc_object*>& get_elements() const;
};
template< typename T >
class sc_vector_iter† : public std::iterator< std::random_access_iterator_tag, T >
{
// Conforms to Random Access Iterator category.
// See ISO/IEC 14882:2003(E), 24.1 [lib.iterator.requirements]
implementation-defined
};
template< typename T >
class sc_vector : public sc_vector_base
{
public:
using sc_vector_base::size_type;
typedef sc_vector_iter†<T> iterator;
typedef sc_vector_iter†<const T> const_iterator;
sc_vector();
explicit sc_vector( const char* );
sc_vector( const char* , size_type );
template< typename Creator >
Authorized licensed use limited to: Furkan Tuncer. Downloaded on October 16,2017 at 17:05:54 UTC from IEEE Xplore. Restrictions apply.
IEEE Std 1666-2011
IEEE Standard for Standard SystemC® Language Reference Manual
401
Copyright © 2012 IEEE. All rights reserved.
sc_vector( const char* , size_type , Creator );
virtual ~sc_vector();
void init( size_type );
static T* create_element( const char* , size_type );
template< typename Creator >
void init( size_type , Creator );
T& operator[] ( size_type );
const T& operator[] ( size_type ) const;
T& at( size_type );
const T& at( size_type ) const;
iterator begin();
iterator end();
const_iterator begin() const;
const_iterator end() const;
const_iterator cbegin() const;
const_iterator cend() const;
template< typename ContainerType, typename ArgumentType >
iterator bind( sc_vector_assembly<ContainerType,ArgumentType> );
template< typename BindableContainer >
iterator bind( BindableContainer& );
template< typename BindableIterator >
iterator bind( BindableIterator , BindableIterator );
template< typename BindableIterator >
iterator bind( BindableIterator , BindableIterator , iterator );
template< typename ContainerType, typename ArgumentType >
iterator operator() ( sc_vector_assembly<ContainerType,ArgumentType> c );
template< typename ArgumentContainer >
iterator operator() ( ArgumentContainer& );
template< typename ArgumentIterator >
iterator operator() ( ArgumentIterator , ArgumentIterator );
template< typename ArgumentIterator >
iterator operator() ( ArgumentIterator , ArgumentIterator , iterator );
private:
// Disabled
sc_vector( const sc_vector& );
sc_vector& operator= ( const sc_vector& );
};
Authorized licensed use limited to: Furkan Tuncer. Downloaded on October 16,2017 at 17:05:54 UTC from IEEE Xplore. Restrictions apply.
IEEE Std 1666-2011
IEEE Standard for Standard SystemC® Language Reference Manual
402
Copyright © 2012 IEEE. All rights reserved.
template< typename T, typename MT >
class sc_vector_assembly
{
public:
typedef implementation-defined size_type;
typedef implementation-defined iterator;
typedef implementation-defined const_iterator;
typedef MT (T::*member_type);
sc_vector_assembly( const sc_vector_assembly& );
iterator begin();
iterator end();
const_iterator begin() const;
const_iterator end() const;
const_iterator cbegin() const;
const_iterator cend() const;
size_type size() const;
std::vector< sc_object* > get_elements() const;
iterator::reference operator[] ( size_type );
const_iterator::reference operator[] ( size_type ) const;
iterator::reference at( size_type );
const_iterator::reference at( size_type ) const;
template< typename ContainerType, typename ArgumentType >
iterator bind( sc_vector_assembly<ContainerType, ArgumentType> );
template< typename BindableContainer >
iterator bind( BindableContainer& );
template< typename BindableIterator >
iterator bind( BindableIterator , BindableIterator );
template< typename BindableIterator >
iterator bind( BindableIterator , BindableIterator , iterator );
template< typename BindableIterator >
iterator bind( BindableIterator , BindableIterator , sc_vector<T>::iterator );
template< typename ContainerType, typename ArgumentType >
iterator operator() ( sc_vector_assembly<ContainerType, ArgumentType> );
template< typename ArgumentContainer >
iterator operator() ( ArgumentContainer& );
template< typename ArgumentIterator >
iterator operator() ( ArgumentIterator , ArgumentIterator );
Authorized licensed use limited to: Furkan Tuncer. Downloaded on October 16,2017 at 17:05:54 UTC from IEEE Xplore. Restrictions apply.
IEEE Std 1666-2011
IEEE Standard for Standard SystemC® Language Reference Manual
403
Copyright © 2012 IEEE. All rights reserved.
template< typename ArgumentIterator >
iterator operator() ( ArgumentIterator , ArgumentIterator , iterator );
template< typename ArgumentIterator >
iterator operator()( ArgumentIterator , ArgumentIterator , sc_vector<T>::iterator );
private:
// Disabled
sc_vector_assembly& operator=( const sc_vector_assembly& );
};
template< typename T, typename MT >
sc_vector_assembly<T,MT> sc_assemble_vector( sc_vector<T> & , MT (T::*member_ptr ) );
} // namespace sc_core
8.5.3 Constraints on usage
An application shall only instantiate the template sc_vector<T> with a template argument T that is a type
derived from sc_object. Except where used with a custom creator, type T shall provide a constructor with a
single argument of a type that is convertible from const char*. If an application needs to pass additional
arguments to the element constructor, it can use a creator function or function object (see 8.5.5).
The constraints on when an object of type sc_vector<T> may be constructed are dependent on the choice of
the template argument T. Subject only to any such constraints that apply to type T itself, vectors may be
constructed dynamically during simulation. For example, a vector-of-modules can only be constructed
during elaboration.
The size of a vector can only be set once, either when the vector is constructed or using a call to member
function init. Vectors cannot be resized dynamically.
8.5.4 Constructors and destructors
sc_vector();
explicit sc_vector( const char* );
sc_vector( const char* , size_type );
template< typename Creator >
sc_vector( const char* , size_type , Creator );
The above constructors shall pass the character string argument (if there is one) through to the
constructor belonging to the base class sc_object in order to set the string name of the vector
instance in the module hierarchy.
The default constructor shall call function sc_gen_unique_name("vector") in order to generate a
unique string name that it shall then pass through to the constructor for the base class sc_object.
If the second argument is present, the constructor shall call the member function init, passing
through the value of this second argument as the first argument to init. Otherwise the constructor
shall construct an empty vector that may subsequently be initialized by calling member function init
explicitly.
If the second and third arguments are present, the constructor shall call the member function init,
passing through the values of the second and third arguments as the first and second arguments to
init.
Authorized licensed use limited to: Furkan Tuncer. Downloaded on October 16,2017 at 17:05:54 UTC from IEEE Xplore. Restrictions apply.
IEEE Std 1666-2011
IEEE Standard for Standard SystemC® Language Reference Manual
404
Copyright © 2012 IEEE. All rights reserved.
Example:
sc_vector< sc_port<i_f> > ports;
sc_vector< sc_signal<bool> > signals;
...
SC_CTOR(my_module)
: ports ("ports", 4) // Vector-of-ports with 4 elements
, signals("signals") // Uninitialized vector-of-signals
{
signals.init(8); // Initialize the vector with 8 elements, each one a signal
}
virtual ~sc_vector();
The destructor shall delete every element of the vector.
8.5.5 init and create_element
void init( size_type );
static T* create_element( const char* , size_type );
Static member function create_element shall allocate and return a pointer to a new object of type T
with the string name given by its first argument. The newly created object shall have the same parent
as the vector; that is, the elements of a vector shall be siblings of the vector object itself in the
SystemC object hierarchy. The reason for the existence of this function is that an application may
provide an alternative function in order to pass user-defined constructor arguments to each element
of the vector(see below).
Member function init shall allocate the number of objects of type T given by the value of its
argument and shall populate the vector with those objects. Each object shall be allocated by calling
the function create_element, where the first argument shall be set to the string name of the element
and the second argument shall be set to the number of the element in the vector, counting up from 0.
The string name of each element shall be determined by calling the function
sc_gen_unique_name(this->basename()).
Calling member function init with an argument value of 0 shall be permitted and shall have no
effect.
It shall be an error to call member function init more than once with an argument value greater than
0 for any given vector. Note that since a constructor with a second argument calls init, it shall be an
error to both construct a vector with a size and to call init, assuming the size is nonzero in both
cases.
template< typename Creator >
void init( size_type , Creator c );
Instead of calling create_element, member function template init shall use the value of the second
argument, which may be a function or a function object, to allocate each element of the vector. The
value passed as the second argument c must be such that
T* placeholder1 = c( (const char*)placeholder2, (size_type)placeholder3 );
is a well-formed statement. In other words, the actual argument must be callable in place of
create_element. This allows the creator to be used to pass additional constructor arguments to each
element of the vector, rather than passing the string name only.
The expressions V.init(N, sc_vector<T>::create_element) and V.init(N) shall be equivalent for all
vectors V.
Authorized licensed use limited to: Furkan Tuncer. Downloaded on October 16,2017 at 17:05:54 UTC from IEEE Xplore. Restrictions apply.
IEEE Std 1666-2011
IEEE Standard for Standard SystemC® Language Reference Manual
405
Copyright © 2012 IEEE. All rights reserved.
Example:
struct my_module: sc_module
{
my_module(sc_module_name n, string extra_arg );
...
};
struct Top: sc_module
{
sc_vector<my_module> vector1; // Vector-of-modules
sc_vector<my_module> vector2;
// Case 1: creator is a function object
struct my_module_creator
{
my_module_creator( string arg ) : extra_arg(arg) {}
my_module* operator() (const char* name, size_t)
{
return new my_module(name, extra_arg );
}
string extra_arg;
};
// Case 2: creator is a member function
my_module* my_module_creator_func( const char* name, size_t i )
{
return new my_module( name, "value_of_extra_arg" );
}
Top(sc_module_name _name, int N)
{
// Initialize vector passing through constructor arguments to my_module
// Case 1: construct and pass in a function object
vector1.init(N, my_module_creator("value_of_extra_arg"));
// Case 2: pass in a member function using Boost bind
vector2.init(N,
sc_bind( &M::my_module_creator_func, this, sc_unnamed::_1, sc_unnamed::_2 ) );
}
};
8.5.6 kind, size, get_elements
virtual const char* kind() const;
Member function kind shall return the string "sc_vector".
size_type size() const;
Member function size shall return the number of elements in the vector. In the case of an
uninitialized vector, the size shall be 0. Once set to a nonzero value, the size cannot be modified.
Authorized licensed use limited to: Furkan Tuncer. Downloaded on October 16,2017 at 17:05:54 UTC from IEEE Xplore. Restrictions apply.
IEEE Std 1666-2011
IEEE Standard for Standard SystemC® Language Reference Manual
406
Copyright © 2012 IEEE. All rights reserved.
const std::vector<sc_object*>& get_elements() const;
Member function get_elements of class sc_vector shall return a const reference to a std::vector
that contains pointers to the elements of the sc_vector, one pointer per element, in the same order.
The std::vector shall have the same size as the sc_vector. The reference shall be valid for the
lifetime of the sc_vector object.
8.5.7 operator[] and at
T& operator[] ( size_type );
const T& operator[] ( size_type ) const;
T& at( size_type );
const T& at( size_type ) const;
operator[] and member functions at shall each return a reference or const-qualified reference to the
object stored at the index position within the vector given by the value of their one-and-only
argument. The reference shall be valid for the lifetime of the vector. If the value of the argument is
greater than the size of the vector, the behavior of operator[] is undefined, whereas member
function at shall detect and report the error.
The value of the relation &V[i] + j == &V[i + j] is undefined for all vectors v and for all indices i
and j.
8.5.8 Iterators
iterator begin();
iterator end();
const_iterator begin() const;
const_iterator end() const;
const_iterator cbegin() const;
const_iterator cend() const;
Class sc_vector shall provide an iterator interface that fulfils the Random Access Iterator
requirements as defined in ISO/IEC 14882:2003(E), Clause 24.1 [lib.iterator.requirements].
begin shall return an iterator that refers to the first element of the vector. end shall return an iterator
that refers to an imaginary element following the last element of the vector. If the vector is empty,
then begin() == end().
Type iterator shall be implicitly convertible to type const_iterator, where the conversion shall
preserve the identity of the element being referred to by the iterator.
Type sc_vector_assembly<T,MT>::iterator shall be implicitly convertible both to type
sc_vector<T>::iterator and to type sc_vector<T>::const_iterator, where the conversion shall
preserve the identity of the element being referred to by the iterator.
Type sc_vector_assembly<T,MT>::const_iterator shall be implicitly convertible to type
sc_vector<T>::const_iterator, where the conversion shall preserve the identity of the element
being referred to by the iterator.
8.5.9 bind
template< typename ContainerType, typename ArgumentType >
iterator bind( sc_vector_assembly<ContainerType,ArgumentType> );
template< typename BindableContainer >
Authorized licensed use limited to: Furkan Tuncer. Downloaded on October 16,2017 at 17:05:54 UTC from IEEE Xplore. Restrictions apply.
IEEE Std 1666-2011
IEEE Standard for Standard SystemC® Language Reference Manual
407
Copyright © 2012 IEEE. All rights reserved.
iterator bind( BindableContainer& );
template< typename BindableIterator >
iterator bind( BindableIterator , BindableIterator );
template< typename BindableIterator >
iterator bind( BindableIterator , BindableIterator , iterator );
template< typename ContainerType, typename ArgumentType >
iterator operator() ( sc_vector_assembly<ContainerType,ArgumentType> c );
template< typename ArgumentContainer >
iterator operator() ( ArgumentContainer& );
template< typename ArgumentIterator >
iterator operator() ( ArgumentIterator , ArgumentIterator );
template< typename ArgumentIterator >
iterator operator() ( ArgumentIterator , ArgumentIterator , iterator );
Each member function bind and operator() shall perform element-by-element binding of the elements of
the current vector *this to the elements of the vector determined by the arguments to the function call. In
each case, the implementation shall bind the elements by calling function bind or operator(), respectively,
of each individual element of the current vector.
These functions exist in multiple forms that support partial binding of either vector as follows:
The one- and two-argument forms shall start binding from the first element of the current object. The three-
argument forms shall start binding from the element referred to by the iterator passed as the third argument.
If the third argument does not refer to an element of the current object, the behavior shall be undefined.
The one-argument forms shall start binding to the first element of the container passed as an argument,
which may be a vector or a vector assembly, and may bind to every element of that container. The two- and
three-argument forms shall start binding to the element referred to by the iterator passed as the first
argument and shall not bind any element including or following that referred to by the iterator passed as the
second argument.
In each case, member function bind and operator() shall return an iterator that refers to the first unbound
element within the current vector *this after the binding has been performed.
A given vector may be bound multiple times subject only to the binding policy of the individual elements. In
other words, it is possible to make multiple calls to bind, each call binding different elements of a vector.
Example:
typedef sc_vector<sc_inout<int> > port_type;
typedef sc_vector<sc_signal<int> > signal_type;
struct M: sc_module
{
port_type ports; // Vector-of-ports
M(sc_module_name _name, int N)
Authorized licensed use limited to: Furkan Tuncer. Downloaded on October 16,2017 at 17:05:54 UTC from IEEE Xplore. Restrictions apply.
IEEE Std 1666-2011
IEEE Standard for Standard SystemC® Language Reference Manual
408
Copyright © 2012 IEEE. All rights reserved.
: ports("ports", N)
...
};
struct Top: sc_module
{
signal_type sigs; // Vector-of-signals
M *m1, *m2;
Top(sc_module_name _name)
: sigs ("sigs" , 4)
, hi_sigs ("hi_sigs" , 2)
, lo_sigs ("lo_sigs" , 2)
{
m1 = new M("m1", 4);
m2 = new M("m2", 4);
port_type::iterator it;
// Bind all 4 elements of ports vector to all 4 elements of sigs vector
it = m1->ports.bind( sigs );
sc_assert( (it - m1->ports.begin()) == 4 );
// Bind first 2 elements of ports vector to 2 elements of hi_sigs vector
it = m2->ports.bind( hi_sigs.begin(), hi_sigs.end() );
sc_assert( (it - m2->ports.begin()) == 2 );
// Explicit loop equivalent to the above vector bind
// port_type::iterator from;
// signal_type::iterator to;
//
// for ( from = m2->ports.begin(), to = hi_sigs.begin();
// (from != m2->ports.end()) && (to != hi_sigs.end());
// from++, to++ )
// (*from).bind( *to );
// Bind last 2 elements of ports vector to 2 elements of lo_sigs vector
it = m2->ports.bind( lo_sigs.begin(), lo_sigs.end(), it);
sc_assert( (it - m2->ports.begin()) == 4 );
}
...
};
8.5.10 sc_assemble_vector
template< typename T, typename MT >
sc_vector_assembly<T,MT> sc_assemble_vector( sc_vector<T> & , MT (T::*member_ptr ) );
Function sc_assemble_vector shall return an object of class sc_vector_assembly, which shall serve
as a proxy for sc_vector by providing the member functions begin, end, cbegin, cend, size,
get_elements, operator[], at, bind, and operator(). Each of these member functions shall have the
same behavior as the corresponding member functions of class sc_vector for the vector represented
by this proxy.
Authorized licensed use limited to: Furkan Tuncer. Downloaded on October 16,2017 at 17:05:54 UTC from IEEE Xplore. Restrictions apply.
IEEE Std 1666-2011
IEEE Standard for Standard SystemC® Language Reference Manual
409
Copyright © 2012 IEEE. All rights reserved.
The first argument passed to function sc_assemble_vector by the application shall be an object of
type sc_vector<T>, where type T is a type derived from class sc_module. In other words, the first
argument shall be a vector-of-modules.
The second argument passed to function sc_assemble_vector by the application shall be the address
of a member sub-object of the user-defined module class that forms the type of the elements of the
vector passed as the first argument. In other words, the second argument shall be a member of the
module from the first argument.
The vector represented by the object of the proxy class sc_vector_assembly shall contain elements
consisting of references to the member sub-objects (as specified by the second argument) of every
element of the vector-of-modules (as specified by the first argument).
sc_assemble_vector may be used to create a proxy for a vector of any object type derived from the
class sc_object.
A call to any member function of the object of class sc_vector_assembly shall act on the elements
of the vector represented by the proxy; that is, the member sub-objects identified by the second
argument that are actually distributed across the members of the vector identified by the first
argument. These sub-objects shall appear to be members of a single vector with respect to the
behavior of each of these member functions. As a consequence, the following relations shall hold:
sc_vector_assembly<T, MT> assembly = sc_assemble_vector(vector, &module_type::member);
sc_assert( &*(assembly.begin()) == &(*vector.begin()).member );
sc_assert( &*(assembly.end()) == &(*vector.end()).member );
sc_assert( assembly.size() == vector.size() );
for (unsigned int i = 0; i < assembly.size(); i++)
{
sc_assert( &assembly[i] == &vector[i].member );
sc_assert( &assembly.at(i) == &vector[i].member );
}
Member function get_elements of class sc_vector_assembly shall return an object of type
std::vector<sc_object*> by value. Each element of this std::vector shall be set by statically casting
the member pointers in the vector assembly to type sc_object*.
An application shall not construct an object of class sc_vector_assembly except by calling
sc_assemble_vector.
Class sc_vector_assembly shall be copyable.
Example:
struct Init: sc_module
{
sc_port<i_f> port;
...
struct Targ: public sc_module, private i_f
{
sc_export<i_f> xp;
...
struct Top: sc_module
{
sc_vector<Init> init_vec;
Authorized licensed use limited to: Furkan Tuncer. Downloaded on October 16,2017 at 17:05:54 UTC from IEEE Xplore. Restrictions apply.
IEEE Std 1666-2011
IEEE Standard for Standard SystemC® Language Reference Manual
410
Copyright © 2012 IEEE. All rights reserved.
sc_vector<Targ> targ_vec;
...
Top(sc_module_name _name, int N)
: init_vec("init_vec", N)
, targ_vec("targ_vec", N)
{
// Vector-to-vector bind from vector-of-ports to vector-of-exports
sc_assemble_vector(init_vec, &Init::port).bind( sc_assemble_vector(targ_vec, &Targ::xp) );
...
8.6 Utility functions
8.6.1 Function declarations
namespace sc_dt {
template <class T>
const T sc_abs( const T& );
template <class T>
const T sc_max( const T& a , const T& b ) { return (( a >= b ) ? a : b ); }
template <class T>
const T sc_min( const T& a , const T& b ) { return (( a <= b ) ? a : b ); }
}
namespace sc_core {
#define IEEE_1666_SYSTEMC 201101L
#define SC_VERSION_MAJOR implementation-defined_number
#define SC_VERSION_MINOR implementation-defined_number
#define SC_VERSION_PATCH implementation-defined_number
#define SC_VERSION_ORIGINATOR implementation-defined_string
#define SC_VERSION_RELEASE_DATE implementation-defined_date
#define SC_VERSION_PRERELEASE implementation-defined_string
#define SC_IS_PRERELEASE implementation-defined_bool
#define SC_VERSION implementation-defined_string
#define SC_COPYRIGHT implementation-defined_string
extern const unsigned int sc_version_major;
extern const unsigned int sc_version_minor;
extern const unsigned int sc_version_patch;
extern const std::string sc_version_originator;
extern const std::string sc_version_release_date;
extern const std::string sc_version_prerelease;
extern const bool sc_is_prerelease;
extern const std::string sc_version_string;
extern const std::string sc_copyright_string;
const char* sc_copyright();
const char* sc_version();
const char* sc_release();
Authorized licensed use limited to: Furkan Tuncer. Downloaded on October 16,2017 at 17:05:54 UTC from IEEE Xplore. Restrictions apply.
IEEE Std 1666-2011
IEEE Standard for Standard SystemC® Language Reference Manual
411
Copyright © 2012 IEEE. All rights reserved.
}
8.6.2 sc_abs
template <class T>
const T sc_abs( const T& );
Function sc_abs shall return the absolute value of the argument. This function shall be implemented
by calling the operators bool T::operator>=( const T& ) and T T::operator-(), and hence, the
template argument can be any SystemC numeric type or any fundamental C++ type.
8.6.3 sc_max
template <class T>
const T sc_max( const T& a , const T& b ) { return (( a >= b ) ? a : b ); }
Function sc_max shall return the greater of the two values passed as arguments as defined above.
NOTE—The template argument should be a type for which operator>= is defined or for which a user-defined
conversion to such a type is defined, such as any SystemC numeric type or any fundamental C++ type.
8.6.4 sc_min
template <class T>
const T sc_min( const T& a , const T& b ) { return (( a <= b ) ? a : b ); }
Function sc_min shall return the lesser of the two values passed as arguments as defined above.
NOTE—The template argument should be a type for which operator<= is defined or for which a user-defined
conversion to such a type is defined, such as any SystemC numeric type or any fundamental C++ type.
8.6.5 Version and copyright
#define IEEE_1666_SYSTEMC 201101L
The implementation shall define the macro IEEE_1666_SYSTEMC with precisely the value given
above. It is the intent that future versions of this standard will replace the value of this macro with a
numerically greater value.
#define SC_VERSION_MAJOR implementation-defined_number // For example, 2
#define SC_VERSION_MINOR implementation-defined_number // 3
#define SC_VERSION_PATCH implementation-defined_number // 4
#define SC_VERSION_ORIGINATOR implementation-defined_string // "OSCI"
#define SC_VERSION_RELEASE_DATE implementation-defined_date // "20110411"
#define SC_VERSION_PRERELEASE implementation-defined_string // "beta"
#define SC_IS_PRERELEASE implementation-defined_bool // 1
#define SC_VERSION implementation-defined_string // "2.3.4_beta-OSCI"
#define SC_COPYRIGHT implementation-defined_string
extern const unsigned int sc_version_major;
extern const unsigned int sc_version_minor;
extern const unsigned int sc_version_patch;
extern const std::string sc_version_originator;
extern const std::string sc_version_release_date;
extern const std::string sc_version_prerelease;
extern const bool sc_is_prerelease;
extern const std::string sc_version_string;
extern const std::string sc_copyright_string;
Authorized licensed use limited to: Furkan Tuncer. Downloaded on October 16,2017 at 17:05:54 UTC from IEEE Xplore. Restrictions apply.
IEEE Std 1666-2011
IEEE Standard for Standard SystemC® Language Reference Manual
412
Copyright © 2012 IEEE. All rights reserved.
Each implementation shall define the macros and constants given above. It is recommended that
each implementation should in addition define one or more implementation-specific macros in order
to allow an application to determine which implementation is being run.
The values of the macros and constants defined in this clause may be independent of the values of
the corresponding set of definitions for TLM-2.0 given in 10.8.2.
Each implementation-defined_number shall consist of a sequence of decimal digits from the
character set [0–9] not enclosed in quotation marks.
The originator and pre-release strings shall each consist of a sequence of characters from the
character set [A–Z][a–z][0–9]_ enclosed in quotation marks.
The version release date shall consist of an ISO 8601 basic format calendar date of the form
YYYYMMDD, where each of the eight characters is a decimal digit, enclosed in quotation marks.
The value of the SC_IS_PRERELEASE flag shall be either 0 or 1, not enclosed in quotation marks.
The version string shall be set to the value "major.minor.patch_prerelease-originator" or
"major.minor.patch-originator", where major, minor, patch, prerelease, and originator are the values
of the corresponding strings (without enclosing quotation marks), and the presence or absence of the
prerelease string shall depend on the value of the SC_IS_PRERELEASE flag.
The copyright string should be set to a copyright notice. The intent is that this string should contain
a legal copyright notice, which an application may print to the console window or to a log file.
Each constant shall be initialized with the value defined by the macro of the corresponding name
converted to the appropriate data type.
const char* sc_release();
The function sc_release shall return the value of the sc_version_string converted to a C string.
const char* sc_version();
Function sc_version shall return an implementation-defined string. The intent is that this string
should contain information concerning the version of the SystemC class library implementation,
which an application may print to the console window or to a log file.
const char* sc_copyright();
The method sc_copyright shall return the value of the copyright string converted to a C string.
Authorized licensed use limited to: Furkan Tuncer. Downloaded on October 16,2017 at 17:05:54 UTC from IEEE Xplore. Restrictions apply.

IEEE Std 1666-2011
IEEE Standard for Standard SystemC® Language Reference Manual
413
Copyright © 2012 IEEE. All rights reserved.
9. Overview of TLM-2.0
The following clauses define the OSCI Transaction-Level Modeling Standard, version 2.0, also known as
TLM-2.0. TLM-2.0 supersedes versions 2.0-draft-1 and 2.0-draft-2, and it is not generally compatible with
either. This version of the standard includes the core interfaces from TLM-1.
TLM-2.0 consists of a set of core interfaces, the global quantum, initiator and target sockets, the generic
payload and base protocol, and the utilities. The TLM-1 core interfaces, analysis interface, and analysis
ports are also included, although they are separate from the main body of the TLM-2.0 standard. The TLM-
2.0 core interfaces consist of the blocking and non-blocking transport interfaces, the direct memory interface
(DMI), and the debug transport interface. The generic payload supports the abstract modeling of memory-
mapped buses, together with an extension mechanism to support the modeling of specific bus protocols
while maximizing interoperability.
The TLM-2.0 classes are layered on top of the SystemC class library as shown in Figure 16. For maximum
interoperability, and particularly for memory-mapped bus modeling, it is recommended that the TLM-2.0
core interfaces, sockets, generic payload, and base protocol be used together in concert. These classes are
known collectively as the interoperability layer. In cases where the generic payload is inappropriate, it is
possible for the core interfaces and the initiator and target sockets, or the core interfaces alone, to be used
with an alternative transaction type. It is even technically possible for the generic payload to be used directly
with the core interfaces without the initiator and target sockets, although this approach is not recommended.
It is not strictly necessary to use the utilities to achieve interoperability between bus models. Nonetheless,
these classes should be used where possible for consistency of style and are documented and maintained as
part of the TLM-2.0 standard.
Figure 16—TLM 2.0 Classes
The generic payload is primarily intended for memory-mapped bus modeling, but it may also be used to
model other non-bus protocols with similar attributes. The attributes and phases of the generic payload can
be extended to model specific protocols, but such extensions may lead to a reduction in interoperability
depending on the degree of deviation from the standard non-extended generic payload.
TLM 2.0 Classes
Interoperability layer
Generic payload & base protocol
Initiator & target sockets
Global quantum
TLM-2 core interfaces:
Blocking transport interface
Non-blocking transport interface
Direct memory interface
Debug transport interface
Utilities:
Convenience sockets
Payload event queues
Quantum keeper
Instance-specific extensions
TLM-1:
TLM-1 core interfaces
tlm_fifo
Analysis interface
Analysis ports
SystemC
Authorized licensed use limited to: Furkan Tuncer. Downloaded on October 16,2017 at 17:05:54 UTC from IEEE Xplore. Restrictions apply.
IEEE Std 1666-2011
IEEE Standard for Standard SystemC® Language Reference Manual
414
Copyright © 2012 IEEE. All rights reserved.
A fast, loosely-timed model is typically expected to use the blocking transport interface, the direct memory
interface, and temporal decoupling. A more accurate, approximately-timed model is typically expected to
use the non-blocking transport interface and the payload event queues. These statements are just coding
style suggestions, however, and are not a normative part of the TLM-2.0 standard.
9.1 Compliance with the TLM-2.0 standard
This standard defines three notions of compliance related to the TLM-2.0 classes, the first concerning
compliance of the implementation and the latter two concerning compliance of the application.
a) A TLM-2.0-compliant implementation is an implementation that provides all of the TLM-2.0
classes described in this standard with the semantics described in this standard, including both the
TLM-2.0 interoperability layer and the TLM-2.0 utilities. TLM-2.0-compliance alone does not infer
full compliance with the entire standard, although it does implicitly infer compliance with the subset
of SystemC used by the TLM-2.0 classes (see also 1.3).
b) A TLM-2.0 base-protocol-compliant model is a part of an application that obeys all of the rules of
the TLM-2.0 base protocol as described in this standard. Such a model will necessarily consist of
one or more SystemC modules with standard sockets (as defined below) specialized using the
protocol traits class tlm_base_protocol, and precisely obeying each and every rule defined in 15.2.
See 15.2.1 for an introduction to the base protocol rules and 14.2.1 regarding the use of extensions
with the base protocol.
c) A TLM-2.0 custom-protocol-compliant model is a part of an application that has standard sockets
specialized with a user-defined protocol traits class (specifically not tlm_base_protocol) and that
uses the generic payload, including the generic payload extension and memory management
mechanisms where appropriate. A custom-protocol-compliant model is not obliged to obey any of
the rules of the base protocol, although such a model is recommended to follow the rules of the base
protocol as closely as possible in order to minimize the amount of engineering effort required to
interface any two such models. Although this recommendation is necessarily informal, there being
no a priori limits on the kinds of protocols modeled using TLM-2.0, it is key to gaining benefit from
the TLM-2.0 standard. See 14.2.2 regarding the relationship between custom protocol rules and the
base protocol.
In case b) and case c), the term standard socket means an object of type tlm_initiator_socket,
tlm_target_socket, or any class derived from one of these two classes.
A model that uses only isolated features of the TLM-2.0 class library may be compliant with this standard
but is neither TLM-2.0 base-protocol-compliant nor TLM-2.0 custom-protocol-compliant.
Authorized licensed use limited to: Furkan Tuncer. Downloaded on October 16,2017 at 17:05:54 UTC from IEEE Xplore. Restrictions apply.
IEEE Std 1666-2011
IEEE Standard for Standard SystemC® Language Reference Manual
415
Copyright © 2012 IEEE. All rights reserved.
10. Introduction to TLM-2.0
10.1 Background
The TLM-1 standard defined a set of core interfaces for transporting transactions by value or const
reference. This set of interfaces is being used successfully in some applications, but it has three
shortcomings with respect to the modeling of memory-mapped buses and other on-chip communication
networks:
a) TLM-1 has no standard transaction class, so each application has to create its own non-standard
classes, resulting in very poor interoperability between models from different sources. TLM-2.0
addresses this shortcoming with the generic payload.
b) TLM-1 has no explicit support for timing annotation, so no standardized way of communicating
timing information between models. TLM-2.0 addresses this shortcoming with the addition of
timing annotation function arguments to the blocking and non-blocking transport interface.
c) The TLM-1 interfaces require all transaction objects and data to be passed by value or const
reference, which may slow down simulation in certain use cases (although not all). TLM-2.0 passes
transaction objects by non-const reference, which is a fast solution for modeling memory-mapped
buses.
10.2 Transaction-level modeling, use cases, and abstraction
There has been a longstanding discussion in the ESL community concerning what is the most appropriate
taxonomy of abstraction levels for transaction-level modeling. Models have been categorized according to a
range of criteria, including granularity of time, frequency of model evaluation, functional abstraction,
communication abstraction, and use cases. The TLM-2.0 activity explicitly recognizes the existence of a
variety of use cases for transaction-level modeling, but rather than defining an abstraction level around each
use case, TLM-2.0 takes the approach of distinguishing between interfaces (APIs), on the one hand, and
coding styles, on the other. The TLM-2.0 standard defines a set of interfaces that should be thought of as
low-level programming mechanisms for implementing transaction-level models, and then describes a
number of coding styles that are appropriate for, but not locked to, the various use cases (Figure 17).
The definitions of the standard TLM-2.0 interfaces stand apart from the descriptions of the coding styles. It
is the TLM-2.0 interfaces that form the normative part of the standard and ensure interoperability. Each cod-
ing style can support a range of abstraction across functionality, timing, and communication. In principle
users can create their own coding styles.
An untimed functional model consisting of a single software thread can be written as a C function or as a
single SystemC process, and it is sometimes termed an algorithmic model. Such a model is not transaction-
level per se, because by definition a transaction is an abstraction of communication, and a single-threaded
model has no inter-process communication. A transaction-level model requires multiple SystemC processes
to simulate concurrent execution and communication.
An abstract transaction-level model containing multiple processes (multiple software threads) requires some
mechanism by which those threads can yield control to one another. This is because SystemC uses a
cooperative multitasking model where an executing process cannot be pre-empted by any other process.
SystemC processes yield control by calling wait in the case of a thread process, or returning to the kernel in
the case of a method process. Calls to wait are usually hidden behind a programming interface (API), which
may model a particular abstract or concrete protocol that may or may not rely on timing information.
Synchronization may be strong in the sense that the sequence of communication events is precisely
determined in advance, or weak in the sense that the sequence of communication events is partially
determined by the detailed timing of the individual processes. Strong sychronization is easily implemented
Authorized licensed use limited to: Furkan Tuncer. Downloaded on October 16,2017 at 17:05:54 UTC from IEEE Xplore. Restrictions apply.

IEEE Std 1666-2011
IEEE Standard for Standard SystemC® Language Reference Manual
416
Copyright © 2012 IEEE. All rights reserved.
in SystemC using FIFOs or semaphores, allowing a completely untimed modeling style where in principle
simulation can run without advancing simulation time. Untimed modeling in this sense is outside the scope
of TLM-2.0. On the other hand, a fast virtual platform model allowing multiple embedded software threads
to run in parallel may use either strong or weak synchronization. In this standard, the appropriate coding
style for such a model is termed loosely-timed.
A more detailed transaction-level model may need to associate multiple protocol-specific timing points with
each transaction, such as timing points to mark the start and the end of each phase of the protocol. By
choosing an appropriate number of timing points, it is possible to model communication to a high degree of
timing accuracy without the need to execute the component models on every single clock cycle. In this
standard, such a coding style is termed approximately-timed.
Figure 17—Use cases, coding styles, and mechanisms
10.3 Coding styles
A coding style is a set of programming language idioms that work well together, not a specific abstraction
level or software programming interface. For simplicity and clarity, this document restricts itself to
elaborating two specific named coding styles: loosely-timed and approximately-timed. By their nature the
coding styles are not precisely defined, and the rules governing the TLM-2.0 core interfaces are defined
independently from these coding styles. In principle, it would be possible to define other coding styles based
on the TLM-1 and TLM-2.0 mechanisms.
10.3.1 Untimed coding style
TLM-2.0 does not make explicit provision for an untimed coding style because all contemporary bus-based
systems require some notion of time in order to model software running on one or more embedded
processors. However, untimed modeling is supported by the TLM-1 core interfaces. (The term untimed is
sometimes used to refer to models that contain a limited amount of timing information of unspecified
accuracy. In TLM-2.0, such models would be termed loosely-timed.)
Software
development
Software
performance
Architectural
analysis
Hardware
verification
Non-blocking
interface
Phases
Generic
payload
SocketsQuantumDMI
Blocking
interface
Mechanisms
Loosely-timed
Approximately-timed
TLM-2 Coding Styles Each style supports a range of abstractions
Use cases
Authorized licensed use limited to: Furkan Tuncer. Downloaded on October 16,2017 at 17:05:54 UTC from IEEE Xplore. Restrictions apply.
IEEE Std 1666-2011
IEEE Standard for Standard SystemC® Language Reference Manual
417
Copyright © 2012 IEEE. All rights reserved.
10.3.2 Loosely-timed coding style and temporal decoupling
The loosely-timed coding style makes use of the blocking transport interface. This interface allows only two
timing points to be associated with each transaction, corresponding to the call to and return from the
blocking transport function. In the case of the base protocol, the first timing point marks the beginning of the
request, and the second marks the beginning of the response. These two timing points could occur at the
same simulation time or at different times.
The loosely-timed coding style is appropriate for the use case of software development using a virtual
platform model of an MPSoC, where the software content may include one or more operating systems. The
loosely-timed coding style supports the modeling of timers and interrupts, sufficient to boot an operating
system and run arbitrary code on the target machine.
The loosely-timed coding style also supports temporal decoupling, where individual SystemC processes are
permitted to run ahead in a local “time warp” without actually advancing simulation time until they reach the
point when they need to synchronize with the rest of the system. Temporal decoupling can result in very fast
simulation for certain systems because it increases the data and code locality and reduces the scheduling
overhead of the simulator. Each process is allowed to run for a certain time slice or quantum before
switching to the next, or instead, it may yield control when it reaches an explicit synchronization point.
Just considering SystemC itself, the SystemC scheduler keeps a tight hold on simulation time. The scheduler
advances simulation time to the time of the next event; then it runs any processes due to run at that time or
sensitive to that event. SystemC processes only run at the current simulation time (as obtained by calling the
method sc_time_stamp), and whenever a SystemC process reads or writes a variable, it accesses the state of
the variable as it would be at the current simulation time. When a process finishes running, it must pass
control back to the simulation kernel. If the simulation model is written at a fine-grained level, then the
overhead of event scheduling and process context switching becomes the dominant factor in simulation
speed. One way to speed up simulation is to allow processes to run ahead of the current simulation time, or
temporal decoupling.
When implementing temporal decoupling in SystemC, a process can be allowed to run ahead of simulation
time until it needs to interact with another process, for example, to read or update a variable belonging to
another process. At that point, the process may either access the current value and continue (with some
possible loss of timing accuracy) or may return control to the simulation kernel, only resuming the process
when simulation time has caught up with the local “time warp.” Each process is responsible for determining
whether it can run ahead of simulation time without breaking the functionality of the model. When a process
encounters an external dependency, it has two choices: Either force synchronization, which means yielding
to allow all other processes to run as normal until simulation time catches up, or sample or update the current
value and continue. The synchronization option guarantees functional congruency with the standard
SystemC simulation semantics. Continuing with the current value relies on making assumptions concerning
communication and timing in the modeled system. It assumes that no damage will be done by sampling or
updating the value too early or too late. This assumption is usually valid in the context of a virtual platform
simulation, where the software stack should not be dependent on the low-level details of the hardware
timing anyway.
Temporal decoupling is characteristic of the loosely-timed coding style.
If a process were permitted to run ahead of simulation time with no limit, the SystemC scheduler would be
unable to operate and other processes would never get the chance to execute. This may be avoided by
reference to the global quantum, which imposes an upper limit on the time a process is allowed to run ahead
of simulation time. The quantum is set by the application, and the quantum value represents a trade-off
between simulation speed and accuracy. Too small a quantum forces processes to yield and synchronize
very frequently, slowing down simulation. Too large a quantum might introduce timing inconsistencies
across the system, possibly to the point where the system ceases to function.
Authorized licensed use limited to: Furkan Tuncer. Downloaded on October 16,2017 at 17:05:54 UTC from IEEE Xplore. Restrictions apply.
IEEE Std 1666-2011
IEEE Standard for Standard SystemC® Language Reference Manual
418
Copyright © 2012 IEEE. All rights reserved.
For example, consider the simulation of a system consisting of a processor, a memory, a timer, and some
slow external peripherals. The software running on the processor spends most of its time fetching and
executing instructions from system memory, and only interacts with the rest of the system when it is
interrupted by the timer, say every 1 ms. The ISS that models the processor could be permitted to run ahead
of SystemC simulation time with a quantum of up to 1 ms, making direct accesses to the memory model, but
only synchronizing with the peripheral models at the rate of timer interrupts. The point here is that the ISS
does not have to be locked to the simulation time clock of the hardware part of the system, as would be the
case with more traditional hardware-software co-simulation. Depending on the detail of the models,
temporal decoupling alone could give a simulation speed improvement of approximately 10X, or 100X,
when combined with DMI.
It is quite possible for some processes to be temporally decoupled and others not, and for different processes
to use different values for the time quantum. However, any process that is not temporally decoupled is likely
to become a simulation speed bottleneck.
In TLM-2.0, temporal decoupling is supported by the tlm_global_quantum class and the timing annotation
of the blocking and non-blocking transport interface. The utility class tlm_quantumkeeper provides a
convenient way to access the global quantum.
10.3.3 Synchronization in loosely-timed models
An untimed model relies on the presence of explicit synchronization points (that is calls to wait or blocking
method calls) in order to pass control between initiators at predetermined points during execution. A
loosely-timed model can also benefit from explicit synchronization in order to guarantee deterministic
execution, but a loosely-timed model is able to make progress even in the absence of explicit synchroniza-
tion points (calls to wait), because each initiator will only run ahead as far as the end of the time quantum
before yielding control. A loosely-timed model can increase its timing accuracy by using synchronization-
on-demand, that is, yielding control to the scheduler before reaching the end of the time quantum.
The time quantum mechanism is not intended to ensure correct system synchronization, but it is a simulation
mechanism that allows multiple system initiators to make progress in a scheduler-based simulation
environment. The time quantum mechanism is not an alternative to designing an explicit synchronization
scheme at the system level.
10.3.4 Approximately-timed coding style
The approximately-timed coding style is supported by the non-blocking transport interface, which is
appropriate for the use cases of architectural exploration and performance analysis. The non-blocking
transport interface provides for timing annotation and for multiple phases and timing points during the
lifetime of a transaction.
For approximately-timed modeling, a transaction is broken down into multiple phases, with an explicit
timing point marking the transition between phases. In the case of the base protocol there are exactly four
timing points marking the beginning and the end of the request and the beginning and the end of the
response. Specific protocols may need to add further timing points, which may possibly cause the loss of
direct compatibility with the generic payload.
Although it is possible to use the non-blocking transport interface with just two phases to indicate the start
and end of a transaction, the blocking transport interface is generally preferred for loosely-timed modeling.
The approximately-timed coding style cannot generally exploit temporal decoupling because of the need for
timing accuracy. Instead, each process typically executes in lock step with the SystemC scheduler. Process
interactions are annotated with specific delays. To create an approximately-timed model, it is generally
sufficient to annotate delays representing the data transfer times for write and read commands and the
Authorized licensed use limited to: Furkan Tuncer. Downloaded on October 16,2017 at 17:05:54 UTC from IEEE Xplore. Restrictions apply.
IEEE Std 1666-2011
IEEE Standard for Standard SystemC® Language Reference Manual
419
Copyright © 2012 IEEE. All rights reserved.
latency of the target. For the base protocol, the data transfer times are effectively the same as the minimum
initiation interval or accept delay between two successive requests or two successive responses. The
annotated delays are implemented by making calls to the SystemC scheduler, that is, wait(delay) or
notify(delay).
10.3.5 Characterization of loosely-timed and approximately-timed coding styles
The coding styles can be characterized in terms of timing points and temporal decoupling.
Loosely-timed. Each transaction has just two timing points, marking the start and the end of the transaction.
Simulation time is used, but processes may be temporally decoupled from simulation time. Each process
keeps a tally of how far it has run ahead of simulation time, and it may yield because it reaches an explicit
synchronization point or because it has consumed its time quantum.
Approximately-timed. Each transaction has multiple timing points. Processes typically need to run in lock-
step with SystemC simulation time. Delays annotated onto process interactions are implemented using
timeouts (wait) or timed event notifications.
Untimed. The notion of simulation time is unnecessary. Processes yield at explicit pre-determined
synchronization points.
10.3.6 Switching between loosely-timed and approximately-timed modeling
A model may switch between the loosely-timed and approximately-timed coding style during simulation.
The idea is to run rapidly through the reset and boot sequence at the loosely-timed level, then switch to
approximately-timed modeling for more detailed analysis once the simulation has reached an interesting
stage.
10.3.7 Cycle-accurate modeling
Cycle-accurate modeling is beyond the scope of TLM-2.0 at present. It is possible to create cycle-accurate
models using SystemC and TLM-1 as it stands, but the requirement for the standardization of a cycle-
accurate coding style remains an open issue, possibly to be addressed by a future Accellera Systems
Initiative standard.
In principle only, the approximately-timed coding style might be extended to encompass cycle-accurate
modeling by defining an appropriate set of phases and rules. The TLM-2.0 release includes sufficient
machinery for this, but the details have not been worked out.
10.3.8 Blocking versus non-blocking transport interfaces
The blocking and non-blocking transport interfaces are distinct interfaces that exist in TLM-2.0 to support
different levels of timing detail. The blocking transport interface is only able to model the start and end of a
transaction, with the transaction being completed within a single function call. The non-blocking transport
interface allows a transaction to be broken down into multiple timing points, and typically requires multiple
function calls for a single transaction.
For interoperability, the blocking and non-blocking transport interfaces are combined into a single interface.
A model that initiates transactions may use the blocking or non-blocking transport interfaces (or both)
according to coding style. Any model that provides a TLM-2.0 transport interface is obliged to provide both
the blocking and non-blocking forms for maximal interoperability, although such a model is not obliged to
implement both interfaces internally.
Authorized licensed use limited to: Furkan Tuncer. Downloaded on October 16,2017 at 17:05:54 UTC from IEEE Xplore. Restrictions apply.

IEEE Std 1666-2011
IEEE Standard for Standard SystemC® Language Reference Manual
420
Copyright © 2012 IEEE. All rights reserved.
TLM-2.0 provides a mechanism (the so-called convenience socket) to automatically convert incoming
blocking or non-blocking transport calls to non-blocking or blocking transport calls, respectively.
Converting transport call types does incur some cost, particularly converting an incoming non-blocking call
to a blocking implementation. However, the cost overhead is mitigated by the fact that the presence of an
approximately-timed model is likely to have a negative impact on simulation speed anyway.
The C++ static typing rules enforce the implementation of both interfaces, but an initiator can choose
dynamically whether to call the blocking or the non-blocking transport method. It is possible for different
initiators to call different methods, or for a given initiator to switch between blocking and non-blocking calls
on-the-fly. This standard includes rules governing the mixing and ordering of blocking and non-blocking
transport calls to the same target.
The strength of the blocking transport interface is that it allows a simplified coding style for models that are
able to complete a transaction in a single function call. The strength of the non-blocking transport interface
is that it supports the association of multiple timing points with a single transaction. In principle, either
interface supports temporal decoupling, but the speed benefits of temporal decoupling are likely to be
nullified by the presence of multiple timing points for approximately-timed models.
10.3.9 Use cases and coding styles
Table 52 summarizes the mapping between use cases for transaction-level modeling and coding styles:
10.4 Initiators, targets, sockets, and transaction bridges
The TLM-2.0 core interfaces pass transactions between initiators and targets (Figure 18). An initiator is a
module that can initiate transactions, that is, create new transaction objects and pass them on by calling a
method of one of the core interfaces. A target is a module that acts as the final destination for a transaction.
In the case of a write transaction, an initiator (such as a processor) writes data to a target (such as a memory).
In the case of a read transaction, an initiator reads data from a target. An interconnect component is a module
that accesses a transaction but does not act as an initiator or a target for that transaction, typical examples
being arbiters and routers. The roles of initiator, interconnect, and target can change dynamically. For
example, a given component may act as an interconnect for some transactions but as a target for other
transactions.
Table 52—Mapping between use cases for transaction-level modeling and coding styles
Use case Coding style
Software application development Loosely-timed
Software performance analysis Loosely-timed
Hardware architectural analysis Loosely-timed or approximately-timed
Hardware performance verification Approximately-timed or cycle-accurate
Hardware functional verification Untimed (verification environment), loosely-timed or
approximately-timed
Authorized licensed use limited to: Furkan Tuncer. Downloaded on October 16,2017 at 17:05:54 UTC from IEEE Xplore. Restrictions apply.

IEEE Std 1666-2011
IEEE Standard for Standard SystemC® Language Reference Manual
421
Copyright © 2012 IEEE. All rights reserved.
Figure 18—Initiators and targets
To illustrate the idea, this paragraph will describe the lifetime of a typical transaction object (Figure 19). The
transaction object is created by an initiator and passed as an argument of a method of the transport interface
(blocking or non-blocking). That method is implemented by an interconnect component such as an arbiter,
which may read attributes of the transaction object before passing it on to a further transport call. That
second transport method is implemented by a second interconnect component, such as a router, which in
turn passes on the transaction through a third transport call to a target such as a memory, the final destination
for the transaction object. (The actual number of interconnect components will vary from transaction to
transaction. There may be none.) This sequence of method calls is known as the forward path. The
transaction is executed in the target, and the transaction object may be returned to the initiator in one of two
ways, either carried with the return from the transport method calls as they unwind, known as the return
path, or passed by making explicit transport method calls on the opposite path from target back to initiator,
known as the backward path. This choice is determined by the return value from the non-blocking transport
method. (Strictly speaking there are two return paths corresponding to the forward and backward paths, but
the meaning is usually clear from the context.)
Initiator
socket
Initiator
socket
Target
socket
Target
socket
Forward
path
Forward
path
Backward
path
Backward
path
Initiator Target
Interconnect
component
Transaction
object
References to a single transaction
object are passed along the
forward and backward paths.
Authorized licensed use limited to: Furkan Tuncer. Downloaded on October 16,2017 at 17:05:54 UTC from IEEE Xplore. Restrictions apply.

IEEE Std 1666-2011
IEEE Standard for Standard SystemC® Language Reference Manual
422
Copyright © 2012 IEEE. All rights reserved.
Figure 19—TLM-2.0 connectivity
The forward path is the calling path by which an initiator or interconnect component makes interface method
calls forward in the direction of another interconnect component or the target. The backward path is the
calling path by which a target or interconnect component makes interface method calls back in the direction
of another interconnect component or the initiator. The entire path between an initiator and a target consists
of a number of hops, each hop connecting two adjacent components. A hop consists of one initiator socket
bound to one target socket. The number of hops from initiator to target is one greater than the number of
interconnect components on that path. When using the generic payload, the forward and backward paths
should each pass through the same set of components and sockets in opposing directions.
In order to support both forward and backward paths, each connection between components requires a port
and an export, both of which have to be bound. This is facilitated by the initiator socket and the target
socket. An initiator socket provides a port for interface method calls on the forward path, and an export for
interface method calls on the backward path. A target socket provides the opposite. (More specifically, an
initiator socket is derived from class sc_port and has an sc_export, and vice versa for a target socket.) The
initiator and target socket classes overload the SystemC port binding operator to bind implicitly both
forward and backward paths.
As well as the transport interfaces, the sockets also encapsulate the DMI and debug transport interfaces (see
below).
When using sockets, an initiator component will have at least one initiator socket, a target component at
least one target socket, and an interconnect component at least one of each. A component may have several
sockets transporting different transaction types, in which case a single component may act as an initiator or
as a target for multiple independent transactions.
In order to model a bus bridge, there are two alternatives. Either model the bus bridge as an interconnect
component or model the bus bridge as a transaction bridge between two separate TLM-2.0 transactions. An
interconnect component would pass on a pointer to a single transaction object, which is the best approach for
Initiator Target
Initiator Interconnect Target
component
Interconnect
component
Initiator Initiator/ Target
Target
Initiator/
Target
Authorized licensed use limited to: Furkan Tuncer. Downloaded on October 16,2017 at 17:05:54 UTC from IEEE Xplore. Restrictions apply.
IEEE Std 1666-2011
IEEE Standard for Standard SystemC® Language Reference Manual
423
Copyright © 2012 IEEE. All rights reserved.
simulation speed. A transaction bridge would require the transaction object to be copied, which gives much
more flexibility because the two transactions could have different attributes.
The use of TLM-2.0 sockets is recommended for maximal interoperability, convenience, and a consistent
coding style. Although it is possible for components to use SystemC ports and exports directly with the
TLM-2.0 core interfaces, this is not recommended.
10.5 DMI and debug transport interfaces
The direct memory interface (DMI) and debug transport interface are specialized interfaces distinct from the
transport interface, providing direct access and debug access to an area of memory owned by a target. Once
a DMI request has been granted, the DMI interface enables an initiator to bypass the usual path through the
interconnect components used by the transport interface. DMI is intended to accelerate regular memory
transactions in a loosely-timed simulation, whereas the debug transport interface is for debug access free of
the delays or side-effects associated with regular transactions.
The DMI has both forward (initiator-to-target) and backward (target-to-initiator) interfaces, whereas debug
only has a forward interface (see 11.2 and 11.3).
10.6 Combined interfaces and sockets
The blocking and non-blocking transport interfaces are combined with the DMI and debug transport
interfaces in the standard initiator and target sockets. All four interfaces (the two transport interfaces, DMI,
and debug) can be used in parallel to access a given target (subject to the rules described in this standard).
These combined interfaces are one of the keys to ensuring interoperability between components using the
TLM-2.0 standard, the other key being the generic payload (see 13.1).
The standard target sockets provide all four interfaces, so each target component must effectively implement
the methods of all four interfaces. However, the design of the blocking and non-blocking transport interfaces
together with the provision of convenience sockets to convert between the two means that a given target
need only implement either the blocking or the non-blocking transport method, not both, according to the
speed and accuracy requirements of the model.
A given initiator may choose to call methods through any or all of the core interfaces, again according to the
speed and accuracy requirements. The coding styles mentioned above help guide the choice of an
appropriate set of interface features. Typically, a loosely-timed initiator will call blocking transport, DMI
and debug, whereas an approximately-timed initiator will call non-blocking transport and debug.
10.7 Namespaces
The TLM-2.0 classes shall be declared in two top-level C++ namespaces, tlm and tlm_utils. Particular
implementations of the TLM-2.0 classes may choose to nest further namespaces within these two
namespaces, but such nested namespaces shall not be used in applications.
Namespace tlm contains the classes that comprise the interoperability interface for memory-mapped bus
modeling.
Namespace tlm_utils contains utility classes that are not strictly necessary for interoperability at the
interface between memory-mapped bus models but that are nevertheless a proper part of the TLM-2.0
standard.
Authorized licensed use limited to: Furkan Tuncer. Downloaded on October 16,2017 at 17:05:54 UTC from IEEE Xplore. Restrictions apply.
IEEE Std 1666-2011
IEEE Standard for Standard SystemC® Language Reference Manual
424
Copyright © 2012 IEEE. All rights reserved.
10.8 Header files and version numbers
Applications should #include the header file tlm, which shall contain all of the public declarations for the
TLM-2.0 interoperability layer. The header files tlm and tlm.h shall be equivalent in the sense that they
shall include precisely the same set of declarations and macros, and they may be used interchangeably. The
header file tlm.h is provided for backward compatibility with earlier versions of TLM-2.0 and may be
deprecated in future versions of this standard. The TLM-2.0 utilities shall not be present in the header files
tlm or tlm.h. Applications should also explicitly #include the header files for any TLM-2.0 utilities they
may wish to use, which shall be placed in a directory named tlm_utils. The precise file names for each of
these header files are defined in their respective clauses in this standard.
10.8.1 Software version information
The header files tlm and tlm.h shall include a set of macros, constants, and functions that provide
information concerning the version number of the TLM-2.0 software distribution. Applications may use
these macros and constants.
The value of the macros and constants defined in this clause may be independent of the values of the
corresponding set of definitions for SystemC given in 8.6.5.
10.8.2 Definitions
namespace tlm
{
#define TLM_VERSION_MAJOR implementation-defined_number // For example, 2
#define TLM_VERSION_MINOR implementation-defined_number // 0
#define TLM_VERSION_PATCH implementation-defined_number // 1
#define TLM_VERSION_ORIGINATOR implementation-defined_string // "OSCI"
#define TLM_VERSION_RELEASE_DATE implementation-defined_date // "20090329"
#define TLM_VERSION_PRERELEASE implementation-defined_string // "beta"
#define TLM_IS_PRERELEASE implementation-defined_bool // 1
#define TLM_VERSION implementation-defined_string
// "2.0.1_beta-OSCI"
#define TLM_COPYRIGHT implementation-defined_string
const unsigned int tlm_version_major;
const unsigned int tlm_version_minor;
const unsigned int tlm_version_patch;
const std::string tlm_version_originator;
const std::string tlm_version_release_date;
const std::string tlm_version_prerelease;
const bool tlm_is_prerelease;
const std::string tlm_version_string;
const std::string tlm_copyright_string;
inline const char* tlm_release();
inline const char* tlm_version();
inline const char* tlm_copyright();
} // namespace tlm
Authorized licensed use limited to: Furkan Tuncer. Downloaded on October 16,2017 at 17:05:54 UTC from IEEE Xplore. Restrictions apply.
IEEE Std 1666-2011
IEEE Standard for Standard SystemC® Language Reference Manual
425
Copyright © 2012 IEEE. All rights reserved.
10.8.3 Rules
a) Each implementation-defined_number shall consist of a sequence of decimal digits from the
character set [0–9] not enclosed in quotation marks.
b) The originator and pre-release strings shall each consist of a sequence of characters from the
character set [A–Z][a–z][0–9]_ enclosed in quotation marks.
c) The version release date shall consist of an ISO 8601 basic format calendar date of the form
YYYYMMDD, where each of the eight characters is a decimal digit, enclosed in quotation marks.
d) The TLM_IS_PRERELEASE flag shall be either 0 or 1, not enclosed in quotation marks.
e) The version string shall be set to the value "major.minor.patch_prerelease-originator" or
"major.minor.patch-originator", where major, minor, patch, prerelease, and originator are the values
of the corresponding strings (without enclosing quotation marks), and the presence or absence of the
prerelease string shall depend on the value of the TLM_IS_PRERELEASE flag.
f) The copyright string should be set to a copyright notice.
g) Each constant shall be initialized with the value defined by the macro of the corresponding name
converted to the appropriate data type.
h) The methods tlm_release and tlm_version shall each return the value of the version string
converted to a C string.
i) The method tlm_copyright shall return the value of the copyright string converted to a C string.
Authorized licensed use limited to: Furkan Tuncer. Downloaded on October 16,2017 at 17:05:54 UTC from IEEE Xplore. Restrictions apply.
IEEE Std 1666-2011
IEEE Standard for Standard SystemC® Language Reference Manual
426
Copyright © 2012 IEEE. All rights reserved.
11. TLM-2.0 core interfaces
In addition to the core interfaces from TLM-1, TLM-2.0 adds blocking and non-blocking transport
interfaces, a direct memory interface (DMI), and a debug transport interface.
11.1 Transport interfaces
The transport interfaces are the primary interfaces used to transport transactions between initiators, targets,
and interconnect components. Both the blocking and non-blocking transport interfaces support timing
annotation and temporal decoupling, but only non-blocking transport supports multiple phases within the
lifetime of a transaction. Blocking transport does not have an explicit phase argument, and any association
between blocking transport and the phases of the non-blocking transport interface is purely notional. Only
the non-blocking transport method returns a value indicating whether or not the return path was used.
The transport interfaces and the generic payload were designed to be used together for the fast, abstract
modeling of memory-mapped buses. The transport interface templates are specialized with the transaction
type allowing them to be used separately from the generic payload, although many of the interoperability
benefits would be lost.
The rules governing memory management of the transaction object, transaction ordering, and the permitted
function calling sequence depend on the specific transaction type passed as a template argument to the
transport interface, which in turn depends on the protocol traits class passed as a template argument to the
socket (if a socket is used).
11.1.1 Blocking transport interface
11.1.1.1 Introduction
The TLM-2.0 blocking transport interface is intended to support the loosely-timed coding style. The block-
ing transport interface is appropriate where an initiator wishes to complete a transaction with a target during
the course of a single function call, the only timing points of interest being those that mark the start and the
end of the transaction.
The blocking transport interface only uses the forward path from initiator to target.
The TLM-2.0 blocking transport interface has deliberate similarities with the transport interface from TLM-
1, which is still part of the TLM-2.0 standard, but the TLM-1 transport interface and the TLM-2.0 blocking
transport interface are not identical. In particular, the new b_transport method has a single transaction
argument passed by non-const reference and a second argument to annotate timing, whereas the TLM-1
transport method takes a request as a single const reference request argument, has no timing annotation,
and returns a response by value. TLM-1 assumes separate request and response objects passed by value (or
const reference), whereas TLM-2.0 assumes a single transaction object passed by reference, whether using
the blocking or the non-blocking TLM-2.0 interfaces.
The b_transport method has a timing annotation argument. This single argument is used on both the call to
and the return from b_transport to indicate the time of the start and end of the transaction, respectively,
relative to the current simulation time.
11.1.1.2 Class definition
namespace tlm {
template <typename TRANS = tlm_generic_payload>
Authorized licensed use limited to: Furkan Tuncer. Downloaded on October 16,2017 at 17:05:54 UTC from IEEE Xplore. Restrictions apply.
IEEE Std 1666-2011
IEEE Standard for Standard SystemC® Language Reference Manual
427
Copyright © 2012 IEEE. All rights reserved.
class tlm_blocking_transport_if : public virtual sc_core::sc_interface {
public:
virtual void b_transport(TRANS& trans, sc_core::sc_time& t) = 0;
};
} // namespace tlm
11.1.1.3 The TRANS template argument
The intent is that this core interface may be used to transport transactions of any type. A specific transaction
type, tlm_generic_payload, is provided to ease interoperability between models where the precise details of
the transaction attributes are less important.
For maximum interoperability, applications should use the default transaction type tlm_generic_payload
with the base protocol (see 15.2). In order to model specific protocols, applications may substitute their own
transaction type. Sockets that use interfaces specialized with different transaction types cannot be bound
together, providing compile-time checking but restricting interoperability.
11.1.1.4 Rules
a) The b_transport method may call wait, directly or indirectly.
b) The b_transport method shall not be called from a method process.
c) The initiator may reuse a transaction object from one call to the next and across calls to the transport
interfaces, DMI, and the debug transport interface.
d) The call to b_transport marks the first timing point of the transaction. The return from b_transport
marks the final timing point of the transaction.
e) The timing annotation argument allows the timing points to be offset from the simulation times
(value returned by sc_time_stamp()) at which the function call and return are executed.
f) The callee may modify or update the transaction object, subject to any constraints imposed by the
transaction class TRANS.
g) It is recommended that the transaction object should not contain timing information. Timing should
be annotated using the sc_time argument to b_transport.
h) Typically, an interconnect component should pass the b_transport call along the forward path from
initiator to target. In other words, the implementation of b_transport for the target socket of the
interconnect component may call the b_transport method of an initiator socket.
i) Whether or not the implementation of b_transport is permitted to call nb_transport_fw depends
on the rules associated with the protocol. For the base protocol, the convenience socket
simple_target_socket is able to make this conversion automatically (see 16.1.2).
j) The implementation of b_transport shall not call nb_transport_bw.
Authorized licensed use limited to: Furkan Tuncer. Downloaded on October 16,2017 at 17:05:54 UTC from IEEE Xplore. Restrictions apply.

IEEE Std 1666-2011
IEEE Standard for Standard SystemC® Language Reference Manual
428
Copyright © 2012 IEEE. All rights reserved.
11.1.1.5 Message sequence chart—blocking transport
The blocking transport method may return immediately (that is, in the current SystemC evaluation phase) or
may yield control to the scheduler and only return to the initiator at a later point in simulation time
(Figure 20). Although the initiator thread may be blocked, another thread in the initiator may be permitted to
call b_transport before the first call has returned, depending on the protocol.
Figure 20—Blocking transport
11.1.1.6 Message sequence chart—temporal decoupling
A temporally decoupled initiator may run at a notional local time in advance of the current simulation time,
in which case it should pass a non-zero value for the time argument to b_transport, as shown below. The
initiator and target may each further advance the local time offset by increasing the value of the time
argument. Adding the time argument returned from the call to the current simulation time gives the notional
time at which each the transaction completes, but simulation time itself cannot advance until the initiator
thread yields.
The body of b_transport may itself call wait, in which case the local time offset should be reset to zero. In
Figure 21, the final return from the initiator happens at simulation time 140 ns, but with an annotated delay
of 5 ns, giving an effective local time of 145 ns.
Initiator Target
Call
Return
b_transport(t, 0ns);
b_transport(t, 0ns);
Call
b_transport(t, 0ns);
Return
b_transport(t, 0ns);
wait (40ns)
Simulation time = 100ns
Simulation time = 140ns
Authorized licensed use limited to: Furkan Tuncer. Downloaded on October 16,2017 at 17:05:54 UTC from IEEE Xplore. Restrictions apply.

IEEE Std 1666-2011
IEEE Standard for Standard SystemC® Language Reference Manual
429
Copyright © 2012 IEEE. All rights reserved.
Figure 21—Temporal decoupling
11.1.1.7 Message sequence chart—the time quantum
A temporally decoupled initiator will continue to advance local time until the time quantum is exceeded
(Figure 22). At that point, the initiator is obliged to synchronize by suspending execution, directly or
indirectly calling the wait method with the local time as an argument. This allows other initiators in the
model to run and to catch up, which effectively means that the initiators execute in turn, each being
responsible for determining when to hand back control by keeping track of its own local time. The original
initiator should only run again after simulation time has advanced to the next quantum.
The primary purpose of delays in the loosely-timed coding style is to allow each initiator to determine when
to hand back control. It is best if the model does not rely on the details of the timing in order to function cor-
rectly.
Within each quantum, the transactions generated by a given initiator happen in strict sequential order but
without advancing simulation time. The local time is not tracked by the SystemC scheduler.
Initiator Target
Call
Return
b_transport(t, 0ns);
b_transport(t, 5ns);
Call
b_transport(t, 30ns);
Return b_transport(t, 5ns);
wait (40ns)
Simulation time = 100ns
Simulation time = 140ns
+0ns
+5ns
Call
Return
b_transport(t, 20ns);
b_transport(t, 25ns);
+20ns
+25ns
+30ns
+5ns
Local time offset
Authorized licensed use limited to: Furkan Tuncer. Downloaded on October 16,2017 at 17:05:54 UTC from IEEE Xplore. Restrictions apply.

IEEE Std 1666-2011
IEEE Standard for Standard SystemC® Language Reference Manual
430
Copyright © 2012 IEEE. All rights reserved.
Figure 22—The time quantum
11.1.2 Non-blocking transport interface
11.1.2.1 Introduction
The non-blocking transport interface is intended to support the approximately-timed coding style. The non-
blocking transport interface is appropriate where it is desired to model the detailed sequence of interactions
between initiator and target during the course of each transaction. In other words, to break down a transac-
tion into multiple phases, where each phase transition is associated with a timing point. Each call to and
return from the non-blocking transport method may correspond to a phase transition.
By restricting the number of timing points to two, it is possible to use the non-blocking transport interface
with the loosely-timed coding style, but this is not generally recommended. For loosely-timed modeling, the
blocking transport interface is generally preferred for its simplicity. The non-blocking transport interface is
particularly suited for modeling pipelined transactions, which would be awkward to model using blocking
transport.
The non-blocking transport interface uses both the forward path from initiator to target and the backward
path from target to initiator. There are two distinct interfaces, tlm_fw_nonblocking_transport_if and
tlm_bw_nonblocking_transport_if, for use on opposite paths.
The non-blocking transport interface uses a similar argument-passing mechanism to the blocking transport
interface in that the non-blocking transport methods pass a non-const reference to the transaction object and
a timing annotation, but there the similarity ends. The non-blocking transport method also passes a phase to
indicate the state of the transaction, and it returns an enumeration value to indicate whether the return from
the function also represents a phase transition.
Both blocking and non-blocking transport support timing annotation, but only non-blocking transport
supports multiple phases within the lifetime of a transaction. The blocking and non-blocking transport
Initiator Target
Call
Return
b_transport(t, 950ns);
b_transport(t, 970ns);
Call
b_transport(t, 0ns);
wait (1010ns)
Simulation time = 1us
Simulation time = 2010ns
+950ns
+970ns
Call
Return
b_transport(t, 990ns);
b_transport(t, 1010ns);
+990ns
+1010ns
+0ns
Local time offset
Quantum = 1us
Authorized licensed use limited to: Furkan Tuncer. Downloaded on October 16,2017 at 17:05:54 UTC from IEEE Xplore. Restrictions apply.
IEEE Std 1666-2011
IEEE Standard for Standard SystemC® Language Reference Manual
431
Copyright © 2012 IEEE. All rights reserved.
interface and the generic payload were designed to be used together for the fast, abstract modeling of
memory-mapped buses. However, the transport interfaces can be used separately from the generic payload
to model specific protocols. Both the transaction type and the phase type are template parameters of the non-
blocking transport interface.
11.1.2.2 Class definition
namespace tlm {
enum tlm_sync_enum { TLM_ACCEPTED, TLM_UPDATED, TLM_COMPLETED };
template <typename TRANS = tlm_generic_payload, typename PHASE = tlm_phase>
class tlm_fw_nonblocking_transport_if : public virtual sc_core::sc_interface {
public:
virtual tlm_sync_enum nb_transport_fw(TRANS& trans, PHASE& phase, sc_core::sc_time& t) = 0;
};
template <typename TRANS = tlm_generic_payload, typename PHASE = tlm_phase>
class tlm_bw_nonblocking_transport_if : public virtual sc_core::sc_interface {
public:
virtual tlm_sync_enum nb_transport_bw(TRANS& trans, PHASE& phase, sc_core::sc_time& t) = 0;
};
} // namespace tlm
11.1.2.3 The TRANS and PHASE template arguments
The intent is that the non-blocking transport interface may be used to transport transactions of any type and
with any number of phases and timing points. A specific transaction type, tlm_generic_payload, is
provided to ease interoperability between models where the precise details of the transaction attributes are
less important, and a specific type tlm_phase is provided for use with the base protocol (see 15.2).
For maximum interoperability, applications should use the default transaction type tlm_generic_payload
and the default phase type tlm_phase with the base protocol. In order to model specific protocols,
applications may substitute their own transaction type and phase type. Sockets that use interfaces specialized
with different transaction types cannot be bound together, providing compile-time checking but restricting
interoperability.
11.1.2.4 The nb_transport_fw and nb_transport_bw calls
a) There are two non-blocking transport methods, nb_transport_fw for use on the forward path, and
nb_transport_bw for use on the backward path. Aside from their names and calling direction these
two methods have similar semantics. In this document, the italicized term nb_transport is used to
describe both methods in situations where there is no need to distinguish between them.
b) In the case of the base protocol, the forward and backward paths should pass through exactly the
same sequence of components and sockets in opposing order. It is the responsibility of each
component to route any transaction returning toward the initiator using the target socket through
which that transaction was first received.
c) nb_transport_fw shall only be called on the forward path, and nb_transport_bw shall only be
called on the backward path.
d) An nb_transport_fw call on the forward path shall under no circumstances directly or indirectly
make a call to nb_transport_bw on the backward path, and vice versa.
e) The nb_transport methods shall not call wait, directly or indirectly.
Authorized licensed use limited to: Furkan Tuncer. Downloaded on October 16,2017 at 17:05:54 UTC from IEEE Xplore. Restrictions apply.
IEEE Std 1666-2011
IEEE Standard for Standard SystemC® Language Reference Manual
432
Copyright © 2012 IEEE. All rights reserved.
f) The nb_transport methods may be called from a thread process or from a method process.
g) nb_transport is not permitted to call b_transport. One solution would be to call b_transport from
a separate thread process, spawned or notified by the original nb_transport_fw method. For the
base protocol, a convenience socket simple_target_socket is provided, which is able to make this
conversion automatically (see 16.1.2).
h) The non-blocking transport interface is explicitly intended to support pipelined transactions. In other
words, several successive calls to nb_transport_fw from the same process could each initiate
separate transactions without having to wait for the first transaction to complete.
i) In principle, the final timing point of a transaction may be marked by a call to or a return from
nb_transport on either the forward path or the backward path.
11.1.2.5 The trans argument
a) The lifetime of a given transaction object may extend beyond the return from nb_transport such that
a series of calls to nb_transport may pass a single transaction object forward and backward between
initiators, interconnect components, and targets.
b) If there are multiple calls to nb_transport associated with a given transaction instance, one and the
same transaction object shall be passed as an argument to every such call. In other words, a given
transaction instance shall be represented by a single transaction object.
c) An initiator may re-use a given transaction object to represent more than one transaction instance, or
across calls to the transport interfaces, DMI, and the debug transport interface.
d) Since the lifetime of the transaction object may extend over several calls to nb_transport, either the
caller or the callee may modify or update the transaction object, subject to any constraints imposed
by the transaction class TRANS. For example, for the generic payload, the target may update the
data array of the transaction object in the case of a read command but shall not update the command
field (see 14.7).
11.1.2.6 The phase argument
a) Each call to nb_transport passes a reference to a phase object. In the case of the base protocol,
successive calls to nb_transport with the same phase are not permitted. Each phase transition has an
associated timing point. A timing annotation using the sc_time argument shall delay the timing
point relative to the phase transition.
b) The phase argument is passed by reference. Either caller or callee may modify the phase.
c) The intent is that the phase argument should be used to inform components as to whether and when
they are permitted to read or modify the attributes of a transaction. If the rules of a protocol allow a
given component to modify the value of a transaction attribute during a particular phase, then that
component may modify the value at any time during that phase and any number of times during that
phase. The protocol should forbid other components from reading the value of that attribute during
that phase, only permitting the value to be read after the next phase transition.
d) The value of the phase argument represents the current state of the protocol state machine for the
given hop. Where a single transaction object is passed between more than two components (initiator,
interconnect, target), each hop requires (notionally, at least) a separate protocol state machine.
e) Whereas the transaction object has a lifetime and a scope that may extend beyond any single call to
nb_transport, the phase object is normally local to the caller. Each nb_transport call for a given
transaction may have a separate phase object. Corresponding phase transitions on different hops
may occur at different points in simulation time.
f) The default phase type tlm_phase is specific to the base protocol. Other protocols may use or extend
type tlm_phase or may substitute their own phase type (with a corresponding loss of
interoperability) (see 15.1).
Authorized licensed use limited to: Furkan Tuncer. Downloaded on October 16,2017 at 17:05:54 UTC from IEEE Xplore. Restrictions apply.
IEEE Std 1666-2011
IEEE Standard for Standard SystemC® Language Reference Manual
433
Copyright © 2012 IEEE. All rights reserved.
11.1.2.7 The tlm_sync_enum return value
a) The concept of sychronization is referred to in several places. To synchronize is to yield control to
the SystemC scheduler in order that other processes may run, but it has additional connotations for
temporal decoupling. This is discussed more fully elsewhere (see 16.2.4).
b) In principle, synchronization can be accomplished by yielding (calling wait in the case of a thread
process or returning to the kernel in the case of a method process), but a temporally decoupled
initiator should synchronize by calling the sync method of class tlm_quantumkeeper. In general, it
is necessary for an initiator to synchronize from time-to-time in order to allow other SystemC
processes to run.
c) The following rules apply to both the forward and backward paths.
d) The meaning of the return value from nb_transport is fixed and does not vary according to the trans-
action type or phase type. Hence the following rules are not restricted to the base protocol but apply
to every transaction and phase type used to parameterize the non-blocking transport interface.
e) TLM_ACCEPTED. The callee shall not have modified the state of the transaction object, the
phase, or the time argument during the call. In other words, TLM_ACCEPTED indicates that the
return path is not being used. The caller may ignore the values of the nb_transport arguments
following the call, since the callee is obliged to leave them unchanged. In general, the caller will
have to yield before the component containing the callee can respond to the transaction. For the base
protocol, a callee that is ignoring an ignorable phase should return TLM_ACCEPTED.
f) TLM_UPDATED. The callee has updated the transaction object. The callee may have modified the
state of the phase argument, may have modified the state of the transaction object, and may have
increased the value of the time argument during the call. In other words, TLM_UPDATED indicates
that the return path is being used, and the callee has advanced the state of the protocol state machine
associated with the transaction. Whether or not the callee is actually obliged to modify each of the
arguments depends on the protocol. Following the call to nb_transport, the caller should inspect the
phase, transaction, and time arguments and take the appropriate action.
g) TLM_COMPLETED. The callee has updated the transaction object, and the transaction is
complete. The callee may have modified the state of the transaction object and may have increased
the value of the time argument during the call. The value of the phase argument is undefined. In
other words, TLM_COMPLETED indicates that the return path is being used and the transaction is
complete with respect to a particular socket. Following the call to nb_transport, the caller should
inspect the transaction object and take the appropriate action but should ignore the phase argument.
There shall be no further transport calls associated with this particular transaction through the
current socket along either the forward or backward paths. Completion in this sense does not
necessarily imply successful completion, so depending on the transaction type, the caller may need
to inspect a response status embedded in the transaction object.
h) In general there is no obligation to complete a transaction by having nb_transport return
TLM_COMPLETED. A transaction is in any case complete with respect to a particular socket when
the final phase of the protocol is passed as an argument to nb_transport. (For the base protocol, the
final phase is END_RESP.) In other words, TLM_COMPLETED is not mandatory.
i) For any of the three return values, and depending on the protocol, following the call to nb_transport
the caller may need to yield in order to allow the component containing the callee to generate a
response or to release the transaction object.
11.1.2.8 tlm_sync_enum summary
Table 53 provides a summary of tlm_sync_enum.
Authorized licensed use limited to: Furkan Tuncer. Downloaded on October 16,2017 at 17:05:54 UTC from IEEE Xplore. Restrictions apply.

IEEE Std 1666-2011
IEEE Standard for Standard SystemC® Language Reference Manual
434
Copyright © 2012 IEEE. All rights reserved.
11.1.2.9 Message sequence chart—using the backward path
The following message sequence charts illustrate various calling sequences to nb_transport. The arguments
and return value passed to and from nb_transport are shown using the notation return, phase, delay, where
return is the value returned from the function call, phase is the value of the phase argument, and delay is the
value of the sc_time argument. The notation '-' indicates that the value is unused.
The following message sequence charts use the phases of the base protocol as an example, that is,
BEGIN_REQ, END_REQ and so on. With the approximately-timed coding style and the base protocol, a
transaction is passed back-and-forth twice between initiator and target. For other protocols, the number of
phases and their names may be different.
If the recipient of an nb_transport call is unable immediately to calculate the next state of the transaction or
the delay to the next timing point, it should return a value of TLM_ACCEPTED. The caller should yield
control to the scheduler and expect to receive a call to nb_transport on the opposite path when the callee is
ready to respond. Notice that in this case, unlike the loosely-timed case, the caller could be the initiator or
the target (Figure 23).
Transactions may be pipelined. The initiator could call nb_transport to send another transaction to the target
before having seen the final phase transition of the previous transaction.
Because processes are regularly yielding control to the scheduler in order to allow simulation time to
advance, the approximately-timed coding style is expected to simulate a lot more slowly than the loosely-
timed coding style.
Table 53—tlm_sync_enum summary
tlm_sync_enum Unmodified Unchanged Unchanged
TLM_ACCEPTED Unmodified Unchanged Unchanged
TLM_UPDATED Updated Changed May be increased
TLM_COMPLETED Updated Ignored May be increased
Authorized licensed use limited to: Furkan Tuncer. Downloaded on October 16,2017 at 17:05:54 UTC from IEEE Xplore. Restrictions apply.

IEEE Std 1666-2011
IEEE Standard for Standard SystemC® Language Reference Manual
435
Copyright © 2012 IEEE. All rights reserved.
Figure 23—Using the backward path
11.1.2.10 Message sequence chart—using the return path
If the recipient of an nb_transport call can immediately calculate the next state of the transaction and the
delay to the next timing point, it may return the new state on return from nb_transport rather than using the
opposite path. If the next timing point marks the end of the transaction, the recipient can return either
TLM_UPDATED or TLM_COMPLETED. A callee can return TLM_COMPLETED at any stage (subject
to the rules of the protocol) to indicate to the caller that it has pre-empted the other phases and jumped to the
final phase, completing the transaction. This applies to initiator and target alike.
With TLM_UPDATED, the callee should update the transaction, the phase, and the timing annotation.
In Figure 24, the non-zero timing annotation argument passed on return from the function calls indicates to
the caller the delay between the phase transition on the hop and the corresponding timing point.
Initiator Target
Call
Return
-, BEGIN_REQ, 0ns
Call
-, BEGIN_RESP, 0ns
Return
Simulation time = 100ns
Simulation time = 130ns
Call
Return
-, END_REQ, 0ns
TLM_ACCEPTED, -, -
TLM_ACCEPTED, -, -
Return
TLM_ACCEPTED, -, -
-, END_RESP, 0ns
TLM_ACCEPTED, -, -
Call
Simulation time = 110ns
Simulation time = 120ns
Phase
BEGIN_REQ
END_REQ
BEGIN_RESP
END_RESP
Authorized licensed use limited to: Furkan Tuncer. Downloaded on October 16,2017 at 17:05:54 UTC from IEEE Xplore. Restrictions apply.

IEEE Std 1666-2011
IEEE Standard for Standard SystemC® Language Reference Manual
436
Copyright © 2012 IEEE. All rights reserved.
Figure 24—Using the return path
11.1.2.11 Message sequence chart—early completion
Depending on the protocol, an initiator or a target may return TLM_COMPLETED from nb_transport at
any point in order to complete the transaction early. Neither initiator nor target may make any further
nb_transport calls for this particular transaction instance. Whether or not an initiator or target is actually
permitted to shortcut a transaction in this way depends on the rules of the specific protocol.
In Figure 25, the timing annotation on the return path indicates to the initiator that the final timing point is to
occur after the given delay. The phase transitions from BEGIN_REQ through END_REQ and
BEGIN_RESP to END_RESP are implicit, rather than being passed explicitly as arguments to nb_transport.
Initiator Target
Simulation time = 110ns
Call
TLM_UPDATED, END_REQ, 10ns
-, BEGIN_REQ, 0ns
Return
Simulation time = 100ns
BEGIN_REQ
END_REQ
Phase
Simulation time = 150ns
Simulation time = 155ns
Call
Return
BEGIN_RESP
END_RESP
-, BEGIN_RESP, 0ns
TLM_UPDATED, END_RESP, 5ns
Authorized licensed use limited to: Furkan Tuncer. Downloaded on October 16,2017 at 17:05:54 UTC from IEEE Xplore. Restrictions apply.

IEEE Std 1666-2011
IEEE Standard for Standard SystemC® Language Reference Manual
437
Copyright © 2012 IEEE. All rights reserved.
.
Figure 25—Early completion
11.1.2.12 Message sequence chart—timing annotation
A caller may annotate a delay onto an nb_transport call (Figure 26). This is an indication to the callee that
the transaction should be processed as if it had been received after the given delay. An approximately-timed
callee would typically handle this situation by putting the transaction into a payload event queue for
processing when simulation time has caught up with the annotated delay. Depending on the implementation
of the payload event queue, this processing may occur either in a SystemC process sensitive to an event
notification from the payload event queue or in a callback registered with the payload event queue.
Delays can be annotated onto calls on the forward and backward paths and the corresponding return paths.
An approximately-timed initiator would be expected to handle incoming transactions on both the forward
return path and the backward path in the same way. Similarly, an approximately-timed target would be
expected to handle incoming transactions on both the backward return path and the forward path in the same
way.
Initiator Target
Simulation time = 110ns
Call
TLM_COMPLETED, -, 10ns
-, BEGIN_REQ, 0ns
Return
Simulation time = 100ns
BEGIN_REQ
(END_RESP)
Phase
Authorized licensed use limited to: Furkan Tuncer. Downloaded on October 16,2017 at 17:05:54 UTC from IEEE Xplore. Restrictions apply.

IEEE Std 1666-2011
IEEE Standard for Standard SystemC® Language Reference Manual
438
Copyright © 2012 IEEE. All rights reserved.
Figure 26—Timing annotation
11.1.3 Timing annotation with the transport interfaces
Timing annotation is a shared feature of the blocking and non-blocking transport interfaces, expressed using
the sc_time argument to the b_transport, nb_transport_fw, and nb_transport_bw methods. In this
document, the italicized term transport is used to denote the three methods b_transport, nb_transport_fw,
and nb_transport_bw.
Transaction ordering is governed by a combination of the core interface rules and the protocol rules. The
rules in the following clause apply to the core interfaces regardless of the choice of protocol. For the base
protocol, the rules given here should be read in conjunction with those in 15.2.7.
11.1.3.1 The sc_time argument
a) It is recommended that the transaction object should not contain timing information. Any timing
annotation should be expressed using the sc_time argument to transport.
b) The time argument shall be non-negative and shall be expressed relative to the current simulation
time sc_time_stamp().
Initiator Target
Call
TLM_ACCEPTED, -, -
-, BEGIN_REQ, 10ns
Return
Simulation time = 100ns
BEGIN_REQ
END_REQ
Phase
Simulation time = 110ns
Simulation time = 125ns
Call
Return
-, END_REQ, 10ns
TLM_ACCEPTED, -, -
Simulation time = 135ns
Payload
Event
Queue
Payload
Event
Queue
Authorized licensed use limited to: Furkan Tuncer. Downloaded on October 16,2017 at 17:05:54 UTC from IEEE Xplore. Restrictions apply.
IEEE Std 1666-2011
IEEE Standard for Standard SystemC® Language Reference Manual
439
Copyright © 2012 IEEE. All rights reserved.
c) The time argument shall apply on both the call to and the return from transport (subject to the rules
of the tlm_sync_enum return value of nb_transport).
d) The nb_transport method may itself increase the value of the time argument but shall not decrease
the value. The b_transport method may increase the value of the time argument or may decrease
the value in the case that it has called wait and thus synchronized with simulation time, but only by
an amount that is less than or equal to the time for which the process was suspended. This rule is
consistent with time not running backward in a SystemC simulation.
e) In the following description, the recipient of the transaction on the call to transport is the callee, and
the recipient of the transaction on return from transport is the caller.
f) The recipient shall behave as if it had received the transaction at an effective local time of
sc_time_stamp() + t, where t is the value of the time argument. In other words, the recipient shall
behave as if the timing point associated with the interface method call is to occur at the effective
local time.
g) Given a sequence of calls to transport, the effective local times at which the transactions are to be
processed may or may not be in increasing time order in general. For transactions created by
different initiators, it is fundamental to temporal decoupling that interface method call order may be
different from effective local time order. The responsibility to handle transactions with out-of-order
timing annotations lies with the recipient.
h) On receipt of a transaction with a non-zero timing annotation, any recipient always has choices that
reflect the modeling trade-off between speed and accuracy. The recipient can execute any state
changes caused by the transaction immediately and pass on the timing annotation, possibly
increased, or it can schedule some internal process to resume after part or all of the annotated time
has elapsed and execute the state changes only then. The choice is not enforced by the transport
interface but may be documented as part of a protocol traits class or coding style.
i) If the recipient is not concerned with timing accuracy or with processing a sequence of incoming
transactions in the order given by their timing annotations, it may process each transaction
immediately, without delay. Having done so, the recipient may also choose to increase the value of
the timing annotation to model the time needed to process the transaction. This scenario assumes
that the system design can tolerate out-of-order execution because of the existence of some explicit
mechanism (over and above the TLM-2.0 interfaces) to enforce the correct causal chain of events.
j) If the recipient is to implement an accurate model of timing and execution order, it should ensure
that the transaction is indeed processed at the correct time relative to any other SystemC processes
with which it may interact. In SystemC, the appropriate mechanism to schedule an event at a future
time is the timed event notification. For convenience, TLM-2.0 provides a family of utility classes,
known as payload event queues, which can be used to queue transactions for processing at the
proper simulation time according to the natural semantics of SystemC (see 16.3). In other words, an
approximately-timed recipient should typically put the transaction into a payload event queue.
k) Rather than processing the transaction directly, the recipient may pass the transaction on with a
further call to or return from a transport method without modification to the transaction and using
the same phase and timing annotation (or with an increased timing annotation).
l) With the loosely-timed coding style, transactions are typically executed immediately such that
execution order matches interface method call order, and the b_transport method is recommended.
m) With the approximately-timed coding style, transactions are typically delayed such that their execu-
tion order matches the effective local time order, and the nb_transport method is recommended.
n) Each component can make the above choice dynamically on a call-by-call basis. For example, a
loosely-timed component may execute a series of transactions immediately in call order, passing on
the timing annotations but may then choose to schedule the very next transaction for execution only
after the delay given by the timing annotation has elapsed (known as synchronization on demand).
This is a matter of coding style.
o) The above choice exists for both blocking and non-blocking transport. For example, b_transport
may increase the timing annotation and return immediately or may wait for the timing annotation to
Authorized licensed use limited to: Furkan Tuncer. Downloaded on October 16,2017 at 17:05:54 UTC from IEEE Xplore. Restrictions apply.
IEEE Std 1666-2011
IEEE Standard for Standard SystemC® Language Reference Manual
440
Copyright © 2012 IEEE. All rights reserved.
elapse before returning. nb_transport may increase the timing annotation and return
TLM_COMPLETED or may return TLM_ACCEPTED and schedule the transaction for execution
later.
p) As a consequence of the above rules, if a component is the recipient of a series of transactions where
the order of the incoming interface method calls is different from the effective local time order, the
component is free to choose the mutual execution order of those particular transactions. The
recommendation is to execute all transactions in call order or to execute all transactions in effective
local time order, but this is not an obligation.
q) Note that the order in which incoming transactions are executed by a component should in effect
always be the same as interface method call order because a component will either execute an
incoming transaction before returning from the interface method call regardless of the timing
annotation (loosely-timed), or will schedule the transaction for execution at the proper future time
and return TLM_ACCEPTED (approximately-timed), thus indicating to the caller that it should wait
before issuing the next transaction. (TLM_ACCEPTED alone does not forbid the caller from issuing
the next transaction, but in the case of the base protocol, the request and response exclusion rules
may do so.)
r) Timing annotation can also be described in terms of temporal decoupling. A non-zero timing
annotation can be considered as an invitation to the recipient to “warp time.” The recipient can
choose to enter a time warp, or it can put the transaction in a queue for later processing and yield. In
a loosely-timed model, time warping is generally acceptable. On the other hand, if the target has
dependencies on other asynchronous events, the target may have to wait for simulation time to
advance before it can predict the future state of the transaction with certainty.
s) For a general description of temporal decoupling, see 10.3.2.
t) For a description of the quantum, see 16.2.
Example:
The following pseudo-code fragments illustrate just some of the many possible coding styles:
// ---------------------------------------------
// Various interface method definitions
// ---------------------------------------------
void b_transport( TRANS& trans, sc_core::sc_time& t )
{
// Loosely-timed coding style
execute_transaction( trans );
t = t + latency;
}
void b_transport( TRANS& trans, sc_core::sc_time& t )
{
// Loosely-timed with synchronization at the target or synchronization-on-demand
wait( t );
execute_transaction( trans );
t = SC_ZERO_TIME;
}
tlm_sync_enum nb_transport_fw( TRANS& trans, PHASE& phase, sc_core::sc_time& t )
{
// Pseudo-loosely-timed coding style using non-blocking transport (not recommended)
execute_transaction( trans );
Authorized licensed use limited to: Furkan Tuncer. Downloaded on October 16,2017 at 17:05:54 UTC from IEEE Xplore. Restrictions apply.
IEEE Std 1666-2011
IEEE Standard for Standard SystemC® Language Reference Manual
441
Copyright © 2012 IEEE. All rights reserved.
t = t + latency;
return TLM_COMPLETED;
}
tlm_sync_enum nb_transport_fw( TRANS& trans, PHASE& phase, sc_core::sc_time& t )
{
// Approximately-timed coding style
// Post the transaction into a payload event queue for execution at time sc_time_stamp() + t
payload_event_queue->notify( trans, phase, t );
// Increment the transaction reference count
trans.acquire();
return TLM_ACCEPTED;
}
tlm_sync_enum nb_transport_fw( TRANS& trans, PHASE& phase, sc_core::sc_time& t )
{
// Approximately-timed coding style making use of the backward path
payload_event_queue->notify( trans, phase, t );
trans.acquire();
// Modify the phase and time arguments
phase = END_REQ;
t = t + accept_delay;
return TLM_UPDATED;
}
// ---------------------------------------------------------------------------
// b_transport interface method calls, loosely-timed coding style
// ---------------------------------------------------------------------------
initialize_transaction( T1 );
socket->b_transport( T1, t ); // t may increase
process_response( T1 );
initialize_transaction( T2 );
socket->b_transport( T2, t ); // t may increase
process_response( T2 );
// Initiator may sync after each transaction or after a series of transactions
quantum_keeper->set( t );
if ( quantum_keeper->need_sync() )
quantum_keeper->sync();
// -------------------------------------------------------------------------------------
// nb_transport interface method call, approximately-timed coding style
// -------------------------------------------------------------------------------------
initialize_transaction( T3 );
status = socket->nb_transport_fw( T3, phase, t );
if ( status == TLM_ACCEPTED )
{
// No action, but expect an incoming nb_transport_bw method call
}
else if ( status == TLM_UPDATED ) // Backward path is being used
{
Authorized licensed use limited to: Furkan Tuncer. Downloaded on October 16,2017 at 17:05:54 UTC from IEEE Xplore. Restrictions apply.
IEEE Std 1666-2011
IEEE Standard for Standard SystemC® Language Reference Manual
442
Copyright © 2012 IEEE. All rights reserved.
payload_event_queue->notify( T3, phase, t );
}
else if ( status == TLM_COMPLETED ) // Early completion
{
// Timing annotation may be taken into account in one of several ways
// Either (1) by waiting, as shown here
wait ( t );
process_response( T3 );
// or (2) by creating an event notification
// response_event.notify( t );
// or (3) by being passed on to the next transport method call (code not shown here)
}
11.1.4 Migration path from TLM-1
The old TLM-1 and the new TLM-2.0 interfaces are both part of the TLM-2.0 standard. The TLM-1
blocking and non-blocking interfaces are still useful in their own right. For example, a number of vendors
have used these interfaces in building functional verification environments for HDL designs.
The intent is that the similarity between the old and new blocking transport interfaces should ease the task of
building adapters between legacy models using the TLM-1 interfaces and the new TLM-2.0 interfaces.
11.2 Direct memory interface
11.2.1 Introduction
The Direct Memory Interface, or DMI, provides a means by which an initiator can get direct access to an
area of memory owned by a target, thereafter accessing that memory using a direct pointer rather than
through the transport interface. The DMI offers a large potential increase in simulation speed for memory
access between initiator and target because once established it is able to bypass the normal path of multiple
b_transport or nb_transport calls from initiator through interconnect components to target.
There are two direct memory interfaces, one for calls on the forward path from initiator to target, and a
second for calls on the backward path from target to initiator. The forward path is used to request a particular
mode of DMI access (e.g., read or write) to a given address, and returns a reference to a DMI descriptor of
type tlm_dmi, which contains the bounds of the DMI region. The backward path is used by the target to
invalidate DMI pointers previously established using the forward path. The forward and backward paths
may pass through zero, one, or many interconnect components, but it should be identical to the forward and
backward paths for the corresponding transport calls through the same sockets.
A DMI pointer is requested by passing a transaction along the forward path. The default DMI transaction
type is tlm_generic_payload, where only the command and address attributes of the transaction object are
used. DMI follows the same approach to extension as the transport interface; that is, a DMI request may con-
tain ignorable extensions, but any non-ignorable or mandatory extension requires the definition of a new
protocol traits class (see 14.2.2).
The DMI descriptor returns latency values for use by the initiator and so provides sufficient timing accuracy
for loosely-timed modeling.
DMI pointers may be used for debug, but the debug transport interface itself is usually sufficient because
debug traffic is usually light, and usually dominated by I/O rather than memory access. Debug transactions
are not usually on the critical path for simulation speed. If DMI pointers were used for debug, the latency
values should be ignored.
Authorized licensed use limited to: Furkan Tuncer. Downloaded on October 16,2017 at 17:05:54 UTC from IEEE Xplore. Restrictions apply.
IEEE Std 1666-2011
IEEE Standard for Standard SystemC® Language Reference Manual
443
Copyright © 2012 IEEE. All rights reserved.
11.2.2 Class definition
namespace tlm {
class tlm_dmi
{
public:
tlm_dmi() { init(); }
void init();
enum dmi_access_e {
DMI_ACCESS_NONE= 0x00,
DMI_ACCESS_READ = 0x01,
DMI_ACCESS_WRITE= 0x02,
DMI_ACCESS_READ_WRITE = DMI_ACCESS_READ | DMI_ACCESS_WRITE
};
unsigned char* get_dmi_ptr() const;
sc_dt::uint64 get_start_address() const;
sc_dt::uint64 get_end_address() const;
sc_core::sc_time get_read_latency() const;
sc_core::sc_time get_write_latency() const;
dmi_access_e get_granted_access() const;
bool is_none_allowed() const;
bool is_read_allowed() const;
bool is_write_allowed() const;
bool is_read_write_allowed() const;
void set_dmi_ptr(unsigned char* p);
void set_start_address(sc_dt::uint64 addr);
void set_end_address(sc_dt::uint64 addr);
void set_read_latency(sc_core::sc_time t);
void set_write_latency(sc_core::sc_time t);
void set_granted_access(dmi_access_e t);
void allow_none();
void allow_read();
void allow_write();
void allow_read_write();
};
template <typename TRANS = tlm_generic_payload>
class tlm_fw_direct_mem_if : public virtual sc_core::sc_interface
{
public:
virtual bool get_direct_mem_ptr(TRANS& trans, tlm_dmi& dmi_data) = 0;
};
class tlm_bw_direct_mem_if : public virtual sc_core::sc_interface
{
public:
virtual void invalidate_direct_mem_ptr(sc_dt::uint64 start_range, sc_dt::uint64 end_range) = 0;
};
Authorized licensed use limited to: Furkan Tuncer. Downloaded on October 16,2017 at 17:05:54 UTC from IEEE Xplore. Restrictions apply.
IEEE Std 1666-2011
IEEE Standard for Standard SystemC® Language Reference Manual
444
Copyright © 2012 IEEE. All rights reserved.
} // namespace tlm
11.2.3 get_direct_mem_ptr method
a) The get_direct_mem_ptr method shall only be called by an initiator or by an interconnect
component, not by a target.
b) The trans argument shall pass a reference to a DMI transaction object constructed by the initiator.
c) The dmi_data argument shall be a reference to a DMI descriptor constructed by the initiator.
d) Any interconnect component should pass the get_direct_mem_ptr call along the forward path from
initiator to target. In other words, the implementation of get_direct_mem_ptr for the target socket
of the interconnect component may call the get_direct_mem_ptr method of an initiator socket.
e) Each get_direct_mem_ptr call shall follow exactly the same path from initiator to target as a
corresponding set of transport calls. In other words, each DMI request shall involve an interaction
between one initiator and one target, where those two components also serve the role of initiator and
target for a single transaction object passed through the transport interface. DMI cannot be used on a
path through a component that initiates a second transaction object, such as a non-trivial width
converter. (If DMI is an absolute requirement for simulation speed, the simulation model may need
to be restructured to permit it.)
f) Any interconnect components shall pass on the trans and dmi_data arguments in the forward
direction, the only permitted modification being to the value of the address attribute of the DMI
transaction object as described below. The address attribute of the transaction and the DMI
descriptor may both be modified on return from the get_direct_mem_ptr method, that is, when
unwinding the function calls from target back to initiator.
g) If the target is able to support DMI access to the given address, it shall set the members of the DMI
descriptor as described below and set the return value of the function to true. When a target grants
DMI access, the DMI descriptor is used to indicate the details of the access being granted.
h) If the target is not able to support DMI access to the given address, it need set only the address range
and type members of the DMI descriptor as described below and set the return value of the function
to false. When a target denies DMI access, the DMI descriptor is used to indicate the details of the
access being denied.
i) A target may grant or deny DMI access to any part or parts of its memory region, including non-
contiguous regions, subject to the rules given in this clause.
j) In the case that a target has granted DMI access and has set the return value of the function to true,
an interconnect component may deny DMI access by setting the return value of the function to false
on return from the get_direct_mem_ptr method. The reverse is not permitted; in the case that a
target has denied DMI access, an interconnect component shall not grant DMI access.
k) Given multiple calls to get_direct_mem_ptr, a target may grant DMI access to multiple initiators
for the same memory region at the same time. The application is responsible for synchronization and
coherency.
l) Since each call to get_direct_mem_ptr can only return a single DMI pointer to a contiguous
memory region, each DMI request can only be fulfilled by a single target in practice. In other words,
if a memory region is scattered across multiple targets, then even though the address range is
contiguous, each target will likely require a separate DMI request.
m) If read or write access to a certain region of memory causes side effects in a target (that is, causes
some other change to the state of the target over and above the state of the memory), the target
should not grant DMI access of the given type to that memory region. But if, for example, only write
access causes side effects in a target, the target may still grant DMI read access to a given region.
n) The implementation of get_direct_mem_ptr may call invalidate_direct_mem_ptr.
o) The implementation of get_direct_mem_ptr shall not call wait, directly or indirectly.
Authorized licensed use limited to: Furkan Tuncer. Downloaded on October 16,2017 at 17:05:54 UTC from IEEE Xplore. Restrictions apply.
IEEE Std 1666-2011
IEEE Standard for Standard SystemC® Language Reference Manual
445
Copyright © 2012 IEEE. All rights reserved.
11.2.4 template argument and tlm_generic_payload class
a) The tlm_fw_direct_mem_if template shall be parameterized with the type of a DMI transaction
class.
b) The transaction object shall contain attributes to indicate the address for which direct memory
access is requested and the type of access requested, namely read access or write access to the given
address. In the case of the base protocol, these shall be the command and address attributes of the
generic payload.
c) The default value of the TRANS template argument shall be the class tlm_generic_payload.
d) For maximal interoperability, the DMI transaction class should be the tlm_generic_payload class.
The use of non-ignorable extensions or other transaction types will restrict interoperability.
e) The initiator shall be responsible for constructing and managing the DMI transaction object, and for
setting the appropriate attributes of the object before passing it as an argument to
get_direct_mem_ptr.
f) The command attribute of the transaction object shall be set by the initiator to indicate the kind of
DMI access being requested, and shall not be modified by any interconnect component or target. For
the base protocol, the permitted values are TLM_READ_COMMAND for read access, and
TLM_WRITE_COMMAND for write access.
g) For the base protocol, the command attribute is forbidden from having the value
TLM_IGNORE_COMMAND. However, this value may be used by other protocols.
h) The address attribute of the transaction object shall be set by the initiator to indicate the address for
which direct memory access is being requested.
i) An interconnect component passing the DMI transaction object along the forward path should
decode and where necessary modify the address attribute of the transaction exactly as it would for
the corresponding transport interface of the same socket. For example, an interconnect component
may need to mask the address (reducing the number of significant bits) according to the address
width of the target and its location in the system memory map.
j) An interconnect component need not pass on the get_direct_mem_ptr call in the event that it
detects an addressing error.
k) In the case of the base protocol, if the generic payload option attribute is TLM_MIN_PAYLOAD,
the initiator is not obliged to set any other attributes of the generic payload aside from command and
address, and the target and any interconnect components may ignore all other attributes. In
particular, the response status attribute and the DMI allowed attribute may be ignored. If the target
sets the value of the generic payload option attribute to TLM_FULL_PAYLOAD_ACCEPTED, the
target shall set the response status attribute and the initiator should check the response status as
described in 14.8. The DMI allowed attribute is only intended for use with the transport and debug
transport interfaces.
l) The initiator may re-use a transaction object from one DMI call to the next and across calls to DMI,
the transport interfaces, and the debug transport interface.
m) If an application needs to add further attributes to a DMI transaction object for use by the target
when determining the kind of DMI access being requested, the recommended approach is to add
extensions to the generic payload rather than substituting an unrelated transaction class. For
example, the DMI transaction might include a CPU ID to allow the target to service DMI requests
differently depending on the kind of CPU making the request. In the case that such extensions are
non-ignorable, this will require the definition of a new protocol traits class.
11.2.5 tlm_dmi class
a) A DMI descriptor is an object of class tlm_dmi. DMI descriptors shall be constructed by initiators,
but their members may be set by interconnect components or targets.
Authorized licensed use limited to: Furkan Tuncer. Downloaded on October 16,2017 at 17:05:54 UTC from IEEE Xplore. Restrictions apply.
IEEE Std 1666-2011
IEEE Standard for Standard SystemC® Language Reference Manual
446
Copyright © 2012 IEEE. All rights reserved.
b) A DMI descriptor shall have the following attributes: the DMI pointer attribute, the granted access
type attribute, the start address attribute, the end address attribute, the read latency attribute, and the
write latency attribute. The default values of these attributes shall be as follows: DMI pointer
attribute = 0, access type = DMI_ACCESS_NONE, start address = 0, end address = the maximum
value of type sc_dt::uint64, read latency = SC_ZERO_TIME, and write latency =
SC_ZERO_TIME.
c) Method init shall initialize the members of the DMI descriptor to their default values.
d) A DMI descriptor shall be in its default state whenever it is passed as an argument to
get_direct_mem_ptr by the initiator. If DMI descriptor objects are pooled, the initiator shall reset
the DMI descriptor to its default state before passing it as an argument to get_direct_mem_ptr.
Method init may be called for this purpose.
e) Since an interconnect component is not permitted to modify the DMI descriptor as it is passed on
toward the target, the DMI descriptor shall be in its initial state when it is received by the target.
f) The method set_dmi_ptr shall set the DMI pointer attribute to the value passed as an argument. The
method get_dmi_ptr shall return the current value of the DMI pointer attribute.
g) The DMI pointer attribute shall be set by the target to point to the storage location corresponding to
the value of the start address attribute. This shall be less than or equal to the address requested in the
call to get_direct_mem_ptr. The initial value shall be 0.
h) The storage in the DMI region is represented with type unsigned char*. The storage shall have the
same organization as the data array of the generic payload. If a target is unable to return a pointer to
a memory region with that organization, the target is unable to support DMI and
get_direct_mem_ptr should return the value false. For a full description of how memory
organization and endianness are handled in TLM-2.0, see 14.18.
i) An interconnect component is permitted to modify the DMI pointer attribute on the return path from
the get_direct_mem_ptr function call in order to restrict the region to which DMI access is being
granted.
j) The method set_granted_access shall set the granted access type attribute to the value passed as an
argument. The method get_granted_access shall return the current value of the granted access type
attribute. The initial value shall be DMI_ACCESS_NONE.
k) The methods allow_none, allow_read, allow_write, and allow_read_write shall set the granted
access type attribute to the value DMI_ACCESS_NONE, DMI_ACCESS_READ,
DMI_ACCESS_WRITE, or DMI_ACCESS_READ_WRITE, respectively.
l) The method is_none_allowed shall return true if and only if the granted access type attribute has the
value DMI_ACCESS_NONE. The method is_read_allowed shall return true if and only if the
granted access type attribute has the value DMI_ACCESS_READ or
DMI_ACCESS_READ_WRITE. The method is_write_allowed shall return true if and only if the
granted access type attribute has the value DMI_ACCESS_WRITE or
DMI_ACCESS_READ_WRITE. The method is_read_write_allowed shall return true if and only
if the granted access type attribute has the value DMI_ACCESS_READ_WRITE.
m) The target shall set the granted access type attribute to the type of access being granted or being
denied. A target is permitted to respond to a request for read access by granting (or denying) read or
read/write access, and to a request for write access by granting (or denying) write or read/write
access. An interconnect component is permitted to restrict the granted access type by overwriting a
value of DMI_ACCESS_READ_WRITE with DMI_ACCESS_READ or DMI_ACCESS_WRITE
on the return path from the get_direct_mem_ptr function call.
n) A target wishing to deny read and write access to the DMI region should set the granted access type
to DMI_ACCESS_READ_WRITE, not to DMI_ACCESS_NONE.
Example:
bool get_direct_mem_ptr( TRANS& trans, tlm::tlm_dmi& dmi_data )
Authorized licensed use limited to: Furkan Tuncer. Downloaded on October 16,2017 at 17:05:54 UTC from IEEE Xplore. Restrictions apply.
IEEE Std 1666-2011
IEEE Standard for Standard SystemC® Language Reference Manual
447
Copyright © 2012 IEEE. All rights reserved.
{
// Deny DMI access to entire memory region
dmi_data.allow_read_write();
dmi_data.set_start_address( 0x0 );
dmi_data.set_end_address( (sc_dt::uint64)-1 );
return false;
}
o) The target should set the granted access type to DMI_ACCESS_NONE to indicate that it is not
granting (or denying) read, write, or read/write access to the initiator, but it is granting (or denying)
some other kind of access as requested by an extension to the DMI transaction object. This value
should only be used in cases where an extension to the DMI transaction object makes the pre-
defined access types read, write, and read/write unnecessary or meaningless. This value should not
be used in the case of the base protocol.
p) The initiator is responsible for using only those modes of DMI access that have been granted by the
target (and possibly modified by the interconnect) using the granted access type attribute (or in cases
other than the base protocol, granted using extensions to the generic payload or using other DMI
transaction types).
q) The methods set_start_address and set_end_address shall set the start and end address attributes,
respectively, to the values passed as arguments. The methods get_start_address and
get_end_address shall return the current values of the start and end address attributes, respectively.
r) The start and end address attributes shall be set by the target (or modified by the interconnect) to
point to the addresses of the first and the last bytes in the DMI region. The DMI region is either
being granted or being denied, as determined by the value returned from the get_direct_mem_ptr
method (true or false). A target wishing to deny access to its entire memory region may set the start
address to 0 and the end address to the maximum value of type sc_dt::uint64.
s) A target can only grant or deny a single contiguous memory region for each get_direct_mem_ptr
call. A target can set the DMI region to a single address by having the start and end address
attributes be equal or can set the DMI region to be arbitrarily large.
t) Having been granted DMI access of a given type to a given region, an initiator may perform access
of the given type anywhere in that region until it is invalidated. In other words, access is not
restricted to the address given in the DMI request.
u) Any interconnect components that pass on the get_direct_mem_ptr call are obliged to transform
the start and end address attributes as they do the address argument. Any transformations on the
addresses in the DMI descriptor shall occur as the descriptor is passed along the return path from the
get_direct_mem_ptr function call. For example, the target may set the start address attribute to a
relative address within the memory map known to that target, in which case the interconnect
component is obliged to transform the relative address back to an absolute address in the system
memory map. The initial values shall be 0 and the maximum value of type sc_dt::uint64,
respectively.
v) An interconnect component is permitted to modify the start and end address attributes in order to
restrict the region to which DMI access is being granted, or expand the range to which DMI access is
being denied.
w) If get_direct_mem_ptr returns the value true, the DMI region indicated by the start and end
address attributes is a region for which DMI access is allowed. On the other hand, if
get_direct_mem_ptr return the value false, it is a region for which DMI access is disallowed.
x) A target or interconnect component receiving two or more calls to get_direct_mem_ptr may return
two or more overlapping allowed DMI regions or two or more overlapping disallowed DMI regions.
y) A target or interconnect component shall not return overlapping DMI regions where one region is
allowed, and the other is disallowed for the same access type, for example, both read or read/write or
both write or read/write, without making an intervening call to invalidate_direct_mem_ptr to
invalidate the first region.
Authorized licensed use limited to: Furkan Tuncer. Downloaded on October 16,2017 at 17:05:54 UTC from IEEE Xplore. Restrictions apply.
IEEE Std 1666-2011
IEEE Standard for Standard SystemC® Language Reference Manual
448
Copyright © 2012 IEEE. All rights reserved.
z) In other words, the definition of the DMI regions shall not be dependent on the order in which they
were created unless the first region is invalidated by an intervening call to
invalidate_direct_mem_ptr. Specifically, the creation of a disallowed DMI region shall not be
permitted to punch a hole in an existing allowed DMI region for the same access type, or vice versa.
aa) A target may disallow DMI access to the entire address space (start address attribute = 0, end
address attribute = maximum value), perhaps because the target does not support DMI access at all,
in which case an interconnect component should clip this disallowed region down to the part of the
memory map occupied by the target. Otherwise, if an interconnect component fails to clip the
address range, then an initiator would be misled into thinking that DMI was disallowed across the
entire system address space.
ab) The methods set_read_latency and set_write_latency shall set the read and write latency attributes,
respectively, to the values passed as arguments. The methods get_read_latency and
get_write_latency shall return the current values of the read and write latency attributes,
respectively.
ac) The read and write latency attributes shall be set to the average latency per byte for read and write
memory transactions, respectively. In other words, the initiator performing the direct memory
operation shall calculate the actual latency by multiplying the read or write latency from the DMI
descriptor by the number of bytes that would have been transferred by the equivalent transport
transaction. The initial values shall be SC_ZERO_TIME. Both interconnect components and the
target may increase the value of either latency such that the latency accumulates as the DMI
descriptor is passed back from target to initiator on return from the get_direct_mem_ptr method.
One or both latencies will be valid, depending on the value of the granted access type attribute.
ad) The initiator is responsible for respecting the latencies whenever it accesses memory using the direct
memory pointer. If the initiator chooses to ignore the latencies, this may result in timing
inaccuracies.
11.2.6 invalidate_direct_mem_ptr method
a) The invalidate_direct_mem_ptr method shall only be called by a target or an interconnect
component.
b) A target is obliged to call invalidate_direct_mem_ptr before any change that would modify the
validity or the access type of any existing DMI region. For example, before restricting the address
range of an existing DMI region, before changing the access type from read/write to read, or before
re-mapping the address space.
c) The start_range and end_range arguments shall be the first and last addresses of the address range
for which DMI access is to be invalidated.
d) An initiator receiving an incoming call to invalidate_direct_mem_ptr shall immediately invalidate
and discard any DMI region (previously received from a call to get_direct_mem_ptr) that overlaps
with the given address range.
e) In the case of a partial overlap, that is, only part of an existing DMI region is invalidated, an initiator
may adjust the boundaries of the existing region or may invalidate the entire region.
f) Each DMI region shall remain valid until it is explicitly invalidated by a target using a call to
invalidate_direct_mem_ptr. Each initiator may maintain a table of valid DMI regions and may
continue to use each region until it is invalidated.
g) Any interconnect components are obliged to pass on the invalidate_direct_mem_ptr call along the
backward path from target to initiator, decoding and where necessary modifying the address
arguments as they would for the corresponding transport interface. Because the transport interface
transforms the address on the forward path and DMI on the backward path, the transport and DMI
transformations should be the inverse of one another.
Authorized licensed use limited to: Furkan Tuncer. Downloaded on October 16,2017 at 17:05:54 UTC from IEEE Xplore. Restrictions apply.
IEEE Std 1666-2011
IEEE Standard for Standard SystemC® Language Reference Manual
449
Copyright © 2012 IEEE. All rights reserved.
h) Given a single invalidate_direct_mem_ptr call from a target, an interconnect component may
make multiple invalidate_direct_mem_ptr calls to initiators. Since there may be multiple initiators
each getting direct memory pointers to the same target, a safe implementation is for an interconnect
component to call invalidate_direct_mem_ptr for every initiator.
i) An interconnect component can invalidate all direct memory pointers in an initiator by setting
start_range to 0 and end_range to the maximum value of the type sc_dt::uint64.
j) The implementation of any TLM-2.0 core interface method may call invalidate_direct_mem_ptr.
k) The implementation of invalidate_direct_mem_ptr shall not call get_direct_mem_ptr, directly or
indirectly.
l) The implementation of invalidate_direct_mem_ptr shall not call wait, directly or indirectly.
11.2.7 DMI versus transport
a) By definition, the direct memory interface provides a direct interface between initiator and target
that bypasses any interconnect components. The transport interfaces, on the other hand, cannot
bypass interconnect components.
b) Care must be taken to ensure correct behavior when an interconnect component retains state or has
side effects, such as buffered interconnects or interconnects modeling cache memory. The transport
interfaces may access and update the state of the interconnect component, whereas the direct
memory interface will bypass the interconnect component. The safest alternative is for such
interconnect components always to deny DMI access.
c) It is possible for an initiator to switch back and forth between calling the transport interfaces and
using a direct memory pointer. It is also possible that one initiator may use DMI, while another
initiator is using the transport interfaces. Care must be taken to ensure correct behavior, particularly
considering that transport calls may carry a timing annotation. This is the responsibility of the
application. For example, a given target could support DMI and transport simultaneously or could
invalidate every DMI pointer whenever transport is called.
11.2.8 DMI and temporal decoupling
a) A DMI region can only be invalidated by means of a target or interconnect component making a call
to invalidate_direct_mem_ptr.
b) An initiator is responsible for checking that a DMI region is still valid before using the associated
DMI pointer, subject to the following considerations.
c) The co-routine semantics of SystemC guarantee that once an initiator has started running, no other
SystemC process will be able to run until the initiator yields. In particular, no other SystemC process
would be able to invalidate a DMI pointer (although the current process might). As a consequence, a
temporally decoupled initiator does not necessarily need to check repeatedly that a given DMI
region is still valid each time it uses the associated DMI pointer.
d) It is possible that an interface method call made from an initiator may cause another component to
call invalidate_direct_mem_ptr, thus invalidating a DMI region being used by that initiator. This
could be true of a temporally decoupled initiator that runs without yielding.
e) While an initiator is running without interacting with any other components and without yielding,
any valid DMI region will remain valid.
f) It is possible that after a temporally decoupled initiator using DMI has yielded, another temporally
decoupled initiator may cause that same DMI region to be invalidated within the current time
quantum. This reflects the fundamental inaccuracy intrinsic to temporal decoupling in general but
does not represent a violation of the rules given in this clause.
Authorized licensed use limited to: Furkan Tuncer. Downloaded on October 16,2017 at 17:05:54 UTC from IEEE Xplore. Restrictions apply.
IEEE Std 1666-2011
IEEE Standard for Standard SystemC® Language Reference Manual
450
Copyright © 2012 IEEE. All rights reserved.
11.2.9 Optimization using a DMI hint
a) The DMI hint, otherwise known as the DMI allowed attribute, is a mechanism to optimize
simulation speed by avoiding the need to poll repeatedly for DMI access. Instead of calling
get_direct_mem_ptr to check for the availability of a DMI pointer, an initiator can check the DMI
allowed attribute of a normal transaction passed through the transport interface.
b) The generic payload provides a DMI allowed attribute. User-defined transactions could implement a
similar mechanism, in which case the target should set the value of the DMI allowed attribute
appropriately.
c) Use of the DMI allowed attribute is optional. An initiator is free to ignore the DMI allowed attribute
of the generic payload.
d) For an initiator wishing to take advantage of the DMI allowed attribute, the recommended sequence
of actions is as follows:
1) The initiator should check the address against its cache of valid DMI regions.
2) If there is no existing DMI pointer, the initiator should perform a normal transaction through
the transport interface.
3) Following that, the initiator should check the DMI allowed attribute of the transaction.
4) If the attribute indicates DMI is allowed, the initiator should call get_direct_mem_ptr.
5) The initiator should modify its cache of valid DMI regions according to the values returned
from the call.
11.3 Debug transport interface
11.3.1 Introduction
The debug transport interface provides a means to read and write to storage in a target, over the same
forward path from initiator to target as is used by the transport interface, but without any of the delays, waits,
event notifications, or side effects associated with a regular transaction. In other words, the debug transport
interface is non-intrusive. Because the debug transport interface follows the same path as the transport
interface, the implementation of the debug transport interface can perform the same address translation as
for regular transactions.
For example, the debug transport interface could permit a software debugger attached to an ISS to peek or
poke an address in the memory of the simulated system from the point of view of the simulated CPU. The
debug transport interface could also allow an initiator to take a snapshot of system memory contents during
simulation for diagnostic purposes, or to initialize some area of system memory at the end of elaboration.
The default debug transaction type is tlm_generic_payload, where only the command, address, data length,
and data pointer attributes of the transaction object are used. Debug transactions follow the same approach
to extension as the transport interface; that is, a debug transaction may contain ignorable extensions, but any
non-ignorable or mandatory extension requires the definition of a new protocol traits class (see 7.2.2).
11.3.2 Class definition
namespace tlm {
template <typename TRANS = tlm_generic_payload>
class tlm_transport_dbg_if : public virtual sc_core::sc_interface
{
public:
virtual unsigned int transport_dbg(TRANS& trans) = 0;
Authorized licensed use limited to: Furkan Tuncer. Downloaded on October 16,2017 at 17:05:54 UTC from IEEE Xplore. Restrictions apply.
IEEE Std 1666-2011
IEEE Standard for Standard SystemC® Language Reference Manual
451
Copyright © 2012 IEEE. All rights reserved.
};
} // namespace tlm
11.3.3 TRANS template argument and tlm_generic_payload class
a) The tlm_transport_dbg_if template shall be parameterized with the type of a debug transaction
class.
b) The debug transaction class shall contain attributes to indicate to the target the command, address,
data length, and date pointer for the debug access. In the case of the base protocol, these shall be the
corresponding attributes of the generic payload.
c) The default value of the TRANS template argument shall be the class tlm_generic_payload.
d) For maximal interoperability, the debug transaction class should be tlm_generic_payload. The use
of non-ignorable extensions or other transaction types will restrict interoperability.
e) If an application needs to add further attributes to a debug transaction, the recommended approach is
to add extensions to the generic payload rather than substituting an unrelated transaction class. In the
case that such extensions are non-ignorable or mandatory, this will require the definition of a new
protocol traits class.
11.3.4 Rules
a) Calls to transport_dbg shall follow the same forward path as the transport interface used for normal
transactions.
b) The trans argument shall pass a reference to a debug transaction object.
c) The initiator shall be responsible for constructing and managing the debug transaction object, and
for setting the appropriate attributes of the object before passing it as an argument to
transport_dbg.
d) The command attribute of the transaction object shall be set by the initiator to indicate the kind of
debug access being requested, and shall not be modified by any interconnect component or target.
For the base protocol, the permitted values are TLM_READ_COMMAND for read access to the
target, TLM_WRITE_COMMAND for write access to the target, and
TLM_IGNORE_COMMAND.
e) On receipt of a transaction with the command attribute equal to TLM_IGNORE_COMMAND, the
target should not execute a read or a write, but may use the value of any attribute in the generic
payload, including any extensions, in executing an extended debug transaction.
f) As is the case for the transport interface, the use of any non-ignorable or mandatory generic payload
extension with the debug transport interface requires the definition of a new protocol traits class.
g) The address attribute shall be set by the initiator to the first address in the region to be read or
written.
h) An interconnect component passing the debug transaction object along the forward path should
decode and where necessary modify the address attribute of the transaction object exactly as it
would for the corresponding transport interface of the same socket. For example, an interconnect
component may need to mask the address (reducing the number of significant bits) according to the
address width of the target and its location in the system memory map.
i) An interconnect component need not pass on the transport_dbg call in the event that it detects an
addressing error.
j) The address attribute may be modified several times if a debug payload is forwarded through several
interconnect components. When the debug payload is returned to the initiator, the original value of
the address attribute may have been overwritten.
Authorized licensed use limited to: Furkan Tuncer. Downloaded on October 16,2017 at 17:05:54 UTC from IEEE Xplore. Restrictions apply.
IEEE Std 1666-2011
IEEE Standard for Standard SystemC® Language Reference Manual
452
Copyright © 2012 IEEE. All rights reserved.
k) The data length attribute shall be set by the initiator to the number of bytes to be read or written and
shall not be modified by any interconnect component or target. The data length attribute may be 0, in
which case the target shall not read or write any bytes, and the data pointer attribute may be null.
l) The data pointer attribute shall be set by the initiator to the address of an array from which values are
to be copied to the target (for a write), or to which values are to be copied from the target (for a
read), and shall not be modified by any interconnect component or target. This array shall be
allocated by the initiator and shall not be deleted before the return from transport_dbg. The size of
the array shall be at least equal to the value of the data length attribute. If the data length attribute is
0, the data pointer attribute may be the null pointer and the array need not be allocated.
m) The implementation of transport_dbg in the target shall read or write the given number of bytes
using the given address (after address translation through the interconnect), if it is able. In the case
of a write command, the target shall not modify the contents of the data array.
n) The data array shall have the same organization as the data array of the generic payload when used
with the transport interface. The implementation of transport_dbg shall be responsible for
converting between the organization of the local data storage within the target and the generic
payload organization.
o) In the case of the base protocol, if the generic payload option attribute is TLM_MIN_PAYLOAD,
the initiator is not obliged to set any other attributes of the generic payload aside from command,
address, data length and data pointer, and the target and any interconnect components may ignore all
other attributes. In particular, the response status attribute may be ignored.
p) In the case of the base protocol, if the initiator sets the value of the generic payload option attribute
to TLM_FULL_PAYLOAD, the initiator shall set the values of the byte enable pointer, byte enable
length, and streaming width attributes, and shall set the DMI allowed and response status attributes
to their default values as described in 14.8.
q) In the case of the base protocol, if the target sets the value of the generic payload option attribute to
TLM_FULL_PAYLOAD_ACCEPTED, the target shall act on the values of the byte enable pointer,
byte enable length, and streaming width attributes, and shall set the DMI allowed and response
status attributes as described in 14.8.
r) The initiator may re-use a transaction object from one call to the next and across calls to the debug
transport interface, the transport interfaces, and DMI.
s) transport_dbg shall return a count of the number of bytes actually read or written, which may be
less than the value of the data length attribute. In the case of the base protocol, if the initiator sets the
value of the generic payload option attribute to TLM_FULL_PAYLOAD, the count shall include
both enabled and disabled bytes. If the target is not able to perform the operation, it shall return a
value of 0. In the case of TLM_IGNORE_COMMAND, the target is free to choose the value
returned from transport_dbg.
t) Directly or indirectly, transport_dbg shall not call wait, and should not cause any state changes in
any interconnect component or in the target aside from the immediate effect of executing a debug
write command.
Authorized licensed use limited to: Furkan Tuncer. Downloaded on October 16,2017 at 17:05:54 UTC from IEEE Xplore. Restrictions apply.
IEEE Std 1666-2011
IEEE Standard for Standard SystemC® Language Reference Manual
453
Copyright © 2012 IEEE. All rights reserved.
12. TLM-2.0 global quantum
12.1 Introduction
Temporal decoupling permits SystemC processes to run ahead of simulation time for an amount of time
known as the time quantum and is associated with the loosely-timed coding style. Temporal decoupling per-
mits a significant simulation speed improvement by reducing the number of context switches and events.
The use of a time quantum is not strictly necessary in the presence of explicit synchronization between tem-
porally decoupled processes, in which case processes may run arbitrarily far ahead to the point when the
next synchronization point is reached. However, any processes that do require a time quantum should use
the global quantum.
When using temporal decoupling, the delays annotated to the b_transport and nb_transport methods are to
be interpreted as local time offsets defined relative to the current simulation time as returned by
sc_time_stamp(), also known as the quantum boundary. The global quantum is the default time interval
between successive quantum boundaries. The value of the global time quantum is maintained by the
singleton class tlm_global_quantum. It is recommended that each process should use the global time
quantum, but a process is permitted to calculate its own local time quantum.
For a general description of temporal decoupling, see 10.3.2.
For a description of timing annotation, see 11.1.3.
The utility class tlm_quantumkeeper provides a set of methods for managing and interacting with the time
quantum. For a description of how to use a quantum keeper, see 16.2.
12.2 Header file
The class definition for the global quantum shall be in the header file tlm.
12.3 Class definition
namespace tlm {
class tlm_global_quantum
{
public:
static tlm_global_quantum& instance();
virtual ~tlm_global_quantum();
void set( const sc_core::sc_time& );
const sc_core::sc_time& get() const;
sc_core::sc_time compute_local_quantum();
protected:
tlm_global_quantum();
};
} // namespace tlm
Authorized licensed use limited to: Furkan Tuncer. Downloaded on October 16,2017 at 17:05:54 UTC from IEEE Xplore. Restrictions apply.
IEEE Std 1666-2011
IEEE Standard for Standard SystemC® Language Reference Manual
454
Copyright © 2012 IEEE. All rights reserved.
12.4 Class tlm_global_quantum
a) There is a unique global quantum maintained by the class tlm_global_quantum. This should be
considered the default time quantum. The intent is that all temporally decoupled initiators should
synchronize on integer multiples of the global quantum, or more frequently where required.
b) It is possible for each initiator to use a different time quantum but more typical for all initiators to
use the global quantum. An initiator that only requires infrequent synchronization could conceivably
have a longer time quantum than the rest, but it is usually the shortest time quantum that has the
biggest negative impact on simulation speed.
c) The method instance shall return a reference to the singleton global quantum object.
d) The method set shall set the value of the global quantum to the value passed as an argument.
e) The method get shall return the value of the global quantum.
f) The method compute_local_quantum shall calculate and return the value of the local quantum
based on the unique global quantum. The local quantum shall be calculated by subtracting the value
of sc_time_stamp from the next larger integer multiple of the global quantum. The local quantum
shall equal the global quantum in the case where compute_local_quantum is called at a simulation
time that is an integer multiple of the global quantum. Otherwise, the local quantum shall be less
than the global quantum.
Authorized licensed use limited to: Furkan Tuncer. Downloaded on October 16,2017 at 17:05:54 UTC from IEEE Xplore. Restrictions apply.
IEEE Std 1666-2011
IEEE Standard for Standard SystemC® Language Reference Manual
455
Copyright © 2012 IEEE. All rights reserved.
13. Combined TLM-2.0 interfaces and sockets
13.1 Combined interfaces
13.1.1 Introduction
The combined forward and backward transport interfaces group the core TLM-2.0 interfaces for use by the
initiator and target sockets. Note that the combined interfaces include the transport, DMI, and debug
transport interfaces, but they do not include any TLM-1 core interfaces. The forward interface provides
method calls on the forward path from initiator socket to target socket, and the backward interface on the
backward path from target socket to initiator socket. Neither the blocking transport interface nor the debug
transport interface require a backward calling path.
It would be technically possible to define new socket class templates unrelated to the standard initiator and
target sockets and then to instantiate those class templates using the combined interfaces as template
arguments, but for the sake of interoperability, this is not recommended. On the other hand, deriving new
socket classes from the standard sockets is recommended for convenience.
The combined interface templates are parameterized with a protocol traits class that defines the types used
by the forward and backward interfaces, namely, the payload type and the phase type. A protocol traits class
is associated with a specific protocol. The default protocol type is the class tlm_base_protocol_types (see
15.2).
13.1.2 Class definition
namespace tlm {
// The default protocol traits class:
struct tlm_base_protocol_types
{
typedef tlm_generic_payload tlm_payload_type;
typedef tlm_phase tlm_phase_type;
};
// The combined forward interface:
template< typename TYPES = tlm_base_protocol_types >
class tlm_fw_transport_if
: public virtual tlm_fw_nonblocking_transport_if<typename TYPES::tlm_payload_type ,
typename TYPES::tlm_phase_type>
, public virtual tlm_blocking_transport_if< typename TYPES::tlm_payload_type>
, public virtual tlm_fw_direct_mem_if < typename TYPES::tlm_payload_type>
, public virtual tlm_transport_dbg_if< typename TYPES::tlm_payload_type>
{};
// The combined backward interface:
template < typename TYPES = tlm_base_protocol_types >
class tlm_bw_transport_if
: public virtual tlm_bw_nonblocking_transport_if< typename TYPES::tlm_payload_type ,
typename TYPES::tlm_phase_type >
, public virtual tlm_bw_direct_mem_if
{};
} // namespace tlm
Authorized licensed use limited to: Furkan Tuncer. Downloaded on October 16,2017 at 17:05:54 UTC from IEEE Xplore. Restrictions apply.
IEEE Std 1666-2011
IEEE Standard for Standard SystemC® Language Reference Manual
456
Copyright © 2012 IEEE. All rights reserved.
13.2 Initiator and target sockets
13.2.1 Introduction
A socket combines a port with an export. An initiator socket has a port for the forward path and an export for
the backward path, while a target socket has an export for the forward path and a port for the backward path.
The sockets also overload the SystemC port binding operators to bind both the port and export to the export
and port in the opposing socket. When binding sockets hierarchically, parent to child or child to parent, it is
important to carefully consider the binding order.
Both the initiator and target sockets are coded using a C++ inheritance hierarchy. Only the most derived
classes tlm_initiator_socket and tlm_target_socket are typically used directly by applications. These two
sockets are parameterized with a protocol traits class that defines the types used by the forward and
backward interfaces. Sockets can only be bound together if they have the identical protocol type. The default
protocol type is the class tlm_base_protocol_types. If an application defines a new protocol, it should
instantiate combined interface templates with a new protocol traits class, whether or not the new protocol is
based on the generic payload.
The initiator and target sockets provide the following benefits:
a) They group the transport, direct memory, and debug transport interfaces for both the forward and
backward paths together into a single object.
b) They provide methods to bind port and export of both the forward and backward paths in a single
call.
c) They offer strong type checking when binding sockets parameterized with incompatible protocol
types.
d) They include a bus width parameter that may be used to interpret the transaction.
The socket classes tlm_initiator_socket and tlm_target_socket belong to the interoperability layer of the
TLM-2.0 standard. In addition, there is a family of derived socket classes provided in the utilities
namespace, collectively known as convenience sockets.
13.2.2 Class definition
namespace tlm {
// Abstract base class for initiator sockets
template <
unsigned int BUSWIDTH = 32,
typename FW_IF = tlm_fw_transport_if<>,
typename BW_IF = tlm_bw_transport_if<>
>
class tlm_base_initiator_socket_b
{
public:
virtual ~tlm_base_initiator_socket_b() {}
virtual sc_core::sc_port_b<FW_IF> & get_base_port() = 0;
virtual const sc_core::sc_port_b<FW_IF> & get_base_port() const = 0;
virtual BW_IF & get_base_interface() = 0;
virtual const BW_IF & get_base_interface() const = 0;
virtual sc_core::sc_export<BW_IF> & get_base_export() = 0;
Authorized licensed use limited to: Furkan Tuncer. Downloaded on October 16,2017 at 17:05:54 UTC from IEEE Xplore. Restrictions apply.
IEEE Std 1666-2011
IEEE Standard for Standard SystemC® Language Reference Manual
457
Copyright © 2012 IEEE. All rights reserved.
virtual const sc_core::sc_export<BW_IF> & get_base_export() const = 0;
};
// Abstract base class for target sockets
template <
unsigned int BUSWIDTH = 32,
typename FW_IF = tlm_fw_transport_if<>,
typename BW_IF = tlm_bw_transport_if<>
>
class tlm_base_target_socket_b
{
public:
virtual ~tlm_base_target_socket_b();
virtual sc_core::sc_port_b<BW_IF> & get_base_port() = 0;
virtual const sc_core::sc_port_b<BW_IF> & get_base_port() const = 0;
virtual sc_core::sc_export<FW_IF> & get_base_export() = 0;
virtual const sc_core::sc_export <FW_IF> & get_base_export() const = 0;
virtual FW_IF & get_base_interface() = 0;
virtual const FW_IF & get_base_interface() const = 0;
};
// Base class for initiator sockets, providing binding methods
template <
unsigned int BUSWIDTH = 32,
typename FW_IF = tlm_fw_transport_if<>,
typename BW_IF = tlm_bw_transport_if<>,
int N = 1,
sc_core::sc_port_policy POL = sc_core::SC_ONE_OR_MORE_BOUND
>
class tlm_base_initiator_socket : public tlm_base_initiator_socket_b<BUSWIDTH, FW_IF, BW_IF>,
public sc_core::sc_port<FW_IF, N, POL>
{
public:
typedef FW_IF fw_interface_type;
typedef BW_IF bw_interface_type;
typedef sc_core::sc_port<fw_interface_type, N, POL> port_type;
typedef sc_core::sc_export<bw_interface_type> export_type;
typedef tlm_base_target_socket_b<BUSWIDTH, fw_interface_type, bw_interface_type>
base_initiator_socket_type;
typedef tlm_base_initiator_socket_b<BUSWIDTH, fw_interface_type, bw_interface_type>
base_type;
tlm_base_initiator_socket();
explicit tlm_base_initiator_socket(const char* name);
virtual const char* kind() const;
unsigned int get_bus_width() const;
virtual void bind(base_target_socket_type& s);
Authorized licensed use limited to: Furkan Tuncer. Downloaded on October 16,2017 at 17:05:54 UTC from IEEE Xplore. Restrictions apply.
IEEE Std 1666-2011
IEEE Standard for Standard SystemC® Language Reference Manual
458
Copyright © 2012 IEEE. All rights reserved.
void operator() (base_target_socket_type& s);
virtual void bind(base_type& s);
void operator() (base_type& s);
virtual void bind(bw_interface_type& ifs);
void operator() (bw_interface_type& s);
// Implementation of pure virtual functions of base class
virtual sc_core::sc_port_b<FW_IF> & get_base_port() { return *this; }
virtual const sc_core::sc_port_b<FW_IF> & get_base_port() const { return *this; }
virtual BW_IF & get_base_interface() { return m_export; }
virtual const BW_IF & get_base_interface() const { return m_export; }
virtual sc_core::sc_export<BW_IF> & get_base_export() { return m_export; }
virtual const sc_core::sc_export<BW_IF> & get_base_export() const { return m_export; }
protected:
export_type m_export;
};
// Base class for target sockets, providing binding methods
template <
unsigned int BUSWIDTH = 32,
typename FW_IF = tlm_fw_transport_if<>,
typename BW_IF = tlm_bw_transport_if<>,
int N = 1,
sc_core::sc_port_policy POL = sc_core::SC_ONE_OR_MORE_BOUND
>
class tlm_base_target_socket : public tlm_base_target_socket_b<BUSWIDTH, FW_IF, BW_IF>,
public sc_core::sc_export<FW_IF>
{
public:
typedef FW_IF fw_interface_type;
typedef BW_IF bw_interface_type;
typedef sc_core::sc_port<bw_interface_type, N, POL> port_type;
typedef sc_core::sc_export<fw_interface_type> export_type;
typedef tlm_base_initiator_socket_b<BUSWIDTH, fw_interface_type, bw_interface_type>
base_initiator_socket_type;
typedef tlm_base_target_socket_b<BUSWIDTH, fw_interface_type, bw_interface_type>
base_type;
tlm_base_target_socket();
explicit tlm_base_target_socket(const char* name);
virtual const char* kind() const;
unsigned int get_bus_width() const;
virtual void bind(base_initiator_socket_type& s);
void operator() (base_initiator_socket_type& s);
virtual void bind(base_type& s);
void operator() (base_type& s);
virtual void bind(fw_interface_type& ifs);
void operator() (fw_interface_type& s);
Authorized licensed use limited to: Furkan Tuncer. Downloaded on October 16,2017 at 17:05:54 UTC from IEEE Xplore. Restrictions apply.
IEEE Std 1666-2011
IEEE Standard for Standard SystemC® Language Reference Manual
459
Copyright © 2012 IEEE. All rights reserved.
int size() const;
bw_interface_type* operator-> ();
bw_interface_type* operator[] (int i);
// Implementation of pure virtual functions of base class
virtual sc_core::sc_port_b<BW_IF> & get_base_port() { return m_port; }
virtual const sc_core::sc_port_b<BW_IF> & get_base_port() const { return *this; }
virtual FW_IF & get_base_interface() { return *this; }
virtual const FW_IF & get_base_interface() const { return *this; }
virtual sc_core::sc_export<FW_IF> & get_base_export() { return *this; }
virtual const sc_core::sc_export<FW_IF> & get_base_export() const { return *this; }
protected:
port_type m_port;
};
// Principal initiator socket, parameterized with protocol traits class
template <
unsigned int BUSWIDTH = 32,
typename TYPES = tlm_base_protocol_types,
int N = 1,
sc_core::sc_port_policy POL = sc_core::SC_ONE_OR_MORE_BOUND
>
class tlm_initiator_socket : public tlm_base_initiator_socket <
BUSWIDTH, tlm_fw_transport_if<TYPES>, tlm_bw_transport_if<TYPES>, N, POL>
{
public:
tlm_initiator_socket();
explicit tlm_initiator_socket(const char* name);
virtual const char* kind() const;
};
// Principal target socket, parameterized with protocol traits class
template <
unsigned int BUSWIDTH = 32,
typename TYPES = tlm_base_protocol_types,
int N = 1,
sc_core::sc_port_policy POL = sc_core::SC_ONE_OR_MORE_BOUND
>
class tlm_target_socket : public tlm_base_target_socket <
BUSWIDTH, tlm_fw_transport_if<TYPES>, tlm_bw_transport_if<TYPES>, N, POL>
{
public:
tlm_target_socket();
explicit tlm_target_socket(const char* name);
virtual const char* kind() const;
};
Authorized licensed use limited to: Furkan Tuncer. Downloaded on October 16,2017 at 17:05:54 UTC from IEEE Xplore. Restrictions apply.
IEEE Std 1666-2011
IEEE Standard for Standard SystemC® Language Reference Manual
460
Copyright © 2012 IEEE. All rights reserved.
} // namespace tlm
13.2.3 Classes tlm_base_initiator_socket_b and tlm_base_target_socket_b
a) The abstract base classes tlm_base_initiator_socket_b and tlm_base_target_socket_b declare
pure virtual functions that should be overridden in any derived class to return the port, export, and
interface objects associated with the socket.
b) These sockets are not typically used directly by applications.
13.2.4 Classes tlm_base_initiator_socket and tlm_base_target_socket
a) For class tlm_base_initiator_socket, the constructor with a name argument shall pass the character
string argument to the constructor belonging to the base class sc_port to set the string name of the
instance in the module hierarchy, and shall also pass the same character string to set the string name
of the corresponding sc_export on the backward path, adding the suffix "_export" and calling
sc_gen_unique_name to avoid name clashes. For example, the call tlm_initiator_socket("foo")
would set the port name to "foo" and the export name to "foo_export". In the case of the default
constructor, the names shall be created by calling
sc_gen_unique_name("tlm_base_initiator_socket") for the port, and
sc_gen_unique_name("tlm_base_initiator_socket_export") for the export.
b) For class tlm_base_target_socket, the constructor with a name argument shall pass the character
string argument to the constructor belonging to the base class sc_export to set the string name of the
instance in the module hierarchy, and shall also pass the same character string to set the string name
of the corresponding sc_port on the backward path, adding the suffix "_port" and calling
sc_gen_unique_name to avoid name clashes. For example, the call tlm_target_socket("foo")
would set the export name to "foo" and the port name to "foo_port". In the case of the default con-
structor, the names shall be created by calling sc_gen_unique_name("tlm_base_target_socket")
for the export, and sc_gen_unique_name("tlm_base_target_socket_port") for the port.
c) The method kind shall return the class name as a C string, that is, "tlm_base_initiator_socket" or
"tlm_base_target_socket", respectively.
d) The method get_bus_width shall return the value of the BUSWIDTH template argument.
e) Template argument BUSWIDTH shall determine the word length for each individual data word
transferred through the socket, expressed as the number of bits in each word. For a burst transfer,
BUSWIDTH shall determine the number of bits in each beat of the burst. The precise interpretation
of this attribute shall depend on the transaction type. For the meaning of BUSWIDTH with the
generic payload, see 14.12.
f) When binding socket-to-socket, the two sockets shall have identical values for the BUSWIDTH
template argument. Executable code in the initiator or target may get and act on the BUSWIDTH.
g) Each of the methods bind and operator() that take a socket as an argument shall bind the socket
instance to which the method belongs to the socket instance passed as an argument to the method.
h) Each of the methods bind and operator() that take an interface as an argument shall bind the export
of the socket instance to which the method belongs to the channel instance passed as an argument to
the method. (A channel is the SystemC term for a class that implements an interface.)
i) In each case, the implementation of operator() shall achieve its effect by calling the corresponding
virtual method bind.
j) When binding initiator socket to target socket, the bind method and operator() shall each bind the
port of the initiator socket to the export of the target socket, and the port of the target socket to the
export of the initiator socket. This is for use when binding socket-to-socket at the same level in the
hierarchy.
Authorized licensed use limited to: Furkan Tuncer. Downloaded on October 16,2017 at 17:05:54 UTC from IEEE Xplore. Restrictions apply.
IEEE Std 1666-2011
IEEE Standard for Standard SystemC® Language Reference Manual
461
Copyright © 2012 IEEE. All rights reserved.
k) An initiator socket can be bound to a target socket by calling the bind method or operator() of either
socket, with precisely the same effect. In either case, the forward path lies in the direction from the
initiator socket to the target socket.
l) When binding initiator socket to initiator socket or target socket to target socket, the bind method
and operator() shall each bind the port of one socket to the port of the other socket, and the export of
one socket to the export of the other socket. This is for use in hierarchical binding, that is, when
binding a socket on a child module to a socket on a parent module, or a socket on a parent module to
a socket on a child module, passing transactions up or down the module hierarchy.
m) For hierarchical binding, it is necessary to bind sockets in the correct order. When binding initiator
socket to initiator socket, the socket of the child must be bound to the socket of the parent. When
binding target socket to target socket, the socket of the parent must be bound to the socket of the
child. This rule is consistent with the fact the tlm_base_initiator_socket is derived from sc_port,
and tlm_base_target_socket from sc_export. Port must be bound to port going up the hierarchy,
port-to-export across the top, and export-to-export going down the hierarchy.
n) In order for two sockets of classes tlm_base_initiator_socket and tlm_base_target_socket to be
bound together, they must share the same forward and backward interface types and bus widths.
o) The method size of the target socket shall call method size of the port in the target socket (on the
backward path), and shall return the value returned by size of the port.
p) The method operator-> of the target socket shall call method operator-> of the port in the target
socket (on the backward path), and shall return the value returned by operator-> of the port.
q) The method operator[] of the target socket shall call method operator[] of the port in the target
socket (on the backward path) with the same argument, and shall return the value returned by
operator[] of the port.
r) Class tlm_base_initiator_socket and class tlm_base_target_socket each act as multi-sockets; that
is, a single initiator socket may be bound to multiple target sockets, and a single target socket may
be bound to multiple initiator sockets. The two class templates have template parameters specifying
the number of bindings and the port binding policy, which are used within the class implementation
to parameterize the associated sc_port template instantiation.
s) If an object of class tlm_base_initiator_socket or tlm_base_target_socket is bound multiple
times, then the method operator[] can be used to address the corresponding object to which the
socket is bound. The index value is determined by the order in which the methods bind or
operator() were called to bind the sockets. However, any incoming interface method calls received
by such a socket will be anonymous in the sense that there is no mechanism provided to identify the
caller. On the other hand, such a mechanism is provided by the convenience sockets (see 16.1.4).
t) For example, consider a socket bound to two separate targets. The calls socket[0]-
>nb_transport_fw(...) and socket[1]->nb_transport_fw() would address the two targets, but there
is no way to identify the caller of in incoming nb_transport_bw() method from one of those two
targets.
u) The implementations of the virtual methods get_base_port and get_base_export shall return the
port and export objects of the socket, respectively. The implementation of the virtual method
get_base_interface shall return the export object in the case of the initiator port, or the socket object
itself in the case of the target socket.
13.2.5 Classes tlm_initiator_socket and tlm_target_socket
a) The socket tlm_initiator_socket and tlm_target_socket take a protocol traits class as a template
parameter. These sockets (or convenience sockets derived from them) should typically be used by an
application rather than the base sockets.
b) The constructors of the classes tlm_initiator_socket and tlm_target_socket shall call the
corresponding constructors of their respective base classes, passing the char* argument where it
exists.
Authorized licensed use limited to: Furkan Tuncer. Downloaded on October 16,2017 at 17:05:54 UTC from IEEE Xplore. Restrictions apply.
IEEE Std 1666-2011
IEEE Standard for Standard SystemC® Language Reference Manual
462
Copyright © 2012 IEEE. All rights reserved.
c) In order for two sockets of classes tlm_initiator_socket and tlm_target_socket to be bound
together, they must share the same protocol traits class (default tlm_base_protocol_types) and bus
width. Strong type checking between sockets can be achieved by defining a new protocol traits class
for each distinct protocol, whether or not that protocol is based on the generic payload.
d) The method kind shall return the class name as a C string, that is, "tlm_initiator_socket" or
"tlm_target_socket", respectively.
Example:
#include <systemc>
#include "tlm.h"
using namespace sc_core;
using namespace std;
struct Initiator: sc_module, tlm::tlm_bw_transport_if<> // Initiator implements the bw interface
{
tlm::tlm_initiator_socket<32> init_socket; // Protocol types default to base protocol
SC_CTOR(Initiator) : init_socket("init_socket") {
SC_THREAD(thread);
init_socket.bind( *this ); // Initiator socket bound to the initiator itself
}
void thread() { // Process generates one dummy transaction
tlm::tlm_generic_payload trans;
sc_time delay = SC_ZERO_TIME;
init_socket->b_transport(trans, delay);
}
virtual tlm::tlm_sync_enum nb_transport_bw(
tlm::tlm_generic_payload& trans,
tlm::tlm_phase& phase,
sc_core::sc_time& t) {
return tlm::TLM_COMPLETED; // Dummy implementation
}
virtual void invalidate_direct_mem_ptr(sc_dt::uint64 start_range, sc_dt::uint64 end_range)
{ } // Dummy implementation
};
struct Target: sc_module, tlm::tlm_fw_transport_if<> // Target implements the fw interface
{
tlm::tlm_target_socket<32> targ_socket; // Protocol types default to base protocol
SC_CTOR(Target) : targ_socket("targ_socket") {
targ_socket.bind( *this ); // Target socket bound to the target itself
}
virtual tlm::tlm_sync_enum nb_transport_fw(
tlm::tlm_generic_payload& trans, tlm::tlm_phase& phase, sc_core::sc_time& t) {
return tlm::TLM_COMPLETED; // Dummy implementation
}
Authorized licensed use limited to: Furkan Tuncer. Downloaded on October 16,2017 at 17:05:54 UTC from IEEE Xplore. Restrictions apply.
IEEE Std 1666-2011
IEEE Standard for Standard SystemC® Language Reference Manual
463
Copyright © 2012 IEEE. All rights reserved.
virtual void b_transport( tlm::tlm_generic_payload& trans, sc_time& delay )
{ } // Dummy implementation
virtual bool get_direct_mem_ptr(tlm::tlm_generic_payload& trans, tlm::tlm_dmi& dmi_data)
{ return false; } // Dummy implementation
virtual unsigned int transport_dbg(tlm::tlm_generic_payload& trans)
{ return 0; } // Dummy implementation
};
SC_MODULE(Top1) // Showing a simple non-hierarchical binding of initiator to target
{
Initiator *init;
Target *targ;
SC_CTOR(Top1) {
init = new Initiator("init");
targ = new Target("targ");
init->init_socket.bind(targ->targ_socket); // Bind initiator socket to target socket
}
};
struct Parent_of_initiator: sc_module // Showing hierarchical socket binding
{
tlm::tlm_initiator_socket<32> init_socket;
Initiator* initiator;
SC_CTOR(Parent_of_initiator) : init_socket("init_socket") {
initiator = new Initiator("initiator");
initiator->init_socket.bind( init_socket ); // Bind initiator socket to parent initiator socket
}
};
struct Parent_of_target: sc_module
{
tlm::tlm_target_socket<32> targ_socket;
Target* target;
SC_CTOR(Parent_of_target) : targ_socket("targ_socket") {
target = new Target("target");
targ_socket.bind( target->targ_socket ); // Bind parent target socket to target socket
}
};
SC_MODULE(Top2)
{
Parent_of_initiator *init;
Parent_of_target *targ;
SC_CTOR(Top2) {
init = new Parent_of_initiator("init");
targ = new Parent_of_target("targ");
Authorized licensed use limited to: Furkan Tuncer. Downloaded on October 16,2017 at 17:05:54 UTC from IEEE Xplore. Restrictions apply.
IEEE Std 1666-2011
IEEE Standard for Standard SystemC® Language Reference Manual
464
Copyright © 2012 IEEE. All rights reserved.
init->init_socket.bind(targ->targ_socket); // Bind initiator socket to target socket at top level
}
};
Authorized licensed use limited to: Furkan Tuncer. Downloaded on October 16,2017 at 17:05:54 UTC from IEEE Xplore. Restrictions apply.
IEEE Std 1666-2011
IEEE Standard for Standard SystemC® Language Reference Manual
465
Copyright © 2012 IEEE. All rights reserved.
14. TLM-2.0 generic payload
14.1 Introduction
The generic payload is the class type offered by the TLM-2.0 standard for transaction objects passed through
the core interfaces. The generic payload is closely related to the base protocol, which itself defines further
rules to ensure interoperability when using the generic payload (see 15.2).
The generic payload is intended to improve the interoperability of memory-mapped bus models, which it
does at two levels. First, the generic payload provides an off-the-shelf general-purpose payload that
guarantees immediate interoperability when creating abstract models of memory-mapped buses where the
precise details of the bus protocol are unimportant, while at the same time providing an extension
mechanism for ignorable attributes. Second, the generic payload can be used as the basis for creating
detailed models of specific bus protocols, with the advantage of reducing the implementation cost and
increasing simulation speed when there is a need to bridge or adapt between different protocols, sometimes
to the point where the bridge becomes trivial to write.
The generic payload is specifically aimed at modeling memory-mapped buses. It includes some attributes
found in typical memory-mapped bus protocols such as command, address, data, byte enables, single word
transfers, burst transfers, streaming, and response status. The generic payload may also be used as the basis
for modeling protocols other than memory-mapped buses.
The generic payload does not include every attribute found in typical memory-mapped bus protocols, but it
does include an extension mechanism so that applications can add their own specialized attributes.
For specific protocols, whether bus-based or not, modeling and interoperability are the responsibility of the
protocol owners and are outside the scope of the Accellera Systems Initiative. It is up to the protocol owners
or subject matter experts to proliferate models or coding guidelines for their own particular protocol.
However, the generic payload is still applicable here, because it provides a common starting point for model
creation, and in many cases will reduce the cost of bridging between different protocols in a transaction-
level model.
It is recommended that the generic payload be used with the initiator and target sockets, which provide a bus
width parameter used when interpreting the data array of the generic payload as well as forward and
backward paths and a mechanism to enforce strong type checking between different protocols whether or
not they are based on the generic payload.
The generic payload can be used with both the blocking and non-blocking transport interfaces. It can also be
used with the direct memory and debug transport interfaces, in which case only a restricted set of attributes
is used.
14.2 Extensions and interoperability
The goal of the generic payload is to enable interoperability between memory-mapped bus models, but all
buses are not created equal. Given two transaction-level models that use different protocols and that model
those protocols at a detailed level, then just as in a physical system, an adapter or bridge must be inserted
between those models to perform protocol conversion and allow them to communicate. On the other hand,
many transaction level models produced early in the design flow do not care about the specific details of any
particular protocol. For such models it is sufficient to copy a block of data starting at a given address, and for
those models, the generic payload can be used directly to give excellent interoperability.
The generic payload extension mechanism permits any number of extensions of any type to be defined and
added to a transaction object. Each extension represents a new set of attributes, transported along with the
Authorized licensed use limited to: Furkan Tuncer. Downloaded on October 16,2017 at 17:05:54 UTC from IEEE Xplore. Restrictions apply.
IEEE Std 1666-2011
IEEE Standard for Standard SystemC® Language Reference Manual
466
Copyright © 2012 IEEE. All rights reserved.
transaction object. Extensions can be created, added, written and read by initiators, interconnect
components, and targets alike. The extension mechanism itself does not impose any restrictions. Of course,
undisciplined use of this extension mechanism would compromise interoperability, so disciplined use is
strongly encouraged. But the flexibility is there where you need it!
The use of the extension mechanism represents a trade-off between increased coding convenience when
binding sockets, and decreased compile-time type checking. If the undisciplined use of generic payload
extensions were allowed, each application would be obliged to detect any incompatibility between
extensions by including explicit run-time checks in each interconnect component and target, and there
would be no mechanism to enforce the existence of a given extension. The TLM-2.0 standard prescribes
specific coding guidelines to avoid these pitfalls.
There are three, and only three, recommended alternatives for the transaction template argument TRANS of
the blocking and non-blocking transport interfaces and the template argument TYPES of the combined
interfaces:
a) Use the generic payload directly, with ignorable extensions, and obey the rules of the base protocol.
Such a model is said to be TLM-2.0 base-protocol-compliant (see 9.1).
b) Define a new protocol traits class containing a typedef for tlm_generic_payload. Such a model is
said to be TLM-2.0 custom-protocol-compliant (see 9.1).
c) Define a new protocol traits class and a new transaction type. Such a model may use isolated
features of the TLM-2.0 class library but is neither TLM-2.0 base-protocol-compliant nor TLM-2.0
custom-protocol-compliant (see 9.1).
These three alternatives are defined below in order of decreasing interoperability.
It should be emphasized that although deriving a new class from the generic payload is possible, it is not the
recommended approach for interoperability
It should also be emphasized that these three options may be mixed in a single system model. In particular,
there is value in mixing the first two options since the extension mechanism has been designed to permit
efficient interoperability.
14.2.1 Use the generic payload directly, with ignorable extensions
a) In this case, the transaction type is tlm_generic_payload, the phase type is tlm_phase, and the
protocol traits class for the combined interfaces is tlm_base_protocol_types. These are the default
values for the TRANS argument of the transport interfaces and TYPES argument of the combined
interfaces, respectively. Any model that uses the standard initiator and target sockets with the base
protocol will be interoperable with any other such model, provided that those models respect the
semantics of the generic payload and the base protocol (see 15.2).
b) In this case, any generic payload extension or extended phase shall be ignorable. Ignorable means
that any component other than the component that added the extension is permitted to behave as if
the extension were absent (see 14.21.1.1).
c) If an extension is ignorable, then by definition compile-time checking to enforce support for that
extension in a target is not wanted, and indeed, the ignorable extension mechanism does not support
compile-time checking.
d) The generic payload intrinsically supports minor variations in protocol. As a general principle, a
target is recommended to support every feature of the generic payload. But, for example, a particular
component may or may not support byte enables. A target that is unable to support a particular
feature of the generic payload is obliged to generate the standard error response. This should be
thought of as being part of the specification of the generic payload.
Authorized licensed use limited to: Furkan Tuncer. Downloaded on October 16,2017 at 17:05:54 UTC from IEEE Xplore. Restrictions apply.
IEEE Std 1666-2011
IEEE Standard for Standard SystemC® Language Reference Manual
467
Copyright © 2012 IEEE. All rights reserved.
14.2.2 Define a new protocol traits class containing a typedef for tlm_generic_payload
a) In this case, the transaction type is tlm_generic_payload and the phase type tlm_phase, but the
protocol traits class used to specialize the socket is a new application-defined class, not the default
tlm_base_protocol_types. This ensures that the extended generic payload is treated as a distinct
type and provides compile-time type checking when the initiator and target sockets are bound.
b) The new protocol type may set its own rules, and these rules may extend or contradict any of the
rules of the base protocol, including the generic payload memory management rules (see 14.5) and
the rules for the modifiability of attributes (see 14.7). However, for the sake of consistency and
interoperability, it is recommended to follow the rules and coding style of the base protocol as far as
possible (see 15.2).
c) The generic payload extension mechanism may be used for ignorable, non-ignorable, or mandatory
extensions with no restrictions. The semantics of any extensions should be thoroughly documented
with the new protocol traits class.
d) Because the transaction type is tlm_generic_payload, the transaction can be transported through
interconnect components and targets that use the generic payload type, and can be cloned in its
entirety, including all extensions. This provides a good starting point for building interoperable
components and for creating adapters or bridges between different protocols, but the user should
consider the semantics of the extended generic payload very carefully.
e) It is usual to use one and the same protocol traits class along the entire length of the path followed by
a transaction from an initiator through zero or more interconnect components to a target. However, it
may be possible to model an adapter or bus bridge as an interconnect component that takes incoming
transactions of one protocol type and converts them to outgoing transactions of another protocol
type. It is also possible to create a transaction bridge, which acts as a target for incoming
transactions and as an initiator for outgoing transactions.
f) When passing a generic payload transaction between sockets specialized using different protocol
traits classes, the user is obliged to consider the semantics of each extension very carefully to ensure
that the transaction can be transported through components that are aware of the generic payload but
not the extensions. There is no general rule. Some extensions can be transported through
components ignorant of the extension without mishap, for example, an attribute specifying the
security level of the data. Other extensions will require explicit adaption or might not be supportable
at all, for example, an attribute specifying that the interconnect is to be locked.
14.2.3 Define a new protocol traits class and a new transaction type
a) In this case, the transaction type may be unrelated to the generic payload.
b) A new protocol traits class will need to be defined to parameterize the combined interfaces and the
sockets.
c) This choice may be justified when the new transaction type is significantly different from the
generic payload or represents a very specific protocol.
d) If the intention is to use the generic payload for maximal interoperability, the recommended
approach is to use the generic payload as described in one of the previous two clauses rather than to
use it in the definition of a new class.
14.3 Generic payload attributes and methods
The generic payload class contains a set of private attributes, and a set of public access functions to get and
set the values of those attributes. The exact implementation of those access functions is implementation-
defined.
Authorized licensed use limited to: Furkan Tuncer. Downloaded on October 16,2017 at 17:05:54 UTC from IEEE Xplore. Restrictions apply.
IEEE Std 1666-2011
IEEE Standard for Standard SystemC® Language Reference Manual
468
Copyright © 2012 IEEE. All rights reserved.
The majority of the attributes are set by the initiator and shall not be modified by any interconnect
component or target. Only the address, DMI allowed, response status and extension attributes may be
modified by an interconnect component or by the target. In the case of a read command, the target may also
modify the data array.
14.4 Class definition
namespace tlm {
class tlm_generic_payload;
class tlm_mm_interface {
public:
virtual void free(tlm_generic_payload*) = 0;
virtual ~tlm_mm_interface() {}
};
unsigned int max_num_extensions();
class tlm_extension_base
{
public:
virtual tlm_extension_base* clone() const = 0;
virtual void free() { delete this; }
virtual void copy_from(tlm_extension_base const &) = 0;
protected:
virtual ~tlm_extension_base() {}
};
template <typename T>
class tlm_extension : public tlm_extension_base
{
public:
virtual tlm_extension_base* clone() const = 0;
virtual void copy_from(tlm_extension_base const &) = 0;
virtual ~tlm_extension() {}
const static unsigned int ID;
};
enum tlm_gp_option {
TLM_MIN_PAYLOAD,
TLM_FULL_PAYLOAD,
TLM_FULL_PAYLOAD_ACCEPTED
};
enum tlm_command {
TLM_READ_COMMAND,
TLM_WRITE_COMMAND,
TLM_IGNORE_COMMAND
};
enum tlm_response_status {
TLM_OK_RESPONSE = 1,
Authorized licensed use limited to: Furkan Tuncer. Downloaded on October 16,2017 at 17:05:54 UTC from IEEE Xplore. Restrictions apply.
IEEE Std 1666-2011
IEEE Standard for Standard SystemC® Language Reference Manual
469
Copyright © 2012 IEEE. All rights reserved.
TLM_INCOMPLETE_RESPONSE = 0,
TLM_GENERIC_ERROR_RESPONSE = –1,
TLM_ADDRESS_ERROR_RESPONSE = –2,
TLM_COMMAND_ERROR_RESPONSE = –3,
TLM_BURST_ERROR_RESPONSE = –4,
TLM_BYTE_ENABLE_ERROR_RESPONSE = –5
};
#define TLM_BYTE_DISABLED 0x0
#define TLM_BYTE_ENABLED 0xff
class tlm_generic_payload {
public:
// Constructors and destructor
tlm_generic_payload();
explicit tlm_generic_payload( tlm_mm_interface* );
virtual ~tlm_generic_payload();
private:
// Disable copy constructor and assignment operator
tlm_generic_payload( const tlm_generic_payload& );
tlm_generic_payload& operator= ( const tlm_generic_payload& );
public:
// Memory management
void set_mm( tlm_mm_interface* );
bool has_mm() const;
void acquire();
void release();
int get_ref_count() const;
void reset();
void deep_copy_from( const tlm_generic_payload & );
void ( const tlm_generic_payload & , bool use_byte_enable_on_read = true );
void update_extensions_from( const tlm_generic_payload & );
void free_all_extensions();
// Access methods
tlm_gp_option get_gp_option() const;
void set_gp_option( const tlm_gp_option );
tlm_command get_command() const;
void set_command( const tlm_command );
bool is_read();
void set_read();
bool is_write();
void set_write();
sc_dt::uint64 get_address() const;
void set_address( const sc_dt::uint64 );
unsigned char* get_data_ptr() const;
void set_data_ptr( unsigned char* );
unsigned int get_data_length() const;
Authorized licensed use limited to: Furkan Tuncer. Downloaded on October 16,2017 at 17:05:54 UTC from IEEE Xplore. Restrictions apply.
IEEE Std 1666-2011
IEEE Standard for Standard SystemC® Language Reference Manual
470
Copyright © 2012 IEEE. All rights reserved.
void set_data_length( const unsigned int );
unsigned int get_streaming_width() const;
void set_streaming_width( const unsigned int );
unsigned char* get_byte_enable_ptr() const;
void set_byte_enable_ptr( unsigned char* );
unsigned int get_byte_enable_length() const;
void set_byte_enable_length( const unsigned int );
// DMI hint
void set_dmi_allowed( bool );
bool is_dmi_allowed() const;
tlm_response_status get_response_status() const;
void set_response_status( const tlm_response_status );
std::string get_response_string();
bool is_response_ok();
bool is_response_error();
// Extension mechanism
template <typename T> T* set_extension( T* );
tlm_extension_base* set_extension( unsigned int , tlm_extension_base* );
template <typename T> T* set_auto_extension( T* );
tlm_extension_base* set_auto_extension( unsigned int , tlm_extension_base* );
template <typename T> void get_extension( T*& ) const;
template <typename T> T* get_extension() const;
tlm_extension_base* get_extension( unsigned int ) const;
template <typename T> void clear_extension( const T* );
template <typename T> void clear_extension();
template <typename T> void release_extension( T* );
template <typename T> void release_extension();
void resize_extensions();
};
} // namespace tlm
14.5 Generic payload memory management
a) The initiator shall be responsible for setting the data pointer and byte enable pointer attributes to
existing storage, which could be static, automatic (stack), or dynamically allocated (new) storage.
The initiator shall not delete this storage before the lifetime of the transaction is complete. The
generic payload destructor does not delete these two arrays.
b) This clause should be read in conjunction with the rules on generic payload extensions (see 14.21).
c) The generic payload supports two distinct approaches to memory management; reference counting
with an explicit memory manager and ad hoc memory management by the initiator. The two
approaches can be combined. Any memory management approach should manage both the
transaction object itself and any extensions to the transaction object.
Authorized licensed use limited to: Furkan Tuncer. Downloaded on October 16,2017 at 17:05:54 UTC from IEEE Xplore. Restrictions apply.
IEEE Std 1666-2011
IEEE Standard for Standard SystemC® Language Reference Manual
471
Copyright © 2012 IEEE. All rights reserved.
d) The construction and destruction of objects of type tlm_generic_payload is expected to be
expensive in terms of CPU time due to the implementation of the extension array. As a consequence,
repeated construction and destruction of generic payload objects should be avoided. There are two
recommended strategies; either use a memory manager that implements a pool of transaction
objects, or if using ad hoc memory management, reuse the very same generic payload object across
successive calls to b_transport (effectively a transaction pool with a size of one). In particular,
having a generic payload object constructed and destructed once per call to transport would be
prohibitively slow and should be avoided.
e) A memory manager is a user-defined class that implements at least the free method of the abstract
base class tlm_mm_interface. The intent is that a memory manager would provide a method to
allocate a generic payload transaction object from a pool of transactions, would implement the free
method to return a transaction object to that same pool, and would implement a destructor to delete
the entire pool. The free method is called by the release method of class tlm_generic_payload
when the reference count of a transaction object reaches 0. The free method of class
tlm_mm_interface would typically call the reset method of class tlm_generic_payload in order to
delete any extensions marked for automatic deletion.
f) The methods set_mm, acquire, release, get_ref_count, and reset of the generic payload shall only
used in the presence of a memory manager. By default, a generic payload object does not have a
memory manager set.
g) Ad hoc memory management by the initiator without a memory manager requires the initiator to
allocate memory for the transaction object before the TLM-2.0 core interface call, and delete or pool
the transaction object and any extension objects after the call.
h) When the generic payload is used with the blocking transport interface, the direct memory interface
or the debug transport interface, either approach may be used. Ad hoc memory management by the
initiator is sufficient. In the absence of a memory manager, the b_transport, get_direct_mem_ptr,
or transport_dbg method should assume that the transaction object and any extensions will be
invalidated or deleted on return.
i) When the generic payload is used with the non-blocking transport interface, a memory manager
shall be used. Any transaction object passed as an argument to nb_transport shall have a memory
manager already set. This applies whether the caller is the initiator, an interconnect component, or a
target.
j) A blocking-to-non-blocking transport adapter shall set a memory manager for a given transaction if
none existed already, in which case it shall remove that same memory manager from the transaction
before returning control to the caller. A memory manager cannot be removed until the reference
count has returned to 0, so the implementation will necessarily require that the method free of the
memory manager does not delete the transaction object. The simple_target_socket provides an
example of such an adapter.
k) When using a memory manager, the transaction object and any extension objects shall be allocated
from the heap (ultimately by calling new or malloc).
l) When using ad hoc memory management, the transaction object and any extensions may be
allocated from the heap or from the stack. When using stack allocation, particular care needs to be
taken with the memory management of extension objects in order to avoid memory leaks and
segmentation faults.
m) The method set_mm shall set the memory manager of the generic payload object to the object
whose address is passed as an argument. The argument may be null, in which case any existing
memory manager would be removed from the transaction object, but not itself deleted. set_mm
shall not be called for a transaction object that already has a memory manager and a reference count
greater than 0.
n) The method has_mm shall return true if and only if a memory manager has been set. When called
from the body of an nb_transport method, has_mm should return true.
Authorized licensed use limited to: Furkan Tuncer. Downloaded on October 16,2017 at 17:05:54 UTC from IEEE Xplore. Restrictions apply.
IEEE Std 1666-2011
IEEE Standard for Standard SystemC® Language Reference Manual
472
Copyright © 2012 IEEE. All rights reserved.
o) When called from the body of the b_transport, get_direct_mem_ptr, or transport_dbg methods,
has_mm may return true or false. An interconnect component may call has_mm and take the
appropriate action depending on whether or not a transaction has a memory manager. Otherwise, it
shall assume all the obligations of a transaction with a memory manager (for example, heap
allocation), but shall not call any of the methods that require the presence of a memory manager (for
example, acquire).
p) Each generic payload object has a reference count. The default value of the reference count is 0.
q) The method acquire shall increment the value of the reference count. If acquire is called in the
absence of a memory manager, a run-time error will occur.
r) The method release shall decrement the value of the reference count, and if this leaves the value
equal to 0, shall call the method free of the memory manager object, passing the address of the
transaction object as an argument. If release is called in the absence of a memory manager, a run-
time error will occur.
s) The method get_ref_count shall return the value of the reference count. In the absence of a memory
manager, the value returned would be 0.
t) In the presence of a memory manager, each initiator should call the acquire method of each
transaction object before first passing that object as an argument to an interface method call, and
should call the release method of that transaction object when the object is no longer required.
u) In the presence of a memory manager, each interconnect component and target should call the
acquire method whenever they need to extend the lifetime of a transaction object beyond the current
interface method call, and call the release method when the object is no longer required.
v) In the presence of a memory manager, a component may call the release method from any interface
method call or process. Thus, a component cannot assume a transaction object is still valid after
making an interface method call or after yielding control unless it has previously called the acquire
method. For example, an initiator may call release from its implementation of nb_transport_bw, or
a target from its implementation of nb_transport_fw.
w) If an interconnect component or a target wishes to extend the lifetime of a transaction object
indefinitely for analysis purposes, it should make a clone of the transaction object rather than using
the reference counting mechanism. In other words, the reference count should not be used to extend
the lifetime of a transaction object beyond the normal phases of the protocol.
x) In the presence of a memory manager, a transaction object shall not be reused to represent a new
transaction or reused with a different interface until the reference count indicates that no component
other than the initiator itself still has a reference to the transaction object. That is, assuming the
initiator has called acquire for the transaction object, until the reference count equals 1. This rule
applies when reusing transactions with the same interface or across the transport, direct memory,
and debug transport interfaces. When reusing transaction objects to represent different transaction
instances, it is best practice not to reuse the object until the reference count equals 0, that is, until the
object has been freed.
y) The method reset shall delete any extensions marked for automatic deletion, and shall set the
corresponding extension pointers to null. Each extension shall be deleted by calling the method free
of the extension object, which could conceivably be overloaded if a user wished to provide explicit
memory management for extension objects. The method reset shall set the value of the option
attribute to TLM_MIN_PAYLOAD. The method reset should typically be called from the method
free of class tlm_mm_interface in order to delete extensions at the end of the lifetime of a
transaction.
z) An extension object added by calling set_extension may be deleted by calling release_extension.
Calling clear_extension would only clear the extension pointer, not delete the extension object
itself. This latter behavior would be required in the case that transaction objects are stack-allocated
without a memory manager, and extension objects pooled.
aa) In the absence of a memory manager, whichever component allocates or sets a given extension
should also delete or clear that same extension before returning control from b_transport,
Authorized licensed use limited to: Furkan Tuncer. Downloaded on October 16,2017 at 17:05:54 UTC from IEEE Xplore. Restrictions apply.
IEEE Std 1666-2011
IEEE Standard for Standard SystemC® Language Reference Manual
473
Copyright © 2012 IEEE. All rights reserved.
get_direct_mem_ptr, or transport_dbg. For example, an interconnect component that implements
b_transport and calls set_mm to add a memory manager to a transaction object shall not return
from b_transport until it has removed from the transaction object all extensions added by itself
(and assuming that any downstream components will already have removed any extensions added
by themselves, by virtue of this very same rule).
ab) In the presence of a memory manager, extensions can be added by calling set_auto_extension, and
thus deleted or pooled automatically by the memory manager. Alternatively, extensions added by
calling set_extension and not explicitly cleared are so-called sticky extensions, meaning that they
will not be automatically deleted when the transaction reference count reaches 0 but may remain
associated with the transaction object even when it is pooled. Sticky extensions are a particularly
efficient way to manage extension objects because the extension object need not be deleted and
reconstructed between transport calls. Sticky extensions rely on transaction objects being pooled (or
reused singly).
ac) If it is unknown whether or not a memory manager is present, extensions should be added by calling
set_extension and deleted by calling release_extension. This calling sequence is safe in the
presence or absence of a memory manager. This circumstance can only occur within an interconnect
component or target that chooses not to call has_mm. (Within an initiator, it is always known
whether or not a memory manager is present, and a call to has_mm will always reveal whether or
not a memory manager is present.)
ad) The method free_all_extensions shall delete all extensions, including but not limited to those
marked for automatic deletion, and shall set the corresponding extension pointers to null. Each
extension shall be deleted by calling the method free of the extension object. The free method could
conceivably be overloaded if a user wished to provide explicit memory management for extension
objects.
ae) free_all_extensions would be useful when removing the extensions from a pooled transaction
object that does not use a memory manager. With a memory manager, extensions marked for
automatic deletion would indeed have been deleted automatically, while sticky extensions would not
need to be deleted.
af) The method deep_copy_from shall modify the attributes and extensions of the current transaction
object by copying those of another transaction object, which is passed as an argument to the method.
The option, command, address, data length, byte enable length, streaming width, response status,
and DMI allowed attributes shall be copied. The data and byte enable arrays shall be deep copied if
and only if the corresponding pointers in both transactions are non-null. The application is
responsible for ensuring that the arrays in the current transaction are sufficiently large. If an
extension on the other transaction already exists on the current transaction, it shall be copied by
calling the copy_from method of the extension class. Otherwise, a new extension object shall be
created by calling the clone method of the extension class, and set on the current transaction. In the
case of cloning, the new extension shall be marked for automatic deletion if and only if a memory
manager is present for the current transaction.
ag) In other words, in the presence of a memory manager deep_copy_from will mark for automatic
deletion any new extensions that were not already on the current object. Without a memory
manager, extensions cannot be marked for auto-deletion.
ah) The method update_original_from shall modify certain attributes and extensions of the current
transaction object by copying those of another transaction object, which is passed as an argument to
the method. The intent is that update_original_from should be called to pass back the response for
a transaction created using deep_copy_from. The response status and DMI allowed attributes of the
current transaction object shall be modified. The data array shall be deep copied if and only if the
command attribute of the current transaction is TLM_READ_COMMAND and the data pointers in
the two transactions are both non-null and are unequal. The byte enable array shall be used to mask
the copy operation, as per the read command, if and only if the byte enable pointer is non-null and
the use_byte_enable_on_read argument is true. Otherwise, the entire data array shall be deep
Authorized licensed use limited to: Furkan Tuncer. Downloaded on October 16,2017 at 17:05:54 UTC from IEEE Xplore. Restrictions apply.
IEEE Std 1666-2011
IEEE Standard for Standard SystemC® Language Reference Manual
474
Copyright © 2012 IEEE. All rights reserved.
copied. The extensions of the current transaction object shall be updated as per the
update_extensions_from method.
ai) The method update_extensions_from shall modify the extensions of the current transaction object
by copying from another transaction object only those extensions that were already present on the
current object. The extensions shall be copied by calling the copy_from method of the extension
class.
aj) The typical use case for deep_copy_from, update_original_from, and update_extensions_from
is within a transaction bridge where they are used to deep copy an incoming request, send the copy
out through an initiator socket, then on receiving back the response copy the appropriate attributes
and extensions back to the original transaction object. The transaction bridge may choose to deep
copy the arrays or merely to copy the pointers.
ak) These obligations apply to the generic payload. In principle, similar obligations might apply to
transaction types unrelated to the generic payload
14.6 Constructors, assignment, and destructor
a) The default constructor shall set the generic payload attributes to their default values, as defined in
the following clauses.
b) The constructor tlm_generic_payload( tlm_mm_interface*) shall set the generic payload
attributes to their default values, and shall set the memory manager of the generic payload object to
the object whose address is passed as an argument. This is equivalent to calling the default
constructor and then immediately calling set_mm.
c) The copy constructor and assignment operators are disabled.
d) The virtual destructor ~tlm_generic_payload shall delete all extensions, including but not limited
to those marked for automatic deletion. Each extension shall be deleted by calling the method free
of the extension object. The destructor shall not delete the data array or the byte enable array.
14.7 Default values and modifiability of attributes
The default values and modifiability of the generic payload attributes and arrays for the base protocol are
summarized in Table 54 and Table 55:
a) It is the responsibility of the initiator to set the values of the generic payload attributes prior to
passing the transaction object through an interface method call according to the rules of the core
interface being used. In the case of the transport interfaces, every generic payload attribute shall be
set with the exception of the extension pointers. The DMI and debug transport interfaces have their
own rules, described in 11.2.4 and 11.3.4, respectively. The option attribute can be used to
determine whether the DMI and debug transport interfaces use a minimal or a full set of generic
playload attributes. Care should be taken to ensure the attributes are set correctly in the case where
transaction objects are pooled and reused.
b) In the case that a transaction object is returned to a pool or otherwise reused, these modifiability
rules cease to apply at the end of the lifetime of that transaction instance. In the presence of a
memory manager, this is the point at which the reference count reaches 0 or, otherwise, on return
from the interface method call. The modifiability rules would apply afresh if the transaction object
was reused for a new transaction.
c) After passing the transaction object as an argument to an interface method call (b_transport,
nb_transport_fw, get_direct_mem_ptr, or transport_dbg), the only generic payload attributes
that the initiator is permitted to modify during the lifetime of the transaction are the extension
pointers.
Authorized licensed use limited to: Furkan Tuncer. Downloaded on October 16,2017 at 17:05:54 UTC from IEEE Xplore. Restrictions apply.

IEEE Std 1666-2011
IEEE Standard for Standard SystemC® Language Reference Manual
475
Copyright © 2012 IEEE. All rights reserved.
d) An interconnect component is permitted to modify the address attribute, but only before passing the
transaction concerned as an argument to any TLM-2.0 core interface method on the forward path.
Once an interconnect component has passed a reference to the transaction to a downstream
component, it is not permitted to modify the address attribute of that transaction object again
throughout the entire lifetime of the transaction.
e) As a consequence of the previous rule, the address attribute is valid immediately on entering any of
the forward path interface method calls b_transport, get_direct_mem_ptr, or transport_dbg. In
the case of nb_transport_fw, the address attribute is valid immediately on entering the function but
only when the phase is BEGIN_REQ. Following the return from any forward path TLM-2.0
interface method call, the address attribute will have the value set by the interconnect component
lying furthest downstream, and so should be regarded as being undefined for the purposes of
transaction routing.
f) The interconnect and target are not permitted to modify the data array in the case of a write
command, but the target alone is permitted to modify the data array in the case of a read command.
g) For a given transaction object, the target is permitted to modify the DMI allowed attribute, the
response status attribute, and (for a read command) the data array at any time between having first
received the transaction object and the time at which it passes a response in the upstream direction.
Table 54— Default values and modifiability of attributes
Attribute Default value Modifiable by
interconnect?
Modifiable by
target?
Option TLM_MIN_PAYLOAD No Ye s
Command TLM_IGNORE_COMMAND No No
Address 0 Ye s No
Data pointer 0 No No
Data length 0 No No
Byte enable pointer 0 No No
Byte enable length 0 No No
Streaming width 0 No No
DMI allowed false Ye s Ye s
Response status TLM_INCOMPLETE_RESPONSE No Ye s
Extension pointers 0 Ye s Ye s
Table 55—Modifiability of generic payload arrays
Arrays Default value Modifiable by
interconnect?
Modifiable by
target?
Data array - No Read command only
Byte enable array - No No
Authorized licensed use limited to: Furkan Tuncer. Downloaded on October 16,2017 at 17:05:54 UTC from IEEE Xplore. Restrictions apply.
IEEE Std 1666-2011
IEEE Standard for Standard SystemC® Language Reference Manual
476
Copyright © 2012 IEEE. All rights reserved.
A target is not permitted to modify these attributes after having sent a response in the upstream
direction. A target sends a response in this sense whenever it returns control from the b_transport,
get_direct_mem_ptr or transport_dbg methods, whenever it passes the BEGIN_RESP phase as
an argument to nb_transport, or whenever it returns the value TLM_COMPLETED from
nb_transport.
h) If the DMI allowed attribute is false, an interconnect component is not permitted to modify the DMI
allowed attribute. But if the target sets the DMI allowed attribute to true, an interconnect component
is permitted to reset the DMI allowed attribute to false as it passes the response in an upstream
direction. In other words, an interconnect component is permitted to clear the DMI allowed attribute,
despite the DMI allowed attribute having been set by the target.
i) The initiator is permitted to assume it is seeing the values of the DMI allowed attribute, the response
status attribute, and (for a read command) the data array as modified by the target only after it has
received the response.
j) If the above rules permit a component to modify the value of a transaction attribute within a
particular window of time, that attribute may be modified at any time during that window and any
number of times during that window. Any other component shall only read the value of the attribute
as it is left at the end of the time window (with the exception of extensions).
k) The roles of initiator, interconnect, and target may change dynamically. For example, although an
interconnect component is not permitted to modify the response status attribute, that same
component could modify the response status attribute by taking on the role of target for a given
transaction. In its role as a target, the component would be forbidden from passing that particular
transaction any further downstream.
l) In the case where the generic payload is used as the transaction type for the direct memory and
debug transport interfaces, the modifiability rules given in this section shall apply to the appropriate
attributes, that is, the command and address attributes in the case of direct memory, and the
command, address, data pointer and data length attributes in the case of debug transport.
14.8 Option attribute
a) The option attribute is used to determine whether the DMI and debug transport interfaces use a
minimal or a full set of generic payload attributes. The minimal set is supported for backward
compatibility with previous versions of the TLM-2.0 standard. New components may choose to use
the minimal or the full set of attributes.
b) The method set_gp_option shall set the option attribute to the value passed as an argument. The
method get_gp_option shall return the current value of the option attribute.
c) The default value of the option attribute shall be TLM_MIN_PAYLOAD.
d) With one exception, initiator, interconnect, and target components may ignore the option attribute.
This applies both to legacy components developed before the publication of this standard and to new
components developed after the publication of this standard. The one exception is when an initiator
receives a transaction with the option attribute having the value
TLM_FULL_PAYLOAD_ACCEPTED.
e) When sending a generic payload transaction through the direct memory interface, an initiator that
requires the target to set the response status attribute shall set the option attribute to
TLM_FULL_PAYLOAD, in which case the initiator shall set the values of the byte enable pointer,
byte enable length, streaming width, DMI allowed, and response status attributes to their default
values (as given in Table 54).
f) When sending a generic payload transaction through the debug transport interface, an initiator that
requires the target to use the byte enable pointer, byte enable length, or streaming width attributes or
that requires the target to set the DMI allowed or response status attributes shall set the option
attribute to TLM_FULL_PAYLOAD, in which case the initiator shall set the DMI allowed and
response status attributes to their default values (as given in Table 54).
Authorized licensed use limited to: Furkan Tuncer. Downloaded on October 16,2017 at 17:05:54 UTC from IEEE Xplore. Restrictions apply.
IEEE Std 1666-2011
IEEE Standard for Standard SystemC® Language Reference Manual
477
Copyright © 2012 IEEE. All rights reserved.
g) When a generic payload transaction is sent through the blocking or the non-blocking transport
interface, the option attribute shall be set to TLM_MIN_PAYLOAD and shall not be modified by
any component.
h) If the option attribute has the value TLM_MIN_PAYLOAD, the value of the option attribute shall
not be modified by any interconnect or target component.
i) In the case of the direct memory interface, if the option attribute is TLM_MIN_PAYLOAD, the
target may ignore the values of all attributes except the command and address attributes.
j) In the case of the direct memory interface, if the option attribute is TLM_FULL_PAYLOAD, the
target may set the value to TLM_FULL_PAYLOAD_ACCEPTED, in which case the initiator and
the target shall set and act on the value of the response status attribute according to the rules given in
14.17.
k) In the case of the debug transport interface, if the option attribute is TLM_MIN_PAYLOAD, the
target may ignore the values of the byte enable pointer, byte enable length, streaming width, DMI
allowed, and response status attributes.
l) In the case of the debug transport interface, if the option attribute is TLM_FULL_PAYLOAD, the
target may set the value to TLM_FULL_PAYLOAD_ACCEPTED, in which case the initiator and
the target shall set and act on the values of the byte enable pointer, byte enable length, streaming
width, DMI allowed, and response status attributes according to the rules given in 14.13, 14.14,
14.15, 14.16, and 14.17, respectively.
m) If the target chooses not to set the option attribute to TLM_FULL_PAYLOAD_ACCEPTED, the
target shall ignore the values of the byte enable pointer, byte enable length, and streaming width
attributes and shall not set the DMI allowed or response status attributes.
n) If the initiator sets the option attribute to TLM_FULL_PAYLOAD and the target does not set the
option attribute to TLM_FULL_PAYLOAD_ACCEPTED, the initiator shall assume that the target
has acted as if the option attribute were set to TLM_MIN_PAYLOAD. In this situation, it is possible
that the target may have wrongly interpreted the generic payload attributes; for example, the target
may have ignored the byte enable attributes for a debug transport transaction.
o) An interconnect component shall not modify the value of the option attribute. (A component that
generally acts as an interconnect component may act as a target component in order to return an
error response, in which case it may set the value of the option attribute to
TLM_FULL_PAYLOAD_ACCEPTED.)
p) An initiator that sets the option attribute to TLM_FULL_PAYLOAD shall ensure that the option
attribute is set back to TLM_MIN_PAYLOAD at the end of the lifetime of the transaction object. In
the presence of a memory manager, the method reset of class tlm_generic_payload shall set the
option attribute to TLM_MIN_PAYLOAD. In the absence of a memory manager, the initiator is
obliged to reset the option attribute explicitly.
q) The value of the option attribute shall apply only to the current transaction instance, and implies
nothing about the behavior of an initiator, interconnect, or target with respect to other transactions or
to other interfaces. For example, a given initiator may set TLM_MIN_PAYLOAD and
TLM_FULL_PAYLOAD in two consecutive debug transport transactions, or may set
TLM_MIN_PAYLOAD in a debug transport transaction and TLM_FULL_PAYLOAD in a DMI
transaction. A target may set TLM_FULL_PAYLOAD_ACCEPTED for one transaction but not for
the next. Each component should inspect each transaction individually rather than building a map of
the initiators and targets and their capabilities.
14.9 Command attribute
a) The method set_command shall set the command attribute to the value passed as an argument. The
method get_command shall return the current value of the command attribute.
Authorized licensed use limited to: Furkan Tuncer. Downloaded on October 16,2017 at 17:05:54 UTC from IEEE Xplore. Restrictions apply.
IEEE Std 1666-2011
IEEE Standard for Standard SystemC® Language Reference Manual
478
Copyright © 2012 IEEE. All rights reserved.
b) The methods set_read and set_write shall set the command attribute to TLM_READ_COMMAND
and TLM_WRITE_COMMAND, respectively. The methods is_read and is_write shall return true
if and only if the current value of the command attribute is TLM_READ_COMMAND and
TLM_WRITE_COMMAND, respectively.
c) A read command is a generic payload transaction with the command attribute equal to
TLM_READ_COMMAND. A write command is a generic payload transaction with the command
attribute equal to TLM_WRITE_COMMAND. An ignore command is a generic payload transaction
with the command attribute equal to TLM_IGNORE_COMMAND.
d) On receipt of a read command, the target shall copy the contents of a local array in the target to the
array pointed to be the data pointer attribute, honoring all the semantics of the generic payload as
defined by this standard.
e) On receipt of a write command, the target shall copy the contents of the array pointed to by the data
pointer attribute to a local array in the target, honoring all the semantics of the generic payload as
defined by this standard.
f) If the target is unable to execute a read or write command, it shall generate a standard error response.
The recommended response status is TLM_COMMAND_ERROR_RESPONSE.
g) An ignore command is a null command. The intent is that an ignore command may be used as a
vehicle for transporting generic payload extensions without the need to execute a read or a write
command, although the rules concerning extensions are the same for all three commands.
h) On receipt of an ignore command, the target shall not execute a write command or a read command.
In particular, it shall not modify the value of the local array that would be modified by a write
command, or modify the value of the array pointed to by the data pointer attribute. The target may,
however, use the value of any attribute in the generic payload, including any extensions.
i) On receipt of an ignore command, a component that usually acts as an interconnect component may
either forward the transaction onward toward the target (that is, act as an interconnect), or may
return an error response (that is, act as a target). A component that routes read and write commands
differently would be expected to return an error response.
j) A target is deemed to have executed an ignore command successfully if it has received the
transaction and has checked the values of the generic payload attributes to its own satisfaction (see
14.17).
k) The command attribute shall be set by the initiator, and shall not be overwritten by any interconnect
component or target.
l) The default value of the command attribute shall be TLM_IGNORE_COMMAND.
14.10 Address attribute
a) The method set_address shall set the address attribute to the value passed as an argument. The
method get_address shall return the current value of the address attribute.
b) For a read command or a write command, the target shall interpret the current value of the address
attribute as the start address in the system memory map of the contiguous block of data being read or
written. This address may or may not correspond to the first byte in the array pointed to by the data
pointer attribute, depending on the endianness of the host computer.
c) The address associated with any given byte in the data array is dependent on the address attribute,
the array index, the streaming width attribute, the endianness of the host computer, and the width of
the socket (see 14.18).
d) The value of the address attribute need not be word-aligned (although address calculations can be
considerably simplified if the address attribute is a multiple of the local socket width expressed in
bytes).
Authorized licensed use limited to: Furkan Tuncer. Downloaded on October 16,2017 at 17:05:54 UTC from IEEE Xplore. Restrictions apply.
IEEE Std 1666-2011
IEEE Standard for Standard SystemC® Language Reference Manual
479
Copyright © 2012 IEEE. All rights reserved.
e) If the target is unable to execute the transaction with the given address attribute (because the address
is out-of-range, for example), it shall generate a standard error response. The recommended
response status is TLM_ADDRESS_ERROR_RESPONSE.
f) The address attribute shall be set by the initiator but may be overwritten by one or more interconnect
components. This may be necessary if an interconnect component performs address translation, for
example, to translate an absolute address in the system memory map to a relative address in the
memory map known to the target. Once the address attribute has been overwritten in this way, the
old value is lost (unless it was explicitly saved somewhere).
g) The default value of the address attribute shall be 0.
14.11 Data pointer attribute
a) The method set_data_ptr shall set the data pointer attribute to the value passed as an argument. The
method get_data_ptr shall return the current value of the data pointer attribute. Note that the data
pointer attribute is a pointer to the data array, and these methods set or get the value of the pointer,
not the contents of the array.
b) For a read command or a write command, the target shall copy data to or from the data array,
respectively, honoring the semantics of the remaining attributes of the generic payload.
c) The initiator is responsible for allocating storage for the data and byte enable arrays. The storage
may represent the final source or destination of the data in the initiator, such as a register file or
cache memory, or may represent a temporary buffer used to transfer data to and from the transaction
level interface.
d) In general, the organization of the generic payload data array is independent of the organization of
local storage within the initiator and the target. However, the generic payload has been designed so
that data can be copied to and from the target with a single call to memcpy in most circumstances.
This assumes that the target uses the same storage organization as the generic payload. This
assumption is made for simulation efficiency but does not restrict the expressive power of the
generic payload: the target is free to transform the data in any way it wishes as it copies the data to
and from the data array.
e) For a read command or a write command, it is an error to call the transport interface with a
transaction object having a null data pointer attribute.
f) In the case of TLM_IGNORE_COMMAND, the data pointer may point to a data array or may be
null.
g) If the data pointer is not null, the length of the data array shall be greater than or equal to the value of
the data length attribute, in bytes.
h) The data pointer attribute shall be set by the initiator, and shall not be overwritten by any
interconnect component or target.
i) For a write command or TLM_IGNORE_COMMAND, the contents of the data array shall be set by
the initiator, and shall not be overwritten by any interconnect component or target
j) For a read command, the contents of the data array may be overwritten by the target (honoring the
semantics of the byte enable) but by no other component and only before the target sends a response.
A target sends a response in this sense whenever it returns control from the b_transport,
get_direct_mem_ptr, or transport_dbg methods, whenever it passes the BEGIN_RESP phase as
an argument to nb_transport, or whenever it returns the value TLM_COMPLETED from
nb_transport.
k) The default value of the data pointer attribute shall be 0, the null pointer.
Authorized licensed use limited to: Furkan Tuncer. Downloaded on October 16,2017 at 17:05:54 UTC from IEEE Xplore. Restrictions apply.
IEEE Std 1666-2011
IEEE Standard for Standard SystemC® Language Reference Manual
480
Copyright © 2012 IEEE. All rights reserved.
14.12 Data length attribute
a) The method set_data_length shall set the data length attribute to the value passed as an argument.
The method get_data_length shall return the current value of the data length attribute.
b) For a read command or a write command, the target shall interpret the data length attribute as the
number of bytes to be copied to or from the data array, inclusive of any bytes disabled by the byte
enable attribute.
c) The data length attribute shall be set by the initiator, and shall not be overwritten by any interconnect
component or target.
d) For a read command or a write command, the data length attribute shall not be set to 0. In order to
transfer zero bytes, the command attribute should be set to TLM_IGNORE_COMMAND.
e) In the case of TLM_IGNORE_COMMAND, if the data pointer is null, the value of the data length
attribute is undefined.
f) When using the standard socket classes of the interoperability layer (or classes derived from these)
for burst transfers, the word length for each transfer shall be determined by the BUSWIDTH
template parameter of the socket. BUSWIDTH is independent of the data length attribute.
BUSWIDTH shall be expressed in bits. If the data length is less than or equal to the BUSWIDTH /
8, the transaction is effectively modeling a single-word transfer, and if greater, the transaction is
effectively modeling a burst. A single transaction can be passed through sockets of different bus
widths. The BUSWIDTH may be used to calculate the latency of the transfer.
g) The target may or may not support transactions with data length greater than the word length of the
target, whether the word length is given by the BUSWIDTH template parameter or by some other
value.
h) If the target is unable to execute the transaction with the given data length, it shall generate a
standard error response, and it shall not modify the contents of the data array. The recommended
response status is TLM_BURST_ERROR_RESPONSE.
i) The default value of the data length attribute shall be 0, which is an invalid value unless the data
pointer is null. Hence, unless the data pointer is null, the data length attribute shall be set explicitly
before the transaction object is passed through an interface method call.
14.13 Byte enable pointer attribute
a) The method set_byte_enable_ptr shall set the pointer to the byte enable array to the value passed as
an argument. The method get_byte_enable_ptr shall return the current value of the byte enable
pointer attribute.
b) The elements in the byte enable array shall be interpreted as follows. A value of 0 shall indicate that
that corresponding byte is disabled, and a value of 0xff shall indicate that the corresponding byte is
enabled. The meaning of all other values shall be undefined. The value 0xff has been chosen so that
the byte enable array can be used directly as a mask. The two macros TLM_BYTE_DISABLED and
TLM_BYTE_ENABLED are provided for convenience.
c) Byte enables may be used to create burst transfers where the address increment between each beat is
greater than the number of significant bytes transferred on each beat, or to place words in selected
byte lanes of a bus. At a more abstract level, byte enables may be used to create "lacy bursts" where
the data array of the generic payload has an arbitrary pattern of holes punched in it.
d) The byte enable mask may be defined by a small pattern applied repeatedly or by a large pattern
covering the whole data array (see 14.18).
e) The number of elements in the byte enable array shall be given by the byte enable length attribute.
f) The byte enable pointer may be set to 0, the null pointer, in which case byte enables shall not be used
for the current transaction, and the byte enable length shall be ignored.
Authorized licensed use limited to: Furkan Tuncer. Downloaded on October 16,2017 at 17:05:54 UTC from IEEE Xplore. Restrictions apply.
IEEE Std 1666-2011
IEEE Standard for Standard SystemC® Language Reference Manual
481
Copyright © 2012 IEEE. All rights reserved.
g) If byte enables are used, the byte enable pointer attribute shall be set by the initiator, the storage for
the byte enable array shall be allocated by the initiator, the contents of the byte enable array shall be
set by the initiator, and neither the byte enable pointer nor the contents of the byte enable array shall
be overwritten by any interconnect component or target.
h) If the byte enable pointer is non-null, the target shall either implement the semantics of the byte
enable as defined below or shall generate a standard error response. The recommended response
status is TLM_BYTE_ENABLE_ERROR_RESPONSE.
i) In the case of a write command, any interconnect component or target should ignore the values of
any disabled bytes in the data array. It is recommended that disabled bytes have no effect on the
behavior of any interconnect component or target. The initiator may set those bytes to any values
since they are going to be ignored.
j) In the case of a write command, when a target is doing a byte-by-byte copy from the transaction data
array to a local array, the target should not modify the values of bytes in the local array
corresponding to disabled bytes in the generic payload.
k) In the case of a read command, any interconnect component or target should not modify the values
of disabled bytes in the data array. The initiator can assume that disabled bytes will not be modified
by any interconnect component or target.
l) In the case of a read command, when a target is doing a byte-by-byte copy from a local array to the
transaction data array, the target should ignore the values of bytes in the local array corresponding to
disabled bytes in the generic payload.
m) If the application needs to violate these semantics for byte enables, or to violate any other semantics
of the generic payload as defined in this document, the recommended approach would be to create a
new protocol traits class (see 14.2.2).
n) The default value of the byte enable pointer attribute shall be 0, the null pointer.
14.14 Byte enable length attribute
a) The method set_byte_enable_length shall set the byte enable length attribute to the value passed as
an argument. The method get_byte_enable_length shall return the current value of the byte enable
length attribute.
b) For a read command or a write command, the target shall interpret the byte enable length attribute as
the number of elements in the byte enable array.
c) The byte enable length attribute shall be set by the initiator, and shall not be overwritten by any
interconnect component or target.
d) The byte enable to be applied to a given element of the data array shall be calculated using the
formula byte_enable_array_index = data_array_index % byte_enable_length. In other words,
the byte enable array is applied repeatedly to the data array.
e) The byte enable length attribute may be greater than the data length attribute, in which case any
superfluous byte enables should not affect the behavior of a read or write command, but could be
used by extensions.
f) If the byte enable pointer is 0, the null pointer, then the value of the byte enable length attribute shall
be ignored by any interconnect component or target. If the byte enable pointer is non-0, the byte
enable length shall be non-0.
g) If the target is unable to execute the transaction with the given byte enable length, it shall generate a
standard error response. The recommended response status is
TLM_BYTE_ENABLE_ERROR_RESPONSE.
h) The default value of the byte enable length attribute shall be 0.
Authorized licensed use limited to: Furkan Tuncer. Downloaded on October 16,2017 at 17:05:54 UTC from IEEE Xplore. Restrictions apply.
IEEE Std 1666-2011
IEEE Standard for Standard SystemC® Language Reference Manual
482
Copyright © 2012 IEEE. All rights reserved.
14.15 Streaming width attribute
a) The method set_streaming_width shall set the streaming width attribute to the value passed as an
argument. The method get_streaming_width shall return the current value of the streaming width
attribute.
b) For a read command or a write command, the target shall interpret and act on the current value of the
streaming width attribute
c) Streaming affects the way a component should interpret the data array. A stream consists of a
sequence of data transfers occurring on successive notional beats, each beat having the same start
address as given by the generic payload address attribute. The streaming width attribute shall
determine the width of the stream, that is, the number of bytes transferred on each beat. In other
words, streaming affects the local address associated with each byte in the data array. In all other
respects, the organization of the data array is unaffected by streaming.
d) The bytes within the data array have a corresponding sequence of local addresses within the
component accessing the generic payload transaction. The lowest address is given by the value of
the address attribute. The highest address is given by the formula address_attribute +
streaming_width – 1. The address to or from which each byte is being copied in the target shall be
set to the value of the address attribute at the start of each beat.
e) With respect to the interpretation of the data array, a single transaction with a streaming width shall
be functionally equivalent to a sequence of transactions each having the same address as the original
transaction, each having a data length attribute equal to the streaming width of the original, and each
with a data array that is a different subset of the original data array on each beat. This subset
effectively steps down the original data array maintaining the sequence of bytes.
f) A streaming width of 0 shall be invalid. If a streaming transfer is not required, the streaming width
attribute should be set to a value greater than or equal to the value of the data length attribute.
g) The value of the streaming width attribute shall have no affect on the length of the data array or the
number of bytes stored in the data array.
h) Width conversion issues may arise when the streaming width is different from the width of the
socket (when measured as a number of bytes) (see 14.18).
i) If the target is unable to execute the transaction with the given streaming width, it shall generate a
standard error response. The recommended response status is TLM_BURST_ERROR_RESPONSE.
j) Streaming may be used in conjunction with byte enables, in which case the streaming width would
typically be equal to the byte enable length. It would also make sense to have the streaming width a
multiple of the byte enable length. Having the byte enable length a multiple of the streaming width
would imply that different bytes were enabled on each beat.
k) The streaming width attribute shall be set by the initiator, and shall not be overwritten by any
interconnect component or target.
l) The default value of the streaming width attribute shall be 0.
14.16 DMI allowed attribute
a) The method set_dmi_allowed shall set the DMI allowed attribute to the value passed as an
argument. The method is_dmi_allowed shall return the current value of the DMI allowed attribute.
b) The DMI allowed attribute provides a hint to an initiator that it may try to obtain a direct memory
pointer. The target should set this attribute to true if the transaction at hand could have been done
through DMI (see 11.2.9).
c) The default value of the DMI allowed attribute shall be false.
Authorized licensed use limited to: Furkan Tuncer. Downloaded on October 16,2017 at 17:05:54 UTC from IEEE Xplore. Restrictions apply.

IEEE Std 1666-2011
IEEE Standard for Standard SystemC® Language Reference Manual
483
Copyright © 2012 IEEE. All rights reserved.
14.17 Response status attribute
a) The method set_response_status shall set the response status attribute to the value passed as an
argument. The method get_response_status shall return the current value of the response status
attribute.
b) The method is_response_ok shall return true if and only if the current value of the response status
attribute is TLM_OK_RESPONSE. The method is_response_error shall return true if and only if
the current value of the response status attribute is not equal to TLM_OK_RESPONSE.
c) The method get_response_string shall return the current value of the response status attribute as a
text string.
d) As a general principle, a target is recommended to support every feature of the generic payload, but
in the case that it does not, it shall generate the standard error response (see 14.17.1).
e) The response status attribute shall be set to TLM_INCOMPLETE_RESPONSE by the initiator, and
may or may not be overwritten by the target. The response status attribute shall not be overwritten
by an interconnect component. The value TLM_INCOMPLETE_RESPONSE should be used to
indicate that the component acting as the target did not attempt to execute the command, as might be
the case if the response was returned from a component that usually acts as an interconnect
component. But note that such a component would be allowed to set the response status attribute to
any error response, because it is acting as a target.
f) If the target is able to execute the command successfully, it shall set the response status attribute to
TLM_OK_RESPONSE. Otherwise, the target may set the response status to any of the six error
responses listed in Table 56. The target should choose the appropriate error response depending on
the cause of the error.
g) If a target detects an error but is unable to select a specific error response, it may set the response
status to TLM_GENERIC_ERROR_RESPONSE.
h) The default value of the response status attribute shall be TLM_INCOMPLETE_RESPONSE.
i) In the case of TLM_IGNORE_COMMAND, a target that has received the transaction and would
have been in a position to execute a read or write command should return TLM_OK_RESPONSE.
Otherwise, the target may choose, at its discretion, to set an error response using the same criteria it
would have applied for a read or write command. For example, a target that does not support byte
enables would be permitted (but not obliged) to return
TLM_BYTE_ENABLE_ERROR_RESPONSE.
Table 56—Error responses
Error response Interpretation
TLM_INCOMPLETE_RESPONSE Target did not attempt to execute the command
TLM_ADDRESS_ERROR_RESPONSE Target was unable to act on the address attribute, or address
out-of-range
TLM_COMMAND_ERROR_RESPONSE Target was unable to execute the command
TLM_BURST_ERROR_RESPONSE Target was unable to act on the data length or streaming
width
TLM_BYTE_ENABLE_ERROR_RESPONSE Target was unable to act on the byte enable
TLM_GENERIC_ERROR_RESPONSE Any other error
Authorized licensed use limited to: Furkan Tuncer. Downloaded on October 16,2017 at 17:05:54 UTC from IEEE Xplore. Restrictions apply.
IEEE Std 1666-2011
IEEE Standard for Standard SystemC® Language Reference Manual
484
Copyright © 2012 IEEE. All rights reserved.
j) The presence of a generic payload extension or extended phase may cause a target to return a
different response status, provided that the rules concerning ignorable extensions are honored. In
other words, within the base protocol it is allowable that an extension may cause a command to fail,
but it is also allowable that the target may ignore the extension and thus have the command succeed.
k) The target shall be responsible for setting the response status attribute at the appropriate point in the
lifetime of the transaction. In the case of the blocking transport interface, this means before
returning control from b_transport. In the case of the non-blocking transport interface and the base
protocol, this means before sending the BEGIN_RESP phase or returning a value of
TLM_COMPLETED.
l) It is recommended that the initiator should always check the response status attribute on receiving a
transition to the BEGIN_RESP phase or after the completion of the transaction. An initiator may
choose to ignore the response status if it is known in advance that the value will be
TLM_OK_RESPONSE, perhaps because it is known in advance that the initiator is only connected
to targets that always return TLM_OK_RESPONSE, but in general this will not be the case. In other
words, the initiator ignores the response status at its own risk.
m) A target has some latitude when selecting an error response. For example, if the command and
address attributes are in error, a target may be justified in setting any of
TLM_ADDRESS_ERROR_RESPONSE, TLM_COMMAND_ERROR_RESPONSE, or
TLM_GENERIC_ERROR_RESPONSE. When using the response status to determine its behavior
an initiator should not rely on the distinction between the six categories of error response alone,
although an initiator may use the response status to determine the content of diagnostic messages
printed for the benefit of the user.
14.17.1 The standard error response
When a target receives a generic payload transaction, the target should perform one and only one of the
following actions:
a) Execute the command represented by the transaction, honoring the semantics of the generic payload
attributes, and honoring the publicly documented semantics of the component being modeled, and
set the response status to TLM_OK_RESPONSE.
b) Set the response status attribute of the generic payload to one of the five error responses as described
above.
c) Generate a report using the standard SystemC report handler with any of the four standard SystemC
severity levels indicating that the command has failed or been ignored, and set the response status to
TLM_OK_RESPONSE.
It is recommended that the target should perform exactly one of these actions, but an implementation is not
obliged or permitted to enforce this recommendation.
It is recommended that a target for a transaction type other than the generic payload should follow this same
principle; that is, execute the command as expected, or generate an error response using an attribute of the
transaction, or generate a SystemC report. However, the details of the semantics and the error response
mechanism for such a transaction are outside the scope of this standard.
The conditions for satisfying point a) are determined by the expected behavior of the target component as
would be visible to a user of that component. The attributes of the generic payload have defined semantics
that correspond to conventional usage in the context of memory-mapped buses but that do not necessarily
assume that the target behaves as a random-access memory. There are many subtle corner cases. For
example:
a) A target may have a memory-mapped register that supports both read and write commands, but the
write command is non-sticky; that is, write modifies the state of the target, but a write followed by
Authorized licensed use limited to: Furkan Tuncer. Downloaded on October 16,2017 at 17:05:54 UTC from IEEE Xplore. Restrictions apply.
IEEE Std 1666-2011
IEEE Standard for Standard SystemC® Language Reference Manual
485
Copyright © 2012 IEEE. All rights reserved.
read will not return the data just written but some other value determined by the state of the target. If
this is the normal expected behavior of the component, it is covered by point a).
b) A target may implement the write command to set a bit while totally ignoring the value of the data
attribute. If this is the normal expected behavior of the target, it is covered by point a).
c) A read-only memory may ignore the write command without signalling an error to the initiator using
the response status attribute. Since the write command is not changing the state of the target but is
being ignored altogether, the target should at least generate a SystemC report with severity
SC_INFO or SC_WARNING.
d) A target should not under any circumstances implement the write command by performing a read, or
vice versa. That would be a fundamental violation of the semantics of the generic payload.
e) A target may implement the read command according to the intent of the generic payload but with
additional side-effects. This is covered by point a).
f) A target with a set of memory-mapped registers forming an addressable register file receives a write
command with an out-of-range address. The target should either set the response status attribute of
the transaction to TLM_ADDRESS_ERROR_RESPONSE or generate a SystemC report.
g) A passive simulation bus monitor target receives a transaction with an address that is outside the
physical range of the bus being modeled. The target may log the erroneous transaction for post-
processing under point a) and not generate an error response under points b) or c). Alternatively, the
target may generate a report under point c).
In other words, the distinction between points a), b), and c) is ultimately a pragmatic judgement to be made
on a case-by-case basis, but the definitive rule for the generic payload is that a target should always perform
exactly one of these actions.
Example:
// Showing generic payload with command, address, data, and response status
// The initiator
void thread() {
tlm::tlm_generic_payload trans; // Construct default generic payloadsc_time delay;
trans.set_command(tlm::TLM_WRITE_COMMAND); // A write command
trans.set_data_length(4); // Write 4 bytes
trans.set_byte_enable_ptr(0); // Byte enables unused
trans.set_streaming_width(4); // Streaming unused
for (int i = 0; i < RUN_LENGTH; i += 4) { // Generate a series of transactions
int word = i;
trans.set_address(i); // Set the address
trans.set_data_ptr( (unsigned char*)(&word) ); // Write data from local variable 'word'
trans.set_dmi_allowed(false); // Clear the DMI hint
trans.set_response_status( tlm::TLM_INCOMPLETE_RESPONSE );// Clear the response status
init_socket->b_transport(trans, delay);
if (trans.is_response_error() ) // Check return value of b_transport
SC_REPORT_ERROR("TLM-2.0", trans.get_response_string().c_str());
...
}
...
Authorized licensed use limited to: Furkan Tuncer. Downloaded on October 16,2017 at 17:05:54 UTC from IEEE Xplore. Restrictions apply.
IEEE Std 1666-2011
IEEE Standard for Standard SystemC® Language Reference Manual
486
Copyright © 2012 IEEE. All rights reserved.
// The target
virtual void b_transport( tlm::tlm_generic_payload& trans, sc_core::sc_time& t)
{
tlm::tlm_command cmd = trans.get_command();
sc_dt::uint64 adr = trans.get_address();
unsigned char* ptr = trans.get_data_ptr();
unsigned int len = trans.get_data_length();
unsigned char* byt = trans.get_byte_enable_ptr();
unsigned int wid = trans.get_streaming_width();
if (adr+len > m_length) { // Check for storage address overflow
trans.set_response_status( tlm::TLM_ADDRESS_ERROR_RESPONSE );
return;
}
if (byt) { // Target unable to support byte enable attribute
trans.set_response_status( tlm::TLM_BYTE_ENABLE_ERROR_RESPONSE );
return;
}
if (wid < len) { // Target unable to support streaming width attribute
trans.set_response_status( tlm::TLM_BURST_ERROR_RESPONSE );
return;
}
if (cmd == tlm::TLM_WRITE_COMMAND) // Execute command
memcpy(&m_storage[adr], ptr, len);
else if (cmd == tlm::TLM_READ_COMMAND)
memcpy(ptr, &m_storage[adr], len);
trans.set_response_status( tlm::TLM_OK_RESPONSE ); // Successful completion
}
// Showing generic payload with byte enables
// The initiator
void thread() {
tlm::tlm_generic_payload trans;
sc_time delay;
static word_t byte_enable_mask = 0x0000fffful; // MSB..LSB regardless of host-endianness
trans.set_command(tlm::TLM_WRITE_COMMAND);
trans.set_data_length(4);
trans.set_byte_enable_ptr( reinterpret_cast<unsigned char*>( &byte_enable_mask ) );
trans.set_byte_enable_length(4);
trans.set_streaming_width(4);
...
...
// The target
virtual void b_transport(
tlm::tlm_generic_payload& trans, sc_core::sc_time& t)
{
tlm::tlm_command cmd = trans.get_command();
sc_dt::uint64 adr = trans.get_address();
Authorized licensed use limited to: Furkan Tuncer. Downloaded on October 16,2017 at 17:05:54 UTC from IEEE Xplore. Restrictions apply.
IEEE Std 1666-2011
IEEE Standard for Standard SystemC® Language Reference Manual
487
Copyright © 2012 IEEE. All rights reserved.
unsigned char* ptr = trans.get_data_ptr();
unsigned int len = trans.get_data_length();
unsigned char* byt = trans.get_byte_enable_ptr();
unsigned int bel = trans.get_byte_enable_length();
unsigned int wid = trans.get_streaming_width();
if (cmd == tlm::TLM_WRITE_COMMAND) {
if (byt) {
for (unsigned int i = 0; i < len; i++) // Byte enable applied repeatedly up data array
if ( byt[i % bel] == TLM_BYTE_ENABLED )
m_storage[adr+i] = ptr[i]; // Byte enable [i] corresponds to data ptr [i]
}
else
memcpy(&m_storage[adr], ptr, len); // No byte enables
} else if (cmd == tlm::TLM_READ_COMMAND) {
if (byt) { // Target does not support read with byte enables
trans.set_response_status( tlm::TLM_BYTE_ENABLE_ERROR_RESPONSE );
return;
}
else
memcpy(ptr, &m_storage[adr], len);
}
trans.set_response_status( tlm::TLM_OK_RESPONSE );
}
14.18 Endianness
14.18.1 Introduction
When using the generic payload to transfer data between initiator and target, both the endianness of the host
machine (host endianness) and the endianness of the initiator and target being modeled (modeled
endianness) are relevant. This clause defines rules to ensure interoperability between initiators and targets
using the generic payload, so is specifically concerned with the organization of the generic payload data
array and byte enable array. However, the rules given here may have an impact on some of the choices made
in modeling endianness beyond the immediate scope of the generic payload.
A general principle in the TLM-2.0 approach to endianness is that the organization of the generic payload
data array depends only on information known locally within each initiator, interconnect component, or
target. In particular, it depends on the width of the local socket through which the transaction is sent or
received, the endianness of the host computer, and the endianness of the component being modeled.
The organization of the generic payload and the approach to endianness has been chosen to maximize
simulation efficiency in certain common system scenarios, particularly mixed-endian systems. The rules
given below dictate the organization of the generic payload, and this is independent of the organization of
the system being modeled. For example, a “word” within the generic payload need not necessarily
correspond in internal representation with any “word” within the modeled architecture.
At a macroscopic level, the main principle is that the generic payload assumes components in a mixed-
endian system to be wired up MSB to MSB (most-significant byte) and LSB to LSB (least-significant byte).
In other words, if a word is transferred between components of differing endianness, the MSB ... LSB
relationship is preserved, but the local address of each byte as seen within each component will necessarily
change using the transformation generally called address swizzling. This is true within both the modeled
system and the TLM-2.0 model. On the other hand, if a mixed-endian system is wired such that the local
Authorized licensed use limited to: Furkan Tuncer. Downloaded on October 16,2017 at 17:05:54 UTC from IEEE Xplore. Restrictions apply.
IEEE Std 1666-2011
IEEE Standard for Standard SystemC® Language Reference Manual
488
Copyright © 2012 IEEE. All rights reserved.
addresses are invariant within each component (that is, each byte has the same local address when seen from
any component), then an explicit byte swap would need to be inserted in the TLM-2.0 model.
In order to achieve interoperability with respect to the endianness of the generic payload arrays, it is only
necessary to obey the rules given in this clause. A set of helper functions is provided to assist with the
organization of the data array (see 14.20).
14.18.2 Rules
a) In the following rules, the generic payload data array is denoted as data and the generic payload
byte enable array as be.
b) When using the standard socket classes of the interoperability layer (or classes derived from these),
the contents of the data and byte enable arrays shall be interpreted using the BUSWIDTH template
parameter of the socket through which the transaction is sent or received locally. The effective word
length shall be calculated as (BUSWIDTH + 7)/8 bytes and in the following rules is denoted as W.
c) This quantity W defines the length of a word within the data array, each word being the amount of
data that could be transferred through the local socket on a single beat. The data array may contain a
single word, a part-word, or several contiguous words or part-words. Only the first and last words in
the data array may be part-words. This description refers to the internal organization of the generic
payload, not to the organization of the architecture being modeled.
d) If a given generic payload transaction object is passed through sockets of different widths, the data
array word length would appear different when calculated from the point of view of different
sockets (see the description of width conversion below).
e) The order of the bytes within each word of the data array shall be host-endian. That is, on a little-
endian host processor, within any given word data[n] shall be less significant than data[n+1], and
on a big-endian host processor, data[n] shall be the more significant than data[n+1].
f) The word boundaries in the data array shall be address-aligned; that is, they shall fall on addresses
that are integer multiples of the word length W. However, neither the address attribute nor the data
length attribute are required to be multiples of the word length. Hence the possibility that the first
and last words in the data array could be part-words.
g) The order of the words within the data array shall be determined by their addresses in the memory
map of the modeled system. For array index values less than the value of the streaming width
attribute, the local addresses of successive words shall be in increasing order, and (excluding any
leading part-word) shall equal address_attribute – (address_attribute % W) + NW, where N is a
non-negative integer, and % indicates remainder on division.
h) In other words, using the notation {a,b,c,d} to list the elements of the data array in increasing order
of array index, and using LSBN to denote the least significant byte of the Nth word, on a little-
endian host bytes are stored in the order {..., MSB0, LSB1, ..., MSB1, LSB2, ...}, and on a big-endian
host {... LSB0, MSB1, ... LSB1, MSB2, ...}, where the number of bytes in each full word is given by
W, and the total number of bytes is given by the data_length attribute.
i) The above rules effectively mean that initiators and targets are connected LSB-to-LSB, MSB-to-
MSB. The rules have been chosen to give optimal simulation speed in the case where the majority of
initiators and targets are modeled using host endianness whatever their native endianness, also
known as “arithmetic mode”.
j) It is strongly recommended that applications should be independent of host endianness, that is,
should model the same behavior when run on a host of either endianness. This may require the use
of helper functions or conditional compilation.
k) If an initiator or target is modeled using its native endianness and that is different from host
endianness, it will be necessary to swap the order of bytes within a word when transferring data to or
from the generic payload data array. Helper functions are provided for this purpose.
Authorized licensed use limited to: Furkan Tuncer. Downloaded on October 16,2017 at 17:05:54 UTC from IEEE Xplore. Restrictions apply.
IEEE Std 1666-2011
IEEE Standard for Standard SystemC® Language Reference Manual
489
Copyright © 2012 IEEE. All rights reserved.
l) For example, consider the following SystemC code fragment, which uses the literal value
0xAABBCCDD to initialize the generic payload data array:
int data = 0xAABBCCDD;
trans.set_data_ptr( reinterpret_cast<unsigned char*>( &data ) );
trans.set_data_length(4);
trans.set_address(0);
socket->b_transport(trans, delay);
m) The C++ compiler will interpret the literal 0xAABBCCDD in host-endian form. In either case, the
MSB has value 0xAA and the LSB has value 0xDD. Assuming this is the intent, the code fragment
is valid and is independent of host endianness. However, the array index of the four bytes will differ
depending on host endianness. On a little-endian host, data[0] = 0xDD, and on a big-endian host,
data[0] = 0xAA. The correspondence between local addresses in the modeled system and array
indexes will differ depending whether modeled endianness and host endianness are equal:
Little-endian model and little-endian host: data[0] is 0xDD and local address 0
Big-endian model and little-endian host: data[0] is 0xDD and local address 3
Little-endian model and big-endian host: data[0] is 0xAA and local address 3
Big-endian model and big-endian host: data[0] is 0xAA and local address 0
n) Code such as the fragment shown above would not be portable to a host computer that uses neither
little nor big endianness. In such a case, the code would have to be re-written to access the generic
payload data array using byte addressing only.
o) When a little-endian and a big-endian model interpret a given generic payload transaction, then by
definition they will agree on which is the MSB and LSB of a word, but they will each use different
local addresses to access the bytes of the word.
p) Neither the data length attribute nor the address attribute are required to be integer multiples of W.
However, having address and data length aligned with word boundaries and having W be a power of
2 considerably simplifies access to the data array. Just to emphasize the point, it would be perfectly
in order for a generic payload transaction to have an address and data length that indicated three
bytes in the middle of a 48-bit socket. If a particular target is unable to support a given address
attribute or data length, it should generate a standard error response (see 14.17).
q) For example, on a little-endian host and with W = 4, address = 1, and data_length = 4, the first
word would contain three bytes at addresses 1...3, and the second word 1 byte at address 4.
r) Single byte and part-word transfers may be expressed using non-aligned addressing. For example,
given W = 8, address = 5, and data = {1,2}, the two bytes with local addresses 5 and 6 are accessed
in an order dependent on endianness.
s) Part-word and non-aligned transfers can always be expressed using integer multiples of W together
with byte enables. This implies that a given transaction may have several equally valid generic
payload representations. For example, given a little-endian host and a little-endian initiator:
address = 2, W = 4, data = {1} is equivalent to
address = 0, W = 4, data = {x, x, 1, x}, and be = {0, 0, 0xff, 0}
address = 2, W = 4, data = {1,2,3,4} is equivalent to
address = 0, W = 4, data = {x, x, 1, 2, 3, 4, x, x}, and be = {0, 0, 0xff, 0xff, 0xff, 0xff, 0, 0}.
t) For part-word access, the necessity to use byte enables is dependent on endianness. For example,
given the intent to access the whole of the first word and the LSB of the second word, given a little-
endian host this might be expressed as
address = 0, W = 4, data = {1,2,3,4,5}
Given a big-endian host, the equivalent would be
address = 0, W = 4, data = {4,3,2,1,x,x,x,5}, be = {0xff, 0xff, 0xff, 0xff, 0, 0, 0, 0xff }.
u) When two sockets are bound together, they necessarily have the same BUSWIDTH. However, a
transaction may be forwarded from a target socket to an initiator socket of a different bus width. In
Authorized licensed use limited to: Furkan Tuncer. Downloaded on October 16,2017 at 17:05:54 UTC from IEEE Xplore. Restrictions apply.

IEEE Std 1666-2011
IEEE Standard for Standard SystemC® Language Reference Manual
490
Copyright © 2012 IEEE. All rights reserved.
this case, width conversion of the generic payload transaction must be considered (Figure 27). Any
width conversion has its own intrinsic endianness, depending on whether the least- or most-
significant byte of the wider socket is picked out first.
Figure 27—Width conversion
v) When the endianness chosen for a width conversion matches the host endianness, the width
conversion is effectively free, meaning that a single transaction object can be forwarded from
socket-to-socket without modification. Otherwise, two separate generic payload transaction objects
would be required. In Figure 27, the width conversion between the 4-byte socket and the 2-byte
socket uses host-endianness, moving the less-significant bytes to lower addresses while retaining the
host-endian byte order within each word. The initiator and target both access the same sequence of
bytes in the data array, but their local addressing schemes are quite different.
w) If a width conversion is performed from a narrower socket to a wider socket, the choice has to be
made as to whether or not to perform address alignment on the outgoing transaction. Performing
address alignment will always necessitate the construction of a new generic payload transaction
object.
x) Similar width conversion issues arise when the streaming width attribute is non-zero but different
from W. A choice has to be made as to the order in which to read off the bytes down the data array
depending on host endianness and the desired endianness of the width conversion.
14.19 Helper functions to determine host endianness
14.19.1 Introduction
A set of helper functions is provided to determine the endianness of the host computer. These are intended
for use when creating or interpreting the generic payload data array.
14.19.2 Definition
namespace tlm {
enum tlm_endianness {
W = 4
bytes
W = 2
bytes
Big-endian Little-endian
Interconnect
component
Initiator Target
LSB
MSB
LSB
MSB
3
2
1
0
7
6
5
4
LSB
MSB
0
1
2
3
4
5
6
7
Local
address
Local
address
Word
Word
Word
Word
Word
Word
Generic
payload
data array
Generic
payload
data array
Little-endian
width
conversion
Little-endian host
Authorized licensed use limited to: Furkan Tuncer. Downloaded on October 16,2017 at 17:05:54 UTC from IEEE Xplore. Restrictions apply.
IEEE Std 1666-2011
IEEE Standard for Standard SystemC® Language Reference Manual
491
Copyright © 2012 IEEE. All rights reserved.
TLM_UNKNOWN_ENDIAN, TLM_LITTLE_ENDIAN, TLM_BIG_ENDIAN };
inline tlm_endianness get_host_endianness(void);
inline bool host_has_little_endianness(void);
inline bool has_host_endianness(tlm_endianness endianness);
} // namespace tlm
14.19.3 Rules
a) The function get_host_endianness shall return the endianness of the host.
b) The function host_has_little_endianness shall return the value true if and only if the host is little-
endian.
c) The function has_host_endianness shall return the value true if and only if the endianness of the
host is the same as that indicated by the argument.
d) If the host is neither little- nor big-endian, the value returned from the above three functions shall be
undefined.
14.20 Helper functions for endianness conversion
14.20.1 Introduction
The rules governing the organization of the generic payload data array are well-defined, and in many simple
cases, writing host-independent C++ code to create and interpret the data array is a straightforward task.
However, the rules do depend on the relationship between the endianness of the modeled component and
host endianness, so creating host-independent code can become quite complex in cases involving non-
aligned addressing and data word widths that differ from the socket width. A set of helper functions is
provided to assist with this task.
With respect to endianness, interoperability depends only on the endianness rules being followed. Use of the
helper functions is not necessary for interoperability.
The motivation behind the endianness conversion functions is to permit the C++ code that creates a generic
payload transaction for an initiator to be written once with little regard for host endianness, and then to have
the transaction converted to match host endianness with a single function call. Each conversion function
takes an existing generic payload transaction and modifies that transaction in-place. The conversion
functions are organized in pairs, a to_hostendian function and a from_hostendian function, which should
always be used together. The to_hostendian function should be called by an initiator before sending a
transaction through a transport interface, and from_hostendian on receiving back the response.
Four pairs of functions are provided, the _generic pair being the most general and powerful, and the _word,
_aligned and _single functions being variants that can only handle restricted cases. The transformation
performed by the _generic functions is relatively computationally expensive, so the other functions should
be preferred for efficiency wherever possible.
The conversion functions provide sufficient flexibility to handle many common cases, including both
arithmetic mode and byte order mode. Arithmetic mode is where a component stores data words in host-
endian format for efficiency when performing arithmetic operations, regardless of the endianness of the
component being modeled. Byte order mode is where a component stores bytes in an array in ascending
address order, disregarding host endianness. The use of arithmetic mode is recommended for simulation
speed. Byte order mode may necessitate byte swapping when copying data to and from the generic payload
data array.
Authorized licensed use limited to: Furkan Tuncer. Downloaded on October 16,2017 at 17:05:54 UTC from IEEE Xplore. Restrictions apply.
IEEE Std 1666-2011
IEEE Standard for Standard SystemC® Language Reference Manual
492
Copyright © 2012 IEEE. All rights reserved.
The conversion functions use the concept of a data word. The data word is independent of both the TLM-2.0
socket width and the word width of the generic payload data array. The data word is intended to represent a
register that stores bytes in host-endian order within the component model (regardless of the endianness of
the component being modeled). If the data word width is different to the socket width, the hostendian
functions may have to perform an endianness conversion. If the data word is just one byte wide, the
hostendian functions will effectively perform a conversion from and to byte order mode.
In summary, the approach to be taken with the hostendian conversion functions is to write the initiator code
as if the endianness of the host computer matched the endianness of the component being modeled, while
keeping the bytes within each data word in actual host-endian order. For data words wider than the host
machine word length, use an array in host-endian order. Then if host endianness differs from modeled
endianness, simply call the hostendian conversion functions.
14.20.2 Definition
namespace tlm {
template<class DATAWORD>
inline void tlm_to_hostendian_generic(tlm_generic_payload *, unsigned int );
template<class DATAWORD>
inline void tlm_from_hostendian_generic(tlm_generic_payload *, unsigned int );
template<class DATAWORD>
inline void tlm_to_hostendian_word(tlm_generic_payload *, unsigned int);
template<class DATAWORD>
inline void tlm_from_hostendian_word(tlm_generic_payload *, unsigned int);
template<class DATAWORD>
inline void tlm_to_hostendian_aligned(tlm_generic_payload *, unsigned int);
template<class DATAWORD>
inline void tlm_from_hostendian_aligned(tlm_generic_payload *, unsigned int);
template<class DATAWORD>
inline void tlm_to_hostendian_single(tlm_generic_payload *, unsigned int);
template<class DATAWORD>
inline void tlm_from_hostendian_single(tlm_generic_payload *, unsigned int);
inline void tlm_from_hostendian(tlm_generic_payload *);
} // namespace tlm
14.20.3 Rules
a) The first argument to a function of the form to_hostendian should be a pointer to a generic payload
transaction object that would be valid if it were sent through a transport interface. The function
should only be called after constructing and initializing the transaction object and before passing it
to an interface method call.
b) The first argument to a function of the form from_hostendian shall be a pointer to a generic payload
transaction object previously passed to to_hostendian. The function should only be called when the
initiator receives a response for the given transaction or the transaction is complete. Since the
function may modify the transaction and its arrays, it should only be called at the end of the lifetime
of the transaction object.
Authorized licensed use limited to: Furkan Tuncer. Downloaded on October 16,2017 at 17:05:54 UTC from IEEE Xplore. Restrictions apply.
IEEE Std 1666-2011
IEEE Standard for Standard SystemC® Language Reference Manual
493
Copyright © 2012 IEEE. All rights reserved.
c) If a to_hostendian function is called for a given transaction, the corresponding from_hostendian
function should also be called with the same template and function arguments. Alternatively, the
function tlm_from_hostendian(tlm_generic_payload *) can be called for the given transaction.
This function uses additional context information stored with the transaction object (as an ignorable
extension) to recover the template and function argument values, but is marginally slower in
execution.
d) The second argument to a hostendian function should be the width of the local socket through which
the transaction is passed, expressed in bytes. This is equivalent to the word length of the generic
payload data array with respect to the local socket. This shall be a power of 2.
e) The template argument to a hostendian function should be a type representing the internal initiator
data word for the endianness conversion. The expression sizeof(DATAWORD) is used to determine
the width of the data word in bytes, and the assignment operator of type DATAWORD is used
during copying. sizeof(DATAWORD) shall be a power of 2.
f) The implementation of to_hostendian adds an extension to the generic payload transaction object to
store context information. This means that to_hostendian can only be called once before calling
from_hostendian.
g) The following constraints are common to every pair of hostendian functions. The term integer
multiple means 1 x , 2 x , 3 x , ... and so forth:
Socket width shall be a power of 2
Data word width shall be a power of 2
The streaming width attribute shall be an integer multiple of the data word width
The data length attribute shall be an integer multiple of the streaming width attribute
h) The hostendian_generic functions are not subject to any further specific constraints. In particular,
they support byte enables, streaming, and non-aligned addresses and word widths.
i) The remaining pairs of functions, namely hostendian_word, hostendian_aligned, and
hostendian_single, all share the following additional constraints:
Data word width shall be no greater than socket width, and as a consequence, socket width
shall be a power-of-2 multiple of data word width.
The streaming width attribute shall equal the data length attribute. That is, streaming is not
supported.
Byte enable granularity shall be no finer than data word width. That is, the bytes in a given data
word shall be either all enabled or all disabled.
If byte enables are present, the byte enable length attribute shall equal the data length attribute.
j) The hostendian_aligned functions alone are subject to the following additional constraints:
The address attribute shall be an integer multiple of the socket width.
The data length attribute shall be an integer multiple of the socket width.
k) The hostendian_single functions alone are subject to the following additional constraints:
The data length attribute shall equal the data word width.
The data array shall not cross a data word boundary and, as a consequence, shall not cross a
socket boundary.
Authorized licensed use limited to: Furkan Tuncer. Downloaded on October 16,2017 at 17:05:54 UTC from IEEE Xplore. Restrictions apply.
IEEE Std 1666-2011
IEEE Standard for Standard SystemC® Language Reference Manual
494
Copyright © 2012 IEEE. All rights reserved.
14.21 Generic payload extensions
14.21.1 Introduction
The extension mechanism is an integral part of the generic payload, and is not intended to be used separately
from the generic payload. Its purpose is to permit attributes to be added to the generic payload. Extensions
can be ignorable or non-ignorable, mandatory or non-mandatory.
14.21.1.1 Ignorable extensions
Being ignorable means that any component other than the component that added the extension is permitted
to behave as if the extension were absent. As a consequence, the component that added the ignorable
extension cannot rely on any other component reacting in any way to the presence of the extension, and a
component receiving an ignorable extension cannot rely on other components having recognized that
extension. This definition applies to generic payload extensions and to extended phases alike.
A component shall not fail and shall not generate an error response because of the absence of an ignorable
extension. In this sense, ignorable extensions are also non-mandatory extensions. A component may fail or
generate an error response because of the presence of an ignorable extension but also has the choice of
ignoring the extension.
In general, an ignorable extension can be thought of as one for which there exists an obvious and safe default
value such that any interconnect component or target can behave normally in the absence of the given
extension by assuming the default value. An example might be the privilege level associated with a
transaction, where the default is the lowest level.
Ignorable extensions may be used to transport auxiliary, side-band, or simulation-related information or
meta-data. For example, a unique transaction identifier, the wall-time when the transaction was created, or a
diagnostic filename.
Ignorable extensions are permitted by the base protocol.
14.21.1.2 Non-ignorable and mandatory extensions
A non-ignorable extension is an extension that every component receiving the transaction is obliged to act
on if present. A mandatory extension is an extension that is required to be present. Non-ignorable and
mandatory extensions may be used when specializing the generic payload to model the details of a specific
protocol. Non-ignorable and mandatory extensions require the definition of a new protocol traits class.
14.21.2 Rationale
The rationale behind the extension mechanism is twofold. First, to permit TLM-2.0 sockets that carry
variations on the core attribute set of the generic payload to be specialized with the same protocol traits
class, thus allowing them to be bound together directly with no need for adaption or bridging. Second, to
permit easy adaption between different protocols where both are based on the same generic payload and
extension mechanism. Without the extension mechanism, the addition of any new attribute to the generic
payload would require the definition of a new transaction class, leading to the need for multiple adapters.
The extension mechanism allows variations to be introduced into the generic payload, thus reducing the
amount of coding work that needs to be done to traverse sockets that carry different protocols.
Authorized licensed use limited to: Furkan Tuncer. Downloaded on October 16,2017 at 17:05:54 UTC from IEEE Xplore. Restrictions apply.
IEEE Std 1666-2011
IEEE Standard for Standard SystemC® Language Reference Manual
495
Copyright © 2012 IEEE. All rights reserved.
14.21.3 Extension pointers, objects and transaction bridges
An extension is an object of a type derived from the class tlm_extension. The generic payload contains an
array of pointers to extension objects. Every generic payload object is capable of carrying a single instance
of every type of extension.
The array-of-pointers to extensions has a slot for every registered extension. The set_extension method
simply overwrites a pointer and, in principle, can be called from an initiator, interconnect component, or
target. This provides a very a flexible low-level mechanism, but it is open to misuse. The ownership and
deletion of extension objects has to be well understood and carefully considered by the user.
When creating a transaction bridge between two separate generic payload transactions, it is the
responsibility of the bridge to copy any extensions, if required, from the incoming transaction object to the
outgoing transaction object, and to own and manage the outgoing transaction and its extensions. The same
holds for the data array and byte enable array. The methods deep_copy_from and update_original_from
are provided so that a transaction bridge can perform a deep copy of a transaction object, including the data
and byte enable arrays and the extension objects. If the bridge adds further extensions to the outgoing
transaction, those extensions would be owned by the bridge.
The management of extensions is described more fully in 14.5.
14.21.4 Rules
a) An extension can be added by an initiator, interconnect, or target component. In particular, the
creation of extensions is not restricted to initiators.
b) Any number of extensions may be added to each instance of the generic payload.
c) In the case of an ignorable extension, any component (excepting the component that added the
extension) is allowed to ignore the extension, and ignorable extensions are not mandatory
extensions. Having a component fail because of either the absence of an ignorable extension or the
absence of a response to an ignorable extension would destroy interoperability.
d) There is no built-in mechanism to enforce the presence of a given extension, nor is there a
mechanism to ensure that an extension is ignorable.
e) The semantics of each extension shall be application-defined. There are no pre-defined extensions.
f) An extension shall be created by deriving a user-defined class from the class tlm_extension, passing
the name of the user-defined class itself as a template argument to tlm_extension, then creating an
object of that class. The user-defined extension class may include members that represent extended
attributes of the generic payload.
g) The virtual method free of the class tlm_extension_base shall delete the extension object. This
method may be overridden to implement user-defined memory management of extension, but this is
not necessary.
h) The pure virtual function clone of class tlm_extension shall be defined in the user-defined
extension class to clone the extension object, including any extended attributes. This clone method
is intended for use in conjunction with generic payload memory management. It shall create a copy
of any extension object such that the copy can survive the destruction of the original object with no
visible side-effects.
i) The pure virtual function copy_from of class tlm_extension shall be defined in the user-defined
extension class to modify the current extension object by copying the attributes of another extension
object.
j) The act of instantiating the class template tlm_extension shall cause the public data member ID to
be initialized, and this shall have the effect of registering the given extension with the generic
payload object and assigning a unique ID to the extension. The ID shall be unique across the whole
Authorized licensed use limited to: Furkan Tuncer. Downloaded on October 16,2017 at 17:05:54 UTC from IEEE Xplore. Restrictions apply.
IEEE Std 1666-2011
IEEE Standard for Standard SystemC® Language Reference Manual
496
Copyright © 2012 IEEE. All rights reserved.
executing program. That is, each instantiation of the class template tlm_extension shall have a
distinct ID, whereas all extension objects of a given type shall share the same ID.
k) The generic payload shall behave as if it stored pointers to the extensions in a re-sizable array, where
the ID of the extension gives the index of the extension pointer in the array. Registering the
extension with the generic payload shall reserve an array index for that extension. Each generic
payload object shall contain an array capable of storing pointers to every extension registered in the
currently executing program.
l) The pointers in the extension array shall be null when the transaction is constructed.
m) Each generic payload object can store a pointer to at most one object of any given extension type
(but to many objects of different extensions types). (There exists a utility class
instance_specific_extension, which enables a generic payload object to reference several extension
objects of the same type (see 16.4).)
n) The function max_num_extensions shall return the number of extension types, that is, the size of
the extension array. As a consequence, the extension types shall be numbered from 0 to
max_num_extensions()-1.
o) The methods set_extension, set_auto_extension, get_extension, clear_extension, and
release_extension are provided in several forms, each of which identify the extension to be
accessed in different ways: using a function template, using an extension pointer argument, or using
an ID argument. The functions with an ID argument are intended for specialist programming tasks
such as when cloning a generic payload object, and not for general use in applications.
p) The method set_extension(T*) shall replace the pointer to the extension object of type T in the
array-of-pointers with the value of the argument. The argument shall be a pointer to a registered
extension. The return value of the function shall be the previous value of the pointer in the generic
payload that was replaced by this call, which may be a null pointer. The method
set_auto_extension(T*) shall behave similarly, except that the extension shall be marked for
automatic deletion.
q) The method set_extension(unsigned int, tlm_extension_base*) shall replace the pointer to the
extension object in the array-of-pointers at the array index given by the first argument with the value
of the second argument. The given index shall have been registered as an extension ID; otherwise,
the behavior of the function is undefined. The return value of the function shall be the previous value
of the pointer at the given array index, which may be a null pointer. The method
set_auto_extension(unsigned int, tlm_extension_base*) shall behave similarly, except that the
extension shall be marked for automatic deletion
r) In the presence of a memory manager, a call to set_auto_extension for a given extension is
equivalent to a call to set_extension immediatedly followed by a call to release_extension for that
same extension. In the absence of a memory manager, a call to set_auto_extension will cause a run-
time error.
s) If an extension is marked for automatic deletion, the given extension object should be deleted or
pooled by the implementation of the method free of a user-defined memory manager. Method free
is called by method release of class tlm_generic_payload when the reference count of the
transaction object reaches 0. The extension object may be deleted by calling method reset of class
tlm_generic_payload or by calling method free of the extension object itself.
t) If the generic payload object already contained a non-null pointer to an extension of the type being
set, then the old pointer is overwritten.
u) The method functions get_extension(T*&) and T* get_extension() shall each return a pointer to
the extension object of the given type, if it exists, or a null pointer if it does not exist. The type T
shall be a pointer to an object of a type derived from tlm_extension. It is not an error to attempt to
retrieve a non-existent extension using this function template.
v) The method get_extension(unsigned int) shall return a pointer to the extension object with the ID
given by the argument. The given index shall have been registered as an extension ID; otherwise, the
Authorized licensed use limited to: Furkan Tuncer. Downloaded on October 16,2017 at 17:05:54 UTC from IEEE Xplore. Restrictions apply.
IEEE Std 1666-2011
IEEE Standard for Standard SystemC® Language Reference Manual
497
Copyright © 2012 IEEE. All rights reserved.
behavior of the function is undefined. If the pointer at the given index does not point to an extension
object, the function shall return a null pointer.
w) The methods clear_extension(const T*) and clear_extension() shall remove the given extension
from the generic payload object, that is, shall set the corresponding pointer in the extension array to
null. The extension may be specified either by passing a pointer to an extension object as an
argument or by using the function template parameter type, for example,
clear_extension<ext_type>(). If present, the argument shall be a pointer to an object of a type
derived from tlm_extension. Method clear_extension shall not delete the extension object.
x) The methods release_extension(T*) and release_extension() shall mark the extension for
automatic deletion if the transaction object has a memory manager or otherwise shall delete the
given extension by calling the method free of the extension object and setting the corresponding
pointer in the extension array to null. The extension may be specified either by passing a pointer to
an extension object as an argument, or by using the function template parameter type, for example,
release_extension<ext_type>(). If present, the argument shall be a pointer to an object of a type
derived from tlm_extension.
y) Note that the behavior of method release_extension depends on whether or not the transaction
object has a memory manager. With a memory manager, the extension is merely marked for
automatic deletion, and continues to be accessible. In the absence of a memory manager, not only is
the extension pointer cleared but also the extension object itself is deleted. Care should be taken not
to release a non-existent extension object because doing so will result in a run-time error.
z) The methods clear_extension and release_extension shall not be called for extensions marked for
automatic deletion, for example, an extension set using set_auto_extension or already released
using release_extension. Doing so may result in a run-time error.
aa) Each generic payload transaction should allocate sufficient space to store pointers to every
registered extension. This can be achieved in one of two ways, either by constructing the transaction
object after C++ static initialization or by calling the method resize_extensions after static
initialization but before using the transaction object for the first time. In the former case, it is the
responsibility of the generic payload constructor to set the size of the extension array. In the latter
case, it is the responsibility of the application to call resize_extensions before accessing the
extensions for the first time.
ab) The method resize_extensions shall increase the size of the extensions array in the generic payload
to accommodate every registered extension.
Example:
// Showing an ignorable extension
// User-defined extension class
struct ID_extension: tlm::tlm_extension<ID_extension>
{
ID_extension() : transaction_id(0) {}
virtual tlm_extension_base* clone() const { // Must override pure virtual clone method
ID_extension* t = new ID_extension;
t->transaction_id = this->transaction_id;
return t;
}
// Must override pure virtual copy_from method
virtual void copy_from(tlm_extension_base const &ext) {
transaction_id = static_cast<ID_extension const &>(ext).transaction_id;
}
unsigned int transaction_id;
Authorized licensed use limited to: Furkan Tuncer. Downloaded on October 16,2017 at 17:05:54 UTC from IEEE Xplore. Restrictions apply.
IEEE Std 1666-2011
IEEE Standard for Standard SystemC® Language Reference Manual
498
Copyright © 2012 IEEE. All rights reserved.
};
// The initiator
struct Initiator: sc_module
{...
void thread() {
tlm::tlm_generic_payload trans;
...
ID_extension* id_extension = new ID_extension;
trans.set_extension( id_extension ); // Add the extension to the transaction
for (int i = 0; i < RUN_LENGTH; i += 4) {
...
++ id_extension->transaction_id; // Increment the id for each new transaction
...
socket->b_transport(trans, delay);
...
// The target
virtual void b_transport( tlm::tlm_generic_payload& trans, sc_core::sc_time& t)
{...
ID_extension* id_extension;
trans.get_extension( id_extension ); // Retrieve the extension
if (id_extension) { // Extension is not mandatory
char txt[80];
sprintf(txt, "Received transaction id %d", id_extension->transaction_id);
SC_REPORT_INFO("TLM-2.0", txt);
}
...
// Showing a new protocol traits class with a mandatory extension
struct cmd_extension: tlm::tlm_extension<cmd_extension>
{ // User-defined mandatory extension class
cmd_extension(): increment(false) {}
virtual tlm_extension_base* clone() const {
cmd_extension* t = new cmd_extension;
t->increment = this->increment;
return t;
}
virtual void copy_from(tlm_extension_base const &ext) {
increment = static_cast<cmd_extension const &>(ext).increment;
}
bool increment;
};
struct my_protocol_types // User-defined protocol traits class
{
typedef tlm::tlm_generic_payload tlm_payload_type;
typedef tlm::tlm_phase tlm_phase_type;
};
struct Initiator: sc_module
{
Authorized licensed use limited to: Furkan Tuncer. Downloaded on October 16,2017 at 17:05:54 UTC from IEEE Xplore. Restrictions apply.
IEEE Std 1666-2011
IEEE Standard for Standard SystemC® Language Reference Manual
499
Copyright © 2012 IEEE. All rights reserved.
tlm_utils::simple_initiator_socket<Initiator, 32, my_protocol_types> socket;
...
void thread() {
tlm::tlm_generic_payload trans;
cmd_extension* extension = new cmd_extension;
trans.set_extension( extension ); // Add the extension to the transaction
...
trans.set_command(tlm::TLM_WRITE_COMMAND); // Execute a write command
socket->b_transport(trans, delay);
...
trans.set_command(tlm::TLM_IGNORE_COMMAND);
extension->increment = true; // Execute an increment command
socket->b_transport(trans, delay);
...
...
// The target
tlm_utils::simple_target_socket<Memory, 32, my_protocol_types> socket;
virtual void b_transport( tlm::tlm_generic_payload& trans, sc_core::sc_time& t)
{
tlm::tlm_command cmd = trans.get_command();
...
cmd_extension* extension;
trans.get_extension( extension ); // Retrieve the command extension
...
if (!extension) { // Check the extension exists
trans.set_response_status( tlm::TLM_GENERIC_ERROR_RESPONSE );
return;
}
if (extension->increment) {
if (cmd != tlm::TLM_IGNORE_COMMAND) { // Detect clash with read or write
trans.set_response_status( tlm::TLM_GENERIC_ERROR_RESPONSE );
return;
}
++ m_storage[adr]; // Execute an increment command
memcpy(ptr, &m_storage[adr], len);
}
...
Authorized licensed use limited to: Furkan Tuncer. Downloaded on October 16,2017 at 17:05:54 UTC from IEEE Xplore. Restrictions apply.
IEEE Std 1666-2011
IEEE Standard for Standard SystemC® Language Reference Manual
500
Copyright © 2012 IEEE. All rights reserved.
15. TLM-2.0 base protocol and phases
15.1 Phases
15.1.1 Introduction
Class tlm_phase is the default phase type used by the non-blocking transport interface class templates and
the base protocol. A tlm_phase object represents the phase with an unsigned int value. Class tlm_phase is
assignment compatible with type unsigned int and with an enumeration having values corresponding to the
four phases of the base protocol, namely BEGIN_REQ, END_REQ, BEGIN_RESP, and END_RESP.
Because type tlm_phase is a class rather than an enumeration, it is able to support an overloaded stream
operator to display the value of the phase as ASCII text.
The set of four phases provided by tlm_phase_enum can be extended using the macro
TLM_DECLARE_EXTENDED_PHASE. This macro creates a singleton class derived from tlm_phase
with a method get_phase that returns the corresponding object. That object can be used as a new phase.
For maximal interoperability, an application should only use the four phases of tlm_phase_enum. If further
phases are required in order to model the details of a specific protocol, the intent is that
TLM_DECLARE_EXTENDED_PHASE should be used since this retains assignment compatibility with
type tlm_phase.
The principle of ignorable versus non-ignorable or mandatory extensions applies to phases in the same way
as to generic payload extensions. In other words, ignorable phases are permitted by the base protocol. An
ignorable phase has to be ignorable by the recipient in the sense that the recipient can simply act as if it had
not received the phase transition, and consequently, the sender has to be able to continue in the absence of
any response from the recipient. If a phase is not ignorable in this sense, a new protocol traits class should be
defined (see 14.2.2).
15.1.2 Class definition
namespace tlm {
enum tlm_phase_enum {
UNINITIALIZED_PHASE=0, BEGIN_REQ=1, END_REQ, BEGIN_RESP, END_RESP };
class tlm_phase{
public:
tlm_phase();
tlm_phase( unsigned int );
tlm_phase( const tlm_phase_enum& );
tlm_phase& operator= ( const tlm_phase_enum& );
operator unsigned int() const;
};
inline std::ostream& operator<< ( std::ostream& , const tlm_phase& );
#define TLM_DECLARE_EXTENDED_PHASE(name_arg) \
class tlm_phase_##name_arg : public tlm::tlm_phase{ \
public:\
static const tlm_phase_##name_arg& get_phase();\
implementation-defined \
}; \
Authorized licensed use limited to: Furkan Tuncer. Downloaded on October 16,2017 at 17:05:54 UTC from IEEE Xplore. Restrictions apply.
IEEE Std 1666-2011
IEEE Standard for Standard SystemC® Language Reference Manual
501
Copyright © 2012 IEEE. All rights reserved.
static const tlm_phase_##name_arg& name_arg=tlm_phase_##name_arg::get_phase()
} // namespace tlm
15.1.3 Rules
a) The default constructor tlm_phase shall set the value of the phase to 0, corresponding to the
enumeration literal UNINITIALIZED_PHASE.
b) The methods tlm_phase( unsigned int), operator= and operator unsigned int shall get or set the
value of the phase using the corresponding unsigned int or enum.
c) The function operator<< shall write a character string corresponding to the name of the phase to the
given output stream. For example, "BEGIN_REQ".
d) The macro TLM_DECLARE_EXTENDED_PHASE(name_arg) shall create a new singleton class
named tlm_phase_name_arg, derived from tlm_phase, and having a public method get_phase that
returns a reference to the static object so created. The macro argument shall be used as the character
string written by operator<< to denote the corresponding phase.
e) The invocation of the macro TLM_DECLARE_EXTENDED_PHASE shall be terminated with a
semicolon.
f) The intent is that the object denoted by the static const name_arg represents the extended phase that
may be passed as a phase argument to nb_transport.
Example:
TLM_DECLARE_EXTENDED_PHASE(ignore_me); // Declare two extended phases
TLM_DECLARE_EXTENDED_PHASE(internal_ph); // Only used within target
struct Initiator: sc_module
{...
{...
phase = tlm::BEGIN_REQ;
delay = sc_time(10, SC_NS);
socket->nb_transport_fw( trans, phase, delay ); // Send phase BEGIN_REQ to target
phase = ignore_me; // Set phase variable to the extended phase
delay = sc_time(12, SC_NS);
socket->nb_transport_fw( trans, phase, delay ); // Send the extended phase 2ns later
...
struct Target: sc_module
{
...
SC_CTOR(Target)
: m_peq("m_peq", this, &Target::peq_cb) {} // Register callback with PEQ
virtual tlm::tlm_sync_enum nb_transport_fw( tlm::tlm_generic_payload& trans,
tlm::tlm_phase& phase, sc_time& delay ) {
cout << "Phase = " << phase << endl; // use overloaded operator<< to print phase
m_peq.notify(trans, phase, delay); // Move transaction to internal queue
return tlm::TLM_ACCEPTED;
}
void peq_cb(tlm::tlm_generic_payload& trans, const tlm::tlm_phase& phase)
Authorized licensed use limited to: Furkan Tuncer. Downloaded on October 16,2017 at 17:05:54 UTC from IEEE Xplore. Restrictions apply.
IEEE Std 1666-2011
IEEE Standard for Standard SystemC® Language Reference Manual
502
Copyright © 2012 IEEE. All rights reserved.
{ // PEQ callback
sc_time delay;
tlm::tlm_phase phase_out;
if (phase == tlm::BEGIN_REQ) { // Received BEGIN_REQ from initiator
phase_out = tlm::END_REQ;
delay = sc_time(10, SC_NS);
socket->nb_transport_bw(trans, phase_out, delay); // Send END_REQ back to initiator
phase_out = internal_ph; // Use extended phase to signal internal event
delay = sc_time(15, SC_NS);
m_peq.notify(trans, phase_out, delay); // Put internal event into PEQ
}
else if (phase == internal_ph) // Received internal event
{
phase_out = tlm::BEGIN_RESP;
delay = sc_time(10, SC_NS);
socket->nb_transport_bw(trans, phase_out, delay); // Send BEGIN_RESP back to initiator
}
} // Ignore phase ignore_me from initiator
tlm_utils::peq_with_cb_and_phase<Target, tlm::tlm_base_protocol_types> m_peq;
};
15.2 Base protocol
15.2.1 Introduction
The base protocol consists of a set of rules to ensure maximal interoperability between transaction level
models of components that interface to memory-mapped buses. The base protocol requires the use of the
classes of the TLM-2.0 interoperability layer listed here, together with the rules defined in this clause:
a) The TLM-2.0 core transport, direct memory, and debug transport interfaces (see Clause 11).
b) The socket classes tlm_initiator_socket and tlm_target_socket (or classes derived from these) (see
13.2).
c) The generic payload class tlm_generic_payload (see Clause 14).
d) The phase class tlm_phase.
The base protocol rules permit extensions to the generic payload and to the phases only if those extensions
are ignorable. Non-ignorable extensions require the definition of a new protocol traits class (see 14.2.1).
The base protocol is represented by the pre-defined class tlm_base_protocol_types. However, this class
contains nothing but two type definitions. All components that use this class (as template argument to a
socket) are obliged by convention to respect the rules of the base protocol.
In cases where it is necessary to define a new protocol traits class (e.g., because the features of the base
protocol are insufficient to model a particular protocol), the rules associated with the new protocol traits
class override those of the base protocol. However, for consistency and interoperability, it is recommended
that the rules and coding style associated with any new protocol traits class should follow those of the base
protocol as far as possible (see 14.2.2).
This section of the standard specifically concerns the base protocol, but nonetheless it may be used as a
guide when modeling other protocols. Specific protocols represented by other protocol traits classes may
Authorized licensed use limited to: Furkan Tuncer. Downloaded on October 16,2017 at 17:05:54 UTC from IEEE Xplore. Restrictions apply.
IEEE Std 1666-2011
IEEE Standard for Standard SystemC® Language Reference Manual
503
Copyright © 2012 IEEE. All rights reserved.
include additional phases and may adopt their own rules for timing annotation, transaction ordering, and so
forth. In doing so, they may cease to be compatible with the base protocol.
15.2.2 Class definition
namespace tlm {
struct tlm_base_protocol_types
{
typedef tlm_generic_payload tlm_payload_type;
typedef tlm_phase tlm_phase_type;
};
} // namespace tlm
15.2.3 Base protocol phase sequences
a) The base protocol permits the use of the blocking transport interface, the non-blocking transport
interface, or both together. The blocking transport interface does not carry phase information. When
used with the base protocol, the constraints governing the order of calls to nb_transport are stronger
than those governing the order of calls to b_transport. Hence nb_transport is more for the
approximately-timed coding style, and b_transport is more for the loosely-timed coding style.
b) The full sequence of phase transitions for a given transaction through a given socket is:
BEGIN_REQ -> END_REQ -> BEGIN_RESP -> END_RESP
c) BEGIN_REQ and END_RESP shall be sent through initiator sockets only, and END_REQ and
BEGIN_RESP through target sockets only.
d) In the case of the blocking transport interface, a transaction instance is associated with a single call
to and return from b_transport. The correspondence between the call to b_transport and
BEGIN_REQ, and the return from b_transport and BEGIN_RESP, is purely notional; b_transport
has no associated phases.
e) For the base protocol, each call to nb_transport and each return from nb_transport with a value of
TLM_UPDATED shall cause a phase transition. In other words, two consecutive calls to
nb_transport for the same transaction shall have different values for the phase argument. Ignorable
phase extensions are permitted, in which case the insertion of an extended phase shall count as a
phase transition for the purposes of this rule, even if the phase is ignored.
f) The phase sequence can be cut short by having nb_transport return a value of TLM_COMPLETED
but only in one of the following ways (Figure 28). An interconnect component or target may return
TLM_COMPLETED when it receives BEGIN_REQ or END_RESP on the forward path. An
interconnect component or initiator may return TLM_COMPLETED when it receives
BEGIN_RESP on the backward path. A return value of TLM_COMPLETED indicates the end of
the transaction with respect to a particular hop, in which case the phase argument should be ignored
Authorized licensed use limited to: Furkan Tuncer. Downloaded on October 16,2017 at 17:05:54 UTC from IEEE Xplore. Restrictions apply.

IEEE Std 1666-2011
IEEE Standard for Standard SystemC® Language Reference Manual
504
Copyright © 2012 IEEE. All rights reserved.
by the caller (see 11.1.2.7). TLM_COMPLETED does not imply successful completion, so the
initiator should check the response status of the transaction for success or failure.
Figure 28—Examples of early completion
g) A transition to the phase END_RESP shall also indicate the end of the transaction with respect to a
particular hop, in which case the callee is not obliged to return a value of TLM_COMPLETED.
h) When TLM_COMPLETED is returned in an upstream direction after having received
BEGIN_REQ, this carries with it an implicit END_REQ and an implicit BEGIN_RESP. Hence, the
initiator should check the response status of the generic payload, and may send BEGIN_REQ for the
next transaction immediately.
i) Since TLM_COMPLETED returned after having received BEGIN_REQ carries with it an implicit
BEGIN_RESP, this situation is forbidden by the response exclusion rule if there is already a
response in progress through a given socket. In this situation, the callee should have returned
TLM_ACCEPTED instead of TLM_COMPLETED and should wait for END_RESP before sending
the next response upstream.
j) Since TLM_COMPLETED returned after having received BEGIN_REQ indicates the end of the
transaction, an interconnect component or initiator is forbidden from then sending END_RESP for
that same transaction through that same socket.
k) When TLM_COMPLETED is returned in a downstream direction by a component after having
received BEGIN_RESP, this carries with it an implicit END_RESP.
l) If a component receives a BEGIN_RESP from a downstream component without having first
received an END_REQ for that same transaction, the initiator shall assume an implicit END_REQ
immediately preceding the BEGIN_RESP. This is only the case for the same transaction; a
BEGIN_RESP does not imply an END_REQ for any other transaction, and a target that receives a
BEGIN_REQ cannot infer an END_RESP for the previous transaction.
m) The above points hold regardless of the value of the timing annotation argument to nb_transport.
n) A base protocol transaction is complete (with respect to a particular hop) when
TLM_COMPLETED is returned on either path, or when END_RESP is sent on the forward path or
the return path.
Initiator Target
Call
Return
-, BEGIN_REQ, 0ns
TLM_COMPLETED, -, -
Call
Return TLM_ACCEPTED, -, -
Call
Return
TLM_COMPLETED, -, -
-, BEGIN_REQ, 0ns
-, BEGIN_RESP, 0ns
Authorized licensed use limited to: Furkan Tuncer. Downloaded on October 16,2017 at 17:05:54 UTC from IEEE Xplore. Restrictions apply.

IEEE Std 1666-2011
IEEE Standard for Standard SystemC® Language Reference Manual
505
Copyright © 2012 IEEE. All rights reserved.
o) In the case where END_RESP is sent on the forward path, the callee may return TLM_ACCEPTED
or TLM_COMPLETED. The transaction is complete in either case.
p) A given transaction may complete at different times on different hops. A transaction object passed to
nb_transport is obliged to have a memory manager, and the lifetime of the transaction object ends
when the reference count of the generic payload reaches zero. Any component that calls the acquire
method of a generic payload transaction object should also call the release method at or before the
completion of the transaction (see 14.5).
q) If a component receives an illegal or out-of-order phase transition, this is an error on the part of the
sender. The behavior of the recipient is undefined, meaning that a run-time error may be caused.
15.2.4 Permitted phase transitions
Taking all of the rules in the previous clause into account, the set of permitted phase transitions over a given
hop for the base protocol is shown in Table 57.
Table 57—Permitted phase transitions
Previous state
Calling path
Phase argument on call
Phase argument on return
Status on return
Response valid
End-of-life
Next state
//rsp Forward BEGIN_REQ - Accepted req
//rsp Forward BEGIN_REQ END_REQ Updated //req
//rsp Forward BEGIN_REQ BEGIN_RES
P
Updated X rsp
//rsp Forward BEGIN_REQ - Completed X X //rsp
req Backward END_REQ - Accepted //req
req Backward BEGIN_RESP - Accepted X rsp
req Backward BEGIN_RESP END_RESP Updated X X //rsp
req Backward BEGIN_RESP - Completed X X //rsp
//req Backward BEGIN_RESP - Accepted X rsp
//req Backward BEGIN_RESP END_RESP Updated X X //rsp
//req Backward BEGIN_RESP - Completed X X //rsp
rsp Forward END_RESP - Accepted X X //rsp
rsp Forward END_RESP - Completed X X //rsp
Authorized licensed use limited to: Furkan Tuncer. Downloaded on October 16,2017 at 17:05:54 UTC from IEEE Xplore. Restrictions apply.
IEEE Std 1666-2011
IEEE Standard for Standard SystemC® Language Reference Manual
506
Copyright © 2012 IEEE. All rights reserved.
a) req, //req, rsp, //rsp stand for BEGIN_REQ, END_REQ, BEGIN_RESP, and END_RESP, respec-
tively.
b) These phase state transitions are independent of the value of the sc_time argument to nb_transport
(the timing annotation). In other words, a call to nb_transport will cause the state transition shown
in the table regardless of the value of the timing annotation. (The timing annotation may have the
effect of delaying the subsequent execution of the transaction.)
c) The previous state column shows the state of a given hop before a call to nb_transport.
d) The calling path column indicates whether the corresponding method is called on the forward path
(nb_transport_fw) or backward path (nb_transport_bw).
e) The phase argument on call column gives the value of the phase argument on the call to
nb_transport. This will be the phase presented to the callee.
f) The phase argument on return column gives the value of the phase argument on return from
nb_transport. The phase argument is only valid if the method returns TLM_UPDATED.
g) The status on return column gives the return value of the nb_transport method, Accepted
(TLM_ACCEPTED), Updated (TLM_UPDATED), or Completed (TLM_COMPLETED).
h) The response valid column is checked if the response status attribute of the transaction is valid on
return from the nb_transport method.
i) The end-of-life column is checked if the transaction has reached the end of its lifetime with respect
to this hop, that is, if no further nb_transport calls are permitted for the given transaction over the
given hop.
j) The next state column shows the state of a given hop after return from nb_transport.
k) A phase transition can be caused either by the caller (indicated by a '-' in the phase argument on
return column) or by the callee.
l) Ignorable phase extensions may be inserted at any point between BEGIN_REQ and END_RESP.
m) A valid response does not indicate successful completion. The transaction may or may not have been
successful.
n) Figure 29 presents, in a graphical format, the nb_transport call sequences permitted by the base
protocol over a given hop. A traversal of the graph from Start to End gives a permitted call sequence
for a single transaction instance. The rectangles show calls to nb_transport together with the value
of the phase argument, the rounded rectangles show the status and where appropriate the value of the
phase argument on return. The larger shaded rectangles show phase transitions.
Authorized licensed use limited to: Furkan Tuncer. Downloaded on October 16,2017 at 17:05:54 UTC from IEEE Xplore. Restrictions apply.

IEEE Std 1666-2011
IEEE Standard for Standard SystemC® Language Reference Manual
507
Copyright © 2012 IEEE. All rights reserved.
Figure 29—nb_transport call sequence for each base protocal transaction
nb_transport_bw/END_REQ TLM_UPDATED/END_REQ
nb_transport_bw/BEGIN_RESP
TLM_ACCEPTED
TLM_ACCEPTED
TLM_UPDATED/BEGIN_RESP
nb_transport_fw/BEGIN_REQ
TLM_UPDATED/END_RESP
TLM_ACCEPTED
nb_transport_fw/END_RESP
TLM_COMPLETED TLM_ACCEPTED
End
Start Return
Phase Transition
Call
Legend:
Authorized licensed use limited to: Furkan Tuncer. Downloaded on October 16,2017 at 17:05:54 UTC from IEEE Xplore. Restrictions apply.
IEEE Std 1666-2011
IEEE Standard for Standard SystemC® Language Reference Manual
508
Copyright © 2012 IEEE. All rights reserved.
15.2.5 Ignorable phases
Extended phases may be used with the base protocol provided that they are ignorable phases. An ignorable
phase may be ignored by its recipient.
a) In general, the recommended way to add extended phases to the four phases of the base protocol is
to define a new protocol traits class (see 14.2.2). Ignorable phases are a special and restricted case of
extended phases. The main purpose of ignorable phases is to permit extra timing points to be added
to the base protocol in order to increase the timing accuracy of the model. For example, an ignorable
phase could mark the time of the start of the data transfer from initiator to target.
b) In the case of a call to nb_transport, if it is the callee that is ignoring the phase, it shall return a value
of TLM_ACCEPTED. In the case that the callee returns TLM_UPDATED, the caller may ignore
the phase being passed on the return path but is not obliged to take any specific action to indicate
that the phase is being ignored.
c) The nb_transport interface does not provide any way for the caller of nb_transport to distinguish
between the case where the callee is ignoring the phase, and the case where the callee will respond
later on the opposite path. The callee shall return TLM_ACCEPTED in either case.
d) The presence of an ignorable phase shall not change the order or the semantics of the four phases
BEGIN_REQ, END_REQ, BEGIN_RESP, and END_RESP of the base protocol, and is not
permitted to result in any of the rules of the base protocol being broken.
e) An ignorable phase shall not occur before BEGIN_REQ or after END_RESP for a given transaction
through a given socket. The presence of an ignorable phase before BEGIN_REQ or after
END_RESP would violate the base protocol, and is an error.
f) The presence of an ignorable phase shall not change the rules concerning the validity of the generic
payload attributes or the rules for modifying those attributes. For example, on receipt of an ignorable
phase, an interconnect component is only permitted to modify the address attribute, DMI allowed
attribute, and extensions (see 14.7).
g) With the exception of transparent components as defined below, if the recipient of an ignorable
phase does not recognize that phase (that is, the phase is being ignored), the recipient shall not
propagate that phase on the forward, the backward, or the return path. In other words, a component
is only permitted to pass a phase as an argument to an nb_transport call if it fully understands the
semantics of that phase.
h) If the recipient of an ignorable phase does recognize that phase, provided that the base protocol is
not violated, the behavior of that component is otherwise outside the scope of the base protocol and
is undefined by the base protocol. The recipient should obey the semantics of the extended protocol
to which the phase belongs.
i) By definition, a component that sends an ignorable phase cannot require or demand any kind of
response from the components to which that phase is sent other than the minimal response of
nb_transport returning a value of TLM_ACCEPTED. A phase that demands a response is not
ignorable, by definition, in which case the recommended approach is to define a new protocol traits
class rather than using extensions to the base protocol. This prevents the binding of sockets that
represent incompatible protocols.
j) On the other hand, a base-protocol-compliant component that does recognize an incoming extended
phase may respond by sending another extended phase on the opposite path according to the rules of
some extended protocol agreed in advance. This possibility is permitted by the TLM-2.0 standard,
provided that the rules of the base protocol are not broken. For example, such an extended protocol
could make use of generic payload extensions.
k) It is possible to create so-called transparent interconnect components, which immediately and
directly pass through any TLM-2.0 interface method calls between a target socket and an initiator
socket contained within the same component. The sole intent of recognizing transparent components
in this standard is to allow for checkers and monitors, which typically have one target socket, one
initiator socket, and pass through all transactions in both directions without modification.
Authorized licensed use limited to: Furkan Tuncer. Downloaded on October 16,2017 at 17:05:54 UTC from IEEE Xplore. Restrictions apply.

IEEE Std 1666-2011
IEEE Standard for Standard SystemC® Language Reference Manual
509
Copyright © 2012 IEEE. All rights reserved.
l) Within a transparent component, the implementation of any TLM-2.0 core interface method shall
not consume any simulation time, insert any delay, or call wait, but shall immediately make the
identical interface method call through the opposing socket (initiator socket to target socket or target
socket to initiator socket), passing through all its arguments. Such an interface method shall not
modify the value of any argument, including the transaction object, the phase, and the delay, with
the one exception of generic payload extensions. The routing through such transparent components
shall be fixed, and not depend on transaction attributes or phases.
m) As a consequence of the above rules, a transparent component would pass through any extended
phase or ignorable phase in either direction.
Example:
Figure 30—Ignorable phases
An example of an ignorable phase generated by an initiator would be a phase to mark the first beat of the
data transfer from the initiator in the case of a write command (Figure 30). An interconnect component or
target that recognized this phase could distinguish between the time at which the command and address
become available and the start of the data transfer. A target that ignored this phase would have to use the
BEGIN_REQ phase as its single timing reference for the availability of the command, address, and data.
An example of an ignorable phase generated by a target would be a phase to mark a split transaction. An
initiator that recognized this phase could send the next request immediately on receiving the split phase,
knowing that the target would be ready to process it. An initiator that ignored the split phase might wait until
it had received a response to the first request before sending the second request.
Initiator Target
BEGIN_REQ
END_REQ
BEGIN_DATA (ignored)
SPLIT(ignored)
BEGIN_RESP
END_RESP
BEGIN_REQ(after RESP)
END_REQ
BEGIN_REQ
END_REQ
BEGIN_DATA (used)
SPLIT(used)
END_REQ
BEGIN_RESP
END_RESP
Initiator Target
BEGIN_REQ (sent early)
Timing
reference
for
response
Authorized licensed use limited to: Furkan Tuncer. Downloaded on October 16,2017 at 17:05:54 UTC from IEEE Xplore. Restrictions apply.

IEEE Std 1666-2011
IEEE Standard for Standard SystemC® Language Reference Manual
510
Copyright © 2012 IEEE. All rights reserved.
15.2.6 Base protocol timing parameters and flow control
a) With four phases, it is possible to model the request accept delay (or minimum initiation interval
between sending successive transactions), the latency of the target, and the response accept delay.
This kind of timing granularity is appropriate for the approximately-timed coding style (Figure 31).
Figure 31—Approximately-timed timing parameters
b) For a write command, the BEGIN_REQ phase marks the time when the data becomes available for
transfer from initiator through interconnect component to target. Notionally, the transition to the
BEGIN_REQ phase corresponds to the start of the first beat of the data transfer. It is the
responsibility of the downstream component to calculate the transfer time, and to send END_REQ
back upstream when it is ready to receive the next transfer. It would be natural for the downstream
component to delay the END_REQ until the end of the final beat of the data transfer, but it is not
obliged to do so.
c) For a read command, the BEGIN_RESP phase marks the time when the data becomes available for
transfer from target through interconnect component to initiator. Notionally, the transition to the
BEGIN_RESP phase corresponds to the start of the first beat of the data transfer. It is the
responsibility of the upstream component to calculate the transfer time, and to send END_RESP
back downstream when it is ready to receive the next transfer. It would be natural for the upstream
component to delay the END_RESP until the end of the final beat of the data transfer, but it is not
obliged to do so.
d) For a read command, if a downstream component completes a transaction early by returning
TLM_COMPLETED from nb_transport_fw, it is the responsibility of the upstream component to
account for the data transfer time in some other way, if it wishes to do so (since it is not permitted to
send END_RESP).
e) For the base protocol, an initiator or interconnect component shall not send a new transaction
through a given socket with phase BEGIN_REQ until it has received END_REQ or BEGIN_RESP
from the downstream component for the immediately preceding transaction or until the downstream
component has completed the previous transaction by returning the value TLM_COMPLETED
from nb_transport_fw. This is known as the request exclusion rule.
BEGIN_REQ
END_REQ
BEGIN_RESP
END_RESP
Initiator Target
Request accept delay
Latency of target
Response accept delay
Authorized licensed use limited to: Furkan Tuncer. Downloaded on October 16,2017 at 17:05:54 UTC from IEEE Xplore. Restrictions apply.
IEEE Std 1666-2011
IEEE Standard for Standard SystemC® Language Reference Manual
511
Copyright © 2012 IEEE. All rights reserved.
f) For the base protocol, a target or interconnect component shall not respond to a new transaction
through a given socket with phase BEGIN_RESP until it has received END_RESP from the
upstream component for the immediately preceding transaction or until a component has completed
the previous transaction over that hop by returning TLM_COMPLETED. This is known as the
response exclusion rule.
g) All the rules governing phase transitions, including the request and response exclusion rules, shall
be based on method call order alone, and shall not be affected by the value of the time argument (the
timing annotation).
h) Successive transactions sent through a given socket using the non-blocking transport interface can
be pipelined. By responding to each BEGIN_REQ (or BEGIN_RESP) with an END_REQ (or
END_RESP), an interconnect component can permit any number of transaction objects to be in
flight at the same time. By not responding immediately with END_REQ (or END_RESP), an
interconnect component can exercise flow control over the stream of transaction objects coming
from an initiator (or target).
i) This rule excluding the possibility of two outstanding requests or responses through a given socket
shall only apply to the non-blocking transport interface, and shall have no direct effect on calls to
b_transport (Figure 32 and Figure 33). (The rule may have an indirect effect on a call to
b_transport in the case that b_transport itself calls nb_transport_fw.)
j) For a given transaction, BEGIN_REQ shall always start from an initiator and be propagated through
zero or more interconnect components until it is received by a target. For a given transaction, an
interconnect component is not permitted to send BEGIN_REQ to a downstream component before
having received BEGIN_REQ from an upstream component.
k) For a given transaction, BEGIN_RESP shall always start from a target and be propagated through
zero or more interconnect components until it is received by an initiator. For a given transaction, an
interconnect component is not permitted to send BEGIN_RESP to an upstream component before
having received BEGIN_RESP from a downstream component. This applies whether
BEGIN_RESP is explicit or is implied by TLM_COMPLETED.
l) For a given transaction, an interconnect component may send END_REQ to an upstream component
before having received END_REQ from a downstream component. Similarly, an interconnect
component may send END_RESP to a downstream component before having received END_RESP
from an upstream component. This applies whether END_REQ and END_RESP are explicit or
implicit.
m) END_REQ and END_RESP are primarily for flow control between adjacent components. These
two phases do not signal the validity of any standard generic payload attributes. Because these two
phases are not propagated causally from end-to-end, they cannot reliably be used to signal the
validity of extensions from initiator-to-target or target-to-initiator, but they can be used to signal the
validity of extensions between two adjacent components.
n) Whether or not an interconnect component is permitted to send an extended phase before having
received, the corresponding phase depends on the rules associated with the extended phase in
question.
Authorized licensed use limited to: Furkan Tuncer. Downloaded on October 16,2017 at 17:05:54 UTC from IEEE Xplore. Restrictions apply.

IEEE Std 1666-2011
IEEE Standard for Standard SystemC® Language Reference Manual
512
Copyright © 2012 IEEE. All rights reserved.
Figure 32—Causality with b_transport
Figure 33—Causality with nb_transport
Initiator
attributes
sets
Initiator
checks
response
Modifies
address
Target
attributes
modifies
Modifies
address
return
b_transport
b_transport
b_transport
return
return
Initiator Interconnect TargetInterconnect
Initiator
attributes
sets
Initiator
checks
response
Target
attributes
modifies
BEGIN_RESP
BEGIN_REQ
END_REQ Req in progress
END_RESP
Resp in progress
Initiator Interconnect TargetInterconnect
Req in progress
Req in progress
BEGIN_RESP
BEGIN_RESP
END_RESP
END_RESP
BEGIN_REQ
BEGIN_REQ
Resp in progress
Resp in progress
END_REQ
END_REQ
Authorized licensed use limited to: Furkan Tuncer. Downloaded on October 16,2017 at 17:05:54 UTC from IEEE Xplore. Restrictions apply.
IEEE Std 1666-2011
IEEE Standard for Standard SystemC® Language Reference Manual
513
Copyright © 2012 IEEE. All rights reserved.
Example:
The following pseudo-code illustrates the interaction between timing annotation and the request and
response exclusion rules:
void initiator_1_thread_process()
{
// The initiator sends a request to be executed at +1000ns
phase = BEGIN_REQ; delay = sc_time(1000, SC_NS);
status = socket->nb_transport_fw (T1, phase, delay);
assert( status == TLM_UPDATED && phase == END_REQ && delay == sc_time(1010, SC_NS) );
// END_REQ is returned immediately to be executed at +1010ns
// Note that this is not a recommended coding style
// With loosely-timed, the initiator would have called b_transport
// With approximately-timed, the downstream component would have returned TLM_ACCEPTED
// in order to synchronize, and the initiator would have been forced to wait for END_REQ
// The initiator is allowed to send the next request immediately, to be executed at +1050ns
phase = BEGIN_REQ; delay = sc_time(1050, SC_NS);
status = socket->nb_transport_fw (T2, phase, delay);
assert( status == TLM_UPDATED && phase == END_REQ && delay == sc_time(1060, SC_NS) );
// The initiator is technically allowed to send the next request at an earlier local time of +500ns,
// although the decreased timing annotation is not a recommended coding style
phase = BEGIN_REQ; delay = sc_time(500, SC_NS);
status = socket->nb_transport_fw (T3, phase, delay);
assert( status == TLM_UPDATED && phase == END_REQ && delay == sc_time(510, SC_NS) );
// The initiator now yields control, allowing other initiators to resume and simulation time to advance
wait(…);
}
void initiator_2_thread_process()
{
// Assume the calls below are appended to the transaction stream sent from the first initiator above
// The second initiator sends a request to be executed at +10ns
// The timing annotation as seen downstream has decreased from +510ns to +10ns
// This is typical behavior for loosely-timed initiators
phase = BEGIN_REQ; delay = sc_time(10, SC_NS);
status = socket->nb_transport_fw (T4, phase, delay);
assert( status == TLM_UPDATED && phase == END_REQ && delay == sc_time(30, SC_NS) );
// END_REQ is returned immediately to be executed at +30ns
// The initiator sends the next request to be executed at +20ns, which overlaps with the previous request
// This is technically allowed because the current phase of the hop is END_REQ,
// but is not recommended
phase = BEGIN_REQ; delay = sc_time(20, SC_NS);
status = socket->nb_transport_fw (T5, phase, delay);
assert( status == TLM_UPDATED && phase == END_REQ && delay == sc_time(40, SC_NS) );
// END_REQ is returned immediately to be executed at +40ns
Authorized licensed use limited to: Furkan Tuncer. Downloaded on October 16,2017 at 17:05:54 UTC from IEEE Xplore. Restrictions apply.
IEEE Std 1666-2011
IEEE Standard for Standard SystemC® Language Reference Manual
514
Copyright © 2012 IEEE. All rights reserved.
// The initiator sends the next request to be executed at +0ns, which is before the previous two requests
// This is technically allowed because the current phase of the hop is END_REQ,
// but is not recommended
phase = BEGIN_REQ; delay = sc_time(0, SC_NS);
status = socket->nb_transport_fw (T6, phase, delay);
assert( status == TLM_UPDATED && phase == END_REQ && delay == sc_time(60, SC_NS) );
// END_REQ is returned immediately to be executed at +60ns, overlapping the two previous requests
// This is technically allowed, but is not recommended
wait(…);
}
15.2.7 Base protocol rules concerning timing annotation
a) These rules should be read in conjunction with 11.1.3.
b) There are constraints on the way in which the implementations of b_transport and nb_transport are
permitted to modify the time argument t such that the effective local time sc_time_stamp() + t is
non-decreasing between function call and return (see 11.1.3.1).
c) For successive calls to and returns from nb_transport through a given socket for a given transaction,
the sequence of effective local times shall be non-decreasing. The effective local time is given by the
expression sc_time_stamp() + t, where t is the time argument to nb_transport. For this purpose,
both calls to and returns from the function shall be considered as part of a single sequence. This
applies on the forward and backward paths alike. The intent is that time should not run backward for
a given transaction.
d) The preceding rule also applies between the call to and the return from b_transport. Again, see
11.1.3.1.
e) Moreover, for a given transaction object, as requests are propagated from initiator toward target and
responses are propagated from target back toward initiator, the sequence of effective local times
given by each successive transport method call and return shall be non-decreasing. Request
propagation in this sense includes calls to b_transport and the BEGIN_REQ phase. Response
propagation includes returns from b_transport, the BEGIN_RESP phase, and
TLM_COMPLETED.
f) The effective local time may be increased by increasing the value of the timing annotation (the time
argument), by advancing SystemC simulation time (b_transport only), or both.
g) For different transaction objects, there is no obligation that the effective local times of calls to
b_transport and nb_transport shall be non-decreasing. Nonetheless, each initiator process is
generally recommended to call b_transport and/or nb_transport in non-decreasing effective local
time order. Otherwise, downstream components would infer that the out-of-order transactions had
originated from separate initiators and would be free to choose the order in which those particular
transactions were executed. However, transactions with out-of-order effective local times may arise
wherever streams of transactions from different loosely-timed initiators converge.
h) For a given socket, an initiator is allowed to pass the same transaction object at different times
through the blocking and non-blocking transport interfaces, the direct memory interface, and the
debug transport interface. Also, an initiator is permitted to re-use the same transaction object for
different transaction instances, all subject to the memory management rules of the generic payload
(see 14.5).
15.2.8 Base protocol rules concerning b_transport
a) b_transport calls are re-entrant. The implementation of b_transport can call wait, and meanwhile
another call to b_transport can be made for a different transaction object from a different initiator
with no constraint on the timing annotation.
Authorized licensed use limited to: Furkan Tuncer. Downloaded on October 16,2017 at 17:05:54 UTC from IEEE Xplore. Restrictions apply.
IEEE Std 1666-2011
IEEE Standard for Standard SystemC® Language Reference Manual
515
Copyright © 2012 IEEE. All rights reserved.
b) In the case that there are multiple processes within the same initiator module, each process shall be
regarded as being a separate initiator with respect to the transaction ordering rules. Specifically,
there are no constraints on the ordering of b_transport calls made from different threads in the
same module, regardless of whether those calls are made through the same initiator socket or
through different sockets.
c) An interconnect or target can always deduce that multiple concurrent b_transport calls come from
different initiator threads and from a different process to any concurrent nb_transport_fw calls, and
therefore that there are no constraints on the mutual order of those calls. With b_transport, one
request is allowed to overtake another.
d) It is forbidden to make a re-entrant call to b_transport for the same transaction object through the
same socket.
Example:
The following pseudo-code fragments show a re-entrant b_transport call:
// Two initiator thread processes
void thread1()
{
socket->b_transport( T1, sc_time(100, SC_NS) );
}
void thread2()
{
wait( 10, SC_NS );
socket->b_transport( T2, sc_time(50, SC_NS) ); // T2 overtakes T1
}
// Implementation of b_transport in the target
void b_transport( TRANS& trans, sc_time& t )
{
wait( t );
execute( trans ); // T1 executed at 100ns, T2 executed at 60ns
t = SC_ZERO_TIME;
}
15.2.9 Base protocol rules concerning request and response ordering
The intent of the following rules is to ensure that when an initiator sends a series of pipelined requests to a
particular target, those requests will be executed at the target in the same order as they were sent from the
initiator. Because the generic payload transaction stores neither the identity of the initiator nor the identity of
the target, the initiator can only be inferred from the identity of the incoming socket, and the target can only
be inferred from the values of the address and command attributes. The execution order of requests sent to
non-overlapping addresses is not guaranteed.
a) The base protocol permits incoming requests or responses arriving through different sockets to be
mutually delayed, interleaved, or executed in any order. For example, an interconnect component
may assign a higher priority to requests arriving through a particular target socket or having a
particular data length, allowing them to overtake lower priority requests. As another example, an
interconnect component may re-order responses arriving back through different initiator sockets to
match the order in which the corresponding requests were originally received.
Authorized licensed use limited to: Furkan Tuncer. Downloaded on October 16,2017 at 17:05:54 UTC from IEEE Xplore. Restrictions apply.
IEEE Std 1666-2011
IEEE Standard for Standard SystemC® Language Reference Manual
516
Copyright © 2012 IEEE. All rights reserved.
b) Request routing shall be deterministic and shall depend only on the address and command attributes
of the transaction object. (These are the only attributes common to the transport, DMI, and debug
transport interfaces.) The address map shall not be modified while there are transactions in progress.
c) If an initiator or interconnect component sends multiple concurrent requests with overlapping
addresses on the forward path, those requests shall be routed through the same initiator socket.
Multiple concurrent requests means requests for which the corresponding responses have not yet
been received from the target. Overlapping addresses means that at least one byte in the data arrays
of the transaction objects shares the same address. Read and write requests to the same address may
be routed through different sockets provided they are not concurrent.
d) If an interconnect component (or a target) receives multiple concurrent requests with overlapping
addresses through the same target socket by means of incoming calls to nb_transport_fw, those
requests shall be sent forward (or executed, respectively) in the same order as they were received.
The same order means the same interface method call order. (Note that if the interface method call
order and the effective local time order of a set of transactions were to differ, any component
receiving those transactions would be permitted to execute them in any order, regardless of the
address. Also note that this rule holds even if the requests in question originate from different
initiators.)
e) Note that the preceding rule does not apply for incoming b_transport calls, for which there are no
constraints on the order of multiple concurrent requests. On the other hand, if incoming
nb_transport_fw calls are converted to outgoing b_transport calls, the b_transport calls must be
serialized to enforce the ordering rules of the nb_transport calls.
f) On the other hand, an interconnect component or target is permitted to re-order multiple concurrent
requests that were received through different target sockets, or are sent through different initiator
sockets, or whose addresses do not overlap, or for incoming b_transport calls.
g) Responses may be re-ordered. There is no guarantee that responses will arrive back at an initiator in
the same order as the corresponding requests were sent.
h) Note that it would be technically possible with the base protocol to use an ignorable extension that
allowed an interconnect component to re-order multiple concurrent requests, in which case the
initiator that added the extension must be able to tolerate out-of-order execution at the target. On the
other hand, an extension that forced responses to arrive back in the same order as requests were sent
would not be an ignorable extension and, hence, would not be permitted by the base protocol.
15.2.10 Base protocol rules for switching between b_transport and nb_transport
a) Each thread within an initiator or an interconnect component is permitted to switch between calling
b_transport and nb_transport_fw for different transaction objects. The intent is to permit an
initiator to make occasional switches between the loosely-timed and approximately-timed coding
styles. An initiator that interleaves calls to b_transport and nb_transport_fw should have low
expectations with regard to timing accuracy.
b) Every interconnect component and target is obliged to support both the blocking and non-blocking
transport interfaces, and to maintain any internal state information such that it is accessible from
both interfaces. This applies to incoming interface method calls received through the same socket or
through different sockets.
c) A thread within an initiator or an interconnect component shall not call both b_transport and
nb_transport_fw for the same transaction instance. Note that a thread may call both b_transport
and nb_transport_fw for the same transaction object provided that object represents a different
transaction instance on each occasion.
d) It is recommended that a thread within an initiator or interconnect component should not call
b_transport if there is still a transaction in progress from a previous nb_transport_fw call from
that same thread, that is, when there is a previous transaction with a non-zero reference count.
Authorized licensed use limited to: Furkan Tuncer. Downloaded on October 16,2017 at 17:05:54 UTC from IEEE Xplore. Restrictions apply.
IEEE Std 1666-2011
IEEE Standard for Standard SystemC® Language Reference Manual
517
Copyright © 2012 IEEE. All rights reserved.
Otherwise, a downstream component could wrongly deduce that the two transactions had come from
separate initiators.
e) The convenience socket simple_target_socket provides an example of how a base protocol target
can support both the blocking and the non-blocking transport interfaces while only being required to
implement one of b_transport and nb_transport_fw (see 16.1.2).
15.2.11 Other base protocol rules
a) A given transaction object shall not be sent through multiple parallel sockets or along multiple
parallel paths simultaneously. Each transaction instance shall take a unique well-defined path
through a set of components and sockets that shall remain fixed for the lifetime of the transaction
instance and is common to the transport, direct memory, and debug transport interfaces. Of course,
different transactions sent through a given socket may take different paths; that is, they may be
routed differently. Also, note that a component may choose dynamically whether to act as an
interconnect component or as a target.
b) An upstream component should not know and should not need to know whether it is connected to an
interconnect component or directly to a target. Similarly, a downstream component should not know
and should not need to know whether it is connected to an interconnect component or directly to an
initiator.
c) For a write transaction (TLM_WRITE_COMMAND), a response status of TLM_OK_RESPONSE
shall indicate that the write command has completed successfully at the target. The target is obliged
to set the response status before returning from b_transport, before sending BEGIN_RESP along
the backward or return path, or before returning TLM_COMPLETED. In other words, an
interconnect component is not permitted to signal the completion of a write transaction without
having had confirmation of successful completion from the target. The intent of this rule is to
guarantee the coherency of the storage within the target simulation model.
d) For a read transaction (TLM_READ_COMMAND), a response status of TLM_OK_RESPONSE
shall indicate that the read command has completed and the generic payload data array has been
modified by the target. The target is obliged to set the response status before returning from
b_transport, before sending BEGIN_RESP along the backward or return path, or before returning
TLM_COMPLETED.
15.2.12 Summary of base protocol transaction ordering rules
Table 58 gives a summary of the transaction ordering rules for the base protocol. For a full description of the
rules, refer to the clauses above.
The base protocol ordering rules are a union of the rules from three categories: rules of the core transport
interfaces concerning timing annotation, rules specific to the base protocol concerning causality and phases,
and rules specific to the base protocol that ensure that pipelined requests are executed at the target in the
order expected by the initiator.
15.2.13 Guidelines for creating base-protocol-compliant components
This clause contains a set of guidelines for creating base protocol components. This is just a brief
restatement of some rules presented more fully elsewhere in this document, and is provided for convenience.
15.2.13.1 Guidelines for creating a base protocol initiator
a) Instantiate one initiator socket of class tlm_initiator_socket (or a derived class) for each connection
to a memory-mapped bus.
Authorized licensed use limited to: Furkan Tuncer. Downloaded on October 16,2017 at 17:05:54 UTC from IEEE Xplore. Restrictions apply.

IEEE Std 1666-2011
IEEE Standard for Standard SystemC® Language Reference Manual
518
Copyright © 2012 IEEE. All rights reserved.
b) Allow the tlm_initiator_socket to take the default value tlm_base_protocol_types for the template
TYPES argument.
c) Implement the methods nb_transport_bw and invalidate_direct_mem_ptr. (An initiator can
avoid the need to implement these methods explicitly by instantiating the convenience socket
simple_initiator_socket.)
d) Set every attribute of each generic payload transaction object before passing it as an argument to
b_transport or nb_transport_fw, remembering in particular to reset the response status and DMI
hint attributes before the call. (The byte enable length attribute need not be set in the case where the
byte enable pointer attribute is 0, and extensions need not be used.)
e) When using the generic payload extension mechanism, ensure that any extensions are ignorable by
the target and any interconnect component.
f) Obey the base protocol rules concerning phase sequencing, flow control, timing annotation, and
transaction ordering.
g) On completion of the transaction (or after receiving BEGIN_RESP), check the value of the response
status attribute.
Table 58—Base protocol transaction ordering rules
Circumstance Ordering rule
Effective local time order different from interface method call
order
Recipient may execute or route transactions in
any order. Takes precedence over all other rules
Successive transport method calls and returns for the same
transaction through the same socket
Effective local time order shall be non-
decreasing
Successive transport method calls from the same initiator process Effective local time order is recommended to be
non-decreasing
Successive transport method calls from the same initiator process Recommended not to call b_transport if
previous nb_transport transaction is still alive
Successive transport method calls for different transactions
through the same socket
No obligation on effective local time order, but
recommended to be non-decreasing if incoming
transaction stream was non-decreasing
With nb_transport only, two requests or two responses
outstanding through the same socket
Forbidden
Transactions incoming through different sockets No obligations on the order in which they are
executed or routed on
Multiple concurrent requests with overlapping addresses If routed forward, shall be sent through the
same socket
Multiple concurrent requests with overlapping addresses
incoming through the same socket using nb_transport
Shall be executed or routed forward in the same
order as they were received
Multiple concurrent requests incoming using b_transport No obligations on the order in which they are
executed or routed forward
Multiple concurrent responses No obligations on the order in which they are
executed or routed back
Authorized licensed use limited to: Furkan Tuncer. Downloaded on October 16,2017 at 17:05:54 UTC from IEEE Xplore. Restrictions apply.
IEEE Std 1666-2011
IEEE Standard for Standard SystemC® Language Reference Manual
519
Copyright © 2012 IEEE. All rights reserved.
15.2.13.2 Guidelines for creating an initiator that calls nb_transport
a) Before passing a transaction as an argument to nb_transport_fw, set a memory manager for the
transaction object and call the acquire method of the transaction. Call the release method when the
transaction is complete.
b) When calling nb_transport_fw, set the phase argument to BEGIN_REQ or END_RESP according
to state of the transaction. Do not send BEGIN_REQ before having received (or inferred) the
END_REQ from the previous transaction.
c) When making a series of calls to nb_transport_fw for a given transaction, ensure that the effective
local times (simulation time + timing annotation) form a non-decreasing sequence of values.
d) Respond appropriately to the incoming phase values END_REQ and BEGIN_RESP whether
received on the backward path (a call to nb_transport_bw), the return path (TLM_UPDATED
returned from nb_transport_fw), or implicitly (for example, TLM_COMPLETED returned from
nb_transport_fw). Incoming phase values of BEGIN_REQ and END_RESP would be illegal.
Treat all other incoming phase values as being ignorable.
15.2.13.3 Guidelines for creating a base protocol target
a) Instantiate one target socket of class tlm_target_socket (or a derived class) for each connection to a
memory-mapped bus.
b) Allow the tlm_target_socket to take the default value tlm_base_protocol_types for the template
TYPES argument.
c) Implement the methods b_transport, nb_transport_fw, get_direct_mem_ptr, and
transport_dbg. (A target can avoid the need to implement every method explicitly by using the
convenience socket simple_target_socket.)
d) In the implementations of the methods b_transport and nb_transport_fw, inspect and act on the
value of every attribute of the generic payload with the exception of the response status, the DMI
hint, and any extensions. Rather than implementing the full functionality of the generic payload, a
target may choose to respond to a given attribute by generating an error response. Set the value of
the response status attribute to indicate the success or failure of the transaction.
e) Obey the base protocol rules concerning phase sequencing, flow control, timing annotation, and
transaction ordering.
f) In the implementation of get_direct_mem_ptr, either return the value false, or inspect and act on
the values of the command and address attributes of the generic payload and set the return value and
all the attributes of the DMI descriptor appropriately (class tlm_dmi).
g) In the implementation of transport_dbg, either return the value 0, or inspect and act on the values
of the command, address, data length, and data pointer attributes of the generic payload.
h) For each interface, the target may inspect and act on any ignorable extensions in the generic
payload, but is not obliged to do so.
15.2.13.4 Guidelines for creating a target that calls nb_transport
a) When calling nb_transport_bw, set the phase argument to END_REQ or BEGIN_RESP according
to state of the transaction. Do not send BEGIN_RESP before having received (or inferred)
END_RESP from the previous transaction.
b) When making a series of calls to nb_transport_bw for a given transaction, ensure that the effective
local times (simulation time + timing annotation) form a non-decreasing sequence of values.
c) Respond appropriately to the incoming phase values BEGIN_REQ and END_RESP, whether
received on the forward path (a call to nb_transport_fw), the return path (TLM_UPDATED
returned from nb_transport_bw), or implicitly (for example, TLM_COMPLETED returned from
Authorized licensed use limited to: Furkan Tuncer. Downloaded on October 16,2017 at 17:05:54 UTC from IEEE Xplore. Restrictions apply.
IEEE Std 1666-2011
IEEE Standard for Standard SystemC® Language Reference Manual
520
Copyright © 2012 IEEE. All rights reserved.
nb_transport_bw). Incoming phase values of END_REQ and BEGIN_RESP would be illegal.
Treat all other incoming phase values as being ignorable.
d) In the implementation of nb_transport_fw, when needing to keep a pointer or reference to a
transaction object beyond the return from the method, call the acquire method of the transaction.
Call the release method when the transaction object is finished with.
15.2.13.5 Guidelines for creating a base protocol interconnect component
a) Instantiate one initiator or target socket of class tlm_initiator_socket or tlm_target_socket (or
derived classes) for each connection to a memory-mapped bus.
b) Allow each socket to take the default value tlm_base_protocol_types for the template TYPES
argument.
c) Implement the methods nb_transport_bw and invalidate_direct_mem_ptr for each initiator
socket, and the methods b_transport, nb_transport_fw, get_direct_mem_ptr, and
transport_dbg for each target socket. (The need to implement every method explicitly can be
avoided by using the convenience sockets.)
d) Pass on incoming interface method calls as appropriate on both the forward and backward paths,
honoring the request and response exclusion rules, the transaction ordering rules, and the rule that no
further calls are allowed following TLM_COMPLETED. Do not pass on ignorable phases. The
implementations of the get_direct_mem_ptr and transport_dbg methods may return the values
false and 0, respectively, without forwarding the transaction object.
e) In the implementation of the transport interfaces, the only generic payload attributes modifiable by
an interconnect component are the address, DMI hint, and extensions. Do not modify any other
attributes. A component needing to modify any other attributes should construct a new transaction
object, and thereby become an initiator in its own right.
f) Decode the generic payload address attribute on the forward path and modify the address attribute if
necessary according to the location of the target in the system memory map. This applies to the
transport, direct memory, and debug transport interfaces.
g) In the implementation of the transport interfaces, obey the base protocol rules concerning phase
sequencing, flow control, timing annotation, and transaction ordering.
h) In the implementation of get_direct_mem_ptr, do not modify the DMI descriptor attributes on the
forward path. Do modify the DMI pointer, DMI start address and end address, and DMI access
attributes appropriately on the return path.
i) In the implementation of invalidate_direct_mem_ptr, modify the address range arguments before
passing the call along the backward path.
j) In the implementation of nb_transport_fw, when needing to keep a pointer or reference to a
transaction object beyond the return from the function, call the acquire method of the transaction.
Call the release method when the transaction object is finished with.
k) For each interface, the interconnect component may inspect and act on any ignorable extensions in
the generic payload but is not obliged to do so. If the transaction needs to be extended further, make
sure any extensions are ignorable by the other components. Honor the generic payload memory
management rules for extensions.
Authorized licensed use limited to: Furkan Tuncer. Downloaded on October 16,2017 at 17:05:54 UTC from IEEE Xplore. Restrictions apply.

IEEE Std 1666-2011
IEEE Standard for Standard SystemC® Language Reference Manual
521
Copyright © 2012 IEEE. All rights reserved.
16. TLM-2.0 utilities
The utilities comprise a set of classes that are provided for convenience and to help ensure a consistent
coding style. The utilities do not belong to the interoperability layer, so use of the utilities is not a
requirement for interoperability.
16.1 Convenience sockets
16.1.1 Introduction
There is a family of convenience sockets, each socket implementing some additional functionality to make
component models easier to write. The convenience sockets are derived from the classes
tlm_initiator_socket and tlm_target_socket. They are not part of the TLM-2.0 interoperability layer but
are to be found in the namespace tlm_utils.
16.1.1.1 Summary of standard and convenience socket types
The convenience sockets are summarized in Table 59.
Register callbacks? The socket provides methods to register callbacks for incoming interface method calls,
rather than having the socket be bound to an object that implements the corresponding interfaces.
Multi-ports? The socket class template provides number-of-bindings and binding policy template
arguments such that a single initiator socket can be bound to multiple target sockets and vice versa.
b - nb conversion? The target socket is able to convert incoming calls to b_transport into
nb_transport_fw calls, and vice versa. A '-' indicates an initiator socket.
Tagged? Incoming interface method calls are tagged with an id to indicate the socket through which they
arrived.
Table 59—Socket types
Class Register
callbacks? Multi-ports? b / nb
conversion? Tagged?
tlm_initiator_socket no yes - no
tlm_target_socket no yes no no
simple_initiator_socket yes no - no
simple_initiator_socket_tagged yes no - yes
simple_target_socket yes no yes no
simple_target_socket_tagged yes no yes yes
passthrough_target_socket yes no no no
passthrough_target_socket_tagged yes no no yes
multi_passthrough_initiator_socket yes yes - yes
multi_passthrough_target_socket yes yes no yes
Authorized licensed use limited to: Furkan Tuncer. Downloaded on October 16,2017 at 17:05:54 UTC from IEEE Xplore. Restrictions apply.

IEEE Std 1666-2011
IEEE Standard for Standard SystemC® Language Reference Manual
522
Copyright © 2012 IEEE. All rights reserved.
16.1.1.2 Permitted socket bindings
The bindings permitted between the standard and convenience socket types are summarized in Table 60.
Each binding is of the form From( To) or From.bind( To ), where From and To are sockets of the given type.
Table 60 is organized into four quarters as follows:
Table 60—Permitted socket bindings
To
From
tlm-init simple-init multi-init tlm-targ simple-targ multi-targ
tlm-init 1 1 1 N:1
simple-init 1 1 1 N:1
multi-init 1 1:M 1:M N:M
tlm-targ 1* 1* 1 1
simple-targ 1* 1*
multi-targ 1
Hierarchical child-to-parent binding Initiator-to-target binding
Reverse binding operators Hierarchical parent-to-child binding
Key
tlm-init tlm_initiator_socket
simple-init simple_initiator_socket or passthrough_initiator_socket
multi-init multi_passthrough_initiator_socket
tlm-targ tlm_target_socket
simple-targ simple_target_socket or simple_target_socket_tagged or
passthrough_target_socket or passthrough_target_socket_tagged
multi-targ multi_passthrough_target_socket
1* The binding is from inititiator to target, despite the method call being
in the direction target.bind(initiator)
Authorized licensed use limited to: Furkan Tuncer. Downloaded on October 16,2017 at 17:05:54 UTC from IEEE Xplore. Restrictions apply.
IEEE Std 1666-2011
IEEE Standard for Standard SystemC® Language Reference Manual
523
Copyright © 2012 IEEE. All rights reserved.
16.1.2 Simple sockets
16.1.2.1 Introduction
The simple sockets are so-called because they are intended to be simple to use. They are derived from the
interoperability layer sockets tlm_initiator_socket and tlm_target_socket, so can be bound directly to
sockets of those types.
Instead of having to bind a socket to an object that implements the corresponding interface, each simple
socket provides methods for registering callback methods. Those callbacks are in turn called whenever an
incoming interface method call arrives. Callback methods may be registered for each of the interfaces
supported by the socket.
The user of a simple socket may register a callback for every interface method but is not obliged to do so. In
particular, for the simple target socket, the user need only register one of b_transport and
nb_transport_fw, in which case incoming calls to the unregistered method will be converted automatically
to calls to the registered method. This conversion process is non-trivial, and is dependent on the rules of the
base protocol being respected by the initiator and target. Hence, although the class template
simple_target_socket takes the protocol type as a template parameter, there exists a dependency between
this class and the base protocol that is only exposed if the application makes use of the conversion between
blocking and non-blocking transport calls. Specifically, class simple_target_socket uses the values of type
tlm_phase_enum. An application requiring such a conversion for a protocol other than the base protocol
would be obliged to create a new convenience socket, possibly derived from simple_target_socket. The
passthrough_target_socket is a variant of the simple_target_socket that does not support conversion
between blocking and non-blocking calls.
16.1.2.2 Class definition
namespace tlm_utils {
template <
typename MODULE,
unsigned int BUSWIDTH = 32,
typename TYPES = tlm::tlm_base_protocol_types
>
class simple_initiator_socket : public tlm::tlm_initiator_socket<BUSWIDTH, TYPES>
{
public:
typedef typename TYPES::tlm_payload_type transaction_type;
typedef typename TYPES::tlm_phase_type phase_type;
typedef tlm::tlm_sync_enum sync_enum_type;
simple_initiator_socket();
explicit simple_initiator_socket( const char* n );
void register_nb_transport_bw(
MODULE* mod,
sync_enum_type (MODULE::*cb)(transaction_type&, phase_type&, sc_core::sc_time&));
void register_invalidate_direct_mem_ptr(
MODULE* mod,
void (MODULE::*cb)(sc_dt::uint64, sc_dt::uint64));
};
Authorized licensed use limited to: Furkan Tuncer. Downloaded on October 16,2017 at 17:05:54 UTC from IEEE Xplore. Restrictions apply.
IEEE Std 1666-2011
IEEE Standard for Standard SystemC® Language Reference Manual
524
Copyright © 2012 IEEE. All rights reserved.
template <
typename MODULE,
unsigned int BUSWIDTH = 32,
typename TYPES = tlm::tlm_base_protocol_types
>
class simple_target_socket : public tlm::tlm_target_socket<BUSWIDTH, TYPES>
{
public:
typedef typename TYPES::tlm_payload_type transaction_type;
typedef typename TYPES::tlm_phase_type phase_type;
typedef tlm::tlm_sync_enum sync_enum_type;
simple_target_socket();
explicit simple_target_socket( const char* n );
tlm::tlm_bw_transport_if<TYPES> * operator ->();
void register_nb_transport_fw(
MODULE* mod,
sync_enum_type (MODULE::*cb)(transaction_type&, phase_type&, sc_core::sc_time&));
void register_b_transport(
MODULE* mod,
void (MODULE::*cb)(transaction_type&, sc_core::sc_time&));
void register_transport_dbg(
MODULE* mod,
unsigned int (MODULE::*cb)(transaction_type&));
void register_get_direct_mem_ptr(
MODULE* mod,
bool (MODULE::*cb)(transaction_type&, tlm::tlm_dmi&));
};
template <
typename MODULE,
unsigned int BUSWIDTH = 32,
typename TYPES = tlm::tlm_base_protocol_types
>
class passthrough_target_socket : public tlm::tlm_target_socket<BUSWIDTH, TYPES>
{
public:
typedef typename TYPES::tlm_payload_type transaction_type;
typedef typename TYPES::tlm_phase_type phase_type;
typedef tlm::tlm_sync_enum sync_enum_type;
passthrough_target_socket();
explicit passthrough_target_socket( const char* n );
void register_nb_transport_fw(
MODULE* mod,
sync_enum_type (MODULE::*cb)(transaction_type&, phase_type&, sc_core::sc_time&));
Authorized licensed use limited to: Furkan Tuncer. Downloaded on October 16,2017 at 17:05:54 UTC from IEEE Xplore. Restrictions apply.
IEEE Std 1666-2011
IEEE Standard for Standard SystemC® Language Reference Manual
525
Copyright © 2012 IEEE. All rights reserved.
void register_b_transport(
MODULE* mod,
void (MODULE::*cb)(transaction_type&, sc_core::sc_time&));
void register_transport_dbg(
MODULE* mod,
unsigned int (MODULE::*cb)(transaction_type&));
void register_get_direct_mem_ptr(
MODULE* mod,
bool (MODULE::*cb)(transaction_type&, tlm::tlm_dmi&));
};
} // namespace tlm_utils
16.1.2.3 Header file
The class definitions for the simple sockets shall be in the header files tlm_utils/simple_initiator_socket.h,
tlm_utils/simple_target_socket.h, and tlm_utils/passthrough_target_socket.h.
16.1.2.4 Rules
a) Each constructor shall call the constructor of the corresponding base class passing through the char*
argument, if there is one. In the case of the default constructors, the char* argument of the base class
constructor shall be set to sc_gen_unique_name ( "simple_initiator_socket" ), sc_gen_unique_name
( "simple_target_socket" ), or sc_gen_unique_name ( "passthrough_target_socket" ), respectively.
b) A simple_initiator_socket can be bound to a simple_target_socket or a
passthrough_target_socket by calling the bind method or operator() of either socket, with
precisely the same effect. In either case, the forward path lies in the direction from the initiator
socket to the target socket.
c) A simple_initiator_socket can be bound to a tlm_target_socket, and a tlm_initiator_socket can
be bound to a simple_target_socket or to a passthrough_target_socket.
d) A simple_initiator_socket, simple_target_socket or passthrough_target_socket can only
implement incoming interface method calls by registering callbacks, not by being bound
hierarchically to another socket on a child module. On the other hand, a simple_initiator_socket of
a child module can be bound hierarchically to a tlm_initiator_socket of a parent module, and a
tlm_target_socket of a parent module can be bound hierarchically to a simple_target_socket or
passthrough_target_socket of a child module.
e) A target is not obliged to register a b_transport callback with a simple target socket provided it has
registered an nb_transport_fw callback, in which case an incoming b_transport call will
automatically cause the target to call the method registered for nb_transport_fw. In this case, the
method registered for nb_transport_fw shall implement with the rules of the base protocol (see
16.1.2.5).
f) A target is not obliged to register an nb_transport_fw callback with a simple target socket provided
it has registered a b_transport callback, in which case an incoming nb_transport_fw call will
automatically cause the target to call the method registered for b_transport and subsequently to call
nb_transport_bw on the backward path.
g) If a target does not register either a b_transport or an nb_transport_fw callback with a simple
target socket, this will result in a run-time error if and only if the corresponding method is called.
h) A target should register b_transport and nb_transport_fw callbacks with a passthrough target
socket. Not doing so will result in a run-time error if and only if the corresponding method is called.
Authorized licensed use limited to: Furkan Tuncer. Downloaded on October 16,2017 at 17:05:54 UTC from IEEE Xplore. Restrictions apply.

IEEE Std 1666-2011
IEEE Standard for Standard SystemC® Language Reference Manual
526
Copyright © 2012 IEEE. All rights reserved.
i) A target is not obliged to register a transport_dbg callback with a simple target socket or a
passthrough target socket, in which case an incoming transport_dbg call shall return with a value
of 0.
j) A target is not obliged to register a get_direct_mem_ptr callback with a simple target socket or a
passthrough target socket, in which case an incoming get_direct_mem_ptr call shall return with a
value of false.
k) An initiator should register an nb_transport_bw callback with a simple initiator socket. Not doing
so will result in a run-time error if and only if the nb_transport_bw method is called.
l) An initiator is not obliged to register an invalidate_direct_mem_ptr callback with a simple initiator
socket, in which case an incoming invalidate_direct_mem_ptr call shall be ignored.
16.1.2.5 Simple target socket b/nb conversion
a) In the case that a b_transport or nb_transport_fw method is called through a socket of class
simple_target_socket but no corresponding callback is registered, the simple target socket will act
as an adapter between the two interfaces. In this case, and in no other case, the implementation of
simple_target_socket shall have an explicit dependency on the values of type tlm_phase_enum.
b) When the simple target socket acts as an adapter, it shall honor the rules of the base protocol both
from the point of view of the initiator and from the point of view of the implementation of the
b_transport or nb_transport_fw methods in the target (see 15.2).
c) The socket shall pass through the given transaction object without modification and shall not
construct a new transaction object.
d) In the case that only the nb_transport_fw callback has been registered by the target, the initiator is
not permitted to call nb_transport_fw while there is an earlier b_transport call from the initiator
still in progress. This is a limitation of the current implementation of the simple target socket.
Figure 34—Simple target socket nb/b adapter
Simulation time = 100ns
Initiator Socket Target
Simulation time = 105ns
Simulation time = 115ns
Call
Return
TLM_ACCEPTED
TLM_COMPLETED
nb_transport_fw(t,BEGIN_REQ,5ns)
nb_transport_bw(t,BEGIN_RESP,0ns) Call
Return
Call
Return
b_transport(t,0ns)
b_transport(t,10ns)
Authorized licensed use limited to: Furkan Tuncer. Downloaded on October 16,2017 at 17:05:54 UTC from IEEE Xplore. Restrictions apply.

IEEE Std 1666-2011
IEEE Standard for Standard SystemC® Language Reference Manual
527
Copyright © 2012 IEEE. All rights reserved.
e) Figure 34 shows the case where an initiator calls nb_transport_fw, but the target only registers a
b_transport callback with the simple target socket. The initiator sends BEGIN_REQ, to which the
socket returns TLM_ACCEPTED. The socket then calls b_transport, and on return sends
BEGIN_RESP back to the initiator, to which the initiator returns TLM_COMPLETED. Since it is
not permissible in SystemC to call a blocking method directly from a non-blocking method, the
socket is obliged to call b_transport from a separate internal thread process, not directly from
nb_transport_fw.
f) Figure 34 shows just one possible scenario. On the final transition, the initiator could have returned
TLM_ACCEPTED, in which case the socket would expect to receive a subsequent END_RESP
from the initiator. Also, the target could have called wait from within b_transport.
g) Figure 35 shows the case where an initiator calls b_transport, but the target only registers an
nb_transport_fw callback with the simple target socket. The initiator calls b_transport, then the
socket and the target handshake using nb_transport and obeying the rules of the base protocol. The
target may or may not send the END_REQ phase; it may jump straight to the BEGIN_RESP phase.
The socket returns TLM_COMPLETED from the call to nb_transport_bw for the BEGIN_RESP
phase.
Figure 35—Simple target socket b/nb adapter
Example:
#include "tlm.h"
#include "tlm_utils/simple_initiator_socket.h" // Header files from utilities
#include "tlm_utils/simple_target_socket.h"
struct Initiator: sc_module
{
tlm_utils::simple_initiator_socket<Initiator, 32, tlm::tlm_base_protocol_types> socket;
Simulation time = 100ns
Initiator Socket Target
Simulation time = 110ns
Simulation time = 120ns
Call b_transport(t,10ns)
b_transport(t,0ns)
Call
Return
nb_transport_fw(t,BEGIN_REQ, 0ns)
TLM_ACCEPTED
Simulation time = 130ns
Call
Return
nb_transport_bw(t,END_REQ, 0ns)
TLM_ACCEPTED
Call
Return
nb_transport_bw(t,BEGIN_RESP,0ns)
TLM_COMPLETED
Return
Authorized licensed use limited to: Furkan Tuncer. Downloaded on October 16,2017 at 17:05:54 UTC from IEEE Xplore. Restrictions apply.
IEEE Std 1666-2011
IEEE Standard for Standard SystemC® Language Reference Manual
528
Copyright © 2012 IEEE. All rights reserved.
SC_CTOR(Initiator)
: socket("socket") // Construct and name simple socket
{ // Register callbacks with simple socket
socket.register_nb_transport_bw( this, &Initiator::nb_transport_bw );
socket.register_invalidate_direct_mem_ptr( this, &Initiator::invalidate_direct_mem_ptr );
}
virtual tlm::tlm_sync_enum nb_transport_bw(
tlm::tlm_generic_payload& trans, tlm::tlm_phase& phase, sc_time& delay ) {
return tlm::TLM_COMPLETED; // Dummy implementation
}
virtual void invalidate_direct_mem_ptr(sc_dt::uint64 start_range, sc_dt::uint64 end_range)
{ } // Dummy implementation
};
struct Target: sc_module // Target component
{
tlm_utils::simple_target_socket<Target, 32, tlm::tlm_base_protocol_types> socket;
SC_CTOR(Target)
: socket("socket") // Construct and name simple socket
{ // Register callbacks with simple socket
socket.register_nb_transport_fw( this, &Target::nb_transport_fw );
socket.register_b_transport( this, &Target::b_transport );
socket.register_get_direct_mem_ptr( this, &Target::get_direct_mem_ptr );
socket.register_transport_dbg( this, &Target::transport_dbg );
}
virtual void b_transport( tlm::tlm_generic_payload& trans, sc_time& delay )
{ } // Dummy implementation
virtual tlm::tlm_sync_enum nb_transport_fw(
tlm::tlm_generic_payload& trans, tlm::tlm_phase& phase, sc_time& delay ) {
return tlm::TLM_ACCEPTED; // Dummy implementation
}
virtual bool get_direct_mem_ptr( tlm::tlm_generic_payload& trans, tlm::tlm_dmi& dmi_data)
{ return false; } // Dummy implementation
virtual unsigned int transport_dbg(tlm::tlm_generic_payload& r)
{ return 0; } // Dummy implementation
};
SC_MODULE(Top)
{
Initiator *initiator;
Target *target;
SC_CTOR(Top) {
initiator = new Initiator("initiator");
target = new Target("target");
initiator->socket.bind( target->socket ); // Bind initiator socket to target socket
}
};
Authorized licensed use limited to: Furkan Tuncer. Downloaded on October 16,2017 at 17:05:54 UTC from IEEE Xplore. Restrictions apply.
IEEE Std 1666-2011
IEEE Standard for Standard SystemC® Language Reference Manual
529
Copyright © 2012 IEEE. All rights reserved.
16.1.3 Tagged simple sockets
16.1.3.1 Introduction
The tagged simple sockets are a variation on the simple sockets that tag incoming interface method calls
with an integer id that allows the callback to identify through which socket the incoming call arrived. This is
useful in the case where the same callback method is registered with multiple initiator sockets or multiple
target sockets. The id is specified when the callback is registered, and gets inserted as an extra first argument
to the callback method.
16.1.3.2 Header file
The class definitions for the tagged simple sockets shall be in the same header files as the corresponding
simple sockets, that is tlm_utils/simple_initiator_socket.h, tlm_utils/simple_target_socket.h, and
tlm_utils/passthrough_target_socket.h.
16.1.3.3 Class definition
namespace tlm_utils {
template <
typename MODULE,
unsigned int BUSWIDTH = 32,
typename TYPES = tlm::tlm_base_protocol_types
>
class simple_initiator_socket_tagged : public tlm::tlm_initiator_socket<BUSWIDTH, TYPES>
{
public:
typedef typename TYPES::tlm_payload_type transaction_type;
typedef typename TYPES::tlm_phase_type phase_type;
typedef tlm::tlm_sync_enum sync_enum_type;
simple_initiator_socket_tagged();
explicit simple_initiator_socket_tagged( const char* n );
void register_nb_transport_bw(
MODULE* mod,
sync_enum_type (MODULE::*cb)(int, transaction_type&, phase_type&, sc_core::sc_time&),
int id);
void register_invalidate_direct_mem_ptr(
MODULE* mod,
void (MODULE::*cb)(int, sc_dt::uint64, sc_dt::uint64),
int id);
};
template <
typename MODULE,
unsigned int BUSWIDTH = 32,
typename TYPES = tlm::tlm_base_protocol_types
>
class simple_target_socket_tagged : public tlm::tlm_target_socket<BUSWIDTH, TYPES>
{
Authorized licensed use limited to: Furkan Tuncer. Downloaded on October 16,2017 at 17:05:54 UTC from IEEE Xplore. Restrictions apply.
IEEE Std 1666-2011
IEEE Standard for Standard SystemC® Language Reference Manual
530
Copyright © 2012 IEEE. All rights reserved.
public:
typedef typename TYPES::tlm_payload_type transaction_type;
typedef typename TYPES::tlm_phase_type phase_type;
typedef tlm::tlm_sync_enum sync_enum_type;
typedef tlm::tlm_fw_transport_if<TYPES> fw_interface_type;
typedef tlm::tlm_bw_transport_if<TYPES> bw_interface_type;
typedef tlm::tlm_target_socket<BUSWIDTH, TYPES> base_type;
simple_target_socket_tagged();
explicit simple_target_socket_tagged( const char* n );
tlm::tlm_bw_transport_if<TYPES> * operator ->();
void register_nb_transport_fw(
MODULE* mod,
sync_enum_type (MODULE::*cb)(int id, transaction_type&, phase_type&, sc_core::sc_time&),
int id);
void register_b_transport(
MODULE* mod,
void (MODULE::*cb)(int id, transaction_type&, sc_core::sc_time&),
int id);
void register_transport_dbg(
MODULE* mod,
unsigned int (MODULE::*cb)(int id, transaction_type&),
int id);
void register_get_direct_mem_ptr(
MODULE* mod,
bool (MODULE::*cb)(int id, transaction_type&, tlm::tlm_dmi&),
int id);
};
template <
typename MODULE,
unsigned int BUSWIDTH = 32,
typename TYPES = tlm::tlm_base_protocol_types
>
class passthrough_target_socket_tagged : public tlm::tlm_target_socket<BUSWIDTH, TYPES>
{
public:
typedef typename TYPES::tlm_payload_type transaction_type;
typedef typename TYPES::tlm_phase_type phase_type;
typedef tlm::tlm_sync_enum sync_enum_type;
passthrough_target_socket_tagged();
explicit passthrough_target_socket_tagged( const char* n );
void register_nb_transport_fw(
MODULE* mod,
sync_enum_type (MODULE::*cb)(int id, transaction_type&, phase_type&, sc_core::sc_time&),
int id);
Authorized licensed use limited to: Furkan Tuncer. Downloaded on October 16,2017 at 17:05:54 UTC from IEEE Xplore. Restrictions apply.
IEEE Std 1666-2011
IEEE Standard for Standard SystemC® Language Reference Manual
531
Copyright © 2012 IEEE. All rights reserved.
void register_b_transport(
MODULE* mod,
void (MODULE::*cb)(int id, transaction_type&, sc_core::sc_time&),
int id);
void register_transport_dbg(
MODULE* mod,
unsigned int (MODULE::*cb)(int id, transaction_type&),
int id);
void register_get_direct_mem_ptr(
MODULE* mod,
bool (MODULE::*cb)(int id, transaction_type&, tlm::tlm_dmi&),
int id);
};
} // namespace tlm_utils
16.1.3.4 Rules
a) Each constructor shall call the constructor of the corresponding base class passing through the char*
argument, if there is one. In the case of the default constructors, the char* argument of the base class
constructor shall be set to sc_gen_unique_name ("simple_initiator_socket_tagged"),
sc_gen_unique_name ("simple_target_socket_tagged"), or sc_gen_unique_name
("passthrough_target_socket_tagged"), respectively.
b) Apart from the int id tag, the tagged simple sockets behave in the same way as the untagged simple
sockets.
c) A given callback method can be registered with multiple sockets instances using different tags. This
is the purpose of the tagged sockets.
d) The int id tag is specified as the final argument of the methods used to register the callbacks. The
socket shall prepend this tag as the first argument of the corresponding callback method. Note that
the order of the id tag argument differs between the registration method and the callback method.
See the example below.
e) A tagged simple socket is not a multi-socket. A tagged simple socket cannot be bound to multiple
sockets on other components (see 16.1.4).
Example:
struct my_target: sc_module
{
tlm_utils::simple_target_socket_tagged<my_target> socket1;
tlm_utils::simple_target_socket_tagged<my_target> socket2;
SC_CTOR(my_target)
: socket1("socket1"), socket2("socket2")
{
socket1.register_b_transport(this, &my_target::b_transport, 1); // Registered with id = 1
socket2.register_b_transport(this, &my_target::b_transport, 2); // Registered with id = 2
}
void b_transport(int id, Transaction& trans, sc_time& delay); // May be called with id = 1 or id = 2
...
};
Authorized licensed use limited to: Furkan Tuncer. Downloaded on October 16,2017 at 17:05:54 UTC from IEEE Xplore. Restrictions apply.
IEEE Std 1666-2011
IEEE Standard for Standard SystemC® Language Reference Manual
532
Copyright © 2012 IEEE. All rights reserved.
16.1.4 Multi-sockets
16.1.4.1 Introduction
The multi-sockets are a variation on the tagged simple sockets that permit a single socket to be bound to
multiple sockets on other components. In contrast to the tagged simple sockets, which identify through
which socket an incoming call arrives, a multi-socket callback is able to identify from which socket on
another component an incoming interface method call arrives, using the multi-port index number as the tag.
Unlike the other convenience sockets, the multi-sockets also support hierarchical child-to-parent socket
binding on both the initiator and the target side.
16.1.4.2 Header file
The class definitions for the multi-sockets shall be in the header files tlm_utils/
multi_passthrough_initiator_socket.h and tlm_utils/multi_passthrough_target_socket.h.
16.1.4.3 Class definition
namespace tlm_utils {
template <
typename MODULE,
unsigned int BUSWIDTH = 32,
typename TYPES = tlm::tlm_base_protocol_types,
unsigned int N=0,
sc_core::sc_port_policy POL = sc_core::SC_ONE_OR_MORE_BOUND
>
class multi_passthrough_initiator_socket : public multi_init_base< BUSWIDTH, TYPES, N, POL>
{
public:
typedef typename TYPES::tlm_payload_type transaction_type;
typedef typename TYPES::tlm_phase_type phase_type;
typedef tlm::tlm_sync_enum sync_enum_type;
typedef multi_init_base<BUSWIDTH, TYPES, N, POL> base_type;
typedef typename base_type::base_target_socket_type base_target_socket_type;
multi_passthrough_initiator_socket();
multi_passthrough_initiator_socket(const char* name);
~multi_passthrough_initiator_socket();
void register_nb_transport_bw(
MODULE* mod,
sync_enum_type (MODULE::*cb)(int, transaction_type&, phase_type&, sc_core::sc_time&));
void register_invalidate_direct_mem_ptr(
MODULE* mod,
void (MODULE::*cb)(int, sc_dt::uint64, sc_dt::uint64));
// Override virtual functions of the tlm_initiator_socket:
virtual tlm::tlm_bw_transport_if<TYPES>& get_base_interface();
virtual const tlm::tlm_bw_transport_if<TYPES>& get_base_interface() const;
virtual sc_core::sc_export<tlm::tlm_bw_transport_if<TYPES> >& get_base_export();
virtual const sc_core::sc_export<tlm::tlm_bw_transport_if<TYPES> >& get_base_export() const;
Authorized licensed use limited to: Furkan Tuncer. Downloaded on October 16,2017 at 17:05:54 UTC from IEEE Xplore. Restrictions apply.
IEEE Std 1666-2011
IEEE Standard for Standard SystemC® Language Reference Manual
533
Copyright © 2012 IEEE. All rights reserved.
virtual void bind(base_target_socket_type& s);
void operator() (base_target_socket_type& s);
// SystemC standard callback
// multi_passthrough_initiator_socket::before_end_of_elaboration must be called from
// any derived class
void before_end_of_elaboration();
// Bind multi initiator socket to multi initiator socket (hierarchical bind)
virtual void bind(base_type& s);
void operator() (base_type& s);
tlm::tlm_fw_transport_if<TYPES>* operator[](int i);
unsigned int size();
};
template <
typename MODULE,
unsigned int BUSWIDTH = 32,
typename TYPES = tlm::tlm_base_protocol_types,
unsigned int N=0,
sc_core::sc_port_policy POL = sc_core::SC_ONE_OR_MORE_BOUND
>
class multi_passthrough_target_socket : public multi_target_base< BUSWIDTH, TYPES, N, POL>
{
public:
typedef typename TYPES::tlm_payload_type transaction_type;
typedef typename TYPES::tlm_phase_type phase_type;
typedef tlm::tlm_sync_enum sync_enum_type;
typedef sync_enum_type
(MODULE::*nb_cb)(int, transaction_type&, phase_type&, sc_core::sc_time&);
typedef void (MODULE::*b_cb)(int, transaction_type&, sc_core::sc_time&);
typedef unsigned int (MODULE::*dbg_cb)(int, transaction_type& txn);
typedef bool (MODULE::*dmi_cb)(int, transaction_type& txn, tlm::tlm_dmi& dmi);
typedef multi_target_base<BUSWIDTH, TYPES, N, POL> base_type;
typedef typename base_type::base_initiator_socket_type base_initiator_socket_type;
typedef typename base_type::initiator_socket_type initiator_socket_type;
multi_passthrough_target_socket();
multi_passthrough_target_socket(const char* name);
~multi_passthrough_target_socket();
void register_nb_transport_fw (MODULE* mod, nb_cb cb);
void register_b_transport (MODULE* mod, b_cb cb);
void register_transport_dbg (MODULE* mod, dbg_cb cb);
void register_get_direct_mem_ptr (MODULE* mod, dmi_cb cb);
// Override virtual functions of the tlm_target_socket:
virtual tlm::tlm_fw_transport_if<TYPES>& get_base_interface();
virtual const tlm::tlm_fw_transport_if<TYPES>& get_base_interface() const;
Authorized licensed use limited to: Furkan Tuncer. Downloaded on October 16,2017 at 17:05:54 UTC from IEEE Xplore. Restrictions apply.
IEEE Std 1666-2011
IEEE Standard for Standard SystemC® Language Reference Manual
534
Copyright © 2012 IEEE. All rights reserved.
virtual sc_core::sc_export<tlm::tlm_fw_transport_if<TYPES> >& get_base_export();
virtual const sc_core::sc_export<tlm::tlm_fw_transport_if<TYPES> >& get_base_export() const;
// SystemC standard callback
// multi_passthrough_target_socket::end_of_elaboration must be called from any derived class
void end_of_elaboration();
virtual void bind(base_type& s);
void operator() (base_type& s);
tlm::tlm_bw_transport_if<TYPES>* operator[] (int i);
unsigned int size();
};
} // namespace tlm_utils
16.1.4.4 Rules
a) The base classes multi_init_base and multi_target_base are implementation-defined, and should not
be used directly by applications.
b) Each constructor shall call the constructor of the corresponding base class passing through the char*
argument, if there is one. In the case of the default constructors, the char* argument of the base class
constructor shall be set to sc_gen_unique_name ("multi_passthrough_initiator_socket"), or
sc_gen_unique_name ("multi_passthrough_target_socket"), respectively.
c) Class multi_passthrough_initiator_socket and class multi_passthrough_target_socket each act
as multi-sockets; that is, a single initiator socket can be bound to multiple target sockets, and a single
target socket can be bound to multiple initiator sockets. The two class templates have template
parameters specifying the number of bindings and the port binding policy, which are used within the
class implementation to parameterize the associated sc_port template instantiation.
d) A single multi_passthrough_initiator_socket can be bound to many tlm_target_sockets and/or
many simple_target_sockets and/or many passthrough_target_sockets and/or many
multi_passthrough_target_sockets. Many tlm_initiator_sockets and/or simple_initiator_sockets
and/or multi_passthrough_initiators_sockets can be bound to a single
multi_passthrough_target_socket.
e) A multi_passthrough_initiator_socket can be bound hierarchically to exactly one other
multi_passthrough_initiator_socket. A multi_passthrough_target_socket can be bound
hierarchically to exactly one other multi_passthrough_target_socket. Other than these two
specific cases, a multi-socket cannot be bound hierarchically to another socket. The multiple binding
capabilities of multi-sockets do not apply to hierarchical binding but only apply when binding one or
more initiator sockets to one or more target sockets.
f) The implementation of each operator() shall achieve its effect by calling the corresponding virtual
method bind.
g) The binding operators can only be used in the direction initiator-socket-to-target-socket. In other
words, unlike classes tlm_target_socket and simple_target_socket, class
multi_passthrough_target_socket does not have operators to bind a target socket to an initiator
socket.
h) In the case of hierarchical binding (Figure 36), an initiator multi-socket of a child module shall be
bound to an initiator multi-socket of a parent module, and a target multi-socket of a parent module
bound to a target multi-socket of a child module. This is consistent with the initiator-to-target bind-
ing direction rule given above.
i) If an object of class multi_passthrough_initiator_socket or multi_passthrough_target_socket is
bound multiple times, then the method operator[] can be used to address the corresponding object
Authorized licensed use limited to: Furkan Tuncer. Downloaded on October 16,2017 at 17:05:54 UTC from IEEE Xplore. Restrictions apply.
IEEE Std 1666-2011
IEEE Standard for Standard SystemC® Language Reference Manual
535
Copyright © 2012 IEEE. All rights reserved.
to which the socket is bound. The index value is determined by the order in which the methods bind
or operator() were called to bind the sockets. This same index value is used to determine the id tag
passed to a callback.
j) For example, consider a multi_passthrough_initiator_socket bound to two separate targets. The
calls socket[0]->nb_transport_fw(...) and socket[1]->nb_transport_fw() would address the two
targets, and incoming nb_transport_bw() method calls from those two targets would carry the tags
0 and 1, respectively.
k) The method size shall return the number of socket instances to which the current multi-socket has
been bound. As for SystemC multi-ports, if size is called during elaboration and before the callback
end_of_elaboration, the value returned is implementation-defined because the time at which port
binding is completed is implementation-defined.
l) In the absence of hierarchical binding to a multi-socket on a child module, a target should register
b_transport and nb_transport_fw callbacks with a target multi-socket. Not doing so will result in
a run-time error if and only if the corresponding method is called.
m) In the absence of hierarchical binding to a multi-socket on a child module, a target is not obliged to
register a transport_dbg callback with a target multi-socket, in which case an incoming
transport_dbg call shall return with a value of 0.
n) In the absence of hierarchical binding to a multi-socket on a child module, a target is not obliged to
register a get_direct_mem_ptr callback with a target multi-socket, in which case an incoming
get_direct_mem_ptr call shall return with a value of false.
o) In the absence of hierarchical binding to a multi-socket on a child module, an initiator should
register an nb_transport_bw callback with an initiator multi-socket. Not doing so will result in a
run-time error if and only if the nb_transport_bw method is called.
p) In the absence of hierarchical binding to a multi-socket on a child module, an initiator is not obliged
to register an invalidate_direct_mem_ptr callback with an initiator multi-socket, in which case an
incoming invalidate_direct_mem_ptr call shall be ignored.
Example:
// Initiator component with a multi-socket
struct Initiator: sc_module
{
tlm_utils::multi_passthrough_initiator_socket<Initiator> socket;
SC_CTOR(Initiator) : socket("socket") {
// Register callback methods with socket
socket.register_nb_transport_bw(this, &Initiator::nb_transport_bw);
socket.register_invalidate_direct_mem_ptr(this, &Initiator::invalidate_direct_mem_ptr);
...
};
struct Initiator_parent: sc_module
{
tlm_utils::multi_passthrough_initiator_socket<Initiator_parent> socket;
Initiator *initiator;
SC_CTOR(Initiator_parent) : socket("socket") {
initiator = new Initiator("initiator");
// Hierarchical binding of initiator socket on child to initiator socket on parent
initiator->socket.bind( socket );
}
};
Authorized licensed use limited to: Furkan Tuncer. Downloaded on October 16,2017 at 17:05:54 UTC from IEEE Xplore. Restrictions apply.

IEEE Std 1666-2011
IEEE Standard for Standard SystemC® Language Reference Manual
536
Copyright © 2012 IEEE. All rights reserved.
Figure 36—Hierarchical binding of multi-sockets
struct Target: sc_module
{
tlm_utils::multi_passthrough_target_socket<Target> socket;
SC_CTOR(Target) : socket("socket") {
// Register callback methods with socket
socket.register_nb_transport_fw( this, &Target::nb_transport_fw);
socket.register_b_transport( this, &Target::b_transport);
socket.register_get_direct_mem_ptr(this, &Target::get_direct_mem_ptr);
socket.register_transport_dbg( this, &Target::transport_dbg);
...
};
// Target component with a multi-socket
struct Target_parent: sc_module
{
tlm_utils::multi_passthrough_target_socket<Target_parent> socket;
Target *target;
SC_CTOR(Target_parent) : socket("socket") {
target = new Target("target");
// Hierarchical binding of target socket on parent to target socket on child
socket.bind( target->socket );
}
};
Initiator
child module
Initiator_parent
Target
child module
Target_parent
Initiator
child module
Initiator_parent
Target
child module
Target_parent
multi_passthrough_initiator_socket multi_passthrough_target_socket
Authorized licensed use limited to: Furkan Tuncer. Downloaded on October 16,2017 at 17:05:54 UTC from IEEE Xplore. Restrictions apply.
IEEE Std 1666-2011
IEEE Standard for Standard SystemC® Language Reference Manual
537
Copyright © 2012 IEEE. All rights reserved.
SC_MODULE(Top)
{
Initiator_parent *initiator1;
Initiator_parent *initiator2;
Target_parent *target1;
Target_parent *target2;
SC_CTOR(Top)
{
// Instantiate two initiator and two target components
initiator1 = new Initiator_parent("initiator1");
initiator2 = new Initiator_parent("initiator2");
target1 = new Target_parent ("target1");
target2 = new Target_parent ("target2");
// Bind two initiator multi-sockets to two target multi-sockets
initiator1->socket.bind( target1->socket );
initiator1->socket.bind( target2->socket );
initiator2->socket.bind( target1->socket );
initiator2->socket.bind( target2->socket );
}
};
16.2 Quantum keeper
16.2.1 Introduction
Temporal decoupling permits SystemC processes to run ahead of simulation time for an amount of time
known as the time quantum (see Clause 12 and Figure 37).
The utility class tlm_quantumkeeper provides a set of methods for managing and interacting with the time
quantum. When using temporal decoupling, use of the quantum keeper is recommended in order to maintain
a consistent coding style. However, it is straightforward in principle to implement temporal decoupling
directly in SystemC. Whether or not the utility class tlm_quantumkeeper is used, all temporally decoupled
models should reference the global quantum maintained by the class tlm_global_quantum.
Class tlm_quantumkeeper is in namespace tlm_utils.
For a general description of temporal decoupling, see 10.3.2.
For a description of timing annotation, see 11.1.3.
16.2.2 Header file
The class definitions for the quantum keeper shall be in the header file tlm_utils/tlm_quantumkeeper.h.
16.2.3 Class definition
namespace tlm_utils {
class tlm_quantumkeeper
{
public:
Authorized licensed use limited to: Furkan Tuncer. Downloaded on October 16,2017 at 17:05:54 UTC from IEEE Xplore. Restrictions apply.
IEEE Std 1666-2011
IEEE Standard for Standard SystemC® Language Reference Manual
538
Copyright © 2012 IEEE. All rights reserved.
static void set_global_quantum( const sc_core::sc_time& );
static const sc_core::sc_time& get_global_quantum();
tlm_quantumkeeper();
virtual ~tlm_quantumkeeper();
virtual void inc( const sc_core::sc_time& );
virtual void set( const sc_core::sc_time& );
virtual sc_core::sc_time get_current_time() const;
virtual sc_core::sc_time get_local_time();
virtual bool need_sync() const;
virtual void sync();
void set_and_sync(const sc_core::sc_time& t)
{
set(t);
if (need_sync())
sync();
}
virtual void reset();
protected:
virtual sc_core::sc_time compute_local_quantum();
};
} // namespace tlm_utils
16.2.4 General guidelines for processes using temporal decoupling
a) For maximum simulation speed, all initiators should use temporal decoupling, and the number of
other runnable SystemC processes should be zero or minimized.
b) In an ideal scenario, the only runnable SystemC processes will belong to temporally decoupled
initiators, and each process will run ahead to the end of its time quantum before yielding to the
SystemC kernel.
c) A temporally decoupled initiator is not obliged to use a time quantum if communication with other
processes is explicitly synchronized. Where a time quantum is used, it should be chosen to be less
than the typical communication interval between initiators; otherwise, important process
interactions may be lost, and the model may be broken.
d) Yield means call wait in the case of a thread process, or return from the function in the case of a
method process.
e) Temporal decoupling runs in the context of the standard SystemC simulation kernel, so events can
be scheduled, processes suspended and resumed, and loosely-timed models can be mixed with other
coding styles.
f) There is no obligation for every initiator to use temporal decoupling. Processes with and without
temporal decoupling can be mixed. However, any process that is not temporally decoupled is likely
to become a simulation speed bottleneck.
g) Each temporally decoupled initiator may accumulate any local processing delays and
communication delays in a local variable, referred to in this clause as the local time offset. It is
recommended that the quantum keeper should be used to maintain the local time offset.
Authorized licensed use limited to: Furkan Tuncer. Downloaded on October 16,2017 at 17:05:54 UTC from IEEE Xplore. Restrictions apply.

IEEE Std 1666-2011
IEEE Standard for Standard SystemC® Language Reference Manual
539
Copyright © 2012 IEEE. All rights reserved.
h) Calls to the sc_time_stamp method will return the simulation time as it was at or near the start of
the current time quantum.
Figure 37—QuantumKeeper terminology
i) The local time offset is unknown to the SystemC scheduler. When using the transport interfaces, the
local time offset should be passed as an argument to the b_transport or nb_transport methods.
j) Use of the nb_transport method with temporal decoupling and the quantum keeper is not ruled out,
but it is not usually advantageous because the speed advantage to be gained from temporal
decoupling would be nullified by the high degree of inter-process communication inherent in the
approximately-timed coding style.
k) The order in which processes resume within the quantum is under the control of the SystemC
scheduler and, by the rules of SystemC, is indeterminate. In the absence of any explicit
synchronization mechanism, if a variable is modified by one such process and read by another, the
value to be read will be indeterminate. The new value may become available in the current quantum
or the next quantum, assuming it only changes relatively infrequently compared to the quantum
length, and the application would need to be tolerant of precisely when the new value becomes
available. If this is not the case, the application should guard the variable access with an appropriate
synchronization mechanism.
l) Any access to a variable or object from a temporally decoupled process will give the value it had at
the start of the current time quantum unless it has been modified by the current process or by another
temporally decoupled process that has already run in the current quantum. In particular, any
sc_signal accessed from a temporally decoupled process will have the same value it had at the start
of the current time quantum. This is a consequence of the fact that conventional SystemC simulation
time (as returned by sc_time_stamp) does not advance within the quantum.
16.2.5 Class tlm_quantumkeeper
a) The constructor shall set the local time offset to SC_ZERO_TIME but shall not call the virtual
method compute_local_quantum. Because the constructor does not calculate the local quantum, an
application should call the method reset immediately after constructing a quantum keeper object.
Global quantum Global quantum
Local time offset
Effective
Local time offset
sc_time_stamp()
Time
Initiator 1, first to run in 2nd quantum
Initiator 2, currently running
Initiator 3, not yet run in 2nd quantum
local time
Effective
local time
Integer multiple of
global quantum
Local quantum
Authorized licensed use limited to: Furkan Tuncer. Downloaded on October 16,2017 at 17:05:54 UTC from IEEE Xplore. Restrictions apply.
IEEE Std 1666-2011
IEEE Standard for Standard SystemC® Language Reference Manual
540
Copyright © 2012 IEEE. All rights reserved.
b) The implementation of class tlm_quantumkeeper shall not create a static object of class sc_time,
but the constructor may create objects of class sc_time. This implies that an application may call
function sc_core::sc_set_time_resolution before, and only before, constructing the first quantum
keeper object.
c) The method set_global_quantum shall set the value of the global quantum to the value passed as an
argument, but it shall not modify the local quantum. The method get_global_quantum shall return
the current value of the global quantum. After calling set_global_quantum, it is recommended to
call the method reset to recalculate the local quantum.
d) The method get_local_time shall return the value of the local time offset.
e) The method get_current_time shall return the value of the effective local time, that is,
sc_time_stamp() + local_time_offset.
f) The method inc shall add the value passed as an argument to the local time offset.
g) The method set shall set the value of the local time offset to the value passed as an argument.
h) The method need_sync shall return the value true if and only if the local time offset is greater than
the local quantum.
i) The method sync shall call wait( local_time_offset ) to suspend the process until simulation time
equals the effective local time, and shall then call method reset.
j) The method set_and_sync is a convenience method to call set, need_sync, and sync in sequence. It
should not be overridden.
k) The method reset shall call the method compute_local_quantum and shall set the local time offset
back to SC_ZERO_TIME.
l) The method compute_local_quantum of class tlm_quantumkeeper shall call the method
compute_local_quantum of class tlm_global_quantum, but it may be overridden in order to
calculate a smaller value for the local quantum.
m) The class tlm_quantumkeeper should be considered the default implementation for the quantum
keeper. Applications may derive their own quantum keeper from class tlm_quantumkeeper and
override the method compute_local_quantum, but this is unusual.
n) When the local time offset is greater than or equal to the local quantum, the process should yield to
the kernel. It is strongly recommended that the process does this by calling the sync method.
o) There is no mechanism to enforce synchronization at the end of the time quantum. It is the
responsibility of the initiator to check need_sync and call sync as needed.
p) The b_transport method may itself yield such that the value of sc_time_stamp can be different
before and after the call. The value of the local time offset and any timing annotations are always
expressed relative to the current value of sc_time_stamp. On return from b_transport or
nb_transport_fw, it is the responsibility of the initiator to set the local time offset of the quantum
keeper by calling the set method, and then to check for synchronization by calling the need_sync
method.
q) If an initiator needs to synchronize before the end of the time quantum; that is, if an initiator needs to
suspend execution so that simulation time can catch up with the local time, it may do so by calling
the sync method or by explicitly waiting on an event. This gives any other processes the chance to
execute, and it is known as synchronization-on-demand.
r) Making frequent calls to sync will reduce the effectiveness of temporal decoupling.
Example:
struct Initiator: sc_module // Loosely-timed initiator
{
tlm_utils::simple_initiator_socket<Initiator> init_socket;
Authorized licensed use limited to: Furkan Tuncer. Downloaded on October 16,2017 at 17:05:54 UTC from IEEE Xplore. Restrictions apply.
IEEE Std 1666-2011
IEEE Standard for Standard SystemC® Language Reference Manual
541
Copyright © 2012 IEEE. All rights reserved.
tlm_utils::tlm_quantumkeeper m_qk; // The quantum keeper
SC_CTOR(Initiator) : init_socket("init_socket") {
SC_THREAD(thread); // The initiator process
...
m_qk.set_global_quantum( sc_time(1, SC_US) ); // Replace the global quantum
m_qk.reset(); // Re-calculate the local quantum
}
void thread() {
tlm::tlm_generic_payload trans;
sc_time delay;
trans.set_command(tlm::TLM_WRITE_COMMAND);
trans.set_data_length(4);
for (int i = 0; i < RUN_LENGTH; i += 4) {
int word = i;
trans.set_address(i);
trans.set_data_ptr( (unsigned char*)(&word) );
delay = m_qk.get_local_time(); // Annotate b_transport with local time
init_socket->b_transport(trans, delay );
qk.set( delay ); // Update qk with time consumed by target
m_qk.inc( sc_time(100, SC_NS) ); // Further time consumed by initiator
if ( m_qk.need_sync() ) m_qk.sync(); // Check local time against quantum
}
}
...
};
16.3 Payload event queue
16.3.1 Introduction
A payload event queue (PEQ) is a class that maintains a queue of SystemC event notifications, where each
notification carries an associated transaction object. Each transaction is written into the PEQ annotated with
a delay, and each transaction emerges from the back of the PEQ at a time calculated from the current
simulation time plus the annotated delay.
Two payload event queues are provided as utilities. As well as being useful in their own right, the PEQ is of
conceptual relevance in understanding the semantics of timing annotation with the approximately-timed
coding style. However, it is possible to implement approximately-timed models without using the specific
payload event queues given here. In an approximately-timed model, it is often appropriate for the recipient
of a transaction passed using nb_transport to put the transaction into a PEQ with the annotated delay. The
PEQ will schedule the timing point associated with the nb_transport call to occur at the correct simulation
time.
Transactions are inserted into a PEQ by calling the notify method of the PEQ, passing a delay as an
argument. There is also a notify method that schedules an immediate notification. The delay is added to the
current simulation time (sc_time_stamp) to calculate the time at which the transaction will emerge from the
back end of the PEQ. The scheduling of the events is managed internally using a SystemC timed event
notification, exploiting the property of class sc_event that if the notify method is called while there is a
Authorized licensed use limited to: Furkan Tuncer. Downloaded on October 16,2017 at 17:05:54 UTC from IEEE Xplore. Restrictions apply.
IEEE Std 1666-2011
IEEE Standard for Standard SystemC® Language Reference Manual
542
Copyright © 2012 IEEE. All rights reserved.
notification pending, the notification with the earliest simulation time will remain while the other notification gets
cancelled.
Transactions emerge in different ways from the two PEQ variants. In the case of peq_with_get, the method
get_event returns an event that is notified whenever a transaction is ready to be retrieved. The method
get_next_transaction should be called repeatedly to retrieve any available transactions one at a time.
In the case of peq_with_cb_and_phase, a callback method is registered as a constructor argument, and that
method is called as each transaction emerges. This particular PEQ carries both a transaction object and a phase
object with each notification, and both are passed as arguments to the callback method.
For an example, see 15.1.
16.3.2 Header file
The class definitions for the two payload event queues shall be in the header files tlm_utils/peq_with_get.h and
tlm_utils/peq_with_cb_and_phase.h.
16.3.3 Class definition
namespace tlm_utils {
template <class PAYLOAD>
class peq_with_get : public sc_core::sc_object
{
public:
typedef PAYLOAD transaction_type;
peq_with_get(const char* name);
void notify( transaction_type& trans, const sc_core::sc_time& t );
void notify( transaction_type& trans );
transaction_type* get_next_transaction();
sc_core::sc_event& get_event();
void cancel_all();
};
template<typename OWNER, typename TYPES=tlm::tlm_base_protocol_types>
class peq_with_cb_and_phase : public sc_core::sc_object
{
public:
typedef typename TYPES::tlm_payload_type tlm_payload_type;
typedef typename TYPES::tlm_phase_type tlm_phase_type;
typedef void (OWNER::*cb)(tlm_payload_type&, const tlm_phase_type&);
peq_with_cb_and_phase(OWNER* , cb );
peq_with_cb_and_phase(const char* , OWNER* , cb);
~peq_with_cb_and_phase();
void notify ( tlm_payload_type& , const tlm_phase_type& , const sc_core::sc_time& );
void notify ( tlm_payload_type& , const tlm_phase_type& );
void cancel_all();
};
Authorized licensed use limited to: Furkan Tuncer. Downloaded on October 16,2017 at 17:05:54 UTC from IEEE Xplore. Restrictions apply.
IEEE Std 1666-2011
IEEE Standard for Standard SystemC® Language Reference Manual
543
Copyright © 2012 IEEE. All rights reserved.
} // namespace tlm_utils
16.3.4 Rules
a) The notify method shall insert a transaction into the PEQ. The transaction shall emerge from the
PEQ at time t1 + t2, where t1 is the value returned from sc_time_stamp() at the time notify is
called, and t2 is the value of the sc_time argument to notify. In the case of immediate notification,
the transaction shall emerge in the current evaluation phase of the SystemC scheduler.
b) Transactions may be queued in any order and emerge in the order given by the previous rule.
Transactions do not necessarily emerge in the order in which they were inserted.
c) There is no limit to the number of transactions that may be in the PEQ at any given time.
d) If several transactions are queued to emerge at the same time, they shall all emerge in the same
evaluation phase (that is, the same delta cycle) in the order in which they were inserted.
e) The cancel_all method shall immediately remove all queued transactions from the PEQ, effectively
restoring the PEQ to the state it had immediately after construction. This is the only way to remove
transactions from a PEQ.
f) The PAYLOAD template argument to class peq_with_get shall be the name of the transaction type
used by the PEQ.
g) The get_event method shall return a reference to an event that is notified when the next transaction
is ready to emerge from the PEQ. If more than one transaction is ready to emerge in the same
evaluation phase (that is, in the same delta cycle), the event is notified once only.
h) The get_next_transaction method shall return a pointer to a transaction object that is ready to
emerge from the PEQ, and shall remove the transaction object from the PEQ. If a transaction is not
retrieved from the PEQ in the evaluation phase in which the corresponding event notification occurs,
it will still be available for retrieval on a subsequent call to get_next_transaction at the current time
or at a later time.
i) If there are no more transactions to be retrieved in the current evaluation phase,
get_next_transaction shall return a null pointer.
j) The TYPES template argument to class peq_with_cb_and_phase shall be the name of the protocol
traits class containing the transaction and phase types used by the PEQ.
k) The OWNER template argument to class peq_with_cb_and_phase shall be the type of the class of
which the PEQ callback method is a member. This will usually be the parent module of the PEQ
instance.
l) The OWNER* argument to the constructor peq_with_cb_and_phase shall be a pointer to the
object of which the PEQ callback method is a member. This will usually be the parent module of the
PEQ instance.
m) The cb argument to the constructor peq_with_cb_and_phase shall be the name of the PEQ callback
method, which shall be a member function.
n) The implementation of class peq_with_cb_and_phase shall call the PEQ callback method
whenever a transaction object is ready to emerge from the PEQ. The first argument of the callback is
a reference to the transaction object and the second argument a reference to the phase object, as
passed to the corresponding notify method.
o) The implementation shall call the PEQ callback method from a SystemC method process, so the
callback method shall be non-blocking.
p) The implementation shall only call the PEQ callback method once for each transaction. After calling
the PEQ callback method, the implementation shall remove the transaction object from the PEQ.
The PEQ callback method may be called multiple times in the same evaluation phase.
Authorized licensed use limited to: Furkan Tuncer. Downloaded on October 16,2017 at 17:05:54 UTC from IEEE Xplore. Restrictions apply.
IEEE Std 1666-2011
IEEE Standard for Standard SystemC® Language Reference Manual
544
Copyright © 2012 IEEE. All rights reserved.
16.4 Instance-specific extensions
16.4.1 Introduction
The generic payload contains an array of pointers to extension objects such that each transaction object can
contain at most one instance of each extension type. This mechanism alone does not directly permit multiple
instances of the same extension to be added to a given transaction object. This clause describes a set of
utilities that provide instance-specific extensions, that is, multiple extensions of the same type added to a
single transaction object.
An instance-specific extension type is created using a class template instance_specific_extension, used in a
similar manner to class tlm_extension. Unlike tlm_extension, applications are not required or permitted to
implement virtual clone and copy_from methods. The access methods are restricted to set_extension,
get_extension, clear_extension, and resize_extensions. Automatic deletion of instance-specific extensions
is not supported, so a component calling set_extension should also call clear_extension. As for class
tlm_extension, method resize_extensions need only be called if a transaction object is constructed during
static initialization.
An instance-specific extension is accessed using an object of type instance_specific_extension_accessor.
This class provides a single method operator() that returns a proxy object through which the access methods
can be called. Each object of type instance_specific_extension_accessor gives access to a distinct set of
extension objects, even when used with the same transaction object.
In the class definition in 16.4.3, terms in italics are implementation-defined names that should not be used
directly by an application.
16.4.2 Header file
The class definitions for the instance-specific extensions shall be in the header file tlm_utils/
instance_specific_extensions.h
16.4.3 Class definition
namespace tlm_utils {
template <typename T>
class instance_specific_extension : public implementation-defined {
public:
virtual ~instance_specific_extension();
};
template<typename U>
class proxy {
public:
template <typename T> T* set_extension( T* );
template <typename T> void get_extension( T*& ) const;
template <typename T> void clear_extension( const T* );
void resize_extensions();
};
class instance_specific_extension_accessor {
public:
instance_specific_extension_accessor();
Authorized licensed use limited to: Furkan Tuncer. Downloaded on October 16,2017 at 17:05:54 UTC from IEEE Xplore. Restrictions apply.
IEEE Std 1666-2011
IEEE Standard for Standard SystemC® Language Reference Manual
545
Copyright © 2012 IEEE. All rights reserved.
template<typename T> proxy< implementation-defined >& operator() ( T& );
};
} // namespace tlm_utils
Example:
struct my_extn : tlm_utils::instance_specific_extension<my_extn> {
int num; // User-defined extension attribute
};
struct Interconnect: sc_module
{
tlm_utils::simple_target_socket<Interconnect> targ_socket;
tlm_utils::simple_initiator_socket<Interconnect> init_socket;
...
tlm_utils::instance_specific_extension_accessor accessor;
static int count;
virtual tlm::tlm_sync_enum nb_transport_fw(
tlm::tlm_generic_payload& trans, tlm::tlm_phase& phase, sc_time& delay )
{
my_extn* extn;
accessor(trans).get_extension(extn); // Get existing extension
if (extn) {
accessor(trans).clear_extension(extn); // Delete existing extension
} else {
extn = new my_extn;
extn->num = count++;
accessor(trans).set_extension(extn); // Add new extension
}
return init_socket->nb_transport_fw( trans, phase, delay );
} ...
};
... SC_CTOR(Top) {
// Transaction object passes through two instances of Interconnect
interconnect1 = new Interconnect("interconnect1");
interconnect2 = new Interconnect("interconnect2");
interconnect1->init_socket.bind( interconnect2->targ_socket );
...
Authorized licensed use limited to: Furkan Tuncer. Downloaded on October 16,2017 at 17:05:54 UTC from IEEE Xplore. Restrictions apply.
IEEE Std 1666-2011
IEEE Standard for Standard SystemC® Language Reference Manual
546
Copyright © 2012 IEEE. All rights reserved.
17. TLM-1 Message passing interface and analysis ports
The TLM-1 message passing interface comprises the blocking and non-blocking put, get, peek, transport,
write, and analysis interfaces, the tlm_fifo channel, the analysis port, and the analysis fifo. The TLM-1
transport interface is distinct from the TLM-2.0 transport interface.
17.1 Put, get, peek, and transport interfaces
17.1.1 Description
The TLM-1 message passing interfaces are fundamentally different from the TLM-2 core interfaces in the
following sense: Whereas the TLM-2 core interfaces pass a transaction object by reference and the lifetime
of that transaction object may span multiple interface method calls, the TLM-1 interfaces implement
message-passing semantics. With TLM-1 message passing semantics, the intent is that there should be no
shared memory between caller and callee, and that the message-passing abstraction implemented by TLM-1
interface method calls should hide any internal state changes in one SystemC module from any other
module. The TLM-1 blocking interfaces realize synchronous message passing, and the TLM-1 non-blocking
interfaces realize asynchronous message passing.
TLM-1 message-passing, which equates to transaction-passing, is unidirectional. The TLM-1 bidirectional
transport interface can be considered to be composed of two unidirectional message channels that pass
separate messages in opposing directions. At an abstract level, the intent is that the recipient of a transaction
(whether that transaction is passed using put or get) should receive the exact same value as was sent.
Message passing systems would typically implement this requirement using strict pass-by-value semantics.
However, TLM-1 uses so-called effective pass-by-value semantics, whereby although a transaction may in
some cases be passed by reference, neither the caller nor the callee is permitted to modify the transaction
object once it has been assigned by the sender.
TLM-1 imposes a further constraint to ensure the integrity of the message-passing semantics. The data type
of the transaction object should support deep copy semantics such that if a copy is taken using C++
initialization (copy constructor) or assignment, then a subsequent modification to the copy should not
modify the original transaction object. In other words, if the transaction object contains any pointers or
references to shared memory outside of itself, this standard does not specify the ownership, lifetime, access,
or update rules for such shared memory locations. Hence, the responsibility for the use of any such shared
memory lies entirely with the application and should be carefully documented.
In what follows, the term sender means the caller in the case of method put, or the callee in the case of
methods get or peek, and the term recipient means the callee in the case of put, or the caller in the case of
get of peek. In the case of method transport, the caller is the sender of the request and the recipient of the
response, whereas the callee is the recipient of the request and the sender of the response.
The transaction object is the object passed as an argument to the method put, nb_put, nb_get, nb_peek, or
transport, or as the return value from the method get, peek, or transport.
17.1.2 Class Definition
namespace tlm {
template<class T>
class tlm_tag {};
// Uni-directional blocking interfaces
template < typename T >
Authorized licensed use limited to: Furkan Tuncer. Downloaded on October 16,2017 at 17:05:54 UTC from IEEE Xplore. Restrictions apply.
IEEE Std 1666-2011
IEEE Standard for Standard SystemC® Language Reference Manual
547
Copyright © 2012 IEEE. All rights reserved.
class tlm_blocking_put_if : public virtual sc_core::sc_interface
{
public:
virtual void put( const T &t ) = 0;
};
template < typename T >
class tlm_blocking_get_if : public virtual sc_core::sc_interface
{
public:
virtual T get( tlm_tag<T> *t = 0 ) = 0;
virtual void get( T &t ) { t = get(); }
};
template < typename T >
class tlm_blocking_peek_if : public virtual sc_core::sc_interface
{
public:
virtual T peek( tlm_tag<T> *t = 0 ) const = 0;
virtual void peek( T &t ) const { t = peek(); }
};
// Uni-directional non blocking interfaces
template < typename T >
class tlm_nonblocking_put_if : public virtual sc_core::sc_interface
{
public:
virtual bool nb_put( const T &t ) = 0;
virtual bool nb_can_put( tlm_tag<T> *t = 0 ) const = 0;
virtual const sc_core::sc_event &ok_to_put( tlm_tag<T> *t = 0 ) const = 0;
};
template < typename T >
class tlm_nonblocking_get_if : public virtual sc_core::sc_interface
{
public:
virtual bool nb_get( T &t ) = 0;
virtual bool nb_can_get( tlm_tag<T> *t = 0 ) const = 0;
virtual const sc_core::sc_event &ok_to_get( tlm_tag<T> *t = 0 ) const = 0;
};
template < typename T >
class tlm_nonblocking_peek_if : public virtual sc_core::sc_interface
{
public:
virtual bool nb_peek( T &t ) const = 0;
virtual bool nb_can_peek( tlm_tag<T> *t = 0 ) const = 0;
virtual const sc_core::sc_event &ok_to_peek( tlm_tag<T> *t = 0 ) const = 0;
};
// Uni-directional combined blocking and non blocking interfaces
template < typename T >
class tlm_put_if :
public virtual tlm_blocking_put_if< T > ,
Authorized licensed use limited to: Furkan Tuncer. Downloaded on October 16,2017 at 17:05:54 UTC from IEEE Xplore. Restrictions apply.
IEEE Std 1666-2011
IEEE Standard for Standard SystemC® Language Reference Manual
548
Copyright © 2012 IEEE. All rights reserved.
public virtual tlm_nonblocking_put_if< T > {};
template < typename T >
class tlm_get_if :
public virtual tlm_blocking_get_if< T > ,
public virtual tlm_nonblocking_get_if< T > {};
template < typename T >
class tlm_peek_if :
public virtual tlm_blocking_peek_if< T > ,
public virtual tlm_nonblocking_peek_if< T > {};
// Uni-directional combined get-peek interfaces
template < typename T >
class tlm_blocking_get_peek_if :
public virtual tlm_blocking_get_if<T> ,
public virtual tlm_blocking_peek_if<T> {};
template < typename T >
class tlm_nonblocking_get_peek_if :
public virtual tlm_nonblocking_get_if<T> ,
public virtual tlm_nonblocking_peek_if<T> {};
template < typename T >
class tlm_get_peek_if :
public virtual tlm_get_if<T> ,
public virtual tlm_peek_if<T> ,
public virtual tlm_blocking_get_peek_if<T> ,
public virtual tlm_nonblocking_get_peek_if<T> {};
// Bidirectional blocking transport interface
template < typename REQ , typename RSP >
class tlm_transport_if : public virtual sc_core::sc_interface
{
public:
virtual RSP transport( const REQ& ) = 0;
virtual void transport( const REQ& req , RSP& rsp ) { rsp = transport( req ); }
};
} // namespace tlm
17.1.3 Blocking versus non-blocking interfaces
a) The methods put, get, peek, and transport are blocking interface methods.
b) The methods nb_put, nb_can_put, ok_to_put, nb_get, nb_can_get, ok_to_get, nb_peek,
nb_can_peek, and ok_to_peek are non-blocking interface methods.
c) Blocking interface methods may call wait, directly or indirectly.
d) Blocking interface methods shall not be called from a method process.
e) Non-blocking interface methods shall not call wait, directly or indirectly.
f) Non-blocking interface methods may be called from a thread process or from a method process.
Authorized licensed use limited to: Furkan Tuncer. Downloaded on October 16,2017 at 17:05:54 UTC from IEEE Xplore. Restrictions apply.
IEEE Std 1666-2011
IEEE Standard for Standard SystemC® Language Reference Manual
549
Copyright © 2012 IEEE. All rights reserved.
17.1.4 Blocking put, get, peek, and transport
a) Consecutive calls to the put method and consecutive calls to the get method (through the same port
or export) shall represent distinct transaction instances, regardless of whether or not the same
transaction object is passed on each occasion. In other words, on each call to put, the caller shall
pass the next transaction in sequence, and on each return from get, the callee shall return the next
transaction in sequence.
b) The put method shall not return until the recipient has accepted the transaction object, that is, until
the transaction object has been executed, copied, or passed downstream by the recipient. In other
words, on return from the put method, the caller can assume that the callee has completed whatever
processing of the transaction object was appropriate at that stage. The transaction may be executed
within the body of the put method, or the put method may take a copy of the transaction object for
subsequent processing. In either case, the caller may attempt to send the next transaction
immediately.
c) The get method shall not return until the next transaction object is ready to be returned. In other
words, on return from the get method, the caller can assume that the callee is returning a valid
transaction object ready to be processed, and the caller may attempt to get the next transaction
immediately.
d) The peek method shall not return until the next transaction object is ready to be returned. However,
unlike the get method, the peek method shall not remove the transaction from the callee. In other
words, consecutive calls to peek (through the same port or export and with no intervening call to
get) shall return the same transaction object representing the same transaction instance. Similarly, a
call to peek followed by a single call to get shall each return the same transaction object
representing the same transaction instance.
e) The transport method shall combine two unidirectional transactions: a request object sent from
caller to callee and a response object sent from callee to caller. The implementation of the transport
method shall be semantically equivalent to a call to put that passes the request object followed by a
call to get that returns the corresponding response object. The response object returned by the callee
shall represent the response of the callee to the given request object. In other words, the entire
round-trip transaction shall be executed in a single call to the transport method.
17.1.5 Non-blocking interface methods
a) The non-blocking interface methods each depend on being able to determine whether or not the
callee is ready to accept (in the case of nb_put) or to return (in the case of nb_get and nb_peek) the
next transaction immediately, that is, as part of the execution of the current non-blocking method
call. If the callee is able to respond immediately, then the non-blocking method (nb_put,
nb_can_put, nb_get, nb_can_get, nb_peek, or nb_can_peek) shall return the value true.
Otherwise, the non-blocking method shall return the value false, and shall not accept or return the
next transaction.
b) If the interface methods nb_put, nb_get or nb_peek return the value true, they shall each behave as
would the corresponding blocking methods put, get or peek, respectively, except that they shall
return immediately without calling wait.
c) If the interface methods nb_put, nb_can_put, nb_get, nb_can_get, nb_peek, or nb_can_peek
return the value false, they shall each return immediately without accepting or returning a
transaction. In other words, they shall not modify the state of the callee with respect to sending or
receiving transactions using the particular port or export through which they are called.
d) The interface methods nb_put and nb_can_put shall each return the same value (true or false) if
called in place of one another at a given time through a given port or export. The return value shall
not depend on the value of the transaction object passed as an argument.
e) Similarly, the interface methods nb_get, nb_can_get, nb_peek, and nb_can_peek shall each return
the same value (true or false) if called in place of one another at a given time through a given port or
Authorized licensed use limited to: Furkan Tuncer. Downloaded on October 16,2017 at 17:05:54 UTC from IEEE Xplore. Restrictions apply.
IEEE Std 1666-2011
IEEE Standard for Standard SystemC® Language Reference Manual
550
Copyright © 2012 IEEE. All rights reserved.
export. In other words, it is not permitted that a callee would return true for nb_get but false for
nb_can_get, and vice versa, or true for nb_can_get but false for nb_can_peek, and vice versa.
f) The interface methods ok_to_put, ok_to_get, and ok_to_peek shall each return an sc_event that is
notified by the callee whenever the callee becomes ready to accept or to return the next transaction.
The intent is that the notification of this event can act as a cue to the caller to attempt to put, get, or
peek the next transaction by calling one of the corresponding non-blocking interface methods
through the same port or export. However, the caller cannot assume that a non-blocking interface
method would necessarily return the value true immediately following the notification of one of
these events: The caller is still obliged to check the value returned from the non-blocking interface
method.
g) There is no obligation that the corresponding blocking and non-blocking interface methods have
consistent behavior when called through the same port or export in place of one another, although it
is recommended that they do. For example, in circumstances where put would return immediately, a
call to nb_put or nb_can_put should normally return true, although it is not obliged to do so.
Similarly, in circumstances where put would call wait, a call to nb_put or nb_can_put should
normally return false, although again it is not obliged to do so.
17.1.6 Argument passing and transaction lifetime
a) The argument of type tlm_tag<T>* may be used by the caller to differentiate between template
instances in the case where there exist multiple instantiations of a TLM-1 interface that differ only in
their transaction type. The caller is not obliged to provide a value for this argument except as
required by the C++ language rules to disambiguate the method call. The body of the interface
method shall not use this argument.
b) In the case of the interface methods put, nb_put, and transport, which pass a transaction object as
a const reference argument (of type const T&, where T is a class template parameter), the caller
shall initialize or assign the value of the transaction object passed as the actual argument (the one-
and-only argument to put and nb_put and the first argument to transport) with a value representing
the transaction instance being sent before executing the method call.
c) In the case of the interface methods get, peek, nb_get, nb_peek, and transport, which return a
transaction object though a non-const reference argument (of type T&, where T is a class template
parameter), the callee shall (for get, peek, transport) or may (for nb_get, nb_peek) assign a value
to the formal argument representing the transaction instance being returned.
d) In either case, subsequent to initializing or assigning a value to the actual or formal argument,
respectively, neither caller nor callee shall modify the value of this transaction object (directly or
indirectly) until after the return from the interface method call, bearing in mind that in some cases
the method call may block and that there may exist concurrent SystemC processes (within the caller
or the callee) with access to the actual or formal argument that may execute while the interface
method itself is suspended.
e) In the case of the interface methods get, peek, and transport that have a non-void return type, the
transaction object is returned by value, so the issue of modifying the transaction object during the
method call does not arise.
f) The lifetime of a transaction object passed to a TLM-1 interface method is determined by the rules
of the C++ language, remembering that a transaction object is either passed as a reference argument
to an interface method call or is returned by value from an interface method call.
g) A transaction object passed as an argument to a TLM-1 interface method shall represent a valid
transaction instance from the point when the corresponding actual or formal argument is initialized
or assigned a value representing the transaction instance to the point following the return from the
interface method call. For example, in the case of transport, the request object is valid from the
point when it is initialized or assigned a value prior to the call to transport to the point following the
return from transport, and the response object is valid from the point when the formal argument is
assigned a value within the implementation of transport to the point following the return from
Authorized licensed use limited to: Furkan Tuncer. Downloaded on October 16,2017 at 17:05:54 UTC from IEEE Xplore. Restrictions apply.
IEEE Std 1666-2011
IEEE Standard for Standard SystemC® Language Reference Manual
551
Copyright © 2012 IEEE. All rights reserved.
transport. (This standard does not define any obligations regarding the validity of the transaction
object beyond this point. In other words, the transaction object is valid on return from the interface
method call, but it is up to each application to determine the fate of the transaction object from that
point on.)
h) The recipient of a transaction may take a copy of the transaction object for subsequent processing, in
which case the application shall be responsible for ensuring that the copy is destroyed when it is no
longer needed.
17.1.7 Constraints on the transaction data type
a) The intent of the recommendation below is to ensure the integrity of the message-passing semantics
between sender and recipient, and to exclude the possibility of communication through shared
memory.
b) If a transaction object contains pointers or references, the recipient of the transaction should not
modify the contents of the storage accessible through those pointers or references.
c) The data type of the transaction object should have deep copy semantics such that if the recipient
takes a copy of the actual or formal argument that represents the transaction (using C++
initialization or assignment), any subsequent modification to the copy should not modify the
original.
d) The above constraint could be met in various ways. For example, the transaction object data type
could implement copy-on-write semantics such that the original transaction and the copy both have
internal pointers to an area of shared memory, but any assignment to either object causes a separate
copy to be made.
e) The application shall provide a destructor for any transaction class that has non-trivial destruction
semantics (such as a transaction with non-trivial deep copy semantics). The application shall be
responsible for ensuring that each transaction object is destroyed when it is no longer required.
f) If the transaction object data type does not adhere to the above constraints, for example, if it creates
shallow copies of pointers, then it is the responsibility of the application to ensure that an
appropriate communication protocol is followed to ensure message-passing semantics.
17.2 TLM-1 fifo interfaces
17.2.1 Description
Class tlm_fifo_debug_if is an interface proper that provides debug access to a tlm_fifo. Class
tlm_fifo_put_if and tlm_fifo_get_if are interfaces proper that combine the tlm_fifo_debug_if with the
tlm_put_if and the tlm_get_peek_if, respectively. Each of these three interfaces is implemented by the
predefined channel tlm_fifo.
17.2.2 Class Definition
namespace tlm {
// Fifo debug interface
template< typename T >
class tlm_fifo_debug_if : public virtual sc_core::sc_interface
{
public:
virtual int used() const = 0;
virtual int size() const = 0;
virtual void debug() const = 0;
Authorized licensed use limited to: Furkan Tuncer. Downloaded on October 16,2017 at 17:05:54 UTC from IEEE Xplore. Restrictions apply.
IEEE Std 1666-2011
IEEE Standard for Standard SystemC® Language Reference Manual
552
Copyright © 2012 IEEE. All rights reserved.
virtual bool nb_peek( T & , int n ) const = 0;
virtual bool nb_poke( const T & , int n = 0 ) = 0;
};
// Fifo interfaces
template < typename T >
class tlm_fifo_put_if :
public virtual tlm_put_if<T> ,
public virtual tlm_fifo_debug_if<T> {};
template < typename T >
class tlm_fifo_get_if :
public virtual tlm_get_peek_if<T> ,
public virtual tlm_fifo_debug_if<T> {};
} // namespace tlm
17.2.3 Member functions
The following member functions are all pure virtual functions. The descriptions refer to the expected
definitions of the functions when overridden in a channel that implements this interface. The precise
semantics will be channel-specific.
Member function used shall return the number of items currently available to be retrieved from the fifo
using get or nb_get.
Member function size shall return the current size of the fifo, that is, the maximum number of items that the
fifo can hold at any instant.
Member function debug shall print diagnostic information pertaining to the current state of the fifo to
standard output.
Member function nb_peek shall return a reference to the item at a given position in the fifo, where position
0 holds the item that will next be retrieved by get or nb_get, and position used()-1 holds the item most
recently inserted by put or nb_put. If there is no item at the given position or the given position is negative,
nb_peek shall return the value false, or otherwise true.
Member function nb_poke shall overwrite the item at a given position in the fifo with another item passed
as an argument, where position 0 holds the item that will next be retrieved by get or nb_get, and position
used()-1 holds the item most recently inserted by put or nb_put. If there is no item at the given position or
the given position is negative, nb_peek shall return the value false, or otherwise true.
17.3 tlm_fifo
17.3.1 Description
Class tlm_fifo is a predefined primitive channel intended to model the behavior of a fifo, that is, a first-in-
first-out buffer. Each TLM fifo has a number of slots for storing items. The number of slots is set when the
object is constructed but a TLM fifo may be resized after construction and may be unbounded. The primary
differences between classes tlm_fifo and sc_fifo are that first, the tlm_fifo implements the TLM-1 message-
passing interface as opposed to the SystemC fifo interface, and second, a tlm_fifo may be resized or
unbounded rather than having a fixed size. In the following description, the term fifo refers to an object of
class tlm_fifo.
Authorized licensed use limited to: Furkan Tuncer. Downloaded on October 16,2017 at 17:05:54 UTC from IEEE Xplore. Restrictions apply.
IEEE Std 1666-2011
IEEE Standard for Standard SystemC® Language Reference Manual
553
Copyright © 2012 IEEE. All rights reserved.
Each fifo shall implement the semantics of the tlm_put_if, tlm_get_if, tlm_peek_if, and tlm_fifo_debug_if
as described above by storing the sequence of transaction objects passed through those interfaces in a single
first-in-first-out buffer. Calls to get or nb_get shall retrieve transactions from the fifo in the same sequence
in which transactions were previously inserted into the fifo using calls to put or nb_put. Whenever a
transaction object is retrieved from the fifo through a call to get or nb_get, the fifo shall not retain any
internal copy of or reference to the retrieved transaction object.
Class tlm_fifo shall implement delta cycle semantics as described below.
17.3.2 Class Definition
namespace tlm {
template <typename T>
class tlm_fifo :
public virtual tlm_fifo_get_if<T>,
public virtual tlm_fifo_put_if<T>,
public sc_core::sc_prim_channel
{
public:
explicit tlm_fifo( int size_ = 1 );
explicit tlm_fifo( const char* name_, int size_ = 1 );
virtual ~tlm_fifo();
T get( tlm_tag<T> *t = 0 );
bool nb_get( T& );
bool nb_can_get( tlm_tag<T> *t = 0 ) const;
const sc_core::sc_event &ok_to_get( tlm_tag<T> *t = 0 ) const;
T peek( tlm_tag<T> *t = 0 ) const;
bool nb_peek( T& ) const;
bool nb_can_peek( tlm_tag<T> *t = 0 ) const;
const sc_core::sc_event &ok_to_peek( tlm_tag<T> *t = 0 ) const;
void put( const T& );
bool nb_put( const T& );
bool nb_can_put( tlm_tag<T> *t = 0 ) const;
const sc_core::sc_event& ok_to_put( tlm_tag<T> *t = 0 ) const;
void nb_expand( unsigned int n = 1 );
void nb_unbound( unsigned int n = 16 );
bool nb_reduce( unsigned int n = 1 );
bool nb_bound( unsigned int n );
bool nb_peek( T & , int n ) const;
bool nb_poke( const T & , int n = 0 );
int used() const;
int size() const;
void debug() const;
const char* kind() const;
} // namespace tlm
Authorized licensed use limited to: Furkan Tuncer. Downloaded on October 16,2017 at 17:05:54 UTC from IEEE Xplore. Restrictions apply.
IEEE Std 1666-2011
IEEE Standard for Standard SystemC® Language Reference Manual
554
Copyright © 2012 IEEE. All rights reserved.
17.3.3 Template parameter T
The typename argument passed to template tlm_fifo shall be either a C++ type for which the predefined
semantics for assignment are adequate (for example, a fundamental type or a pointer) or a type T that obeys
each of the following rules:
a) If the default assignment semantics are inadequate to assign the state of the object, the following
assignment operator should be defined for the type T. The implementation shall use this operator to
copy the value being written into a fifo slot or the value being read out of a fifo slot.
const T& operator= ( const T& );
b) If any constructor for type T exists, a default constructor for type T shall be defined.
NOTE 1—The assignment operator is not obliged to assign the complete state of the object, although it should typically
do so. For example, diagnostic information may be associated with an object that is not to be propagated through the
fifo.
NOTE 2—The SystemC data types proper (sc_dt::sc_int, sc_dt::sc_logic, and so forth) all conform to the above rule set.
NOTE 3—It is legal to pass type sc_module* through a fifo, although this would be regarded as an abuse of the module
hierarchy and thus bad practice.
17.3.4 Constructors and destructor
explicit tlm_fifo( int size_ = 1 );
This constructor shall call the base class constructor from its initializer list as follows:
sc_prim_channel( sc_gen_unique_name( "fifo" ) )
explicit tlm_fifo( const char* name_, int size_ = 1 );
This constructor shall call the base class constructor from its initializer list as follows:
sc_prim_channel( name_ )
Both constructors shall initialize the number of slots in the fifo using the value given by the parameter size_.
This value may be positive, negative, or zero. A positive value shall indicate a bounded fifo of the given
size, and a negative value shall indicate an unbounded fifo. A bounded fifo may become full, an unbounded
fifo cannot become full, and the behavior of a fifo with a size equal to 0 shall be undefined.
virtual ~tlm_fifo();
The destructor shall delete the first-in-first-out buffer and shall delete all transaction objects.
17.3.5 Member functions
The member functions of the interfaces tlm_put_if, tlm_get_if, and tlm_peek_if shall be implemented as
described in 17.1 with the addition of the delta cycle semantics described in 17.3.6.
void nb_expand( unsigned int n = 1 );
Member function nb_expand shall increase the size of a bounded fifo by the value passed as an
argument (new_size = previous_size + n), and shall cause the event returned by ok_to_put to be
notified in the immediately following update phase of the fifo. If the fifo is unbounded, the behavior
of nb_expand shall be undefined.
Authorized licensed use limited to: Furkan Tuncer. Downloaded on October 16,2017 at 17:05:54 UTC from IEEE Xplore. Restrictions apply.
IEEE Std 1666-2011
IEEE Standard for Standard SystemC® Language Reference Manual
555
Copyright © 2012 IEEE. All rights reserved.
void nb_unbound( unsigned int n = 16 );
Member function nb_unbound shall cause the fifo to become unbounded, and shall cause the event
returned by ok_to_put to be notified in the immediately following update phase of the fifo,
regardless of whether or not the fifo was previously unbounded. If the value passed as an argument
is greater than the current size of the fifo, nb_unbound shall resize the fifo to that value; otherwise,
the size of the fifo shall remain unaltered.
bool nb_reduce( unsigned int n = 1 );
Member function nb_reduce shall return true and shall reduce the size of a bounded fifo by the
value passed as an argument provided that the new size is not less than the number of items currently
in the fifo (new_size = max(previous_size - n, used)). If the proposed size is less than the number of
items currently in the fifo nb_reduce shall return false and shall reduce the size to the number of
items currently in the fifo. If the fifo is unbounded, nb_reduce shall return false without modifying
the size.
bool nb_bound( unsigned int n );
Member function nb_bound shall cause the fifo to become bounded regardless of whether or not the
fifo was previously bounded. The size of the fifo shall be set to the value passed as an argument or to
the number of items currently in the fifo, whichever is the greater (new_size = max(n, used)).
nb_bound shall return true if and only if the new size of the fifo is equal to the value passed as an
argument.
bool nb_peek( T & , int n ) const;
Member function nb_peek shall return the item at a given position in the fifo, where position 0
holds the item that will next be retrieved by get or nb_get, and position used()-1 holds the item most
recently inserted by put or nb_put. If there is no item at the given position or the given position is
negative, nb_peek shall return the value false, or otherwise true.
bool nb_poke( const T & , int n = 0 );
Member function nb_poke shall overwrite the item at a given position in the fifo with another item
passed as an argument, where position 0 holds the item that will next be retrieved by get or nb_get,
and position used()-1 holds the item most recently inserted by put or nb_put. If there is no item at
the given position or the given position is negative, nb_peek shall return the value false, or
otherwise true.
int used() const;
Member function used shall return the number of items currently available to be retrieved from the
fifo using get, nb_get, or nb_peek or modified using nb_poke. Member functions put and nb_put
may cause the value of used to be increased in the next update phase, member functions get and
nb_get may cause the value of used to be decreased immediately, and member functions peek,
nb_peek, and nb_poke shall not change the value of used.
int size() const;
Member function size shall return the current size of the fifo, that is, the maximum number of items
that the fifo can hold at any instant. The fifo may be re-sized. A non-negative size shall indicate that
the fifo is bounded, that is, can become full. For non-negative size, member functions put, nb_put,
get, and nb_get shall not change the value of size. A negative size shall indicated that the fifo is
unbounded, in which case the actual value of size is undefined.
Authorized licensed use limited to: Furkan Tuncer. Downloaded on October 16,2017 at 17:05:54 UTC from IEEE Xplore. Restrictions apply.
IEEE Std 1666-2011
IEEE Standard for Standard SystemC® Language Reference Manual
556
Copyright © 2012 IEEE. All rights reserved.
void debug() const;
Member function debug shall print diagnostic information pertaining to the current state of the fifo
to standard output. The detail of the diagnostic information is undefined.
const char* kind() const;
Member function kind shall return the string "tlm_fifo".
17.3.6 Delta cycle semantics
Any transactions inserted into the fifo by calls to put or nb_put shall only become available to get, nb_get,
peek, or nb_peek in the next delta cycle, although they shall have an immediate effect on any subsequent
calls to put or nb_put in the current evaluation phase with respect to the fifo becoming full.
Any vacated slots created in the fifo by a calls to get or nb_get shall only become available to put or nb_put
in the next delta cycle, although they shall have an immediate effect on any subsequent calls to get or
nb_get in the current evaluation phase.
In other words, calls to put, nb_put, get, or nb_get in a given evaluation phase shall cause relevant state
variables to be modified in the update phase of the primitive channel such that the effect only becomes
visible in the immediately following evaluation phase. This shall include the notification of the events
returned by the member functions ok_to_put, ok_to_get, and ok_to_peek.
For example, a sequence of calls to put on an empty fifo within a given evaluation phase may cause the fifo
to become full and put to block, even though nb_get would still return false. Similarly, a sequence of calls
to get on a full fifo within a given evaluation phase may cause the fifo to become empty and get to block,
even though nb_put would still return false.
The member functions nb_peek and nb_poke of class tlm_fifo_debug_if do not have access to any
transactions inserted into the fifo by calls to put or nb_put in the current evaluation phase, nor do they have
access to any transctions already removed from the fifo by calls to get or nb_get in the current evaluation
phase.
Example:
struct Top: sc_module
{
typedef tlm_fifo<int> fifo_t;
fifo_t *fifo;
Top(sc_module_name _name)
{
fifo = new fifo_t(2); // Construct bounded fifo with size of 2
SC_THREAD(T1);
SC_THREAD(T2);
}
sc_dt::uint64 delta;
void T1()
{
sc_assert( fifo->size() == 2 );
Authorized licensed use limited to: Furkan Tuncer. Downloaded on October 16,2017 at 17:05:54 UTC from IEEE Xplore. Restrictions apply.
IEEE Std 1666-2011
IEEE Standard for Standard SystemC® Language Reference Manual
557
Copyright © 2012 IEEE. All rights reserved.
for (int i = 0; i < 4; i++)
fifo->put(i); // The third call will block
fifo->nb_expand(2); // Increase fifo size
sc_assert( fifo->size() == 4 );
for (int i = 4; i < 8; i++)
fifo->put(i);
sc_assert( fifo->nb_reduce(3) ); // Decrease fifo size
sc_assert( fifo->size() == 1 );
for (int i = 8; i < 12; i++)
fifo->put(i); // The second call will block
fifo->nb_unbound(); // Make fifo unbounded
sc_assert( fifo->size() < 0 );
delta = sc_delta_count();
for (int i = 101; i <= 104; i++)
fifo->put(i);
sc_assert( sc_delta_count() == delta );
sc_assert( fifo->used() == 0 );
}
void T2()
{
for (int i = 0; i < 12; i++)
sc_assert( fifo->get() == i );
sc_assert( fifo->get() == 101 );
sc_assert( fifo->used() == 3 );
sc_assert( sc_delta_count() == delta + 1 );
sc_assert( fifo->get() == 102 );
sc_assert( fifo->used() == 2 );
sc_assert( sc_delta_count() == delta + 1 );
sc_assert( fifo->get() == 103 );
sc_assert( fifo->used() == 1 );
sc_assert( sc_delta_count() == delta + 1 );
sc_assert( fifo->get() == 104 );
sc_assert( fifo->used() == 0 );
sc_assert( sc_delta_count() == delta + 1 );
}
SC_HAS_PROCESS(Top);
};
Authorized licensed use limited to: Furkan Tuncer. Downloaded on October 16,2017 at 17:05:54 UTC from IEEE Xplore. Restrictions apply.
IEEE Std 1666-2011
IEEE Standard for Standard SystemC® Language Reference Manual
558
Copyright © 2012 IEEE. All rights reserved.
17.4 Analysis interface and analysis ports
Analysis ports are intended to support the distribution of transactions to multiple components for analysis,
meaning tasks such as checking for functional correctness or collecting functional coverage statistics. The
key feature of analysis ports is that a single port can be bound to multiple channels or subscribers such that
the port itself replicates each call to the interface method write with each subscriber. An analysis port can be
bound to zero or more subscribers or other analysis ports, and can be unbound.
Class tlm_analysis_port is derived from class sc_object, not from class sc_port, so an analysis port is not
technically a port. Analysis ports can be instantiated, deleted, bound, and unbound dynamically during
simulation.
Each subscriber implements the write method of the tlm_analysis_if. The method is passed a const
reference to a transaction, which a subscriber may process immediately. Otherwise, if the subscriber wishes
to extend the lifetime of the transaction, it is obliged to take a deep copy of the transaction object, at which
point the subscriber effectively becomes the initiator of a new transaction and is thus responsible for the
memory management of the copy.
Analysis ports should not be used in the main operational pathways of a model, but only where data is
tapped off and passed to the side for analysis. Interface tlm_analysis_if is derived from tlm_write_if. The
latter interface is not specific to analysis, and may be used for other purposes. For example, see 16.3.
The tlm_analysis_fifo is simply an infinite tlm_fifo that implements the tlm_analysis_if to write a
transaction to the fifo.
17.4.1 Class definition
namespace tlm {
// Write interface
template <typename T>
class tlm_write_if : public virtual sc_core::sc_interface {
public:
virtual void write( const T& ) = 0;
};
// Analysis interface
template < typename T >
class tlm_analysis_if : public virtual tlm_write_if<T>
{
};
// Analysis port
template < typename T>
class tlm_analysis_port : public sc_core::sc_object , public virtual tlm_analysis_if< T >
{
public:
tlm_analysis_port();
tlm_analysis_port( const char * );
// bind and () work for both interfaces and analysis ports,
// since analysis ports implement the analysis interface
virtual void bind( tlm_analysis_if<T> & );
void operator() ( tlm_analysis_if<T> & );
Authorized licensed use limited to: Furkan Tuncer. Downloaded on October 16,2017 at 17:05:54 UTC from IEEE Xplore. Restrictions apply.
IEEE Std 1666-2011
IEEE Standard for Standard SystemC® Language Reference Manual
559
Copyright © 2012 IEEE. All rights reserved.
virtual bool unbind( tlm_analysis_if<T> & );
void write( const T & );
};
// Analysis fifo - an unbounded tlm_fifo
template< typename T >
class tlm_analysis_fifo :
public tlm_fifo< T > ,
public virtual tlm_analysis_if< T > ,
public:
tlm_analysis_fifo( const char *nm ) : tlm_fifo<T>( nm, –16 ) {}
tlm_analysis_fifo() : tlm_fifo<T>( –16 ) {}
void write( const T &t ) { nb_put( t ); }
};
} // namespace tlm
17.4.2 Rules
a) tlm_write_if and tlm_analysis_if (and their delayed variants) are unidirectional, non-negotiated,
non-blocking transaction-level interfaces, meaning that the callee has no choice but to accept
immediately the transaction passed as an argument.
b) The constructor shall pass any character string argument to the constructor belonging to the base
class sc_object to set the string name of the instance in the module hierarchy.
c) The bind method shall register the subscriber passed as an argument with the analysis port instance
so that any call to the write method shall be passed on to the registered subscriber. Multiple
subscribers may be registered with a single analysis port instance.
d) The implementation of operator() shall achieve its effect by calling the virtual method bind.
e) There may be zero subscribers registered with any given analysis port instance, in which case calls
to the write method shall not be propagated.
f) The unbind method shall reverse the effect of the bind method; that is, the subscriber passed as an
argument shall be removed from the list of subscribers to that analysis port instance.
g) The bind and unbind methods can be called during elaboration or can be called dynamically during
simulation.
h) The write method of class tlm_analysis_port shall call the write method of every subscriber
registered with that analysis port instance, passing on the argument as a const reference.
i) The write method is non-blocking. It shall not call wait.
j) The write method shall not modify the transaction object passed as a const reference argument, nor
shall it modify any data associated with the transaction object (such as the data and byte enable
arrays of the generic payload).
k) If the implementation of the write method in a subscriber is unable to process the transaction before
returning control to the caller, the subscriber shall be responsible for taking a deep copy of the
transaction object and for managing any memory associated with that copy thereafter.
l) The constructors of class tlm_analysis_fifo shall each construct an unbounded tlm_fifo.
m) The write methods of class tlm_analysis_fifo shall call the nb_put method of the base class
tlm_fifo, passing on their argument to nb_put.
Authorized licensed use limited to: Furkan Tuncer. Downloaded on October 16,2017 at 17:05:54 UTC from IEEE Xplore. Restrictions apply.
IEEE Std 1666-2011
IEEE Standard for Standard SystemC® Language Reference Manual
560
Copyright © 2012 IEEE. All rights reserved.
Example:
struct Trans // Analysis transaction class
{
int i;
};
struct Subscriber: sc_object, tlm::tlm_analysis_if<Trans>
{
Subscriber(const char* n) : sc_object(n) {}
virtual void write(const Trans& t)
{
cout << "Hello, got " << t.i << "\n"; // Implementation of the write method
}
};
SC_MODULE(Child)
{
tlm::tlm_analysis_port<Trans> ap;
SC_CTOR(Child) : ap("ap")
{
SC_THREAD(thread);
}
void thread()
{
Trans t = {999};
ap.write(t); // Interface method call to the write method of the analysis port
}
};
SC_MODULE(Parent)
{
tlm::tlm_analysis_port<Trans> ap;
Child* child;
SC_CTOR(Parent) : ap("ap")
{
child = new Child("child");
child->ap.bind(ap); // Bind analysis port of child to analysis port of parent
}
};
SC_MODULE(Top)
{
Parent* parent;
Subscriber* subscriber1;
Subscriber* subscriber2;
SC_CTOR(Top)
{
Authorized licensed use limited to: Furkan Tuncer. Downloaded on October 16,2017 at 17:05:54 UTC from IEEE Xplore. Restrictions apply.
IEEE Std 1666-2011
IEEE Standard for Standard SystemC® Language Reference Manual
561
Copyright © 2012 IEEE. All rights reserved.
parent = new Parent("parent");
subscriber1 = new Subscriber("subscriber1");
subscriber2 = new Subscriber("subscriber2");
parent->ap.bind( *subscriber1 ); // Bind analysis port to two separate subscribers
parent->ap.bind( *subscriber2 ); // This is the key feature of analysis ports
}
};
Authorized licensed use limited to: Furkan Tuncer. Downloaded on October 16,2017 at 17:05:54 UTC from IEEE Xplore. Restrictions apply.

IEEE Std 1666-2011
IEEE Standard for Standard SystemC® Language Reference Manual
562
Copyright © 2012 IEEE. All rights reserved.
Annex A
(informative)
Introduction to SystemC
This annex is informative and is intended to aid the reader in the understanding of the structure and intent of
the SystemC class library.
The SystemC class library supports the functional modeling of systems by providing classes to represent the
following:
— The hierarchical decomposition of a system into modules
— The structural connectivity between those modules using ports and exports
— The scheduling and synchronization of concurrent processes using events and sensitivity
— The passing of simulated time
— The separation of computation (processes) from communication (channels)
— The independent refinement of computation and communication using interfaces
— Hardware-oriented data types for modeling digital logic and fixed-point arithmetic
Loosely speaking, SystemC allows a user to write a set of C++ functions (processes) that are executed under
control of a scheduler in an order that mimics the passage of simulated time and that are synchronized and
communicate in a way that is useful for modeling electronic systems containing hardware and embedded
software. The processes are encapsulated in a module hierarchy that captures the structural relationships and
connectivity of the system. Inter-process communication uses a mechanism, the interface method call, that
facilities the abstraction and independent refinement of system-level interfaces.
Figure A-1—SystemC language architecture
Application
Written by the end user
Methodology- and technology-specific libraries
SystemC verification library, bus models, TLM interfaces
Core language Predefined channels Utilities Data types
Modules
Ports
Processes
Interfaces
Channels
Events
Signal, clock, FIFO,
mutex, semaphore
Report handling,
tracing
4-valued logic type
4-valued logic vectors
Bit vectors
Finite-precision integers
Fixed-point types
Programming language C++
Exports
Limited-precision integers
Authorized licensed use limited to: Furkan Tuncer. Downloaded on October 16,2017 at 17:05:54 UTC from IEEE Xplore. Restrictions apply.
IEEE Std 1666-2011
IEEE Standard for Standard SystemC® Language Reference Manual
563
Copyright © 2012 IEEE. All rights reserved.
The architecture of a SystemC application is shown in Figure A-1. The shaded blocks represent the SystemC
class library itself. The layer shown immediately above the SystemC class library represents standard or
proprietary C++ libraries associated with specific design or verification methodologies or specific
communication channels and is outside the scope of this standard.
The classes of the SystemC library fall into four categories: the core language, the SystemC data types, the
predefined channels, and the utilities. The core language and the data types may be used independently of
one another, although they are more typically used together.
At the core of SystemC is a simulation engine containing a process scheduler. Processes are executed in
response to the notification of events. Events are notified at specific points in simulated time. In the case of
time-ordered events, the scheduler is deterministic. In the case of events occurring at the same point in
simulation time, the scheduler is non-deterministic. The scheduler is non-preemptive (see 4.2.1).
The module is the basic structural building block. Systems are represented by a module hierarchy consisting
of a set of modules related by instantiation. A module can contain the following:
— Ports (see 5.12)
— Exports (see 5.13)
— Channels (see 5.2 and 5.15)
— Processes (see 5.2.10 and 5.2.11)
— Events (see 5.10)
— Instances of other modules (see 4.1.1)
— Other data members
— Other member functions
Modules, ports, exports, channels, interfaces, events, and times are implemented as C++ classes.
The execution of a SystemC application consists of elaboration, during which the module hierarchy is
created, followed by simulation, during which the scheduler runs. Both elaboration and simulation involve
the execution of code both from the application and from the kernel. The kernel is the part of a SystemC
class library implementation that provides the core functionality for elaboration and the scheduler.
Instances of ports, exports, channels, and modules can only be created during elaboration. Once created
during elaboration, this hierarchical structure remains fixed for the remainder of elaboration and simulation
(see Clause 4). Process instances can be created statically during elaboration (see 5.2.9) or dynamically
during simulation (see 5.5). Modules, channels, ports, exports, and processes are derived from a common
base class sc_object, which provides methods for traversing the module hierarchy. Arbitrary attributes
(name-value pairs) can be attached to instances of sc_object (see 5.16).
Instances of ports, exports, channels, and modules can only be created within modules. The only exception
to this rule is top-level modules.
Processes are used to perform computations and hence to model the functionality of a system. Although
notionally concurrent, processes are actually scheduled to execute in sequence. Processes are C++ functions
registered with the kernel during elaboration (static processes) or during simulation (dynamic processes),
and called from the kernel during simulation.
The sensitivity of a process identifies the set of events that would cause the scheduler to execute that process
should those events be notified. Both static and dynamic sensitivity are provided. Static sensitivity is created
at the time the process instance is created, whereas dynamic sensitivity is created during the execution of the
function associated with the process during simulation. A process may be sensitive to named events or to
events buried within channels or behind ports and located using an event finder. Furthermore, dynamic
Authorized licensed use limited to: Furkan Tuncer. Downloaded on October 16,2017 at 17:05:54 UTC from IEEE Xplore. Restrictions apply.
IEEE Std 1666-2011
IEEE Standard for Standard SystemC® Language Reference Manual
564
Copyright © 2012 IEEE. All rights reserved.
sensitivity may be created with a time-out, meaning that the scheduler executes the process after a given
time interval has elapsed (see 4.2.1 and 5.2.14 through 5.2.18).
Channels serve to encapsulate the mechanisms through which processes communicate and hence to model
the communication aspects or protocols of a system. Channels can be used for inter-module communication
or for inter-process communication within a module.
Interfaces provide a means of accessing channels. An interface proper is an abstract class that declares a set
of pure virtual functions (interface methods). A channel is said to implement an interface if it defines all of
the methods (that is, member functions) declared in that interface. The purpose of interfaces is to exploit the
object-oriented type system of C++ in order that channels can be refined independently from the modules
that use them. Specifically, any channel that implements a particular interface can be interchanged with any
other such channel in a context that names that interface type.
The methods defined within a channel are typically called through an interface. A channel may implement
more than one interface, and a single interface may be implemented by more than one channel.
Interface methods implemented in channels may create dynamic sensitivity to events contained within those
same channels. This is a typical coding idiom and results in a so-called blocking method in which the
process calling the method is suspended until the given event occurs. Such methods can only be called from
certain kinds of processes known as thread processes (see 5.2.10 and 5.2.11).
Because processes and channels may be encapsulated within modules, communication between processes
(through channels) may cross boundaries within the module hierarchy. Such boundary crossing is mediated
by ports and exports, which serve to forward method calls from the processes within a module to channels to
which those ports or exports are bound. A port specifies that a particular interface is required by a module,
whereas an export specifies that a particular interface is provided by a module. Ports allow interface method
calls within a module to be independent of the context in which the module is instantiated in the sense that
the module need have no explicit knowledge of the identity of the channels to which its ports are bound.
Exports allow a single module to provide multiple instances of the same interface.
Ports belonging to specific module instances are bound to channel instances during elaboration. The port
binding policy can be set to control whether a port need be bound, but the binding cannot be changed
subsequently. Exports are bound to channel instances that lie within or below the module containing the
export. Hence, each interface method call made through a port or export is directed to a specific channel
instance in the elaborated module hierarchy—the channel instance to which that port is bound.
Ports can only forward method calls up or out of a module, whereas exports can only forward method calls
down or into a module. Such method calls always originate from processes within a module and are directed
to channels instantiated elsewhere in the module hierarchy.
Ports and exports are instances of a templated class that is parameterized with an interface type. The port or
export can only be bound to a channel that implements that particular interface or one derived from it (see
5.12 through 5.14).
There are two categories of channel: hierarchical channels and primitive channels. A hierarchical channel is
a module. A primitive channel is derived from a specific base class (sc_prim_channel) and is not a module.
Hence, a hierarchical channel can contain processes and instances of modules, ports, and other channels,
whereas a primitive channel can contain none of these. It is also possible to define channels derived from
neither of these base classes, but every channel implements one or more interfaces.
Authorized licensed use limited to: Furkan Tuncer. Downloaded on October 16,2017 at 17:05:54 UTC from IEEE Xplore. Restrictions apply.
IEEE Std 1666-2011
IEEE Standard for Standard SystemC® Language Reference Manual
565
Copyright © 2012 IEEE. All rights reserved.
A primitive channel provides unique access to the update phase of the scheduler, enabling the very efficient
implementation of certain communication schemes. This standard includes a set of predefined channels,
together with associated interfaces and ports, as follows:
sc_signal (see 6.4)
sc_buffer (see 6.6)
sc_clock (see 6.7)
sc_signal_resolved (see 6.13)
sc_signal_rv (see 6.17)
sc_fifo (see 6.23)
sc_mutex (see 6.27)
sc_semaphore (see 6.29)
sc_event_queue (see 6.29)
Class sc_signal provides the semantics for creating register transfer level or pin-accurate models of digital
hardware. Class sc_fifo provides the semantics for point-to-point FIFO-based communication appropriate
for models based on networks of communicating processes. Classes sc_mutex and sc_semaphore provide
communication primitives appropriate for software modeling.
This standard includes a set of data types for modeling digital logic and fixed-point arithmetic, as follows:
sc_int<> (see 7.5.4)
sc_uint<> (see 7.5.5)
sc_bigint<> (see 7.6.5)
sc_biguint<> (see 7.6.6)
sc_logic (see 7.9.2)
sc_lv<> (see 7.9.6)
sc_bv<> (see 7.9.6)
sc_fixed<> (see 7.10.18)
sc_ufixed<> (see 7.10.19)
Classes sc_int and sc_uint provide signed and unsigned limited-precision integers with a word length
limited by the C++ implementation. Classes sc_bigint and sc_biguint provide finite-precision integers.
Class sc_logic provides four-valued logic. Classes sc_bv and sc_lv provide two- and four-valued logic
vectors. Classes sc_fixed and sc_ufixed provide signed and unsigned fixed-point arithmetic.
The classes sc_report and sc_report_handler provide a general mechanism for error handling that is used
by the SystemC class library itself and is also available to the user. Reports can be categorized by severity
and by message type, and customized actions can be set for each category of report, such as writing a
message, throwing an exception, or aborting the program (see 8.2 and 8.3).
Authorized licensed use limited to: Furkan Tuncer. Downloaded on October 16,2017 at 17:05:54 UTC from IEEE Xplore. Restrictions apply.
IEEE Std 1666-2011
IEEE Standard for Standard SystemC® Language Reference Manual
566
Copyright © 2012 IEEE. All rights reserved.
Annex B
(informative)
Glossary
This glossary contains brief, informal descriptions for a number of terms and phrases used in this standard.
Where appropriate, the complete, formal definition of each term or phrase is given in the main body of the
standard. Each glossary entry contains either the clause number of the definition in the main body of the
standard or an indication that the term is defined in ISO/IEC 14882:2003.
B.1 abstract class: A class that has or inherits at least one pure virtual function that is not overridden by a
non-pure virtual function. (C++ term)
B.2 adapter: A module that connects a transaction level interface to a pin level interface (in the general
sense of the word interface) or that connects together two transaction level interfaces, often at different
abstraction levels. An adapter may be used to convert between two sockets specialized with different
protocol types. See also: bridge; transactor. (See 14.2.2.)
B.3 application: A C++ program, written by an end user, that uses the SystemC or TLM-2.0 class libraries,
that is, uses classes, calls functions, uses macros, and so forth. An application may use as few or as many
features of C++ as is seen fit and as few or as many features of SystemC as is seen fit. (See 3.1.2.)
B.4 approximately-timed: A modeling style for which there exists a one-to-one mapping between the
externally observable states of the model and the states of some corresponding detailed reference model
such that the mapping preserves the sequence of state transitions but not their precise timing. The degree of
timing accuracy is undefined. See also: cycle-approximate. (See 10.3.4.)
B.5 argument: An expression in the comma-separated list bounded by the parentheses in a function call (or
macro or template instantiation), also known as an actual argument. See also: parameter. (C++ term)
B.6 attach: To associate an attribute with an object by calling member function add_attribute of class
sc_object. (See 5.16.8.)
B.7 attribute (of a transaction): Data that is part of and carried with the transaction and is implemented as
a member of the transaction object. These may include attributes inherent in the bus or protocol being
modeled, and attributes that are artifacts of the simulation model (a timestamp, for example). (See 11.1.2
and 14.7.)
B.8 automatic deletion: A generic payload extension marked for automatic deletion will be deleted at the
end of the transaction lifetime, that is, when the transaction reference count reaches 0. (See 14.21.4.)
B.9 backward path: The calling path by which a target or interconnect component makes interface method
calls back in the direction of another interconnect component or the initiator. (See 10.4.)
B.10 base class sub-object: A sub-object whose type is the base class type of a given object. See also: sub-
object. (C++ term)
B.11 base protocol: A protocol traits class consisting of the generic payload and tlm_phase types, along
with an associated set of protocol rules that together ensure maximal interoperability between transaction-
level models. (See 15.2.)
Authorized licensed use limited to: Furkan Tuncer. Downloaded on October 16,2017 at 17:05:54 UTC from IEEE Xplore. Restrictions apply.
IEEE Std 1666-2011
IEEE Standard for Standard SystemC® Language Reference Manual
567
Copyright © 2012 IEEE. All rights reserved.
B.12 base-protocol-compliant: Obeying all the rules of the TLM-2.0 base protocol. (See 9.1.)
B.13 bidirectional interface: A TLM-1 transaction level interface in which a pair of transaction objects, the
request and the response, are passed in opposite directions, each being passed according to the rules of the
unidirectional interface. For each transaction object, the transaction attributes are strictly read-only in the
period between the first timing point and the end of the transaction lifetime. (See 17.1.1.)
B.14 binding, bound: An asymmetrical association created during elaboration between a port or export on
the one hand and a channel (or another port or export) on the other. If a port (or export) is bound to a
channel, a process can make an interface method call through the port to a method defined in the channel.
Ports can be bound by name or by position. Exports can only be bound by name. See also: Interface
Method Call. (See 4.1.3.)
B.15 bit-select: A class that references a single bit within a multiple-bit data type or an instance of such a
class. Bit-selects are defined for each SystemC numeric type and vector class. Bit-selects corresponding to
lvalues and rvalues of a particular type are distinct classes. (See 7.2.5.)
B.16 bit vector: A class that is derived from class sc_bv_base, or an instance of such a class. A bit vector
implements a multiple-bit data type, where each bit is represented by the symbol “0” or “1”. (See 7.1.)
B.17 blocking: Permitted to call the wait method. A blocking function may consume simulation time or
perform a context switch and, therefore, shall not be called from a method process. A blocking interface
defines only blocking functions.
B.18 blocking transport interface: A blocking interface of the TLM-2.0 standard that contains a single
method b_transport. Beware that there still exists a blocking transport method named transport, part of
TLM-1. (See 11.1.1.)
B.19 body: A compound statement immediately following the parameter declarations and constructor
initializer (if any) of a function or constructor, and containing the statements to be executed by the function.
(C++ term)
B.20 bridge: A component connecting two segments of a communication network together. A bus bridge is
a device that connects two similar or dissimilar memory-mapped buses together. See also: adapter;
transaction bridge; transactor. (See 10.4 and 14.21.3.)
B.21 buffer: An instance of class sc_buffer, which is a primitive channel derived from class sc_signal. A
buffer differs from a signal in that an event occurs on a buffer whenever a value is written to the buffer,
regardless of whether the write causes a value change. An event only occurs on a signal when the value of
the signal changes. (See 6.6.1.)
B.22 call: The term call is taken to mean that a function is called either directly or indirectly by calling an
intermediate function that calls the function in question. (See 3.1.3.)
B.23 caller: In a function call, the sequence of statements from which the given function is called. The
referent of the term may be a function, a process, or a module. This term is used in preference to initiator to
refer to the caller of a function as opposed to the initiator of a transaction.
B.24 callee: In a function call, the function that is called by the caller, or the module in which that function
is defined. The referent of the term may be a function or a module. This term is used in preference to target
to refer to the function body as opposed to the target of a transaction.
Authorized licensed use limited to: Furkan Tuncer. Downloaded on October 16,2017 at 17:05:54 UTC from IEEE Xplore. Restrictions apply.
IEEE Std 1666-2011
IEEE Standard for Standard SystemC® Language Reference Manual
568
Copyright © 2012 IEEE. All rights reserved.
B.25 callback: A member function overridden within a class in the module hierarchy that is called back by
the kernel at certain fixed points during elaboration and simulation. The callback functions are
before_end_of_elaboration, end_of_elaboration, start_of_simulation, and end_of_simulation. (See 4.4.)
B.26 channel: A class that implements one or more interfaces or an instance of such a class. A channel may
be a hierarchical channel or a primitive channel, or if neither of these, it is strongly recommended that a
channel at least be derived from class sc_object. Channels serve to encapsulate the definition of a
communication mechanism or protocol. (See 3.1.4.)
B.27 child: An instance that is within a given module. Module A is a child of module B if module A is
within module B. (See 3.1.4 and 5.16.1.)
B.28 class template: A pattern for any number of classes whose definitions depend on the template
parameters. The compiler treats every member function of the class as a function template with the same
parameters as the class template. A function template is itself a pattern for any number of functions whose
definitions depend on the template parameters. (C++ term)
B.29 clock: An instance of class sc_clock, which is a predefined primitive channel that models the behavior
of a periodic digital clock signal. Alternatively, a clock can be modeled as an instance of the class
sc_signal<bool>. (See 6.7.1.)
B.30 clocked thread process: A thread process that is resumed only on the occurrence of a single explicit
clock edge. A clocked thread process is created using the SC_CTHREAD macro. There are no dynamic
clocked threads. (See 5.2.9 and 5.2.12.)
B.31 combined interfaces: Pre-defined groups of core interfaces used to parameterize the socket classes.
There are four combined interfaces: the blocking and non-blocking forward and backward interfaces. (See
10.6 and 13.1.)
B.32 complete object: An object that is not a sub-object of any other object. If a complete object is of class
type, it is also called a most derived object. (C++ term)
B.33 component: An instance of a SystemC module. This standard recognizes three kinds of component;
the initiator, interconnect component, and target. (See 10.4.)
B.34 concatenation: An object that references the bits within multiple objects as if they were part of a
single aggregate object. (See 7.2.7.)
B.35 contain: The inverse relationship to within between two modules. Module A contains module B if
module B is within module A. (See 3.1.4.)
B.36 convenience socket: A socket class, derived from tlm_initiator_socket or tlm_target_socket, that
implements some additional functionality and is provided for convenience. Several convenience sockets are
provided as utilities. (See 16.1.)
B.37 conversion function: A member function of the form operator type_id that specifies a conversion
from the type of the class to the type type_id. See also: user-defined conversion. (C++ term)
B.38 copy-constructible type: A type T for which T(t) is equivalent to t and &t denotes the address of t.
This includes fundamental types as well as certain classes. (C++ term)
B.39 core interface: One of the specific transaction level interfaces defined in this standard, including the
blocking and non-blocking transport interface, the direct memory interface, and the debug transport
Authorized licensed use limited to: Furkan Tuncer. Downloaded on October 16,2017 at 17:05:54 UTC from IEEE Xplore. Restrictions apply.
IEEE Std 1666-2011
IEEE Standard for Standard SystemC® Language Reference Manual
569
Copyright © 2012 IEEE. All rights reserved.
interface. Each core interface is an interface proper. The core interfaces are distinct from the generic
payload API. (See Clause 9.)
B.40 custom-protocol-compliant: Using the TLM-2.0 standard sockets (or classes derived from these)
specialized with a traits class other than tlm_base_protocol_types and using the TLM-2.0 generic payload.
(See 9.1.)
B.41 cycle-accurate: A modeling style in which it is possible to predict the state of the model in any given
cycle at the external boundary of the model and thus to establish a one-to-one correspondence between the
states of the model and the externally observable states of a corresponding RTL model in each cycle, but
which is not required to re-evaluate explicitly the state of the entire model in every cycle or to represent
explicitly the state of every boundary pin or internal register. This term is only applicable to models that
have a notion of cycles. (See 10.3.7.)
B.42 cycle-approximate: A model for which there exists a one-to-one mapping between the externally
observable states of the model and the states of some corresponding cycle-accurate model such that the
mapping preserves the sequence of state transitions but not their precise timing. The degree of timing
accuracy is undefined. This term is only applicable to models that have a notion of cycles.
B.43 cycle count accurate, cycle count accurate at transaction boundaries: A modeling style in which it
is possible to establish a one-to-one correspondence between the states of the model and the externally
observable states of a corresponding RTL model as sampled at the timing points marking the boundaries of
a transaction. A cycle count accurate model is not required to be cycle-accurate in every cycle, but it is
required to predict accurately both the functional state and the number of cycles at certain key timing points
as defined by the boundaries of the transactions through which the model communicates with other models.
B.44 data member: An object declared within a class definition. A non-static data member is a sub-object
of the class. A static data member is not a sub-object of the class but has static storage duration. Outside of a
constructor or member function of the class or of any derived class, a data member can only be accessed
using the dot . and arrow -> operators. (C++ term)
B.45 declaration: A C++ language construct that introduces a name into a C++ program and specifies how
the C++ compiler is to interpret that name. Not all declarations are definitions. For example, a class
declaration specifies the name of the class but not the class members, while a function declaration specifies
the function parameters but not the function body. See also: definition. (C++ term)
B.46 definition: The complete specification of a variable, function, type, or template. For example, a class
definition specifies the class name and the class members, and a function definition specifies the function
parameters and the function body. See also: declaration. (C++ term)
B.47 delta cycle: A control loop within the scheduler that consists of one evaluation phase followed by one
update phase. The delta cycle mechanism serves to ensure the deterministic simulation of concurrent
processes by separating and alternating the computation (or evaluation) phase and the communication (or
update) phase. (See 4.2.2.)
B.48 delta notification: A notification created as the result of a call to function notify with a zero time
argument. The event is notified one delta cycle after the call to function notify. (See 4.2.1 and 5.10.6.)
B.49 delta notification phase: The control step within the scheduler during which processes are made
runnable as a result of delta notifications. (See 4.2.1.4.)
B.50 during elaboration, during simulation: The phrases during elaboration and during simulation are
used to indicate that an action may or may not happen at these times. The meaning of these phrases is closely
tied to the definition of the elaboration and simulation callbacks. For example, a number of actions that are
Authorized licensed use limited to: Furkan Tuncer. Downloaded on October 16,2017 at 17:05:54 UTC from IEEE Xplore. Restrictions apply.
IEEE Std 1666-2011
IEEE Standard for Standard SystemC® Language Reference Manual
570
Copyright © 2012 IEEE. All rights reserved.
permitted during elaboration are explicitly forbidden from the end_of_elaboration callback. (See 3.1.4 and
4.4.)
B.51 dynamic process: A process created from the end_of_elaboration callback or during simulation.
B.52 dynamic sensitivity: The set of events or time-outs that would cause a process to be resumed or
triggered, as created by the most recent call to the wait method (in the case of a thread process) or the
next_trigger method (in the case of a method process). See also: sensitivity. (See 4.2.)
B.53 effective local time: The current time within a temporally decoupled initiator. effective_local_time =
sc_time_stamp() + local_time_offset. (See 11.1.3.1.)
B.54 elaboration: The execution phase during which the module hierarchy is created and ports are bound.
The execution of a C++ application consists of elaboration followed by simulation. (See Clause 4.)
B.55 error: An obligation on the implementation to generate a diagnostic message using the report-handling
mechanism (function report of class sc_report_handler) with a severity of SC_ERROR. (See 3.2.5.)
B.56 evaluation phase: The control step within the scheduler during which processes are executed. The
evaluation phase is complete when the set of runnable processes is empty. See also: delta cycle. (See
4.2.1.2.)
B.57 event: An object of class sc_event. An event provides the mechanism for synchronization between
processes. The notify method of class sc_event causes an event to be notified at a specific point in time.
(The notification of an event is distinct from an object of type sc_event. The former is a dynamic occurrence
at a unique point in time, and the latter is an object that can be notified many times during its lifetime.) See
also: notification. (See 3.1.4, and 5.10.)
B.58 event expression: A list of events or event lists, separated by either operator& or operator|, and passed
as an argument to either the wait or the next_trigger method. (See 5.9.)
B.59 event finder: A member function of a port class that returns an event within a channel instance to
which the port is bound. An event finder can only be called when creating static sensitivity. (See 5.7.)
B.60 event list: An object of type sc_event_and_list or sc_event_or_list that may be passed as an argument
to member function wait or next_trigger. (See 5.8.)
B.61 exclusion rule: A rule of the base protocol that prevents a request or a response from being sent
through a socket if there is already a request or a response (respectively) in progress through that socket. The
base protocol has two exclusion rules, the request exclusion rule and the response exclusion rule, which act
independently of one another. (See 15.2.6.)
B.62 export: An instance of class sc_export. An export specifies an interface provided by a module. During
simulation, a port forwards method calls to the channel to which the export was bound. An export forwards
method calls down and into a module instance. (See 3.1.4 and 5.13.)
B.63 extension: A user-defined object added to and carried around with a generic payload transaction
object, or a user-defined class that extends the set of values that are assignment compatible with the
tlm_phase type. An ignorable extension may be used with the base protocol, but a non-ignorable or
mandatory extension requires the definition of a new protocol traits class. (See 14.21.)
B.64 fifo: An instance of class sc_fifo, which is a primitive channel that models a first-in-first-out buffer.
Alternatively, a fifo can be modeled as a module. (See 6.23.)
Authorized licensed use limited to: Furkan Tuncer. Downloaded on October 16,2017 at 17:05:54 UTC from IEEE Xplore. Restrictions apply.
IEEE Std 1666-2011
IEEE Standard for Standard SystemC® Language Reference Manual
571
Copyright © 2012 IEEE. All rights reserved.
B.65 finite-precision fixed-point type: A class that is derived from class sc_fxnum or an instance of such a
class. A finite-precision fixed-point type represents a signed or unsigned fixed-point value at a precision
limited only by its specified word length, integer word length, quantization mode, and overflow mode. (See
7.1.)
B.66 finite-precision integer: A class that is derived from class sc_signed, class sc_unsigned, or an
instance of such a class. A finite-precision integer represents a signed or unsigned integer value at a
precision limited only by its specified word length. (See 7.1.)
B.67 forward path: The calling path by which an initiator or interconnect component makes interface
method calls forward in the direction of another interconnect component or the target. (See 10.4.)
B.68 generic payload: A specific set of transaction attributes and their semantics together defining a
transaction payload that may be used to achieve a degree of interoperability between loosely-timed and
approximately-timed models for components communicating over a memory-mapped bus. The same
transaction class is used for all modeling styles. (See Clause 14.)
B.69 global quantum: The default time quantum used by every quantum keeper and temporally decoupled
initiator. The intent is that all temporally decoupled initiators should typically synchronize on integer
multiples of the global quantum, or more frequently on demand. (See Clause 12.)
B.70 hierarchical binding: Binding a socket on a child module to a socket on a parent module, or a socket
on a parent module to a socket on a child module, passing transactions up or down the module hierarchy.
(See 16.1.4.)
B.71 hierarchical channel: A class that is derived from class sc_module and that implements one or more
interfaces or, more informally, an instance of such a class. A hierarchical channel is used when a channel
requires its own ports, processes, or module instances. See also: channel). (See 3.1.4 and 5.2.23.)
B.72 hierarchical name: The unique name of an instance within the module hierarchy. The hierarchical
name is composed from the string names of the parent-child chain of module instances starting from a top-
level module and terminating with the string name of the instance being named. The string names are
concatenated and separated with the dot character. (See 5.3.4 and 5.16.4.)
B.73 hop: One initiator socket bound to one target socket. The path from an initiator to a target may consist
of multiple hops, each hop connecting two adjacent components. The number of hops between an initiator
and a target is always one greater than the number of interconnect components along that path. For example,
if an initiator is connected directly to a target with no intervening interconnect components, the number of
hops is one. (See 10.4.)
B.74 ignorable extension: A generic payload extension that may be ignored by any component other than
the component that set the extension. An ignorable extension is not required to be present. Ignorable
extensions are permitted by the base protocol. (See 14.21.1.1.)
B.75 ignorable phase: A phase, created by the macro DECLARE_EXTENDED PHASE, that may be
ignored by any component that receives the phase and that cannot demand a response of any kind. Ignorable
phases are permitted by the base protocol. (See 15.2.5.)
B.76 immediate notification: A notification created as the result of a call to function with an empty
argument list. Any process sensitive to the event becomes runnable immediately. (See 4.2.1 and 5.10.6.)
B.77 implementation: A specific concrete implementation of the full SystemC and TLM-2.0 class libraries,
only the public shell of which need be exposed to the application (for example, parts may be precompiled
and distributed as object code by a tool vendor). See also: kernel. (See 3.1.2.)
Authorized licensed use limited to: Furkan Tuncer. Downloaded on October 16,2017 at 17:05:54 UTC from IEEE Xplore. Restrictions apply.
IEEE Std 1666-2011
IEEE Standard for Standard SystemC® Language Reference Manual
572
Copyright © 2012 IEEE. All rights reserved.
B.78 implement: To create a channel that provides a definition for every pure virtual function declared in
the interface from which it is derived. (See 5.14.1.)
B.79 implicit conversion: A C++ language mechanism whereby a standard conversion or a user-defined
conversion is called implicitly under certain circumstances. User-defined conversions are only applied
implicitly where they are unambiguous, and at most one user-defined conversion is applied implicitly to a
given value. See also: user-defined conversion. (C++ term)
B.80 initialization phase: The first phase of the scheduler, during which every process is executed once
until it suspends or returns. (See 4.2.1.1.)
B.81 initializer list: The part of the C++ syntax for a constructor definition that is used to initialize base
class sub-objects and data members. (Related to the C++ term mem-initializer-list)
B.82 initiator: A module that can initiate transactions. The initiator is responsible for initializing the state of
the transaction object, and for deleting or reusing the transaction object at the end of the transaction's
lifetime. An initiator is usually a master and a master is usually an initiator, but the term initiator means that
a component can initiate transactions, whereas the term master means that a component can take control of a
bus. In the case of the TLM-1 interfaces, the term initiator as defined here may not be strictly applicable, so
the terms caller and callee may be used instead for clarity. (See 10.4.)
B.83 initiator socket: A class containing a port for interface method calls on the forward path and an export
for interface method calls on the backward path. A socket overloads the SystemC binding operators to bind
both the port and the export. (See 13.2.)
B.84 interconnect component: A module that accesses a transaction object, but it does not act as an
initiator or a target with respect to that transaction. An interconnect component may or may not be permitted
to modify the attributes of the transaction object, depending on the rules of the payload. An arbiter or a
router would typically be modeled as an interconnect component, the alternative being to model it as a target
for one transaction and an initiator for a separate transaction. (See 10.4.)
B.85 instance: A particular case of a given category. For example, a module instance is an object of a class
derived from class sc_module. Within the definition of the core language, an instance is typically an object
of a class derived from class sc_object and has a unique hierarchical name. (See 3.1.4.)
B.86 instantiation: The creation of a new object. For example, a module instantiation creates a new object
of a class derived from class sc_module. (See 4.1.1.)
B.87 integer: A limited-precision integer or a finite-precision integer. (See 7.2.1.)
B.88 interface: A class derived from class sc_interface. An interface proper is an interface, and in the
object-oriented sense a channel is also an interface. However, a channel is not an interface proper. (See
3.1.4.)
B.89 Interface Method Call (IMC): A call to an interface method. An interface method is a member
function declared within an interface. The IMC paradigm provides a level of indirection between a method
call and the implementation of the method within a channel such that one channel can be substituted with
another without affecting the caller. (See 4.1.3 and 5.12.1.)
B.90 interface proper: An abstract class derived from class sc_interface but not derived from class
sc_object. An interface proper declares the set of methods to be implemented within a channel and to be
called through a port. An interface proper contains pure virtual function declarations, but typically it
contains no function definitions and no data members. (See 3.1.4 and 5.14.1.)
Authorized licensed use limited to: Furkan Tuncer. Downloaded on October 16,2017 at 17:05:54 UTC from IEEE Xplore. Restrictions apply.
IEEE Std 1666-2011
IEEE Standard for Standard SystemC® Language Reference Manual
573
Copyright © 2012 IEEE. All rights reserved.
B.91 interoperability: The ability of two or more transaction level models from diverse sources to
exchange information using the interfaces defined in this standard. The intent is that models that implement
common memory-mapped bus protocols in the programmers view use case should be interoperable without
the need for explicit adapters. Furthermore, the intent is to reduce the amount of engineering effort needed to
achieve interoperability for models of divergent protocols or use cases, although it is expected that adapters
will be required in general. (See Clause 9.)
B.92 interoperability layer: The subset of classes in this standard that are necessary for interoperability.
The interoperability layer comprises the TLM-2.0 core interfaces, the initiator and target sockets, the generic
payload, tlm_global_quantum and tlm_phase. Closely related to the base protocol. (See Clause 9.)
B.93 kernel: The core of any SystemC implementation including the underlying elaboration and simulation
engines. The kernel honors the semantics defined by this standard but may also contain implementation-
specific functionality outside the scope of this standard. See also: implementation. (See Clause 4.)
B.94 lifetime (of an object): The lifetime of an object starts when storage is allocated and the constructor
call has completed, if any. The lifetime of an object ends when storage is released or immediately before the
destructor is called, if any. (C++ term)
B.95 lifetime (of a transaction): The period of time that starts when the transaction becomes valid and ends
when the transaction becomes invalid. Because it is possible to pool or re-use transaction objects, the
lifetime of a transaction object may be longer than the lifetime of the corresponding transaction. For
example, a transaction object could be a stack variable passed as an argument to multiple put calls of the
TLM-1 interface.
B.96 limited-precision fixed-point type: A class that is derived from class sc_fxnum_fast, or an instance
of such a class. A limited-precision fixed-point type represents a signed or unsigned fixed-point value at a
precision limited by its underlying native C++ floating-point representation and its specified word length,
integer word length, quantization mode, and overflow mode. (See 7.1.)
B.97 limited-precision integer: A class that is derived from class sc_int_base, class sc_uint_base, or an
instance of such a class. A limited-precision integer represents a signed or unsigned integer value at a
precision limited by its underlying native C++ representation and its specified word length. (See 7.1.)
B.98 local quantum: The amount of simulation time remaining before the initiator is required to
synchronize. Typically, the local quantum equals the current simulation time subtracted from the next
largest integer multiple of the global quantum, but this calculation can be overridden for a given quantum
keeper. (See 16.2.)
B.99 local time offset: Time as measured relative to the most recent quantum boundary in a temporally
decoupled initiator. The timing annotation arguments to the b_transport and nb_transport methods are
local time offsets. effective_local_time = sc_time_stamp() + local_time_offset. (See 16.2.)
B.100 logic vector: A class that is derived from class sc_lv_base or an instance of such a class. A logic
vector implements a multiple bit data type, where each bit is represented by a four-valued logic symbol “0”,
“1”, “X”, or “Z”. (See 7.1.)
B.101 loosely-timed: A modeling style that represents minimal timing information sufficient only to
support features necessary to boot an operating system and to manage multiple threads in the absence of
explicit synchronization between those threads. A loosely-timed model may include timer models and a
notional arbitration interval or execution slot length. Some users adopt the practice of inserting random
delays into loosely-timed descriptions in order to test the robustness of their protocols, but this practice does
not change the basic characteristics of the modeling style. (See 10.3.2.)
Authorized licensed use limited to: Furkan Tuncer. Downloaded on October 16,2017 at 17:05:54 UTC from IEEE Xplore. Restrictions apply.
IEEE Std 1666-2011
IEEE Standard for Standard SystemC® Language Reference Manual
574
Copyright © 2012 IEEE. All rights reserved.
B.102 lvalue: An object reference whose address can be taken. The left-hand operand of the built-
inassignment operator must be a non-const lvalue. (C++ term)
B.103 mandatory extension: A generic payload extension that is required to be present on every
transaction that is sent through a socket of a given user-defined protocol type. (See 14.21.1.2.)
B.104 master: This term has no precise technical definition in this standard, but it is used to mean a module
or port that can take control of a memory-mapped bus in order to initiate bus traffic, or a component that can
execute an autonomous software thread and thus initiate other system activity. Generally, a bus master
would be an initiator.
B.105 member function: A function declared within a class definition, excluding friend functions. Outside
of a constructor or member function of the class or of any derived class, a non-static member function can
only be accessed using the dot . and arrow -> operators. See also: method. (C++ term)
B.106 memory manager: A user-defined class that performs memory management for a generic payload
transaction object. A memory manager must provide a free method, called when the reference count of the
transaction reaches 0. (See 14.5.)
B.107 method: A function that implements the behavior of a class. This term is synonymous with the C++
term member function. In SystemC, the term method is used in the context of an interface method call.
Throughout this standard, the term member function is used when defining C++ classes (for conformance to
the C++ standard), and the term method is used in more informal contexts and when discussing interface
method calls.
B.108 method process: A process that executes in the thread of the scheduler and is called (or triggered) by
the scheduler at times determined by its sensitivity. An unspawned method process is created using the
SC_METHOD macro, a spawned method process by calling the function sc_spawn. (See 5.2.9 and 5.2.10.)
B.109 module: A class that is derived from class sc_module or, more informally, an instance of such a
class. A SystemC application is composed of modules, each module instance representing a hierarchical
boundary. A module can contain instances of ports, processes, primitive channels, and other modules. (See
3.1.4 and 5.2.)
B.110 module hierarchy: The set of all instances created during elaboration and linked together using the
mechanisms of module instantiation, port instantiation, primitive channel instantiation, process instantiation,
and port binding. The module hierarchy is a subset of the object hierarchy. (See 3.1.4 and Clause 4.)
B.111 multiport: A port that may be bound to more than one channel or port instance. A multiport is used
when an application wishes to bind a port to a set of addressable channels and the number of channels is not
known until elaboration. (See 4.1.3 and 5.12.3.)
B.112 multi-socket: One of a family of convenience sockets that can be bound to multiple sockets
belonging to other components. An initiator multi-socket can be bound to more than one target socket, and
more than one initiator socket can be bound to a single target multi-socket. When calling interface methods
through multi-sockets, the destinations are distinguished using the subscript operator. (See 16.1.4.)
B.113 mutex: An instance of class sc_mutex, which is a predefined channel that models a mutual exclusion
communication mechanism. (See 6.27.1.)
B.114 nb_transport: The nb_transport_fw and nb_transport_bw methods. In this document, the italicized
term nb_transport is used to describe both methods in situations where there is no need to distinguish
between them. (See 11.1.2.4.)
Authorized licensed use limited to: Furkan Tuncer. Downloaded on October 16,2017 at 17:05:54 UTC from IEEE Xplore. Restrictions apply.
IEEE Std 1666-2011
IEEE Standard for Standard SystemC® Language Reference Manual
575
Copyright © 2012 IEEE. All rights reserved.
B.115 non-abstract class: A class that is not an abstract class. (C++ term)
B.116 non-blocking: Not permitted to call the wait method. A non-blocking function is guaranteed to return
without consuming simulation time or performing a context switch and, therefore, may be called from a
thread process or from a method process. A non-blocking interface defines only non-blocking functions.
B.117 non-blocking transport interface: A non-blocking interface of the TLM-2.0 standard. There a two
such interfaces, containing methods named nb_transport_fw and nb_transport_bw. (See 10.3.8.)
B.118 non-ignorable extension: A generic payload extension that, if present, every component receiving
the transaction is obliged to act on. (See 14.21.1.2.)
B.119 notification: The act of scheduling the occurrence of an event as performed by the notify method of
class sc_event. There are three kinds of notification: immediate notification, delta notification, and timed
notification. See also: event. (See 4.2.1 and 5.10.6.)
B.120 notified: An event is said to be notified at the control step of the scheduler in which the event is
removed from the set of pending events and any processes that are currently sensitive to that event are made
runnable. Informally, the event occurs precisely at the point when it is notified. (See 4.2.)
B.121 numeric type: A finite-precision integer, a limited-precision integer, a finite-precision fixed-point
type, or a limited-precision fixed-point type. (See 7.1.)
B.122 object: A region of storage. Every object has a type and a lifetime. An object created by a definition
has a name, whereas an object created by a new expression is anonymous. (C++ term)
B.123 object hierarchy: The set of all objects of class sc_object. Each object has a unique hierarchical
name. Objects that do not belong to the module hierarchy may be created and destroyed dynamically during
simulation. (See 3.1.4 and 5.16.1.)
B.124 occurrence: The notification of an event. Except in the case of immediate notification, a call to the
notify method of class sc_event will cause the event to occur in a later delta cycle or at a later point in
simulation time. Of a time-out: a time-out occurs when the specified time interval has elapsed. (See 5.10.1.)
B.125 opposite path: The path in the opposite direction to a given path. For the forward path, the opposite
path is the forward return path or the backward path. For the backward path, the opposite path is the forward
path or the backward return path. (See 10.4.)
B.126 overload: To create two or more functions with the same name declared in the same scope and that
differ in the number or type of their parameters. (C++ term)
B.127 override: To create a member function in a derived class has the same name and parameter list as a
member function in a base class. (C++ term)
B.128 parameter: An object declared as part of a function declaration or definition (or macro definition or
template parameter), also known as a formal parameter. See also: argument. (C++ term)
B.129 parent: The inverse relationship to child. Module A is the parent of module B if module B is a child
of module A. (See 3.1.4 and 5.16.1.)
B.130 part-select: A class that references a contiguous subset of bits within a multiple-bit data type or an
instance of such a class. Part-selects are defined for each SystemC numeric and vector class. Part-selects
corresponding to lvalues and rvalues of a particular type are distinct classes. (See 7.2.7.)
Authorized licensed use limited to: Furkan Tuncer. Downloaded on October 16,2017 at 17:05:54 UTC from IEEE Xplore. Restrictions apply.
IEEE Std 1666-2011
IEEE Standard for Standard SystemC® Language Reference Manual
576
Copyright © 2012 IEEE. All rights reserved.
B.131 paused: The state of simulation after the scheduler has been exited following a call to sc_pause.
B.132 payload event queue (PEQ): A class that maintains a queue of SystemC event notifications, where
each notification carries an associated transaction object. Transactions are put into the queue annotated with
a delay, and each transaction pops out of the back of queue at the time it was put in plus the given delay.
Useful when combining the non-blocking interface with the approximately-timed coding style. (See 16.3.)
B.133 pending: The state of an event for which a notification has been posted; that is, the notify method has
been called, but the event has not yet been notified.
B.134 phase: A period in the lifetime of a transaction. The phase is passed as an argument to the non-
blocking transport method. Each phase transition is associated with a timing point. The timing point may be
delayed by an amount given by the time argument to nb_transport. (See 11.1.2.6.)
B.135 phase transition: A transition from one phase to another, where the phase is represented by the value
of the phase argument to the non-blocking transport method. Each call to nb_transport, and each return from
nb_transport with a return value of TLM_UPDATED, marks a phase transition. The base protocol does not
permit calls to nb_transport where the value of the phase argument is unchanged from the previous state.
(See 15.2.4.)
B.136 port: A class that is derived from class sc_port or, more informally, an instance of such a class. A
port is the primary mechanism for allowing communication across the boundary of a module. A port
specifies an interface required by a module. During simulation, a port forwards method calls made from a
process within a module to the channel to which the port was bound when the module was instantiated. A
port forwards method calls up and out of a module instance. (See 3.1.4 and 5.12.)
B.137 portless channel access: Calling the member functions of a channel directly and not through a port or
export. (See 5.12.1.)
B.138 primitive channel: A class that is derived from class sc_prim_channel and implements one or more
interfaces or, more informally, an instance of such a class. A primitive channel has access to the update
phase of the scheduler but cannot contain ports, processes, or module instances. (See 3.1.4 and 5.15.)
B.139 process: A process instance belongs to an implementation-defined class derived from class
sc_object. Each process instance has an associated function that represents the behavior of the process. A
process may be a static process, a dynamic process, a spawned process, or an unspawned process. The
process is the primary means of describing a computation. See also: dynamic process; spawned process;
static process; unspawned process. (See 3.1.4.)
B.140 process handle: An object of class sc_process_handle that provides safe access to an underlying
spawned or unspawned process instance. A process handle can be valid or invalid. A process handle
continues to exist in the invalid state even after the associated process instance has been destroyed. (See
3.1.4 and 5.6.)
B.141 programmers view (PV): The use case of the software programmer who requires a functionally
accurate, loosely-timed model of the hardware platform for booting an operating system and running
application software.
B.142 protocol traits class: A class containing a typedef for the type of the transaction object and the phase
type, which is used to parameterize the combined interfaces, and effectively defines a unique type for a
protocol. (See 14.2.2 and 14.2.3.)
B.143 proxy class: A class whose only purpose is to extend the readability of certain statements that would
otherwise be restricted by the semantics of C++. An example is to allow an sc_int variable to be used as if it
Authorized licensed use limited to: Furkan Tuncer. Downloaded on October 16,2017 at 17:05:54 UTC from IEEE Xplore. Restrictions apply.
IEEE Std 1666-2011
IEEE Standard for Standard SystemC® Language Reference Manual
577
Copyright © 2012 IEEE. All rights reserved.
were a C++ array of bool. Proxy classes are only intended to be used for the temporary (unnamed) value
returned by a function. A proxy class constructor shall not be called explicitly by an application to create a
named object. (See 7.2.5.)
B.144 quantum: In temporal decoupling, the amount a process is permitted to run ahead of the current
simulation time. (See 10.3.2, 11.1.1.7, and Clause 12.)
B.145 quantum keeper: A utility class used to store the local time offset from the current simulation time,
which it checks against a local quantum. (See 16.2.)
B.146 request: For the base protocol, the stage during the lifetime of a transaction when information is
passed from the initiator to the target. In effect, the request transports generic payload attributes from the
initiator to the target, including the command, the address, and for a write command, the data array. (The
transaction is actually passed by reference and the data array by pointer.)
B.147 resolved signal: An instance of class sc_signal_resolved or sc_signal_rv, which are signal channels
that may be written to by more than one process, with conflicting values being resolved within the channel.
(See 6.13.1.)
B.148 response: For the base protocol, the stage during the lifetime of a transaction when information is
passed from the target back to the initiator. In effect, the response transports generic payload attributes from
the target back to the initiator, including the response status, and for a read command, the data array. (The
transaction is actually passed by reference and the data array by pointer.)
B.149 resume: To cause a thread or clocked thread process to continue execution starting with the
executable statement immediately following the wait method at which it was suspended, dependent on the
sensitivity of the process. (See 5.2.11.) Also, a member function of class sc_process_handle that cancels the
effect of a previous call to suspend. (See 5.6.6.1.)
B.150 return path: The control path by which the call stack of a set of interface method calls is unwound
along either the forward path or the backward path. The return path for the forward path can carry
information from target to initiator, and the return path for the backward path can carry information from
initiator to target. (See 10.4.)
B.151 rvalue: A value that does not necessarily have any storage or address. An rvalue of fundamental type
can only appear on the right-hand side of an assignment. (C++ term)
B.152 scheduled: The state of an event or of a process as a result of a call to the notify, next_trigger or
wait methods. An event can be scheduled to occur, or a process can be scheduled to be triggered or resumed,
either in a later delta cycle or at a later simulation time.
B.153 scheduler: The part of the kernel that controls simulation and is thus concerned with advancing time,
making processes runnable as events are notified, executing processes, and updating primitive channels.
(See Clause 4.)
B.154 sensitivity: The set of events or time-outs that would cause a process to be resumed or triggered.
Sensitivity make take the form of static sensitivity or dynamic sensitivity. (See 4.2.)
B.155 signal: An instance of class sc_signal, which is a primitive channel intended to model relevant
aspects of the behavior of a simple wire as appropriate for digital hardware simulation. (See 3.1.4 and 6.4.)
B.156 signature: The information about a function relevant to overload resolution, such as the types of its
parameters and any qualifiers. (C++ term)
Authorized licensed use limited to: Furkan Tuncer. Downloaded on October 16,2017 at 17:05:54 UTC from IEEE Xplore. Restrictions apply.
IEEE Std 1666-2011
IEEE Standard for Standard SystemC® Language Reference Manual
578
Copyright © 2012 IEEE. All rights reserved.
B.157 simple socket: One of a family of convenience sockets that are simple to use because they allow
callback methods to be registered directly with the socket object rather than the socket having to be bound to
another object that implements the required interfaces. The simple target socket avoids the need for a target
to implement both blocking and non-blocking transport interfaces by providing automatic conversion
between the two. (See 16.1.2.)
B.158 simulation: The execution phase that consists of the execution of the scheduler together with the
execution of user-defined processes under the control of the scheduler. The execution of a SystemC
application consists of elaboration followed by simulation. (See Clause 4.)
B.159 slave: This term has no precise technical definition in this standard, but it is used to mean a reactive
module or port on a memory-mapped bus that is able to respond to commands from bus masters, but it is not
able itself to initiate bus traffic. Generally, a slave would be modeled as a target.
B.160 socket: See: initiator socket; target socket.
B.161 spawned process: A process instance created by calling the function sc_spawn. See also: process.
(See 3.1.4 and 5.5.6.)
B.162 specialized port: A class derived from template class sc_port that passes a particular type as the first
argument to template sc_port, and which provides convenience functions for accessing ports of that specific
type. (See 6.8.)
B.163 standard error response: The behavior prescribed by this standard for a generic payload target that
is unable to execute a transaction successfully. A target should either (1) execute the transaction successfully
or (2) set the response status attribute to an error response or c) call the SystemC report handler. (See
14.17.1.)
B.164 statement: A specific category of C++ language construct that is executed in sequence, such as the if
statement, switch statement, for statement, and return statement. A C++ expression followed by a semicolon
is also a statement. (C++ term)
B.165 static process: A process created during the construction of the module hierarchy or from the
before_end_of_elaboration callback.
B.166 static sensitivity: The set of events or time-outs that would cause a process to be resumed or
triggered, as created using the data member sensitive of class sc_module (in the case of an unspawned
process) or using class sc_spawn_options (in the case of a spawned process). See also: sensitivity;
spawned process; unspawned process. (See 4.2.)
B.167 sticky extension: A generic payload extension object that is not deleted (either automatically or
explicitly) at the end of life of the transaction object, and thus remains with the transaction object when it is
pooled. Sticky extensions are not deleted by the memory manager. (See 14.5.)
B.168 string name: A name passed as an argument to the constructor of an instance to provide an identity
for that object within the module hierarchy. The string names of instances having a common parent module
will be unique within that module and that module only. See also: hierarchical name. (See 5.3 and 5.16.4.)
B.169 sub-object: An object contained within another object. A sub-object of a class may be a data member
of that class or a base class sub-object. (C++ term)
B.170 suspend: To cause a process to cease execution by having the associated function call wait. Also, a
member function of class sc_process_handle that causes a process to remain suspended and whose effect
Authorized licensed use limited to: Furkan Tuncer. Downloaded on October 16,2017 at 17:05:54 UTC from IEEE Xplore. Restrictions apply.
IEEE Std 1666-2011
IEEE Standard for Standard SystemC® Language Reference Manual
579
Copyright © 2012 IEEE. All rights reserved.
can be cancelled by calling resume. Also, to cause a process to cease execution by calling member function
suspend of a process handle associated with the process itself. (See 5.6.6.1.)
B.171 synchronize: To yield such that other processes may run, or when using temporal decoupling, to
yield and wait until the end of the current time quantum. (See 10.3.2.)
B.172 synchronization-on-demand: The action of a temporally decoupled process when it yields control
back to the SystemC scheduler so that simulation time may advance and other processes run in addition to
the synchronization points that may occur routinely at the end of each quantum. (See 10.3.3.)
B.173 synchronous reset state: The state entered by a process instance when its reset signal becomes active
or when sync_reset_on is called. When in the synchronous reset state, a process instance is reset each time
it is resumed. (See 5.6.6.3.)
B.174 tagged socket: One of a family of convenience sockets that add an int id tag to every incoming
interface method call in order to identify the socket (or element of a multi-socket) through which the
transaction arrived. (See 16.1.3.4.)
B.175 target: A module that represents the final destination of a transaction, able to respond to transactions
generated by an initiator, but not itself able to initiate new transactions. For a write operation, data is copied
from the initiator to one or more targets. For a read operation, data is copied from one target to the initiator.
A target may read or modify the state of the transaction object. In the case of the TLM-1 interfaces, the term
target as defined here may not be strictly applicable, so the terms caller and callee may be used instead for
clarity. (See 10.4.)
B.176 target socket: A class containing a port for interface method calls on the backward path and an
export for interface method calls on the forward path. A socket also overloads the SystemC binding
operators to bind both port and export. (See 10.4.)
B.177 temporal decoupling: The ability to allow one or more initiators to run ahead of the current
simulation time in order to reduce context switching and thus increase simulation speed. (See 10.3.2.)
B.178 terminated: The state of a thread or clocked thread process when the associated function executes to
completion or executes a return statement and thus control returns to the kernel or after the process has been
killed. Calling function wait does not terminate a thread process. See also: clocked thread process; method
process; thread process. (See 5.2.11 and 5.6.5.)
B.179 thread process: A process that executes in its own thread and is called once only by the scheduler
during initialization. A thread process may be suspended by the execution of a wait method, in which case it
will be resumed under the control of the scheduler. An unspawned thread process is created using the
SC_THREAD macro, a spawned thread process by calling the function sc_spawn. See also: spawned
process; unspawned process. (See 5.2.9 and 5.2.11.)
B.180 time-out: The thing that causes a process to resume or trigger as a result of a call to the wait or
next_trigger method with a time-valued argument. The process that called the method will resume or
trigger after the specific time has elapsed, unless it has already resumed or triggered as a result of an event
being notified. (See 4.2 and 4.2.1.)
B.181 timed notification: A notification created as the result of a call to function notify with a non-zero
time argument. (See 4.2.1 and 5.10.6.)
B.182 timed notification phase: The control step within the scheduler during which processes are made
runnable as a result of timed notifications. (See 4.2.1.5.)
Authorized licensed use limited to: Furkan Tuncer. Downloaded on October 16,2017 at 17:05:54 UTC from IEEE Xplore. Restrictions apply.
IEEE Std 1666-2011
IEEE Standard for Standard SystemC® Language Reference Manual
580
Copyright © 2012 IEEE. All rights reserved.
B.183 timing annotation: The sc_time argument to the b_transport and nb_transport methods. A timing
annotation is a local time offset. The recipient of a transaction is required to behave as if it had received the
transaction at effective_local_time = sc_time_stamp() + local_time_offset. (See 11.1.2.12 and 11.1.3.)
B.184 timing point: A significant time within the lifetime of a transaction. A loosely-timed transaction has
two timing points corresponding to the call to and return from b_transport. An approximately-timed base
protocol transaction has four timing points, each corresponding to a phase transition.
B.185 TLM-1: The first major version of the OSCI Transaction Level Modeling standard. TLM-1 was
released in 2005. (See Clause 9.)
B.186 TLM-2.0: The second major version of the OSCI Transaction Level Modeling standard. TLM-2.0
was first released in 2008 and the OSCI TLM-2.0 LRM was released in 2009. (See Clause 9.)
B.187 TLM-2.0-compliant implementation: An implementation that provides all of the TLM-2.0 classes
described in this standard with the semantics described in this standard, including both the TLM-2.0
interoperability layer and the TLM-2.0 utilities. (See 9.1.)
B.188 top-level module, top-level object: A module or object that is not instantiated within any other
module or process. Top-level modules are either instantiated within sc_main, or in the absence of sc_main,
are identified using an implementation-specific mechanism. (See 3.1.4 and 5.16.1.)
B.189 traits class: In C++ programming, a class that contains definitions such as typedefs that are used to
specialize the behavior of a primary class, typically by having the traits class passed as a template argument
to the primary class. The default template parameter provides the default traits for the primary class. (See
14.2.2 and 14.2.3.)
B.190 transaction: An abstraction for an interaction or communication between two or more concurrent
processes. A transaction carries a set of attributes and is bounded in time, meaning that the attributes are
only valid within a specific time window. The timing associated with the transaction is limited to a specific
set of timing points, depending on the type of the transaction. Processes may be permitted to read or modify
attributes of the transaction, depending on the protocol.
B.191 transaction bridge: A component that acts as the target for an incoming transaction and as the
initiator for an outgoing transaction, usually for the purpose of modeling a bus bridge. See also: bridge. (See
10.4.)
B.192 transaction instance: A unique instance of a transaction. A transaction instance is represented by one
transaction object, but the same transaction object may be re-used for several transaction instances.
B.193 transaction level (TL): The abstraction level at which communication between concurrent processes
is abstracted away from pin wiggling to transactions. This term does not imply any particular level of
granularity with respect to the abstraction of time, structure, or behavior. (See 10.2.)
B.194 transaction object: The object that stores the attributes associated with a transaction. The type of the
transaction object is passed as a template argument to the core interfaces.
B.195 transaction level model, transaction level modeling (TLM): A model at the transaction level and
the act of creating such a model, respectively. Transaction level models typically communicate using
function calls, as opposed to the style of setting events on individual pins or nets as used by RTL models.
(See 10.2.)
B.196 transactor: A module that connects a transaction level interface to a pin level interface (in the
general sense of the word interface) or that connects together two or more transaction level interfaces, often
Authorized licensed use limited to: Furkan Tuncer. Downloaded on October 16,2017 at 17:05:54 UTC from IEEE Xplore. Restrictions apply.
IEEE Std 1666-2011
IEEE Standard for Standard SystemC® Language Reference Manual
581
Copyright © 2012 IEEE. All rights reserved.
at different abstraction levels. In the typical case, the first transaction level interface represents a memory-
mapped bus or other protocol, and the second interface represents the implementation of that protocol at a
lower abstraction level. However, a single transactor may have multiple transaction level or pin level
interfaces. See also: adapter; bridge.
B.197 transparent component: A interconnect component with the property that all incoming interface
method calls are propagated immediately through the component without delay and without modification to
the arguments or to the transaction object (extensions excepted). The intent of a transparent component is to
allow checkers and monitors to pass ignorable phases. (See 15.2.5.)
B.198 transport interface: The one and only bidirectional core interface in TLM-1. The transport interface
passes a request transaction object from caller to callee, and it returns a response transaction object from
callee to caller. TLM-2.0 adds separate blocking and non-blocking transport interfaces. (See 10.3.8.)
B.199 trigger: To cause the member function associated with a method process instance to be called by the
scheduler, dependent on its sensitivity. See also: method process; sensitivity. (See 5.2.10.)
B.200 unidirectional interface: A TLM-1 transaction level interface in which the attributes of the
transaction object are strictly read-only in the period between the first timing point and the end of the
transaction lifetime. Effectively, the information represented by the transaction object is strictly passed in
one direction either from caller to callee or from callee to caller. In the case of void put(const T& t), the
first timing point is marked by the function call. In the case of void get(T& t), the first timing point is
marked by the return from the function. In the case of T get(), strictly speaking there are two separate
transaction objects, and the return from the function marks the degenerate end-of-life of the first object and
the first timing point of the second. (See 17.1.1.)
B.201 unspawned process: A process created by invoking one of the three macros SC_METHOD,
SC_THREAD, or SC_CTHREAD during elaboration. See also: process. (See 3.1.4 and 4.1.2.)
B.202 untimed: A modeling style in which there is no explicit mention of time or cycles, but which includes
concurrency and sequencing of operations. In the absence of any explicit notion of time as such, the
sequencing of operations across multiple concurrent threads must be accomplished using synchronization
primitives such as events, mutexes, and blocking FIFOs. Some users adopt the practice of inserting random
delays into untimed descriptions in order to test the robustness of their protocols, but this practice does not
change the basic characteristics of the modeling style. (See 10.3.1.)
B.203 update phase: The control step within the scheduler during which the values of primitive channels
are updated. The update phase consists of executing the update method for every primitive channel that
called the request_update method during the immediately preceding evaluation phase. (See 4.2.1.3.)
B.204 undefined: The absence of any obligations on the implementation. Where this standard states that a
behavior or a result is undefined, the implementation may or may not generate an error or a warning. (See
3.3.5.)
B.205 user: The creator of an application, as distinct from an implementor, who creates an implementation.
A user may be a person or an automated process such as a computer program. (See 3.1.2.)
B.206 user-defined conversion: Either a conversion function or a non-explicit constructor with exactly one
parameter. See also: conversion function; implicit conversion. (C++ term)
B.207 utilities: A set of classes of the TLM-2.0 standard that are provided for convenience only and are not
strictly necessary to achieve interoperability between transaction-level models. (See Clause 16.)
Authorized licensed use limited to: Furkan Tuncer. Downloaded on October 16,2017 at 17:05:54 UTC from IEEE Xplore. Restrictions apply.
IEEE Std 1666-2011
IEEE Standard for Standard SystemC® Language Reference Manual
582
Copyright © 2012 IEEE. All rights reserved.
B.208 valid: The state of a process handle, or of an object passed to or returned from a function by pointer or
by reference, during any period in which the handle or object is not deleted and its value or behavior remains
accessible to the application. A process handle is valid when it is associated with a process instance. (See
3.3.3 and 5.6.1.)
B.209 variable-precision fixed-point type: Classes sc_fxval and sc_fxval_fast represent variable-
precision fixed-point values that do not model overflow and quantization effects but are used as operand
types and return types by many fixed-point operations. These types are not typically used directly by an
application. (See 7.1.)
B.210 vector: See: bit vector; logic vector. (See 7.1 and 8.5.)
B.211 warning: An obligation on the implementation to generate a diagnostic message using the report-
handling mechanism (function report of class sc_report_handler) with a severity of SC_WARNING. (See
3.3.5.)
B.212 within: The relationship that exists between an instance and a module if the constructor of the
instance is called from the constructor of the module, and also provided that the instance is not within a
nested module. (See 3.1.4.)
B.213 yield: Return control to the SystemC scheduler. For a thread process, to yield is to call wait. For a
method process, to yield is to return from the function.
Authorized licensed use limited to: Furkan Tuncer. Downloaded on October 16,2017 at 17:05:54 UTC from IEEE Xplore. Restrictions apply.
583
Copyright © 2011 IEEE. All rights reserved.
This is an unapproved IEEE Standards Draft, subject to change.
IEEE Std 1666-2011
IEEE Standard for Standard SystemC® Language Reference Manual
Annex C
(informative)
Deprecated features
This annex contains a list of deprecated features. A deprecated feature is a feature that was present in
version 2.0.1 of the OSCI open source proof-of-concept SystemC implementation but is not part of this
standard. Deprecated features may or may not remain in the Accellera Systems Initiative implementation in
the future. The user is strongly discouraged from using deprecated features because an implementation is not
obliged to support such features. An implementation may issue a warning on the first occurrence of each
deprecated feature but is not obliged to do so.
a) Functions sc_cycle and sc_initialize (Use sc_start instead)
b) Class sc_simcontext (Replaced by functions sc_delta_count, sc_is_running,
sc_get_top_level_objects, and sc_find_object, and by member functions get_child_objects and
get_parent_object)
c) Type sc_process_b (Replaced by class sc_process_handle)
d) Function sc_get_curr_process_handle (Replaced by function sc_get_current_process_handle)
e) Member function notify_delayed of class sc_event (Use notify(SC_ZERO_TIME) instead)
f) Non-member function notify (Use member function notify of class sc_event instead)
g) Member function timed_out of classes sc_module and sc_prim_channel
h) operator, and operator<< of class sc_module for positional port binding (Use operator() instead)
i) operator() of class sc_module for positional port binding when called more than once per module
instance (Use named port binding instead)
j) Constructors of class sc_port that bind the port at the time of construction of the port object
k) operator() of class sc_sensitive (Use operator<< instead)
l) Classes sc_sensitive_pos and sc_sensitive_neg and the corresponding data members of class
sc_module (Use the event finders pos and neg instead)
m) Member function end_module of class sc_module
n) Default time units and all the associated functions and constructors, including:
1) Function sc_simulation_time
2) Function sc_set_default_time_unit
3) Function sc_get_default_time_unit
4) Function sc_start(double)
5) Constructor sc_clock(const char*, double, double, double, bool)
o) Member function trace of classes sc_object, sc_signal, sc_clock, and sc_fifo (Use sc_trace
instead)
p) Member function add_trace of classes sc_in and sc_inout (Use sc_trace instead)
q) Member function get_data_ref of classes sc_signal and sc_clock (Use member function read
instead)
r) Member function get_new_value of class sc_signal
s) Typedefs sc_inout_clk and sc_out_clk (Use sc_out<bool> instead)
t) Typedef sc_signal_out_if
u) Constant SC_DEFAULT_STACK_SIZE (Function set_stack_size is not deprecated)
v) Constant SC_MAX_NUM_DELTA_CYCLES
Authorized licensed use limited to: Furkan Tuncer. Downloaded on October 16,2017 at 17:05:54 UTC from IEEE Xplore. Restrictions apply.
IEEE Std 1666-2011
IEEE Standard for Standard SystemC® Language Reference Manual
584
Copyright © 2012 IEEE. All rights reserved.
w) Constant SYSTEMC_VERSION (Function sc_version is not deprecated)
x) Support for the wif and isdb trace file formats (The vcd trace file format is not deprecated)
y) Member function sc_set_vcd_time_unit of class vcd_trace_file
z) Function sc_trace_delta_cycles
aa) Function sc_trace for writing enumeration literals to the trace file (Other sc_trace functions are not
deprecated)
ab) Type sc_bit (Use type bool instead)
ac) Macro SC_CTHREAD, except for the case where the second argument is an event finder, which is
still supported
ad) Global and local watching for clocked threads (Use function reset_signal_is instead)
ae) The reporting mechanism based on integer ids and the corresponding member functions of class
sc_report, namely, register_id, get_message, is_suppressed, suppress_id, suppress_infos,
suppress_warnings, make_warnings_errors, and get_id. (Replaced by a reporting mechanism
using string message types)
af) Utility classes sc_string, sc_pvector, sc_plist, sc_phash, and sc_ppq
ag) Macro DECLARE_EXTENDED_PHASE (From TLM-2.0.1. Use
TLM_DECLARE_EXTENDED_PHASE instead)
Authorized licensed use limited to: Furkan Tuncer. Downloaded on October 16,2017 at 17:05:54 UTC from IEEE Xplore. Restrictions apply.
IEEE Std 1666-2011
IEEE Standard for Standard SystemC® Language Reference Manual
585
Copyright © 2012 IEEE. All rights reserved.
Annex D
(informative)
Changes between IEEE Std 1666-2005 and IEEE Std 1666-2011
This annex lists the more significant changes between the above two versions of the SystemC standard and
also lists changes between the OSCI TLM-2.0 Language Reference Manual (version JA32) and this
standard.
a) New process control member functions by which processes can suspend, resume, reset, or kill other
processes or themselves (see 5.6.6).
New types and functions:
sc_descendant_inclusion_info
sc_process_handle::suspend
sc_process_handle::resume
sc_process_handle::disable
sc_process_handle::enable
sc_process_handle::sync_reset_on
sc_process_handle::sync_reset_off
sc_process_handle::reset
sc_process_handle::reset_event
sc_process_handle::kill
sc_process_handle::throw_it
sc_process_handle::is_unwinding
sc_is_unwinding
sc_unwind_exception
b) Any kind of process can have any number of synchronous or asynchronous resets, effectively
unifying thread and clocked thread processes (see 5.2.13).
New and extended objects:
sc_module::reset_signal_is
sc_module::async_reset_signal_is
sc_spawn_options::reset_signal_is
sc_spawn_options::async_reset_signal_is
c) Simulation can be paused, and there is a function to get the current state of simulation (elaboration,
running, paused, stopped, and so forth) (see 4.5.2 and 4.5.8).
New types and functions:
sc_pause
sc_status
sc_get_status
d) The addtion of a starvation policy to sc_start combined with new behavior for sc_start in the case
of event starvation, allowing more control when pausing and restarting simulation (see 4.3.4.2).
New types:
sc_starvation_policy
e) The definition of sc_delta_count has been refined to accommodate sc_start(0) and sc_pause (see
4.5.5).
Authorized licensed use limited to: Furkan Tuncer. Downloaded on October 16,2017 at 17:05:54 UTC from IEEE Xplore. Restrictions apply.
IEEE Std 1666-2011
IEEE Standard for Standard SystemC® Language Reference Manual
586
Copyright © 2012 IEEE. All rights reserved.
f) The definition of immediate notification has been clarified such that a process cannot make itself
runnable as a result of an immediate notification (see 4.2.1.2).
g) New functions to detect pending activity at the current time and at future times (see 4.5.7).
New functions:
sc_pending_activity_at_current_time
sc_pending_activity_at_future_time
sc_pending_activity
sc_time_to_pending_activity
h) There is a function to return the maximum value of simulation time (see 5.11.4).
New functions:
sc_max_time
i) Event lists, as passed to the functions wait and next_trigger, can be constructed as explicit objects,
making it possible to create event lists containing a parameterized or variable number of events (see
5.8).
New types:
sc_event_and_list
sc_event_or_list
j) Events can be given hierarchical names in the same way as sc_objects and can be searched for by
name (see 5.10 and 5.17).
New functions:
sc_module::get_child_events
sc_process_handle::get_child_events
sc_object::get_child_events
sc_event::name
sc_event::basename
sc_event::in_hierarchy
sc_event::get_parent_object
sc_hierarchical_name_exists
sc_get_top_level_events
sc_find_event
k) There is a new operator< in class sc_process_handle so that unique process handles can usefully
be stored in standard containers (see 5.6.5).
New functions:
sc_process_handle::operator<
sc_process_handle::swap
l) The definition of function terminated of class sc_process_handle has changed such that
terminated remains true even after the handle has become invalid (see 5.6.5).
m) A new utility class sc_vector makes it easy to construct vectors of modules, ports, exports, and
channels and to bind vectors of ports (see 8.5).
New types and functions:
sc_vector_base
sc_vector
sc_vector_assembly
Authorized licensed use limited to: Furkan Tuncer. Downloaded on October 16,2017 at 17:05:54 UTC from IEEE Xplore. Restrictions apply.
IEEE Std 1666-2011
IEEE Standard for Standard SystemC® Language Reference Manual
587
Copyright © 2012 IEEE. All rights reserved.
sc_assemble_vector
n) A signal can now only be written once per delta cycle, and there is explicit control over whether a
signal can have one or many writers across different delta cycles (see 6.3).
New types, functions, and template parameters:
sc_writer_policy
sc_signal_write_if::get_writer_policy
WRITER_POLICY
o) The bind function of the standard port and socket classes has been made virtual (see 5.12.7 and
5.13.7).
p) sc_mutex and sc_semaphore are now derived from sc_object rather than from sc_prim_channel,
so they may be instantiated dynamically (see 6.27 and 6.29).
q) There is a new asynchronous version of the request_update method of the primitive channel class
that can be called safely from operating system threads outside of the SystemC kernel (see 5.15.6).
New functions:
sc_prim_channel::async_request_update
r) Many of the constructors to convert C++ build-in types to SystemC fixed-point values have been
made explicit, removing certain cases of type ambiguity in fixed-point expressions.
s) A verbosity argument has been added to SC_INFO reports such that the application can suppress
reports exceeding a given verbosity level (see 8.2.4 and 8.3.5).
New types, functions, and macros:
sc_verbosity
sc_report::get_verbosity
sc_report_handler::set_verbosity_level
sc_report_handler::get_verbosity_level
SC_REPORT_INFO_VERB
t) There is a new namespace sc_unnamed, which includes the Boost argument placeholders _1, _2,
_3, ... and so forth (see 5.5.6).
New namespace:
sc_unnamed
u) The version of the SystemC implementation is now available to the preprocessor using a set of
macros, mirroring a feature already present in TLM-2.0 (see 8.6.5).
New macros:
IEEE_1666_SYSTEMC
SC_VERSION_MAJOR
SC_VERSION_MINOR
SC_VERSION_PATCH
and so forth...
v) The TLM-2.0 implementation can now be accessed through the header "tlm" as well as "tlm.h"(see
10.8).
Authorized licensed use limited to: Furkan Tuncer. Downloaded on October 16,2017 at 17:05:54 UTC from IEEE Xplore. Restrictions apply.
IEEE Std 1666-2011
IEEE Standard for Standard SystemC® Language Reference Manual
588
Copyright © 2012 IEEE. All rights reserved.
w) The terms "base-protocol-compliant," "custom-protocol-compliant," and "TLM-2.0-compliant-
implementation" have been defined (see 9.1).
x) A new option attribute has been added to the TLM-2.0 generic payload to allow the use of the full
set of generic payload attributes with the DMI and debug transport interface (see 14.8).
New types and functions:
tlm_gp_option
tlm_generic_payload::get_gp_option
tlm_generic_payload::set_gp_option
y) There are a few minor TLM-2.0 base protocol changes, not expected to cause backward
compatibility problems. For TLM_IGNORE_COMMAND, the generic payload data pointer may be
null. Also for TLM_IGNORE_COMMAND, the target is free to chose the value returned from the
transport_dbg method (see 11.3.4 and 14.11).
z) The macro DECLARE_EXTENDED_PHASE has been renamed to
TLM_DECLARE_EXTENDED_PHASE (see 15.1).
New macros:
TLM_DECLARE_EXTENDED_PHASE
aa) The permitted values of macro TLM_IS_PRERELEASE have changed from FALSE or TRUE to 0
or 1 (see 10.8.3).
ab) The TLM-1 Message Passing Interface has been given a more full and precise definition (see
Clause 17).
Authorized licensed use limited to: Furkan Tuncer. Downloaded on October 16,2017 at 17:05:54 UTC from IEEE Xplore. Restrictions apply.
IEEE Std 1666-2011
IEEE Standard for Standard SystemC® Language Reference Manual
589
Copyright © 2012 IEEE. All rights reserved.
Index
A
abstract class, glossary 566
abstraction level 415
accept delay 510
acquire 471, 472
adapter 467
b/nb conversion 526
bridge 465
add_attribute, member function
class sc_object 129
address alignment 489, 490
address attribute 475, 476, 478
DMI 476
endianness 489
overlapping 516
transport_dbg 451, 474
allow_none 446
allow_read 446
allow_read_write 446
allow_write 446
analysis port 558
and_reduce, reduction operator 197
application
definition 5
glossary 566
approximately-timed 419
message sequence chart 434
PEQ 541
phase sequence 503
timing annotation 439, 514
timing parameters 510
argument, glossary 566
arithmetic mode
endianness 488, 491
async_request_update, member function 587
class sc_prim_channel 16
scheduling algorithm 17
async_reset_signal_is, member function
class sc_module 24, 46, 585
class sc_spawn_options 24, 63, 585
asynchronous message passing 546
attach
attribute 129
glossary 566
attr_cltn, member function
class sc_object 130
auto-extension 496
B
b_transport 426
base protocol 503
message sequence chart 428
re-entrant 514
simple socket 525
simple sockets 519
switching to nb_transport 516
timing annotation 514
b/nb conversion 526
backward path 421, 431, 433
base class sub-object, glossary 566
base protocol
b_transport 514
causality 510
exclusion rule 510
flow control 511
guidelines 517
memory management 504
phase sequence 503
phase transitions 505
switching between coding styles 516
timing annotation 514
transaction ordering 515
basename, member function
class sc_event 97, 99, 586
class sc_object 126
base-protocol-compliant 588
before_end_of_elaboration, member function 24
class sc_clock 151
class sc_export 117
class sc_module 55
class sc_port 112
class sc_prim_channel 123
BEGIN_REQ 500
BEGIN_RESP 500
base protocol 504
begin, member function
class sc_attr_cltn 133
class sc_fxcast_context 383
class sc_fxtype_context 381
class sc_length_context 377
class sc_vector 406
big-endian 489, 491
binary fixed-point representation 293
bind order 456
bind, member function
class sc_export 115
class sc_in 153
class sc_port 108
class sc_vector 406, 587
class simple_initiator_socket 525
class tlm_analysis_port 559
class tlm_base_initiator_socket 460
binding 463, 522, 534
export binding 14
glossary 567
hierarchical 460, 522, 534
Authorized licensed use limited to: Furkan Tuncer. Downloaded on October 16,2017 at 17:05:54 UTC from IEEE Xplore. Restrictions apply.
IEEE Std 1666-2011
IEEE Standard for Standard SystemC® Language Reference Manual
590
Copyright © 2012 IEEE. All rights reserved.
named binding 53
order 456
port binding 14
positional binding 53
bit concatenation
class sc_concatref 253
vectors 286
bit vector
definition 189
glossary 567
bit-select
definition 194
glossary 567
bit-select classes
finite-precision integer types 244
fixed-point types 299, 367
introduction 194
limited-precision integer types 217
vectors 277
blocking transport interface 426, 546
vs non_blocking 548
vs non-blocking 419
body, glossary 567
Boost, support for the free C++ library 65
bound
glossary 567
port to channel 14
bridge 423, 465, 467, 474, 495
buffer
definition 147
glossary 567
BUSWIDTH 460, 480, 488
byte enable array 475, 480
deep_copy_from 473
endianness 487
update_original_from 473
byte enable length attribute 475, 481
byte enable pointer attribute 475, 480
byte order mode
endianness 491
C
C++ header file 35
C++, relationship with SystemC 2
call
definition 5
glossary 567
callback 525, 543
from kernel 23
glossary 568
called from, definition 5
can, usage 5
cancel_all, member function
class get_with_peq 543
class sc_event_queue 188
cancel, member function
class sc_event 101
canonical signed digit 199
cast_switch, member function
limited-precision fixed-point classes 301
causality
and base protocol 510
channel
glossary 568
hierarchical 6
instance 110
interface proper 117
ordered set of channel instances 109
port binding 54
primitive 6, 119
pure virtual functions 135
trace 153
child
definition 6
get_child_objects, member function 55
glossary 568
port binding 15
class sc_prim_channel 587
class template, glossary 568
classes
sc_attr_base 131
sc_attr_cltn 133
sc_attribute 132
sc_bigint 240
sc_biguint 242
sc_bind_proxy 37
sc_bitref_r 277
sc_buffer 147
sc_bv 273
sc_bv_base 262
sc_clock 149
sc_concatref 253
sc_concref 286
sc_concref_r 286
sc_context_begin 377, 380, 382, 383
sc_event 97
sc_event_and_expr 95
sc_event_and_list 92
sc_event_finder 90
sc_event_finder_t 90
sc_event_or_expr 95
sc_event_or_list 92
sc_event_queue 186
sc_event_queue_if 186
sc_export 113
sc_export_base 113, 114
sc_fifo 173
Authorized licensed use limited to: Furkan Tuncer. Downloaded on October 16,2017 at 17:05:54 UTC from IEEE Xplore. Restrictions apply.
IEEE Std 1666-2011
IEEE Standard for Standard SystemC® Language Reference Manual
591
Copyright © 2012 IEEE. All rights reserved.
sc_fifo_blocking_in_if 171
sc_fifo_in 178
sc_fifo_in_if 171
sc_fifo_nonblocking_in_if 171
sc_fifo_out 179
sc_fifo_out_if 172
sc_fix 346
sc_fix_fast 296, 352
sc_fixed 358
sc_fixed_fast 296, 362
sc_fxcast_context 382
sc_fxcast_switch 381
sc_fxnum 295, 327
sc_fxnum_bitref 367
sc_fxnum_fast 332
sc_fxnum_fast_bitref 367
sc_fxnum_fast_subref 369
sc_fxnum_subref 369
sc_fxtype_context 380
sc_fxtype_params 378
sc_fxval 337
sc_fxval_fast 341
sc_generic_base 256
sc_in 152
sc_in_resolved 164
sc_in_rv 168
sc_in<bool> 153
sc_in<sc_dt::sc_logic> 153
sc_inout 156
sc_inout_resolved 165
sc_inout_rv 169
sc_int 213
sc_int_base 203
sc_int_bitref 218
sc_int_bitref_r 217
sc_int_subref 222
sc_int_subref_r 222
sc_interface 117
sc_length_context 377
sc_length_param 375
sc_logic 257
sc_lv 275
sc_lv_base 267
sc_module 37
sc_module_name 57
sc_mutex 182
sc_mutex_if 182
sc_object 124
sc_out 160
sc_out_resolved 166
sc_out_rv 170
sc_plist (deprecated) 584
sc_port_base 104
sc_ppq (deprecated) 584
sc_prim_channel 16, 119
sc_process_handle 67
sc_pvector (deprecated) 584
sc_report 388
sc_report_handler 391
sc_semaphore 185
sc_semaphore_if 184
sc_sensitive 60
sc_sensitive_neg (deprecated) 583
sc_sensitive_pos (deprecated) 583
sc_signal 139
sc_signal_in_if 135
sc_signal_in_if<bool> 136
sc_signal_in_if<sc_logic> 136
sc_signal_inout_if 137
sc_signal_resolved 161
sc_signal_rv 167
sc_signal_write_if 137
sc_signal<bool> 144
sc_signal<sc_logic> 144
sc_signed 227
sc_signed_bitref 244
sc_signed_bitref_r 244
sc_signed_subref 248
sc_signed_subref_r 248
sc_simcontext (deprecated) 583
sc_spawn_options 61
sc_string (deprecated) 584
sc_subref 280
sc_subref_r 280
sc_switch 381
sc_time 101
sc_trace_file 385
sc_ufix 295, 349
sc_ufixed 295, 360
sc_ufixed_fast 365
sc_uint 215
sc_uint_base 208
sc_uint_bitref 218
sc_uint_bitref_r 218
sc_uint_subref 222
sc_uint_subref_r 222
sc_unsigned 234
sc_unsigned_bitref 245
sc_unsigned_bitref_r 244
sc_unsigned_subref 248
sc_unsigned_subref_r 248
sc_value_base 201
clear_extension 472, 497, 544
clock
class sc_clock 149
glossary 568
thread processes 45
clocked thread process
Authorized licensed use limited to: Furkan Tuncer. Downloaded on October 16,2017 at 17:05:54 UTC from IEEE Xplore. Restrictions apply.
IEEE Std 1666-2011
IEEE Standard for Standard SystemC® Language Reference Manual
592
Copyright © 2012 IEEE. All rights reserved.
arguments for macros 42
glossary 568
introduction 43
reset_signal_is, function 44
clone 473, 495
coding style 415, 416
combined interfaces 423, 455
command attribute 475, 477
DMI 445
transport_dbg 451
complete object
glossary 568
module name 59
compute_local_quantum 454, 539
concat_clear_data, member function
class sc_value_base 202
concat_get_ctrl, member function
class sc_value_base 202
concat_get_data, member function
class sc_value_base 202
concat_get_uint64, member function
class sc_value_base 202
concat_length, member function
class sc_value_base 202
concat_set, member function
class sc_value_base 202
concat, function
integers 255
logic and vector types 289
overview 196
template 292
concatenation
base type 196
bits 286
class sc_value_base 201
glossary 568
integer 253
introduction 196
const
SC_BIND_PROXY_NIL 37
SC_LOGIC_0 261
SC_LOGIC_1 261
SC_LOGIC_X 261
SC_LOGIC_Z 261
SC_ZERO_TIME 103
const_iterator, typedef 133
contain
definition 6
glossary 568
convenience socket 419, 456
conversion function 568
endianness 491
SystemC data types 192
conversion, b/nb 526
co-operative multitasking 17
copy_from 473, 495
copy-constructible type
glossary 568
sc_attribute template 132
core interface 413
co-routine semantics 17
custom-protocol-compliant 588
cycle-accurate 419
D
dagger symbol, usage 7
data array 475, 479
bridge 495
deep_copy_from 473
destructor 474
DMI 445
endianness 487, 488
transport_dbg 451
update_original_from 473
data length attribute 475, 480
endianness 489
transport_dbg 451
data member, glossary 569
data pointer attribute 475, 479
transport_dbg 451
data transfer time 510
data type classes 189
data_read_event, member function
class sc_fifo 177
class sc_fifo_out 180
class sc_fifo_out_if 173
data_read, member function
class sc_fifo_out 180
data_written_event, member function
class sc_fifo 177
class sc_fifo_in 179
class sc_fifo_in_if 172
data_written, member function
class sc_fifo_in 179
debug 552
debug transport interface 423, 450
declaration, glossary 569
DECLARE_EXTENDED_PHASE 588
deep_copy_from 473, 495
default_event, member function
class sc_event_queue 188
class sc_in 153
class sc_inout 157
class sc_interface 60, 119
class sc_signal 142
default_value, member function
class sc_fxcast_context 383
Authorized licensed use limited to: Furkan Tuncer. Downloaded on October 16,2017 at 17:05:54 UTC from IEEE Xplore. Restrictions apply.
IEEE Std 1666-2011
IEEE Standard for Standard SystemC® Language Reference Manual
593
Copyright © 2012 IEEE. All rights reserved.
class sc_fxtype_context 381
class sc_length_context 377
definition, glossary 569
delay
approximately-timed 419, 510
base protocol 510
timing annotation 438
delta cycle
class sc_signal_inout_if 138
definition 19
glossary 569
write 142
delta notification
cancel, function 100
definition 16
description 18
glossary 569
notify, function 100
delta notification phase
glossary 569
overview 18
deprecated features
class sc_phash 584
class sc_plist 584
class sc_ppq 584
class sc_pvector 584
class sc_sensitive_neg 583
class sc_sensitive_pos 583
class sc_sim_context 583
class sc_string 584
sc_bit, type 584
sc_cycle, function 583
SC_DEFAULT_STACK_SIZE, const 583
sc_get_curr_process, function 583
sc_get_default_time_unit, function 583
sc_initialize, function 583
sc_inout_clk, typedef 583
SC_MAX_NUM_DELTA_CYCLES, const
583
sc_out_clk, typedef 583
sc_process_b, type 583
sc_set_default_time_unit, function 583
sc_set_vcd_time_unit, member function 584
sc_signal_out_if, typedef 583
sc_start(double), function 583
sc_trace_delta_cycles, function 584
set_simulation_time, function 583
derived from, definition 5
direct memory interface 423, 442
disable, member function
class sc_process_handle 79, 585
disabled, usage 7
DMI 423, 442
latency 448
overlapping regions 447
temporal decoupling 449
vs transport 449
DMI allowed attribute 450, 474, 482
modification at target 476
DMI descriptor 445
DMI hint 450, 482
modification at target 476
DMI_ACCESS_NONE 447
DMI_ACCESS_READ 446
DMI_ACCESS_READ_WRITE 446
DMI_ACCESS_WRITE 446
dmi_data 444
dont_initialize, member function
class sc_module 24, 48
class sc_spawn_options 63
semantics 17
double, member function
class sc_fxval 340
draft version 413
dump, member function
class sc_fifo 177
class sc_object 127
class sc_signal 143
during elaboration
definition 7
glossary 569
during simulation
definition 7
glossary 569
duty_cycle, member function
class sc_clock 151
dynamic process
class sc_process_handle 67
definition 6
description 563
dynamic, member function 72
glossary 570
parent 64
dynamic sensitivity
definition 16
glossary 570
next_trigger, function 43, 50
wait, function 52
dynamic, member function
class sc_process_handle 72
dynamic, spawned process
sc_spawn, function 64
E
early completion
base protocol 504
effective local time 439, 514
Authorized licensed use limited to: Furkan Tuncer. Downloaded on October 16,2017 at 17:05:54 UTC from IEEE Xplore. Restrictions apply.
IEEE Std 1666-2011
IEEE Standard for Standard SystemC® Language Reference Manual
594
Copyright © 2012 IEEE. All rights reserved.
elaboration 12
callback functions 23
glossary 570
instantiation 12
keeping track of module hierarchy 58
port binding 15
port instantiation 107
running 20
sc_main, function 21
sc_set_time_resolution, function 103
simulation time resolution 15
elem_type, typedef 133
ellipsis, usage 7
enable, member function
class sc_process_handle 80, 585
end_of_elaboration, member function 25
class sc_export 117
class sc_in 153
class sc_in_resolved 165
class sc_in_rv 169
class sc_inout 158
class sc_inout_resolved 166
class sc_inout_rv 170
class sc_module 55
class sc_port 112
class sc_prim_channel 123
size of socket 534
end_of_simulation, member function 27
class sc_export 117
class sc_module 55
class sc_port 112
class sc_prim_channel 123
END_REQ 434, 500
base protocol 504
END_RESP 500
base protocol 504
end, member function
class sc_attr_cltn 134
class sc_fxcast_context 383
class sc_fxtype_context 381
class sc_length_context 377
class sc_vector 406
endianness 487
conversion functions 491
helper functions 490
enumeration
sc_curr_proc_kind_return 68
sc_descendant_inclusion_info 68, 585
sc_fmt 303
sc_logic_value_t 257
sc_numrep 199, 383
sc_o_mode 301
sc_port_policy 104
sc_q_mode 301
sc_severity 388, 389
sc_starvation_policy 20, 585
sc_status 28
sc_stop_mode 27
sc_time_unit 101
sc_verbosity 388, 587
sc_writer_policy 137
tlm_gp_option 468, 588
error
definition 11
glossary 570
evaluation phase
definition 17
glossary 570
sc_spawn, function 64
sc_stop, function 30
update, function 122
event
definition 6, 97
glossary 570
simulation 16
event expression
glossary 570
event finder
class sc_fifo_in 179
class sc_fifo_out 180
class sc_in 153, 156
class sc_inout 157
class sc_inout<bool> 160
class sc_inout<sc_dt::sc_logic> 160
class sc_sensitive 61
clocked thread process 45
description 90
glossary 570
event list
class sc_event 101
class sc_event_and_expr 95
class sc_event_and_list 92
class sc_event_or_expr 95
class sc_event_or_list 92
glossary 570
event, member function
class sc_in 153
class sc_inout 157
class sc_signal 142
class sc_signal_in_if 135
example
analysis port 560
attributes 485
b_transport 440, 515
bind 463
byte enable 486
exclusion rules 513
extension 497
Authorized licensed use limited to: Furkan Tuncer. Downloaded on October 16,2017 at 17:05:54 UTC from IEEE Xplore. Restrictions apply.
IEEE Std 1666-2011
IEEE Standard for Standard SystemC® Language Reference Manual
595
Copyright © 2012 IEEE. All rights reserved.
generic payload 485
get_direct_mem_ptr 447
hierarhical binding 535
instance-specific extension 545
multi-socket 535
nb_transport 440
protocol 498
quantum keeper 539
reentrancy 515
response status 485
simple socket 528
synchronization-on-demand 440
timing annotation 513
TLM_DECLARE_EXTENDED_PHASE 501
tlm_initiator_socket 461
tlm_target_socket 461
traits class 498
exclusion rule 510
execution stack 44, 49
export
class sc_export 113
definition 5
glossary 570
export binding 14
extension
array 495, 496
auto-deletion 496
DMI 442, 445
ignorable 466, 484, 494, 502, 516
instance-specific 544
interoperability 465
mandatory 494, 574
non-ignorable 575
object 495
pointer 496
response status 484
transport_dbg 450
F
fifo
class sc_fifo 173
glossary 570
interfaces 136
file
header files 35
trace file 386
finite-precision fixed-point type
definition 189
glossary 571
finite-precision integer
definition 189
glossary 571
overview 171
typedef 227
fixed-point type 293
context object 194
definition 189
flow control 511
forward path 422, 431, 437
DMI 427
nb_transport 431
sockets 456
free
tlm_extension_base 495, 496
tlm_mm_interface 471, 472, 496
free_all_extensions 473
from_hostendian 491
G
generic payload 413, 465, 469
attributes 474
base protocol 503
DMI 445
DMI hint 450
endianness 487
extensions 465
guidelines 517
instance-specific 544
memory 470
standard error response 484
transport_dbg 451
get 546, 552
tlm_global_quantum 454
get_address 478
get_attribute, member function
class sc_object 129
get_base_export 461
get_base_port 461
get_bus_width 460
get_byte_enable_length 481
get_child_events, member function
class sc_module 55, 586
class sc_object 128, 586
class sc_process_handle 71, 586
get_child_objects, member function
class sc_module 55
class sc_object 128
class sc_process_handle 71
return value 10
get_command 477
get_current_time 540
get_data_length 480
get_data_ptr 479
get_direct_mem_ptr 444, 446, 447
DMI hint 450
memory management 472
Authorized licensed use limited to: Furkan Tuncer. Downloaded on October 16,2017 at 17:05:54 UTC from IEEE Xplore. Restrictions apply.
IEEE Std 1666-2011
IEEE Standard for Standard SystemC® Language Reference Manual
596
Copyright © 2012 IEEE. All rights reserved.
payload attributes 475
simple sockets 519, 526
get_dmi_ptr 446
get_elements, member function
class sc_vector_base 406
get_end_address 447
get_event 543
get_extension 496, 544
get_global_quantum 540
get_gp_option, member function
class tlm_generic payload 476
class tlm_generic_payload 588
get_granted_access 446
get_host_endianness 491
get_interface, member function
class sc_export 117
class sc_port 112
get_local_time 540
get_next_transaction 542
get_parent_object, member function
class sc_event 100, 586
class sc_object 128
class sc_process_handle 72
return value 9
get_phase 500
get_process_object, member function
class sc_process_handle 68, 72
return value 9
get_read_latency 448
get_ref_count 471, 472
get_response_status 483
get_response_string 483
get_start_address 447
get_streaming_width 482
get_value, member function
class sc_semaphore 186
get_verbosity_level, member function
class sc_report_handler 396, 587
get_verbosity, member function
class sc_report 390, 587
get_write_latency 448
get_writer_policy, member function
class sc_signal 142
class sc_signal_inout_if 138
class sc_signal_write_if 587
global quantum 417, 453
H
has_host_endianness 491
has_mm 471, 473
header file 424
global quantum 453
instance-specific extension 544
multi-socket 532
passthrough_target_socket.h 525
PEQ 542
quantum keeper 537
simple socket 525
simple_initiator_socket.h 525
simple_target_socket.h 525
tagged simple socket 529
helper function
endianness 490
hierarchical binding 461, 522, 534
hierarchical channel
class sc_event_queue 186
class sc_object 125
definition 6
glossary 571
hierarchical name
class sc_module_name 57
description 126
glossary 571
hop 422
phase argument 432
phase transitions 505
TLM_COMPLETED 504
host_has_little_endianness 491
host-endian 488, 491
I
ID, of extension 495
IEEE_1666_SYSTEMC, macro 411, 587
ignorable
extension 442, 450, 466, 484, 494, 502, 516
phase 433, 500, 502, 503, 506, 508
immediate notification
cancel, function 100
definition 16
glossary 571
notify, function 100
implement
glossary 572
interface 117
update, function 142
implementation
definition 5
glossary 571
implementation-defined, definition 7
implicit conversion, glossary 572
in_hierarchy, member function
class sc_event 99, 586
inc, tlm_quantumkeeper 540
init, member function
class sc_vector 403
initialization phase
Authorized licensed use limited to: Furkan Tuncer. Downloaded on October 16,2017 at 17:05:54 UTC from IEEE Xplore. Restrictions apply.
IEEE Std 1666-2011
IEEE Standard for Standard SystemC® Language Reference Manual
597
Copyright © 2012 IEEE. All rights reserved.
dont_initialize, function 48, 63
glossary 572
overview 17
initialize, member function
class sc_inout 157
initializer list, glossary 572
initiation interval 510
initiator 420
base protocol guidelines 517
DMI access 447
DMI hint 450
memory management 445, 470
role 476
socket 456
sync 433
timing annotation 438
transaction re-use 445
initiator socket 422
instance
tlm_global_quantum 454
instance, glossary 572
instance-specific extension 544
instantiation
during elaboration 12
glossary 572
int_type, typedef 203
int64, typedef 203
integer concatenation
class sc_concatref 253
class sc_value_base 201
integer part-select objects 225
integer, glossary 572
interconnect 420
address attribute 475
address translation 447
b_transport 427
base protocol guidelines 520
bridge 467
byte enable 481
DMI 444
DMI address space 447
DMI and side-effects 449
DMI hint 475
ignorable phase 508
memory management 471
pipelining 511
response status attribute 483
role 476
TLM_IGNORE_COMMAND 478
transparent component 509
transport_dbg 451
interface
class sc_interface 117
definition 5
glossary 572
Interface Method Call (IMC)
class sc_module 39
class sc_port 104
glossary 572
port and export binding 15
interface proper
class sc_fifo_in_if 171
class sc_fifo_out_if 172
class sc_interface 117
class sc_mutex_if 182
class sc_port 105
class sc_semaphore_if 184
class sc_signal_in_if 135
class sc_signal_inout_if 137
definition 5
glossary 572
interoperability
base protocol 502
endianness 487
extensions 465
generic payload 465
interfaces 521
layer 413
phases 500
sockets 423
invalid, process handle 67
invalidate_direct_mem_ptr 448
simple socket 526
is_01, member function
bit concatenation classes 290
bit-select classes 279
class sc_bv_base 265
class sc_logic 260
class sc_lv_base 271
part-select classes 284
is_dmi_allowed 482
is_neg, member function
fixed-point classes 302
is_none_allowed 446
is_read 478
is_read_allowed 446
is_read_write_allowed 446
is_reset, member function
class sc_unwind_exception 82
is_response_error 483
is_response_ok 483
is_unwinding, member function
class sc_process_handle 83, 585
is_write 478
is_write_allowed 446
is_zero, member function
fixed-point classes 302
ISS 418
Authorized licensed use limited to: Furkan Tuncer. Downloaded on October 16,2017 at 17:05:54 UTC from IEEE Xplore. Restrictions apply.
IEEE Std 1666-2011
IEEE Standard for Standard SystemC® Language Reference Manual
598
Copyright © 2012 IEEE. All rights reserved.
iterator
attributes 133
typedef 133
iwl, member function
class sc_fxtype_params 379
limited-precision fixed-point classes 301
K
kernel
callbacks 23
elaboration and simulation 12
glossary 573
triggering method process 43
kill, member function
class sc_process_handle 81, 585
kill, terminating a method process 43
kind 460, 462
returning sc_cthread_process 44
returning sc_method_process 43
returning sc_thread_process 44
kind, member function
class sc_buffer 148
class sc_clock 151
class sc_event_queue 187
class sc_export 114
class sc_fifo 177
class sc_fifo_in 179
class sc_fifo_out 180
class sc_in 153
class sc_in_resolved 165
class sc_in_rv 169
class sc_inout 157
class sc_inout_resolved 166
class sc_inout_rv 170
class sc_module 39
class sc_object 126
class sc_out 161
class sc_out_resolved 167
class sc_out_rv 171
class sc_port 107
class sc_prim_channel 121
class sc_semaphore 186
class sc_signal 143
class sc_signal_resolved 163
class sc_signal_rv 168
L
latency
approximately-timed 510
BUSWIDTH 480
DMI 442, 448
least significant 293
len, member function
class sc_length_param 376
length context classes
class sc_fxtype_context 380
class sc_fxtype_params 378
class sc_length_context 377
class sc_length_param 375
introduction 193
length, member function
bit-select classes 221, 248, 253
class sc_bv_base 267
class sc_concatref 256
class sc_concref 292
class sc_generic_base 256
class sc_int_base 208
class sc_lv_base 273
class sc_signed 234
class sc_unsigned 240
part-select classes 226, 286
lifetime 421, 432, 470, 472, 484, 492, 505, 506
glossary 573
of objects 8
limited variable-precision fixed-point type
definition 189
limited-precision fixed-point type
definition 189
glossary 574
limited-precision integer
definition 189
glossary 573
little 491
little-endian 489, 491
local time 439, 514, 539
lock, member function
class sc_mutex 183
logic vector
definition 189
glossary 574
loosely-timed 417, 418
b_transport 426
global quantum 453
switching between coding styles 516
timing annotation 439
lrotate, member function
class sc_bv_base 266
class sc_concref 290
class sc_lv_base 271
part-select classes 285
LSB 487
lvalue, glossary 574
M
macros
DECLARE_EXTENDED_PHASE 588
Authorized licensed use limited to: Furkan Tuncer. Downloaded on October 16,2017 at 17:05:54 UTC from IEEE Xplore. Restrictions apply.
IEEE Std 1666-2011
IEEE Standard for Standard SystemC® Language Reference Manual
599
Copyright © 2012 IEEE. All rights reserved.
IEEE_1666_SYSTEMC 411, 587
sc_assert 394
sc_bind 65
SC_COPYRIGHT 411
sc_cref 65
SC_CTHREAD 39, 41
SC_CTOR 39, 40, 58
SC_DEFAULT_FATAL_ACTIONS 393
SC_DEFAULT_INFO_ACTIONS 393
SC_DEFAULT_WARNING_ACTIONS 393
SC_FORK 66
SC_HAS_PROCESS 39, 41
SC_IS_PRERELEASE 411
SC_JOIN 66
SC_METHOD 14, 39, 41
SC_MODULE 39, 40
sc_ref 65
SC_REPORT_ERROR 394
SC_REPORT_FATAL 394
SC_REPORT_INFO 394
SC_REPORT_INFO_VERB 394
SC_REPORT_WARNING 394
SC_THREAD 14, 39, 41
SC_VERSION 411
SC_VERSION_MAJOR 411, 587
SC_VERSION_MINOR 411, 587
SC_VERSION_ORIGINATOR 411
SC_VERSION_PATCH 411, 587
SC_VERSION_PRERELEASE 411
SC_VERSION_RELEASE_DATE 411
TLM_COPYRIGHT 424
TLM_DECLARE_EXTENDED_PHASE 588
TLM_IS_PRERELEASE 424, 588
TLM_VERSION 424
TLM_VERSION_MAJOR 424
TLM_VERSION_MINOR 424
TLM_VERSION_ORIGINATOR 424
TLM_VERSION_PATCH 424
TLM_VERSION_PRERELEASE 424
TLM_VERSION_RELEASE_DATE 424
malloc 471
mandatory extension 494, 574
max_num_extensions 496
may, usage 5
member functions
glossary 574
process control 86
memcpy 479
memory management
extensions 495, 496
generic payload 470, 474
get_direct_mem_ptr 473
hops 504
transport_dbg 473
memory-mapped bus 413, 426, 465, 484, 502
message passing
asynchronous 546
synchronous 546
message sequence chart
approximately-timed 510
b/nb adapter 527
blocking transport 428
early completion 436
ignorable phase 509
nb/b adapter 526
quantum 429
temporal decoupling 428
timing point 434
using the return path 435
method process
arguments for macros 42
glossary 574
spawn_method, function 63
method, glossary 574
module
class sc_module 37
definition 5
glossary 574
module hierarchy
abnormal usage 107
callbacks 24
class sc_prim_channel 121
definition 6
elaboration 12, 58
glossary 574
most significant 293
MSB 293
multi_passthrough_initiator_socket 532
multi_passthrough_target_socket 532
multiport
definition 15
event finder 90
glossary 574
port policy 106
positional port binding 53
multi-socket 461, 531, 532, 536
multitasking 17
mutex
class sc_mutex 182
glossary 574
N
n_bits, member function
class sc_fxtype_params 379
limited-precision fixed-point classes 301
name, member function
class sc_attr_base 132
Authorized licensed use limited to: Furkan Tuncer. Downloaded on October 16,2017 at 17:05:54 UTC from IEEE Xplore. Restrictions apply.
IEEE Std 1666-2011
IEEE Standard for Standard SystemC® Language Reference Manual
600
Copyright © 2012 IEEE. All rights reserved.
class sc_event 99, 586
class sc_object 126
class sc_process_handle 71
namespace 423
sc_core 10, 20
sc_dt 10, 189
sc_unnamed 10, 587
tlm 10
tlm_utils 10
usage 10
nand_reduce, reduction operator 197
nb_get 546, 552
nb_peek 546, 552
nb_poke 552
nb_put 546, 552
nb_read, member function
class sc_fifo 175
class sc_fifo_in 179
class sc_fifo_in_if 172
nb_transport 431
base protocol 503
called from b_transport 427
ignorable phase 508
memory management 471
phase argument 432
phase transitions 506
simple socket 525
simple sockets 519
switching to b_transport 516
timing annotation 439, 514
nb_transport_bw 431
nb_transport_fw 431
nb_write, member function
class sc_fifo 176
class sc_fifo_out 180
class sc_fifo_out_if 173
need_sync 540
negedge_event, member function
class sc_signal 146
class sc_signal_in_if 137
negedge, member function
class sc_signal 146
class sc_signal_in_if 137
next_trigger, member function
class sc_module 17, 50, 92, 95
class sc_prim_channel 17, 123
creating dynamic sensitivity 43
non_blocking interface
vs blocking 548
non-abstract class, glossary 575
non-blocking transport 430
non-blocking transport interface 546
non-ignorable extension 575
nor_reduce, reduction operator 197
notes, usage 11
notification
delta notification 100
glossary 575
immediate 100
timed notification 100
notified
events 16
glossary 575
timed notification 18
notify 543
notify, member function
class sc_event 16, 17, 100, 122
class sc_event_queue 187
delta notification phase 18
num_attributes, member function
class sc_object 129
num_available, member function
class sc_fifo 177
class sc_fifo_in 179
class sc_fifo_in_if 172
num_free, member function
class sc_fifo 177
class sc_fifo_out 180
class sc_fifo_out_if 173
numeric type
definition 190
glossary 575
O
o_mode, member function
class sc_fxtype_params 379
limited-precision fixed-point classes 301
object
class sc_object 124
glossary 575
object hierarchy
class sc_object 124
definition 6
glossary 575
hierarchical instance name 126
occurrence
class sc_event 97
class sc_report_handler 391
events 16
glossary 575
warning 30
operations, addition
limited-precision fixed-point classes 298, 299
variable-precision fixed-point classes 298, 299
operations, arithmetic
class sc_int 215
class sc_int_base 206
Authorized licensed use limited to: Furkan Tuncer. Downloaded on October 16,2017 at 17:05:54 UTC from IEEE Xplore. Restrictions apply.
IEEE Std 1666-2011
IEEE Standard for Standard SystemC® Language Reference Manual
601
Copyright © 2012 IEEE. All rights reserved.
class sc_signed 231
class sc_uint 218
class sc_uint_base 211
class sc_unsigned 237
fixed-point classes 297
operations, bitwise
class sc_bitref_r 280
class sc_bv_base 266
class sc_concref 291
class sc_concref_r 291
class sc_int 215
class sc_int_base 206
class sc_logic 261
class sc_lv_base 272
class sc_signed 232
class sc_subref 285
class sc_subref_r 284
class sc_uint 218
class sc_uint_base 211
class sc_unsigned 239
fixed-point classes 297
operations, comparison
class sc_bitref_r 280
class sc_bv_base 267
class sc_concref_r 292
class sc_int_base 206
class sc_logic 261
class sc_lv_base 273
class sc_signed 233
class sc_subref_r 285
class sc_uint_base 211
class sc_unsigned 240
operator 501
operator bool
bit-select classes 221
class sc_fxnum_bitref 369
class sc_fxnum_fast_bitref 369
operator double
class sc_fxnum 332, 336
class sc_fxval_fast 345
operator IF&
class sc_export 116
operator int_type
class sc_int_base 206
class sc_int_subref_r 226
operator sc_bv_base
class sc_fxnum_fast_subref 375
class sc_fxnum_subref 375
operator sc_logic
bit-select classes 279
operator sc_unsigned
class sc_signed 255
class sc_signed_subref_r 252
class sc_unsigned_subref_r 252
operator uint_type
class sc_uint_base 210
class sc_uint_subref_r 226
operator uint64
bit-select classes 248
class sc_unsigned 255
operator˜
bit-select classes 221, 248
operator!
bit-select classes 221, 248
operator!=
class sc_fxcast_switch 382
class sc_fxtype_params 380
class sc_length_param 376
class sc_process_handle 70
operator‚
concatenation overview 196
integers 255
logic and vector types 289
template 292
operator() 460, 525, 535, 559
class sc_export 115
class sc_inout 157
class sc_module_name 59
class sc_module, port binding 53
class sc_port 108
part-select classes 195
sc_spawn, function 64
operator[] 461, 534
bit-select classes 194
class sc_port 110
operator<
class sc_process_handle 70, 586
operator<< 143
class ostream 143, 175
class sc_sensitive 60
SystemC data types 198
operator=
class sc_buffer 148
class sc_fifo 176
class sc_fxcast_switch 382
class sc_fxtype_params 380
class sc_inout 157
class sc_length_param 376
class sc_process_handle 70
class sc_signal 142
class sc_signal_resolved 162, 163
operator==
class sc_fxcast_switch 382
class sc_fxtype_params 380
class sc_length_param 376
class sc_process_handle 70
operator-> 461
class sc_export 116
Authorized licensed use limited to: Furkan Tuncer. Downloaded on October 16,2017 at 17:05:54 UTC from IEEE Xplore. Restrictions apply.
IEEE Std 1666-2011
IEEE Standard for Standard SystemC® Language Reference Manual
602
Copyright © 2012 IEEE. All rights reserved.
class sc_port 109
operator>>
SystemC data types 198
option attribute 476
or_reduce, reduction operator 197
overflow modes 304
overflow_flag
fixed-point classes 302
overlapping addresses 516
overload, glossary 575
override, glossary 575
P
parameter, glossary 575
parent
definition 6
glossary 575
part-select classes
definition 195
fixed-point types 299
glossary 575
limited-precision integers 222
vectors 280
part-word access 489
passthrough_target_socket 523
passthrough_target_socket_tagged 530
passthrough_target_socket.h 525
payload event queue 541
peek 546
pending
cancel, function 101
class sc_event_queue 186
glossary 576
update, function 18
PEQ 541
peq_with_cb_and_phase 542
peq_with_get 542
period, member function
class sc_clock 151
phase
argument to nb_transport 432
base protocol 503
ignorable 508
message sequence chart 434
PEQ 541
template argument 431
tlm_phase 500
transitions 505
pipelining 431, 434, 510
pool
memory management 470, 474, 496, 502
port 104
binding 14, 158
class sc_port 111
definition 5
glossary 576
named binding 53
port binding 54
positional binding 53
port policy 15, 106
portless channel access
description 104
glossary 576
posedge_event, member function
class sc_signal 146
class sc_signal_in_if 137
posedge_first, member function
class sc_clock 150, 151
posedge, member function
class sc_signal 146
class sc_signal_in_if 137
positional binding 53
post, member function
class sc_semaphore 186
primitive channel
class sc_buffer 147
class sc_clock 149
class sc_prim_channel 119
class sc_signal 139, 144
definition 6
glossary 576
print, member function
bit-select classes 221, 248, 253, 280
class sc_bv_base 267
class sc_concatref 256
class sc_concref 292
class sc_fifo 177
class sc_fxcast_switch 382
class sc_int_base 207
class sc_length_param 376
class sc_logic 261
class sc_lv_base 273
class sc_object 127
class sc_signal 143
class sc_signed 233
class sc_time 103
class sc_unsigned 240
part-select classes 198, 226, 286
proc_kind, member function
class sc_process_handle 71
process
associating 42
clocked thread 43
definition 6
dynamic sensitivity 50
glossary 576
instance 67, 124
Authorized licensed use limited to: Furkan Tuncer. Downloaded on October 16,2017 at 17:05:54 UTC from IEEE Xplore. Restrictions apply.
IEEE Std 1666-2011
IEEE Standard for Standard SystemC® Language Reference Manual
603
Copyright © 2012 IEEE. All rights reserved.
method 43
resume 78
resumed 43
sensitivity 16
static sensitivity 48, 60
suspend 78
synchronization 97
triggered 43
process control 73
interaction between member functions 86
process handle
class sc_process_handle 67
definition 6
glossary 576
protocol traits class 455, 456, 467, 498, 502
proxy class
bit-selects 194
class sc_generic_base 199, 256
concatenations 196
definition 191
glossary 576
part-selects 195
put 546, 552
Q
q_mode, member function
class sc_fxtype_params 379
limited-precision fixed-point classes 301
quantization modes, definition 316
quantization_flag, member function
fixed-point classes 302
quantum 418
global quantum 453
message sequence chart 429
quantum keeper 453, 537
R
range, member function
numeric types and vectors 195
read, member function
class sc_fifo 175
class sc_fifo_in 179
class sc_fifo_in_if 172
class sc_in 153
class sc_inout 157
class sc_signal 141
class sc_signal_in_if 135
recipient 546
of a transaction 439
of an ignorable phase 508
reduction operators 197
re-entrancy
b_transport 514
reference count 441, 470, 471, 472, 496, 516
register_port, member function
class sc_fifo 175
class sc_interface 118
class sc_signal 141
class sc_signal_resolved 163
release 471, 472, 496, 505, 519, 520
release_extension 496, 497
remove_all_attributes, member function
class sc_object 129
remove_attribute, member function
class sc_object 129
request exclusion rule 510
request_update, member function
class sc_prim_channel 17, 121
scheduling algorithm 16
reset
generic payload 471, 472, 496
quantum keeper 539
reset_event, member function
class sc_process_handle 81, 83, 585
reset_signal_is, member function
class sc_module 24, 46, 585
class sc_spawn_options 24, 63, 585
reset, member function
class sc_process_handle 81, 585
resize_extensions 497, 544
resolved signal
class sc_in_resolved 164
class sc_in_rv 168
class sc_inout_resolved 165
class sc_inout_rv 169
class sc_out_resolved 166
class sc_signal_resolved 161
class sc_signal_rv 168
definition 161
glossary 577
response exclusion rule 511
response status attribute 474, 483
DMI 445
extensions 484
modification at target 476
update_original_from 473
resume
class sc_event 97
dont_initialize, function 48
evaluation phase 17
glossary 577
lock, function 183
notify, function 100
sc_start, function 22
scheduler 15
thread process 43
wait, function 52
Authorized licensed use limited to: Furkan Tuncer. Downloaded on October 16,2017 at 17:05:54 UTC from IEEE Xplore. Restrictions apply.
IEEE Std 1666-2011
IEEE Standard for Standard SystemC® Language Reference Manual
604
Copyright © 2012 IEEE. All rights reserved.
resume process 78
resume, member function
class sc_process_handle 78, 585
return path 421
message sequence chart 435
reverse, member function
class sc_bv_base 267
class sc_concref 290
class sc_lv_base 271
part-select classes 286
reversed, member function
part-select classes 286
rounding modes 317
routing
address attribute 476
base protocol 515
rrotate, member function
class sc_bv_base 267
class sc_concref 290
class sc_lv_base 271
part-select classes 285
rvalue, glossary 577
S
SC_ABORT, value of type sc_actions 391, 398
sc_abs, function 411
sc_actions, typedef 393
SC_ALL_BOUND, value of type sc_port_policy
104
sc_argc, function 21
sc_argv, function 21
sc_assemble_vector, function 400, 587
sc_assert, macro 394
sc_attr_base, class 131
sc_attr_cltn, class 133
sc_attribute, class 132
SC_BEFORE_END_OF_ELABORATION, value
of type sc_status 28
sc_behavior, typedef 39, 56
sc_bigint, class template 190, 240
sc_biguint, class template 190, 242
SC_BIN_SM, value of type sc_numrep 383
SC_BIN_US, value of type sc_numrep 383
SC_BIN, value of type sc_numrep 383
SC_BIND_PROXY_NIL, const 37
sc_bind_proxy, class 37
sc_bind, macro 65
sc_bit, type (deprecated) 584
sc_bitref_r, class template 277
sc_bitref, class template 277
sc_buffer, class 147
derived from sc_signal 144
sc_bv_base, class 190, 262
sc_bv, class template 190, 273
SC_CACHE_REPORT, value of type sc_actions
388, 391, 398
sc_channel, typedef 39, 56
sc_clock, class 149
sc_close_vcd_trace_file, function 386
sc_concatref, class 253
sc_concref_r, class template 286
sc_concref, class template 286
sc_context_begin, class 377, 380, 382, 383
sc_copyright 412
sc_copyright_string, function 411
sc_copyright, function 412
SC_COPYRIGHT, macro 411
sc_core, namespace 10, 20
sc_create_vcd_trace_file, function 386
sc_cref, macro 65
SC_CSD, value of type sc_numrep 200, 383
SC_CTHREAD_PROC_, sc_curr_proc_kind const
68, 71
sc_cthread_process 44
SC_CTHREAD, macro 14, 39, 41
SC_CTOR, macro 39, 40, 58
sc_curr_proc_kind, enumeration 68
sc_cycle, function (deprecated) 583
SC_DEBUG, value of type sc_verbosity 389
SC_DEC, value of type sc_numrep 383
SC_DEFAULT_ERROR_ACTIONS, macro 393
SC_DEFAULT_FATAL_ACTIONS, macro 393
SC_DEFAULT_INFO_ACTIONS, macro 393
SC_DEFAULT_STACK_SIZE, const (deprecated)
583
SC_DEFAULT_WARNING_ACTIONS, macro
393
sc_delta_count, function 31, 585
sc_descendant_inclusion_info, enumeration 68, 585
SC_DISPLAY, value of type sc_actions 391, 398
SC_DO_NOTHING, value of type sc_actions 391,
398
sc_dt, namespace 10, 189
SC_E, value of type sc_fmt 303
sc_elab_and_sim, function 20
SC_ELABORATIONS, value of type sc_status 28
SC_END_OF_ELABORATION, value of type
sc_status 28
sc_end_of_simulation_invoked, function 24
SC_END_OF_SIMULATION, value of type
sc_status 28
SC_ERROR, sc_severity constant 388, 390
sc_event_and_expr, class 95
sc_event_and_list, class 92, 586
sc_event_finder_t, class template 90
sc_event_finder, class 61, 90, 157
sc_event_or_expr, class 95
Authorized licensed use limited to: Furkan Tuncer. Downloaded on October 16,2017 at 17:05:54 UTC from IEEE Xplore. Restrictions apply.
IEEE Std 1666-2011
IEEE Standard for Standard SystemC® Language Reference Manual
605
Copyright © 2012 IEEE. All rights reserved.
sc_event_or_list, class 92, 586
sc_event_queue_if, class 186
sc_event_queue, class 186
sc_event, class 16, 97
sc_exception, typedef 399
SC_EXIT_ON_STARVATION, value of type
sc_starvation_policy 20, 22
sc_export_base, class 113, 114
sc_export, class 113
SC_F, value of type sc_fmt 303
SC_FATAL, sc_severity constant 388, 390
sc_fifo_blocking_in_if class 171
sc_fifo_in_if, class 171
sc_fifo_in, class 178
sc_fifo_nonblocking_in_if, class 171
sc_fifo_out_if, class 172
sc_fifo_out, class 179
sc_fifo, class 173
sc_find_event, function 100, 586
sc_find_object, function 128
sc_fix_fast, class 190, 296, 352
sc_fix, class 190, 295, 346
sc_fixed_fast, class template 190, 296, 362
sc_fixed, class template 190, 358
sc_fmt, enumeration 303
SC_FORK, macro 66
SC_FS, value of type sc_time_unit 101
SC_FULL, value of type sc_verbosity 389
sc_fxcast_context, class 382
sc_fxcast_switch, class 381
sc_fxnum_bitref, class 367
sc_fxnum_fast_bitref, class 367
sc_fxnum_fast_subref, class 369
sc_fxnum_fast, class 190, 332
sc_fxnum_subref, class 369
sc_fxnum, class 190, 295, 327
sc_fxtype_context, class 380
sc_fxtype_params, class 378
sc_fxval_fast, class 190, 296, 341
sc_fxval, class 190, 295, 337
sc_gen_unique_name, function 39, 56
sc_gen_unique_name, sockets 460
sc_generic_base, class 256
sc_get_curr_process_handle, function (deprecated)
583
sc_get_current_process_handle, function 88
sc_get_default_time_unit, function (deprecated)
583
sc_get_status, function 32, 585
sc_get_stop_mode, function 29
sc_get_time_resolution, function 103
sc_get_top_level_events, function 100, 586
sc_get_top_level_objects, function 128
SC_HAS_PROCESS, macro 39, 41
SC_HEX_SM, value of type sc_numrep 383
SC_HEX_US, value of type sc_numrep 383
SC_HEX, value of type sc_numrep 383
sc_hierarchical_name_exists, function 130, 586
SC_HIGH, value of type sc_verbosity 388
sc_in_clk, typedef 151
sc_in_resolved, class 164
sc_in_rv, class 168
sc_in, class 152
specialized port 144
sc_in<bool>, class 153
sc_in<sc_dt::sc_logic>, class 153
SC_INCLUDE_DESCENDANTS
process control 77
SC_INCLUDE_DESCENDANTS ,
sc_descendant_inclusion_info constant 68
SC_INFO, sc_severity constant 388, 390
SC_INFO, standard error response 485
sc_initialize, function (deprecated) 583
sc_inout_clk, typedef (deprecated) 583
sc_inout_resolved, class 165
sc_inout_rv, class 169
sc_inout, class 156
specialized port 144
sc_int_base, class 190, 203
sc_int_bitref_r, class 217
sc_int_bitref, class 218
sc_int_subref_r, class 222
sc_int_subref, class 222
sc_int, class template 190, 213
sc_interface, class 117
sc_interrupt_here, function 398
SC_INTERRUPT, value of type sc_actions 391,
398
sc_is_prerelease, function 411
SC_IS_PRERELEASE, macro 411
sc_is_running, function 31
sc_is_unwinding, function 89, 585
SC_JOIN, macro 66
SC_LATER, constant of type sc_context_begin
193, 377, 380, 383
sc_length_context, class 377
sc_length_param, class 375
SC_LOG, value of type sc_actions 391, 398, 399
SC_LOGIC_0, const 261
SC_LOGIC_1, const 261
sc_logic_value_t, enumeration 257
SC_LOGIC_X, const 261
SC_LOGIC_Z, const 261
sc_logic, class 190, 257
SC_LOW, value of type sc_verbosity 388
sc_lv_base, class 190, 267
sc_lv, class template 190, 275
sc_main, function 21
Authorized licensed use limited to: Furkan Tuncer. Downloaded on October 16,2017 at 17:05:54 UTC from IEEE Xplore. Restrictions apply.
IEEE Std 1666-2011
IEEE Standard for Standard SystemC® Language Reference Manual
606
Copyright © 2012 IEEE. All rights reserved.
calling sc_start 22
SC_MAX_NUM_DELTA_CYCLES, const (depre-
cated) 583
SC_MAX_SEVERITY, sc_severity constant 388
sc_max_time, function 103, 586
sc_max, function 411
SC_MEDIUM, value of type sc_verbosity 388
SC_METHOD_PROC_, sc_curr_proc_kind con-
stant 68, 71
sc_method_process 43
SC_METHOD, macro 14, 39, 41
sc_min, function 411
sc_module_name, class
definition 57
module instantiation 13
usage in sc_module constructor 39
sc_module, class
definition 37
member sensitive 60
use of sc_module_name 58
SC_MODULE, macro 39, 40
SC_MS, sc_time_unit constant 101
sc_mutex_if, class 182
sc_mutex, class 182, 587
SC_NO_DESCENDANTS
process 77
SC_NO_DESCENDANTS ,
sc_descendant_inclusion_info constant 68
SC_NO_PROC_, sc_curr_proc_kind constant 68,
71
SC_NOBASE, value of type sc_numrep 383
SC_NONE, value of type sc_verbosity 388
SC_NOW, constant of type sc_context_begin 193,
377, 380, 383
SC_NS, sc_time_unit constant 101
sc_numrep, enumeration 199, 383
sc_o_mode, enumeration 301
sc_object, class
definition 124
usage of sc_module_name 58
SC_OCT_SM, value of type sc_numrep 383
SC_OCT_US, value of type sc_numrep 383
SC_OCT, value of type sc_numrep 383
SC_OFF, constant of type sc_switch 300, 382
SC_ON, constant of type sc_switch 300, 382
SC_ONE_OR_MORE_BOUND, value of type
sc_port_policy 104
sc_out_clk, typedef (deprecated) 583
sc_out_resolved, class 166
sc_out_rv, class 170
sc_out, class 160
specialized port 144
sc_pause, function 28, 585
SC_PAUSED, value of type sc_status 28
sc_pending_activity_at_current_time, function 32,
586
sc_pending_activity_at_future_time, function 32,
586
sc_pending_activity, function 32, 586
sc_phash, class (deprecated) 584
sc_plist, class (deprecated) 584
sc_port 460
sc_port_base, class 104
sc_port_policy, enumeration 104
sc_port, class
definition 105
positional port binding 54
sc_ppq, class (deprecated) 584
sc_prim_channel, class 16
definition 119
module hierarchy 58
sc_process_b, type (deprecated) 583
sc_process_handle 42
sc_process_handle, class 67
SC_PS, sc_time_unit constant 101
sc_pvector, class (deprecated) 584
sc_q_mode, enumeration 301
sc_ref, macro 65
sc_release, function 412
SC_REPORT_ERROR, macro 394
SC_REPORT_FATAL, macro 394
sc_report_handler_proc, typedef 397
sc_report_handler, class 391
SC_REPORT_INFO_VERB, macro 394, 587
SC_REPORT_INFO, macro 394
SC_REPORT_WARNING, macro 394
sc_report, class 388
SC_RND_CONV, quantization mode 324
SC_RND_INF, quantization mode 323
SC_RND_MIN_INF, quantization mode 322
SC_RND_ZERO, quantization mode 321
SC_RND, quantization mode 319
SC_RUN_TO_TIME, value of type
sc_starvation_policy 20, 22
SC_RUNNING, value of type sc_status 28
SC_SAT_SYM, overflow mode 309
SC_SAT_ZERO, overflow mode 309
SC_SAT, overflow mode 308
SC_SEC, sc_time_unit constant 101
sc_semaphore_if, class 184
sc_semaphore, class 185, 587
sc_sensitive_neg, class (deprecated) 583
sc_sensitive_pos, class (deprecated) 583
sc_sensitive, class
data member of sc_module 48
module instantiation 13
sc_sensitive, class definition 60
sc_set_default_time_unit, function (deprecated) 583
Authorized licensed use limited to: Furkan Tuncer. Downloaded on October 16,2017 at 17:05:54 UTC from IEEE Xplore. Restrictions apply.
IEEE Std 1666-2011
IEEE Standard for Standard SystemC® Language Reference Manual
607
Copyright © 2012 IEEE. All rights reserved.
sc_set_stop_mode, function 29
sc_set_time_resolution
quantum keeper 540
setting the time resolution 15
sc_set_time_resolution, function 15, 103
sc_set_vcd_time_unit, member function (deprecat-
ed) 584
sc_severity, enumeration 388, 389
sc_signal_in_if, class 135
sc_signal_in_if<bool>, class 136
sc_signal_in_if<sc_logic>, class 136
sc_signal_inout_if, class 137
sc_signal_out_if, typedef (deprecated) 583
sc_signal_resolved, class 161
multiple writers 144
sc_signal_rv, class 167
sc_signal_write_if, class 137
sc_signal, class 139
sc_signal<bool>, class 144
sc_signal<sc_logic>, class 144
sc_signed_bitref_r, class 244
sc_signed_bitref, class 244
sc_signed_subref_r, class 248
sc_signed_subref, class 248
sc_signed, class 190, 227
sc_simcontext, class (deprecated) 583
sc_simulation_time, function (deprecated) 583
sc_spawn_options, class 61
sc_spawn, function 61, 64
sc_start_of_simulation_invoked, function 24
SC_START_OF_SIMULATION, value of type
sc_status 28
sc_start, function 21, 585
sc_start(double), function (deprecated) 583
sc_starvation_policy, enumeration 20, 585
sc_status, enumeration 28
sc_status, function 585
SC_STOP_FINISH_DELTA 30
SC_STOP_FINISH_DELTA, value of type
sc_stop_mode 27, 29, 30
sc_stop_here, function 398
SC_STOP_IMMEDIATE, value of type
sc_stop_mode 27, 29, 30
sc_stop_mode, enumeration 27
sc_stop, function 29
impact on clock 150
SC_STOP, value of type sc_actions 391, 398
SC_STOPPED, value of type sc_status 28
sc_string, class (deprecated) 584
sc_subref_r, class template 280
sc_subref, class template 280
sc_switch, class 381
SC_THREAD_PROC_, sc_curr_proc_kind con-
stant 68, 71
sc_thread_process 44
SC_THREAD, macro 14, 39, 41
SC_THROW, value of type sc_actions 389, 391,
398
sc_time
argument to nb_transport 438
sc_time_stamp
b_transport 427
base protocol 514
global quantum 453, 454
PEQ 541
quantum keeper 540
scheduler 417
timing annotation 438
sc_time_stamp, function 30
sc_time_to_pending_activity, function 32, 586
sc_time_unit, enumeration 101
sc_time, class 16, 101
sc_trace_delta_cycles, function (deprecated) 584
sc_trace_file, class 385
sc_trace, function 153, 157, 386, 388
SC_TRN_ZERO, quantization mode 326
SC_TRN, quantization mode 325
sc_ufix_fast, class 190, 296
sc_ufix, class 190, 295, 349
sc_ufixed_fast, class template 190, 365
sc_ufixed, class template 190, 360
sc_uint_base, class 190, 208
sc_uint_bitref_r, class 218
sc_uint_bitref, class 218
sc_uint_subref_r, class 222
sc_uint_subref, class 222
sc_uint, class template 190, 215
sc_unnamed, namespace 10, 587
sc_unsigned_bitref_r, class 244
sc_unsigned_bitref, class 245
sc_unsigned_subref_r, class 248
sc_unsigned_subref, class 248
sc_unsigned, class 190, 234
SC_UNSPECIFIED, value of type sc_actions 391,
398
sc_unwind_exception class 82
sc_unwind_exception, function 585
SC_US, sc_time_unit constant 101
sc_value_base, class 201
sc_vector_assembly, class 400, 586
sc_vector_base, class 400, 586
sc_vector, class 400, 586
sc_verbosity, enumeration 388, 587
sc_version_major, function 411
SC_VERSION_MAJOR, macro 411, 587
sc_version_minor, function 411
SC_VERSION_MINOR, macro 411, 587
sc_version_originator, function 411
Authorized licensed use limited to: Furkan Tuncer. Downloaded on October 16,2017 at 17:05:54 UTC from IEEE Xplore. Restrictions apply.
IEEE Std 1666-2011
IEEE Standard for Standard SystemC® Language Reference Manual
608
Copyright © 2012 IEEE. All rights reserved.
SC_VERSION_ORIGINATOR, macro 411
sc_version_patch, function 411
SC_VERSION_PATCH, macro 411, 587
sc_version_prerelease, function 411
SC_VERSION_PRERELEASE, macro 411
sc_version_release_date, function 411
SC_VERSION_RELEASE_DATE, macro 411
sc_version_string, function 411
sc_version, function 412
SC_VERSION, macro 411
SC_WARNING
standard error response 485
SC_WARNING, sc_severity constant 388, 390
SC_WRAP_SM, overflow mode 312
SC_WRAP, overflow mode 310
sc_write_comment, function 386
sc_writer_policy, enumeration 137, 587
SC_ZERO_OR_MORE_BOUND, value of type
sc_port_policy 104
SC_ZERO_TIME, const 103
scan, member function
bit-select classes 221, 248, 253, 280
class sc_bv_base 267
class sc_concatref 256
class sc_concref 292
class sc_int_base 207
class sc_logic 261
class sc_lv_base 273
class sc_signed 233
class sc_uint_base 212
class sc_unsigned 239
part-select classes 226, 286
SystemC data types 198
scheduled
description 563
glossary 577
multiple event notification 101
scheduler 417
behavior 15
glossary 577
sender 546
sensitive, data member
class sc_module 48
sensitivity
dynamic 52
glossary 577
method process instance 43, 50
spawned process instance 63
thread process instance 43
unspawned process instance 48, 60
set
quantum keeper 540
tlm_global_quantum 454
set_address 478
set_and_sync 540
set_auto_extension 473, 496
set_byte_enable_length 481
set_byte_enable_ptr 480
set_command 477
set_data_length 480
set_data_ptr 479
set_dmi_allowed 482
set_dmi_ptr 446
set_end_address 447
set_extension 472, 473, 495, 544
set_global_quantum 540
set_gp_option, member function
class tlm_generic payload 476
class tlm_generic_payload 588
set_granted_access 446
set_mm 471
set_read 478
set_read_latency 448
set_response_status 483
set_sensitivity, member function
class sc_spawn_options 24, 63
set_stack_size, member function
class sc_module 24, 49
class sc_spawn_options 63
set_start_address 447
set_streaming_width 482
set_time_unit, member function
class sc_trace_file 386
set_verbosity_level, member function
class sc_report_handler 587
sc_report_handler 396
set_write 478
set_write_latency 448
shall, usage 5
should, usage 5
sign extension 192
signal
definition 6
glossary 577
reading and writing 140
resolved 161, 162
value of sc_signal 139
signature, glossary 577
simple 526, 528
simple socket 523
b/nb conversion 526
binding 522
nb_transport 432
tagged 529
simple_initiator_socket 523
simple_initiator_socket_tagged 529
simple_initiator_socket.h 525
simple_target_socket 524
Authorized licensed use limited to: Furkan Tuncer. Downloaded on October 16,2017 at 17:05:54 UTC from IEEE Xplore. Restrictions apply.
IEEE Std 1666-2011
IEEE Standard for Standard SystemC® Language Reference Manual
609
Copyright © 2012 IEEE. All rights reserved.
simple_target_socket_tagged 529
simple_target_socket.h 525
simulation
behavior 15
callbacks 23
end_of_simulation, function 27
glossary 578
sc_elab_and_sim, function 20
semantics 12
start_of_simulation, function 26
simulation time 30
single-bit logic types, definition 189
size, member function
class multi_passthrough_target_socket 535
class sc_port 109
class sc_vector_base 405
class tlm_base_target_socket 461
class tlm_fifo_debug_if 552
socket
binding 522
convenience 419, 456
initiator 422, 456
multi-socket 461
simple 432, 523
standard 414
tagged 529, 531
target 422
spawn_method, member function
class sc_spawn_options 63
spawned process
class sc_spawn_options 61
definition 6
glossary 578
parent 124
SC_FORK, macro 66
SC_JOIN, macro 66
sc_spawn, function 61
sensitivity 16
specialized port
class sc_fifo_in 178
class sc_fifo_out 179
class sc_in 152
class sc_in_resolved 164
class sc_in_rv 168
class sc_in<bool> 153
class sc_in<sc_dt::sc_logic> 153
class sc_inout 156
class sc_inout_resolved 165
class sc_inout_rv 169
class sc_inout<bool> 158
class sc_inout<sc_dt::sc_logic> 158
get_interface, function 112
glossary 578
standard error response 466, 478, 479, 480, 481,
482, 483, 484
standard sockets 414
start_of_simulation, member function 26
class sc_export 117
class sc_module 55
class sc_port 112
class sc_prim_channel 123
start_time, member function
class sc_clock 151
statement, glossary 578
static process
clocked thread process 44
definition 6
description 563
dynamic, function 72
glossary 578
static sensitivity
definition 16
glossary 578
static, spawned process
sc_spawn, function 64
streaming width attribute 482
string literal 199
string name
basename, function 126
case-sensitivity 56
constructor sc_export 114
constructor sc_module 40
constructor sc_object 126
constructor sc_port 107
constructor sc_prim_channel 121
glossary 578
module instance 39
sc_gen_unique_name, function 56
sc_module_name, function 57
sc_spawn, function 65
sub-object, glossary 578
suspend process 78
suspend, glossary 578
suspend, member function
class sc_process_handle 78, 585
swap, member function
class sc_process_handle 71, 586
sync_reset_off, member function
class sc_process_handle 73, 585
sync_reset_on, member function
class sc_process_handle 83, 585
synchronization-on-demand 418, 540
synchronous message passing 546
synchronous reset state
glossary 579
SystemC class library 35
systemc.h 35
systemc.h, C++ header file 35
Authorized licensed use limited to: Furkan Tuncer. Downloaded on October 16,2017 at 17:05:54 UTC from IEEE Xplore. Restrictions apply.
IEEE Std 1666-2011
IEEE Standard for Standard SystemC® Language Reference Manual
610
Copyright © 2012 IEEE. All rights reserved.
T
tagged sockets 531
target socket 422
terminated
glossary 579
method process 43
process instance 44
sc_process_handle 67
terminated_event, member function
class sc_process_handle 73
terminated, member function
class sc_process_handle 72, 586
terminology 5
thread process
arguments for macros 42
class sc_process_handle 67
glossary 579
initialization phase 17
interface methods 564
reset_signal_is, function 44
set_stack_size, function 49
terminated, function 72
wait, function 43, 52
throw_it, member function
class sc_process_handle 84, 585
time resolution 15, 102
time warp 417
timed notification
class sc_event 100
class sc_event_queue 187
definition 17
glossary 579
scheduling algorithm 16
timed notification phase
definition 18
glossary 579
time-out
definition 17
elapsed time interval 16
glossary 579
timed notification phase 18
TLM_ACCEPTED 433
message sequence chart 434
TLM_ADDRESS_ERROR_RESPONSE 479
tlm_analysis_fifo 558
tlm_analysis_if 558
tlm_analysis_port 558
tlm_base_initiator_socket_b 460
tlm_base_initiator_socket, 460
tlm_base_protocol_types 455, 456, 462
tlm_base_target_socket 460
tlm_base_target_socket_b 460
TLM_BIG_ENDIAN 491
tlm_blocking_get_if 547
tlm_blocking_get_peek_if 548
tlm_blocking_peek_if 547
tlm_blocking_put_if 547
tlm_blocking_transport_if 427
TLM_BURST_ERROR_RESPONSE 469, 480
tlm_bw_direct_mem_if 443
tlm_bw_nonblocking_transport_if 430
tlm_bw_transport_if 455
TLM_BYTE_DISABLED 469
TLM_BYTE_ENABLE_ERROR_RESPONSE 481
TLM_BYTE_ENABLED 469
tlm_command 468
TLM_COMMAND_ERROR_RESPONSE 469
TLM_COMPLETED 433
base protocol 503
data transfer time 510
message sequence chart 435
response status attribute 484
TLM_COPYRIGHT 424
tlm_copyright_string, function 424
tlm_copyright, function 424
TLM_DECLARE_EXTENDED_PHASE 500, 588
tlm_dmi 442, 445
tlm_endianness 490
tlm_extension 495
tlm_extension_base 495
tlm_fifo 546, 551, 552
tlm_fifo_debug_if 551
tlm_fifo_get_if 551
tlm_fifo_put_if 551
TLM_FULL_PAYLOAD
transport_dbg 452
value of type tlm_gp_option 468
TLM_FULL_PAYLOAD_ACCEPTED
transport_dbg 452
value of type tlm_gp_option 468
tlm_fw_direct_mem_if 445, 455
tlm_fw_nonblocking_transport_if 430
tlm_fw_transport_if 455
TLM_GENERIC_ERROR_RESPONSE 469
tlm_generic_payload. See generic payload
tlm_get_if 548
tlm_get_peek_if 548
tlm_global_quantum 418, 453
tlm_gp_option, enumeration 468, 588
TLM_IGNORE_COMMAND 468
DMI 445
response status 483
transport_dbg 451, 588
TLM_INCOMPLETE_RESPONSE 469
response status 483
tlm_initiator_socket 461
TLM_IS_PRERELEASE 424, 588
tlm_is_prerelease, function 424
Authorized licensed use limited to: Furkan Tuncer. Downloaded on October 16,2017 at 17:05:54 UTC from IEEE Xplore. Restrictions apply.
IEEE Std 1666-2011
IEEE Standard for Standard SystemC® Language Reference Manual
611
Copyright © 2012 IEEE. All rights reserved.
TLM_LITTLE_ENDIAN 491
TLM_MIN_PAYLOAD
transport_dbg 452
value of type tlm_gp_option 468
tlm_mm_interface 468, 471
tlm_nonblocking_get_if 547
tlm_nonblocking_get_peek_if 548
tlm_nonblocking_peek_if 547
tlm_nonblocking_put_if 547
TLM_OK_RESPONSE 468
base protocol 517
response status 483
tlm_peek_if 548
tlm_phase 431, 455, 466, 467, 500
tlm_phase_enum 500, 523, 526
tlm_put_if 547
tlm_quantumkeeper 418, 433, 453, 537
TLM_READ_COMMAND 468
generic payload 473
transport_dbg 451
tlm_release 425
tlm_release, function 424
tlm_response_status 468
tlm_sync_enum 433, 434
tlm_tag 546
tlm_target_socket 461
tlm_transport_dbg_if 451
tlm_transport_if 548
TLM_UNKNOWN_ENDIAN 491
TLM_UPDATED 433
base protocol 503
message sequence chart 435
tlm_utils 423
tlm_utils directory 424
tlm_utils, namespace 10
TLM_VERSION 424
tlm_version 425
TLM_VERSION_MAJOR 424
tlm_version_major, function 424
TLM_VERSION_MINOR 424
tlm_version_minor, function 424
TLM_VERSION_ORIGINATOR 424
tlm_version_originator, function 424
TLM_VERSION_PATCH 424
tlm_version_patch, function 424
TLM_VERSION_PRERELEASE 424
tlm_version_prerelease, function 424
TLM_VERSION_RELEASE_DATE 424
tlm_version_release_date, function 424
tlm_version_string, function 424
tlm_version, function 424
TLM_WRITE_COMMAND 468
DMI 445
transport_dbg 451
tlm_write_if 558
tlm, namespace 10
tlm.h 424, 587
TLM-1
coding styles 416
migration path from 442
TLM-2.0 413
TLM-2.0-compliant-implementation 588
to_bin, member function
class sc_fxnum 332, 337
class sc_fxval 341
class sc_fxval_fast 346
to_bool, member function
bit-select classes 279
class sc_logic 260
to_char, member function
bit-select classes 279
class sc_logic 260
to_dec, member function
class sc_fxnum 332, 337
class sc_fxval 341
class sc_fxval_fast 346
to_double, member function
class sc_fxnum 332, 336
class sc_fxval 341
class sc_fxval_fast 345
class sc_time 103
to_float, member function
class sc_fxnum 332, 336
class sc_fxval 341
class sc_fxval_fast 345
to_hex, member function
class sc_fxnum 332, 337
class sc_fxval 341
class sc_fxval_fast 346
to_hostendian 491
to_int, member function
class sc_fxnum 332, 336
class sc_fxnum_fast_subref 375
class sc_fxnum_subref 375
class sc_fxval 341
class sc_fxval_fast 345
SystemC data types 198
to_int64, member function
class sc_fxnum 332, 336
class sc_fxnum_fast_subref 375
class sc_fxnum_subref 375
class sc_fxval 341
class sc_fxval_fast 345
class sc_generic_base 257
SystemC data types 198
to_long, member function
class sc_fxnum 332, 336
class sc_fxnum_fast_subref 375
Authorized licensed use limited to: Furkan Tuncer. Downloaded on October 16,2017 at 17:05:54 UTC from IEEE Xplore. Restrictions apply.
IEEE Std 1666-2011
IEEE Standard for Standard SystemC® Language Reference Manual
612
Copyright © 2012 IEEE. All rights reserved.
class sc_fxnum_subref 375
class sc_fxval 341
class sc_fxval_fast 345
SystemC data types 198
to_oct, member function
class sc_fxnum 332, 337
class sc_fxval 341
class sc_fxval_fast 346
to_sc_signed, member function
class sc_generic_base 257
to_sc_unsigned, member function
class sc_generic_base 257
to_seconds, member function
class sc_time 103
to_short, member function
class sc_fxnum 332, 336
class sc_fxval 341
class sc_fxval_fast 345
to_string, member function 384
bit concatenation classes 289
class sc_bv_base 265
class sc_fxcast_switch 382
class sc_fxnum 332, 336
class sc_fxnum_fast_subref 375
class sc_fxnum_subref 375
class sc_fxval 341
class sc_fxval_fast 346
class sc_int_base 206
class sc_length_param 376
class sc_lv_base 270
class sc_signed 230
class sc_time 103
class sc_uint_base 211
class sc_unsigned 236, 255
fixed-point classes 303
part-select classes 226, 253, 283
SystemC numeric types 200
to_uint, member function
class sc_fxnum 332, 336
class sc_fxnum_fast_subref 375
class sc_fxnum_subref 375
class sc_fxval 341
class sc_fxval_fast 345
SystemC data types 198
to_uint64, member function
class sc_fxnum 332, 336
class sc_fxnum_fast_subref 375
class sc_fxnum_subref 375
class sc_fxval 341
class sc_fxval_fast 345
class sc_generic_base 256
SystemC data types 198
to_ulong, member function
class sc_fxnum 332, 336
class sc_fxnum_fast_subref 375
class sc_fxnum_subref 375
class sc_fxval 341
class sc_fxval_fast 345
SystemC data types 198
to_ushort, member function
class sc_fxnum 332, 336
class sc_fxval 341
class sc_fxval_fast 345
top-level module
definition 7
glossary 580
top-level object
definition 124
get_parent_object, function 128
glossary 580
sc_spawn, function 64
trace file 385
traits class 455, 456
transaction ordering
b_transport 514
base protocol 515
summary 517
timing annotation 438, 514
transaction-level modeling 1, 413, 415
transparent component 508
transport 546
transport interface 419, 426
DMI 449
TLM-1 546
TLM-2.0 546
transport_dbg 451, 452, 588
memory management 471
payload attributes 474
trigger
class sc_event 97
dont_initialize, function 48
evaluation phase 17
glossary 580
method process 43
next_trigger, function 17, 50
process sensitivity 16
scheduler 15
trylock, member function
class sc_mutex 183
trywait, member function
class sc_semaphore 186
type of a port
definition 54
template parameters 105
type_params, member function
limited-precision fixed-point classes 302
typedef
const_iterator 133
Authorized licensed use limited to: Furkan Tuncer. Downloaded on October 16,2017 at 17:05:54 UTC from IEEE Xplore. Restrictions apply.
IEEE Std 1666-2011
IEEE Standard for Standard SystemC® Language Reference Manual
613
Copyright © 2012 IEEE. All rights reserved.
elem_type 133
int_type 203
int64 203
iterator 133
sc_actions 393
sc_behavior 39, 56
sc_channel 39, 56
sc_exception 399
sc_in_clk 151
sc_inout_clk (deprecated) 583
sc_out_clk (deprecated) 583
sc_report_handler_proc 397
sc_signal_out_if (deprecated) 583
uint_type 203
uint64 203
U
uint_type, typedef 203
uint64, typedef 203
unbind 559
undefined
errors 11
glossary 581
UNINITIALIZED_PHASE 500, 501
unlock, member function
class sc_mutex 184
unspawned process
class sc_object 124
class sc_process_handle 67
creating 42
definition 6
glossary 581
instance 14
sensitivity 16
static sensitivity 16, 48
untimed coding style 416
update phase
definition 18
glossary 581
update request 16, 24, 121, 142
update_extensions_from 474
update_original_from 473, 474
update, member function 18
class sc_buffer 148
class sc_fifo 176
class sc_prim_channel 17, 122
class sc_signal 142
class sc_signal_resolved 162, 163
use_byte_enable_on_read 473
used 552
user, glossary 581
user-defined conversion, glossary 581
V
valid, glossary 581
valid, member function
class sc_process_handle 69
value_changed_event, member function
class sc_in 153
class sc_inout 157
class sc_signal 142
class sc_signal_in_if 135
value_changed, member function
class sc_in 153
class sc_inout 157
value, member function
class sc_fxcast_context 383
class sc_fxtype_context 381
class sc_length_context 377
class sc_logic 260
class sc_time 103
fixed-point classes 302
variable-precision fixed-point type
definition 189
glossary 582
VCD file 385, 386
vector
glossary 582
usage 190
verbosity level 396
version information 424
W
wait
b_transport 427
DMI 444
nb_transport 431
temporal decoupling 538
tlm_sync_enum 433
transport_dbg 452
wait, member function
class sc_module 17, 43, 52, 92, 95
class sc_prim_channel 17, 43, 123
class sc_semaphore 186
delta notification phase 18
warning
definition 11
glossary 582
what, member function
class sc_unwind_exception 82
width conversion 482, 490
within
definition 6
glossary 582
port binding 14
wl, member function
Authorized licensed use limited to: Furkan Tuncer. Downloaded on October 16,2017 at 17:05:54 UTC from IEEE Xplore. Restrictions apply.
IEEE Std 1666-2011
IEEE Standard for Standard SystemC® Language Reference Manual
614
Copyright © 2012 IEEE. All rights reserved.
class sc_fxtype_params 380
limited-precision fixed-point classes 302
word, endianness 487, 491
write 558
write, member function
class sc_buffer 148
class sc_clock 151
class sc_fifo 176
class sc_fifo_out 180
class sc_fifo_out_if 173
class sc_inout 157
class sc_signal 142
class sc_signal_inout_if 138
class sc_signal_resolved 162, 163
class sc_signal_rv 168
class sc_signal_write_if 137
WRITER_POLICY 587
X
xnor_reduce, reduction operator 197
xor_reduce, reduction operator 197
Y
yield
DMI 449
loosely-timed 417
quantum keeper 540
synchronization 418
temporal decoupling 538
tlm_sync_enum 433
Z
zero extension 192
Authorized licensed use limited to: Furkan Tuncer. Downloaded on October 16,2017 at 17:05:54 UTC from IEEE Xplore. Restrictions apply.