SQL Tuning Guide 6
6_PDF_18c_SQLTuningGuide_E84296-03
SQLTUNE_03_PDF_18c_SQLTuningGuide_E84296-03
User Manual:
Open the PDF directly: View PDF
.
Page Count: 793 [warning: Documents this large are best viewed by clicking the View PDF Link!]
- Contents
- Preface
- Changes in This Release for Oracle Database SQL Tuning Guide
- Part I SQL Performance Fundamentals
- 1 Introduction to SQL Tuning
- 2 SQL Performance Methodology
- Part II Query Optimizer Fundamentals
- 3 SQL Processing
- 4 Query Optimizer Concepts
- 4.1 Introduction to the Query Optimizer
- 4.2 About Optimizer Components
- 4.3 About Automatic Tuning Optimizer
- 4.4 About Adaptive Query Optimization
- 4.5 About Approximate Query Processing
- 4.6 About SQL Plan Management
- 4.7 About the Expression Statistics Store (ESS)
- 5 Query Transformations
- Part III Query Execution Plans
- 6 Generating and Displaying Execution Plans
- 6.1 Introduction to Execution Plans
- 6.2 About Plan Generation and Display
- 6.3 Generating Execution Plans
- 6.4 Displaying PLAN_TABLE Output
- 7 Reading Execution Plans
- 7.1 Reading Execution Plans: Basic
- 7.2 Reading Execution Plans: Advanced
- 7.2.1 Reading Adaptive Query Plans
- 7.2.2 Viewing Parallel Execution with EXPLAIN PLAN
- 7.2.3 Viewing Bitmap Indexes with EXPLAIN PLAN
- 7.2.4 Viewing Result Cache with EXPLAIN PLAN
- 7.2.5 Viewing Partitioned Objects with EXPLAIN PLAN
- 7.2.5.1 Displaying Range and Hash Partitioning with EXPLAIN PLAN: Examples
- 7.2.5.2 Pruning Information with Composite Partitioned Objects: Examples
- 7.2.5.3 Examples of Partial Partition-Wise Joins
- 7.2.5.4 Example of Full Partition-Wise Join
- 7.2.5.5 Examples of INLIST ITERATOR and EXPLAIN PLAN
- 7.2.5.6 Example of Domain Indexes and EXPLAIN PLAN
- 7.2.6 PLAN_TABLE Columns
- 7.3 Execution Plan Reference
- 6 Generating and Displaying Execution Plans
- Part IV SQL Operators: Access Paths and Joins
- 8 Optimizer Access Paths
- 8.1 Introduction to Access Paths
- 8.2 Table Access Paths
- 8.3 B-Tree Index Access Paths
- 8.4 Bitmap Index Access Paths
- 8.5 Table Cluster Access Paths
- 9 Joins
- 8 Optimizer Access Paths
- Part V Optimizer Statistics
- 10 Optimizer Statistics Concepts
- 10.1 Introduction to Optimizer Statistics
- 10.2 About Optimizer Statistics Types
- 10.3 How the Database Gathers Optimizer Statistics
- 10.3.1 DBMS_STATS Package
- 10.3.2 Supplemental Dynamic Statistics
- 10.3.3 Online Statistics Gathering for Bulk Loads
- 10.3.3.1 Purpose of Online Statistics Gathering for Bulk Loads
- 10.3.3.2 Global Statistics During Inserts into Empty Partitioned Tables
- 10.3.3.3 Index Statistics and Histograms During Bulk Loads
- 10.3.3.4 Restrictions for Online Statistics Gathering for Bulk Loads
- 10.3.3.5 Hints for Online Statistics Gathering for Bulk Loads
- 10.4 When the Database Gathers Optimizer Statistics
- 11 Histograms
- 12 Configuring Options for Optimizer Statistics Gathering
- 12.1 About Optimizer Statistics Collection
- 12.2 Setting Optimizer Statistics Preferences
- 12.3 Configuring Options for Dynamic Statistics
- 12.4 Managing SQL Plan Directives
- 13 Gathering Optimizer Statistics
- 13.1 Configuring Automatic Optimizer Statistics Collection
- 13.2 Gathering Optimizer Statistics Manually
- 13.2.1 About Manual Statistics Collection with DBMS_STATS
- 13.2.2 Guidelines for Gathering Optimizer Statistics Manually
- 13.2.3 Determining When Optimizer Statistics Are Stale
- 13.2.4 Gathering Schema and Table Statistics
- 13.2.5 Gathering Statistics for Fixed Objects
- 13.2.6 Gathering Statistics for Volatile Tables Using Dynamic Statistics
- 13.2.7 Gathering Optimizer Statistics Concurrently
- 13.2.8 Gathering Incremental Statistics on Partitioned Objects
- 13.2.8.1 Purpose of Incremental Statistics
- 13.2.8.2 How DBMS_STATS Derives Global Statistics for Partitioned tables
- 13.2.8.3 Gathering Statistics for a Partitioned Table: Basic Steps
- 13.2.8.4 Maintaining Incremental Statistics for Partition Maintenance Operations
- 13.2.8.5 Maintaining Incremental Statistics for Tables with Stale or Locked Partition Statistics
- 13.3 Gathering System Statistics Manually
- 13.4 Running Statistics Gathering Functions in Reporting Mode
- 14 Managing Extended Statistics
- 14.1 Managing Column Group Statistics
- 14.1.1 About Statistics on Column Groups
- 14.1.2 Detecting Useful Column Groups for a Specific Workload
- 14.1.3 Creating Column Groups Detected During Workload Monitoring
- 14.1.4 Creating and Gathering Statistics on Column Groups Manually
- 14.1.5 Displaying Column Group Information
- 14.1.6 Dropping a Column Group
- 14.2 Managing Expression Statistics
- 14.1 Managing Column Group Statistics
- 15 Controlling the Use of Optimizer Statistics
- 16 Managing Historical Optimizer Statistics
- 17 Transporting Optimizer Statistics
- 18 Analyzing Statistics Using Optimizer Statistics Advisor
- 18.1 About Optimizer Statistics Advisor
- 18.2 Basic Tasks for Optimizer Statistics Advisor
- 18.2.1 Creating an Optimizer Statistics Advisor Task
- 18.2.2 Listing Optimizer Statistics Advisor Tasks
- 18.2.3 Creating Filters for an Optimizer Advisor Task
- 18.2.4 Executing an Optimizer Statistics Advisor Task
- 18.2.5 Generating a Report for an Optimizer Statistics Advisor Task
- 18.2.6 Implementing Optimizer Statistics Advisor Recommendations
- 10 Optimizer Statistics Concepts
- Part VI Optimizer Controls
- 19 Influencing the Optimizer
- 20 Improving Real-World Performance Through Cursor Sharing
- 20.1 Overview of Cursor Sharing
- 20.2 CURSOR_SHARING and Bind Variable Substitution
- 20.3 Adaptive Cursor Sharing
- 20.4 Real-World Performance Guidelines for Cursor Sharing
- Part VII Monitoring and Tracing SQL
- 21 Monitoring Database Operations
- 21.1 About Monitoring Database Operations
- 21.2 Enabling and Disabling Monitoring of Database Operations
- 21.3 Creating a Database Operation
- 21.4 Monitoring SQL Executions Using Cloud Control
- 21.5 Monitoring Database Operations: Scenarios
- 22 Gathering Diagnostic Data with SQL Test Case Builder
- 23 Performing Application Tracing
- 23.1 Overview of End-to-End Application Tracing
- 23.2 Enabling Statistics Gathering for End-to-End Tracing
- 23.3 Enabling End-to-End Application Tracing
- 23.4 Generating Output Files Using SQL Trace and TKPROF
- 23.5 Guidelines for Interpreting TKPROF Output
- 23.6.1 Application Tracing Utilities
- 23.7.1 Views for Application Tracing
- 21 Monitoring Database Operations
- Part VIII Automatic SQL Tuning
- 24 Managing SQL Tuning Sets
- 25 Analyzing SQL with SQL Tuning Advisor
- 25.1 About SQL Tuning Advisor
- 25.2 Managing the Automatic SQL Tuning Task
- 25.3 Running SQL Tuning Advisor On Demand
- 26 Optimizing Access Paths with SQL Access Advisor
- 26.1 About SQL Access Advisor
- 26.2 Using SQL Access Advisor: Basic Tasks
- 26.2.1 Creating a SQL Tuning Set as Input for SQL Access Advisor
- 26.2.2 Populating a SQL Tuning Set with a User-Defined Workload
- 26.2.3 Creating and Configuring a SQL Access Advisor Task
- 26.2.4 Executing a SQL Access Advisor Task
- 26.2.5 Viewing SQL Access Advisor Task Results
- 26.2.6 Generating and Executing a Task Script
- 26.3 Performing a SQL Access Advisor Quick Tune
- 26.4 Using SQL Access Advisor: Advanced Tasks
- 26.4.1 Evaluating Existing Access Structures
- 26.4.2 Updating SQL Access Advisor Task Attributes
- 26.4.3 Creating and Using SQL Access Advisor Task Templates
- 26.4.4 Terminating SQL Access Advisor Task Execution
- 26.4.5 Deleting SQL Access Advisor Tasks
- 26.4.6 Marking SQL Access Advisor Recommendations
- 26.4.7 Modifying SQL Access Advisor Recommendations
- 26.5 SQL Access Advisor Examples
- 26.6 SQL Access Advisor Reference
- Part IX SQL Controls: Profiles and Plan Baselines
- 27 Managing SQL Profiles
- 28 Overview of SQL Plan Management
- 29 Managing SQL Plan Baselines
- 29.1 About Managing SQL Plan Baselines
- 29.2 Configuring SQL Plan Management
- 29.3 Displaying Plans in a SQL Plan Baseline
- 29.4 Loading SQL Plan Baselines
- 29.5 Evolving SQL Plan Baselines Manually
- 29.6 Dropping SQL Plan Baselines
- 29.7 Managing the SQL Management Base
- 30 Migrating Stored Outlines to SQL Plan Baselines
- A Guidelines for Indexes and Table Clusters
- A.1 Guidelines for Tuning Index Performance
- A.1.1 Guidelines for Tuning the Logical Structure
- A.1.2 Guidelines for Using SQL Access Advisor
- A.1.3 Guidelines for Choosing Columns and Expressions to Index
- A.1.4 Guidelines for Choosing Composite Indexes
- A.1.5 Guidelines for Writing SQL Statements That Use Indexes
- A.1.6 Guidelines for Writing SQL Statements That Avoid Using Indexes
- A.1.7 Guidelines for Avoiding Index Serialization on a Sequence-Generated Key
- A.1.8 Guidelines for Re-Creating Indexes
- A.1.9 Guidelines for Compacting Indexes
- A.1.10 Guidelines for Using Nonunique Indexes to Enforce Uniqueness
- A.1.11 Guidelines for Using Enabled Novalidated Constraints
- A.2 Guidelines for Using Function-Based Indexes for Performance
- A.3 Guidelines for Using Partitioned Indexes for Performance
- A.4 Guidelines for Using Index-Organized Tables for Performance
- A.5 Guidelines for Using Bitmap Indexes for Performance
- A.6 Guidelines for Using Bitmap Join Indexes for Performance
- A.7 Guidelines for Using Domain Indexes for Performance
- A.8 Guidelines for Using Table Clusters
- A.9 Guidelines for Using Hash Clusters for Performance
- A.1 Guidelines for Tuning Index Performance
- Glossary
- accepted plan
- access path
- adaptive cursor sharing
- adaptive dynamic sampling
- adaptive optimizer
- adaptive query plan
- adaptive query optimization
- ADDM
- antijoin
- approximate query processing
- automatic capture filter
- Automatic Database Diagnostic Monitor (ADDM)
- automatic optimizer statistics collection
- automatic initial plan capture
- automatic reoptimization
- automatic SQL tuning
- Automatic SQL Tuning Advisor
- Automatic Tuning Optimizer
- Automatic Workload Repository (AWR)
- AWR
- AWR snapshot
- band join
- base cardinality
- baseline
- bind-aware cursor
- bind-sensitive cursor
- bind variable
- bind variable peeking
- bitmap join index
- bitmap piece
- B-tree index
- bulk load
- bushy join tree
- cardinality
- Cartesian join
- child cursor
- cluster scan
- column group
- column group statistics
- column statistics
- complex view merging
- composite database operation
- concurrency
- concurrent statistics gathering mode
- condition
- cost
- cost-based optimizer (CBO)
- cost model
- cumulative statistics
- cursor
- cursor cache
- cursor merging
- cursor-duration temporary table
- data flow operator (DFO)
- data skew
- database operation
- default plan
- disabled plan
- degree of parallelism (DOP)
- dense key
- dense grouping key
- dense join key
- density
- direct path read
- driving table
- dynamic performance view
- dynamic plan
- dynamic statistics
- dynamic statistics level
- enabled plan
- endpoint number
- endpoint repeat count
- endpoint value
- equijoin
- estimator
- execution plan
- execution tree
- expected cardinality
- expression
- expression statistics
- extended statistics
- extensible optimizer
- extension
- external table
- filter condition
- final plan
- fixed object
- fixed plan
- frequency histogram
- full outer join
- full table scan
- global temporary table
- hard parse
- hash cluster
- hash collision
- hash function
- hash join
- hash scan
- hash table
- hash value
- hashing
- heap-organized table
- height-balanced histogram
- hint
- histogram
- hybrid hash distribution technique
- hybrid histogram
- implicit query
- In-Memory scan
- incremental statistics maintenance
- index
- index cluster
- index clustering factor
- index fast full scan
- index full scan
- index-organized table
- index range scan
- index range scan descending
- index skip scan
- index statistics
- index unique scan
- indextype
- inner join
- inner table
- join
- join condition
- join elimination
- join factorization
- join group
- join method
- join order
- join predicate
- key vector
- latch
- left deep join tree
- left table
- library cache
- library cache hit
- library cache miss
- maintenance window
- manual plan capture
- materialized view
- multiblock read
- NDV
- nested loops join
- nonequijoin
- nonjoin column
- nonpopular value
- noworkload statistics
- on-demand SQL tuning
- optimization
- optimizer
- optimizer cost model
- optimizer environment
- optimizer goal
- optimizer statistics
- Optimizer Statistics Advisor
- Optimizer Statistics Advisor rules
- optimizer statistics collection
- optimizer statistics collector
- optimizer statistics preferences
- outer join
- outer table
- parallel execution
- parallel query
- parent cursor
- parse call
- parsing
- partition maintenance operation
- partition-wise join
- pending statistics
- performance feedback
- pipelined table function
- plan evolution
- plan generator
- plan selection
- plan verification
- popular value
- predicate pushing
- private SQL area
- private temporary table
- proactive SQL tuning
- projection view
- query
- query block
- query optimizer
- reactive SQL tuning
- recursive SQL
- reoptimization
- repeatable SQL statement
- response time
- result set
- right deep join tree
- right table
- rowid
- row set
- row source
- row source generator
- row source tree
- rule filter
- sample table scan
- sampling
- selectivity
- semijoin
- shared cursor
- shared pool
- shared SQL area
- simple database operation
- simple view merging
- SMB
- snowflake schema
- snowstorm schema
- soft parse
- sort merge join
- SQL Access Advisor
- SQL compilation
- SQL handle
- SQL ID
- SQL incident
- SQL management base (SMB)
- SQL plan baseline
- SQL plan capture
- SQL plan directive
- SQL plan history
- SQL plan management
- SQL processing
- SQL profile
- SQL profiling
- SQL signature
- SQL statement log
- SQL test case
- SQL test case builder
- SQL trace file
- SQL tuning
- SQL Tuning Advisor
- SQL tuning set (STS)
- star schema
- statistics feedback
- stored outline
- subplan
- subplan group
- subquery
- subquery unnesting
- synopsis
- system statistics
- table cluster
- table expansion
- table statistics
- throughput
- top frequency histogram
- tuning mode
- unaccepted plan
- unselective
- user response time
- V$ view
- vector I/O
- view merging
- workload statistics
- Index

Oracle® Database
SQL Tuning Guide
18c
E84296-03
April 2018
Oracle Database SQL Tuning Guide, 18c
E84296-03
Copyright © 2013, 2018, Oracle and/or its affiliates. All rights reserved.
Primary Author: Lance Ashdown
Contributing Authors: Nigel Bayliss, Maria Colgan, Tom Kyte
Contributors: Hermann Baer, Bjorn Bolltoft, Ali Cakmak, Sunil Chakkappen, Immanuel Chan, Deba
Chatterjee, Chris Chiappa, Dinesh Das, Kurt Engeleiter, Leonidas Galanis, William Endress, Marcus Fallen,
Bruce Golbus, Katsumi Inoue, Praveen Kumar Tupati Jaganath, Mark Jefferys, Shantanu Joshi, Adam
Kociubes, Keith Laker, Allison Lee, Sue Lee, Cheng Li, David McDermid, Colin McGregor, Ajit Mylavarapu,
Ted Persky, Lei Sheng, Ekrem Soylemez, Hong Su, Murali Thiyagarajah, Randy Urbano, Sahil Vazirani,
Bharath Venkatakrishnan, Hailing Yu, John Zimmerman
This software and related documentation are provided under a license agreement containing restrictions on
use and disclosure and are protected by intellectual property laws. Except as expressly permitted in your
license agreement or allowed by law, you may not use, copy, reproduce, translate, broadcast, modify,
license, transmit, distribute, exhibit, perform, publish, or display any part, in any form, or by any means.
Reverse engineering, disassembly, or decompilation of this software, unless required by law for
interoperability, is prohibited.
The information contained herein is subject to change without notice and is not warranted to be error-free. If
you find any errors, please report them to us in writing.
If this is software or related documentation that is delivered to the U.S. Government or anyone licensing it on
behalf of the U.S. Government, then the following notice is applicable:
U.S. GOVERNMENT END USERS: Oracle programs, including any operating system, integrated software,
any programs installed on the hardware, and/or documentation, delivered to U.S. Government end users are
"commercial computer software" pursuant to the applicable Federal Acquisition Regulation and agency-
specific supplemental regulations. As such, use, duplication, disclosure, modification, and adaptation of the
programs, including any operating system, integrated software, any programs installed on the hardware,
and/or documentation, shall be subject to license terms and license restrictions applicable to the programs.
No other rights are granted to the U.S. Government.
This software or hardware is developed for general use in a variety of information management applications.
It is not developed or intended for use in any inherently dangerous applications, including applications that
may create a risk of personal injury. If you use this software or hardware in dangerous applications, then you
shall be responsible to take all appropriate fail-safe, backup, redundancy, and other measures to ensure its
safe use. Oracle Corporation and its affiliates disclaim any liability for any damages caused by use of this
software or hardware in dangerous applications.
Oracle and Java are registered trademarks of Oracle and/or its affiliates. Other names may be trademarks of
their respective owners.
Intel and Intel Xeon are trademarks or registered trademarks of Intel Corporation. All SPARC trademarks are
used under license and are trademarks or registered trademarks of SPARC International, Inc. AMD, Opteron,
the AMD logo, and the AMD Opteron logo are trademarks or registered trademarks of Advanced Micro
Devices. UNIX is a registered trademark of The Open Group.
This software or hardware and documentation may provide access to or information about content, products,
and services from third parties. Oracle Corporation and its affiliates are not responsible for and expressly
disclaim all warranties of any kind with respect to third-party content, products, and services unless otherwise
set forth in an applicable agreement between you and Oracle. Oracle Corporation and its affiliates will not be
responsible for any loss, costs, or damages incurred due to your access to or use of third-party content,
products, or services, except as set forth in an applicable agreement between you and Oracle.

Contents
Preface
Audience xxv
Documentation Accessibility xxv
Related Documents xxvi
Conventions xxvi
Changes in This Release for Oracle Database SQL Tuning Guide
Changes in Oracle Database Release 18c, Version 18.1 xxvii
Changes in Oracle Database 12c Release 2 (12.2.0.1) xxviii
Changes in Oracle Database 12c Release 1 (12.1.0.2) xxxi
Changes in Oracle Database 12c Release 1 (12.1.0.1) xxxii
Part I SQL Performance Fundamentals
1 Introduction to SQL Tuning
1.1 About SQL Tuning 1-1
1.2 Purpose of SQL Tuning 1-1
1.3 Prerequisites for SQL Tuning 1-2
1.4 Tasks and Tools for SQL Tuning 1-2
1.4.1 SQL Tuning Tasks 1-3
1.4.2 SQL Tuning Tools 1-4
1.4.2.1 Automated SQL Tuning Tools 1-5
1.4.2.2 Manual SQL Tuning Tools 1-7
1.4.3 User Interfaces to SQL Tuning Tools 1-9
2 SQL Performance Methodology
2.1 Guidelines for Designing Your Application 2-1
2.1.1 Guideline for Data Modeling 2-1
2.1.2 Guideline for Writing Efficient Applications 2-2
iii

2.2 Guidelines for Deploying Your Application 2-3
2.2.1 Guideline for Deploying in a Test Environment 2-3
2.2.2 Guidelines for Application Rollout 2-4
Part II Query Optimizer Fundamentals
3 SQL Processing
3.1 About SQL Processing 3-1
3.1.1 SQL Parsing 3-3
3.1.1.1 Syntax Check 3-3
3.1.1.2 Semantic Check 3-4
3.1.1.3 Shared Pool Check 3-4
3.1.2 SQL Optimization 3-6
3.1.3 SQL Row Source Generation 3-6
3.1.4 SQL Execution 3-7
3.2 How Oracle Database Processes DML 3-9
3.2.1 How Row Sets Are Fetched 3-9
3.2.2 Read Consistency 3-10
3.2.3 Data Changes 3-10
3.3 How Oracle Database Processes DDL 3-10
4 Query Optimizer Concepts
4.1 Introduction to the Query Optimizer 4-1
4.1.1 Purpose of the Query Optimizer 4-2
4.1.2 Cost-Based Optimization 4-2
4.1.3 Execution Plans 4-2
4.1.3.1 Query Blocks 4-3
4.1.3.2 Query Subplans 4-4
4.1.3.3 Analogy for the Optimizer 4-4
4.2 About Optimizer Components 4-4
4.2.1 Query Transformer 4-6
4.2.2 Estimator 4-6
4.2.2.1 Selectivity 4-8
4.2.2.2 Cardinality 4-9
4.2.2.3 Cost 4-9
4.2.3 Plan Generator 4-10
4.3 About Automatic Tuning Optimizer 4-12
4.4 About Adaptive Query Optimization 4-12
4.4.1 Adaptive Query Plans 4-13
iv

4.4.1.1 About Adaptive Query Plans 4-13
4.4.1.2 Purpose of Adaptive Query Plans 4-14
4.4.1.3 How Adaptive Query Plans Work 4-14
4.4.1.4 When Adaptive Query Plans Are Enabled 4-21
4.4.2 Adaptive Statistics 4-21
4.4.2.1 Dynamic Statistics 4-22
4.4.2.2 Automatic Reoptimization 4-22
4.4.2.3 SQL Plan Directives 4-25
4.4.2.4 When Adaptive Statistics Are Enabled 4-25
4.5 About Approximate Query Processing 4-26
4.5.1 Approximate Query Initialization Parameters 4-27
4.5.2 Approximate Query SQL Functions 4-27
4.6 About SQL Plan Management 4-29
4.7 About the Expression Statistics Store (ESS) 4-30
5 Query Transformations
5.1 OR Expansion 5-1
5.2 View Merging 5-3
5.2.1 Query Blocks in View Merging 5-4
5.2.2 Simple View Merging 5-5
5.2.3 Complex View Merging 5-7
5.3 Predicate Pushing 5-9
5.4 Subquery Unnesting 5-10
5.5 Query Rewrite with Materialized Views 5-11
5.6 Star Transformation 5-11
5.6.1 About Star Schemas 5-12
5.6.2 Purpose of Star Transformations 5-13
5.6.3 How Star Transformation Works 5-13
5.6.4 Controls for Star Transformation 5-13
5.6.5 Star Transformation: Scenario 5-14
5.6.6 Temporary Table Transformation: Scenario 5-16
5.7 In-Memory Aggregation (VECTOR GROUP BY) 5-18
5.8 Cursor-Duration Temporary Tables 5-18
5.8.1 Purpose of Cursor-Duration Temporary Tables 5-19
5.8.2 How Cursor-Duration Temporary Tables Work 5-19
5.8.3 Cursor-Duration Temporary Tables: Example 5-20
5.9 Table Expansion 5-20
5.9.1 Purpose of Table Expansion 5-21
5.9.2 How Table Expansion Works 5-21
5.9.3 Table Expansion: Scenario 5-22
v

5.9.4 Table Expansion and Star Transformation: Scenario 5-25
5.10 Join Factorization 5-26
5.10.1 Purpose of Join Factorization 5-26
5.10.2 How Join Factorization Works 5-27
5.10.3 Factorization and Join Orders: Scenario 5-28
5.10.4 Factorization of Outer Joins: Scenario 5-29
Part III Query Execution Plans
6 Generating and Displaying Execution Plans
6.1 Introduction to Execution Plans 6-1
6.2 About Plan Generation and Display 6-1
6.2.1 About the Plan Explanation 6-2
6.2.2 Why Execution Plans Change 6-2
6.2.2.1 Different Schemas 6-3
6.2.2.2 Different Costs 6-3
6.2.3 Guideline for Minimizing Throw-Away 6-3
6.2.4 Guidelines for Evaluating Execution Plans Using EXPLAIN PLAN 6-4
6.2.4.1 Guidelines for Evaluating Plans Using the V$SQL_PLAN Views 6-4
6.2.5 EXPLAIN PLAN Restrictions 6-5
6.2.6 Guidelines for Creating PLAN_TABLE 6-5
6.3 Generating Execution Plans 6-5
6.3.1 Executing EXPLAIN PLAN for a Single Statement 6-6
6.3.2 Executing EXPLAIN PLAN Using a Statement ID 6-6
6.3.3 Directing EXPLAIN PLAN Output to a Nondefault Table 6-7
6.4 Displaying PLAN_TABLE Output 6-7
6.4.1 Displaying an Execution Plan: Example 6-8
6.4.2 Customizing PLAN_TABLE Output 6-9
7 Reading Execution Plans
7.1 Reading Execution Plans: Basic 7-1
7.2 Reading Execution Plans: Advanced 7-2
7.2.1 Reading Adaptive Query Plans 7-2
7.2.2 Viewing Parallel Execution with EXPLAIN PLAN 7-6
7.2.2.1 About EXPLAIN PLAN and Parallel Queries 7-6
7.2.2.2 Viewing Parallel Queries with EXPLAIN PLAN: Example 7-8
7.2.3 Viewing Bitmap Indexes with EXPLAIN PLAN 7-9
7.2.4 Viewing Result Cache with EXPLAIN PLAN 7-9
7.2.5 Viewing Partitioned Objects with EXPLAIN PLAN 7-10
vi

7.2.5.1 Displaying Range and Hash Partitioning with EXPLAIN PLAN:
Examples 7-11
7.2.5.2 Pruning Information with Composite Partitioned Objects:
Examples 7-12
7.2.5.3 Examples of Partial Partition-Wise Joins 7-14
7.2.5.4 Example of Full Partition-Wise Join 7-15
7.2.5.5 Examples of INLIST ITERATOR and EXPLAIN PLAN 7-16
7.2.5.6 Example of Domain Indexes and EXPLAIN PLAN 7-18
7.2.6 PLAN_TABLE Columns 7-18
7.3 Execution Plan Reference 7-28
7.3.1 Execution Plan Views 7-29
7.3.2 PLAN_TABLE Columns 7-29
7.3.3 DBMS_XPLAN Program Units 7-38
Part IV SQL Operators: Access Paths and Joins
8 Optimizer Access Paths
8.1 Introduction to Access Paths 8-1
8.2 Table Access Paths 8-2
8.2.1 About Heap-Organized Table Access 8-3
8.2.1.1 Row Storage in Data Blocks and Segments: A Primer 8-3
8.2.1.2 Importance of Rowids for Row Access 8-4
8.2.1.3 Direct Path Reads 8-4
8.2.2 Full Table Scans 8-5
8.2.2.1 When the Optimizer Considers a Full Table Scan 8-6
8.2.2.2 How a Full Table Scan Works 8-7
8.2.2.3 Full Table Scan: Example 8-8
8.2.3 Table Access by Rowid 8-8
8.2.3.1 When the Optimizer Chooses Table Access by Rowid 8-9
8.2.3.2 How Table Access by Rowid Works 8-9
8.2.3.3 Table Access by Rowid: Example 8-9
8.2.4 Sample Table Scans 8-10
8.2.4.1 When the Optimizer Chooses a Sample Table Scan 8-10
8.2.4.2 Sample Table Scans: Example 8-11
8.2.5 In-Memory Table Scans 8-11
8.2.5.1 When the Optimizer Chooses an In-Memory Table Scan 8-11
8.2.5.2 In-Memory Query Controls 8-11
8.2.5.3 In-Memory Table Scans: Example 8-12
8.3 B-Tree Index Access Paths 8-13
8.3.1 About B-Tree Index Access 8-13
vii

8.3.1.1 B-Tree Index Structure 8-14
8.3.1.2 How Index Storage Affects Index Scans 8-15
8.3.1.3 Unique and Nonunique Indexes 8-16
8.3.1.4 B-Tree Indexes and Nulls 8-16
8.3.2 Index Unique Scans 8-18
8.3.2.1 When the Optimizer Considers Index Unique Scans 8-18
8.3.2.2 How Index Unique Scans Work 8-19
8.3.2.3 Index Unique Scans: Example 8-19
8.3.3 Index Range Scans 8-20
8.3.3.1 When the Optimizer Considers Index Range Scans 8-21
8.3.3.2 How Index Range Scans Work 8-21
8.3.3.3 Index Range Scan: Example 8-22
8.3.3.4 Index Range Scan Descending: Example 8-23
8.3.4 Index Full Scans 8-24
8.3.4.1 When the Optimizer Considers Index Full Scans 8-24
8.3.4.2 How Index Full Scans Work 8-24
8.3.4.3 Index Full Scans: Example 8-25
8.3.5 Index Fast Full Scans 8-26
8.3.5.1 When the Optimizer Considers Index Fast Full Scans 8-26
8.3.5.2 How Index Fast Full Scans Work 8-26
8.3.5.3 Index Fast Full Scans: Example 8-26
8.3.6 Index Skip Scans 8-27
8.3.6.1 When the Optimizer Considers Index Skips Scans 8-27
8.3.6.2 How Index Skip Scans Work 8-28
8.3.6.3 Index Skip Scans: Example 8-28
8.3.7 Index Join Scans 8-29
8.3.7.1 When the Optimizer Considers Index Join Scans 8-29
8.3.7.2 How Index Join Scans Work 8-30
8.3.7.3 Index Join Scans: Example 8-30
8.4 Bitmap Index Access Paths 8-31
8.4.1 About Bitmap Index Access 8-31
8.4.1.1 Differences Between Bitmap and B-Tree Indexes 8-32
8.4.1.2 Purpose of Bitmap Indexes 8-33
8.4.1.3 Bitmaps and Rowids 8-33
8.4.1.4 Bitmap Join Indexes 8-34
8.4.1.5 Bitmap Storage 8-35
8.4.2 Bitmap Conversion to Rowid 8-36
8.4.2.1 When the Optimizer Chooses Bitmap Conversion to Rowid 8-36
8.4.2.2 How Bitmap Conversion to Rowid Works 8-36
8.4.2.3 Bitmap Conversion to Rowid: Example 8-36
8.4.3 Bitmap Index Single Value 8-37
viii

8.4.3.1 When the Optimizer Considers Bitmap Index Single Value 8-37
8.4.3.2 How Bitmap Index Single Value Works 8-37
8.4.3.3 Bitmap Index Single Value: Example 8-38
8.4.4 Bitmap Index Range Scans 8-38
8.4.4.1 When the Optimizer Considers Bitmap Index Range Scans 8-39
8.4.4.2 How Bitmap Index Range Scans Work 8-39
8.4.4.3 Bitmap Index Range Scans: Example 8-39
8.4.5 Bitmap Merge 8-40
8.4.5.1 When the Optimizer Considers Bitmap Merge 8-40
8.4.5.2 How Bitmap Merge Works 8-40
8.4.5.3 Bitmap Merge: Example 8-40
8.5 Table Cluster Access Paths 8-41
8.5.1 Cluster Scans 8-42
8.5.1.1 When the Optimizer Considers Cluster Scans 8-42
8.5.1.2 How a Cluster Scan Works 8-42
8.5.1.3 Cluster Scans: Example 8-42
8.5.2 Hash Scans 8-43
8.5.2.1 When the Optimizer Considers a Hash Scan 8-44
8.5.2.2 How a Hash Scan Works 8-44
8.5.2.3 Hash Scans: Example 8-44
9 Joins
9.1 About Joins 9-1
9.1.1 Join Trees 9-2
9.1.2 How the Optimizer Executes Join Statements 9-3
9.1.3 How the Optimizer Chooses Execution Plans for Joins 9-4
9.2 Join Methods 9-5
9.2.1 Nested Loops Joins 9-6
9.2.1.1 When the Optimizer Considers Nested Loops Joins 9-7
9.2.1.2 How Nested Loops Joins Work 9-7
9.2.1.3 Nested Nested Loops 9-8
9.2.1.4 Current Implementation for Nested Loops Joins 9-10
9.2.1.5 Original Implementation for Nested Loops Joins 9-13
9.2.1.6 Nested Loops Controls 9-14
9.2.2 Hash Joins 9-15
9.2.2.1 When the Optimizer Considers Hash Joins 9-16
9.2.2.2 How Hash Joins Work 9-16
9.2.2.3 How Hash Joins Work When the Hash Table Does Not Fit in the
PGA 9-19
9.2.2.4 Hash Join Controls 9-19
9.2.3 Sort Merge Joins 9-19
ix

9.2.3.1 When the Optimizer Considers Sort Merge Joins 9-20
9.2.3.2 How Sort Merge Joins Work 9-21
9.2.3.3 Sort Merge Join Controls 9-24
9.3 Join Types 9-25
9.3.1 Inner Joins 9-25
9.3.1.1 Equijoins 9-25
9.3.1.2 Nonequijoins 9-26
9.3.1.3 Band Joins 9-26
9.3.2 Outer Joins 9-30
9.3.2.1 Nested Loops Outer Joins 9-31
9.3.2.2 Hash Join Outer Joins 9-31
9.3.2.3 Sort Merge Outer Joins 9-33
9.3.2.4 Full Outer Joins 9-33
9.3.2.5 Multiple Tables on the Left of an Outer Join 9-34
9.3.3 Semijoins 9-35
9.3.3.1 When the Optimizer Considers Semijoins 9-35
9.3.3.2 How Semijoins Work 9-36
9.3.4 Antijoins 9-37
9.3.4.1 When the Optimizer Considers Antijoins 9-37
9.3.4.2 How Antijoins Work 9-38
9.3.4.3 How Antijoins Handle Nulls 9-39
9.3.5 Cartesian Joins 9-42
9.3.5.1 When the Optimizer Considers Cartesian Joins 9-42
9.3.5.2 How Cartesian Joins Work 9-43
9.3.5.3 Cartesian Join Controls 9-43
9.4 Join Optimizations 9-44
9.4.1 Bloom Filters 9-44
9.4.1.1 Purpose of Bloom Filters 9-45
9.4.1.2 How Bloom Filters Work 9-45
9.4.1.3 Bloom Filter Controls 9-46
9.4.1.4 Bloom Filter Metadata 9-46
9.4.1.5 Bloom Filters: Scenario 9-46
9.4.2 Partition-Wise Joins 9-48
9.4.2.1 Purpose of Partition-Wise Joins 9-49
9.4.2.2 How Partition-Wise Joins Work 9-49
9.4.3 In-Memory Join Groups 9-51
Part V Optimizer Statistics
x

10
Optimizer Statistics Concepts
10.1 Introduction to Optimizer Statistics 10-1
10.2 About Optimizer Statistics Types 10-3
10.2.1 Table Statistics 10-3
10.2.1.1 Permanent Table Statistics 10-3
10.2.1.2 Temporary Table Statistics 10-4
10.2.2 Column Statistics 10-7
10.2.3 Index Statistics 10-8
10.2.3.1 Types of Index Statistics 10-8
10.2.3.2 Index Clustering Factor 10-9
10.2.3.3 Effect of Index Clustering Factor on Cost: Example 10-12
10.2.4 System Statistics 10-13
10.2.5 User-Defined Optimizer Statistics 10-13
10.3 How the Database Gathers Optimizer Statistics 10-13
10.3.1 DBMS_STATS Package 10-13
10.3.2 Supplemental Dynamic Statistics 10-14
10.3.3 Online Statistics Gathering for Bulk Loads 10-14
10.3.3.1 Purpose of Online Statistics Gathering for Bulk Loads 10-15
10.3.3.2 Global Statistics During Inserts into Empty Partitioned Tables 10-16
10.3.3.3 Index Statistics and Histograms During Bulk Loads 10-16
10.3.3.4 Restrictions for Online Statistics Gathering for Bulk Loads 10-16
10.3.3.5 Hints for Online Statistics Gathering for Bulk Loads 10-17
10.4 When the Database Gathers Optimizer Statistics 10-18
10.4.1 Sources for Optimizer Statistics 10-18
10.4.2 SQL Plan Directives 10-19
10.4.2.1 When the Database Creates SQL Plan Directives 10-19
10.4.2.2 How the Database Uses SQL Plan Directives 10-20
10.4.2.3 SQL Plan Directive Maintenance 10-20
10.4.2.4 How the Optimizer Uses SQL Plan Directives: Example 10-21
10.4.2.5 How the Optimizer Uses Extensions and SQL Plan Directives:
Example 10-25
10.4.3 When the Database Samples Data 10-28
10.4.4 How the Database Samples Data 10-30
11
Histograms
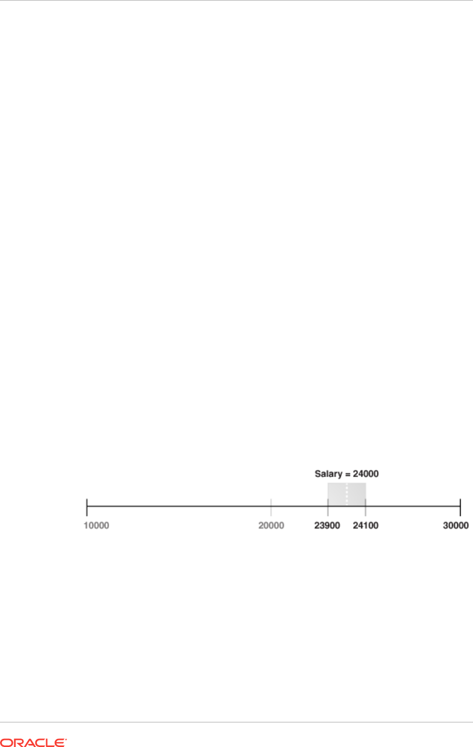
11.1 Purpose of Histograms 11-2
11.2 When Oracle Database Creates Histograms 11-2
11.3 How Oracle Database Chooses the Histogram Type 11-3
11.4 Cardinality Algorithms When Using Histograms 11-4
11.4.1 Endpoint Numbers and Values 11-4
xi

11.4.2 Popular and Nonpopular Values 11-5
11.4.3 Bucket Compression 11-5
11.5 Frequency Histograms 11-6
11.5.1 Criteria For Frequency Histograms 11-6
11.5.2 Generating a Frequency Histogram 11-7
11.6 Top Frequency Histograms 11-10
11.6.1 Criteria For Top Frequency Histograms 11-10
11.6.2 Generating a Top Frequency Histogram 11-11
11.7 Height-Balanced Histograms (Legacy) 11-14
11.7.1 Criteria for Height-Balanced Histograms 11-14
11.7.2 Generating a Height-Balanced Histogram 11-15
11.8 Hybrid Histograms 11-18
11.8.1 How Endpoint Repeat Counts Work 11-18
11.8.2 Criteria for Hybrid Histograms 11-20
11.8.3 Generating a Hybrid Histogram 11-20
12
Configuring Options for Optimizer Statistics Gathering
12.1 About Optimizer Statistics Collection 12-1
12.1.1 Purpose of Optimizer Statistics Collection 12-1
12.1.2 User Interfaces for Optimizer Statistics Management 12-2
12.1.2.1 Graphical Interface for Optimizer Statistics Management 12-2
12.1.2.2 Command-Line Interface for Optimizer Statistics Management 12-3
12.2 Setting Optimizer Statistics Preferences 12-3
12.2.1 About Optimizer Statistics Preferences 12-3
12.2.1.1 Purpose of Optimizer Statistics Preferences 12-4
12.2.1.2 Examples of Statistics Preferences 12-4
12.2.1.3 DBMS_STATS Procedures for Setting Statistics Preferences 12-5
12.2.1.4 Statistics Preference Overrides 12-6
12.2.1.5 Setting Statistics Preferences: Example 12-8
12.2.2 Setting Global Optimizer Statistics Preferences Using Cloud Control 12-9
12.2.3 Setting Object-Level Optimizer Statistics Preferences Using Cloud
Control 12-10
12.2.4 Setting Optimizer Statistics Preferences from the Command Line 12-10
12.3 Configuring Options for Dynamic Statistics 12-11
12.3.1 About Dynamic Statistics Levels 12-12
12.3.2 Setting Dynamic Statistics Levels Manually 12-13
12.3.3 Disabling Dynamic Statistics 12-15
12.4 Managing SQL Plan Directives 12-16
xii

13
Gathering Optimizer Statistics
13.1 Configuring Automatic Optimizer Statistics Collection 13-1
13.1.1 About Automatic Optimizer Statistics Collection 13-2
13.1.2 Configuring Automatic Optimizer Statistics Collection Using Cloud
Control 13-2
13.1.3 Configuring Automatic Optimizer Statistics Collection from the
Command Line 13-4
13.2 Gathering Optimizer Statistics Manually 13-6
13.2.1 About Manual Statistics Collection with DBMS_STATS 13-6
13.2.2 Guidelines for Gathering Optimizer Statistics Manually 13-7
13.2.2.1 Guideline for Setting the Sample Size 13-8
13.2.2.2 Guideline for Gathering Statistics in Parallel 13-9
13.2.2.3 Guideline for Partitioned Objects 13-9
13.2.2.4 Guideline for Frequently Changing Objects 13-9
13.2.2.5 Guideline for External Tables 13-9
13.2.3 Determining When Optimizer Statistics Are Stale 13-10
13.2.4 Gathering Schema and Table Statistics 13-11
13.2.5 Gathering Statistics for Fixed Objects 13-11
13.2.6 Gathering Statistics for Volatile Tables Using Dynamic Statistics 13-12
13.2.7 Gathering Optimizer Statistics Concurrently 13-13
13.2.7.1 About Concurrent Statistics Gathering 13-14
13.2.7.2 Enabling Concurrent Statistics Gathering 13-16
13.2.7.3 Monitoring Statistics Gathering Operations 13-18
13.2.8 Gathering Incremental Statistics on Partitioned Objects 13-19
13.2.8.1 Purpose of Incremental Statistics 13-20
13.2.8.2 How DBMS_STATS Derives Global Statistics for Partitioned
tables 13-21
13.2.8.3 Gathering Statistics for a Partitioned Table: Basic Steps 13-24
13.2.8.4 Maintaining Incremental Statistics for Partition Maintenance
Operations 13-27
13.2.8.5 Maintaining Incremental Statistics for Tables with Stale or
Locked Partition Statistics 13-29
13.3 Gathering System Statistics Manually 13-31
13.3.1 About System Statistics 13-31
13.3.2 Guidelines for Gathering System Statistics 13-33
13.3.3 Gathering System Statistics with DBMS_STATS 13-33
13.3.3.1 About the GATHER_SYSTEM_STATS Procedure 13-34
13.3.3.2 Gathering Workload Statistics 13-35
13.3.3.3 Gathering Noworkload Statistics 13-39
13.3.4 Deleting System Statistics 13-40
13.4 Running Statistics Gathering Functions in Reporting Mode 13-41
xiii

14
Managing Extended Statistics
14.1 Managing Column Group Statistics 14-1
14.1.1 About Statistics on Column Groups 14-2
14.1.1.1 Why Column Group Statistics Are Needed: Example 14-3
14.1.1.2 Automatic and Manual Column Group Statistics 14-5
14.1.1.3 User Interface for Column Group Statistics 14-5
14.1.2 Detecting Useful Column Groups for a Specific Workload 14-6
14.1.3 Creating Column Groups Detected During Workload Monitoring 14-8
14.1.4 Creating and Gathering Statistics on Column Groups Manually 14-10
14.1.5 Displaying Column Group Information 14-11
14.1.6 Dropping a Column Group 14-12
14.2 Managing Expression Statistics 14-12
14.2.1 About Expression Statistics 14-13
14.2.1.1 When Expression Statistics Are Useful: Example 14-14
14.2.2 Creating Expression Statistics 14-14
14.2.3 Displaying Expression Statistics 14-15
14.2.4 Dropping Expression Statistics 14-16
15
Controlling the Use of Optimizer Statistics
15.1 Locking and Unlocking Optimizer Statistics 15-1
15.1.1 Locking Statistics 15-1
15.1.2 Unlocking Statistics 15-2
15.2 Publishing Pending Optimizer Statistics 15-3
15.2.1 About Pending Optimizer Statistics 15-3
15.2.2 User Interfaces for Publishing Optimizer Statistics 15-4
15.2.3 Managing Published and Pending Statistics 15-6
15.3 Creating Artificial Optimizer Statistics for Testing 15-8
15.3.1 About Artificial Optimizer Statistics 15-9
15.3.2 Setting Artificial Optimizer Statistics for a Table 15-10
15.3.3 Setting Optimizer Statistics: Example 15-11
16
Managing Historical Optimizer Statistics
16.1 Restoring Optimizer Statistics 16-1
16.1.1 About Restore Operations for Optimizer Statistics 16-1
16.1.2 Guidelines for Restoring Optimizer Statistics 16-2
16.1.3 Restrictions for Restoring Optimizer Statistics 16-2
16.1.4 Restoring Optimizer Statistics Using DBMS_STATS 16-2
16.2 Managing Optimizer Statistics Retention 16-4
16.2.1 Obtaining Optimizer Statistics History 16-4
xiv

16.2.2 Changing the Optimizer Statistics Retention Period 16-5
16.2.3 Purging Optimizer Statistics 16-6
16.3 Reporting on Past Statistics Gathering Operations 16-6
17
Transporting Optimizer Statistics
17.1 About Transporting Optimizer Statistics 17-1
17.2 Transporting Optimizer Statistics to a Test Database: Tutorial 17-2
18
Analyzing Statistics Using Optimizer Statistics Advisor
18.1 About Optimizer Statistics Advisor 18-1
18.1.1 Purpose of Optimizer Statistics Advisor 18-2
18.1.1.1 Problems with a Traditional Script-Based Approach 18-3
18.1.1.2 Advantages of Optimizer Statistics Advisor 18-4
18.1.2 Optimizer Statistics Advisor Concepts 18-4
18.1.2.1 Components of Optimizer Statistics Advisor 18-5
18.1.2.2 Operational Modes for Optimizer Statistics Advisor 18-8
18.1.3 Command-Line Interface to Optimizer Statistics Advisor 18-8
18.2 Basic Tasks for Optimizer Statistics Advisor 18-10
18.2.1 Creating an Optimizer Statistics Advisor Task 18-13
18.2.2 Listing Optimizer Statistics Advisor Tasks 18-14
18.2.3 Creating Filters for an Optimizer Advisor Task 18-14
18.2.3.1 About Filters for Optimizer Statistics Advisor 18-15
18.2.3.2 Creating an Object Filter for an Optimizer Advisor Task 18-15
18.2.3.3 Creating a Rule Filter for an Optimizer Advisor Task 18-18
18.2.3.4 Creating an Operation Filter for an Optimizer Advisor Task 18-20
18.2.4 Executing an Optimizer Statistics Advisor Task 18-23
18.2.5 Generating a Report for an Optimizer Statistics Advisor Task 18-24
18.2.6 Implementing Optimizer Statistics Advisor Recommendations 18-27
18.2.6.1 Implementing Actions Recommended by Optimizer Statistics
Advisor 18-28
18.2.6.2 Generating a Script Using Optimizer Statistics Advisor 18-30
Part VI Optimizer Controls
19
Influencing the Optimizer
19.1 Techniques for Influencing the Optimizer 19-1
19.2 Influencing the Optimizer with Initialization Parameters 19-3
19.2.1 About Optimizer Initialization Parameters 19-3
xv

19.2.2 Enabling Optimizer Features 19-6
19.2.3 Choosing an Optimizer Goal 19-7
19.2.4 Controlling Adaptive Optimization 19-8
19.3 Influencing the Optimizer with Hints 19-9
19.3.1 About Optimizer Hints 19-10
19.3.1.1 Types of Hints 19-11
19.3.1.2 Scope of Hints 19-12
19.3.1.3 Guidelines for Hints 19-12
19.3.2 Guidelines for Join Order Hints 19-13
20
Improving Real-World Performance Through Cursor Sharing
20.1 Overview of Cursor Sharing 20-1
20.1.1 About Cursors 20-1
20.1.1.1 Private and Shared SQL Areas 20-2
20.1.1.2 Parent and Child Cursors 20-4
20.1.2 About Cursors and Parsing 20-7
20.1.3 About Literals and Bind Variables 20-10
20.1.3.1 Literals and Cursors 20-11
20.1.3.2 Bind Variables and Cursors 20-12
20.1.3.3 Bind Variable Peeking 20-13
20.1.4 About the Life Cycle of Shared Cursors 20-15
20.1.4.1 Cursor Marked Invalid 20-16
20.1.4.2 Cursors Marked Rolling Invalid 20-17
20.2 CURSOR_SHARING and Bind Variable Substitution 20-19
20.2.1 CURSOR_SHARING Initialization Parameter 20-19
20.2.2 Parsing Behavior When CURSOR_SHARING = FORCE 20-20
20.3 Adaptive Cursor Sharing 20-21
20.3.1 Purpose of Adaptive Cursor Sharing 20-22
20.3.2 How Adaptive Cursor Sharing Works: Example 20-22
20.3.3 Bind-Sensitive Cursors 20-24
20.3.4 Bind-Aware Cursors 20-27
20.3.5 Cursor Merging 20-30
20.3.6 Adaptive Cursor Sharing Views 20-31
20.4 Real-World Performance Guidelines for Cursor Sharing 20-31
20.4.1 Develop Applications with Bind Variables for Security and Performance
20-32
20.4.2 Do Not Use CURSOR_SHARING = FORCE as a Permanent Fix 20-33
20.4.3 Establish Coding Conventions to Increase Cursor Reuse 20-34
20.4.4 Minimize Session-Level Changes to the Optimizer Environment 20-35
xvi

Part VII Monitoring and Tracing SQL
21
Monitoring Database Operations
21.1 About Monitoring Database Operations 21-1
21.1.1 Purpose of Monitoring Database Operations 21-2
21.1.2 Database Operation Monitoring Concepts 21-3
21.1.2.1 About the Architecture of Real-Time SQL Monitoring 21-3
21.1.2.2 When the Database Monitors Operations 21-5
21.1.2.3 Attributes of Database Operations 21-6
21.1.3 User Interfaces for Database Operations Monitoring 21-7
21.1.3.1 Monitored SQL Executions Page in Cloud Control 21-7
21.1.3.2 DBMS_SQL_MONITOR Package 21-8
21.1.3.3 Views for Monitoring and Reporting on Database Operations 21-9
21.1.4 Basic Tasks in Database Operations Monitoring 21-10
21.2 Enabling and Disabling Monitoring of Database Operations 21-11
21.2.1 Enabling Monitoring of Database Operations at the System Level 21-11
21.2.2 Enabling and Disabling Monitoring of Database Operations at the
Statement Level 21-12
21.3 Creating a Database Operation 21-13
21.4 Monitoring SQL Executions Using Cloud Control 21-15
21.5 Monitoring Database Operations: Scenarios 21-19
21.5.1 Reporting on a Simple Operation: Scenario 21-19
21.5.2 Reporting on a Composite Operation: Scenario 21-21
22
Gathering Diagnostic Data with SQL Test Case Builder
22.1 Purpose of SQL Test Case Builder 22-1
22.2 Concepts for SQL Test Case Builder 22-1
22.2.1 SQL Incidents 22-2
22.2.2 What SQL Test Case Builder Captures 22-2
22.2.3 Output of SQL Test Case Builder 22-3
22.3 User Interfaces for SQL Test Case Builder 22-3
22.3.1 Graphical Interface for SQL Test Case Builder 22-4
22.3.1.1 Accessing the Incident Manager 22-4
22.3.1.2 Accessing the Support Workbench 22-5
22.3.2 Command-Line Interface for SQL Test Case Builder 22-5
22.4 Running SQL Test Case Builder 22-6
xvii

23
Performing Application Tracing
23.1 Overview of End-to-End Application Tracing 23-1
23.1.1 Purpose of End-to-End Application Tracing 23-2
23.1.2 End-to-End Application Tracing in a Multitenant Environment 23-3
23.1.3 Tools for End-to-End Application Tracing 23-3
23.1.3.1 Overview of the SQL Trace Facility 23-4
23.1.3.2 Overview of TKPROF 23-4
23.2 Enabling Statistics Gathering for End-to-End Tracing 23-5
23.2.1 Enabling Statistics Gathering for a Client ID 23-5
23.2.2 Enabling Statistics Gathering for Services, Modules, and Actions 23-6
23.3 Enabling End-to-End Application Tracing 23-7
23.3.1 Enabling Tracing for a Client Identifier 23-7
23.3.2 Enabling Tracing for a Service, Module, and Action 23-8
23.3.3 Enabling Tracing for a Session 23-9
23.3.4 Enabling Tracing for the Instance or Database 23-10
23.4 Generating Output Files Using SQL Trace and TKPROF 23-11
23.4.1 Step 1: Setting Initialization Parameters for Trace File Management 23-11
23.4.2 Step 2: Enabling the SQL Trace Facility 23-12
23.4.3 Step 3: Generating Output Files with TKPROF 23-13
23.4.4 Step 4: Storing SQL Trace Facility Statistics 23-14
23.4.4.1 Generating the TKPROF Output SQL Script 23-15
23.4.4.2 Editing the TKPROF Output SQL Script 23-15
23.4.4.3 Querying the Output Table 23-15
23.5 Guidelines for Interpreting TKPROF Output 23-17
23.5.1 Guideline for Interpreting the Resolution of Statistics 23-17
23.5.2 Guideline for Recursive SQL Statements 23-17
23.5.3 Guideline for Deciding Which Statements to Tune 23-18
23.5.4 Guidelines for Avoiding Traps in TKPROF Interpretation 23-19
23.5.4.1 Guideline for Avoiding the Argument Trap 23-19
23.5.4.2 Guideline for Avoiding the Read Consistency Trap 23-19
23.5.4.3 Guideline for Avoiding the Schema Trap 23-20
23.5.4.4 Guideline for Avoiding the Time Trap 23-21
23.6.1 Application Tracing Utilities 23-21
23.6.1.1 TRCSESS 23-21
23.6.1.1.1 Purpose 23-22
23.6.1.1.2 Guidelines 23-22
23.6.1.1.3 Syntax 23-22
23.6.1.1.4 Options 23-22
23.6.1.1.5 Examples 23-23
23.6.1.2 TKPROF 23-23
xviii

23.6.1.2.1 Purpose 23-24
23.6.1.2.2 Guidelines 23-24
23.6.1.2.3 Syntax 23-24
23.6.1.2.4 Options 23-25
23.6.1.2.5 Output 23-27
23.6.1.2.6 Examples 23-30
23.7.1 Views for Application Tracing 23-34
23.7.1.1 Views Relevant for Trace Statistics 23-34
23.7.1.2 Views Related to Enabling Tracing 23-35
Part VIII Automatic SQL Tuning
24
Managing SQL Tuning Sets
24.1 About SQL Tuning Sets 24-1
24.1.1 Purpose of SQL Tuning Sets 24-2
24.1.2 Concepts for SQL Tuning Sets 24-2
24.1.3 User Interfaces for SQL Tuning Sets 24-3
24.1.3.1 Accessing the SQL Tuning Sets Page in Cloud Control 24-4
24.1.3.2 Command-Line Interface to SQL Tuning Sets 24-4
24.1.4 Basic Tasks for SQL Tuning Sets 24-5
24.2 Creating a SQL Tuning Set 24-7
24.3 Loading a SQL Tuning Set 24-8
24.4 Displaying the Contents of a SQL Tuning Set 24-9
24.5 Modifying a SQL Tuning Set 24-11
24.6 Transporting a SQL Tuning Set 24-12
24.6.1 About Transporting SQL Tuning Sets 24-12
24.6.1.1 Basic Steps for Transporting SQL Tuning Sets 24-13
24.6.1.2 Basic Steps for Transporting SQL Tuning Sets When the
CON_DBID Values Differ 24-14
24.6.2 Transporting SQL Tuning Sets with DBMS_SQLTUNE 24-15
24.7 Dropping a SQL Tuning Set 24-16
25
Analyzing SQL with SQL Tuning Advisor
25.1 About SQL Tuning Advisor 25-1
25.1.1 Purpose of SQL Tuning Advisor 25-1
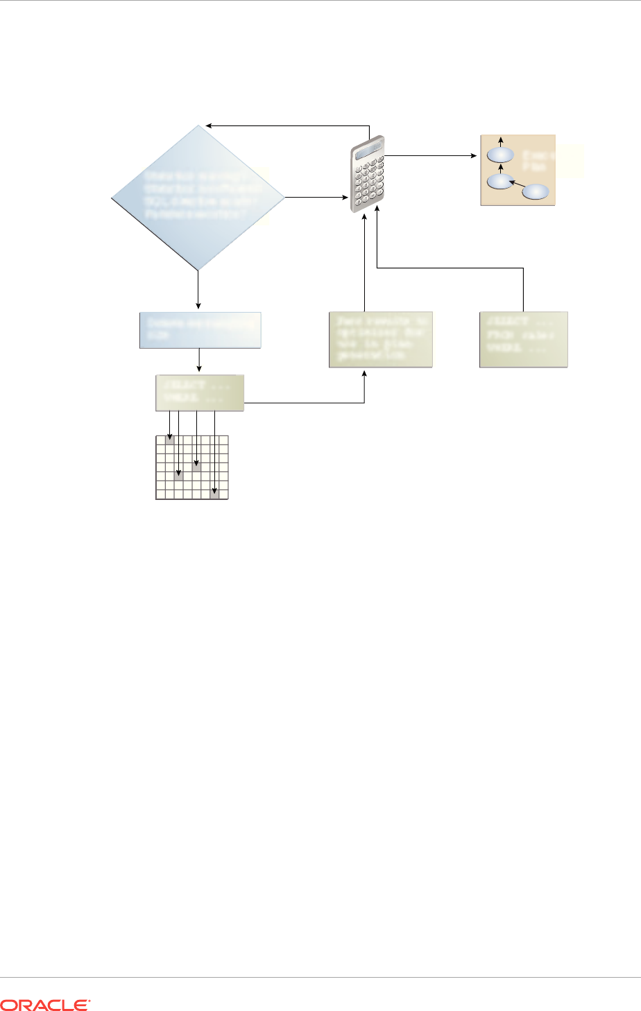
25.1.2 SQL Tuning Advisor Architecture 25-2
25.1.2.1 Input to SQL Tuning Advisor 25-4
25.1.2.2 Output of SQL Tuning Advisor 25-4
25.1.2.3 Automatic Tuning Optimizer Analyses 25-5
xix

25.1.3 SQL Tuning Advisor Operation 25-15
25.1.3.1 Automatic and On-Demand SQL Tuning 25-15
25.1.3.2 Local and Remote SQL Tuning 25-16
25.2 Managing the Automatic SQL Tuning Task 25-17
25.2.1 About the Automatic SQL Tuning Task 25-18
25.2.1.1 Purpose of Automatic SQL Tuning 25-18
25.2.1.2 Automatic SQL Tuning Concepts 25-19
25.2.1.3 Command-Line Interface to SQL Tuning Advisor 25-19
25.2.1.4 Basic Tasks for Automatic SQL Tuning 25-19
25.2.2 Enabling and Disabling the Automatic SQL Tuning Task 25-20
25.2.2.1 Enabling and Disabling the Automatic SQL Tuning Task Using
Cloud Control 25-21
25.2.2.2 Enabling and Disabling the Automatic SQL Tuning Task from the
Command Line 25-22
25.2.3 Configuring the Automatic SQL Tuning Task 25-23
25.2.3.1 Configuring the Automatic SQL Tuning Task Using Cloud
Control 25-23
25.2.3.2 Configuring the Automatic SQL Tuning Task Using the
Command Line 25-24
25.2.4 Viewing Automatic SQL Tuning Reports 25-26
25.2.4.1 Viewing Automatic SQL Tuning Reports Using the Command
Line 25-27
25.3 Running SQL Tuning Advisor On Demand 25-29
25.3.1 About On-Demand SQL Tuning 25-29
25.3.1.1 Purpose of On-Demand SQL Tuning 25-30
25.3.1.2 User Interfaces for On-Demand SQL Tuning 25-30
25.3.1.3 Basic Tasks in On-Demand SQL Tuning 25-31
25.3.2 Creating a SQL Tuning Task 25-33
25.3.3 Configuring a SQL Tuning Task 25-34
25.3.4 Executing a SQL Tuning Task 25-36
25.3.5 Monitoring a SQL Tuning Task 25-37
25.3.6 Displaying the Results of a SQL Tuning Task 25-38
26
Optimizing Access Paths with SQL Access Advisor
26.1 About SQL Access Advisor 26-1
26.1.1 Purpose of SQL Access Advisor 26-2
26.1.2 SQL Access Advisor Architecture 26-2
26.1.2.1 Input to SQL Access Advisor 26-4
26.1.2.2 Filter Options for SQL Access Advisor 26-4
26.1.2.3 SQL Access Advisor Recommendations 26-5
26.1.2.4 SQL Access Advisor Actions 26-5
26.1.2.5 SQL Access Advisor Repository 26-7
xx

26.1.3 User Interfaces for SQL Access Advisor 26-7
26.1.3.1 Accessing the SQL Access Advisor: Initial Options Page Using
Cloud Control 26-8
26.1.3.2 Command-Line Interface to SQL Tuning Sets 26-8
26.2 Using SQL Access Advisor: Basic Tasks 26-8
26.2.1 Creating a SQL Tuning Set as Input for SQL Access Advisor 26-10
26.2.2 Populating a SQL Tuning Set with a User-Defined Workload 26-11
26.2.3 Creating and Configuring a SQL Access Advisor Task 26-13
26.2.4 Executing a SQL Access Advisor Task 26-15
26.2.5 Viewing SQL Access Advisor Task Results 26-16
26.2.6 Generating and Executing a Task Script 26-19
26.3 Performing a SQL Access Advisor Quick Tune 26-21
26.4 Using SQL Access Advisor: Advanced Tasks 26-21
26.4.1 Evaluating Existing Access Structures 26-22
26.4.2 Updating SQL Access Advisor Task Attributes 26-22
26.4.3 Creating and Using SQL Access Advisor Task Templates 26-23
26.4.4 Terminating SQL Access Advisor Task Execution 26-25
26.4.4.1 Interrupting SQL Access Advisor Tasks 26-25
26.4.4.2 Canceling SQL Access Advisor Tasks 26-26
26.4.5 Deleting SQL Access Advisor Tasks 26-27
26.4.6 Marking SQL Access Advisor Recommendations 26-28
26.4.7 Modifying SQL Access Advisor Recommendations 26-28
26.5 SQL Access Advisor Examples 26-29
26.6 SQL Access Advisor Reference 26-29
26.6.1 Action Attributes in the DBA_ADVISOR_ACTIONS View 26-30
26.6.2 Categories for SQL Access Advisor Task Parameters 26-31
26.6.3 SQL Access Advisor Constants 26-32
Part IX SQL Controls: Profiles and Plan Baselines
27
Managing SQL Profiles
27.1 About SQL Profiles 27-1
27.1.1 Purpose of SQL Profiles 27-2
27.1.2 Concepts for SQL Profiles 27-2
27.1.2.1 Statistics in SQL Profiles 27-3
27.1.2.2 SQL Profiles and Execution Plans 27-3
27.1.2.3 SQL Profile Recommendations 27-4
27.1.2.4 SQL Profiles and SQL Plan Baselines 27-6
27.1.3 User Interfaces for SQL Profiles 27-6
27.1.4 Basic Tasks for SQL Profiles 27-6
xxi

27.2 Implementing a SQL Profile 27-7
27.2.1 About SQL Profile Implementation 27-8
27.2.2 Implementing a SQL Profile 27-8
27.3 Listing SQL Profiles 27-9
27.4 Altering a SQL Profile 27-10
27.5 Dropping a SQL Profile 27-11
27.6 Transporting a SQL Profile 27-11
28
Overview of SQL Plan Management
28.1 Purpose of SQL Plan Management 28-2
28.1.1 Benefits of SQL Plan Management 28-2
28.1.2 Differences Between SQL Plan Baselines and SQL Profiles 28-3
28.2 Plan Capture 28-4
28.2.1 Automatic Initial Plan Capture 28-4
28.2.1.1 Eligibility for Automatic Initial Plan Capture 28-5
28.2.1.2 Plan Matching for Automatic Initial Plan Capture 28-5
28.2.2 Manual Plan Capture 28-6
28.3 Plan Selection 28-7
28.4 Plan Evolution 28-8
28.4.1 Purpose of Plan Evolution 28-9
28.4.2 PL/SQL Subprograms for Plan Evolution 28-9
28.5 Storage Architecture for SQL Plan Management 28-10
28.5.1 SQL Management Base 28-10
28.5.2 SQL Statement Log 28-11
28.5.3 SQL Plan History 28-12
28.5.3.1 Enabled Plans 28-13
28.5.3.2 Accepted Plans 28-13
28.5.3.3 Fixed Plans 28-13
29
Managing SQL Plan Baselines
29.1 About Managing SQL Plan Baselines 29-1
29.1.1 User Interfaces for SQL Plan Management 29-2
29.1.1.1 Accessing the SQL Plan Baseline Page in Cloud Control 29-2
29.1.1.2 DBMS_SPM Package 29-3
29.1.2 Basic Tasks in SQL Plan Management 29-4
29.2 Configuring SQL Plan Management 29-5
29.2.1 Configuring the Capture and Use of SQL Plan Baselines 29-5
29.2.1.1 Enabling Automatic Initial Plan Capture for SQL Plan
Management 29-6
29.2.1.2 Configuring Filters for Automatic Plan Capture 29-7
xxii

29.2.1.3 Disabling All SQL Plan Baselines 29-8
29.2.2 Managing the SPM Evolve Advisor Task 29-9
29.2.2.1 About the SPM Evolve Advisor Task 29-9
29.2.2.2 Enabling and Disabling the SPM Evolve Advisor Task 29-10
29.2.2.3 Configuring the Automatic SPM Evolve Advisor Task 29-10
29.3 Displaying Plans in a SQL Plan Baseline 29-12
29.4 Loading SQL Plan Baselines 29-14
29.4.1 About Loading SQL Plan Baselines 29-14
29.4.2 Loading Plans from AWR 29-15
29.4.3 Loading Plans from the Shared SQL Area 29-17
29.4.4 Loading Plans from a SQL Tuning Set 29-19
29.4.5 Loading Plans from a Staging Table 29-21
29.5 Evolving SQL Plan Baselines Manually 29-23
29.5.1 About the DBMS_SPM Evolve Functions 29-23
29.5.2 Managing an Evolve Task 29-25
29.6 Dropping SQL Plan Baselines 29-32
29.7 Managing the SQL Management Base 29-33
29.7.1 About Managing the SMB 29-34
29.7.2 Changing the Disk Space Limit for the SMB 29-34
29.7.3 Changing the Plan Retention Policy in the SMB 29-35
30
Migrating Stored Outlines to SQL Plan Baselines
30.1 About Stored Outline Migration 30-1
30.1.1 Purpose of Stored Outline Migration 30-2
30.1.2 How Stored Outline Migration Works 30-3
30.1.2.1 Stages of Stored Outline Migration 30-3
30.1.2.2 Outline Categories and Baseline Modules 30-4
30.1.3 User Interface for Stored Outline Migration 30-5
30.1.4 Basic Steps in Stored Outline Migration 30-7
30.2 Preparing for Stored Outline Migration 30-7
30.3 Migrating Outlines to Utilize SQL Plan Management Features 30-8
30.4 Migrating Outlines to Preserve Stored Outline Behavior 30-9
30.5 Performing Follow-Up Tasks After Stored Outline Migration 30-10
A Guidelines for Indexes and Table Clusters
A.1 Guidelines for Tuning Index Performance A-1
A.1.1 Guidelines for Tuning the Logical Structure A-2
A.1.2 Guidelines for Using SQL Access Advisor A-3
A.1.3 Guidelines for Choosing Columns and Expressions to Index A-3
xxiii

A.1.4 Guidelines for Choosing Composite Indexes A-4
A.1.4.1 Guidelines for Choosing Keys for Composite Indexes A-5
A.1.4.2 Guidelines for Ordering Keys for Composite Indexes A-5
A.1.5 Guidelines for Writing SQL Statements That Use Indexes A-6
A.1.6 Guidelines for Writing SQL Statements That Avoid Using Indexes A-6
A.1.7 Guidelines for Avoiding Index Serialization on a Sequence-Generated
Key A-6
A.1.8 Guidelines for Re-Creating Indexes A-8
A.1.9 Guidelines for Compacting Indexes A-8
A.1.10 Guidelines for Using Nonunique Indexes to Enforce Uniqueness A-8
A.1.11 Guidelines for Using Enabled Novalidated Constraints A-9
A.2 Guidelines for Using Function-Based Indexes for Performance A-10
A.3 Guidelines for Using Partitioned Indexes for Performance A-10
A.4 Guidelines for Using Index-Organized Tables for Performance A-11
A.5 Guidelines for Using Bitmap Indexes for Performance A-12
A.6 Guidelines for Using Bitmap Join Indexes for Performance A-12
A.7 Guidelines for Using Domain Indexes for Performance A-12
A.8 Guidelines for Using Table Clusters A-13
A.9 Guidelines for Using Hash Clusters for Performance A-14
Glossary
Index
xxiv

Preface
This manual explains how to tune Oracle SQL.
This preface contains the following topics:
•Audience
•Documentation Accessibility
•Related Documents
•Conventions
Audience
This document is intended for database administrators and application developers who
perform the following tasks:
•Generating and interpreting SQL execution plans
•Managing optimizer statistics
•Influencing the optimizer through initialization parameters or SQL hints
•Controlling cursor sharing for SQL statements
•Monitoring SQL execution
•Performing application tracing
•Managing SQL tuning sets
•Using SQL Tuning Advisor or SQL Access Advisor
•Managing SQL profiles
•Managing SQL baselines
Documentation Accessibility
For information about Oracle's commitment to accessibility, visit the Oracle
Accessibility Program website at http://www.oracle.com/pls/topic/lookup?
ctx=acc&id=docacc.
Access to Oracle Support
Oracle customers that have purchased support have access to electronic support
through My Oracle Support. For information, visit http://www.oracle.com/pls/topic/
lookup?ctx=acc&id=info or visit http://www.oracle.com/pls/topic/lookup?ctx=acc&id=trs
if you are hearing impaired.
xxv

Related Documents
This manual assumes that you are familiar with Oracle Database Concepts. The
following books are frequently referenced:
•Oracle Database Data Warehousing Guide
•Oracle Database VLDB and Partitioning Guide
•Oracle Database SQL Language Reference
•Oracle Database Reference
Many examples in this book use the sample schemas, which are installed by default
when you select the Basic Installation option with an Oracle Database. See Oracle
Database Sample Schemas for information on how these schemas were created and
how you can use them.
Conventions
The following text conventions are used in this document:
Convention Meaning
boldface Boldface type indicates graphical user interface elements associated
with an action, or terms defined in text or the glossary.
italic Italic type indicates book titles, emphasis, or placeholder variables for
which you supply particular values.
monospace
Monospace type indicates commands within a paragraph, URLs, code
in examples, text that appears on the screen, or text that you enter.
Preface
xxvi

Changes in This Release for Oracle
Database SQL Tuning Guide
This preface describes the most important changes in Oracle Database SQL Tuning
Guide.
This preface contains the following topics:
•Changes in Oracle Database Release 18c, Version 18.1
Oracle Database SQL Tuning Guide for Oracle Database release 18c, version
18.1 has the following changes.
•Changes in Oracle Database 12c Release 2 (12.2.0.1)
Oracle Database SQL Tuning Guide for Oracle Database 12c Release 2 (12.2.0.1)
has the following changes.
•Changes in Oracle Database 12c Release 1 (12.1.0.2)
Oracle Database SQL Tuning Guide for Oracle Database 12c Release 1 (12.1.0.2)
has the following changes.
•Changes in Oracle Database 12c Release 1 (12.1.0.1)
Oracle Database SQL Tuning Guide for Oracle Database 12c Release 1 (12.1)
has the following changes.
Changes in Oracle Database Release 18c, Version 18.1
Oracle Database SQL Tuning Guide for Oracle Database release 18c, version 18.1
has the following changes.
•New Features
The following features are new in this release:
New Features
The following features are new in this release:
•Private temporary tables
Private temporary tables are temporary database objects that are automatically
dropped at the end of a transaction or a session. A private temporary table is
stored in memory and is visible only to the session that created it. A private
temporary table confines the scope of a temporary table to a session or a
transaction, thus providing more flexibility in application coding, leading to easier
code maintenance and a better ready-to-use functionality.
See "Statistics for Global Temporary Tables".
•Approximate Top-N Query Processing
xxvii

To obtain “top n” query results much faster than traditional queries, use the
APPROX_SUM
and
APPROX_COUNT
SQL functions with
APPROX_RANK
.
See "About Approximate Query Processing".
•SQL Tuning Advisor enhancements for Oracle Exadata Database Machine
SQL Tuning Advisor can recommend an Exadata-aware SQL profile. On Oracle
Exadata Database Machine, the cost of smart scans depends on the system
statistics I/O seek time (
ioseektim
), multiblock read count (
mbrc
), and I/O transfer
speed (
iotfrspeed
). The values of these statistics usually differ on Exadata and
can thus influence the choice of plan. If system statistics are stale, and if gathering
them improves performance, then SQL Tuning Advisor recommends accepting an
Exadata-aware SQL profile.
See "Statistical Analysis" and "Statistics in SQL Profiles".
•New package for managing SQL tuning sets
You can use
DBMS_SQLSET
instead of
DBMS_SQLTUNE
to create, modify, drop, and
perform all other SQL tuning set operations.
See "Command-Line Interface to SQL Tuning Sets".
•Scalable sequences
Scalable sequences alleviate index leaf block contention when loading data into
tables that use sequence values as keys.
See "Guidelines for Avoiding Index Serialization on a Sequence-Generated Key".
•Decoupling
OPTIMIZER_ADAPTIVE_STATISTICS
from performance feedback
Unlike in previous releases, setting the
OPTIMIZER_ADAPTIVE_STATISTICS
initialization
parameter to
TRUE
or
FALSE
now has no effect on performance feedback.
Changes in Oracle Database 12c Release 2 (12.2.0.1)
Oracle Database SQL Tuning Guide for Oracle Database 12c Release 2 (12.2.0.1)
has the following changes.
•New Features
The following features are new in this release:
•Desupported Features
The following features are desupported in Oracle Database 12c Release 2
(12.2.0.1).
•Other Changes
This topic describes additional changes in the release.
New Features
The following features are new in this release:
•Advisor enhancements
–Optimizer Statistics Advisor
Optimizer Statistics Advisor is built-in diagnostic software that analyzes the
quality of statistics and statistics-related tasks. The advisor task runs
automatically in the maintenance window, but you can also run it on demand.
Changes in This Release for Oracle Database SQL Tuning Guide
xxviii

You can then view the advisor report. If the advisor makes recommendations,
then in some cases you can run system-generated scripts to implement them.
See "Analyzing Statistics Using Optimizer Statistics Advisor".
–Active Data Guard Support for SQL Tuning Advisor
Using database links, you can tune a standby database workload on a primary
database.
See "Local and Remote SQL Tuning".
•
DBMS_STATS
enhancements
–
DBMS_STATS
preference for automatic column group statistics
If the
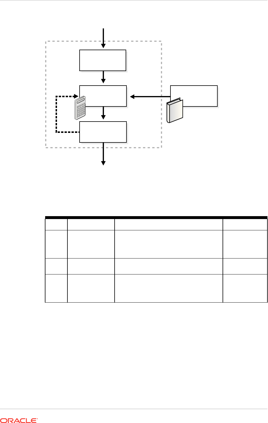
DBMS_STATS
preference
AUTO_STAT_EXTENSIONS
is set to
ON
(by default it is
OFF
), then a SQL plan directive can automatically trigger the creation of column
group statistics based on usage of predicates in the workload.
See "Purpose of Optimizer Statistics Preferences".
–
DBMS_STATS
support for external table scan rates and In-Memory column store
(IM column store) statistics
If the database uses an IM column store, then you can set the
im_imcu_count
parameter to the number of IMCUs in the table or partition, and
im_block_count
to the number of blocks. For an external table,
scanrate
specifies the rate at
which data is scanned in MB/second.
See "Guideline for External Tables".
–
DBMS_STATS
statistics preference
PREFERENCE_OVERRIDES_PARAMETER
The
PREFERENCE_OVERRIDES_PARAMETER
statistics preference determines whether,
when gathering optimizer statistics, to override the input value of a parameter
with the statistics preference. In this way, you control when the database
honors a parameter value passed to the statistics gathering procedures.
See "Statistics Preference Overrides".
–Access to current statistics does not require
FLUSH_DATABASE_MONITORING_INFO
You no longer need to ensure that view metadata is up-to-date by using
DBMS_STATS.FLUSH_DATABASE_MONITORING_INFO
to save monitoring information to
disk. The statistics shown in
DBA_TAB_STATISTICS
and
DBA_IND_STATISTICS
come
from the same source as
DBA_TAB_MODIFICATIONS
, which means these views
show statistics obtained from disk and memory.
See "Determining When Optimizer Statistics Are Stale".
•Separate controls for adaptive plans and adaptive statistics
The
OPTIMIZER_ADAPTIVE_PLANS
initialization parameter enables (default) or disables
adaptive plans. The
OPTIMIZER_ADAPTIVE_STATISTICS
initialization parameter enables
or disables (default) adaptive statistics.
See "When Adaptive Query Plans Are Enabled" and "When Adaptive Statistics Are
Enabled".
•Join enhancements
–Join groups
A join group is a user-created object that lists two columns that can be
meaningfully joined. In certain queries, join groups enable the database to
Changes in This Release for Oracle Database SQL Tuning Guide
xxix

eliminate the performance overhead of decompressing and hashing column
values. Join groups require an IM column store.
See "In-Memory Join Groups".
–Band join enhancements
A band join is a special type of nonequijoin in which key values in one data set
must fall within the specified range (“band”) of the second data set. When the
database detects a band join, the database evaluates the costs of band joins
more efficiently, avoiding unnecessary scans of rows that fall outside the
defined bands. In most cases, optimized performance is comparable to an
equijoin.
See "Band Joins".
•Cursor management enhancements
–Cursor-duration temporary tables
To materialize the intermediate results of a query, Oracle Database may
create a cursor-duration temporary table in memory during query compilation.
For complex operations such as
WITH
clause queries and star transformations,
this internal optimization, which enhances the materialization of intermediate
results from repetitively used subqueries, improves performance and
optimizes I/O.
See "Cursor-Duration Temporary Tables".
–Fine-grained cursor invalidation
Starting in this release, you can specify deferred invalidation on DDL
statements. When shared SQL areas are marked rolling invalid, the database
assigns each one a randomly generated time period. A hard parse occurs only
if the query executes after the time period has expired. In this way, the
database can diffuse the performance overhead of hard parsing over time.
See "About the Life Cycle of Shared Cursors".
•
OR
expansion enhancement
In previous releases, the optimizer used the
CONCATENATION
operator to perform the
OR
expansion. Now the optimizer uses the
UNION-ALL
operator instead. This
enhancement provides several benefits, including enabling interaction among
various transformations, and avoiding the sharing of query structures.
See "OR Expansion".
•SQL plan management enhancements
–You can now capture plans from AWR. See "Manual Plan Capture".
–In previous releases, automatic capture applied to all repeatable queries.
Starting in this release, you can create filters to capture only the plans for
statements that you choose. See "Eligibility for Automatic Initial Plan Capture".
•Real-Time database operation monitoring enhancements
A session can start or stop a database operation in a different session by
specifying its session ID and serial number.
See "Creating a Database Operation".
•Expression tracking
Changes in This Release for Oracle Database SQL Tuning Guide
xxx

SQL statements commonly include expressions such as plus (
+
) or minus (
-
).
More complicated examples include PL/SQL functions or SQL functions such as
LTRIM
and
TO_NUMBER
. The Expression Statistics Store (ESS) maintains usage
information about expressions identified during compilation and captured during
execution.
See "About the Expression Statistics Store (ESS)".
•Enhancements for application tracing in a multitenant environment
CDB administrators and PDB administrators can use new
V$
views to access trace
data that is relevant for a specific PDB.
See "End-to-End Application Tracing in a Multitenant Environment".
Desupported Features
The following features are desupported in Oracle Database 12c Release 2 (12.2.0.1).
•The
OPTIMIZER_ADAPTIVE_FEATURES
initialization parameter
Other Changes
This topic describes additional changes in the release.
•New Real-World Performance content
In this release, the book incorporates information provided by the Real-World
Performance group, including the following:
–"Improving Real-World Performance Through Cursor Sharing" explains how to
use bind variables and new features such as adaptive cursor sharing
Changes in Oracle Database 12c Release 1 (12.1.0.2)
Oracle Database SQL Tuning Guide for Oracle Database 12c Release 1 (12.1.0.2)
has the following changes.
•New Features
The following features are new in this release.
New Features
The following features are new in this release.
•In-Memory aggregation
This optimization minimizes the join and
GROUP BY
processing required for each row
when joining a single large table to multiple small tables, as in a star schema.
VECTOR
GROUP BY
aggregation uses the infrastructure related to parallel query (PQ)
processing, and blends it with CPU-efficient algorithms to maximize the
performance and effectiveness of the initial aggregation performed before
redistributing fact data.
See "In-Memory Aggregation (VECTOR GROUP BY)".
•SQL Monitor support for adaptive query plans
SQL Monitor supports adaptive query plans in the following ways:
Changes in This Release for Oracle Database SQL Tuning Guide
xxxi

–Indicates whether a query plan is adaptive, and show its current status:
resolving or resolved.
–Provides a list that enables you to select the current, full, or final query plans
See "Adaptive Query Plans" to learn more about adaptive query plans, and
"Monitoring SQL Executions Using Cloud Control" to learn more about SQL
Monitor.
Changes in Oracle Database 12c Release 1 (12.1.0.1)
Oracle Database SQL Tuning Guide for Oracle Database 12c Release 1 (12.1) has
the following changes.
•New Features
The following features are new in this release.
•Deprecated Features
The following features are deprecated in this release, and may be desupported in
a future release.
•Desupported Features
Some features previously described in this document are desupported in Oracle
Database 12c.
•Other Changes
This manual has the following additional changes in Oracle Database 12c.
New Features
The following features are new in this release.
•Adaptive SQL Plan Management (SPM)
The SPM Evolve Advisor is a task infrastructure that enables you to schedule an
evolve task, rerun an evolve task, and generate persistent reports. The new
automatic evolve task,
SYS_AUTO_SPM_EVOLVE_TASK
, runs in the default maintenance
window. This task ranks all unaccepted plans and runs the evolve process for
them. If the task finds a new plan that performs better than existing plan, the task
automatically accepts the plan. You can also run evolution tasks manually using
the
DBMS_SPM
package.
See "Managing the SPM Evolve Advisor Task".
•Adaptive query optimization
Adaptive query optimization is a set of capabilities that enable the optimizer to
make run-time adjustments to execution plans and discover additional information
that can lead to better statistics. The set of capabilities include:
–Adaptive query plans
An adaptive query plan has built-in options that enable the final plan for a
statement to differ from the default plan. During the first execution, before a
specific subplan becomes active, the optimizer makes a final decision about
which option to use. The optimizer bases its choice on observations made
during the execution up to this point. The ability of the optimizer to adapt plans
can improve query performance.
See "Adaptive Query Plans".
Changes in This Release for Oracle Database SQL Tuning Guide
xxxii

–Automatic reoptimization
When using automatic reoptimization, the optimizer monitors the initial
execution of a query. If the actual execution statistics vary significantly from
the original plan statistics, then the optimizer records the execution statistics
and uses them to choose a better plan the next time the statement executes.
The database uses information obtained during automatic reoptimization to
generate SQL plan directives automatically.
See "Automatic Reoptimization".
–SQL plan directives
In releases earlier than Oracle Database 12c, the database stored compilation
and execution statistics in the shared SQL area, which is nonpersistent.
Starting in this release, the database can use a SQL plan directive, which is
additional information and instructions that the optimizer can use to generate a
more optimal plan. The database stores SQL plan directives persistently in the
SYSAUX
tablespace. When generating an execution plan, the optimizer can use
SQL plan directives to obtain more information about the objects accessed in
the plan.
See "SQL Plan Directives".
–Dynamic statistics enhancements
In releases earlier than Oracle Database 12c, Oracle Database only used
dynamic statistics (previously called dynamic sampling) when one or more of
the tables in a query did not have optimizer statistics. Starting in this release,
the optimizer automatically decides whether dynamic statistics are useful and
which dynamic statistics level to use for all SQL statements. Dynamic statistics
gathers are persistent and usable by other queries.
See "Supplemental Dynamic Statistics".
•New types of histograms
This release introduces top frequency and hybrid histograms. If a column contains
more than 254 distinct values, and if the top 254 most frequent values occupy
more than 99% of the data, then the database creates a top frequency histogram
using the top 254 most frequent values. By ignoring the nonpopular values, which
are statistically insignificant, the database can produce a better quality histogram
for highly popular values. A hybrid histogram is an enhanced height-based
histogram that stores the exact frequency of each endpoint in the sample, and
ensures that a value is never stored in multiple buckets.
Also, regular frequency histograms have been enhanced. The optimizer computes
frequency histograms during NDV computation based on a full scan of the data
rather than a small sample (when
AUTO_SAMPLING
is used). The enhanced frequency
histograms ensure that even highly infrequent values are properly represented
with accurate bucket counts within a histogram.
See "Histograms ".
•Monitoring database operations
Real-Time Database Operations Monitoring enables you to monitor long running
database tasks such as batch jobs, scheduler jobs, and Extraction,
Transformation, and Loading (ETL) jobs as a composite business operation. This
feature tracks the progress of SQL and PL/SQL queries associated with the
business operation being monitored. As a DBA or developer, you can define
Changes in This Release for Oracle Database SQL Tuning Guide
xxxiii

business operations for monitoring by explicitly specifying the start and end of the
operation or implicitly with tags that identify the operation.
See "Monitoring Database Operations ".
•Concurrent statistics gathering
You can concurrently gather optimizer statistics on multiple tables, table partitions,
or table subpartitions. By fully utilizing multiprocessor environments, the database
can reduce the overall time required to gather statistics. Oracle Scheduler and
Advanced Queuing create and manage jobs to gather statistics concurrently. The
scheduler decides how many jobs to execute concurrently, and how many to
queue based on available system resources and the value of the
JOB_QUEUE_PROCESSES
initialization parameter.
See "Gathering Optimizer Statistics Concurrently".
•Reporting mode for
DBMS_STATS
statistics gathering functions
You can run the
DBMS_STATS
functions in reporting mode. In this mode, the
optimizer does not actually gather statistics, but reports objects that would be
processed if you were to use a specified statistics gathering function.
See "Running Statistics Gathering Functions in Reporting Mode".
•Reports on past statistics gathering operations
You can use
DBMS_STATS
functions to report on a specific statistics gathering
operation or on operations that occurred during a specified time.
See "Reporting on Past Statistics Gathering Operations".
•Automatic column group creation
With column group statistics, the database gathers optimizer statistics on a group
of columns treated as a unit. Starting in Oracle Database 12c, the database
automatically determines which column groups are required in a specified
workload or SQL tuning set, and then creates the column groups. Thus, for any
specified workload, you no longer need to know which columns from each table
must be grouped.
See "Detecting Useful Column Groups for a Specific Workload".
•Session-private statistics for global temporary tables
Starting in this release, global temporary tables have a different set of optimizer
statistics for each session. Session-specific statistics improve performance and
manageability of temporary tables because users no longer need to set statistics
for a global temporary table in each session or rely on dynamic statistics. The
possibility of errors in cardinality estimates for global temporary tables is lower,
ensuring that the optimizer has the necessary information to determine an optimal
execution plan.
See "Temporary Table Statistics".
•SQL Test Case Builder enhancements
SQL Test Case Builder can capture and replay actions and events that enable you
to diagnose incidents that depend on certain dynamic and volatile factors. This
capability is especially useful for parallel query and automatic memory
management.
See Gathering Diagnostic Data with SQL Test Case Builder.
•Online statistics gathering for bulk loads
Changes in This Release for Oracle Database SQL Tuning Guide
xxxiv

A bulk load is a
CREATE TABLE AS SELECT
or
INSERT INTO ... SELECT
operation. In
releases earlier than Oracle Database 12c, you needed to manually gather
statistics after a bulk load to avoid the possibility of a suboptimal execution plan
caused by stale statistics. Starting in this release, Oracle Database gathers
optimizer statistics automatically, which improves both performance and
manageability.
See "Online Statistics Gathering for Bulk Loads".
•Reuse of synopses after partition maintenance operations
ALTER TABLE EXCHANGE
is a common partition maintenance operation. During a
partition exchange, the statistics of the partition and the table are also exchanged.
A synopsis is a set of auxiliary statistics gathered on a partitioned table when the
INCREMENTAL
value is set to
true
. In releases earlier than Oracle Database 12c, you
could not gather table-level synopses on a table. Thus, you could not gather table-
level synopses on a table, exchange the table with a partition, and end up with
synopses on the partition. You had to explicitly gather optimizer statistics in
incremental mode to create the missing synopses. Starting in this release, you can
gather table-level synopses on a table. When you exchange this table with a
partition in an incremental mode table, the synopses are also exchanged.
See "Maintaining Incremental Statistics for Partition Maintenance Operations".
•Automatic updates of global statistics for tables with stale or locked partition
statistics
Incremental statistics can automatically calculate global statistics for a partitioned
table even if the partition or subpartition statistics are stale and locked.
See "Maintaining Incremental Statistics for Tables with Stale or Locked Partition
Statistics".
•Cube query performance enhancements
These enhancements minimize CPU and memory consumption and reduce I/O for
queries against cubes.
See Table 7-7 to learn about the
CUBE JOIN
operation.
Deprecated Features
The following features are deprecated in this release, and may be desupported in a
future release.
•Stored outlines
See "Managing SQL Plan Baselines" for information about alternatives.
•The
SIMILAR
value for the
CURSOR_SHARING
initialization parameter
This value is deprecated. Use
FORCE
instead.
See "Do Not Use CURSOR_SHARING = FORCE as a Permanent Fix".
Desupported Features
Some features previously described in this document are desupported in Oracle
Database 12c.
See Oracle Database Upgrade Guide for a list of desupported features.
Changes in This Release for Oracle Database SQL Tuning Guide
xxxv

Other Changes
This manual has the following additional changes in Oracle Database 12c.
•New tuning books
The Oracle Database 11g Oracle Database Performance Tuning Guide has been
divided into two books for Oracle Database 12c:
–Oracle Database Performance Tuning Guide, which contains only topics that
pertain to tuning the database
–Oracle Database SQL Tuning Guide, which contains only topics that pertain to
tuning SQL
Changes in This Release for Oracle Database SQL Tuning Guide
xxxvi

Part I
SQL Performance Fundamentals
SQL tuning is improving SQL statement performance to meet specific, measurable,
and achievable goals.
This part contains the following chapters:
•Introduction to SQL Tuning
SQL tuning is the attempt to diagnose and repair SQL statements that fail to meet
a performance standard.
•SQL Performance Methodology
This chapter describes the recommended methodology for SQL tuning.

1
Introduction to SQL Tuning
SQL tuning is the attempt to diagnose and repair SQL statements that fail to meet a
performance standard.
This chapter contains the following topics:
•About SQL Tuning
SQL tuning is the iterative process of improving SQL statement performance to
meet specific, measurable, and achievable goals.
•Purpose of SQL Tuning
A SQL statement becomes a problem when it fails to perform according to a
predetermined and measurable standard.
•Prerequisites for SQL Tuning
SQL performance tuning requires a foundation of database knowledge.
•Tasks and Tools for SQL Tuning
After you have identified the goal for a tuning session, for example, reducing user
response time from three minutes to less than a second, the problem becomes
how to accomplish this goal.
1.1 About SQL Tuning
SQL tuning is the iterative process of improving SQL statement performance to meet
specific, measurable, and achievable goals.
SQL tuning implies fixing problems in deployed applications. In contrast, application
design sets the security and performance goals before deploying an application.
1.2 Purpose of SQL Tuning
A SQL statement becomes a problem when it fails to perform according to a
predetermined and measurable standard.
After you have identified the problem, a typical tuning session has one of the following
goals:
•Reduce user response time, which means decreasing the time between when a
user issues a statement and receives a response
•Improve throughput, which means using the least amount of resources necessary
to process all rows accessed by a statement
For a response time problem, consider an online book seller application that hangs for
three minutes after a customer updates the shopping cart. Contrast with a three-
minute parallel query in a data warehouse that consumes all of the database host
CPU, preventing other queries from running. In each case, the user response time is
three minutes, but the cause of the problem is different, and so is the tuning goal.
1-1

1.3 Prerequisites for SQL Tuning
SQL performance tuning requires a foundation of database knowledge.
If you are tuning SQL performance, then this manual assumes that you have the
knowledge and skills shown in the following table.
Table 1-1 Required Knowledge
Required Knowledge Description To Learn More
Database architecture Database architecture is not the
domain of administrators alone.
As a developer, you want to
develop applications in the least
amount of time against an Oracle
database, which requires
exploiting the database
architecture and features. For
example, not understanding
Oracle Database concurrency
controls and multiversioning read
consistency may make an
application corrupt the integrity of
the data, run slowly, and
decrease scalability.
Oracle Database Concepts
explains the basic relational data
structures, transaction
management, storage structures,
and instance architecture of
Oracle Database.
SQL and PL/SQL Because of the existence of GUI-
based tools, it is possible to
create applications and
administer a database without
knowing SQL. However, it is
impossible to tune applications or
a database without knowing SQL.
Oracle Database Concepts
includes an introduction to Oracle
SQL and PL/SQL. You must also
have a working knowledge of
Oracle Database SQL Language
Reference, Oracle Database
PL/SQL Packages and Types
Reference, and Oracle Database
PL/SQL Packages and Types
Reference.
SQL tuning tools The database generates
performance statistics, and
provides SQL tuning tools that
interpret these statistics.
Oracle Database 2 Day +
Performance Tuning Guide
provides an introduction to the
principal SQL tuning tools.
1.4 Tasks and Tools for SQL Tuning
After you have identified the goal for a tuning session, for example, reducing user
response time from three minutes to less than a second, the problem becomes how to
accomplish this goal.
This section contains the following topics:
•SQL Tuning Tasks
The specifics of a tuning session depend on many factors, including whether you
tune proactively or reactively.
•SQL Tuning Tools
SQL tuning tools are either automated or manual.
Chapter 1
Prerequisites for SQL Tuning
1-2

•User Interfaces to SQL Tuning Tools
Cloud Control is a system management tool that provides centralized
management of a database environment. Cloud Control provides access to most
tuning tools.
1.4.1 SQL Tuning Tasks
The specifics of a tuning session depend on many factors, including whether you tune
proactively or reactively.
In proactive SQL tuning, you regularly use SQL Tuning Advisor to determine whether
you can make SQL statements perform better. In reactive SQL tuning, you correct a
SQL-related problem that a user has experienced.
Whether you tune proactively or reactively, a typical SQL tuning session involves all or
most of the following tasks:
1. Identifying high-load SQL statements
Review past execution history to find the statements responsible for a large share
of the application workload and system resources.
2. Gathering performance-related data
The optimizer statistics are crucial to SQL tuning. If these statistics do not exist or
are no longer accurate, then the optimizer cannot generate the best plan. Other
data relevant to SQL performance include the structure of tables and views that
the statement accessed, and definitions of any indexes available to the statement.
3. Determining the causes of the problem
Typically, causes of SQL performance problems include:
•Inefficiently designed SQL statements
If a SQL statement is written so that it performs unnecessary work, then the
optimizer cannot do much to improve its performance. Examples of inefficient
design include
–Neglecting to add a join condition, which leads to a Cartesian join
–Using hints to specify a large table as the driving table in a join
–Specifying
UNION
instead of
UNION ALL
–Making a subquery execute for every row in an outer query
•Suboptimal execution plans
The query optimizer (also called the optimizer) is internal software that
determines which execution plan is most efficient. Sometimes the optimizer
chooses a plan with a suboptimal access path, which is the means by which
the database retrieves data from the database. For example, the plan for a
query predicate with low selectivity may use a full table scan on a large table
instead of an index.
You can compare the execution plan of an optimally performing SQL
statement to the plan of the statement when it performs suboptimally. This
comparison, along with information such as changes in data volumes, can
help identify causes of performance degradation.
•Missing SQL access structures
Chapter 1
Tasks and Tools for SQL Tuning
1-3

Absence of SQL access structures, such as indexes and materialized views, is
a typical reason for suboptimal SQL performance. The optimal set of access
structures can improve SQL performance by orders of magnitude.
•Stale optimizer statistics
Statistics gathered by
DBMS_STATS
can become stale when the statistics
maintenance operations, either automatic or manual, cannot keep up with the
changes to the table data caused by DML. Because stale statistics on a table
do not accurately reflect the table data, the optimizer can make decisions
based on faulty information and generate suboptimal execution plans.
•Hardware problems
Suboptimal performance might be connected with memory, I/O, and CPU
problems.
4. Defining the scope of the problem
The scope of the solution must match the scope of the problem. Consider a
problem at the database level and a problem at the statement level. For example,
the shared pool is too small, which causes cursors to age out quickly, which in turn
causes many hard parses. Using an initialization parameter to increase the shared
pool size fixes the problem at the database level and improves performance for all
sessions. However, if a single SQL statement is not using a helpful index, then
changing the optimizer initialization parameters for the entire database could harm
overall performance. If a single SQL statement has a problem, then an
appropriately scoped solution addresses just this problem with this statement.
5. Implementing corrective actions for suboptimally performing SQL statements
These actions vary depending on circumstances. For example, you might rewrite a
SQL statement to be more efficient, avoiding unnecessary hard parsing by
rewriting the statement to use bind variables. You might also use equijoins,
remove functions from
WHERE
clauses, and break a complex SQL statement into
multiple simple statements.
In some cases, you improve SQL performance not by rewriting the statement, but
by restructuring schema objects. For example, you might index a new access
path, or reorder columns in a concatenated index. You might also partition a table,
introduce derived values, or even change the database design.
6. Preventing SQL performance regressions
To ensure optimal SQL performance, verify that execution plans continue to
provide optimal performance, and choose better plans if they come available. You
can achieve these goals using optimizer statistics, SQL profiles, and SQL plan
baselines.
1.4.2 SQL Tuning Tools
SQL tuning tools are either automated or manual.
In this context, a tool is automated if the database itself can provide diagnosis, advice,
or corrective actions. A manual tool requires you to perform all of these operations.
All tuning tools depend on the basic tools of the dynamic performance views, statistics,
and metrics that the database instance collects. The database itself contains the data
and metadata required to tune SQL statements.
This section contains the following topics:
Chapter 1
Tasks and Tools for SQL Tuning
1-4

•Automated SQL Tuning Tools
Oracle Database provides several advisors relevant for SQL tuning.
•Manual SQL Tuning Tools
In some situations, you may want to run manual tools in addition to the automated
tools. Alternatively, you may not have access to the automated tools.
1.4.2.1 Automated SQL Tuning Tools
Oracle Database provides several advisors relevant for SQL tuning.
Additionally, SQL plan management is a mechanism that can prevent performance
regressions and also help you to improve SQL performance.
All of the automated SQL tuning tools can use SQL tuning sets as input. A SQL tuning
set (STS) is a database object that includes one or more SQL statements along with
their execution statistics and execution context.
This section contains the following topics:
•Automatic Database Diagnostic Monitor (ADDM)
ADDM is self-diagnostic software built into Oracle Database.
•SQL Tuning Advisor
SQL Tuning Advisor is internal diagnostic software that identifies problematic
SQL statements and recommends how to improve statement performance.
•SQL Access Advisor
SQL Access Advisor is internal diagnostic software that recommends which
materialized views, indexes, and materialized view logs to create, drop, or retain.
•SQL Plan Management
SQL plan management is a preventative mechanism that enables the optimizer to
automatically manage execution plans, ensuring that the database uses only
known or verified plans.
•SQL Performance Analyzer
SQL Performance Analyzer determines the effect of a change on a SQL workload
by identifying performance divergence for each SQL statement.
See Also:
•"About SQL Tuning Sets"
•Oracle Database 2 Day + Performance Tuning Guide to learn more
about managing SQL tuning sets
1.4.2.1.1 Automatic Database Diagnostic Monitor (ADDM)
ADDM is self-diagnostic software built into Oracle Database.
ADDM can automatically locate the root causes of performance problems, provide
recommendations for correction, and quantify the expected benefits. ADDM also
identifies areas where no action is necessary.
Chapter 1
Tasks and Tools for SQL Tuning
1-5

ADDM and other advisors use Automatic Workload Repository (AWR), which is an
infrastructure that provides services to database components to collect, maintain, and
use statistics. ADDM examines and analyzes statistics in AWR to determine possible
performance problems, including high-load SQL.
For example, you can configure ADDM to run nightly. In the morning, you can examine
the latest ADDM report to see what might have caused a problem and if there is a
recommended fix. The report might show that a particular
SELECT
statement consumed
a huge amount of CPU, and recommend that you run SQL Tuning Advisor.
1.4.2.1.2 SQL Tuning Advisor
SQL Tuning Advisor is internal diagnostic software that identifies problematic SQL
statements and recommends how to improve statement performance.
When run during database maintenance windows as an automated maintenance task,
SQL Tuning Advisor is known as Automatic SQL Tuning Advisor.
SQL Tuning Advisor takes one or more SQL statements as an input and invokes the
Automatic Tuning Optimizer to perform SQL tuning on the statements. The advisor
performs the following types of analysis:
•Checks for missing or stale statistics
•Builds SQL profiles
A SQL profile is a set of auxiliary information specific to a SQL statement. A SQL
profile contains corrections for suboptimal optimizer estimates discovered during
Automatic SQL Tuning. This information can improve optimizer estimates for
cardinality, which is the number of rows that is estimated to be or actually is
returned by an operation in an execution plan, and selectivity. These improved
estimates lead the optimizer to select better plans.
•Explores whether a different access path can significantly improve performance
•Identifies SQL statements that lend themselves to suboptimal plans
The output is in the form of advice or recommendations, along with a rationale for each
recommendation and its expected benefit. The recommendation relates to a collection
of statistics on objects, creation of new indexes, restructuring of the SQL statement, or
creation of a SQL profile. You can choose to accept the recommendations to complete
the tuning of the SQL statements.
1.4.2.1.3 SQL Access Advisor
SQL Access Advisor is internal diagnostic software that recommends which
materialized views, indexes, and materialized view logs to create, drop, or retain.
SQL Access Advisor takes an actual workload as input, or the advisor can derive a
hypothetical workload from the schema. SQL Access Advisor considers the trade-offs
between space usage and query performance, and recommends the most cost-
effective configuration of new and existing materialized views and indexes. The
advisor also makes recommendations about partitioning.
Chapter 1
Tasks and Tools for SQL Tuning
1-6

1.4.2.1.4 SQL Plan Management
SQL plan management is a preventative mechanism that enables the optimizer to
automatically manage execution plans, ensuring that the database uses only known or
verified plans.
This mechanism can build a SQL plan baseline, which contains one or more accepted
plans for each SQL statement. By using baselines, SQL plan management can
prevent plan regressions from environmental changes, while permitting the optimizer
to discover and use better plans.
1.4.2.1.5 SQL Performance Analyzer
SQL Performance Analyzer determines the effect of a change on a SQL workload by
identifying performance divergence for each SQL statement.
System changes such as upgrading a database or adding an index may cause
changes to execution plans, affecting SQL performance. By using SQL Performance
Analyzer, you can accurately forecast the effect of system changes on SQL
performance. Using this information, you can tune the database when SQL
performance regresses, or validate and measure the gain when SQL performance
improves.
1.4.2.2 Manual SQL Tuning Tools
In some situations, you may want to run manual tools in addition to the automated
tools. Alternatively, you may not have access to the automated tools.
This section contains the following topics:
•Execution Plans
Execution plans are the principal diagnostic tool in manual SQL tuning. For
example, you can view plans to determine whether the optimizer selects the plan
you expect, or identify the effect of creating an index on a table.
•Real-Time SQL Monitoring and Real-Time Database Operations
The Real-Time SQL Monitoring feature of Oracle Database enables you to monitor
the performance of SQL statements while they are executing. By default, SQL
monitoring starts automatically when a statement runs in parallel, or when it has
consumed at least 5 seconds of CPU or I/O time in a single execution.
•Application Tracing
A SQL trace file provides performance information on individual SQL statements:
parse counts, physical and logical reads, misses on the library cache, and so on.
•Optimizer Hints
A hint is an instruction passed to the optimizer through comments in a SQL
statement. Hints enable you to make decisions normally made automatically by
the optimizer.
1.4.2.2.1 Execution Plans
Execution plans are the principal diagnostic tool in manual SQL tuning. For example,
you can view plans to determine whether the optimizer selects the plan you expect, or
identify the effect of creating an index on a table.
Chapter 1
Tasks and Tools for SQL Tuning
1-7

You can display execution plans in multiple ways. The following tools are the most
commonly used:
•
EXPLAIN PLAN
This SQL statement enables you to view the execution plan that the optimizer
would use to execute a SQL statement without actually executing the statement.
See Oracle Database SQL Language Reference.
•
AUTOTRACE
The
AUTOTRACE
command in SQL*Plus generates the execution plan and statistics
about the performance of a query. This command provides statistics such as disk
reads and memory reads. See SQL*Plus User's Guide and Reference.
•
V$SQL_PLAN
and related views
These views contain information about executed SQL statements, and their
execution plans, that are still in the shared pool. See Oracle Database Reference.
You can use the
DBMS_XPLAN
package methods to display the execution plan generated
by the
EXPLAIN PLAN
command and query of
V$SQL_PLAN
.
1.4.2.2.2 Real-Time SQL Monitoring and Real-Time Database Operations
The Real-Time SQL Monitoring feature of Oracle Database enables you to monitor the
performance of SQL statements while they are executing. By default, SQL monitoring
starts automatically when a statement runs in parallel, or when it has consumed at
least 5 seconds of CPU or I/O time in a single execution.
A database operation is a set of database tasks defined by end users or application
code, for example, a batch job or Extraction, Transformation, and Loading (ETL)
processing. You can define, monitor, and report on database operations. Real-Time
Database Operations provides the ability to monitor composite operations
automatically. The database automatically monitors parallel queries, DML, and DDL
statements as soon as execution begins.
Oracle Enterprise Manager Cloud Control (Cloud Control) provides easy-to-use SQL
monitoring pages. Alternatively, you can monitor SQL-related statistics using the
V$SQL_MONITOR
and
V$SQL_PLAN_MONITOR
views. You can use these views with the
following views to get more information about executions that you are monitoring:
•
V$ACTIVE_SESSION_HISTORY
•
V$SESSION
•
V$SESSION_LONGOPS
•
V$SQL
•
V$SQL_PLAN
1.4.2.2.3 Application Tracing
A SQL trace file provides performance information on individual SQL statements:
parse counts, physical and logical reads, misses on the library cache, and so on.
Trace files are sometimes useful for diagnosing SQL performance problems. You can
enable and disable SQL tracing for a specific session using the
DBMS_MONITOR
or
DBMS_SESSION
packages. Oracle Database implements tracing by generating a trace file
for each server process when you enable the tracing mechanism.
Chapter 1
Tasks and Tools for SQL Tuning
1-8

Oracle Database provides the following command-line tools for analyzing trace files:
•
TKPROF
This utility accepts as input a trace file produced by the SQL Trace facility, and
then produces a formatted output file.
•
trcsess
This utility consolidates trace output from multiple trace files based on criteria such
as session ID, client ID, and service ID. After
trcsess
merges the trace information
into a single output file, you can format the output file with
TKPROF
.
trcsess
is useful
for consolidating the tracing of a particular session for performance or debugging
purposes.
End-to-End Application Tracing simplifies the process of diagnosing performance
problems in multitier environments. In these environments, the middle tier routes a
request from an end client to different database sessions, making it difficult to track a
client across database sessions. End-to-End application tracing uses a client ID to
uniquely trace a specific end-client through all tiers to the database.
1.4.2.2.4 Optimizer Hints
A hint is an instruction passed to the optimizer through comments in a SQL statement.
Hints enable you to make decisions normally made automatically by the optimizer.
In a test or development environment, hints are useful for testing the performance of a
specific access path. For example, you may know that a specific index is more
selective for certain queries. In this case, you may use hints to instruct the optimizer to
use a better execution plan, as in the following example:
SELECT /*+ INDEX (employees emp_department_ix) */
employee_id, department_id
FROM employees
WHERE department_id > 50;
1.4.3 User Interfaces to SQL Tuning Tools
Cloud Control is a system management tool that provides centralized management of
a database environment. Cloud Control provides access to most tuning tools.
By combining a graphical console, Oracle Management Servers, Oracle Intelligent
Agents, common services, and administrative tools, Cloud Control provides a
comprehensive system management platform.
You can also access all SQL tuning tools using a command-line interface. For
example, the
DBMS_ADVISOR
package is the command-line interface for SQL Tuning
Advisor.
Oracle recommends Cloud Control as the best interface for database administration
and tuning. In cases where the command-line interface better illustrates a particular
concept or task, this manual uses command-line examples. However, in these cases
the tuning tasks include a reference to the principal Cloud Control page associated
with the task.
Chapter 1
Tasks and Tools for SQL Tuning
1-9

2
SQL Performance Methodology
This chapter describes the recommended methodology for SQL tuning.
Note:
This book assumes that you have learned the Oracle Database performance
methodology described in Oracle Database 2 Day + Performance Tuning
Guide.
This chapter contains the following topics:
•Guidelines for Designing Your Application
The key to obtaining good SQL performance is to design your application with
performance in mind.
•Guidelines for Deploying Your Application
To achieve optimal performance, deploy your application with the same care that
you put into designing it.
2.1 Guidelines for Designing Your Application
The key to obtaining good SQL performance is to design your application with
performance in mind.
This section contains the following topics:
•Guideline for Data Modeling
Data modeling is important to successful application design.
•Guideline for Writing Efficient Applications
During the design and architecture phase of system development, ensure that the
application developers understand SQL execution efficiency.
2.1.1 Guideline for Data Modeling
Data modeling is important to successful application design.
You must perform data modeling in a way that represents the business practices.
Heated debates may occur about the correct data model. The important thing is to
apply greatest modeling efforts to those entities affected by the most frequent
business transactions.
In the modeling phase, there is a great temptation to spend too much time modeling
the non-core data elements, which results in increased development lead times. Use
of modeling tools can then rapidly generate schema definitions and can be useful
when a fast prototype is required.
2-1

2.1.2 Guideline for Writing Efficient Applications
During the design and architecture phase of system development, ensure that the
application developers understand SQL execution efficiency.
To achieve this goal, the development environment must support the following
characteristics:
•Good database connection management
Connecting to the database is an expensive operation that is not scalable.
Therefore, a best practice is to minimize the number of concurrent connections to
the database. A simple system, where a user connects at application initialization,
is ideal. However, in a web-based or multitiered application in which application
servers multiplex database connections to users, this approach can be difficult.
With these types of applications, design them to pool database connections, and
not reestablish connections for each user request.
•Good cursor usage and management
Maintaining user connections is equally important to minimizing the parsing activity
on the system. Parsing is the process of interpreting a SQL statement and creating
an execution plan for it. This process has many phases, including syntax checking,
security checking, execution plan generation, and loading shared structures into
the shared pool. There are two types of parse operations:
–Hard parsing
A SQL statement is submitted for the first time, and no match is found in the
shared pool. Hard parses are the most resource-intensive and unscalable,
because they perform all the operations involved in a parse.
–Soft parsing
A SQL statement is submitted for the first time, and a match is found in the
shared pool. The match can be the result of previous execution by another
user. The SQL statement is shared, which is optimal for performance.
However, soft parses are not ideal, because they still require syntax and
security checking, which consume system resources.
Because parsing should be minimized as much as possible, application
developers should design their applications to parse SQL statements once and
execute them many times. This is done through cursors. Experienced SQL
programmers should be familiar with the concept of opening and re-executing
cursors.
•Effective use of bind variables
Application developers must also ensure that SQL statements are shared within
the shared pool. To achieve this goal, use bind variables to represent the parts of
the query that change from execution to execution. If this is not done, then the
SQL statement is likely to be parsed once and never re-used by other users. To
ensure that SQL is shared, use bind variables and do not use string literals with
SQL statements. For example:
Statement with string literals:
SELECT *
FROM employees
WHERE last_name LIKE 'KING';
Chapter 2
Guidelines for Designing Your Application
2-2

Statement with bind variables:
SELECT *
FROM employees
WHERE last_name LIKE :1;
The following example shows the results of some tests on a simple OLTP
application:
Test #Users Supported
No Parsing all statements 270
Soft Parsing all statements 150
Hard Parsing all statements 60
Re-Connecting for each Transaction 30
These tests were performed on a four-CPU computer. The differences increase as
the number of CPUs on the system increase.
2.2 Guidelines for Deploying Your Application
To achieve optimal performance, deploy your application with the same care that you
put into designing it.
This section contains the following topics:
•Guideline for Deploying in a Test Environment
The testing process mainly consists of functional and stability testing. At some
point in the process, you must perform performance testing.
•Guidelines for Application Rollout
When new applications are rolled out, two strategies are commonly adopted: the
Big Bang approach, in which all users migrate to the new system at once, and the
trickle approach, in which users slowly migrate from existing systems to the new
one.
2.2.1 Guideline for Deploying in a Test Environment
The testing process mainly consists of functional and stability testing. At some point in
the process, you must perform performance testing.
The following list describes simple rules for performance testing an application. If
correctly documented, then this list provides important information for the production
application and the capacity planning process after the application has gone live.
•Use the Automatic Database Diagnostic Monitor (ADDM) and SQL Tuning Advisor
for design validation.
•Test with realistic data volumes and distributions.
All testing must be done with fully populated tables. The test database should
contain data representative of the production system in terms of data volume and
cardinality between tables. All the production indexes should be built and the
schema statistics should be populated correctly.
•Use the correct optimizer mode.
Perform all testing with the optimizer mode that you plan to use in production.
•Test a single user performance.
Chapter 2
Guidelines for Deploying Your Application
2-3

Test a single user on an idle or lightly-used database for acceptable performance.
If a single user cannot achieve acceptable performance under ideal conditions,
then multiple users cannot achieve acceptable performance under real conditions.
•Obtain and document plans for all SQL statements.
Obtain an execution plan for each SQL statement. Use this process to verify that
the optimizer is obtaining an optimal execution plan, and that the relative cost of
the SQL statement is understood in terms of CPU time and physical I/Os. This
process assists in identifying the heavy use transactions that require the most
tuning and performance work in the future.
•Attempt multiuser testing.
This process is difficult to perform accurately, because user workload and profiles
might not be fully quantified. However, transactions performing DML statements
should be tested to ensure that there are no locking conflicts or serialization
problems.
•Test with the correct hardware configuration.
Test with a configuration as close to the production system as possible. Using a
realistic system is particularly important for network latencies, I/O subsystem
bandwidth, and processor type and speed. Failing to use this approach may result
in an incorrect analysis of potential performance problems.
•Measure steady state performance.
When benchmarking, it is important to measure the performance under steady
state conditions. Each benchmark run should have a ramp-up phase, where users
are connected to the application and gradually start performing work on the
application. This process allows for frequently cached data to be initialized into the
cache and single execution operations—such as parsing—to be completed before
the steady state condition. Likewise, after a benchmark run, a ramp-down period is
useful so that the system frees resources, and users cease work and disconnect.
2.2.2 Guidelines for Application Rollout
When new applications are rolled out, two strategies are commonly adopted: the Big
Bang approach, in which all users migrate to the new system at once, and the trickle
approach, in which users slowly migrate from existing systems to the new one.
Both approaches have merits and disadvantages. The Big Bang approach relies on
reliable testing of the application at the required scale, but has the advantage of
minimal data conversion and synchronization with the old system, because it is simply
switched off. The Trickle approach allows debugging of scalability issues as the
workload increases, but might mean that data must be migrated to and from legacy
systems as the transition takes place.
It is difficult to recommend one approach over the other, because each technique has
associated risks that could lead to system outages as the transition takes place.
Certainly, the Trickle approach allows profiling of real users as they are introduced to
the new application, and allows the system to be reconfigured while only affecting the
migrated users. This approach affects the work of the early adopters, but limits the
load on support services. Thus, unscheduled outages only affect a small percentage of
the user population.
The decision on how to roll out a new application is specific to each business. Any
adopted approach has its own unique pressures and stresses. The more testing and
Chapter 2
Guidelines for Deploying Your Application
2-4

knowledge that you derive from the testing process, the more you realize what is best
for the rollout.
Chapter 2
Guidelines for Deploying Your Application
2-5

Part II
Query Optimizer Fundamentals
To tune Oracle SQL, you must understand the query optimizer. The optimizer is built-
in software that determines the most efficient method for a statement to access data.
This part contains the following chapters:
•SQL Processing
This chapter explains how database processes DDL statements to create objects,
DML to modify data, and queries to retrieve data.
•Query Optimizer Concepts
This chapter describes the most important concepts relating to the query
optimizer, including its principal components.
•Query Transformations
The optimizer employs many query transformation techniques. This chapter
describes some of the most important.

3
SQL Processing
This chapter explains how database processes DDL statements to create objects,
DML to modify data, and queries to retrieve data.
This chapter contains the following topics:
•About SQL Processing
SQL processing is the parsing, optimization, row source generation, and
execution of a SQL statement.
•How Oracle Database Processes DML
Most DML statements have a query component. In a query, execution of a cursor
places the results of the query into a set of rows called the result set.
•How Oracle Database Processes DDL
Oracle Database processes DDL differently from DML.
3.1 About SQL Processing
SQL processing is the parsing, optimization, row source generation, and execution of
a SQL statement.
The following figure depicts the general stages of SQL processing. Depending on the
statement, the database may omit some of these stages.
3-1

Figure 3-1 Stages of SQL Processing
Generation of
multiple
execution plans
Generation of
query plan
Parsing
Optimization
Row Source
Generation
Execution
Hard Parse
Soft Parse
Semantic
Check
Syntax
Check
Shared Pool
Check
SQL Statement
This section contains the following topics:
•SQL Parsing
The first stage of SQL processing is parsing.
•SQL Optimization
During optimization, Oracle Database must perform a hard parse at least once for
every unique DML statement and performs the optimization during this parse.
•SQL Row Source Generation
The row source generator is software that receives the optimal execution plan
from the optimizer and produces an iterative execution plan that is usable by the
rest of the database.
•SQL Execution
During execution, the SQL engine executes each row source in the tree produced
by the row source generator. This step is the only mandatory step in DML
processing.
Chapter 3
About SQL Processing
3-2

3.1.1 SQL Parsing
The first stage of SQL processing is parsing.
The parsing stage involves separating the pieces of a SQL statement into a data
structure that other routines can process. The database parses a statement when
instructed by the application, which means that only the application, and not the
database itself, can reduce the number of parses.
When an application issues a SQL statement, the application makes a parse call to the
database to prepare the statement for execution. The parse call opens or creates a
cursor, which is a handle for the session-specific private SQL area that holds a parsed
SQL statement and other processing information. The cursor and private SQL area are
in the program global area (PGA).
During the parse call, the database performs checks that identify the errors that can be
found before statement execution. Some errors cannot be caught by parsing. For
example, the database can encounter deadlocks or errors in data conversion only
during statement execution.
This section contains the following topics:
•Syntax Check
Oracle Database must check each SQL statement for syntactic validity.
•Semantic Check
The semantics of a statement are its meaning. A semantic check determines
whether a statement is meaningful, for example, whether the objects and columns
in the statement exist.
•Shared Pool Check
During the parse, the database performs a shared pool check to determine
whether it can skip resource-intensive steps of statement processing.
See Also:
Oracle Database Concepts to learn about deadlocks
3.1.1.1 Syntax Check
Oracle Database must check each SQL statement for syntactic validity.
A statement that breaks a rule for well-formed SQL syntax fails the check. For
example, the following statement fails because the keyword
FROM
is misspelled as
FORM
:
SQL> SELECT * FORM employees;
SELECT * FORM employees
*
ERROR at line 1:
ORA-00923: FROM keyword not found where expected
Chapter 3
About SQL Processing
3-3

3.1.1.2 Semantic Check
The semantics of a statement are its meaning. A semantic check determines whether
a statement is meaningful, for example, whether the objects and columns in the
statement exist.
A syntactically correct statement can fail a semantic check, as shown in the following
example of a query of a nonexistent table:
SQL> SELECT * FROM nonexistent_table;
SELECT * FROM nonexistent_table
*
ERROR at line 1:
ORA-00942: table or view does not exist
3.1.1.3 Shared Pool Check
During the parse, the database performs a shared pool check to determine whether it
can skip resource-intensive steps of statement processing.
To this end, the database uses a hashing algorithm to generate a hash value for every
SQL statement. The statement hash value is the SQL ID shown in
V$SQL.SQL_ID
. This
hash value is deterministic within a version of Oracle Database, so the same
statement in a single instance or in different instances has the same SQL ID.
When a user submits a SQL statement, the database searches the shared SQL area
to see if an existing parsed statement has the same hash value. The hash value of a
SQL statement is distinct from the following values:
•Memory address for the statement
Oracle Database uses the SQL ID to perform a keyed read in a lookup table. In
this way, the database obtains possible memory addresses of the statement.
•Hash value of an execution plan for the statement
A SQL statement can have multiple plans in the shared pool. Typically, each plan
has a different hash value. If the same SQL ID has multiple plan hash values, then
the database knows that multiple plans exist for this SQL ID.
Parse operations fall into the following categories, depending on the type of statement
submitted and the result of the hash check:
•Hard parse
If Oracle Database cannot reuse existing code, then it must build a new
executable version of the application code. This operation is known as a hard
parse, or a library cache miss.
Note:
The database always performs a hard parse of DDL.
During the hard parse, the database accesses the library cache and data
dictionary cache numerous times to check the data dictionary. When the database
accesses these areas, it uses a serialization device called a latch on required
Chapter 3
About SQL Processing
3-4

objects so that their definition does not change. Latch contention increases
statement execution time and decreases concurrency.
•Soft parse
A soft parse is any parse that is not a hard parse. If the submitted statement is the
same as a reusable SQL statement in the shared pool, then Oracle Database
reuses the existing code. This reuse of code is also called a library cache hit.
Soft parses can vary in how much work they perform. For example, configuring the
session shared SQL area can sometimes reduce the amount of latching in the soft
parses, making them "softer."
In general, a soft parse is preferable to a hard parse because the database skips
the optimization and row source generation steps, proceeding straight to
execution.
The following graphic is a simplified representation of a shared pool check of an
UPDATE
statement in a dedicated server architecture.
Figure 3-2 Shared Pool Check
Comparison of hash values
User
Server
Process
Client
Process
Private SQL Area
User
Update ...
PGA
SQL Work Areas
Session Memory 3967354608
System Global Area (SGA)
Shared Pool
Private
SQL Area
Shared SQL Area
3667723989
3967354608
2190280494
Library Cache
Data
Dictionary
Cache
Server
Result
Cache
Other Reserved
Pool
If a check determines that a statement in the shared pool has the same hash value,
then the database performs semantic and environment checks to determine whether
the statements have the same meaning. Identical syntax is not sufficient. For example,
suppose two different users log in to the database and issue the following SQL
statements:
CREATE TABLE my_table ( some_col INTEGER );
SELECT * FROM my_table;
The
SELECT
statements for the two users are syntactically identical, but two separate
schema objects are named
my_table
. This semantic difference means that the second
statement cannot reuse the code for the first statement.
Chapter 3
About SQL Processing
3-5

Even if two statements are semantically identical, an environmental difference can
force a hard parse. In this context, the optimizer environment is the totality of session
settings that can affect execution plan generation, such as the work area size or
optimizer settings (for example, the optimizer mode). Consider the following series of
SQL statements executed by a single user:
ALTER SESSION SET OPTIMIZER_MODE=ALL_ROWS;
ALTER SYSTEM FLUSH SHARED_POOL; # optimizer environment 1
SELECT * FROM sh.sales;
ALTER SESSION SET OPTIMIZER_MODE=FIRST_ROWS; # optimizer environment 2
SELECT * FROM sh.sales;
ALTER SESSION SET SQL_TRACE=true; # optimizer environment 3
SELECT * FROM sh.sales;
In the preceding example, the same
SELECT
statement is executed in three different
optimizer environments. Consequently, the database creates three separate shared
SQL areas for these statements and forces a hard parse of each statement.
3.1.2 SQL Optimization
During optimization, Oracle Database must perform a hard parse at least once for
every unique DML statement and performs the optimization during this parse.
The database does not optimize DDL. The only exception is when the DDL includes a
DML component such as a subquery that requires optimization.
3.1.3 SQL Row Source Generation
The row source generator is software that receives the optimal execution plan from
the optimizer and produces an iterative execution plan that is usable by the rest of the
database.
The iterative plan is a binary program that, when executed by the SQL engine,
produces the result set. The plan takes the form of a combination of steps. Each step
returns a row set. The next step either uses the rows in this set, or the last step returns
the rows to the application issuing the SQL statement.
A row source is a row set returned by a step in the execution plan along with a control
structure that can iteratively process the rows. The row source can be a table, view, or
result of a join or grouping operation.
The row source generator produces a row source tree, which is a collection of row
sources. The row source tree shows the following information:
•An ordering of the tables referenced by the statement
•An access method for each table mentioned in the statement
•A join method for tables affected by join operations in the statement
•Data operations such as filter, sort, or aggregation
Example 3-1 Execution Plan
This example shows the execution plan of a
SELECT
statement when
AUTOTRACE
is
enabled. The statement selects the last name, job title, and department name for all
Chapter 3
About SQL Processing
3-6

employees whose last names begin with the letter
A
. The execution plan for this
statement is the output of the row source generator.
SELECT e.last_name, j.job_title, d.department_name
FROM hr.employees e, hr.departments d, hr.jobs j
WHERE e.department_id = d.department_id
AND e.job_id = j.job_id
AND e.last_name LIKE 'A%';
Execution Plan
----------------------------------------------------------
Plan hash value: 975837011
--------------------------------------------------------------------------------
| Id| Operation | Name |Rows|Bytes|Cost(%CPU)|Time |
--------------------------------------------------------------------------------
| 0 | SELECT STATEMENT | | 3 | 189 | 7(15)| 00:00:01 |
|*1 | HASH JOIN | | 3 | 189 | 7(15)| 00:00:01 |
|*2 | HASH JOIN | | 3 | 141 | 5(20)| 00:00:01 |
| 3 | TABLE ACCESS BY INDEX ROWID| EMPLOYEES | 3 | 60 | 2 (0)| 00:00:01 |
|*4 | INDEX RANGE SCAN | EMP_NAME_IX | 3 | | 1 (0)| 00:00:01 |
| 5 | TABLE ACCESS FULL | JOBS | 19 | 513 | 2 (0)| 00:00:01 |
| 6 | TABLE ACCESS FULL | DEPARTMENTS | 27 | 432 | 2 (0)| 00:00:01 |
--------------------------------------------------------------------------------
Predicate Information (identified by operation id):
---------------------------------------------------
1 - access("E"."DEPARTMENT_ID"="D"."DEPARTMENT_ID")
2 - access("E"."JOB_ID"="J"."JOB_ID")
4 - access("E"."LAST_NAME" LIKE 'A%')
filter("E"."LAST_NAME" LIKE 'A%')
3.1.4 SQL Execution
During execution, the SQL engine executes each row source in the tree produced by
the row source generator. This step is the only mandatory step in DML processing.
Figure 3-3 is an execution tree, also called a parse tree, that shows the flow of row
sources from one step to another in the plan in Example 3-1. In general, the order of
the steps in execution is the reverse of the order in the plan, so you read the plan from
the bottom up.
Each step in an execution plan has an ID number. The numbers in Figure 3-3
correspond to the
Id
column in the plan shown in Example 3-1. Initial spaces in the
Operation
column of the plan indicate hierarchical relationships. For example, if the
name of an operation is preceded by two spaces, then this operation is a child of an
operation preceded by one space. Operations preceded by one space are children of
the
SELECT
statement itself.
Chapter 3
About SQL Processing
3-7

Figure 3-3 Row Source Tree
TABLE ACCESS
FULL
jobs
53
TABLE ACCESS
BY INDEX ROWID
employees
4
INDEX RANGE
SCAN
emp_name_ix
6
TABLE ACCESS
FULL
departments
1
HASH JOIN
2
HASH JOIN
In Figure 3-3, each node of the tree acts as a row source, which means that each step
of the execution plan in Example 3-1 either retrieves rows from the database or
accepts rows from one or more row sources as input. The SQL engine executes each
row source as follows:
•Steps indicated by the black boxes physically retrieve data from an object in the
database. These steps are the access paths, or techniques for retrieving data from
the database.
–Step 6 uses a full table scan to retrieve all rows from the
departments
table.
–Step 5 uses a full table scan to retrieve all rows from the
jobs
table.
–Step 4 scans the
emp_name_ix
index in order, looking for each key that begins
with the letter
A
and retrieving the corresponding rowid. For example, the rowid
corresponding to
Atkinson
is
AAAPzRAAFAAAABSAAe
.
–Step 3 retrieves from the
employees
table the rows whose rowids were returned
by Step 4. For example, the database uses rowid
AAAPzRAAFAAAABSAAe
to
retrieve the row for
Atkinson
.
•Steps indicated by the clear boxes operate on row sources.
Chapter 3
About SQL Processing
3-8

–Step 2 performs a hash join, accepting row sources from Steps 3 and 5,
joining each row from the Step 5 row source to its corresponding row in Step
3, and returning the resulting rows to Step 1.
For example, the row for employee
Atkinson
is associated with the job name
Stock Clerk
.
–Step 1 performs another hash join, accepting row sources from Steps 2 and 6,
joining each row from the Step 6 source to its corresponding row in Step 2,
and returning the result to the client.
For example, the row for employee
Atkinson
is associated with the department
named
Shipping
.
In some execution plans the steps are iterative and in others sequential. The hash join
shown in Example 3-1 is sequential. The database completes the steps in their entirety
based on the join order. The database starts with the index range scan of
emp_name_ix
.
Using the rowids that it retrieves from the index, the database reads the matching rows
in the
employees
table, and then scans the
jobs
table. After it retrieves the rows from
the
jobs
table, the database performs the hash join.
During execution, the database reads the data from disk into memory if the data is not
in memory. The database also takes out any locks and latches necessary to ensure
data integrity and logs any changes made during the SQL execution. The final stage of
processing a SQL statement is closing the cursor.
3.2 How Oracle Database Processes DML
Most DML statements have a query component. In a query, execution of a cursor
places the results of the query into a set of rows called the result set.
This section contains the following topics:
•How Row Sets Are Fetched
Result set rows can be fetched either a row at a time or in groups.
•Read Consistency
In general, a query retrieves data by using the Oracle Database read consistency
mechanism, which guarantees that all data blocks read by a query are consistent
to a single point in time.
•Data Changes
DML statements that must change data use read consistency to retrieve only the
data that matched the search criteria when the modification began.
3.2.1 How Row Sets Are Fetched
Result set rows can be fetched either a row at a time or in groups.
In the fetch stage, the database selects rows and, if requested by the query, orders the
rows. Each successive fetch retrieves another row of the result until the last row has
been fetched.
In general, the database cannot determine for certain the number of rows to be
retrieved by a query until the last row is fetched. Oracle Database retrieves the data in
response to fetch calls, so that the more rows the database reads, the more work it
performs. For some queries the database returns the first row as quickly as possible,
whereas for others it creates the entire result set before returning the first row.
Chapter 3
How Oracle Database Processes DML
3-9

3.2.2 Read Consistency
In general, a query retrieves data by using the Oracle Database read consistency
mechanism, which guarantees that all data blocks read by a query are consistent to a
single point in time.
Read consistency uses undo data to show past versions of data. For an example,
suppose a query must read 100 data blocks in a full table scan. The query processes
the first 10 blocks while DML in a different session modifies block 75. When the first
session reaches block 75, it realizes the change and uses undo data to retrieve the
old, unmodified version of the data and construct a noncurrent version of block 75 in
memory.
3.2.3 Data Changes
DML statements that must change data use read consistency to retrieve only the data
that matched the search criteria when the modification began.
Afterward, these statements retrieve the data blocks as they exist in their current state
and make the required modifications. The database must perform other actions related
to the modification of the data such as generating redo and undo data.
3.3 How Oracle Database Processes DDL
Oracle Database processes DDL differently from DML.
For example, when you create a table, the database does not optimize the
CREATE
TABLE
statement. Instead, Oracle Database parses the DDL statement and carries out
the command.
The database processes DDL differently because it is a means of defining an object in
the data dictionary. Typically, Oracle Database must parse and execute many
recursive SQL statements to execute a DDL statement. Suppose you create a table as
follows:
CREATE TABLE mytable (mycolumn INTEGER);
Typically, the database would run dozens of recursive statements to execute the
preceding statement. The recursive SQL would perform actions such as the following:
•Issue a
COMMIT
before executing the
CREATE TABLE
statement
•Verify that user privileges are sufficient to create the table
•Determine which tablespace the table should reside in
•Ensure that the tablespace quota has not been exceeded
•Ensure that no object in the schema has the same name
•Insert rows that define the table into the data dictionary
•Issue a
COMMIT
if the DDL statement succeeded or a
ROLLBACK
if it did not
Chapter 3
How Oracle Database Processes DDL
3-10

4
Query Optimizer Concepts
This chapter describes the most important concepts relating to the query optimizer,
including its principal components.
This chapter contains the following topics:
•Introduction to the Query Optimizer
The query optimizer (called simply the optimizer) is built-in database software
that determines the most efficient method for a SQL statement to access
requested data.
•About Optimizer Components
The optimizer contains three components: the transformer, estimator, and plan
generator.
•About Automatic Tuning Optimizer
The optimizer performs different operations depending on how it is invoked.
•About Adaptive Query Optimization
In Oracle Database, adaptive query optimization enables the optimizer to make
run-time adjustments to execution plans and discover additional information that
can lead to better statistics.
•About Approximate Query Processing
Approximate query processing is a set of optimization techniques that speed
analytic queries by calculating results within an acceptable range of error.
•About SQL Plan Management
SQL plan management enables the optimizer to automatically manage execution
plans, ensuring that the database uses only known or verified plans.
•About the Expression Statistics Store (ESS)
The Expression Statistics Store (ESS) is a repository maintained by the
optimizer to store statistics about expression evaluation.
4.1 Introduction to the Query Optimizer
The query optimizer (called simply the optimizer) is built-in database software that
determines the most efficient method for a SQL statement to access requested data.
This section contains the following topics:
•Purpose of the Query Optimizer
The optimizer attempts to generate the most optimal execution plan for a SQL
statement.
•Cost-Based Optimization
Query optimization is the process of choosing the most efficient means of
executing a SQL statement.
•Execution Plans
An execution plan describes a recommended method of execution for a SQL
statement.
4-1

4.1.1 Purpose of the Query Optimizer
The optimizer attempts to generate the most optimal execution plan for a SQL
statement.
The optimizer choose the plan with the lowest cost among all considered candidate
plans. The optimizer uses available statistics to calculate cost. For a specific query in a
given environment, the cost computation accounts for factors of query execution such
as I/O, CPU, and communication.
For example, a query might request information about employees who are managers.
If the optimizer statistics indicate that 80% of employees are managers, then the
optimizer may decide that a full table scan is most efficient. However, if statistics
indicate that very few employees are managers, then reading an index followed by a
table access by rowid may be more efficient than a full table scan.
Because the database has many internal statistics and tools at its disposal, the
optimizer is usually in a better position than the user to determine the optimal method
of statement execution. For this reason, all SQL statements use the optimizer.
4.1.2 Cost-Based Optimization
Query optimization is the process of choosing the most efficient means of executing
a SQL statement.
SQL is a nonprocedural language, so the optimizer is free to merge, reorganize, and
process in any order. The database optimizes each SQL statement based on statistics
collected about the accessed data. The optimizer determines the optimal plan for a
SQL statement by examining multiple access methods, such as full table scan or index
scans, different join methods such as nested loops and hash joins, different join
orders, and possible transformations.
For a given query and environment, the optimizer assigns a relative numerical cost to
each step of a possible plan, and then factors these values together to generate an
overall cost estimate for the plan. After calculating the costs of alternative plans, the
optimizer chooses the plan with the lowest cost estimate. For this reason, the
optimizer is sometimes called the cost-based optimizer (CBO) to contrast it with the
legacy rule-based optimizer (RBO).
Note:
The optimizer may not make the same decisions from one version of Oracle
Database to the next. In recent versions, the optimizer might make different
decision because better information is available and more optimizer
transformations are possible.
4.1.3 Execution Plans
An execution plan describes a recommended method of execution for a SQL
statement.
Chapter 4
Introduction to the Query Optimizer
4-2

The plan shows the combination of the steps Oracle Database uses to execute a SQL
statement. Each step either retrieves rows of data physically from the database or
prepares them for the user issuing the statement.
An execution plan displays the cost of the entire plan, indicated on line 0, and each
separate operation. The cost is an internal unit that the execution plan only displays to
allow for plan comparisons. Thus, you cannot tune or change the cost value.
In the following graphic, the optimizer generates two possible execution plans for an
input SQL statement, uses statistics to estimate their costs, compares their costs, and
then chooses the plan with the lowest cost.
Figure 4-1 Execution Plans
Parsed Representation
of SQL Statement
Input Output
Final Plan with
Lowest Cost
GB
HJ HJ
Optimizer
1 0 1 1 0 0 1 0 0 Statistics
Generates Multiple
Plans and
Compares Them
Plan
1
GB
NL NL
Plan
2
GB
HJ HJ
Plan
2
This section contains the following topics:
•Query Blocks
The input to the optimizer is a parsed representation of a SQL statement.
•Query Subplans
For each query block, the optimizer generates a query subplan.
•Analogy for the Optimizer
One analogy for the optimizer is an online trip advisor.
4.1.3.1 Query Blocks
The input to the optimizer is a parsed representation of a SQL statement.
Each
SELECT
block in the original SQL statement is represented internally by a query
block. A query block can be a top-level statement, subquery, or unmerged view.
Example 4-1 Query Blocks
The following SQL statement consists of two query blocks. The subquery in
parentheses is the inner query block. The outer query block, which is the rest of the
Chapter 4
Introduction to the Query Optimizer
4-3

SQL statement, retrieves names of employees in the departments whose IDs were
supplied by the subquery. The query form determines how query blocks are
interrelated.
SELECT first_name, last_name
FROM hr.employees
WHERE department_id
IN (SELECT department_id
FROM hr.departments
WHERE location_id = 1800);
4.1.3.2 Query Subplans
For each query block, the optimizer generates a query subplan.
The database optimizes query blocks separately from the bottom up. Thus, the
database optimizes the innermost query block first and generates a subplan for it, and
then generates the outer query block representing the entire query.
The number of possible plans for a query block is proportional to the number of objects
in the
FROM
clause. This number rises exponentially with the number of objects. For
example, the possible plans for a join of five tables are significantly higher than the
possible plans for a join of two tables.
4.1.3.3 Analogy for the Optimizer
One analogy for the optimizer is an online trip advisor.
A cyclist wants to know the most efficient bicycle route from point A to point B. A query
is like the directive "I need the most efficient route from point A to point B" or "I need
the most efficient route from point A to point B by way of point C." The trip advisor
uses an internal algorithm, which relies on factors such as speed and difficulty, to
determine the most efficient route. The cyclist can influence the trip advisor's decision
by using directives such as "I want to arrive as fast as possible" or "I want the easiest
ride possible."
In this analogy, an execution plan is a possible route generated by the trip advisor.
Internally, the advisor may divide the overall route into several subroutes (subplans),
and calculate the efficiency for each subroute separately. For example, the trip advisor
may estimate one subroute at 15 minutes with medium difficulty, an alternative
subroute at 22 minutes with minimal difficulty, and so on.
The advisor picks the most efficient (lowest cost) overall route based on user-specified
goals and the available statistics about roads and traffic conditions. The more accurate
the statistics, the better the advice. For example, if the advisor is not frequently notified
of traffic jams, road closures, and poor road conditions, then the recommended route
may turn out to be inefficient (high cost).
4.2 About Optimizer Components
The optimizer contains three components: the transformer, estimator, and plan
generator.
The following graphic illustrates the components.
Chapter 4
About Optimizer Components
4-4

Figure 4-2 Optimizer Components
Query
Transformer
Estimator
Plan
Generator
Parsed Query
(from Parser)
Query Plan
(to Row Source Generator)
Transformed query
Query + estimates
Data
Dictionary
statistics
A set of query blocks represents a parsed query, which is the input to the optimizer.
The following table describes the optimizer operations.
Table 4-1 Optimizer Operations
Phase Operation Description To Learn More
1 Query
Transformer
The optimizer determines whether it is helpful
to change the form of the query so that the
optimizer can generate a better execution
plan.
"Query
Transformer"
2 Estimator The optimizer estimates the cost of each plan
based on statistics in the data dictionary.
"Estimator"
3 Plan Generator The optimizer compares the costs of plans
and chooses the lowest-cost plan, known as
the execution plan, to pass to the row source
generator.
"Plan Generator"
This section contains the following topics:
•Query Transformer
For some statements, the query transformer determines whether it is
advantageous to rewrite the original SQL statement into a semantically equivalent
SQL statement with a lower cost.
•Estimator
The estimator is the component of the optimizer that determines the overall cost
of a given execution plan.
•Plan Generator
The plan generator explores various plans for a query block by trying out different
access paths, join methods, and join orders.
Chapter 4
About Optimizer Components
4-5

4.2.1 Query Transformer
For some statements, the query transformer determines whether it is advantageous to
rewrite the original SQL statement into a semantically equivalent SQL statement with a
lower cost.
When a viable alternative exists, the database calculates the cost of the alternatives
separately and chooses the lowest-cost alternative. The following graphic shows the
query transformer rewriting an input query that uses
OR
into an output query that uses
UNION ALL
.
Figure 4-3 Query Transformer
Query Transformer
SELECT *
FROM sales
WHERE prod_id=136
UNION ALL
SELECT *
FROM sales
WHERE promo_id=33
AND LNNVL(prod_id=136);
SELECT *
FROM sales
WHERE promo_id=33
OR prod_id=136;
4.2.2 Estimator
The estimator is the component of the optimizer that determines the overall cost of a
given execution plan.
The estimator uses three different measures to determine cost:
•Selectivity
The percentage of rows in the row set that the query selects, with
0
meaning no
rows and
1
meaning all rows. Selectivity is tied to a query predicate, such as
WHERE
last_name LIKE 'A%'
, or a combination of predicates. A predicate becomes more
selective as the selectivity value approaches
0
and less selective (or more
unselective) as the value approaches
1
.
Chapter 4
About Optimizer Components
4-6

Note:
Selectivity is an internal calculation that is not visible in the execution
plans.
•Cardinality
The cardinality is the number of rows returned by each operation in an execution
plan. This input, which is crucial to obtaining an optimal plan, is common to all cost
functions. The estimator can derive cardinality from the table statistics collected by
DBMS_STATS
, or derive it after accounting for effects from predicates (filter, join, and
so on),
DISTINCT
or
GROUP BY
operations, and so on. The
Rows
column in an
execution plan shows the estimated cardinality.
•Cost
This measure represents units of work or resource used. The query optimizer uses
disk I/O, CPU usage, and memory usage as units of work.
As shown in the following graphic, if statistics are available, then the estimator uses
them to compute the measures. The statistics improve the degree of accuracy of the
measures.
Figure 4-4 Estimator
Estimator
1 0 1 0 0
0 0 0 1 1
0 1 1 0 1
Statistics
Plan
GB
HJ HJ Total Cost
Cardinality
Selectivity Cost
For the query shown in Example 4-1, the estimator uses selectivity, estimated
cardinality (a total return of 10 rows), and cost measures to produce its total cost
estimate of 3:
--------------------------------------------------------------------------------
| Id| Operation |Name |Rows|Bytes|Cost %CPU|Time|
--------------------------------------------------------------------------------
| 0 | SELECT STATEMENT | | 10| 250| 3 (0)| 00:00:01|
| 1 | NESTED LOOPS | | | | | |
| 2 | NESTED LOOPS | | 10| 250| 3 (0)| 00:00:01|
|*3 | TABLE ACCESS FULL |DEPARTMENTS | 1| 7| 2 (0)| 00:00:01|
|*4 | INDEX RANGE SCAN |EMP_DEPARTMENT_IX| 10| | 0 (0)| 00:00:01|
| 5 | TABLE ACCESS BY INDEX ROWID|EMPLOYEES | 10| 180| 1 (0)| 00:00:01|
--------------------------------------------------------------------------------
This section contains the following topics:
Chapter 4
About Optimizer Components
4-7

•Selectivity
The selectivity represents a fraction of rows from a row set.
•Cardinality
The cardinality is the number of rows returned by each operation in an execution
plan.
•Cost
The optimizer cost model accounts for the machine resources that a query is
predicted to use.
4.2.2.1 Selectivity
The selectivity represents a fraction of rows from a row set.
The row set can be a base table, a view, or the result of a join. The selectivity is tied to
a query predicate, such as
last_name
=
'Smith'
, or a combination of predicates, such
as
last_name = 'Smith' AND job_id = 'SH_CLERK'
.
Note:
Selectivity is an internal calculation that is not visible in execution plans.
A predicate filters a specific number of rows from a row set. Thus, the selectivity of a
predicate indicates how many rows pass the predicate test. Selectivity ranges from 0.0
to 1.0. A selectivity of 0.0 means that no rows are selected from a row set, whereas a
selectivity of 1.0 means that all rows are selected. A predicate becomes more
selective as the value approaches 0.0 and less selective (or more unselective) as the
value approaches 1.0.
The optimizer estimates selectivity depending on whether statistics are available:
•Statistics not available
Depending on the value of the
OPTIMIZER_DYNAMIC_SAMPLING
initialization parameter,
the optimizer either uses dynamic statistics or an internal default value. The
database uses different internal defaults depending on the predicate type. For
example, the internal default for an equality predicate (
last_name = 'Smith'
) is
lower than for a range predicate (
last_name > 'Smith'
) because an equality
predicate is expected to return a smaller fraction of rows.
•Statistics available
When statistics are available, the estimator uses them to estimate selectivity.
Assume there are 150 distinct employee last names. For an equality predicate
last_name = 'Smith'
, selectivity is the reciprocal of the number
n
of distinct values
of
last_name
, which in this example is .006 because the query selects rows that
contain 1 out of 150 distinct values.
If a histogram exists on the
last_name
column, then the estimator uses the
histogram instead of the number of distinct values. The histogram captures the
distribution of different values in a column, so it yields better selectivity estimates,
especially for columns that have data skew.
Chapter 4
About Optimizer Components
4-8

4.2.2.2 Cardinality
The cardinality is the number of rows returned by each operation in an execution
plan.
For example, if the optimizer estimate for the number of rows returned by a full table
scan is 100, then the cardinality estimate for this operation is 100. The cardinality
estimate appears in the
Rows
column of the execution plan.
The optimizer determines the cardinality for each operation based on a complex set of
formulas that use both table and column level statistics, or dynamic statistics, as input.
The optimizer uses one of the simplest formulas when a single equality predicate
appears in a single-table query, with no histogram. In this case, the optimizer assumes
a uniform distribution and calculates the cardinality for the query by dividing the total
number of rows in the table by the number of distinct values in the column used in the
WHERE
clause predicate.
For example, user
hr
queries the
employees
table as follows:
SELECT first_name, last_name
FROM employees
WHERE salary='10200';
The
employees
table contains 107 rows. The current database statistics indicate that
the number of distinct values in the
salary
column is
58
. Therefore, the optimizer
estimates the cardinality of the result set as
2
, using the formula
107/58=1.84
.
Cardinality estimates must be as accurate as possible because they influence all
aspects of the execution plan. Cardinality is important when the optimizer determines
the cost of a join. For example, in a nested loops join of the
employees
and
departments
tables, the number of rows in
employees
determines how often the database must
probe the
departments
table. Cardinality is also important for determining the cost of
sorts.
4.2.2.3 Cost
The optimizer cost model accounts for the machine resources that a query is
predicted to use.
The cost is an internal numeric measure that represents the estimated resource usage
for a plan. The cost is specific to a query in an optimizer environment. To estimate
cost, the optimizer considers factors such as the following:
•System resources, which includes estimated I/O, CPU, and memory
•Estimated number of rows returned (cardinality)
•Size of the initial data sets
•Distribution of the data
•Access structures
Chapter 4
About Optimizer Components
4-9

Note:
The cost is an internal measure that the optimizer uses to compare different
plans for the same query. You cannot tune or change cost.
The execution time is a function of the cost, but cost does not equate directly to time.
For example, if the plan for query A has a lower cost than the plan for query B, then
the following outcomes are possible:
•A executes faster than B.
•A executes slower than B.
•A executes in the same amount of time as B.
Therefore, you cannot compare the costs of different queries with one another. Also,
you cannot compare the costs of semantically equivalent queries that use different
optimizer modes.
4.2.3 Plan Generator
The plan generator explores various plans for a query block by trying out different
access paths, join methods, and join orders.
Many plans are possible because of the various combinations that the database can
use to produce the same result. The optimizer picks the plan with the lowest cost.
The following graphic shows the optimizer testing different plans for an input query.
Figure 4-5 Plan Generator
Optimizer
Hash Join
departments 0, employees 1
SELECT e.last_name, d.department_name
FROM hr.employees e, hr.departments d
WHERE e.department_id = d.department_id;
Transformer
Lowest Cost Plan
Join Method
Hash, Nested
Loop, Sort Merge
Access Path
Index
Full Table Scan
Join Order
departments 0 employees 1
employees 0 departments 1
Chapter 4
About Optimizer Components
4-10

The following snippet from an optimizer trace file shows some computations that the
optimizer performs:
GENERAL PLANS
***************************************
Considering cardinality-based initial join order.
Permutations for Starting Table :0
Join order[1]: DEPARTMENTS[D]#0 EMPLOYEES[E]#1
***************
Now joining: EMPLOYEES[E]#1
***************
NL Join
Outer table: Card: 27.00 Cost: 2.01 Resp: 2.01 Degree: 1 Bytes: 16
Access path analysis for EMPLOYEES
. . .
Best NL cost: 13.17
. . .
SM Join
SM cost: 6.08
resc: 6.08 resc_io: 4.00 resc_cpu: 2501688
resp: 6.08 resp_io: 4.00 resp_cpu: 2501688
. . .
SM Join (with index on outer)
Access Path: index (FullScan)
. . .
HA Join
HA cost: 4.57
resc: 4.57 resc_io: 4.00 resc_cpu: 678154
resp: 4.57 resp_io: 4.00 resp_cpu: 678154
Best:: JoinMethod: Hash
Cost: 4.57 Degree: 1 Resp: 4.57 Card: 106.00 Bytes: 27
. . .
***********************
Join order[2]: EMPLOYEES[E]#1 DEPARTMENTS[D]#0
. . .
***************
Now joining: DEPARTMENTS[D]#0
***************
. . .
HA Join
HA cost: 4.58
resc: 4.58 resc_io: 4.00 resc_cpu: 690054
resp: 4.58 resp_io: 4.00 resp_cpu: 690054
Join order aborted: cost > best plan cost
***********************
The trace file shows the optimizer first trying the
departments
table as the outer table in
the join. The optimizer calculates the cost for three different join methods: nested
loops join (NL), sort merge (SM), and hash join (HA). The optimizer picks the hash join
as the most efficient method:
Best:: JoinMethod: Hash
Cost: 4.57 Degree: 1 Resp: 4.57 Card: 106.00 Bytes: 27
The optimizer then tries a different join order, using
employees
as the outer table. This
join order costs more than the previous join order, so it is abandoned.
Chapter 4
About Optimizer Components
4-11

The optimizer uses an internal cutoff to reduce the number of plans it tries when
finding the lowest-cost plan. The cutoff is based on the cost of the current best plan. If
the current best cost is large, then the optimizer explores alternative plans to find a
lower cost plan. If the current best cost is small, then the optimizer ends the search
swiftly because further cost improvement is not significant.
4.3 About Automatic Tuning Optimizer
The optimizer performs different operations depending on how it is invoked.
The database provides the following types of optimization:
•Normal optimization
The optimizer compiles the SQL and generates an execution plan. The normal
mode generates a reasonable plan for most SQL statements. Under normal mode,
the optimizer operates with strict time constraints, usually a fraction of a second,
during which it must find an optimal plan.
•SQL Tuning Advisor optimization
When SQL Tuning Advisor invokes the optimizer, the optimizer is known as
Automatic Tuning Optimizer. In this case, the optimizer performs additional
analysis to further improve the plan produced in normal mode. The optimizer
output is not an execution plan, but a series of actions, along with their rationale
and expected benefit for producing a significantly better plan.
4.4 About Adaptive Query Optimization
In Oracle Database, adaptive query optimization enables the optimizer to make run-
time adjustments to execution plans and discover additional information that can lead
to better statistics.
Adaptive optimization is helpful when existing statistics are not sufficient to generate
an optimal plan. The following graphic shows the feature set for adaptive query
optimization.
Figure 4-6 Adaptive Query Optimization
Adaptive
Statistics
SQL Plan
Directives
Dynamic
Statistics
Automatic
Reoptimization
Bitmap
Index Pruning
Join
Methods
Parallel
Distribution
Methods
Adaptive
Plans
Adaptive Query
Optimization
Chapter 4
About Automatic Tuning Optimizer
4-12

This section contains the following topics:
•Adaptive Query Plans
An adaptive query plan enables the optimizer to make a plan decision for a
statement during execution.
•Adaptive Statistics
The optimizer can use adaptive statistics when query predicates are too complex
to rely on base table statistics alone. By default, adaptive statistics are disabled
(
OPTIMIZER_ADAPTIVE_STATISTICS
is
false
).
4.4.1 Adaptive Query Plans
An adaptive query plan enables the optimizer to make a plan decision for a
statement during execution.
Adaptive query plans enable the optimizer to fix some classes of problems at run time.
Adaptive plans are enabled by default.
This section contains the following topics:
•About Adaptive Query Plans
An adaptive query plan contains multiple predetermined subplans, and an
optimizer statistics collector. Based on the statistics collected during execution, the
dynamic plan coordinator chooses the best plan at run time.
•Purpose of Adaptive Query Plans
The ability of the optimizer to adapt a plan, based on statistics obtained during
execution, can greatly improve query performance.
•How Adaptive Query Plans Work
For the first execution of a statement, the optimizer uses the default plan, and then
stores an adaptive plan. The database uses the adaptive plan for subsequent
executions unless specific conditions are met.
•When Adaptive Query Plans Are Enabled
Adaptive query plans are enabled by default.
4.4.1.1 About Adaptive Query Plans
An adaptive query plan contains multiple predetermined subplans, and an optimizer
statistics collector. Based on the statistics collected during execution, the dynamic plan
coordinator chooses the best plan at run time.
Dynamic Plans
To change plans at runtime, adaptive query plans use a dynamic plan, which is
represented as a set of subplan groups. A subplan group is a set of subplans. A
subplan is a portion of a plan that the optimizer can switch to as an alternative at run
time. For example, a nested loops join could switch to a hash join during execution.
The optimizer decides which subplan to use at run time. When notified of a new
statistic value relevant to a subplan group, the coordinator dispatches it to the handler
function for this subgroup.
Chapter 4
About Adaptive Query Optimization
4-13

Figure 4-7 Dynamic Plan Coordinator
Dynamic Plan
Subplan Group
Subplan
Subplan
GB
HJ
HJ
GB
NL
NL
Subplan Group
Subplan
Subplan
GB
HJ
HJ
GB
NL
NL
Dynamic Plan
Coordinator
Optimizer Statistics Collector
An optimizer statistics collector is a row source inserted into a plan at key points to
collect run-time statistics relating to cardinality and histograms. These statistics help
the optimizer make a final decision between multiple subplans. The collector also
supports optional buffering up to an internal threshold.
For parallel buffering statistics collectors, each parallel execution server collects the
statistics, which the parallel query coordinator aggregates and then sends to the
clients. In this context, a client is a consumer of the collected statistics, such as a
dynamic plan. Each client specifies a callback function to be executed on each parallel
server or on the query coordinator.
4.4.1.2 Purpose of Adaptive Query Plans
The ability of the optimizer to adapt a plan, based on statistics obtained during
execution, can greatly improve query performance.
Adaptive query plans are useful because the optimizer occasionally picks a suboptimal
default plan because of a cardinality misestimate. The ability of the optimizer to pick
the best plan at run time based on actual execution statistics results in a more optimal
final plan. After choosing the final plan, the optimizer uses it for subsequent
executions, thus ensuring that the suboptimal plan is not reused.
4.4.1.3 How Adaptive Query Plans Work
For the first execution of a statement, the optimizer uses the default plan, and then
stores an adaptive plan. The database uses the adaptive plan for subsequent
executions unless specific conditions are met.
During the first execution of a statement, the database performs the following steps:
1. The database begins executing the statement using the default plan.
2. The statistics collector gathers information about the in-progress execution, and
buffers some rows received by the subplan.
For parallel buffering statistics collectors, each slave process collects the statistics,
which the query coordinator aggregates before sending to the clients.
Chapter 4
About Adaptive Query Optimization
4-14

3. Based on the statistics gathered by the collector, the optimizer chooses a subplan.
The dynamic plan coordinator decides which subplan to use at runtime for all such
subplan groups. When notified of a new statistic value relevant to a subplan group,
the coordinator dispatches it to the handler function for this subgroup.
4. The collector stops collecting statistics and buffering rows, permitting rows to pass
through instead.
5. The database stores the adaptive plan in the child cursor, so that the next
execution of the statement can use it.
On subsequent executions of the child cursor, the optimizer continues to use the same
adaptive plan unless one of the following conditions is true, in which case it picks a
new plan for the current execution:
•The current plan ages out of the shared pool.
•A different optimizer feature (for example, adaptive cursor sharing or statistics
feedback) invalidates the current plan.
This section contains the following topics:
•Adaptive Query Plans: Join Method Example
This example shows how the optimizer can choose a different plan based on
information collected at runtime.
•Adaptive Query Plans: Parallel Distribution Methods
Typically, parallel execution requires data redistribution to perform operations such
as parallel sorts, aggregations, and joins.
•Adaptive Query Plans: Bitmap Index Pruning
Adaptive plans prune indexes that do not significantly reduce the number of
matched rows.
4.4.1.3.1 Adaptive Query Plans: Join Method Example
This example shows how the optimizer can choose a different plan based on
information collected at runtime.
The following query shows a join of the
order_items
and
prod_info
tables.
SELECT product_name
FROM order_items o, prod_info p
WHERE o.unit_price = 15
AND quantity > 1
AND p.product_id = o.product_id
An adaptive query plan for this statement shows two possible plans, one with a nested
loops join and the other with a hash join:
SELECT * FROM TABLE(DBMS_XPLAN.display_cursor(FORMAT => 'ADAPTIVE'));
SQL_ID 7hj8dwwy6gm7p, child number 0
-------------------------------------
SELECT product_name FROM order_items o, prod_info p WHERE
o.unit_price = 15 AND quantity > 1 AND p.product_id = o.product_id
Plan hash value: 1553478007
-----------------------------------------------------------------------------
| Id | Operation | Name |Rows|Bytes|Cost (%CPU)|Time|
Chapter 4
About Adaptive Query Optimization
4-15

-----------------------------------------------------------------------------
| 0| SELECT STATEMENT | | | |7(100)| |
| * 1| HASH JOIN | |4| 128 | 7 (0)|00:00:01|
|- 2| NESTED LOOPS | |4| 128 | 7 (0)|00:00:01|
|- 3| NESTED LOOPS | |4| 128 | 7 (0)|00:00:01|
|- 4| STATISTICS COLLECTOR | | | | | |
| * 5| TABLE ACCESS FULL | ORDER_ITEMS |4| 48 | 3 (0)|00:00:01|
|-* 6| INDEX UNIQUE SCAN | PROD_INFO_PK |1| | 0 (0)| |
|- 7| TABLE ACCESS BY INDEX ROWID| PROD_INFO |1| 20 | 1 (0)|00:00:01|
| 8| TABLE ACCESS FULL | PROD_INFO |1| 20 | 1 (0)|00:00:01|
-----------------------------------------------------------------------------
Predicate Information (identified by operation id):
---------------------------------------------------
1 - access("P"."PRODUCT_ID"="O"."PRODUCT_ID")
5 - filter(("O"."UNIT_PRICE"=15 AND "QUANTITY">1))
6 - access("P"."PRODUCT_ID"="O"."PRODUCT_ID")
Note
-----
- this is an adaptive plan (rows marked '-' are inactive)
A nested loops join is preferable if the database can avoid scanning a significant
portion of
prod_info
because its rows are filtered by the join predicate. If few rows are
filtered, however, then scanning the right table in a hash join is preferable.
The following graphic shows the adaptive process. For the query in the preceding
example, the adaptive portion of the default plan contains two subplans, each of which
uses a different join method. The optimizer automatically determines when each join
method is optimal, depending on the cardinality of the left side of the join.
The statistics collector buffers enough rows coming from the
order_items
table to
determine which join method to use. If the row count is below the threshold determined
by the optimizer, then the optimizer chooses the nested loops join; otherwise, the
optimizer chooses the hash join. In this case, the row count coming from the
order_items
table is above the threshold, so the optimizer chooses a hash join for the
final plan, and disables buffering.
Chapter 4
About Adaptive Query Optimization
4-16

Figure 4-8 Adaptive Join Methods
Nested
Loops
Statistics
Collector
Table scan
order_items
Index scan
prod_info_pk
Hash
Join
Table scan
prod_info
Default plan is a nested loops join
The optimizer buffers rows coming from the order_items table
up to a point. If the row count is less than the threshold,
then use a nested loops join. Otherwise,
switch to a hash join.
Nested
Loops
Statistics
Collector
Table scan
order_items
Index scan
prod_info_pk
Hash
Join
Table scan
prod_info
Final plan is a hash join
The optimizer disables the statistics collector after making the decision,
and lets the rows pass through.
Threshold exceeded,
so subplan switches
The
Note
section of the execution plan indicates whether the plan is adaptive, and
which rows in the plan are inactive.
4.4.1.3.2 Adaptive Query Plans: Parallel Distribution Methods
Typically, parallel execution requires data redistribution to perform operations such as
parallel sorts, aggregations, and joins.
Oracle Database can use many different data distributions methods. The database
chooses the method based on the number of rows to be distributed and the number of
parallel server processes in the operation.
For example, consider the following alternative cases:
Chapter 4
About Adaptive Query Optimization
4-17

•Many parallel server processes distribute few rows.
The database may choose the broadcast distribution method. In this case, each
parallel server process receives each row in the result set.
•Few parallel server processes distribute many rows.
If a data skew is encountered during the data redistribution, then it could adversely
affect the performance of the statement. The database is more likely to pick a
hash distribution to ensure that each parallel server process receives an equal
number of rows.
The hybrid hash distribution technique is an adaptive parallel data distribution that
does not decide the final data distribution method until execution time. The optimizer
inserts statistic collectors in front of the parallel server processes on the producer side
of the operation. If the number of rows is less than a threshold, defined as twice the
degree of parallelism (DOP), then the data distribution method switches from hash to
broadcast. Otherwise, the distribution method is a hash.
Broadcast Distribution
The following graphic depicts a hybrid hash join between the
departments
and
employees
tables, with a query coordinator directing 8 parallel server processes: P5-P8
are producers, whereas P1-P4 are consumers. Each producer has its own consumer.
Figure 4-9 Adaptive Query with DOP of 4
departments
employees
P1 P2 P3 P4
P5
P6
P7
P8
Statistics collector
threshold is 2X
the DOP
The number of rows
returned is below
threshold, so optimizer
chooses broadcast
method.
Query
Coordinator
1
2
3
4
The database inserts a statistics collector in front of each producer process scanning
the
departments
table. The query coordinator aggregates the collected statistics. The
distribution method is based on the run-time statistics. In Figure 4-9, the number of
Chapter 4
About Adaptive Query Optimization
4-18

rows is below the threshold (8), which is twice the DOP (4), so the optimizer chooses a
broadcast technique for the
departments
table.
Hybrid Hash Distribution
Consider an example that returns a greater number of rows. In the following plan, the
threshold is 8, or twice the specified DOP of 4. However, because the statistics
collector (Step 10) discovers that the number of rows (27) is greater than the threshold
(8), the optimizer chooses a hybrid hash distribution rather than a broadcast
distribution. (The time column should show
00:00:01
, but shows
0:01
so the plan can fit
the page.)
EXPLAIN PLAN FOR
SELECT /*+ parallel(4) full(e) full(d) */ department_name, sum(salary)
FROM employees e, departments d
WHERE d.department_id=e.department_id
GROUP BY department_name;
Plan hash value: 2940813933
-----------------------------------------------------------------------------------------------
|Id|Operation | Name |Rows|Bytes|Cost |Time| TQ |IN-OUT|PQ Distrib|
-----------------------------------------------------------------------------------------------
| 0|SELECT STATEMENT |DEPARTMENTS| 27|621 |6(34)|0:01| | | |
| 1| PX COORDINATOR | | | | | | | | |
| 2| PX SEND QC (RANDOM) | :TQ10003 | 27|621 |6(34)|0:01|Q1,03|P->S| QC (RAND) |
| 3| HASH GROUP BY | | 27|621 |6(34)|0:01|Q1,03|PCWP| |
| 4| PX RECEIVE | | 27|621 |6(34)|0:01|Q1,03|PCWP| |
| 5| PX SEND HASH | :TQ10002 | 27|621 |6(34)|0:01|Q1,02|P->P| HASH |
| 6| HASH GROUP BY | | 27|621 |6(34)|0:01|Q1,02|PCWP| |
|*7| HASH JOIN | |106|2438|5(20)|0:01|Q1,02|PCWP| |
| 8| PX RECEIVE | | 27|432 |2 (0)|0:01|Q1,02|PCWP| |
| 9| PX SEND HYBRID HASH | :TQ10000 | 27|432 |2 (0)|0:01|Q1,00|P->P|HYBRID HASH|
|10| STATISTICS COLLECTOR | | | | | |Q1,00|PCWC| |
|11| PX BLOCK ITERATOR | | 27|432 |2 (0)|0:01|Q1,00|PCWC| |
|12| TABLE ACCESS FULL |DEPARTMENTS| 27|432 |2 (0)|0:01|Q1,00|PCWP| |
|13| PX RECEIVE | |107|749 |2 (0)|0:01|Q1,02|PCWP| |
|14| PX SEND HYBRID HASH (SKEW)| :TQ10001 |107|749 |2 (0)|0:01|Q1,01|P->P|HYBRID HASH|
|15| PX BLOCK ITERATOR | |107|749 |2 (0)|0:01|Q1,01|PCWC| |
|16| TABLE ACCESS FULL | EMPLOYEES |107|749 |2 (0)|0:01|Q1,01|PCWP| |
-----------------------------------------------------------------------------------------------
Predicate Information (identified by operation id):
---------------------------------------------------
7 - access("D"."DEPARTMENT_ID"="E"."DEPARTMENT_ID")
Note
-----
- Degree of Parallelism is 4 because of hint
32 rows selected.
4.4.1.3.3 Adaptive Query Plans: Bitmap Index Pruning
Adaptive plans prune indexes that do not significantly reduce the number of matched
rows.
When the optimizer generates a star transformation plan, it must choose the right
combination of bitmap indexes to reduce the relevant set of rowids as efficiently as
Chapter 4
About Adaptive Query Optimization
4-19

possible. If many indexes exist, some indexes might not reduce the rowid set
substantially, but nevertheless introduce significant processing cost during query
execution. Adaptive plans can solve this problem by not using indexes that degrade
performance.
Example 4-2 Bitmap Index Pruning
In this example, you issue the following star query, which joins the
cars
fact table with
multiple dimension tables (sample output included):
SELECT /*+ star_transformation(r) */ l.color_name, k.make_name,
h.filter_col, count(*)
FROM cars r, colors l, makes k, models d, hcc_tab h
WHERE r.make_id = k.make_id
AND r.color_id = l.color_id
AND r.model_id = d.model_id
AND r.high_card_col = h.high_card_col
AND d.model_name = 'RAV4'
AND k.make_name = 'Toyota'
AND l.color_name = 'Burgundy'
AND h.filter_col = 100
GROUP BY l.color_name, k.make_name, h.filter_col;
COLOR_NA MAKE_N FILTER_COL COUNT(*)
-------- ------ ---------- ----------
Burgundy Toyota 100 15000
The following sample execution plan shows that the query generated no rows for the
bitmap node in Step 12 and Step 17. The adaptive optimizer determined that filtering
rows by using the
CAR_MODEL_IDX
and
CAR_MAKE_IDX
indexes was inefficient. The query
did not use the steps in the plan that begin with a dash (
-
).
-----------------------------------------------------------
| Id | Operation | Name |
-----------------------------------------------------------
| 0 | SELECT STATEMENT | |
| 1 | SORT GROUP BY NOSORT | |
| 2 | HASH JOIN | |
| 3 | VIEW | VW_ST_5497B905 |
| 4 | NESTED LOOPS | |
| 5 | BITMAP CONVERSION TO ROWIDS | |
| 6 | BITMAP AND | |
| 7 | BITMAP MERGE | |
| 8 | BITMAP KEY ITERATION | |
| 9 | TABLE ACCESS FULL | COLORS |
| 10 | BITMAP INDEX RANGE SCAN | CAR_COLOR_IDX |
|- 11 | STATISTICS COLLECTOR | |
|- 12 | BITMAP MERGE | |
|- 13 | BITMAP KEY ITERATION | |
|- 14 | TABLE ACCESS FULL | MODELS |
|- 15 | BITMAP INDEX RANGE SCAN | CAR_MODEL_IDX |
|- 16 | STATISTICS COLLECTOR | |
|- 17 | BITMAP MERGE | |
|- 18 | BITMAP KEY ITERATION | |
|- 19 | TABLE ACCESS FULL | MAKES |
|- 20 | BITMAP INDEX RANGE SCAN | CAR_MAKE_IDX |
| 21 | TABLE ACCESS BY USER ROWID | CARS |
| 22 | MERGE JOIN CARTESIAN | |
| 23 | MERGE JOIN CARTESIAN | |
| 24 | MERGE JOIN CARTESIAN | |
Chapter 4
About Adaptive Query Optimization
4-20

| 25 | TABLE ACCESS FULL | MAKES |
| 26 | BUFFER SORT | |
| 27 | TABLE ACCESS FULL | MODELS |
| 28 | BUFFER SORT | |
| 29 | TABLE ACCESS FULL | COLORS |
| 30 | BUFFER SORT | |
| 31 | TABLE ACCESS FULL | HCC_TAB |
-----------------------------------------------------------
Note
-----
- dynamic statistics used: dynamic sampling (level=2)
- star transformation used for this statement
- this is an adaptive plan (rows marked '-' are inactive)
4.4.1.4 When Adaptive Query Plans Are Enabled
Adaptive query plans are enabled by default.
Adaptive plans are enabled when the following initialization parameters are set:
•
OPTIMIZER_ADAPTIVE_PLANS
is
TRUE
(default)
•
OPTIMIZER_FEATURES_ENABLE
is
12.1.0.1
or later
•
OPTIMIZER_ADAPTIVE_REPORTING_ONLY
is
FALSE
(default)
Adaptive plans control the following optimizations:
•Nested loops and hash join selection
•Star transformation bitmap pruning
•Adaptive parallel distribution method
4.4.2 Adaptive Statistics
The optimizer can use adaptive statistics when query predicates are too complex to
rely on base table statistics alone. By default, adaptive statistics are disabled
(
OPTIMIZER_ADAPTIVE_STATISTICS
is
false
).
The following topics describe types of adaptive statistics:
•Dynamic Statistics
Dynamic statistics are an optimization technique in which the database executes
a recursive SQL statement to scan a small random sample of a table's blocks to
estimate predicate cardinalities.
•Automatic Reoptimization
In automatic reoptimization, the optimizer changes a plan on subsequent
executions after the initial execution.
•SQL Plan Directives
A SQL plan directive is additional information that the optimizer uses to generate
a more optimal plan.
•When Adaptive Statistics Are Enabled
Adaptive statistics are disabled by default.
Chapter 4
About Adaptive Query Optimization
4-21

4.4.2.1 Dynamic Statistics
Dynamic statistics are an optimization technique in which the database executes a
recursive SQL statement to scan a small random sample of a table's blocks to
estimate predicate cardinalities.
During SQL compilation, the optimizer decides whether to use dynamic statistics by
considering whether available statistics are sufficient to generate an optimal plan. If
the available statistics are insufficient, then the optimizer uses dynamic statistics to
augment the statistics. To improve the quality of optimizer decisions, the optimizer can
use dynamic statistics for table scans, index access, joins, and
GROUP BY
operations.
4.4.2.2 Automatic Reoptimization
In automatic reoptimization, the optimizer changes a plan on subsequent executions
after the initial execution.
Adaptive query plans are not feasible for all kinds of plan changes. For example, a
query with an inefficient join order might perform suboptimally, but adaptive query
plans do not support adapting the join order during execution. At the end of the first
execution of a SQL statement, the optimizer uses the information gathered during
execution to determine whether automatic reoptimization has a cost benefit. If
execution information differs significantly from optimizer estimates, then the optimizer
looks for a replacement plan on the next execution.
The optimizer uses the information gathered during the previous execution to help
determine an alternative plan. The optimizer can reoptimize a query several times,
each time gathering additional data and further improving the plan.
Automatic reoptimization takes the following forms:
•Reoptimization: Statistics Feedback
A form of reoptimization known as statistics feedback (formerly known as
cardinality feedback) automatically improves plans for repeated queries that have
cardinality misestimates.
•Reoptimization: Performance Feedback
Another form of reoptimization is performance feedback. This reoptimization helps
improve the degree of parallelism automatically chosen for repeated SQL
statements when
PARALLEL_DEGREE_POLICY
is set to
ADAPTIVE
.
4.4.2.2.1 Reoptimization: Statistics Feedback
A form of reoptimization known as statistics feedback (formerly known as cardinality
feedback) automatically improves plans for repeated queries that have cardinality
misestimates.
The optimizer can estimate cardinalities incorrectly for many reasons, such as missing
statistics, inaccurate statistics, or complex predicates. The basic process of
reoptimization using statistics feedback is as follows:
1. During the first execution of a SQL statement, the optimizer generates an
execution plan.
The optimizer may enable monitoring for statistics feedback for the shared SQL
area in the following cases:
Chapter 4
About Adaptive Query Optimization
4-22

•Tables with no statistics
•Multiple conjunctive or disjunctive filter predicates on a table
•Predicates containing complex operators for which the optimizer cannot
accurately compute selectivity estimates
2. At the end of the first execution, the optimizer compares its initial cardinality
estimates to the actual number of rows returned by each operation in the plan
during execution.
If estimates differ significantly from actual cardinalities, then the optimizer stores
the correct estimates for subsequent use. The optimizer also creates a SQL plan
directive so that other SQL statements can benefit from the information obtained
during this initial execution.
3. If the query executes again, then the optimizer uses the corrected cardinality
estimates instead of its usual estimates.
The
OPTIMIZER_ADAPTIVE_STATISTICS
initialization parameter does not control all features
of automatic reoptimization. Specifically, this parameter controls statistics feedback for
join cardinality only in the context of automatic reoptimization. For example, setting
OPTIMIZER_ADAPTIVE_STATISTICS
to
FALSE
disables statistics feedback for join cardinality
misestimates, but it does not disable statistics feedback for single-table cardinality
misestimates.
Example 4-3 Statistics Feedback
This example shows how the database uses statistics feedback to adjust incorrect
estimates.
1. The user
oe
runs the following query of the
orders
,
order_items
, and
product_information
tables:
SELECT o.order_id, v.product_name
FROM orders o,
( SELECT order_id, product_name
FROM order_items o, product_information p
WHERE p.product_id = o.product_id
AND list_price < 50
AND min_price < 40 ) v
WHERE o.order_id = v.order_id
2. Querying the plan in the cursor shows that the estimated rows (
E-Rows
) is far fewer
than the actual rows (
A-Rows
).
--------------------------------------------------------------------------------------------------
| Id | Operation | Name |Starts|E-Rows|A-Rows|A-Time|Buffers|OMem|1Mem|O/1/M|
--------------------------------------------------------------------------------------------------
| 0| SELECT STATEMENT | | 1| | 269 |00:00:00.14|1338| | | |
| 1| NESTED LOOPS | | 1| 1 | 269 |00:00:00.14|1338| | | |
| 2| MERGE JOIN CARTESIAN| | 1| 4 |9135 |00:00:00.05| 33| | | |
|*3| TABLE ACCESS FULL |PRODUCT_INFORMATION| 1| 1 | 87 |00:00:00.01| 32| | | |
| 4| BUFFER SORT | | 87| 105 |9135 |00:00:00.02| 1|4096|4096|1/0/0|
| 5| INDEX FULL SCAN |ORDER_PK | 1| 105 | 105 |00:00:00.01| 1| | | |
|*6| INDEX UNIQUE SCAN |ORDER_ITEMS_UK |9135| 1 | 269 |00:00:00.04|1305| | | |
--------------------------------------------------------------------------------------------------
Predicate Information (identified by operation id):
---------------------------------------------------
3 - filter(("MIN_PRICE"<40 AND "LIST_PRICE"<50))
6 - access("O"."ORDER_ID"="ORDER_ID" AND "P"."PRODUCT_ID"="O"."PRODUCT_ID")
Chapter 4
About Adaptive Query Optimization
4-23

3. The user
oe
reruns the query in Step 1.
4. Querying the plan in the cursor shows that the optimizer used statistics feedback
(shown in the
Note
) for the second execution, and also chose a different plan.
--------------------------------------------------------------------------------------------------
|Id | Operation | Name | Starts |E-Rows|A-Rows|A-Time|Buffers|Reads|OMem|1Mem|O/1/M|
--------------------------------------------------------------------------------------------------
| 0| SELECT STATEMENT | | 1| | 269 |00:00:00.05|60|1| | | |
| 1| NESTED LOOPS | | 1|269| 269 |00:00:00.05|60|1| | | |
|*2| HASH JOIN | | 1|313| 269 |00:00:00.05|39|1|1398K|1398K|1/0/0|
|*3| TABLE ACCESS FULL |PRODUCT_INFORMATION| 1| 87| 87 |00:00:00.01|15|0| | | |
| 4| INDEX FAST FULL SCAN|ORDER_ITEMS_UK | 1|665| 665 |00:00:00.01|24|1| | | |
|*5| INDEX UNIQUE SCAN |ORDER_PK |269| 1| 269 |00:00:00.01|21|0| | | |
--------------------------------------------------------------------------------------------------
Predicate Information (identified by operation id):
---------------------------------------------------
2 - access("P"."PRODUCT_ID"="O"."PRODUCT_ID")
3 - filter(("MIN_PRICE"<40 AND "LIST_PRICE"<50))
5 - access("O"."ORDER_ID"="ORDER_ID")
Note
-----
- statistics feedback used for this statement
In the preceding output, the estimated number of rows (
269
) in Step 1 matches the
actual number of rows.
4.4.2.2.2 Reoptimization: Performance Feedback
Another form of reoptimization is performance feedback. This reoptimization helps
improve the degree of parallelism automatically chosen for repeated SQL statements
when
PARALLEL_DEGREE_POLICY
is set to
ADAPTIVE
.
The basic process of reoptimization using performance feedback is as follows:
1. During the first execution of a SQL statement, when
PARALLEL_DEGREE_POLICY
is set
to
ADAPTIVE
, the optimizer determines whether to execute the statement in parallel,
and if so, which degree of parallelism to use.
The optimizer chooses the degree of parallelism based on the estimated
performance of the statement. Additional performance monitoring is enabled for all
statements.
2. At the end of the initial execution, the optimizer compares the following:
•The degree of parallelism chosen by the optimizer
•The degree of parallelism computed based on the performance statistics (for
example, the CPU time) gathered during the actual execution of the statement
If the two values vary significantly, then the database marks the statement for
reparsing, and stores the initial execution statistics as feedback. This feedback
helps better compute the degree of parallelism for subsequent executions.
3. If the query executes again, then the optimizer uses the performance statistics
gathered during the initial execution to better determine a degree of parallelism for
the statement.
Chapter 4
About Adaptive Query Optimization
4-24

Note:
Even if
PARALLEL_DEGREE_POLICY
is not set to
ADAPTIVE
, statistics feedback may
influence the degree of parallelism chosen for a statement.
4.4.2.3 SQL Plan Directives
A SQL plan directive is additional information that the optimizer uses to generate a
more optimal plan.
The directive is a “note to self” by the optimizer that it is misestimating cardinalities of
certain types of predicates, and also a reminder to
DBMS_STATS
to gather statistics
needed to correct the misestimates in the future.
For example, during query optimization, when deciding whether the table is a
candidate for dynamic statistics, the database queries the statistics repository for
directives on a table. If the query joins two tables that have a data skew in their join
columns, then a SQL plan directive can direct the optimizer to use dynamic statistics to
obtain an accurate cardinality estimate.
The optimizer collects SQL plan directives on query expressions rather than at the
statement level so that it can apply directives to multiple SQL statements. The
optimizer not only corrects itself, but also records information about the mistake, so
that the database can continue to correct its estimates even after a query—and any
similar query—is flushed from the shared pool.
The database automatically creates directives, and stores them in the
SYSAUX
tablespace. You can alter, save to disk, and transport directives using the PL/SQL
package
DBMS_SPD
.
4.4.2.4 When Adaptive Statistics Are Enabled
Adaptive statistics are disabled by default.
Adaptive statistics are enabled when the following initialization parameters are set:
•
OPTIMIZER_ADAPTIVE_STATISTICS
is
TRUE
(the default is
FALSE
)
•
OPTIMIZER_FEATURES_ENABLE
is
12.1.0.1
or later
Setting
OPTIMIZER_ADAPTIVE_STATISTICS
to
TRUE
enables the following features:
•SQL plan directives
•Statistics feedback for join cardinality
•Adaptive dynamic sampling
Note:
Setting
OPTIMIZER_ADAPTIVE_STATISTICS
to
FALSE
preserves statistics feedback
for single-table cardinality misestimates.
Chapter 4
About Adaptive Query Optimization
4-25

4.5 About Approximate Query Processing
Approximate query processing is a set of optimization techniques that speed
analytic queries by calculating results within an acceptable range of error.
Business intelligence (BI) queries heavily rely on sorts that involve aggregate functions
such as
COUNT DISTINCT
,
SUM
,
RANK
, and
MEDIAN
. For example, an application generates
reports showing how many distinct customers are logged on, or which products were
most popular last week. It is not uncommon for BI applications to have the following
requirements:
•Queries must be able to process data sets that are orders of magnitude larger
than in traditional data warehouses.
For example, the daily volumes of web logs of a popular website can reach tens or
hundreds of terabytes a day.
•Queries must provide near real-time response.
For example, a company requires quick detection and response to credit card
fraud.
•Explorative queries of large data sets must be fast.
For example, a user might want to find out a list of departments whose sales have
approximately reached a specific threshold. A user would form targeted queries on
these departments to find more detailed information, such as the exact sales
number, the locations of these departments, and so on.
For large data sets, exact aggregation queries consume extensive memory, often
spilling to temp space, and can be unacceptably slow. Applications are often more
interested in a general pattern than exact results, so customers are willing to sacrifice
exactitude for speed. For example, if the goal is to show a bar chart depicting the most
popular products, then whether a product sold 1 million units or .999 million units is
statistically insignificant.
Oracle Database implements its solution through approximate query processing.
Typically, the accuracy of the approximate aggregation is over 97% (with 95%
confidence), but the processing time is orders of magnitude faster. The database uses
less CPU, and avoids the I/O cost of writing to temp files.
•Approximate Query Initialization Parameters
You can implement approximate query processing without changing existing code
by using the
APPROX_FOR_*
initialization parameters.
•Approximate Query SQL Functions
Approximate query processing uses SQL functions to provide real-time responses
to explorative queries where approximations are acceptable.
See Also:
"NDV Algorithms: Adaptive Sampling and HyperLogLog"
Chapter 4
About Approximate Query Processing
4-26

4.5.1 Approximate Query Initialization Parameters
You can implement approximate query processing without changing existing code by
using the
APPROX_FOR_*
initialization parameters.
Set these parameters at the database or session level. The following table describes
initialization parameters and SQL functions relevant to approximation techniques.
Table 4-2 Approximate Query Initialization Parameters
Initialization Parameter Default Description See Also
APPROX_FOR_AGGREGATION FALSE
Enables (
TRUE
) or disables (
FALSE
)
approximate query processing. This
parameter acts as an umbrella parameter
for enabling the use of functions that
return approximate results.
Oracle
Database
Reference
APPROX_FOR_COUNT_DISTINCT FALSE
Converts
COUNT(DISTINCT)
to
APPROX_COUNT_DISTINCT
.
Oracle
Database
Reference
APPROX_FOR_PERCENTILE none
Converts eligible exact percentile
functions to their
APPROX_PERCENTILE_*
counterparts.
Oracle
Database
Reference
4.5.2 Approximate Query SQL Functions
Approximate query processing uses SQL functions to provide real-time responses to
explorative queries where approximations are acceptable.
The following table describes SQL functions that return approximate results.
Chapter 4
About Approximate Query Processing
4-27

Table 4-3 Approximate Query User Interface
SQL Function Description See Also
APPROX_COUNT
Calculates the approximate top n most common
values when used with the
APPROX_RANK
function.
Returns the approximate count of an expression. If
you supply
MAX_ERROR
as the second argument, then
the function returns the maximum error between the
actual and approximate count.
You must use this function with a corresponding
APPROX_RANK
function in the
HAVING
clause. If a query
uses
APPROX_COUNT
,
APPROX_SUM
, or
APPROX_RANK
, then
the query must not use any other non-approximate
aggregation functions.
The following query returns the 10 most common jobs
within every department:
SELECT department_id, job_id,
APPROX_COUNT(*)
FROM employees
GROUP BY department_id, job_id
HAVING
APPROX_RANK (
PARTITION BY department_id
ORDER BY APPROX_COUNT(*)
DESC ) <= 10;
Oracle Database SQL
Language Reference
APPROX_COUNT_DISTINCT
Returns the approximate number of rows that contain
distinct values of an expression.
Oracle Database SQL
Language Reference
APPROX_COUNT_DISTINCT_AGG
Aggregates the precomputed approximate count
distinct synopses to a higher level.
Oracle Database SQL
Language Reference
APPROX_COUNT_DISTINCT_DETAIL
Returns the synopses of the
APPROX_COUNT_DISTINCT
function as a BLOB.
The database can persist the returned result to disk
for further aggregation.
Oracle Database SQL
Language Reference
APPROX_MEDIAN
Accepts a numeric or date-time value, and returns an
approximate middle or approximate interpolated value
that would be the middle value when the values are
sorted.
This function provides an alternative to the
MEDIAN
function.
Oracle Database SQL
Language Reference
APPROX_PERCENTILE
Accepts a percentile value and a sort specification,
and returns an approximate interpolated value that
falls into that percentile value with respect to the sort
specification.
This function provides an alternative to the
PERCENTILE_CONT
function.
Oracle Database SQL
Language Reference
APPROX_RANK
Returns the approximate value in a group of values.
This function takes an optional
PARTITION BY
clause
followed by a mandatory
ORDER BY ... DESC
clause.
The
PARTITION BY
key must be a subset of the
GROUP
BY
key. The
ORDER BY
clause must include either
APPROX_COUNT
or
APPROX_SUM
.
Oracle Database SQL
Language Reference
Chapter 4
About Approximate Query Processing
4-28

Table 4-3 (Cont.) Approximate Query User Interface
SQL Function Description See Also
APPROX_SUM
Calculates the approximate top n accumulated values
when used with the
APPROX_RANK
function.
If you supply
MAX_ERROR
as the second argument, then
the function returns the maximum error between the
actual and approximate sum.
You must use this function with a corresponding
APPROX_RANK
function in the
HAVING
clause. If a query
uses
APPROX_COUNT
,
APPROX_SUM
, or
APPROX_RANK
, then
the query must not use any other non-approximate
aggregation functions.
The following query returns the 10 job types within
every department that have the highest aggregate
salary:
SELECT department_id, job_id,
APPROX_SUM(salary)
FROM employees
GROUP BY department_id, job_id
HAVING
APPROX_RANK (
PARTITION BY department_id
ORDER BY APPROX_SUM(salary)
DESC ) <= 10;
Note that
APPROX_SUM
returns an error when the input
is a negative number.
Oracle Database SQL
Language Reference
4.6 About SQL Plan Management
SQL plan management enables the optimizer to automatically manage execution
plans, ensuring that the database uses only known or verified plans.
SQL plan management can build a SQL plan baseline, which contains one or more
accepted plans for each SQL statement. The optimizer can access and manage the
plan history and SQL plan baselines of SQL statements. The main objectives are as
follows:
•Identify repeatable SQL statements
•Maintain plan history, and possibly SQL plan baselines, for a set of SQL
statements
•Detect plans that are not in the plan history
•Detect potentially better plans that are not in the SQL plan baseline
The optimizer uses the normal cost-based search method.
Chapter 4
About SQL Plan Management
4-29

4.7 About the Expression Statistics Store (ESS)
The Expression Statistics Store (ESS) is a repository maintained by the optimizer to
store statistics about expression evaluation.
When an IM column store is enabled, the database leverages the ESS for its In-
Memory Expressions (IM expressions) feature. However, the ESS is independent of
the IM column store. The ESS is a permanent component of the database and cannot
be disabled.
The database uses the ESS to determine whether an expression is “hot” (frequently
accessed), and thus a candidate for an IM expression. During a hard parse of a query,
the ESS looks for active expressions in the
SELECT
list,
WHERE
clause,
GROUP BY
clause,
and so on.
For each segment, the ESS maintains expression statistics such as the following:
•Frequency of execution
•Cost of evaluation
•Timestamp evaluation
The optimizer assigns each expression a weighted score based on cost and the
number of times it was evaluated. The values are approximate rather than exact. More
active expressions have higher scores. The ESS maintains an internal list of the most
frequently accessed expressions.
The ESS resides in the SGA and also persists on disk. The database saves the
statistics to disk every 15 minutes, or immediately using the
DBMS_STATS.FLUSH_DATABASE_MONITORING_INFO
procedure. The statistics are visible in the
DBA_EXPRESSION_STATISTICS
view.
Chapter 4
About the Expression Statistics Store (ESS)
4-30

5
Query Transformations
The optimizer employs many query transformation techniques. This chapter describes
some of the most important.
This chapter contains the following topics:
•OR Expansion
In
OR
expansion, the optimizer transforms a query block containing top-level
disjunctions into the form of a
UNION ALL
query that contains two or more branches.
•View Merging
In view merging, the optimizer merges the query block representing a view into
the query block that contains it.
•Predicate Pushing
In predicate pushing, the optimizer "pushes" the relevant predicates from the
containing query block into the view query block.
•Subquery Unnesting
In subquery unnesting, the optimizer transforms a nested query into an
equivalent join statement, and then optimizes the join.
•Query Rewrite with Materialized Views
A materialized view is a query result that the database materializes and stores in
a table.
•Star Transformation
Star transformation is an optimizer transformation that avoids full table scans of
fact tables in a star schema.
•In-Memory Aggregation (VECTOR GROUP BY)
The key optimization of in-memory aggregation is to aggregate while scanning.
•Cursor-Duration Temporary Tables
To materialize the intermediate results of a query, Oracle Database may implicitly
create a cursor-duration temporary table in memory during query compilation.
•Table Expansion
In table expansion, the optimizer generates a plan that uses indexes on the read-
mostly portion of a partitioned table, but not on the active portion of the table.
•Join Factorization
In the cost-based transformation known as join factorization, the optimizer can
factorize common computations from branches of a
UNION ALL
query.
5.1 OR Expansion
In
OR
expansion, the optimizer transforms a query block containing top-level
disjunctions into the form of a
UNION ALL
query that contains two or more branches.
The optimizer achieves this goal by splitting the disjunction into its components, and
then associating each component with a branch of a
UNION ALL
query. The optimizer
can choose
OR
expansion for various reasons. For example, it may enable more
5-1

efficient access paths or alternative join methods that avoid Cartesian products. As
always, the optimizer performs the expansion only if the cost of the transformed
statement is lower than the cost of the original statement.
In previous releases, the optimizer used the
CONCATENATION
operator to perform the
OR
expansion. Starting in Oracle Database 12c Release 2 (12.2), the optimizer uses the
UNION-ALL
operator instead. The framework provides the following enhancements:
•Enables interaction among various transformations
•Avoids sharing query structures
•Enables the exploration of various search strategies
•Provides the reuse of cost annotation
•Supports the standard SQL syntax
Example 5-1 Transformed Query: UNION ALL Condition
To prepare for this example, log in to the database as an administrator, execute the
following statements to add a unique constraint to the
hr.departments.department_name
column, and then add 100,000 rows to the
hr.employees
table:
ALTER TABLE hr.departments ADD CONSTRAINT department_name_uk UNIQUE
(department_name);
DELETE FROM hr.employees WHERE employee_id > 999;
DECLARE
v_counter NUMBER(7) := 1000;
BEGIN
FOR i IN 1..100000 LOOP
INSERT INTO hr.employees
VALUES (v_counter,null,'Doe','Doe' || v_counter || '@example.com',null,'07-
JUN-02','AC_ACCOUNT',null,null,null,50);
v_counter := v_counter + 1;
END LOOP;
END;
/
COMMIT;
EXEC DBMS_STATS.GATHER_TABLE_STATS ( ownname => 'hr', tabname => 'employees');
You then connect as the user
hr
, and execute the following query, which joins the
employees
and
departments
tables:
SELECT *
FROM employees e, departments d
WHERE (e.email='SSTILES' OR d.department_name='Treasury')
AND e.department_id = d.department_id;
Without
OR
expansion, the optimizer treats
e.email='SSTILES' OR
d.department_name='Treasury'
as a single unit. Consequently, the optimizer cannot use
the index on either the
e.email
or
d.department_name
column, and so performs a full
table scan of
employees
and
departments
.
With
OR
expansion, the optimizer breaks the disjunctive predicate into two independent
predicates, as shown in the following example:
SELECT *
FROM employees e, departments d
WHERE e.email = 'SSTILES'
AND e.department_id = d.department_id
UNION ALL
SELECT *
Chapter 5
OR Expansion
5-2

FROM employees e, departments d
WHERE d.department_name = 'Treasury'
AND e.department_id = d.department_id;
This transformation enables the
e.email
and
d.department_name
columns to serve as
index keys. Performance improves because the database filters data using two unique
indexes instead of two full table scans, as shown in the following execution plan:
Plan hash value: 2512933241
-----------------------------------------------------------------------------------------------
| Id| Operation | Name |Rows|Bytes|Cost(%CPU)|Time |
-----------------------------------------------------------------------------------------------
| 0 | SELECT STATEMENT | | | |122 (100)| |
| 1 | VIEW |VW_ORE_19FF4E3E |9102|1679K|122 (5) |00:00:01|
| 2 | UNION-ALL | | | | | |
| 3 | NESTED LOOPS | | 1 | 78 | 4 (0) |00:00:01|
| 4 | TABLE ACCESS BY INDEX ROWID | EMPLOYEES | 1 | 57 | 3 (0) |00:00:01|
|*5 | INDEX UNIQUE SCAN | EMP_EMAIL_UK | 1 | | 2 (0) |00:00:01|
| 6 | TABLE ACCESS BY INDEX ROWID | DEPARTMENTS | 1 | 21 | 1 (0) |00:00:01|
|*7 | INDEX UNIQUE SCAN | DEPT_ID_PK | 1 | | 0 (0) | |
| 8 | NESTED LOOPS | |9101| 693K|118 (5) |00:00:01|
| 9 | TABLE ACCESS BY INDEX ROWID | DEPARTMENTS | 1 | 21 | 1 (0) |00:00:01|
|*10| INDEX UNIQUE SCAN |DEPARTMENT_NAME_UK| 1 | | 0 (0) | |
|*11| TABLE ACCESS BY INDEX ROWID BATCHED| EMPLOYEES |9101| 506K|117 (5) |00:00:01|
|*12| INDEX RANGE SCAN |EMP_DEPARTMENT_IX |9101| | 35 (6) |00:00:01|
-----------------------------------------------------------------------------------------------
Predicate Information (identified by operation id):
---------------------------------------------------
5 - access("E"."EMAIL"='SSTILES')
7 - access("E"."DEPARTMENT_ID"="D"."DEPARTMENT_ID")
10 - access("D"."DEPARTMENT_NAME"='Treasury')
11 - filter(LNNVL("E"."EMAIL"='SSTILES'))
12 - access("E"."DEPARTMENT_ID"="D"."DEPARTMENT_ID")
35 rows selected.
5.2 View Merging
In view merging, the optimizer merges the query block representing a view into the
query block that contains it.
View merging can improve plans by enabling the optimizer to consider additional join
orders, access methods, and other transformations. For example, after a view has
been merged and several tables reside in one query block, a table inside a view may
permit the optimizer to use join elimination to remove a table outside the view.
For certain simple views in which merging always leads to a better plan, the optimizer
automatically merges the view without considering cost. Otherwise, the optimizer uses
cost to make the determination. The optimizer may choose not to merge a view for
many reasons, including cost or validity restrictions.
If
OPTIMIZER_SECURE_VIEW_MERGING
is
true
(default), then Oracle Database performs
checks to ensure that view merging and predicate pushing do not violate the security
intentions of the view creator. To disable these additional security checks for a specific
view, you can grant the
MERGE VIEW
privilege to a user for this view. To disable
Chapter 5
View Merging
5-3

additional security checks for all views for a specific user, you can grant the
MERGE ANY
VIEW
privilege to that user.
Note:
You can use hints to override view merging rejected because of cost or
heuristics, but not validity.
This section contains the following topics:
•Query Blocks in View Merging
The optimizer represents each nested subquery or unmerged view by a separate
query block.
•Simple View Merging
In simple view merging, the optimizer merges select-project-join views.
•Complex View Merging
In view merging, the optimizer merges views containing
GROUP BY
and
DISTINCT
views. Like simple view merging, complex merging enables the optimizer to
consider additional join orders and access paths.
See Also:
•Oracle Database SQL Language Reference for more information about
the
MERGE ANY VIEW
and
MERGE VIEW
privileges
•Oracle Database Reference for more information about the
OPTIMIZER_SECURE_VIEW_MERGING
initialization parameter
5.2.1 Query Blocks in View Merging
The optimizer represents each nested subquery or unmerged view by a separate
query block.
The database optimizes query blocks separately from the bottom up. Thus, the
database optimizes the innermost query block first, generates the part of the plan for it,
and then generates the plan for the outer query block, representing the entire query.
The parser expands each view referenced in a query into a separate query block. The
block essentially represents the view definition, and thus the result of a view. One
option for the optimizer is to analyze the view query block separately, generate a view
subplan, and then process the rest of the query by using the view subplan to generate
an overall execution plan. However, this technique may lead to a suboptimal execution
plan because the view is optimized separately.
View merging can sometimes improve performance. As shown in "Example 5-2", view
merging merges the tables from the view into the outer query block, removing the
inner query block. Thus, separate optimization of the view is not necessary.
Chapter 5
View Merging
5-4

5.2.2 Simple View Merging
In simple view merging, the optimizer merges select-project-join views.
For example, a query of the
employees
table contains a subquery that joins the
departments
and
locations
tables.
Simple view merging frequently results in a more optimal plan because of the
additional join orders and access paths available after the merge. A view may not be
valid for simple view merging because:
•The view contains constructs not included in select-project-join views, including:
–
GROUP BY
–
DISTINCT
–Outer join
–
MODEL
–
CONNECT BY
–Set operators
–Aggregation
•The view appears on the right side of a semijoin or antijoin.
•The view contains subqueries in the
SELECT
list.
•The outer query block contains PL/SQL functions.
•The view participates in an outer join, and does not meet one of the several
additional validity requirements that determine whether the view can be merged.
Example 5-2 Simple View Merging
The following query joins the
hr.employees
table with the
dept_locs_v
view, which
returns the street address for each department.
dept_locs_v
is a join of the
departments
and
locations
tables.
SELECT e.first_name, e.last_name, dept_locs_v.street_address,
dept_locs_v.postal_code
FROM employees e,
( SELECT d.department_id, d.department_name,
l.street_address, l.postal_code
FROM departments d, locations l
WHERE d.location_id = l.location_id ) dept_locs_v
WHERE dept_locs_v.department_id = e.department_id
AND e.last_name = 'Smith';
The database can execute the preceding query by joining
departments
and
locations
to
generate the rows of the view, and then joining this result to
employees
. Because the
query contains the view
dept_locs_v
, and this view contains two tables, the optimizer
must use one of the following join orders:
•
employees
,
dept_locs_v
(
departments
,
locations
)
•
employees
,
dept_locs_v
(
locations
,
departments
)
•
dept_locs_v
(
departments
,
locations
),
employees
•
dept_locs_v
(
locations
,
departments
),
employees
Chapter 5
View Merging
5-5

Join methods are also constrained. The index-based nested loops join is not feasible
for join orders that begin with
employees
because no index exists on the column from
this view. Without view merging, the optimizer generates the following execution plan:
-----------------------------------------------------------------
| Id | Operation | Name | Cost (%CPU)|
-----------------------------------------------------------------
| 0 | SELECT STATEMENT | | 7 (15)|
|* 1 | HASH JOIN | | 7 (15)|
| 2 | TABLE ACCESS BY INDEX ROWID| EMPLOYEES | 2 (0)|
|* 3 | INDEX RANGE SCAN | EMP_NAME_IX | 1 (0)|
| 4 | VIEW | | 5 (20)|
|* 5 | HASH JOIN | | 5 (20)|
| 6 | TABLE ACCESS FULL | LOCATIONS | 2 (0)|
| 7 | TABLE ACCESS FULL | DEPARTMENTS | 2 (0)|
-----------------------------------------------------------------
Predicate Information (identified by operation id):
---------------------------------------------------
1 - access("DEPT_LOCS_V"."DEPARTMENT_ID"="E"."DEPARTMENT_ID")
3 - access("E"."LAST_NAME"='Smith')
5 - access("D"."LOCATION_ID"="L"."LOCATION_ID")
View merging merges the tables from the view into the outer query block, removing the
inner query block. After view merging, the query is as follows:
SELECT e.first_name, e.last_name, l.street_address, l.postal_code
FROM employees e, departments d, locations l
WHERE d.location_id = l.location_id
AND d.department_id = e.department_id
AND e.last_name = 'Smith';
Because all three tables appear in one query block, the optimizer can choose from the
following six join orders:
•
employees
,
departments
,
locations
•
employees
,
locations
,
departments
•
departments
,
employees
,
locations
•
departments
,
locations
,
employees
•
locations
,
employees
,
departments
•
locations
,
departments
,
employees
The joins to
employees
and
departments
can now be index-based. After view merging,
the optimizer chooses the following more efficient plan, which uses nested loops:
-------------------------------------------------------------------
| Id | Operation | Name | Cost (%CPU)|
-------------------------------------------------------------------
| 0 | SELECT STATEMENT | | 4 (0)|
| 1 | NESTED LOOPS | | |
| 2 | NESTED LOOPS | | 4 (0)|
| 3 | NESTED LOOPS | | 3 (0)|
| 4 | TABLE ACCESS BY INDEX ROWID| EMPLOYEES | 2 (0)|
|* 5 | INDEX RANGE SCAN | EMP_NAME_IX | 1 (0)|
| 6 | TABLE ACCESS BY INDEX ROWID| DEPARTMENTS | 1 (0)|
|* 7 | INDEX UNIQUE SCAN | DEPT_ID_PK | 0 (0)|
|* 8 | INDEX UNIQUE SCAN | LOC_ID_PK | 0 (0)|
| 9 | TABLE ACCESS BY INDEX ROWID | LOCATIONS | 1 (0)|
Chapter 5
View Merging
5-6

-------------------------------------------------------------------
Predicate Information (identified by operation id):
---------------------------------------------------
5 - access("E"."LAST_NAME"='Smith')
7 - access("E"."DEPARTMENT_ID"="D"."DEPARTMENT_ID")
8 - access("D"."LOCATION_ID"="L"."LOCATION_ID")
5.2.3 Complex View Merging
In view merging, the optimizer merges views containing
GROUP BY
and
DISTINCT
views.
Like simple view merging, complex merging enables the optimizer to consider
additional join orders and access paths.
The optimizer can delay evaluation of
GROUP BY
or
DISTINCT
operations until after it has
evaluated the joins. Delaying these operations can improve or worsen performance
depending on the data characteristics. If the joins use filters, then delaying the
operation until after joins can reduce the data set on which the operation is to be
performed. Evaluating the operation early can reduce the amount of data to be
processed by subsequent joins, or the joins could increase the amount of data to be
processed by the operation. The optimizer uses cost to evaluate view merging and
merges the view only when it is the lower cost option.
Aside from cost, the optimizer may be unable to perform complex view merging for the
following reasons:
•The outer query tables do not have a rowid or unique column.
•The view appears in a
CONNECT BY
query block.
•The view contains
GROUPING SETS
,
ROLLUP
, or
PIVOT
clauses.
•The view or outer query block contains the
MODEL
clause.
Example 5-3 Complex View Joins with GROUP BY
The following view uses a
GROUP BY
clause:
CREATE VIEW cust_prod_totals_v AS
SELECT SUM(s.quantity_sold) total, s.cust_id, s.prod_id
FROM sales s
GROUP BY s.cust_id, s.prod_id;
The following query finds all of the customers from the United States who have bought
at least 100 fur-trimmed sweaters:
SELECT c.cust_id, c.cust_first_name, c.cust_last_name, c.cust_email
FROM customers c, products p, cust_prod_totals_v
WHERE c.country_id = 52790
AND c.cust_id = cust_prod_totals_v.cust_id
AND cust_prod_totals_v.total > 100
AND cust_prod_totals_v.prod_id = p.prod_id
AND p.prod_name = 'T3 Faux Fur-Trimmed Sweater';
The
cust_prod_totals_v
view is eligible for complex view merging. After merging, the
query is as follows:
SELECT c.cust_id, cust_first_name, cust_last_name, cust_email
FROM customers c, products p, sales s
WHERE c.country_id = 52790
Chapter 5
View Merging
5-7

AND c.cust_id = s.cust_id
AND s.prod_id = p.prod_id
AND p.prod_name = 'T3 Faux Fur-Trimmed Sweater'
GROUP BY s.cust_id, s.prod_id, p.rowid, c.rowid, c.cust_email, c.cust_last_name,
c.cust_first_name, c.cust_id
HAVING SUM(s.quantity_sold) > 100;
The transformed query is cheaper than the untransformed query, so the optimizer
chooses to merge the view. In the untransformed query, the
GROUP BY
operator applies
to the entire
sales
table in the view. In the transformed query, the joins to
products
and
customers
filter out a large portion of the rows from the
sales
table, so the
GROUP BY
operation is lower cost. The join is more expensive because the
sales
table has not
been reduced, but it is not much more expensive because the
GROUP BY
operation does
not reduce the size of the row set very much in the original query. If any of the
preceding characteristics were to change, merging the view might no longer be lower
cost. The final plan, which does not include a view, is as follows:
--------------------------------------------------------
| Id | Operation | Name | Cost (%CPU)|
--------------------------------------------------------
| 0 | SELECT STATEMENT | | 2101 (18)|
|* 1 | FILTER | | |
| 2 | HASH GROUP BY | | 2101 (18)|
|* 3 | HASH JOIN | | 2099 (18)|
|* 4 | HASH JOIN | | 1801 (19)|
|* 5 | TABLE ACCESS FULL| PRODUCTS | 96 (5)|
| 6 | TABLE ACCESS FULL| SALES | 1620 (15)|
|* 7 | TABLE ACCESS FULL | CUSTOMERS | 296 (11)|
--------------------------------------------------------
Predicate Information (identified by operation id):
---------------------------------------------------
1 - filter(SUM("QUANTITY_SOLD")>100)
3 - access("C"."CUST_ID"="CUST_ID")
4 - access("PROD_ID"="P"."PROD_ID")
5 - filter("P"."PROD_NAME"='T3 Faux Fur-Trimmed Sweater')
7 - filter("C"."COUNTRY_ID"='US')
Example 5-4 Complex View Joins with DISTINCT
The following query of the
cust_prod_v
view uses a
DISTINCT
operator:
SELECT c.cust_id, c.cust_first_name, c.cust_last_name, c.cust_email
FROM customers c, products p,
( SELECT DISTINCT s.cust_id, s.prod_id
FROM sales s) cust_prod_v
WHERE c.country_id = 52790
AND c.cust_id = cust_prod_v.cust_id
AND cust_prod_v.prod_id = p.prod_id
AND p.prod_name = 'T3 Faux Fur-Trimmed Sweater';
After determining that view merging produces a lower-cost plan, the optimizer rewrites
the query into this equivalent query:
SELECT nwvw.cust_id, nwvw.cust_first_name, nwvw.cust_last_name, nwvw.cust_email
FROM ( SELECT DISTINCT(c.rowid), p.rowid, s.prod_id, s.cust_id,
c.cust_first_name, c.cust_last_name, c.cust_email
FROM customers c, products p, sales s
WHERE c.country_id = 52790
AND c.cust_id = s.cust_id
AND s.prod_id = p.prod_id
AND p.prod_name = 'T3 Faux Fur-Trimmed Sweater' ) nwvw;
Chapter 5
View Merging
5-8

The plan for the preceding query is as follows:
-------------------------------------------
| Id | Operation | Name |
-------------------------------------------
| 0 | SELECT STATEMENT | |
| 1 | VIEW | VM_NWVW_1 |
| 2 | HASH UNIQUE | |
|* 3 | HASH JOIN | |
|* 4 | HASH JOIN | |
|* 5 | TABLE ACCESS FULL| PRODUCTS |
| 6 | TABLE ACCESS FULL| SALES |
|* 7 | TABLE ACCESS FULL | CUSTOMERS |
-------------------------------------------
Predicate Information (identified by operation id):
---------------------------------------------------
3 - access("C"."CUST_ID"="S"."CUST_ID")
4 - access("S"."PROD_ID"="P"."PROD_ID")
5 - filter("P"."PROD_NAME"='T3 Faux Fur-Trimmed Sweater')
7 - filter("C"."COUNTRY_ID"='US')
The preceding plan contains a view named
vm_nwvw_1
, known as a projection view,
even after view merging has occurred. Projection views appear in queries in which a
DISTINCT
view has been merged, or a
GROUP BY
view is merged into an outer query
block that also contains
GROUP BY
,
HAVING
, or aggregates. In the latter case, the
projection view contains the
GROUP BY
,
HAVING
, and aggregates from the original outer
query block.
In the preceding example of a projection view, when the optimizer merges the view, it
moves the
DISTINCT
operator to the outer query block, and then adds several additional
columns to maintain semantic equivalence with the original query. Afterward, the query
can select only the desired columns in the
SELECT
list of the outer query block. The
optimization retains all of the benefits of view merging: all tables are in one query
block, the optimizer can permute them as needed in the final join order, and the
DISTINCT
operation has been delayed until after all of the joins complete.
5.3 Predicate Pushing
In predicate pushing, the optimizer "pushes" the relevant predicates from the
containing query block into the view query block.
For views that are not merged, this technique improves the subplan of the unmerged
view. The database can use the pushed-in predicates to access indexes or to use as
filters.
For example, suppose you create a table
hr.contract_workers
as follows:
DROP TABLE contract_workers;
CREATE TABLE contract_workers AS (SELECT * FROM employees where 1=2);
INSERT INTO contract_workers VALUES (306, 'Bill', 'Jones', 'BJONES',
'555.555.2000', '07-JUN-02', 'AC_ACCOUNT', 8300, 0,205, 110);
INSERT INTO contract_workers VALUES (406, 'Jill', 'Ashworth', 'JASHWORTH',
'555.999.8181', '09-JUN-05', 'AC_ACCOUNT', 8300, 0,205, 50);
INSERT INTO contract_workers VALUES (506, 'Marcie', 'Lunsford', 'MLUNSFORD',
'555.888.2233', '22-JUL-01', 'AC_ACCOUNT', 8300, 0,205, 110);
COMMIT;
CREATE INDEX contract_workers_index ON contract_workers(department_id);
Chapter 5
Predicate Pushing
5-9

You create a view that references
employees
and
contract_workers
. The view is defined
with a query that uses the
UNION
set operator, as follows:
CREATE VIEW all_employees_vw AS
( SELECT employee_id, last_name, job_id, commission_pct, department_id
FROM employees )
UNION
( SELECT employee_id, last_name, job_id, commission_pct, department_id
FROM contract_workers );
You then query the view as follows:
SELECT last_name
FROM all_employees_vw
WHERE department_id = 50;
Because the view is a
UNION
set query, the optimizer cannot merge the view's query
into the accessing query block. Instead, the optimizer can transform the accessing
statement by pushing its predicate, the
WHERE
clause condition
department_id=50
, into
the view's
UNION
set query. The equivalent transformed query is as follows:
SELECT last_name
FROM ( SELECT employee_id, last_name, job_id, commission_pct, department_id
FROM employees
WHERE department_id=50
UNION
SELECT employee_id, last_name, job_id, commission_pct, department_id
FROM contract_workers
WHERE department_id=50 );
The transformed query can now consider index access in each of the query blocks.
5.4 Subquery Unnesting
In subquery unnesting, the optimizer transforms a nested query into an equivalent
join statement, and then optimizes the join.
This transformation enables the optimizer to consider the subquery tables during
access path, join method, and join order selection. The optimizer can perform this
transformation only if the resulting join statement is guaranteed to return the same
rows as the original statement, and if subqueries do not contain aggregate functions
such as
AVG
.
For example, suppose you connect as user
sh
and execute the following query:
SELECT *
FROM sales
WHERE cust_id IN ( SELECT cust_id
FROM customers );
Because the
customers.cust_id
column is a primary key, the optimizer can transform
the complex query into the following join statement that is guaranteed to return the
same data:
SELECT sales.*
FROM sales, customers
WHERE sales.cust_id = customers.cust_id;
Chapter 5
Subquery Unnesting
5-10

If the optimizer cannot transform a complex statement into a join statement, it selects
execution plans for the parent statement and the subquery as though they were
separate statements. The optimizer then executes the subquery and uses the rows
returned to execute the parent query. To improve execution speed of the overall
execution plan, the optimizer orders the subplans efficiently.
5.5 Query Rewrite with Materialized Views
A materialized view is a query result that the database materializes and stores in a
table.
When the optimizer finds a user query compatible with the query associated with a
materialized view, then the database can rewrite the query in terms of the materialized
view. This technique improves query execution because the database has
precomputed most of the query result.
The optimizer looks for any materialized views that are compatible with the user query,
and then selects one or more materialized views to rewrite the user query. The use of
materialized views to rewrite a query is cost-based. Thus, the optimizer does not
rewrite the query when the plan generated unless the materialized views has a lower
cost than the plan generated with the materialized views.
Consider the following materialized view,
cal_month_sales_mv
, which aggregates the
dollar amount sold each month:
CREATE MATERIALIZED VIEW cal_month_sales_mv
ENABLE QUERY REWRITE
AS
SELECT t.calendar_month_desc, SUM(s.amount_sold) AS dollars
FROM sales s, times t
WHERE s.time_id = t.time_id
GROUP BY t.calendar_month_desc;
Assume that sales number is around one million in a typical month. The view has the
precomputed aggregates for the dollar amount sold for each month. Consider the
following query, which asks for the sum of the amount sold for each month:
SELECT t.calendar_month_desc, SUM(s.amount_sold)
FROM sales s, times t
WHERE s.time_id = t.time_id
GROUP BY t.calendar_month_desc;
Without query rewrite, the database must access
sales
directly and compute the sum
of the amount sold. This method involves reading many million rows from
sales
, which
invariably increases query response time. The join also further slows query response
because the database must compute the join on several million rows. With query
rewrite, the optimizer transparently rewrites the query as follows:
SELECT calendar_month, dollars
FROM cal_month_sales_mv;
5.6 Star Transformation
Star transformation is an optimizer transformation that avoids full table scans of fact
tables in a star schema.
Chapter 5
Query Rewrite with Materialized Views
5-11

This section contains the following topics:
•About Star Schemas
A star schema divides data into facts and dimensions.
•Purpose of Star Transformations
In joins of fact and dimension tables, a star transformation can avoid a full scan of
a fact table.
•How Star Transformation Works
Star transformation adds subquery predicates, called bitmap semijoin
predicates, corresponding to the constraint dimensions.
•Controls for Star Transformation
The
STAR_TRANSFORMATION_ENABLED
initialization parameter controls star
transformations.
•Star Transformation: Scenario
This scenario demonstrates a star transformation of a star query.
•Temporary Table Transformation: Scenario
In the preceding scenario, the optimizer does not join back the table
channels
to
the
sales
table because it is not referenced outside and the
channel_id
is unique.
5.6.1 About Star Schemas
A star schema divides data into facts and dimensions.
Facts are the measurements of an event such as a sale and are typically numbers.
Dimensions are the categories that identify facts, such as date, location, and product.
A fact table has a composite key made up of the primary keys of the dimension tables
of the schema. Dimension tables act as lookup or reference tables that enable you to
choose values that constrain your queries.
Diagrams typically show a central fact table with lines joining it to the dimension tables,
giving the appearance of a star. The following graphic shows
sales
as the fact table
and
products
,
times
,
customers
, and
channels
as the dimension tables.
Figure 5-1 Star Schema
customers
products
Dimension Table Dimension Table
channels
sales
(amount_sold,
quantity_sold)
times
Fact Table
A snowflake schema is a star schema in which the dimension tables reference other
tables. A snowstorm schema is a combination of snowflake schemas.
Chapter 5
Star Transformation
5-12

5.6.2 Purpose of Star Transformations
In joins of fact and dimension tables, a star transformation can avoid a full scan of a
fact table.
The star transformation improves performance by fetching only relevant fact rows that
join to the constraint dimension rows. In some cases, queries have restrictive filters on
other columns of the dimension tables. The combination of filters can dramatically
reduce the data set that the database processes from the fact table.
5.6.3 How Star Transformation Works
Star transformation adds subquery predicates, called bitmap semijoin predicates,
corresponding to the constraint dimensions.
The optimizer performs the transformation when indexes exist on the fact join
columns. By driving bitmap
AND
and
OR
operations of key values supplied by the
subqueries, the database only needs to retrieve relevant rows from the fact table. If the
predicates on the dimension tables filter out significant data, then the transformation
can be more efficient than a full scan on the fact table.
After the database has retrieved the relevant rows from the fact table, the database
may need to join these rows back to the dimension tables using the original
predicates. The database can eliminate the join back of the dimension table when the
following conditions are met:
•All the predicates on dimension tables are part of the semijoin subquery predicate.
•The columns selected from the subquery are unique.
•The dimension columns are not in the
SELECT
list,
GROUP BY
clause, and so on.
5.6.4 Controls for Star Transformation
The
STAR_TRANSFORMATION_ENABLED
initialization parameter controls star transformations.
This parameter takes the following values:
•
true
The optimizer performs the star transformation by identifying the fact and
constraint dimension tables automatically. The optimizer performs the star
transformation only if the cost of the transformed plan is lower than the
alternatives. Also, the optimizer attempts temporary table transformation
automatically whenever materialization improves performance (see "Temporary
Table Transformation: Scenario").
•
false
(default)
The optimizer does not perform star transformations.
•
TEMP_DISABLE
This value is identical to
true
except that the optimizer does not attempt temporary
table transformation.
Chapter 5
Star Transformation
5-13

5.6.5 Star Transformation: Scenario
This scenario demonstrates a star transformation of a star query.
Example 5-5 Star Query
The following query finds the total Internet sales amount in all cities in California for
quarters Q1 and Q2 of year 1999:
SELECT c.cust_city,
t.calendar_quarter_desc,
SUM(s.amount_sold) sales_amount
FROM sales s,
times t,
customers c,
channels ch
WHERE s.time_id = t.time_id
AND s.cust_id = c.cust_id
AND s.channel_id = ch.channel_id
AND c.cust_state_province = 'CA'
AND ch.channel_desc = 'Internet'
AND t.calendar_quarter_desc IN ('1999-01','1999-02')
GROUP BY c.cust_city, t.calendar_quarter_desc;
Sample output is as follows:
CUST_CITY CALENDA SALES_AMOUNT
------------------------------ ------- ------------
Montara 1999-02 1618.01
Pala 1999-01 3263.93
Cloverdale 1999-01 52.64
Cloverdale 1999-02 266.28
. . .
In this example,
sales
is the fact table, and the other tables are dimension tables. The
sales
table contains one row for every sale of a product, so it could conceivably
contain billions of sales records. However, only a few products are sold to customers
in California through the Internet for the specified quarters.
Example 5-6 Star Transformation
This example shows a star transformation of the query in Example 5-5. The
transformation avoids a full table scan of
sales
.
SELECT c.cust_city, t.calendar_quarter_desc, SUM(s.amount_sold) sales_amount
FROM sales s, times t, customers c
WHERE s.time_id = t.time_id
AND s.cust_id = c.cust_id
AND c.cust_state_province = 'CA'
AND t.calendar_quarter_desc IN ('1999-01','1999-02')
AND s.time_id IN ( SELECT time_id
FROM times
WHERE calendar_quarter_desc IN('1999-01','1999-02') )
AND s.cust_id IN ( SELECT cust_id
FROM customers
WHERE cust_state_province='CA' )
AND s.channel_id IN ( SELECT channel_id
FROM channels
WHERE channel_desc = 'Internet' )
GROUP BY c.cust_city, t.calendar_quarter_desc;
Chapter 5
Star Transformation
5-14

Example 5-7 Partial Execution Plan for Star Transformation
This example shows an edited version of the execution plan for the star transformation
in Example 5-6.
Line 26 shows that the
sales
table has an index access path instead of a full table
scan. For each key value that results from the subqueries of
channels
(line 14),
times
(line 19), and
customers
(line 24), the database retrieves a bitmap from the indexes on
the
sales
fact table (lines 15, 20, 25).
Each bit in the bitmap corresponds to a row in the fact table. The bit is set when the
key value from the subquery is same as the value in the row of the fact table. For
example, in the bitmap
101000...
(the ellipses indicates that the values for the
remaining rows are
0
), rows 1 and 3 of the fact table have matching key values from
the subquery.
The operations in lines 12, 17, and 22 iterate over the keys from the subqueries and
retrieve the corresponding bitmaps. In Example 5-6, the
customers
subquery seeks the
IDs of customers whose state or province is
CA
. Assume that the bitmap
101000...
corresponds to the customer ID key value
103515
from the
customers
table subquery.
Also assume that the
customers
subquery produces the key value
103516
with the
bitmap
010000...
, which means that only row 2 in
sales
has a matching key value from
the subquery.
The database merges (using the
OR
operator) the bitmaps for each subquery (lines 11,
16, 21). In our
customers
example, the database produces a single bitmap
111000...
for
the
customers
subquery after merging the two bitmaps:
101000... # bitmap corresponding to key 103515
010000... # bitmap corresponding to key 103516
---------
111000... # result of OR operation
In line 10, the database applies the
AND
operator to the merged bitmaps. Assume that
after the database has performed all
OR
operations, the resulting bitmap for
channels
is
100000...
If the database performs an
AND
operation on this bitmap and the bitmap
from
customers
subquery, then the result is as follows:
100000... # channels bitmap after all OR operations performed
111000... # customers bitmap after all OR operations performed
---------
100000... # bitmap result of AND operation for channels and customers
In line 9, the database generates the corresponding rowids of the final bitmap. The
database retrieves rows from the
sales
fact table using the rowids (line 26). In our
example, the database generate only one rowid, which corresponds to the first row,
and thus fetches only a single row instead of scanning the entire
sales
table.
-------------------------------------------------------------------------------
| Id | Operation | Name
-------------------------------------------------------------------------------
| 0 | SELECT STATEMENT |
| 1 | HASH GROUP BY |
|* 2 | HASH JOIN |
|* 3 | TABLE ACCESS FULL | CUSTOMERS
|* 4 | HASH JOIN |
|* 5 | TABLE ACCESS FULL | TIMES
| 6 | VIEW | VW_ST_B1772830
| 7 | NESTED LOOPS |
| 8 | PARTITION RANGE SUBQUERY |
Chapter 5
Star Transformation
5-15

| 9 | BITMAP CONVERSION TO ROWIDS|
| 10 | BITMAP AND |
| 11 | BITMAP MERGE |
| 12 | BITMAP KEY ITERATION |
| 13 | BUFFER SORT |
|* 14 | TABLE ACCESS FULL | CHANNELS
|* 15 | BITMAP INDEX RANGE SCAN| SALES_CHANNEL_BIX
| 16 | BITMAP MERGE |
| 17 | BITMAP KEY ITERATION |
| 18 | BUFFER SORT |
|* 19 | TABLE ACCESS FULL | TIMES
|* 20 | BITMAP INDEX RANGE SCAN| SALES_TIME_BIX
| 21 | BITMAP MERGE |
| 22 | BITMAP KEY ITERATION |
| 23 | BUFFER SORT |
|* 24 | TABLE ACCESS FULL | CUSTOMERS
|* 25 | BITMAP INDEX RANGE SCAN| SALES_CUST_BIX
| 26 | TABLE ACCESS BY USER ROWID | SALES
-------------------------------------------------------------------------------
Predicate Information (identified by operation id):
---------------------------------------------------
2 - access("ITEM_1"="C"."CUST_ID")
3 - filter("C"."CUST_STATE_PROVINCE"='CA')
4 - access("ITEM_2"="T"."TIME_ID")
5 - filter(("T"."CALENDAR_QUARTER_DESC"='1999-01'
OR "T"."CALENDAR_QUARTER_DESC"='1999-02'))
14 - filter("CH"."CHANNEL_DESC"='Internet')
15 - access("S"."CHANNEL_ID"="CH"."CHANNEL_ID")
19 - filter(("T"."CALENDAR_QUARTER_DESC"='1999-01'
OR "T"."CALENDAR_QUARTER_DESC"='1999-02'))
20 - access("S"."TIME_ID"="T"."TIME_ID")
24 - filter("C"."CUST_STATE_PROVINCE"='CA')
25 - access("S"."CUST_ID"="C"."CUST_ID")
Note
-----
- star transformation used for this statement
5.6.6 Temporary Table Transformation: Scenario
In the preceding scenario, the optimizer does not join back the table
channels
to the
sales
table because it is not referenced outside and the
channel_id
is unique.
If the optimizer cannot eliminate the join back, however, then the database stores the
subquery results in a temporary table to avoid rescanning the dimension table for
bitmap key generation and join back. Also, if the query runs in parallel, then the
database materializes the results so that each parallel execution server can select the
results from the temporary table instead of executing the subquery again.
Example 5-8 Star Transformation Using Temporary Table
In this example, the database materializes the results of the subquery on
customers
into a temporary table:
SELECT t1.c1 cust_city, t.calendar_quarter_desc calendar_quarter_desc,
SUM(s.amount_sold) sales_amount
FROM sales s, sh.times t, sys_temp_0fd9d6621_e7e24 t1
WHERE s.time_id=t.time_id
Chapter 5
Star Transformation
5-16

AND s.cust_id=t1.c0
AND (t.calendar_quarter_desc='1999-q1' OR t.calendar_quarter_desc='1999-q2')
AND s.cust_id IN ( SELECT t1.c0
FROM sys_temp_0fd9d6621_e7e24 t1 )
AND s.channel_id IN ( SELECT ch.channel_id
FROM channels ch
WHERE ch.channel_desc='internet' )
AND s.time_id IN ( SELECT t.time_id
FROM times t
WHERE t.calendar_quarter_desc='1999-q1'
OR t.calendar_quarter_desc='1999-q2' )
GROUP BY t1.c1, t.calendar_quarter_desc
The optimizer replaces
customers
with the temporary table
sys_temp_0fd9d6621_e7e24
,
and replaces references to columns
cust_id
and
cust_city
with the corresponding
columns of the temporary table. The database creates the temporary table with two
columns:
(c0 NUMBER, c1 VARCHAR2(30))
. These columns correspond to
cust_id
and
cust_city
of the
customers
table. The database populates the temporary table by
executing the following query at the beginning of the execution of the previous query:
SELECT c.cust_id, c.cust_city FROM customers WHERE c.cust_state_province = 'CA'
Example 5-9 Partial Execution Plan for Star Transformation Using Temporary
Table
The following example shows an edited version of the execution plan for the query in
Example 5-8:
-------------------------------------------------------------------------------
| Id | Operation | Name
-------------------------------------------------------------------------------
| 0 | SELECT STATEMENT |
| 1 | TEMP TABLE TRANSFORMATION |
| 2 | LOAD AS SELECT |
|* 3 | TABLE ACCESS FULL | CUSTOMERS
| 4 | HASH GROUP BY |
|* 5 | HASH JOIN |
| 6 | TABLE ACCESS FULL | SYS_TEMP_0FD9D6613_C716F
|* 7 | HASH JOIN |
|* 8 | TABLE ACCESS FULL | TIMES
| 9 | VIEW | VW_ST_A3F94988
| 10 | NESTED LOOPS |
| 11 | PARTITION RANGE SUBQUERY |
| 12 | BITMAP CONVERSION TO ROWIDS|
| 13 | BITMAP AND |
| 14 | BITMAP MERGE |
| 15 | BITMAP KEY ITERATION |
| 16 | BUFFER SORT |
|* 17 | TABLE ACCESS FULL | CHANNELS
|* 18 | BITMAP INDEX RANGE SCAN| SALES_CHANNEL_BIX
| 19 | BITMAP MERGE |
| 20 | BITMAP KEY ITERATION |
| 21 | BUFFER SORT |
|* 22 | TABLE ACCESS FULL | TIMES
|* 23 | BITMAP INDEX RANGE SCAN| SALES_TIME_BIX
| 24 | BITMAP MERGE |
| 25 | BITMAP KEY ITERATION |
| 26 | BUFFER SORT |
| 27 | TABLE ACCESS FULL | SYS_TEMP_0FD9D6613_C716F
|* 28 | BITMAP INDEX RANGE SCAN| SALES_CUST_BIX
| 29 | TABLE ACCESS BY USER ROWID | SALES
Chapter 5
Star Transformation
5-17

-------------------------------------------------------------------------------
Predicate Information (identified by operation id):
---------------------------------------------------
3 - filter("C"."CUST_STATE_PROVINCE"='CA')
5 - access("ITEM_1"="C0")
7 - access("ITEM_2"="T"."TIME_ID")
8 - filter(("T"."CALENDAR_QUARTER_DESC"='1999-01' OR
"T"."CALENDAR_QUARTER_DESC"='1999-02'))
17 - filter("CH"."CHANNEL_DESC"='Internet')
18 - access("S"."CHANNEL_ID"="CH"."CHANNEL_ID")
22 - filter(("T"."CALENDAR_QUARTER_DESC"='1999-01' OR
"T"."CALENDAR_QUARTER_DESC"='1999-02'))
23 - access("S"."TIME_ID"="T"."TIME_ID")
28 - access("S"."CUST_ID"="C0")
Lines 1, 2, and 3 of the plan materialize the
customers
subquery into the temporary
table. In line 6, the database scans the temporary table (instead of the subquery) to
build the bitmap from the fact table. Line 27 scans the temporary table for joining back
instead of scanning
customers
. The database does not need to apply the filter on
customers
on the temporary table because the filter is applied while materializing the
temporary table.
5.7 In-Memory Aggregation (VECTOR GROUP BY)
The key optimization of in-memory aggregation is to aggregate while scanning.
To optimize query blocks involving aggregation and joins from a single large table to
multiple small tables, such as in a typical star query, the transformation uses
KEY
VECTOR
and
VECTOR GROUP BY
operations. These operations use efficient in-memory
arrays for joins and aggregation, and are especially effective when the underlying
tables are in-memory columnar tables.
5.8 Cursor-Duration Temporary Tables
To materialize the intermediate results of a query, Oracle Database may implicitly
create a cursor-duration temporary table in memory during query compilation.
This section contains the following topics:
•Purpose of Cursor-Duration Temporary Tables
Complex queries sometimes process the same query block multiple times, which
creates unnecessary performance overhead.
•How Cursor-Duration Temporary Tables Work
The definition of the cursor-definition temporary table resides in memory. The table
definition is associated with the cursor, and is only visible to the session executing
the cursor.
•Cursor-Duration Temporary Tables: Example
A
WITH
query that repeats the same subquery can sometimes benefit from a
cursor-duration temporary table.
Chapter 5
In-Memory Aggregation (VECTOR GROUP BY)
5-18

5.8.1 Purpose of Cursor-Duration Temporary Tables
Complex queries sometimes process the same query block multiple times, which
creates unnecessary performance overhead.
To avoid this scenario, Oracle Database can automatically create temporary tables for
the query results and store them in memory for the duration of the cursor. For complex
operations such as
WITH
clause queries, star transformations, and grouping sets, this
optimization enhances the materialization of intermediate results from repetitively used
subqueries. In this way, cursor-duration temporary tables improve performance and
optimize I/O.
5.8.2 How Cursor-Duration Temporary Tables Work
The definition of the cursor-definition temporary table resides in memory. The table
definition is associated with the cursor, and is only visible to the session executing the
cursor.
When using cursor-duration temporary tables, the database performs the following
steps:
1. Chooses a plan that uses a cursor-duration temporary table
2. Creates the temporary table using a unique name
3. Rewrites the query to refer to the temporary table
4. Loads data into memory until no memory remains, in which case it creates
temporary segments on disk
5. Executes the query, returning data from the temporary table
6. Truncates the table, releasing memory and any on-disk temporary segments
Note:
The metadata for the cursor-duration temporary table stays in memory as
long as the cursor is in memory. The metadata is not stored in the data
dictionary, which means it is not visible through data dictionary views. You
cannot drop the metadata explicitly.
The preceding scenario depends on the availability of memory. For serial queries, the
temporary tables use PGA memory.
The implementation of cursor-duration temporary tables is similar to sorts. If no more
memory is available, then the database writes data to temporary segments. For
cursor-duration temporary tables, the differences are as follows:
•The database releases memory and temporary segments at the end of the query
rather than when the row source is no longer active.
•Data in memory stays in memory, unlike in sorts where data can move between
memory and temporary segments.
When the database uses cursor-duration temporary tables, the keyword
CURSOR
DURATION MEMORY
appears in the execution plan.
Chapter 5
Cursor-Duration Temporary Tables
5-19

5.8.3 Cursor-Duration Temporary Tables: Example
A
WITH
query that repeats the same subquery can sometimes benefit from a cursor-
duration temporary table.
The following query uses a
WITH
clause to create three subquery blocks:
WITH
q1 AS (SELECT department_id, SUM(salary) sum_sal FROM hr.employees GROUP BY
department_id),
q2 AS (SELECT * FROM q1),
q3 AS (SELECT department_id, sum_sal FROM q1)
SELECT * FROM q1
UNION ALL
SELECT * FROM q2
UNION ALL
SELECT * FROM q3;
The following sample plan shows the transformation:
SELECT * FROM TABLE(DBMS_XPLAN.DISPLAY_CURSOR(FORMAT=>'BASIC +ROWS +COST'));
PLAN_TABLE_OUTPUT
--------------------------------------------------------------------------------------------
| Id | Operation | Name |Rows |Cost (%CPU)|
--------------------------------------------------------------------------------------------
| 0 | SELECT STATEMENT | | |6 (100)|
| 1 | TEMP TABLE TRANSFORMATION | | | |
| 2 | LOAD AS SELECT (CURSOR DURATION MEMORY) | SYS_TEMP_0FD9D6606_1AE004 | | |
| 3 | HASH GROUP BY | | 11 | 3 (34)|
| 4 | TABLE ACCESS FULL | EMPLOYEES | 107 | 2 (0) |
| 5 | UNION-ALL | | | |
| 6 | VIEW | | 11 | 2 (0) |
| 7 | TABLE ACCESS FULL | SYS_TEMP_0FD9D6606_1AE004 | 11 | 2 (0) |
| 8 | VIEW | | 11 | 2 (0) |
| 9 | TABLE ACCESS FULL | SYS_TEMP_0FD9D6606_1AE004 | 11 | 2 (0) |
| 10 | VIEW | | 11 | 2 (0) |
| 11 | TABLE ACCESS FULL | SYS_TEMP_0FD9D6606_1AE004 | 11 | 2 (0) |
--------------------------------------------------------------------------------------------
In the preceding plan,
TEMP TABLE TRANSFORMATION
in Step 1 indicates that the database
used cursor-duration temporary tables to execute the query. The
CURSOR DURATION
MEMORY
keyword in Step 2 indicates that the database used memory, if available, to
store the results of
SYS_TEMP_0FD9D6606_1AE004
. If memory was unavailable, then the
database wrote the temporary data to disk.
5.9 Table Expansion
In table expansion, the optimizer generates a plan that uses indexes on the read-
mostly portion of a partitioned table, but not on the active portion of the table.
This section contains the following topics:
•Purpose of Table Expansion
Index-based plans can improve performance, but index maintenance creates
overhead. In many databases, DML affects only a small portion of the data.
Chapter 5
Table Expansion
5-20

•How Table Expansion Works
Table partitioning makes table expansion possible.
•Table Expansion: Scenario
The optimizer keeps track of which partitions must be accessed from each table,
based on predicates that appear in the query. Partition pruning enables the
optimizer to use table expansion to generate more optimal plans.
•Table Expansion and Star Transformation: Scenario
Star transformation enables specific types of queries to avoid accessing large
portions of big fact tables.
5.9.1 Purpose of Table Expansion
Index-based plans can improve performance, but index maintenance creates
overhead. In many databases, DML affects only a small portion of the data.
Table expansion uses index-based plans for high-update tables. You can create an
index only on the read-mostly data, eliminating index overhead on the active data. In
this way, table expansion improves performance while avoiding index maintenance.
5.9.2 How Table Expansion Works
Table partitioning makes table expansion possible.
If a local index exists on a partitioned table, then the optimizer can mark the index as
unusable for specific partitions. In effect, some partitions are not indexed.
In table expansion, the optimizer transforms the query into a
UNION ALL
statement, with
some subqueries accessing indexed partitions and other subqueries accessing
unindexed partitions. The optimizer can choose the most efficient access method
available for a partition, regardless of whether it exists for all of the partitions accessed
in the query.
The optimizer does not always choose table expansion:
•Table expansion is cost-based.
While the database accesses each partition of the expanded table only once
across all branches of the
UNION ALL
, any tables that the database joins to it are
accessed in each branch.
•Semantic issues may render expansion invalid.
For example, a table appearing on the right side of an outer join is not valid for
table expansion.
You can control table expansion with the hint
EXPAND_TABLE
hint. The hint overrides the
cost-based decision, but not the semantic checks.
Chapter 5
Table Expansion
5-21

5.9.3 Table Expansion: Scenario
The optimizer keeps track of which partitions must be accessed from each table,
based on predicates that appear in the query. Partition pruning enables the optimizer
to use table expansion to generate more optimal plans.
Assumptions
This scenario assumes the following:
•You want to run a star query against the
sh.sales
table, which is range-partitioned
on the
time_id
column.
•You want to disable indexes on specific partitions to see the benefits of table
expansion.
To use table expansion:
1. Log in to the database as the
sh
user.
2. Run the following query:
SELECT *
FROM sales
WHERE time_id >= TO_DATE('2000-01-01 00:00:00', 'SYYYY-MM-DD HH24:MI:SS')
AND prod_id = 38;
3. Explain the plan by querying
DBMS_XPLAN
:
SET LINESIZE 150
SET PAGESIZE 0
SELECT * FROM TABLE(DBMS_XPLAN.DISPLAY_CURSOR(format => 'BASIC,PARTITION'));
As shown in the
Pstart
and
Pstop
columns in the following plan, the optimizer
determines from the filter that only 16 of the 28 partitions in the table must be
accessed:
Plan hash value: 3087065703
--------------------------------------------------------------------------
|Id| Operation | Name |Pstart|Pstop|
--------------------------------------------------------------------------
| 0| SELECT STATEMENT | | | |
| 1| PARTITION RANGE ITERATOR | | 13 | 28 |
| 2| TABLE ACCESS BY LOCAL INDEX ROWID BATCHED| SALES | 13 | 28 |
| 3| BITMAP CONVERSION TO ROWIDS | | | |
|*4| BITMAP INDEX SINGLE VALUE |SALES_PROD_BIX| 13 | 28 |
--------------------------------------------------------------------------
Predicate Information (identified by operation id):
---------------------------------------------------
4 - access("PROD_ID"=38)
After the optimizer has determined the partitions to be accessed, it considers any
index that is usable on all of those partitions. In the preceding plan, the optimizer
chose to use the
sales_prod_bix
bitmap index.
4. Disable the index on the
SALES_1995
partition of the
sales
table:
ALTER INDEX sales_prod_bix MODIFY PARTITION sales_1995 UNUSABLE;
Chapter 5
Table Expansion
5-22

The preceding DDL disables the index on partition 1, which contains all sales from
before 1996.
Note:
You can obtain the partition information by querying the
USER_IND_PARTITIONS
view.
5. Execute the query of sales again, and then query
DBMS_XPLAN
to obtain the plan.
The output shows that the plan did not change:
Plan hash value: 3087065703
---------------------------------------------------------------------------
|Id| Operation | Name |Pstart|Pstop
---------------------------------------------------------------------------
| 0| SELECT STATEMENT | | | |
| 1| PARTITION RANGE ITERATOR | | 13 | 28 |
| 2| TABLE ACCESS BY LOCAL INDEX ROWID BATCHED| SALES | 13 | 28 |
| 3| BITMAP CONVERSION TO ROWIDS | | | |
|*4| BITMAP INDEX SINGLE VALUE | SALES_PROD_BIX| 13 | 28 |
---------------------------------------------------------------------------
Predicate Information (identified by operation id):
---------------------------------------------------
4 - access("PROD_ID"=38)
The plan is the same because the disabled index partition is not relevant to the
query. If all partitions that the query accesses are indexed, then the database can
answer the query using the index. Because the query only accesses partitions 16
through 28, disabling the index on partition 1 does not affect the plan.
6. Disable the indexes for partition 28 (
SALES_Q4_2003
), which is a partition that the
query needs to access:
ALTER INDEX sales_prod_bix MODIFY PARTITION sales_q4_2003 UNUSABLE;
ALTER INDEX sales_time_bix MODIFY PARTITION sales_q4_2003 UNUSABLE;
By disabling the indexes on a partition that the query does need to access, the
query can no longer use this index (without table expansion).
7. Query the plan using
DBMS_XPLAN
.
As shown in the following plan, the optimizer does not use the index:
Plan hash value: 3087065703
---------------------------------------------------------------------------
| Id| Operation | Name |Pstart|Pstop
---------------------------------------------------------------------------
| 0 | SELECT STATEMENT | | | |
| 1 | PARTITION RANGE ITERATOR | | 13 | 28 |
|*2 | TABLE ACCESS FULL | SALES | 13 | 28 |
---------------------------------------------------------------------------
Predicate Information (identified by operation id):
---------------------------------------------------
2 - access("PROD_ID"=38)
Chapter 5
Table Expansion
5-23

In the preceding example, the query accesses 16 partitions. On 15 of these
partitions, an index is available, but no index is available for the final partition.
Because the optimizer has to choose one access path or the other, the optimizer
cannot use the index on any of the partitions.
8. With table expansion, the optimizer rewrites the original query as follows:
SELECT *
FROM sales
WHERE time_id >= TO_DATE('2000-01-01 00:00:00', 'SYYYY-MM-DD HH24:MI:SS')
AND time_id < TO_DATE('2003-10-01 00:00:00', 'SYYYY-MM-DD HH24:MI:SS')
AND prod_id = 38
UNION ALL
SELECT *
FROM sales
WHERE time_id >= TO_DATE('2003-10-01 00:00:00', 'SYYYY-MM-DD HH24:MI:SS')
AND time_id < TO_DATE('2004-01-01 00:00:00', 'SYYYY-MM-DD HH24:MI:SS')
AND prod_id = 38;
In the preceding query, the first query block in the
UNION ALL
accesses the
partitions that are indexed, while the second query block accesses the partition
that is not. The two subqueries enable the optimizer to choose to use the index in
the first query block, if it is more optimal than using a table scan of all of the
partitions that are accessed.
9. Query the plan using
DBMS_XPLAN
.
The plan appears as follows:
Plan hash value: 2120767686
---------------------------------------------------------------------------
|Id| Operation | Name |Pstart|Pstop|
---------------------------------------------------------------------------
| 0| SELECT STATEMENT | | | |
| 1| VIEW | VW_TE_2 | | |
| 2| UNION-ALL | | | |
| 3| PARTITION RANGE ITERATOR | | 13| 27|
| 4| TABLE ACCESS BY LOCAL INDEX ROWID BATCHED| SALES | 13| 27|
| 5| BITMAP CONVERSION TO ROWIDS | | | |
|*6| BITMAP INDEX SINGLE VALUE | SALES_PROD_BIX| 13| 27|
| 7| PARTITION RANGE SINGLE | | 28| 28|
|*8| TABLE ACCESS FULL | SALES | 28| 28|
---------------------------------------------------------------------------
Predicate Information (identified by operation id):
---------------------------------------------------
6 - access("PROD_ID"=38)
8 - filter("PROD_ID"=38)
As shown in the preceding plan, the optimizer uses a
UNION ALL
for two query
blocks (Step 2). The optimizer chooses an index to access partitions 13 to 27 in
the first query block (Step 6). Because no index is available for partition 28, the
optimizer chooses a full table scan in the second query block (Step 8).
Chapter 5
Table Expansion
5-24

5.9.4 Table Expansion and Star Transformation: Scenario
Star transformation enables specific types of queries to avoid accessing large portions
of big fact tables.
Star transformation requires defining several indexes, which in an actively updated
table can have overhead. With table expansion, you can define indexes on only the
inactive partitions so that the optimizer can consider star transformation on only the
indexed portions of the table.
Assumptions
This scenario assumes the following:
•You query the same schema used in "Star Transformation: Scenario".
•The last partition of
sales
is actively being updated, as is often the case with time-
partitioned tables.
•You want the optimizer to take advantage of table expansion.
To take advantage of table expansion in a star query:
1. Disable the indexes on the last partition as follows:
ALTER INDEX sales_channel_bix MODIFY PARTITION sales_q4_2003 UNUSABLE;
ALTER INDEX sales_cust_bix MODIFY PARTITION sales_q4_2003 UNUSABLE;
2. Execute the following star query:
SELECT t.calendar_quarter_desc, SUM(s.amount_sold) sales_amount
FROM sales s, times t, customers c, channels ch
WHERE s.time_id = t.time_id
AND s.cust_id = c.cust_id
AND s.channel_id = ch.channel_id
AND c.cust_state_province = 'CA'
AND ch.channel_desc = 'Internet'
AND t.calendar_quarter_desc IN ('1999-01','1999-02')
GROUP BY t.calendar_quarter_desc;
3. Query the cursor using
DBMS_XPLAN
, which shows the following plan:
---------------------------------------------------------------------------
|Id| Operation | Name | Pstart| Pstop |
---------------------------------------------------------------------------
| 0| SELECT STATEMENT | | | |
| 1| HASH GROUP BY | | | |
| 2| VIEW |VW_TE_14 | | |
| 3| UNION-ALL | | | |
| 4| HASH JOIN | | | |
| 5| TABLE ACCESS FULL |TIMES | | |
| 6| VIEW |VW_ST_1319B6D8 | | |
| 7| NESTED LOOPS | | | |
| 8| PARTITION RANGE SUBQUERY | |KEY(SQ)|KEY(SQ)|
| 9| BITMAP CONVERSION TO ROWIDS| | | |
|10| BITMAP AND | | | |
|11| BITMAP MERGE | | | |
|12| BITMAP KEY ITERATION | | | |
|13| BUFFER SORT | | | |
|14| TABLE ACCESS FULL |CHANNELS | | |
|15| BITMAP INDEX RANGE SCAN|SALES_CHANNEL_BIX|KEY(SQ)|KEY(SQ)|
Chapter 5
Table Expansion
5-25

|16| BITMAP MERGE | | | |
|17| BITMAP KEY ITERATION | | | |
|18| BUFFER SORT | | | |
|19| TABLE ACCESS FULL |TIMES | | |
|20| BITMAP INDEX RANGE SCAN|SALES_TIME_BIX |KEY(SQ)|KEY(SQ)|
|21| BITMAP MERGE | | | |
|22| BITMAP KEY ITERATION | | | |
|23| BUFFER SORT | | | |
|24| TABLE ACCESS FULL |CUSTOMERS | | |
|25| BITMAP INDEX RANGE SCAN|SALES_CUST_BIX |KEY(SQ)|KEY(SQ)|
|26| TABLE ACCESS BY USER ROWID |SALES | ROWID | ROWID |
|27| NESTED LOOPS | | | |
|28| NESTED LOOPS | | | |
|29| NESTED LOOPS | | | |
|30| NESTED LOOPS | | | |
|31| PARTITION RANGE SINGLE | | 28 | 28 |
|32| TABLE ACCESS FULL |SALES | 28 | 28 |
|33| TABLE ACCESS BY INDEX ROWID|CHANNELS | | |
|34| INDEX UNIQUE SCAN |CHANNELS_PK | | |
|35| TABLE ACCESS BY INDEX ROWID |CUSTOMERS | | |
|36| INDEX UNIQUE SCAN |CUSTOMERS_PK | | |
|37| INDEX UNIQUE SCAN |TIMES_PK | | |
|38| TABLE ACCESS BY INDEX ROWID |TIMES | | |
---------------------------------------------------------------------------
The preceding plan uses table expansion. The
UNION ALL
branch that is accessing
every partition except the last partition uses star transformation. Because the
indexes on partition 28 are disabled, the database accesses the final partition
using a full table scan.
5.10 Join Factorization
In the cost-based transformation known as join factorization, the optimizer can
factorize common computations from branches of a
UNION ALL
query.
This section contains the following topics:
•Purpose of Join Factorization
UNION ALL
queries are common in database applications, especially in data
integration applications.
•How Join Factorization Works
Join factorization can factorize multiple tables and from more than two
UNION ALL
branches.
•Factorization and Join Orders: Scenario
Join factorization can create more possibilities for join orders
•Factorization of Outer Joins: Scenario
The database supports join factorization of outer joins, antijoins, and semijoins, but
only for the right tables in such joins.
5.10.1 Purpose of Join Factorization
UNION ALL
queries are common in database applications, especially in data integration
applications.
Often, branches in a
UNION ALL
query refer to the same base tables. Without join
factorization, the optimizer evaluates each branch of a
UNION ALL
query independently,
Chapter 5
Join Factorization
5-26

which leads to repetitive processing, including data access and joins. Join factorization
transformation can share common computations across the
UNION ALL
branches.
Avoiding an extra scan of a large base table can lead to a huge performance
improvement.
5.10.2 How Join Factorization Works
Join factorization can factorize multiple tables and from more than two
UNION ALL
branches.
Join factorization is best explained through examples.
Example 5-10 UNION ALL Query
The following query shows a query of four tables (
t1
,
t2
,
t3
, and
t4
) and two
UNION ALL
branches:
SELECT t1.c1, t2.c2
FROM t1, t2, t3
WHERE t1.c1 = t2.c1
AND t1.c1 > 1
AND t2.c2 = 2
AND t2.c2 = t3.c2
UNION ALL
SELECT t1.c1, t2.c2
FROM t1, t2, t4
WHERE t1.c1 = t2.c1
AND t1.c1 > 1
AND t2.c3 = t4.c3
In the preceding query, table
t1
appears in both
UNION ALL
branches, as does the filter
predicate
t1.c1 > 1
and the join predicate
t1.c1 = t2.c1
. Without any transformation,
the database must perform the scan and the filtering on table
t1
twice, one time for
each branch.
Example 5-11 Factorized Query
Example 5-10
SELECT t1.c1, VW_JF_1.item_2
FROM t1, (SELECT t2.c1 item_1, t2.c2 item_2
FROM t2, t3
WHERE t2.c2 = t3.c2
AND t2.c2 = 2
UNION ALL
SELECT t2.c1 item_1, t2.c2 item_2
FROM t2, t4
WHERE t2.c3 = t4.c3) VW_JF_1
WHERE t1.c1 = VW_JF_1.item_1
AND t1.c1 > 1
In this case, because table
t1
is factorized, the database performs the table scan and
the filtering on
t1
only one time. If
t1
is large, then this factorization avoids the huge
performance cost of scanning and filtering
t1
twice.
Chapter 5
Join Factorization
5-27

Note:
If the branches in a
UNION ALL
query have clauses that use the
DISTINCT
function, then join factorization is not valid.
5.10.3 Factorization and Join Orders: Scenario
Join factorization can create more possibilities for join orders
Example 5-12 Query Involving Five Tables
In the following query, view
V
is same as the query as in Example 5-10:
SELECT *
FROM t5, (SELECT t1.c1, t2.c2
FROM t1, t2, t3
WHERE t1.c1 = t2.c1
AND t1.c1 > 1
AND t2.c2 = 2
AND t2.c2 = t3.c2
UNION ALL
SELECT t1.c1, t2.c2
FROM t1, t2, t4
WHERE t1.c1 = t2.c1
AND t1.c1 > 1
AND t2.c3 = t4.c3) V
WHERE t5.c1 = V.c1
t1t2t3t5
Example 5-13 Factorization of t1 from View V
If join factorization factorizes
t1
from view
V
, as shown in the following query, then the
database can join
t1
with
t5
.:
SELECT *
FROM t5, ( SELECT t1.c1, VW_JF_1.item_2
FROM t1, (SELECT t2.c1 item_1, t2.c2 item_2
FROM t2, t3
WHERE t2.c2 = t3.c2
AND t2.c2 = 2
UNION ALL
SELECT t2.c1 item_1, t2.c2 item_2
FROM t2, t4
WHERE t2.c3 = t4.c3) VW_JF_1
WHERE t1.c1 = VW_JF_1.item_1
AND t1.c1 > 1 )
WHERE t5.c1 = V.c1
The preceding query transformation opens up new join orders. However, join
factorization imposes specific join orders. For example, in the preceding query, tables
t2
and
t3
appear in the first branch of the
UNION ALL
query in view
VW_JF_1
. The
database must join
t2
with
t3
before it can join with
t1
, which is not defined within the
VW_JF_1
view. The imposed join order may not necessarily be the best join order. For
this reason, the optimizer performs join factorization using the cost-based
transformation framework. The optimizer calculates the cost of the plans with and
without join factorization, and then chooses the cheapest plan.
Chapter 5
Join Factorization
5-28

Example 5-14 Factorization of t1 from View V with View Definition Removed
The following query is the same query in Example 5-13, but with the view definition
removed so that the factorization is easier to see:
SELECT *
FROM t5, (SELECT t1.c1, VW_JF_1.item_2
FROM t1, VW_JF_1
WHERE t1.c1 = VW_JF_1.item_1
AND t1.c1 > 1)
WHERE t5.c1 = V.c1
5.10.4 Factorization of Outer Joins: Scenario
The database supports join factorization of outer joins, antijoins, and semijoins, but
only for the right tables in such joins.
For example, join factorization can transform the following
UNION ALL
query by
factorizing
t2
:
SELECT t1.c2, t2.c2
FROM t1, t2
WHERE t1.c1 = t2.c1(+)
AND t1.c1 = 1
UNION ALL
SELECT t1.c2, t2.c2
FROM t1, t2
WHERE t1.c1 = t2.c1(+)
AND t1.c1 = 2
The following example shows the transformation. Table
t2
now no longer appears in
the
UNION ALL
branches of the subquery.
SELECT VW_JF_1.item_2, t2.c2
FROM t2, (SELECT t1.c1 item_1, t1.c2 item_2
FROM t1
WHERE t1.c1 = 1
UNION ALL
SELECT t1.c1 item_1, t1.c2 item_2
FROM t1
WHERE t1.c1 = 2) VW_JF_1
WHERE VW_JF_1.item_1 = t2.c1(+)
Chapter 5
Join Factorization
5-29

Part III
Query Execution Plans
If a query has suboptimal performance, the execution plan is the key tool for
understanding the problem and supplying a solution.
This part contains the following chapters:
•Generating and Displaying Execution Plans
A thorough understanding of execution plans is essential to SQL tuning.
•Reading Execution Plans
Execution plans are represented as a tree of operations.

6
Generating and Displaying Execution Plans
A thorough understanding of execution plans is essential to SQL tuning.
This chapter contains the following topics:
•Introduction to Execution Plans
The combination of the steps that Oracle Database uses to execute a statement is
an execution plan.
•About Plan Generation and Display
The
EXPLAIN PLAN
statement displays execution plans that the optimizer chooses
for
SELECT
,
UPDATE
,
INSERT
, and
DELETE
statements.
•Generating Execution Plans
The
EXPLAIN PLAN
statement enables you to examine the execution plan that the
optimizer chose for a SQL statement.
•Displaying PLAN_TABLE Output
You can use scripts or a package to display the plan output.
6.1 Introduction to Execution Plans
The combination of the steps that Oracle Database uses to execute a statement is an
execution plan.
Each step either retrieves rows of data physically from the database or prepares them
for the user issuing the statement. An execution plan includes an access path for each
table that the statement accesses and an ordering of the tables (the join order) with
the appropriate join method.
6.2 About Plan Generation and Display
The
EXPLAIN PLAN
statement displays execution plans that the optimizer chooses for
SELECT
,
UPDATE
,
INSERT
, and
DELETE
statements.
This section contains the following topics:
•About the Plan Explanation
A statement execution plan is the sequence of operations that the database
performs to run the statement.
•Why Execution Plans Change
Execution plans can and do change as the underlying optimizer inputs change.
•Guideline for Minimizing Throw-Away
Examining an explain plan enables you to look for rows that are thrown-away.
•Guidelines for Evaluating Execution Plans Using EXPLAIN PLAN
The execution plan operation alone cannot differentiate between well-tuned
statements and those that perform suboptimally.
6-1

•EXPLAIN PLAN Restrictions
Oracle Database does not support
EXPLAIN PLAN
for statements performing implicit
type conversion of date bind variables.
•Guidelines for Creating PLAN_TABLE
The
PLAN_TABLE
is automatically created as a public synonym to a global temporary
table.
6.2.1 About the Plan Explanation
A statement execution plan is the sequence of operations that the database performs
to run the statement.
The row source tree is the core of the execution plan. The tree shows the following
information:
•An ordering of the tables referenced by the statement
•An access method for each table mentioned in the statement
•A join method for tables affected by join operations in the statement
•Data operations like filter, sort, or aggregation
In addition to the row source tree, the plan table contains information about the
following:
•Optimization, such as the cost and cardinality of each operation
•Partitioning, such as the set of accessed partitions
•Parallel execution, such as the distribution method of join inputs
You can use the
EXPLAIN PLAN
results to determine whether the optimizer chose a
particular execution plan, such as a nested loops join. The results also help you to
understand the optimizer decisions, such as why the optimizer chose a nested loops
join instead of a hash join.
6.2.2 Why Execution Plans Change
Execution plans can and do change as the underlying optimizer inputs change.
EXPLAIN PLAN
output shows how the database would run the SQL statement when the
statement was explained. This plan can differ from the actual execution plan a SQL
statement uses because of differences in the execution environment and explain plan
environment.
Note:
To avoid possible SQL performance regression that may result from
execution plan changes, consider using SQL plan management.
This section contains the following topics:
•Different Schemas
Schemas can differ for various reasons.
Chapter 6
About Plan Generation and Display
6-2

•Different Costs
Even if the schemas are the same, the optimizer can choose different execution
plans when the costs are different.
See Also:
•"Overview of SQL Plan Management"
•Oracle Database PL/SQL Packages and Types Reference to learn about
the
DBMS_SPM
package
6.2.2.1 Different Schemas
Schemas can differ for various reasons.
Principal reasons include the following:
•The execution and explain plan occur on different databases.
•The user explaining the statement is different from the user running the statement.
Two users might be pointing to different objects in the same database, resulting in
different execution plans.
•Schema changes (often changes in indexes) between the two operations.
6.2.2.2 Different Costs
Even if the schemas are the same, the optimizer can choose different execution plans
when the costs are different.
Some factors that affect the costs include the following:
•Data volume and statistics
•Bind variable types and values
•Initialization parameters set globally or at session level
6.2.3 Guideline for Minimizing Throw-Away
Examining an explain plan enables you to look for rows that are thrown-away.
The database often throws away rows in the following situations:
•Full scans
•Unselective range scans
•Late predicate filters
•Wrong join order
•Late filter operations
In the plan shown in Example 6-1, the last step is a very unselective range scan that is
executed 76,563 times, accesses 11,432,983 rows, throws away 99% of them, and
retains 76,563 rows. Why access 11,432,983 rows to realize that only 76,563 rows are
needed?
Chapter 6
About Plan Generation and Display
6-3

Example 6-1 Looking for Thrown-Away Rows in an Explain Plan
Rows Execution Plan
-------- ----------------------------------------------------
12 SORT AGGREGATE
2 SORT GROUP BY
76563 NESTED LOOPS
76575 NESTED LOOPS
19 TABLE ACCESS FULL CN_PAYRUNS_ALL
76570 TABLE ACCESS BY INDEX ROWID CN_POSTING_DETAILS_ALL
76570 INDEX RANGE SCAN (object id 178321)
76563 TABLE ACCESS BY INDEX ROWID CN_PAYMENT_WORKSHEETS_ALL
11432983 INDEX RANGE SCAN (object id 186024)
6.2.4 Guidelines for Evaluating Execution Plans Using EXPLAIN PLAN
The execution plan operation alone cannot differentiate between well-tuned
statements and those that perform suboptimally.
For example, an
EXPLAIN PLAN
output that shows that a statement uses an index does
not necessarily mean that the statement runs efficiently. Sometimes indexes are
extremely inefficient. In this case, a good practice is to examine the following:
•The columns of the index being used
•Their selectivity (fraction of table being accessed)
It is best to use
EXPLAIN PLAN
to determine an access plan, and then later prove that it
is the optimal plan through testing. When evaluating a plan, examine the statement's
actual resource consumption.
This section contains the following topics:
•Guidelines for Evaluating Plans Using the V$SQL_PLAN Views
As an alternative to running the
EXPLAIN PLAN
command and displaying the plan,
you can display the plan by querying the
V$SQL_PLAN
view.
6.2.4.1 Guidelines for Evaluating Plans Using the V$SQL_PLAN Views
As an alternative to running the
EXPLAIN PLAN
command and displaying the plan, you
can display the plan by querying the
V$SQL_PLAN
view.
V$SQL_PLAN
contains the execution plan for every statement stored in the shared SQL
area. Its definition is similar to
PLAN_TABLE
.
The advantage of
V$SQL_PLAN
over
EXPLAIN PLAN
is that you do not need to know the
compilation environment that was used to execute a particular statement. For
EXPLAIN
PLAN
, you would need to set up an identical environment to get the same plan when
executing the statement.
The
V$SQL_PLAN_STATISTICS
view provides the actual execution statistics for every
operation in the plan, such as the number of output rows and elapsed time. All
statistics, except the number of output rows, are cumulative. For example, the
statistics for a join operation also includes the statistics for its two inputs. The statistics
in
V$SQL_PLAN_STATISTICS
are available for cursors that have been compiled with the
STATISTICS_LEVEL
initialization parameter set to
ALL
.
The
V$SQL_PLAN_STATISTICS_ALL
view enables side by side comparisons of the
estimates that the optimizer provides for the number of rows and elapsed time. This
Chapter 6
About Plan Generation and Display
6-4

view combines both
V$SQL_PLAN
and
V$SQL_PLAN_STATISTICS
information for every
cursor.
6.2.5 EXPLAIN PLAN Restrictions
Oracle Database does not support
EXPLAIN PLAN
for statements performing implicit type
conversion of date bind variables.
With bind variables in general, the
EXPLAIN PLAN
output might not represent the real
execution plan.
From the text of a SQL statement,
TKPROF
cannot determine the types of the bind
variables. It assumes that the type is
VARCHAR
, and gives an error message otherwise.
You can avoid this limitation by putting appropriate type conversions in the SQL
statement.
6.2.6 Guidelines for Creating PLAN_TABLE
The
PLAN_TABLE
is automatically created as a public synonym to a global temporary
table.
This temporary table holds the output of
EXPLAIN PLAN
statements for all users.
PLAN_TABLE
is the default sample output table into which the
EXPLAIN
PLAN
statement
inserts rows describing execution plans.
While a
PLAN_TABLE
table is automatically set up for each user, you can use the SQL
script
catplan.sql
to manually create the global temporary table and the
PLAN_TABLE
synonym. The name and location of this script depends on your operating system. On
UNIX and Linux, the script is located in the
$ORACLE_HOME/rdbms/admin
directory.
For example, start a SQL*Plus session, connect with
SYSDBA
privileges, and run the
script as follows:
@$ORACLE_HOME/rdbms/admin/catplan.sql
Oracle recommends that you drop and rebuild your local
PLAN_TABLE
table after
upgrading the version of the database because the columns might change. This can
cause scripts to fail or cause
TKPROF
to fail, if you are specifying the table.
If you do not want to use the name
PLAN_TABLE
, create a new synonym after running the
catplan.sql
script. For example:
CREATE OR REPLACE PUBLIC SYNONYM my_plan_table for plan_table$
6.3 Generating Execution Plans
The
EXPLAIN PLAN
statement enables you to examine the execution plan that the
optimizer chose for a SQL statement.
When the statement is issued, the optimizer chooses an execution plan and then
inserts data describing the plan into a database table. Issue the
EXPLAIN PLAN
statement and then query the output table.
This section contains the following topics:
Chapter 6
Generating Execution Plans
6-5

•Executing EXPLAIN PLAN for a Single Statement
Explain the plan using database-supplied scripts.
•Executing EXPLAIN PLAN Using a Statement ID
With multiple statements, you can specify a statement identifier and use that to
identify your specific execution plan.
•Directing EXPLAIN PLAN Output to a Nondefault Table
You can specify the
INTO
clause to specify a different table.
6.3.1 Executing EXPLAIN PLAN for a Single Statement
Explain the plan using database-supplied scripts.
The basics of using the
EXPLAIN PLAN
statement are as follows:
•Use the SQL script
catplan.sql
to create a sample output table called
PLAN_TABLE
in your schema.
•Include the
EXPLAIN PLAN FOR
clause before the SQL statement.
•After issuing the
EXPLAIN PLAN
statement, use a script or package provided by
Oracle Database to display the most recent plan table output.
•The execution order in
EXPLAIN PLAN
output begins with the line that is the furthest
indented to the right. The next step is the parent of that line. If two lines are
indented equally, then the top line is normally executed first.
Note:
–The
EXPLAIN PLAN
output tables in this chapter were displayed with
the
utlxpls.sql
script.
–The steps in the
EXPLAIN PLAN
output in this chapter may be different
on your database. The optimizer may choose different execution
plans, depending on database configurations.
To explain a SQL statement, use the
EXPLAIN PLAN FOR
clause immediately before the
statement. For example:
EXPLAIN PLAN FOR
SELECT last_name FROM employees;
The preceding plan explains the plan and stores the output in the
PLAN_TABLE
table.
You can then select the execution plan from
PLAN_TABLE
.
6.3.2 Executing EXPLAIN PLAN Using a Statement ID
With multiple statements, you can specify a statement identifier and use that to identify
your specific execution plan.
Before using
SET STATEMENT ID
, remove any existing rows for that statement ID. In the
following example,
st1
is specified as the statement identifier.
Chapter 6
Generating Execution Plans
6-6

Example 6-2 Using EXPLAIN PLAN with the STATEMENT ID Clause
EXPLAIN PLAN
SET STATEMENT_ID = 'st1' FOR
SELECT last_name FROM employees;
6.3.3 Directing EXPLAIN PLAN Output to a Nondefault Table
You can specify the
INTO
clause to specify a different table.
The following statement directs output to
my_plan_table
:
EXPLAIN PLAN
INTO my_plan_table FOR
SELECT last_name FROM employees;
You can specify a statement ID when using the
INTO
clause, as in the following
statement:
EXPLAIN PLAN
SET STATEMENT_ID = 'st1'
INTO my_plan_table FOR
SELECT last_name FROM employees;
6.4 Displaying PLAN_TABLE Output
You can use scripts or a package to display the plan output.
After you have explained the plan, use the following SQL scripts or PL/SQL package
provided by Oracle Database to display the most recent plan table output:
•
utlxpls.sql
This script displays the plan table output for serial processing. Example 6-4 is an
example of the plan table output when using the
utlxpls.sql
script.
•
utlxplp.sql
This script displays the plan table output including parallel execution columns.
•
DBMS_XPLAN.DISPLAY
table function
This function accepts options for displaying the plan table output. You can specify:
–A plan table name if you are using a table different than
PLAN_TABLE
–A statement ID if you have set a statement ID with the
EXPLAIN PLAN
–A format option that determines the level of detail:
BASIC
,
SERIAL
,
TYPICAL
, and
ALL
Examples of using
DBMS_XPLAN
to display
PLAN_TABLE
output are:
SELECT PLAN_TABLE_OUTPUT FROM TABLE(DBMS_XPLAN.DISPLAY());
SELECT PLAN_TABLE_OUTPUT
FROM TABLE(DBMS_XPLAN.DISPLAY('MY_PLAN_TABLE', 'st1','TYPICAL'));
This section contains the following topics:
Chapter 6
Displaying PLAN_TABLE Output
6-7

See Also:
Oracle Database PL/SQL Packages and Types Reference for more
information about the
DBMS_XPLAN
package
•Displaying an Execution Plan: Example
This example uses
EXPLAIN PLAN
to examine a SQL statement that selects the
employee_id
,
job_title
,
salary
, and
department_name
for the employees whose IDs
are less than 103.
•Customizing PLAN_TABLE Output
If you have specified a statement identifier, then you can write your own script to
query the
PLAN_TABLE
.
6.4.1 Displaying an Execution Plan: Example
This example uses
EXPLAIN PLAN
to examine a SQL statement that selects the
employee_id
,
job_title
,
salary
, and
department_name
for the employees whose IDs are
less than 103.
Example 6-3 Using EXPLAIN PLAN
EXPLAIN PLAN FOR
SELECT e.employee_id, j.job_title, e.salary, d.department_name
FROM employees e, jobs j, departments d
WHERE e.employee_id < 103
AND e.job_id = j.job_id
AND e.department_id = d.department_id;
Example 6-4 EXPLAIN PLAN Output
The following output table shows the execution plan that the optimizer chose to
execute the SQL statement in Example 6-3:
-----------------------------------------------------------------------------------
| Id | Operation | Name | Rows | Bytes | Cost (%CPU)|
-----------------------------------------------------------------------------------
| 0 | SELECT STATEMENT | | 3 | 189 | 10 (10)|
| 1 | NESTED LOOPS | | 3 | 189 | 10 (10)|
| 2 | NESTED LOOPS | | 3 | 141 | 7 (15)|
|* 3 | TABLE ACCESS FULL | EMPLOYEES | 3 | 60 | 4 (25)|
| 4 | TABLE ACCESS BY INDEX ROWID| JOBS | 19 | 513 | 2 (50)|
|* 5 | INDEX UNIQUE SCAN | JOB_ID_PK | 1 | | |
| 6 | TABLE ACCESS BY INDEX ROWID | DEPARTMENTS | 27 | 432 | 2 (50)|
|* 7 | INDEX UNIQUE SCAN | DEPT_ID_PK | 1 | | |
-----------------------------------------------------------------------------------
Predicate Information (identified by operation id):
---------------------------------------------------
3 - filter("E"."EMPLOYEE_ID"<103)
5 - access("E"."JOB_ID"="J"."JOB_ID")
7 - access("E"."DEPARTMENT_ID"="D"."DEPARTMENT_ID"
------------------------------------------------------------------------------------------------
| Id | Operation | Name | Rows | Bytes | Cost (%CPU)| Time |
------------------------------------------------------------------------------------------------
| 0 | SELECT STATEMENT | | 3 | 189 | 8 (13)| 00:00:01 |
| 1 | NESTED LOOPS | | | | | |
Chapter 6
Displaying PLAN_TABLE Output
6-8

| 2 | NESTED LOOPS | | 3 | 189 | 8 (13)| 00:00:01 |
| 3 | MERGE JOIN | | 3 | 141 | 5 (20)| 00:00:01 |
| 4 | TABLE ACCESS BY INDEX ROWID | JOBS | 19 | 513 | 2 (0)| 00:00:01 |
| 5 | INDEX FULL SCAN | JOB_ID_PK | 19 | | 1 (0)| 00:00:01 |
|* 6 | SORT JOIN | | 3 | 60 | 3 (34)| 00:00:01 |
| 7 | TABLE ACCESS BY INDEX ROWID| EMPLOYEES | 3 | 60 | 2 (0)| 00:00:01 |
|* 8 | INDEX RANGE SCAN | EMP_EMP_ID_PK | 3 | | 1 (0)| 00:00:01 |
|* 9 | INDEX UNIQUE SCAN | DEPT_ID_PK | 1 | | 0 (0)| 00:00:01 |
| 10 | TABLE ACCESS BY INDEX ROWID | DEPARTMENTS | 1 | 16 | 1 (0)| 00:00:01 |
------------------------------------------------------------------------------------------------
Predicate Information (identified by operation id):
---------------------------------------------------
6 - access("E"."JOB_ID"="J"."JOB_ID")
filter("E"."JOB_ID"="J"."JOB_ID")
8 - access("E"."EMPLOYEE_ID"<103)
9 - access("E"."DEPARTMENT_ID"="D"."DEPARTMENT_ID")
6.4.2 Customizing PLAN_TABLE Output
If you have specified a statement identifier, then you can write your own script to query
the
PLAN_TABLE
.
For example:
•Start with ID = 0 and given
STATEMENT_ID
.
•Use the
CONNECT BY
clause to walk the tree from parent to child, the join keys being
STATEMENT_ID = PRIOR STATMENT_ID
and
PARENT_ID = PRIOR ID
.
•Use the pseudo-column
LEVEL
(associated with
CONNECT BY
) to indent the children.
SELECT cardinality "Rows",
lpad(' ',level-1)||operation||' '||options||' '||object_name "Plan"
FROM PLAN_TABLE
CONNECT BY prior id = parent_id
AND prior statement_id = statement_id
START WITH id = 0
AND statement_id = 'st1'
ORDER BY id;
Rows Plan
------- ----------------------------------------
SELECT STATEMENT
TABLE ACCESS FULL EMPLOYEES
The
NULL
in the
Rows
column indicates that the optimizer does not have any
statistics on the table. Analyzing the table shows the following:
Rows Plan
------- ----------------------------------------
16957 SELECT STATEMENT
16957 TABLE ACCESS FULL EMPLOYEES
You can also select the
COST
. This is useful for comparing execution plans or for
understanding why the optimizer chooses one execution plan over another.
Chapter 6
Displaying PLAN_TABLE Output
6-9

Note:
These simplified examples are not valid for recursive SQL.
Chapter 6
Displaying PLAN_TABLE Output
6-10

7
Reading Execution Plans
Execution plans are represented as a tree of operations.
This chapter contains the following topics:
•Reading Execution Plans: Basic
This section uses
EXPLAIN PLAN
examples to illustrate execution plans.
•Reading Execution Plans: Advanced
In some cases, execution plans can be complicated and challenging to read.
•Execution Plan Reference
This section describes
V$
views and
PLAN_COLUMN
columns.
7.1 Reading Execution Plans: Basic
This section uses
EXPLAIN PLAN
examples to illustrate execution plans.
The following query displays the execution plans:
SELECT PLAN_TABLE_OUTPUT
FROM TABLE(DBMS_XPLAN.DISPLAY(NULL, 'statement_id','BASIC'));
Examples of the output from this statement are shown in Example 7-4 and
Example 7-1.
Example 7-1 EXPLAIN PLAN for Statement ID ex_plan1
The following plan shows execution of a
SELECT
statement. The table
employees
is
accessed using a full table scan. Every row in the table
employees
is accessed, and the
WHERE
clause criteria is evaluated for every row.
EXPLAIN PLAN
SET statement_id = 'ex_plan1' FOR
SELECT phone_number
FROM employees
WHERE phone_number LIKE '650%';
---------------------------------------
| Id | Operation | Name |
---------------------------------------
| 0 | SELECT STATEMENT | |
| 1 | TABLE ACCESS FULL| EMPLOYEES |
---------------------------------------
Example 7-2 EXPLAIN PLAN for Statement ID ex_plan2
This following plan shows the execution of a
SELECT
statement. In this example, the
database range scans the
EMP_NAME_IX
index to evaluate the
WHERE
clause criteria.
EXPLAIN PLAN
SET statement_id = 'ex_plan2' FOR
SELECT last_name
FROM employees
7-1

WHERE last_name LIKE 'Pe%';
SELECT PLAN_TABLE_OUTPUT
FROM TABLE(DBMS_XPLAN.DISPLAY(NULL, 'ex_plan2','BASIC'));
----------------------------------------
| Id | Operation | Name |
----------------------------------------
| 0 | SELECT STATEMENT | |
| 1 | INDEX RANGE SCAN| EMP_NAME_IX |
----------------------------------------
7.2 Reading Execution Plans: Advanced
In some cases, execution plans can be complicated and challenging to read.
This section contains the following topics:
•Reading Adaptive Query Plans
The adaptive optimizer is a feature of the optimizer that enables it to adapt plans
based on run-time statistics. All adaptive mechanisms can execute a final plan for
a statement that differs from the default plan.
•Viewing Parallel Execution with EXPLAIN PLAN
Plans for parallel queries differ in important ways from plans for serial queries.
•Viewing Bitmap Indexes with EXPLAIN PLAN
Index row sources using bitmap indexes appear in the
EXPLAIN PLAN
output with the
word
BITMAP
indicating the type of the index.
•Viewing Result Cache with EXPLAIN PLAN
When your query contains the
result_cache
hint, the
ResultCache
operator is
inserted into the execution plan.
•Viewing Partitioned Objects with EXPLAIN PLAN
Use
EXPLAIN PLAN
to determine how Oracle Database accesses partitioned objects
for specific queries.
•PLAN_TABLE Columns
The
PLAN_TABLE
used by the
EXPLAIN PLAN
statement contains the columns listed in
this topic.
7.2.1 Reading Adaptive Query Plans
The adaptive optimizer is a feature of the optimizer that enables it to adapt plans
based on run-time statistics. All adaptive mechanisms can execute a final plan for a
statement that differs from the default plan.
An adaptive query plan chooses among subplans during the current statement
execution. In contrast, automatic reoptimization changes a plan only on executions
that occur after the current statement execution.
You can determine whether the database used adaptive query optimization for a SQL
statement based on the comments in the
Notes
section of plan. The comments indicate
whether row sources are dynamic, or whether automatic reoptimization adapted a
plan.
Chapter 7
Reading Execution Plans: Advanced
7-2

Assumptions
This tutorial assumes the following:
•The
STATISTICS_LEVEL
initialization parameter is set to
ALL
.
•The database uses the default settings for adaptive execution.
•As user
oe
, you want to issue the following separate queries:
SELECT o.order_id, v.product_name
FROM orders o,
( SELECT order_id, product_name
FROM order_items o, product_information p
WHERE p.product_id = o.product_id
AND list_price < 50
AND min_price < 40 ) v
WHERE o.order_id = v.order_id
SELECT product_name
FROM order_items o, product_information p
WHERE o.unit_price = 15
AND quantity > 1
AND p.product_id = o.product_id
•Before executing each query, you want to query
DBMS_XPLAN.DISPLAY_PLAN
to see
the default plan, that is, the plan that the optimizer chose before applying its
adaptive mechanism.
•After executing each query, you want to query
DBMS_XPLAN.DISPLAY_CURSOR
to see
the final plan and adaptive query plan.
•
SYS
has granted
oe
the following privileges:
–
GRANT SELECT ON V_$SESSION TO oe
–
GRANT SELECT ON V_$SQL TO oe
–
GRANT SELECT ON V_$SQL_PLAN TO oe
–
GRANT SELECT ON V_$SQL_PLAN_STATISTICS_ALL TO oe
To see the results of adaptive optimization:
1. Start SQL*Plus, and then connect to the database as user
oe
.
2. Query
orders
.
For example, use the following statement:
SELECT o.order_id, v.product_name
FROM orders o,
( SELECT order_id, product_name
FROM order_items o, product_information p
WHERE p.product_id = o.product_id
AND list_price < 50
AND min_price < 40 ) v
WHERE o.order_id = v.order_id;
3. View the plan in the cursor.
For example, run the following commands:
Chapter 7
Reading Execution Plans: Advanced
7-3

SET LINESIZE 165
SET PAGESIZE 0
SELECT * FROM TABLE(DBMS_XPLAN.DISPLAY_CURSOR(FORMAT=>'+ALLSTATS'));
The following sample output has been reformatted to fit on the page. In this plan,
the optimizer chooses a nested loops join. The original optimizer estimates are
shown in the
E-Rows
column, whereas the actual statistics gathered during
execution are shown in the
A-Rows
column. In the
MERGE JOIN
operation, the
difference between the estimated and actual number of rows is significant.
--------------------------------------------------------------------------------------------
|Id| Operation | Name |Start|E-Rows|A-Rows|A-Time|Buff|OMem|1Mem|O/1/M|
--------------------------------------------------------------------------------------------
| 0| SELECT STATEMENT | | 1| | 269|00:00:00.09|1338| | | |
| 1| NESTED LOOPS | | 1| 1| 269|00:00:00.09|1338| | | |
| 2| MERGE JOIN CARTESIAN| | 1| 4|9135|00:00:00.03| 33| | | |
|*3| TABLE ACCESS FULL |PRODUCT_INFORMAT| 1| 1| 87|00:00:00.01| 32| | | |
| 4| BUFFER SORT | | 87|105|9135|00:00:00.01| 1|4096|4096|1/0/0|
| 5| INDEX FULL SCAN | ORDER_PK | 1|105| 105|00:00:00.01| 1| | | |
|*6| INDEX UNIQUE SCAN | ORDER_ITEMS_UK |9135| 1| 269|00:00:00.03|1305| | | |
--------------------------------------------------------------------------------------------
Predicate Information (identified by operation id):
---------------------------------------------------
3 - filter(("MIN_PRICE"<40 AND "LIST_PRICE"<50))
6 - access("O"."ORDER_ID"="ORDER_ID" AND "P"."PRODUCT_ID"="O"."PRODUCT_ID")
4. Run the same query of
orders
that you ran in Step 2.
5. View the execution plan in the cursor by using the same
SELECT
statement that you
ran in Step 3.
The following example shows that the optimizer has chosen a different plan, using
a hash join. The Note section shows that the optimizer used statistics feedback to
adjust its cost estimates for the second execution of the query, thus illustrating
automatic reoptimization.
--------------------------------------------------------------------------------------------
|Id| Operation |Name |Start|E-Rows|A-Rows|A-Time|Buff|Reads|OMem|1Mem|O/1/M|
--------------------------------------------------------------------------------------------
| 0| SELECT STATEMENT | | 1 | |269|00:00:00.02|60|1| | | |
| 1| NESTED LOOPS | | 1 |269|269|00:00:00.02|60|1| | | |
|*2| HASH JOIN | | 1 |313|269|00:00:00.02|39|1|1000K|1000K|1/0/0|
|*3| TABLE ACCESS FULL |PRODUCT_INFORMA| 1 | 87| 87|00:00:00.01|15|0| | | |
| 4| INDEX FAST FULL SCAN|ORDER_ITEMS_UK | 1 |665|665|00:00:00.01|24|1| | | |
|*5| INDEX UNIQUE SCAN |ORDER_PK |269| 1|269|00:00:00.01|21|0| | | |
--------------------------------------------------------------------------------------------
Predicate Information (identified by operation id):
---------------------------------------------------
2 - access("P"."PRODUCT_ID"="O"."PRODUCT_ID")
3 - filter(("MIN_PRICE"<40 AND "LIST_PRICE"<50))
5 - access("O"."ORDER_ID"="ORDER_ID")
Note
-----
- statistics feedback used for this statement
6. Query
V$SQL
to verify the performance improvement.
Chapter 7
Reading Execution Plans: Advanced
7-4

The following query shows the performance of the two statements (sample output
included).
SELECT CHILD_NUMBER, CPU_TIME, ELAPSED_TIME, BUFFER_GETS
FROM V$SQL
WHERE SQL_ID = 'gm2npz344xqn8';
CHILD_NUMBER CPU_TIME ELAPSED_TIME BUFFER_GETS
------------ ---------- ------------ -----------
0 92006 131485 1831
1 12000 24156 60
The second statement executed, which is child number
1
, used statistics feedback.
CPU time, elapsed time, and buffer gets are all significantly lower.
7. Explain the plan for the query of
order_items
.
For example, use the following statement:
EXPLAIN PLAN FOR
SELECT product_name
FROM order_items o, product_information p
WHERE o.unit_price = 15
AND quantity > 1
AND p.product_id = o.product_id
8. View the plan in the plan table.
For example, run the following statement:
SELECT * FROM TABLE(DBMS_XPLAN.DISPLAY);
Sample output appears below:
-------------------------------------------------------------------------------
|Id| Operation | Name |Rows|Bytes|Cost (%CPU)|Time|
-------------------------------------------------------------------------------
| 0| SELECT STATEMENT | |4|128|7 (0)|00:00:01|
| 1| NESTED LOOPS | | | | | |
| 2| NESTED LOOPS | |4|128|7 (0)|00:00:01|
|*3| TABLE ACCESS FULL |ORDER_ITEMS |4|48 |3 (0)|00:00:01|
|*4| INDEX UNIQUE SCAN |PRODUCT_INFORMATION_PK|1| |0 (0)|00:00:01|
| 5| TABLE ACCESS BY INDEX ROWID|PRODUCT_INFORMATION |1|20 |1 (0)|00:00:01|
-------------------------------------------------------------------------------
Predicate Information (identified by operation id):
---------------------------------------------------
3 - filter("O"."UNIT_PRICE"=15 AND "QUANTITY">1)
4 - access("P"."PRODUCT_ID"="O"."PRODUCT_ID")
In this plan, the optimizer chooses a nested loops join.
9. Run the query that you previously explained.
For example, use the following statement:
SELECT product_name
FROM order_items o, product_information p
WHERE o.unit_price = 15
AND quantity > 1
AND p.product_id = o.product_id
10. View the plan in the cursor.
Chapter 7
Reading Execution Plans: Advanced
7-5

For example, run the following commands:
SET LINESIZE 165
SET PAGESIZE 0
SELECT * FROM TABLE(DBMS_XPLAN.DISPLAY(FORMAT=>'+ADAPTIVE'));
Sample output appears below. Based on statistics collected at run time (Step 4),
the optimizer chose a hash join rather than the nested loops join. The dashes (
-
)
indicate the steps in the nested loops plan that the optimizer considered but do not
ultimately choose. The switch illustrates the adaptive query plan feature.
-------------------------------------------------------------------------------
|Id | Operation | Name |Rows|Bytes|Cost(%CPU)|Time |
-------------------------------------------------------------------------------
| 0| SELECT STATEMENT | |4|128|7(0)|00:00:01|
| *1| HASH JOIN | |4|128|7(0)|00:00:01|
|- 2| NESTED LOOPS | | | | | |
|- 3| NESTED LOOPS | | |128|7(0)|00:00:01|
|- 4| STATISTICS COLLECTOR | | | | | |
| *5| TABLE ACCESS FULL | ORDER_ITEMS |4| 48|3(0)|00:00:01|
|-*6| INDEX UNIQUE SCAN | PRODUCT_INFORMATI_PK|1| |0(0)|00:00:01|
|- 7| TABLE ACCESS BY INDEX ROWID| PRODUCT_INFORMATION |1| 20|1(0)|00:00:01|
| 8| TABLE ACCESS FULL | PRODUCT_INFORMATION |1| 20|1(0)|00:00:01|
-------------------------------------------------------------------------------
Predicate Information (identified by operation id):
---------------------------------------------------
1 - access("P"."PRODUCT_ID"="O"."PRODUCT_ID")
5 - filter("O"."UNIT_PRICE"=15 AND "QUANTITY">1)
6 - access("P"."PRODUCT_ID"="O"."PRODUCT_ID")
Note
-----
- this is an adaptive plan (rows marked '-' are inactive)
7.2.2 Viewing Parallel Execution with EXPLAIN PLAN
Plans for parallel queries differ in important ways from plans for serial queries.
This section contains the following topics:
•About EXPLAIN PLAN and Parallel Queries
Tuning a parallel query begins much like a non-parallel query tuning exercise by
choosing the driving table. However, the rules governing the choice are different.
•Viewing Parallel Queries with EXPLAIN PLAN: Example
When using
EXPLAIN PLAN
with parallel queries, the database compiles and
executes one parallel plan. This plan is derived from the serial plan by allocating
row sources specific to the parallel support in the QC plan.
7.2.2.1 About EXPLAIN PLAN and Parallel Queries
Tuning a parallel query begins much like a non-parallel query tuning exercise by
choosing the driving table. However, the rules governing the choice are different.
In the serial case, the best driving table produces the fewest numbers of rows after
applying limiting conditions. The database joins a small number of rows to larger
tables using non-unique indexes.
Chapter 7
Reading Execution Plans: Advanced
7-6

For example, consider a table hierarchy consisting of
customer
,
account
, and
transaction
.
Figure 7-1 A Table Hierarchy
CUSTOMER
ACCOUNT
TRANSACTION
In this example,
customer
is the smallest table, whereas
transaction
is the largest
table. A typical OLTP query retrieves transaction information about a specific customer
account. The query drives from the
customer
table. The goal is to minimize logical I/O,
which typically minimizes other critical resources including physical I/O and CPU time.
For parallel queries, the driving table is usually the largest table. It would not be
efficient to use parallel query in this case because only a few rows from each table are
accessed. However, what if it were necessary to identify all customers who had
transactions of a certain type last month? It would be more efficient to drive from the
transaction
table because no limiting conditions exist on the
customer
table. The
database would join rows from the
transaction
table to the
account
table, and then
finally join the result set to the
customer
table. In this case, the used on the
account
and
customer
table are probably highly selective primary key or unique indexes rather than
the non-unique indexes used in the first query. Because the
transaction
table is large
and the column is not selective, it would be beneficial to use parallel query driving from
the
transaction
table.
Parallel operations include the following:
•
PARALLEL_TO_PARALLEL
•
PARALLEL_TO_SERIAL
A
PARALLEL_TO_SERIAL
operation is always the step that occurs when the query
coordinator consumes rows from a parallel operation. Another type of operation
that does not occur in this query is a
SERIAL
operation. If these types of operations
occur, then consider making them parallel operations to improve performance
because they too are potential bottlenecks.
•
PARALLEL_FROM_SERIAL
•
PARALLEL_TO_PARALLEL
If the workloads in each step are relatively equivalent, then the
PARALLEL_TO_PARALLEL
operations generally produce the best performance.
•
PARALLEL_COMBINED_WITH_CHILD
•
PARALLEL_COMBINED_WITH_PARENT
A
PARALLEL_COMBINED_WITH_PARENT
operation occurs when the database performs
the step simultaneously with the parent step.
If a parallel step produces many rows, then the QC may not be able to consume the
rows as fast as they are produced. Little can be done to improve this situation.
Chapter 7
Reading Execution Plans: Advanced
7-7

7.2.2.2 Viewing Parallel Queries with EXPLAIN PLAN: Example
When using
EXPLAIN PLAN
with parallel queries, the database compiles and executes
one parallel plan. This plan is derived from the serial plan by allocating row sources
specific to the parallel support in the QC plan.
The table queue row sources (
PX
Send
and
PX
Receive
), the granule iterator, and buffer
sorts, required by the two parallel execution server set PQ model, are directly inserted
into the parallel plan. This plan is the same plan for all parallel execution servers when
executed in parallel or for the QC when executed serially.
Example 7-3 Parallel Query Explain Plan
The following simple example illustrates an
EXPLAIN
PLAN
for a parallel query:
CREATE TABLE emp2 AS SELECT * FROM employees;
ALTER TABLE emp2 PARALLEL 2;
EXPLAIN PLAN FOR
SELECT SUM(salary)
FROM emp2
GROUP BY department_id;
SELECT PLAN_TABLE_OUTPUT FROM TABLE(DBMS_XPLAN.DISPLAY());
------------------------------------------------------------------------------------------------
| Id | Operation | Name | Rows| Bytes |Cost %CPU| TQ |IN-OUT| PQ Distrib |
------------------------------------------------------------------------------------------------
| 0 | SELECT STATEMENT | | 107 | 2782 | 3 (34) | | | |
| 1 | PX COORDINATOR | | | | | | | |
| 2 | PX SEND QC (RANDOM) | :TQ10001 | 107 | 2782 | 3 (34) | Q1,01 | P->S | QC (RAND) |
| 3 | HASH GROUP BY | | 107 | 2782 | 3 (34) | Q1,01 | PCWP | |
| 4 | PX RECEIVE | | 107 | 2782 | 3 (34) | Q1,01 | PCWP | |
| 5 | PX SEND HASH | :TQ10000 | 107 | 2782 | 3 (34) | Q1,00 | P->P | HASH |
| 6 | HASH GROUP BY | | 107 | 2782 | 3 (34) | Q1,00 | PCWP | |
| 7 | PX BLOCK ITERATOR | | 107 | 2782 | 2 (0) | Q1,00 | PCWP | |
| 8 | TABLE ACCESS FULL| EMP2 | 107 | 2782 | 2 (0) | Q1,00 | PCWP | |
------------------------------------------------------------------------------------------------
One set of parallel execution servers scans
EMP2
in parallel, while the second set
performs the aggregation for the
GROUP
BY
operation. The
PX
BLOCK
ITERATOR
row source
represents the splitting up of the table
EMP2
into pieces to divide the scan workload
between the parallel execution servers. The
PX
SEND
and
PX
RECEIVE
row sources
represent the pipe that connects the two sets of parallel execution servers as rows
flow up from the parallel scan, get repartitioned through the
HASH
table queue, and then
read by and aggregated on the top set. The
PX
SEND
QC
row source represents the
aggregated values being sent to the QC in random (RAND) order. The
PX
COORDINATOR
row source represents the QC or Query Coordinator which controls and schedules the
parallel plan appearing below it in the plan tree.
Chapter 7
Reading Execution Plans: Advanced
7-8

7.2.3 Viewing Bitmap Indexes with EXPLAIN PLAN
Index row sources using bitmap indexes appear in the
EXPLAIN PLAN
output with the
word
BITMAP
indicating the type of the index.
Note:
Queries using bitmap join index indicate the bitmap join index access path.
The operation for bitmap join index is the same as bitmap index.
Example 7-4 EXPLAIN PLAN with Bitmap Indexes
In this example, the predicate
c1=2
yields a bitmap from which a subtraction can take
place. From this bitmap, the bits in the bitmap for
c2=6
are subtracted. Also, the bits in
the bitmap for
c2 IS NULL
are subtracted, explaining why there are two
MINUS
row
sources in the plan. The
NULL
subtraction is necessary for semantic correctness unless
the column has a
NOT NULL
constraint. The
TO ROWIDS
option generates the rowids
necessary for the table access.
EXPLAIN PLAN FOR SELECT *
FROM t
WHERE c1 = 2
AND c2 <> 6
OR c3 BETWEEN 10 AND 20;
SELECT STATEMENT
TABLE ACCESS T BY INDEX ROWID
BITMAP CONVERSION TO ROWID
BITMAP OR
BITMAP MINUS
BITMAP MINUS
BITMAP INDEX C1_IND SINGLE VALUE
BITMAP INDEX C2_IND SINGLE VALUE
BITMAP INDEX C2_IND SINGLE VALUE
BITMAP MERGE
BITMAP INDEX C3_IND RANGE SCAN
7.2.4 Viewing Result Cache with EXPLAIN PLAN
When your query contains the
result_cache
hint, the
ResultCache
operator is inserted
into the execution plan.
For example, consider the following query:
SELECT /*+ result_cache */ deptno, avg(sal)
FROM emp
GROUP BY deptno;
To view the
EXPLAIN PLAN
for this query, use the following command:
EXPLAIN PLAN FOR
SELECT /*+ result_cache */ deptno, avg(sal)
FROM emp
GROUP BY deptno;
Chapter 7
Reading Execution Plans: Advanced
7-9

SELECT PLAN_TABLE_OUTPUT FROM TABLE (DBMS_XPLAN.DISPLAY());
The
EXPLAIN PLAN
output for this query should look similar to the following:
--------------------------------------------------------------------------------
|Id| Operation | Name |Rows|Bytes|Cost(%CPU)|Time |
--------------------------------------------------------------------------------
|0| SELECT STATEMENT | | 11 | 77 | 4 (25)| 00:00:01|
|1| RESULT CACHE |b06ppfz9pxzstbttpbqyqnfbmy| | | | |
|2| HASH GROUP BY | | 11 | 77 | 4 (25)| 00:00:01|
|3| TABLE ACCESS FULL| EMP |107 | 749| 3 (0) | 00:00:01|
--------------------------------------------------------------------------------
In this
EXPLAIN PLAN
, the
ResultCache
operator is identified by its
CacheId
, which is
b06ppfz9pxzstbttpbqyqnfbmy
. You can now run a query on the
V$RESULT_CACHE_OBJECTS
view by using this
CacheId
.
7.2.5 Viewing Partitioned Objects with EXPLAIN PLAN
Use
EXPLAIN PLAN
to determine how Oracle Database accesses partitioned objects for
specific queries.
Partitions accessed after pruning are shown in the
PARTITION START
and
PARTITION STOP
columns. The row source name for the range partition is
PARTITION RANGE
. For hash
partitions, the row source name is
PARTITION HASH
.
A join is implemented using partial partition-wise join if the
DISTRIBUTION
column of the
plan table of one of the joined tables contains
PARTITION(KEY)
. Partial partition-wise join
is possible if one of the joined tables is partitioned on its join column and the table is
parallelized.
A join is implemented using full partition-wise join if the partition row source appears
before the join row source in the
EXPLAIN PLAN
output. Full partition-wise joins are
possible only if both joined tables are equipartitioned on their respective join columns.
Examples of execution plans for several types of partitioning follow.
This section contains the following topics:
•Displaying Range and Hash Partitioning with EXPLAIN PLAN: Examples
This example illustrates pruning by using the
emp_range
table, which partitioned by
range on
hire_date
.
•Pruning Information with Composite Partitioned Objects: Examples
To illustrate how Oracle Database displays pruning information for composite
partitioned objects, consider the table
emp_comp
. It is range-partitioned on
hiredate
and subpartitioned by hash on
deptno
.
•Examples of Partial Partition-Wise Joins
In these examples, the
PQ_DISTRIBUTE
hint explicitly forces a partial partition-wise
join because the query optimizer could have chosen a different plan based on cost
in this query.
•Example of Full Partition-Wise Join
In this example,
emp_comp
and
dept_hash
are joined on their hash partitioning
columns, enabling use of a full partition-wise join.
•Examples of INLIST ITERATOR and EXPLAIN PLAN
An
INLIST ITERATOR
operation appears in the
EXPLAIN PLAN
output if an index
implements an
IN
-list predicate.
Chapter 7
Reading Execution Plans: Advanced
7-10

•Example of Domain Indexes and EXPLAIN PLAN
You can use
EXPLAIN PLAN
to derive user-defined CPU and I/O costs for domain
indexes.
7.2.5.1 Displaying Range and Hash Partitioning with EXPLAIN PLAN:
Examples
This example illustrates pruning by using the
emp_range
table, which partitioned by
range on
hire_date
.
Assume that the tables
employees
and
departments
from the Oracle Database sample
schema exist.
CREATE TABLE emp_range
PARTITION BY RANGE(hire_date)
(
PARTITION emp_p1 VALUES LESS THAN (TO_DATE('1-JAN-1992','DD-MON-YYYY')),
PARTITION emp_p2 VALUES LESS THAN (TO_DATE('1-JAN-1994','DD-MON-YYYY')),
PARTITION emp_p3 VALUES LESS THAN (TO_DATE('1-JAN-1996','DD-MON-YYYY')),
PARTITION emp_p4 VALUES LESS THAN (TO_DATE('1-JAN-1998','DD-MON-YYYY')),
PARTITION emp_p5 VALUES LESS THAN (TO_DATE('1-JAN-2001','DD-MON-YYYY'))
)
AS SELECT * FROM employees;
For the first example, consider the following statement:
EXPLAIN PLAN FOR
SELECT * FROM emp_range;
Oracle Database displays something similar to the following:
--------------------------------------------------------------------
|Id| Operation | Name |Rows| Bytes|Cost|Pstart|Pstop|
--------------------------------------------------------------------
| 0| SELECT STATEMENT | | 105| 13965 | 2 | | |
| 1| PARTITION RANGE ALL| | 105| 13965 | 2 | 1 | 5 |
| 2| TABLE ACCESS FULL | EMP_RANGE | 105| 13965 | 2 | 1 | 5 |
--------------------------------------------------------------------
The database creates a partition row source on top of the table access row source. It
iterates over the set of partitions to be accessed. In this example, the partition iterator
covers all partitions (option
ALL
), because a predicate was not used for pruning. The
PARTITION_START
and
PARTITION_STOP
columns of the
PLAN_TABLE
show access to all
partitions from 1 to 5.
For the next example, consider the following statement:
EXPLAIN PLAN FOR
SELECT *
FROM emp_range
WHERE hire_date >= TO_DATE('1-JAN-1996','DD-MON-YYYY');
-----------------------------------------------------------------------
| Id | Operation | Name |Rows|Bytes|Cost|Pstart|Pstop|
-----------------------------------------------------------------------
| 0 | SELECT STATEMENT | | 3 | 399 | 2 | | |
| 1 | PARTITION RANGE ITERATOR| | 3 | 399 | 2 | 4 | 5 |
| *2 | TABLE ACCESS FULL |EMP_RANGE| 3 | 399 | 2 | 4 | 5 |
-----------------------------------------------------------------------
Chapter 7
Reading Execution Plans: Advanced
7-11

In the previous example, the partition row source iterates from partition 4 to 5 because
the database prunes the other partitions using a predicate on
hire_date
.
Finally, consider the following statement:
EXPLAIN PLAN FOR
SELECT *
FROM emp_range
WHERE hire_date < TO_DATE('1-JAN-1992','DD-MON-YYYY');
-----------------------------------------------------------------------
| Id | Operation | Name |Rows|Bytes|Cost|Pstart|Pstop|
-----------------------------------------------------------------------
| 0 | SELECT STATEMENT | | 1 | 133 | 2 | | |
| 1 | PARTITION RANGE SINGLE| | 1 | 133 | 2 | 1 | 1 |
|* 2 | TABLE ACCESS FULL | EMP_RANGE | 1 | 133 | 2 | 1 | 1 |
-----------------------------------------------------------------------
In the previous example, only partition 1 is accessed and known at compile time; thus,
there is no need for a partition row source.
Note:
Oracle Database displays the same information for hash partitioned objects,
except the partition row source name is
PARTITION HASH
instead of
PARTITION
RANGE
. Also, with hash partitioning, pruning is only possible using equality or
IN
-list predicates.
7.2.5.2 Pruning Information with Composite Partitioned Objects: Examples
To illustrate how Oracle Database displays pruning information for composite
partitioned objects, consider the table
emp_comp
. It is range-partitioned on
hiredate
and
subpartitioned by hash on
deptno
.
CREATE TABLE emp_comp PARTITION BY RANGE(hire_date)
SUBPARTITION BY HASH(department_id) SUBPARTITIONS 3
(
PARTITION emp_p1 VALUES LESS THAN (TO_DATE('1-JAN-1992','DD-MON-YYYY')),
PARTITION emp_p2 VALUES LESS THAN (TO_DATE('1-JAN-1994','DD-MON-YYYY')),
PARTITION emp_p3 VALUES LESS THAN (TO_DATE('1-JAN-1996','DD-MON-YYYY')),
PARTITION emp_p4 VALUES LESS THAN (TO_DATE('1-JAN-1998','DD-MON-YYYY')),
PARTITION emp_p5 VALUES LESS THAN (TO_DATE('1-JAN-2001','DD-MON-YYYY'))
)
AS SELECT * FROM employees;
For the first example, consider the following statement:
EXPLAIN PLAN FOR
SELECT * FROM emp_comp;
-----------------------------------------------------------------------
|Id| Operation | Name | Rows | Bytes |Cost|Pstart|Pstop|
-----------------------------------------------------------------------
| 0| SELECT STATEMENT | | 10120 | 1314K| 78 | | |
| 1| PARTITION RANGE ALL| | 10120 | 1314K| 78 | 1 | 5 |
| 2| PARTITION HASH ALL| | 10120 | 1314K| 78 | 1 | 3 |
Chapter 7
Reading Execution Plans: Advanced
7-12

| 3| TABLE ACCESS FULL| EMP_COMP | 10120 | 1314K| 78 | 1 | 15 |
-----------------------------------------------------------------------
This example shows the plan when Oracle Database accesses all subpartitions of all
partitions of a composite object. The database uses two partition row sources for this
purpose: a range partition row source to iterate over the partitions, and a hash partition
row source to iterate over the subpartitions of each accessed partition.
In the following example, the range partition row source iterates from partition 1 to 5,
because the database performs no pruning. Within each partition, the hash partition
row source iterates over subpartitions 1 to 3 of the current partition. As a result, the
table access row source accesses subpartitions 1 to 15. In other words, the database
accesses all subpartitions of the composite object.
EXPLAIN PLAN FOR
SELECT *
FROM emp_comp
WHERE hire_date = TO_DATE('15-FEB-1998', 'DD-MON-YYYY');
-----------------------------------------------------------------------
| Id | Operation | Name |Rows|Bytes |Cost|Pstart|Pstop|
-----------------------------------------------------------------------
| 0 | SELECT STATEMENT | | 20 | 2660 | 17 | | |
| 1 | PARTITION RANGE SINGLE| | 20 | 2660 | 17 | 5 | 5 |
| 2 | PARTITION HASH ALL | | 20 | 2660 | 17 | 1 | 3 |
|* 3 | TABLE ACCESS FULL | EMP_COMP | 20 | 2660 | 17 | 13 | 15 |
-----------------------------------------------------------------------
In the previous example, only the last partition, partition 5, is accessed. This partition is
known at compile time, so the database does not need to show it in the plan. The hash
partition row source shows accessing of all subpartitions within that partition; that is,
subpartitions 1 to 3, which translates into subpartitions 13 to 15 of the
emp_comp
table.
Now consider the following statement:
EXPLAIN PLAN FOR
SELECT *
FROM emp_comp
WHERE department_id = 20;
------------------------------------------------------------------------
| Id | Operation |Name |Rows | Bytes |Cost|Pstart|Pstop|
------------------------------------------------------------------------
| 0 | SELECT STATEMENT | | 101 | 13433 | 78 | | |
| 1 | PARTITION RANGE ALL | | 101 | 13433 | 78 | 1 | 5 |
| 2 | PARTITION HASH SINGLE| | 101 | 13433 | 78 | 3 | 3 |
|* 3 | TABLE ACCESS FULL | EMP_COMP | 101 | 13433 | 78 | | |
------------------------------------------------------------------------
In the previous example, the predicate
deptno=20
enables pruning on the hash
dimension within each partition. Therefore, Oracle Database only needs to access a
single subpartition. The number of this subpartition is known at compile time, so the
hash partition row source is not needed.
Finally, consider the following statement:
VARIABLE dno NUMBER;
EXPLAIN PLAN FOR
SELECT *
FROM emp_comp
WHERE department_id = :dno;
Chapter 7
Reading Execution Plans: Advanced
7-13

-----------------------------------------------------------------------
| Id| Operation | Name |Rows| Bytes |Cost|Pstart|Pstop|
-----------------------------------------------------------------------
| 0 | SELECT STATEMENT | | 101| 13433 | 78 | | |
| 1 | PARTITION RANGE ALL | | 101| 13433 | 78 | 1 | 5 |
| 2 | PARTITION HASH SINGLE| | 101| 13433 | 78 | KEY | KEY |
|*3 | TABLE ACCESS FULL | EMP_COMP | 101| 13433 | 78 | | |
-----------------------------------------------------------------------
The last two examples are the same, except that
department_id
= :
dno
replaces
deptno=20
. In this last case, the subpartition number is unknown at compile time, and a
hash partition row source is allocated. The option is
SINGLE
for this row source because
Oracle Database accesses only one subpartition within each partition. In Step 2, both
PARTITION
_
START
and
PARTITION
_
STOP
are set to
KEY
. This value means that Oracle
Database determines the number of subpartitions at run time.
7.2.5.3 Examples of Partial Partition-Wise Joins
In these examples, the
PQ_DISTRIBUTE
hint explicitly forces a partial partition-wise join
because the query optimizer could have chosen a different plan based on cost in this
query.
Example 7-5 Partial Partition-Wise Join with Range Partition
emp_range_diddepartment_iddept2dept2
CREATE TABLE dept2 AS SELECT * FROM departments;
ALTER TABLE dept2 PARALLEL 2;
CREATE TABLE emp_range_did PARTITION BY RANGE(department_id)
(PARTITION emp_p1 VALUES LESS THAN (150),
PARTITION emp_p5 VALUES LESS THAN (MAXVALUE) )
AS SELECT * FROM employees;
ALTER TABLE emp_range_did PARALLEL 2;
EXPLAIN PLAN FOR
SELECT /*+ PQ_DISTRIBUTE(d NONE PARTITION) ORDERED */ e.last_name,
d.department_name
FROM emp_range_did e, dept2 d
WHERE e.department_id = d.department_id;
------------------------------------------------------------------------------------------------
|Id| Operation |Name |Row|Byte|Cost|Pstart|Pstop|TQ|IN-OUT|PQ Distrib|
------------------------------------------------------------------------------------------------
| 0| SELECT STATEMENT | |284 |16188|6 | | | | | |
| 1| PX COORDINATOR | | | | | | | | | |
| 2| PX SEND QC (RANDOM) |:TQ10001 |284 |16188|6 | | | Q1,01 |P->S |QC (RAND) |
|*3| HASH JOIN | |284 |16188|6 | | | Q1,01 |PCWP | |
| 4| PX PARTITION RANGE ALL | |284 |7668 |2 | 1 | 2 | Q1,01 |PCWC | |
| 5| TABLE ACCESS FULL |EMP_RANGE_DID|284 |7668 |2 | 1 | 2 | Q1,01 |PCWP | |
| 6| BUFFER SORT | | | | | | | Q1,01 |PCWC | |
| 7| PX RECEIVE | | 21 | 630 |2 | | | Q1,01 |PCWP | |
| 8| PX SEND PARTITION (KEY)|:TQ10000 | 21 | 630 |2 | | | |S->P |PART (KEY)|
| 9| TABLE ACCESS FULL |DEPT2 | 21 | 630 |2 | | | | | |
------------------------------------------------------------------------------------------------
The execution plan shows that the table
dept2
is scanned serially and all rows with the
same partitioning column value of
emp_range_did (department_id)
are sent through a
Chapter 7
Reading Execution Plans: Advanced
7-14

PART (KEY)
, or partition key, table queue to the same parallel execution server doing
the partial partition-wise join.
Example 7-6 Partial Partition-Wise Join with Composite Partition
In the following example,
emp_comp
is joined on the partitioning column and is
parallelized, enabling use of a partial partition-wise join because
dept2
is not
partitioned. The database dynamically partitions
dept2
before the join.
ALTER TABLE emp_comp PARALLEL 2;
EXPLAIN PLAN FOR
SELECT /*+ PQ_DISTRIBUTE(d NONE PARTITION) ORDERED */ e.last_name,
d.department_name
FROM emp_comp e, dept2 d
WHERE e.department_id = d.department_id;
SELECT PLAN_TABLE_OUTPUT FROM TABLE(DBMS_XPLAN.DISPLAY());
------------------------------------------------------------------------------------------------
| Id| Operation | Name |Rows |Bytes |Cost|Pstart|Pstop|TQ |IN-OUT|PQ Distrib|
------------------------------------------------------------------------------------------------
| 0 | SELECT STATEMENT | | 445 | 17800 | 5 | | | | | |
| 1 | PX COORDINATOR | | | | | | | | | |
| 2 | PX SEND QC (RANDOM) |:TQ10001| 445 | 17800 | 5 | | | Q1,01 | P->S | QC (RAND)|
|*3 | HASH JOIN | | 445 | 17800 | 5 | | | Q1,01 | PCWP | |
| 4 | PX PARTITION RANGE ALL | | 107 | 1070 | 3 | 1 | 5 | Q1,01 | PCWC | |
| 5 | PX PARTITION HASH ALL | | 107 | 1070 | 3 | 1 | 3 | Q1,01 | PCWC | |
| 6 | TABLE ACCESS FULL |EMP_COMP| 107 | 1070 | 3 | 1 | 15| Q1,01 | PCWP | |
| 7 | PX RECEIVE | | 21 | 630 | 1 | | | Q1,01 | PCWP | |
| 8 | PX SEND PARTITION (KEY)|:TQ10000| 21 | 630 | 1 | | | Q1,00 | P->P |PART (KEY)|
| 9 | PX BLOCK ITERATOR | | 21 | 630 | 1 | | | Q1,00 | PCWC | |
|10 | TABLE ACCESS FULL |DEPT2 | 21 | 630 | 1 | | | Q1,00 | PCWP | |
------------------------------------------------------------------------------------------------
The plan shows that the optimizer selects partial partition-wise join from one of two
columns. The
PX SEND
node type is
PARTITION (KEY)
and the
PQ Distrib
column
contains the text
PART (KEY)
, or partition key. This implies that the table
dept2
is re-
partitioned based on the join column
department_id
to be sent to the parallel execution
servers executing the scan of
EMP_COMP
and the join.
7.2.5.4 Example of Full Partition-Wise Join
In this example,
emp_comp
and
dept_hash
are joined on their hash partitioning columns,
enabling use of a full partition-wise join.
The
PARTITION HASH
row source appears on top of the join row source in the plan table
output.
CREATE TABLE dept_hash
PARTITION BY HASH(department_id)
PARTITIONS 3
PARALLEL 2
AS SELECT * FROM departments;
EXPLAIN PLAN FOR
SELECT /*+ PQ_DISTRIBUTE(e NONE NONE) ORDERED */ e.last_name,
d.department_name
FROM emp_comp e, dept_hash d
WHERE e.department_id = d.department_id;
Chapter 7
Reading Execution Plans: Advanced
7-15

-------------------------------------------------------------------------------------
-----------
|Id| Operation | Name |Rows|Bytes|Cost|Pstart|Pstop|TQ |IN-OUT|
PQ Distrib|
-------------------------------------------------------------------------------------
-----------
| 0| SELECT STATEMENT | | 106 | 2544 | 8 | | | |
| |
| 1| PX COORDINATOR | | | | | | | |
| |
| 2| PX SEND QC (RANDOM) | :TQ10000 | 106 | 2544 | 8 | | | Q1,00 | P->S
|QC (RAND)|
| 3| PX PARTITION HASH ALL | | 106 | 2544 | 8 | 1 | 3 | Q1,00 | PCWC
| |
|*4| HASH JOIN | | 106 | 2544 | 8 | | | Q1,00 | PCWP
| |
| 5| PX PARTITION RANGE ALL| | 107 | 1070 | 3 | 1 | 5 | Q1,00 | PCWC
| |
| 6| TABLE ACCESS FULL | EMP_COMP | 107 | 1070 | 3 | 1 | 15 | Q1,00 | PCWP
| |
| 7| TABLE ACCESS FULL | DEPT_HASH | 27 | 378 | 4 | 1 | 3 | Q1,00 | PCWP
| |
-------------------------------------------------------------------------------------
-----------
The
PX PARTITION HASH
row source appears on top of the join row source in the plan
table output while the
PX PARTITION RANGE
row source appears over the scan of
emp_comp
. Each parallel execution server performs the join of an entire hash partition of
emp_comp
with an entire partition of
dept_hash
.
7.2.5.5 Examples of INLIST ITERATOR and EXPLAIN PLAN
An
INLIST ITERATOR
operation appears in the
EXPLAIN PLAN
output if an index
implements an
IN
-list predicate.
Consider the following statement:
SELECT * FROM emp WHERE empno IN (7876, 7900, 7902);
The
EXPLAIN PLAN
output appears as follows:
OPERATION OPTIONS OBJECT_NAME
---------------- --------------- --------------
SELECT STATEMENT
INLIST ITERATOR
TABLE ACCESS BY ROWID EMP
INDEX RANGE SCAN EMP_EMPNO
The
INLIST ITERATOR
operation iterates over the next operation in the plan for each
value in the
IN
-list predicate. The following sections describe the three possible types
of
IN
-list columns for partitioned tables and indexes.
This section contains the following topics:
•When the IN-List Column is an Index Column: Example
If the
IN
-list column
empno
is an index column but not a partition column, then the
IN
-list operator appears before the table operation but after the partition operation
in the plan.
Chapter 7
Reading Execution Plans: Advanced
7-16

•When the IN-List Column is an Index and a Partition Column: Example
If
empno
is an indexed and a partition column, then the plan contains an
INLIST
ITERATOR
operation before the partition operation.
•When the IN-List Column is a Partition Column: Example
If
empno
is a partition column and no indexes exist, then no
INLIST ITERATOR
operation is allocated.
7.2.5.5.1 When the IN-List Column is an Index Column: Example
If the
IN
-list column
empno
is an index column but not a partition column, then the
IN
-list
operator appears before the table operation but after the partition operation in the plan.
OPERATION OPTIONS OBJECT_NAME PARTIT_START PARTITION_STOP
---------------- ------------ ----------- ------------ --------------
SELECT STATEMENT
PARTITION RANGE ALL KEY(INLIST) KEY(INLIST)
INLIST ITERATOR
TABLE ACCESS BY LOCAL INDEX ROWID EMP KEY(INLIST) KEY(INLIST)
INDEX RANGE SCAN EMP_EMPNO KEY(INLIST) KEY(INLIST)
The
KEY(INLIST)
designation for the partition start and stop keys specifies that an
IN
-list
predicate appears on the index start and stop keys.
7.2.5.5.2 When the IN-List Column is an Index and a Partition Column: Example
If
empno
is an indexed and a partition column, then the plan contains an
INLIST
ITERATOR
operation before the partition operation.
OPERATION OPTIONS OBJECT_NAME PARTITION_START PARTITION_STOP
---------------- ------------ ----------- --------------- --------------
SELECT STATEMENT
INLIST ITERATOR
PARTITION RANGE ITERATOR KEY(INLIST) KEY(INLIST)
TABLE ACCESS BY LOCAL INDEX ROWID EMP KEY(INLIST) KEY(INLIST)
INDEX RANGE SCAN EMP_EMPNO KEY(INLIST) KEY(INLIST)
7.2.5.5.3 When the IN-List Column is a Partition Column: Example
If
empno
is a partition column and no indexes exist, then no
INLIST ITERATOR
operation is
allocated.
OPERATION OPTIONS OBJECT_NAME PARTITION_START PARTITION_STOP
---------------- ------------ ----------- --------------- --------------
SELECT STATEMENT
PARTITION RANGE INLIST KEY(INLIST) KEY(INLIST)
TABLE ACCESS FULL EMP KEY(INLIST) KEY(INLIST)
If
emp_empno
is a bitmap index, then the plan is as follows:
OPERATION OPTIONS OBJECT_NAME
---------------- --------------- --------------
SELECT STATEMENT
INLIST ITERATOR
TABLE ACCESS BY INDEX ROWID EMP
BITMAP CONVERSION TO ROWIDS
BITMAP INDEX SINGLE VALUE EMP_EMPNO
Chapter 7
Reading Execution Plans: Advanced
7-17

7.2.5.6 Example of Domain Indexes and EXPLAIN PLAN
You can use
EXPLAIN PLAN
to derive user-defined CPU and I/O costs for domain
indexes.
EXPLAIN PLAN
displays domain index statistics in the
OTHER
column of
PLAN_TABLE
. For
example, assume table
emp
has user-defined operator
CONTAINS
with a domain index
emp_resume
on the
resume
column, and the index type of
emp_resume
supports the
operator
CONTAINS
. You explain the plan for the following query:
SELECT * FROM emp WHERE CONTAINS(resume, 'Oracle') = 1
The database could display the following plan:
OPERATION OPTIONS OBJECT_NAME OTHER
----------------- ----------- ------------ ----------------
SELECT STATEMENT
TABLE ACCESS BY ROWID EMP
DOMAIN INDEX EMP_RESUME CPU: 300, I/O: 4
7.2.6 PLAN_TABLE Columns
The
PLAN_TABLE
used by the
EXPLAIN PLAN
statement contains the columns listed in this
topic.
Table 7-1 PLAN_TABLE Columns
Column Type Description
STATEMENT_ID VARCHAR2(30)
Value of the optional
STATEMENT_ID
parameter specified in the
EXPLAIN PLAN
statement.
PLAN_ID NUMBER
Unique identifier of a plan in the database.
TIMESTAMP DATE
Date and time when the
EXPLAIN PLAN
statement was generated.
REMARKS VARCHAR2(80)
Any comment (of up to 80 bytes) you want to
associate with each step of the explained
plan. This column indicates whether the
database used an outline or SQL profile for
the query.
If you need to add or change a remark on
any row of the
PLAN_TABLE
, then use the
UPDATE
statement to modify the rows of the
PLAN_TABLE
.
OPERATION VARCHAR2(30)
Name of the internal operation performed in
this step. In the first row generated for a
statement, the column contains one of the
following values:
•
DELETE STATEMENT
•
INSERT STATEMENT
•
SELECT STATEMENT
•
UPDATE STATEMENT
See Table 7-3 for more information about
values for this column.
Chapter 7
Reading Execution Plans: Advanced
7-18

Table 7-1 (Cont.) PLAN_TABLE Columns
Column Type Description
OPTIONS VARCHAR2(225)
A variation on the operation described in the
OPERATION
column.
See Table 7-3 for more information about
values for this column.
OBJECT_NODE VARCHAR2(128)
Name of the database link used to reference
the object (a table name or view name). For
local queries using parallel execution, this
column describes the order in which the
database consumes output from operations.
OBJECT_OWNER VARCHAR2(30)
Name of the user who owns the schema
containing the table or index.
OBJECT_NAME VARCHAR2(30)
Name of the table or index.
OBJECT_ALIAS VARCHAR2(65)
Unique alias of a table or view in a SQL
statement. For indexes, it is the object alias
of the underlying table.
OBJECT_INSTANCE NUMERIC
Number corresponding to the ordinal position
of the object as it appears in the original
statement. The numbering proceeds from left
to right, outer to inner for the original
statement text. View expansion results in
unpredictable numbers.
OBJECT_TYPE VARCHAR2(30)
Modifier that provides descriptive information
about the object; for example,
NON
-
UNIQUE
for
indexes.
OPTIMIZER VARCHAR2(255)
Current mode of the optimizer.
SEARCH_COLUMNS NUMBERIC
Not currently used.
ID NUMERIC
A number assigned to each step in the
execution plan.
PARENT_ID NUMERIC
The ID of the next execution step that
operates on the output of the
ID
step.
DEPTH NUMERIC
Depth of the operation in the row source tree
that the plan represents. You can use the
value to indent the rows in a plan table
report.
POSITION NUMERIC
For the first row of output, this indicates the
optimizer's estimated cost of executing the
statement. For the other rows, it indicates
the position relative to the other children of
the same parent.
COST NUMERIC
Cost of the operation as estimated by the
optimizer's query approach. Cost is not
determined for table access operations. The
value of this column does not have any
particular unit of measurement; it is a
weighted value used to compare costs of
execution plans. The value of this column is
a function of the
CPU_COST
and
IO_COST
columns.
Chapter 7
Reading Execution Plans: Advanced
7-19

Table 7-1 (Cont.) PLAN_TABLE Columns
Column Type Description
CARDINALITY NUMERIC
Estimate by the query optimization approach
of the number of rows that the operation
accessed.
BYTES NUMERIC
Estimate by the query optimization approach
of the number of bytes that the operation
accessed.
OTHER_TAG VARCHAR2(255)
Describes the contents of the
OTHER
column.
Values are:
•
SERIAL
(blank): Serial execution.
Currently, SQL is not loaded in the
OTHER
column for this case.
•
SERIAL_FROM_REMOTE (S -> R)
: Serial
execution at a remote site.
•
PARALLEL_FROM_SERIAL (S -> P)
:
Serial execution. Output of step is
partitioned or broadcast to parallel
execution servers.
•
PARALLEL_TO_SERIAL (P -> S)
: Parallel
execution. Output of step is returned to
serial QC process.
•
PARALLEL_TO_PARALLEL (P -> P)
:
Parallel execution. Output of step is
repartitioned to second set of parallel
execution servers.
•
PARALLEL_COMBINED_WITH_PARENT
(PWP)
: Parallel execution; Output of step
goes to next step in same parallel
process. No interprocess
communication to parent.
•
PARALLEL_COMBINED_WITH_CHILD (PWC)
:
Parallel execution. Input of step comes
from prior step in same parallel process.
No interprocess communication from
child.
PARTITION_START VARCHAR2(255)
Start partition of a range of accessed
partitions. It can take one of the following
values:
n indicates that the start partition has been
identified by the SQL compiler, and its
partition number is given by n.
KEY
indicates that the start partition is
identified at run time from partitioning key
values.
ROW REMOVE_LOCATION
indicates that the
database computes the start partition (same
as the stop partition) at run time from the
location of each retrieved record. The record
location is obtained by a user or from a
global index.
INVALID
indicates that the range of accessed
partitions is empty.
Chapter 7
Reading Execution Plans: Advanced
7-20

Table 7-1 (Cont.) PLAN_TABLE Columns
Column Type Description
PARTITION_STOP VARCHAR2(255)
Stop partition of a range of accessed
partitions. It can take one of the following
values:
n indicates that the stop partition has been
identified by the SQL compiler, and its
partition number is given by n.
KEY
indicates that the stop partition is
identified at run time from partitioning key
values.
ROW REMOVE_LOCATION
indicates that the
database computes the stop partition (same
as the start partition) at run time from the
location of each retrieved record. The record
location is obtained by a user or from a
global index.
INVALID
indicates that the range of accessed
partitions is empty.
PARTITION_ID NUMERIC
Step that has computed the pair of values of
the
PARTITION_START
and
PARTITION_STOP
columns.
OTHER LONG
Other information that is specific to the
execution step that a user might find useful.
See the
OTHER_TAG
column.
DISTRIBUTION VARCHAR2(30)
Method used to distribute rows from
producer query servers to consumer query
servers.
See Table 7-2 for more information about the
possible values for this column. For more
information about consumer and producer
query servers, see Oracle Database VLDB
and Partitioning Guide.
CPU_COST NUMERIC
CPU cost of the operation as estimated by
the query optimizer's approach. The value of
this column is proportional to the number of
machine cycles required for the operation.
For statements that use the rule-based
approach, this column is null.
IO_COST NUMERIC
I/O cost of the operation as estimated by the
query optimizer's approach. The value of this
column is proportional to the number of data
blocks read by the operation. For statements
that use the rule-based approach, this
column is null.
TEMP_SPACE NUMERIC
Temporary space, in bytes, that the
operation uses as estimated by the query
optimizer's approach. For statements that
use the rule-based approach, or for
operations that do not use any temporary
space, this column is null.
Chapter 7
Reading Execution Plans: Advanced
7-21

Table 7-1 (Cont.) PLAN_TABLE Columns
Column Type Description
ACCESS_PREDICATES VARCHAR2(4000)
Predicates used to locate rows in an access
structure. For example, start or stop
predicates for an index range scan.
FILTER_PREDICATES VARCHAR2(4000)
Predicates used to filter rows before
producing them.
PROJECTION VARCHAR2(4000)
Expressions produced by the operation.
TIME NUMBER(20,2)
Elapsed time in seconds of the operation as
estimated by query optimization. For
statements that use the rule-based
approach, this column is null. The
DBMS_XPLAN.DISPLAY_PLAN
out, the time is in
the
HH:MM:SS
format.
QBLOCK_NAME VARCHAR2(30)
Name of the query block, either system-
generated or defined by the user with the
QB_NAME
hint.
Table 7-2 describes the values that can appear in the
DISTRIBUTION
column:
Table 7-2 Values of DISTRIBUTION Column of the PLAN_TABLE
DISTRIBUTION Text Interpretation
PARTITION (ROWID)
Maps rows to query servers based on the partitioning of a table or index using the rowid of
the row to
UPDATE
or
DELETE
.
PARTITION (KEY)
Maps rows to query servers based on the partitioning of a table or index using a set of
columns. Used for partial partition-wise join,
PARALLEL INSERT
,
CREATE TABLE AS SELECT
of
a partitioned table, and
CREATE PARTITIONED GLOBAL INDEX
.
HASH
Maps rows to query servers using a hash function on the join key. Used for
PARALLEL JOIN
or
PARALLEL GROUP BY
.
RANGE
Maps rows to query servers using ranges of the sort key. Used when the statement
contains an
ORDER BY
clause.
ROUND-ROBIN
Randomly maps rows to query servers.
BROADCAST
Broadcasts the rows of the entire table to each query server. Used for a parallel join when
one table is very small compared to the other.
QC (ORDER)
The QC consumes the input in order, from the first to the last query server. Used when the
statement contains an
ORDER BY
clause.
QC (RANDOM)
The QC consumes the input randomly. Used when the statement does not have an
ORDER
BY
clause.
Table 7-3 lists each combination of
OPERATION
and
OPTIONS
produced by the
EXPLAIN
PLAN
statement and its meaning within an execution plan.
Chapter 7
Reading Execution Plans: Advanced
7-22

Table 7-3 OPERATION and OPTIONS Values Produced by EXPLAIN PLAN
Operation Option Description
AND-EQUAL
Operation accepting multiple sets of rowids, returning
the intersection of the sets, eliminating duplicates.
Used for the single-column indexes access path.
BITMAP CONVERSION TO ROWIDS
converts bitmap representations to actual
rowids that you can use to access the table.
FROM ROWIDS
converts the rowids to a bitmap
representation.
COUNT
returns the number of rowids if the actual values
are not needed.
BITMAP INDEX SINGLE VALUE
looks up the bitmap for a single key
value in the index.
RANGE SCAN
retrieves bitmaps for a key value range.
FULL SCAN
performs a full scan of a bitmap index if
there is no start or stop key.
BITMAP MERGE
Merges several bitmaps resulting from a range scan
into one bitmap.
BITMAP MINUS
Subtracts bits of one bitmap from another. Row source
is used for negated predicates. Use this option only if
there are nonnegated predicates yielding a bitmap from
which the subtraction can take place. An example
appears in "Viewing Bitmap Indexes with EXPLAIN
PLAN".
BITMAP OR
Computes the bitwise
OR
of two bitmaps.
BITMAP AND
Computes the bitwise
AND
of two bitmaps.
BITMAP KEY ITERATION
Takes each row from a table row source and finds the
corresponding bitmap from a bitmap index. This set of
bitmaps are then merged into one bitmap in a following
BITMAP MERGE
operation.
CONNECT BY
Retrieves rows in hierarchical order for a query
containing a
CONNECT BY
clause.
CONCATENATION
Operation accepting multiple sets of rows returning the
union-all of the sets.
COUNT
Operation counting the number of rows selected from a
table.
COUNT STOPKEY
Count operation where the number of rows returned is
limited by the
ROWNUM
expression in the
WHERE
clause.
CUBE SCAN
Uses inner joins for all cube access.
CUBE SCAN PARTIAL OUTER
Uses an outer join for at least one dimension, and inner
joins for the other dimensions.
CUBE SCAN OUTER
Uses outer joins for all cube access.
DOMAIN INDEX
Retrieval of one or more rowids from a domain index.
The options column contain information supplied by a
user-defined domain index cost function, if any.
FILTER
Operation accepting a set of rows, eliminates some of
them, and returns the rest.
FIRST ROW
Retrieval of only the first row selected by a query.
Chapter 7
Reading Execution Plans: Advanced
7-23

Table 7-3 (Cont.) OPERATION and OPTIONS Values Produced by EXPLAIN
PLAN
Operation Option Description
FOR UPDATE
Operation retrieving and locking the rows selected by a
query containing a
FOR UPDATE
clause.
HASH GROUP BY
Operation hashing a set of rows into groups for a query
with a
GROUP BY
clause.
HASH GROUP BY PIVOT
Operation hashing a set of rows into groups for a query
with a
GROUP BY
clause. The
PIVOT
option indicates a
pivot-specific optimization for the
HASH GROUP BY
operator.
HASH JOIN
(These are join
operations.)
Operation joining two sets of rows and returning the
result. This join method is useful for joining large data
sets of data (DSS, Batch). The join condition is an
efficient way of accessing the second table.
Query optimizer uses the smaller of the two tables/data
sources to build a hash table on the join key in
memory. Then it scans the larger table, probing the
hash table to find the joined rows.
HASH JOIN ANTI
Hash (left) antijoin
HASH JOIN SEMI
Hash (left) semijoin
HASH JOIN RIGHT ANTI
Hash right antijoin
HASH JOIN RIGHT SEMI
Hash right semijoin
HASH JOIN OUTER
Hash (left) outer join
HASH JOIN RIGHT OUTER
Hash right outer join
INDEX
(These are access
methods.)
UNIQUE SCAN
Retrieval of a single rowid from an index.
INDEX RANGE SCAN
Retrieval of one or more rowids from an index. Indexed
values are scanned in ascending order.
INDEX RANGE SCAN
DESCENDING
Retrieval of one or more rowids from an index. Indexed
values are scanned in descending order.
INDEX FULL SCAN
Retrieval of all rowids from an index when there is no
start or stop key. Indexed values are scanned in
ascending order.
INDEX FULL SCAN
DESCENDING
Retrieval of all rowids from an index when there is no
start or stop key. Indexed values are scanned in
descending order.
INDEX FAST FULL SCAN
Retrieval of all rowids (and column values) using
multiblock reads. No sorting order can be defined.
Compares to a full table scan on only the indexed
columns. Only available with the cost based optimizer.
INDEX SKIP SCAN
Retrieval of rowids from a concatenated index without
using the leading column(s) in the index. Only available
with the cost based optimizer.
INLIST ITERATOR
Iterates over the next operation in the plan for each
value in the
IN
-list predicate.
Chapter 7
Reading Execution Plans: Advanced
7-24

Table 7-3 (Cont.) OPERATION and OPTIONS Values Produced by EXPLAIN
PLAN
Operation Option Description
INTERSECTION
Operation accepting two sets of rows and returning the
intersection of the sets, eliminating duplicates.
MERGE JOIN
(These are join
operations.)
Operation accepting two sets of rows, each sorted by a
value, combining each row from one set with the
matching rows from the other, and returning the result.
MERGE JOIN OUTER
Merge join operation to perform an outer join
statement.
MERGE JOIN ANTI
Merge antijoin.
MERGE JOIN SEMI
Merge semijoin.
MERGE JOIN CARTESIAN
Can result from 1 or more of the tables not having any
join conditions to any other tables in the statement.
Can occur even with a join and it may not be flagged as
CARTESIAN
in the plan.
CONNECT BY
Retrieval of rows in hierarchical order for a query
containing a
CONNECT BY
clause.
MAT_VIEW REWITE
ACCESS
(These are access
methods.)
FULL
Retrieval of all rows from a materialized view.
MAT_VIEW REWITE
ACCESS
SAMPLE
Retrieval of sampled rows from a materialized view.
MAT_VIEW REWITE
ACCESS
CLUSTER
Retrieval of rows from a materialized view based on a
value of an indexed cluster key.
MAT_VIEW REWITE
ACCESS
HASH
Retrieval of rows from materialized view based on hash
cluster key value.
MAT_VIEW REWITE
ACCESS
BY ROWID RANGE
Retrieval of rows from a materialized view based on a
rowid range.
MAT_VIEW REWITE
ACCESS
SAMPLE BY ROWID
RANGE
Retrieval of sampled rows from a materialized view
based on a rowid range.
MAT_VIEW REWITE
ACCESS
BY USER ROWID
If the materialized view rows are located using user-
supplied rowids.
MAT_VIEW REWITE
ACCESS
BY INDEX ROWID
If the materialized view is nonpartitioned and rows are
located using index(es).
MAT_VIEW REWITE
ACCESS
BY GLOBAL INDEX
ROWID
If the materialized view is partitioned and rows are
located using only global indexes.
Chapter 7
Reading Execution Plans: Advanced
7-25

Table 7-3 (Cont.) OPERATION and OPTIONS Values Produced by EXPLAIN
PLAN
Operation Option Description
MAT_VIEW REWITE
ACCESS
BY LOCAL INDEX
ROWID
If the materialized view is partitioned and rows are
located using one or more local indexes and possibly
some global indexes.
Partition Boundaries:
The partition boundaries might have been computed
by:
A previous
PARTITION
step, in which case the
PARTITION_START
and
PARTITION_STOP
column values
replicate the values present in the
PARTITION
step, and
the
PARTITION_ID
contains the ID of the
PARTITION
step. Possible values for
PARTITION_START
and
PARTITION_STOP
are
NUMBER
(n),
KEY
,
INVALID
.
The
MAT_VIEW REWRITE ACCESS
or
INDEX
step itself, in
which case the
PARTITION_ID
contains the
ID
of the
step. Possible values for
PARTITION_START
and
PARTITION_STOP
are
NUMBER
(n),
KEY
,
ROW
REMOVE_LOCATION
(
MAT_VIEW REWRITE
ACCESS
only),
and
INVALID
.
MINUS
Operation accepting two sets of rows and returning
rows appearing in the first set but not in the second,
eliminating duplicates.
NESTED LOOPS
(These are join
operations.)
Operation accepting two sets of rows, an outer set and
an inner set. Oracle Database compares each row of
the outer set with each row of the inner set, returning
rows that satisfy a condition. This join method is useful
for joining small subsets of data (OLTP). The join
condition is an efficient way of accessing the second
table.
NESTED LOOPS OUTER
Nested loops operation to perform an outer join
statement.
PARTITION
Iterates over the next operation in the plan for each
partition in the range given by the
PARTITION_START
and
PARTITION_STOP
columns.
PARTITION
describes
partition boundaries applicable to a single partitioned
object (table or index) or to a set of equipartitioned
objects (a partitioned table and its local indexes). The
partition boundaries are provided by the values of
PARTITION_START
and
PARTITION_STOP
of the
PARTITION
. Refer to Table 7-1 for valid values of
partition start and stop.
PARTITION SINGLE
Access one partition.
PARTITION ITERATOR
Access many partitions (a subset).
PARTITION ALL
Access all partitions.
PARTITION INLIST
Similar to iterator, but based on an
IN
-list predicate.
PARTITION INVALID
Indicates that the partition set to be accessed is empty.
PX
ITERATOR BLOCK
,
CHUNK
Implements the division of an object into block or chunk
ranges among a set of parallel execution servers.
Chapter 7
Reading Execution Plans: Advanced
7-26

Table 7-3 (Cont.) OPERATION and OPTIONS Values Produced by EXPLAIN
PLAN
Operation Option Description
PX
COORDINATOR
Implements the query coordinator that controls,
schedules, and executes the parallel plan below it
using parallel execution servers. It also represents a
serialization point, as the end of the part of the plan
executed in parallel and always has a
PX SEND QC
operation below it.
PX
PARTITION
Same semantics as the regular
PARTITION
operation
except that it appears in a parallel plan.
PX
RECEIVE
Shows the consumer/receiver parallel execution node
reading repartitioned data from a send/producer (QC or
parallel execution server) executing on a
PX SEND
node. This information was formerly displayed into the
DISTRIBUTION
column. See Table 7-2.
PX
SEND QC
(RANDOM),
HASH
,
RANGE
Implements the distribution method taking place
between two parallel execution servers. Shows the
boundary between two sets and how data is
repartitioned on the send/producer side. This
information was formerly displayed into the
DISTRIBUTION
column. See Table 7-2.
REMOTE
Retrieval of data from a remote database.
SEQUENCE
Operation involving accessing values of a sequence.
SORT AGGREGATE
Retrieval of a single row that is the result of applying a
group function to a group of selected rows.
SORT UNIQUE
Operation sorting a set of rows to eliminate duplicates.
SORT GROUP
BY
Operation sorting a set of rows into groups for a query
with a
GROUP BY
clause.
SORT GROUP BY PIVOT
Operation sorting a set of rows into groups for a query
with a
GROUP
BY
clause. The
PIVOT
option indicates a
pivot-specific optimization for the
SORT GROUP BY
operator.
SORT JOIN
Operation sorting a set of rows before a merge-join.
SORT ORDER BY
Operation sorting a set of rows for a query with an
ORDER BY
clause.
TABLE ACCESS
(These are access
methods.)
FULL
Retrieval of all rows from a table.
TABLE ACCESS SAMPLE
Retrieval of sampled rows from a table.
TABLE ACCESS CLUSTER
Retrieval of rows from a table based on a value of an
indexed cluster key.
TABLE ACCESS HASH
Retrieval of rows from table based on hash cluster key
value.
TABLE ACCESS BY ROWID RANGE
Retrieval of rows from a table based on a rowid range.
TABLE ACCESS SAMPLE BY ROWID
RANGE
Retrieval of sampled rows from a table based on a
rowid range.
Chapter 7
Reading Execution Plans: Advanced
7-27

Table 7-3 (Cont.) OPERATION and OPTIONS Values Produced by EXPLAIN
PLAN
Operation Option Description
TABLE ACCESS BY USER ROWID
If the table rows are located using user-supplied
rowids.
TABLE ACCESS BY INDEX ROWID
If the table is nonpartitioned and rows are located using
indexes.
TABLE ACCESS BY GLOBAL INDEX
ROWID
If the table is partitioned and rows are located using
only global indexes.
TABLE ACCESS BY LOCAL INDEX
ROWID
If the table is partitioned and rows are located using
one or more local indexes and possibly some global
indexes.
Partition Boundaries:
The partition boundaries might have been computed
by:
A previous
PARTITION
step, in which case the
PARTITION_START
and
PARTITION_STOP
column values
replicate the values present in the
PARTITION
step, and
the
PARTITION_ID
contains the ID of the
PARTITION
step. Possible values for
PARTITION_START
and
PARTITION_STOP
are
NUMBER
(n),
KEY
,
INVALID
.
The
TABLE ACCESS
or
INDEX
step itself, in which case
the
PARTITION_ID
contains the
ID
of the step. Possible
values for
PARTITION_START
and
PARTITION_STOP
are
NUMBER
(n),
KEY
,
ROW REMOVE_LOCATION
(
TABLE ACCESS
only), and
INVALID
.
TRANSPOSE
Operation evaluating a
PIVOT
operation by transposing
the results of
GROUP BY
to produce the final pivoted
data.
UNION
Operation accepting two sets of rows and returns the
union of the sets, eliminating duplicates.
UNPIVOT
Operation that rotates data from columns into rows.
VIEW
Operation performing a view's query and then returning
the resulting rows to another operation.
7.3 Execution Plan Reference
This section describes
V$
views and
PLAN_COLUMN
columns.
This section contains the following topics:
•Execution Plan Views
The following dynamic performance and data dictionary views provide information
on execution plans.
•PLAN_TABLE Columns
The
PLAN_TABLE
is used by the
EXPLAIN PLAN
statement.
Chapter 7
Execution Plan Reference
7-28

•DBMS_XPLAN Program Units
The functions
DISPLAY_PLAN
and
DISPLAY_CURSOR
in
DBMS_XPLAN
are relevant for
accessing adapted plans.
7.3.1 Execution Plan Views
The following dynamic performance and data dictionary views provide information on
execution plans.
Table 7-4 Execution Plan Views
View Description
V$SQL_SHARED_CURSOR
Explains why a particular child cursor is not shared with
existing child cursors. Each column identifies a specific
reason why the cursor cannot be shared.
The
USE_FEEDBACK_STATS
column shows whether a
child cursor fails to match because of reoptimization.
V$SQL_PLAN
Includes a superset of all rows appearing in all final
plans.
PLAN_LINE_ID
is consecutively numbered, but for
a single final plan, the IDs may not be consecutive.
V$SQL_PLAN_STATISTICS_ALL
Contains memory usage statistics for row sources that
use SQL memory (sort or hash join). This view
concatenates information in
V$SQL_PLAN
with execution
statistics from
V$SQL_PLAN_STATISTICS
and
V$SQL_WORKAREA
.
7.3.2 PLAN_TABLE Columns
The
PLAN_TABLE
is used by the
EXPLAIN PLAN
statement.
PLAN_TABLE
contains the columns listed in Table 7-5.
Table 7-5 PLAN_TABLE Columns
Column Type Description
STATEMENT_ID VARCHAR2(30)
Value of the optional
STATEMENT_ID
parameter specified
in the
EXPLAIN
PLAN
statement.
PLAN_ID NUMBER
Unique identifier of a plan in the database.
TIMESTAMP DATE
Date and time when the
EXPLAIN
PLAN
statement was
generated.
REMARKS VARCHAR2(80)
Any comment (of up to 80 bytes) you want to associate
with each step of the explained plan. This column
indicates whether the database used an outline or SQL
profile for the query.
If you need to add or change a remark on any row of the
PLAN_TABLE
, then use the
UPDATE
statement to modify the
rows of the
PLAN_TABLE
.
Chapter 7
Execution Plan Reference
7-29

Table 7-5 (Cont.) PLAN_TABLE Columns
Column Type Description
OPERATION VARCHAR2(30)
Name of the internal operation performed in this step. In
the first row generated for a statement, the column
contains one of the following values:
•
DELETE STATEMENT
•
INSERT STATEMENT
•
SELECT STATEMENT
•
UPDATE STATEMENT
See Table 7-6 for more information about values for this
column.
OPTIONS VARCHAR2(225)
A variation on the operation that the
OPERATION
column
describes.
See Table 7-6 for more information about values for this
column.
OBJECT_NODE VARCHAR2(128)
Name of the database link used to reference the object
(a table name or view name). For local queries using
parallel execution, this column describes the order in
which the database consumes output from operations.
OBJECT_OWNER VARCHAR2(30)
Name of the user who owns the schema containing the
table or index.
OBJECT_NAME VARCHAR2(30)
Name of the table or index.
OBJECT_ALIAS VARCHAR2(65)
Unique alias of a table or view in a SQL statement. For
indexes, it is the object alias of the underlying table.
OBJECT_INSTANCE NUMERIC
Number corresponding to the ordinal position of the
object as it appears in the original statement. The
numbering proceeds from left to right, outer to inner for
the original statement text. View expansion results in
unpredictable numbers.
OBJECT_TYPE VARCHAR2(30)
Modifier that provides descriptive information about the
object; for example,
NONUNIQUE
for indexes.
OPTIMIZER VARCHAR2(255)
Current mode of the optimizer.
SEARCH_COLUMNS NUMBERIC
Not currently used.
ID NUMERIC
A number assigned to each step in the execution plan.
PARENT_ID NUMERIC
The ID of the next execution step that operates on the
output of the
ID
step.
DEPTH NUMERIC
Depth of the operation in the row source tree that the
plan represents. You can use this value to indent the
rows in a plan table report.
POSITION NUMERIC
For the first row of output, this indicates the optimizer's
estimated cost of executing the statement. For the other
rows, it indicates the position relative to the other
children of the same parent.
Chapter 7
Execution Plan Reference
7-30

Table 7-5 (Cont.) PLAN_TABLE Columns
Column Type Description
COST NUMERIC
Cost of the operation as estimated by the optimizer's
query approach. Cost is not determined for table access
operations. The value of this column does not have any
particular unit of measurement; it is a weighted value
used to compare costs of execution plans. The value of
this column is a function of the
CPU_COST
and
IO_COST
columns.
CARDINALITY NUMERIC
Estimate by the query optimization approach of the
number of rows that the operation accessed.
BYTES NUMERIC
Estimate by the query optimization approach of the
number of bytes that the operation accessed.
OTHER_TAG VARCHAR2(255)
Describes the contents of the
OTHER
column. Values are:
•
SERIAL
(blank): Serial execution. Currently, SQL is
not loaded in the
OTHER
column for this case.
•
SERIAL_FROM_REMOTE (S -> R)
: Serial execution at
a remote site.
•
PARALLEL_FROM_SERIAL (S -> P)
: Serial execution.
Output of step is partitioned or broadcast to parallel
execution servers.
•
PARALLEL_TO_SERIAL (P -> S)
: Parallel execution.
Output of step is returned to serial QC process.
•
PARALLEL_TO_PARALLEL (P -> P)
: Parallel
execution. Output of step is repartitioned to second
set of parallel execution servers.
•
PARALLEL_COMBINED_WITH_PARENT (PWP)
: Parallel
execution; Output of step goes to next step in same
parallel process. No interprocess communication to
parent.
•
PARALLEL_COMBINED_WITH_CHILD (PWC)
: Parallel
execution. Input of step comes from prior step in
same parallel process. No interprocess
communication from child.
PARTITION_START VARCHAR2(255)
Start partition of a range of accessed partitions. It can
take one of the following values:
n indicates that the start partition has been identified by
the SQL compiler, and its partition number is given by n.
KEY
indicates that the start partition is identified at run
time from partitioning key values.
ROW REMOVE_LOCATION
indicates that the database
computes the start partition (same as the stop partition)
at run time from the location of each retrieved record.
The record location is obtained by a user or from a global
index.
INVALID
indicates that the range of accessed partitions is
empty.
Chapter 7
Execution Plan Reference
7-31

Table 7-5 (Cont.) PLAN_TABLE Columns
Column Type Description
PARTITION_STOP VARCHAR2(255)
Stop partition of a range of accessed partitions. It can
take one of the following values:
n indicates that the stop partition has been identified by
the SQL compiler, and its partition number is given by n.
KEY
indicates that the stop partition is identified at run
time from partitioning key values.
ROW
REMOVE_LOCATION
indicates that the database
computes the stop partition (same as the start partition)
at run time from the location of each retrieved record.
The record location is obtained by a user or from a global
index.
INVALID
indicates that the range of accessed partitions is
empty.
PARTITION_ID NUMERIC
Step that has computed the pair of values of the
PARTITION_START
and
PARTITION_STOP
columns.
OTHER LONG
Other information that is specific to the execution step
that a user might find useful. See the
OTHER_TAG
column.
DISTRIBUTION VARCHAR2(30)
Method used to distribute rows from producer query
servers to consumer query servers.
See "Table 7-6" for more information about the possible
values for this column. For more information about
consumer and producer query servers, see Oracle
Database VLDB and Partitioning Guide.
CPU_COST NUMERIC
CPU cost of the operation as estimated by the query
optimizer's approach. The value of this column is
proportional to the number of machine cycles required for
the operation. For statements that use the rule-based
approach, this column is null.
IO_COST NUMERIC
I/O cost of the operation as estimated by the query
optimizer's approach. The value of this column is
proportional to the number of data blocks read by the
operation. For statements that use the rule-based
approach, this column is null.
TEMP_SPACE NUMERIC
Temporary space, in bytes, used by the operation as
estimated by the query optimizer's approach. For
statements that use the rule-based approach, or for
operations that do not use any temporary space, this
column is null.
ACCESS_PREDICATES VARCHAR2(4000)
Predicates used to locate rows in an access structure.
For example, start or stop predicates for an index range
scan.
FILTER_PREDICATES VARCHAR2(4000)
Predicates used to filter rows before producing them.
PROJECTION VARCHAR2(4000)
Expressions produced by the operation.
TIME NUMBER(20,2)
Elapsed time in seconds of the operation as estimated by
query optimization. For statements that use the rule-
based approach, this column is null.
QBLOCK_NAME VARCHAR2(30)
Name of the query block, either system-generated or
defined by the user with the
QB_NAME
hint.
Chapter 7
Execution Plan Reference
7-32

Table 7-6 Values of DISTRIBUTION Column of the PLAN_TABLE
DISTRIBUTION Text Interpretation
PARTITION (ROWID)
Maps rows to query servers based on the partitioning of a table or index using
the rowid of the row to
UPDATE
/
DELETE
.
PARTITION (KEY)
Maps rows to query servers based on the partitioning of a table or index using a
set of columns. Used for partial partition-wise join,
PARALLEL INSERT
,
CREATE
TABLE AS SELECT
of a partitioned table, and
CREATE PARTITIONED GLOBAL
INDEX
.
HASH
Maps rows to query servers using a hash function on the join key. Used for
PARALLEL JOIN
or
PARALLEL GROUP BY
.
RANGE
Maps rows to query servers using ranges of the sort key. Used when the
statement contains an
ORDER BY
clause.
ROUND-ROBIN
Randomly maps rows to query servers.
BROADCAST
Broadcasts the rows of the entire table to each query server. Used for a parallel
join when one table is very small compared to the other.
QC (ORDER)
The QC consumes the input in order, from the first to the last query server.
Used when the statement contains an
ORDER BY
clause.
QC (RANDOM)
The QC consumes the input randomly. Used when the statement does not have
an
ORDER BY
clause.
Table 7-7 lists each combination of
OPERATION
and
OPTIONS
produced by the
EXPLAIN
PLAN
statement and its meaning within an execution plan.
Table 7-7 OPERATION and OPTIONS Values Produced by EXPLAIN PLAN
Operation Option Description
AND-EQUAL
Operation accepting multiple sets of rowids, returning the
intersection of the sets, eliminating duplicates. Used for the single-
column indexes access path.
BITMAP CONVERSION TO ROWIDS
converts bitmap representations to actual rowids that you
can use to access the table.
FROM ROWIDS
converts the rowids to a bitmap representation.
COUNT
returns the number of rowids if the actual values are not
needed.
BITMAP INDEX SINGLE VALUE
looks up the bitmap for a single key value in the
index.
RANGE SCAN
retrieves bitmaps for a key value range.
FULL SCAN
performs a full scan of a bitmap index if there is no start
or stop key.
BITMAP MERGE
Merges several bitmaps resulting from a range scan into one
bitmap.
BITMAP MINUS
Subtracts bits of one bitmap from another. Row source is used for
negated predicates. This option is usable only if there are non-
negated predicates yielding a bitmap from which the subtraction can
take place.
BITMAP OR
Computes the bitwise
OR
of two bitmaps.
BITMAP AND
Computes the bitwise
AND
of two bitmaps.
Chapter 7
Execution Plan Reference
7-33

Table 7-7 (Cont.) OPERATION and OPTIONS Values Produced by EXPLAIN PLAN
Operation Option Description
BITMAP KEY ITERATION
Takes each row from a table row source and finds the
corresponding bitmap from a bitmap index. This set of bitmaps are
then merged into one bitmap in a following
BITMAP
MERGE
operation.
CONNECT BY
Retrieves rows in hierarchical order for a query containing a
CONNECT
BY
clause.
CONCATENATION
Operation accepting multiple sets of rows returning the union-all of
the sets.
COUNT
Operation counting the number of rows selected from a table.
COUNT STOPKEY
Count operation where the number of rows returned is limited by the
ROWNUM
expression in the
WHERE
clause.
CUBE JOIN
Joins a table or view on the left and a cube on the right.
See Oracle Database SQL Language Reference to learn about the
NO_USE_CUBE
and
USE_CUBE
hints.
CUBE JOIN ANTI
Uses an antijoin for a table or view on the left and a cube on the
right.
CUBE JOIN ANTI SNA
Uses an antijoin (single-sided null aware) for a table or view on the
left and a cube on the right. The join column on the right (cube side)
is
NOT NULL
.
CUBE JOIN OUTER
Uses an outer join for a table or view on the left and a cube on the
right.
CUBE JOIN RIGHT SEMI
Uses a right semijoin for a table or view on the left and a cube on
the right.
CUBE SCAN
Uses inner joins for all cube access.
CUBE SCAN PARTIAL OUTER
Uses an outer join for at least one dimension, and inner joins for the
other dimensions.
CUBE SCAN OUTER
Uses outer joins for all cube access.
DOMAIN INDEX
Retrieval of one or more rowids from a domain index. The options
column contain information supplied by a user-defined domain index
cost function, if any.
FILTER
Operation accepting a set of rows, eliminates some of them, and
returns the rest.
FIRST ROW
Retrieval of only the first row selected by a query.
FOR UPDATE
Operation retrieving and locking the rows selected by a query
containing a
FOR
UPDATE
clause.
HASH GROUP BY
Operation hashing a set of rows into groups for a query with a
GROUP
BY
clause.
HASH GROUP BY PIVOT
Operation hashing a set of rows into groups for a query with a
GROUP
BY
clause. The
PIVOT
option indicates a pivot-specific optimization
for the
HASH GROUP BY
operator.
HASH JOIN
(These are join
operations.)
Operation joining two sets of rows and returning the result. This join
method is useful for joining large data sets of data (DSS, Batch).
The join condition is an efficient way of accessing the second table.
Query optimizer uses the smaller of the two tables/data sources to
build a hash table on the join key in memory. Then it scans the
larger table, probing the hash table to find the joined rows.
Chapter 7
Execution Plan Reference
7-34

Table 7-7 (Cont.) OPERATION and OPTIONS Values Produced by EXPLAIN PLAN
Operation Option Description
HASH JOIN ANTI
Hash (left) antijoin
HASH JOIN SEMI
Hash (left) semijoin
HASH JOIN RIGHT ANTI
Hash right antijoin
HASH JOIN RIGHT SEMI
Hash right semijoin
HASH JOIN OUTER
Hash (left) outer join
HASH JOIN RIGHT OUTER
Hash right outer join
INDEX
(These are access
methods.)
UNIQUE SCAN
Retrieval of a single rowid from an index.
INDEX RANGE SCAN
Retrieval of one or more rowids from an index. Indexed values are
scanned in ascending order.
INDEX RANGE SCAN
DESCENDING
Retrieval of one or more rowids from an index. Indexed values are
scanned in descending order.
INDEX FULL SCAN
Retrieval of all rowids from an index when there is no start or stop
key. Indexed values are scanned in ascending order.
INDEX FULL SCAN
DESCENDING
Retrieval of all rowids from an index when there is no start or stop
key. Indexed values are scanned in descending order.
INDEX FAST FULL SCAN
Retrieval of all rowids (and column values) using multiblock reads.
No sorting order can be defined. Compares to a full table scan on
only the indexed columns. Only available with the cost based
optimizer.
INDEX SKIP SCAN
Retrieval of rowids from a concatenated index without using the
leading column(s) in the index. Only available with the cost based
optimizer.
INLIST ITERATOR
Iterates over the next operation in the plan for each value in the
IN
-
list predicate.
INTERSECTION
Operation accepting two sets of rows and returning the intersection
of the sets, eliminating duplicates.
MERGE JOIN
(These are join
operations.)
Operation accepting two sets of rows, each sorted by a value,
combining each row from one set with the matching rows from the
other, and returning the result.
MERGE JOIN OUTER
Merge join operation to perform an outer join statement.
MERGE JOIN ANTI
Merge antijoin.
MERGE JOIN SEMI
Merge semijoin.
MERGE JOIN CARTESIAN
Can result from 1 or more of the tables not having any join
conditions to any other tables in the statement. Can occur even with
a join and it may not be flagged as
CARTESIAN
in the plan.
CONNECT BY
Retrieval of rows in hierarchical order for a query containing a
CONNECT
BY
clause.
MAT_VIEW REWITE
ACCESS
(These are access
methods.)
FULL
Retrieval of all rows from a materialized view.
Chapter 7
Execution Plan Reference
7-35

Table 7-7 (Cont.) OPERATION and OPTIONS Values Produced by EXPLAIN PLAN
Operation Option Description
MAT_VIEW REWITE
ACCESS
SAMPLE
Retrieval of sampled rows from a materialized view.
MAT_VIEW REWITE
ACCESS
CLUSTER
Retrieval of rows from a materialized view based on a value of an
indexed cluster key.
MAT_VIEW REWITE
ACCESS
HASH
Retrieval of rows from materialized view based on hash cluster key
value.
MAT_VIEW REWITE
ACCESS
BY ROWID RANGE
Retrieval of rows from a materialized view based on a rowid range.
MAT_VIEW REWITE
ACCESS
SAMPLE BY ROWID
RANGE
Retrieval of sampled rows from a materialized view based on a
rowid range.
MAT_VIEW REWITE
ACCESS
BY USER ROWID
If the materialized view rows are located using user-supplied rowids.
MAT_VIEW REWITE
ACCESS
BY INDEX ROWID
If the materialized view is nonpartitioned and rows are located using
indexes.
MAT_VIEW REWITE
ACCESS
BY GLOBAL INDEX
ROWID
If the materialized view is partitioned and rows are located using
only global indexes.
MAT_VIEW REWITE
ACCESS
BY LOCAL INDEX
ROWID
If the materialized view is partitioned and rows are located using one
or more local indexes and possibly some global indexes.
Partition Boundaries:
The partition boundaries might have been computed by:
A previous
PARTITION
step, in which case the
PARTITION_START
and
PARTITION_STOP
column values replicate the values present in the
PARTITION
step, and the
PARTITION_ID
contains the ID of the
PARTITION
step. Possible values for
PARTITION_START
and
PARTITION_STOP
are
NUMBER
(n),
KEY
, and
INVALID
.
The
MAT_VIEW REWRITE ACCESS
or
INDEX
step itself, in which case
the
PARTITION_ID
contains the
ID
of the step. Possible values for
PARTITION_START
and
PARTITION_STOP
are
NUMBER
(n),
KEY
,
ROW
REMOVE_LOCATION
(
MAT_VIEW REWRITE
ACCESS
only), and
INVALID
.
MINUS
Operation accepting two sets of rows and returning rows appearing
in the first set but not in the second, eliminating duplicates.
NESTED LOOPS
(These are join
operations.)
Operation accepting two sets of rows, an outer set and an inner set.
Oracle Database compares each row of the outer set with each row
of the inner set, returning rows that satisfy a condition. This join
method is useful for joining small subsets of data (OLTP). The join
condition is an efficient way of accessing the second table.
NESTED LOOPS OUTER
Nested loops operation to perform an outer join statement.
PARTITION
Iterates over the next operation in the plan for each partition in the
range given by the
PARTITION_START
and
PARTITION_STOP
columns.
PARTITION
describes partition boundaries applicable to a single
partitioned object (table or index) or to a set of equipartitioned
objects (a partitioned table and its local indexes). The partition
boundaries are provided by the values of
PARTITION_START
and
PARTITION_STOP
of the
PARTITION
. Refer to Table 7-4 for valid
values of partition start and stop.
PARTITION SINGLE
Access one partition.
PARTITION ITERATOR
Access many partitions (a subset).
Chapter 7
Execution Plan Reference
7-36

Table 7-7 (Cont.) OPERATION and OPTIONS Values Produced by EXPLAIN PLAN
Operation Option Description
PARTITION ALL
Access all partitions.
PARTITION INLIST
Similar to iterator, but based on an
IN
-list predicate.
PARTITION INVALID
Indicates that the partition set to be accessed is empty.
POLYMORPHIC TABLE
FUNCTION
Indicates the row source for a polymorphic table function, which is a
table function whose return type is determined by its arguments.
PX
ITERATOR BLOCK
,
CHUNK
Implements the division of an object into block or chunk ranges
among a set of parallel execution servers.
PX
COORDINATOR
Implements the Query Coordinator which controls, schedules, and
executes the parallel plan below it using parallel execution servers.
It also represents a serialization point, as the end of the part of the
plan executed in parallel and always has a
PX SEND QC
operation
below it.
PX
PARTITION
Same semantics as the regular
PARTITION
operation except that it
appears in a parallel plan.
PX
RECEIVE
Shows the consumer/receiver parallel execution node reading
repartitioned data from a send/producer (QC or parallel execution
server) executing on a PX SEND node. This information was
formerly displayed into the
DISTRIBUTION
column. See Table 7-5.
PX
SEND QC
(RANDOM), HASH
,
RANGE
Implements the distribution method taking place between two sets of
parallel execution servers. Shows the boundary between two sets
and how data is repartitioned on the send/producer side (QC or side.
This information was formerly displayed into the
DISTRIBUTION
column. See Table 7-5.
REMOTE
Retrieval of data from a remote database.
SEQUENCE
Operation involving accessing values of a sequence.
SORT AGGREGATE
Retrieval of a single row that is the result of applying a group
function to a group of selected rows.
SORT UNIQUE
Operation sorting a set of rows to eliminate duplicates.
SORT GROUP
BY
Operation sorting a set of rows into groups for a query with a
GROUP
BY
clause.
SORT GROUP BY PIVOT
Operation sorting a set of rows into groups for a query with a
GROUP
BY
clause. The
PIVOT
option indicates a pivot-specific optimization
for the
SORT GROUP BY
operator.
SORT JOIN
Operation sorting a set of rows before a merge-join.
SORT ORDER BY
Operation sorting a set of rows for a query with an
ORDER
BY
clause.
TABLE ACCESS
(These are access
methods.)
FULL
Retrieval of all rows from a table.
TABLE ACCESS SAMPLE
Retrieval of sampled rows from a table.
TABLE ACCESS CLUSTER
Retrieval of rows from a table based on a value of an indexed
cluster key.
TABLE ACCESS HASH
Retrieval of rows from table based on hash cluster key value.
TABLE ACCESS BY ROWID RANGE
Retrieval of rows from a table based on a rowid range.
Chapter 7
Execution Plan Reference
7-37

Table 7-7 (Cont.) OPERATION and OPTIONS Values Produced by EXPLAIN PLAN
Operation Option Description
TABLE ACCESS SAMPLE BY ROWID
RANGE
Retrieval of sampled rows from a table based on a rowid range.
TABLE ACCESS BY USER ROWID
If the table rows are located using user-supplied rowids.
TABLE ACCESS BY INDEX ROWID
If the table is nonpartitioned and rows are located using index(es).
TABLE ACCESS BY GLOBAL INDEX
ROWID
If the table is partitioned and rows are located using only global
indexes.
TABLE ACCESS BY LOCAL INDEX
ROWID
If the table is partitioned and rows are located using one or more
local indexes and possibly some global indexes.
Partition Boundaries:
The partition boundaries might have been computed by:
A previous
PARTITION
step, in which case the
PARTITION_START
and
PARTITION_STOP
column values replicate the values present in the
PARTITION
step, and the
PARTITION_ID
contains the ID of the
PARTITION
step. Possible values for
PARTITION_START
and
PARTITION_STOP
are
NUMBER
(n),
KEY
, and
INVALID
.
The
TABLE
ACCESS
or
INDEX
step itself, in which case the
PARTITION_ID
contains the
ID
of the step. Possible values for
PARTITION_START
and
PARTITION_STOP
are
NUMBER
(n),
KEY
,
ROW
REMOVE_LOCATION
(
TABLE
ACCESS
only), and
INVALID
.
TRANSPOSE
Operation evaluating a
PIVOT
operation by transposing the results of
GROUP BY
to produce the final pivoted data.
UNION
Operation accepting two sets of rows and returns the union of the
sets, eliminating duplicates.
UNPIVOT
Operation that rotates data from columns into rows.
VIEW
Operation performing a view's query and then returning the resulting
rows to another operation.
7.3.3 DBMS_XPLAN Program Units
The functions
DISPLAY_PLAN
and
DISPLAY_CURSOR
in
DBMS_XPLAN
are relevant for accessing
adapted plans.
Chapter 7
Execution Plan Reference
7-38

Table 7-8 DBMS_XPLAN Functions and Parameters Relevant for Adaptive
Queries
Functions Notes
DISPLAY_PLAN
The
FORMAT
argument supports the modifier
ADAPTIVE
.
When you specify
ADAPTIVE
, the output includes the default plan. For
each dynamic subplan, the plan shows a list of the row sources from
the original that may be replaced, and the row sources that would
replace them.
If the format argument specifies the outline display, then the function
displays the hints for each option in the dynamic subplan. If the plan is
not an adaptive query plan, then the function displays the default plan.
When you do not specify
ADAPTIVE
, the plan is shown as-is, but with
additional comments in the Note section that show any row sources
that are dynamic.
DISPLAY_CURSOR
The
FORMAT
argument supports the modifier
ADAPTIVE
.
When you specify
ADAPTIVE
, the output includes:
•The final plan. If the execution has not completed, then the output
shows the current plan. This section also includes notes about
run-time optimizations that affect the plan.
•Recommended plan. In reporting mode, the output includes the
plan that would be chosen based on execution statistics.
•Dynamic plan. The output summarizes the portions of the plan
that differ from the default plan chosen by the optimizer.
•Reoptimization. The output displays the plan that would be chosen
on a subsequent execution because of reoptimization.
Chapter 7
Execution Plan Reference
7-39

Part IV
SQL Operators: Access Paths and Joins
A row source is a set of rows returned by a step in the execution plan. A SQL
operator acts on a row source.
A unary operator acts on one input, as with access paths. A binary operator acts on
two outputs, as with joins.
This part contains the following chapters:
•Optimizer Access Paths
An access path is a technique used by a query to retrieve rows from a row
source.
•Joins
Oracle Database provides several optimizations for joining row sets.

8
Optimizer Access Paths
An access path is a technique used by a query to retrieve rows from a row source.
This chapter contains the following topics:
•Introduction to Access Paths
A row source is a set of rows returned by a step in an execution plan. A row
source can be a table, view, or result of a join or grouping operation.
•Table Access Paths
A table is the basic unit of data organization in an Oracle database.
•B-Tree Index Access Paths
An index is an optional structure, associated with a table or table cluster, that can
sometimes speed data access.
•Bitmap Index Access Paths
Bitmap indexes combine the indexed data with a rowid range.
•Table Cluster Access Paths
A table cluster is a group of tables that share common columns and store related
data in the same blocks. When tables are clustered, a single data block can
contain rows from multiple tables.
8.1 Introduction to Access Paths
A row source is a set of rows returned by a step in an execution plan. A row source
can be a table, view, or result of a join or grouping operation.
A unary operation such as an access path, which is a technique used by a query to
retrieve rows from a row source, accepts a single row source as input. For example, a
full table scan is the retrieval of rows of a single row source. In contrast, a join
operation is binary and receives inputs from two row sources
The database uses different access paths for different relational data structures. The
following table summarizes common access paths for the major data structures.
Table 8-1 Data Structures and Access Paths
Access Path Heap-Organized
Tables
B-Tree Indexes
and IOTs
Bitmap Indexes Table Clusters
Full Table Scans x
Table Access by Rowid x
Sample Table Scans x
Index Unique Scans x
Index Range Scans x
Index Full Scans x
Index Fast Full Scans x
8-1

Table 8-1 (Cont.) Data Structures and Access Paths
Access Path Heap-Organized
Tables
B-Tree Indexes
and IOTs
Bitmap Indexes Table Clusters
Index Skip Scans x
Index Join Scans x
Bitmap Index Single Value x
Bitmap Index Range Scans x
Bitmap Merge x
Bitmap Index Range Scans x
Cluster Scans x
Hash Scans x
The optimizer considers different possible execution plans, and then assigns each
plan a cost. The optimizer chooses the plan with the lowest cost. In general, index
access paths are more efficient for statements that retrieve a small subset of table
rows, whereas full table scans are more efficient when accessing a large portion of a
table.
8.2 Table Access Paths
A table is the basic unit of data organization in an Oracle database.
Relational tables are the most common table type. Relational tables have with the
following organizational characteristics:
•A heap-organized table does not store rows in any particular order.
•An index-organized table orders rows according to the primary key values.
•An external table is a read-only table whose metadata is stored in the database
but whose data is stored outside the database.
This section explains optimizer access paths for heap-organized tables, and contains
the following topics:
•About Heap-Organized Table Access
By default, a table is organized as a heap, which means that the database places
rows where they fit best rather than in a user-specified order.
•Full Table Scans
A full table scan reads all rows from a table, and then filters out those rows that
do not meet the selection criteria.
•Table Access by Rowid
A rowid is an internal representation of the storage location of data.
•Sample Table Scans
A sample table scan retrieves a random sample of data from a simple table or a
complex
SELECT
statement, such as a statement involving joins and views.
Chapter 8
Table Access Paths
8-2

•In-Memory Table Scans
An In-Memory scan retrieves rows from the In-Memory Column Store (IM column
store).
See Also:
•Oracle Database Concepts for an overview of tables
•Oracle Database Administrator’s Guide to learn how to manage tables
8.2.1 About Heap-Organized Table Access
By default, a table is organized as a heap, which means that the database places rows
where they fit best rather than in a user-specified order.
As users add rows, the database places the rows in the first available free space in the
data segment. Rows are not guaranteed to be retrieved in the order in which they were
inserted.
This section contains the following topics:
•Row Storage in Data Blocks and Segments: A Primer
The database stores rows in data blocks. In tables, the database can write a row
anywhere in the bottom part of the block. Oracle Database uses the block
overhead, which contains the row directory and table directory, to manage the
block itself.
•Importance of Rowids for Row Access
Every row in a heap-organized table has a rowid unique to this table that
corresponds to the physical address of a row piece. A rowid is a 10-byte physical
address of a row.
•Direct Path Reads
In a direct path read, the database reads buffers from disk directly into the PGA,
bypassing the SGA entirely.
8.2.1.1 Row Storage in Data Blocks and Segments: A Primer
The database stores rows in data blocks. In tables, the database can write a row
anywhere in the bottom part of the block. Oracle Database uses the block overhead,
which contains the row directory and table directory, to manage the block itself.
An extent is made up of logically contiguous data blocks. The blocks may not be
physically contiguous on disk. A segment is a set of extents that contains all the data
for a logical storage structure within a tablespace. For example, Oracle Database
allocates one or more extents to form the data segment for a table. The database also
allocates one or more extents to form the index segment for a table.
By default, the database uses automatic segment space management (ASSM) for
permanent, locally managed tablespaces. When a session first inserts data into a
table, the database formats a bitmap block. The bitmap tracks the blocks in the
segment. The database uses the bitmap to find free blocks and then formats each
block before writing to it. ASSM spread out inserts among blocks to avoid concurrency
issues.
Chapter 8
Table Access Paths
8-3

The high water mark (HWM) is the point in a segment beyond which data blocks are
unformatted and have never been used. Below the HWM, a block may be formatted
and written to, formatted and empty, or unformatted. The low high water mark (low
HWM) marks the point below which all blocks are known to be formatted because they
either contain data or formerly contained data.
During a full table scan, the database reads all blocks up to the low HWM, which are
known to be formatted, and then reads the segment bitmap to determine which blocks
between the HWM and low HWM are formatted and safe to read. The database knows
not to read past the HWM because these blocks are unformatted.
8.2.1.2 Importance of Rowids for Row Access
Every row in a heap-organized table has a rowid unique to this table that corresponds
to the physical address of a row piece. A rowid is a 10-byte physical address of a row.
The rowid points to a specific file, block, and row number. For example, in the rowid
AAAPecAAFAAAABSAAA
, the final
AAA
represents the row number. The row number is an
index into a row directory entry. The row directory entry contains a pointer to the
location of the row on the block.
The database can sometimes move a row in the bottom part of the block. For
example, if row movement is enabled, then the row can move because of partition key
updates, Flashback Table operations, shrink table operations, and so on. If the
database moves a row within a block, then the database updates the row directory
entry to modify the pointer. The rowid stays constant.
Oracle Database uses rowids internally for the construction of indexes. For example,
each key in a B-tree index is associated with a rowid that points to the address of the
associated row. Physical rowids provide the fastest possible access to a table row,
enabling the database to retrieve a row in as little as a single I/O.
8.2.1.3 Direct Path Reads
In a direct path read, the database reads buffers from disk directly into the PGA,
bypassing the SGA entirely.
The following figure shows the difference between scattered and sequential reads,
which store buffers in the SGA, and direct path reads.
Chapter 8
Table Access Paths
8-4

Figure 8-1 Direct Path Reads
DB File
Sequential Read
DB File
Scattered Read
Direct path
read
Direct Path
Read
Database Buffer
Cache
SGA Buffer Cache
Database Buffer
Cache
SGA Buffer Cache
Sort Area Hash Area
Process PGA
Bitmap Merge
Area
Session
Memory
Runtime
Area
Persistent
Area
Situations in which Oracle Database may perform direct path reads include:
•Execution of a
CREATE TABLE AS SELECT
statement
•Execution of an
ALTER REBUILD
or
ALTER MOVE
statement
•Reads from a temporary tablespace
•Parallel queries
•Reads from a LOB segment
8.2.2 Full Table Scans
A full table scan reads all rows from a table, and then filters out those rows that do
not meet the selection criteria.
This section contains the following topics:
•When the Optimizer Considers a Full Table Scan
In general, the optimizer chooses a full table scan when it cannot use a different
access path, or another usable access path is higher cost.
•How a Full Table Scan Works
In a full table scan, the database sequentially reads every formatted block under
the high water mark. The database reads each block only once.
•Full Table Scan: Example
This example scans the
hr.employees
table.
Chapter 8
Table Access Paths
8-5

8.2.2.1 When the Optimizer Considers a Full Table Scan
In general, the optimizer chooses a full table scan when it cannot use a different
access path, or another usable access path is higher cost.
The following table shows typical reasons for choosing a full table scan.
Table 8-2 Typical Reasons for a Full Table Scan
Reason Explanation To Learn More
No index exists. If no index exists, then the optimizer
uses a full table scan.
Oracle Database
Concepts
The query predicate
applies a function to the
indexed column.
Unless the index is a function-based
index, the database indexes the
values of the column, not the values
of the column with the function
applied. A typical application-level
mistake is to index a character
column, such as
char_col
, and then
query the column using syntax such
as
WHERE char_col=1
. The database
implicitly applies a
TO_NUMBER
function
to the constant number
1
, which
prevents use of the index.
"Guidelines for Using
Function-Based Indexes
for Performance"
A
SELECT COUNT(*)
query
is issued, and an index
exists, but the indexed
column contains nulls.
The optimizer cannot use the index to
count the number of table rows
because the index cannot contain null
entries.
"B-Tree Indexes and
Nulls"
The query predicate does
not use the leading edge of
a B-tree index.
For example, an index might exist on
employees(first_name,last_name)
.
If a user issues a query with the
predicate
WHERE last_name='KING'
,
then the optimizer may not choose an
index because column
first_name
is
not in the predicate. However, in this
situation the optimizer may choose to
use an index skip scan.
"Index Skip Scans"
The query is unselective. If the optimizer determines that the
query requires most of the blocks in
the table, then it uses a full table
scan, even though indexes are
available. Full table scans can use
larger I/O calls. Making fewer large
I/O calls is cheaper than making
many smaller calls.
"Selectivity"
The table statistics are
stale.
For example, a table was small, but
now has grown large. If the table
statistics are stale and do not reflect
the current size of the table, then the
optimizer does not know that an index
is now most efficient than a full table
scan.
"Introduction to Optimizer
Statistics"
Chapter 8
Table Access Paths
8-6

Table 8-2 (Cont.) Typical Reasons for a Full Table Scan
Reason Explanation To Learn More
The table is small. If a table contains fewer than n blocks
under the high water mark, where n
equals the setting for the
DB_FILE_MULTIBLOCK_READ_COUNT
initialization parameter, then a full
table scan may be cheaper than an
index range scan. The scan may be
less expensive regardless of the
fraction of tables being accessed or
indexes present.
Oracle Database
Reference
The table has a high
degree of parallelism.
A high degree of parallelism for a
table skews the optimizer toward full
table scans over range scans. Query
the value in the
ALL_TABLES.DEGREE
column to determine the degree of
parallelism.
Oracle Database
Reference
The query uses a full table
scan hint.
The hint
FULL(table alias)
instructs
the optimizer to use a full table scan.
Oracle Database SQL
Language Reference
8.2.2.2 How a Full Table Scan Works
In a full table scan, the database sequentially reads every formatted block under the
high water mark. The database reads each block only once.
The following graphic depicts a scan of a table segment, showing how the scan skips
unformatted blocks below the high water mark.
Figure 8-2 High Water Mark
Low HWM HWM
Never Used,
Unformatted
Used
Sequential
Read
Because the blocks are adjacent, the database can speed up the scan by making I/O
calls larger than a single block, known as a multiblock read. The size of a read call
ranges from one block to the number of blocks specified by the
Chapter 8
Table Access Paths
8-7

DB_FILE_MULTIBLOCK_READ_COUNT
initialization parameter. For example, setting this
parameter to
4
instructs the database to read up to 4 blocks in a single call.
The algorithms for caching blocks during full table scans are complex. For example,
the database caches blocks differently depending on whether tables are small or large.
8.2.2.3 Full Table Scan: Example
This example scans the
hr.employees
table.
The following statement queries monthly salaries over $4000:
SELECT salary
FROM hr.employees
WHERE salary > 4000;
Example 8-1 Full Table Scan
The following plan was retrieved using the
DBMS_XPLAN.DISPLAY_CURSOR
function.
Because no index exists on the
salary
column, the optimizer cannot use an index
range scan, and so uses a full table scan.
SQL_ID 54c20f3udfnws, child number 0
-------------------------------------
select salary from hr.employees where salary > 4000
Plan hash value: 3476115102
-------------------------------------------------------------------------------
| Id | Operation | Name | Rows | Bytes | Cost (%CPU)| Time |
-------------------------------------------------------------------------------
| 0 | SELECT STATEMENT | | | | 3 (100)| |
|* 1 | TABLE ACCESS FULL| EMPLOYEES | 98 | 6762 | 3 (0)| 00:00:01 |
-------------------------------------------------------------------------------
Predicate Information (identified by operation id):
---------------------------------------------------
1 - filter("SALARY">4000)
8.2.3 Table Access by Rowid
A rowid is an internal representation of the storage location of data.
The rowid of a row specifies the data file and data block containing the row and the
location of the row in that block. Locating a row by specifying its rowid is the fastest
way to retrieve a single row because it specifies the exact location of the row in the
database.
Note:
Rowids can change between versions. Accessing data based on position is
not recommended because rows can move.
This section contains the following topics:
Chapter 8
Table Access Paths
8-8

•When the Optimizer Chooses Table Access by Rowid
In most cases, the database accesses a table by rowid after a scan of one or more
indexes.
•How Table Access by Rowid Works
To access a table by rowid, the database performs multiple steps.
•Table Access by Rowid: Example
This example demonstrates rowid access of the
hr.employees
table.
See Also:
Oracle Database Development Guide to learn more about rowids
8.2.3.1 When the Optimizer Chooses Table Access by Rowid
In most cases, the database accesses a table by rowid after a scan of one or more
indexes.
However, table access by rowid need not follow every index scan. If the index contains
all needed columns, then access by rowid might not occur.
8.2.3.2 How Table Access by Rowid Works
To access a table by rowid, the database performs multiple steps.
The database does the following:
1. Obtains the rowids of the selected rows, either from the statement
WHERE
clause or
through an index scan of one or more indexes
Table access may be needed for columns in the statement not present in the
index.
2. Locates each selected row in the table based on its rowid
8.2.3.3 Table Access by Rowid: Example
This example demonstrates rowid access of the
hr.employees
table.
Assume that you run the following query:
SELECT *
FROM employees
WHERE employee_id > 190;
Step 2 of the following plan shows a range scan of the
emp_emp_id_pk
index on the
hr.employees
table. The database uses the rowids obtained from the index to find the
corresponding rows from the
employees
table, and then retrieve them. The
BATCHED
access shown in Step 1 means that the database retrieves a few rowids from the
index, and then attempts to access rows in block order to improve the clustering and
reduce the number of times that the database must access a block.
--------------------------------------------------------------------------------
|Id| Operation | Name |Rows|Bytes|Cost(%CPU)|Time|
--------------------------------------------------------------------------------
Chapter 8
Table Access Paths
8-9

| 0| SELECT STATEMENT | | | |2(100)| |
| 1| TABLE ACCESS BY INDEX ROWID BATCHED|EMPLOYEES |16|1104|2 (0)|00:00:01|
|*2| INDEX RANGE SCAN |EMP_EMP_ID_PK|16| |1 (0)|00:00:01|
--------------------------------------------------------------------------------
Predicate Information (identified by operation id):
---------------------------------------------------
2 - access("EMPLOYEE_ID">190)
8.2.4 Sample Table Scans
A sample table scan retrieves a random sample of data from a simple table or a
complex
SELECT
statement, such as a statement involving joins and views.
This section contains the following topics:
•When the Optimizer Chooses a Sample Table Scan
The database uses a sample table scan when a statement
FROM
clause includes
the
SAMPLE
keyword.
•Sample Table Scans: Example
This example uses a sample table scan to access 1% of the
employees
table,
sampling by blocks instead of rows.
8.2.4.1 When the Optimizer Chooses a Sample Table Scan
The database uses a sample table scan when a statement
FROM
clause includes the
SAMPLE
keyword.
The
SAMPLE
clause has the following forms:
•
SAMPLE
(sample_percent)
The database reads a specified percentage of rows in the table to perform a
sample table scan.
•
SAMPLE BLOCK
(sample_percent)
The database reads a specified percentage of table blocks to perform a sample
table scan.
The sample_percent specifies the percentage of the total row or block count to include
in the sample. The value must be in the range
.000001
up to, but not including,
100
.
This percentage indicates the probability of each row, or each cluster of rows in block
sampling, being selected for the sample. It does not mean that the database retrieves
exactly sample_percent of the rows.
Note:
Block sampling is possible only during full table scans or index fast full
scans. If a more efficient execution path exists, then the database does not
sample blocks. To guarantee block sampling for a specific table or index, use
the
FULL
or
INDEX_FFS
hint.
Chapter 8
Table Access Paths
8-10

8.2.4.2 Sample Table Scans: Example
This example uses a sample table scan to access 1% of the
employees
table, sampling
by blocks instead of rows.
Example 8-2 Sample Table Scan
SELECT * FROM hr.employees SAMPLE BLOCK (1);
The
EXPLAIN PLAN
output for this statement might look as follows:
-------------------------------------------------------------------------
| Id | Operation | Name | Rows | Bytes | Cost (%CPU)|
-------------------------------------------------------------------------
| 0 | SELECT STATEMENT | | 1 | 68 | 3 (34)|
| 1 | TABLE ACCESS SAMPLE | EMPLOYEES | 1 | 68 | 3 (34)|
-------------------------------------------------------------------------
8.2.5 In-Memory Table Scans
An In-Memory scan retrieves rows from the In-Memory Column Store (IM column
store).
The IM column store is an optional SGA area that stores copies of tables and
partitions in a special columnar format optimized for rapid scans.
This section contains the following topics:
•When the Optimizer Chooses an In-Memory Table Scan
The optimizer cost model is aware of the content of the IM column store.
•In-Memory Query Controls
You can control In-Memory queries using initialization parameters.
•In-Memory Table Scans: Example
This example shows an execution plan that includes the
TABLE ACCESS INMEMORY
operation.
See Also:
Oracle Database In-Memory Guide for an introduction to the IM column store
8.2.5.1 When the Optimizer Chooses an In-Memory Table Scan
The optimizer cost model is aware of the content of the IM column store.
When a user executes a query that references a table in the IM column store, the
optimizer calculates the cost of all possible access methods—including the In-Memory
table scan—and selects the access method with the lowest cost.
8.2.5.2 In-Memory Query Controls
You can control In-Memory queries using initialization parameters.
Chapter 8
Table Access Paths
8-11

The following database initialization parameters affect the In-Memory features:
•
INMEMORY_QUERY
This parameter enables or disables In-Memory queries for the database at the
session or system level. This parameter is helpful when you want to test workloads
with and without the use of the IM column store.
•
OPTIMIZER_INMEMORY_AWARE
This parameter enables (
TRUE
) or disables (
FALSE
) all of the In-Memory
enhancements made to the optimizer cost model, table expansion, bloom filters,
and so on. Setting the parameter to
FALSE
causes the optimizer to ignore the In-
Memory property of tables during the optimization of SQL statements.
•
OPTIMIZER_FEATURES_ENABLE
When set to values lower than
12.1.0.2
, this parameter has the same effect as
setting
OPTIMIZER_INMEMORY_AWARE
to
FALSE
.
To enable or disable In-Memory queries, you can specify the
INMEMORY
or
NO_INMEMORY
hints, which are the per-query equivalent of the
INMEMORY_QUERY
initialization parameter.
If a SQL statement uses the
INMEMORY
hint, but the object it references is not already
loaded in the IM column store, then the database does not wait for the object to be
populated in the IM column store before executing the statement. However, initial
access of the object triggers the object population in the IM column store.
8.2.5.3 In-Memory Table Scans: Example
This example shows an execution plan that includes the
TABLE ACCESS INMEMORY
operation.
The following example shows a query of the
oe.product_information
table, which has
been altered with the
INMEMORY HIGH
option.
Example 8-3 In-Memory Table Scan
SELECT *
FROM oe.product_information
WHERE list_price > 10
ORDER BY product_id
The plan for this statement might look as follows, with the
INMEMORY
keyword in Step 2
indicating that some or all of the object was accessed from the IM column store:
SQL> SELECT * FROM TABLE(DBMS_XPLAN.DISPLAY_CURSOR);
SQL_ID 2mb4h57x8pabw, child number 0
-------------------------------------
select * from oe.product_information where list_price > 10 order byproduct_id
Plan hash value: 2256295385
--------------------------------------------------------------------------------------------
|Id| Operation | Name |Rows|Bytes |TempSpc|Cost(%CPU)|Time|
--------------------------------------------------------------------------------------------
| 0| SELECT STATEMENT | | | | |21 (100)| |
| 1| SORT ORDER BY | | 285| 62415|82000|21 (5)|00:00:01|
|*2| TABLE ACCESS INMEMORY FULL| PRODUCT_INFORMATION | 285| 62415| | 5 (0)|00:00:01|
--------------------------------------------------------------------------------------------
Predicate Information (identified by operation id):
Chapter 8
Table Access Paths
8-12

---------------------------------------------------
2 - inmemory("LIST_PRICE">10)
filter("LIST_PRICE">10)
8.3 B-Tree Index Access Paths
An index is an optional structure, associated with a table or table cluster, that can
sometimes speed data access.
By creating an index on one or more columns of a table, you gain the ability in some
cases to retrieve a small set of randomly distributed rows from the table. Indexes are
one of many means of reducing disk I/O.
This section contains the following topics:
•About B-Tree Index Access
B-trees, short for balanced trees, are the most common type of database index.
•Index Unique Scans
An index unique scan returns at most 1 rowid.
•Index Range Scans
An index range scan is an ordered scan of values.
•Index Full Scans
An index full scan reads the entire index in order. An index full scan can eliminate
a separate sorting operation because the data in the index is ordered by index
key.
•Index Fast Full Scans
An index fast full scan reads the index blocks in unsorted order, as they exist on
disk. This scan does not use the index to probe the table, but reads the index
instead of the table, essentially using the index itself as a table.
•Index Skip Scans
An index skip scan occurs when the initial column of a composite index is
"skipped" or not specified in the query.
•Index Join Scans
An index join scan is a hash join of multiple indexes that together return all
columns requested by a query. The database does not need to access the table
because all data is retrieved from the indexes.
See Also:
•Oracle Database Concepts for an overview of indexes
•Oracle Database Administrator’s Guide to learn how to manage indexes
8.3.1 About B-Tree Index Access
B-trees, short for balanced trees, are the most common type of database index.
Chapter 8
B-Tree Index Access Paths
8-13

A B-tree index is an ordered list of values divided into ranges. By associating a key
with a row or range of rows, B-trees provide excellent retrieval performance for a wide
range of queries, including exact match and range searches.
This section contains the following topics:
•B-Tree Index Structure
A B-tree index has two types of blocks: branch blocks for searching and leaf
blocks that store values.
•How Index Storage Affects Index Scans
Bitmap index blocks can appear anywhere in the index segment.
•Unique and Nonunique Indexes
In a nonunique index, the database stores the rowid by appending it to the key as
an extra column. The entry adds a length byte to make the key unique.
•B-Tree Indexes and Nulls
B-tree indexes never store completely null keys, which is important for how the
optimizer chooses access paths. A consequence of this rule is that single-column
B-tree indexes never store nulls.
8.3.1.1 B-Tree Index Structure
A B-tree index has two types of blocks: branch blocks for searching and leaf blocks
that store values.
The following graphic illustrates the logical structure of a B-tree index. Branch blocks
store the minimum key prefix needed to make a branching decision between two keys.
The leaf blocks contain every indexed data value and a corresponding rowid used to
locate the actual row. Each index entry is sorted by (key, rowid). The leaf blocks are
doubly linked.
Chapter 8
B-Tree Index Access Paths
8-14

Figure 8-3 B-Tree Index Structure
. . .
41..48
49..53
54..65
....
78..80
11,rowid
11,rowid
12,rowid
....
19,rowid
221,rowid
222,rowid
223,rowid
....
228,rowid
246,rowid
248,rowid
248,rowid
....
250,rowid
0,rowid
0,rowid
....
10,rowid
0..40
41..80
81..120
....
200..250
. . .. . .
0..10
11..19
20..25
....
32..40
200..209
210..220
221..228
....
246..250
Branch Blocks
Leaf Blocks
8.3.1.2 How Index Storage Affects Index Scans
Bitmap index blocks can appear anywhere in the index segment.
Figure 8-3 shows the leaf blocks as adjacent to each other. For example, the
1-10
block is next to and before the
11-19
block. This sequencing illustrates the linked lists
that connect the index entries. However, index blocks need not be stored in order
within an index segment. For example, the
246-250
block could appear anywhere in the
segment, including directly before the
1-10
block. For this reason, ordered index scans
must perform single-block I/O. The database must read an index block to determine
which index block it must read next.
The index block body stores the index entries in a heap, just like table rows. For
example, if the value
10
is inserted first into a table, then the index entry with key
10
might be inserted at the bottom of the index block. If
0
is inserted next into the table,
then the index entry for key
0
might be inserted on top of the entry for
10
. Thus, the
index entries in the block body are not stored in key order. However, within the index
block, the row header stores records in key order. For example, the first record in the
header points to the index entry with key
0
, and so on sequentially up to the record that
points to the index entry with key
10
. Thus, index scans can read the row header to
determine where to begin and end range scans, avoiding the necessity of reading
every entry in the block.
Chapter 8
B-Tree Index Access Paths
8-15

8.3.1.3 Unique and Nonunique Indexes
In a nonunique index, the database stores the rowid by appending it to the key as an
extra column. The entry adds a length byte to make the key unique.
For example, the first index key in the nonunique index shown in Figure 8-3 is the pair
0,rowid
and not simply
0
. The database sorts the data by index key values and then by
rowid ascending. For example, the entries are sorted as follows:
0,AAAPvCAAFAAAAFaAAa
0,AAAPvCAAFAAAAFaAAg
0,AAAPvCAAFAAAAFaAAl
2,AAAPvCAAFAAAAFaAAm
In a unique index, the index key does not include the rowid. The database sorts the
data only by the index key values, such as
0
,
1
,
2
, and so on.
8.3.1.4 B-Tree Indexes and Nulls
B-tree indexes never store completely null keys, which is important for how the
optimizer chooses access paths. A consequence of this rule is that single-column B-
tree indexes never store nulls.
An example helps illustrate. The
hr.employees
table has a primary key index on
employee_id
, and a unique index on
department_id
. The
department_id
column can
contain nulls, making it a nullable column, but the
employee_id
column cannot.
SQL> SELECT COUNT(*) FROM employees WHERE department_id IS NULL;
COUNT(*)
----------
1
SQL> SELECT COUNT(*) FROM employees WHERE employee_id IS NULL;
COUNT(*)
----------
0
The following example shows that the optimizer chooses a full table scan for a query
of all department IDs in
hr.employees
. The optimizer cannot use the index on
employees.department_id
because the index is not guaranteed to include entries for
every row in the table.
SQL> EXPLAIN PLAN FOR SELECT department_id FROM employees;
Explained.
SQL> SELECT PLAN_TABLE_OUTPUT FROM TABLE(DBMS_XPLAN.DISPLAY());
PLAN_TABLE_OUTPUT
--------------------------------------------------------------------------------
Plan hash value: 3476115102
-------------------------------------------------------------------------------
| Id | Operation | Name | Rows | Bytes | Cost (%CPU)| Time |
-------------------------------------------------------------------------------
| 0 | SELECT STATEMENT | | 107 | 321 | 2 (0)| 00:00:01 |
Chapter 8
B-Tree Index Access Paths
8-16

| 1 | TABLE ACCESS FULL| EMPLOYEES | 107 | 321 | 2 (0)| 00:00:01 |
-------------------------------------------------------------------------------
8 rows selected.
The following example shows the optimizer can use the index on
department_id
for a
query of a specific department ID because all non-null rows are indexed.
SQL> EXPLAIN PLAN FOR SELECT department_id FROM employees WHERE department_id=10;
Explained.
SQL> SELECT PLAN_TABLE_OUTPUT FROM TABLE(DBMS_XPLAN.DISPLAY());
PLAN_TABLE_OUTPUT
--------------------------------------------------------------------------------
Plan hash value: 67425611
--------------------------------------------------------------------------------
| Id| Operation | Name | Rows |Bytes| Cost (%CPU)| Time |
--------------------------------------------------------------------------------
PLAN_TABLE_OUTPUT
--------------------------------------------------------------------------------
| 0 | SELECT STATEMENT | | 1 | 3 | 1 (0)| 00:0 0:01|
|*1 | INDEX RANGE SCAN| EMP_DEPARTMENT_IX | 1 | 3 | 1 (0)| 00:0 0:01|
--------------------------------------------------------------------------------
Predicate Information (identified by operation id):
PLAN_TABLE_OUTPUT
--------------------------------------------------------------------------------
1 - access("DEPARTMENT_ID"=10)
The following example shows that the optimizer chooses an index scan when the
predicate excludes null values:
SQL> EXPLAIN PLAN FOR SELECT department_id FROM employees
WHERE department_id IS NOT NULL;
Explained.
SQL> SELECT PLAN_TABLE_OUTPUT FROM TABLE(DBMS_XPLAN.DISPLAY());
PLAN_TABLE_OUTPUT
--------------------------------------------------------------------------------
Plan hash value: 1590637672
--------------------------------------------------------------------------------
| Id| Operation | Name | Rows|Bytes| Cost (%CPU)| Time |
--------------------------------------------------------------------------------
| 0 | SELECT STATEMENT | | 106 | 318 | 1 (0)| 00:0 0:01 |
|*1 | INDEX FULL SCAN | EMP_DEPARTMENT_IX | 106 | 318 | 1 (0)| 00:0 0:01 |
--------------------------------------------------------------------------------
Predicate Information (identified by operation id):
PLAN_TABLE_OUTPUT
--------------------------------------------------------------------------------
1 - filter("DEPARTMENT_ID" IS NOT NULL)
Chapter 8
B-Tree Index Access Paths
8-17

8.3.2 Index Unique Scans
An index unique scan returns at most 1 rowid.
This section contains the following topics:
•When the Optimizer Considers Index Unique Scans
An index unique scan requires an equality predicate.
•How Index Unique Scans Work
The scan searches the index in order for the specified key. An index unique scan
stops processing as soon as it finds the first record because no second record is
possible. The database obtains the rowid from the index entry, and then retrieves
the row specified by the rowid.
•Index Unique Scans: Example
This example uses a unique scan to retrieve a row from the
products
table.
8.3.2.1 When the Optimizer Considers Index Unique Scans
An index unique scan requires an equality predicate.
Specifically, the database performs a unique scan only when a query predicate
references all columns in a unique index key using an equality operator, such as
WHERE
prod_id=10
.
A unique or primary key constraint is insufficient by itself to produce an index unique
scan because a non-unique index on the column may already exist. Consider the
following example, which creates the
t_table
table and then creates a non-unique
index on
numcol
:
SQL> CREATE TABLE t_table(numcol INT);
SQL> CREATE INDEX t_table_idx ON t_table(numcol);
SQL> SELECT UNIQUENESS FROM USER_INDEXES WHERE INDEX_NAME = 'T_TABLE_IDX';
UNIQUENES
---------
NONUNIQUE
The following code creates a primary key constraint on a column with a non-unique
index, resulting in an index range scan rather than an index unique scan:
SQL> ALTER TABLE t_table ADD CONSTRAINT t_table_pk PRIMARY KEY(numcol);
SQL> SET AUTOTRACE TRACEONLY EXPLAIN
SQL> SELECT * FROM t_table WHERE numcol = 1;
Execution Plan
----------------------------------------------------------
Plan hash value: 868081059
--------------------------------------------------------------------------------
| Id | Operation | Name | Rows | Bytes | Cost (%CPU)| Time |
--------------------------------------------------------------------------------
| 0 | SELECT STATEMENT | | 1 | 13 | 1 (0)| 00:00:01 |
|* 1 | INDEX RANGE SCAN| T_TABLE_IDX | 1 | 13 | 1 (0)| 00:00:01 |
--------------------------------------------------------------------------------
Predicate Information (identified by operation id):
---------------------------------------------------
Chapter 8
B-Tree Index Access Paths
8-18

1 - access("NUMCOL"=1)
You can use the
INDEX(alias index_name)
hint to specify the index to use, but not a
specific type of index access path.
8.3.2.2 How Index Unique Scans Work
The scan searches the index in order for the specified key. An index unique scan
stops processing as soon as it finds the first record because no second record is
possible. The database obtains the rowid from the index entry, and then retrieves the
row specified by the rowid.
The following figure illustrates an index unique scan. The statement requests the
record for product ID
19
in the
prod_id
column, which has a primary key index.
Figure 8-4 Index Unique Scan
. . .
41..48
49..53
54..65
....
78..80
11,rowid
12,rowid
13,rowid
....
19,rowid
221,rowid
222,rowid
223,rowid
....
228,rowid
246,rowid
247,rowid
248,rowid
....
250,rowid
0,rowid
1,rowid
....
10,rowid
0..40
41..80
81..120
....
200..250
. . .. . .
0..10
11..19
20..25
....
32..40
200..209
210..220
221..228
....
246..250
Branch Blocks
Leaf Blocks
8.3.2.3 Index Unique Scans: Example
This example uses a unique scan to retrieve a row from the
products
table.
The following statement queries the record for product
19
in the
sh.products
table:
Chapter 8
B-Tree Index Access Paths
8-19

SELECT *
FROM sh.products
WHERE prod_id = 19;
Because a primary key index exists on the
products.prod_id
column, and the
WHERE
clause references all of the columns using an equality operator, the optimizer chooses
a unique scan:
SQL_ID 3ptq5tsd5vb3d, child number 0
-------------------------------------
select * from sh.products where prod_id = 19
Plan hash value: 4047888317
--------------------------------------------------------------------------------
| Id| Operation | Name |Rows|Bytes|Cost (%CPU)|Time |
--------------------------------------------------------------------------------
| 0| SELECT STATEMENT | | | | 1 (100)| |
| 1| TABLE ACCESS BY INDEX ROWID| PRODUCTS | 1 | 173 | 1 (0)| 00:00:01|
|* 2| INDEX UNIQUE SCAN | PRODUCTS_PK | 1 | | 0 (0)| |
--------------------------------------------------------------------------------
Predicate Information (identified by operation id):
---------------------------------------------------
2 - access("PROD_ID"=19)
8.3.3 Index Range Scans
An index range scan is an ordered scan of values.
The range in the scan can be bounded on both sides, or unbounded on one or both
sides. The optimizer typically chooses a range scan for queries with high selectivity.
By default, the database stores indexes in ascending order, and scans them in the
same order. For example, a query with the predicate
department_id >= 20
uses a range
scan to return rows sorted by index keys
20
,
30
,
40
, and so on. If multiple index entries
have identical keys, then the database returns them in ascending order by rowid, so
that
0,AAAPvCAAFAAAAFaAAa
is followed by
0,AAAPvCAAFAAAAFaAAg
, and so on.
An index range scan descending is identical to an index range scan except that the
database returns rows in descending order. Usually, the database uses a descending
scan when ordering data in a descending order, or when seeking a value less than a
specified value.
This section contains the following topics:
•When the Optimizer Considers Index Range Scans
For an index range scan, multiple values must be possible for the index key.
•How Index Range Scans Work
During an index range scan, Oracle Database proceeds from root to branch.
•Index Range Scan: Example
This example retrieves a set of values from the
employees
table using an index
range scan.
•Index Range Scan Descending: Example
This example uses an index to retrieve rows from the
employees
table in sorted
order.
Chapter 8
B-Tree Index Access Paths
8-20

8.3.3.1 When the Optimizer Considers Index Range Scans
For an index range scan, multiple values must be possible for the index key.
Specifically, the optimizer considers index range scans in the following circumstances:
•One or more leading columns of an index are specified in conditions.
A condition specifies a combination of one or more expressions and logical
(Boolean) operators and returns a value of
TRUE
,
FALSE
, or
UNKNOWN
. Examples of
conditions include:
–
department_id = :id
–
department_id < :id
–
department_id > :id
–
AND
combination of the preceding conditions for leading columns in the index,
such as
department_id > :low AND department_id < :hi
.
Note:
For the optimizer to consider a range scan, wild-card searches of the
form
col1 LIKE '%ASD'
must not be in a leading position.
•0, 1, or more values are possible for an index key.
Tip:
If you require sorted data, then use the
ORDER
BY
clause, and do not rely on an
index. If an index can satisfy an
ORDER
BY
clause, then the optimizer uses this
option and thereby avoids a sort.
The optimizer considers an index range scan descending when an index can satisfy
an
ORDER BY DESCENDING
clause.
If the optimizer chooses a full table scan or another index, then a hint may be required
to force this access path. The
INDEX(tbl_alias
ix_name)
and
INDEX_DESC(tbl_alias
ix_name)
hints instruct the optimizer to use a specific index.
8.3.3.2 How Index Range Scans Work
During an index range scan, Oracle Database proceeds from root to branch.
In general, the scan algorithm is as follows:
1. Read the root block.
2. Read the branch block.
3. Alternate the following steps until all data is retrieved:
a. Read a leaf block to obtain a rowid.
Chapter 8
B-Tree Index Access Paths
8-21

b. Read a table block to retrieve a row.
Note:
In some cases, an index scan reads a set of index blocks, sorts the
rowids, and then reads a set of table blocks.
Thus, to scan the index, the database moves backward or forward through the leaf
blocks. For example, a scan for IDs between 20 and 40 locates the first leaf block that
has the lowest key value that is 20 or greater. The scan proceeds horizontally through
the linked list of leaf nodes until it finds a value greater than 40, and then stops.
The following figure illustrates an index range scan using ascending order. A
statement requests the
employees
records with the value
20
in the
department_id
column, which has a nonunique index. In this example, 2 index entries for department
20
exist.
Figure 8-5 Index Range Scan
. . .
41..48
49..53
54..65
....
78..80
11,rowid
11,rowid
12,rowid
....
20,rowid
20, rowid
221,rowid
222,rowid
223,rowid
....
228,rowid
246,rowid
248,rowid
248,rowid
....
250,rowid
0,rowid
0,rowid
....
10,rowid
0..40
41..80
81..120
....
200..250
. . .. . .
0..10
11..2
....
32..40
200..209
210..220
221..228
....
246..250
Branch Blocks
Leaf Blocks
8.3.3.3 Index Range Scan: Example
This example retrieves a set of values from the
employees
table using an index range
scan.
Chapter 8
B-Tree Index Access Paths
8-22

The following statement queries the records for employees in department
20
with
salaries greater than
1000
:
SELECT *
FROM employees
WHERE department_id = 20
AND salary > 1000;
The preceding query has low cardinality (returns few rows), so the query uses the
index on the
department_id
column. The database scans the index, fetches the records
from the employees table, and then applies the
salary > 1000
filter to these fetched
records to generate the result.
SQL_ID brt5abvbxw9tq, child number 0
-------------------------------------
SELECT * FROM employees WHERE department_id = 20 AND salary > 1000
Plan hash value: 2799965532
-------------------------------------------------------------------------------------------
|Id | Operation | Name |Rows|Bytes|Cost(%CPU)| Time |
-------------------------------------------------------------------------------------------
| 0 | SELECT STATEMENT | | | | 2 (100)| |
|*1 | TABLE ACCESS BY INDEX ROWID BATCHED| EMPLOYEES | 2 | 138 | 2 (0)|00:00:01|
|*2 | INDEX RANGE SCAN | EMP_DEPARTMENT_IX| 2 | | 1 (0)|00:00:01|
-------------------------------------------------------------------------------------------
Predicate Information (identified by operation id):
---------------------------------------------------
1 - filter("SALARY">1000)
2 - access("DEPARTMENT_ID"=20)
8.3.3.4 Index Range Scan Descending: Example
This example uses an index to retrieve rows from the
employees
table in sorted order.
The following statement queries the records for employees in department
20
in
descending order:
SELECT *
FROM employees
WHERE department_id < 20
ORDER BY department_id DESC;
This preceding query has low cardinality, so the query uses the index on the
department_id
column.
SQL_ID 8182ndfj1ttj6, child number 0
-------------------------------------
SELECT * FROM employees WHERE department_id < 20 ORDER BY department_id DESC
Plan hash value: 1681890450
--------------------------------------------------------------------------------
|Id| Operation | Name |Rows|Bytes|Cost(%CPU)|Time |
--------------------------------------------------------------------------------
| 0| SELECT STATEMENT | | | | 2 (100)| |
| 1| TABLE ACCESS BY INDEX ROWID | EMPLOYEES | 2|138| 2 (0)|00:00:01|
|*2| INDEX RANGE SCAN DESCENDING| EMP_DEPARTMENT_IX | 2| | 1 (0)|00:00:01|
--------------------------------------------------------------------------------
Chapter 8
B-Tree Index Access Paths
8-23

Predicate Information (identified by operation id):
---------------------------------------------------
2 - access("DEPARTMENT_ID"<20)
The database locates the first index leaf block that contains the highest key value that
is
20
or less. The scan then proceeds horizontally to the left through the linked list of
leaf nodes. The database obtains the rowid from each index entry, and then retrieves
the row specified by the rowid.
8.3.4 Index Full Scans
An index full scan reads the entire index in order. An index full scan can eliminate a
separate sorting operation because the data in the index is ordered by index key.
This section contains the following topics:
•When the Optimizer Considers Index Full Scans
The optimizer considers an index full scan in a variety of situations.
•How Index Full Scans Work
The database reads the root block, and then navigates down the left hand side of
the index (or right if doing a descending full scan) until it reaches a leaf block.
•Index Full Scans: Example
This example uses an index full scan to satisfy a query with an
ORDER BY
clause.
8.3.4.1 When the Optimizer Considers Index Full Scans
The optimizer considers an index full scan in a variety of situations.
The situations include the following:
•A predicate references a column in the index. This column need not be the leading
column.
•No predicate is specified, but all of the following conditions are met:
–All columns in the table and in the query are in the index.
–At least one indexed column is not null.
•A query includes an
ORDER BY
on indexed non-nullable columns.
8.3.4.2 How Index Full Scans Work
The database reads the root block, and then navigates down the left hand side of the
index (or right if doing a descending full scan) until it reaches a leaf block.
Then the database reaches a leaf block, the scan proceeds across the bottom of the
index, one block at a time, in sorted order. The database uses single-block I/O rather
than multiblock I/O.
The following graphic illustrates an index full scan. A statement requests the
departments
records ordered by
department_id
.
Chapter 8
B-Tree Index Access Paths
8-24

Figure 8-6 Index Full Scan
. . .
41..48
49..53
54..65
....
78..80
11,rowid
12,rowid
13,rowid
....
19,rowid
221,rowid
222,rowid
223,rowid
....
228,rowid
246,rowid
247,rowid
248,rowid
....
250,rowid
0,rowid
1,rowid
....
10,rowid
0..40
41..80
81..120
....
200..250
. . .. . .
0..10
11..19
20..25
....
32..40
200..209
210..220
221..228
....
246..250
Branch Blocks
Leaf Blocks
8.3.4.3 Index Full Scans: Example
This example uses an index full scan to satisfy a query with an
ORDER BY
clause.
The following statement queries the ID and name for departments in order of
department ID:
SELECT department_id, department_name
FROM departments
ORDER BY department_id;
The following plan shows that the optimizer chose an index full scan:
SQL_ID 94t4a20h8what, child number 0
-------------------------------------
select department_id, department_name from departments order by department_id
Plan hash value: 4179022242
--------------------------------------------------------------------------------
|Id | Operation | Name |Rows|Bytes|Cost(%CPU)|Time |
--------------------------------------------------------------------------------
| 0 | SELECT STATEMENT | | | | 2 (100)| |
| 1 | TABLE ACCESS BY INDEX ROWID| DEPARTMENTS | 27 | 432 | 2 (0)| 00:00:01 |
| 2 | INDEX FULL SCAN | DEPT_ID_PK | 27 | | 1 (0)| 00:00:01 |
--------------------------------------------------------------------------------
Chapter 8
B-Tree Index Access Paths
8-25

The database locates the first index leaf block, and then proceeds horizontally to the
right through the linked list of leaf nodes. For each index entry, the database obtains
the rowid from the entry, and then retrieves the table row specified by the rowid.
Because the index is sorted on
department_id
, the database avoids a separate
operation to sort the retrieved rows.
8.3.5 Index Fast Full Scans
An index fast full scan reads the index blocks in unsorted order, as they exist on
disk. This scan does not use the index to probe the table, but reads the index instead
of the table, essentially using the index itself as a table.
This section contains the following topics:
•When the Optimizer Considers Index Fast Full Scans
The optimizer considers this scan when a query only accesses attributes in the
index.
•How Index Fast Full Scans Work
The database uses multiblock I/O to read the root block and all of the leaf and
branch blocks. The databases ignores the branch and root blocks and reads the
index entries on the leaf blocks.
•Index Fast Full Scans: Example
This examples uses a fast full index scan as a result of an optimizer hint.
8.3.5.1 When the Optimizer Considers Index Fast Full Scans
The optimizer considers this scan when a query only accesses attributes in the index.
Note:
Unlike a full scan, a fast full scan cannot eliminate a sort operation because it
does not read the index in order.
The
INDEX_FFS(table_name index_name)
hint forces a fast full index scan.
8.3.5.2 How Index Fast Full Scans Work
The database uses multiblock I/O to read the root block and all of the leaf and branch
blocks. The databases ignores the branch and root blocks and reads the index entries
on the leaf blocks.
8.3.5.3 Index Fast Full Scans: Example
This examples uses a fast full index scan as a result of an optimizer hint.
The following statement queries the ID and name for departments in order of
department ID:
SELECT /*+ INDEX_FFS(departments dept_id_pk) */ COUNT(*)
FROM departments;
Chapter 8
B-Tree Index Access Paths
8-26

The following plan shows that the optimizer chose a fast full index scan:
SQL_ID fu0k5nvx7sftm, child number 0
-------------------------------------
select /*+ index_ffs(departments dept_id_pk) */ count(*) from departments
Plan hash value: 3940160378
--------------------------------------------------------------------------
| Id | Operation | Name | Rows |Cost (%CPU)| Time |
--------------------------------------------------------------------------
| 0 | SELECT STATEMENT | | | 2 (100)| |
| 1 | SORT AGGREGATE | | 1 | | |
| 2 | INDEX FAST FULL SCAN| DEPT_ID_PK | 27 | 2 (0)| 00:00:01 |
--------------------------------------------------------------------------
8.3.6 Index Skip Scans
An index skip scan occurs when the initial column of a composite index is "skipped"
or not specified in the query.
This section contains the following topics:
•When the Optimizer Considers Index Skips Scans
Often, skip scanning index blocks is faster than scanning table blocks, and faster
than performing full index scans.
•How Index Skip Scans Work
An index skip scan logically splits a composite index into smaller subindexes.
•Index Skip Scans: Example
This example uses an index skip scan to satisfy a query of the
customers
table.
See Also:
Oracle Database Concepts
8.3.6.1 When the Optimizer Considers Index Skips Scans
Often, skip scanning index blocks is faster than scanning table blocks, and faster than
performing full index scans.
The optimizer considers a skip scan when the following criteria are met:
•The leading column of a composite index is not specified in the query predicate.
For example, the query predicate does not reference the
cust_gender
column, and
the composite index key is
(cust_gender,cust_email)
.
•Few distinct values exist in the leading column of the composite index, but many
distinct values exist in the nonleading key of the index.
For example, if the composite index key is
(cust_gender,cust_email)
, then the
cust_gender
column has only two distinct values, but
cust_email
has thousands.
Chapter 8
B-Tree Index Access Paths
8-27

8.3.6.2 How Index Skip Scans Work
An index skip scan logically splits a composite index into smaller subindexes.
The number of distinct values in the leading columns of the index determines the
number of logical subindexes. The lower the number, the fewer logical subindexes the
optimizer must create, and the more efficient the scan becomes. The scan reads each
logical index separately, and "skips" index blocks that do not meet the filter condition
on the non-leading column.
8.3.6.3 Index Skip Scans: Example
This example uses an index skip scan to satisfy a query of the
customers
table.
The
customers
table contains a column
cust_gender
whose values are either
M
or
F
. You
create a composite index on the columns (
cust_gender, cust_email
) as follows:
CREATE INDEX cust_gender_email_ix
ON sh.customers (cust_gender, cust_email);
Conceptually, a portion of the index might look as follows, with the gender value of
F
or
M
as the leading edge of the index.
F,Wolf@company.example.com,rowid
F,Wolsey@company.example.com,rowid
F,Wood@company.example.com,rowid
F,Woodman@company.example.com,rowid
F,Yang@company.example.com,rowid
F,Zimmerman@company.example.com,rowid
M,Abbassi@company.example.com,rowid
M,Abbey@company.example.com,rowid
You run the following query for a customer in the
sh.customers
table:
SELECT *
FROM sh.customers
WHERE cust_email = 'Abbey@company.example.com';
The database can use a skip scan of the
customers_gender_email
index even though
cust_gender
is not specified in the
WHERE
clause. In the sample index, the leading
column
cust_gender
has two possible values:
F
and
M
. The database logically splits the
index into two. One subindex has the key
F
, with entries in the following form:
F,Wolf@company.example.com,rowid
F,Wolsey@company.example.com,rowid
F,Wood@company.example.com,rowid
F,Woodman@company.example.com,rowid
F,Yang@company.example.com,rowid
F,Zimmerman@company.example.com,rowid
The second subindex has the key
M
, with entries in the following form:
M,Abbassi@company.example.com,rowid
M,Abbey@company.example.com,rowid
When searching for the record for the customer whose email is
Abbey@company.com
, the
database searches the subindex with the leading value
F
first, and then searches the
Chapter 8
B-Tree Index Access Paths
8-28

subindex with the leading value
M
. Conceptually, the database processes the query as
follows:
( SELECT *
FROM sh.customers
WHERE cust_gender = 'F'
AND cust_email = 'Abbey@company.com' )
UNION ALL
( SELECT *
FROM sh.customers
WHERE cust_gender = 'M'
AND cust_email = 'Abbey@company.com' )
The plan for the query is as follows:
SQL_ID d7a6xurcnx2dj, child number 0
-------------------------------------
SELECT * FROM sh.customers WHERE cust_email = 'Abbey@company.example.com'
Plan hash value: 797907791
-----------------------------------------------------------------------------------------
|Id| Operation | Name |Rows|Bytes|Cost(%CPU)|Time|
-----------------------------------------------------------------------------------------
| 0|SELECT STATEMENT | | | |10(100)| |
| 1| TABLE ACCESS BY INDEX ROWID BATCHED| CUSTOMERS |33|6237| 10(0)|00:00:01|
|*2| INDEX SKIP SCAN | CUST_GENDER_EMAIL_IX |33| | 4(0)|00:00:01|
-----------------------------------------------------------------------------------------
Predicate Information (identified by operation id):
---------------------------------------------------
2 - access("CUST_EMAIL"='Abbey@company.example.com')
filter("CUST_EMAIL"='Abbey@company.example.com')
8.3.7 Index Join Scans
An index join scan is a hash join of multiple indexes that together return all columns
requested by a query. The database does not need to access the table because all
data is retrieved from the indexes.
This section contains the following topics:
•When the Optimizer Considers Index Join Scans
In some cases, avoiding table access is the most cost efficient option.
•How Index Join Scans Work
An index join involves scanning multiple indexes, and then using a hash join on
the rowids obtained from these scans to return the rows.
•Index Join Scans: Example
This example queries the last name and email for employees whose last name
begins with
A
, specifying an index join.
8.3.7.1 When the Optimizer Considers Index Join Scans
In some cases, avoiding table access is the most cost efficient option.
The optimizer considers an index join in the following circumstances:
Chapter 8
B-Tree Index Access Paths
8-29

•A hash join of multiple indexes retrieves all data requested by the query, without
requiring table access.
•The cost of retrieving rows from the table is higher than reading the indexes
without retrieving rows from the table. An index join is often expensive. For
example, when scanning two indexes and joining them, it is often less costly to
choose the most selective index, and then probe the table.
You can specify an index join with the
INDEX_JOIN(table_name)
hint.
8.3.7.2 How Index Join Scans Work
An index join involves scanning multiple indexes, and then using a hash join on the
rowids obtained from these scans to return the rows.
In an index join scan, table access is always avoided. For example, the process for
joining two indexes on a single table is as follows:
1. Scan the first index to retrieve rowids.
2. Scan the second index to retrieve rowids.
3. Perform a hash join by rowid to obtain the rows.
8.3.7.3 Index Join Scans: Example
This example queries the last name and email for employees whose last name begins
with
A
, specifying an index join.
SELECT /*+ INDEX_JOIN(employees) */ last_name, email
FROM employees
WHERE last_name like 'A%';
Separate indexes exist on the
(last_name,first_name)
and
email
columns. Part of the
emp_name_ix
index might look as follows:
Banda,Amit,AAAVgdAALAAAABSABD
Bates,Elizabeth,AAAVgdAALAAAABSABI
Bell,Sarah,AAAVgdAALAAAABSABc
Bernstein,David,AAAVgdAALAAAABSAAz
Bissot,Laura,AAAVgdAALAAAABSAAd
Bloom,Harrison,AAAVgdAALAAAABSABF
Bull,Alexis,AAAVgdAALAAAABSABV
The first part of the
emp_email_uk
index might look as follows:
ABANDA,AAAVgdAALAAAABSABD
ABULL,AAAVgdAALAAAABSABV
ACABRIO,AAAVgdAALAAAABSABX
AERRAZUR,AAAVgdAALAAAABSAAv
AFRIPP,AAAVgdAALAAAABSAAV
AHUNOLD,AAAVgdAALAAAABSAAD
AHUTTON,AAAVgdAALAAAABSABL
The following example retrieves the plan using the
DBMS_XPLAN.DISPLAY_CURSOR
function.
The database retrieves all rowids in the
emp_email_uk
index, and then retrieves rowids
in
emp_name_ix
for last names that begin with
A
. The database uses a hash join to
search both sets of rowids for matches. For example, rowid
AAAVgdAALAAAABSABD
occurs
Chapter 8
B-Tree Index Access Paths
8-30

in both sets of rowids, so the database probes the
employees
table for the record
corresponding to this rowid.
Example 8-4 Index Join Scan
SQL_ID d2djchyc9hmrz, child number 0
-------------------------------------
SELECT /*+ INDEX_JOIN(employees) */ last_name, email FROM employees
WHERE last_name like 'A%'
Plan hash value: 3719800892
-------------------------------------------------------------------------------------------
| Id | Operation | Name | Rows | Bytes | Cost (%CPU)| Time |
-------------------------------------------------------------------------------------------
| 0 | SELECT STATEMENT | | | | 3 (100)| |
|* 1 | VIEW | index$_join$_001 | 3 | 48 | 3 (34)| 00:00:01 |
|* 2 | HASH JOIN | | | | | |
|* 3 | INDEX RANGE SCAN | EMP_NAME_IX | 3 | 48 | 1 (0)| 00:00:01 |
| 4 | INDEX FAST FULL SCAN| EMP_EMAIL_UK | 3 | 48 | 1 (0)| 00:00:01 |
-------------------------------------------------------------------------------------------
Predicate Information (identified by operation id):
---------------------------------------------------
1 - filter("LAST_NAME" LIKE 'A%')
2 - access(ROWID=ROWID)
3 - access("LAST_NAME" LIKE 'A%')
8.4 Bitmap Index Access Paths
Bitmap indexes combine the indexed data with a rowid range.
This section explains how bitmap indexes, and describes some of the more common
bitmap index access paths:
•About Bitmap Index Access
In a conventional B-tree index, one index entry points to a single row. In a bitmap
index, the key is the combination of the indexed data and the rowid range.
•Bitmap Conversion to Rowid
A bitmap conversion translates between an entry in the bitmap and a row in a
table. The conversion can go from entry to row (
TO ROWID
), or from row to entry
(
FROM ROWID
).
•Bitmap Index Single Value
This type of access path uses a bitmap index to look up a single key value.
•Bitmap Index Range Scans
This type of access path uses a bitmap index to look up a range of values.
•Bitmap Merge
This access path merges multiple bitmaps, and returns a single bitmap as a result.
8.4.1 About Bitmap Index Access
In a conventional B-tree index, one index entry points to a single row. In a bitmap
index, the key is the combination of the indexed data and the rowid range.
The database stores at least one bitmap for each index key. Each value in the bitmap,
which is a series of
1
and
0
values, points to a row within a rowid range. Thus, in a
bitmap index, one index entry points to a set of rows rather than a single row.
Chapter 8
Bitmap Index Access Paths
8-31

This section contains the following topics:
•Differences Between Bitmap and B-Tree Indexes
A bitmap index uses a different key from a B-tree index, but is stored in a B-tree
structure.
•Purpose of Bitmap Indexes
Bitmap indexes are typically suitable for infrequently modified data with a low or
medium number of distinct values (NDV).
•Bitmaps and Rowids
For a particular value in a bitmap, the value is
1
if the row values match the bitmap
condition, and
0
if it does not. Based on these values, the database uses an
internal algorithm to map bitmaps onto rowids.
•Bitmap Join Indexes
A bitmap join index is a bitmap index for the join of two or more tables.
•Bitmap Storage
A bitmap index resides in a B-tree structure, using branch blocks and leaf blocks
just as in a B-tree.
8.4.1.1 Differences Between Bitmap and B-Tree Indexes
A bitmap index uses a different key from a B-tree index, but is stored in a B-tree
structure.
The following table shows the differences among types of index entries.
Table 8-3 Index Entries for B-Trees and Bitmaps
Index Entry Key Data Example
Unique B-tree Indexed data only Rowid In an entry of the index on the
employees.employee_id
column, employee ID
101
is the key, and the rowid
AAAPvCAAFAAAAFaAAa
is the data:
101,AAAPvCAAFAAAAFaAAa
Nonunique B-tree Indexed data
combined with rowid
None In an entry of the index on the
employees.last_name
column, the name and rowid combination
Smith,AAAPvCAAFAAAAFaAAa
is the key, and there is no
data:
Smith,AAAPvCAAFAAAAFaAAa
Bitmap Indexed data
combined with rowid
range
Bitmap In an entry of the index on the
customers.cust_gender
column, the
M,low-rowid,high-rowid
part is the key, and
the series of
1
and
0
values is the data:
M,low-rowid,high-rowid,1000101010101010
The database stores a bitmap index in a B-tree structure. The database can search
the B-tree quickly on the first part of the key, which is the set of attributes on which the
index is defined, and then obtain the corresponding rowid range and bitmap.
Chapter 8
Bitmap Index Access Paths
8-32

8.4.1.2 Purpose of Bitmap Indexes
Bitmap indexes are typically suitable for infrequently modified data with a low or
medium number of distinct values (NDV).
In general, B-tree indexes are suitable for columns with high NDV and frequent DML
activity. For example, the optimizer might choose a B-tree index for a query of a
sales.amount
column that returns few rows. In contrast, the
customers.state
and
customers.county
columns are candidates for bitmap indexes because they have few
distinct values, are infrequently updated, and can benefit from efficient
AND
and
OR
operations.
Bitmap indexes are a useful way to speed ad hoc queries in a data warehouse. They
are fundamental to star transformations. Specifically, bitmap indexes are useful in
queries that contain the following:
•Multiple conditions in the
WHERE
clause
Before the table itself is accessed, the database filters out rows that satisfy some,
but not all, conditions.
•
AND
,
OR
, and
NOT
operations on columns with low or medium NDV
Combining bitmap indexes makes these operations more efficient. The database
can merge bitmaps from bitmap indexes very quickly. For example, if bitmap
indexes exist on the
customers.state
and
customers.county
columns, then these
indexes can enormously improve the performance of the following query:
SELECT *
FROM customers
WHERE state = 'CA'
AND county = 'San Mateo'
The database can convert
1
values in the merged bitmap into rowids efficiently.
•The
COUNT
function
The database can scan the bitmap index without needing to scan the table.
•Predicates that select for null values
Unlike B-tree indexes, bitmap indexes can contain nulls. Queries that count the
number of nulls in a column can use the bitmap index without scanning the table.
•Columns that do not experience heavy DML
The reason is that one index key points to many rows. If a session modifies the
indexed data, then the database cannot lock a single bit in the bitmap: rather, the
database locks the entire index entry, which in practice locks the rows pointed to
by the bitmap. For example, if the county of residence for a specific customer
changes from
San Mateo
to
Alameda
, then the database must get exclusive access
to the
San Mateo
index entry and
Alameda
index entry in the bitmap. Rows
containing these two values cannot be modified until
COMMIT
.
8.4.1.3 Bitmaps and Rowids
For a particular value in a bitmap, the value is
1
if the row values match the bitmap
condition, and
0
if it does not. Based on these values, the database uses an internal
algorithm to map bitmaps onto rowids.
Chapter 8
Bitmap Index Access Paths
8-33

The bitmap entry contains the indexed value, the rowid range (start and end rowids),
and a bitmap. Each
0
or
1
value in the bitmap is an offset into the rowid range, and
maps to a potential row in the table, even if the row does not exist. Because the
number of possible rows in a block is predetermined, the database can use the range
endpoints to determine the rowid of an arbitrary row in the range.
Note:
The Hakan factor is an optimization used by the bitmap index algorithms to
limit the number of rows that Oracle Database assumes can be stored in a
single block. By artificially limiting the number of rows, the database reduces
the size of the bitmaps.
Table 8-4 shows part of a sample bitmap for the
sh.customers.cust_marital_status
column, which is nullable. The actual index has 12 distinct values. Only 3 are shown in
the sample: null,
married
, and
single
.
Table 8-4 Bitmap Index Entries
Column
Value for
cust_marital
_status
Start
Rowid in
Range
End
Rowid in
Range
1st
Row in
Range
2nd
Row in
Range
3rd
Row in
Range
4th
Row in
Range
5th
Row in
Range
6th
Row in
Range
(null)
AAA ... CCC ...
0 0 0 0 0 1
married AAA ... CCC ...
1 0 1 1 1 0
single AAA ... CCC ...
0 1 0 0 0 0
single DDD ... EEE ...
1 0 1 0 1 1
As shown in Table 8-4, bitmap indexes can include keys that consist entirely of null
values, unlike B-tree indexes. In Table 8-4, the null has a value of
1
for the 6th row in
the range, which means that the
cust_marital_status
value is null for the 6th row in the
range. Indexing nulls can be useful for some SQL statements, such as queries with the
aggregate function
COUNT
.
8.4.1.4 Bitmap Join Indexes
A bitmap join index is a bitmap index for the join of two or more tables.
The optimizer can use a bitmap join index to reduce or eliminate the volume of data
that must be joined during plan execution. Bitmap join indexes can be much more
efficient in storage than materialized join views.
The following example creates a bitmap index on the
sh.sales
and
sh.customers
tables:
CREATE BITMAP INDEX cust_sales_bji ON sales(c.cust_city)
FROM sales s, customers c
WHERE c.cust_id = s.cust_id LOCAL;
The
FROM
and
WHERE
clause in the preceding
CREATE
statement represent the join
condition between the tables. The
customers.cust_city
column is the index key.
Chapter 8
Bitmap Index Access Paths
8-34

Each key value in the index represents a possible city in the
customers
table.
Conceptually, key values for the index might look as follows, with one bitmap
associated with each key value:
San Francisco 0 0 0 1 0 1 0 0 0 1 0 0 0 0 0 . . .
San Mateo 0 1 0 0 0 0 0 0 1 0 0 0 0 0 1 . . .
Smithville 1 0 0 0 1 0 0 1 0 0 1 0 1 0 0 . . .
.
.
.
Each bit in a bitmap corresponds to one row in the
sales
table. In the
Smithville
key,
the value
1
means that the first row in the
sales
table corresponds to a product sold to
a Smithville customer, whereas the value
0
means that the second row corresponds to
a product not sold to a Smithville customer.
Consider the following query of the number of separate sales to Smithville customers:
SELECT COUNT (*)
FROM sales s, customers c
WHERE c.cust_id = s.cust_id
AND c.cust_city = 'Smithville';
The following plan shows that the database reads the
Smithville
bitmap to derive the
number of Smithville sales (Step 4), thereby avoiding a join of the
customers
and
sales
tables.
SQL_ID 57s100mh142wy, child number 0
-------------------------------------
SELECT COUNT (*) FROM sales s, customers c WHERE c.cust_id = s.cust_id
AND c.cust_city = 'Smithville'
Plan hash value: 3663491772
------------------------------------------------------------------------------------
|Id| Operation | Name |Rows|Bytes|Cost (%CPU)| Time|Pstart|Pstop|
------------------------------------------------------------------------------------
| 0| SELECT STATEMENT | | | |29 (100)| | | |
| 1| SORT AGGREGATE | | 1 | 5| | | | |
| 2| PARTITION RANGE ALL | | 1708|8540|29 (0)|00:00:01|1|28|
| 3| BITMAP CONVERSION COUNT | | 1708|8540|29 (0)|00:00:01| | |
|*4| BITMAP INDEX SINGLE VALUE|CUST_SALES_BJI| | | | |1|28|
------------------------------------------------------------------------------------
Predicate Information (identified by operation id):
---------------------------------------------------
4 - access("S"."SYS_NC00008$"='Smithville')
8.4.1.5 Bitmap Storage
A bitmap index resides in a B-tree structure, using branch blocks and leaf blocks just
as in a B-tree.
For example, if the
customers.cust_marital_status
column has 12 distinct values, then
one branch block might point to the keys
married,rowid-range
and
single,rowid-range
,
another branch block might point to the
widowed,rowid-range
key, and so on.
Alternatively, a single branch block could point to a leaf block containing all 12 distinct
keys.
Chapter 8
Bitmap Index Access Paths
8-35

Each indexed column value may have one or more bitmap pieces, each with its own
rowid range occupying a contiguous set of rows in one or more extents. The database
can use a bitmap piece to break up an index entry that is large relative to the size of a
block. For example, the database could break a single index entry into three pieces,
with the first two pieces in separate blocks in the same extent, and the last piece in a
separate block in a different extent.
To conserve space, Oracle Database can compression consecutive ranges of
0
values.
8.4.2 Bitmap Conversion to Rowid
A bitmap conversion translates between an entry in the bitmap and a row in a table.
The conversion can go from entry to row (
TO ROWID
), or from row to entry (
FROM ROWID
).
This section contains the following topics:
•When the Optimizer Chooses Bitmap Conversion to Rowid
The optimizer uses a conversion whenever it retrieves a row from a table using a
bitmap index entry.
•How Bitmap Conversion to Rowid Works
Conceptually, a bitmap can be represented as table.
•Bitmap Conversion to Rowid: Example
In this example, the optimizer chooses a bitmap conversion operation to satisfy a
query using a range predicate.
8.4.2.1 When the Optimizer Chooses Bitmap Conversion to Rowid
The optimizer uses a conversion whenever it retrieves a row from a table using a
bitmap index entry.
8.4.2.2 How Bitmap Conversion to Rowid Works
Conceptually, a bitmap can be represented as table.
For example, Table 8-4 represents the bitmap as a table with
customers
row numbers
as columns and
cust_marital_status
values as rows. Each field in Table 8-4 has the
value
1
or
0
, and represents a column value in a row. Conceptually, the bitmap
conversion uses an internal algorithm that says, "Field F in the bitmap corresponds to
the Nth row of the Mth block of the table," or "The Nth row of the Mth block in the table
corresponds to field F in the bitmap."
8.4.2.3 Bitmap Conversion to Rowid: Example
In this example, the optimizer chooses a bitmap conversion operation to satisfy a
query using a range predicate.
A query of the
sh.customers
table selects the names of all customers born before 1918:
SELECT cust_last_name, cust_first_name
FROM customers
WHERE cust_year_of_birth < 1918;
Chapter 8
Bitmap Index Access Paths
8-36

The following plan shows that the database uses a range scan to find all key values
less than
1918
(Step 3), converts the
1
values in the bitmap to rowids (Step 2), and
then uses the rowids to obtain the rows from the
customers
table (Step 1):
---------------------------------------------------------------------------------------------
|Id| Operation | Name |Rows|Bytes|Cost(%CPU)| Time |
---------------------------------------------------------------------------------------------
| 0| SELECT STATEMENT | | | |421 (100)| |
| 1| TABLE ACCESS BY INDEX ROWID BATCHED| CUSTOMERS |3604|68476|421 (1)| 00:00:01 |
| 2| BITMAP CONVERSION TO ROWIDS | | | | | |
|*3| BITMAP INDEX RANGE SCAN | CUSTOMERS_YOB_BIX| | | | |
---------------------------------------------------------------------------------------------
Predicate Information (identified by operation id):
---------------------------------------------------
3 - access("CUST_YEAR_OF_BIRTH"<1918)
filter("CUST_YEAR_OF_BIRTH"<1918)
8.4.3 Bitmap Index Single Value
This type of access path uses a bitmap index to look up a single key value.
This section contains the following topics:
•When the Optimizer Considers Bitmap Index Single Value
The optimizer considers this access path when the predicate contains an equality
operator.
•How Bitmap Index Single Value Works
The query scans a single bitmap for positions containing a
1
value. The database
converts the
1
values into rowids, and then uses the rowids to find the rows.
•Bitmap Index Single Value: Example
In this example, the optimizer chooses a bitmap index single value operation to
satisfy a query that uses an equality predicate.
8.4.3.1 When the Optimizer Considers Bitmap Index Single Value
The optimizer considers this access path when the predicate contains an equality
operator.
8.4.3.2 How Bitmap Index Single Value Works
The query scans a single bitmap for positions containing a
1
value. The database
converts the
1
values into rowids, and then uses the rowids to find the rows.
The database only needs to process a single bitmap. For example, the following table
represents the bitmap index (in two bitmap pieces) for the value
widowed
in the
sh.customers.cust_marital_status
column. To satisfy a query of customers with the
status
widowed
, the database can search for each
1
value in the
widowed
bitmap and find
the rowid of the corresponding row.
Chapter 8
Bitmap Index Access Paths
8-37

Table 8-5 Bitmap Index Entries
Column
Value
Start
Rowid in
Range
End
Rowid in
Range
1st
Row in
Range
2nd
Row in
Range
3rd
Row in
Range
4th
Row in
Range
5th
Row in
Range
6th
Row in
Range
widowed AAA ... CCC ...
0 1 0 0 0 0
widowed DDD ... EEE ...
1 0 1 0 1 1
8.4.3.3 Bitmap Index Single Value: Example
In this example, the optimizer chooses a bitmap index single value operation to satisfy
a query that uses an equality predicate.
A query of the
sh.customers
table selects all widowed customers:
SELECT *
FROM customers
WHERE cust_marital_status = 'Widowed';
The following plan shows that the database reads the entry with the
Widowed
key in the
customers
bitmap index (Step 3), converts the
1
values in the bitmap to rowids (Step 2),
and then uses the rowids to obtain the rows from the
customers
table (Step 1):
SQL_ID ff5an2xsn086h, child number 0
-------------------------------------
SELECT * FROM customers WHERE cust_marital_status = 'Widowed'
Plan hash value: 2579015045
---------------------------------------------------------------------------------------------
|Id| Operation | Name |Rows|Bytes|Cost (%CPU)| Time|
---------------------------------------------------------------------------------------------
| 0| SELECT STATEMENT | | | |412 (100)| |
| 1| TABLE ACCESS BY INDEX ROWID BATCHED|CUSTOMERS |3461|638K|412 (2)|00:00:01|
| 2| BITMAP CONVERSION TO ROWIDS | | | | | |
|*3| BITMAP INDEX SINGLE VALUE |CUSTOMERS_MARITAL_BIX| | | | |
---------------------------------------------------------------------------------------------
Predicate Information (identified by operation id):
---------------------------------------------------
3 - access("CUST_MARITAL_STATUS"='Widowed')
8.4.4 Bitmap Index Range Scans
This type of access path uses a bitmap index to look up a range of values.
This section contains the following topics:
•When the Optimizer Considers Bitmap Index Range Scans
The optimizer considers this access path when the predicate selects a range of
values.
•How Bitmap Index Range Scans Work
This scan works similarly to a B-tree range scan.
•Bitmap Index Range Scans: Example
This example uses a range scan to select customers born before a single year.
Chapter 8
Bitmap Index Access Paths
8-38

8.4.4.1 When the Optimizer Considers Bitmap Index Range Scans
The optimizer considers this access path when the predicate selects a range of
values.
The range in the scan can be bounded on both sides, or unbounded on one or both
sides. The optimizer typically chooses a range scan for selective queries.
8.4.4.2 How Bitmap Index Range Scans Work
This scan works similarly to a B-tree range scan.
For example, the following table represents three values in the bitmap index for the
sh.customers.cust_year_of_birth
column. If a query requests all customers born before
1917, then the database can scan this index for values lower than
1917
, and then
obtain the rowids for rows that have a
1
.
Table 8-6 Bitmap Index Entries
Column
Value
Start
Rowid in
Range
End
Rowid in
Range
1st
Row in
Range
2nd
Row in
Range
3rd
Row in
Range
4th
Row in
Range
5th
Row in
Range
6th
Row in
Range
1913 AAA ... CCC ...
0 0 0 0 0 1
1917 AAA ... CCC ...
1 0 1 1 1 0
1918 AAA ... CCC ...
0 1 0 0 0 0
1918 DDD ... EEE ...
1 0 1 0 1 1
8.4.4.3 Bitmap Index Range Scans: Example
This example uses a range scan to select customers born before a single year.
A query of the
sh.customers
table selects the names of customers born before 1918:
SELECT cust_last_name, cust_first_name
FROM customers
WHERE cust_year_of_birth < 1918
The following plan shows that the database obtains all bitmaps for
cust_year_of_birth
keys lower than
1918
(Step 3), converts the bitmaps to rowids (Step 2), and then
fetches the rows (Step 1):
SQL_ID 672z2h9rawyjg, child number 0
-------------------------------------
SELECT cust_last_name, cust_first_name FROM customers WHERE
cust_year_of_birth < 1918
Plan hash value: 4198466611
---------------------------------------------------------------------------------------------
|Id| Operation | Name |Rows|Bytes|Cost(%CPU)|Time |
---------------------------------------------------------------------------------------------
| 0| SELECT STATEMENT | | | |421 (100)| |
| 1| TABLE ACCESS BY INDEX ROWID BATCHED| CUSTOMERS |3604|68476|421 (1)|00:00:01 |
| 2| BITMAP CONVERSION TO ROWIDS | | | | | |
Chapter 8
Bitmap Index Access Paths
8-39

|*3| BITMAP INDEX RANGE SCAN | CUSTOMERS_YOB_BIX | | | | |
---------------------------------------------------------------------------------------------
Predicate Information (identified by operation id):
---------------------------------------------------
3 - access("CUST_YEAR_OF_BIRTH"<1918)
filter("CUST_YEAR_OF_BIRTH"<1918)
8.4.5 Bitmap Merge
This access path merges multiple bitmaps, and returns a single bitmap as a result.
A bitmap merge is indicated by the
BITMAP MERGE
operation in an execution plan.
This section contains the following topics:
•When the Optimizer Considers Bitmap Merge
The optimizer typically uses a bitmap merge to combine bitmaps generated from a
bitmap index range scan.
•How Bitmap Merge Works
A merge uses a Boolean
OR
operation between two bitmaps. The resulting bitmap
selects all rows from the first bitmap, plus all rows from every subsequent bitmap.
•Bitmap Merge: Example
This example shows how the database merges bitmaps to optimize a query using
a range predicate.
8.4.5.1 When the Optimizer Considers Bitmap Merge
The optimizer typically uses a bitmap merge to combine bitmaps generated from a
bitmap index range scan.
8.4.5.2 How Bitmap Merge Works
A merge uses a Boolean
OR
operation between two bitmaps. The resulting bitmap
selects all rows from the first bitmap, plus all rows from every subsequent bitmap.
A query might select all customers born before 1918. The following example shows
sample bitmaps for three
customers.cust_year_of_birth
keys:
1917
,
1916
, and
1915
. If
any position in any bitmap has a
1
, then the merged bitmap has a
1
in the same
position. Otherwise, the merged bitmap has a
0
.
1917 1 0 1 0 0 0 0 0 0 0 0 0 0 1
1916 0 1 0 0 0 0 0 0 0 0 0 0 0 0
1915 0 0 0 0 0 0 0 0 1 0 0 0 0 0
------------------------------------
merged: 1 1 1 0 0 0 0 0 1 0 0 0 0 1
The
1
values in resulting bitmap correspond to rows that contain the values
1915
,
1916
,
or
1917
.
8.4.5.3 Bitmap Merge: Example
This example shows how the database merges bitmaps to optimize a query using a
range predicate.
Chapter 8
Bitmap Index Access Paths
8-40

A query of the
sh.customers
table selects the names of female customers born before
1918:
SELECT cust_last_name, cust_first_name
FROM customers
WHERE cust_gender = 'F'
AND cust_year_of_birth < 1918
The following plan shows that the database obtains all bitmaps for
cust_year_of_birth
keys lower than
1918
(Step 6), and then merges these bitmaps using
OR
logic to create
a single bitmap (Step 5). The database obtains a single bitmap for the
cust_gender
key
of
F
(Step 4), and then performs an
AND
operation on these two bitmaps. The result is a
single bitmap that contains
1
values for the requested rows (Step 3).
SQL_ID 1xf59h179zdg2, child number 0
-------------------------------------
select cust_last_name, cust_first_name from customers where cust_gender
= 'F' and cust_year_of_birth < 1918
Plan hash value: 49820847
---------------------------------------------------------------------------------------------
|Id| Operation | Name |Rows|Bytes|Cost(%CPU)| Time |
---------------------------------------------------------------------------------------------
| 0| SELECT STATEMENT | | | |288 (100)| |
| 1| TABLE ACCESS BY INDEX ROWID BATCHED|CUSTOMERS |1802|37842|288 (1)|00:00:01|
| 2| BITMAP CONVERSION TO ROWIDS | | | | | |
| 3| BITMAP AND | | | | | |
|*4| BITMAP INDEX SINGLE VALUE |CUSTOMERS_GENDER_BIX| | | | |
| 5| BITMAP MERGE | | | | | |
|*6| BITMAP INDEX RANGE SCAN |CUSTOMERS_YOB_BIX | | | | |
---------------------------------------------------------------------------------------------
Predicate Information (identified by operation id):
---------------------------------------------------
4 - access("CUST_GENDER"='F')
6 - access("CUST_YEAR_OF_BIRTH"<1918)
filter("CUST_YEAR_OF_BIRTH"<1918)
8.5 Table Cluster Access Paths
A table cluster is a group of tables that share common columns and store related
data in the same blocks. When tables are clustered, a single data block can contain
rows from multiple tables.
This section contains the following topics:
•Cluster Scans
An index cluster is a table cluster that uses an index to locate data.
•Hash Scans
A hash cluster is like an indexed cluster, except the index key is replaced with a
hash function. No separate cluster index exists.
See Also:
Oracle Database Concepts for an overview of table clusters
Chapter 8
Table Cluster Access Paths
8-41

8.5.1 Cluster Scans
An index cluster is a table cluster that uses an index to locate data.
The cluster index is a B-tree index on the cluster key. A cluster scan retrieves all rows
that have the same cluster key value from a table stored in an indexed cluster.
This section contains the following topics:
•When the Optimizer Considers Cluster Scans
The database considers a cluster scan when a query accesses a table in an
indexed cluster.
•How a Cluster Scan Works
In an indexed cluster, the database stores all rows with the same cluster key value
in the same data block.
•Cluster Scans: Example
This example clusters the
employees
and
departments
tables on the
department_id
column, and then queries the cluster for a single department.
8.5.1.1 When the Optimizer Considers Cluster Scans
The database considers a cluster scan when a query accesses a table in an indexed
cluster.
8.5.1.2 How a Cluster Scan Works
In an indexed cluster, the database stores all rows with the same cluster key value in
the same data block.
For example, if the
hr.employees2
and
hr.departments2
tables are clustered in
emp_dept_cluster
, and if the cluster key is
department_id
, then the database stores all
employees in department
10
in the same block, all employees in department
20
in the
same block, and so on.
The B-tree cluster index associates the cluster key value with the database block
address (DBA) of the block containing the data. For example, the index entry for key
30
shows the address of the block that contains rows for employees in department
30
:
30,AADAAAA9d
When a user requests rows in the cluster, the database scans the index to obtain the
DBAs of the blocks containing the rows. Oracle Database then locates the rows based
on these DBAs.
8.5.1.3 Cluster Scans: Example
This example clusters the
employees
and
departments
tables on the
department_id
column, and then queries the cluster for a single department.
As user
hr
, you create a table cluster, cluster index, and tables in the cluster as
follows:
CREATE CLUSTER employees_departments_cluster
(department_id NUMBER(4)) SIZE 512;
Chapter 8
Table Cluster Access Paths
8-42

CREATE INDEX idx_emp_dept_cluster
ON CLUSTER employees_departments_cluster;
CREATE TABLE employees2
CLUSTER employees_departments_cluster (department_id)
AS SELECT * FROM employees;
CREATE TABLE departments2
CLUSTER employees_departments_cluster (department_id)
AS SELECT * FROM departments;
You query the employees in department
30
as follows:
SELECT *
FROM employees2
WHERE department_id = 30;
To perform the scan, Oracle Database first obtains the rowid of the row describing
department 30 by scanning the cluster index (Step 2). Oracle Database then locates
the rows in
employees2
using this rowid (Step 1).
SQL_ID b7xk1jzuwdc6t, child number 0
-------------------------------------
SELECT * FROM employees2 WHERE department_id = 30
Plan hash value: 49826199
--------------------------------------------------------------------------------
|Id| Operation | Name |Rows|Bytes|Cost(%CPU)| Time |
--------------------------------------------------------------------------------
| 0| SELECT STATEMENT | | | | 2 (100)| |
| 1| TABLE ACCESS CLUSTER| EMPLOYEES2 | 6 | 798 | 2 (0)| 00:00:01|
|*2| INDEX UNIQUE SCAN |IDX_EMP_DEPT_CLUSTER| 1 | | 1 (0)| 00:00:01|
--------------------------------------------------------------------------------
Predicate Information (identified by operation id):
---------------------------------------------------
2 - access("DEPARTMENT_ID"=30)
8.5.2 Hash Scans
A hash cluster is like an indexed cluster, except the index key is replaced with a hash
function. No separate cluster index exists.
In a hash cluster, the data is the index. The database uses a hash scan to locate rows
in a hash cluster based on a hash value.
This section contains the following topics:
•When the Optimizer Considers a Hash Scan
The database considers a hash scan when a query accesses a table in a hash
cluster.
•How a Hash Scan Works
In a hash cluster, all rows with the same hash value are stored in the same data
block.
Chapter 8
Table Cluster Access Paths
8-43

•Hash Scans: Example
This example hashes the
employees
and
departments
tables on the
department_id
column, and then queries the cluster for a single department.
8.5.2.1 When the Optimizer Considers a Hash Scan
The database considers a hash scan when a query accesses a table in a hash cluster.
8.5.2.2 How a Hash Scan Works
In a hash cluster, all rows with the same hash value are stored in the same data block.
To perform a hash scan of the cluster, Oracle Database first obtains the hash value by
applying a hash function to a cluster key value specified by the statement. Oracle
Database then scans the data blocks containing rows with this hash value.
8.5.2.3 Hash Scans: Example
This example hashes the
employees
and
departments
tables on the
department_id
column, and then queries the cluster for a single department.
You create a hash cluster and tables in the cluster as follows:
CREATE CLUSTER employees_departments_cluster
(department_id NUMBER(4)) SIZE 8192 HASHKEYS 100;
CREATE TABLE employees2
CLUSTER employees_departments_cluster (department_id)
AS SELECT * FROM employees;
CREATE TABLE departments2
CLUSTER employees_departments_cluster (department_id)
AS SELECT * FROM departments;
You query the employees in department
30
as follows:
SELECT *
FROM employees2
WHERE department_id = 30
To perform a hash scan, Oracle Database first obtains the hash value by applying a
hash function to the key value
30
, and then uses this hash value to scan the data
blocks and retrieve the rows (Step 1).
SQL_ID 919x7hyyxr6p4, child number 0
-------------------------------------
SELECT * FROM employees2 WHERE department_id = 30
Plan hash value: 2399378016
----------------------------------------------------------------
| Id | Operation | Name | Rows | Bytes | Cost |
----------------------------------------------------------------
| 0 | SELECT STATEMENT | | | | 1 |
|* 1 | TABLE ACCESS HASH| EMPLOYEES2 | 10 | 1330 | |
----------------------------------------------------------------
Predicate Information (identified by operation id):
---------------------------------------------------
Chapter 8
Table Cluster Access Paths
8-44

1 - access("DEPARTMENT_ID"=30)
Chapter 8
Table Cluster Access Paths
8-45

9
Joins
Oracle Database provides several optimizations for joining row sets.
This chapter contains the following topics:
•About Joins
A join combines the output from exactly two row sources, such as tables or views,
and returns one row source. The returned row source is the data set.
•Join Methods
A join method is the mechanism for joining two row sources.
•Join Types
A join type is determined by the type of join condition.
•Join Optimizations
Join optimizations enable joins to be more efficient.
9.1 About Joins
A join combines the output from exactly two row sources, such as tables or views, and
returns one row source. The returned row source is the data set.
A join is characterized by multiple tables in the
WHERE
(non-ANSI) or
FROM ... JOIN
(ANSI) clause of a SQL statement. Whenever multiple tables exist in the
FROM
clause,
Oracle Database performs a join.
A join condition compares two row sources using an expression. The join condition
defines the relationship between the tables. If the statement does not specify a join
condition, then the database performs a Cartesian join, matching every row in one
table with every row in the other table.
This section contains the following topics:
•Join Trees
Typically, a join tree is represented as an upside-down tree structure.
•How the Optimizer Executes Join Statements
The database joins pairs of row sources. When multiple tables exist in the
FROM
clause, the optimizer must determine which join operation is most efficient for each
pair.
•How the Optimizer Chooses Execution Plans for Joins
When determining the join order and method, the optimizer goal is to reduce the
number of rows early so it performs less work throughout the execution of the SQL
statement.
9-1

See Also:
•"Cartesian Joins"
•Oracle Database SQL Language Reference for a concise discussion of
joins in Oracle SQL
9.1.1 Join Trees
Typically, a join tree is represented as an upside-down tree structure.
As shown in the following graphic,
table1
is the left table, and
table2
is the right table.
The optimizer processes the join from left to right. For example, if this graphic depicted
a nested loops join, then
table1
is the outer loop, and
table2
is the inner loop.
Figure 9-1 Join Tree
result set
table1 table2
The input of a join can be the result set from a previous join. If the right child of every
internal node of a join tree is a table, then the tree is a left deep join tree, as shown in
the following example. Most join trees are left deep joins.
Figure 9-2 Left Deep Join Tree
result set
table4
table3
table2table1
Chapter 9
About Joins
9-2

If the left child of every internal node of a join tree is a table, then the tree is called a
right deep join tree, as shown in the following diagram.
Figure 9-3 Right Deep Join Tree
result set
table1
table2
table4table3
If the left or the right child of an internal node of a join tree can be a join node, then the
tree is called a bushy join tree. In the following example,
table4
is a right child of a join
node,
table1
is the left child of a join node, and
table2
is the left child of a join node.
Figure 9-4 Bushy Join Tree
result set
table4
table1
table3table2
In yet another variation, both inputs of a join are the results of a previous join.
9.1.2 How the Optimizer Executes Join Statements
The database joins pairs of row sources. When multiple tables exist in the
FROM
clause,
the optimizer must determine which join operation is most efficient for each pair.
The optimizer must make the interrelated decisions shown in the following table.
Chapter 9
About Joins
9-3

Table 9-1 Join Operations
Operation Explanation To Learn More
Access paths As for simple statements, the optimizer
must choose an access path to retrieve
data from each table in the join statement.
For example, the optimizer might choose
between a full table scan or an index scan..
"Optimizer Access Paths"
Join methods To join each pair of row sources, Oracle
Database must decide how to do it. The
"how" is the join method. The possible join
methods are nested loop, sort merge, and
hash joins. A Cartesian join requires one of
the preceding join methods. Each join
method has specific situations in which it is
more suitable than the others.
"Join Methods"
Join types The join condition determines the join type.
For example, an inner join retrieves only
rows that match the join condition. An outer
join retrieves rows that do not match the
join condition.
"Join Types"
Join order To execute a statement that joins more than
two tables, Oracle Database joins two
tables and then joins the resulting row
source to the next table. This process
continues until all tables are joined into the
result. For example, the database joins two
tables, and then joins the result to a third
table, and then joins this result to a fourth
table, and so on.
N/A
9.1.3 How the Optimizer Chooses Execution Plans for Joins
When determining the join order and method, the optimizer goal is to reduce the
number of rows early so it performs less work throughout the execution of the SQL
statement.
The optimizer generates a set of execution plans, according to possible join orders,
join methods, and available access paths. The optimizer then estimates the cost of
each plan and chooses the one with the lowest cost. When choosing an execution
plan, the optimizer considers the following factors:
•The optimizer first determines whether joining two or more tables results in a row
source containing at most one row.
The optimizer recognizes such situations based on
UNIQUE
and
PRIMARY KEY
constraints on the tables. If such a situation exists, then the optimizer places these
tables first in the join order. The optimizer then optimizes the join of the remaining
set of tables.
•For join statements with outer join conditions, the table with the outer join operator
typically comes after the other table in the condition in the join order.
In general, the optimizer does not consider join orders that violate this guideline,
although the optimizer overrides this ordering condition in certain circumstances.
Similarly, when a subquery has been converted into an antijoin or semijoin, the
Chapter 9
About Joins
9-4

tables from the subquery must come after those tables in the outer query block to
which they were connected or correlated. However, hash antijoins and semijoins
are able to override this ordering condition in certain circumstances.
The optimizer estimates the cost of a query plan by computing the estimated I/Os and
CPU. These I/Os have specific costs associated with them: one cost for a single block
I/O, and another cost for multiblock I/Os. Also, different functions and expressions
have CPU costs associated with them. The optimizer determines the total cost of a
query plan using these metrics. These metrics may be influenced by many initialization
parameter and session settings at compile time, such as the
DB_FILE_MULTI_BLOCK_READ_COUNT
setting, system statistics, and so on.
For example, the optimizer estimates costs in the following ways:
•The cost of a nested loops join depends on the cost of reading each selected row
of the outer table and each of its matching rows of the inner table into memory.
The optimizer estimates these costs using statistics in the data dictionary.
•The cost of a sort merge join depends largely on the cost of reading all the
sources into memory and sorting them.
•The cost of a hash join largely depends on the cost of building a hash table on one
of the input sides to the join and using the rows from the other side of the join to
probe it.
Example 9-1 Estimating Costs for Join Order and Method
Conceptually, the optimizer constructs a matrix of join orders and methods and the
cost associated with each. For example, the optimizer must determine how best to join
the
date_dim
and
lineorder
tables in a query. The following table shows the possible
variations of methods and orders, and the cost for each. In this example, a nested
loops join in the order
date_dim
,
lineorder
has the lowest cost.
Table 9-2 Sample Costs for Join of date_dim and lineorder Tables
Join Method Cost of date_dim, lineorder Cost of lineorder, date_dim
Nested Loops 39,480 6,187,540
Hash Join 187,528 194,909
Sort Merge 217,129 217,129
9.2 Join Methods
A join method is the mechanism for joining two row sources.
Depending on the statistics, the optimizer chooses the method with the lowest
estimated cost. As shown in Figure 9-5, each join method has two children: the driving
(also called outer) row source and the driven-to (also called inner) row source.
Chapter 9
Join Methods
9-5

Figure 9-5 Join Method
Join Method
(Nested Loops, Hash
Join, or Sort Merge)
Driving Row Source,
Outer row Source
Driven-To Row Source,
Inner Row Source
This section contains the following topics:
•Nested Loops Joins
Nested loops join an outer data set to an inner data set.
•Hash Joins
The database uses a hash join to join larger data sets.
•Sort Merge Joins
A sort merge join is a variation on a nested loops join.
9.2.1 Nested Loops Joins
Nested loops join an outer data set to an inner data set.
For each row in the outer data set that matches the single-table predicates, the
database retrieves all rows in the inner data set that satisfy the join predicate. If an
index is available, then the database can use it to access the inner data set by rowid.
This section contains the following topics:
•When the Optimizer Considers Nested Loops Joins
Nested loops joins are useful when the database joins small subsets of data, the
database joins large sets of data with the optimizer mode set to
FIRST_ROWS
, or the
join condition is an efficient method of accessing the inner table.
•How Nested Loops Joins Work
Conceptually, nested loops are equivalent to two nested
for
loops.
•Nested Nested Loops
The outer loop of a nested loop can itself be a row source generated by a different
nested loop.
•Current Implementation for Nested Loops Joins
Oracle Database 11g introduced a new implementation for nested loops that
reduces overall latency for physical I/O.
•Original Implementation for Nested Loops Joins
In the current release, both the new and original implementation of nested loops
are possible.
•Nested Loops Controls
For some SQL statements, the data is small enough for the optimizer to prefer full
table scans and hash joins. However, you can add the
USE_NL
hint to instruct the
Chapter 9
Join Methods
9-6

optimizer to join each specified table to another row source with a nested loops
join, using the specified table as the inner table.
9.2.1.1 When the Optimizer Considers Nested Loops Joins
Nested loops joins are useful when the database joins small subsets of data, the
database joins large sets of data with the optimizer mode set to
FIRST_ROWS
, or the join
condition is an efficient method of accessing the inner table.
Note:
The number of rows expected from the join is what drives the optimizer
decision, not the size of the underlying tables. For example, a query might
join two tables of a billion rows each, but because of the filters the optimizer
expects data sets of 5 rows each.
In general, nested loops joins work best on small tables with indexes on the join
conditions. If a row source has only one row, as with an equality lookup on a primary
key value (for example,
WHERE employee_id=101
), then the join is a simple lookup. The
optimizer always tries to put the smallest row source first, making it the driving table.
Various factors enter into the optimizer decision to use nested loops. For example, the
database may read several rows from the outer row source in a batch. Based on the
number of rows retrieved, the optimizer may choose either a nested loop or a hash join
to the inner row source. For example, if a query joins
departments
to driving table
employees
, and if the predicate specifies a value in
employees.last_name
, then the
database might read enough entries in the index on
last_name
to determine whether an
internal threshold is passed. If the threshold is not passed, then the optimizer picks a
nested loop join to
departments
, and if the threshold is passed, then the database
performs a hash join, which means reading the rest of
employees
, hashing it into
memory, and then joining to
departments
.
If the access path for the inner loop is not dependent on the outer loop, then the result
can be a Cartesian product: for every iteration of the outer loop, the inner loop
produces the same set of rows. To avoid this problem, use other join methods to join
two independent row sources.
9.2.1.2 How Nested Loops Joins Work
Conceptually, nested loops are equivalent to two nested
for
loops.
For example, if a query joins
employees
and
departments
, then a nested loop in
pseudocode might be:
FOR erow IN (select * from employees where X=Y) LOOP
FOR drow IN (select * from departments where erow is matched) LOOP
output values from erow and drow
END LOOP
END LOOP
The inner loop is executed for every row of the outer loop. The
employees
table is the
"outer" data set because it is in the exterior
for
loop. The outer table is sometimes
Chapter 9
Join Methods
9-7

called a driving table. The
departments
table is the "inner" data set because it is in the
interior
for
loop.
A nested loops join involves the following basic steps:
1. The optimizer determines the driving row source and designates it as the outer
loop.
The outer loop produces a set of rows for driving the join condition. The row
source can be a table accessed using an index scan, a full table scan, or any other
operation that generates rows.
The number of iterations of the inner loop depends on the number of rows
retrieved in the outer loop. For example, if 10 rows are retrieved from the outer
table, then the database must perform 10 lookups in the inner table. If 10,000,000
rows are retrieved from the outer table, then the database must perform
10,000,000 lookups in the inner table.
2. The optimizer designates the other row source as the inner loop.
The outer loop appears before the inner loop in the execution plan, as follows:
NESTED LOOPS
outer_loop
inner_loop
3. For every fetch request from the client, the basic process is as follows:
a. Fetch a row from the outer row source
b. Probe the inner row source to find rows that match the predicate criteria
c. Repeat the preceding steps until all rows are obtained by the fetch request
Sometimes the database sorts rowids to obtain a more efficient buffer access
pattern.
9.2.1.3 Nested Nested Loops
The outer loop of a nested loop can itself be a row source generated by a different
nested loop.
The database can nest two or more outer loops to join as many tables as needed.
Each loop is a data access method. The following template shows how the database
iterates through three nested loops:
SELECT STATEMENT
NESTED LOOPS 3
NESTED LOOPS 2 - Row source becomes OUTER LOOP 3.1
NESTED LOOPS 1 - Row source becomes OUTER LOOP 2.1
OUTER LOOP 1.1
INNER LOOP 1.2
INNER LOOP 2.2
INNER LOOP 3.2
The database orders the loops as follows:
1. The database iterates through
NESTED LOOPS 1
:
NESTED LOOPS 1
OUTER LOOP 1.1
INNER LOOP 1.2
Chapter 9
Join Methods
9-8

The output of
NESTED LOOP 1
is a row source.
2. The database iterates through
NESTED LOOPS 2
, using the row source generated by
NESTED LOOPS 1
as its outer loop:
NESTED LOOPS 2
OUTER LOOP 2.1 - Row source generated by NESTED LOOPS 1
INNER LOOP 2.2
The output of
NESTED LOOPS 2
is another row source.
3. The database iterates through
NESTED LOOPS 3
, using the row source generated by
NESTED LOOPS 2
as its outer loop:
NESTED LOOPS 3
OUTER LOOP 3.1 - Row source generated by NESTED LOOPS 2
INNER LOOP 3.2
Example 9-2 Nested Nested Loops Join
Suppose you join the
employees
and
departments
tables as follows:
SELECT /*+ ORDERED USE_NL(d) */ e.last_name, e.first_name, d.department_name
FROM employees e, departments d
WHERE e.department_id=d.department_id
AND e.last_name like 'A%';
The plan reveals that the optimizer chose two nested loops (Step 1 and Step 2) to
access the data:
SQL_ID ahuavfcv4tnz4, child number 0
-------------------------------------
SELECT /*+ ORDERED USE_NL(d) */ e.last_name, d.department_name FROM
employees e, departments d WHERE e.department_id=d.department_id AND
e.last_name like 'A%'
Plan hash value: 1667998133
----------------------------------------------------------------------------------
|Id| Operation |Name |Rows|Bytes|Cost(%CPU)|Time|
----------------------------------------------------------------------------------
| 0| SELECT STATEMENT | | | |5 (100)| |
| 1| NESTED LOOPS | | | | | |
| 2| NESTED LOOPS | | 3|102|5 (0)|00:00:01|
| 3| TABLE ACCESS BY INDEX ROWID BATCHED| EMPLOYEES | 3| 54|2 (0)|00:00:01|
|*4| INDEX RANGE SCAN | EMP_NAME_IX | 3| |1 (0)|00:00:01|
|*5| INDEX UNIQUE SCAN | DEPT_ID_PK | 1| |0 (0)| |
| 6| TABLE ACCESS BY INDEX ROWID | DEPARTMENTS | 1| 16|1 (0)|00:00:01|
----------------------------------------------------------------------------------
Predicate Information (identified by operation id):
---------------------------------------------------
4 - access("E"."LAST_NAME" LIKE 'A%')
filter("E"."LAST_NAME" LIKE 'A%')
5 - access("E"."DEPARTMENT_ID"="D"."DEPARTMENT_ID")
In this example, the basic process is as follows:
1. The database begins iterating through the inner nested loop (Step 2) as follows:
a. The database searches the
emp_name_ix
for the rowids for all last names that
begins with
A
(Step 4).
Chapter 9
Join Methods
9-9

For example:
Abel,employees_rowid
Ande,employees_rowid
Atkinson,employees_rowid
Austin,employees_rowid
b. Using the rowids from the previous step, the database retrieves a batch of
rows from the
employees
table (Step 3). For example:
Abel,Ellen,80
Abel,John,50
These rows become the outer row source for the innermost nested loop.
The batch step is typically part of adaptive execution plans. To determine
whether a nested loop is better than a hash join, the optimizer needs to
determine many rows come back from the row source. If too many rows are
returned, then the optimizer switches to a different join method.
c. For each row in the outer row source, the database scans the
dept_id_pk
index
to obtain the rowid in
departments
of the matching department ID (Step 5), and
joins it to the
employees
rows. For example:
Abel,Ellen,80,departments_rowid
Ande,Sundar,80,departments_rowid
Atkinson,Mozhe,50,departments_rowid
Austin,David,60,departments_rowid
These rows become the outer row source for the outer nested loop (Step 1).
2. The database iterates through the outer nested loop as follows:
a. The database reads the first row in outer row source.
For example:
Abel,Ellen,80,departments_rowid
b. The database uses the
departments
rowid to retrieve the corresponding row
from
departments
(Step 6), and then joins the result to obtain the requested
values (Step 1).
For example:
Abel,Ellen,80,Sales
c. The database reads the next row in the outer row source, uses the
departments
rowid to retrieve the corresponding row from
departments
(Step 6), and iterates
through the loop until all rows are retrieved.
The result set has the following form:
Abel,Ellen,80,Sales
Ande,Sundar,80,Sales
Atkinson,Mozhe,50,Shipping
Austin,David,60,IT
9.2.1.4 Current Implementation for Nested Loops Joins
Oracle Database 11g introduced a new implementation for nested loops that reduces
overall latency for physical I/O.
Chapter 9
Join Methods
9-10

When an index or a table block is not in the buffer cache and is needed to process the
join, a physical I/O is required. The database can batch multiple physical I/O requests
and process them using a vector I/O (array) instead of one at a time. The database
sends an array of rowids to the operating system, which performs the read.
As part of the new implementation, two
NESTED LOOPS
join row sources might appear in
the execution plan where only one would have appeared in prior releases. In such
cases, Oracle Database allocates one
NESTED LOOPS
join row source to join the values
from the table on the outer side of the join with the index on the inner side. A second
row source is allocated to join the result of the first join, which includes the rowids
stored in the index, with the table on the inner side of the join.
Consider the query in "Original Implementation for Nested Loops Joins". In the current
implementation, the execution plan for this query might be as follows:
-------------------------------------------------------------------------------------
| Id | Operation | Name |Rows|Bytes|Cost%CPU| Time |
-------------------------------------------------------------------------------------
| 0 | SELECT STATEMENT | | 19 | 722 | 3 (0)|00:00:01|
| 1 | NESTED LOOPS | | | | | |
| 2 | NESTED LOOPS | | 19 | 722 | 3 (0)|00:00:01|
|* 3 | TABLE ACCESS FULL | DEPARTMENTS | 2 | 32 | 2 (0)|00:00:01|
|* 4 | INDEX RANGE SCAN | EMP_DEPARTMENT_IX | 10 | | 0 (0)|00:00:01|
| 5 | TABLE ACCESS BY INDEX ROWID| EMPLOYEES | 10 | 220 | 1 (0)|00:00:01|
-------------------------------------------------------------------------------------
Predicate Information (identified by operation id):
---------------------------------------------------
3 - filter("D"."DEPARTMENT_NAME"='Marketing' OR "D"."DEPARTMENT_NAME"='Sales')
4 - access("E"."DEPARTMENT_ID"="D"."DEPARTMENT_ID")
In this case, rows from the
hr.departments
table form the outer row source (Step 3) of
the inner nested loop (Step 2). The index
emp_department_ix
is the inner row source
(Step 4) of the inner nested loop. The results of the inner nested loop form the outer
row source (Row 2) of the outer nested loop (Row 1). The
hr.employees
table is the
outer row source (Row 5) of the outer nested loop.
For each fetch request, the basic process is as follows:
1. The database iterates through the inner nested loop (Step 2) to obtain the rows
requested in the fetch:
a. The database reads the first row of
departments
to obtain the department IDs
for departments named
Marketing
or
Sales
(Step 3). For example:
Marketing,20
This row set is the outer loop. The database caches the data in the PGA.
b. The database scans
emp_department_ix
, which is an index on the
employees
table, to find
employees
rowids that correspond to this department ID (Step 4),
and then joins the result (Step 2).
The result set has the following form:
Marketing,20,employees_rowid
Marketing,20,employees_rowid
Marketing,20,employees_rowid
Chapter 9
Join Methods
9-11

c. The database reads the next row of
departments
, scans
emp_department_ix
to
find
employees
rowids that correspond to this department ID, and then iterates
through the loop until the client request is satisfied.
In this example, the database only iterates through the outer loop twice
because only two rows from
departments
satisfy the predicate filter.
Conceptually, the result set has the following form:
Marketing,20,employees_rowid
Marketing,20,employees_rowid
Marketing,20,employees_rowid
.
.
.
Sales,80,employees_rowid
Sales,80,employees_rowid
Sales,80,employees_rowid
.
.
.
These rows become the outer row source for the outer nested loop (Step 1).
This row set is cached in the PGA.
2. The database organizes the rowids obtained in the previous step so that it can
more efficiently access them in the cache.
3. The database begins iterating through the outer nested loop as follows:
a. The database retrieves the first row from the row set obtained in the previous
step, as in the following example:
Marketing,20,employees_rowid
b. Using the rowid, the database retrieves a row from
employees
to obtain the
requested values (Step 1), as in the following example:
Michael,Hartstein,13000,Marketing
c. The database retrieves the next row from the row set, uses the rowid to probe
employees
for the matching row, and iterates through the loop until all rows are
retrieved.
The result set has the following form:
Michael,Hartstein,13000,Marketing
Pat,Fay,6000,Marketing
John,Russell,14000,Sales
Karen,Partners,13500,Sales
Alberto,Errazuriz,12000,Sales
.
.
.
In some cases, a second join row source is not allocated, and the execution plan looks
the same as it did before Oracle Database 11g. The following list describes such
cases:
•All of the columns needed from the inner side of the join are present in the index,
and there is no table access required. In this case, Oracle Database allocates only
one join row source.
•The order of the rows returned might be different from the order returned in
releases earlier than Oracle Database 12c. Thus, when Oracle Database tries to
Chapter 9
Join Methods
9-12

preserve a specific ordering of the rows, for example to eliminate the need for an
ORDER BY
sort, Oracle Database might use the original implementation for nested
loops joins.
•The
OPTIMIZER_FEATURES_ENABLE
initialization parameter is set to a release before
Oracle Database 11g. In this case, Oracle Database uses the original
implementation for nested loops joins.
9.2.1.5 Original Implementation for Nested Loops Joins
In the current release, both the new and original implementation of nested loops are
possible.
For an example of the original implementation, consider the following join of the
hr.employees
and
hr.departments
tables:
SELECT e.first_name, e.last_name, e.salary, d.department_name
FROM hr.employees e, hr.departments d
WHERE d.department_name IN ('Marketing', 'Sales')
AND e.department_id = d.department_id;
In releases before Oracle Database 11g, the execution plan for this query might
appear as follows:
------------------------------------------------------------------------------------------------
| Id | Operation | Name | Rows | Bytes | Cost (%CPU)| Time |
------------------------------------------------------------------------------------------------
| 0 | SELECT STATEMENT | | 19 | 722 | 3 (0)| 00:00:01 |
| 1 | TABLE ACCESS BY INDEX ROWID| EMPLOYEES | 10 | 220 | 1 (0)| 00:00:01 |
| 2 | NESTED LOOPS | | 19 | 722 | 3 (0)| 00:00:01 |
|* 3 | TABLE ACCESS FULL | DEPARTMENTS | 2 | 32 | 2 (0)| 00:00:01 |
|* 4 | INDEX RANGE SCAN | EMP_DEPARTMENT_IX | 10 | | 0 (0)| 00:00:01 |
------------------------------------------------------------------------------------------------
Predicate Information (identified by operation id):
---------------------------------------------------
3 - filter("D"."DEPARTMENT_NAME"='Marketing' OR "D"."DEPARTMENT_NAME"='Sales')
4 - access("E"."DEPARTMENT_ID"="D"."DEPARTMENT_ID")
For each fetch request, the basic process is as follows:
1. The database iterates through the loop to obtain the rows requested in the fetch:
a. The database reads the first row of
departments
to obtain the department IDs
for departments named
Marketing
or
Sales
(Step 3). For example:
Marketing,20
This row set is the outer loop. The database caches the row in the PGA.
b. The database scans
emp_department_ix
, which is an index on the
employees.department_id
column, to find
employees
rowids that correspond to
this department ID (Step 4), and then joins the result (Step 2).
Conceptually, the result set has the following form:
Marketing,20,employees_rowid
Marketing,20,employees_rowid
Marketing,20,employees_rowid
Chapter 9
Join Methods
9-13

c. The database reads the next row of
departments
, scans
emp_department_ix
to
find
employees
rowids that correspond to this department ID, and iterates
through the loop until the client request is satisfied.
In this example, the database only iterates through the outer loop twice
because only two rows from
departments
satisfy the predicate filter.
Conceptually, the result set has the following form:
Marketing,20,employees_rowid
Marketing,20,employees_rowid
Marketing,20,employees_rowid
.
.
.
Sales,80,employees_rowid
Sales,80,employees_rowid
Sales,80,employees_rowid
.
.
.
2. Depending on the circumstances, the database may organize the cached rowids
obtained in the previous step so that it can more efficiently access them.
3. For each
employees
rowid in the result set generated by the nested loop, the
database retrieves a row from
employees
to obtain the requested values (Step 1).
Thus, the basic process is to read a rowid and retrieve the matching
employees
row, read the next rowid and retrieve the matching
employees
row, and so on.
Conceptually, the result set has the following form:
Michael,Hartstein,13000,Marketing
Pat,Fay,6000,Marketing
John,Russell,14000,Sales
Karen,Partners,13500,Sales
Alberto,Errazuriz,12000,Sales
.
.
.
9.2.1.6 Nested Loops Controls
For some SQL statements, the data is small enough for the optimizer to prefer full
table scans and hash joins. However, you can add the
USE_NL
hint to instruct the
optimizer to join each specified table to another row source with a nested loops join,
using the specified table as the inner table.
The related hint
USE_NL_WITH_INDEX(table index)
hint instructs the optimizer to join the
specified table to another row source with a nested loops join using the specified table
as the inner table. The index is optional. If no index is specified, then the nested loops
join uses an index with at least one join predicate as the index key.
Example 9-3 Nested Loops Hint
Assume that the optimizer chooses a hash join for the following query:
SELECT e.last_name, d.department_name
FROM employees e, departments d
WHERE e.department_id=d.department_id;
The plan looks as follows:
Chapter 9
Join Methods
9-14

------------------------------------------------------------------------------
|Id | Operation | Name | Rows | Bytes |Cost(%CPU)| Time |
------------------------------------------------------------------------------
| 0 | SELECT STATEMENT | | | | 5 (100)| |
|*1 | HASH JOIN | | 106 | 2862 | 5 (20)| 00:00:01 |
| 2 | TABLE ACCESS FULL| DEPARTMENTS | 27 | 432 | 2 (0)| 00:00:01 |
| 3 | TABLE ACCESS FULL| EMPLOYEES | 107 | 1177 | 2 (0)| 00:00:01 |
------------------------------------------------------------------------------
To force a nested loops join using
departments
as the inner table, add the
USE_NL
hint
as in the following query:
SELECT /*+ ORDERED USE_NL(d) */ e.last_name, d.department_name
FROM employees e, departments d
WHERE e.department_id=d.department_id;
The plan looks as follows:
--------------------------------------------------------------------------------
| Id | Operation | Name | Rows | Bytes |Cost (%CPU)| Time |
--------------------------------------------------------------------------------
| 0 | SELECT STATEMENT | | | | 34 (100)| |
| 1 | NESTED LOOPS | | 106 | 2862 | 34 (3)| 00:00:01 |
| 2 | TABLE ACCESS FULL| EMPLOYEES | 107 | 1177 | 2 (0)| 00:00:01 |
|* 3 | TABLE ACCESS FULL| DEPARTMENTS | 1 | 16 | 0 (0)| |
--------------------------------------------------------------------------------
Predicate Information (identified by operation id):
---------------------------------------------------
3 - filter("E"."DEPARTMENT_ID"="D"."DEPARTMENT_ID")
The database obtains the result set as follows:
1. In the nested loop, the database reads
employees
to obtain the last name and
department ID for an employee (Step 2). For example:
De Haan,90
2. For the row obtained in the previous step, the database scans
departments
to find
the department name that matches the
employees
department ID (Step 3), and
joins the result (Step 1). For example:
De Haan,Executive
3. The database retrieves the next row in
employees
, retrieves the matching row from
departments
, and then repeats this process until all rows are retrieved.
The result set has the following form:
De Haan,Executive
Kochnar,Executive
Baer,Public Relations
King,Executive
.
.
.
9.2.2 Hash Joins
The database uses a hash join to join larger data sets.
Chapter 9
Join Methods
9-15

The optimizer uses the smaller of two data sets to build a hash table on the join key in
memory, using a deterministic hash function to specify the location in the hash table in
which to store each row. The database then scans the larger data set, probing the
hash table to find the rows that meet the join condition.
This section contains the following topics:
•When the Optimizer Considers Hash Joins
In general, the optimizer considers a hash join when a relatively large amount of
data must be joined (or a large percentage of a small table must be joined), and
the join is an equijoin.
•How Hash Joins Work
A hashing algorithm takes a set of inputs and applies a deterministic hash function
to generate a hash value between 1 and n, where n is the size of the hash table.
•How Hash Joins Work When the Hash Table Does Not Fit in the PGA
The database must use a different technique when the hash table does not fit
entirely in the PGA. In this case, the database uses a temporary space to hold
portions (called partitions) of the hash table, and sometimes portions of the larger
table that probes the hash table.
•Hash Join Controls
The
USE_HASH
hint instructs the optimizer to use a hash join when joining two tables
together.
9.2.2.1 When the Optimizer Considers Hash Joins
In general, the optimizer considers a hash join when a relatively large amount of data
must be joined (or a large percentage of a small table must be joined), and the join is
an equijoin.
A hash join is most cost effective when the smaller data set fits in memory. In this
case, the cost is limited to a single read pass over the two data sets.
Because the hash table is in the PGA, Oracle Database can access rows without
latching them. This technique reduces logical I/O by avoiding the necessity of
repeatedly latching and reading blocks in the database buffer cache.
If the data sets do not fit in memory, then the database partitions the row sources, and
the join proceeds partition by partition. This can use a lot of sort area memory, and I/O
to the temporary tablespace. This method can still be the most cost effective,
especially when the database uses parallel query servers.
9.2.2.2 How Hash Joins Work
A hashing algorithm takes a set of inputs and applies a deterministic hash function to
generate a hash value between 1 and n, where n is the size of the hash table.
In a hash join, the input values are the join keys. The output values are indexes (slots)
in an array, which is the hash table.
This section contains the following topics:
•Hash Tables
To illustrate a hash table, assume that the database hashes
hr.departments
in a
join of
departments
and
employees
. The join key column is
department_id
.
Chapter 9
Join Methods
9-16

•Hash Join: Basic Steps
The optimizer uses the smaller data source to build a hash table on the join key in
memory, and then scans the larger table to find the joined rows.
9.2.2.2.1 Hash Tables
To illustrate a hash table, assume that the database hashes
hr.departments
in a join of
departments
and
employees
. The join key column is
department_id
.
The first 5 rows of
departments
are as follows:
SQL> select * from departments where rownum < 6;
DEPARTMENT_ID DEPARTMENT_NAME MANAGER_ID LOCATION_ID
------------- ------------------------------ ---------- -----------
10 Administration 200 1700
20 Marketing 201 1800
30 Purchasing 114 1700
40 Human Resources 203 2400
50 Shipping 121 1500
The database applies the hash function to each
department_id
in the table, generating
a hash value for each. For this illustration, the hash table has 5 slots (it could have
more or less). Because n is
5
, the possible hash values range from
1
to
5
. The hash
functions might generate the following values for the department IDs:
f(10) = 4
f(20) = 1
f(30) = 4
f(40) = 2
f(50) = 5
Note that the hash function happens to generate the same hash value of
4
for
departments
10
and
30
. This is known as a hash collision. In this case, the database
puts the records for departments
10
and
30
in the same slot, using a linked list.
Conceptually, the hash table looks as follows:
1 20,Marketing,201,1800
2 40,Human Resources,203,2400
3
4 10,Administration,200,1700 -> 30,Purchasing,114,1700
5 50,Shipping,121,1500
9.2.2.2.2 Hash Join: Basic Steps
The optimizer uses the smaller data source to build a hash table on the join key in
memory, and then scans the larger table to find the joined rows.
The basic steps are as follows:
1. The database performs a full scan of the smaller data set, called the build table,
and then applies a hash function to the join key in each row to build a hash table in
the PGA.
In pseudocode, the algorithm might look as follows:
FOR small_table_row IN (SELECT * FROM small_table)
LOOP
slot_number := HASH(small_table_row.join_key);
Chapter 9
Join Methods
9-17

INSERT_HASH_TABLE(slot_number,small_table_row);
END LOOP;
2. The database probes the second data set, called the probe table, using
whichever access mechanism has the lowest cost.
Typically, the database performs a full scan of both the smaller and larger data
set. The algorithm in pseudocode might look as follows:
FOR large_table_row IN (SELECT * FROM large_table)
LOOP
slot_number := HASH(large_table_row.join_key);
small_table_row = LOOKUP_HASH_TABLE(slot_number,large_table_row.join_key);
IF small_table_row FOUND
THEN
output small_table_row + large_table_row;
END IF;
END LOOP;
For each row retrieved from the larger data set, the database does the following:
a. Applies the same hash function to the join column or columns to calculate the
number of the relevant slot in the hash table.
For example, to probe the hash table for department ID
30
, the database
applies the hash function to
30
, which generates the hash value
4
.
b. Probes the hash table to determine whether rows exists in the slot.
If no rows exist, then the database processes the next row in the larger data
set. If rows exist, then the database proceeds to the next step.
c. Checks the join column or columns for a match. If a match occurs, then the
database either reports the rows or passes them to the next step in the plan,
and then processes the next row in the larger data set.
If multiple rows exist in the hash table slot, the database walks through the
linked list of rows, checking each one. For example, if department
30
hashes
to slot
4
, then the database checks each row until it finds
30
.
Example 9-4 Hash Joins
An application queries the
oe.orders
and
oe.order_items
tables, joining on the
order_id
column.
SELECT o.customer_id, l.unit_price * l.quantity
FROM orders o, order_items l
WHERE l.order_id = o.order_id;
The execution plan is as follows:
--------------------------------------------------------------------------
| Id | Operation | Name | Rows | Bytes | Cost (%CPU)|
--------------------------------------------------------------------------
| 0 | SELECT STATEMENT | | 665 | 13300 | 8 (25)|
|* 1 | HASH JOIN | | 665 | 13300 | 8 (25)|
| 2 | TABLE ACCESS FULL | ORDERS | 105 | 840 | 4 (25)|
| 3 | TABLE ACCESS FULL | ORDER_ITEMS | 665 | 7980 | 4 (25)|
--------------------------------------------------------------------------
Predicate Information (identified by operation id):
---------------------------------------------------
1 - access("L"."ORDER_ID"="O"."ORDER_ID")
Chapter 9
Join Methods
9-18

Because the
orders
table is small relative to the
order_items
table, which is 6 times
larger, the database hashes
orders
. In a hash join, the data set for the build table
always appears first in the list of operations (Step 2). In Step 3, the database performs
a full scan of the larger
order_items
later, probing the hash table for each row.
9.2.2.3 How Hash Joins Work When the Hash Table Does Not Fit in the PGA
The database must use a different technique when the hash table does not fit entirely
in the PGA. In this case, the database uses a temporary space to hold portions (called
partitions) of the hash table, and sometimes portions of the larger table that probes the
hash table.
The basic process is as follows:
1. The database performs a full scan of the smaller data set, and then builds an array
of hash buckets in both the PGA and on disk.
When the PGA hash area fills up, the database finds the largest partition within the
hash table and writes it to temporary space on disk. The database stores any new
row that belongs to this on-disk partition on disk, and all other rows in the PGA.
Thus, part of the hash table is in memory and part of it on disk.
2. The database takes a first pass at reading the other data set.
For each row, the database does the following:
a. Applies the same hash function to the join column or columns to calculate the
number of the relevant hash bucket.
b. Probes the hash table to determine whether rows exist in the bucket in
memory.
If the hashed value points to a row in memory, then the database completes
the join and returns the row. If the value points to a hash partition on disk,
however, then the database stores this row in the temporary tablespace, using
the same partitioning scheme used for the original data set.
3. The database reads each on-disk temporary partition one by one
4. The database joins each partition row to the row in the corresponding on-disk
temporary partition.
9.2.2.4 Hash Join Controls
The
USE_HASH
hint instructs the optimizer to use a hash join when joining two tables
together.
9.2.3 Sort Merge Joins
A sort merge join is a variation on a nested loops join.
If the two data sets in the join are not already sorted, then the database sorts them.
These are the
SORT JOIN
operations. For each row in the first data set, the database
probes the second data set for matching rows and joins them, basing its start position
on the match made in the previous iteration. This is the
MERGE JOIN
operation.
Chapter 9
Join Methods
9-19

Figure 9-6 Sort Merge Join
MERGE JOIN
SORT JOIN SORT JOIN
First Row
Source
Second Row
Source
This section contains the following topics:
•When the Optimizer Considers Sort Merge Joins
A hash join requires one hash table and one probe of this table, whereas a sort
merge join requires two sorts.
•How Sort Merge Joins Work
As in a nested loops join, a sort merge join reads two data sets, but sorts them
when they are not already sorted. For each row in the first data set, the database
finds a starting row in the second data set, and then reads the second data set
until it finds a nonmatching row.
•Sort Merge Join Controls
The
USE_MERGE
hint instructs the optimizer to use a sort merge join.
9.2.3.1 When the Optimizer Considers Sort Merge Joins
A hash join requires one hash table and one probe of this table, whereas a sort merge
join requires two sorts.
The optimizer may choose a sort merge join over a hash join for joining large amounts
of data when any of the following conditions is true:
•The join condition between two tables is not an equijoin, that is, uses an inequality
condition such as
<
,
<=
,
>
, or
>=
.
In contrast to sort merges, hash joins require an equality condition.
•Because of sorts required by other operations, the optimizer finds it cheaper to use
a sort merge.
If an index exists, then the database can avoid sorting the first data set. However,
the database always sorts the second data set, regardless of indexes.
A sort merge has the same advantage over a nested loops join as the hash join: the
database accesses rows in the PGA rather than the SGA, reducing logical I/O by
avoiding the necessity of repeatedly latching and reading blocks in the database buffer
cache. In general, hash joins perform better than sort merge joins because sorting is
expensive. However, sort merge joins offer the following advantages over a hash join:
Chapter 9
Join Methods
9-20

•After the initial sort, the merge phase is optimized, resulting in faster generation of
output rows.
•A sort merge can be more cost-effective than a hash join when the hash table
does not fit completely in memory.
A hash join with insufficient memory requires both the hash table and the other
data set to be copied to disk. In this case, the database may have to read from
disk multiple times. In a sort merge, if memory cannot hold the two data sets, then
the database writes them both to disk, but reads each data set no more than once.
9.2.3.2 How Sort Merge Joins Work
As in a nested loops join, a sort merge join reads two data sets, but sorts them when
they are not already sorted. For each row in the first data set, the database finds a
starting row in the second data set, and then reads the second data set until it finds a
nonmatching row.
In pseudocode, the high-level algorithm for sort merge might look as follows:
READ data_set_1 SORT BY JOIN KEY TO temp_ds1
READ data_set_2 SORT BY JOIN KEY TO temp_ds2
READ ds1_row FROM temp_ds1
READ ds2_row FROM temp_ds2
WHILE NOT eof ON temp_ds1,temp_ds2
LOOP
IF ( temp_ds1.key = temp_ds2.key ) OUTPUT JOIN ds1_row,ds2_row
ELSIF ( temp_ds1.key <= temp_ds2.key ) READ ds1_row FROM temp_ds1
ELSIF ( temp_ds1.key => temp_ds2.key ) READ ds2_row FROM temp_ds2
END LOOP
For example, the following table shows sorted values in two data sets:
temp_ds1
and
temp_ds2
.
Table 9-3 Sorted Data Sets
temp_ds1 temp_ds2
10 20
20 20
30 40
40 40
50 40
60 40
70 40
. 60
. 70
. 70
As shown in the following table, the database begins by reading
10
in
temp_ds1
, and
then reads the first value in
temp_ds2
. Because
20
in
temp_ds2
is higher than
10
in
temp_ds1
, the database stops reading
temp_ds2
.
Chapter 9
Join Methods
9-21

Table 9-4 Start at 10 in temp_ds1
temp_ds1 temp_ds2 Action
10 [start here] 20 [start here] [stop
here]
20 in temp_ds2 is higher than 10 in temp_ds1. Stop.
Start again with next row in temp_ds1.
20 20
30 40
40 40
50 40
60 40
70 40
. 60
. 70
. 70
The database proceeds to the next value in
temp_ds1
, which is
20
. The database
proceeds through
temp_ds2
as shown in the following table.
Table 9-5 Start at 20 in temp_ds1
temp_ds1 temp_ds2 Action
10 20 [start here] Match. Proceed to next value in temp_ds2.
20 [start here] 20 Match. Proceed to next value in temp_ds2.
30 40 [stop here] 40 in temp_ds2 is higher than 20 in temp_ds1. Stop.
Start again with next row in temp_ds1.
40 40
50 40
60 40
70 40
. 60
. 70
. 70
The database proceeds to the next row in
temp_ds1
, which is
30
. The database starts at
the number of its last match, which was
20
, and then proceeds through
temp_ds2
looking for a match, as shown in the following table.
Table 9-6 Start at 30 in temp_ds1
temp_ds1 temp_ds2 Action
10 20
20 20 [start at last match] 20 in temp_ds2 is lower than 30 in temp_ds1.
Proceed to next value in temp_ds2.
30 [start here] 40 [stop here] 40 in temp_ds2 is higher than 30 in temp_ds1. Stop.
Start again with next row in temp_ds1.
40 40
50 40
60 40
Chapter 9
Join Methods
9-22

Table 9-6 (Cont.) Start at 30 in temp_ds1
temp_ds1 temp_ds2 Action
70 40
. 60
. 70
. 70
The database proceeds to the next row in
temp_ds1
, which is
40
. As shown in the
following table, the database starts at the number of its last match in
temp_ds2
, which
was
20
, and then proceeds through
temp_ds2
looking for a match.
Table 9-7 Start at 40 in temp_ds1
temp_ds1 temp_ds2 Action
10 20
20 20 [start at last match] 20 in temp_ds2 is lower than 40 in temp_ds1.
Proceed to next value in temp_ds2.
30 40 Match. Proceed to next value in temp_ds2.
40 [start here] 40 Match. Proceed to next value in temp_ds2.
50 40 Match. Proceed to next value in temp_ds2.
60 40 Match. Proceed to next value in temp_ds2.
70 40 Match. Proceed to next value in temp_ds2.
. 60 [stop here] 60 in temp_ds2 is higher than 40 in temp_ds1. Stop.
Start again with next row in temp_ds1.
. 70
. 70
The database continues in this way until it has matched the final
70
in
temp_ds2
. This
scenario demonstrates that the database, as it reads through
temp_ds1
, does not need
to read every row in
temp_ds2
. This is an advantage over a nested loops join.
Example 9-5 Sort Merge Join Using Index
The following query joins the
employees
and
departments
tables on the
department_id
column, ordering the rows on
department_id
as follows:
SELECT e.employee_id, e.last_name, e.first_name, e.department_id,
d.department_name
FROM employees e, departments d
WHERE e.department_id = d.department_id
ORDER BY department_id;
A query of
DBMS_XPLAN.DISPLAY_CURSOR
shows that the plan uses a sort merge join:
--------------------------------------------------------------------------------
|Id| Operation | Name |Rows|Bytes |Cost (%CPU)| Time |
--------------------------------------------------------------------------------
| 0| SELECT STATEMENT | | | | 5(100)| |
| 1| MERGE JOIN | |106 | 4028 | 5 (20)| 00:00:01 |
| 2| TABLE ACCESS BY INDEX ROWID| DEPARTMENTS | 27 | 432 | 2 (0)| 00:00:01 |
| 3| INDEX FULL SCAN | DEPT_ID_PK | 27 | | 1 (0)| 00:00:01 |
|*4| SORT JOIN | |107 | 2354 | 3 (34)| 00:00:01 |
Chapter 9
Join Methods
9-23

| 5| TABLE ACCESS FULL | EMPLOYEES |107 | 2354 | 2 (0)| 00:00:01 |
--------------------------------------------------------------------------------
Predicate Information (identified by operation id):
---------------------------------------------------
4 - access("E"."DEPARTMENT_ID"="D"."DEPARTMENT_ID")
filter("E"."DEPARTMENT_ID"="D"."DEPARTMENT_ID")
The two data sets are the
departments
table and the
employees
table. Because an index
orders the
departments
table by
department_id
, the database can read this index and
avoid a sort (Step 3). The database only needs to sort the
employees
table (Step 4),
which is the most CPU-intensive operation.
Example 9-6 Sort Merge Join Without an Index
You join the
employees
and
departments
tables on the
department_id
column, ordering
the rows on
department_id
as follows. In this example, you specify
NO_INDEX
and
USE_MERGE
to force the optimizer to choose a sort merge:
SELECT /*+ USE_MERGE(d e) NO_INDEX(d) */ e.employee_id, e.last_name, e.first_name,
e.department_id, d.department_name
FROM employees e, departments d
WHERE e.department_id = d.department_id
ORDER BY department_id;
A query of
DBMS_XPLAN.DISPLAY_CURSOR
shows that the plan uses a sort merge join:
--------------------------------------------------------------------------------
| Id| Operation | Name | Rows | Bytes | Cost (%CPU)| Time |
--------------------------------------------------------------------------------
| 0 | SELECT STATEMENT | | | | 6 (100)| |
| 1 | MERGE JOIN | | 106 | 9540 | 6 (34)| 00:00:01|
| 2 | SORT JOIN | | 27 | 567 | 3 (34)| 00:00:01|
| 3 | TABLE ACCESS FULL| DEPARTMENTS | 27 | 567 | 2 (0)| 00:00:01|
|*4 | SORT JOIN | | 107 | 7383 | 3 (34)| 00:00:01|
| 5 | TABLE ACCESS FULL| EMPLOYEES | 107 | 7383 | 2 (0)| 00:00:01|
--------------------------------------------------------------------------------
Predicate Information (identified by operation id):
---------------------------------------------------
4 - access("E"."DEPARTMENT_ID"="D"."DEPARTMENT_ID")
filter("E"."DEPARTMENT_ID"="D"."DEPARTMENT_ID")
Because the
departments.department_id
index is ignored, the optimizer performs a sort,
which increases the combined cost of Step 2 and Step 3 by 67% (from
3
to
5
).
9.2.3.3 Sort Merge Join Controls
The
USE_MERGE
hint instructs the optimizer to use a sort merge join.
In some situations it may make sense to override the optimizer with the
USE_MERGE
hint.
For example, the optimizer can choose a full scan on a table and avoid a sort
operation in a query. However, there is an increased cost because a large table is
accessed through an index and single block reads, as opposed to faster access
through a full table scan.
Chapter 9
Join Methods
9-24

9.3 Join Types
A join type is determined by the type of join condition.
This section contains the following topics:
•Inner Joins
An inner join (sometimes called a simple join) is a join that returns only rows that
satisfy the join condition. Inner joins are either equijoins or nonequijoins.
•Outer Joins
An outer join returns all rows that satisfy the join condition and also rows from
one table for which no rows from the other table satisfy the condition. Thus, the
result set of an outer join is the superset of an inner join.
•Semijoins
A semijoin is a join between two data sets that returns a row from the first set
when a matching row exists in the subquery data set.
•Antijoins
An antijoin is a join between two data sets that returns a row from the first set
when a matching row does not exist in the subquery data set.
•Cartesian Joins
The database uses a Cartesian join when one or more of the tables does not
have any join conditions to any other tables in the statement.
9.3.1 Inner Joins
An inner join (sometimes called a simple join) is a join that returns only rows that
satisfy the join condition. Inner joins are either equijoins or nonequijoins.
This section contains the following topics:
•Equijoins
An equijoin is an inner join whose join condition contains an equality operator.
•Nonequijoins
A nonequijoin is an inner join whose join condition contains an operator that is
not an equality operator.
•Band Joins
A band join is a special type of nonequijoin in which key values in one data set
must fall within the specified range (“band”) of the second data set. The same
table can serve as both the first and second data sets.
9.3.1.1 Equijoins
An equijoin is an inner join whose join condition contains an equality operator.
The following example is an equijoin because the join condition contains only an
equality operator:
SELECT e.employee_id, e.last_name, d.department_name
FROM employees e, departments d
WHERE e.department_id=d.department_id;
Chapter 9
Join Types
9-25

In the preceding query, the join condition is
e.department_id=d.department_id
. If a row
in the
employees
table has a department ID that matches the value in a row in the
departments
table, then the database returns the joined result; otherwise, the database
does not return a result.
9.3.1.2 Nonequijoins
A nonequijoin is an inner join whose join condition contains an operator that is not an
equality operator.
The following query lists all employees whose hire date occurred when employee 176
(who is listed in
job_history
because he changed jobs in 2007) was working at the
company:
SELECT e.employee_id, e.first_name, e.last_name, e.hire_date
FROM employees e, job_history h
WHERE h.employee_id = 176
AND e.hire_date BETWEEN h.start_date AND h.end_date;
In the preceding example, the condition joining
employees
and
job_history
does not
contain an equality operator, so it is a nonequijoin. Nonequijoins are relatively rare.
Note that a hash join requires at least a partial equijoin. The following SQL script
contains an equality join condition (
e1.empno = e2.empno
) and a nonequality condition:
SET AUTOTRACE TRACEONLY EXPLAIN
SELECT *
FROM scott.emp e1 JOIN scott.emp e2
ON ( e1.empno = e2.empno
AND e1.hiredate BETWEEN e2.hiredate-1 AND e2.hiredate+1 )
The optimizer chooses a hash join for the preceding query, as shown in the following
plan:
Execution Plan
----------------------------------------------------------
Plan hash value: 3638257876
---------------------------------------------------------------------------
| Id | Operation | Name | Rows | Bytes | Cost (%CPU)| Time |
---------------------------------------------------------------------------
| 0 | SELECT STATEMENT | | 1 | 174 | 5 (20)| 00:00:01 |
|* 1 | HASH JOIN | | 1 | 174 | 5 (20)| 00:00:01 |
| 2 | TABLE ACCESS FULL| EMP | 14 | 1218 | 2 (0)| 00:00:01 |
| 3 | TABLE ACCESS FULL| EMP | 14 | 1218 | 2 (0)| 00:00:01 |
---------------------------------------------------------------------------
Predicate Information (identified by operation id):
---------------------------------------------------
1 - access("E1"."EMPNO"="E2"."EMPNO")
filter("E1"."HIREDATE">=INTERNAL_FUNCTION("E2"."HIREDATE")-1 AND
"E1"."HIREDATE"<=INTERNAL_FUNCTION("E2"."HIREDATE")+1)
9.3.1.3 Band Joins
A band join is a special type of nonequijoin in which key values in one data set must
fall within the specified range (“band”) of the second data set. The same table can
serve as both the first and second data sets.
Chapter 9
Join Types
9-26

Starting in Oracle Database 12c Release 2 (12.2), the database evaluates band joins
more efficiently. The optimization avoids the unnecessary scanning of rows that fall
outside the defined bands.
The optimizer uses a cost estimate to choose the join method (hash, nested loops, or
sort merge) and the parallel data distribution method. In most cases, optimized
performance is comparable to an equijoin.
This following examples query employees whose salaries are between $100 less
and $100 more than the salary of each employee. Thus, the band has a width of $200.
The examples assume that it is permissible to compare the salary of every employee
with itself. The following query includes partial sample output:
SELECT e1.last_name ||
' has salary between 100 less and 100 more than ' ||
e2.last_name AS "SALARY COMPARISON"
FROM employees e1,
employees e2
WHERE e1.salary
BETWEEN e2.salary - 100
AND e2.salary + 100;
SALARY COMPARISON
-------------------------------------------------------------
King has salary between 100 less and 100 more than King
Kochhar has salary between 100 less and 100 more than Kochhar
Kochhar has salary between 100 less and 100 more than De Haan
De Haan has salary between 100 less and 100 more than Kochhar
De Haan has salary between 100 less and 100 more than De Haan
Russell has salary between 100 less and 100 more than Russell
Partners has salary between 100 less and 100 more than Partners
...
Example 9-7 Query Without Band Join Optimization
Without the band join optimization, the database uses the following query plan:
------------------------------------------
PLAN_TABLE_OUTPUT
------------------------------------------
------------------------------------------
| Id | Operation | Name |
------------------------------------------
| 0 | SELECT STATEMENT | |
| 1 | MERGE JOIN | |
| 2 | SORT JOIN | |
| 3 | TABLE ACCESS FULL | EMPLOYEES |
|* 4 | FILTER | |
|* 5 | SORT JOIN | |
| 6 | TABLE ACCESS FULL| EMPLOYEES |
------------------------------------------
Predicate Information (identified by operation id):
---------------------------------------------------
4 - filter("E1"."SAL"<="E2"."SAL"+100)
5 - access(INTERNAL_FUNCTION("E1"."SAL")>="E2"."SAL"-100)
filter(INTERNAL_FUNCTION("E1"."SAL")>="E2"."SAL"-100)
In this plan, Step 2 sorts the
e1
row source, and Step 5 sorts the
e2
row source. The
sorted row sources are illustrated in the following table.
Chapter 9
Join Types
9-27

Table 9-8 Sorted row Sources
e1 Sorted (Step 2 of Plan) e2 Sorted (Step 5 of Plan)
24000 (King) 24000 (King)
17000 (Kochhar) 17000 (Kochhar)
17000 (De Haan) 17000 (De Haan)
14000 (Russell) 14000 (Russell)
13500 (Partners) 13500 (Partners)
The join begins by iterating through the sorted input (
e1
), which is the left branch of the
join, corresponding to Step 2 of the plan. The original query contains two predicates:
•
e1.sal >= e2.sal–100
, which is the Step 5 filter
•
e1.sal >= e2.sal+100
, which is the Step 4 filter
For each iteration of the sorted row source
e1
, the database iterates through row
source
e2
, checking every row against Step 5 filter
e1.sal >= e2.sal–100
. If the row
passes the Step 5 filter, then the database sends it to the Step 4 filter, and then
proceeds to test the next row in
e2
against the Step 5 filter. However, if a row fails the
Step 5 filter, then the scan of
e2
stops, and the database proceeds through the next
iteration of
e1
.
The following table shows the first iteration of
e1
, which begins with
24000 (King)
in
data set
e1
. The database determines that the first row in
e2
, which is
24000 (King)
,
passes the Step 5 filter. The database then sends the row to the Step 4 filter,
e1.sal
<= w2.sal+100
, which also passes. The database sends this row to the
MERGE
row
source. Next, the database checks
17000 (Kochhar)
against the Step 5 filter, which also
passes. However, the row fails the Step 4 filter, and is discarded. The database
proceeds to test
17000 (De Haan)
against the Step 5 filter.
Table 9-9 First Iteration of e1: Separate SORT JOIN and FILTER
Scan e2 Step 5 Filter (e1.sal >= e2.sal–100) Step 4 Filter (e1.sal <= e2.sal+100)
24000 (King) Pass because 24000 >= 23900.
Send to Step 4 filter.
Pass because 24000 <= 24100.
Return row for merging.
17000
(Kochhar)
Pass because 24000 >= 16900.
Send to Step 4 filter.
Fail because 24000 <=17100 is false.
Discard row. Scan next row in e2.
17000 (De
Haan)
Pass because 24000 >= 16900.
Send to Step 4 filter.
Fail because 24000 <=17100 is false.
Discard row. Scan next row in e2.
14000 (Russell) Pass because 24000 >= 13900.
Send to Step 4 filter.
Fail because 24000 <=14100 is false.
Discard row. Scan next row in e2.
13500
(Partners)
Pass because 24000 >= 13400.
Send to Step 4 filter.
Fail because 24000 <=13600 is false.
Discard row. Scan next row in e2.
As shown in the preceding table, every
e2
row necessarily passes the Step 5 filter
because the
e2
salaries are sorted in descending order. Thus, the Step 5 filter always
sends the row to the Step 4 filter. Because the
e2
salaries are sorted in descending
order, the Step 4 filter necessarily fails every row starting with
17000 (Kochhar)
. The
inefficiency occurs because the database tests every subsequent row in
e2
against the
Chapter 9
Join Types
9-28

Step 5 filter, which necessarily passes, and then against the Step 4 filter, which
necessarily fails.
Example 9-8 Query With Band Join Optimization
Starting in Oracle Database 12c Release 2 (12.2), the database optimizes the band
join by using the following plan, which does not have a separate
FILTER
operation:
------------------------------------------
PLAN_TABLE_OUTPUT
------------------------------------------
| Id | Operation | Name |
------------------------------------------
| 0 | SELECT STATEMENT | |
| 1 | MERGE JOIN | |
| 2 | SORT JOIN | |
| 3 | TABLE ACCESS FULL | EMPLOYEES |
|* 4 | SORT JOIN | |
| 5 | TABLE ACCESS FULL | EMPLOYEES |
------------------------------------------
Predicate Information (identified by operation id):
---------------------------------------------------
4 - access(INTERNAL_FUNCTION("E1"."SALARY")>="E2"."SALARY"-100)
filter(("E1"."SALARY"<="E2"."SALARY"+100 AND
INTERNAL_FUNCTION("E1"."SALARY")>="E2"."SALARY"-100))
The difference is that Step 4 uses Boolean
AND
logic for the two predicates to create a
single filter. Instead of checking a row against one filter, and then sending it to a
different row source for checking against a second filter, the database performs one
check against one filter. If the check fails, then processing stops.
In this example, the query begins the first iteration of
e1
, which begins with
24000
(King)
. The following figure represents the range.
e2
values below 23900 and above
24100 fall outside the range.
Figure 9-7 Band Join
The following table shows that the database tests the first row of
e2
, which is
24000
(King)
, against the Step 4 filter. The row passes the test, so the database sends the
row to be merged. The next row in
e2
is
17000 (Kochhar)
. This row falls outside of the
range (band) and thus does not satisfy the filter predicate, so the database stops
testing
e2
rows in this iteration. The database stops testing because the descending
sort of
e2
ensures that all subsequent rows in
e2
fail the filter test. Thus, the database
can proceed to the second iteration of
e1
.
Chapter 9
Join Types
9-29

Table 9-10 First Iteration of e1: Single SORT JOIN
Scan e2 Filter 4 (e1.sal >= e2.sal – 100) AND (e1.sal <= e2.sal + 100)
24000 (King) Passes test because it is true that
(24000 >= 23900) AND (24000 <=
24100)
.
Send row to
MERGE
. Test next row.
17000 (Kochhar) Fails test because it is false that
(24000 >= 16900) AND (24000 <=
17100)
.
Stop scanning
e2
. Begin next iteration of
e1
.
17000 (De Haan) n/a
14000 (Russell) n/a
13500 (Partners) n/a
In this way, the band join optimization eliminates unnecessary processing. Instead of
scanning every row in
e2
as in the unoptimized case, the database scans only the
minimum two rows.
9.3.2 Outer Joins
An outer join returns all rows that satisfy the join condition and also rows from one
table for which no rows from the other table satisfy the condition. Thus, the result set
of an outer join is the superset of an inner join.
In ANSI syntax, the
OUTER JOIN
clause specifies an outer join. In the
FROM
clause, the
left table appears to the left of the
OUTER JOIN
keywords, and the right table appears to
the right of these keywords. The left table is also called the outer table, and the right
table is also called the inner table. For example, in the following statement the
employees
table is the left or outer table:
SELECT employee_id, last_name, first_name
FROM employees LEFT OUTER JOIN departments
ON (employees.department_id=departments.departments_id);
Outer joins require the outer-joined table to be the driving table. In the preceding
example,
employees
is the driving table, and
departments
is the driven-to table.
This section contains the following topics:
•Nested Loops Outer Joins
The database uses this operation to loop through an outer join between two
tables. The outer join returns the outer (preserved) table rows, even when no
corresponding rows are in the inner (optional) table.
•Hash Join Outer Joins
The optimizer uses hash joins for processing an outer join when either the data
volume is large enough to make a hash join efficient, or it is impossible to drive
from the outer table to the inner table.
•Sort Merge Outer Joins
When an outer join cannot drive from the outer (preserved) table to the inner
(optional) table, it cannot use a hash join or nested loops joins.
Chapter 9
Join Types
9-30

•Full Outer Joins
A full outer join is a combination of the left and right outer joins.
•Multiple Tables on the Left of an Outer Join
In Oracle Database 12c, multiple tables may exist on the left side of an outer-
joined table.
9.3.2.1 Nested Loops Outer Joins
The database uses this operation to loop through an outer join between two tables.
The outer join returns the outer (preserved) table rows, even when no corresponding
rows are in the inner (optional) table.
In a standard nested loop, the optimizer chooses the order of tables—which is the
driving table and which the driven table—based on the cost. However, in a nested loop
outer join, the join condition determines the order of tables. The database uses the
outer, row-preserved table to drive to the inner table.
The optimizer uses nested loops joins to process an outer join in the following
circumstances:
•It is possible to drive from the outer table to the inner table.
•Data volume is low enough to make the nested loop method efficient.
For an example of a nested loop outer join, you can add the
USE_NL
hint to Example 9-9
to instruct the optimizer to use a nested loop. For example:
SELECT /*+ USE_NL(c o) */ cust_last_name,
SUM(NVL2(o.customer_id,0,1)) "Count"
FROM customers c, orders o
WHERE c.credit_limit > 1000
AND c.customer_id = o.customer_id(+)
GROUP BY cust_last_name;
9.3.2.2 Hash Join Outer Joins
The optimizer uses hash joins for processing an outer join when either the data
volume is large enough to make a hash join efficient, or it is impossible to drive from
the outer table to the inner table.
The cost determines the order of tables. The outer table, including preserved rows,
may be used to build the hash table, or it may be used to probe the hash table.
Example 9-9 Hash Join Outer Joins
This example shows a typical hash join outer join query, and its execution plan. In this
example, all the customers with credit limits greater than 1000 are queried. An outer
join is needed so that the query captures customers who have no orders.
•The outer table is
customers
.
•The inner table is
orders
.
•The join preserves the
customers
rows, including those rows without a
corresponding row in
orders
.
You could use a
NOT EXISTS
subquery to return the rows. However, because you are
querying all the rows in the table, the hash join performs better (unless the
NOT EXISTS
subquery is not nested).
Chapter 9
Join Types
9-31

SELECT cust_last_name, SUM(NVL2(o.customer_id,0,1)) "Count"
FROM customers c, orders o
WHERE c.credit_limit > 1000
AND c.customer_id = o.customer_id(+)
GROUP BY cust_last_name;
--------------------------------------------------------------------------------
| Id | Operation | Name | Rows | Bytes | Cost (%CPU)| Time |
--------------------------------------------------------------------------------
PLAN_TABLE_OUTPUT
--------------------------------------------------------------------------------
| 0 | SELECT STATEMENT | | | | 7 (100)| |
| 1 | HASH GROUP BY | | 168 | 3192 | 7 (29)| 00:00:01 |
|* 2 | HASH JOIN OUTER | | 318 | 6042 | 6 (17)| 00:00:01 |
|* 3 | TABLE ACCESS FULL| CUSTOMERS | 260 | 3900 | 3 (0)| 00:00:01 |
|* 4 | TABLE ACCESS FULL| ORDERS | 105 | 420 | 2 (0)| 00:00:01 |
--------------------------------------------------------------------------------
Predicate Information (identified by operation id):
---------------------------------------------------
2 - access("C"."CUSTOMER_ID"="O"."CUSTOMER_ID")
PLAN_TABLE_OUTPUT
-------------------------------------------------------------------------------
3 - filter("C"."CREDIT_LIMIT">1000)
4 - filter("O"."CUSTOMER_ID">0)
The query looks for customers which satisfy various conditions. An outer join returns
NULL
for the inner table columns along with the outer (preserved) table rows when it
does not find any corresponding rows in the inner table. This operation finds all the
customers
rows that do not have any
orders
rows.
In this case, the outer join condition is the following:
customers.customer_id = orders.customer_id(+)
The components of this condition represent the following:
Example 9-10 Outer Join to a Multitable View
In this example, the outer join is to a multitable view. The optimizer cannot drive into
the view like in a normal join or push the predicates, so it builds the entire row set of
the view.
SELECT c.cust_last_name, sum(revenue)
FROM customers c, v_orders o
WHERE c.credit_limit > 2000
AND o.customer_id(+) = c.customer_id
GROUP BY c.cust_last_name;
----------------------------------------------------------------------------
| Id | Operation | Name | Rows | Bytes | Cost (%CPU)|
----------------------------------------------------------------------------
| 0 | SELECT STATEMENT | | 144 | 4608 | 16 (32)|
| 1 | HASH GROUP BY | | 144 | 4608 | 16 (32)|
|* 2 | HASH JOIN OUTER | | 663 | 21216 | 15 (27)|
|* 3 | TABLE ACCESS FULL | CUSTOMERS | 195 | 2925 | 6 (17)|
| 4 | VIEW | V_ORDERS | 665 | 11305 | |
| 5 | HASH GROUP BY | | 665 | 15960 | 9 (34)|
Chapter 9
Join Types
9-32

|* 6 | HASH JOIN | | 665 | 15960 | 8 (25)|
|* 7 | TABLE ACCESS FULL| ORDERS | 105 | 840 | 4 (25)|
| 8 | TABLE ACCESS FULL| ORDER_ITEMS | 665 | 10640 | 4 (25)|
----------------------------------------------------------------------------
Predicate Information (identified by operation id):
---------------------------------------------------
2 - access("O"."CUSTOMER_ID"(+)="C"."CUSTOMER_ID")
3 - filter("C"."CREDIT_LIMIT">2000)
6 - access("O"."ORDER_ID"="L"."ORDER_ID")
7 - filter("O"."CUSTOMER_ID">0)
The view definition is as follows:
CREATE OR REPLACE view v_orders AS
SELECT l.product_id, SUM(l.quantity*unit_price) revenue,
o.order_id, o.customer_id
FROM orders o, order_items l
WHERE o.order_id = l.order_id
GROUP BY l.product_id, o.order_id, o.customer_id;
9.3.2.3 Sort Merge Outer Joins
When an outer join cannot drive from the outer (preserved) table to the inner (optional)
table, it cannot use a hash join or nested loops joins.
In this case, it uses the sort merge outer join.
The optimizer uses sort merge for an outer join in the following cases:
•A nested loops join is inefficient. A nested loops join can be inefficient because of
data volumes.
•The optimizer finds it is cheaper to use a sort merge over a hash join because of
sorts required by other operations.
9.3.2.4 Full Outer Joins
A full outer join is a combination of the left and right outer joins.
In addition to the inner join, rows from both tables that have not been returned in the
result of the inner join are preserved and extended with nulls. In other words, full outer
joins join tables together, yet show rows with no corresponding rows in the joined
tables.
Example 9-11 Full Outer Join
The following query retrieves all departments and all employees in each department,
but also includes:
•Any employees without departments
•Any departments without employees
SELECT d.department_id, e.employee_id
FROM employees e FULL OUTER JOIN departments d
ON e.department_id = d.department_id
ORDER BY d.department_id;
The statement produces the following output:
Chapter 9
Join Types
9-33

DEPARTMENT_ID EMPLOYEE_ID
------------- -----------
10 200
20 201
20 202
30 114
30 115
30 116
...
270
280
178
207
125 rows selected.
Example 9-12 Execution Plan for a Full Outer Join
Starting with Oracle Database 11g, Oracle Database automatically uses a native
execution method based on a hash join for executing full outer joins whenever
possible. When the database uses the new method to execute a full outer join, the
execution plan for the query contains
HASH JOIN FULL OUTER
. The query in
Example 9-11 uses the following execution plan:
--------------------------------------------------------------------------------
| Id| Operation | Name |Rows |Bytes |Cost (%CPU)| Time |
--------------------------------------------------------------------------------
| 0 | SELECT STATEMENT | | 122 | 4758 | 6 (34)| 00:0 0:01 |
| 1 | SORT ORDER BY | | 122 | 4758 | 6 (34)| 00:0 0:01 |
| 2 | VIEW | VW_FOJ_0 | 122 | 4758 | 5 (20)| 00:0 0:01 |
|*3 | HASH JOIN FULL OUTER | | 122 | 1342 | 5 (20)| 00:0 0:01 |
| 4 | INDEX FAST FULL SCAN| DEPT_ID_PK | 27 | 108 | 2 (0)| 00:0 0:01 |
| 5 | TABLE ACCESS FULL | EMPLOYEES | 107 | 749 | 2 (0)| 00:0 0:01 |
--------------------------------------------------------------------------------
Predicate Information (identified by operation id):
---------------------------------------------------
3 - access("E"."DEPARTMENT_ID"="D"."DEPARTMENT_ID")
HASH JOIN FULL OUTER
is included in the preceding plan (Step 3), indicating that the
query uses the hash full outer join execution method. Typically, when the full outer join
condition between two tables is an equijoin, the hash full outer join execution method
is possible, and Oracle Database uses it automatically.
To instruct the optimizer to consider using the hash full outer join execution method,
apply the
NATIVE_FULL_OUTER_JOIN
hint. To instruct the optimizer not to consider using
the hash full outer join execution method, apply the
NO_NATIVE_FULL_OUTER_JOIN
hint.
The
NO_NATIVE_FULL_OUTER_JOIN
hint instructs the optimizer to exclude the native
execution method when joining each specified table. Instead, the full outer join is
executed as a union of left outer join and an antijoin.
9.3.2.5 Multiple Tables on the Left of an Outer Join
In Oracle Database 12c, multiple tables may exist on the left side of an outer-joined
table.
This enhancement enables Oracle Database to merge a view that contains multiple
tables and appears on the left of the outer join. In releases before Oracle Database
Chapter 9
Join Types
9-34

12c, a query such as the following was invalid, and would trigger an
ORA-01417
error
message:
SELECT t1.d, t3.c
FROM t1, t2, t3
WHERE t1.z = t2.z
AND t1.x = t3.x (+)
AND t2.y = t3.y (+);
Starting in Oracle Database 12c, the preceding query is valid.
9.3.3 Semijoins
A semijoin is a join between two data sets that returns a row from the first set when a
matching row exists in the subquery data set.
The database stops processing the second data set at the first match. Thus,
optimization does not duplicate rows from the first data set when multiple rows in the
second data set satisfy the subquery criteria.
Note:
Semijoins and antijoins are considered join types even though the SQL
constructs that cause them are subqueries. They are internal algorithms that
the optimizer uses to flatten subquery constructs so that they can be
resolved in a join-like way.
This section contains the following topics:
•When the Optimizer Considers Semijoins
A semijoin avoids returning a huge number of rows when a query only needs to
determine whether a match exists.
•How Semijoins Work
The semijoin optimization is implemented differently depending on what type of
join is used.
9.3.3.1 When the Optimizer Considers Semijoins
A semijoin avoids returning a huge number of rows when a query only needs to
determine whether a match exists.
With large data sets, this optimization can result in significant time savings over a
nested loops join that must loop through every record returned by the inner query for
every row in the outer query. The optimizer can apply the semijoin optimization to
nested loops joins, hash joins, and sort merge joins.
The optimizer may choose a semijoin in the following circumstances:
•The statement uses either an
IN
or
EXISTS
clause.
•The statement contains a subquery in the
IN
or
EXISTS
clause.
•The
IN
or
EXISTS
clause is not contained inside an
OR
branch.
Chapter 9
Join Types
9-35

9.3.3.2 How Semijoins Work
The semijoin optimization is implemented differently depending on what type of join is
used.
The following pseudocode shows a semijoin for a nested loops join:
FOR ds1_row IN ds1 LOOP
match := false;
FOR ds2_row IN ds2_subquery LOOP
IF (ds1_row matches ds2_row) THEN
match := true;
EXIT -- stop processing second data set when a match is found
END IF
END LOOP
IF (match = true) THEN
RETURN ds1_row
END IF
END LOOP
In the preceding pseudocode,
ds1
is the first data set, and
ds2_subquery
is the subquery
data set. The code obtains the first row from the first data set, and then loops through
the subquery data set looking for a match. The code exits the inner loop as soon as it
finds a match, and then begins processing the next row in the first data set.
Example 9-13 Semijoin Using WHERE EXISTS
The following query uses a
WHERE EXISTS
clause to list only the departments that
contain employees:
SELECT department_id, department_name
FROM departments
WHERE EXISTS (SELECT 1
FROM employees
WHERE employees.department_id = departments.department_id)
The execution plan reveals a
NESTED LOOPS SEMI
operation in Step 1:
--------------------------------------------------------------------------------
| Id| Operation | Name |Rows|Bytes|Cost (%CPU)| Time |
--------------------------------------------------------------------------------
| 0 | SELECT STATEMENT | | | | 2 (100)| |
| 1 | NESTED LOOPS SEMI | | 11 | 209 | 2 (0)| 00:00:01 |
| 2 | TABLE ACCESS FULL| DEPARTMENTS | 27 | 432 | 2 (0)| 00:00:01 |
|*3 | INDEX RANGE SCAN | EMP_DEPARTMENT_IX | 44 | 132 | 0 (0)| |
--------------------------------------------------------------------------------
For each row in
departments
, which forms the outer loop, the database obtains the
department ID, and then probes the
employees.department_id
index for matching
entries. Conceptually, the index looks as follows:
10,rowid
10,rowid
10,rowid
10,rowid
30,rowid
30,rowid
30,rowid
...
Chapter 9
Join Types
9-36

If the first entry in the
departments
table is department
30
, then the database performs a
range scan of the index until it finds the first
30
entry, at which point it stops reading the
index and returns the matching row from
departments
. If the next row in the outer loop
is department
20
, then the database scans the index for a
20
entry, and not finding any
matches, performs the next iteration of the outer loop. The database proceeds in this
way until all matching rows are returned.
Example 9-14 Semijoin Using IN
The following query uses a
IN
clause to list only the departments that contain
employees:
SELECT department_id, department_name
FROM departments
WHERE department_id IN
(SELECT department_id
FROM employees);
The execution plan reveals a
NESTED LOOPS SEMI
operation in Step 1:
--------------------------------------------------------------------------------
| Id| Operation | Name |Rows|Bytes|Cost (%CPU)| Time |
--------------------------------------------------------------------------------
| 0 | SELECT STATEMENT | | | | 2 (100)| |
| 1 | NESTED LOOPS SEMI | | 11 | 209 | 2 (0)| 00:00:01 |
| 2 | TABLE ACCESS FULL| DEPARTMENTS | 27 | 432 | 2 (0)| 00:00:01 |
|*3 | INDEX RANGE SCAN | EMP_DEPARTMENT_IX | 44 | 132 | 0 (0)| |
--------------------------------------------------------------------------------
The plan is identical to the plan in Example 9-13.
9.3.4 Antijoins
An antijoin is a join between two data sets that returns a row from the first set when a
matching row does not exist in the subquery data set.
Like a semijoin, an antijoin stops processing the subquery data set when the first
match is found. Unlike a semijoin, the antijoin only returns a row when no match is
found.
This section contains the following topics:
•When the Optimizer Considers Antijoins
An antijoin avoids unnecessary processing when a query only needs to return a
row when a match does not exist.
•How Antijoins Work
The antijoin optimization is implemented differently depending on what type of join
is used.
•How Antijoins Handle Nulls
For semijoins,
IN
and
EXISTS
are functionally equivalent. However,
NOT IN
and
NOT
EXISTS
are not functionally equivalent because of nulls.
9.3.4.1 When the Optimizer Considers Antijoins
An antijoin avoids unnecessary processing when a query only needs to return a row
when a match does not exist.
Chapter 9
Join Types
9-37

With large data sets, this optimization can result in significant time savings over a
nested loops join. The latter join must loop through every record returned by the inner
query for every row in the outer query. The optimizer can apply the antijoin
optimization to nested loops joins, hash joins, and sort merge joins.
The optimizer may choose an antijoin in the following circumstances:
•The statement uses either the
NOT IN
or
NOT EXISTS
clause.
•The statement has a subquery in the
NOT IN
or
NOT EXISTS
clause.
•The
NOT IN
or
NOT EXISTS
clause is not contained inside an
OR
branch.
•The statement performs an outer join and applies an
IS NULL
condition to a join
column, as in the following example:
SET AUTOTRACE TRACEONLY EXPLAIN
SELECT emp.*
FROM emp, dept
WHERE emp.deptno = dept.deptno(+)
AND dept.deptno IS NULL
Execution Plan
----------------------------------------------------------
Plan hash value: 1543991079
---------------------------------------------------------------------------
| Id | Operation | Name | Rows | Bytes | Cost (%CPU)| Time |
---------------------------------------------------------------------------
| 0 | SELECT STATEMENT | | 14 | 1400 | 5 (20)| 00:00:01 |
|* 1 | HASH JOIN ANTI | | 14 | 1400 | 5 (20)| 00:00:01 |
| 2 | TABLE ACCESS FULL| EMP | 14 | 1218 | 2 (0)| 00:00:01 |
| 3 | TABLE ACCESS FULL| DEPT | 4 | 52 | 2 (0)| 00:00:01 |
---------------------------------------------------------------------------
Predicate Information (identified by operation id):
---------------------------------------------------
1 - access("EMP"."DEPTNO"="DEPT"."DEPTNO")
Note
-----
- dynamic statistics used: dynamic sampling (level=2)
9.3.4.2 How Antijoins Work
The antijoin optimization is implemented differently depending on what type of join is
used.
The following pseudocode shows an antijoin for a nested loops join:
FOR ds1_row IN ds1 LOOP
match := true;
FOR ds2_row IN ds2 LOOP
IF (ds1_row matches ds2_row) THEN
match := false;
EXIT -- stop processing second data set when a match is found
END IF
END LOOP
IF (match = true) THEN
RETURN ds1_row
Chapter 9
Join Types
9-38

END IF
END LOOP
In the preceding pseudocode,
ds1
is the first data set, and
ds2
is the second data set.
The code obtains the first row from the first data set, and then loops through the
second data set looking for a match. The code exits the inner loop as soon as it finds a
match, and begins processing the next row in the first data set.
Example 9-15 Semijoin Using WHERE EXISTS
The following query uses a
WHERE EXISTS
clause to list only the departments that
contain employees:
SELECT department_id, department_name
FROM departments
WHERE EXISTS (SELECT 1
FROM employees
WHERE employees.department_id = departments.department_id)
The execution plan reveals a
NESTED LOOPS SEMI
operation in Step 1:
--------------------------------------------------------------------------------
| Id| Operation | Name |Rows|Bytes |Cost(%CPU)| Time |
--------------------------------------------------------------------------------
| 0 | SELECT STATEMENT | | | | 2 (100)| |
| 1 | NESTED LOOPS SEMI | | 11 | 209 | 2 (0)| 00:00:01 |
| 2 | TABLE ACCESS FULL| DEPARTMENTS | 27 | 432 | 2 (0)| 00:00:01 |
|*3 | INDEX RANGE SCAN | EMP_DEPARTMENT_IX | 44 | 132 | 0 (0)| |
--------------------------------------------------------------------------------
For each row in
departments
, which forms the outer loop, the database obtains the
department ID, and then probes the
employees.department_id
index for matching
entries. Conceptually, the index looks as follows:
10,rowid
10,rowid
10,rowid
10,rowid
30,rowid
30,rowid
30,rowid
...
If the first record in the
departments
table is department
30
, then the database performs
a range scan of the index until it finds the first
30
entry, at which point it stops reading
the index and returns the matching row from
departments
. If the next row in the outer
loop is department
20
, then the database scans the index for a
20
entry, and not finding
any matches, performs the next iteration of the outer loop. The database proceeds in
this way until all matching rows are returned.
9.3.4.3 How Antijoins Handle Nulls
For semijoins,
IN
and
EXISTS
are functionally equivalent. However,
NOT IN
and
NOT
EXISTS
are not functionally equivalent because of nulls.
If a null value is returned to a
NOT IN
operator, then the statement returns no records.
To see why, consider the following
WHERE
clause:
WHERE department_id NOT IN (null, 10, 20)
Chapter 9
Join Types
9-39

The database tests the preceding expression as follows:
WHERE (department_id != null)
AND (department_id != 10)
AND (department_id != 20)
For the entire expression to be
true
, each individual condition must be
true
. However,
a null value cannot be compared to another value, so the
department_id !=null
condition cannot be
true
, and thus the whole expression is always
false
. The following
techniques enable a statement to return records even when nulls are returned to the
NOT IN
operator:
•Apply an
NVL
function to the columns returned by the subquery.
•Add an
IS NOT NULL
predicate to the subquery.
•Implement
NOT NULL
constraints.
In contrast to
NOT IN
, the
NOT EXISTS
clause only considers predicates that return the
existence of a match, and ignores any row that does not match or could not be
determined because of nulls. If at least one row in the subquery matches the row from
the outer query, then
NOT EXISTS
returns
false
. If no tuples match, then
NOT EXISTS
returns
true
. The presence of nulls in the subquery does not affect the search for
matching records.
In releases earlier than Oracle Database 11g, the optimizer could not use an antijoin
optimization when nulls could be returned by a subquery. However, starting in Oracle
Database 11g, the
ANTI NA
(and
ANTI SNA
) optimizations described in the following
sections enable the optimizer to use an antijoin even when nulls are possible.
Example 9-16 Antijoin Using NOT IN
Suppose that a user issues the following query with a
NOT IN
clause to list the
departments that contain no employees:
SELECT department_id, department_name
FROM departments
WHERE department_id NOT IN
(SELECT department_id
FROM employees);
The preceding query returns no rows even though several departments contain no
employees. This result, which was not intended by the user, occurs because the
employees.department_id
column is nullable.
The execution plan reveals a
NESTED LOOPS ANTI SNA
operation in Step 2:
--------------------------------------------------------------------------------
| Id| Operation | Name |Rows|Bytes|Cost (%CPU)| Time |
--------------------------------------------------------------------------------
| 0 | SELECT STATEMENT | | | | 4(100)| |
|*1 | FILTER | | | | | |
| 2 | NESTED LOOPS ANTI SNA| | 17 | 323 | 4 (50)| 00:00:01 |
| 3 | TABLE ACCESS FULL | DEPARTMENTS | 27 | 432 | 2 (0)| 00:00:01 |
|*4 | INDEX RANGE SCAN | EMP_DEPARTMENT_IX | 41 | 123 | 0 (0)| |
|*5 | TABLE ACCESS FULL | EMPLOYEES | 1 | 3 | 2 (0)| 00:00:01 |
--------------------------------------------------------------------------------
PLAN_TABLE_OUTPUT
--------------------------------------------------------------------------------
Predicate Information (identified by operation id):
Chapter 9
Join Types
9-40

---------------------------------------------------
1 - filter( IS NULL)
4 - access("DEPARTMENT_ID"="DEPARTMENT_ID")
5 - filter("DEPARTMENT_ID" IS NULL)
The
ANTI SNA
stands for "single null-aware antijoin."
ANTI NA
stands for "null-aware
antijoin." The null-aware operation enables the optimizer to use the semijoin
optimization even on a nullable column. In releases earlier than Oracle Database 11g,
the database could not perform antijoins on
NOT IN
queries when nulls were possible.
Suppose that the user rewrites the query by applying an
IS NOT NULL
condition to the
subquery:
SELECT department_id, department_name
FROM departments
WHERE department_id NOT IN
(SELECT department_id
FROM employees
WHERE department_id IS NOT NULL);
The preceding query returns 16 rows, which is the expected result. Step 1 in the plan
shows a standard
NESTED LOOPS ANTI
join instead of an
ANTI NA
or
ANTI SNA
join
because the subquery cannot returns nulls:
--------------------------------------------------------------------------------
|Id| Operation | Name | Rows| Bytes | Cost (%CPU)| Time |
--------------------------------------------------------------------------------
| 0| SELECT STATEMENT | | | | 2 (100)| |
| 1| NESTED LOOPS ANTI | | 17 | 323 | 2 (0)| 00:00:01 |
| 2| TABLE ACCESS FULL| DEPARTMENTS | 27 | 432 | 2 (0)| 00:00:01 |
|*3| INDEX RANGE SCAN | EMP_DEPARTMENT_IX | 41 | 123 | 0 (0)| |
--------------------------------------------------------------------------------
PLAN_TABLE_OUTPUT
--------------------------------------------------------------------------------
Predicate Information (identified by operation id):
---------------------------------------------------
3 - access("DEPARTMENT_ID"="DEPARTMENT_ID")
filter("DEPARTMENT_ID" IS NOT NULL)
Example 9-17 Antijoin Using NOT EXISTS
Suppose that a user issues the following query with a
NOT EXISTS
clause to list the
departments that contain no employees:
SELECT department_id, department_name
FROM departments d
WHERE NOT EXISTS
(SELECT null
FROM employees e
WHERE e.department_id = d.department_id)
The preceding query avoids the null problem for
NOT IN
clauses. Thus, even though
employees.department_id
column is nullable, the statement returns the desired result.
Step 1 of the execution plan reveals a
NESTED LOOPS ANTI
operation, not the
ANTI NA
variant, which was necessary for
NOT IN
when nulls were possible:
--------------------------------------------------------------------------------
| Id| Operation | Name | Rows | Bytes | Cost (%CPU)|Time|
Chapter 9
Join Types
9-41

--------------------------------------------------------------------------------
| 0 | SELECT STATEMENT | | | | 2 (100)| |
| 1 | NESTED LOOPS ANTI | | 17 | 323 | 2 (0)|00:00:01|
| 2 | TABLE ACCESS FULL| DEPARTMENTS | 27 | 432 | 2 (0)|00:00:01|
|*3 | INDEX RANGE SCAN | EMP_DEPARTMENT_IX | 41 | 123 | 0 (0)| |
--------------------------------------------------------------------------------
PLAN_TABLE_OUTPUT
--------------------------------------------------------------------------------
Predicate Information (identified by operation id):
---------------------------------------------------
3 - access("E"."DEPARTMENT_ID"="D"."DEPARTMENT_ID")
9.3.5 Cartesian Joins
The database uses a Cartesian join when one or more of the tables does not have
any join conditions to any other tables in the statement.
The optimizer joins every row from one data source with every row from the other data
source, creating the Cartesian product of the two sets. Therefore, the total number of
rows resulting from the join is calculated using the following formula, where
rs1
is the
number of rows in first row set and
rs2
is the number of rows in the second row set:
rs1 X rs2 = total rows in result set
This section contains the following topics:
•When the Optimizer Considers Cartesian Joins
The optimizer uses a Cartesian join for two row sources only in specific
circumstances.
•How Cartesian Joins Work
A Cartesian join uses nested
FOR
loops.
•Cartesian Join Controls
The
ORDERED
hint instructs the optimizer to join tables in the order in which they
appear in the
FROM
clause. By forcing a join between two row sources that have no
direct connection, the optimizer must perform a Cartesian join.
9.3.5.1 When the Optimizer Considers Cartesian Joins
The optimizer uses a Cartesian join for two row sources only in specific circumstances.
Typically, the situation is one of the following:
•No join condition exists.
In some cases, the optimizer could pick up a common filter condition between the
two tables as a possible join condition.
Note:
If a Cartesian join appears in a query plan, it could be caused by an
inadvertently omitted join condition. In general, if a query joins n tables,
then n-1 join conditions are required to avoid a Cartesian join.
Chapter 9
Join Types
9-42

•A Cartesian join is an efficient method.
For example, the optimizer may decide to generate a Cartesian product of two
very small tables that are both joined to the same large table.
•The
ORDERED
hint specifies a table before its join table is specified.
9.3.5.2 How Cartesian Joins Work
A Cartesian join uses nested
FOR
loops.
At a high level, the algorithm for a Cartesian join looks as follows, where
ds1
is typically
the smaller data set, and
ds2
is the larger data set:
FOR ds1_row IN ds1 LOOP
FOR ds2_row IN ds2 LOOP
output ds1_row and ds2_row
END LOOP
END LOOP
Example 9-18 Cartesian Join
In this example, a user intends to perform an inner join of the
employees
and
departments
tables, but accidentally leaves off the join condition:
SELECT e.last_name, d.department_name
FROM employees e, departments d
The execution plan is as follows:
--------------------------------------------------------------------------------
| Id| Operation | Name | Rows | Bytes |Cost (%CPU)| Time |
--------------------------------------------------------------------------------
| 0 | SELECT STATEMENT | | | |11 (100)| |
| 1 | MERGE JOIN CARTESIAN | | 2889 | 57780 |11 (0)| 00:00:01 |
| 2 | TABLE ACCESS FULL | DEPARTMENTS | 27 | 324 | 2 (0)| 00:00:01 |
| 3 | BUFFER SORT | | 107 | 856 | 9 (0)| 00:00:01 |
| 4 | INDEX FAST FULL SCAN| EMP_NAME_IX | 107 | 856 | 0 (0)| |
--------------------------------------------------------------------------------
In Step 1 of the preceding plan, the
CARTESIAN
keyword indicates the presence of a
Cartesian join. The number of rows (2889) is the product of 27 and 107.
In Step 3, the
BUFFER SORT
operation indicates that the database is copying the data
blocks obtained by the scan of
emp_name_ix
from the SGA to the PGA. This strategy
avoids multiple scans of the same blocks in the database buffer cache, which would
generate many logical reads and permit resource contention.
9.3.5.3 Cartesian Join Controls
The
ORDERED
hint instructs the optimizer to join tables in the order in which they appear
in the
FROM
clause. By forcing a join between two row sources that have no direct
connection, the optimizer must perform a Cartesian join.
Example 9-19 ORDERED Hint
In the following example, the
ORDERED
hint instructs the optimizer to join
employees
and
locations
, but no join condition connects these two row sources:
Chapter 9
Join Types
9-43

SELECT /*+ORDERED*/ e.last_name, d.department_name, l.country_id, l.state_province
FROM employees e, locations l, departments d
WHERE e.department_id = d.department_id
AND d.location_id = l.location_id
The following execution plan shows a Cartesian product (Step 3) between
locations
(Step 6) and
employees
(Step 4), which is then joined to the
departments
table (Step 2):
--------------------------------------------------------------------------------
| Id| Operation | Name | Rows | Bytes |Cost (%CPU)|Time |
--------------------------------------------------------------------------------
| 0 | SELECT STATEMENT | | | | 37 (100)| |
|*1 | HASH JOIN | | 106 | 4664 | 37 (6)| 00:00:01 |
| 2 | TABLE ACCESS FULL | DEPARTMENTS | 27 | 513 | 2 (0)| 00:00:01 |
| 3 | MERGE JOIN CARTESIAN| | 2461 | 61525 | 34 (3)| 00:00:01 |
| 4 | TABLE ACCESS FULL | EMPLOYEES | 107 | 1177 | 2 (0)| 00:00:01 |
| 5 | BUFFER SORT | | 23 | 322 | 32 (4)| 00:00:01 |
| 6 | TABLE ACCESS FULL | LOCATIONS | 23 | 322 | 0 (0)| |
--------------------------------------------------------------------------------
9.4 Join Optimizations
Join optimizations enable joins to be more efficient.
This section describes common join optimizations:
•Bloom Filters
A Bloom filter, named after its creator Burton Bloom, is a low-memory data
structure that tests membership in a set.
•Partition-Wise Joins
A partition-wise join is an optimization that divides a large join of two tables, one
of which must be partitioned on the join key, into several smaller joins.
•In-Memory Join Groups
A join group is a user-created object that lists two or more columns that can be
meaningfully joined.
9.4.1 Bloom Filters
A Bloom filter, named after its creator Burton Bloom, is a low-memory data structure
that tests membership in a set.
A Bloom filter correctly indicates when an element is not in a set, but can incorrectly
indicate when an element is in a set. Thus, false negatives are impossible but false
positives are possible.
This section contains the following topics:
•Purpose of Bloom Filters
A Bloom filter tests one set of values to determine whether they are members
another set.
•How Bloom Filters Work
A Bloom filter uses an array of bits to indicate inclusion in a set.
•Bloom Filter Controls
The optimizer automatically determines whether to use Bloom filters.
Chapter 9
Join Optimizations
9-44

•Bloom Filter Metadata
V$
views contain metadata about Bloom filters.
•Bloom Filters: Scenario
In this example, a parallel query joins the
sales
fact table to the
products
and
times
dimension tables, and filters on fiscal week
18
.
9.4.1.1 Purpose of Bloom Filters
A Bloom filter tests one set of values to determine whether they are members another
set.
For example, one set is (10,20,30,40) and the second set is (10,30,60,70). A Bloom
filter can determine that 60 and 70 are guaranteed to be excluded from the first set,
and that 10 and 30 are probably members. Bloom filters are especially useful when the
amount of memory needed to store the filter is small relative to the amount of data in
the data set, and when most data is expected to fail the membership test.
Oracle Database uses Bloom filters to various specific goals, including the following:
•Reduce the amount of data transferred to slave processes in a parallel query,
especially when the database discards most rows because they do not fulfill a join
condition
•Eliminate unneeded partitions when building a partition access list in a join, known
as partition pruning
•Test whether data exists in the server result cache, thereby avoiding a disk read
•Filter members in Exadata cells, especially when joining a large fact table and
small dimension tables in a star schema
Bloom filters can occur in both parallel and serial processing.
9.4.1.2 How Bloom Filters Work
A Bloom filter uses an array of bits to indicate inclusion in a set.
For example, 8 elements (an arbitrary number used for this example) in an array are
initially set to
0
:
e1 e2 e3 e4 e5 e6 e7 e8
0 0 0 0 0 0 0 0
This array represents a set. To represent an input value i in this array, three separate
hash functions (three is arbitrary) are applied to i, each generating a hash value
between
1
and
8
:
f1(i) = h1
f2(i) = h2
f3(i) = h3
For example, to store the value
17
in this array, the hash functions set i to
17
, and then
return the following hash values:
f1(17) = 5
f2(17) = 3
f3(17) = 5
Chapter 9
Join Optimizations
9-45

In the preceding example, two of the hash functions happened to return the same
value of
5
, known as a hash collision. Because the distinct hash values are
5
and
3
, the
5th and 3rd elements in the array are set to
1
:
e1 e2 e3 e4 e5 e6 e7 e8
0 0 1 0 1 0 0 0
Testing the membership of
17
in the set reverses the process. To test whether the set
excludes the value
17
, element
3
or element
5
must contain a
0
. If a
0
is present in
either element, then the set cannot contain
17
. No false negatives are possible.
To test whether the set includes
17
, both element
3
and element
5
must contain
1
values. However, if the test indicates a
1
for both elements, then it is still possible for
the set not to include
17
. False positives are possible. For example, the following array
might represent the value
22
, which also has a
1
for both element
3
and element
5
:
e1 e2 e3 e4 e5 e6 e7 e8
1 0 1 0 1 0 0 0
9.4.1.3 Bloom Filter Controls
The optimizer automatically determines whether to use Bloom filters.
To override optimizer decisions, use the hints
PX_JOIN_FILTER
and
NO_PX_JOIN_FILTER
.
9.4.1.4 Bloom Filter Metadata
V$
views contain metadata about Bloom filters.
You can query the following views:
•
V$SQL_JOIN_FILTER
This view shows the number of rows filtered out (
FILTERED
column) and tested
(
PROBED
column) by an active Bloom filter.
•
V$PQ_TQSTAT
This view displays the number of rows processed through each parallel execution
server at each stage of the execution tree. You can use it to monitor how much
Bloom filters have reduced data transfer among parallel processes.
In an execution plan, a Bloom filter is indicated by keywords
JOIN FILTER
in the
Operation
column, and the prefix
:BF
in the
Name
column, as in the 9th step of the
following plan snippet:
----------------------------------------------------------------------------
| Id | Operation | Name | TQ |IN-OUT| PQ Distrib |
----------------------------------------------------------------------------
...
| 9 | JOIN FILTER CREATE | :BF0000 | Q1,03 | PCWP | |
In the
Predicate Information
section of the plan, filters that contain functions beginning
with the string
SYS_OP_BLOOM_FILTER
indicate use of a Bloom filter.
9.4.1.5 Bloom Filters: Scenario
In this example, a parallel query joins the
sales
fact table to the
products
and
times
dimension tables, and filters on fiscal week
18
.
Chapter 9
Join Optimizations
9-46

SELECT /*+ parallel(s) */ p.prod_name, s.quantity_sold
FROM sh.sales s, sh.products p, sh.times t
WHERE s.prod_id = p.prod_id
AND s.time_id = t.time_id
AND t.fiscal_week_number = 18;
Querying
DBMS_XPLAN.DISPLAY_CURSOR
provides the following output:
SELECT * FROM
TABLE(DBMS_XPLAN.DISPLAY_CURSOR(format => 'BASIC,+PARALLEL,+PREDICATE'));
EXPLAINED SQL STATEMENT:
------------------------
SELECT /*+ parallel(s) */ p.prod_name, s.quantity_sold FROM sh.sales s,
sh.products p, sh.times t WHERE s.prod_id = p.prod_id AND s.time_id =
t.time_id AND t.fiscal_week_number = 18
Plan hash value: 1183628457
----------------------------------------------------------------------------
| Id | Operation | Name | TQ |IN-OUT| PQ Distrib |
----------------------------------------------------------------------------
| 0 | SELECT STATEMENT | | | | |
| 1 | PX COORDINATOR | | | | |
| 2 | PX SEND QC (RANDOM) | :TQ10003 | Q1,03 | P->S | QC (RAND) |
|* 3 | HASH JOIN BUFFERED | | Q1,03 | PCWP | |
| 4 | PX RECEIVE | | Q1,03 | PCWP | |
| 5 | PX SEND BROADCAST | :TQ10001 | Q1,01 | S->P | BROADCAST |
| 6 | PX SELECTOR | | Q1,01 | SCWC | |
| 7 | TABLE ACCESS FULL | PRODUCTS | Q1,01 | SCWP | |
|* 8 | HASH JOIN | | Q1,03 | PCWP | |
| 9 | JOIN FILTER CREATE | :BF0000 | Q1,03 | PCWP | |
| 10 | BUFFER SORT | | Q1,03 | PCWC | |
| 11 | PX RECEIVE | | Q1,03 | PCWP | |
| 12 | PX SEND HYBRID HASH| :TQ10000 | | S->P | HYBRID HASH|
|* 13 | TABLE ACCESS FULL | TIMES | | | |
| 14 | PX RECEIVE | | Q1,03 | PCWP | |
| 15 | PX SEND HYBRID HASH | :TQ10002 | Q1,02 | P->P | HYBRID HASH|
| 16 | JOIN FILTER USE | :BF0000 | Q1,02 | PCWP | |
| 17 | PX BLOCK ITERATOR | | Q1,02 | PCWC | |
|* 18 | TABLE ACCESS FULL | SALES | Q1,02 | PCWP | |
----------------------------------------------------------------------------
Predicate Information (identified by operation id):
---------------------------------------------------
3 - access("S"."PROD_ID"="P"."PROD_ID")
8 - access("S"."TIME_ID"="T"."TIME_ID")
13 - filter("T"."FISCAL_WEEK_NUMBER"=18)
18 - access(:Z>=:Z AND :Z<=:Z)
filter(SYS_OP_BLOOM_FILTER(:BF0000,"S"."TIME_ID"))
A single server process scans the
times
table (Step 13), and then uses a hybrid hash
distribution method to send the rows to the parallel execution servers (Step 12). The
processes in set
Q1,03
create a bloom filter (Step 9). The processes in set
Q1,02
scan
sales
in parallel (Step 18), and then use the Bloom filter to discard rows from
sales
(Step 16) before sending them on to set
Q1,03
using hybrid hash distribution (Step 15).
The processes in set
Q1,03
hash join the
times
rows to the filtered
sales
rows (Step 8).
The processes in set
Q1,01
scan
products
(Step 7), and then send the rows to
Q1,03
Chapter 9
Join Optimizations
9-47

(Step 5). Finally, the processes in
Q1,03
join the
products
rows to the rows generated
by the previous hash join (Step 3).
The following figure illustrates the basic process.
Figure 9-8 Bloom Filter
Bloom filter
:BF0000
Q1, 03
Q1, 02Q1, 01
Create
9.4.2 Partition-Wise Joins
A partition-wise join is an optimization that divides a large join of two tables, one of
which must be partitioned on the join key, into several smaller joins.
Partition-wise joins are either of the following:
•Full partition-wise join
Both tables must be equipartitioned on their join keys, or use reference partitioning
(that is, be related by referential constraints). The database divides a large join
into smaller joins between two partitions from the two joined tables.
•Partial partition-wise joins
Only one table is partitioned on the join key. The other table may or may not be
partitioned.
This section contains the following topics:
•Purpose of Partition-Wise Joins
Partition-wise joins reduce query response time by minimizing the amount of data
exchanged among parallel execution servers when joins execute in parallel.
•How Partition-Wise Joins Work
When the database serially joins two partitioned tables without using a partition-
wise join, a single server process performs the join.
See Also:
Oracle Database VLDB and Partitioning Guide explains partition-wise joins in
detail
Chapter 9
Join Optimizations
9-48

9.4.2.1 Purpose of Partition-Wise Joins
Partition-wise joins reduce query response time by minimizing the amount of data
exchanged among parallel execution servers when joins execute in parallel.
This technique significantly reduces response time and improves the use of CPU and
memory. In Oracle Real Application Clusters (Oracle RAC) environments, partition-
wise joins also avoid or at least limit the data traffic over the interconnect, which is the
key to achieving good scalability for massive join operations.
9.4.2.2 How Partition-Wise Joins Work
When the database serially joins two partitioned tables without using a partition-wise
join, a single server process performs the join.
In the following illustration, the join is not partition-wise because the server process
joins every partition of table
t1
to every partition of table
t2
.
Figure 9-9 Join That Is Not Partition-Wise
Server
Process
t1 t2
This section contains the following topics:
•How a Full Partition-Wise Join Works
The database performs a full partition-wise join either serially or in parallel.
•How a Partial Partition-Wise Join Works
Partial partition-wise joins, unlike their full partition-wise counterpart, must execute
in parallel.
Chapter 9
Join Optimizations
9-49

9.4.2.2.1 How a Full Partition-Wise Join Works
The database performs a full partition-wise join either serially or in parallel.
The following graphic shows a full partition-wise join performed in parallel. In this case,
the granule of parallelism is a partition. Each parallel execution server joins the
partitions in pairs. For example, the first parallel execution server joins the first partition
of
t1
to the first partition of
t2
. The parallel execution coordinator then assembles the
result.
Figure 9-10 Full Partition-Wise Join in Parallel
PE Server
PE Server
PE Server
PE Server
PE Coordinator
t1 t2
A full partition-wise join can also join partitions to subpartitions, which is useful when
the tables use different partitioning methods. For example,
customers
is partitioned by
hash, but
sales
is partitioned by range. If you subpartition
sales
by hash, then the
database can perform a full partition-wise join between the hash partitions of the
customers
and the hash subpartitions of
sales
.
In the execution plan, the presence of a partition operation before the join signals the
presence of a full partition-wise join, as in the following snippet:
| 8 | PX PARTITION HASH ALL|
|* 9 | HASH JOIN |
9.4.2.2.2 How a Partial Partition-Wise Join Works
Partial partition-wise joins, unlike their full partition-wise counterpart, must execute in
parallel.
Chapter 9
Join Optimizations
9-50

The following graphic shows a partial partition-wise join between
t1
, which is
partitioned, and
t2
, which is not partitioned.
Figure 9-11 Partial Partition-Wise Join
PE Coordinator
PE Server
PE Server
PE Server
PE Server
PE Server
PE Server
PE Server
PE Server
Dynamically created
partitions
t1 t2
t1 t2
Because
t2
is not partitioned, a set of parallel execution servers must generate
partitions from
t2
as needed. A different set of parallel execution servers then joins the
t1
partitions to the dynamically generated partitions. The parallel execution coordinator
assembles the result.
In the execution plan, the operation
PX SEND PARTITION (KEY)
signals a partial partition-
wise join, as in the following snippet:
| 11 | PX SEND PARTITION (KEY) |
9.4.3 In-Memory Join Groups
A join group is a user-created object that lists two or more columns that can be
meaningfully joined.
In certain queries, join groups eliminate the performance overhead of decompressing
and hashing column values. Join groups require an In-Memory Column Store (IM
column store).
Chapter 9
Join Optimizations
9-51

Part V
Optimizer Statistics
The accuracy of an execution plan depends on the quality of the optimizer statistics.
This part contains the following chapters:
•Optimizer Statistics Concepts
Oracle Database optimizer statistics describe details about the database and its
objects.
•Histograms
A histogram is a special type of column statistic that provides more detailed
information about the data distribution in a table column. A histogram sorts values
into "buckets," as you might sort coins into buckets.
•Configuring Options for Optimizer Statistics Gathering
This chapter explains what optimizer statistics collection is and how to set
statistics preferences.
•Gathering Optimizer Statistics
This chapter explains how to use the
DBMS_STATS.GATHER_*_STATS
program units.
•Managing Extended Statistics
DBMS_STATS
enables you to collect extended statistics, which are statistics that
can improve cardinality estimates when multiple predicates exist on different
columns of a table, or when predicates use expressions.
•Controlling the Use of Optimizer Statistics
Using
DBMS_STATS
, you can specify when and how the optimizer uses statistics.
•Managing Historical Optimizer Statistics
This chapter how to retain, report on, and restore non-current statistics.
•Transporting Optimizer Statistics
You can export and import optimizer statistics from the data dictionary to user-
defined statistics tables. You can also copy statistics from one database to another
database.
•Analyzing Statistics Using Optimizer Statistics Advisor
Optimizer Statistics Advisor analyzes how optimizer statistics are gathered, and
then makes recommendations.

10
Optimizer Statistics Concepts
Oracle Database optimizer statistics describe details about the database and its
objects.
This chapter includes the following topics:
•Introduction to Optimizer Statistics
The optimizer cost model relies on statistics collected about the objects involved
in a query, and the database and host where the query runs.
•About Optimizer Statistics Types
The optimizer collects statistics on different types of database objects and
characteristics of the database environment.
•How the Database Gathers Optimizer Statistics
Oracle Database provides several mechanisms to gather statistics.
•When the Database Gathers Optimizer Statistics
The database collects optimizer statistics at various times and from various
sources.
10.1 Introduction to Optimizer Statistics
The optimizer cost model relies on statistics collected about the objects involved in a
query, and the database and host where the query runs.
The optimizer uses statistics to get an estimate of the number of rows (and number of
bytes) retrieved from a table, partition, or index. The optimizer estimates the cost for
the access, determines the cost for possible plans, and then picks the execution plan
with the lowest cost.
Optimizer statistics include the following:
•Table statistics
–Number of rows
–Number of blocks
–Average row length
•Column statistics
–Number of distinct values (NDV) in a column
–Number of nulls in a column
–Data distribution (histogram)
–Extended statistics
•Index statistics
–Number of leaf blocks
–Number of levels
10-1

–Index clustering factor
•System statistics
–I/O performance and utilization
–CPU performance and utilization
As shown in Figure 10-1, the database stores optimizer statistics for tables, columns,
indexes, and the system in the data dictionary. You can access these statistics using
data dictionary views.
Note:
The optimizer statistics are different from the performance statistics visible
through
V$
views.
Figure 10-1 Optimizer Statistics
Execution
Plan
GB
HJ HJ
ID Name
100
Kumar
PERSON_ID_IX
Data Dictionary
Optimizer Statistics
Index Table Column System
CPU and I/O
Optimizer
Database
PERSON
Table
Chapter 10
Introduction to Optimizer Statistics
10-2

10.2 About Optimizer Statistics Types
The optimizer collects statistics on different types of database objects and
characteristics of the database environment.
This section contains the following topics:
•Table Statistics
Table statistics contain metadata that the optimizer uses when developing an
execution plan.
•Column Statistics
Column statistics track information about column values and data distribution.
•Index Statistics
The index statistics include information about the number of index levels, the
number of index blocks, and the relationship between the index and the data
blocks. The optimizer uses these statistics to determine the cost of index scans.
•System Statistics
The system statistics describe hardware characteristics such as I/O and CPU
performance and utilization.
•User-Defined Optimizer Statistics
The extensible optimizer enables authors of user-defined functions and indexes
to create statistics collection, selectivity, and cost functions. The optimizer cost
model is extended to integrate information supplied by the user to assess CPU
and the I/O cost.
10.2.1 Table Statistics
Table statistics contain metadata that the optimizer uses when developing an
execution plan.
This section contains the following topics:
•Permanent Table Statistics
In Oracle Database, table statistics include information about rows and blocks.
•Temporary Table Statistics
DBMS_STATS
can gather statistics for both permanent and global temporary tables,
but additional considerations apply to the latter.
10.2.1.1 Permanent Table Statistics
In Oracle Database, table statistics include information about rows and blocks.
The optimizer uses these statistics to determine the cost of table scans and table joins.
The database tracks all relevant statistics about permanent tables. For example, table
statistics stored in
DBA_TAB_STATISTICS
track the following:
•Number of rows
The database uses the row count stored in
DBA_TAB_STATISTICS
when determining
cardinality.
•Average row length
•Number of data blocks
Chapter 10
About Optimizer Statistics Types
10-3

The optimizer uses the number of data blocks with the
DB_FILE_MULTIBLOCK_READ_COUNT
initialization parameter to determine the base table
access cost.
•Number of empty data blocks
DBMS_STATS.GATHER_TABLE_STATS
commits before gathering statistics on permanent
tables.
Example 10-1 Table Statistics
This example queries table statistics for the
sh.customers
table.
SELECT NUM_ROWS, AVG_ROW_LEN, BLOCKS,
EMPTY_BLOCKS, LAST_ANALYZED
FROM DBA_TAB_STATISTICS
WHERE OWNER='SH'
AND TABLE_NAME='CUSTOMERS';
Sample output appears as follows:
NUM_ROWS AVG_ROW_LEN BLOCKS EMPTY_BLOCKS LAST_ANAL
---------- ----------- ---------- ------------ ---------
55500 189 1517 0 25-MAY-17
10.2.1.2 Temporary Table Statistics
DBMS_STATS
can gather statistics for both permanent and global temporary tables, but
additional considerations apply to the latter.
This section contains the following topics:
•Types of Temporary Tables
Temporary tables are classified as global, private, or cursor-duration.
•Statistics for Global Temporary Tables
DBMS_STATS
collects the same types of statistics for global temporary tables as for
permanent tables.
•Shared and Session-Specific Statistics for Global Temporary Tables
Starting in Oracle Database 12c, you can set the table-level preference
GLOBAL_TEMP_TABLE_STATS
to make statistics on a global temporary table shared
(
SHARED
) or session-specific (
SESSION
).
10.2.1.2.1 Types of Temporary Tables
Temporary tables are classified as global, private, or cursor-duration.
In all types of temporary table, the data is only visible to the session that inserts it. The
tables differ as follows:
•A global temporary table is an explicitly created persistent object that stores
intermediate session-private data for a specific duration.
The table is global because the definition is visible to all sessions. The
ON COMMIT
clause of
CREATE GLOBAL TEMPORARY TABLE
indicates whether the table is transaction-
specific (
DELETE ROWS
) or session-specific (
PRESERVE ROWS
). Optimizer statistics for
global temporary tables can be shared or session-specific.
Chapter 10
About Optimizer Statistics Types
10-4

•A private temporary table is an explicitly created object, defined by private
memory-only metadata, that stores intermediate session-private data for a specific
duration.
The table is private because the definition is visible only to the session that
created the table. The
ON COMMIT
clause of
CREATE PRIVATE TEMPORARY TABLE
indicates whether the table is transaction-specific (
DROP DEFINITION
) or session-
specific (
PRESERVE DEFINITION
).
•A cursor-duration temporary table is an implicitly created memory-only object
that is associated with a cursor.
Unlike global and private temporary tables,
DBMS_STATS
cannot gather statistics for
cursor-duration temporary tables.
The tables differ in where they store data, how they are created and dropped, and in
the duration and visibility of metadata. Note that the database allocates storage space
when a session first inserts data into a global temporary table, not at table creation.
Table 10-1 Important Characteristics of Temporary Tables
Characteristic Global Temporary
Table
Private Temporary Table Cursor-Duration
Temporary Table
Visibility of Data Session inserting data Session inserting data Session inserting data
Storage of Data Persistent Memory or tempfiles, but
only for the duration of the
session or transaction
Only in memory
Visibility of
Metadata
All sessions Session that created table
(in
USER_PRIVATE_TEMP_TABLES
view, which is based on a
V$
view)
Session executing
cursor
Duration of
Metadata
Until table is explicitly
dropped
Until table is explicitly
dropped, or end of session
(
PRESERVE DEFINITION
) or
transaction (
DROP
DEFINITION
)
Until cursor ages out of
shared pool
Creation of
Table
CREATE GLOBAL
TEMPORARY TABLE
(supports
AS SELECT
)
CREATE PRIVATE TEMPORARY
TABLE
(supports
AS SELECT
)
Implicitly created when
optimizer considers it
useful
Effect of
Creation on
Existing
Transactions
No implicit commit No implicit commit No implicit commit
Naming Rules Same as for
permanent tables
Must begin with
ORA$PTT_
Internally generated
unique name
Dropping of
Table
DROP GLOBAL
TEMPORARY TABLE
DROP PRIVATE TEMPORARY
TABLE
, or implicitly dropped
at end of session (
PRESERVE
DEFINITION
) or transaction
(
DROP DEFINITION
)
Implicitly dropped at
end of session
10.2.1.2.2 Statistics for Global Temporary Tables
DBMS_STATS
collects the same types of statistics for global temporary tables as for
permanent tables.
Chapter 10
About Optimizer Statistics Types
10-5

Note:
You cannot collect statistics for private temporary tables.
The following table shows how global temporary tables differ in how they gather and
store optimizer statistics, depending on whether the tables are scoped to a transaction
or session.
Table 10-2 Optimizer Statistics for Global Temporary Tables
Characteristic Transaction-Specific Session-Specific
Effect of
DBMS_STATS
collection Does not commit Commits
Storage of statistics Memory only Dictionary tables
Histogram creation Not supported Supported
The following procedures do not commit for transaction-specific temporary tables, so
that rows in these tables are not deleted:
•
GATHER_TABLE_STATS
•
DELETE_obj_STATS
, where
obj
is
TABLE
,
COLUMN
, or
INDEX
•
SET_obj_STATS
, where
obj
is
TABLE
,
COLUMN
, or
INDEX
•
GET_obj_STATS
, where
obj
is
TABLE
,
COLUMN
, or
INDEX
The preceding program units observe the
GLOBAL_TEMP_TABLE_STATS
statistics
preference. For example, if the table preference is set to
SESSION
, then
SET_TABLE_STATS
sets the session statistics, and
GATHER_TABLE_STATS
preserves all rows in a transaction-
specific temporary table. If the table preference is set to
SHARED
, however, then
SET_TABLE_STATS
sets the shared statistics, and
GATHER_TABLE_STATS
deletes all rows
from a transaction-specific temporary table.
10.2.1.2.3 Shared and Session-Specific Statistics for Global Temporary Tables
Starting in Oracle Database 12c, you can set the table-level preference
GLOBAL_TEMP_TABLE_STATS
to make statistics on a global temporary table shared (
SHARED
)
or session-specific (
SESSION
).
When
GLOBAL_TEMP_TABLE_STATS
is
SESSION
, you can gather optimizer statistics for a
global temporary table in one session, and then use the statistics for this session only.
Meanwhile, users can continue to maintain a shared version of the statistics. During
optimization, the optimizer first checks whether a global temporary table has session-
specific statistics. If yes, then the optimizer uses them. Otherwise, the optimizer uses
shared statistics if they exist.
Chapter 10
About Optimizer Statistics Types
10-6

Note:
In releases before Oracle Database 12c, the database did not maintain
optimizer statistics for global temporary tables and non-global temporary
tables differently. The database maintained one version of the statistics
shared by all sessions, even though data in different sessions could differ.
Session-specific optimizer statistics have the following characteristics:
•Dictionary views that track statistics show both the shared statistics and the
session-specific statistics in the current session.
The views are
DBA_TAB_STATISTICS
,
DBA_IND_STATISTICS
,
DBA_TAB_HISTOGRAMS
, and
DBA_TAB_COL_STATISTICS
(each view has a corresponding
USER_
and
ALL_
version).
The
SCOPE
column shows whether statistics are session-specific or shared.
Session-specific statistics must be stored in the data dictionary so that multiple
processes can access them in Oracle RAC.
•
CREATE ... AS SELECT
automatically gathers optimizer statistics. When
GLOBAL_TEMP_TABLE_STATS
is set to
SHARED
, however, you must gather statistics
manually using
DBMS_STATS
.
•Pending statistics are not supported.
•Other sessions do not share a cursor that uses the session-specific statistics.
Different sessions can share a cursor that uses shared statistics, as in releases
earlier than Oracle Database 12c. The same session can share a cursor that uses
session-specific statistics.
•By default,
GATHER_TABLE_STATS
for the temporary table immediately invalidates
previous cursors compiled in the same session. However, this procedure does not
invalidate cursors compiled in other sessions.
10.2.2 Column Statistics
Column statistics track information about column values and data distribution.
The optimizer uses column statistics to generate accurate cardinality estimates and
make better decisions about index usage, join orders, join methods, and so on. For
example, statistics in
DBA_TAB_COL_STATISTICS
track the following:
•Number of distinct values
•Number of nulls
•High and low values
•Histogram-related information
The optimizer can use extended statistics, which are a special type of column
statistics. These statistics are useful for informing the optimizer of logical relationships
among columns.
Chapter 10
About Optimizer Statistics Types
10-7

10.2.3 Index Statistics
The index statistics include information about the number of index levels, the number
of index blocks, and the relationship between the index and the data blocks. The
optimizer uses these statistics to determine the cost of index scans.
This section contains the following topics:
•Types of Index Statistics
The
DBA_IND_STATISTICS
view tracks index statistics.
•Index Clustering Factor
For a B-tree index, the index clustering factor measures the physical grouping of
rows in relation to an index value, such as last name.
•Effect of Index Clustering Factor on Cost: Example
This example illustrates how the index clustering factor can influence the cost of
table access.
10.2.3.1 Types of Index Statistics
The
DBA_IND_STATISTICS
view tracks index statistics.
Statistics include the following:
•Levels
The
BLEVEL
column shows the number of blocks required to go from the root block
to a leaf block. A B-tree index has two types of blocks: branch blocks for searching
and leaf blocks that store values. See Oracle Database Concepts for a conceptual
overview of B-tree indexes.
•Distinct keys
This columns tracks the number of distinct indexed values. If a unique constraint is
defined, and if no
NOT NULL
constraint is defined, then this value equals the number
of non-null values.
•Average number of leaf blocks for each distinct indexed key
•Average number of data blocks pointed to by each distinct indexed key
See Also:
Oracle Database Reference for a description of the
DBA_IND_STATISTICS
view
Example 10-2 Index Statistics
This example queries some index statistics for the
cust_lname_ix
and
customers_pk
indexes on the
sh.customers
table (sample output included):
SELECT INDEX_NAME, BLEVEL, LEAF_BLOCKS AS "LEAFBLK", DISTINCT_KEYS AS "DIST_KEY",
AVG_LEAF_BLOCKS_PER_KEY AS "LEAFBLK_PER_KEY",
AVG_DATA_BLOCKS_PER_KEY AS "DATABLK_PER_KEY"
FROM DBA_IND_STATISTICS
WHERE OWNER = 'SH'
AND INDEX_NAME IN ('CUST_LNAME_IX','CUSTOMERS_PK');
Chapter 10
About Optimizer Statistics Types
10-8

INDEX_NAME BLEVEL LEAFBLK DIST_KEY LEAFBLK_PER_KEY DATABLK_PER_KEY
-------------- ------ ------- -------- --------------- ---------------
CUSTOMERS_PK 1 115 55500 1 1
CUST_LNAME_IX 1 141 908 1 10
10.2.3.2 Index Clustering Factor
For a B-tree index, the index clustering factor measures the physical grouping of
rows in relation to an index value, such as last name.
The index clustering factor helps the optimizer decide whether an index scan or full
table scan is more efficient for certain queries). A low clustering factor indicates an
efficient index scan.
A clustering factor that is close to the number of blocks in a table indicates that the
rows are physically ordered in the table blocks by the index key. If the database
performs a full table scan, then the database tends to retrieve the rows as they are
stored on disk sorted by the index key. A clustering factor that is close to the number
of rows indicates that the rows are scattered randomly across the database blocks in
relation to the index key. If the database performs a full table scan, then the database
would not retrieve rows in any sorted order by this index key.
The clustering factor is a property of a specific index, not a table. If multiple indexes
exist on a table, then the clustering factor for one index might be small while the factor
for another index is large. An attempt to reorganize the table to improve the clustering
factor for one index may degrade the clustering factor of the other index.
Example 10-3 Index Clustering Factor
This example shows how the optimizer uses the index clustering factor to determine
whether using an index is more effective than a full table scan.
1. Start SQL*Plus and connect to a database as
sh
, and then query the number of
rows and blocks in the
sh.customers
table (sample output included):
SELECT table_name, num_rows, blocks
FROM user_tables
WHERE table_name='CUSTOMERS';
TABLE_NAME NUM_ROWS BLOCKS
------------------------------ ---------- ----------
CUSTOMERS 55500 1486
2. Create an index on the
customers.cust_last_name
column.
For example, execute the following statement:
CREATE INDEX CUSTOMERS_LAST_NAME_IDX ON customers(cust_last_name);
3. Query the index clustering factor of the newly created index.
The following query shows that the
customers_last_name_idx
index has a high
clustering factor because the clustering factor is significantly more than the
number of blocks in the table:
SELECT index_name, blevel, leaf_blocks, clustering_factor
FROM user_indexes
WHERE table_name='CUSTOMERS'
AND index_name= 'CUSTOMERS_LAST_NAME_IDX';
INDEX_NAME BLEVEL LEAF_BLOCKS CLUSTERING_FACTOR
Chapter 10
About Optimizer Statistics Types
10-9

------------------------------ ---------- ----------- -----------------
CUSTOMERS_LAST_NAME_IDX 1 141 9859
4. Create a new copy of the
customers
table, with rows ordered by
cust_last_name
.
For example, execute the following statements:
DROP TABLE customers3 PURGE;
CREATE TABLE customers3 AS
SELECT *
FROM customers
ORDER BY cust_last_name;
5. Gather statistics on the
customers3
table.
For example, execute the
GATHER_TABLE_STATS
procedure as follows:
EXEC DBMS_STATS.GATHER_TABLE_STATS(null,'CUSTOMERS3');
6. Query the number of rows and blocks in the
customers3
table .
For example, enter the following query (sample output included):
SELECT TABLE_NAME, NUM_ROWS, BLOCKS
FROM USER_TABLES
WHERE TABLE_NAME='CUSTOMERS3';
TABLE_NAME NUM_ROWS BLOCKS
------------------------------ ---------- ----------
CUSTOMERS3 55500 1485
7. Create an index on the
cust_last_name
column of
customers3
.
For example, execute the following statement:
CREATE INDEX CUSTOMERS3_LAST_NAME_IDX ON customers3(cust_last_name);
8. Query the index clustering factor of the
customers3_last_name_idx
index.
The following query shows that the
customers3_last_name_idx
index has a lower
clustering factor:
SELECT INDEX_NAME, BLEVEL, LEAF_BLOCKS, CLUSTERING_FACTOR
FROM USER_INDEXES
WHERE TABLE_NAME = 'CUSTOMERS3'
AND INDEX_NAME = 'CUSTOMERS3_LAST_NAME_IDX';
INDEX_NAME BLEVEL LEAF_BLOCKS CLUSTERING_FACTOR
------------------------------ ---------- ----------- -----------------
CUSTOMERS3_LAST_NAME_IDX 1 141 1455
The table
customers3
has the same data as the original
customers
table, but the
index on
customers3
has a much lower clustering factor because the data in the
table is ordered by the
cust_last_name
. The clustering factor is now about 10 times
the number of blocks instead of 70 times.
9. Query the
customers
table.
For example, execute the following query (sample output included):
SELECT cust_first_name, cust_last_name
FROM customers
WHERE cust_last_name BETWEEN 'Puleo' AND 'Quinn';
CUST_FIRST_NAME CUST_LAST_NAME
-------------------- ----------------------------------------
Chapter 10
About Optimizer Statistics Types
10-10

Vida Puleo
Harriett Quinlan
Madeleine Quinn
Caresse Puleo
10. Display the cursor for the query.
For example, execute the following query (partial sample output included):
SELECT * FROM TABLE(DBMS_XPLAN.DISPLAY_CURSOR());
-------------------------------------------------------------------------------
| Id | Operation | Name | Rows |Bytes|Cost (%CPU)| Time |
-------------------------------------------------------------------------------
| 0| SELECT STATEMENT | | | | 405 (100)| |
|* 1| TABLE ACCESS STORAGE FULL| CUSTOMERS | 2335|35025| 405 (1)|00:00:01|
-------------------------------------------------------------------------------
The preceding plan shows that the optimizer did not use the index on the original
customers
tables.
11. Query the
customers3
table.
For example, execute the following query (sample output included):
SELECT cust_first_name, cust_last_name
FROM customers3
WHERE cust_last_name BETWEEN 'Puleo' AND 'Quinn';
CUST_FIRST_NAME CUST_LAST_NAME
-------------------- ----------------------------------------
Vida Puleo
Harriett Quinlan
Madeleine Quinn
Caresse Puleo
12. Display the cursor for the query.
For example, execute the following query (partial sample output included):
SELECT * FROM TABLE(DBMS_XPLAN.DISPLAY_CURSOR());
---------------------------------------------------------------------------------------
|Id| Operation | Name |Rows|Bytes|Cost(%CPU)| Time|
---------------------------------------------------------------------------------------
| 0| SELECT STATEMENT | | | |69(100)| |
| 1| TABLE ACCESS BY INDEX ROWID|CUSTOMERS3 |2335|35025|69(0) |00:00:01|
|*2| INDEX RANGE SCAN |CUSTOMERS3_LAST_NAME_IDX|2335| |7(0) |00:00:01|
---------------------------------------------------------------------------------------
The result set is the same, but the optimizer chooses the index. The plan cost is
much less than the cost of the plan used on the original
customers
table.
13. Query
customers
with a hint that forces the optimizer to use the index.
For example, execute the following query (partial sample output included):
SELECT /*+ index (Customers CUSTOMERS_LAST_NAME_IDX) */ cust_first_name,
cust_last_name
FROM customers
WHERE cust_last_name BETWEEN 'Puleo' and 'Quinn';
CUST_FIRST_NAME CUST_LAST_NAME
-------------------- ----------------------------------------
Vida Puleo
Chapter 10
About Optimizer Statistics Types
10-11

Caresse Puleo
Harriett Quinlan
Madeleine Quinn
14. Display the cursor for the query.
For example, execute the following query (partial sample output included):
SELECT * FROM TABLE(DBMS_XPLAN.DISPLAY_CURSOR());
-----------------------------------------------------------------------------------------
| Id | Operation | Name |Rows|Bytes|Cost(%CPU)| Time |
-----------------------------------------------------------------------------------------
| 0| SELECT STATEMENT | | | | 422(100) | |
| 1| TABLE ACCESS BY INDEX ROWID|CUSTOMERS |335 |35025| 422(0) |00:00:01|
|*2| INDEX RANGE SCAN |CUSTOMERS_LAST_NAME_IDX|2335| | 7(0) |00:00:01|
-----------------------------------------------------------------------------------------
The preceding plan shows that the cost of using the index on
customers
is higher
than the cost of a full table scan. Thus, using an index does not necessarily
improve performance. The index clustering factor is a measure of whether an
index scan is more effective than a full table scan.
10.2.3.3 Effect of Index Clustering Factor on Cost: Example
This example illustrates how the index clustering factor can influence the cost of table
access.
Consider the following scenario:
•A table contains 9 rows that are stored in 3 data blocks.
•The
col1
column currently stores the values
A
,
B
, and
C
.
•A nonunique index named
col1_idx
exists on
col1
for this table.
Example 10-4 Collocated Data
Assume that the rows are stored in the data blocks as follows:
Block 1 Block 2 Block 3
------- ------- -------
A A A B B B C C C
In this example, the index clustering factor for
col1_idx
is low. The rows that have the
same indexed column values for
col1
are in the same data blocks in the table. Thus,
the cost of using an index range scan to return all rows with value
A
is low because
only one block in the table must be read.
Example 10-5 Scattered Data
Assume that the same rows are scattered across the data blocks as follows:
Block 1 Block 2 Block 3
------- ------- -------
A B C A C B B A C
In this example, the index clustering factor for
col1_idx
is higher. The database must
read all three blocks in the table to retrieve all rows with the value
A
in
col1
.
Chapter 10
About Optimizer Statistics Types
10-12

10.2.4 System Statistics
The system statistics describe hardware characteristics such as I/O and CPU
performance and utilization.
System statistics enable the query optimizer to more accurately estimate I/O and CPU
costs when choosing execution plans. The database does not invalidate previously
parsed SQL statements when updating system statistics. The database parses all new
SQL statements using new statistics.
10.2.5 User-Defined Optimizer Statistics
The extensible optimizer enables authors of user-defined functions and indexes to
create statistics collection, selectivity, and cost functions. The optimizer cost model is
extended to integrate information supplied by the user to assess CPU and the I/O cost.
Statistics types act as interfaces for user-defined functions that influence the choice of
execution plan. However, to use a statistics type, the optimizer requires a mechanism
to bind the type to a database object such as a column, standalone function, object
type, index, indextype, or package. The SQL statement
ASSOCIATE STATISTICS
allows
this binding to occur.
Functions for user-defined statistics are relevant for columns that use both standard
SQL data types and object types, and for domain indexes. When you associate a
statistics type with a column or domain index, the database calls the statistics
collection method in the statistics type whenever
DBMS_STATS
gathers statistics.
10.3 How the Database Gathers Optimizer Statistics
Oracle Database provides several mechanisms to gather statistics.
This section contains the following topics:
•DBMS_STATS Package
The
DBMS_STATS
PL/SQL package collects and manages optimizer statistics.
•Supplemental Dynamic Statistics
By default, when optimizer statistics are missing, stale, or insufficient, the
database automatically gathers dynamic statistics during a parse. The database
uses recursive SQL to scan a small random sample of table blocks.
•Online Statistics Gathering for Bulk Loads
Starting in Oracle Database 12c, the database can gather table statistics
automatically during the following types of bulk loads:
INSERT INTO ... SELECT
into
an empty table using a direct path insert, and
CREATE TABLE AS SELECT
.
10.3.1 DBMS_STATS Package
The
DBMS_STATS
PL/SQL package collects and manages optimizer statistics.
This package enables you to control what and how statistics are collected, including
the degree of parallelism for statistics collection, sampling methods, granularity of
statistics collection in partitioned tables, and so on.
Chapter 10
How the Database Gathers Optimizer Statistics
10-13

Note:
Do not use the
COMPUTE
and
ESTIMATE
clauses of the
ANALYZE
statement to
collect optimizer statistics. These clauses have been deprecated. Instead,
use
DBMS_STATS
.
Statistics gathered with the
DBMS_STATS
package are required for the creation of
accurate execution plans. For example, table statistics gathered by
DBMS_STATS
include
the number of rows, number of blocks, and average row length.
By default, Oracle Database uses automatic optimizer statistics collection. In this case,
the database automatically runs
DBMS_STATS
to collect optimizer statistics for all schema
objects for which statistics are missing or stale. The process eliminates many manual
tasks associated with managing the optimizer, and significantly reduces the risks of
generating suboptimal execution plans because of missing or stale statistics. You can
also update and manage optimizer statistics by manually executing
DBMS_STATS
.
10.3.2 Supplemental Dynamic Statistics
By default, when optimizer statistics are missing, stale, or insufficient, the database
automatically gathers dynamic statistics during a parse. The database uses
recursive SQL to scan a small random sample of table blocks.
Note:
Dynamic statistics augment statistics rather than providing an alternative to
them.
Dynamic statistics supplement optimizer statistics such as table and index block
counts, table and join cardinalities (estimated number of rows), join column statistics,
and
GROUP BY
statistics. This information helps the optimizer improve plans by making
better estimates for predicate cardinality.
Dynamic statistics are beneficial in the following situations:
•An execution plan is suboptimal because of complex predicates.
•The sampling time is a small fraction of total execution time for the query.
•The query executes many times so that the sampling time is amortized.
10.3.3 Online Statistics Gathering for Bulk Loads
Starting in Oracle Database 12c, the database can gather table statistics automatically
during the following types of bulk loads:
INSERT INTO ... SELECT
into an empty table
using a direct path insert, and
CREATE TABLE AS SELECT
.
Chapter 10
How the Database Gathers Optimizer Statistics
10-14

Note:
By default, a parallel insert uses a direct path insert. You can force a direct
path insert by using the
/*+APPEND*/
hint.
This section contains the following topics:
•Purpose of Online Statistics Gathering for Bulk Loads
Data warehouses typically load large amounts of data into the database. For
example, a sales data warehouse might load sales data nightly.
•Global Statistics During Inserts into Empty Partitioned Tables
When inserting rows into an empty partitioned table, the database gathers global
statistics during the insert.
•Index Statistics and Histograms During Bulk Loads
While gathering online statistics, the database does not gather index statistics or
create histograms. If these statistics are required, then Oracle recommends
running
DBMS_STATS.GATHER_TABLE_STATS
with the
options
parameter set to
GATHER
AUTO
after the bulk load.
•Restrictions for Online Statistics Gathering for Bulk Loads
In some situations, optimizer statistics gathering does not occur automatically for
bulk loads.
•Hints for Online Statistics Gathering for Bulk Loads
By default, the database gathers statistics during bulk loads. You can disable the
feature at the statement level by using the
NO_GATHER_OPTIMIZER_STATISTICS
hint,
and enable the feature at the statement level by using the
GATHER_OPTIMIZER_STATISTICS
hint.
See Also:
Oracle Database Data Warehousing Guide to learn more about bulk loads
10.3.3.1 Purpose of Online Statistics Gathering for Bulk Loads
Data warehouses typically load large amounts of data into the database. For example,
a sales data warehouse might load sales data nightly.
In releases earlier than Oracle Database 12c, to avoid the possibility of a suboptimal
plan caused by stale statistics, you needed to gather statistics manually after a bulk
load. The ability to gather statistics automatically during bulk loads has the following
benefits:
•Improved performance
Gathering statistics during the load avoids an additional table scan to gather table
statistics.
•Improved manageability
No user intervention is required to gather statistics after a bulk load.
Chapter 10
How the Database Gathers Optimizer Statistics
10-15

10.3.3.2 Global Statistics During Inserts into Empty Partitioned Tables
When inserting rows into an empty partitioned table, the database gathers global
statistics during the insert.
For example, if
sales
is an empty partitioned table, and if you run
INSERT INTO sales
SELECT
, then the database gathers global statistics for
sales
. However, the database
does not gather partition-level statistics.
Assume a different case in which you use extended syntax to insert rows into a
particular partition or subpartition, which is empty. The database gathers statistics on
the empty partition during the insert. However, the database does not gather global
statistics.
Assume that you run
INSERT INTO sales PARTITION (sales_q4_2000) SELECT
. If partition
sales_q4_2000
is empty before the insert (other partitions need not be empty), then the
database gathers statistics during the insert. Moreover, if the
INCREMENTAL
preference is
enabled for
sales
, then the database also gathers a synopsis for
sales_q4_2000
.
Statistics are immediately available after the
INSERT
statement. However, if you roll
back the transaction, then the database automatically deletes statistics gathered
during the bulk load.
10.3.3.3 Index Statistics and Histograms During Bulk Loads
While gathering online statistics, the database does not gather index statistics or
create histograms. If these statistics are required, then Oracle recommends running
DBMS_STATS.GATHER_TABLE_STATS
with the
options
parameter set to
GATHER AUTO
after the
bulk load.
For example, the following command gathers statistics for the bulk-loaded
sh_ctas
table:
EXEC DBMS_STATS.GATHER_TABLE_STATS( user, 'SH_CTAS', options => 'GATHER AUTO' );
The preceding example only gathers missing or stale statistics. The database does not
gather table and basic column statistics collected during the bulk load.
Note:
You can set the table preference
options
to
GATHER AUTO
on the tables that
you plan to bulk load. In this way, you need not explicitly set the
options
parameter when running
GATHER_TABLE_STATS
.
10.3.3.4 Restrictions for Online Statistics Gathering for Bulk Loads
In some situations, optimizer statistics gathering does not occur automatically for bulk
loads.
Specifically, bulk loads do not gather statistics automatically when any of the following
conditions applies to the target table, partition, or subpartition:
Chapter 10
How the Database Gathers Optimizer Statistics
10-16

•It is not empty, and you perform an
INSERT INTO ... SELECT
.
In this case, an
OPTIMIZER STATISTICS GATHERING
row source appears in the plan,
but this row source is only a pass-through. The database does not actually gather
optimizer statistics.
Note:
The
DBA_TAB_COL_STATISTICS.NOTES
column is set to
STATS_ON_LOAD
by a
bulk load into an empty table. However, subsequent bulk loads into the
non-empty table do not reset the
NOTES
column. One technique for
determining whether the database gathered statistics is to query the
USER_TAB_MODIFICATIONS.INSERTS
column. If the query returns a row
indicating the number of rows loaded, then the most recent bulk load did
not gather statistics automatically.
•It is loaded using an
INSERT INTO ... SELECT
, and neither of the following
conditions is true: all columns of the target table are specified, or a subset of the
target columns are specified and the unspecified columns have default values.
Put differently, the database only gathers statistics automatically for bulk loads
when either all columns of the target table are specified, or a subset of the target
columns are specified and the unspecified columns have default values. For
example, the
sales
table has only columns
c1
,
c2
,
c3
, and
c4
. The column
c4
does
not have a default value. You load
sales_copy
by executing
INSERT /*+ APPEND */
INTO sales_copy SELECT c1, c2, c3 FROM sales
. In this case, the database does not
gather online statistics for
sales_copy
. The database would gather statistics if
c4
had a default value or if it were included in the
SELECT
list.
•It is in an Oracle-owned schema such as
SYS
.
•It is one of the following types of tables: nested table, index-organized table (IOT),
external table, or global temporary table defined as
ON COMMIT DELETE ROWS
.
•It has a
PUBLISH
preference set to
FALSE
.
•Its statistics are locked.
•It is partitioned,
INCREMENTAL
is set to
true
, and partition-extended syntax is not
used.
For example, assume that you execute
DBMS_STATS.SET_TABLE_PREFS(null, 'sales',
incremental', 'true')
. In this case, the database does not gather statistics for
INSERT INTO sales SELECT
, even when
sales
is empty. However, the database does
gather statistics automatically for
INSERT INTO sales PARTITION
(sales_q4_2000)
SELECT
.
•It is loaded using a multitable
INSERT
statement.
10.3.3.5 Hints for Online Statistics Gathering for Bulk Loads
By default, the database gathers statistics during bulk loads. You can disable the
feature at the statement level by using the
NO_GATHER_OPTIMIZER_STATISTICS
hint, and
enable the feature at the statement level by using the
GATHER_OPTIMIZER_STATISTICS
hint.
For example, the following statement disables online statistics gathering for bulk loads:
Chapter 10
How the Database Gathers Optimizer Statistics
10-17

CREATE TABLE employees2 AS
SELECT /*+NO_GATHER_OPTIMIZER_STATISTICS*/ * FROM employees
10.4 When the Database Gathers Optimizer Statistics
The database collects optimizer statistics at various times and from various sources.
This section contains the following topics:
•Sources for Optimizer Statistics
The optimizer uses several different sources for optimizer statistics.
•SQL Plan Directives
A SQL plan directive is additional information and instructions that the optimizer
can use to generate a more optimal plan.
•When the Database Samples Data
Starting in Oracle Database 12c, the optimizer automatically decides whether
dynamic statistics are useful and which sample size to use for all SQL statements.
•How the Database Samples Data
At the beginning of optimization, when deciding whether a table is a candidate for
dynamic statistics, the optimizer checks for the existence of persistent SQL plan
directives on the table.
10.4.1 Sources for Optimizer Statistics
The optimizer uses several different sources for optimizer statistics.
The sources are as follows:
•
DBMS_STATS
execution, automatic or manual
This PL/SQL package is the primary means of gathering optimizer statistics.
•SQL compilation
During SQL compilation, the database can augment the statistics previously
gathered by
DBMS_STATS
. In this stage, the database runs additional queries to
obtain more accurate information on how many rows in the tables satisfy the
WHERE
clause predicates in the SQL statement.
•SQL execution
During execution, the database can further augment previously gathered statistics.
In this stage, Oracle Database collects the number of rows produced by every row
source during the execution of a SQL statement. At the end of execution, the
optimizer determines whether the estimated number of rows is inaccurate enough
to warrant reparsing at the next statement execution. If the cursor is marked for
reparsing, then the optimizer uses actual row counts from the previous execution
instead of estimates.
•SQL profiles
A SQL profile is a collection of auxiliary statistics on a query. The profile stores
these supplemental statistics in the data dictionary. The optimizer uses SQL
profiles during optimization to determine the most optimal plan.
The database stores optimizer statistics in the data dictionary and updates or replaces
them as needed. You can query statistics in data dictionary views.
Chapter 10
When the Database Gathers Optimizer Statistics
10-18

10.4.2 SQL Plan Directives
A SQL plan directive is additional information and instructions that the optimizer can
use to generate a more optimal plan.
The directive is a “note to self” by the optimizer that it is misestimating cardinalities of
certain types of predicates, and also a reminder to
DBMS_STATS
to gather statistics
needed to correct the misestimates in the future. For example, when joining two tables
that have a data skew in their join columns, a SQL plan directive can direct the
optimizer to use dynamic statistics to obtain a more accurate join cardinality estimate.
This section contains the following topics:
•When the Database Creates SQL Plan Directives
The database creates SQL plan directives automatically based on information
learned during automatic reoptimization. If a cardinality misestimate occurs during
SQL execution, then the database creates SQL plan directives.
•How the Database Uses SQL Plan Directives
When compiling a SQL statement, if the optimizer sees a directive, then it obeys
the directive by gathering additional information.
•SQL Plan Directive Maintenance
The database automatically creates SQL plan directives. You cannot create them
manually.
•How the Optimizer Uses SQL Plan Directives: Example
This example shows how the database automatically creates and uses SQL plan
directives for SQL statements.
•How the Optimizer Uses Extensions and SQL Plan Directives: Example
The example shows how the database uses a SQL plan directive until the
optimizer verifies that an extension exists and the statistics are applicable.
10.4.2.1 When the Database Creates SQL Plan Directives
The database creates SQL plan directives automatically based on information learned
during automatic reoptimization. If a cardinality misestimate occurs during SQL
execution, then the database creates SQL plan directives.
For each new directive, the
DBA_SQL_PLAN_DIRECTIVES.STATE
column shows the value
USABLE
. This value indicates that the database can use the directive to correct
misestimates.
The optimizer defines a SQL plan directive on a query expression, for example, filter
predicates on two columns being used together. A directive is not tied to a specific
SQL statement or SQL ID. For this reason, the optimizer can use directives for
statements that are not identical. For example, directives can help the optimizer with
queries that use similar patterns, such as queries that are identical except for a select
list item.
The Notes section of the execution plan indicates the number of SQL plan directives
used for a statement. Obtain more information about the directives by querying the
DBA_SQL_PLAN_DIRECTIVES
and
DBA_SQL_PLAN_DIR_OBJECTS
views.
Chapter 10
When the Database Gathers Optimizer Statistics
10-19

10.4.2.2 How the Database Uses SQL Plan Directives
When compiling a SQL statement, if the optimizer sees a directive, then it obeys the
directive by gathering additional information.
The optimizer uses directives in the following ways:
•Dynamic statistics
The optimizer uses dynamic statistics whenever it does not have sufficient
statistics corresponding to the directive. For example, the cardinality estimates for
a query whose predicate contains a specific pair of columns may be significantly
wrong. A SQL plan directive indicates that the whenever a query that contains
these columns is parsed, the optimizer needs to use dynamic sampling to avoid a
serious cardinality misestimate.
Dynamic statistics have some performance overhead. Every time the optimizer
hard parses a query to which a dynamic statistics directive applies, the database
must perform the extra sampling.
Starting in Oracle Database 12c Release 2 (12.2), the database writes statistics
from adaptive dynamic sampling to the SQL plan directives store, making them
available to other queries.
•Column groups
The optimizer examines the query corresponding to the directive. If there is a
missing column group, and if the
DBMS_STATS
preference
AUTO_STAT_EXTENSIONS
is set
to
ON
(the default is
OFF
) for the affected table, then the optimizer automatically
creates this column group the next time
DBMS_STATS
gathers statistics on the table.
Otherwise, the optimizer does not automatically create the column group.
If a column group exists, then the next time this statement executes, the optimizer
uses the column group statistics in place of the SQL plan directive when possible
(equality predicates,
GROUP BY
, and so on). In subsequent executions, the optimizer
may create additional SQL plan directives to address other problems in the plan,
such as join or
GROUP BY
cardinality misestimates.
Note:
Currently, the optimizer monitors only column groups. The optimizer
does not create an extension on expressions.
When the problem that occasioned a directive is solved, either because a better
directive exists or because a histogram or extension exists, the
DBA_SQL_PLAN_DIRECTIVES.STATE
value changes from
USABLE
to
SUPERSEDED
. More
information about the directive state is exposed in the
DBA_SQL_PLAN_DIRECTIVES.NOTES
column.
10.4.2.3 SQL Plan Directive Maintenance
The database automatically creates SQL plan directives. You cannot create them
manually.
Chapter 10
When the Database Gathers Optimizer Statistics
10-20

The database initially creates directives in the shared pool. The database periodically
writes the directives to the
SYSAUX
tablespace. The database automatically purges any
SQL plan directive that is not used after the specified number of weeks
(
SPD_RETENTION_WEEKS
), which is 53 by default.
You can manage directives by using the
DBMS_SPD
package. For example, you can:
•Enable and disable SQL plan directives (
ALTER_SQL_PLAN_DIRECTIVE
)
•Change the retention period for SQL plan directives (
SET_PREFS
)
•Export a directive to a staging table (
PACK_STGTAB_DIRECTIVE
)
•Drop a directive (
DROP_SQL_PLAN_DIRECTIVE
)
•Force the database to write directives to disk (
FLUSH_SQL_PLAN_DIRECTIVE
)
10.4.2.4 How the Optimizer Uses SQL Plan Directives: Example
This example shows how the database automatically creates and uses SQL plan
directives for SQL statements.
Assumptions
You plan to run queries against the
sh
schema, and you have privileges on this
schema and on data dictionary and
V$
views.
To see how the database uses a SQL plan directive:
1. Query the
sh.customers
table.
SELECT /*+gather_plan_statistics*/ *
FROM customers
WHERE cust_state_province='CA'
AND country_id='US';
The
gather_plan_statistics
hint shows the actual number of rows returned from
each operation in the plan. Thus, you can compare the optimizer estimates with
the actual number of rows returned.
2. Query the plan for the preceding query.
The following example shows the execution plan (sample output included):
SELECT * FROM TABLE(DBMS_XPLAN.DISPLAY_CURSOR(FORMAT=>'ALLSTATS LAST'));
PLAN_TABLE_OUTPUT
-------------------------------------
SQL_ID b74nw722wjvy3, child number 0
-------------------------------------
select /*+gather_plan_statistics*/ * from customers where
CUST_STATE_PROVINCE='CA' and country_id='US'
Plan hash value: 1683234692
--------------------------------------------------------------------------------------------
| Id| Operation | Name | Starts |E-Rows| A-Rows | A-Time |Buffers | Reads |
--------------------------------------------------------------------------------------------
| 0 | SELECT STATEMENT | | 1 | | 29 |00:00:00.01 | 17 | 14 |
|*1 | TABLE ACCESS FULL| CUSTOMERS | 1 | 8 | 29 |00:00:00.01 | 17 | 14 |
--------------------------------------------------------------------------------------------
Predicate Information (identified by operation id):
Chapter 10
When the Database Gathers Optimizer Statistics
10-21

---------------------------------------------------
1 - filter(("CUST_STATE_PROVINCE"='CA' AND "COUNTRY_ID"='US'))
The actual number of rows (
A-Rows
) returned by each operation in the plan varies
greatly from the estimates (
E-Rows
). This statement is a candidate for automatic
reoptimization.
3. Check whether the
customers
query can be reoptimized.
The following statement queries the
V$SQL.IS_REOPTIMIZABLE
value (sample output
included):
SELECT SQL_ID, CHILD_NUMBER, SQL_TEXT, IS_REOPTIMIZABLE
FROM V$SQL
WHERE SQL_TEXT LIKE 'SELECT /*+gather_plan_statistics*/%';
SQL_ID CHILD_NUMBER SQL_TEXT I
------------- ------------ ----------- -
b74nw722wjvy3 0 select /*+g Y
ather_plan_
statistics*
/ * from cu
stomers whe
re CUST_STA
TE_PROVINCE
='CA' and c
ountry_id='
US'
The
IS_REOPTIMIZABLE
column is marked
Y
, so the database will perform a hard
parse of the
customers
query on the next execution. The optimizer uses the
execution statistics from this initial execution to determine the plan. The database
persists the information learned from reoptimization as a SQL plan directive.
4. Display the directives for the
sh
schema.
The following example uses
DBMS_SPD
to write the SQL plan directives to disk, and
then shows the directives for the
sh
schema only:
EXEC DBMS_SPD.FLUSH_SQL_PLAN_DIRECTIVE;
SELECT TO_CHAR(d.DIRECTIVE_ID) dir_id, o.OWNER AS "OWN", o.OBJECT_NAME AS "OBJECT",
o.SUBOBJECT_NAME col_name, o.OBJECT_TYPE, d.TYPE, d.STATE, d.REASON
FROM DBA_SQL_PLAN_DIRECTIVES d, DBA_SQL_PLAN_DIR_OBJECTS o
WHERE d.DIRECTIVE_ID=o.DIRECTIVE_ID
AND o.OWNER IN ('SH')
ORDER BY 1,2,3,4,5;
DIR_ID OWN OBJECT COL_NAME OBJECT TYPE STATE REASON
------------------- --- --------- ----------- ------ ---------------- ------ ------------
1484026771529551585 SH CUSTOMERS COUNTRY_ID COLUMN DYNAMIC_SAMPLING USABLE SINGLE TABLE
CARDINALITY
MISESTIMATE
1484026771529551585 SH CUSTOMERS CUST_STATE_ COLUMN DYNAMIC_SAMPLING USABLE SINGLE TABLE
PROVINCE CARDINALITY
MISESTIMATE
1484026771529551585 SH CUSTOMERS TABLE DYNAMIC_SAMPLING USABLE SINGLE TABLE
CARDINALITY
MISESTIMATE
Chapter 10
When the Database Gathers Optimizer Statistics
10-22

Initially, the database stores SQL plan directives in memory, and then writes them
to disk every 15 minutes. Thus, the preceding example calls
DBMS_SPD.FLUSH_SQL_PLAN_DIRECTIVE
to force the database to write the directives to
the
SYSAUX
tablespace.
Monitor directives using the views
DBA_SQL_PLAN_DIRECTIVES
and
DBA_SQL_PLAN_DIR_OBJECTS
. Three entries appear in the views, one for the
customers
table itself, and one for each of the correlated columns. Because the
customers
query has the
IS_REOPTIMIZABLE
value of
Y
, if you reexecute the statement, then the
database will hard parse it again, and then generate a plan based on the previous
execution statistics.
5. Query the
customers
table again.
For example, enter the following statement:
SELECT /*+gather_plan_statistics*/ *
FROM customers
WHERE cust_state_province='CA'
AND country_id='US';
6. Query the plan in the cursor.
The following example shows the execution plan (sample output included):
SELECT * FROM TABLE(DBMS_XPLAN.DISPLAY_CURSOR(FORMAT=>'ALLSTATS LAST'));
PLAN_TABLE_OUTPUT
-------------------------------------
SQL_ID b74nw722wjvy3, child number 1
-------------------------------------
select /*+gather_plan_statistics*/ * from customers where
CUST_STATE_PROVINCE='CA' and country_id='US'
Plan hash value: 1683234692
---------------------------------------------------------------------------
|Id | Operation |Name |Start|E-Rows|A-Rows| A-Time |Buffers|
---------------------------------------------------------------------------
| 0| SELECT STATEMENT | | 1| | 29|00:00:00.01| 17|
|* 1| TABLE ACCESS FULL|CUSTOMERS| 1| 29| 29|00:00:00.01| 17|
---------------------------------------------------------------------------
Predicate Information (identified by operation id):
---------------------------------------------------
1 - filter(("CUST_STATE_PROVINCE"='CA' AND "COUNTRY_ID"='US'))
Note
-----
- cardinality feedback used for this statement
The
Note
section indicates that the database used reoptimization for this
statement. The estimated number of rows (
E-Rows
) is now correct. The SQL plan
directive has not been used yet.
7. Query the cursors for the
customers
query.
For example, run the following query (sample output included):
SELECT SQL_ID, CHILD_NUMBER, SQL_TEXT, IS_REOPTIMIZABLE
FROM V$SQL
WHERE SQL_TEXT LIKE 'SELECT /*+gather_plan_statistics*/%';
Chapter 10
When the Database Gathers Optimizer Statistics
10-23

SQL_ID CHILD_NUMBER SQL_TEXT I
------------- ------------ ----------- -
b74nw722wjvy3 0 select /*+g Y
ather_plan_
statistics*
/ * from cu
stomers whe
re CUST_STA
TE_PROVINCE
='CA' and c
ountry_id='
US'
b74nw722wjvy3 1 select /*+g N
ather_plan_
statistics*
/ * from cu
stomers whe
re CUST_STA
TE_PROVINCE
='CA' and c
ountry_id='
US'
A new plan exists for the
customers
query, and also a new child cursor.
8. Confirm that a SQL plan directive exists and is usable for other statements.
For example, run the following query, which is similar but not identical to the
original
customers
query (the state is
MA
instead of
CA
):
SELECT /*+gather_plan_statistics*/ CUST_EMAIL
FROM CUSTOMERS
WHERE CUST_STATE_PROVINCE='MA'
AND COUNTRY_ID='US';
9. Query the plan in the cursor.
The following statement queries the cursor (sample output included).:
SELECT * FROM TABLE(DBMS_XPLAN.DISPLAY_CURSOR(FORMAT=>'ALLSTATS LAST'));
PLAN_TABLE_OUTPUT
-------------------------------------
SQL_ID 3tk6hj3nkcs2u, child number 0
-------------------------------------
Select /*+gather_plan_statistics*/ cust_email From customers Where
cust_state_province='MA' And country_id='US'
Plan hash value: 1683234692
---------------------------------------------------------------------------
|Id | Operation | Name |Starts|E-Rows|A-Rows| A-Time |Buffers|
---------------------------------------------------------------------------
| 0 | SELECT STATEMENT | | 1 | | 2 |00:00:00.01| 16 |
|*1 | TABLE ACCESS FULL| CUSTOMERS | 1 | 2 | 2 |00:00:00.01| 16 |
---------------------------------------------------------------------------
Predicate Information (identified by operation id):
---------------------------------------------------
1 - filter(("CUST_STATE_PROVINCE"='MA' AND "COUNTRY_ID"='US'))
Chapter 10
When the Database Gathers Optimizer Statistics
10-24

Note
-----
- dynamic sampling used for this statement (level=2)
- 1 Sql Plan Directive used for this statement
The
Note
section of the plan shows that the optimizer used the SQL directive for
this statement, and also used dynamic statistics.
10.4.2.5 How the Optimizer Uses Extensions and SQL Plan Directives:
Example
The example shows how the database uses a SQL plan directive until the optimizer
verifies that an extension exists and the statistics are applicable.
At this point, the directive changes its status to
SUPERSEDED
. Subsequent compilations
use the statistics instead of the directive.
Assumptions
This example assumes you have already followed the steps in "How the Optimizer
Uses SQL Plan Directives: Example".
To see how the optimizer uses an extension and SQL plan directive:
1. Gather statistics for the
sh.customers
table.
For example, execute the following PL/SQL program:
BEGIN
DBMS_STATS.GATHER_TABLE_STATS('SH','CUSTOMERS');
END;
/
2. Check whether an extension exists on the
customers
table.
For example, execute the following query (sample output included):
SELECT TABLE_NAME, EXTENSION_NAME, EXTENSION
FROM DBA_STAT_EXTENSIONS
WHERE OWNER='SH'
AND TABLE_NAME='CUSTOMERS';
TABLE_NAM EXTENSION_NAME EXTENSION
--------- ------------------------------ -----------------------
CUSTOMERS SYS_STU#S#WF25Z#QAHIHE#MOFFMM_ ("CUST_STATE_PROVINCE",
"COUNTRY_ID")
The preceding output indicates that a column group extension exists on the
cust_state_province
and
country_id
columns.
3. Query the state of the SQL plan directive.
Example 10-6 queries the data dictionary for information about the directive.
Although column group statistics exist, the directive has a state of
USABLE
because
the database has not yet recompiled the statement. During the next compilation,
the optimizer verifies that the statistics are applicable. If they are applicable, then
the status of the directive changes to
SUPERSEDED
. Subsequent compilations use the
statistics instead of the directive.
4. Query the
sh.customers
table.
Chapter 10
When the Database Gathers Optimizer Statistics
10-25

SELECT /*+gather_plan_statistics*/ *
FROM customers
WHERE cust_state_province='CA'
AND country_id='US';
5. Query the plan in the cursor.
Example 10-7 shows the execution plan (sample output included).
The
Note
section shows that the optimizer used the directive and not the extended
statistics. During the compilation, the database verified the extended statistics.
6. Query the state of the SQL plan directive.
Example 10-8 queries the data dictionary for information about the directive.
The state of the directive, which has changed to
SUPERSEDED
, indicates that the
corresponding column or groups have an extension or histogram, or that another
SQL plan directive exists that can be used for the directive.
7. Query the
sh.customers
table again, using a slightly different form of the statement.
For example, run the following query:
SELECT /*+gather_plan_statistics*/ /* force reparse */ *
FROM customers
WHERE cust_state_province='CA'
AND country_id='US';
If the cursor is in the shared SQL area, then the database typically shares the
cursor. To force a reparse, this step changes the SQL text slightly by adding a
comment.
8. Query the plan in the cursor.
Example 10-9 shows the execution plan (sample output included).
The absence of a
Note
shows that the optimizer used the extended statistics
instead of the SQL plan directive. If the directive is not used for 53 weeks, then the
database automatically purges it.
See Also:
•"Managing SQL Plan Directives"
•Oracle Database Reference to learn about
DBA_SQL_PLAN_DIRECTIVES
,
V$SQL
, and other database views
•Oracle Database Reference to learn about
DBMS_SPD
Example 10-6 Display Directives for sh Schema
EXEC DBMS_SPD.FLUSH_SQL_PLAN_DIRECTIVE;
SELECT TO_CHAR(d.DIRECTIVE_ID) dir_id, o.OWNER, o.OBJECT_NAME,
o.SUBOBJECT_NAME col_name, o.OBJECT_TYPE, d.TYPE, d.STATE, d.REASON
FROM DBA_SQL_PLAN_DIRECTIVES d, DBA_SQL_PLAN_DIR_OBJECTS o
WHERE d.DIRECTIVE_ID=o.DIRECTIVE_ID
AND o.OWNER IN ('SH')
ORDER BY 1,2,3,4,5;
Chapter 10
When the Database Gathers Optimizer Statistics
10-26

DIR_ID OWN OBJECT_NA COL_NAME OBJECT TYPE STATE REASON
------------------- --- --------- ---------- ------- ---------------- ------ ------------
1484026771529551585 SH CUSTOMERS COUNTRY_ID COLUMN DYNAMIC_SAMPLING USABLE SINGLE TABLE
CARDINALITY
MISESTIMATE
1484026771529551585 SH CUSTOMERS CUST_STATE_ COLUMN DYNAMIC_SAMPLING USABLE SINGLE TABLE
PROVINCE CARDINALITY
MISESTIMATE
1484026771529551585 SH CUSTOMERS TABLE DYNAMIC_SAMPLING USABLE SINGLE TABLE
CARDINALITY
MISESTIMATE
Example 10-7 Execution Plan
SQL> SELECT * FROM TABLE(DBMS_XPLAN.DISPLAY_CURSOR(FORMAT=>'ALLSTATS LAST'));
PLAN_TABLE_OUTPUT
-------------------------------------
SQL_ID b74nw722wjvy3, child number 0
-------------------------------------
select /*+gather_plan_statistics*/ * from customers where
CUST_STATE_PROVINCE='CA' and country_id='US'
Plan hash value: 1683234692
-----------------------------------------------------------------------------------------
| Id | Operation | Name | Starts | E-Rows | A-Rows | A-Time | Buffers |
-----------------------------------------------------------------------------------------
| 0 | SELECT STATEMENT | | 1 | | 29 |00:00:00.01 | 16 |
|* 1 | TABLE ACCESS FULL| CUSTOMERS | 1 | 29 | 29 |00:00:00.01 | 16 |
-----------------------------------------------------------------------------------------
Predicate Information (identified by operation id):
---------------------------------------------------
1 - filter(("CUST_STATE_PROVINCE"='CA' AND "COUNTRY_ID"='US'))
Note
-----
- dynamic sampling used for this statement (level=2)
- 1 Sql Plan Directive used for this statement
Example 10-8 Display Directives for sh Schema
EXEC DBMS_SPD.FLUSH_SQL_PLAN_DIRECTIVE;
SELECT TO_CHAR(d.DIRECTIVE_ID) dir_id, o.OWNER, o.OBJECT_NAME,
o.SUBOBJECT_NAME col_name, o.OBJECT_TYPE, d.TYPE, d.STATE, d.REASON
FROM DBA_SQL_PLAN_DIRECTIVES d, DBA_SQL_PLAN_DIR_OBJECTS o
WHERE d.DIRECTIVE_ID=o.DIRECTIVE_ID
AND o.OWNER IN ('SH')
ORDER BY 1,2,3,4,5;
DIR_ID OWN OBJECT_NA COL_NAME OBJECT TYPE STATE REASON
------------------- --- --------- ---------- ------ -------- --------- ------------
1484026771529551585 SH CUSTOMERS COUNTRY_ID COLUMN DYNAMIC_ SUPERSEDED SINGLE TABLE
SAMPLING CARDINALITY
MISESTIMATE
1484026771529551585 SH CUSTOMERS CUST_STATE_ COLUMN DYNAMIC_ SUPERSEDED SINGLE TABLE
PROVINCE SAMPLING CARDINALITY
MISESTIMATE
Chapter 10
When the Database Gathers Optimizer Statistics
10-27

1484026771529551585 SH CUSTOMERS TABLE DYNAMIC_ SUPERSEDED SINGLE TABLE
SAMPLING CARDINALITY
MISESTIMATE
Example 10-9 Execution Plan
SQL> SELECT * FROM TABLE(DBMS_XPLAN.DISPLAY_CURSOR(FORMAT=>'ALLSTATS LAST'));
PLAN_TABLE_OUTPUT
-------------------------------------
SQL_ID b74nw722wjvy3, child number 0
-------------------------------------
select /*+gather_plan_statistics*/ * from customers where
CUST_STATE_PROVINCE='CA' and country_id='US'
Plan hash value: 1683234692
-----------------------------------------------------------------------------------------
| Id | Operation | Name | Starts | E-Rows | A-Rows | A-Time | Buffers |
-----------------------------------------------------------------------------------------
| 0 | SELECT STATEMENT | | 1 | | 29 |00:00:00.01 | 17 |
|* 1 | TABLE ACCESS FULL| CUSTOMERS | 1 | 29 | 29 |00:00:00.01 | 17 |
-----------------------------------------------------------------------------------------
Predicate Information (identified by operation id):
---------------------------------------------------
1 - filter(("CUST_STATE_PROVINCE"='CA' AND "COUNTRY_ID"='US'))
19 rows selected.
10.4.3 When the Database Samples Data
Starting in Oracle Database 12c, the optimizer automatically decides whether dynamic
statistics are useful and which sample size to use for all SQL statements.
Note:
In earlier releases, dynamic statistics were called dynamic sampling.
The primary factor in the decision to use dynamic statistics is whether available
statistics are sufficient to generate an optimal plan. If statistics are insufficient, then the
optimizer uses dynamic statistics.
Automatic dynamic statistics are enabled when the
OPTIMIZER_DYNAMIC_SAMPLING
initialization parameter is not set to
0
. By default, the dynamic statistics level is set to
2
.
In general, the optimizer uses default statistics rather than dynamic statistics to
compute statistics needed during optimizations on tables, indexes, and columns. The
optimizer decides whether to use dynamic statistics based on several factors,
including the following:
•The SQL statement uses parallel execution.
•A SQL plan directive exists.
Chapter 10
When the Database Gathers Optimizer Statistics
10-28

The following diagram illustrates the process of gathering dynamic statistics.
Figure 10-2 Dynamic Statistics
Statistics missing?
Statistics insufficient?
SQL directive exists?
Parallel execution?
No
Optimizer
Yes
Sales
Determine sampling
size
SELECT ...
WHERE ...
Recursive
SQL
Execution
Plan
GB
HJ
HJ
Pass results to
optimizer for
use in plan
generation
SELECT ...
FROM sales
WHERE ...
CLIENT
SQL
As shown in Figure 10-2, the optimizer automatically gathers dynamic statistics in the
following cases:
•Missing statistics
When tables in a query have no statistics, the optimizer gathers basic statistics on
these tables before optimization. Statistics can be missing because the application
creates new objects without a follow-up call to
DBMS_STATS
to gather statistics, or
because statistics were locked on an object before statistics were gathered.
In this case, the statistics are not as high-quality or as complete as the statistics
gathered using the
DBMS_STATS
package. This trade-off is made to limit the impact
on the compile time of the statement.
•Insufficient statistics
Statistics can be insufficient whenever the optimizer estimates the selectivity of
predicates (filter or join) or the
GROUP BY
clause without taking into account
correlation between columns, skew in the column data distribution, statistics on
expressions, and so on.
Extended statistics help the optimizer obtain accurate quality cardinality estimates
for complex predicate expressions. The optimizer can use dynamic statistics to
compensate for the lack of extended statistics or when it cannot use extended
statistics, for example, for non-equality predicates.
Chapter 10
When the Database Gathers Optimizer Statistics
10-29

Note:
The database does not use dynamic statistics for queries that contain the
AS
OF
clause.
10.4.4 How the Database Samples Data
At the beginning of optimization, when deciding whether a table is a candidate for
dynamic statistics, the optimizer checks for the existence of persistent SQL plan
directives on the table.
For each directive, the optimizer registers a statistics expression that the optimizer
computes when determining the cardinality of a predicate involving the table. In
Figure 10-2, the database issues a recursive SQL statement to scan a small random
sample of the table blocks. The database applies the relevant single-table predicates
and joins to estimate predicate cardinalities.
The database persists the results of dynamic statistics as sharable statistics. The
database can share the results during the SQL compilation of one query with
recompilations of the same query. The database can also reuse the results for queries
that have the same patterns.
Chapter 10
When the Database Gathers Optimizer Statistics
10-30

11
Histograms
A histogram is a special type of column statistic that provides more detailed
information about the data distribution in a table column. A histogram sorts values into
"buckets," as you might sort coins into buckets.
Based on the NDV and the distribution of the data, the database chooses the type of
histogram to create. (In some cases, when creating a histogram, the database
samples an internally predetermined number of rows.) The types of histograms are as
follows:
•Frequency histograms and top frequency histograms
•Height-Balanced histograms (legacy)
•Hybrid histograms
This chapter contains the following topics:
•Purpose of Histograms
By default the optimizer assumes a uniform distribution of rows across the distinct
values in a column.
•When Oracle Database Creates Histograms
If
DBMS_STATS
gathers statistics for a table, and if queries have referenced the
columns in this table, then Oracle Database creates histograms automatically as
needed according to the previous query workload.
•How Oracle Database Chooses the Histogram Type
Oracle Database uses several criteria to determine which histogram to create:
frequency, top frequency, height-balanced, or hybrid.
•Cardinality Algorithms When Using Histograms
For histograms, the algorithm for cardinality depends on factors such as the
endpoint numbers and values, and whether column values are popular or
nonpopular.
•Frequency Histograms
In a frequency histogram, each distinct column value corresponds to a single
bucket of the histogram. Because each value has its own dedicated bucket, some
buckets may have many values, whereas others have few.
•Top Frequency Histograms
A top frequency histogram is a variation on a frequency histogram that ignores
nonpopular values that are statistically insignificant.
•Height-Balanced Histograms (Legacy)
In a legacy height-balanced histogram, column values are divided into buckets so
that each bucket contains approximately the same number of rows.
•Hybrid Histograms
A hybrid histogram combines characteristics of both height-based histograms
and frequency histograms. This "best of both worlds" approach enables the
optimizer to obtain better selectivity estimates in some situations.
11-1

11.1 Purpose of Histograms
By default the optimizer assumes a uniform distribution of rows across the distinct
values in a column.
For columns that contain data skew (a nonuniform distribution of data within the
column), a histogram enables the optimizer to generate accurate cardinality estimates
for filter and join predicates that involve these columns.
For example, a California-based book store ships 95% of the books to California, 4%
to Oregon, and 1% to Nevada. The book orders table has 300,000 rows. A table
column stores the state to which orders are shipped. A user queries the number of
books shipped to Oregon. Without a histogram, the optimizer assumes an even
distribution of 300000/3 (the NDV is 3), estimating cardinality at 100,000 rows. With
this estimate, the optimizer chooses a full table scan. With a histogram, the optimizer
calculates that 4% of the books are shipped to Oregon, and chooses an index scan.
11.2 When Oracle Database Creates Histograms
If
DBMS_STATS
gathers statistics for a table, and if queries have referenced the columns
in this table, then Oracle Database creates histograms automatically as needed
according to the previous query workload.
The basic process is as follows:
1. You run
DBMS_STATS
for a table with the
METHOD_OPT
parameter set to the default
SIZE
AUTO
.
2. A user queries the table.
3. The database notes the predicates in the preceding query and updates the data
dictionary table
SYS.COL_USAGE$
.
4. You run
DBMS_STATS
again, causing
DBMS_STATS
to query
SYS.COL_USAGE$
to determine
which columns require histograms based on the previous query workload.
Consequences of the
AUTO
feature include the following:
•As queries change over time,
DBMS_STATS
may change which statistics it gathers.
For example, even if the data in a table does not change, queries and
DBMS_STATS
operations can cause the plans for queries that reference these tables to change.
•If you gather statistics for a table and do not query the table, then the database
does not create histograms for columns in this table. For the database to create
the histograms automatically, you must run one or more queries to populate the
column usage information in
SYS.COL_USAGE$
.
Example 11-1 Automatic Histogram Creation
Assume that
sh.sh_ext
is an external table that contains the same rows as the
sh.sales
table. You create new table
sales2
and perform a bulk load using
sh_ext
as a
source, which automatically creates statistics for
sales2
. You also create indexes as
follows:
SQL> CREATE TABLE sales2 AS SELECT * FROM sh_ext;
SQL> CREATE INDEX sh_12c_idx1 ON sales2(prod_id);
SQL> CREATE INDEX sh_12c_idx2 ON sales2(cust_id,time_id);
Chapter 11
Purpose of Histograms
11-2

You query the data dictionary to determine whether histograms exist for the
sales2
columns. Because
sales2
has not yet been queried, the database has not yet created
histograms:
SQL> SELECT COLUMN_NAME, NOTES, HISTOGRAM
2 FROM USER_TAB_COL_STATISTICS
3 WHERE TABLE_NAME = 'SALES2';
COLUMN_NAME NOTES HISTOGRAM
------------- -------------- ---------
AMOUNT_SOLD STATS_ON_LOAD NONE
QUANTITY_SOLD STATS_ON_LOAD NONE
PROMO_ID STATS_ON_LOAD NONE
CHANNEL_ID STATS_ON_LOAD NONE
TIME_ID STATS_ON_LOAD NONE
CUST_ID STATS_ON_LOAD NONE
PROD_ID STATS_ON_LOAD NONE
You query
sales2
for the number of rows for product
42
, and then gather table statistics
using the
GATHER AUTO
option:
SQL> SELECT COUNT(*) FROM sales2 WHERE prod_id = 42;
COUNT(*)
----------
12116
SQL> EXEC DBMS_STATS.GATHER_TABLE_STATS(USER,'SALES2',OPTIONS=>'GATHER AUTO');
A query of the data dictionary now shows that the database created a histogram on
the
prod_id
column based on the information gather during the preceding query:
SQL> SELECT COLUMN_NAME, NOTES, HISTOGRAM
2 FROM USER_TAB_COL_STATISTICS
3 WHERE TABLE_NAME = 'SALES2';
COLUMN_NAME NOTES HISTOGRAM
------------- -------------- ---------
AMOUNT_SOLD STATS_ON_LOAD NONE
QUANTITY_SOLD STATS_ON_LOAD NONE
PROMO_ID STATS_ON_LOAD NONE
CHANNEL_ID STATS_ON_LOAD NONE
TIME_ID STATS_ON_LOAD NONE
CUST_ID STATS_ON_LOAD NONE
PROD_ID HISTOGRAM_ONLY FREQUENCY
11.3 How Oracle Database Chooses the Histogram Type
Oracle Database uses several criteria to determine which histogram to create:
frequency, top frequency, height-balanced, or hybrid.
The histogram formula uses the following variables:
•NDV
This represents the number of distinct values in a column. For example, if a
column only contains the values
100
,
200
, and
300
, then the NDV for this column is
3.
•n
Chapter 11
How Oracle Database Chooses the Histogram Type
11-3

This variable represents the number of histogram buckets. The default is 254.
•p
This variable represents an internal percentage threshold that is equal to (1–(1/n))
* 100. For example, if n = 254, then p is 99.6.
An additional criterion is whether the
estimate_percent
parameter in the
DBMS_STATS
statistics gathering procedure is set to
AUTO_SAMPLE_SIZE
(default).
The following diagram shows the decision tree for histogram creation.
Figure 11-1 Decision Tree for Histogram Creation
NDV>n
Yes Yes Yes
Frequency
Histogram
?
No
ESTIMATE_PERCENT=
AUTO_SAMPLE_SIZE
Height-Balanced
Histogram
No
Percentage
of rows for top n
frequent values >= p
Hybrid
Histogram
No
Top n
Frequency
Histogram
NDV = Number of distinct values
n = Number of histogram buckets (default is 254)
p = (1-(1/n))*100
11.4 Cardinality Algorithms When Using Histograms
For histograms, the algorithm for cardinality depends on factors such as the endpoint
numbers and values, and whether column values are popular or nonpopular.
This section contains the following topics:
•Endpoint Numbers and Values
An endpoint number is a number that uniquely identifies a bucket. In frequency
and hybrid histograms, the endpoint number is the cumulative frequency of all
values included in the current and previous buckets.
•Popular and Nonpopular Values
The popularity of a value in a histogram affects the cardinality estimate algorithm.
•Bucket Compression
In some cases, to reduce the total number of buckets, the optimizer compresses
multiple buckets into a single bucket.
11.4.1 Endpoint Numbers and Values
An endpoint number is a number that uniquely identifies a bucket. In frequency and
hybrid histograms, the endpoint number is the cumulative frequency of all values
included in the current and previous buckets.
Chapter 11
Cardinality Algorithms When Using Histograms
11-4

For example, a bucket with endpoint number
100
means the total frequency of values
in the current and all previous buckets is 100. In height-balanced histograms, the
optimizer numbers buckets sequentially, starting at
0
or
1
. In all cases, the endpoint
number is the bucket number.
An endpoint value is the highest value in the range of values in a bucket. For example,
if a bucket contains only the values
52794
and
52795
, then the endpoint value is
52795
.
11.4.2 Popular and Nonpopular Values
The popularity of a value in a histogram affects the cardinality estimate algorithm.
Specifically, the cardinality estimate is affected as follows:
•Popular values
A popular value occurs as an endpoint value of multiple buckets. The optimizer
determines whether a value is popular by first checking whether it is the endpoint
value for a bucket. If so, then for frequency histograms, the optimizer subtracts the
endpoint number of the previous bucket from the endpoint number of the current
bucket. Hybrid histograms already store this information for each endpoint
individually. If this value is greater than 1, then the value is popular.
The optimizer calculates its cardinality estimate for popular values using the
following formula:
cardinality of popular value =
(num of rows in table) *
(num of endpoints spanned by this value / total num of endpoints)
•Nonpopular values
Any value that is not popular is a nonpopular value. The optimizer calculates the
cardinality estimates for nonpopular values using the following formula:
cardinality of nonpopular value =
(num of rows in table) * density
The optimizer calculates density using an internal algorithm based on factors such
as the number of buckets and the NDV. Density is expressed as a decimal number
between
0
and
1
. Values close to
1
indicate that the optimizer expects many rows
to be returned by a query referencing this column in its predicate list. Values close
to
0
indicate that the optimizer expects few rows to be returned.
11.4.3 Bucket Compression
In some cases, to reduce the total number of buckets, the optimizer compresses
multiple buckets into a single bucket.
For example, the following frequency histogram indicates that the first bucket number
is
1
and the last bucket number is
23
:
ENDPOINT_NUMBER ENDPOINT_VALUE
--------------- --------------
1 52792
6 52793
8 52794
9 52795
10 52796
Chapter 11
Cardinality Algorithms When Using Histograms
11-5

12 52797
14 52798
23 52799
Several buckets are "missing." Originally, buckets
2
through
6
each contained a single
instance of value
52793
. The optimizer compressed all of these buckets into the bucket
with the highest endpoint number (bucket
6
), which now contains 5 instances of value
52793
. This value is popular because the difference between the endpoint number of
the current bucket (
6
) and the previous bucket (
1
) is 5. Thus, before compression the
value
52793
was the endpoint for 5 buckets.
The following annotations show which buckets are compressed, and which values are
popular:
ENDPOINT_NUMBER ENDPOINT_VALUE
--------------- --------------
1 52792 -> nonpopular
6 52793 -> buckets 2-6 compressed into 6; popular
8 52794 -> buckets 7-8 compressed into 8; popular
9 52795 -> nonpopular
10 52796 -> nonpopular
12 52797 -> buckets 11-12 compressed into 12; popular
14 52798 -> buckets 13-14 compressed into 14; popular
23 52799 -> buckets 15-23 compressed into 23; popular
11.5 Frequency Histograms
In a frequency histogram, each distinct column value corresponds to a single bucket
of the histogram. Because each value has its own dedicated bucket, some buckets
may have many values, whereas others have few.
An analogy to a frequency histogram is sorting coins so that each individual coin
initially gets its own bucket. For example, the first penny is in bucket 1, the second
penny is in bucket 2, the first nickel is in bucket 3, and so on. You then consolidate all
the pennies into a single penny bucket, all the nickels into a single nickel bucket, and
so on with the remainder of the coins.
This section contains the following topics:
•Criteria For Frequency Histograms
Frequency histograms depend on the number of requested histogram buckets.
•Generating a Frequency Histogram
This scenario shows how to generate a frequency histogram using the sample
schemas.
11.5.1 Criteria For Frequency Histograms
Frequency histograms depend on the number of requested histogram buckets.
As shown in the logic diagram in "How Oracle Database Chooses the Histogram
Type", the database creates a frequency histogram when the following criteria are met:
•NDV is less than or equal to n, where n is the number of histogram buckets
(default
254
).
Chapter 11
Frequency Histograms
11-6

For example, the
sh.countries.country_subregion_id
column has 8 distinct values,
ranging sequentially from
52792
to
52799
. If n is the default of
254
, then the
optimizer creates a frequency histogram because
8 <= 254
.
•The
estimate_percent
parameter in the
DBMS_STATS
statistics gathering procedure is
set to either a user-specified value or to
AUTO_SAMPLE_SIZE
.
Starting in Oracle Database 12c, if the sampling size is the default of
AUTO_SAMPLE_SIZE
,
then the database creates frequency histograms from a full table scan. For all other
sampling percentage specifications, the database derives frequency histograms from a
sample. In releases earlier than Oracle Database 12c, the database gathered
histograms based on a small sample, which meant that low-frequency values often did
not appear in the sample. Using density in this case sometimes led the optimizer to
overestimate selectivity.
11.5.2 Generating a Frequency Histogram
This scenario shows how to generate a frequency histogram using the sample
schemas.
Assumptions
This scenario assumes that you want to generate a frequency histogram on the
sh.countries.country_subregion_id
column. This table has 23 rows.
The following query shows that the
country_subregion_id
column contains 8 distinct
values (sample output included) that are unevenly distributed:
SELECT country_subregion_id, count(*)
FROM sh.countries
GROUP BY country_subregion_id
ORDER BY 1;
COUNTRY_SUBREGION_ID COUNT(*)
-------------------- ----------
52792 1
52793 5
52794 2
52795 1
52796 1
52797 2
52798 2
52799 9
To generate a frequency histogram:
1. Gather statistics for
sh.countries
and the
country_subregion_id
column, letting the
number of buckets default to 254.
For example, execute the following PL/SQL anonymous block:
BEGIN
DBMS_STATS.GATHER_TABLE_STATS (
ownname => 'SH'
, tabname => 'COUNTRIES'
, method_opt => 'FOR COLUMNS COUNTRY_SUBREGION_ID'
);
END;
2. Query the histogram information for the
country_subregion_id
column.
Chapter 11
Frequency Histograms
11-7

For example, use the following query (sample output included):
SELECT TABLE_NAME, COLUMN_NAME, NUM_DISTINCT, HISTOGRAM
FROM USER_TAB_COL_STATISTICS
WHERE TABLE_NAME='COUNTRIES'
AND COLUMN_NAME='COUNTRY_SUBREGION_ID';
TABLE_NAME COLUMN_NAME NUM_DISTINCT HISTOGRAM
---------- -------------------- ------------ ---------------
COUNTRIES COUNTRY_SUBREGION_ID 8 FREQUENCY
The optimizer chooses a frequency histogram because n or fewer distinct values
exist in the column, where n defaults to
254
.
3. Query the endpoint number and endpoint value for the
country_subregion_id
column.
For example, use the following query (sample output included):
SELECT ENDPOINT_NUMBER, ENDPOINT_VALUE
FROM USER_HISTOGRAMS
WHERE TABLE_NAME='COUNTRIES'
AND COLUMN_NAME='COUNTRY_SUBREGION_ID';
ENDPOINT_NUMBER ENDPOINT_VALUE
--------------- --------------
1 52792
6 52793
8 52794
9 52795
10 52796
12 52797
14 52798
23 52799
Figure 11-2 is a graphical illustration of the 8 buckets in the histogram. Each value
is represented as a coin that is dropped into a bucket.
Chapter 11
Frequency Histograms
11-8

Figure 11-2 Frequency Histogram
52797
5279752797
Endpoint Value
Endpoint
Number: 12
52796
52796
Endpoint Value
Endpoint
Number: 10
52795
52795
Endpoint Value
Endpoint
Number: 9
52794
5279452794
Endpoint Value
Endpoint
Number: 8
52793
52793 5279352793
5279352793
Endpoint Value
Endpoint
Number: 6
52792
52792
Endpoint Value
Endpoint
Number: 1
52799
52799 5279952799
52799 5279952799
5279952799
52799
Endpoint Value
Endpoint
Number: 23
52798
5279852798
Endpoint Value
Endpoint
Number: 14
As shown in Figure 11-2, each distinct value has its own bucket. Because this is a
frequency histogram, the endpoint number is the cumulative frequency of
endpoints. For
52793
, the endpoint number
6
indicates that the value appears 5
times (6 - 1). For
52794
, the endpoint number
8
indicates that the value appears 2
times (8 - 6).
Every bucket whose endpoint is at least 2 greater than the previous endpoint
contains a popular value. Thus, buckets
6
,
8
,
12
,
14
, and
23
contain popular values.
Chapter 11
Frequency Histograms
11-9

The optimizer calculates their cardinality based on endpoint numbers. For
example, the optimizer calculates the cardinality (
C
) of value
52799
using the
following formula, where the number of rows in the table is 23:
C = 23 * ( 9 / 23 )
Buckets
1
,
9
, and
10
contain nonpopular values. The optimizer estimates their
cardinality based on density.
11.6 Top Frequency Histograms
A top frequency histogram is a variation on a frequency histogram that ignores
nonpopular values that are statistically insignificant.
For example, if a pile of 1000 coins contains only a single penny, then you can ignore
the penny when sorting the coins into buckets. A top frequency histogram can produce
a better histogram for highly popular values.
This section contains the following topics:
•Criteria For Top Frequency Histograms
If a small number of values occupies most of the rows, then creating a frequency
histogram on this small set of values is useful even when the NDV is greater than
the number of requested histogram buckets. To create a better quality histogram
for popular values, the optimizer ignores the nonpopular values and creates a top
frequency histogram.
•Generating a Top Frequency Histogram
This scenario shows how to generate a top frequency histogram using the sample
schemas.
11.6.1 Criteria For Top Frequency Histograms
If a small number of values occupies most of the rows, then creating a frequency
histogram on this small set of values is useful even when the NDV is greater than the
number of requested histogram buckets. To create a better quality histogram for
popular values, the optimizer ignores the nonpopular values and creates a top
frequency histogram.
As shown in the logic diagram in "How Oracle Database Chooses the Histogram
Type", the database creates a top frequency histogram when the following criteria are
met:
•NDV is greater than n, where n is the number of histogram buckets (default
254
).
•The percentage of rows occupied by the top n frequent values is equal to or
greater than threshold p, where p is
(1-(1/n))*100
.
•The
estimate_percent
parameter in the
DBMS_STATS
statistics gathering procedure is
set to
AUTO_SAMPLE_SIZE
.
Chapter 11
Top Frequency Histograms
11-10

11.6.2 Generating a Top Frequency Histogram
This scenario shows how to generate a top frequency histogram using the sample
schemas.
Assumptions
This scenario assumes that you want to generate a top frequency histogram on the
sh.countries.country_subregion_id
column. This table has 23 rows.
The following query shows that the
country_subregion_id
column contains 8 distinct
values (sample output included) that are unevenly distributed:
SELECT country_subregion_id, count(*)
FROM sh.countries
GROUP BY country_subregion_id
ORDER BY 1;
COUNTRY_SUBREGION_ID COUNT(*)
-------------------- ----------
52792 1
52793 5
52794 2
52795 1
52796 1
52797 2
52798 2
52799 9
To generate a top frequency histogram:
1. Gather statistics for
sh.countries
and the
country_subregion_id
column, specifying
fewer buckets than distinct values.
For example, enter the following command to specify 7 buckets:
BEGIN
DBMS_STATS.GATHER_TABLE_STATS (
ownname => 'SH'
, tabname => 'COUNTRIES'
, method_opt => 'FOR COLUMNS COUNTRY_SUBREGION_ID SIZE 7'
);
END;
2. Query the histogram information for the
country_subregion_id
column.
For example, use the following query (sample output included):
SELECT TABLE_NAME, COLUMN_NAME, NUM_DISTINCT, HISTOGRAM
FROM USER_TAB_COL_STATISTICS
WHERE TABLE_NAME='COUNTRIES'
AND COLUMN_NAME='COUNTRY_SUBREGION_ID';
TABLE_NAME COLUMN_NAME NUM_DISTINCT HISTOGRAM
---------- -------------------- ------------ ---------------
COUNTRIES COUNTRY_SUBREGION_ID 7 TOP-FREQUENCY
The
sh.countries.country_subregion_id
column contains 8 distinct values, but the
histogram only contains 7 buckets, making n
=7
. In this case, the database can only
create a top frequency or hybrid histogram. In the
country_subregion_id
column,
Chapter 11
Top Frequency Histograms
11-11

the top 7 most frequent values occupy 95.6% of the rows, which exceeds the
threshold of 85.7%, generating a top frequency histogram.
3. Query the endpoint number and endpoint value for the column.
For example, use the following query (sample output included):
SELECT ENDPOINT_NUMBER, ENDPOINT_VALUE
FROM USER_HISTOGRAMS
WHERE TABLE_NAME='COUNTRIES'
AND COLUMN_NAME='COUNTRY_SUBREGION_ID';
ENDPOINT_NUMBER ENDPOINT_VALUE
--------------- --------------
1 52792
6 52793
8 52794
9 52796
11 52797
13 52798
22 52799
Figure 11-3 is a graphical illustration of the 7 buckets in the top frequency
histogram. The values are represented in the diagram as coins.
Chapter 11
Top Frequency Histograms
11-12

Figure 11-3 Top Frequency Histogram
52797
5279752797
Endpoint Value
Endpoint
Number: 11
52796
52796
Endpoint Value
Endpoint
Number: 9
52794
5279452794
Endpoint Value
Endpoint
Number: 8
52793
52793 5279352793
5279352793
Endpoint Value
Endpoint
Number: 6
52792
52792
Endpoint Value
Endpoint
Number: 1
52799
52799 5279952799
52799 5279952799
5279952799
52799
Endpoint Value
Endpoint
Number: 22
52798
5279852798
Endpoint Value
Endpoint
Number: 13
As shown in Figure 11-3, each distinct value has its own bucket except for
52795
,
which is excluded from the histogram because it is nonpopular and statistically
insignificant. As in a standard frequency histogram, the endpoint number
represents the cumulative frequency of values.
Chapter 11
Top Frequency Histograms
11-13

11.7 Height-Balanced Histograms (Legacy)
In a legacy height-balanced histogram, column values are divided into buckets so that
each bucket contains approximately the same number of rows.
For example, if you have 99 coins to distribute among 4 buckets, each bucket contains
about 25 coins. The histogram shows where the endpoints fall in the range of values.
This section contains the following topics:
•Criteria for Height-Balanced Histograms
Before Oracle Database 12c, the database created a height-balanced histogram
when the NDV was greater than n. This type of histogram was useful for range
predicates, and equality predicates on values that appear as endpoints in at least
two buckets.
•Generating a Height-Balanced Histogram
This scenario shows how to generate a height-balanced histogram using the
sample schemas.
11.7.1 Criteria for Height-Balanced Histograms
Before Oracle Database 12c, the database created a height-balanced histogram when
the NDV was greater than n. This type of histogram was useful for range predicates,
and equality predicates on values that appear as endpoints in at least two buckets.
As shown in the logic diagram in "How Oracle Database Chooses the Histogram
Type", the database creates a height-balanced histogram when the following criteria
are met:
•NDV is greater than n, where n is the number of histogram buckets (default
254
).
•The
estimate_percent
parameter in the
DBMS_STATS
statistics gathering procedure is
not set to
AUTO_SAMPLE_SIZE
.
It follows that if Oracle Database 12c creates new histograms, and if the sampling
percentage is
AUTO_SAMPLE_SIZE
, then the histograms are either top frequency or hybrid,
but not height-balanced.
If you upgrade Oracle Database 11g to Oracle Database 12c, then any height-based
histograms created before the upgrade remain in use. However, if you refresh
statistics on the table on which the histogram was created, then the database replaces
existing height-balanced histograms on this table. The type of replacement histogram
depends on both the NDV and the following criteria:
•If the sampling percentage is
AUTO_SAMPLE_SIZE
, then the database creates either
hybrid or frequency histograms.
•If the sampling percentage is not
AUTO_SAMPLE_SIZE
, then the database creates
either height-balanced or frequency histograms.
Chapter 11
Height-Balanced Histograms (Legacy)
11-14

11.7.2 Generating a Height-Balanced Histogram
This scenario shows how to generate a height-balanced histogram using the sample
schemas.
Assumptions
This scenario assumes that you want to generate a height-balanced histogram on the
sh.countries.country_subregion_id
column. This table has 23 rows.
The following query shows that the
country_subregion_id
column contains 8 distinct
values (sample output included) that are unevenly distributed:
SELECT country_subregion_id, count(*)
FROM sh.countries
GROUP BY country_subregion_id
ORDER BY 1;
COUNTRY_SUBREGION_ID COUNT(*)
-------------------- ----------
52792 1
52793 5
52794 2
52795 1
52796 1
52797 2
52798 2
52799 9
To generate a height-balanced histogram:
1. Gather statistics for
sh.countries
and the
country_subregion_id
column, specifying
fewer buckets than distinct values.
Note:
To simulate Oracle Database 11g behavior, which is necessary to create
a height-based histogram, set
estimate_percent
to a nondefault value. If
you specify a nondefault percentage, then the database creates
frequency or height-balanced histograms.
For example, enter the following command:
BEGIN DBMS_STATS.GATHER_TABLE_STATS (
ownname => 'SH'
, tabname => 'COUNTRIES'
, method_opt => 'FOR COLUMNS COUNTRY_SUBREGION_ID SIZE 7'
, estimate_percent => 100
);
END;
2. Query the histogram information for the
country_subregion_id
column.
For example, use the following query (sample output included):
SELECT TABLE_NAME, COLUMN_NAME, NUM_DISTINCT, HISTOGRAM
FROM USER_TAB_COL_STATISTICS
Chapter 11
Height-Balanced Histograms (Legacy)
11-15

WHERE TABLE_NAME='COUNTRIES'
AND COLUMN_NAME='COUNTRY_SUBREGION_ID';
TABLE_NAME COLUMN_NAME NUM_DISTINCT HISTOGRAM
---------- -------------------- ------------ ---------------
COUNTRIES COUNTRY_SUBREGION_ID 8 HEIGHT BALANCED
The optimizer chooses a height-balanced histogram because the number of
distinct values (8) is greater than the number of buckets (7), and the
estimate_percent
value is nondefault.
3. Query the number of rows occupied by each distinct value.
For example, use the following query (sample output included):
SELECT COUNT(country_subregion_id) AS NUM_OF_ROWS, country_subregion_id
FROM countries
GROUP BY country_subregion_id
ORDER BY 2;
NUM_OF_ROWS COUNTRY_SUBREGION_ID
----------- --------------------
1 52792
5 52793
2 52794
1 52795
1 52796
2 52797
2 52798
9 52799
4. Query the endpoint number and endpoint value for the
country_subregion_id
column.
For example, use the following query (sample output included):
SELECT ENDPOINT_NUMBER, ENDPOINT_VALUE
FROM USER_HISTOGRAMS
WHERE TABLE_NAME='COUNTRIES'
AND COLUMN_NAME='COUNTRY_SUBREGION_ID';
ENDPOINT_NUMBER ENDPOINT_VALUE
--------------- --------------
0 52792
2 52793
3 52795
4 52798
7 52799
The following illustration represents a height-balanced histogram. The values are
represented in the diagram as coins.
Chapter 11
Height-Balanced Histograms (Legacy)
11-16

Figure 11-4 Height-Balanced Histogram
52795
5279552794
52794
Endpoint Value
Endpoint
Number: 3
52793
52793 5279352793
5279352793
Endpoint Value
Endpoint
Number: 2
52792
52792
Endpoint Value
Endpoint
Number: 0
52799
52799 5279952799
52799 5279952799
5279952799
52799
Endpoint Value
Endpoint
Number: 7
52798
5279852798
5279752797
Endpoint Value
Endpoint
Number: 4
The bucket number is identical to the endpoint number. The optimizer records the
value of the last row in each bucket as the endpoint value, and then checks to
ensure that the minimum value is the endpoint value of the first bucket, and the
maximum value is the endpoint value of the last bucket. In this example, the
optimizer adds bucket
0
so that the minimum value
52792
is the endpoint of a
bucket.
The optimizer must evenly distribute 23 rows into the 7 specified histogram
buckets, so each bucket contains approximately 3 rows. However, the optimizer
compresses buckets with the same endpoint. So, instead of bucket
1
containing 2
instances of value
52793
, and bucket
2
containing 3 instances of value
52793
, the
optimizer puts all 5 instances of value
52793
into bucket
2
. Similarly, instead of
having buckets
5
,
6
, and
7
contain 3 values each, with the endpoint of each bucket
as
52799
, the optimizer puts all 9 instances of value
52799
into bucket
7
.
In this example, buckets
3
and
4
contain nonpopular values because the difference
between the current endpoint number and previous endpoint number is 1. The
optimizer calculates cardinality for these values based on density. The remaining
buckets contain popular values. The optimizer calculates cardinality for these
values based on endpoint numbers.
Chapter 11
Height-Balanced Histograms (Legacy)
11-17

11.8 Hybrid Histograms
A hybrid histogram combines characteristics of both height-based histograms and
frequency histograms. This "best of both worlds" approach enables the optimizer to
obtain better selectivity estimates in some situations.
The height-based histogram sometimes produces inaccurate estimates for values that
are almost popular. For example, a value that occurs as an endpoint value of only one
bucket but almost occupies two buckets is not considered popular.
To solve this problem, a hybrid histogram distributes values so that no value occupies
more than one bucket, and then stores the endpoint repeat count value, which is the
number of times the endpoint value is repeated, for each endpoint (bucket) in the
histogram. By using the repeat count, the optimizer can obtain accurate estimates for
almost popular values.
This section contains the following topics:
•How Endpoint Repeat Counts Work
The analogy of coins distributed among buckets illustrate show endpoint repeat
counts work.
•Criteria for Hybrid Histograms
The only differentiating criterion for hybrid histograms as compared to top
frequency histograms is that the top n frequent values is less than internal
threshold p.
•Generating a Hybrid Histogram
This scenario shows how to generate a hybrid histogram using the sample
schemas.
11.8.1 How Endpoint Repeat Counts Work
The analogy of coins distributed among buckets illustrate show endpoint repeat counts
work.
The following figure illustrates a
coins
column that sorts values from low to high.
Figure 11-5 Coins
1 1 1 5 5 5 10 10 25 25 25 25 50 100 100
You gather statistics for this table, setting the
method_opt
argument of
DBMS_STATS.GATHER_TABLE_STATS
to
FOR ALL COLUMNS SIZE 3
. In this case, the optimizer
initially groups the values in the
coins
column into three buckets, as shown in the
following figure.
Chapter 11
Hybrid Histograms
11-18

Figure 11-6 Initial Distribution of Values
1 1 1
5 5
5
Endpoint Value
Bucket 1
5 10 10
25 25
25
Endpoint Value
Bucket 2
25 25 50
100 100
100
Endpoint Value
Bucket 3
If a bucket border splits a value so that some occurrences of the value are in one
bucket and some in another, then the optimizer shifts the bucket border (and all other
following bucket borders) forward to include all occurrences of the value. For example,
the optimizer shifts value
5
so that it is now wholly in the first bucket, and the value
25
is now wholly in the second bucket.
Figure 11-7 Redistribution of Values
1 1 1
5 5
5
5
Endpoint Value
Bucket 1
25 25
25 25
10 10
25
Endpoint Value
Bucket 2
50
100 100
100
Endpoint Value
Bucket 3
The endpoint repeat count measures the number of times that the corresponding
bucket endpoint, which is the value at the right bucket border, repeats itself. For
example, in the first bucket, the value
5
is repeated 3 times, so the endpoint repeat
count is
3
.
Chapter 11
Hybrid Histograms
11-19

Figure 11-8 Endpoint Repeat Count
1 1 1
5 5
5
5
Endpoint Value
Bucket 1
Repeat Count: 3
25 25
25 25
10 10
25
Endpoint Value
Bucket 2
Repeat Count: 4
50
100 100
100
Endpoint Value
Bucket 3
Repeat Count: 2
Height-balanced histograms do not store as much information as hybrid histograms.
By using repeat counts, the optimizer can determine exactly how many occurrences of
an endpoint value exist. For example, the optimizer knows that the value
5
appears 3
times, the value
25
appears 4 times, and the value
100
appears 2 times. This frequency
information helps the optimizer to generate better cardinality estimates.
11.8.2 Criteria for Hybrid Histograms
The only differentiating criterion for hybrid histograms as compared to top frequency
histograms is that the top n frequent values is less than internal threshold p.
As shown in the logic diagram in "How Oracle Database Chooses the Histogram
Type", the database creates a hybrid histogram when the following criteria are met:
•NDV is greater than n, where n is the number of histogram buckets (default is
254
).
•The criteria for top frequency histograms do not apply.
This is another way to stating that the percentage of rows occupied by the top n
frequent values is less than threshold p, where p is
(1-(1/n))*100
.
•The
estimate_percent
parameter in the
DBMS_STATS
statistics gathering procedure is
set to
AUTO_SAMPLE_SIZE
.
If users specify their own percentage, then the database creates frequency or
height-balanced histograms.
11.8.3 Generating a Hybrid Histogram
This scenario shows how to generate a hybrid histogram using the sample schemas.
Assumptions
This scenario assumes that you want to generate a hybrid histogram on the
sh.products.prod_subcategory_id
column. This table has 72 rows. The
prod_subcategory_id
column contains 22 distinct values.
Chapter 11
Hybrid Histograms
11-20

To generate a hybrid histogram:
1. Gather statistics for
sh.products
and the
prod_subcategory_id
column, specifying
10 buckets.
For example, enter the following command:
BEGIN DBMS_STATS.GATHER_TABLE_STATS (
ownname => 'SH'
, tabname => 'PRODUCTS'
, method_opt => 'FOR COLUMNS PROD_SUBCATEGORY_ID SIZE 10'
);
END;
2. Query the number of rows occupied by each distinct value.
For example, use the following query (sample output included):
SELECT COUNT(prod_subcategory_id) AS NUM_OF_ROWS, prod_subcategory_id
FROM products
GROUP BY prod_subcategory_id
ORDER BY 1 DESC;
NUM_OF_ROWS PROD_SUBCATEGORY_ID
----------- -------------------
8 2014
7 2055
6 2032
6 2054
5 2056
5 2031
5 2042
5 2051
4 2036
3 2043
2 2033
2 2034
2 2013
2 2012
2 2053
2 2035
1 2022
1 2041
1 2044
1 2011
1 2021
1 2052
22 rows selected.
The column contains 22 distinct values. Because the number of buckets (10) is
less than 22, the optimizer cannot create a frequency histogram. The optimizer
considers both hybrid and top frequency histograms. To qualify for a top frequency
histogram, the percentage of rows occupied by the top 10 most frequent values
must be equal to or greater than threshold p, where p is (1-(1/10))*100, or 90%.
However, in this case the top 10 most frequent values occupy 54 rows out of 72,
which is only 75% of the total. Therefore, the optimizer chooses a hybrid histogram
because the criteria for a top frequency histogram do not apply.
3. Query the histogram information for the
country_subregion_id
column.
Chapter 11
Hybrid Histograms
11-21

For example, use the following query (sample output included):
SELECT TABLE_NAME, COLUMN_NAME, NUM_DISTINCT, HISTOGRAM
FROM USER_TAB_COL_STATISTICS
WHERE TABLE_NAME='PRODUCTS'
AND COLUMN_NAME='PROD_SUBCATEGORY_ID';
TABLE_NAME COLUMN_NAME NUM_DISTINCT HISTOGRAM
---------- ------------------- ------------ ---------
PRODUCTS PROD_SUBCATEGORY_ID 22 HYBRID
4. Query the endpoint number, endpoint value, and endpoint repeat count for the
country_subregion_id
column.
For example, use the following query (sample output included):
SELECT ENDPOINT_NUMBER, ENDPOINT_VALUE, ENDPOINT_REPEAT_COUNT
FROM USER_HISTOGRAMS
WHERE TABLE_NAME='PRODUCTS'
AND COLUMN_NAME='PROD_SUBCATEGORY_ID'
ORDER BY 1;
ENDPOINT_NUMBER ENDPOINT_VALUE ENDPOINT_REPEAT_COUNT
--------------- -------------- ---------------------
1 2011 1
13 2014 8
26 2032 6
36 2036 4
45 2043 3
51 2051 5
52 2052 1
54 2053 2
60 2054 6
72 2056 5
10 rows selected.
In a height-based histogram, the optimizer would evenly distribute 72 rows into the
10 specified histogram buckets, so that each bucket contains approximately 7
rows. Because this is a hybrid histogram, the optimizer distributes the values so
that no value occupies more than one bucket. For example, the optimizer does not
put some instances of value
2036
into one bucket and some instances of this value
into another bucket: all instances are in bucket
36
.
The endpoint repeat count shows the number of times the highest value in the
bucket is repeated. By using the endpoint number and repeat count for these
values, the optimizer can estimate cardinality. For example, bucket
36
contains
instances of values
2033
,
2034
,
2035
, and
2036
. The endpoint value
2036
has an
endpoint repeat count of
4
, so the optimizer knows that 4 instances of this value
exist. For values such as
2033
, which are not endpoints, the optimizer estimates
cardinality using density.
Chapter 11
Hybrid Histograms
11-22

12
Configuring Options for Optimizer Statistics
Gathering
This chapter explains what optimizer statistics collection is and how to set statistics
preferences.
This chapter contains the following topics:
•About Optimizer Statistics Collection
In Oracle Database, optimizer statistics collection is the gathering of optimizer
statistics for database objects, including fixed objects.
•Setting Optimizer Statistics Preferences
This topic explains how to set optimizer statistics defaults using
DBMS_STATS.SET_*_PREFS
procedures.
•Configuring Options for Dynamic Statistics
Dynamic statistics are an optimization technique in which the database uses
recursive SQL to scan a small random sample of the blocks in a table.
•Managing SQL Plan Directives
A SQL plan directive is additional information and instructions that the optimizer
can use to generate a more optimal plan.
12.1 About Optimizer Statistics Collection
In Oracle Database, optimizer statistics collection is the gathering of optimizer
statistics for database objects, including fixed objects.
The database can collect optimizer statistics automatically. You can also collect them
manually using the
DBMS_STATS
package.
This section contains the following topics:
•Purpose of Optimizer Statistics Collection
The contents of tables and associated indexes change frequently, which can lead
the optimizer to choose suboptimal execution plan for queries. To avoid potential
performance issues, statistics must be kept current.
•User Interfaces for Optimizer Statistics Management
You can manage optimizer statistics either through Oracle Enterprise Manager
Cloud Control (Cloud Control) or using PL/SQL on the command line.
12.1.1 Purpose of Optimizer Statistics Collection
The contents of tables and associated indexes change frequently, which can lead the
optimizer to choose suboptimal execution plan for queries. To avoid potential
performance issues, statistics must be kept current.
12-1

To minimize DBA involvement, Oracle Database automatically gathers optimizer
statistics at various times. Some automatic options are configurable, such enabling
AutoTask to run
DBMS_STATS
.
12.1.2 User Interfaces for Optimizer Statistics Management
You can manage optimizer statistics either through Oracle Enterprise Manager Cloud
Control (Cloud Control) or using PL/SQL on the command line.
This section contains the following topics:
•Graphical Interface for Optimizer Statistics Management
The Manage Optimizer Statistics page in Cloud Control is a GUI that enables you
to manage optimizer statistics.
•Command-Line Interface for Optimizer Statistics Management
The
DBMS_STATS
package performs most optimizer statistics tasks.
12.1.2.1 Graphical Interface for Optimizer Statistics Management
The Manage Optimizer Statistics page in Cloud Control is a GUI that enables you to
manage optimizer statistics.
This section contains the following topics:
•Accessing the Database Home Page in Cloud Control
Oracle Enterprise Manager Cloud Control enables you to manage multiple
databases within a single GUI-based framework.
•Accessing the Optimizer Statistics Console
You can perform most necessary tasks relating to optimizer statistics through
pages linked to by the Optimizer Statistics Console page.
12.1.2.1.1 Accessing the Database Home Page in Cloud Control
Oracle Enterprise Manager Cloud Control enables you to manage multiple databases
within a single GUI-based framework.
To access a database home page using Cloud Control:
1. Log in to Cloud Control with the appropriate credentials.
2. Under the Targets menu, select Databases.
3. In the list of database targets, select the target for the Oracle Database instance
that you want to administer.
4. If prompted for database credentials, then enter the minimum credentials
necessary for the tasks you intend to perform.
12.1.2.1.2 Accessing the Optimizer Statistics Console
You can perform most necessary tasks relating to optimizer statistics through pages
linked to by the Optimizer Statistics Console page.
To manage optimizer statistics using Cloud Control:
1. In Cloud Control, access the Database Home page.
Chapter 12
About Optimizer Statistics Collection
12-2

2. From the Performance menu, select SQL, then Optimizer Statistics.
The Optimizer Statistics Console appears.
12.1.2.2 Command-Line Interface for Optimizer Statistics Management
The
DBMS_STATS
package performs most optimizer statistics tasks.
To enable and disable automatic statistics gathering, use the
DBMS_AUTO_TASK_ADMIN
PL/SQL package.
12.2 Setting Optimizer Statistics Preferences
This topic explains how to set optimizer statistics defaults using
DBMS_STATS.SET_*_PREFS
procedures.
This section contains the following topics:
•About Optimizer Statistics Preferences
The optimizer statistics preferences set the default values of the parameters
used by automatic statistics collection and the
DBMS_STATS
statistics gathering
procedures.
•Setting Global Optimizer Statistics Preferences Using Cloud Control
A global preference applies to any object in the database that does not have an
existing table preference. You can set optimizer statistics preferences at the global
level using Cloud Control.
•Setting Object-Level Optimizer Statistics Preferences Using Cloud Control
You can set optimizer statistics preferences at the database, schema, and table
level using Cloud Control.
•Setting Optimizer Statistics Preferences from the Command Line
If you do not use Cloud Control to set optimizer statistics preferences, then you
can invoke the
DBMS_STATS
procedures from the command line.
12.2.1 About Optimizer Statistics Preferences
The optimizer statistics preferences set the default values of the parameters used
by automatic statistics collection and the
DBMS_STATS
statistics gathering procedures.
This section contains the following topics:
•Purpose of Optimizer Statistics Preferences
Preferences enable you to maintain optimizer statistics automatically when some
objects require settings that differ from the default.
•Examples of Statistics Preferences
Set preferences using the
pname
parameter of the
SET_*_PREFS
procedures.
•DBMS_STATS Procedures for Setting Statistics Preferences
The
DBMS_STATS.SET_*_PREFS
procedures change the defaults of parameters used
by the
DBMS_STATS.GATHER_*_STATS
procedures. To query the current preferences,
use the
DBMS_STATS.GET_PREFS
function.
Chapter 12
Setting Optimizer Statistics Preferences
12-3

•Statistics Preference Overrides
The
preference_overrides_parameter
statistics preference determines whether,
when gathering optimizer statistics, to override the input value of a parameter with
the statistics preference. In this way, you control when the database honors a
parameter value passed to the statistics gathering procedures.
•Setting Statistics Preferences: Example
This example illustrates the relationship between
SET_TABLE_PREFS
,
SET_SCHEMA_STATS
, and
SET_DATABASE_PREFS
.
12.2.1.1 Purpose of Optimizer Statistics Preferences
Preferences enable you to maintain optimizer statistics automatically when some
objects require settings that differ from the default.
Preferences give you more granular control over how Oracle Database gathers
statistics. You can set optimizer statistics preferences at the following levels:
•Table
•Schema
•Database (all tables)
•Global (tables with no preferences and any tables created in the future)
The
DBMS_STATS
procedures for setting preference have names of the form
SET_*_PREFS
.
12.2.1.2 Examples of Statistics Preferences
Set preferences using the
pname
parameter of the
SET_*_PREFS
procedures.
Preferences that you can set include, but are not limited to, the following:
•
ESTIMATE_PERCENT
This preference determines the percentage of rows to estimate.
•
CONCURRENT
This preference determines whether the database gathers statistics concurrently
on multiple objects, or serially, one object at a time.
•
STALE_PERCENT
This preference determines the percentage of rows in a table that must change
before the database deems the statistics stale and in need of regathering.
•
AUTO_STAT_EXTENSIONS
When set to the non-default value of
ON
, this preference enables a SQL plan
directive to trigger the creation of column group statistics based on usage of
columns in the predicates in the workload.
•
INCREMENTAL
This preference determines whether the database maintains the global statistics of
a partitioned table without performing a full table scan. Possible values are
TRUE
and
FALSE
.
For example, by the default setting for
INCREMENTAL
is
FALSE
. You can set
INCREMENTAL
to
TRUE
for a range-partitioned table when the last few partitions are
updated. Also, when performing a partition exchange operation on a
Chapter 12
Setting Optimizer Statistics Preferences
12-4

nonpartitioned table, Oracle recommends that you set
INCREMENTAL
to
TRUE
and
INCREMENTAL_LEVEL
to
TABLE
. With these settings,
DBMS_STATS
gathers table-level
synopses on this table.
•
INCREMENTAL_LEVEL
This preference controls what synopses to collect when
INCREMENTAL
preference is
set to
TRUE
. It takes two values:
TABLE
or
PARTITION
.
•
APPROXIMATE_NDV_ALGORITHM
This preference controls which algorithm to use when calculating the number of
distinct values for partitioned tables using incremental statistics.
•
ROOT_TRIGGER_PDB
This preference controls whether to accept or reject the statistics gathering
triggered from an application root in a CDB.
By default, when gathering statistics for a metadata-linked table in the application
root, if the statistics the application PDB are stale, the database does not trigger
statistics gathering on the application PDB. When set to
TRUE
,
ROOT_TRIGGER_PDB
triggers statistics gathering on the application PDB, and then derives the global
statistics in the application root.
12.2.1.3 DBMS_STATS Procedures for Setting Statistics Preferences
The
DBMS_STATS.SET_*_PREFS
procedures change the defaults of parameters used by
the
DBMS_STATS.GATHER_*_STATS
procedures. To query the current preferences, use the
DBMS_STATS.GET_PREFS
function.
When setting statistics preferences, the order of precedence is:
1. Table preference (set for a specific table, all tables in a schema, or all tables in the
database)
2. Global preference
3. Default preference
The following table summarizes the relevant
DBMS_STATS
procedures.
Table 12-1 DBMS_STATS Procedures for Setting Optimizer Statistics
Preferences
Procedure Scope
SET_TABLE_PREFS
Specified table only.
SET_SCHEMA_PREFS
All existing tables in the specified schema.
This procedure calls
SET_TABLE_PREFS
for each table in the
specified schema. Calling
SET_SCHEMA_PREFS
does not affect
any new tables created after it has been run. New tables use the
GLOBAL_PREF
values for all parameters.
Chapter 12
Setting Optimizer Statistics Preferences
12-5

Table 12-1 (Cont.) DBMS_STATS Procedures for Setting Optimizer Statistics
Preferences
Procedure Scope
SET_DATABASE_PREFS
All user-defined schemas in the database. You can include
system-owned schemas such as
SYS
and
SYSTEM
by setting the
ADD_SYS
parameter to
true
.
This procedure calls
SET_TABLE_PREFS
for each table in the
specified schema. Calling
SET_DATABASE_PREFS
does not affect
any new objects created after it has been run. New objects use
the
GLOBAL_PREF
values for all parameters.
SET_GLOBAL_PREFS
Any table that does not have an existing table preference.
All parameters default to the global setting unless a table
preference is set or the parameter is explicitly set in the
DBMS_STATS.GATHER_*_STATS
statement. Changes made by
SET_GLOBAL_PREFS
affect any new objects created after it runs.
New objects use the
SET_GLOBAL_PREFS
values for all
parameters.
With
SET_GLOBAL_PREFS
, you can set a default value for the
parameter
AUTOSTATS_TARGET
. This additional parameter
controls which objects the automatic statistic gathering job
running in the nightly maintenance window affects. Possible
values for
AUTOSTATS_TARGET
are
ALL
,
ORACLE
, and
AUTO
(default).
You can only set the
CONCURRENT
preference at the global level.
You cannot set the preference
INCREMENTAL_LEVEL
using
SET_GLOBAL_PREFS
.
12.2.1.4 Statistics Preference Overrides
The
preference_overrides_parameter
statistics preference determines whether, when
gathering optimizer statistics, to override the input value of a parameter with the
statistics preference. In this way, you control when the database honors a parameter
value passed to the statistics gathering procedures.
When
preference_overrides_parameter
is set to
FALSE
(default), the input values for
statistics gathering procedures are honored. When set to
TRUE
, the input values are
ignored.
Set the
preference_overrides_parameter
preference using the
SET_TABLE_PREFS
,
SET_SCHEMA_PREFS
, or
SET_GLOBAL_PREFS
procedures in
DBMS_STATS
. Regardless of
whether
preference_overrides_parameter
is set, the database uses the same order of
precedence for setting statistics:
1. Table preference (set for a specific table, all tables in a schema, or all tables in the
database)
2. Global preference
3. Default preference
Chapter 12
Setting Optimizer Statistics Preferences
12-6

Example 12-1 Overriding Statistics Preferences at the Table Level
In this example, legacy scripts set
estimate_percent
explicitly rather than using the
recommended
AUTO_SAMPLE_SIZE
. Your goal is to prevent users from using these scripts
to set preferences on the
sh.costs
table.
Table 12-2 Overriding Statistics Preferences at the Table Level
Action Description
SQL> SELECT DBMS_STATS.GET_PREFS
('estimate_percent', 'sh','costs')
AS "STAT_PREFS" FROM DUAL;
STAT_PREFS
----------
DBMS_STATS.AUTO_SAMPLE_SIZE
No preference for
estimate_percent
is set for
sh.costs
or at the global level, so the preference
defaults to
AUTO_SAMPLE_SIZE
.
SQL> EXEC DBMS_STATS.SET_TABLE_PREFS
('sh', 'costs',
'preference_overrides_parameter', 'true');
PL/SQL procedure successfully completed.
By default, Oracle Database accepts preferences that
are passed to the
GATHER_*_STATS
procedures. To
override these parameters, you use
SET_TABLE_PREFS
to set the
preference_overrides_parameter
preference to
true
for the
costs
table only.
SQL> EXEC DBMS_STATS.GATHER_TABLE_STATS
('sh', 'costs', estimate_percent=>100);
PL/SQL procedure successfully completed.
You attempt to set
estimate_percent
to
100
when
gathering statistics for
sh.costs
. However, because
preference_overrides_parameter
is
true
for this
table, Oracle Database gathers statistics using
AUTO_SAMPLE_SIZE
, which is the default.
Example 12-2 Overriding Statistics Preferences at the Global Level
In this example, you set
estimate_percent
to
5
at the global level, which mean this
preference applies to every table in the database that does not have a table
preference set. You then set an override on the
sh.sales
table, which does not have a
table-level preference set, to prevent users from overriding the global setting in their
scripts.
Table 12-3 Overriding Statistics Preferences at the Global Level
Action Description
SQL> EXEC DBMS_STATS.SET_GLOBAL_PREFS
('estimate_percent', '5');
PL/SQL procedure successfully completed.
You use the
SET_GLOBAL_PREFS
procedure to set the
estimate_percent
preference to
5
for every table in the
database that does not have a table preference set.
Because
sh.costs
does not have a preference set, the
global setting applies to this table.
SQL> EXEC DBMS_STATS.SET_TABLE_PREFS
('sh', 'sales',
'preference_overrides_parameter', 'true');
PL/SQL procedure successfully completed.
You use
SET_TABLE_PREFS
to set the
preference_overrides_parameter
preference to
true
for the
sh.sales
table only.
Chapter 12
Setting Optimizer Statistics Preferences
12-7

Table 12-3 (Cont.) Overriding Statistics Preferences at the Global Level
Action Description
SQL> EXEC DBMS_STATS.GATHER_TABLE_STATS
('sh', 'costs', estimate_percent=>10);
PL/SQL procedure successfully completed.
You attempt to set
estimate_percent
to
10
when
gathering statistics for
sh.sales
. However, because
preference_overrides_parameter
is
true
for this
table, and because a global preference is defined,
Oracle Database gathers statistics using the global
setting of
5
.
12.2.1.5 Setting Statistics Preferences: Example
This example illustrates the relationship between
SET_TABLE_PREFS
,
SET_SCHEMA_STATS
,
and
SET_DATABASE_PREFS
.
Table 12-4 Changing Preferences for Statistics Gathering Procedures
Action Description
SQL> SELECT DBMS_STATS.GET_PREFS
('incremental', 'sh','costs')
AS "STAT_PREFS" FROM DUAL;
STAT_PREFS
----------
TRUE
You query the
INCREMENTAL
preference for
costs
and
determine that it is set to
true
.
SQL> EXEC DBMS_STATS.SET_TABLE_PREFS
('sh', 'costs', 'incremental', 'false');
PL/SQL procedure successfully completed.
You use
SET_TABLE_PREFS
to set the
INCREMENTAL
preference to
false
for the
costs
table only.
SQL> SELECT DBMS_STATS.GET_PREFS
('incremental', 'sh', 'costs')
AS "STAT_PREFS" FROM DUAL;
STAT_PREFS
----------
FALSE
You query the
INCREMENTAL
preference for
costs
and
confirm that it is set to
false
.
SQL> EXEC DBMS_STATS.SET_SCHEMA_PREFS
('sh', 'incremental', 'true');
PL/SQL procedure successfully completed.
You use
SET_SCHEMA_PREFS
to set the
INCREMENTAL
preference to
true
for every table in the
sh
schema,
including
costs
.
Chapter 12
Setting Optimizer Statistics Preferences
12-8

Table 12-4 (Cont.) Changing Preferences for Statistics Gathering Procedures
Action Description
SQL> SELECT DBMS_STATS.GET_PREFS
('incremental', 'sh', 'costs')
AS "STAT_PREFS" FROM DUAL;
STAT_PREFS
----------
TRUE
You query the
INCREMENTAL
preference for
costs
and
confirm that it is set to
true
.
SQL> EXEC DBMS_STATS.SET_DATABASE_PREFS
('incremental', 'false');
PL/SQL procedure successfully completed.
You use
SET_DATABASE_PREFS
to set the
INCREMENTAL
preference for all tables in all user-defined schemas to
false
.
SQL> SELECT DBMS_STATS.GET_PREFS
('incremental', 'sh', 'costs')
AS "STAT_PREFS" FROM DUAL;
STAT_PREFS
----------
FALSE
You query the
INCREMENTAL
preference for
costs
and
confirm that it is set to
false
.
12.2.2 Setting Global Optimizer Statistics Preferences Using Cloud
Control
A global preference applies to any object in the database that does not have an
existing table preference. You can set optimizer statistics preferences at the global
level using Cloud Control.
To set global optimizer statistics preferences using Cloud Control:
1. In Cloud Control, access the Database Home page.
2. From the Performance menu, select SQL, then Optimizer Statistics.
The Optimizer Statistics Console appears.
3. Click Global Statistics Gathering Options.
The Global Statistics Gathering Options page appears.
4. Make your desired changes, and click Apply.
Chapter 12
Setting Optimizer Statistics Preferences
12-9

12.2.3 Setting Object-Level Optimizer Statistics Preferences Using
Cloud Control
You can set optimizer statistics preferences at the database, schema, and table level
using Cloud Control.
To set object-level optimizer statistics preferences using Cloud Control:
1. In Cloud Control, access the Database Home page.
2. From the Performance menu, select SQL, then Optimizer Statistics.
The Optimizer Statistics Console appears.
3. Click Object Level Statistics Gathering Preferences.
The Object Level Statistics Gathering Preferences page appears.
4. To modify table preferences for a table that has preferences set at the table level,
do the following (otherwise, skip to the next step):
a. Enter values in Schema and Table Name. Leave Table Name blank to see all
tables in the schema.
The page refreshes with the table names.
b. Select the desired tables and click Edit Preferences.
The General subpage of the Edit Preferences page appears.
c. Change preferences as needed and click Apply.
5. To set preferences for a table that does not have preferences set at the table level,
do the following (otherwise, skip to the next step):
a. Click Add Table Preferences.
The General subpage of the Add Table Preferences page appears.
b. In Table Name, enter the schema and table name.
c. Change preferences as needed and click OK.
6. To set preferences for a schema, do the following:
a. Click Set Schema Tables Preferences.
The General subpage of the Edit Schema Preferences page appears.
b. In Schema, enter the schema name.
c. Change preferences as needed and click OK.
12.2.4 Setting Optimizer Statistics Preferences from the Command
Line
If you do not use Cloud Control to set optimizer statistics preferences, then you can
invoke the
DBMS_STATS
procedures from the command line.
Prerequisites
This task has the following prerequisites:
Chapter 12
Setting Optimizer Statistics Preferences
12-10

•To set the global or database preferences, you must have
SYSDBA
privileges, or
both
ANALYZE ANY DICTIONARY
and
ANALYZE ANY
system privileges.
•To set schema preferences, you must connect as owner, or have
SYSDBA
privileges,
or have the
ANALYZE ANY
system privilege.
•To set table preferences, you must connect as owner of the table or have the
ANALYZE ANY
system privilege.
To set optimizer statistics preferences from the command line:
1. In SQL*Plus or SQL Developer, log in to the database as a user with the
necessary privileges.
2. Optionally, call the
DBMS_STATS.GET_PREFS
procedure to see preferences set at the
object level, or at the global level if a specific table is not set.
For example, obtain the
STALE_PERCENT
parameter setting for the
sh.sales
table as
follows:
SELECT DBMS_STATS.GET_PREFS('STALE_PERCENT', 'SH', 'SALES')
FROM DUAL;
3. Execute the appropriate procedure from Table 12-1, specifying the following
parameters:
•
ownname
- Set schema name (
SET_TAB_PREFS
and
SET_SCHEMA_PREFS
only)
•
tabname
- Set table name (
SET_TAB_PREFS
only)
•
pname
- Set parameter name
•
pvalue
- Set parameter value
•
add_sys
- Include system tables (optional,
SET_DATABASE_PREFS
only)
The following example specifies that 13% of rows in
sh.sales
must change before
the statistics on that table are considered stale:
EXEC DBMS_STATS.SET_TABLE_PREFS('SH', 'SALES', 'STALE_PERCENT', '13');
4. Optionally, query the
*_TAB_STAT_PREFS
view to confirm the change.
For example, query
DBA_TAB_STAT_PREFS
as follows:
COL OWNER FORMAT a5
COL TABLE_NAME FORMAT a15
COL PREFERENCE_NAME FORMAT a20
COL PREFERENCE_VALUE FORMAT a30
SELECT * FROM DBA_TAB_STAT_PREFS;
Sample output appears as follows:
OWNER TABLE_NAME PREFERENCE_NAME PREFERENCE_VALUE
----- --------------- -------------------- ------------------------------
OE CUSTOMERS NO_INVALIDATE DBMS_STATS.AUTO_INVALIDATE
SH SALES STALE_PERCENT 13
12.3 Configuring Options for Dynamic Statistics
Dynamic statistics are an optimization technique in which the database uses
recursive SQL to scan a small random sample of the blocks in a table.
Chapter 12
Configuring Options for Dynamic Statistics
12-11

The sample scan estimate predicate selectivities. Using these estimates, the database
determines better default statistics for unanalyzed segments, and verifies its
estimates. By default, when optimizer statistics are missing, stale, or insufficient,
dynamic statistics automatically run recursive SQL during parsing to scan a small
random sample of table blocks.
This section contains the following topics:
•About Dynamic Statistics Levels
The dynamic statistics level controls both when the database gathers dynamic
statistics, and the size of the sample that the optimizer uses to gather the
statistics.
•Setting Dynamic Statistics Levels Manually
Determining a database-level setting that would be beneficial to all SQL
statements can be difficult.
•Disabling Dynamic Statistics
In general, the best practice is not to incur the cost of dynamic statistics for queries
whose compile times must be as fast as possible, for example, unrepeated OLTP
queries.
12.3.1 About Dynamic Statistics Levels
The dynamic statistics level controls both when the database gathers dynamic
statistics, and the size of the sample that the optimizer uses to gather the statistics.
Set the dynamic statistics level using either the
OPTIMIZER_DYNAMIC_SAMPLING
initialization parameter or a statement hint.
Note:
Dynamic statistics were called dynamic sampling in releases earlier than
Oracle Database 12c Release 1 (12.1).
The following table describes the levels for dynamic statistics. Note the following:
•If
OPTIMIZER_DYNAMIC_STATISTICS
is
TRUE
, and if dynamic statistics are not disabled,
then the database may choose to use dynamic statistics when a SQL statement
uses parallel execution.
•If
OPTIMIZER_ADAPTIVE_STATISTICS
is
TRUE
, then the optimizer uses dynamic statistics
when relevant SQL plan directives exist. The database maintains the resulting
statistics in the SQL plan directives store, making them available to other queries.
Table 12-5 Dynamic Statistics Levels
Level When the Optimizer Uses Dynamic Statistics Sample Size (Blocks)
0 Do not use dynamic statistics. n/a
Chapter 12
Configuring Options for Dynamic Statistics
12-12

Table 12-5 (Cont.) Dynamic Statistics Levels
Level When the Optimizer Uses Dynamic Statistics Sample Size (Blocks)
1 Use dynamic statistics for all tables that do not have statistics, but
only if the following criteria are met:
•At least one nonpartitioned table in the query does not have
statistics.
•This table has no indexes.
•This table has more blocks than the number of blocks that
would be used for dynamic statistics of this table.
32
2 Use dynamic statistics if at least one table in the statement has no
statistics. This is the default value.
64
3 Use dynamic statistics if any of the following conditions is true:
•At least one table in the statement has no statistics.
•The statement has one or more expressions used in the
WHERE
clause predicates, for example,
WHERE SUBSTR(CUSTLASTNAME,
1,3)
.
64
4 Use dynamic statistics if any of the following conditions is true:
•At least one table in the statement has no statistics.
•The statement has one or more expressions used in the
WHERE
clause predicates, for example,
WHERE SUBSTR(CUSTLASTNAME,
1,3)
.
•The statement uses complex predicates (an
OR
or
AND
operator
between multiple predicates on the same table).
64
5 The criteria are identical to level 4, but the database uses a
different sample size.
128
6 The criteria are identical to level 4, but the database uses a
different sample size.
256
7 The criteria are identical to level 4, but the database uses a
different sample size.
512
8 The criteria are identical to level 4, but the database uses a
different sample size.
1024
9 The criteria are identical to level 4, but the database uses a
different sample size.
4086
10 The criteria are identical to level 4, but the database uses a
different sample size.
All blocks
11 The database uses adaptive dynamic sampling automatically when
the optimizer deems it necessary.
Automatically determined
12.3.2 Setting Dynamic Statistics Levels Manually
Determining a database-level setting that would be beneficial to all SQL statements
can be difficult.
When setting the level for dynamic statistics, Oracle recommends setting the
OPTIMIZER_DYNAMIC_SAMPLING
initialization parameter at the session level.
Assumptions
This tutorial assumes the following:
Chapter 12
Configuring Options for Dynamic Statistics
12-13

•You want correct selectivity estimates for the following query, which has
WHERE
clause predicates on two correlated columns:
SELECT *
FROM sh.customers
WHERE cust_city='Los Angeles'
AND cust_state_province='CA';
•The preceding query uses serial processing.
•The
sh.customers
table contains 932 rows that meet the conditions in the query.
•You have gathered statistics on the
sh.customers
table.
•You created an index on the
cust_city
and
cust_state_province
columns.
•The
OPTIMIZER_DYNAMIC_SAMPLING
initialization parameter is set to the default level of
2
.
To set the dynamic statistics level manually:
1. In SQL*Plus or SQL Developer, log in to the database as a user with the
necessary privileges.
2. Explain the execution plan as follows:
EXPLAIN PLAN FOR
SELECT *
FROM sh.customers
WHERE cust_city='Los Angeles'
AND cust_state_province='CA';
3. Query the plan as follows:
SET LINESIZE 130
SET PAGESIZE 0
SELECT *
FROM TABLE(DBMS_XPLAN.DISPLAY);
The output appears below (the example has been reformatted to fit on the page):
-------------------------------------------------------------------------------
|Id| Operation | Name |Rows|Bytes|Cost | Time |
-------------------------------------------------------------------------------
| 0| SELECT STATEMENT | | 53| 9593|53(0)|00:00:01|
| 1| TABLE ACCESS BY INDEX ROWID|CUSTOMERS | 53| 9593|53(0)|00:00:01|
|*2| INDEX RANGE SCAN |CUST_CITY_STATE_IND| 53| 9593| 3(0)|00:00:01|
-------------------------------------------------------------------------------
Predicate Information (identified by operation id):
---------------------------------------------------
2 - access("CUST_CITY"='Los Angeles' AND "CUST_STATE_PROVINCE"='CA')
The columns in the
WHERE
clause have a real-world correlation, but the optimizer is
not aware that Los Angeles is in California and assumes both predicates reduce
the number of rows returned. Thus, the table contains 932 rows that meet the
conditions, but the optimizer estimates 53, as shown in bold.
If the database had used dynamic statistics for this plan, then the
Note
section of
the plan output would have indicated this fact. The optimizer did not use dynamic
statistics because the statement executed serially, standard statistics exist, and
the parameter
OPTIMIZER_DYNAMIC_SAMPLING
is set to the default of
2
.
Chapter 12
Configuring Options for Dynamic Statistics
12-14

4. Set the dynamic statistics level to
4
in the session using the following statement:
ALTER SESSION SET OPTIMIZER_DYNAMIC_SAMPLING=4;
5. Explain the plan again:
EXPLAIN PLAN FOR
SELECT *
FROM sh.customers
WHERE cust_city='Los Angeles'
AND cust_state_province='CA';
The new plan shows a more accurate estimate of the number of rows, as shown
by the value 932 in bold:
PLAN_TABLE_OUTPUT
---------------------------------------------------------------------------
Plan hash value: 2008213504
---------------------------------------------------------------------------
| Id | Operation | Name |Rows | Bytes |Cost (%CPU)|Time |
---------------------------------------------------------------------------
| 0 | SELECT STATEMENT | | 932 | 271K| 406 (1)| 00:00:05 |
|* 1 | TABLE ACCESS FULL| CUSTOMERS | 932 | 271K| 406 (1)| 00:00:05 |
---------------------------------------------------------------------------
Predicate Information (identified by operation id):
---------------------------------------------------
1 - filter("CUST_CITY"='Los Angeles' AND "CUST_STATE_PROVINCE"='CA')
Note
-----
- dynamic statistics used for this statement (level=4)
The note at the bottom of the plan indicates that the sampling level is
4
. The
additional dynamic statistics made the optimizer aware of the real-world
relationship between the
cust_city
and
cust_state_province
columns, thereby
enabling it to produce a more accurate estimate for the number of rows: 932 rather
than 53.
12.3.3 Disabling Dynamic Statistics
In general, the best practice is not to incur the cost of dynamic statistics for queries
whose compile times must be as fast as possible, for example, unrepeated OLTP
queries.
To disable dynamic statistics at the session level:
1. Connect SQL*Plus to the database with the appropriate privileges.
2. Set the dynamic statistics level to
0
.
For example, run the following statement:
ALTER SESSION SET OPTIMIZER_DYNAMIC_SAMPLING=0;
Chapter 12
Configuring Options for Dynamic Statistics
12-15

12.4 Managing SQL Plan Directives
A SQL plan directive is additional information and instructions that the optimizer can
use to generate a more optimal plan.
A directive informs the database that the optimizer is misestimate cardinalities of
certain types of predicates, and alerts
DBMS_STATS
to gather additional statistics in the
future. Thus, directives have an effect on statistics gathering.
The database automatically creates and manages SQL plan directives in the SGA,
and then periodically writes them to the data dictionary. If the directives are not used
within 53 weeks, then the database automatically purges them.
You can use
DBMS_SPD
procedures and functions to alter, save, drop, and transport
directives manually. The following table lists some of the more commonly used
procedures and functions.
Table 12-6 DBMS_SPD Procedures
Procedure Description
FLUSH_SQL_PLAN_DIRECTIVE
Forces the database to write directives from memory to
persistent storage in the
SYSAUX
tablespace.
DROP_SQL_PLAN_DIRECTIVE
Drops a SQL plan directive. If a directive that triggers
dynamic sampling is creating unacceptable performance
overhead, then you may want to remove it manually.
If a SQL plan directive is dropped manually or
automatically, then the database can re-create it. To
prevent its re-creation, you can use
DBMS_SPM.ALTER_SQL_PLAN_DIRECTIVE
to do the
following:
•Disable the directive by setting
ENABLED
to
NO
•Prevent the directive from being dropped by setting
AUTO_DROP
to
NO
To disable SQL plan directives, set
OPTIMIZER_ADAPTIVE_STATISTICS
to
FALSE
.
Prerequisites
You must have the Administer SQL Management Object privilege to execute the
DBMS_SPD
APIs.
Assumptions
This tutorial assumes that you want to do the following:
•Write all directives for the
sh
schema to persistent storage.
•Delete all directives for the
sh
schema.
To write and then delete all sh schema plan directives:
1. In SQL*Plus or SQL Developer, log in to the database as a user with the
necessary privileges.
2. Force the database to write the SQL plan directives to disk.
Chapter 12
Managing SQL Plan Directives
12-16

For example, execute the following
DBMS_SPD
program:
BEGIN
DBMS_SPD.FLUSH_SQL_PLAN_DIRECTIVE;
END;
/
3. Query the data dictionary for information about existing directives in the
sh
schema.
Example 12-3 queries the data dictionary for information about the directive.
4. Delete the existing SQL plan directive for the
sh
schema.
The following PL/SQL program unit deletes the SQL plan directive with the ID
1484026771529551585
:
BEGIN
DBMS_SPD.DROP_SQL_PLAN_DIRECTIVE ( directive_id => 1484026771529551585 );
END;
/
Example 12-3 Display Directives for sh Schema
This example shows SQL plan directives, and the results of SQL plan directive
dynamic sampling queries.
SELECT TO_CHAR(d.DIRECTIVE_ID) dir_id, o.OWNER, o.OBJECT_NAME,
o.SUBOBJECT_NAME col_name, o.OBJECT_TYPE object, d.TYPE,
d.STATE, d.REASON
FROM DBA_SQL_PLAN_DIRECTIVES d, DBA_SQL_PLAN_DIR_OBJECTS o
WHERE d.DIRECTIVE_ID=o.DIRECTIVE_ID
AND o.OWNER IN ('SH')
ORDER BY 1,2,3,4,5;
DIR_ID OWN OBJECT_NA COL_NAME OBJECT TYPE STATE REASON
------------------- --- --------- ---------- ------- -------- ---------- ------------
1484026771529551585 SH CUSTOMERS COUNTRY_ID COLUMN DYNAMIC_ SUPERSEDED SINGLE TABLE
SAMPLING CARDINALITY
MISESTIMATE
1484026771529551585 SH CUSTOMERS CUST_STATE_ COLUMN DYNAMIC_ SUPERSEDED SINGLE TABLE
PROVINCE SAMPLING CARDINALITY
MISESTIMATE
1484026771529551585 SH CUSTOMERS TABLE DYNAMIC_ SUPERSEDED SINGLE TABLE
SAMPLING CARDINALITY
MISESTIMATE
9781501826140511330 SH dyg4msnst5 SQL STA DYNAMIC_ USABLE VERIFY
TEMENT SAMPLING CARDINALITY
_RESULT ESTIMATE
9872337207064898539 SH TIMES TABLE DYNAMIC_ USABLE VERIFY
SAMPLING CARDINALITY
_RESULT ESTIMATE
9781501826140511330 SH 2nk1v0fdx0 SQL STA DYNAMIC_ USABLE VERIFY
TEMENT SAMPLING CARDINALITY
_RESULT ESTIMATE
Chapter 12
Managing SQL Plan Directives
12-17

13
Gathering Optimizer Statistics
This chapter explains how to use the
DBMS_STATS.GATHER_*_STATS
program units.
This chapter contains the following topics:
•Configuring Automatic Optimizer Statistics Collection
Oracle Database can gather optimizer statistics automatically.
•Gathering Optimizer Statistics Manually
As an alternative or supplement to automatic statistics gathering, you can use the
DBMS_STATS
package to gather optimizer statistics manually.
•Gathering System Statistics Manually
System statistics describe hardware characteristics, such as I/O and CPU
performance and utilization, to the optimizer.
•Running Statistics Gathering Functions in Reporting Mode
You can run the
DBMS_STATS
statistics gathering procedures in reporting mode.
See Also:
•"Optimizer Statistics Concepts"
•"Query Optimizer Concepts "
•Oracle Database PL/SQL Packages and Types Reference to learn about
DBMS_STATS.GATHER_TABLE_STATS
13.1 Configuring Automatic Optimizer Statistics Collection
Oracle Database can gather optimizer statistics automatically.
This section contains the following topics:
•About Automatic Optimizer Statistics Collection
The automated maintenance tasks infrastructure (known as AutoTask) schedules
tasks to run automatically in Oracle Scheduler windows known as maintenance
windows.
•Configuring Automatic Optimizer Statistics Collection Using Cloud Control
You can enable and disable all automatic maintenance tasks, including automatic
optimizer statistics collection, using Cloud Control.
•Configuring Automatic Optimizer Statistics Collection from the Command Line
If you do not use Cloud Control to configure automatic optimizer statistics
collection, then you must use the command line.
13-1

13.1.1 About Automatic Optimizer Statistics Collection
The automated maintenance tasks infrastructure (known as AutoTask) schedules
tasks to run automatically in Oracle Scheduler windows known as maintenance
windows.
By default, one window is scheduled for each day of the week. Automatic optimizer
statistics collection runs as part of AutoTask. By default, the collection runs in all
predefined maintenance windows.
Note:
Data visibility and privilege requirements may differ when using automatic
optimizer statistics collection with pluggable databases.
To collect the optimizer statistics, the database calls an internal procedure that
operates similarly to the
GATHER_DATABASE_STATS
procedure with the
GATHER AUTO
option.
Automatic statistics collection honors all preferences set in the database.
The principal difference between manual and automatic collection is that the latter
prioritizes database objects that need statistics. Before the maintenance window
closes, automatic collection assesses all objects and prioritizes objects that have no
statistics or very old statistics.
Note:
When gathering statistics manually, you can reproduce the object
prioritization of automatic collection by using the
DBMS_AUTO_TASK_IMMEDIATE
package. This package runs the same statistics gathering job that is
executed during the automatic nightly statistics gathering job.
13.1.2 Configuring Automatic Optimizer Statistics Collection Using
Cloud Control
You can enable and disable all automatic maintenance tasks, including automatic
optimizer statistics collection, using Cloud Control.
The default window timing works well for most situations. However, you may have
operations such as bulk loads that occur during the window. In such cases, to avoid
potential conflicts that result from operations occurring at the same time as automatic
statistics collection, Oracle recommends that you change the window accordingly.
Prerequisites
Access the Database Home page, as described in "Accessing the Database Home
Page in Cloud Control."
Chapter 13
Configuring Automatic Optimizer Statistics Collection
13-2

To control automatic optimizer statistics collection using Cloud Control:
1. From the Administration menu, select Oracle Scheduler, then Automated
Maintenance Tasks.
The Automated Maintenance Tasks page appears.
This page shows the predefined tasks. To retrieve information about each task,
click the corresponding link for the task.
2. Click Configure.
The Automated Maintenance Tasks Configuration page appears.
By default, automatic optimizer statistics collection executes in all predefined
maintenance windows in
MAINTENANCE_WINDOW_GROUP
.
3. Perform the following steps:
a. In the Task Settings section for Optimizer Statistics Gathering, select either
Enabled or Disabled to enable or disable an automated task.
Note:
Oracle strongly recommends that you not disable automatic statistics
gathering because it is critical for the optimizer to generate optimal
plans for queries against dictionary and user objects. If you disable
automatic collection, ensure that you have a good manual statistics
collection strategy for dictionary and user schemas.
b. To disable statistics gathering for specific days in the week, check the
appropriate box next to the window name.
c. To change the characteristics of a window group, click Edit Window Group.
d. To change the times for a window, click the name of the window (for example,
MONDAY_WINDOW), and then in the Schedule section, click Edit.
The Edit Window page appears.
Chapter 13
Configuring Automatic Optimizer Statistics Collection
13-3

In this page, you can change the parameters such as duration and start time
for window execution.
e. Click Apply.
13.1.3 Configuring Automatic Optimizer Statistics Collection from the
Command Line
If you do not use Cloud Control to configure automatic optimizer statistics collection,
then you must use the command line.
You have the following options:
•Run the
ENABLE
or
DISABLE
procedure in the
DBMS_AUTO_TASK_ADMIN
PL/SQL package.
This package is the recommended command-line technique. For both the
ENABLE
and
DISABLE
procedures, you can specify a particular maintenance window with the
window_name
parameter.
•Set the
STATISTICS_LEVEL
initialization level to
BASIC
to disable collection of all
advisories and statistics, including Automatic SQL Tuning Advisor.
Note:
Because monitoring and many automatic features are disabled, Oracle
strongly recommends that you do not set
STATISTICS_LEVEL
to
BASIC
.
Chapter 13
Configuring Automatic Optimizer Statistics Collection
13-4

To control automatic statistics collection using DBMS_AUTO_TASK_ADMIN:
1. In SQL*Plus or SQL Developer, log in to the database as a user with
administrative privileges.
2. Do one of the following:
•To enable the automated task, execute the following PL/SQL block:
BEGIN
DBMS_AUTO_TASK_ADMIN.ENABLE (
client_name => 'auto optimizer stats collection'
, operation => NULL
, window_name => NULL
);
END;
/
•To disable the automated task, execute the following PL/SQL block:
BEGIN
DBMS_AUTO_TASK_ADMIN.DISABLE (
client_name => 'auto optimizer stats collection'
, operation => NULL
, window_name => NULL
);
END;
/
3. Query the data dictionary to confirm the change.
For example, query
DBA_AUTOTASK_CLIENT
as follows:
COL CLIENT_NAME FORMAT a31
SELECT CLIENT_NAME, STATUS
FROM DBA_AUTOTASK_CLIENT
WHERE CLIENT_NAME = 'auto optimizer stats collection';
Sample output appears as follows:
CLIENT_NAME STATUS
------------------------------- --------
auto optimizer stats collection ENABLED
To change the window attributes for automatic statistics collection:
1. Connect SQL*Plus to the database with administrator privileges.
2. Change the attributes of the maintenance window as needed.
For example, to change the Monday maintenance window so that it starts at 5
a.m., execute the following PL/SQL program:
BEGIN
DBMS_SCHEDULER.SET_ATTRIBUTE (
'MONDAY_WINDOW'
, 'repeat_interval'
, 'freq=daily;byday=MON;byhour=05;byminute=0;bysecond=0'
);
END;
/
Chapter 13
Configuring Automatic Optimizer Statistics Collection
13-5

13.2 Gathering Optimizer Statistics Manually
As an alternative or supplement to automatic statistics gathering, you can use the
DBMS_STATS
package to gather optimizer statistics manually.
This section contains the following topics:
•About Manual Statistics Collection with DBMS_STATS
Use the
DBMS_STATS
package to manipulate optimizer statistics. You can gather
statistics on objects and columns at various levels of granularity: object, schema,
and database. You can also gather statistics for the physical system.
•Guidelines for Gathering Optimizer Statistics Manually
In most cases, automatic statistics collection is sufficient for database objects
modified at a moderate speed.
•Determining When Optimizer Statistics Are Stale
Stale statistics on a table do not accurately reflect its data. To help you determine
when a database object needs new statistics, the database provides a table
monitoring facility.
•Gathering Schema and Table Statistics
Use
GATHER_TABLE_STATS
to collect table statistics, and
GATHER_SCHEMA_STATS
to
collect statistics for all objects in a schema.
•Gathering Statistics for Fixed Objects
Fixed objects are dynamic performance tables and their indexes. These objects
record current database activity.
•Gathering Statistics for Volatile Tables Using Dynamic Statistics
Statistics for volatile tables, which are tables modified significantly during the day,
go stale quickly. For example, a table may be deleted or truncated, and then
rebuilt.
•Gathering Optimizer Statistics Concurrently
Oracle Database can gather statistics on multiple tables or partitions concurrently.
•Gathering Incremental Statistics on Partitioned Objects
Incremental statistics scan only changed partitions. When gathering statistics on
large partitioned table by deriving global statistics from partition-level statistics,
incremental statistics maintenance improves performance.
See Also:
•"Configuring Automatic Optimizer Statistics Collection"
•Oracle Database PL/SQL Packages and Types Reference to learn about
the
DBMS_STATS
package
13.2.1 About Manual Statistics Collection with DBMS_STATS
Use the
DBMS_STATS
package to manipulate optimizer statistics. You can gather
statistics on objects and columns at various levels of granularity: object, schema, and
database. You can also gather statistics for the physical system.
Chapter 13
Gathering Optimizer Statistics Manually
13-6

The following table summarizes the
DBMS_STATS
procedures for gathering optimizer
statistics. This package does not gather statistics for table clusters. However, you can
gather statistics on individual tables in a table cluster.
Table 13-1 DBMS_STATS Procedures for Gathering Optimizer Statistics
Procedure Purpose
GATHER_INDEX_STATS
Collects index statistics
GATHER_TABLE_STATS
Collects table, column, and index statistics
GATHER_SCHEMA_STATS
Collects statistics for all objects in a schema
GATHER_DICTIONARY_STATS
Collects statistics for all system schemas, including
SYS
and
SYSTEM
, and other optional schemas, such as
CTXSYS
and
DRSYS
GATHER_DATABASE_STATS
Collects statistics for all objects in a database
When the
OPTIONS
parameter is set to
GATHER STALE
or
GATHER AUTO
, the
GATHER_SCHEMA_STATS
and
GATHER_DATABASE_STATS
procedures gather statistics for any
table that has stale statistics and any table that is missing statistics. If a monitored
table has been modified more than 10%, then the database considers these statistics
stale and gathers them again.
Note:
As explained in "Configuring Automatic Optimizer Statistics Collection", you
can configure a nightly job to gather statistics automatically.
13.2.2 Guidelines for Gathering Optimizer Statistics Manually
In most cases, automatic statistics collection is sufficient for database objects modified
at a moderate speed.
Automatic collection may sometimes be inadequate or unavailable, as shown in the
following table.
Table 13-2 Reasons for Gathering Statistics Manually
Issue To Learn More
You perform certain types of bulk load and
cannot wait for the maintenance window to
collect statistics because queries must be
executed immediately.
"Online Statistics Gathering for Bulk Loads"
During a nonrepresentative workload,
automatic statistics collection gathers statistics
for fixed tables.
"Gathering Statistics for Fixed Objects"
Automatic statistics collection does not gather
system statistics.
"Gathering System Statistics Manually"
Volatile tables are being deleted or truncated,
and then rebuilt during the day.
"Gathering Statistics for Volatile Tables Using
Dynamic Statistics"
Chapter 13
Gathering Optimizer Statistics Manually
13-7

This section offers guidelines for typical situations in which you may choose to gather
statistically manually:
•Guideline for Setting the Sample Size
In the context of optimizer statistics, sampling is the gathering of statistics from a
random subset of table rows. By enabling the database to avoid full table scans
and sorts of entire tables, sampling minimizes the resources necessary to gather
statistics.
•Guideline for Gathering Statistics in Parallel
By default, the database gathers statistics with the parallelism degree specified at
the table or index level.
•Guideline for Partitioned Objects
For partitioned tables and indexes,
DBMS_STATS
can gather separate statistics for
each partition and global statistics for the entire table or index.
•Guideline for Frequently Changing Objects
When tables are frequently modified, gather statistics often enough so that they do
not go stale, but not so often that collection overhead degrades performance.
•Guideline for External Tables
Because the database does not permit data manipulation against external tables,
the database never marks statistics on external tables as stale. If new statistics
are required for an external table, for example, because the underlying data files
change, then regather the statistics.
13.2.2.1 Guideline for Setting the Sample Size
In the context of optimizer statistics, sampling is the gathering of statistics from a
random subset of table rows. By enabling the database to avoid full table scans and
sorts of entire tables, sampling minimizes the resources necessary to gather statistics.
The database gathers the most accurate statistics when it processes all rows in the
table, which is a 100% sample. However, larger sample sizes increase the time of
statistics gathering operations. The challenge is determining a sample size that
provides accurate statistics in a reasonable time.
DBMS_STATS
uses sampling when a user specifies the parameter
ESTIMATE_PERCENT
,
which controls the percentage of the rows in the table to sample. To maximize
performance gains while achieving necessary statistical accuracy, Oracle
recommends that the
ESTIMATE_PERCENT
parameter use the default setting of
DBMS_STATS.AUTO_SAMPLE_SIZE
. In this case, Oracle Database chooses the sample size
automatically. This setting enables the use of the following:
•A hash-based algorithm that is much faster than sampling
This algorithm reads all rows and produces statistics that are nearly as accurate
as statistics from a 100% sample. The statistics computed using this technique are
deterministic.
•Incremental statistics
•Concurrent statistics
•New histogram types
The
DBA_TABLES.SAMPLE_SIZE
column indicates the actual sample size used to gather
statistics.
Chapter 13
Gathering Optimizer Statistics Manually
13-8

13.2.2.2 Guideline for Gathering Statistics in Parallel
By default, the database gathers statistics with the parallelism degree specified at the
table or index level.
You can override this setting with the
degree
argument to the
DBMS_STATS
gathering
procedures. Oracle recommends setting
degree
to
DBMS_STATS.AUTO_DEGREE
. This setting
enables the database to choose an appropriate degree of parallelism based on the
object size and the settings for the parallelism-related initialization parameters.
The database can gather most statistics serially or in parallel. However, the database
does not gather some index statistics in parallel, including cluster indexes, domain
indexes, and bitmap join indexes. The database can use sampling when gathering
parallel statistics.
Note:
Do not confuse gathering statistics in parallel with gathering statistics
concurrently.
13.2.2.3 Guideline for Partitioned Objects
For partitioned tables and indexes,
DBMS_STATS
can gather separate statistics for each
partition and global statistics for the entire table or index.
Similarly, for composite partitioning,
DBMS_STATS
can gather separate statistics for
subpartitions, partitions, and the entire table or index.
To determine the type of partitioning statistics to be gathered, specify the
granularity
argument to the
DBMS_STATS
procedures. Oracle recommends setting
granularity
to the
default value of
AUTO
to gather subpartition, partition, or global statistics, depending on
partition type. The
ALL
setting gathers statistics for all types.
13.2.2.4 Guideline for Frequently Changing Objects
When tables are frequently modified, gather statistics often enough so that they do not
go stale, but not so often that collection overhead degrades performance.
You may only need to gather new statistics every week or month. The best practice is
to use a script or job scheduler to regularly run the
DBMS_STATS.GATHER_SCHEMA_STATS
and
DBMS_STATS.GATHER_DATABASE_STATS
procedures.
13.2.2.5 Guideline for External Tables
Because the database does not permit data manipulation against external tables, the
database never marks statistics on external tables as stale. If new statistics are
required for an external table, for example, because the underlying data files change,
then regather the statistics.
For external tables, use the same
DBMS_STATS
procedures that you use for internal
tables. Note that the
scanrate
parameter of
DBMS_STATS.SET_TABLE_STATS
and
Chapter 13
Gathering Optimizer Statistics Manually
13-9

DBMS_STATS.GET_TABLE_STATS
specifies the rate (in MB/s) at which Oracle Database
scans data in tables, and is relevant only for external tables. The
SCAN_RATE
column
appears in the
DBA_TAB_STATISTICS
and
DBA_TAB_PENDING_STATS
data dictionary views.
13.2.3 Determining When Optimizer Statistics Are Stale
Stale statistics on a table do not accurately reflect its data. To help you determine
when a database object needs new statistics, the database provides a table
monitoring facility.
Monitoring tracks the approximate number of DML operations on a table and whether
the table has been truncated since the most recent statistics collection. To check
whether statistics are stale, query the
STALE_STATS
column in
DBA_TAB_STATISTICS
and
DBA_IND_STATISTICS
. This column is based on data in the
DBA_TAB_MODIFICATIONS
view
and the
STALE_PERCENT
preference for
DBMS_STATS
.
Note:
Starting in Oracle Database 12c Release 2 (12.2), you no longer need to use
DBMS_STATS.FLUSH_DATABASE_MONITORING_INFO
to ensure that view metadata is
current. The statistics shown in the
DBA_TAB_STATISTICS
,
DBA_IND_STATISTICS
,
and
DBA_TAB_MODIFICATIONS
views are obtained from both disk and memory.
The
STALE_STATS
column has the following possible values:
•
YES
The statistics are stale.
•
NO
The statistics are not stale.
•null
The statistics are not collected.
Executing
GATHER_SCHEMA_STATS
or
GATHER_DATABASE_STATS
with the
GATHER AUTO
option
collects statistics only for objects with no statistics or stale statistics.
To determine stale statistics:
1. Start SQL*Plus, and then log in to the database as a user with the necessary
privileges.
2. Query the data dictionary for stale statistics.
The following example queries stale statistics for the
sh.sales
table (partial output
included):
COL PARTITION_NAME FORMAT a15
SELECT PARTITION_NAME, STALE_STATS
FROM DBA_TAB_STATISTICS
WHERE TABLE_NAME = 'SALES'
AND OWNER = 'SH'
ORDER BY PARTITION_NAME;
Chapter 13
Gathering Optimizer Statistics Manually
13-10

PARTITION_NAME STA
--------------- ---
SALES_1995 NO
SALES_1996 NO
SALES_H1_1997 NO
SALES_H2_1997 NO
SALES_Q1_1998 NO
SALES_Q1_1999 NO
.
.
.
13.2.4 Gathering Schema and Table Statistics
Use
GATHER_TABLE_STATS
to collect table statistics, and
GATHER_SCHEMA_STATS
to collect
statistics for all objects in a schema.
To gather schema statistics using DBMS_STATS:
1. Start SQL*Plus, and connect to the database with the appropriate privileges for the
procedure that you intend to run.
2. Run the
GATHER_TABLE_STATS
or
GATHER_SCHEMA_STATS
procedure, specifying the
desired parameters.
Typical parameters include:
•Owner -
ownname
•Object name -
tabname
,
indname
,
partname
•Degree of parallelism -
degree
Example 13-1 Gathering Statistics for a Table
This example uses the
DBMS_STATS
package to gather statistics on the
sh.customers
table with a parallelism setting of
2
.
BEGIN
DBMS_STATS.GATHER_TABLE_STATS (
ownname => 'sh'
, tabname => 'customers'
, degree => 2
);
END;
/
13.2.5 Gathering Statistics for Fixed Objects
Fixed objects are dynamic performance tables and their indexes. These objects record
current database activity.
Unlike other database tables, the database does not automatically use dynamic
statistics for SQL statement referencing
X$
tables when optimizer statistics are
missing. Instead, the optimizer uses predefined default values. These defaults may not
be representative and could potentially lead to a suboptimal execution plan. Thus, it is
important to keep fixed object statistics current.
Chapter 13
Gathering Optimizer Statistics Manually
13-11

Oracle Database automatically gathers fixed object statistics as part of automated
statistics gathering if they have not been previously collected. You can also manually
collect statistics on fixed objects by calling
DBMS_STATS.GATHER_FIXED_OBJECTS_STATS
.
Oracle recommends that you gather statistics when the database has representative
activity.
Prerequisites
You must have the
SYSDBA
or
ANALYZE ANY DICTIONARY
system privilege to execute this
procedure.
To gather schema statistics using GATHER_FIXED_OBJECTS_STATS:
1. In SQL*Plus or SQL Developer, log in to the database as a user with the
necessary privileges.
2. Run the
DBMS_STATS.GATHER_FIXED_OBJECTS_STATS
procedure, specifying the desired
parameters.
Typical parameters include:
•Table identifier describing where to save the current statistics -
stattab
•Identifier to associate with these statistics within
stattab
(optional) -
statid
•Schema containing
stattab
(if different from current schema) -
statown
Example 13-2 Gathering Statistics for a Table
This example uses the
DBMS_STATS
package to gather fixed object statistics.
BEGIN
DBMS_STATS.GATHER_FIXED_OBJECTS_STATS;
END;
/
13.2.6 Gathering Statistics for Volatile Tables Using Dynamic Statistics
Statistics for volatile tables, which are tables modified significantly during the day, go
stale quickly. For example, a table may be deleted or truncated, and then rebuilt.
When you set the statistics of a volatile object to null, Oracle Database dynamically
gathers the necessary statistics during optimization using dynamic statistics. The
OPTIMIZER_DYNAMIC_SAMPLING
initialization parameter controls this feature.
Assumptions
This tutorial assumes the following:
•The
oe.orders
table is extremely volatile.
•You want to delete and then lock the statistics on the
orders
table to prevent the
database from gathering statistics on the table. In this way, the database can
dynamically gather necessary statistics as part of query optimization.
•The
oe
user has the necessary privileges to query
DBMS_XPLAN.DISPLAY_CURSOR
.
To delete and the lock optimizer statistics:
1. Connect to the database as user
oe
, and then delete the statistics for the
oe
table.
Chapter 13
Gathering Optimizer Statistics Manually
13-12

For example, execute the following procedure:
BEGIN
DBMS_STATS.DELETE_TABLE_STATS('OE','ORDERS');
END;
/
2. Lock the statistics for the
oe
table.
For example, execute the following procedure:
BEGIN
DBMS_STATS.LOCK_TABLE_STATS('OE','ORDERS');
END;
/
3. You query the
orders
table.
For example, use the following statement:
SELECT COUNT(order_id) FROM orders;
4. You query the plan in the cursor.
You run the following commands (partial output included):
SET LINESIZE 150
SET PAGESIZE 0
SELECT * FROM TABLE(DBMS_XPLAN.DISPLAY_CURSOR);
SQL_ID aut9632fr3358, child number 0
-------------------------------------
SELECT COUNT(order_id) FROM orders
Plan hash value: 425895392
---------------------------------------------------------------------
| Id | Operation | Name | Rows | Cost (%CPU)| Time |
---------------------------------------------------------------------
| 0 | SELECT STATEMENT | | | 2 (100)| |
| 1 | SORT AGGREGATE | | 1 | | |
| 2 | TABLE ACCESS FULL| ORDERS | 105 | 2 (0)| 00:00:01 |
---------------------------------------------------------------------
Note
-----
- dynamic statistics used for this statement (level=2)
The Note in the preceding execution plan shows that the database used dynamic
statistics for the
SELECT
statement.
13.2.7 Gathering Optimizer Statistics Concurrently
Oracle Database can gather statistics on multiple tables or partitions concurrently.
This section contains the following topics:
•About Concurrent Statistics Gathering
By default, each partition of a partition table is gathered sequentially.
Chapter 13
Gathering Optimizer Statistics Manually
13-13

•Enabling Concurrent Statistics Gathering
To enable concurrent statistics gathering, use the
DBMS_STATS.SET_GLOBAL_PREFS
procedure to set the
CONCURRENT
preference.
•Monitoring Statistics Gathering Operations
You can monitor statistics gathering jobs using data dictionary views.
13.2.7.1 About Concurrent Statistics Gathering
By default, each partition of a partition table is gathered sequentially.
When concurrent statistics gathering mode is enabled, the database can
simultaneously gather optimizer statistics for multiple tables in a schema, or multiple
partitions or subpartitions in a table. Concurrency can reduce the overall time required
to gather statistics by enabling the database to fully use multiple processors.
Note:
Concurrent statistics gathering mode does not rely on parallel query
processing, but is usable with it.
This section contains the following topics:
•How DBMS_STATS Gathers Statistics Concurrently
Oracle Database employs multiple tools and technologies to create and manage
multiple statistics gathering jobs concurrently.
•Concurrent Statistics Gathering and Resource Management
The
DBMS_STATS
package does not explicitly manage resources used by concurrent
statistics gathering jobs that are part of a user-initiated statistics gathering call.
13.2.7.1.1 How DBMS_STATS Gathers Statistics Concurrently
Oracle Database employs multiple tools and technologies to create and manage
multiple statistics gathering jobs concurrently.
The database uses the following:
•Oracle Scheduler
•Oracle Database Advanced Queuing (AQ)
•Oracle Database Resource Manager (the Resource Manager)
Enable concurrent statistics gathering by setting the
CONCURRENT
preference with
DBMS_STATS.SET_GLOBAL_PREF
.
The database runs as many concurrent jobs as possible. The Job Scheduler decides
how many jobs to execute concurrently and how many to queue. As running jobs
complete, the scheduler dequeues and runs more jobs until the database has
gathered statistics on all tables, partitions, and subpartitions. The maximum number of
jobs is bounded by the
JOB_QUEUE_PROCESSES
initialization parameter and available
system resources.
In most cases, the
DBMS_STATS
procedures create a separate job for each table partition
or subpartition. However, if the partition or subpartition is empty or very small, then the
Chapter 13
Gathering Optimizer Statistics Manually
13-14

database may automatically batch the object with other small objects into a single job
to reduce the overhead of job maintenance.
The following figure illustrates the creation of jobs at different levels, where Table 3 is
a partitioned table, and the other tables are nonpartitioned. Job 3 acts as a coordinator
job for Table 3, and creates a job for each partition in that table, and a separate job for
the global statistics of Table 3. This example assumes that incremental statistics
gathering is disabled; if enabled, then the database derives global statistics from
partition-level statistics after jobs for partitions complete.
Figure 13-1 Concurrent Statistics Gathering Jobs
Level 2
Job 1
Table 1
Global
Statistics
Job 2
Table 2
Global
Statistics
Job 3
Table 3
Coordinator
Job
Job 4
Table 4
Global
Statistics
Gather Database/Schema/Dictionary Statistics
Job 3.1
Table 3
Partition 1
Job 3.3
Table 3
Global
Statistics
Job 3.2
Table 3
Partition 2
Level 1
13.2.7.1.2 Concurrent Statistics Gathering and Resource Management
The
DBMS_STATS
package does not explicitly manage resources used by concurrent
statistics gathering jobs that are part of a user-initiated statistics gathering call.
Thus, the database may use system resources fully during concurrent statistics
gathering. To address this situation, use the Resource Manager to cap resources
consumed by concurrent statistics gathering jobs. The Resource Manager must be
enabled to gather statistics concurrently.
The system-supplied consumer group
ORA$AUTOTASK
registers all statistics gathering
jobs. You can create a resource plan with proper resource allocations for
ORA$AUTOTASK
to prevent concurrent statistics gathering from consuming all available resources. If
you lack your own resource plan, and if choose not to create one, then consider
activating the Resource Manager with the system-supplied
DEFAULT_PLAN
.
Chapter 13
Gathering Optimizer Statistics Manually
13-15

Note:
The
ORA$AUTOTASK
consumer group is shared with the maintenance tasks that
automatically run during the maintenance windows. Thus, when concurrency
is activated for automatic statistics gathering, the database automatically
manages resources, with no extra steps required.
13.2.7.2 Enabling Concurrent Statistics Gathering
To enable concurrent statistics gathering, use the
DBMS_STATS.SET_GLOBAL_PREFS
procedure to set the
CONCURRENT
preference.
Possible values are as follows:
•
MANUAL
Concurrency is enabled only for manual statistics gathering.
•
AUTOMATIC
Concurrency is enabled only for automatic statistics gathering.
•
ALL
Concurrency is enabled for both manual and automatic statistics gathering.
•
OFF
Concurrency is disabled for both manual and automatic statistics gathering. This is
the default value.
This tutorial in this section explains how to enable concurrent statistics gathering.
Prerequisites
This tutorial has the following prerequisites:
•In addition to the standard privileges for gathering statistics, you must have the
following privileges:
–
CREATE JOB
–
MANAGE SCHEDULER
–
MANAGE ANY QUEUE
•The
SYSAUX
tablespace must be online because the scheduler stores its internal
tables and views in this tablespace.
•The
JOB_QUEUE_PROCESSES
initialization parameter must be set to at least
4
.
•The Resource Manager must be enabled.
By default, the Resource Manager is disabled. If you do not have a resource plan,
then consider enabling the Resource Manager with the system-supplied
DEFAULT_PLAN
.
Assumptions
This tutorial assumes that you want to do the following:
Chapter 13
Gathering Optimizer Statistics Manually
13-16

•Enable concurrent statistics gathering
•Gather statistics for the
sh
schema
•Monitor the gathering of the
sh
statistics
To enable concurrent statistics gathering:
1. Connect SQL*Plus to the database with the appropriate privileges, and then
enable the Resource Manager.
The following example uses the default plan for the Resource Manager:
ALTER SYSTEM SET RESOURCE_MANAGER_PLAN = 'DEFAULT_PLAN';
2. Set the
JOB_QUEUE_PROCESSES
initialization parameter to at least twice the number of
CPU cores.
In Oracle Real Application Clusters, the
JOB_QUEUE_PROCESSES
setting applies to
each node.
Assume that the system has 4 CPU cores. The following example sets the
parameter to
8
(twice the number of cores):
ALTER SYSTEM SET JOB_QUEUE_PROCESSES=8;
3. Confirm that the parameter change took effect.
For example, enter the following command in SQL*Plus (sample output included):
SHOW PARAMETER PROCESSES;
NAME TYPE VALUE
-------------------------------- ----------- -----
_high_priority_processes string VKTM
aq_tm_processes integer 1
db_writer_processes integer 1
gcs_server_processes integer 0
global_txn_processes integer 1
job_queue_processes integer 8
log_archive_max_processes integer 4
processes integer 100
4. Enable concurrent statistics.
For example, execute the following PL/SQL anonymous block:
BEGIN
DBMS_STATS.SET_GLOBAL_PREFS('CONCURRENT','ALL');
END;
/
5. Confirm that the statistics were enabled.
For example, execute the following query (sample output included):
SELECT DBMS_STATS.GET_PREFS('CONCURRENT') FROM DUAL;
DBMS_STATS.GET_PREFS('CONCURRENT')
----------------------------------
ALL
6. Gather the statistics for the
SH
schema.
For example, execute the following procedure:
EXEC DBMS_STATS.GATHER_SCHEMA_STATS('SH');
Chapter 13
Gathering Optimizer Statistics Manually
13-17

7. In a separate session, monitor the job progress by querying
DBA_OPTSTAT_OPERATION_TASKS
.
For example, execute the following query (sample output included):
SET LINESIZE 1000
COLUMN TARGET FORMAT a8
COLUMN TARGET_TYPE FORMAT a25
COLUMN JOB_NAME FORMAT a14
COLUMN START_TIME FORMAT a40
SELECT TARGET, TARGET_TYPE, JOB_NAME,
TO_CHAR(START_TIME, 'dd-mon-yyyy hh24:mi:ss')
FROM DBA_OPTSTAT_OPERATION_TASKS
WHERE STATUS = 'IN PROGRESS'
AND OPID = (SELECT MAX(ID)
FROM DBA_OPTSTAT_OPERATIONS
WHERE OPERATION = 'gather_schema_stats');
TARGET TARGET_TYPE JOB_NAME TO_CHAR(START_TIME,'
--------- ------------------------- -------------- --------------------
SH.SALES TABLE (GLOBAL STATS ONLY) ST$T292_1_B29 30-nov-2012 14:22:47
SH.SALES TABLE (COORDINATOR JOB) ST$SD290_1_B10 30-nov-2012 14:22:08
8. In the original session, disable concurrent statistics gathering.
For example, execute the following query:
EXEC DBMS_STATS.SET_GLOBAL_PREFS('CONCURRENT','OFF');
13.2.7.3 Monitoring Statistics Gathering Operations
You can monitor statistics gathering jobs using data dictionary views.
The following views are relevant:
•
DBA_OPTSTAT_OPERATION_TASKS
This view contains the history of tasks that are performed or currently in progress
as part of statistics gathering operations (recorded in
DBA_OPTSTAT_OPERATIONS
).
Each task represents a target object to be processed in the corresponding parent
operation.
•
DBA_OPTSTAT_OPERATIONS
This view contains a history of statistics operations performed or currently in
progress at the table, schema, and database level using the
DBMS_STATS
package.
The
TARGET
column in the preceding views shows the target object for that statistics
gathering job in the following form:
OWNER.TABLE_NAME.PARTITION_OR_SUBPARTITION_NAME
All statistics gathering job names start with the string
ST$
.
To display currently running statistics tasks and jobs:
•To list statistics gathering currently running tasks from all user sessions, use the
following SQL statement (sample output included):
SELECT OPID, TARGET, JOB_NAnME,
(SYSTIMESTAMP - START_TIME) AS elapsed_time
Chapter 13
Gathering Optimizer Statistics Manually
13-18

FROM DBA_OPTSTAT_OPERATION_TASKS
WHERE STATUS = 'IN PROGRESS';
OPID TARGET JOB_NAME ELAPSED_TIME
---- ------------------------- ------------- --------------------------
981 SH.SALES.SALES_Q4_1998 ST$T82_1_B29 +000000000 00:00:00.596321
981 SH.SALES ST$SD80_1_B10 +000000000 00:00:27.972033
To display completed statistics tasks and jobs:
•To list only completed tasks and jobs from a particular operation, first identify the
operation ID from the
DBA_OPTSTAT_OPERATIONS
view based on the statistics
gathering operation name, target, and start time. After you identify the operation
ID, you can query the
DBA_OPTSTAT_OPERATION_TASKS
view to find the corresponding
tasks in that operation
For example, to list operations with the ID 981, use the following commands in
SQL*Plus (sample output included):
VARIABLE id NUMBER
EXEC :id := 981
SELECT TARGET, JOB_NAME, (END_TIME - START_TIME) AS ELAPSED_TIME
FROM DBA_OPTSTAT_OPERATION_TASKS
WHERE STATUS <> 'IN PROGRESS'
AND OPID = :id;
TARGET JOB_NAME ELAPSED_TIME
------------------------- ------------- --------------------------
SH.SALES_TRANSACTIONS_EXT +000000000 00:00:45.479233
SH.CAL_MONTH_SALES_MV ST$SD88_1_B10 +000000000 00:00:45.382764
SH.CHANNELS ST$SD88_1_B10 +000000000 00:00:45.307397
To display statistics gathering tasks and jobs that have failed:
•Use the following SQL statement (partial sample output included):
SET LONG 10000
SELECT TARGET, JOB_NAME,
(END_TIME - START_TIME) AS ELAPSED_TIME, NOTES
FROM DBA_OPTSTAT_OPERATION_TASKS
WHERE STATUS = 'FAILED';
TARGET JOB_NAME ELAPSED_TIME NOTES
------------------ -------- -------------------------- ----------------------
SYS.OPATCH_XML_INV +000000007 02:36:31.130314 <error>ORA-20011:
Approximate NDV failed:
ORA-29913: error in
.
.
.
13.2.8 Gathering Incremental Statistics on Partitioned Objects
Incremental statistics scan only changed partitions. When gathering statistics on large
partitioned table by deriving global statistics from partition-level statistics, incremental
statistics maintenance improves performance.
This section contains the following topics:
Chapter 13
Gathering Optimizer Statistics Manually
13-19

•Purpose of Incremental Statistics
In a typical case, an application loads data into a new partition of a range-
partitioned table. As applications add new partitions and load data, the database
must gather statistics on the new partition and keep global statistics up to date.
•How DBMS_STATS Derives Global Statistics for Partitioned tables
When incremental statistics maintenance is enabled,
DBMS_STATS
gathers statistics
and creates synopses for changed partitions only. The database also
automatically merges partition-level synopses into a global synopsis, and derives
global statistics from the partition-level statistics and global synopses.
•Gathering Statistics for a Partitioned Table: Basic Steps
This section explains how to gather optimizer statistics for a partitioned table.
•Maintaining Incremental Statistics for Partition Maintenance Operations
A partition maintenance operation is a partition-related operation such as
adding, exchanging, merging, or splitting table partitions.
•Maintaining Incremental Statistics for Tables with Stale or Locked Partition
Statistics
Starting in Oracle Database 12c, incremental statistics can automatically calculate
global statistics for a partitioned table even if the partition or subpartition statistics
are stale and locked.
13.2.8.1 Purpose of Incremental Statistics
In a typical case, an application loads data into a new partition of a range-partitioned
table. As applications add new partitions and load data, the database must gather
statistics on the new partition and keep global statistics up to date.
Typically, data warehouse applications access large partitioned tables. Often these
tables are partitioned on date columns, with only the recent partitions subject to
frequent DML changes. Without incremental statistics, statistics collection typically
uses a two-pass approach:
1. The database scans the table to gather the global statistics.
The full scan of the table for global statistics collection can be very expensive,
depending on the size of the table. As the table adds partitions, the longer the
execution time for
GATHER_TABLE_STATS
because of the full table scan required for
the global statistics. The database must perform the scan of the entire table even if
only a small subset of partitions change.
2. The database scans the changed partitions to gather their partition-level statistics.
Incremental maintenance provides a huge performance benefit for data warehouse
applications because of the following:
•The database must scan the table only once to gather partition statistics and to
derive the global statistics by aggregating partition-level statistics. Thus, the
database avoids the two full scans that are required when not using incremental
statistics: one scan for the partition-level statistics, and one scan for the global-
level statistics.
•In subsequent statistics gathering, the database only needs to scan the stale
partitions and update their statistics (including synopses). The database can
derive global statistics from the fresh partition statistics, which saves a full table
scan.
Chapter 13
Gathering Optimizer Statistics Manually
13-20

When using incremental statistics, the database must still gather statistics on any
partition that will change the global or table-level statistics. Incremental statistics
maintenance yields the same statistics as gathering table statistics from scratch, but
performs better.
13.2.8.2 How DBMS_STATS Derives Global Statistics for Partitioned tables
When incremental statistics maintenance is enabled,
DBMS_STATS
gathers statistics and
creates synopses for changed partitions only. The database also automatically merges
partition-level synopses into a global synopsis, and derives global statistics from the
partition-level statistics and global synopses.
The database avoids a full table scan when computing global statistics by deriving
some global statistics from the partition-level statistics. For example, the number of
rows at the global level is the sum of number of rows of partitions. Even global
histograms can be derived from partition histograms.
However, the database cannot derive all statistics from partition-level statistics,
including the NDV of a column. The following example shows the NDV for two
partitions in a table:
Table 13-3 NDV for Two Partitions
Object Column Values NDV
Partition 1 1,3,3,4,5 4
Partition 2 2,3,4,5,6 5
Calculating the NDV in the table by adding the NDV of the individual partitions
produces an NDV of 9, which is incorrect. Thus, a more accurate technique is
required: synopses.
This section contains the following topics:
•Partition-Level Synopses
A synopsis is special type of statistic that tracks the number of distinct values
(NDV) for each column in a partition. You can consider a synopsis as an internal
management structure that samples distinct values.
•NDV Algorithms: Adaptive Sampling and HyperLogLog
Starting in Oracle Database 12c Release 2 (12.2), the HyperLogLog algorithm can
improve NDV (number of distinct values) calculation performance, and also reduce
the storage space required for synopses.
•Aggregation of Global Statistics Using Synopses: Example
In this example, the database gathers statistics for the initial six partitions of the
sales
table, and then creates synopses for each partition (
S1
,
S2
, and so on). The
database creates global statistics by aggregating the partition-level statistics and
synopses.
13.2.8.2.1 Partition-Level Synopses
A synopsis is special type of statistic that tracks the number of distinct values (NDV)
for each column in a partition. You can consider a synopsis as an internal
management structure that samples distinct values.
Chapter 13
Gathering Optimizer Statistics Manually
13-21

The database can accurately derive the global-level NDV for each column by merging
partition-level synopses. In the example shown in Table 13-3, the database can use
synopses to calculate the NDV for the column as 6.
Each partition maintains a synopsis in incremental mode. When a new partition is
added to the table you only need to gather statistics for the new partition. The
database automatically updates the global statistics by aggregating the new partition
synopsis with the synopses for existing partitions. Subsequent statistics gathering
operations are faster than when synopses are not used.
The database stores synopses in data dictionary tables
WRI$_OPTSTAT_SYNOPSIS_HEAD$
and
WRI$_OPTSTAT_SYNOPSIS$
in the
SYSAUX
tablespace. The
DBA_PART_COL_STATISTICS
dictionary view contains information of the column statistics in partitions. If the
NOTES
column contains the keyword
INCREMENTAL
, then this column has synopses.
13.2.8.2.2 NDV Algorithms: Adaptive Sampling and HyperLogLog
Starting in Oracle Database 12c Release 2 (12.2), the HyperLogLog algorithm can
improve NDV (number of distinct values) calculation performance, and also reduce the
storage space required for synopses.
The legacy algorithm for calculating NDV uses adaptive sampling. A synopsis is a
sample of the distinct values. When calculating the NDV, the database initially stores
every distinct value in a hash table. Each distinct value occupies a distinct hash
bucket, so a column with 5000 distinct values has 5000 hash buckets. The database
then halves the number of hash buckets, and then continues to halve the result until a
small number of buckets remain. The algorithm is “adaptive” because the sampling
rate changes based on the number of hash table splits.
To calculate the NDV for the column, the database uses the following formula, where
B is the number of hash buckets remaining after all the splits have been performed,
and S is the number of splits:
NDV = B * 2^S
Adaptive sampling produces accurate NDV statistics, but has the following
consequences:
•Synopses occupy significant disk space, especially when tables have many
columns and partitions, and the NDV in each column is high.
For example, a 60-column table might have 300,000 partitions, with an average
per-column NDV of 5,000. In this example, each partition has 300,000 entries (60
x 5000). In total, the synopses tables have 90 billion entries (300,000 squared),
which occupies at least 720 GB of storage space.
•Bulk processing of synopses can negatively affect performance.
Before the database regathers statistics on the stale partitions, it must delete the
associated synopses. Bulk deletion can be slow because it generates significant
amounts of undo and redo data.
In contrast to dynamic sampling, the HyperLogLog algorithm uses a randomization
technique. Although the algorithm is complex, the foundational insight is that in a
stream of random values, n distinct values will be spaced on average 1/n apart.
Therefore, if you know the smallest value in the stream, then you can roughly estimate
the number of distinct values. For example, if the values range from 0 to 1, and if the
Chapter 13
Gathering Optimizer Statistics Manually
13-22

smallest value observed is .2, then the numbers will on average be evenly spaced .2
apart, so the NDV estimate is 5.
The HyperLogLog algorithm expands on and corrects the original estimate. The
database applies a hash function to every column value, resulting in a set of hash
values with the same cardinality as the column. For the base estimate, the NDV
equals 2n, where n is the maximum number of trailing zeroes observed in the binary
representation of the hash values. The database refines its NDV estimate by using
part of the output to split values into different hash buckets.
The advantages of the HyperLogLog algorithm over adaptive sampling are:
•The accuracy of the new algorithm is similar to the original algorithm.
•The memory required is significantly lower, which typically leads to huge
reductions in synopsis size.
Synopses can become large when many partitions exist, and they have many
columns with high NDV. Synopses that use the HyperLogLog algorithm are more
compact. Creating and deleting synopses affects batch run times. Any operational
procedures that manage partitions reduce run time.
The
DBMS_STATS
preference
APPROXIMATE_NDV_ALGORITHM
determines which algorithm the
database uses for NDV calculation.
13.2.8.2.3 Aggregation of Global Statistics Using Synopses: Example
In this example, the database gathers statistics for the initial six partitions of the
sales
table, and then creates synopses for each partition (
S1
,
S2
, and so on). The database
creates global statistics by aggregating the partition-level statistics and synopses.
Figure 13-2 Aggregating Statistics
Sales Table
Sysaux
Tablespace
1
1
1
1
1
1
1
1
1
1
1
1
1
1
1
1
1
1
1
1
2The database generates
global statistics by
aggregating partition-level
statistics and synopses
S6
S5
S4
S3
S2
S1
Global
Statistics
May 23 2012
May 22 2012
May 21 2012
May 20 2012
May 19 2012
May 18 2012
1
1
1
1
1
1
1
1
1
1
1
1
1
1
1
1
1
1
1The database gathers partition-level
statistics, and creates synopses
The following graphic shows a new partition, containing data for May 24, being added
to the
sales
table. The database gathers statistics for the newly added partition,
retrieves synopses for the other partitions, and then aggregates the synopses to
create global statistics.
Chapter 13
Gathering Optimizer Statistics Manually
13-23

Figure 13-3 Aggregating Statistics after Adding a Partition
Sales Table
Sysaux
Tablespace
1
1
1
1
1
1
1
1
1
1
1
1
1
1
1
1
1
1
1
1
6The database generates
global statistics by
aggregating partition-level
synopses.
1
1
1
1
1
1
1
1
1
1
1
1
1
1
1
1
5The database retrieves
statistics and synopses
for other partitions.
S6
S5
S4
S3
S2
S1
Global
Statistics
May 23 2012
S7
May 24 2012
May 22 2012
May 21 2012
May 20 2012
May 19 2012
May 18 2012
1
1
1
1
1
1
1
1
1
1
1
1
1
1
1
1
3The table adds a
new partition. 1
1
1
1
1
1
1
1
1
1
1
1
1
1
1
1
1
1
4The database gathers statistics
and synopses for the new partition.
13.2.8.3 Gathering Statistics for a Partitioned Table: Basic Steps
This section explains how to gather optimizer statistics for a partitioned table.
This section contains the following topics:
•Considerations for Incremental Statistics Maintenance
Enabling incremental statistics maintenance has several consequences.
•Enabling Incremental Statistics Using SET_TABLE_PREFS
To enable incremental statistics maintenance for a partitioned table, use
DBMS_STATS.SET_TABLE_PREFS
to set the
INCREMENTAL
value to
true
. When
INCREMENTAL
is set to
false
, which is the default, the database uses a full table scan to maintain
global statistics.
•About the APPROXIMATE_NDV_ALGORITHM Settings
The
DBMS_STATS.APPROXIMATE_NDV_ALGORITHM
preference specifies the synopsis
generation algorithm, either HyperLogLog or adaptive sampling. The
INCREMENTAL_STALENESS
preference controls when the database reformats synopses
that use the adaptive sampling format.
•Configuring Synopsis Generation: Examples
These examples show different approaches, both conservative and aggressive, to
switching synopses to the new HyperLogLog format.
13.2.8.3.1 Considerations for Incremental Statistics Maintenance
Enabling incremental statistics maintenance has several consequences.
Specifically, note the following:
Chapter 13
Gathering Optimizer Statistics Manually
13-24

•If a table uses composite partitioning, then the database only gathers statistics for
modified subpartitions. The database does not gather statistics at the subpartition
level for unmodified subpartitions. In this way, the database reduces work by
skipping unmodified partitions.
•If a table uses incremental statistics, and if this table has a locally partitioned
index, then the database gathers index statistics at the global level and for
modified (not unmodified) index partitions. The database does not generate global
index statistics from the partition-level index statistics. Rather, the database
gathers global index statistics by performing a full index scan.
•The
SYSAUX
tablespace consumes additional space to maintain global statistics for
partitioned tables.
13.2.8.3.2 Enabling Incremental Statistics Using SET_TABLE_PREFS
To enable incremental statistics maintenance for a partitioned table, use
DBMS_STATS.SET_TABLE_PREFS
to set the
INCREMENTAL
value to
true
. When
INCREMENTAL
is
set to
false
, which is the default, the database uses a full table scan to maintain global
statistics.
For the database to update global statistics incrementally by scanning only the
partitions that have changed, the following conditions must be met:
•The
PUBLISH
value for the partitioned table is
true
.
•The
INCREMENTAL
value for the partitioned table is
true
.
•The statistics gathering procedure must specify
AUTO_SAMPLE_SIZE
for
ESTIMATE_PERCENT
and
AUTO
for
GRANULARITY
.
Example 13-3 Enabling Incremental Statistics
Assume that the
PUBLISH
value for the partitioned table
sh.sales
is
true
. The following
program enables incremental statistics for this table:
EXEC DBMS_STATS.SET_TABLE_PREFS('sh', 'sales', 'INCREMENTAL', 'TRUE');
13.2.8.3.3 About the APPROXIMATE_NDV_ALGORITHM Settings
The
DBMS_STATS.APPROXIMATE_NDV_ALGORITHM
preference specifies the synopsis
generation algorithm, either HyperLogLog or adaptive sampling. The
INCREMENTAL_STALENESS
preference controls when the database reformats synopses that
use the adaptive sampling format.
The
APPROXIMATE_NDV_ALGORITHM
preference has the following possible values:
•
REPEAT OR HYPERLOGLOG
This is the default. If
INCREMENTAL
is enabled on the table, then the database
preserves the format of any existing synopses that use the adaptive sampling
algorithm. However, the database creates any new synopses in HyperLogLog
format. This approach is attractive when existing performance is acceptable, and
you do not want to incur the performance cost of reformatting legacy content.
•
ADAPTIVE SAMPLING
The database uses the adaptive sampling algorithm for all synopses. This is the
most conservative option.
•
HYPERLOGLOG
Chapter 13
Gathering Optimizer Statistics Manually
13-25

The database uses the HyperLogLog algorithm for all new and stale synopses.
The
INCREMENTAL_STALENESS
preference controls when a synopsis is considered stale.
When the
APPROXIMATE_NDV_ALGORITHM
preference is set to
HYPERLOGLOG
, then the
following
INCREMENTAL_STALENESS
settings apply:
•
ALLOW_MIXED_FORMAT
This is the default. If this value is specified, and if the following conditions are met,
then the database does not consider existing adaptive sampling synopses as
stale:
–The synopses are fresh.
–You gather statistics manually.
Thus, synopses in both the legacy and HyperLogLog formats can co-exist.
However, over time the automatic statistics gathering job regathers statistics on
synopses that use the old format, and replaces them with synopses in
HyperLogLog format. In this way, the automatic statistics gather job gradually
phases out the old format. Manual statistics gathering jobs do not reformat
synopses that use the adaptive sampling format.
•Null
Any partitions with the synopses in the legacy format are considered stale, which
immediately triggers the database to regather statistics for stale synopses. The
advantage is that the performance cost occurs only once. The disadvantage is that
regathering all statistics on large tables can be resource-intensive.
13.2.8.3.4 Configuring Synopsis Generation: Examples
These examples show different approaches, both conservative and aggressive, to
switching synopses to the new HyperLogLog format.
Example 13-4 Taking a Conservative Approach to Reformatting Synopses
In this example, you allow synopses in mixed formats to coexist for the
sh.sales
table.
Mixed formats yield less accurate statistics. However, you do not need to regather
statistics for all partitions of the table.
To ensure that all new and stale synopses use the HyperLogLog algorithm, set the
APPROXIMATE_NDV_ALGORITHM
preference to
HYPERLOGLOG
. To ensure that the automatic
statistics gathering job reformats stale synopses gradually over time, set the
INCREMENTAL_STALENESS
preference to
ALLOW_MIXED_FORMAT
.
BEGIN
DBMS_STATS.SET_TABLE_PREFS
( ownname => 'sh'
, tabname => 'sales'
, pname => 'approximate_ndv_algorithm'
, pvalue => 'hyperloglog' );
DBMS_STATS.SET_TABLE_PREFS
( ownname => 'sh'
, tabname => 'sales'
, pname => 'incremental_staleness'
, pvalue => 'allow_mixed_format' );
END;
Chapter 13
Gathering Optimizer Statistics Manually
13-26

Example 13-5 Taking an Aggressive Approach to Reformatting Synopses
In this example, you force all synopses to use the HyperLogLog algorithm for the
sh.sales
table. In this case, the database must regather statistics for all partitions of
the table.
To ensure that all new and stale synopses use the HyperLogLog algorithm, set the
APPROXIMATE_NDV_ALGORITHM
preference to
HYPERLOGLOG
. To force the database to
immediately regather statistics for all partitions in the table and store them in the new
format, set the
INCREMENTAL_STALENESS
preference to null.
BEGIN
DBMS_STATS.SET_TABLE_PREFS
( ownname => 'sh'
, tabname => 'sales'
, pname => 'approximate_ndv_algorithm'
, pvalue => 'hyperloglog' );
DBMS_STATS.SET_TABLE_PREFS
( ownname => 'sh'
, tabname => 'sales'
, pname => 'incremental_staleness'
, pvalue => 'null' );
END;
13.2.8.4 Maintaining Incremental Statistics for Partition Maintenance
Operations
A partition maintenance operation is a partition-related operation such as adding,
exchanging, merging, or splitting table partitions.
Oracle Database provides the following support for incremental statistics maintenance:
•If a partition maintenance operation triggers statistics gathering, then the database
can reuse synopses that would previously have been dropped with the old
segments.
•
DBMS_STATS
can create a synopsis on a nonpartitioned table. The synopsis enables
the database to maintain incremental statistics as part of a partition exchange
operation without having to explicitly gather statistics on the partition after the
exchange.
When the
DBMS_STATS
preference
INCREMENTAL
is set to
true
on a table, the
INCREMENTAL_LEVEL
preference controls which synopses are collected and when. This
preference takes the following values:
•
TABLE
DBMS_STATS
gathers table-level synopses on this table. You can only set
INCREMENTAL_LEVEL
to
TABLE
at the table level, not at the schema, database, or
global level.
•
PARTITION
(default)
DBMS_STATS
only gathers synopsis at the partition level of partitioned tables.
When performing a partition exchange, to have synopses after the exchange for the
partition being exchanged, set
INCREMENTAL
to
true
and
INCREMENTAL_LEVEL
to
TABLE
on
the table to be exchanged with the partition.
Chapter 13
Gathering Optimizer Statistics Manually
13-27

Assumptions
This tutorial assumes the following:
•You want to load empty partition
p_sales_01_2010
in a
sales
table.
•You create a staging table
t_sales_01_2010
, and then populate the table.
•You want the database to maintain incremental statistics as part of the partition
exchange operation without having to explicitly gather statistics on the partition
after the exchange.
To maintain incremental statistics as part of a partition exchange operation:
1. Set incremental statistics preferences for staging table
t_sales_01_2010
.
For example, run the following statement:
BEGIN
DBMS_STATS.SET_TABLE_PREFS (
ownname => 'sh'
, tabname => 't_sales_01_2010'
, pname => 'INCREMENTAL'
, pvalue => 'true'
);
DBMS_STATS.SET_TABLE_PREFS (
ownname => 'sh'
, tabname => 't_sales_01_2010'
, pname => 'INCREMENTAL_LEVEL'
, pvalue => 'table'
);
END;
2. Gather statistics on staging table
t_sales_01_2010
.
For example, run the following PL/SQL code:
BEGIN
DBMS_STATS.GATHER_TABLE_STATS (
ownname => 'SH'
, tabname => 'T_SALES_01_2010'
);
END;
/
DBMS_STATS
gathers table-level synopses on
t_sales_01_2010
.
3. Ensure that the
INCREMENTAL
preference is
true
on the
sh.sales
table.
For example, run the following PL/SQL code:
BEGIN
DBMS_STATS.SET_TABLE_PREFS (
ownname => 'sh'
, tabname => 'sales'
, pname => 'INCREMENTAL'
, pvalue => 'true'
);
END;
/
4. If you have never gathered statistics on
sh.sales
before with
INCREMENTAL
set to
true
, then gather statistics on the partition to be exchanged.
Chapter 13
Gathering Optimizer Statistics Manually
13-28

For example, run the following PL/SQL code:
BEGIN
DBMS_STATS.GATHER_TABLE_STATS (
ownname => 'sh'
, tabname => 'sales'
, pname => 'p_sales_01_2010'
, pvalue => granularity=>'partition'
);
END;
/
5. Perform the partition exchange.
For example, use the following SQL statement:
ALTER TABLE sales EXCHANGE PARTITION p_sales_01_2010 WITH TABLE t_sales_01_2010;
After the exchange, the partitioned table has both statistics and a synopsis for
partition
p_sales_01_2010
.
In releases before Oracle Database 12c, the preceding statement swapped the
segment data and statistics of
p_sales_01_2010
with
t_sales_01_2010
. The database
did not maintain synopses for nonpartitioned tables such as
t_sales_01_2010
. To
gather global statistics on the partitioned table, you needed to rescan the
p_sales_01_2010
partition to obtain its synopses.
13.2.8.5 Maintaining Incremental Statistics for Tables with Stale or Locked
Partition Statistics
Starting in Oracle Database 12c, incremental statistics can automatically calculate
global statistics for a partitioned table even if the partition or subpartition statistics are
stale and locked.
When incremental statistics are enabled in releases before Oracle Database 12c, if
any DML occurs on a partition, then the optimizer considers statistics on this partition
to be stale. Thus,
DBMS_STATS
must gather the statistics again to accurately aggregate
the global statistics. Furthermore, if DML occurs on a partition whose statistics are
locked, then
DBMS_STATS
cannot regather the statistics on the partition, so a full table
scan is the only means of gathering global statistics. Regathering statistics creates
performance overhead.
In Oracle Database 12c, the statistics preference
INCREMENTAL_STALENESS
controls how
the database determines whether the statistics on a partition or subpartition are stale.
This preference takes the following values:
•
USE_STALE_PERCENT
A partition or subpartition is not considered stale if DML changes are less than the
STALE_PERCENT
preference specified for the table. The default value of
STALE_PERCENT
is
10
, which means that if DML causes more than 10% of row changes, then the
table is considered stale.
•
USE_LOCKED_STATS
Locked partition or subpartition statistics are not considered stale, regardless of
DML changes.
•
NULL
(default)
Chapter 13
Gathering Optimizer Statistics Manually
13-29

A partition or subpartition is considered stale if it has any DML changes. This
behavior is identical to the Oracle Database 11g behavior. When the default value
is used, statistics gathered in incremental mode are guaranteed to be the same as
statistics gathered in nonincremental mode. When a nondefault value is used,
statistics gathered in incremental mode might be less accurate than those
gathered in nonincremental mode.
You can specify
USE_STALE_PERCENT
and
USE_LOCKED_STATS
together. For example, you
can write the following anonymous block:
BEGIN
DBMS_STATS.SET_TABLE_PREFS (
ownname => null
, table_name => 't'
, pname => 'incremental_staleness'
, pvalue => 'use_stale_percent,use_locked_stats'
);
END;
Assumptions
This tutorial assumes the following:
•The
STALE_PERCENT
for a partitioned table is set to
10
.
•The
INCREMENTAL
value is set to
true
.
•The table has had statistics gathered in
INCREMENTAL
mode before.
•You want to discover how statistics gathering changes depending on the setting
for
INCREMENTAL_STALENESS
, whether the statistics are locked, and the percentage of
DML changes.
To test for tables with stale or locked partition statistics:
1. Set
INCREMENTAL_STALENESS
to
NULL
.
Afterward, 5% of the rows in one partition change because of DML activity.
2. Use
DBMS_STATS
to gather statistics on the table.
DBMS_STATS
regathers statistics for the partition that had the 5% DML activity, and
incrementally maintains the global statistics.
3. Set
INCREMENTAL_STALENESS
to
USE_STALE_PERCENT
.
Afterward, 5% of the rows in one partition change because of DML activity.
4. Use
DBMS_STATS
to gather statistics on the table.
DBMS_STATS
does not regather statistics for the partition that had DML activity
(because the changes are under the staleness threshold of 10%), and
incrementally maintains the global statistics.
5. Lock the partition statistics.
Afterward, 20% of the rows in one partition change because of DML activity.
6. Use
DBMS_STATS
to gather statistics on the table.
DBMS_STATS
does not regather statistics for the partition because the statistics are
locked. The database gathers the global statistics with a full table scan.
Afterward, 5% of the rows in one partition change because of DML activity.
7. Use
DBMS_STATS
to gather statistics on the table.
Chapter 13
Gathering Optimizer Statistics Manually
13-30

When you gather statistics on this table,
DBMS_STATS
does not regather statistics for
the partition because they are not considered stale. The database maintains global
statistics incrementally using the existing statistics for this partition.
8. Set
INCREMENTAL_STALENESS
to
USE_LOCKED_STATS
and
USE_STALE_PERCENT
.
Afterward, 20% of the rows in one partition change because of DML activity.
9. Use
DBMS_STATS
to gather statistics on the table.
Because
USE_LOCKED_STATS
is set,
DBMS_STATS
ignores the fact that the statistics are
stale and uses the locked statistics. The database maintains global statistics
incrementally using the existing statistics for this partition.
13.3 Gathering System Statistics Manually
System statistics describe hardware characteristics, such as I/O and CPU
performance and utilization, to the optimizer.
This section contains the following topics:
•About System Statistics
System statistics measure the performance of CPU and storage so that the
optimizer can use these inputs when evaluating plans.
•Guidelines for Gathering System Statistics
Unless there is a good reason to gather manually, Oracle recommends using the
defaults for system statistics.
•Gathering System Statistics with DBMS_STATS
To gather system statistics manually, use the
DBMS_STATS.GATHER_SYSTEM_STATS
procedure.
•Deleting System Statistics
The
DBMS_STATS.DELETE_SYSTEM_STATS
procedure deletes system statistics.
13.3.1 About System Statistics
System statistics measure the performance of CPU and storage so that the optimizer
can use these inputs when evaluating plans.
When a query executes, it consumes CPU. In many cases, a query also consumes
storage subsystem resources. Each plan in a typical query may consume a different
proportion of CPU and I/O. Using the cost metric, the optimizer chooses the plan that it
estimates will execute most quickly. If the optimizer knows the speed of CPU and
storage, then it can make finer judgements about the cost of each alternative plan.
The following figure a query that has three possible plans. Each plan uses different
amounts of CPU and I/O. For the sake of this example, the optimizer has assigned
Plan 1 the lowest cost.
Chapter 13
Gathering System Statistics Manually
13-31

SQL
Plan 2
SQL
Plan 3
SQL
Plan 1
More I/OMore CPU
High Cost
Low Cost
The database automatically gathers essential system statistics, called noworkload
statistics, at the first instance startup. Typically, these characteristics only change
when some aspect of the hardware configuration is upgraded.
The following figure shows the same database after adding high-performance storage.
Gathering system statistics enables the optimizer to take the storage performance into
account. In this example, the high-performance storage lowers the relative cost of Plan
2 and Plan 3 significantly. Plan 1 shows only marginal improvement because it uses
less I/O. Plan 3 has now been assigned the lowest cost.
More I/OMore CPU
High Cost
Low Cost
SQL
Plan 2
SQL
Plan 3
SQL
Plan 1
Chapter 13
Gathering System Statistics Manually
13-32

On systems with fast I/O infrastructure, system statistics increase the probability that
queries choose table scans over index access methods.
13.3.2 Guidelines for Gathering System Statistics
Unless there is a good reason to gather manually, Oracle recommends using the
defaults for system statistics.
System statistics are important for performance because they affect every SQL
statement executed in the database. Changing system statistics may change SQL
execution plans, perhaps in unexpected or unwanted ways. For this reason, Oracle
recommends considering the options carefully before changing system statistics.
When to Consider Gathering System Statistics Manually
If you are using Oracle Exadata, and if the database is running a pure data warehouse
load, then gathering system statistics using the
EXADATA
option can help performance in
some cases because table scans are more strongly favored. However, even on
Exadata, the defaults are best for most workloads.
If you are not using Oracle Exadata, and if you choose to gather system statistics
manually, then Oracle recommends the following:
•Gather system statistics when a physical change occurs in your environment, for
example, the server gets faster CPUs, more memory, or different disk storage.
Oracle recommends that you gather noworkload statistics after you create new
tablespaces on storage that is not used by any other tablespace.
•Capture statistics when the system has the most common workload. Gathering
workload statistics does not generate additional overhead.
When to Consider Using Default Statistics
Oracle recommends using the defaults for system statistics in most cases. To reset
system statistics to their default values, execute
DBMS_STATS.DELETE_SYSTEM_STATS
, and
then shut down and reopen the database. To ensure that appropriate defaults are
used, this step is also recommended on a newly created database.
13.3.3 Gathering System Statistics with DBMS_STATS
To gather system statistics manually, use the
DBMS_STATS.GATHER_SYSTEM_STATS
procedure.
This section contains the following topics:
•About the GATHER_SYSTEM_STATS Procedure
The
DBMS_STATS.GATHER_SYSTEM_STATS
procedure analyzes activity in a specified time
period (workload statistics) or simulates a workload (noworkload statistics).
•Gathering Workload Statistics
Oracle recommends that you use
DBMS_STATS.GATHER_SYSTEM_STATS
to capture
statistics when the database has the most typical workload.
•Gathering Noworkload Statistics
Noworkload statistics capture characteristics of the I/O system.
Chapter 13
Gathering System Statistics Manually
13-33

13.3.3.1 About the GATHER_SYSTEM_STATS Procedure
The
DBMS_STATS.GATHER_SYSTEM_STATS
procedure analyzes activity in a specified time
period (workload statistics) or simulates a workload (noworkload statistics).
The input arguments to
DBMS_STATS.GATHER_SYSTEM_STATS
are:
•
NOWORKLOAD
The optimizer gathers statistics based on system characteristics only, without
regard to the workload.
•
INTERVAL
After the specified number of minutes has passed, the optimizer updates system
statistics either in the data dictionary, or in an alternative table (specified by
stattab
). Statistics are based on system activity during the specified interval.
•
START
and
STOP
START
initiates gathering statistics.
STOP
calculates statistics for the elapsed period
(since
START
) and refreshes the data dictionary or an alternative table (specified by
stattab
). The optimizer ignores
INTERVAL
.
•
EXADATA
The system statistics consider the unique capabilities provided by using Exadata,
such as large I/O size and high I/O throughput. The optimizer sets the multiblock
read count and I/O throughput statistics along with CPU speed.
The following table lists the optimizer system statistics gathered by
DBMS_STATS
and the
options for gathering or manually setting specific system statistics.
Table 13-4 Optimizer System Statistics in the DBMS_STATS Package
Parameter Name Description Initialization Options for
Gathering or
Setting Statistics
Unit
cpuspeedNW
Represents
noworkload CPU
speed. CPU speed is
the average number
of CPU cycles in
each second.
At system startup Set
gathering_mode
=
NOWORKLOAD
or set
statistics manually.
millions/s
ioseektim
Represents the time
it takes to position
the disk head to read
data. I/O seek time
equals seek time +
latency time +
operating system
overhead time.
At system startup
10 (default)
Set
gathering_mode
=
NOWORKLOAD
or set
statistics manually.
ms
iotfrspeed
Represents the rate
at which an Oracle
database can read
data in the single
read request.
At system startup
4096 (default)
Set
gathering_mode
=
NOWORKLOAD
or set
statistics manually.
bytes/ms
Chapter 13
Gathering System Statistics Manually
13-34

Table 13-4 (Cont.) Optimizer System Statistics in the DBMS_STATS Package
Parameter Name Description Initialization Options for
Gathering or
Setting Statistics
Unit
cpuspeed
Represents workload
CPU speed. CPU
speed is the average
number of CPU
cycles in each
second.
None Set
gathering_mode
=
NOWORKLOAD
,
INTERVAL
, or
START|
STOP
, or set statistics
manually.
millions/s
maxthr
Maximum I/O
throughput is the
maximum throughput
that the I/O
subsystem can
deliver.
None Set
gathering_mode
=
NOWORKLOAD
,
INTERVAL
, or
START|
STOP
, or set statistics
manually.
bytes/s
slavethr
Slave I/O throughput
is the average
parallel execution
server I/O
throughput.
None Set
gathering_mode
=
INTERVAL
or
START|
STOP
, or set statistics
manually.
bytes/s
sreadtim
Single-block read
time is the average
time to read a single
block randomly.
None Set
gathering_mode
=
INTERVAL
or
START|
STOP
, or set statistics
manually.
ms
mreadtim
Multiblock read is the
average time to read
a multiblock
sequentially.
None Set
gathering_mode
=
INTERVAL
or
START|
STOP
, or set statistics
manually.
ms
mbrc
Multiblock count is
the average
multiblock read count
sequentially.
None Set
gathering_mode
=
INTERVAL
or
START|
STOP
, or set statistics
manually.
blocks
13.3.3.2 Gathering Workload Statistics
Oracle recommends that you use
DBMS_STATS.GATHER_SYSTEM_STATS
to capture statistics
when the database has the most typical workload.
For example, database applications can process OLTP transactions during the day
and generate OLAP reports at night.
This section contains the following topics:
•About Workload Statistics
Workload statistics analyze activity in a specified time period.
•Starting and Stopping System Statistics Gathering
This tutorial explains how to set the workload interval with the
START
and
STOP
parameters of
GATHER_SYSTEM_STATS
.
Chapter 13
Gathering System Statistics Manually
13-35

•Gathering System Statistics During a Specified Interval
This tutorial explains how to set the workload interval with the
INTERVAL
parameter
of
GATHER_SYSTEM_STATS
.
13.3.3.2.1 About Workload Statistics
Workload statistics analyze activity in a specified time period.
Workload statistics include the following statistics listed in Table 13-4:
•Single block (
sreadtim
) and multiblock (
mreadtim
) read times
•Multiblock count (
mbrc
)
•CPU speed (
cpuspeed
)
•Maximum system throughput (
maxthr
)
•Average parallel execution throughput (
slavethr
)
The database computes
sreadtim
,
mreadtim
, and
mbrc
by comparing the number of
physical sequential and random reads between two points in time from the beginning
to the end of a workload. The database implements these values through counters that
change when the buffer cache completes synchronous read requests.
Because the counters are in the buffer cache, they include not only I/O delays, but
also waits related to latch contention and task switching. Thus, workload statistics
depend on system activity during the workload window. If system is I/O bound (both
latch contention and I/O throughput), then the statistics promote a less I/O-intensive
plan after the database uses the statistics.
As shown in Figure 13-4, if you gather workload statistics, then the optimizer uses the
mbrc
value gathered for workload statistics to estimate the cost of a full table scan.
Figure 13-4 Workload Statistics Counters
Database Buffer Cache
May not be
available if
no full table
scans occur
May use if mbrc and mreadtim
are not available
Optimizer
mreadtim
mbrc
sreadtim
cpuspeed
maxthr
slavethr
Counters for Workload
Statistics
DB_FILE_MULTIBLOCK_READ_COUNT
Estimate
costs of
full table
scans
When gathering workload statistics, the database may not gather the
mbrc
and
mreadtim
values if no table scans occur during serial workloads, as is typical of OLTP
systems. However, full table scans occur frequently on DSS systems. These scans
may run parallel and bypass the buffer cache. In such cases, the database still gathers
the
sreadtim
because index lookups use the buffer cache.
If the database cannot gather or validate gathered
mbrc
or
mreadtim
values, but has
gathered
sreadtim
and
cpuspeed
, then the database uses only
sreadtim
and
cpuspeed
for
costing. In this case, the optimizer uses the value of the initialization parameter
Chapter 13
Gathering System Statistics Manually
13-36

DB_FILE_MULTIBLOCK_READ_COUNT
to cost a full table scan. However, if
DB_FILE_MULTIBLOCK_READ_COUNT
is
0
or is not set, then the optimizer uses a value of
8
for
calculating cost.
Use the
DBMS_STATS.GATHER_SYSTEM_STATS
procedure to gather workload statistics. The
GATHER_SYSTEM_STATS
procedure refreshes the data dictionary or a staging table with
statistics for the elapsed period. To set the duration of the collection, use either of the
following techniques:
•Specify
START
the beginning of the workload window, and then
STOP
at the end of
the workload window.
•Specify
INTERVAL
and the number of minutes before statistics gathering
automatically stops. If needed, you can use
GATHER_SYSTEM_STATS
(gathering_mode=>'STOP')
to end gathering earlier than scheduled.
13.3.3.2.2 Starting and Stopping System Statistics Gathering
This tutorial explains how to set the workload interval with the
START
and
STOP
parameters of
GATHER_SYSTEM_STATS
.
Assumptions
This tutorial assumes the following:
•The hour between 10 a.m. and 11 a.m. is representative of the daily workload.
•You intend to collect system statistics directly in the data dictionary.
To gather workload statistics using START and STOP:
1. Start SQL*Plus and connect to the database with administrator privileges.
2. Start statistics collection.
For example, at 10 a.m., execute the following procedure to start collection:
EXECUTE DBMS_STATS.GATHER_SYSTEM_STATS( gathering_mode => 'START' );
3. Generate the workload.
4. End statistics collection.
For example, at 11 a.m., execute the following procedure to end collection:
EXECUTE DBMS_STATS.GATHER_SYSTEM_STATS( gathering_mode => 'STOP' );
The optimizer can now use the workload statistics to generate execution plans that
are effective during the normal daily workload.
5. Optionally, query the system statistics.
For example, run the following query:
COL PNAME FORMAT a15
SELECT PNAME, PVAL1
FROM SYS.AUX_STATS$
WHERE SNAME = 'SYSSTATS_MAIN';
Chapter 13
Gathering System Statistics Manually
13-37

13.3.3.2.3 Gathering System Statistics During a Specified Interval
This tutorial explains how to set the workload interval with the
INTERVAL
parameter of
GATHER_SYSTEM_STATS
.
Assumptions
This tutorial assumes the following:
•The database application processes OLTP transactions during the day and runs
OLAP reports at night. To gather representative statistics, you collect them during
the day for two hours and then at night for two hours.
•You want to store statistics in a table named
workload_stats
.
•You intend to switch between the statistics gathered.
To gather workload statistics using INTERVAL:
1. Start SQL*Plus and connect to the production database as administrator
dba1
.
2. Create a table to hold the production statistics.
For example, execute the following PL/SQL program to create user statistics table
workload_stats
:
BEGIN
DBMS_STATS.CREATE_STAT_TABLE (
ownname => 'dba1'
, stattab => 'workload_stats'
);
END;
/
3. Ensure that
JOB_QUEUE_PROCESSES
is not
0
so that
DBMS_JOB
jobs and Oracle
Scheduler jobs run.
ALTER SYSTEM SET JOB_QUEUE_PROCESSES = 1;
4. Gather statistics during the day.
For example, gather statistics for two hours with the following program:
BEGIN
DBMS_STATS.GATHER_SYSTEM_STATS (
interval => 120
, stattab => 'workload_stats'
, statid => 'OLTP'
);
END;
/
5. Gather statistics during the evening.
For example, gather statistics for two hours with the following program:
BEGIN
DBMS_STATS.GATHER_SYSTEM_STATS (
interval => 120
, stattab => 'workload_stats'
, statid => 'OLAP'
);
Chapter 13
Gathering System Statistics Manually
13-38

END;
/
6. In the day or evening, import the appropriate statistics into the data dictionary.
For example, during the day you can import the OLTP statistics from the staging
table into the dictionary with the following program:
BEGIN
DBMS_STATS.IMPORT_SYSTEM_STATS (
stattab => 'workload_stats'
, statid => 'OLTP'
);
END;
/
For example, during the night you can import the OLAP statistics from the staging
table into the dictionary with the following program:
BEGIN
DBMS_STATS.IMPORT_SYSTEM_STATS (
stattab => 'workload_stats'
, statid => 'OLAP'
);
END;
/
13.3.3.3 Gathering Noworkload Statistics
Noworkload statistics capture characteristics of the I/O system.
By default, Oracle Database uses noworkload statistics and the CPU cost model. The
values of noworkload statistics are initialized to defaults at the first instance startup.
You can also use the
DBMS_STATS.GATHER_SYSTEM_STATS
procedure to gather noworkload
statistics manually.
Noworkload statistics include the following system statistics listed in Table 13-4:
•I/O transfer speed (
iotfrspeed
)
•I/O seek time (
ioseektim
)
•CPU speed (
cpuspeednw
)
The major difference between workload statistics and noworkload statistics is in the
gathering method. Noworkload statistics gather data by submitting random reads
against all data files, whereas workload statistics uses counters updated when
database activity occurs. If you gather workload statistics, then Oracle Database uses
them instead of noworkload statistics.
To gather noworkload statistics, run
DBMS_STATS.GATHER_SYSTEM_STATS
with no
arguments or with the gathering mode set to
noworkload
. There is an overhead on the
I/O system during the gathering process of noworkload statistics. The gathering
process may take from a few seconds to several minutes, depending on I/O
performance and database size.
When you gather noworkload statistics, the database analyzes the information and
verifies it for consistency. In some cases, the values of noworkload statistics may
retain their default values. You can either gather the statistics again, or use
SET_SYSTEM_STATS
to set the values manually to the I/O system specifications.
Chapter 13
Gathering System Statistics Manually
13-39

Assumptions
This tutorial assumes that you want to gather noworkload statistics manually.
To gather noworkload statistics manually:
1. Start SQL*Plus and connect to the database with administrator privileges.
2. Gather the noworkload statistics.
For example, run the following statement:
BEGIN
DBMS_STATS.GATHER_SYSTEM_STATS (
gathering_mode => 'NOWORKLOAD'
);
END;
3. Optionally, query the system statistics.
For example, run the following query:
COL PNAME FORMAT a15
SELECT PNAME, PVAL1
FROM SYS.AUX_STATS$
WHERE SNAME = 'SYSSTATS_MAIN';
13.3.4 Deleting System Statistics
The
DBMS_STATS.DELETE_SYSTEM_STATS
procedure deletes system statistics.
This procedure deletes workload statistics collected using the
INTERVAL
or
START
and
STOP
options, and then resets the default to noworkload statistics. However, if the
stattab
parameter specifies a table for storing statistics, then the subprogram deletes
all system statistics with the associated
statid
from the statistics table.
If the database is newly created, then Oracle recommends deleting system statistics,
shutting down the database, and then reopening the database. This sequence of steps
ensures that the database establishes appropriate defaults for system statistics.
Assumptions
This tutorial assumes the following:
•You gathered statistics for a specific intensive workload, but no longer want the
optimizer to use these statistics.
•You stored workload statistics in the default location, not in a user-specified table.
To delete system statistics:
1. In SQL*Plus, log in to the database as a user with administrative privileges.
2. Delete the system statistics.
For example, run the following statement:
EXEC DBMS_STATS.DELETE_SYSTEM_STATS;
Chapter 13
Gathering System Statistics Manually
13-40

13.4 Running Statistics Gathering Functions in Reporting
Mode
You can run the
DBMS_STATS
statistics gathering procedures in reporting mode.
When you use the
REPORT_*
procedures, the optimizer does not actually gather
statistics. Rather, the package reports objects that would be processed if you were to
use a specified statistics gathering function.
The following table lists the
DBMS_STATS.REPORT_GATHER_*_STATS
functions. For all
functions, the input parameters are the same as for the corresponding
GATHER_*_STATS
procedure, with the following additional parameters:
detail_level
and
format
.
Supported formats are
XML
,
HTML
, and
TEXT
.
Table 13-5 DBMS_STATS Reporting Mode Functions
Function Description
REPORT_GATHER_TABLE_STATS
Runs
GATHER_TABLE_STATS
in reporting mode. The
procedure does not collect statistics, but reports all
objects that would be affected by invoking
GATHER_TABLE_STATS
.
REPORT_GATHER_SCHEMA_STATS
Runs
GATHER_SCHEMA_STATS
in reporting mode.
The procedure does not actually collect statistics,
but reports all objects that would be affected by
invoking
GATHER_SCHEMA_STATS
.
REPORT_GATHER_DICTIONARY_STATS
Runs
GATHER_DICTIONARY_STATS
in reporting
mode. The procedure does not actually collect
statistics, but reports all objects that would be
affected by invoking
GATHER_DICTIONARY_STATS
.
REPORT_GATHER_DATABASE_STATS
Runs
GATHER_DATABASE_STATS
in reporting mode.
The procedure does not actually collect statistics,
but reports all objects that would be affected by
invoking
GATHER_DATABASE_STATS
.
REPORT_GATHER_FIXED_OBJ_STATS
Runs
GATHER_FIXED_OBJ_STATS
in reporting mode.
The procedure does not actually collect statistics,
but reports all objects that would be affected by
invoking
GATHER_FIXED_OBJ_STATS
.
REPORT_GATHER_AUTO_STATS
Runs the automatic statistics gather job in
reporting mode. The procedure does not actually
collect statistics, but reports all objects that would
be affected by running the job.
Assumptions
This tutorial assumes that you want to generate an HTML report of the objects that
would be affected by running
GATHER_SCHEMA_STATS
on the
oe
schema.
To report on objects affected by running GATHER_SCHEMA_STATS:
1. Start SQL*Plus and connect to the database with administrator privileges.
2. Run the
DBMS_STATS.REPORT_GATHER_SCHEMA_STATS
function.
Chapter 13
Running Statistics Gathering Functions in Reporting Mode
13-41

For example, run the following commands in SQL*Plus:
SET LINES 200 PAGES 0
SET LONG 100000
COLUMN REPORT FORMAT A200
VARIABLE my_report CLOB;
BEGIN
:my_report :=DBMS_STATS.REPORT_GATHER_SCHEMA_STATS(
ownname => 'OE' ,
detail_level => 'TYPICAL' ,
format => 'HTML' );
END;
/
The following graphic shows a partial example report:
Chapter 13
Running Statistics Gathering Functions in Reporting Mode
13-42

14
Managing Extended Statistics
DBMS_STATS
enables you to collect extended statistics, which are statistics that can
improve cardinality estimates when multiple predicates exist on different columns of a
table, or when predicates use expressions.
An extension is either a column group or an expression. Column group statistics can
improve cardinality estimates when multiple columns from the same table occur
together in a SQL statement. Expression statistics improves optimizer estimates when
predicates use expressions, for example, built-in or user-defined functions.
Note:
You cannot create extended statistics on virtual columns.
This chapter contains the following topics:
•Managing Column Group Statistics
A column group is a set of columns that is treated as a unit.
•Managing Expression Statistics
The type of extended statistics known as expression statistics improve optimizer
estimates when a
WHERE
clause has predicates that use expressions.
See Also:
Oracle Database SQL Language Reference for a list of restrictions on virtual
columns
14.1 Managing Column Group Statistics
A column group is a set of columns that is treated as a unit.
Essentially, a column group is a virtual column. By gathering statistics on a column
group, the optimizer can more accurately determine the cardinality estimate when a
query groups these columns together.
The following sections provide an overview of column group statistics, and explain how
to manage them manually:
•About Statistics on Column Groups
Individual column statistics are useful for determining the selectivity of a single
predicate in a
WHERE
clause.
14-1

•Detecting Useful Column Groups for a Specific Workload
You can use
DBMS_STATS.SEED_COL_USAGE
and
REPORT_COL_USAGE
to determine which
column groups are required for a table based on a specified workload.
•Creating Column Groups Detected During Workload Monitoring
You can use the
DBMS_STATS.CREATE_EXTENDED_STATS
function to create column
groups that were detected previously by executing
DBMS_STATS.SEED_COL_USAGE
.
•Creating and Gathering Statistics on Column Groups Manually
In some cases, you may know the column group that you want to create.
•Displaying Column Group Information
To obtain the name of a column group, use the
DBMS_STATS.SHOW_EXTENDED_STATS_NAME
function or a database view.
•Dropping a Column Group
Use the
DBMS_STATS.DROP_EXTENDED_STATS
function to delete a column group from a
table.
See Also:
Oracle Database PL/SQL Packages and Types Reference to learn about the
DBMS_STATS
package
14.1.1 About Statistics on Column Groups
Individual column statistics are useful for determining the selectivity of a single
predicate in a
WHERE
clause.
When the
WHERE
clause includes multiple predicates on different columns from the
same table, individual column statistics do not show the relationship between the
columns. This is the problem solved by a column group.
The optimizer calculates the selectivity of the predicates independently, and then
combines them. However, if a correlation between the individual columns exists, then
the optimizer cannot take it into account when determining a cardinality estimate,
which it creates by multiplying the selectivity of each table predicate by the number of
rows.
The following graphic contrasts two ways of gathering statistics on the
cust_state_province
and
country_id
columns of the
sh.customers
table. The diagram
shows
DBMS_STATS
collecting statistics on each column individually and on the group.
The column group has a system-generated name.
Chapter 14
Managing Column Group Statistics
14-2

Figure 14-1 Column Group Statistics
SYS_STU#S#WF25Z#QAHIHE#MOFFMM_
Statistics for
Column Group
CUST_ID
CUST_STATE_PROVINCE COUNTRY_ID
101095
103105
52790
52775
CA
Sao Paulo
...
Statistics for
CUST_STATE_PROVINCE
Statistics for
COUNTRY_ID
DBMS_STATS
Note:
The optimizer uses column group statistics for equality predicates, inlist
predicates, and for estimating the
GROUP BY
cardinality.
This section contains the following topics:
•Why Column Group Statistics Are Needed: Example
This example demonstrates how column group statistics enable the optimizer to
give a more accurate cardinality estimate.
•Automatic and Manual Column Group Statistics
Oracle Database can create column group statistics either automatically or
manually.
•User Interface for Column Group Statistics
Several
DBMS_STATS
program units have preferences that are relevant for column
groups.
14.1.1.1 Why Column Group Statistics Are Needed: Example
This example demonstrates how column group statistics enable the optimizer to give a
more accurate cardinality estimate.
The following query of the
DBA_TAB_COL_STATISTICS
table shows information about
statistics that have been gathered on the columns
cust_state_province
and
country_id
from the
sh.customers
table:
COL COLUMN_NAME FORMAT a20
COL NDV FORMAT 999
SELECT COLUMN_NAME, NUM_DISTINCT AS "NDV", HISTOGRAM
FROM DBA_TAB_COL_STATISTICS
WHERE OWNER = 'SH'
Chapter 14
Managing Column Group Statistics
14-3

AND TABLE_NAME = 'CUSTOMERS'
AND COLUMN_NAME IN ('CUST_STATE_PROVINCE', 'COUNTRY_ID');
Sample output is as follows:
COLUMN_NAME NDV HISTOGRAM
-------------------- ---------- ---------------
CUST_STATE_PROVINCE 145 FREQUENCY
COUNTRY_ID 19 FREQUENCY
As shown in the following query, 3341 customers reside in California:
SELECT COUNT(*)
FROM sh.customers
WHERE cust_state_province = 'CA';
COUNT(*)
----------
3341
Consider an explain plan for a query of customers in the state
CA
and in the country
with ID
52790
(USA):
EXPLAIN PLAN FOR
SELECT *
FROM sh.customers
WHERE cust_state_province = 'CA'
AND country_id=52790;
Explained.
sys@PROD> SELECT * FROM TABLE(DBMS_XPLAN.DISPLAY);
PLAN_TABLE_OUTPUT
--------------------------------------------------------------------------------
Plan hash value: 1683234692
-------------------------------------------------------------------------------
| Id | Operation | Name | Rows | Bytes | Cost (%CPU)| Time |
-------------------------------------------------------------------------------
| 0 | SELECT STATEMENT | | 128 | 24192 | 442 (7)| 00:00:06 |
|* 1 | TABLE ACCESS FULL| CUSTOMERS | 128 | 24192 | 442 (7)| 00:00:06 |
-------------------------------------------------------------------------------
Predicate Information (identified by operation id):
---------------------------------------------------
PLAN_TABLE_OUTPUT
--------------------------------------------------------------------------------
1 - filter("CUST_STATE_PROVINCE"='CA' AND "COUNTRY_ID"=52790)
13 rows selected.
Based on the single-column statistics for the
country_id
and
cust_state_province
columns, the optimizer estimates that the query of California customers in the USA will
return 128 rows. In fact, 3341 customers reside in California, but the optimizer does
not know that the state of California is in the country of the USA, and so greatly
underestimates cardinality by assuming that both predicates reduce the number of
returned rows.
Chapter 14
Managing Column Group Statistics
14-4

You can make the optimizer aware of the real-world relationship between values in
country_id
and
cust_state_province
by gathering column group statistics. These
statistics enable the optimizer to give a more accurate cardinality estimate.
14.1.1.2 Automatic and Manual Column Group Statistics
Oracle Database can create column group statistics either automatically or manually.
The optimizer can use SQL plan directives to generate a more optimal plan. If the
DBMS_STATS
preference
AUTO_STAT_EXTENSIONS
is set to
ON
(by default it is
OFF
), then a
SQL plan directive can automatically trigger the creation of column group statistics
based on usage of predicates in the workload. You can set
AUTO_STAT_EXTENSIONS
with
the
SET_TABLE_PREFS
,
SET_GLOBAL_PREFS
, or
SET_SCHEMA_PREFS
procedures.
When you want to manage column group statistics manually, then use
DBMS_STATS
as
follows:
•Detect column groups
•Create previously detected column groups
•Create column groups manually and gather column group statistics
14.1.1.3 User Interface for Column Group Statistics
Several
DBMS_STATS
program units have preferences that are relevant for column
groups.
Table 14-1 DBMS_STATS APIs Relevant for Column Groups
Program Unit or Preference Description
SEED_COL_USAGE
Procedure Iterates over the SQL statements in the specified workload,
compiles them, and then seeds column usage information for
the columns that appear in these statements.
To determine the appropriate column groups, the database
must observe a representative workload. You do not need to
run the queries themselves during the monitoring period.
Instead, you can run
EXPLAIN PLAN
for some longer-running
queries in your workload to ensure that the database is
recording column group information for these queries.
REPORT_COL_USAGE
Function Generates a report that lists the columns that were seen in
filter predicates, join predicates, and
GROUP BY
clauses in the
workload.
You can use this function to review column usage information
recorded for a specific table.
CREATE_EXTENDED_STATS
Function
Creates extensions, which are either column groups or
expressions. The database gathers statistics for the
extension when either a user-generated or automatic
statistics gathering job gathers statistics for the table.
Chapter 14
Managing Column Group Statistics
14-5

Table 14-1 (Cont.) DBMS_STATS APIs Relevant for Column Groups
Program Unit or Preference Description
AUTO_STAT_EXTENSIONS
Preference
Controls the automatic creation of extensions, including
column groups, when optimizer statistics are gathered. Set
this preference using
SET_TABLE_PREFS
,
SET_SCHEMA_PREFS
,
or
SET_GLOBAL_PREFS
.
When
AUTO_STAT_EXTENSIONS
is set to
OFF
(default), the
database does not create column group statistics
automatically. To create extensions, you must execute the
CREATE_EXTENDED_STATS
function or specify extended
statistics explicitly in the
METHOD_OPT
parameter in the
DBMS_STATS
API.
When set to
ON
, a SQL plan directive can trigger the creation
of column group statistics automatically based on usage of
columns in the predicates in the workload.
14.1.2 Detecting Useful Column Groups for a Specific Workload
You can use
DBMS_STATS.SEED_COL_USAGE
and
REPORT_COL_USAGE
to determine which
column groups are required for a table based on a specified workload.
This technique is useful when you do not know which extended statistics to create.
This technique does not work for expression statistics.
Assumptions
This tutorial assumes the following:
•Cardinality estimates have been incorrect for queries of the
sh.customers_test
table (created from the
customers
table) that use predicates referencing the
columns
country_id
and
cust_state_province
.
•You want the database to monitor your workload for 5 minutes (300 seconds).
•You want the database to determine which column groups are needed
automatically.
To detect column groups:
1. Start SQL*Plus or SQL Developer, and log in to the database as user
sh
.
2. Create the
customers_test
table and gather statistics for it:
DROP TABLE customers_test;
CREATE TABLE customers_test AS SELECT * FROM customer;
EXEC DBMS_STATS.GATHER_TABLE_STATS(user, 'customers_test');
3. Enable workload monitoring.
In a different SQL*Plus session, connect as
SYS
and run the following PL/SQL
program to enable monitoring for 300 seconds:
BEGIN
DBMS_STATS.SEED_COL_USAGE(null,null,300);
END;
/
Chapter 14
Managing Column Group Statistics
14-6

4. As user
sh
, run explain plans for two queries in the workload.
The following examples show the explain plans for two queries on the
customers_test
table:
EXPLAIN PLAN FOR
SELECT *
FROM customers_test
WHERE cust_city = 'Los Angeles'
AND cust_state_province = 'CA'
AND country_id = 52790;
SELECT PLAN_TABLE_OUTPUT
FROM TABLE(DBMS_XPLAN.DISPLAY('plan_table', null,'basic rows'));
EXPLAIN PLAN FOR
SELECT country_id, cust_state_province, count(cust_city)
FROM customers_test
GROUP BY country_id, cust_state_province;
SELECT PLAN_TABLE_OUTPUT
FROM TABLE(DBMS_XPLAN.DISPLAY('plan_table', null,'basic rows'));
Sample output appears below:
PLAN_TABLE_OUTPUT
---------------------------------------------------------------------------
Plan hash value: 4115398853
----------------------------------------------------
| Id | Operation | Name | Rows |
----------------------------------------------------
| 0 | SELECT STATEMENT | | 1 |
| 1 | TABLE ACCESS FULL| CUSTOMERS_TEST | 1 |
----------------------------------------------------
8 rows selected.
PLAN_TABLE_OUTPUT
---------------------------------------------------------------------------
Plan hash value: 3050654408
-----------------------------------------------------
| Id | Operation | Name | Rows |
-----------------------------------------------------
| 0 | SELECT STATEMENT | | 1949 |
| 1 | HASH GROUP BY | | 1949 |
| 2 | TABLE ACCESS FULL| CUSTOMERS_TEST | 55500 |
-----------------------------------------------------
9 rows selected.
The first plan shows a cardinality of 1 row for a query that returns 932 rows. The
second plan shows a cardinality of 1949 rows for a query that returns 145 rows.
5. Optionally, review the column usage information recorded for the table.
Call the
DBMS_STATS.REPORT_COL_USAGE
function to generate a report:
SET LONG 100000
SET LINES 120
SET PAGES 0
Chapter 14
Managing Column Group Statistics
14-7

SELECT DBMS_STATS.REPORT_COL_USAGE(user, 'customers_test')
FROM DUAL;
The report appears below:
LEGEND:
.......
EQ : Used in single table EQuality predicate
RANGE : Used in single table RANGE predicate
LIKE : Used in single table LIKE predicate
NULL : Used in single table is (not) NULL predicate
EQ_JOIN : Used in EQuality JOIN predicate
NONEQ_JOIN : Used in NON EQuality JOIN predicate
FILTER : Used in single table FILTER predicate
JOIN : Used in JOIN predicate
GROUP_BY : Used in GROUP BY expression
...........................................................................
###########################################################################
COLUMN USAGE REPORT FOR SH.CUSTOMERS_TEST
.........................................
1. COUNTRY_ID : EQ
2. CUST_CITY : EQ
3. CUST_STATE_PROVINCE : EQ
4. (CUST_CITY, CUST_STATE_PROVINCE,
COUNTRY_ID) : FILTER
5. (CUST_STATE_PROVINCE, COUNTRY_ID) : GROUP_BY
###########################################################################
In the preceding report, the first three columns were used in equality predicates in
the first monitored query:
...
WHERE cust_city = 'Los Angeles'
AND cust_state_province = 'CA'
AND country_id = 52790;
All three columns appeared in the same
WHERE
clause, so the report shows them as
a group filter. In the second query, two columns appeared in the
GROUP BY
clause,
so the report labels them as
GROUP_BY
. The sets of columns in the
FILTER
and
GROUP_BY
report are candidates for column groups.
14.1.3 Creating Column Groups Detected During Workload Monitoring
You can use the
DBMS_STATS.CREATE_EXTENDED_STATS
function to create column groups
that were detected previously by executing
DBMS_STATS.SEED_COL_USAGE
.
Assumptions
This tutorial assumes that you have performed the steps in "Detecting Useful Column
Groups for a Specific Workload".
To create column groups:
1. Create column groups for the
customers_test
table based on the usage information
captured during the monitoring window.
Chapter 14
Managing Column Group Statistics
14-8

For example, run the following query:
SELECT DBMS_STATS.CREATE_EXTENDED_STATS(user, 'customers_test') FROM DUAL;
Sample output appears below:
###########################################################################
EXTENSIONS FOR SH.CUSTOMERS_TEST
................................
1. (CUST_CITY, CUST_STATE_PROVINCE,
COUNTRY_ID) :SYS_STUMZ$C3AIHLPBROI#SKA58H_N created
2. (CUST_STATE_PROVINCE, COUNTRY_ID):SYS_STU#S#WF25Z#QAHIHE#MOFFMM_ created
###########################################################################
The database created two column groups for
customers_test
: one column group
for the filter predicate and one group for the
GROUP BY
operation.
2. Regather table statistics.
Run
GATHER_TABLE_STATS
to regather the statistics for
customers_test
:
EXEC DBMS_STATS.GATHER_TABLE_STATS(user,'customers_test');
3. As user
sh
, run explain plans for two queries in the workload.
Check the
USER_TAB_COL_STATISTICS
view to determine which additional statistics
were created by the database:
SELECT COLUMN_NAME, NUM_DISTINCT, HISTOGRAM
FROM USER_TAB_COL_STATISTICS
WHERE TABLE_NAME = 'CUSTOMERS_TEST'
ORDER BY 1;
Partial sample output appears below:
CUST_CITY 620 HEIGHT BALANCED
...
SYS_STU#S#WF25Z#QAHIHE#MOFFMM_ 145 NONE
SYS_STUMZ$C3AIHLPBROI#SKA58H_N 620 HEIGHT BALANCED
This example shows the two column group names returned from the
DBMS_STATS.CREATE_EXTENDED_STATS
function. The column group created on
CUST_CITY
,
CUST_STATE_PROVINCE
, and
COUNTRY_ID
has a height-balanced histogram.
4. Explain the plans again.
The following examples show the explain plans for two queries on the
customers_test
table:
EXPLAIN PLAN FOR
SELECT *
FROM customers_test
WHERE cust_city = 'Los Angeles'
AND cust_state_province = 'CA'
AND country_id = 52790;
SELECT PLAN_TABLE_OUTPUT
FROM TABLE(DBMS_XPLAN.DISPLAY('plan_table', null,'basic rows'));
EXPLAIN PLAN FOR
SELECT country_id, cust_state_province, count(cust_city)
FROM customers_test
GROUP BY country_id, cust_state_province;
Chapter 14
Managing Column Group Statistics
14-9

SELECT PLAN_TABLE_OUTPUT
FROM TABLE(DBMS_XPLAN.DISPLAY('plan_table', null,'basic rows'));
The new plans show more accurate cardinality estimates:
----------------------------------------------------
| Id | Operation | Name | Rows |
----------------------------------------------------
| 0 | SELECT STATEMENT | | 1093 |
| 1 | TABLE ACCESS FULL| CUSTOMERS_TEST | 1093 |
----------------------------------------------------
8 rows selected.
Plan hash value: 3050654408
-----------------------------------------------------
| Id | Operation | Name | Rows |
-----------------------------------------------------
| 0 | SELECT STATEMENT | | 145 |
| 1 | HASH GROUP BY | | 145 |
| 2 | TABLE ACCESS FULL| CUSTOMERS_TEST | 55500 |
-----------------------------------------------------
9 rows selected.
14.1.4 Creating and Gathering Statistics on Column Groups Manually
In some cases, you may know the column group that you want to create.
The
METHOD_OPT
argument of the
DBMS_STATS.GATHER_TABLE_STATS
function can create and
gather statistics on a column group automatically. You can create a new column group
by specifying the group of columns using
FOR COLUMNS
.
Assumptions
This tutorial assumes the following:
•You want to create a column group for the
cust_state_province
and
country_id
columns in the
customers
table in
sh
schema.
•You want to gather statistics (including histograms) on the entire table and the new
column group.
To create a column group and gather statistics for this group:
1. In SQL*Plus, log in to the database as the
sh
user.
2. Create the column group and gather statistics.
For example, execute the following PL/SQL program:
BEGIN
DBMS_STATS.GATHER_TABLE_STATS( 'sh','customers',
METHOD_OPT => 'FOR ALL COLUMNS SIZE SKEWONLY ' ||
'FOR COLUMNS SIZE SKEWONLY (cust_state_province,country_id)' );
END;
/
Chapter 14
Managing Column Group Statistics
14-10

14.1.5 Displaying Column Group Information
To obtain the name of a column group, use the
DBMS_STATS.SHOW_EXTENDED_STATS_NAME
function or a database view.
You can also use views to obtain information such as the number of distinct values,
and whether the column group has a histogram.
Assumptions
This tutorial assumes the following:
•You created a column group for the
cust_state_province
and
country_id
columns
in the
customers
table in
sh
schema.
•You want to determine the column group name, the number of distinct values, and
whether a histogram has been created for a column group.
To monitor a column group:
1. Start SQL*Plus and connect to the database as the
sh
user.
2. To determine the column group name, do one of the following.
•Execute the
SHOW_EXTENDED_STATS_NAME
function.
For example, run the following PL/SQL program:
SELECT SYS.DBMS_STATS.SHOW_EXTENDED_STATS_NAME( 'sh','customers',
'(cust_state_province,country_id)' ) col_group_name
FROM DUAL;
The output is similar to the following:
COL_GROUP_NAME
----------------
SYS_STU#S#WF25Z#QAHIHE#MOFFMM_
•Query the
USER_STAT_EXTENSIONS
view.
For example, run the following query:
SELECT EXTENSION_NAME, EXTENSION
FROM USER_STAT_EXTENSIONS
WHERE TABLE_NAME='CUSTOMERS';
EXTENSION_NAME EXTENSION
-----------------------------------------------------------------------
SYS_STU#S#WF25Z#QAHIHE#MOFFMM_ ("CUST_STATE_PROVINCE","COUNTRY_ID")
3. Query the number of distinct values and find whether a histogram has been
created for a column group.
For example, run the following query:
SELECT e.EXTENSION col_group, t.NUM_DISTINCT, t.HISTOGRAM
FROM USER_STAT_EXTENSIONS e, USER_TAB_COL_STATISTICS t
WHERE e.EXTENSION_NAME=t.COLUMN_NAME
AND e.TABLE_NAME=t.TABLE_NAME
AND t.TABLE_NAME='CUSTOMERS';
COL_GROUP NUM_DISTINCT HISTOGRAM
Chapter 14
Managing Column Group Statistics
14-11

-------------------------------------------------------------------
("COUNTRY_ID","CUST_STATE_PROVINCE") 145 FREQUENCY
14.1.6 Dropping a Column Group
Use the
DBMS_STATS.DROP_EXTENDED_STATS
function to delete a column group from a
table.
Assumptions
This tutorial assumes the following:
•You created a column group for the
cust_state_province
and
country_id
columns
in the
customers
table in
sh
schema.
•You want to drop the column group.
To drop a column group:
1. Start SQL*Plus and connect to the database as the
sh
user.
2. Drop the column group.
For example, the following PL/SQL program deletes a column group from the
customers
table:
BEGIN
DBMS_STATS.DROP_EXTENDED_STATS( 'sh', 'customers',
'(cust_state_province, country_id)' );
END;
/
14.2 Managing Expression Statistics
The type of extended statistics known as expression statistics improve optimizer
estimates when a
WHERE
clause has predicates that use expressions.
This section contains the following topics:
•About Expression Statistics
For an expression in the form
(function(col)=constant)
applied to a
WHERE
clause
column, the optimizer does not know how this function affects predicate cardinality
unless a function-based index exists. However, you can gather expression
statistics on the expression
(function(col)
itself.
•Creating Expression Statistics
You can use
DBMS_STATS
to create statistics for a user-specified expression.
•Displaying Expression Statistics
To obtain information about expression statistics, use the database view
DBA_STAT_EXTENSIONS
and the
DBMS_STATS.SHOW_EXTENDED_STATS_NAME
function.
•Dropping Expression Statistics
To delete a column group from a table, use the
DBMS_STATS.DROP_EXTENDED_STATS
function.
Chapter 14
Managing Expression Statistics
14-12

14.2.1 About Expression Statistics
For an expression in the form
(function(col)=constant)
applied to a
WHERE
clause
column, the optimizer does not know how this function affects predicate cardinality
unless a function-based index exists. However, you can gather expression statistics on
the expression
(function(col)
itself.
The following graphic shows the optimizer using statistics to generate a plan for a
query that uses a function. The top shows the optimizer checking statistics for the
column. The bottom shows the optimizer checking statistics corresponding to the
expression used in the query. The expression statistics yield more accurate estimates.
Figure 14-2 Expression Statistics
Use Default
Column
Statistics
Use
Expression
Statistics
Optimal
Estimate Suboptimal
Estimate
Do
expression
statistics
exist?
Optimizer
SELECT * FROM sh.customers
WHERE LOWER (cust_state_province) = ‘ca’
LOWER(cust_state_province)
Expression Statistics
cust_state_province
Column Statistics
Yes No
As shown in Figure 14-2, when expression statistics are not available, the optimizer
can produce suboptimal plans.
This section contains the following topics:
•When Expression Statistics Are Useful: Example
See Also:
Oracle Database SQL Language Reference to learn about SQL functions
Chapter 14
Managing Expression Statistics
14-13

14.2.1.1 When Expression Statistics Are Useful: Example
The following query of the
sh.customers
table shows that 3341 customers are in the
state of California:
sys@PROD> SELECT COUNT(*) FROM sh.customers WHERE cust_state_province='CA';
COUNT(*)
----------
3341
Consider the plan for the same query with the
LOWER()
function applied:
sys@PROD> EXPLAIN PLAN FOR
2 SELECT * FROM sh.customers WHERE LOWER(cust_state_province)='ca';
Explained.
sys@PROD> select * from table(dbms_xplan.display);
PLAN_TABLE_OUTPUT
-------------------------------------------------------------------------------
Plan hash value: 2008213504
-------------------------------------------------------------------------------
| Id | Operation | Name | Rows | Bytes | Cost (%CPU)| Time |
-------------------------------------------------------------------------------
| 0 | SELECT STATEMENT | | 555 | 108K| 406 (1)| 00:00:05 |
|* 1 | TABLE ACCESS FULL| CUSTOMERS | 555 | 108K| 406 (1)| 00:00:05 |
-------------------------------------------------------------------------------
Predicate Information (identified by operation id):
---------------------------------------------------
1 - filter(LOWER("CUST_STATE_PROVINCE")='ca')
Because no expression statistics exist for
LOWER(cust_state_province)='ca'
, the
optimizer estimate is significantly off. You can use
DBMS_STATS
procedures to correct
these estimates.
14.2.2 Creating Expression Statistics
You can use
DBMS_STATS
to create statistics for a user-specified expression.
You can use either of the following program units:
•
GATHER_TABLE_STATS
procedure
•
CREATE_EXTENDED_STATISTICS
function followed by the
GATHER_TABLE_STATS
procedure
Assumptions
This tutorial assumes the following:
•Selectivity estimates are inaccurate for queries of
sh.customers
that use the
UPPER(cust_state_province)
function.
•You want to gather statistics on the
UPPER(cust_state_province)
expression.
Chapter 14
Managing Expression Statistics
14-14

To create expression statistics:
1. Start SQL*Plus and connect to the database as the
sh
user.
2. Gather table statistics.
For example, run the following command, specifying the function in the
method_opt
argument:
BEGIN
DBMS_STATS.GATHER_TABLE_STATS(
'sh'
, 'customers'
, method_opt => 'FOR ALL COLUMNS SIZE SKEWONLY ' ||
'FOR COLUMNS (LOWER(cust_state_province)) SIZE SKEWONLY'
);
END;
14.2.3 Displaying Expression Statistics
To obtain information about expression statistics, use the database view
DBA_STAT_EXTENSIONS
and the
DBMS_STATS.SHOW_EXTENDED_STATS_NAME
function.
You can also use views to obtain information such as the number of distinct values,
and whether the column group has a histogram.
Assumptions
This tutorial assumes the following:
•You created extended statistics for the
LOWER(cust_state_province)
expression.
•You want to determine the column group name, the number of distinct values, and
whether a histogram has been created for a column group.
To monitor expression statistics:
1. Start SQL*Plus and connect to the database as the
sh
user.
2. Query the name and definition of the statistics extension.
For example, run the following query:
COL EXTENSION_NAME FORMAT a30
COL EXTENSION FORMAT a35
SELECT EXTENSION_NAME, EXTENSION
FROM USER_STAT_EXTENSIONS
WHERE TABLE_NAME='CUSTOMERS';
Sample output appears as follows:
EXTENSION_NAME EXTENSION
------------------------------ ------------------------------
SYS_STUBPHJSBRKOIK9O2YV3W8HOUE (LOWER("CUST_STATE_PROVINCE"))
3. Query the number of distinct values and find whether a histogram has been
created for the expression.
For example, run the following query:
Chapter 14
Managing Expression Statistics
14-15

SELECT e.EXTENSION expression, t.NUM_DISTINCT, t.HISTOGRAM
FROM USER_STAT_EXTENSIONS e, USER_TAB_COL_STATISTICS t
WHERE e.EXTENSION_NAME=t.COLUMN_NAME
AND e.TABLE_NAME=t.TABLE_NAME
AND t.TABLE_NAME='CUSTOMERS';
EXPRESSION NUM_DISTINCT HISTOGRAM
-------------------------------------------------------------------
(LOWER("CUST_STATE_PROVINCE")) 145 FREQUENCY
14.2.4 Dropping Expression Statistics
To delete a column group from a table, use the
DBMS_STATS.DROP_EXTENDED_STATS
function.
Assumptions
This tutorial assumes the following:
•You created extended statistics for the
LOWER(cust_state_province)
expression.
•You want to drop the expression statistics.
To drop expression statistics:
1. Start SQL*Plus and connect to the database as the
sh
user.
2. Drop the column group.
For example, the following PL/SQL program deletes a column group from the
customers
table:
BEGIN
DBMS_STATS.DROP_EXTENDED_STATS(
'sh'
, 'customers'
, '(LOWER(cust_state_province))'
);
END;
/
Chapter 14
Managing Expression Statistics
14-16

15
Controlling the Use of Optimizer Statistics
Using
DBMS_STATS
, you can specify when and how the optimizer uses statistics.
This section contains the following topics:
•Locking and Unlocking Optimizer Statistics
You can lock statistics to prevent them from changing.
•Publishing Pending Optimizer Statistics
By default, the database automatically publishes statistics when the statistics
collection ends.
•Creating Artificial Optimizer Statistics for Testing
To provide the optimizer with user-created statistics for testing purposes, you can
use the
DBMS_STATS.SET_*_STATS
procedures. These procedures provide the
optimizer with artificial values for the specified statistics.
15.1 Locking and Unlocking Optimizer Statistics
You can lock statistics to prevent them from changing.
After statistics are locked, you cannot make modifications to the statistics until the
statistics have been unlocked. Locking procedures are useful in a static environment
when you want to guarantee that the statistics and resulting plan never change. For
example, you may want to prevent new statistics from being gathered on a table or
schema by the
DBMS_STATS_JOB
process, such as highly volatile tables.
When you lock statistics on a table, all dependent statistics are locked. The locked
statistics include table statistics, column statistics, histograms, and dependent index
statistics. To overwrite statistics even when they are locked, you can set the value of
the
FORCE
argument in various
DBMS_STATS
procedures, for example,
DELETE_*_STATS
and
RESTORE_*_STATS
, to
true
.
This section contains the following topics:
•Locking Statistics
The
DBMS_STATS
package provides two procedures for locking statistics:
LOCK_SCHEMA_STATS
and
LOCK_TABLE_STATS
.
•Unlocking Statistics
The
DBMS_STATS
package provides two procedures for unlocking statistics:
UNLOCK_SCHEMA_STATS
and
UNLOCK_TABLE_STATS
.
15.1.1 Locking Statistics
The
DBMS_STATS
package provides two procedures for locking statistics:
LOCK_SCHEMA_STATS
and
LOCK_TABLE_STATS
.
Assumptions
This tutorial assumes the following:
15-1

•You gathered statistics on the
oe.orders
table and on the
hr
schema.
•You want to prevent the
oe.orders
table statistics and
hr
schema statistics from
changing.
To lock statistics:
1. Start SQL*Plus and connect to the database as the
oe
user.
2. Lock the statistics on
oe.orders
.
For example, execute the following PL/SQL program:
BEGIN
DBMS_STATS.LOCK_TABLE_STATS('OE','ORDERS');
END;
/
3. Connect to the database as the
hr
user.
4. Lock the statistics in the
hr
schema.
For example, execute the following PL/SQL program:
BEGIN
DBMS_STATS.LOCK_SCHEMA_STATS('HR');
END;
/
15.1.2 Unlocking Statistics
The
DBMS_STATS
package provides two procedures for unlocking statistics:
UNLOCK_SCHEMA_STATS
and
UNLOCK_TABLE_STATS
.
Assumptions
This tutorial assumes the following:
•You locked statistics on the
oe.orders
table and on the
hr
schema.
•You want to unlock these statistics.
To unlock statistics:
1. Start SQL*Plus and connect to the database as the
oe
user.
2. Unlock the statistics on
oe.orders
.
For example, execute the following PL/SQL program:
BEGIN
DBMS_STATS.UNLOCK_TABLE_STATS('OE','ORDERS');
END;
/
3. Connect to the database as the
hr
user.
4. Unlock the statistics in the
hr
schema.
For example, execute the following PL/SQL program:
BEGIN
DBMS_STATS.UNLOCK_SCHEMA_STATS('HR');
END;
/
Chapter 15
Locking and Unlocking Optimizer Statistics
15-2

15.2 Publishing Pending Optimizer Statistics
By default, the database automatically publishes statistics when the statistics
collection ends.
Alternatively, you can use pending statistics to save the statistics and not publish them
immediately after the collection. This technique is useful for testing queries in a
session with pending statistics. When the test results are satisfactory, you can publish
the statistics to make them available for the entire database.
This section contains the following topics:
•About Pending Optimizer Statistics
The database stores pending statistics in the data dictionary just as for published
statistics.
•User Interfaces for Publishing Optimizer Statistics
You can use the
DBMS_STATS
package to perform operations relating to publishing
statistics.
•Managing Published and Pending Statistics
This section explains how to use
DBMS_STATS
program units to change the
publishing behavior of optimizer statistics, and also to export and delete these
statistics.
15.2.1 About Pending Optimizer Statistics
The database stores pending statistics in the data dictionary just as for published
statistics.
By default, the optimizer uses published statistics. You can change the default
behavior by setting the
OPTIMIZER_USE_PENDING_STATISTICS
initialization parameter to
true
(the default is
false
).
The top part of the following graphic shows the optimizer gathering statistics for the
sh.customers
table and storing them in the data dictionary with pending status. The
bottom part of the diagram shows the optimizer using only published statistics to
process a query of
sh.customers
.
Chapter 15
Publishing Pending Optimizer Statistics
15-3

Figure 15-1 Published and Pending Statistics
Data Dictionary
Optimizer Statistics
0 0 1 0 0 0
1 1 0 0 1 0
Pending
Statistics
1 0 0 1 1 1
0 1 0 0 0 1
Published
Statistics
Data Dictionary
Optimizer Statistics
0 0 1 0 0 0
1 1 0 0 1 0
Pending
Statistics
1 0 0 1 1 1
0 1 0 0 0 1
Published
Statistics
Optimizer
OPTIMIZER_USE_PENDING_STATISTICS=false
SELECT ...
FROM
customers
Optimizer
Customers
Table
Publishing
preferences
set to false
GATHER_TABLE_STATS
In some cases, the optimizer can use a combination of published and pending
statistics. For example, the database stores both published and pending statistics for
the
customers
table. For the
orders
table, the database stores only published statistics.
If
OPTIMIZER_USE_PENDING_STATS = true
, then the optimizer uses pending statistics for
customers
and published statistics for
orders
. If
OPTIMIZER_USE_PENDING_STATS = false
,
then the optimizer uses published statistics for
customers
and
orders
.
15.2.2 User Interfaces for Publishing Optimizer Statistics
You can use the
DBMS_STATS
package to perform operations relating to publishing
statistics.
The following table lists the relevant program units.
Chapter 15
Publishing Pending Optimizer Statistics
15-4

Table 15-1 DBMS_STATS Program Units Relevant for Publishing Optimizer
Statistics
Program Unit Description
GET_PREFS
Check whether the statistics are automatically published
as soon as
DBMS_STATS
gathers them. For the parameter
PUBLISH
,
true
indicates that the statistics must be
published when the database gathers them, whereas
false
indicates that the database must keep the statistics
pending.
SET_TABLE_PREFS
Set the
PUBLISH
setting to
true
or
false
at the table
level.
SET_SCHEMA_PREFS
Set the
PUBLISH
setting to
true
or
false
at the schema
level.
PUBLISH_PENDING_STATS
Publish valid pending statistics for all objects or only
specified objects.
DELETE_PENDING_STATS
Delete pending statistics.
EXPORT_PENDING_STATS
Export pending statistics.
The initialization parameter
OPTIMIZER_USE_PENDING_STATISTICS
determines whether the
database uses pending statistics when they are available. The default value is
false
,
which means that the optimizer uses only published statistics. Set to
true
to specify
that the optimizer uses any existing pending statistics instead. The best practice is to
set this parameter at the session level rather than at the database level.
You can use access information about published statistics from data dictionary views.
Table 15-2 lists relevant views.
Table 15-2 Views Relevant for Publishing Optimizer Statistics
View Description
USER_TAB_STATISTICS
Displays optimizer statistics for the tables accessible
to the current user.
USER_TAB_COL_STATISTICS
Displays column statistics and histogram information
extracted from
ALL_TAB_COLUMNS
.
USER_PART_COL_STATISTICS
Displays column statistics and histogram information
for the table partitions owned by the current user.
USER_SUBPART_COL_STATISTICS
Describes column statistics and histogram
information for subpartitions of partitioned objects
owned by the current user.
USER_IND_STATISTICS
Displays optimizer statistics for the indexes
accessible to the current user.
USER_TAB_PENDING_STATS
Describes pending statistics for tables, partitions, and
subpartitions accessible to the current user.
USER_COL_PENDING_STATS
Describes the pending statistics of the columns
accessible to the current user.
USER_IND_PENDING_STATS
Describes the pending statistics for tables, partitions,
and subpartitions accessible to the current user
collected using the
DBMS_STATS
package.
Chapter 15
Publishing Pending Optimizer Statistics
15-5

15.2.3 Managing Published and Pending Statistics
This section explains how to use
DBMS_STATS
program units to change the publishing
behavior of optimizer statistics, and also to export and delete these statistics.
Assumptions
This tutorial assumes the following:
•You want to change the preferences for the
sh.customers
and
sh.sales
tables so
that newly collected statistics have pending status.
•You want the current session to use pending statistics.
•You want to gather and publish pending statistics on the
sh.customers
table.
•You gather the pending statistics on the
sh.sales
table, but decide to delete them
without publishing them.
•You want to change the preferences for the
sh.customers
and
sh.sales
tables so
that newly collected statistics are published.
To manage published and pending statistics:
1. Start SQL*Plus and connect to the database as user
sh
.
2. Query the global optimizer statistics publishing setting.
Run the following query (sample output included):
sh@PROD> SELECT DBMS_STATS.GET_PREFS('PUBLISH') PUBLISH FROM DUAL;
PUBLISH
-------
TRUE
The value
true
indicates that the database publishes statistics as it gathers them.
Every table uses this value unless a specific table preference has been set.
When using
GET_PREFS
, you can also specify a schema and table name. The
function returns a table preference if it is set. Otherwise, the function returns the
global preference.
3. Query the pending statistics.
For example, run the following query (sample output included):
sh@PROD> SELECT * FROM USER_TAB_PENDING_STATS;
no rows selected
This example shows that the database currently stores no pending statistics for
the
sh
schema.
4. Change the publishing preferences for the
sh.customers
table.
For example, execute the following procedure so that statistics are marked as
pending:
BEGIN
DBMS_STATS.SET_TABLE_PREFS('sh', 'customers', 'publish', 'false');
END;
/
Chapter 15
Publishing Pending Optimizer Statistics
15-6

Subsequently, when you gather statistics on the
customers
table, the database
does not automatically publish statistics when the gather job completes. Instead,
the database stores the newly gathered statistics in the
USER_TAB_PENDING_STATS
table.
5. Gather statistics for
sh.customers
.
For example, run the following program:
BEGIN
DBMS_STATS.GATHER_TABLE_STATS('sh','customers');
END;
/
6. Query the pending statistics.
For example, run the following query (sample output included):
sh@PROD> SELECT TABLE_NAME, NUM_ROWS FROM USER_TAB_PENDING_STATS;
TABLE_NAME NUM_ROWS
------------------------------ ----------
CUSTOMERS 55500
This example shows that the database now stores pending statistics for the
sh.customers
table.
7. Instruct the optimizer to use the pending statistics in this session.
Set the initialization parameter
OPTIMIZER_USE_PENDING_STATISTICS
to
true
as
shown:
ALTER SESSION SET OPTIMIZER_USE_PENDING_STATISTICS = true;
8. Run a workload.
The following example changes the email addresses of all customers named
Bruce Chalmers:
UPDATE sh.customers
SET cust_email='ChalmersB@company.com'
WHERE cust_first_name = 'Bruce'
AND cust_last_name = 'Chalmers';
COMMIT;
The optimizer uses the pending statistics instead of the published statistics when
compiling all SQL statements in this session.
9. Publish the pending statistics for
sh.customers
.
For example, execute the following program:
BEGIN
DBMS_STATS.PUBLISH_PENDING_STATS('SH','CUSTOMERS');
END;
/
10. Change the publishing preferences for the
sh.sales
table.
For example, execute the following program:
BEGIN
DBMS_STATS.SET_TABLE_PREFS('sh', 'sales', 'publish', 'false');
END;
/
Chapter 15
Publishing Pending Optimizer Statistics
15-7

Subsequently, when you gather statistics on the
sh.sales
table, the database does
not automatically publish statistics when the gather job completes. Instead, the
database stores the statistics in the
USER_TAB_PENDING_STATS
table.
11. Gather statistics for
sh.sales
.
For example, run the following program:
BEGIN
DBMS_STATS.GATHER_TABLE_STATS('sh','sales');
END;
/
12. Delete the pending statistics for
sh.sales
.
Assume you change your mind and now want to delete pending statistics for
sh.sales
. Run the following program:
BEGIN
DBMS_STATS.DELETE_PENDING_STATS('sh','sales');
END;
/
13. Change the publishing preferences for the
sh.customers
and
sh.sales
tables back
to their default setting.
For example, execute the following program:
BEGIN
DBMS_STATS.SET_TABLE_PREFS('sh', 'customers', 'publish', null);
DBMS_STATS.SET_TABLE_PREFS('sh', 'sales', 'publish', null);
END;
/
15.3 Creating Artificial Optimizer Statistics for Testing
To provide the optimizer with user-created statistics for testing purposes, you can use
the
DBMS_STATS.SET_*_STATS
procedures. These procedures provide the optimizer with
artificial values for the specified statistics.
This section contains the following topics:
•About Artificial Optimizer Statistics
For testing purposes, you can manually create artificial statistics for a table, index,
or the system using the
DBMS_STATS.SET_*_STATS
procedures. These procedures
insert the artificial statistics into the data dictionary directly (when
stattab
is null) or
into a user-created table.
•Setting Artificial Optimizer Statistics for a Table
This topic explains how to set artificial statistics for a table using
DBMS_STATS.SET_TABLE_STATS
. The basic steps are the same for
SET_INDEX_STATS
and
SET_SYSTEM_STATS
.
•Setting Optimizer Statistics: Example
This example shows how to gather optimizer statistics for a table, set artificial
statistics, and then compare the plans that the optimizer chooses based on the
differing statistics.
Chapter 15
Creating Artificial Optimizer Statistics for Testing
15-8

15.3.1 About Artificial Optimizer Statistics
For testing purposes, you can manually create artificial statistics for a table, index, or
the system using the
DBMS_STATS.SET_*_STATS
procedures. These procedures insert the
artificial statistics into the data dictionary directly (when
stattab
is null) or into a user-
created table.
Caution:
The
DBMS_STATS.SET_*_STATS
procedures are intended for development testing
only. Do not use them in a production database. If you set statistics in the
data dictionary, then Oracle Database considers the set statistics as the
“real” statistics, which means that statistics gathering jobs may not re-gather
artificial statistics when they do not meet the criteria for staleness.
The most typical use cases for the
DBMS_STATS.SET_*_STATS
procedures are:
•Showing how execution plans change as the numbers of rows or blocks in a table
change
For example,
SET_TABLE_STATS
can set number of rows and blocks in a small or
empty table to a large number. When you execute a query using the altered
statistics, the optimizer may change the execution plan. For example, the
increased row count may lead the optimizer to choose an index scan rather than a
full table scan. By experimenting with different values, you can see how the
optimizer will change its execution plan over time.
•Creating realistic statistics for temporary tables
You may want to see what the optimizer does when a large temporary table is
referenced in multiple SQL statements. You can create a regular table, load
representative data, and then use
GET_TABLE_STATS
to retrieve the statistics. After
you create the temporary table, you can “deceive” the optimizer into using these
statistics by invoking
SET_TABLE_STATS
.
Optionally, you can specify a unique ID for statistics in a user-created table. The
SET_*_STATS
procedures have corresponding
GET_*_STATS
procedures.
Table 15-3 DBMS_STATS Procedures for Setting Optimizer Statistics
DBMS_STATS Procedure Description
SET_TABLE_STATS
Sets table or partition statistics using parameters such as
numrows
,
numblks
,
avgrlen
, and so on.
If the database uses the In-Memory Column store, you can set
im_imcu_count
to the number of IMCUs in the table or partition,
and
im_block_count
to the number of blocks in the table or
partition. For an external table,
scanrate
specifies the rate at
which data is scanned in MB/second.
The optimizer uses the cached data to estimate the number of
cached blocks for index or statistics table access. The total cost
is the I/O cost of reading data blocks from disk, the CPU cost of
reading cached blocks from the buffer cache, and the CPU cost
of processing the data.
Chapter 15
Creating Artificial Optimizer Statistics for Testing
15-9

Table 15-3 (Cont.) DBMS_STATS Procedures for Setting Optimizer Statistics
DBMS_STATS Procedure Description
SET_COLUMN_STATS
Sets column statistics using parameters such as
distcnt
,
density
,
nullcnt
, and so on.
In the version of this procedure that deals with user-defined
statistics, use
stattypname
to specify the type of statistics to
store in the data dictionary.
SET_SYSTEM_STATS
Sets system statistics using parameters such as
iotfrspeed
,
sreadtim
,
cpuspeed
, and so on.
SET_INDEX_STATS
Sets index statistics using parameters such as
numrows
,
numlblks
,
avglblk
,
clstfct
,
indlevel
, and so on.
In the version of this procedure that deals with user-defined
statistics, use
stattypname
to specify the type of statistics to
store in the data dictionary.
15.3.2 Setting Artificial Optimizer Statistics for a Table
This topic explains how to set artificial statistics for a table using
DBMS_STATS.SET_TABLE_STATS
. The basic steps are the same for
SET_INDEX_STATS
and
SET_SYSTEM_STATS
.
Note the following task prerequisites:
•For an object not owned by
SYS
, you must be the owner of the object, or have the
ANALYZE ANY
privilege.
•For an object owned by
SYS
, you must have the
ANALYZE ANY DICTIONARY
privilege or
the
SYSDBA
privilege.
•When invoking
GET_*_STATS
for a table, column, or index, the referenced object
must exist.
This task assumes the following:
•You have the required privileges to use
DBMS_STATS.SET_TABLE_STATS
for the
specified table.
•You intend to store the statistics in the data dictionary.
1. In SQL*Plus, log in to the database as a user with the required privileges.
2. Run the
DBMS_STATS.SET_TABLE_STATS
procedure, specifying the appropriate
parameters for the statistics.
Typical parameters include the following:
•
ownname
(not null)
This parameter specifies the name of the schema containing the table.
•
tabname
(not null)
This parameter specifies the name of the table whose statistics you intend to
set.
•
partname
This parameter specifies the name of a partition of the table.
Chapter 15
Creating Artificial Optimizer Statistics for Testing
15-10

•
numrows
This parameter specifies the number of rows in the table.
•
numblks
This parameter specifies the number of blocks in the table.
3. Query the table.
4. Optionally, to determine how the statistics affected the optimizer, query the
execution plan.
5. Optionally, to perform further testing, return to Step 2 and reset the optimizer
statistics.
15.3.3 Setting Optimizer Statistics: Example
This example shows how to gather optimizer statistics for a table, set artificial
statistics, and then compare the plans that the optimizer chooses based on the
differing statistics.
This example assumes:
•You are logged in to the database as a user with DBA privileges.
•You want to test when the optimizer chooses an index scan.
1. Create a table called
contractors
, and index the
salary
column.
CREATE TABLE contractors (
con_id NUMBER,
last_name VARCHAR2(50),
salary NUMBER,
CONSTRAINT cond_id_pk PRIMARY KEY(con_id) );
CREATE INDEX salary_ix ON contractors(salary);
2. Insert a single row into this table.
INSERT INTO contractors VALUES (8, 'JONES',1000);
COMMIT;
3. Gather statistics for the table.
EXECUTE DBMS_STATS.GATHER_TABLE_STATS( user, tabname => 'CONTRACTORS' );
4. Query the number of rows for the table and index (sample output included):
SQL> SELECT NUM_ROWS FROM USER_TABLES WHERE TABLE_NAME = 'CONTRACTORS';
NUM_ROWS
----------
1
SQL> SELECT NUM_ROWS FROM USER_INDEXES WHERE INDEX_NAME = 'SALARY_IX';
NUM_ROWS
----------
1
5. Query contractors whose salary is 1000, using the
dynamic_sampling
hint to disable
dynamic sampling:
Chapter 15
Creating Artificial Optimizer Statistics for Testing
15-11

SELECT /*+ dynamic_sampling(contractors 0) */ *
FROM contractors
WHERE salary = 1000;
6. Query the execution plan chosen by the optimizer (sample output included):
SQL> SELECT * FROM TABLE(DBMS_XPLAN.DISPLAY_CURSOR);
SQL_ID cy0wzytc16g9n, child number 0
-------------------------------------
SELECT /*+ dynamic_sampling(contractors 0) */ * FROM contractors WHERE
salary = 1000
Plan hash value: 5038823
----------------------------------------------------------------------
| Id | Operation | Name |Rows|Bytes|Cost (%CPU)| Time|
----------------------------------------------------------------------
| 0 | SELECT STATEMENT | | | | 2 (100)| |
|* 1 | TABLE ACCESS FULL| CONTRACTORS | 1 | 12 | 2 (0)| 00:00:01 |
----------------------------------------------------------------------
Predicate Information (identified by operation id):
---------------------------------------------------
1 - filter("SALARY"=1000)
19 rows selected.
Because only 1 row exists in the table, the optimizer chooses a full table scan over
an index range scan.
7. Use
SET_TABLE_STATS
and
SET_INDEX_STATS
to simulate statistics for a table with
2000 rows stored in 10 data blocks:
BEGIN
DBMS_STATS.SET_TABLE_STATS(
ownname => user
, tabname => 'CONTRACTORS'
, numrows => 2000
, numblks => 10 );
END;
/
BEGIN
DBMS_STATS.SET_INDEX_STATS(
ownname => user
, indname => 'SALARY_IX'
, numrows => 2000 );
END;
/
8. Query the number of rows for the table and index (sample output included):
SQL> SELECT NUM_ROWS FROM USER_TABLES WHERE TABLE_NAME = 'CONTRACTORS';
NUM_ROWS
----------
2000
SQL> SELECT NUM_ROWS FROM USER_INDEXES WHERE INDEX_NAME = 'SALARY_IX';
NUM_ROWS
Chapter 15
Creating Artificial Optimizer Statistics for Testing
15-12

----------
2000
Now the optimizer believes that the table contains 2000 rows in 10 blocks, even
though only 1 row actually exists in one block.
9. Flush the shared pool to eliminate possibility of plan reuse, and then execute the
same query of
contractors
:
ALTER SYSTEM FLUSH SHARED_POOL;
SELECT /*+ dynamic_sampling(contractors 0) */ *
FROM contractors
WHERE salary = 1000;
10. Query the execution plan chosen by the optimizer based on the artificial statistics
(sample output included):
SQL> SELECT * FROM TABLE(DBMS_XPLAN.DISPLAY_CURSOR);
SQL_ID cy0wzytc16g9n, child number 0
-------------------------------------
SELECT /*+ dynamic_sampling(contractors 0) */ * FROM contractors WHERE
salary = 1000
Plan hash value: 996794789
---------------------------------------------------------------------------------
|Id| Operation | Name |Rows|Bytes|Cost(%CPU)|Time|
---------------------------------------------------------------------------------
| 0| SELECT STATEMENT | | | |3(100)| |
| 1| TABLE ACCESS BY INDEX ROWID BATCHED|CONTRACTORS|2000|24000|3 (34)|00:00:01|
|*2| INDEX RANGE SCAN |SALARY_IX |2000| |1 (0)|00:00:01|
---------------------------------------------------------------------------------
Predicate Information (identified by operation id):
---------------------------------------------------
2 - access("SALARY"=1000)
20 rows selected.
Based on the artificially generated statistics for the number of rows and block
distribution, the optimizer considers an index range scan more cost-effective.
Chapter 15
Creating Artificial Optimizer Statistics for Testing
15-13

16
Managing Historical Optimizer Statistics
This chapter how to retain, report on, and restore non-current statistics.
This chapter contains the following topics:
•Restoring Optimizer Statistics
You can use
DBMS_STATS
to restore old versions of statistics that are stored in the
data dictionary.
•Managing Optimizer Statistics Retention
By default, the database retains optimizer statistics for 31 days, after which time
the statistics are scheduled for purging.
•Reporting on Past Statistics Gathering Operations
You can use
DBMS_STATS
functions to report on a specific statistics gathering
operation or on operations that occurred during a specified time.
16.1 Restoring Optimizer Statistics
You can use
DBMS_STATS
to restore old versions of statistics that are stored in the data
dictionary.
This topic contains the following topics:
•About Restore Operations for Optimizer Statistics
Whenever statistics in the data dictionary are modified, the database automatically
saves old versions of statistics. If newly collected statistics lead to suboptimal
execution plans, then you may want to revert to the previous statistics.
•Guidelines for Restoring Optimizer Statistics
Restoring statistics is similar to importing and exporting statistics.
•Restrictions for Restoring Optimizer Statistics
When restoring previous versions of statistics, various limitations apply.
•Restoring Optimizer Statistics Using DBMS_STATS
You can restore statistics using the
DBMS_STATS.RESTORE_*_STATS
procedures.
16.1.1 About Restore Operations for Optimizer Statistics
Whenever statistics in the data dictionary are modified, the database automatically
saves old versions of statistics. If newly collected statistics lead to suboptimal
execution plans, then you may want to revert to the previous statistics.
Restoring optimizer statistics can aid in troubleshooting suboptimal plans. The
following graphic illustrates a timeline for restoring statistics. In the graphic, statistics
collection occurs on August 10 and August 20. On August 24, the DBA determines
that the current statistics may be causing the optimizer to generate suboptimal plans.
On August 25, the administrator restores the statistics collected on August 10.
16-1

Figure 16-1 Restoring Optimizer Statistics
AAAAAAAAAA BBBBB BBBBB
8/10 8/20 8/24 8/25
Statistics
Gathered
Statistics
Gathered
Recent Statistics
May Be Causing
Suboptimal Plans
8/10 Statistics
Restored
16.1.2 Guidelines for Restoring Optimizer Statistics
Restoring statistics is similar to importing and exporting statistics.
In general, restore statistics instead of exporting them in the following situations:
•You want to recover older versions of the statistics. For example, you want to
restore the optimizer behavior to an earlier date.
•You want the database to manage the retention and purging of statistics histories.
Export statistics rather than restoring them in the following situations:
•You want to experiment with multiple sets of statistics and change the values back
and forth.
•You want to move the statistics from one database to another database. For
example, moving statistics from a production system to a test system.
•You want to preserve a known set of statistics for a longer period than the desired
retention date for restoring statistics.
16.1.3 Restrictions for Restoring Optimizer Statistics
When restoring previous versions of statistics, various limitations apply.
Limitations include the following:
•
DBMS_STATS.RESTORE_*_STATS
procedures cannot restore user-defined statistics.
•Old versions of statistics are not stored when the
ANALYZE
command has been
used for collecting statistics.
•When you drop a table, workload information used by the auto-histogram
gathering feature and saved statistics history used by the
RESTORE_*_STATS
procedures is lost. Without this data, these features do not function properly. To
remove all rows from a table, and to restore these statistics with
DBMS_STATS
, use
TRUNCATE
instead of dropping and re-creating the same table.
16.1.4 Restoring Optimizer Statistics Using DBMS_STATS
You can restore statistics using the
DBMS_STATS.RESTORE_*_STATS
procedures.
The procedures listed in the following table accept a timestamp as an argument and
restore statistics as of the specified time (
as_of_timestamp
).
Chapter 16
Restoring Optimizer Statistics
16-2

Table 16-1 DBMS_STATS Restore Procedures
Procedure Description
RESTORE_DICTIONARY_STATS
Restores statistics of all dictionary tables (tables of
SYS
,
SYSTEM
, and
RDBMS
component schemas) as of a
specified timestamp.
RESTORE_FIXED_OBJECTS_STATS
Restores statistics of all fixed tables as of a specified
timestamp.
RESTORE_SCHEMA_STATS
Restores statistics of all tables of a schema as of a
specified timestamp.
RESTORE_SYSTEM_STATS
Restores system statistics as of a specified
timestamp.
RESTORE_TABLE_STATS
Restores statistics of a table as of a specified
timestamp. The procedure also restores statistics of
associated indexes and columns. If the table statistics
were locked at the specified timestamp, then the
procedure locks the statistics.
Dictionary views display the time of statistics modifications. You can use the following
views to determine the time stamp to be use for the restore operation:
•The
DBA_OPTSTAT_OPERATIONS
view contain history of statistics operations performed
at schema and database level using
DBMS_STATS
.
•The
DBA_TAB_STATS_HISTORY
views contains a history of table statistics
modifications.
Assumptions
This tutorial assumes the following:
•After the most recent statistics collection for the
oe.orders
table, the optimizer
began choosing suboptimal plans for queries of this table.
•You want to restore the statistics from before the most recent statistics collection
to see if the plans improve.
To restore optimizer statistics:
1. Start SQL*Plus and connect to the database with administrator privileges.
2. Query the statistics history for
oe.orders
.
For example, run the following query:
COL TABLE_NAME FORMAT a10
SELECT TABLE_NAME,
TO_CHAR(STATS_UPDATE_TIME,'YYYY-MM-DD:HH24:MI:SS') AS STATS_MOD_TIME
FROM DBA_TAB_STATS_HISTORY
WHERE TABLE_NAME='ORDERS'
AND OWNER='OE'
ORDER BY STATS_UPDATE_TIME DESC;
Sample output is as follows:
TABLE_NAME STATS_MOD_TIME
---------- -------------------
Chapter 16
Restoring Optimizer Statistics
16-3

ORDERS 2012-08-20:11:36:38
ORDERS 2012-08-10:11:06:20
3. Restore the optimizer statistics to the previous modification time.
For example, restore the
oe.orders
table statistics to August 10, 2012:
BEGIN
DBMS_STATS.RESTORE_TABLE_STATS( 'OE','ORDERS',
TO_TIMESTAMP('2012-08-10:11:06:20','YYYY-MM-DD:HH24:MI:SS') );
END;
/
You can specify any date between 8/10 and 8/20 because
DBMS_STATS
restores
statistics as of the specified time.
16.2 Managing Optimizer Statistics Retention
By default, the database retains optimizer statistics for 31 days, after which time the
statistics are scheduled for purging.
You can use the
DBMS_STATS
package to determine the retention period, change the
period, and manually purge old statistics.
This section contains the following topics:
•Obtaining Optimizer Statistics History
You can use
DBMS_STATS
procedures to obtain historical information for optimizer
statistics.
•Changing the Optimizer Statistics Retention Period
You can configure the retention period using the
DBMS_STATS.ALTER_STATS_HISTORY_RETENTION
procedure. The default is 31 days.
•Purging Optimizer Statistics
Automatic purging is enabled when the
STATISTICS_LEVEL
initialization parameter is
set to
TYPICAL
or
ALL
.
16.2.1 Obtaining Optimizer Statistics History
You can use
DBMS_STATS
procedures to obtain historical information for optimizer
statistics.
Historical information is useful when you want to determine how long the database
retains optimizer statistics, and how far back these statistics can be restored. You can
use the following procedure to obtain information about the optimizer statistics history:
•
GET_STATS_HISTORY_RETENTION
This function can retrieve the current statistics history retention value.
•
GET_STATS_HISTORY_AVAILABILITY
This function retrieves the oldest time stamp when statistics history is available.
Users cannot restore statistics to a time stamp older than the oldest time stamp.
To obtain optimizer statistics history information:
1. Start SQL*Plus and connect to the database with the necessary privileges.
Chapter 16
Managing Optimizer Statistics Retention
16-4

2. Execute the following PL/SQL program:
DECLARE
v_stats_retn NUMBER;
v_stats_date DATE;
BEGIN
v_stats_retn := DBMS_STATS.GET_STATS_HISTORY_RETENTION;
DBMS_OUTPUT.PUT_LINE('The retention setting is ' || v_stats_retn || '.');
v_stats_date := DBMS_STATS.GET_STATS_HISTORY_AVAILABILITY;
DBMS_OUTPUT.PUT_LINE('Earliest restore date is ' || v_stats_date || '.');
END;
/
16.2.2 Changing the Optimizer Statistics Retention Period
You can configure the retention period using the
DBMS_STATS.ALTER_STATS_HISTORY_RETENTION
procedure. The default is 31 days.
Prerequisites
To run this procedure, you must have either the
SYSDBA
privilege, or both the
ANALYZE
ANY DICTIONARY
and
ANALYZE ANY
system privileges.
Assumptions
This tutorial assumes the following:
•The current retention period for optimizer statistics is 31 days.
•You run queries annually as part of an annual report. To keep the statistics history
for more than 365 days so that you have access to last year's plan (in case a
suboptimal plan occurs now), you set the retention period to 366 days.
•You want to create a PL/SQL procedure
set_opt_stats_retention
that you can use
to change the optimizer statistics retention period.
To change the optimizer statistics retention period:
1. Start SQL*Plus and connect to the database with the necessary privileges.
2. Create a procedure that changes the retention period.
For example, create the following procedure:
CREATE OR REPLACE PROCEDURE set_opt_stats_retention
( p_stats_retn IN NUMBER )
IS
v_stats_retn NUMBER;
BEGIN
v_stats_retn := DBMS_STATS.GET_STATS_HISTORY_RETENTION;
DBMS_OUTPUT.PUT_LINE('Old retention setting is ' ||v_stats_retn|| '.');
DBMS_STATS.ALTER_STATS_HISTORY_RETENTION(p_stats_retn);
v_stats_retn := DBMS_STATS.GET_STATS_HISTORY_RETENTION;
DBMS_OUTPUT.PUT_LINE('New retention setting is ' ||v_stats_retn|| '.');
END;
/
3. Change the retention period to 366 days.
For example, execute the procedure that you created in the previous step (sample
output included):
Chapter 16
Managing Optimizer Statistics Retention
16-5

SQL> EXECUTE set_opt_stats_retention(366)
The old retention setting is 31.
The new retention setting is 366.
PL/SQL procedure successfully completed.
16.2.3 Purging Optimizer Statistics
Automatic purging is enabled when the
STATISTICS_LEVEL
initialization parameter is set
to
TYPICAL
or
ALL
.
The database purges all history older than the older of (current time - the
ALTER_STATS_HISTORY_RETENTION
setting) and (time of the most recent statistics gathering
- 1).
You can purge old statistics manually using the
PURGE_STATS
procedure. If you do not
specify an argument, then this procedure uses the automatic purging policy. If you
specify the
before_timestamp
parameter, then the database purges statistics saved
before the specified timestamp.
Prerequisites
To run this procedure, you must have either the
SYSDBA
privilege, or both the
ANALYZE
ANY DICTIONARY
and
ANALYZE ANY
system privileges.
Assumptions
This tutorial assumes that you want to purge statistics more than one week old.
To purge optimizer statistics:
1. In SQL*Plus, log in to the database with the necessary privileges.
2. Execute the
DBMS_STATS.PURGE_STATS
procedure.
For example, execute the procedure as follows:
EXEC DBMS_STATS.PURGE_STATS( SYSDATE-7 );
16.3 Reporting on Past Statistics Gathering Operations
You can use
DBMS_STATS
functions to report on a specific statistics gathering operation
or on operations that occurred during a specified time.
Table 16-2 lists the functions.
Chapter 16
Reporting on Past Statistics Gathering Operations
16-6

Table 16-2 DBMS_STATS Reporting Functions
Function Description
REPORT_STATS_OPERATIONS
Generates a report of all statistics operations that
occurred between two points in time. You can
narrow the scope of the report to include only
automatic statistics gathering runs. You can also
provide a set of pluggable database (PDB) IDs so
that the database reports only statistics operations
from the specified PDBs.
REPORT_SINGLE_STATS_OPERATION
Generates a report of the specified operation.
Optionally, you can specify a particular PDB ID in a
container database (CDB).
Assumptions
This tutorial assumes that you want to generate HTML reports of the following:
•All statistics gathering operations within the last day
•The most recent statistics gathering operation
To report on all operations in the past day:
1. Start SQL*Plus and connect to the database with administrator privileges.
2. Run the
DBMS_STATS.REPORT_STATS_OPERATIONS
function.
For example, run the following commands:
SET LINES 200 PAGES 0
SET LONG 100000
COLUMN REPORT FORMAT A200
VARIABLE my_report CLOB;
BEGIN
:my_report := DBMS_STATS.REPORT_STATS_OPERATIONS (
since => SYSDATE-1
, until => SYSDATE
, detail_level => 'TYPICAL'
, format => 'HTML'
);
END;
/
The following graphic shows a sample report:
3. Run the
DBMS_STATS.REPORT_SINGLE_STATS_OPERATION
function for an individual
operation.
Chapter 16
Reporting on Past Statistics Gathering Operations
16-7

For example, run the following program to generate a report of operation
848
:
BEGIN
:my_report :=DBMS_STATS.REPORT_SINGLE_STATS_OPERATION (
OPID => 848
, FORMAT => 'HTML'
);
END;
The following graphic shows a sample report:
Chapter 16
Reporting on Past Statistics Gathering Operations
16-8

17
Transporting Optimizer Statistics
You can export and import optimizer statistics from the data dictionary to user-defined
statistics tables. You can also copy statistics from one database to another database.
This chapter contains the following topics:
•About Transporting Optimizer Statistics
When you transport optimizer statistics between databases, you must use
DBMS_STATS
to copy the statistics to and from a staging table, and tools to make the
table contents accessible to the destination database.
•Transporting Optimizer Statistics to a Test Database: Tutorial
You can transport schema statistics from a production database to a test database
using Oracle Data Pump.
17.1 About Transporting Optimizer Statistics
When you transport optimizer statistics between databases, you must use
DBMS_STATS
to copy the statistics to and from a staging table, and tools to make the table contents
accessible to the destination database.
Importing and exporting are especially useful for testing an application using
production statistics. You use
DBMS_STATS.EXPORT_SCHEMA_STATS
to export schema
statistics from a production database to a test database so that developers can tune
execution plans in a realistic environment before deploying applications.
The following figure illustrates the process using Oracle Data Pump and
ftp
.
Figure 17-1 Transporting Optimizer Statistics
Transport ftp, nfs
Production
Database
Test
Database
Staging Table
Data Pump
Export
.dmp
file
Data Pump
Import
.dmp
file
Data Dictionary Data Dictionary
EXPORT_SCHEMA_STATS IMPORT_SCHEMA_STATS
Staging Table
17-1

As shown in Figure 17-1, the basic steps are as follows:
1. In the production database, copy the statistics from the data dictionary to a staging
table using
DBMS_STATS.EXPORT_SCHEMA_STATS
.
2. Export the statistics from the staging table to a
.dmp
file using Oracle Data Pump.
3. Transfer the
.dmp
file from the production host to the test host using a transfer tool
such as
ftp
.
4. In the test database, import the statistics from the
.dmp
file to a staging table using
Oracle Data Pump.
5. Copy the statistics from the staging table to the data dictionary using
DBMS_STATS.IMPORT_SCHEMA_STATS
.
17.2 Transporting Optimizer Statistics to a Test Database:
Tutorial
You can transport schema statistics from a production database to a test database
using Oracle Data Pump.
Prerequisites and Restrictions
When preparing to export optimizer statistics, note the following:
•Before exporting statistics, you must create a table to hold the statistics. The
procedure
DBMS_STATS.CREATE_STAT_TABLE
creates the statistics table.
•The optimizer does not use statistics stored in a user-owned table. The only
statistics used by the optimizer are the statistics stored in the data dictionary. To
make the optimizer use statistics in user-defined tables, import these statistics into
the data dictionary using the
DBMS_STATS
import procedure.
•The Data Pump Export and Import utilities export and import optimizer statistics
from the database along with the table. When a column has system-generated
names, Original Export (
exp
) does not export statistics with the data, but this
restriction does not apply to Data Pump Export.
Note:
Exporting and importing statistics using
DBMS_STATS
is a distinct operation
from using Data Pump Export and Import.
Assumptions
This tutorial assumes the following:
•You want to generate representative
sh
schema statistics on a production
database and use
DBMS_STATS
to import them into a test database.
•Administrative user
dba1
exists on both production and test databases.
•You intend to create table
opt_stats
to store the schema statistics.
•You intend to use Oracle Data Pump to export and import table
opt_stats
.
Chapter 17
Transporting Optimizer Statistics to a Test Database: Tutorial
17-2

To generate schema statistics and import them into a separate database:
1. On the production host, start SQL*Plus and connect to the production database as
administrator
dba1
.
2. Create a table to hold the production statistics.
For example, execute the following PL/SQL program to create user statistics table
opt_stats
:
BEGIN
DBMS_STATS.CREATE_STAT_TABLE (
ownname => 'dba1'
, stattab => 'opt_stats'
);
END;
/
3. Gather schema statistics.
For example, manually gather schema statistics as follows:
-- generate representative workload
EXEC DBMS_STATS.GATHER_SCHEMA_STATS('SH');
4. Use
DBMS_STATS
to export the statistics.
For example, retrieve schema statistics and store them in the
opt_stats
table
created previously:
BEGIN
DBMS_STATS.EXPORT_SCHEMA_STATS (
ownname => 'dba1'
, stattab => 'opt_stats'
);
END;
/
5. Use Oracle Data Pump to export the contents of the statistics table.
For example, run the
expdp
command at the operating schema prompt:
expdp dba1 DIRECTORY=dpump_dir1 DUMPFILE=stat.dmp TABLES=opt_stats
6. Transfer the dump file to the test database host.
7. Log in to the test host, and then use Oracle Data Pump to import the contents of
the statistics table.
For example, run the
impdp
command at the operating schema prompt:
impdp dba1 DIRECTORY=dpump_dir1 DUMPFILE=stat.dmp TABLES=opt_stats
8. On the test host, start SQL*Plus and connect to the test database as administrator
dba1
.
9. Use
DBMS_STATS
to import statistics from the user statistics table and store them in
the data dictionary.
The following PL/SQL program imports schema statistics from table
opt_stats
into
the data dictionary:
BEGIN
DBMS_STATS.IMPORT_SCHEMA_STATS(
ownname => 'dba1'
, stattab => 'opt_stats'
Chapter 17
Transporting Optimizer Statistics to a Test Database: Tutorial
17-3

);
END;
/
Chapter 17
Transporting Optimizer Statistics to a Test Database: Tutorial
17-4

18
Analyzing Statistics Using Optimizer
Statistics Advisor
Optimizer Statistics Advisor analyzes how optimizer statistics are gathered, and then
makes recommendations.
This chapter contains the following topics:
•About Optimizer Statistics Advisor
Optimizer Statistics Advisor is built-in diagnostic software that analyzes the quality
of statistics and statistics-related tasks.
•Basic Tasks for Optimizer Statistics Advisor
This section explains the basic workflow for using Optimizer Statistics Advisor. All
procedures and functions are in the
DBMS_STATS
package.
18.1 About Optimizer Statistics Advisor
Optimizer Statistics Advisor is built-in diagnostic software that analyzes the quality of
statistics and statistics-related tasks.
The advisor task runs automatically in the maintenance window, but you can also run it
on demand. You can then view the advisor report. If the advisor makes
recommendations, then in some cases you can run system-generated scripts to
implement them.
The following figure provides a conceptual overview of Optimizer Statistics Advisor.
18-1

Figure 18-1 Optimizer Statistics Advisor
DBA
Findings
Recommendations
Filter Options
Task
Optimizer
Automatic
Tuning
Optimizer
Optimizer
Statistics
Advisor
Data Dictionary
and V$ Views
Actions
Rules
DBA_OPSTAT_OPERATIONS
This section contains the following topics:
•Purpose of Optimizer Statistics Advisor
Optimizer Statistics Advisor inspects how optimizer statistics are gathered.
•Optimizer Statistics Advisor Concepts
Optimizer Statistics Advisor uses the same advisor framework as Automatic
Database Diagnostic Monitor (ADDM), SQL Performance Analyzer, and other
advisors.
•Command-Line Interface to Optimizer Statistics Advisor
Perform Optimizer Statistics Advisor tasks using the
DBMS_STATS
PL/SQL package.
18.1.1 Purpose of Optimizer Statistics Advisor
Optimizer Statistics Advisor inspects how optimizer statistics are gathered.
The advisor automatically diagnoses problems in the existing practices for gathering
statistics. The advisor does not gather a new or alternative set of optimizer statistics.
The output of the advisor is a report of findings and recommendations, which helps
you follow best practices for gathering statistics.
Chapter 18
About Optimizer Statistics Advisor
18-2

Optimizer statistics play a significant part in determining the execution plan for queries.
Therefore, it is critical for the optimizer to gather and maintain accurate and up-to-date
statistics. The optimizer provides the
DBMS_STATS
package, which evolves from release
to release, for this purpose. Typically, users develop their own strategies for gathering
statistics based on specific workloads, and then use homegrown scripts to implement
these strategies.
This section contains the following topics:
•Problems with a Traditional Script-Based Approach
The advantage of the scripted approach is that the scripts are typically tested and
reviewed. However, the owner of suboptimal legacy scripts may not change them
for fear of causing plan changes.
•Advantages of Optimizer Statistics Advisor
An advisor-based approach offers better scalability and maintainability than the
traditional approach.
18.1.1.1 Problems with a Traditional Script-Based Approach
The advantage of the scripted approach is that the scripts are typically tested and
reviewed. However, the owner of suboptimal legacy scripts may not change them for
fear of causing plan changes.
The traditional approach has the following problems:
•Legacy scripts may not keep pace with new best practices, which can change from
release to release.
Frequently, successive releases add enhancements to histograms, sampling,
workload monitoring, concurrency, and other optimizer-related features. For
example, starting in Oracle Database 12c, Oracle recommends setting
AUTO_SAMPLE_SIZE
instead of a percentage. However, legacy scripts typically specify
a sampling percentage, which may lead to suboptimal execution plans.
•Resources are wasted on unnecessary statistics gathering.
A script may gather statistics multiple times each day on the same table.
•Automatic statistics gathering jobs do not guarantee accurate and up-to-date
statistics.
For example, sometimes the automatic statistics gathering job is not running
because an initialization parameter combination disables it, or the job is
terminated. Moreover, sometimes the automatic job maintenance window is
insufficient because of resource constraints, or because too many objects require
statistics collection. Jobs that stop running before gathering all statistics cause
either no statistics or stale statistics for some objects, which can in turn cause
suboptimal plans.
•Statistics can sometimes be missing, stale, or incorrect.
For example, statistics may be inconsistent between a table and its index, or
between tables with a primary key-foreign key relationship. Alternatively, a
statistics gathering job may have been disabled by accident, or you may be
unaware that a script has failed.
•Lack of knowledge of the problem can be time-consuming and resource-intensive.
For example, a service request might seek a resolution to a problem, unaware that
the problem is caused by suboptimal statistics. The diagnosis might require a
Chapter 18
About Optimizer Statistics Advisor
18-3

great deal of time emailing scripts of the problematic queries, enabling traces, and
investigating traces.
•Recommended fixes may not be feasible.
Performance engineers may recommend changing the application code that
maintains statistics. In some organizations, this requirement may be difficult or
impossible to satisfy.
18.1.1.2 Advantages of Optimizer Statistics Advisor
An advisor-based approach offers better scalability and maintainability than the
traditional approach.
If best practices change in a new release, then Optimizer Statistics Advisor encodes
these practices in its rules. In this way, the advisor always provides the most up-to-
date recommendations.
The advisor analyzes how you are currently gathering statistics (using manual scripts,
explicitly setting parameters, and so on), the effectiveness of existing statistics
gathering jobs, and the quality of the gathered statistics. Optimizer Statistics Advisor
does not gather a new or alternative set of optimizer statistics, and so does not affect
the workload. Rather, Optimizer Statistics Advisor analyzes information stored in the
data dictionary, and then stores the findings and recommendations in the database.
Optimizer Statistics Advisor provides the following advantages over the traditional
approach:
•Provides easy-to-understand reports
The advisor applies rules to generate findings, recommendations, and actions.
•Supplies scripts to implement necessary fixes without requiring changes to
application code
When you implement a recommended action, benefit accrues to every execution
of the improved statements. For example, if you set a global preference so that the
sample size is
AUTO_SAMPLE_SIZE
rather than a suboptimal percentage, then every
plan based on the improved statistics can benefit from this change.
•Runs a predefined task named
AUTO_STATS_ADVISOR_TASK
once every day in the
maintenance window
For the automated job to run, the
STATISTICS_LEVEL
initialization parameter must be
set to
TYPICAL
or
ALL
.
•Supplies an API in the
DBMS_STATS
package that enables you to create and run
tasks manually, store findings and recommendations in data dictionary views,
generate reports for the tasks, and implement corrections when necessary
•Integrates with existing tools
The advisor integrates with SQL Tuning Advisor and AWR, which summarize the
Optimizer Statistics Advisor results.
18.1.2 Optimizer Statistics Advisor Concepts
Optimizer Statistics Advisor uses the same advisor framework as Automatic Database
Diagnostic Monitor (ADDM), SQL Performance Analyzer, and other advisors.
This section contains the following topics:
Chapter 18
About Optimizer Statistics Advisor
18-4

•Components of Optimizer Statistics Advisor
The Optimizer Statistics Optimizer framework stores its metadata in data
dictionary and dynamic performance views.
•Operational Modes for Optimizer Statistics Advisor
Optimizer Statistics Advisor supports both an automated and manual mode.
18.1.2.1 Components of Optimizer Statistics Advisor
The Optimizer Statistics Optimizer framework stores its metadata in data dictionary
and dynamic performance views.
The following Venn diagram shows the relationships among rules, findings,
recommendations, and actions for Optimizer Statistics Advisor. For example, all
findings are derived from rules, but not all rules generate findings.
Figure 18-2 Optimizer Statistics Advisor Components
Actions
Recommendations
Findings
Rules
This section contains the following topics:
•Rules for Optimizer Statistics Advisor
An Optimizer Statistics Advisor rule is an Oracle-supplied standard by which
Optimizer Statistics Advisor performs its checks.
•Findings for Optimizer Statistics Advisor
A finding results when Optimizer Statistics Advisor examines the evidence stored
in the database and concludes that the rules were not followed.
•Recommendations for Optimizer Statistics Advisor
Based on each finding, Optimizer Statistics Advisor makes recommendations on
how to achieve better statistics.
•Actions for Optimizer Statistics Advisor
An Optimizer Statistics Advisor action is a SQL or PL/SQL script that implements
recommendations. When feasible, recommendations have corresponding actions.
The advisor stores actions in
DBA_ADVISOR_ACTIONS
.
18.1.2.1.1 Rules for Optimizer Statistics Advisor
An Optimizer Statistics Advisor rule is an Oracle-supplied standard by which
Optimizer Statistics Advisor performs its checks.
Chapter 18
About Optimizer Statistics Advisor
18-5

The rules embody Oracle best practices based on the current feature set. If the best
practices change from release to release, then the Optimizer Statistics Advisor rules
also change.
The advisor organizes rules into the following classes:
•System
This class checks the preferences for statistics collection, status of the automated
statistics gathering job, use of SQL plan directives, and so on. Rules in this class
have the value
SYSTEM
in
V$STATS_ADVISOR_RULES.RULE_TYPE
.
•Operation
This class checks whether statistics collection uses the defaults, test statistics are
created using the
SET_*_STATS
procedures, and so on. Rules in this class have the
value
OPERATION
in
V$STATS_ADVISOR_RULES.RULE_TYPE
.
•Object
This class checks for the quality of the statistics, staleness of statistics,
unnecessary collection of statistics, and so on. Rules in this class have the value
OBJECT
in
V$STATS_ADVISOR_RULES.RULE_TYPE
.
The rules check for the following problems:
•How to gather statistics
For example, one rule might specify the recommended setting for an initialization
parameter. Another rule might specify that statistics should be gathered at the
schema level.
•When to gather statistics
For example, the advisor may recommend that the maintenance window for the
automatic statistics gathering job should be enabled, or that the window should be
extended.
•How to improve the efficiency of statistics gathering
For example, a rule might specify that default parameters should be used in
DBMS_STATS
, or that statistics should not be set manually.
In
V$STATS_ADVISOR_RULES
, each rule has a unique string ID that is usable in the
DBMS_STATS
procedures and reports. You can use a rule filter to specify rules that
Optimizer Statistics Advisor should check. However, you cannot write new rules.
Example 18-1 Listing Rules in V$STATS_ADVISOR_RULES
The following query, with sample output, lists a subset of the rules in
V$STATS_ADVISOR_RULES
. The rules may change from release to release.
SET LINESIZE 208
SET PAGESIZE 100
COL ID FORMAT 99
COL NAME FORMAT a33
COL DESCRIPTION FORMAT a62
SELECT RULE_ID AS ID, NAME, RULE_TYPE, DESCRIPTION
FROM V$STATS_ADVISOR_RULES
WHERE RULE_ID BETWEEN 1 AND 12
ORDER BY RULE_ID;
ID NAME RULE_TYPE DESCRIPTION
Chapter 18
About Optimizer Statistics Advisor
18-6

-- ------------------------------- --------- -------------------------------------------------------
1 UseAutoJob SYSTEM Use Auto Job for Statistics Collection
2 CompleteAutoJob SYSTEM Auto Statistics Gather Job should complete successfully
3 MaintainStatsHistory SYSTEM Maintain Statistics History
4 UseConcurrent SYSTEM Use Concurrent preference for Statistics Collection
5 UseDefaultPreference SYSTEM Use Default Preference for Stats Collection
6 TurnOnSQLPlanDirective SYSTEM SQL Plan Directives should not be disabled
7 AvoidSetProcedures OPERATION Avoid Set Statistics Procedures
8 UseDefaultParams OPERATION Use Default Parameters in Statistics Collection Proc.
9 UseGatherSchemaStats OPERATION Use gather_schema_stats procedure
10 AvoidInefficientStatsOprSeq OPERATION Avoid inefficient statistics operation sequences
11 AvoidUnnecessaryStatsCollection OBJECT Avoid unnecessary statistics collection
12 AvoidStaleStats OBJECT Avoid objects with stale or no statistics
12 rows selected.
18.1.2.1.2 Findings for Optimizer Statistics Advisor
A finding results when Optimizer Statistics Advisor examines the evidence stored in
the database and concludes that the rules were not followed.
To generate findings, Optimizer Statistics Advisor executes a task, which is invoked
either automatically or manually. This task analyzes the statistics history stored in the
data dictionary, the statistics operation log, and the current statistics footprint that
exists in
SYSAUX
. For example, the advisor queries
DBA_TAB_STATISTICS
and
DBA_IND_STATISTICS
to determine whether statistics are stale, or whether a discrepancy
exists between the numbers of rows.
Typically, Optimizer Statistics Advisor generates a finding when a specific rule is not
followed or is violated, although some findings—such as object staleness—provide
only information. For example, a finding may show that
DBMS_STATS.GATHER_TABLE_STATS
has used
ESTIMATE_PERCENT=>0.01
, which violates the
ESTIMATE_PERCENT=>AUTO_SAMPLE_SIZE
rule.
A finding corresponds to exactly one rule. However, a rule can generate many
findings.
18.1.2.1.3 Recommendations for Optimizer Statistics Advisor
Based on each finding, Optimizer Statistics Advisor makes recommendations on how
to achieve better statistics.
For example, the advisor might discover a violation to the rule of not using sampling
when gathering statistics, and recommend specifying
AUTO_SAMPLE_SIZE
instead. The
advisor stores the recommendations in
DBA_ADVISOR_RECOMMENDATIONS
.
Multiple recommendations may exist for a single finding. In this case, you must
investigate to determine which recommendation to follow. Each recommendation
includes one or more rationales that explain why Optimizer Statistics Advisor makes its
recommendation. In some cases, findings may not generate recommendations.
18.1.2.1.4 Actions for Optimizer Statistics Advisor
An Optimizer Statistics Advisor action is a SQL or PL/SQL script that implements
recommendations. When feasible, recommendations have corresponding actions. The
advisor stores actions in
DBA_ADVISOR_ACTIONS
.
Chapter 18
About Optimizer Statistics Advisor
18-7

For example, Optimizer Statistics Advisor executes a task that performs the following
steps:
1. Checks rules
The advisor checks conformity to the rule that stale statistics should be avoided.
2. Generates finding
The advisor discovers that a number of objects have no statistics.
3. Generates recommendation
The advisor recommends gathering statistics on the objects with no statistics.
4. Generates action
The advisor generates a PL/SQL script that executes
DBMS_STATS.GATHER_DATABASE_STATS
, supplying a list of objects that need to have
statistics gathered.
18.1.2.2 Operational Modes for Optimizer Statistics Advisor
Optimizer Statistics Advisor supports both an automated and manual mode.
•Automated
The predefined task
AUTO_STATS_ADVISOR_TASK
runs automatically in the
maintenance window once per day. The task runs as part of the automatic
optimizer statistics collection client. The automated task generates findings and
recommendations, but does not implement actions automatically.
As for any other task, you can configure the automated task, and generate reports.
If the report recommends actions, then you can implement the actions manually.
•Manual
You can create your own task using the
DBMS_STATS.CREATE_ADVISOR_TASK
function,
and then run it at any time using the
EXECUTE_ADVISOR_TASK
procedure.
Unlike the automated task, the manual task can implement actions automatically.
Alternatively, you can configure the task to generate a PL/SQL script, which you
can then run manually.
18.1.3 Command-Line Interface to Optimizer Statistics Advisor
Perform Optimizer Statistics Advisor tasks using the
DBMS_STATS
PL/SQL package.
Table 18-1 DBMS_STATS APIs for Task Creation and Deletion
PL/SQL Procedure or
Function
Description
CREATE_ADVISOR_TASK
Creates an advisor task for Optimizer Statistics Advisor. If the
task name is already specified, then the advisor uses the
specified task name; otherwise, the advisor automatically
generates a new task name.
DROP_ADVISOR_TASK
Deletes an Optimizer Statistics Advisor task and all its result
data.
Chapter 18
About Optimizer Statistics Advisor
18-8

Table 18-2 DBMS_STATS APIs for Task Execution
PL/SQL Procedure or
Function
Description
EXECUTE_ADVISOR_TASK
Executes a previously created Optimizer Statistics Advisor
task.
INTERRUPT_ADVISOR_TASK
Interrupts a currently executing Optimizer Statistics Advisor
task. The task ends its operations as it would in a normal exit,
enabling you to access intermediate results. You can resume
the task later.
CANCEL_ADVISOR_TASK
Cancels an Optimizer Statistics Advisor task execution, and
removes all intermediate results of the current execution.
RESET_ADVISOR_TASK
Resets an Optimizer Statistics Advisor task execution to its
initial state. Call this procedure on a task that is not currently
executing.
RESUME_ADVISOR_TASK
Resumes the Optimizer Statistics Advisor task execution that
was most recently interrupted.
Table 18-3 DBMS_STATS APIs for Advisor Reports
PL/SQL Procedure or Function Description
REPORT_STATS_ADVISOR_TASK
Reports the results of an Optimizer Statistics Advisor
task.
GET_ADVISOR_RECS
Generates a recommendation report on the given item.
Table 18-4 DBMS_STATS APIs for Task and Filter Configuration
PL/SQL Procedure or Function Description
CONFIGURE_ADVISOR_TASK
Configures the Optimizer Statistics Advisor lists for
the execution, reporting, script generation, and
implementation of an advisor task.
GET_ADVISOR_OPR_FILTER
Creates an operation filter for a statistics operation.
CONFIGURE_ADVISOR_RULE_FILTER
Configures the rule filter for an Optimizer Statistics
Advisor task.
CONFIGURE_ADVISOR_OPR_FILTER
Configures the operation filter for an Optimizer
Statistics Advisor task.
CONFIGURE_ADVISOR_OBJ_FILTER
Configures the object filter for an Optimizer
Statistics Advisor task.
SET_ADVISOR_TASK_PARAMETER
Updates the value of an Optimizer Statistics
Advisor task parameter. Valid parameters are
TIME_LIMIT
and
OP_START_TIME
.
Chapter 18
About Optimizer Statistics Advisor
18-9

Table 18-5 DBMS_STATS APIs for Implementation of Recommended Actions
PL/SQL Procedure or
Function
Description
SCRIPT_ADVISOR_TASK
Gets the script that implements the recommended actions for
the problems found by the advisor. You can check this script,
and then choose which actions to execute.
IMPLEMENT_ADVISOR_TASK
Implements the actions recommended by the advisor based
on results from a specified Optimizer Statistics Advisor
execution.
18.2 Basic Tasks for Optimizer Statistics Advisor
This section explains the basic workflow for using Optimizer Statistics Advisor. All
procedures and functions are in the
DBMS_STATS
package.
The following figure shows the automatic and manual paths in the workflow. If
AUTO_STATS_ADVISOR_TASK
runs automatically in the maintenance window, then your
workflow begins by querying the report. In the manual workflow, you must use PL/SQL
to create and execute the tasks.
Chapter 18
Basic Tasks for Optimizer Statistics Advisor
18-10

Figure 18-3 Basic Tasks for Optimizer Statistics Advisor
CREATE_ADVISOR_TASK
EXECUTE_ADVISOR_TASK
REPORT_ADVISOR_TASK
CONFIGURE_ADVISOR_*_FILTER
IMPLEMENT_ADVISOR_TASK SCRIPT_ADVISOR_TASK
Edit PL/SQL
script
Run PL/SQL
script
Create an advisor task
Implement all advisor
recommendations
Execute the advisor
task
Generate a report of
findings and
recommendations
Optionally,
alter the
scope of
the advisor
checks
Generate
modifiable
PL/SQL
script
SELECT . . . FROM
DBA_ADVISOR_EXECUTIONS
Optionally,
list tasks
Manual Mode Automatic Mode
Typically, you perform Optimizer Statistics Advisor steps in the sequence shown in the
following table.
Table 18-6 Optimizer Statistics Advisor Workflow
Step Description To Learn More
1 Create an Optimizer Advisor task using
DBMS_STATS.CREATE_ADVISOR_TASK
(manual workflow only).
"Creating an Optimizer Statistics Advisor
Task"
2 Optionally, list executions of advisor
tasks by querying
DBA_ADVISOR_EXECUTIONS
.
"Listing Optimizer Statistics Advisor Tasks"
3 Optionally, configure a filter for the task
using the
DBMS_STATS.CONFIGURE_ADVISOR_*_FIL
TER
procedures.
"Creating Filters for an Optimizer Advisor
Task"
Chapter 18
Basic Tasks for Optimizer Statistics Advisor
18-11

Table 18-6 (Cont.) Optimizer Statistics Advisor Workflow
Step Description To Learn More
4 Execute the advisor task using
DBMS_STATS.EXECUTE_ADVISOR_TASK
(manual workflow only).
"Executing an Optimizer Statistics Advisor
Task"
5 Generate an advisor report. "Generating a Report for an Optimizer
Statistics Advisor Task"
6 Implement the recommendations in
either of following ways:
•Implement all recommendations
automatically using
DBMS_STATS.IMPLEMENT_ADVISOR_TA
SK
.
•Generate a PL/SQL script that
implements recommendations
using
DBMS_STATS.SCRIPT_ADVISOR_TASK
,
edit this script, and then run it
manually.
"Implementing Actions Recommended by
Optimizer Statistics Advisor" and
"Generating a Script Using Optimizer
Statistics Advisor"
Example 18-2 Basic Script for Optimizer Statistics Advisor in Manual Workflow
This script illustrates a basic Optimizer Statistics Advisor session. It creates a task,
executes it, generates a report, and then implements the recommendations.
DECLARE
v_tname VARCHAR2(128) := 'my_task';
v_ename VARCHAR2(128) := NULL;
v_report CLOB := null;
v_script CLOB := null;
v_implementation_result CLOB;
BEGIN
-- create a task
v_tname := DBMS_STATS.CREATE_ADVISOR_TASK(v_tname);
-- execute the task
v_ename := DBMS_STATS.EXECUTE_ADVISOR_TASK(v_tname);
-- view the task report
v_report := DBMS_STATS.REPORT_ADVISOR_TASK(v_tname);
DBMS_OUTPUT.PUT_LINE(v_report);
-- implement all recommendations
v_implementation_result := DBMS_STATS.IMPLEMENT_ADVISOR_TASK(v_tname);
END;
This section contains the following topics:
•Creating an Optimizer Statistics Advisor Task
The
DBMS_STATS.CREATE_ADVISOR_TASK
function creates a task for Optimizer Statistics
Advisor. If you do not specify a task name, then Optimizer Statistics Advisor
generates one automatically.
Chapter 18
Basic Tasks for Optimizer Statistics Advisor
18-12

•Listing Optimizer Statistics Advisor Tasks
The
DBA_ADVISOR_EXECUTIONS
view lists executions of Optimizer Statistics Advisor
tasks.
•Creating Filters for an Optimizer Advisor Task
Filters enable you to include or exclude objects, rules, and operations from
Optimizer Statistics Advisor tasks.
•Executing an Optimizer Statistics Advisor Task
The
DBMS_STATS.EXECUTE_ADVISOR_TASK
function executes a task for Optimizer
Statistics Advisor. If you do not specify an execution name, then Optimizer
Statistics Advisor generates one automatically.
•Generating a Report for an Optimizer Statistics Advisor Task
The
DBMS_STATS.REPORT_ADVISOR_TASK
function generates a report for an Optimizer
Statistics Advisor task.
•Implementing Optimizer Statistics Advisor Recommendations
You can either implement all recommendations automatically using
DBMS_STATS.IMPLEMENT_ADVISOR_TASK
, or generate an editable script using
DBMS_STATS.SCRIPT_ADVISOR_TASK
.
See Also:
Oracle Database PL/SQL Packages and Types Reference to learn about the
DBMS_STATS
package
18.2.1 Creating an Optimizer Statistics Advisor Task
The
DBMS_STATS.CREATE_ADVISOR_TASK
function creates a task for Optimizer Statistics
Advisor. If you do not specify a task name, then Optimizer Statistics Advisor generates
one automatically.
Prerequisites
To execute this subprogram, you must have the
ADVISOR
privilege.
Note:
This subprogram executes using invoker's rights.
To create an Optimizer Statistics Advisor task:
1. In SQL*Plus, log in to the database as a user with the necessary privileges.
2. Execute the
DBMS_STATS.CREATE_ADVISOR_TASK
function in the following form, where
tname
is the name of the task and
ret
is the variable that contains the returned
output:
EXECUTE ret := DBMS_STATS.CREATE_ADVISOR_TASK('tname');
For example, to create the task
opt_adv_task1
, use the following code:
Chapter 18
Basic Tasks for Optimizer Statistics Advisor
18-13

DECLARE
v_tname VARCHAR2(32767);
v_ret VARCHAR2(32767);
BEGIN
v_tname := 'opt_adv_task1';
v_ret := DBMS_STATS.CREATE_ADVISOR_TASK(v_tname);
END;
/
3. Optionally, query
USER_ADVISOR_TASKS
:
SELECT TASK_NAME, ADVISOR_NAME, CREATED, STATUS FROM USER_ADVISOR_TASKS;
Sample output appears below:
TASK_NAME ADVISOR_NAME CREATED STATUS
--------------- -------------------- --------- -----------
OPT_ADV_TASK1 Statistics Advisor 05-SEP-16 INITIAL
18.2.2 Listing Optimizer Statistics Advisor Tasks
The
DBA_ADVISOR_EXECUTIONS
view lists executions of Optimizer Statistics Advisor tasks.
To list Optimizer Statistics Advisor tasks:
1. In SQL*Plus, log in to the database as a user with administrator privileges.
2. Query
DBA_ADVISOR_EXECUTIONS
as follows:
COL EXECUTION_NAME FORMAT a14
SELECT EXECUTION_NAME, EXECUTION_END, STATUS
FROM DBA_ADVISOR_EXECUTIONS
WHERE TASK_NAME = 'AUTO_STATS_ADVISOR_TASK'
ORDER BY 2;
The following sample output shows 8 executions:
EXECUTION_NAME EXECUTION STATUS
-------------- --------- -----------
EXEC_1 27-AUG-16 COMPLETED
EXEC_17 28-AUG-16 COMPLETED
EXEC_42 29-AUG-16 COMPLETED
EXEC_67 30-AUG-16 COMPLETED
EXEC_92 01-SEP-16 COMPLETED
EXEC_117 02-SEP-16 COMPLETED
EXEC_142 03-SEP-16 COMPLETED
EXEC_167 04-SEP-16 COMPLETED
8 rows selected.
18.2.3 Creating Filters for an Optimizer Advisor Task
Filters enable you to include or exclude objects, rules, and operations from Optimizer
Statistics Advisor tasks.
This section contains the following topics:
Chapter 18
Basic Tasks for Optimizer Statistics Advisor
18-14

•About Filters for Optimizer Statistics Advisor
A filter is the use of
DBMS_STATS
to restrict an Optimizer Statistics Advisor task to a
user-specified set of rules, schemas, or operations.
•Creating an Object Filter for an Optimizer Advisor Task
The
DBMS_STATS.CONFIGURE_ADVISOR_OBJ_FILTER
function creates a rule filter for a
specified Optimizer Statistics Advisor task. The function returns a CLOB that
contains the updated values of the filter.
•Creating a Rule Filter for an Optimizer Advisor Task
The
DBMS_STATS.CONFIGURE_ADVISOR_RULE_FILTER
function creates a rule filter for a
specified Optimizer Statistics Advisor task. The function returns a CLOB that
contains the updated values of the filter.
•Creating an Operation Filter for an Optimizer Advisor Task
The
DBMS_STATS.CONFIGURE_ADVISOR_OPR_FILTER
function creates an operation filter
for a specified Optimizer Statistics Advisor task. The function returns a CLOB that
contains the updated values of the filter.
18.2.3.1 About Filters for Optimizer Statistics Advisor
A filter is the use of
DBMS_STATS
to restrict an Optimizer Statistics Advisor task to a user-
specified set of rules, schemas, or operations.
Filters are useful for including or excluding a specific set of results. For example, you
can configure an advisor task to include only recommendations for the
sh
schema.
Also, you can exclude all violations of the rule for stale statistics. The primary
advantage of filters is the ability to ignore recommendations that you are not interested
in, and reduce the overhead of the advisor task.
The simplest way to create filters is to use the following
DBMS_STATS
procedures either
individually or in combination:
•
CONFIGURE_ADVISOR_OBJ_FILTER
Use this procedure to include or exclude the specified database schemas or
objects. The object filter takes in an owner name and an object name, with
wildcards (
%
) supported.
•
CONFIGURE_ADVISOR_RULE_FILTER
Use this procedure to include or exclude the specified rules. Obtain the names of
rules by querying
V$STATS_ADVISOR_RULES
.
•
CONFIGURE_ADVISOR_OPR_FILTER
Use this procedure to include or exclude the specified
DBMS_STATS
operations.
Obtain the IDs and names for operations by querying
DBA_OPTSTAT_OPERATIONS
.
For the preceding functions, you can specify the type of operation to which the filter
applies:
EXECUTE
,
REPORT
,
SCRIPT
, and
IMPLEMENT
. You can also combine types, as in
EXECUTE + REPORT
. Null indicates that the filter applies to all types of advisor operations.
18.2.3.2 Creating an Object Filter for an Optimizer Advisor Task
The
DBMS_STATS.CONFIGURE_ADVISOR_OBJ_FILTER
function creates a rule filter for a
specified Optimizer Statistics Advisor task. The function returns a CLOB that contains
the updated values of the filter.
You can use either of the following basic strategies:
Chapter 18
Basic Tasks for Optimizer Statistics Advisor
18-15

•Include findings for all objects (by default, all objects are considered), and then
exclude findings for specified objects.
•Exclude findings for all objects, and then include findings only for specified objects.
Prerequisites
To use the
DBMS_STATS.CONFIGURE_ADVISOR_OBJ_FILTER
function, you must meet the
following prerequisites:
•To execute this subprogram, you must have the
ADVISOR
privilege.
•You must be the owner of the task.
Note:
This subprogram executes using invoker's rights.
To create an object filter:
1. In SQL*Plus or SQL Developer, log in to the database as a user with the
necessary privileges.
2. Either exclude or include objects for a specified task using the
DBMS_STATS.CONFIGURE_ADVISOR_OBJ_FILTER
function.
Invoke the function in the following form, where the placeholders are defined as
follows:
•
report
is the CLOB variable that contains the returned XML.
•
tname
is the name of the task.
•
opr_type
is the type of operation to perform.
•
rule
is the name of the rule.
•
owner
is the schema for the objects.
•
table
is the name of the table.
•
action
is the name of the action:
ENABLE
,
DISABLE
,
DELETE
, or
SHOW
.
BEGIN
report := DBMS_STATS.CONFIGURE_ADVISOR_OBJ_FILTER(
task_name => 'tname'
, stats_adv_opr_type => 'opr_type'
, rule_name => 'rule'
, ownname => 'owner'
, tabname => 'table'
, action => 'action' );
END;
Example 18-3 Including Only Objects in a Single Schema
In this example, for the task named
opt_adv_task1
, your goal is to disable
recommendations for all objects except those in the
sh
schema. User account
sh
has
been granted
ADVISOR
and
READ ANY TABLE
privileges. You perform the following steps:
1. Log in to the database as
sh
.
2. Drop any existing task named
opt_adv_task1
.
Chapter 18
Basic Tasks for Optimizer Statistics Advisor
18-16

DECLARE
v_tname VARCHAR2(32767);
BEGIN
v_tname := 'opt_adv_task1';
DBMS_STATS.DROP_ADVISOR_TASK(v_tname);
END;
/
3. Create a procedure named
sh_obj_filter
that restricts a specified task to objects
in the
sh
schema.
CREATE OR REPLACE PROCEDURE sh_obj_filter(p_tname IN VARCHAR2) IS
v_retc CLOB;
BEGIN
-- Filter out all objects that are not in the sh schema
v_retc := DBMS_STATS.CONFIGURE_ADVISOR_OBJ_FILTER(
task_name => p_tname
, stats_adv_opr_type => 'EXECUTE'
, rule_name => NULL
, ownname => NULL
, tabname => NULL
, action => 'DISABLE' );
v_retc := DBMS_STATS.CONFIGURE_ADVISOR_OBJ_FILTER(
task_name => p_tname
, stats_adv_opr_type => 'EXECUTE'
, rule_name => NULL
, ownname => 'SH'
, tabname => NULL
, action => 'ENABLE' );
END;
/
SHOW ERRORS
4. Create a task named
opt_adv_task1
, and then execute the
sh_obj_filter
procedure
for this task.
DECLARE
v_tname VARCHAR2(32767);
v_ret VARCHAR2(32767);
BEGIN
v_tname := 'opt_adv_task1';
v_ret := DBMS_STATS.CREATE_ADVISOR_TASK(v_tname);
sh_obj_filter(v_tname);
END;
/
5. Execute the task
opt_adv_task1
.
DECLARE
v_tname VARCHAR2(32767);
v_ret VARCHAR2(32767);
begin
v_tname := 'opt_adv_task1';
v_ret := DBMS_STATS.EXECUTE_ADVISOR_TASK(v_tname);
END;
/
Chapter 18
Basic Tasks for Optimizer Statistics Advisor
18-17

18.2.3.3 Creating a Rule Filter for an Optimizer Advisor Task
The
DBMS_STATS.CONFIGURE_ADVISOR_RULE_FILTER
function creates a rule filter for a
specified Optimizer Statistics Advisor task. The function returns a CLOB that contains
the updated values of the filter.
You can use either of the following basic strategies:
•Enable all rules (by default, all rules are enabled), and then disable specified rules.
•Disable all rules, and then enable only specified rules.
Prerequisites
To use the
DBMS_STATS.CONFIGURE_ADVISOR_RULE_FILTER
function, you must meet the
following prerequisites:
•To execute this subprogram, you must have the
ADVISOR
privilege.
•You must be the owner of the task.
Note:
This subprogram executes using invoker's rights.
To create a rule filter:
1. In SQL*Plus or SQL Developer, log in to the database as a user with the
necessary privileges.
2. Obtain the names of the advisor rules by querying
V$STATS_ADVISOR_RULES
.
For example, query the view as follows (partial sample output included):
SET LINESIZE 200
SET PAGESIZE 100
COL ID FORMAT 99
COL NAME FORMAT a27
COL DESCRIPTION FORMAT a54
SELECT RULE_ID AS ID, NAME, RULE_TYPE, DESCRIPTION
FROM V$STATS_ADVISOR_RULES
ORDER BY RULE_ID;
ID NAME RULE_TYPE DESCRIPTION
-- --------------------------- --------- -------------------------------------------------------
1 UseAutoJob SYSTEM Use Auto Job for Statistics Collection
2 CompleteAutoJob SYSTEM Auto Statistics Gather Job should complete successfully
3 MaintainStatsHistory SYSTEM Maintain Statistics History
4 UseConcurrent SYSTEM Use Concurrent preference for Statistics Collection
...
3. Either exclude or include rules for a specified task using the
DBMS_STATS.CONFIGURE_ADVISOR_RULE_FILTER
function.
Invoke the function in the following form, where the placeholders are defined as
follows:
Chapter 18
Basic Tasks for Optimizer Statistics Advisor
18-18

•
tname
is the name of the task.
•
report
is the CLOB variable that contains the returned XML.
•
opr_type
is the type of operation to perform.
•
rule
is the name of the rule.
•
action
is the name of the action:
ENABLE
,
DISABLE
,
DELETE
, or
SHOW
.
BEGIN
report := DBMS_STATS.DBMS_STATS.CONFIGURE_ADVISOR_RULE_FILTER(
task_name => 'tname'
, stats_adv_opr_type => 'opr_type'
, rule_name => 'rule'
, action => 'action' );
END;
Example 18-4 Excluding the Rule for Stale Statistics
In this example, you know that statistics are stale because the automated statistics job
did not run. You want to generate a report for the task named
opt_adv_task1
, but do not
want to clutter it with recommendations about stale statistics.
1. You query
V$STATS_ADVISOR_RULES
for rules that deal with stale statistics (sample
output included):
COL NAME FORMAT a15
SELECT RULE_ID AS ID, NAME, RULE_TYPE, DESCRIPTION
FROM V$STATS_ADVISOR_RULES
WHERE DESCRIPTION LIKE '%tale%'
ORDER BY RULE_ID;
ID NAME RULE_TYPE DESCRIPTION
--- --------------- --------- -----------------------------------------
12 AvoidStaleStats OBJECT Avoid objects with stale or no statistics
2. You configure a filter using
CONFIGURE_ADVISOR_RULE_FILTER
, specifying that task
execution should exclude the rule
AvoidStaleStats
, but honor all other rules:
VARIABLE b_ret CLOB
BEGIN
:b_ret := DBMS_STATS.CONFIGURE_ADVISOR_RULE_FILTER(
task_name => 'opt_adv_task1'
, stats_adv_opr_type => 'EXECUTE'
, rule_name => 'AvoidStaleStats'
, action => 'DISABLE' );
END;
/
Example 18-5 Including Only the Rule for Avoiding Stale Statistics
This example is the inverse of the preceding example. You want to generate a report
for the task named
opt_adv_task1
, but want to see only recommendations about stale
statistics.
1. Query
V$STATS_ADVISOR_RULES
for rules that deal with stale statistics (sample output
included):
COL NAME FORMAT a15
SELECT RULE_ID AS ID, NAME, RULE_TYPE, DESCRIPTION
FROM V$STATS_ADVISOR_RULES
WHERE DESCRIPTION LIKE '%tale%'
Chapter 18
Basic Tasks for Optimizer Statistics Advisor
18-19

ORDER BY RULE_ID;
ID NAME RULE_TYPE DESCRIPTION
--- --------------- --------- -----------------------------------------
12 AvoidStaleStats OBJECT Avoid objects with stale or no statistics
2. Configure a filter using
CONFIGURE_ADVISOR_RULE_FILTER
, specifying that task
execution should exclude all rules:
VARIABLE b_ret CLOB
BEGIN
:b_ret := DBMS_STATS.CONFIGURE_ADVISOR_RULE_FILTER(
task_name => 'opt_adv_task1'
, stats_adv_opr_type => 'EXECUTE'
, rule_name => null
, action => 'DISABLE' );
END;
/
3. Configure a filter that enables only the
AvoidStaleStats
rule:
BEGIN
:b_ret := DBMS_STATS.CONFIGURE_ADVISOR_RULE_FILTER(
task_name => 'opt_adv_task1'
, stats_adv_opr_type => 'EXECUTE'
, rule_name => 'AvoidStaleStats'
, action => 'ENABLE' );
END;
/
18.2.3.4 Creating an Operation Filter for an Optimizer Advisor Task
The
DBMS_STATS.CONFIGURE_ADVISOR_OPR_FILTER
function creates an operation filter for a
specified Optimizer Statistics Advisor task. The function returns a CLOB that contains
the updated values of the filter.
You can use either of the following basic strategies:
•Disable all operations, and then enable only specified operations.
•Enable all operations (by default, all operations are enabled), and then disable
specified operations.
The
DBA_OPTSTAT_OPERATIONS
view contains the IDs of statistics-related operations.
Prerequisites
To use
DBMS_STATS.CONFIGURE_ADVISOR_OPR_FILTER
function, you must meet the following
prerequisites:
•To execute this subprogram, you must have the
ADVISOR
privilege.
Note:
This subprogram executes using invoker's rights.
•You must be the owner of the task.
Chapter 18
Basic Tasks for Optimizer Statistics Advisor
18-20

•To query the
DBA_OPTSTAT_OPERATIONS
view, you must have the
SELECT ANY TABLE
privilege.
To create an operation filter:
1. In SQL*Plus or SQL Developer, log in to the database as a user with the
necessary privileges.
2. Query the types of operations.
For example, list all distinct operations in
DBA_OPTSTAT_OPERATIONS
(sample output
included):
SQL> SELECT DISTINCT(OPERATION) FROM DBA_OPTSTAT_OPERATIONS ORDER BY OPERATION;
OPERATION
-----------------------
gather_dictionary_stats
gather_index_stats
gather_schema_stats
gather_table_stats
purge_stats
set_system_stats
3. Obtain the IDs of the operations to be filtered by querying
DBA_OPTSTAT_OPERATIONS
.
For example, to obtain IDs for all statistics gathering operations for tables and
indexes in the
SYS
and
sh
schemas, use the following query:
SELECT ID
FROM DBA_OPTSTAT_OPERATIONS
WHERE ( OPERATION = 'gather_table_stats'
OR OPERATION = 'gather_index_stats')
AND ( TARGET LIKE 'SH.%'
OR TARGET LIKE 'SYS.%');
4. Exclude or include rules for a specified task using the
DBMS_STATS.CONFIGURE_ADVISOR_OPR_FILTER
function, specifying the IDs obtained in
the previous step.
Invoke the function in the following form, where the placeholders are defined as
follows:
•
report
is the CLOB variable that contains the returned XML.
•
tname
is the name of the task.
•
opr_type
is the type of operation to perform. This value cannot be null.
•
rule
is the name of the rule.
•
opr_id
is the ID (from
DBA_OPTSTAT_OPERATIONS.ID
) of the operation to perform.
This value cannot be null.
•
action
is the name of the action:
ENABLE
,
DISABLE
,
DELETE
, or
SHOW
.
BEGIN
report := DBMS_STATS.CONFIGURE_ADVISOR_OPR_FILTER(
task_name => 'tname'
, stats_adv_opr_type => 'opr_type'
, rule_name => 'rule'
, operation_id => 'op_id'
, action => 'action' );
END;
Chapter 18
Basic Tasks for Optimizer Statistics Advisor
18-21

Example 18-6 Excluding Operations for Gathering Table Statistics
In this example, your goal is to exclude operations that gather table statistics in the
hr
schema. User account
stats
has been granted the
DBA
role,
ADVISOR
privilege, and
SELECT ON DBA_OPTSTAT_OPERATIONS
privilege. You perform the following steps:
1. Log in to the database as
stats
.
2. Drop any existing task named
opt_adv_task1
.
DECLARE
v_tname VARCHAR2(32767);
BEGIN
v_tname := 'opt_adv_task1';
DBMS_STATS.DROP_ADVISOR_TASK(v_tname);
END;
/
3. Create a procedure named
opr_filter
that configures a task to advise on all
operations except those that gather statistics for tables in the
hr
schema.
CREATE OR REPLACE PROCEDURE opr_filter(p_tname IN VARCHAR2) IS
v_retc CLOB;
BEGIN
-- For all rules, prevent the advisor from operating
-- on the operations selected in the following query
FOR rec IN
(SELECT ID FROM DBA_OPTSTAT_OPERATIONS WHERE OPERATION =
'gather_table_stats' AND TARGET LIKE 'HR.%')
LOOP
v_retc := DBMS_STATS.CONFIGURE_ADVISOR_OPR_FILTER(
task_name => p_tname
, stats_adv_opr_type => NULL
, rule_name => NULL
, operation_id => rec.id
, action => 'DISABLE');
END LOOP;
END;
/
SHOW ERRORS
4. Create a task named
opt_adv_task1
, and then execute the
opr_filter
procedure
for this task.
DECLARE
v_tname VARCHAR2(32767);
v_ret VARCHAR2(32767);
BEGIN
v_tname := 'opt_adv_task1';
v_ret := DBMS_STATS.CREATE_ADVISOR_TASK(v_tname);
opr_filter(v_tname);
END;
/
5. Execute the task
opt_adv_task1
.
DECLARE
v_tname VARCHAR2(32767);
v_ret VARCHAR2(32767);
begin
v_tname := 'opt_adv_task1';
v_ret := DBMS_STATS.EXECUTE_ADVISOR_TASK(v_tname);
Chapter 18
Basic Tasks for Optimizer Statistics Advisor
18-22

END;
/
6. Print the report.
SPOOL /tmp/rep.txt
SET LONG 1000000
COLUMN report FORMAT A200
SET LINESIZE 250
SET PAGESIZE 1000
SELECT DBMS_STATS.REPORT_ADVISOR_TASK(
task_name => 'opt_adv_task1'
, execution_name => NULL
, type => 'TEXT'
, section => 'ALL'
) AS report
FROM DUAL;
SPOOL OFF
18.2.4 Executing an Optimizer Statistics Advisor Task
The
DBMS_STATS.EXECUTE_ADVISOR_TASK
function executes a task for Optimizer Statistics
Advisor. If you do not specify an execution name, then Optimizer Statistics Advisor
generates one automatically.
The results of performing this task depend on the privileges of the executing user:
•
SYSTEM
level
Only users with both the
ANALYZE ANY
and
ANALYZE ANY DICTIONARY
privileges can
perform this task on system-level rules.
•Operation level
The results depend on the following privileges:
–Users with both the
ANALYZE ANY
and
ANALYZE ANY DICTIONARY
privileges can
perform this task for all statistics operations.
–Users with the
ANALYZE ANY
privilege but not the
ANALYZE ANY DICTIONARY
privilege can perform this task for statistics operations related to any schema
except
SYS
.
–Users with the
ANALYZE ANY DICTIONARY
privilege but not the
ANALYZE ANY
privilege can perform this task for statistics operations related to their own
schema and the
SYS
schema.
–Users with neither the
ANALYZE ANY
nor the
ANALYZE ANY DICTIONARY
privilege
can only perform this operation for statistics operations relating to their own
schema.
•Object level
Users can perform this task for any object for which they have statistics collection
privileges.
Prerequisites
This task has the following prerequisites:
•To execute this subprogram, you must have the
ADVISOR
privilege.
Chapter 18
Basic Tasks for Optimizer Statistics Advisor
18-23

•You must be the owner of the task.
•If you specify an execution name, then this name must not conflict with an existing
execution.
Note:
This subprogram executes using invoker's rights.
To execute an Optimizer Statistics Advisor task:
1. In SQL*Plus or SQL Developer, log in to the database as a user with the
necessary privileges.
2. Execute the
DBMS_STATS.EXECUTE_ADVISOR_TASK
function in the following form, where
tname
is the name of the task,
execname
is the optional name of the execution, and
ret
is the variable that contains the returned output:
EXECUTE ret := DBMS_STATS.EXECUTE_ADVISOR_TASK('tname','execname');
For example, to execute the task
opt_adv_task1
, use the following code:
DECLARE
v_tname VARCHAR2(32767);
v_ret VARCHAR2(32767);
BEGIN
v_tname := 'opt_adv_task1';
v_ret := DBMS_STATS.EXECUTE_ADVISOR_TASK(v_tname);
END;
/
3. Optionally, obtain details about the execution by querying
USER_ADVISOR_EXECUTIONS
:
SELECT TASK_NAME, EXECUTION_NAME,
EXECUTION_END, EXECUTION_TYPE AS TYPE, STATUS
FROM USER_ADVISOR_EXECUTIONS;
Sample output appears below:
TASK_NAME EXECUTION_NAME EXECUTION TYPE STATUS
--------------- -------------------- --------- ---------- -----------
OPT_ADV_TASK1 EXEC_136 23-NOV-15 STATISTICS COMPLETED
18.2.5 Generating a Report for an Optimizer Statistics Advisor Task
The
DBMS_STATS.REPORT_ADVISOR_TASK
function generates a report for an Optimizer
Statistics Advisor task.
The report contains the following sections:
•General information
This section describes the task name, execution name, creation date, and
modification date.
•Summary
This section summarizes the findings and rules violated by the findings.
Chapter 18
Basic Tasks for Optimizer Statistics Advisor
18-24

•Findings
Each finding section lists the relevant rule and findings. If the advisor has a
recommendation, then the recommendation is described. In some cases, a
recommendation also has a rationale.
The name of the automated Optimizer Statistics Advisor task is
AUTO_STATS_ADVISOR_TASK
. If you follow the automated workflow, then you only need to
query the automatically generated report.
Prerequisites
To generate a report with the
DBMS_STATS.REPORT_ADVISOR_TASK
function, you must meet
the following prerequisites:
•To execute this subprogram, you must have the
ADVISOR
privilege.
•You must be the owner of the task.
Note:
This subprogram executes using invoker's rights.
The results of performing this task depend on the privileges of the executing user:
•
SYSTEM
level
Only users with both the
ANALYZE ANY
and
ANALYZE ANY DICTIONARY
privileges can
perform this task on system-level rules.
•Operation level
The results depend on the following privileges:
–Users with both the
ANALYZE ANY
and
ANALYZE ANY DICTIONARY
privileges can
perform this task for all statistics operations.
–Users with the
ANALYZE ANY
privilege but not the
ANALYZE ANY DICTIONARY
privilege can perform this task for statistics operations related to any schema
except
SYS
.
–Users with the
ANALYZE ANY DICTIONARY
privilege but not the
ANALYZE ANY
privilege can perform this task for statistics operations related to their own
schema and the
SYS
schema.
–Users with neither the
ANALYZE ANY
nor the
ANALYZE ANY DICTIONARY
privilege
can only perform this operation for statistics operations relating to their own
schema.
•Object level
Users can perform this task for any object for which they have statistics collection
privileges.
To generate an Optimizer Statistics Advisor report:
1. In SQL*Plus, log in to the database as a user with
ADVISOR
privileges.
2. Query the
DBMS_STATS.REPORT_ADVISOR_TASK
function output.
Use the following query, where the placeholders have the following definitions:
Chapter 18
Basic Tasks for Optimizer Statistics Advisor
18-25

•
tname
is the name of the task.
•
exec
is the name of the execution.
•
type
is the type of output:
TEXT
,
HTML
, or
XML
.
•
sect
is the section of the report:
SUMMARY
,
FINDINGS
,
ERRORS
, and
ALL
.
•
lvl
is the format of the report:
BASIC
,
TYPICAL
,
ALL
, or
SHOW_HIDDEN
.
SET LINESIZE 3000
SET LONG 500000
SET PAGESIZE 0
SET LONGCHUNKSIZE 100000
SELECT DBMS_STATS.REPORT_ADVISOR_TASK('tname', 'exec', '
type
', '
sect
', '
lvl
')
AS REPORT
FROM DUAL;
For example, to print a report for
AUTO_STATS_ADVISOR_TASK
, use the following query:
SELECT
DBMS_STATS.REPORT_ADVISOR_TASK('AUTO_STATS_ADVISOR_TASK',NULL,'TEXT','ALL','ALL')
AS REPORT
FROM DUAL;
The following sample report shows four findings:
GENERAL INFORMATION
-------------------------------------------------------------------------------
Task Name : AUTO_STATS_ADVISOR_TASK
Execution Name : EXEC_136
Created : 09-05-16 02:52:34
Last Modified : 09-05-16 12:31:24
-------------------------------------------------------------------------------
SUMMARY
-------------------------------------------------------------------------------
For execution EXEC_136 of task AUTO_STATS_ADVISOR_TASK, the Statistics Advisor
has 4 findings. The findings are related to the following rules:
AVOIDSETPROCEDURES, USEDEFAULTPARAMS, USEGATHERSCHEMASTATS, NOTUSEINCREMENTAL.
Please refer to the finding section for detailed information.
-------------------------------------------------------------------------------
FINDINGS
-------------------------------------------------------------------------------
Rule Name: AvoidSetProcedures
Rule Description: Avoid Set Statistics Procedures
Finding: There are 5 SET_[COLUMN|INDEX|TABLE|SYSTEM]_STATS procedures being
used for statistics gathering.
Recommendation: Do not use SET_[COLUMN|INDEX|TABLE|SYSTEM]_STATS procedures.
Gather statistics instead of setting them.
Rationale: SET_[COLUMN|INDEX|TABLE|SYSTEM]_STATS will cause bad plans due to
wrong or inconsistent statistics.
----------------------------------------------------
Rule Name: UseDefaultParams
Rule Description: Use Default Parameters in Statistics Collection Procedures
Finding: There are 367 statistics operations using nondefault parameters.
Recommendation: Use default parameters for statistics operations.
Example:
-- Gathering statistics for 'SH' schema using all default parameter values:
BEGIN dbms_stats.gather_schema_stats('SH'); END;
Rationale: Using default parameter values for statistics gathering operations
Chapter 18
Basic Tasks for Optimizer Statistics Advisor
18-26

is more efficient.
----------------------------------------------------
Rule Name: UseGatherSchemaStats
Rule Description: Use gather_schema_stats procedure
Finding: There are 318 uses of GATHER_TABLE_STATS.
Recommendation: Use GATHER_SCHEMA_STATS instead of GATHER_TABLE_STATS.
Example:
-- Gather statistics for 'SH' schema:
BEGIN dbms_stats.gather_schema_stats('SH'); END;
Rationale: GATHER_SCHEMA_STATS has more options available, including checking
for staleness and gathering statistics concurrently. Also it is
more maintainable for new tables added to the schema. If you only
want to gather statistics for certain tables in the schema, specify
them in the obj_filter_list parameter of GATHER_SCHEMA_STATS.
----------------------------------------------------
Rule Name: NotUseIncremental
Rule Description: Statistics should not be maintained incrementally when it is
not
Finding: Incremental option has been turned on for 10 tables, which will not benefit
from using the incremental option.
Schema:
SH
Objects:
CAL_MONTH_SALES_MV
CAL_MONTH_SALES_MV
CHANNELS
COUNTRIES
CUSTOMERS
DIMENSION_EXCEPTIONS
FWEEK_PSCAT_SALES_MV
FWEEK_PSCAT_SALES_MV
PRODUCTS
PROMOTIONS
SUPPLEMENTARY_DEMOGRAPHICS
TIMES
Recommendation: Do not use the incremental option for statistics gathering on these
objects.
Example:
--
Turn off the incremental option for 'SH.SALES':
dbms_stats.set_table_prefs('SH', 'SALES', 'INCREMENTAL', 'FALSE');
Rationale: The overhead of using the incremental option on these tables
outweighs the benefit of using the incremental option.
18.2.6 Implementing Optimizer Statistics Advisor Recommendations
You can either implement all recommendations automatically using
DBMS_STATS.IMPLEMENT_ADVISOR_TASK
, or generate an editable script using
DBMS_STATS.SCRIPT_ADVISOR_TASK
.
This section contains the following topics:
•Implementing Actions Recommended by Optimizer Statistics Advisor
The
DBMS_STATS.IMPLEMENT_ADVISOR_TASK
function implements the recommendations
for a specified Optimizer Statistics Advisor task. If you do not specify an execution
name, then Optimizer Statistics Advisor uses the most recent execution.
Chapter 18
Basic Tasks for Optimizer Statistics Advisor
18-27

•Generating a Script Using Optimizer Statistics Advisor
The
DBMS_STATS.SCRIPT_ADVISOR_TASK
function generates an editable script with
recommendations for a specified Optimizer Statistics Advisor task.
18.2.6.1 Implementing Actions Recommended by Optimizer Statistics Advisor
The
DBMS_STATS.IMPLEMENT_ADVISOR_TASK
function implements the recommendations for
a specified Optimizer Statistics Advisor task. If you do not specify an execution name,
then Optimizer Statistics Advisor uses the most recent execution.
The simplest means of implementing recommendations is using
DBMS_STATS.IMPLEMENT_ADVISOR_TASK
. In this case, no generation of a script is necessary.
You can specify that the advisor ignore the existing filters
(level=>'ALL')
or use the
default, which honors the existing filters
(level=>'TYPICAL')
.
Prerequisites
To use
DBMS_STATS.IMPLEMENT_ADVISOR_TASK
, you must meet the following prerequisites:
•To execute this subprogram, you must have the
ADVISOR
privilege.
•You must be the owner of the task.
Note:
This subprogram executes using invoker's rights.
The results of performing this task depend on the privileges of the executing user:
•
SYSTEM
level
Only users with both the
ANALYZE ANY
and
ANALYZE ANY DICTIONARY
privileges can
perform this task on system-level rules.
•Operation level
The results depend on the following privileges:
–Users with both the
ANALYZE ANY
and
ANALYZE ANY DICTIONARY
privileges can
perform this task for all statistics operations.
–Users with the
ANALYZE ANY
privilege but not the
ANALYZE ANY DICTIONARY
privilege can perform this task for statistics operations related to any schema
except
SYS
.
–Users with the
ANALYZE ANY DICTIONARY
privilege but not the
ANALYZE ANY
privilege can perform this task for statistics operations related to their own
schema and the
SYS
schema.
–Users with neither the
ANALYZE ANY
nor the
ANALYZE ANY DICTIONARY
privilege
can only perform this operation for statistics operations relating to their own
schema.
•Object level
Users can perform this task for any object for which they have statistics collection
privileges.
Chapter 18
Basic Tasks for Optimizer Statistics Advisor
18-28

To implement advisor actions:
1. In SQL*Plus, log in to the database as a user with the necessary privileges.
2. Execute the
DBMS_STATS.IMPLEMENT_ADVISOR_TASK
function in the following form,
where the placeholders have the following definitions:
•
tname
is the name of the task.
•
result
is the CLOB variable that contains a list of the recommendations that
have been successfully implemented.
•
filter_lvl
is the level of implementation:
TYPICAL
(existing filters honored) or
ALL
(filters ignored).
EXECUTE result := DBMS_STATS.IMPLEMENT_ADVISOR_TASK('tname', level =>
filter_lvl
);
For example, to implement all recommendations for the task
opt_adv_task1
, use
the following code:
VARIABLE b_ret CLOB
DECLARE
v_tname VARCHAR2(32767);
BEGIN
v_tname := 'opt_adv_task1';
:b_ret := DBMS_STATS.IMPLEMENT_ADVISOR_TASK(v_tname);
END;
/
3. Optionally, print the XML output to confirm the implemented actions.
For example, to print the XML returned in the previous step, use the following code
(sample output included):
SET LONG 10000
SELECT XMLType(:b_ret) AS imp_results FROM DUAL;
IMP_RESULTS
------------------------------------
<implementation_results>
<rule NAME="AVOIDSETPROCEDURES">
<implemented>yes</implemented>
</rule>
<rule NAME="USEGATHERSCHEMASTATS">
<implemented>yes</implemented>
</rule>
<rule NAME="AVOIDSETPROCEDURES">
<implemented>yes</implemented>
</rule>
<rule NAME="USEGATHERSCHEMASTATS">
<implemented>yes</implemented>
</rule>
<rule NAME="USEDEFAULTPARAMS">
<implemented>no</implemented>
</rule>
<rule NAME="USEDEFAULTPARAMS">
<implemented>yes</implemented>
</rule>
<rule NAME="NOTUSEINCREMENTAL">
<implemented>yes</implemented>
Chapter 18
Basic Tasks for Optimizer Statistics Advisor
18-29

</rule>
</implementation_results>
18.2.6.2 Generating a Script Using Optimizer Statistics Advisor
The
DBMS_STATS.SCRIPT_ADVISOR_TASK
function generates an editable script with
recommendations for a specified Optimizer Statistics Advisor task.
Unlike
IMPLEMENT_ADVISOR_TASK
, the
SCRIPT_ADVISOR_TASK
generates a script that you can
edit before execution. The output script contains both comments and executable code.
As with
IMPLEMENT_ADVISOR_TASK
, you can specify that the advisor ignore the existing
filters
(level=>'ALL')
or use the default, which honors the existing filters
(level=>'TYPICAL')
. You can specify that the function returns the script as a CLOB and
file, or only a CLOB.
Prerequisites
To use the
DBMS_STATS.SCRIPT_ADVISOR_TASK
function, you must meet the following
prerequisites:
•To execute this subprogram, you must have the
ADVISOR
privilege.
•You must be the owner of the task.
Note:
This subprogram executes using invoker's rights.
The results of performing this task depend on the privileges of the executing user:
•
SYSTEM
level
Only users with both the
ANALYZE ANY
and
ANALYZE ANY DICTIONARY
privileges can
perform this task on system-level rules.
•Operation level
The results depend on the following privileges:
–Users with both the
ANALYZE ANY
and
ANALYZE ANY DICTIONARY
privileges can
perform this task for all statistics operations.
–Users with the
ANALYZE ANY
privilege but not the
ANALYZE ANY DICTIONARY
privilege can perform this task for statistics operations related to any schema
except
SYS
.
–Users with the
ANALYZE ANY DICTIONARY
privilege but not the
ANALYZE ANY
privilege can perform this task for statistics operations related to their own
schema and the
SYS
schema.
–Users with neither the
ANALYZE ANY
nor the
ANALYZE ANY DICTIONARY
privilege
can only perform this operation for statistics operations relating to their own
schema.
•Object level
Users can perform this task for any object for which they have statistics collection
privileges.
Chapter 18
Basic Tasks for Optimizer Statistics Advisor
18-30

To generate an advisor script:
1. In SQL*Plus, log in to the database as a user with
ADVISOR
privileges.
2. Execute the
DBMS_STATS.SCRIPT_ADVISOR_TASK
function in the following form, where
the placeholders have the following definitions:
•
tname
is the name of the task.
•
exec
is the name of the execution (default is null).
•
dir
is the name of the directory (default is null).
•
result
is the CLOB variable that contains a list of the recommendations that
have been successfully implemented.
•
filter_lvl
is the level of implementation:
TYPICAL
(existing filters honored) or
ALL
(filters ignored).
EXEC result := DBMS_STATS.SCRIPT_ADVISOR_TASK('tname', execution_name => 'exec',
dir_name => 'dir', level => '
filter_lvl
');
For example, to generate a script that contains recommendations for the task
opt_adv_task1
, use the following code:
VARIABLE b_script CLOB
DECLARE
v_tname VARCHAR2(32767);
BEGIN
v_tname := 'opt_adv_task1';
:b_script := DBMS_STATS.SCRIPT_ADVISOR_TASK(v_tname);
END;
/
Note:
If you do not specify an execution name, then Optimizer Statistics
Advisor uses the most recent execution.
3. Print the script.
For example, to print the script returned in the previous step, use the following
code (sample output included):
DECLARE
v_len NUMBER(10);
v_offset NUMBER(10) :=1;
v_amount NUMBER(10) :=10000;
BEGIN
v_len := DBMS_LOB.getlength(:b_script);
WHILE (v_offset < v_len)
LOOP
DBMS_OUTPUT.PUT_LINE(DBMS_LOB.SUBSTR(:b_script,v_amount,v_offset));
v_offset := v_offset + v_amount;
END LOOP;
END;
/
The following example shows a sample script:
Chapter 18
Basic Tasks for Optimizer Statistics Advisor
18-31

-- Script generated for the recommendations from execution EXEC_23
-- in the statistics advisor task OPT_ADV_TASK1
-- Script version 12.2
-- No scripts will be provided for the rule AVOIDSETPROCEDURES. Please check the report
-- for more details.
-- No scripts will be provided for the rule USEGATHERSCHEMASTATS. Please check the report
-- for more details.
-- No scripts will be provided for the rule AVOIDINEFFICIENTSTATSOPRSEQ. Please check the
-- report for more details.
-- No scripts will be provided for the rule AVOIDUNNECESSARYSTATSCOLLECTION. Please check
-- the report for more details.
-- No scripts will be provided for the rule GATHERSTATSAFTERBULKDML. Please check the
-- report for more details.
-- No scripts will be provided for the rule AVOIDDROPRECREATE. Please check the report
-- for more details.
-- No scripts will be provided for the rule AVOIDOUTOFRANGE. Please check the report
-- for more details.
-- No scripts will be provided for the rule AVOIDANALYZETABLE. Please check the report
-- for more details.
-- No scripts will be provided for the rule AVOIDSETPROCEDURES. Please check the report
-- for more details.
-- No scripts will be provided for the rule USEGATHERSCHEMASTATS. Please check the report
-- for more details.
-- No scripts will be provided for the rule AVOIDINEFFICIENTSTATSOPRSEQ. Please check the
-- report for more details.
-- No scripts will be provided for the rule AVOIDUNNECESSARYSTATSCOLLECTION. Please check
-- the report for more details.
-- No scripts will be provided for the rule GATHERSTATSAFTERBULKDML. Please check the
-- report for more details.
-- No scripts will be provided for the rule AVOIDDROPRECREATE. Please check the report
-- for more details.
-- No scripts will be provided for the rule AVOIDOUTOFRANGE. Please check the report
-- for more details.
-- No scripts will be provided for the rule AVOIDANALYZETABLE. Please check the report
-- for more details.
-- Scripts for rule USEDEFAULTPARAMS
-- Rule Description: Use Default Parameters in Statistics Collection Procedures
-- Use the default preference value for parameters
begin dbms_stats.set_global_prefs('PREFERENCE_OVERRIDES_PARAMETER', 'TRUE'); end;
/
-- Scripts for rule USEDEFAULTOBJECTPREFERENCE
-- Rule Description: Use Default Object Preference for statistics collection
-- Setting object-level preferences to default values
-- setting CASCADE to default value for object level preference
-- setting ESTIMATE_PERCENT to default value for object level preference
-- setting METHOD_OPT to default value for object level preference
-- setting GRANULARITY to default value for object level preference
-- setting NO_INVALIDATE to default value for object levelpreference
-- Scripts for rule USEINCREMENTAL
-- Rule Description: Statistics should be maintained incrementally when it is beneficial.
-- Turn on the incremental option for those objects for which using incremental is helpful.
-- Scripts for rule UNLOCKNONVOLATILETABLE
-- Rule Description: Statistics for objects with non-volatile should not be locked
-- Unlock statistics for objects that are not volatile.
Chapter 18
Basic Tasks for Optimizer Statistics Advisor
18-32

-- Scripts for rule LOCKVOLATILETABLE
-- Rule Description: Statistics for objects with volatile data should be locked
-- Lock statistics for volatile objects.
-- Scripts for rule NOTUSEINCREMENTAL
-- Rule Description: Statistics should not be maintained incrementally when it is not
beneficial
-- Turn off incremental option for those objects for which using incremental is not helpful.
begin dbms_stats.set_table_prefs('SH', 'CAL_MONTH_SALES_MV', 'INCREMENTAL', 'FALSE'); end;
/
begin dbms_stats.set_table_prefs('SH', 'CHANNELS', 'INCREMENTAL', 'FALSE'); end;
/
begin dbms_stats.set_table_prefs('SH', 'COUNTRIES', 'INCREMENTAL', 'FALSE'); end;
/
begin dbms_stats.set_table_prefs('SH', 'CUSTOMERS', 'INCREMENTAL', 'FALSE'); end;
/
begin dbms_stats.set_table_prefs('SH', 'DIMENSION_EXCEPTIONS', 'INCREMENTAL', 'FALSE'); end;
/
begin dbms_stats.set_table_prefs('SH', 'FWEEK_PSCAT_SALES_MV', 'INCREMENTAL', 'FALSE'); end;
/
begin dbms_stats.set_table_prefs('SH', 'PRODUCTS', 'INCREMENTAL', 'FALSE'); end;
/
begin dbms_stats.set_table_prefs('SH', 'PROMOTIONS', 'INCREMENTAL', 'FALSE'); end;
/
begin dbms_stats.set_table_prefs('SH', 'SUPPLEMENTARY_DEMOGRAPHICS', 'INCREMENTAL', 'FALSE'); end;
/
begin dbms_stats.set_table_prefs('SH', 'TIMES', 'INCREMENTAL', 'FALSE'); end;
/
-- Scripts for rule USEAUTODEGREE
-- Rule Description: Use Auto Degree for statistics collection
-- Turn on auto degree for those objects for which using auto degree is helpful.
-- Scripts for rule AVOIDSTALESTATS
-- Rule Description: Avoid objects with stale or no statistics
-- Gather statistics for those objcts that are missing or have no statistics.
-- Scripts for rule MAINTAINSTATSCONSISTENCY
-- Rule Description: Statistics of dependent objects should be consistent
-- Gather statistics for those objcts that are missing or have no statistics.
Chapter 18
Basic Tasks for Optimizer Statistics Advisor
18-33

Part VI
Optimizer Controls
You can use hints and initialization parameter to influence optimizer decisions and
behavior.
This part contains the following chapters:
•Influencing the Optimizer
Optimizer defaults are adequate for most operations, but not all.
•Improving Real-World Performance Through Cursor Sharing
Cursor sharing can improve database application performance by orders of
magnitude.

19
Influencing the Optimizer
Optimizer defaults are adequate for most operations, but not all.
In some cases you may have information unknown to the optimizer, or need to tune
the optimizer for a specific type of statement or workload. In such cases, influencing
the optimizer may provide better performance.
This chapter contains the following topics:
•Techniques for Influencing the Optimizer
You can influence the optimizer using several techniques, including SQL profiles,
SQL Plan Management, initialization parameters, and hints.
•Influencing the Optimizer with Initialization Parameters
This chapter explains which initialization parameters affect optimization, and how
to set them.
•Influencing the Optimizer with Hints
Optimizer hints are special comments in a SQL statement that pass instructions to
the optimizer.
19.1 Techniques for Influencing the Optimizer
You can influence the optimizer using several techniques, including SQL profiles, SQL
Plan Management, initialization parameters, and hints.
The following figure shows the principal techniques for influencing the optimizer.
19-1

Figure 19-1 Techniques for Influencing the Optimizer
Optimizer
DBMS_STATS
SQL Profiles
Initialization Parameters
SQL Plan Management
Hints
User
The overlapping squares in the preceding diagram show that SQL plan management
uses both initialization parameters and hints. SQL profiles also technically include
hints.
Note:
A stored outline is a legacy technique that serve a similar purpose to SQL
plan baselines.
You can use the following techniques to influence the optimizer:
Table 19-1 Optimizer Techniques
Technique Description To Learn More
Initialization
parameters
Parameters influence many types of
optimizer behavior at the database
instance and session level.
"Influencing the Optimizer with
Initialization Parameters"
Hints A hint is a commented instruction in a SQL
statement. Hints control a wide range of
behavior.
"Influencing the Optimizer with
Hints"
DBMS_STATS
This package updates and manages
optimizer statistics. The more accurate the
statistics, the better the optimizer
estimates. This chapter does not cover
DBMS_STATS
.
"Gathering Optimizer Statistics"
Chapter 19
Techniques for Influencing the Optimizer
19-2

Table 19-1 (Cont.) Optimizer Techniques
Technique Description To Learn More
SQL profiles A SQL profile is a database object that
contains auxiliary statistics specific to a
SQL statement. Conceptually, a SQL
profile is to a SQL statement what a set of
object-level statistics is to a table or index.
A SQL profile can correct suboptimal
optimizer estimates discovered during
SQL tuning.
"Managing SQL Profiles"
SQL plan
management
and stored
outlines
SQL plan management is a preventative
mechanism that enables the optimizer to
automatically manage execution plans,
ensuring that the database uses only
known or verified plans. This chapter does
not cover SQL plan management.
"Managing SQL Plan
Baselines"
In some cases, multiple techniques optimize the same behavior. For example, you can
set optimizer goals using both initialization parameters and hints.
19.2 Influencing the Optimizer with Initialization Parameters
This chapter explains which initialization parameters affect optimization, and how to
set them.
This section contains the following topics:
•About Optimizer Initialization Parameters
Oracle Database provides initialization parameters to influence various aspects of
optimizer behavior, including cursor sharing, adaptive optimization, and the
optimizer mode.
•Enabling Optimizer Features
The
OPTIMIZER_FEATURES_ENABLE
initialization parameter (or hint) controls a set of
optimizer-related features, depending on the database release.
•Choosing an Optimizer Goal
The optimizer goal is the prioritization of resource usage by the optimizer.
•Controlling Adaptive Optimization
In Oracle Database, adaptive query optimization is the process by which the
optimizer adapts an execution plan based on statistics collected at run time.
19.2.1 About Optimizer Initialization Parameters
Oracle Database provides initialization parameters to influence various aspects of
optimizer behavior, including cursor sharing, adaptive optimization, and the optimizer
mode.
The following table lists some of the most important optimizer parameters. Note that
this table does not include the approximate query initialization parameters, which are
described in "Approximate Query Initialization Parameters".
Chapter 19
Influencing the Optimizer with Initialization Parameters
19-3

Table 19-2 Initialization Parameters That Control Optimizer Behavior
Initialization Parameter Description
CURSOR_INVALIDATION
Provides the default cursor invalidation level for DDL
statements.
IMMEDIATE
sets the same cursor invalidation behavior for
DDL as in releases before Oracle Database 12c Release 2
(12.2). This is the default.
DEFERRED
allows an application to take advantage of the
reduced cursor invalidation for DDL without making any
application changes. Deferred invalidation reduces the
number of cursor invalidations and spreads the recompilation
workload over time. For this reason, a cursor may run with a
suboptimal plan until it is recompiled, and may incur small
execution-time overhead.
You can set this parameter at the
SYSTEM
or
SESSION
level.
See "About the Life Cycle of Shared Cursors".
CURSOR_SHARING
Converts literal values in SQL statements to bind variables.
Converting the values improves cursor sharing and can affect
the execution plans of SQL statements. The optimizer
generates the execution plan based on the presence of the
bind variables and not the actual literal values.
Set to
FORCE
to enable the creation of a new cursor when
sharing an existing cursor, or when the cursor plan is not
optimal. Set to
EXACT
to allow only statements with identical
text to share the same cursor.
DB_FILE_MULTIBLOCK_READ_COUNT
Specifies the number of blocks that are read in a single I/O
during a full table scan or index fast full scan. The optimizer
uses the value of this parameter to calculate the cost of full
table scans and index fast full scans. Larger values result in
a lower cost for full table scans, which may result in the
optimizer choosing a full table scan over an index scan.
The default value of this parameter corresponds to the
maximum I/O size that the database can perform efficiently.
This value is platform-dependent and is 1 MB for most
platforms. Because the parameter is expressed in blocks, it is
set to a value equal to the maximum I/O size that can be
performed efficiently divided by the standard block size. If the
number of sessions is extremely large, then the multiblock
read count value decreases to avoid the buffer cache getting
flooded with too many table scan buffers.
OPTIMIZER_ADAPTIVE_PLANS
Controls adaptive plans. An adaptive plan has alternative
choices. The optimizer decides on a plan at run time based
on statistics collected as the query executes.
By default, this parameter is
true
, which means adaptive
plans are enabled. Setting to this parameter to
false
disables the following features:
•Nested loops and hash join selection
•Star transformation bitmap pruning
•Adaptive parallel distribution method
See "About Adaptive Query Plans".
Chapter 19
Influencing the Optimizer with Initialization Parameters
19-4

Table 19-2 (Cont.) Initialization Parameters That Control Optimizer Behavior
Initialization Parameter Description
OPTIMIZER_ADAPTIVE_REPORTING_ONLY
Controls the reporting mode for automatic reoptimization and
adaptive plans (see "Adaptive Query Plans"). By default,
reporting mode is off (
false
), which means that adaptive
optimizations are enabled.
If set to
true
, then adaptive optimizations run in reporting-
only mode. In this case, the database gathers information
required for an adaptive optimization, but takes no action to
change the plan. For example, an adaptive plan always
choose the default plan, but the database collects information
about which plan the database would use if the parameter
were set to
false
. You can view the report by using
DBMS_XPLAN.DISPLAY_CURSOR
.
OPTIMIZER_ADAPTIVE_STATISTICS
Controls adaptive statistics. The optimizer can use adaptive
statistics when query predicates are too complex to rely on
base table statistics alone.
By default,
OPTIMIZER_ADAPTIVE_STATISTICS
is
false
, which
means that the following features are disabled:
•SQL plan directives
•Statistics feedback
•Adaptive dynamic sampling
See "Adaptive Statistics".
OPTIMIZER_MODE
Sets the optimizer mode at database instance startup.
Possible values are
ALL_ROWS
,
FIRST_ROWS_n
, and
FIRST_ROWS
.
OPTIMIZER_INDEX_CACHING
Controls the cost analysis of an index probe with a nested
loop. The range of values
0
to
100
indicates percentage of
index blocks in the buffer cache, which modifies optimizer
assumptions about index caching for nested loops and IN-list
iterators. A value of
100
infers that 100% of the index blocks
are likely to be found in the buffer cache, so the optimizer
adjusts the cost of an index probe or nested loop accordingly.
Use caution when setting this parameter because execution
plans can change in favor of index caching.
OPTIMIZER_INDEX_COST_ADJ
Adjusts the cost of index probes. The range of values is
1
to
10000
. The default value is
100
, which means that the
optimizer evaluates indexes as an access path based on the
normal cost model. A value of
10
means that the cost of an
index access path is one-tenth the normal cost of an index
access path.
OPTIMIZER_INMEMORY_AWARE
This parameter enables (
TRUE
) or disables (
FALSE
) all Oracle
Database In-Memory (Database In-Memory) optimizer
features, including the cost model for the IM column store,
table expansion, Bloom filters, and so on. Setting the
parameter to
FALSE
causes the optimizer to ignore the
INMEMORY
property of tables during the optimization of SQL
statements.
OPTIMIZER_USE_INVISIBLE_INDEXES
Enables or disables the use of invisible indexes.
Chapter 19
Influencing the Optimizer with Initialization Parameters
19-5

Table 19-2 (Cont.) Initialization Parameters That Control Optimizer Behavior
Initialization Parameter Description
RESULT_CACHE_MODE
Controls whether the database uses the SQL query result
cache for all queries, or only for the queries that are
annotated with the result cache hint. When set to
MANUAL
(the
default), you must use the
RESULT_CACHE
hint to specify that a
specific result is to be stored in the cache. When set to
FORCE
, the database stores all results in the cache.
When setting this parameter, consider how the result cache
handles PL/SQL functions. The database invalidates query
results in the result cache using the same mechanism that
tracks data dependencies for PL/SQL functions, but
otherwise permits caching of queries that contain PL/SQL
functions. Because PL/SQL function result cache invalidation
does not track all kinds of dependencies (such as on
sequences,
SYSDATE
,
SYS_CONTEXT
, and package variables),
indiscriminate use of the query result cache on queries
calling such functions can result in changes to results, that is,
incorrect results. Thus, consider correctness and
performance when choosing to enable the result cache,
especially when setting
RESULT_CACHE_MODE
to
FORCE
.
RESULT_CACHE_MAX_SIZE
Changes the memory allocated to the result cache. If you set
this parameter to
0
, then the result cache is disabled. The
value of this parameter is rounded to the largest multiple of
32 KB that is not greater than the specified value. If the
rounded value is
0
, then the feature is disabled.
RESULT_CACHE_MAX_RESULT
Specifies the maximum amount of cache memory that any
single result can use. The default value is 5%, but you can
specify any percentage value between
1
and
100
.
RESULT_CACHE_REMOTE_EXPIRATION
Specifies the number of minutes for which a result that
depends on remote database objects remains valid. The
default is
0
, which implies that the database should not cache
results using remote objects. Setting this parameter to a
nonzero value can produce stale answers, such as if a
remote database modifies a table that is referenced in a
result.
STAR_TRANSFORMATION_ENABLED
Enables the optimizer to cost a star transformation for star
queries (if
true
). The star transformation combines the
bitmap indexes on the various fact table columns.
19.2.2 Enabling Optimizer Features
The
OPTIMIZER_FEATURES_ENABLE
initialization parameter (or hint) controls a set of
optimizer-related features, depending on the database release.
The parameter accepts one of a list of valid string values corresponding to the release
numbers, such as
11.2.0.2
or
12.2.0.1
. You can use this parameter to preserve the old
behavior of the optimizer after a database upgrade. For example, if you upgrade
Oracle Database 12c Release 1 (12.1.0.2) to Oracle Database 12c Release 2
(12.2.0.1), then the default value of the
OPTIMIZER_FEATURES_ENABLE
parameter changes
from
12.1.0.2
to
12.2.0.1
.
Chapter 19
Influencing the Optimizer with Initialization Parameters
19-6

For backward compatibility, you may not want the execution plans to change because
of new optimizer features in a new release. In such cases, you can set
OPTIMIZER_FEATURES_ENABLE
to an earlier version. If you upgrade to a new release, and if
you want to enable the features in the new release, then you do not need to explicitly
set the
OPTIMIZER_FEATURES_ENABLE
initialization parameter.
Caution:
Oracle does not recommend explicitly setting the
OPTIMIZER_FEATURES_ENABLE
initialization parameter to an earlier release. To avoid SQL performance
regression that may result from execution plan changes, consider using SQL
plan management instead.
Assumptions
This tutorial assumes the following:
•You recently upgraded the database from Oracle Database 12c Release 1 (12
1.0.2) to Oracle Database 12c Release 2 (12.2.0.1).
•You want to preserve the optimizer behavior from the earlier release.
To enable query optimizer features for a specific release:
1. Log in to the database with the appropriate privileges, and then query the current
optimizer features settings.
For example, run the following SQL*Plus command:
SQL> SHOW PARAMETER optimizer_features_enable
NAME TYPE VALUE
------------------------------------ ----------- --------
optimizer_features_enable string 12.2.0.1
2. Set the optimizer features setting at the instance or session level.
For example, run the following SQL statement to set the optimizer version to
12.1.0.2
:
SQL> ALTER SYSTEM SET OPTIMIZER_FEATURES_ENABLE='12.1.0.2';
The preceding statement restores the optimizer functionality that existed in Oracle
Database 12c Release 1 (12.1.0.2).
19.2.3 Choosing an Optimizer Goal
The optimizer goal is the prioritization of resource usage by the optimizer.
Using the
OPTIMIZER_MODE
initialization parameter, you can set the following optimizer
goals:
•Best throughput (default)
When you set the
OPTIMIZER_MODE
value to
ALL_ROWS
, the database uses the least
amount of resources necessary to process all rows that the statement accessed.
Chapter 19
Influencing the Optimizer with Initialization Parameters
19-7

For batch applications such as Oracle Reports, optimize for best throughput.
Usually, throughput is more important in batch applications because the user is
only concerned with the time necessary for the application to complete. Response
time is less important because the user does not examine the results of individual
statements while the application is running.
•Best response time
When you set the
OPTIMIZER_MODE
value to
FIRST_ROWS_n
, the database optimizes
with a goal of best response time to return the first n rows, where n equals
1
,
10
,
100
, or
1000
.
For interactive applications in Oracle Forms or SQL*Plus, optimize for response
time. Usually, response time is important because the interactive user is waiting to
see the first row or rows that the statement accessed.
Assumptions
This tutorial assumes the following:
•The primary application is interactive, so you want to set the optimizer goal for the
database instance to minimize response time.
•For the current session only, you want to run a report and optimize for throughput.
To enable query optimizer features for a specific release:
1. Connect SQL*Plus to the database with the appropriate privileges, and then query
the current optimizer mode.
For example, run the following SQL*Plus command:
dba1@PROD> SHOW PARAMETER OPTIMIZER_MODE
NAME TYPE VALUE
------------------------------------ ----------- --------
optimizer_mode string ALL_ROWS
2. At the instance level, optimize for response time.
For example, run the following SQL statement to configure the system to retrieve
the first 10 rows as quickly as possible:
SQL> ALTER SYSTEM SET OPTIMIZER_MODE='FIRST_ROWS_10';
3. At the session level only, optimize for throughput before running a report.
For example, run the following SQL statement to configure only this session to
optimize for throughput:
SQL> ALTER SESSION SET OPTIMIZER_MODE='ALL_ROWS';
19.2.4 Controlling Adaptive Optimization
In Oracle Database, adaptive query optimization is the process by which the
optimizer adapts an execution plan based on statistics collected at run time.
Adaptive plans are enabled when the following initialization parameters are set:
•
OPTIMIZER_ADAPTIVE_PLANS
is
TRUE
(default)
•
OPTIMIZER_FEATURES_ENABLE
is
12.1.0.1
or later
Chapter 19
Influencing the Optimizer with Initialization Parameters
19-8

•
OPTIMIZER_ADAPTIVE_REPORTING_ONLY
is
FALSE
(default)
If
OPTIMIZER_ADAPTIVE_REPORTING_ONLY
is set to
true
, then adaptive optimization runs in
reporting-only mode. In this case, the database gathers information required for
adaptive optimization, but does not change the plans. An adaptive plan always
chooses the default plan, but the database collects information about the execution as
if the parameter were set to
false
.
Adaptive statistics are enabled when the following initialization parameters are set:
•
OPTIMIZER_ADAPTIVE_STATISTICS
is
TRUE
(the default is
FALSE
)
•
OPTIMIZER_FEATURES_ENABLE
is
12.1.0.1
or later
Assumptions
This tutorial assumes the following:
•The
OPTIMIZER_FEATURES_ENABLE
initialization parameter is set to
12.1.0.1
or later.
•The
OPTIMIZER_ADAPTIVE_REPORTING_ONLY
initialization parameter is set to
false
(default).
•You want to disable adaptive plans for testing purposes so that the database
generates only reports.
To disable adaptive plans:
1. Connect SQL*Plus to the database as
SYSTEM
, and then query the current settings.
For example, run the following SQL*Plus command:
SHOW PARAMETER OPTIMIZER_ADAPTIVE_REPORTING_ONLY
NAME TYPE VALUE
------------------------------------ ----------- -----
optimizer_adaptive_reporting_only boolean FALSE
2. At the session level, set the
OPTIMIZER_ADAPTIVE_REPORTING_ONLY
initialization
parameter to
true
.
For example, in SQL*Plus run the following SQL statement:
ALTER SESSION SET OPTIMIZER_ADAPTIVE_REPORTING_ONLY=true;
3. Run a query.
4. Run
DBMS_XPLAN.DISPLAY_CURSOR
with the
+REPORT
parameter.
When the
+REPORT
parameter is set, the report shows the plan the optimizer would
have picked if automatic reoptimization had been enabled.
19.3 Influencing the Optimizer with Hints
Optimizer hints are special comments in a SQL statement that pass instructions to the
optimizer.
The optimizer uses hints to choose an execution plan for the statement unless
prevented by some condition.
Chapter 19
Influencing the Optimizer with Hints
19-9

Note:
Oracle Database SQL Language Reference contains a complete reference
for all SQL hints
This section contains the following topics:
•About Optimizer Hints
Use hints to influence the optimizer mode, query transformation, access path, join
order, and join methods.
•Guidelines for Join Order Hints
The join order can have a significant effect on the performance of a SQL
statement. In some cases, you can specify join order hints in a SQL statement so
that it does not access rows that have no effect on the result.
19.3.1 About Optimizer Hints
Use hints to influence the optimizer mode, query transformation, access path, join
order, and join methods.
For example, The following figure shows how you can use a hint to tell the optimizer to
use a specific index for a specific statement.
Figure 19-2 Optimizer Hint
Optimizer
SELECT /*+ INDEX (employees emp_dep_ix)*/ ...
Id Operation Name
0
1
2
SELECT STATEMENT
TABLE ACCESS BY INDEX ROWID
INDEX UNIQUE SCAN
EMPLOYEES
EMP_DEP_IX
*
Generate Plan
The advantage of hints is that they enable you to make decisions normally made by
the optimizer. In a test environment, hints are useful for testing the performance of a
specific access path. For example, you may know that an index is more selective for
certain queries, as in Figure 19-2. In this case, the hint may cause the optimizer to
generate a better plan.
The disadvantage of hints is the extra code that you must manage, check, and control.
Hints were introduced in Oracle7, when users had little recourse if the optimizer
generated suboptimal plans. Because changes in the database and host environment
Chapter 19
Influencing the Optimizer with Hints
19-10

can make hints obsolete or have negative consequences, a good practice is to test
using hints, but use other techniques to manage execution plans.
Oracle provides several tools, including SQL Tuning Advisor, SQL plan management,
and SQL Performance Analyzer, to address performance problems not solved by the
optimizer. Oracle strongly recommends that you use these tools instead of hints
because they provide fresh solutions as the data and database environment change.
This section contains the following topics:
•Types of Hints
You can use hints for tables, query blocks, and statements.
•Scope of Hints
When you specify a hint, it optimizes only the statement block in which it appears,
overriding any instance-level or session-level parameters.
•Guidelines for Hints
You must enclose hints within a SQL comment.
See Also:
Oracle Database SQL Language Reference for the most common hints by
functional category.
19.3.1.1 Types of Hints
You can use hints for tables, query blocks, and statements.
Hints fall into the following types:
•Single-table
Single-table hints are specified on one table or view.
INDEX
and
USE_NL
are
examples of single-table hints. The following statement uses a single-table hint:
SELECT /*+ INDEX (employees emp_department_ix)*/ employee_id, department_id
FROM employees
WHERE department_id > 50;
•Multi-table
Multi-table hints are like single-table hints except that the hint can specify multiple
tables or views.
LEADING
is an example of a multi-table hint. The following
statement uses a multi-table hint:
SELECT /*+ LEADING(e j) */ *
FROM employees e, departments d, job_history j
WHERE e.department_id = d.department_id
AND e.hire_date = j.start_date;
Note:
USE_NL(table1 table2)
is not considered a multi-table hint because it is a
shortcut for
USE_NL(table1)
and
USE_NL(table2)
.
Chapter 19
Influencing the Optimizer with Hints
19-11

•Query block
Query block hints operate on single query blocks.
STAR_TRANSFORMATION
and
UNNEST
are examples of query block hints. The following statement uses a query block
hint:
SELECT /*+ STAR_TRANSFORMATION */ s.time_id, s.prod_id, s.channel_id
FROM sales s, times t, products p, channels c
WHERE s.time_id = t.time_id AND s.prod_id = p.prod_id
AND s.channel_id = c.channel_id AND c.channel_desc = 'Tele Sales';
•Statement
Statement hints apply to the entire SQL statement.
ALL_ROWS
is an example of a
statement hint. The following statement uses a statement hint:
SELECT /*+ ALL_ROWS */ * FROM sales;
19.3.1.2 Scope of Hints
When you specify a hint, it optimizes only the statement block in which it appears,
overriding any instance-level or session-level parameters.
A statement block is one of the following:
•A simple
MERGE
,
SELECT
,
INSERT
,
UPDATE
, or
DELETE
statement
•A parent statement or a subquery of a complex statement
•A part of a query using set operators (
UNION
,
MINUS
,
INTERSECT
)
Example 19-1 Query Using a Set Operator
The following query consists of two component queries and the
UNION
operator:
SELECT /*+ FIRST_ROWS(10) */ prod_id, time_id FROM 2010_sales
UNION ALL
SELECT /*+ ALL_ROWS */ prod_id, time_id FROM current_year_sales;
The preceding statement has two blocks, one for each component query. Hints in the
first component query apply only to its optimization, not to the optimization of the
second component query. For example, in the first week of 2015 you query current
year and last year sales. You apply
FIRST_ROWS(10)
to the query of last year's (2014)
sales and the
ALL_ROWS
hint to the query of this year's (2015) sales.
19.3.1.3 Guidelines for Hints
You must enclose hints within a SQL comment.
The hint comment must immediately follow the first keyword of a SQL statement block.
You can use either style of comment: a slash-star (
/*
) or pair of dashes (
--
). The plus-
sign (+) hint delimiter must come immediately after the comment delimiter, as in the
following fragment:
SELECT /*+ hint_text */ ...
The database ignores incorrectly specified hints. The database also ignores
combinations of conflicting hints, even if these hints are correctly specified. If one hint
is incorrectly specified, but a hint in the same comment is correctly specified, then the
database considers the correct hint.
Chapter 19
Influencing the Optimizer with Hints
19-12

Caution:
The database does not issue error messages for hints that it ignores.
A statement block can have only one comment containing hints, but it can contain
many space-separated hints. For example, a complex query may include multiple table
joins. If you specify only the
INDEX
hint for a specified table, then the optimizer must
determine the remaining access paths and corresponding join methods. The optimizer
may not use the
INDEX
hint because the join methods and access paths prevent it.
Example 19-2 uses multiple hints to specify the exact join order.
Example 19-2 Multiple Hints
SELECT /*+ LEADING(e2 e1) USE_NL(e1) INDEX(e1 emp_emp_id_pk)
USE_MERGE(j) FULL(j) */
e1.first_name, e1.last_name, j.job_id, sum(e2.salary) total_sal
FROM employees e1, employees e2, job_history j
WHERE e1.employee_id = e2.manager_id
AND e1.employee_id = j.employee_id
AND e1.hire_date = j.start_date
GROUP BY e1.first_name, e1.last_name, j.job_id
ORDER BY total_sal;
19.3.2 Guidelines for Join Order Hints
The join order can have a significant effect on the performance of a SQL statement.
In some cases, you can specify join order hints in a SQL statement so that it does not
access rows that have no effect on the result.
The driving table in a join is the table to which other tables are joined. In general, the
driving table contains the filter condition that eliminates the highest percentage of rows
in the table.
Consider the following guidelines:
•Avoid a full table scan when an index retrieves the requested rows more
efficiently.
•Avoid using an index that fetches many rows from the driving table when you can
use a different index that fetches a small number of rows.
•Choose the join order so that you join fewer rows to tables later in the join order.
The following example shows how to tune join order effectively:
SELECT *
FROM taba a,
tabb b,
tabc c
WHERE a.acol BETWEEN 100 AND 200
AND b.bcol BETWEEN 10000 AND 20000
AND c.ccol BETWEEN 10000 AND 20000
AND a.key1 = b.key1
AND a.key2 = c.key2;
1. Choose the driving table and the driving index (if any).
Chapter 19
Influencing the Optimizer with Hints
19-13

Each of the first three conditions in the previous example is a filter condition that
applies to a single table. The last two conditions are join conditions.
Filter conditions dominate the choice of driving table and index. In general, the
driving table contains the filter condition that eliminates the highest percentage of
rows. Thus, because the range of 100 to 200 is narrow compared with the range of
acol
, but the ranges of 10000 and 20000 are relatively large,
taba
is the driving
table, all else being equal.
With nested loops joins, the joins occur through the join indexes, which are the
indexes on the primary or foreign keys used to connect that table to an earlier
table in the join tree. Rarely do you use the indexes on the non-join conditions,
except for the driving table. Thus, after
taba
is chosen as the driving table, use the
indexes on
b.key1
and
c.key2
to drive into
tabb
and
tabc
, respectively.
2. Choose the best join order, driving to the best unused filters earliest.
You can reduce the work of the following join by first joining to the table with the
best still-unused filter. Thus, if
bcol BETWEEN
is more restrictive (rejects a higher
percentage of the rows) than
ccol BETWEEN
, then the last join becomes easier (with
fewer rows) if
tabb
is joined before
tabc
.
3. You can use the
ORDERED
or
STAR
hint to force the join order.
Chapter 19
Influencing the Optimizer with Hints
19-14

20
Improving Real-World Performance
Through Cursor Sharing
Cursor sharing can improve database application performance by orders of
magnitude.
This chapter contains the following topics:
•Overview of Cursor Sharing
Oracle Database can share cursors, which are pointers to private SQL areas in the
shared pool.
•CURSOR_SHARING and Bind Variable Substitution
This topic explains what the
CURSOR_SHARING
initialization parameter is, and how
setting it to different values affects how Oracle Database uses bind variables.
•Adaptive Cursor Sharing
The adaptive cursor sharing feature enables a single statement that contains
bind variables to use multiple execution plans.
•Real-World Performance Guidelines for Cursor Sharing
The Real-World Performance team has created guidelines for how to optimize
cursor sharing in Oracle database applications.
20.1 Overview of Cursor Sharing
Oracle Database can share cursors, which are pointers to private SQL areas in the
shared pool.
This section contains the following topics:
•About Cursors
A private SQL area holds information about a parsed SQL statement and other
session-specific information for processing.
•About Cursors and Parsing
If an application issues a statement, and if Oracle Database cannot reuse a
cursor, then it must build a new executable version of the application code. This
operation is known as a hard parse.
•About Literals and Bind Variables
Bind variables are essential to cursor sharing in Oracle database applications.
•About the Life Cycle of Shared Cursors
The database allocates a new shared SQL area when the optimizer parses a new
SQL statement that is not DDL. The amount of memory required depends on the
statement complexity.
20.1.1 About Cursors
A private SQL area holds information about a parsed SQL statement and other
session-specific information for processing.
20-1

When a server process executes SQL or PL/SQL code, the process uses the private
SQL area to store bind variable values, query execution state information, and query
execution work areas. The private SQL areas for each execution of a statement are
not shared and may contain different values and data.
A cursor is a name or handle to a specific private SQL area. The cursor contains
session-specific state information such as bind variable values and result sets.
As shown in the following graphic, you can think of a cursor as a pointer on the client
side and as a state on the server side. Because cursors are closely associated with
private SQL areas, the terms are sometimes used interchangeably.
Figure 20-1 Cursor
PGA
SQL Work Areas
Cursor
Data Area
Server
Process
Client
Process
Session Memory
Private SQL Area
Pointer
This section contains the following topics:
•Private and Shared SQL Areas
A cursor in the private SQL area points to a shared SQL area in the library cache.
•Parent and Child Cursors
Every parsed SQL statement has a parent cursor and one or more child cursors.
20.1.1.1 Private and Shared SQL Areas
A cursor in the private SQL area points to a shared SQL area in the library cache.
Unlike the private SQL area, which contains session state information, the shared SQL
area contains the parse tree and execution plan for the statement. For example, an
execution of
SELECT * FROM employees
has a plan and parse tree stored in one shared
SQL area. An execution of
SELECT * FROM departments
, which differs both syntactically
and semantically, has a plan and parse tree stored in a separate shared SQL area.
Multiple private SQL areas in the same or different sessions can reference a single
shared SQL area, a phenomenon known as cursor sharing. For example, an
execution of
SELECT * FROM employees
in one session and an execution of the
SELECT *
FROM employees
(accessing the same table) in a different session can use the same
parse tree and plan. A shared SQL area that is accessed by multiple statements is
known as a shared cursor.
Chapter 20
Overview of Cursor Sharing
20-2

Figure 20-2 Cursor Sharing
System Global Area (SGA)
Instance
Shared Pool
Private
SQL Area
(Shared
Server Only)
Shared SQL Area
Library Cache
Data
Dictionary
Cache
Server
Result
Cache
Other
Reserved
Pool
SELECT * FROM employees
Client
Process
Server
Process
PGA
Session Memory
Private SQL Area
SQL Work Areas
SELECT * FROM
employees
Client
Process
Server
Process
PGA
Session Memory
Private SQL Area
SQL Work Areas
SELECT * FROM employees
Oracle Database automatically determines whether the SQL statement or PL/SQL
block being issued is textually identical to another statement currently in the library
cache, using the following steps:
1. The text of the statement is hashed.
2. The database looks for a matching hash value for an existing SQL statement in
the shared pool. The following options are possible:
•No matching hash value exists.
In this case, the SQL statement does not currently exist in the shared pool, so
the database performs a hard parse. This ends the shared pool check.
•A matching hash value exists.
In this case, the database proceeds to the next step, which is a text match.
3. The database compares the text of the matched statement to the text of the
hashed statement to determine whether they are identical. The following options
are possible:
•The textual match fails.
In this case, the text match process stops, resulting in a hard parse.
Chapter 20
Overview of Cursor Sharing
20-3

•The textual match succeeds.
In this case, the database proceeds to the next step: determining whether the
SQL can share an existing parent cursor.
For a textual match to occur, the text of the SQL statements or PL/SQL blocks
must be character-for-character identical, including spaces, case, and
comments. For example, the following statements cannot use the same
shared SQL area:
SELECT * FROM employees;
SELECT * FROM Employees;
SELECT * FROM employees;
Usually, SQL statements that differ only in literals cannot use the same shared
SQL area. For example, the following statements do not resolve to the same
SQL area:
SELECT count(1) FROM employees WHERE manager_id = 121;
SELECT count(1) FROM employees WHERE manager_id = 247;
The only exception to this rule is when the parameter
CURSOR_SHARING
has been
set to
FORCE
, in which case similar statements can share SQL areas.
20.1.1.2 Parent and Child Cursors
Every parsed SQL statement has a parent cursor and one or more child cursors.
The parent cursor stores the text of the SQL statement. If the text of two statements is
identical, then the statements share the same parent cursor. If the text is different,
however, then the database creates a separate parent cursor.
Example 20-1 Parent Cursors
In this example, the first two statements are syntactically different (the letter “c” is
lowercase in the first statement and uppercase in the second statement), but
semantically identical. Because of the syntactic difference, these statements have
different parent cursors. The third statement is syntactically identical to the first
statement (lowercase “c”), but semantically different because it refers to a
customers
table in a different schema. Because of the syntactic identity, the third statement can
share a parent cursor with the first statement.
SQL> CONNECT oe@inst1
Enter password: *******
Connected.
SQL> SELECT COUNT(*) FROM customers;
COUNT(*)
----------
319
SQL> SELECT COUNT(*) FROM Customers;
COUNT(*)
----------
319
SQL> CONNECT sh@inst1
Enter password: *******
Connected.
Chapter 20
Overview of Cursor Sharing
20-4

SQL> SELECT COUNT(*) FROM customers;
COUNT(*)
----------
155500
The following query of
V$SQL
indicates the two parents. The statement with the SQL ID
of
8h916vv2yw400
, which is the lowercase “c” version of the statement, has one parent
cursor and two child cursors: child 0 and child 1. The statement with the SQL ID of
5rn2uxjtpz0wd
, which is the uppercase “c” version of the statement, has a different
parent cursor and only one child cursor: child 0.
SQL> CONNECT SYSTEM@inst1
Enter password: *******
Connected.
SQL> COL SQL_TEXT FORMAT a30
SQL> COL CHILD# FORMAT 99999
SQL> COL EXEC FORMAT 9999
SQL> COL SCHEMA FORMAT a6
SQL> SELECT SQL_ID, PARSING_SCHEMA_NAME AS SCHEMA, SQL_TEXT,
2 CHILD_NUMBER AS CHILD#, EXECUTIONS AS EXEC FROM V$SQL
3 WHERE SQL_TEXT LIKE '%ustom%' AND SQL_TEXT NOT LIKE '%SQL_TEXT%' ORDER BY
SQL_ID;
SQL_ID SCHEMA SQL_TEXT CHILD# EXEC
------------- ------ ------------------------------ ------ -----
5rn2uxjtpz0wd OE SELECT COUNT(*) FROM Customers 0 1
8h916vv2yw400 OE SELECT COUNT(*) FROM customers 0 1
8h916vv2yw400 SH SELECT COUNT(*) FROM customers 1 1
This section contains the following topics:
•Parent Cursors and V$SQLAREA
The
V$SQLAREA
view contains one row for every parent cursor.
•Child Cursors and V$SQL
Every parent cursor has one or more child cursors.
•Cursor Mismatches and V$SQL_SHARED_CURSOR
If a parent cursor has multiple children, then the
V$SQL_SHARED_CURSOR
view provides
information about why the cursor was not shared. For several types of
incompatibility, the
TRANSLATION_MISMATCH
column indicates a mismatch with the
value
Y
or
N
.
20.1.1.2.1 Parent Cursors and V$SQLAREA
The
V$SQLAREA
view contains one row for every parent cursor.
In the following example, a query of
V$SQLAREA
shows two parent cursors, each
identified with a different
SQL_ID
. The
VERSION_COUNT
indicates the number of child
cursors.
COL SQL_TEXT FORMAT a30
SELECT SQL_TEXT, SQL_ID, VERSION_COUNT, HASH_VALUE
FROM V$SQLAREA
WHERE SQL_TEXT LIKE '%mployee%'
AND SQL_TEXT NOT LIKE '%SQL_TEXT%';
SQL_TEXT SQL_ID VERSION_COUNT HASH_VALUE
Chapter 20
Overview of Cursor Sharing
20-5

------------------------------ ------------- ------------- ----------
SELECT * FROM Employees 5bzhzpaa0wy9m 1 2483976499
SELECT * FROM employees 4959aapufrm1k 2 1961610290
In the preceding output, the
VERSION_COUNT
of
2
for
SELECT * FROM employees
indicates
multiple child cursors, which were necessary because the statement was executed
against two different objects. In contrast, the statement
SELECT * FROM Employees
(note
the capital "E") was executed once, and so has one parent cursor, and one child
cursor (
VERSION_COUNT
of
1
).
20.1.1.2.2 Child Cursors and V$SQL
Every parent cursor has one or more child cursors.
A child cursor contains the execution plan, bind variables, metadata about objects
referenced in the query, optimizer environment, and other information. In contrast to
the parent cursor, the child cursor does not store the text of the SQL statement.
If a statement is able to reuse a parent cursor, then the database checks whether the
statement can reuse an existing child cursor. The database performs several checks,
including the following:
•The database compares objects referenced in the issued statement to the objects
referenced by the statement in the pool to ensure that they are all identical.
References to schema objects in the SQL statements or PL/SQL blocks must
resolve to the same object in the same schema. For example, if two users issue
the following SQL statement, and if each user has its own
employees
table, then the
following statement is not identical because the statement references different
employees
tables for each user:
SELECT * FROM employees;
Note:
The database can share cursors for a private temporary table, but only
within the same session. The database associates the session identifier
as part of the cursor context. During a soft parse, the database can
share the child cursor only when the current session ID matches with the
session ID in the cursor context.
•The database determines whether the optimizer mode is identical.
For example, SQL statements must be optimized using the same optimizer goal.
Example 20-2 Multiple Child Cursors
V$SQL
describes the statements that currently reside in the library cache. It contains
one row for every child cursor, as shown in the following example:
SELECT SQL_TEXT, SQL_ID, USERNAME AS USR, CHILD_NUMBER AS CHILD#,
HASH_VALUE, PLAN_HASH_VALUE AS PLAN_HASHV
FROM V$SQL s, DBA_USERS d
WHERE SQL_TEXT LIKE '%mployee%'
AND SQL_TEXT NOT LIKE '%SQL_TEXT%'
AND d.USER_ID = s.PARSING_USER_ID;
SQL_TEXT SQL_ID USR CHILD# HASH_VALUE PLAN_HASHV
Chapter 20
Overview of Cursor Sharing
20-6

----------------------- ------------- --- ------ ---------- ----------
SELECT * FROM Employees 5bzhzpaa0wy9m HR 0 2483976499 1445457117
SELECT * FROM employees 4959aapufrm1k HR 0 1961610290 1445457117
SELECT * FROM employees 4959aapufrm1k SH 1 1961610290 1445457117
In the preceding results, the
CHILD#
of the bottom two statements is different (
0
and
1
),
even though the
SQL_ID
is the same. This means that the statements have the same
parent cursor, but different child cursors. In contrast, the statement with the
SQL_ID
of
5bzhzpaa0wy9m
has one parent and one child (
CHILD#
of
0
). All three SQL statements use
the same execution plan, as indicated by identical values in the
PLAN_HASH_VALUE
column.
Related Topics
•Types of Temporary Tables
Temporary tables are classified as global, private, or cursor-duration.
•Choosing an Optimizer Goal
The optimizer goal is the prioritization of resource usage by the optimizer.
20.1.1.2.3 Cursor Mismatches and V$SQL_SHARED_CURSOR
If a parent cursor has multiple children, then the
V$SQL_SHARED_CURSOR
view provides
information about why the cursor was not shared. For several types of incompatibility,
the
TRANSLATION_MISMATCH
column indicates a mismatch with the value
Y
or
N
.
Example 20-3 Translation Mismatch
In this example, the
TRANSLATION_MISMATCH
column shows that the two statements
(
SELECT * FROM employees
) referenced different objects, resulting in a
TRANSLATION_MISMATCH
value of
Y
for the last statement. Because sharing was not
possible, each statement had a separate child cursor, as indicated by
CHILD_NUMBER
of
0
and
1
.
SELECT S.SQL_TEXT, S.CHILD_NUMBER, s.CHILD_ADDRESS,
C.TRANSLATION_MISMATCH
FROM V$SQL S, V$SQL_SHARED_CURSOR C
WHERE SQL_TEXT LIKE '%employee%'
AND SQL_TEXT NOT LIKE '%SQL_TEXT%'
AND S.CHILD_ADDRESS = C.CHILD_ADDRESS;
SQL_TEXT CHILD_NUMBER CHILD_ADDRESS T
------------------------------ ------------ ---------------- -
SELECT * FROM employees 0 0000000081EE8690 N
SELECT * FROM employees 1 0000000081F22508 Y
20.1.2 About Cursors and Parsing
If an application issues a statement, and if Oracle Database cannot reuse a cursor,
then it must build a new executable version of the application code. This operation is
known as a hard parse.
A soft parse is any parse that is not a hard parse, and occurs when the database can
reuse existing code. Some soft parses are less resource-intensive than others. For
example, if a parent cursor for the statement already exists, then Oracle Database can
perform various optimizations, and then store the child cursor in the shared SQL area.
If a parent cursor does not exist, however, then Oracle Database must also store the
parent cursor in the shared SQL area, which creates additional memory overhead.
Chapter 20
Overview of Cursor Sharing
20-7

Effectively, a hard parse recompiles a statement before running it. Hard parsing a SQL
statement before every execution is analogous to recompiling a C program before
every execution. A hard parse performs operations such as the following:
•Checking the syntax of the SQL statement
•Checking the semantics of the SQL statement
•Checking the access rights of the user issuing the statement
•Creating an execution plan
•Accessing the library cache and data dictionary cache numerous times to check
the data dictionary
An especially resource-intensive aspect of hard parsing is accessing the library cache
and data dictionary cache numerous times to check the data dictionary. When the
database accesses these areas, it uses a serialization device called a latch on
required objects so that their definition does not change during the check. Latch
contention increases statement execution time and decreases concurrency.
For all of the preceding reasons, the CPU and memory overhead of hard parses can
create serious performance problems. The problems are especially evident in web
applications that accept user input from a form, and then generate SQL statements
dynamically. The Real-World Performance group strongly recommends reducing hard
parsing as much as possible.
Video:
Video
Example 20-4 Finding Parse Information Using V$SQL
You can use various techniques to monitor hard and soft parsing. This example
queries the session statistics to determine whether repeated executions of a
DBA_JOBS
query increase the hard parse count. The first execution of the statement increases
the hard parse count to
49
, but the second execution does not change the hard parse
count, which means that Oracle Database reused application code.
SQL> ALTER SYSTEM FLUSH SHARED_POOL;
System altered.
SQL> COL NAME FORMAT a18
SQL> SELECT s.NAME, m.VALUE
2 FROM V$STATNAME s, V$MYSTAT m
3 WHERE s.STATISTIC# = m.STATISTIC#
4 AND s.NAME LIKE '%(hard%';
NAME VALUE
------------------ ----------
parse count (hard) 48
SQL> SELECT COUNT(*) FROM DBA_JOBS;
COUNT(*)
----------
Chapter 20
Overview of Cursor Sharing
20-8

0
SQL> SELECT s.NAME, m.VALUE
2 FROM V$STATNAME s, V$MYSTAT m
3 WHERE s.STATISTIC# = m.STATISTIC#
4 AND s.NAME LIKE '%(hard%';
NAME VALUE
------------------ ----------
parse count (hard) 49
SQL> SELECT COUNT(*) FROM DBA_JOBS;
COUNT(*)
----------
0
SQL> SELECT s.NAME, m.VALUE
2 FROM V$STATNAME s, V$MYSTAT m
3 WHERE s.STATISTIC# = m.STATISTIC#
4 AND s.NAME LIKE '%(hard%';
NAME VALUE
------------------ ----------
parse count (hard) 49
Example 20-5 Finding Parse Information Using Trace Files
This example uses SQL Trace and the TKPROF utility to find parse information. You
log in to the database with administrator privileges, and then query the directory
location of the trace files (sample output included):
SET LINESIZE 120
COLUMN value FORMAT A80
SELECT value
FROM v$diag_info
WHERE name = 'Default Trace File';
VALUE
--------------------------------------------------------------------------------
/disk1/oracle/log/diag/rdbms/orcl/orcl/trace/orcl_ora_23054.trc
You enable tracing, use the
TRACEFILE_IDENTIFIER
initialization parameter to give the
trace file a meaningful name, and then query
hr.employees
:
EXEC DBMS_MONITOR.SESSION_TRACE_ENABLE(waits=>TRUE, binds=>TRUE);
ALTER SESSION SET TRACEFILE_IDENTIFIER = "emp_stmt";
SELECT * FROM hr.employees;
EXIT;
Search the default trace file directory for the trace file that you generated:
% ls *emp_stmt.trc
orcl_ora_17950_emp_stmt.trc
Use TKPROF to format the trace file, and then open the formatted file:
% tkprof orcl_ora_17950_emp_stmt.trc emp.out; vi emp.out
The formatted trace file contains the parse information for the query of
hr.employees
.
Chapter 20
Overview of Cursor Sharing
20-9

SQL ID: brmjpfs7dcnub Plan Hash: 1445457117
SELECT *
FROM
hr.employees
call count cpu elapsed disk query current rows
------- ------ -------- ---------- ---------- ---------- ---------- ----------
Parse 1 0.07 0.08 0 0 0 0
Execute 1 0.00 0.00 0 0 0 0
Fetch 9 0.00 0.00 3 12 0 107
------- ------ -------- ---------- ---------- ---------- ---------- ----------
total 11 0.07 0.08 3 12 0 107
Misses in library cache during parse: 1
Optimizer mode: ALL_ROWS
Parsing user id: SYSTEM
Number of plan statistics captured: 1
Rows (1st) Rows (avg) Rows (max) Row Source Operation
---------- ---------- ---------- ---------------------------------------------------
107 107 107 TABLE ACCESS FULL EMPLOYEES (cr=12 pr=3 pw=0
time=497
us starts=1 cost=2 size=7383 card=107)
A library cache miss indicates a hard parse. Performing the same steps for a second
execution of the same statement produces the following trace output, which shows no
library cache misses:
SQL ID: brmjpfs7dcnub Plan Hash: 1445457117
SELECT *
FROM
hr.employees
call count cpu elapsed disk query current rows
------- ------ -------- ---------- ---------- ---------- ---------- ----------
Parse 1 0.00 0.00 0 0 0 0
Execute 1 0.00 0.00 0 0 0 0
Fetch 9 0.00 0.00 3 12 0 107
------- ------ -------- ---------- ---------- ---------- ---------- ----------
total 11 0.00 0.00 3 12 0 107
Misses in library cache during parse: 0
Optimizer mode: ALL_ROWS
Parsing user id: SYSTEM
Number of plan statistics captured: 1
Rows (1st) Rows (avg) Rows (max) Row Source Operation
---------- ---------- ---------- ---------------------------------------------------
107 107 107 TABLE ACCESS FULL EMPLOYEES (cr=12 pr=3 pw=0
time=961
us starts=1 cost=2 size=7383 card=107)
20.1.3 About Literals and Bind Variables
Bind variables are essential to cursor sharing in Oracle database applications.
Chapter 20
Overview of Cursor Sharing
20-10

This section contains the following topics:
•Literals and Cursors
When constructing SQL statements, some Oracle applications use literals instead
of bind variables.
•Bind Variables and Cursors
You can develop Oracle applications to use bind variables instead of literals.
•Bind Variable Peeking
In bind variable peeking (also known as bind peeking), the optimizer looks at the
value in a bind variable when the database performs a hard parse of a statement.
20.1.3.1 Literals and Cursors
When constructing SQL statements, some Oracle applications use literals instead of
bind variables.
For example, the statement
SELECT SUM(salary) FROM hr.employees WHERE employee_id
< 101
uses the literal value
101
for the employee ID. By default, when similar
statements do not use bind variables, Oracle Database cannot take advantage of
cursor sharing. Thus, Oracle Database sees a statement that is identical except for the
value
102
, or any other random value, as a completely new statement, requiring a hard
parse.
The Real-World Performance group has determined that applications that use literals
are a frequent cause of performance, scalability, and security problems. In the real
world, it is not uncommon for applications to be written quickly, without considering
cursor sharing. A classic example is a “screen scraping” application that copies the
contents out of a web form, and then concatenates strings to construct the SQL
statement dynamically.
Major problems that result from using literal values include the following:
•Applications that concatenate literals input by an end user are prone to SQL
injection attacks. Only rewriting the applications to use bind variables eliminates
this threat.
•If every statement is hard parsed, then cursors are not shared, and so the
database must consume more memory to create the cursors.
•Oracle Database must latch the shared pool and library cache when hard parsing.
As the number of hard parses increases, so does the number of processes waiting
to latch the shared pool. This situation decreases concurrency and increases
contention.
Video:
Video
Example 20-6 Literals and Cursor Sharing
Consider an application that executes the following statements, which differ only in
literals:
Chapter 20
Overview of Cursor Sharing
20-11

SELECT SUM(salary) FROM hr.employees WHERE employee_id < 101;
SELECT SUM(salary) FROM hr.employees WHERE employee_id < 120;
SELECT SUM(salary) FROM hr.employees WHERE employee_id < 165;
The following query of
V$SQLAREA
shows that the three statements require three
different parent cursors. As shown by
VERSION_COUNT
, each parent cursor requires its
own child cursor.
COL SQL_TEXT FORMAT a30
SELECT SQL_TEXT, SQL_ID, VERSION_COUNT, HASH_VALUE
FROM V$SQLAREA
WHERE SQL_TEXT LIKE '%mployee%'
AND SQL_TEXT NOT LIKE '%SQL_TEXT%';
SQL_TEXT SQL_ID VERSION_COUNT HASH_VALUE
------------------------------ ------------- ------------- ----------
SELECT SUM(salary) FROM hr.emp b1tvfcc5qnczb 1 191509483
loyees WHERE employee_id < 165
SELECT SUM(salary) FROM hr.emp cn5250y0nqpym 1 2169198547
loyees WHERE employee_id < 101
SELECT SUM(salary) FROM hr.emp au8nag2vnfw67 1 3074912455
loyees WHERE employee_id < 120
20.1.3.2 Bind Variables and Cursors
You can develop Oracle applications to use bind variables instead of literals.
A bind variable is a placeholder in a query. For example, the statement
SELECT
SUM(salary) FROM hr.employees WHERE employee_id < :emp_id
uses the bind
variable
:emp_id
for the employee ID.
The Real-World Performance group has found that applications that use bind variables
perform better, scale better, and are more secure. Major benefits that result from using
bind variables include the following:
•Applications that use bind variables are not vulnerable to the same SQL injection
attacks as applications that use literals.
•When identical statements use bind variables, Oracle Database can take
advantage of cursor sharing, and share the plan and other information when
different values are bound to the same statement.
•Oracle Database avoids the overhead of latching the shared pool and library
cache required for hard parsing.
Video:
Video
Example 20-7 Bind Variables and Shared Cursors
The following example uses the
VARIABLE
command in SQL*Plus to create the
emp_id
bind variable, and then executes a query using three different bind values (
101
,
120
,
and
165
):
Chapter 20
Overview of Cursor Sharing
20-12

VARIABLE emp_id NUMBER
EXEC :emp_id := 101;
SELECT SUM(salary) FROM hr.employees WHERE employee_id < :emp_id;
EXEC :emp_id := 120;
SELECT SUM(salary) FROM hr.employees WHERE employee_id < :emp_id;
EXEC :emp_id := 165;
SELECT SUM(salary) FROM hr.employees WHERE employee_id < :emp_id;
The following query of
V$SQLAREA
shows one unique SQL statement:
COL SQL_TEXT FORMAT a34
SELECT SQL_TEXT, SQL_ID, VERSION_COUNT, HASH_VALUE
FROM V$SQLAREA
WHERE SQL_TEXT LIKE '%mployee%'
AND SQL_TEXT NOT LIKE '%SQL_TEXT%';
SQL_TEXT SQL_ID VERSION_COUNT HASH_VALUE
---------------------------------- ------------- ------------- ----------
SELECT SUM(salary) FROM hr.employe 4318cbskba8yh 1 615850960
es WHERE employee_id < :emp_id
The
VERSION_COUNT
value of
1
indicates that the database reused the same child cursor
rather than creating three separate child cursors. Using a bind variable made this
reuse possible.
20.1.3.3 Bind Variable Peeking
In bind variable peeking (also known as bind peeking), the optimizer looks at the
value in a bind variable when the database performs a hard parse of a statement.
The optimizer does not look at the bind variable values before every parse. Rather, the
optimizer peeks only when the optimizer is first invoked, which is during the hard
parse.
When a query uses literals, the optimizer can use the literal values to find the best
plan. However, when a query uses bind variables, the optimizer must select the best
plan without the presence of literals in the SQL text. This task can be extremely
difficult. By peeking at bind values during the initial hard parse, the optimizer can
determine the cardinality of a
WHERE
clause condition as if literals had been used,
thereby improving the plan.
Because the optimizer only peeks at the bind value during the hard parse, the plan
may not be optimal for all possible bind values. The following examples illustrate this
principle.
Example 20-8 Literals Result in Different Execution Plans
Assume that you execute the following statements, which execute three different
statements using different literals (
101
,
120
, and
165
), and then display the execution
plans for each:
SET LINESIZE 167
SET PAGESIZE 0
SELECT SUM(salary) FROM hr.employees WHERE employee_id < 101;
SELECT * FROM TABLE(DBMS_XPLAN.DISPLAY_CURSOR());
SELECT SUM(salary) FROM hr.employees WHERE employee_id < 120;
SELECT * FROM TABLE(DBMS_XPLAN.DISPLAY_CURSOR());
SELECT SUM(salary) FROM hr.employees WHERE employee_id < 165;
SELECT * FROM TABLE(DBMS_XPLAN.DISPLAY_CURSOR());
Chapter 20
Overview of Cursor Sharing
20-13

The database hard parsed all three statements, which were not identical. The
DISPLAY_CURSOR
output, which has been edited for clarity, shows that the optimizer
chose the same index range scan plan for the first two statements, but a full table scan
plan for the statement using literal
165
:
SQL_ID cn5250y0nqpym, child number 0
-------------------------------------
SELECT SUM(salary) FROM hr.employees WHERE employee_id < 101
Plan hash value: 2410354593
-------------------------------------------------------------------------------------
|Id| Operation | Name |Rows|Bytes|Cost(%CPU)|Time|
-------------------------------------------------------------------------------------
| 0| SELECT STATEMENT | | | |2 (100)| |
| 1| SORT AGGREGATE | |1 | 8 | | |
| 2| TABLE ACCESS BY INDEX ROWID BATCHED| EMPLOYEES |1 | 8 |2 (0) | 00:00:01 |
|*3| INDEX RANGE SCAN | EMP_EMP_ID_PK |1 | |1 (0) | 00:00:01 |
-------------------------------------------------------------------------------------
Predicate Information (identified by operation id):
---------------------------------------------------
3 - access("EMPLOYEE_ID"<101)
SQL_ID au8nag2vnfw67, child number 0
-------------------------------------
SELECT SUM(salary) FROM hr.employees WHERE employee_id < 120
Plan hash value: 2410354593
-------------------------------------------------------------------------------------
|Id| Operation | Name |Rows|Bytes|Cost(%CPU)|Time|
-------------------------------------------------------------------------------------
| 0| SELECT STATEMENT | | | |2 (100)| |
| 1| SORT AGGREGATE | |1 | 8 | | |
| 2| TABLE ACCESS BY INDEX ROWID BATCHED| EMPLOYEES |20|160|2 (0) | 00:00:01 |
|*3| INDEX RANGE SCAN | EMP_EMP_ID_PK |20| |1 (0) | 00:00:01 |
-------------------------------------------------------------------------------------
Predicate Information (identified by operation id):
---------------------------------------------------
3 - access("EMPLOYEE_ID"<120)
SQL_ID b1tvfcc5qnczb, child number 0
-------------------------------------
SELECT SUM(salary) FROM hr.employees WHERE employee_id < 165
Plan hash value: 1756381138
-------------------------------------------------------------------------
| Id | Operation | Name |Rows| Bytes |Cost(%CPU)| Time |
-------------------------------------------------------------------------
| 0 | SELECT STATEMENT | | | | 2 (100)| |
| 1 | SORT AGGREGATE | | 1 | 8 | | |
|* 2 | TABLE ACCESS FULL| EMPLOYEES | 66 | 528 | 2 (0)| 00:00:01 |
-------------------------------------------------------------------------
Predicate Information (identified by operation id):
---------------------------------------------------
Chapter 20
Overview of Cursor Sharing
20-14

2 - filter("EMPLOYEE_ID"<165)
The preceding output shows that the optimizer considers a full table scan more
efficient than an index scan for the query that returns more rows.
Example 20-9 Bind Variables Result in Cursor Reuse
This example rewrites the queries executed in Example 20-8 to use bind variables
instead of literals. You bind the same values (
101
,
120
, and
165
) to the bind
variable
:emp_id
, and then display the execution plans for each:
VAR emp_id NUMBER
EXEC :emp_id := 101;
SELECT SUM(salary) FROM hr.employees WHERE employee_id < :emp_id;
SELECT * FROM TABLE(DBMS_XPLAN.DISPLAY_CURSOR());
EXEC :emp_id := 120;
SELECT SUM(salary) FROM hr.employees WHERE employee_id < :emp_id;
SELECT * FROM TABLE(DBMS_XPLAN.DISPLAY_CURSOR());
EXEC :emp_id := 165;
SELECT SUM(salary) FROM hr.employees WHERE employee_id < :emp_id;
SELECT * FROM TABLE(DBMS_XPLAN.DISPLAY_CURSOR());
The
DISPLAY_CURSOR
output shows that the optimizer chose exactly the same plan for all
three statements:
SELECT SUM(salary) FROM hr.employees WHERE employee_id < :emp_id
Plan hash value: 2410354593
-------------------------------------------------------------------------------------
| Id | Operation | Name |Rows|Bytes|Cost (%CPU)|Time|
-------------------------------------------------------------------------------------
| 0 | SELECT STATEMENT | | | |2 (100)| |
| 1 | SORT AGGREGATE | |1|8 | | |
| 2 | TABLE ACCESS BY INDEX ROWID BATCHED| EMPLOYEES |1|8 | 2 (0)| 00:00:01 |
|* 3 | INDEX RANGE SCAN | EMP_EMP_ID_PK |1| | 1 (0)| 00:00:01 |
-------------------------------------------------------------------------------------
Predicate Information (identified by operation id):
---------------------------------------------------
3 - access("EMPLOYEE_ID"<:EMP_ID)
In contrast, when the preceding statements were executed with literals, the optimizer
chose a lower-cost full table scan when the employee ID value was
165
. This is the
problem solved by adaptive cursor sharing.
20.1.4 About the Life Cycle of Shared Cursors
The database allocates a new shared SQL area when the optimizer parses a new SQL
statement that is not DDL. The amount of memory required depends on the statement
complexity.
The database can remove a shared SQL area from the shared pool even if this area
corresponds to an open cursor that has been unused for a long time. If the open
cursor is later used to run its statement, then the database reparses the statement and
Chapter 20
Overview of Cursor Sharing
20-15

allocates a new shared SQL area. The database does not remove cursors whose
statements are executing, or whose rows have not been completely fetched.
Shared SQL areas can become invalid because of changes to dependent schema
objects or to optimizer statistics. Oracle Database uses two techniques to manage the
cursor life cycle: invalidation and rolling invalidation.
This section contains the following topics:
•Cursor Marked Invalid
When a shared SQL area is marked invalid, the database can remove it from the
shared pool, along with valid cursors that have been unused for some time.
•Cursors Marked Rolling Invalid
When cursors are marked rolling invalid (
V$SQL.IS_ROLLING_INVALID
is
Y
), the
database gradually performs hard parses over an extended time.
See Also:
Oracle Database Concepts for an overview of memory allocation in the
shared pool
20.1.4.1 Cursor Marked Invalid
When a shared SQL area is marked invalid, the database can remove it from the
shared pool, along with valid cursors that have been unused for some time.
In some situations, the database must execute a statement that is associated with an
invalid shared SQL area in the shared pool. In this case, the database performs a hard
parse of the statement before execution.
The database immediately marks dependent shared SQL areas invalid when the
following conditions are met:
•
DBMS_STATS
gathers statistics for a table, table cluster, or index when the
NO_INVALIDATE
parameter is
FALSE
.
•A SQL statement references a schema object, which is later modified by a DDL
statement that uses immediate cursor invalidation (default).
You can manually specify immediate invalidation on statements such as
ALTER
TABLE ... IMMEDIATE VALIDATION
and
ALTER INDEX ... IMMEDIATE VALIDATION
, or set
the
CURSOR_INVALIDATION
initialization parameter to
IMMEDIATE
at the session or
system level.
Note:
A DDL statement using the
DEFERRED VALIDATION
clause overrides the
IMMEDIATE
setting of the
CURSOR_INVALIDATION
initialization parameter.
When the preceding conditions are met, the database reparses the affected
statements at next execution.
Chapter 20
Overview of Cursor Sharing
20-16

When the database invalidates a cursor, the
V$SQL.INVALIDATIONS
value increases (for
example, from
0
to
1
), and
V$SQL.OBJECT_STATUS
shows
INVALID_UNAUTH
.
Example 20-10 Forcing Cursor Invalidation by Setting
NO_INVALIDATE=FALSE
This example logs in as user
sh
, who has been granted administrator privileges. The
example queries
sales
, and then gathers statistics for this table with
NO_INVALIDATE=FALSE
. Afterwards, the
V$SQL.INVALIDATIONS
value changes from
0
to
1
for
the cursor, indicating that the database flagged the cursor as invalid.
SQL> SELECT COUNT(*) FROM sales;
COUNT(*)
----------
918843
SQL> SELECT PREV_SQL_ID SQL_ID FROM V$SESSION WHERE SID = SYS_CONTEXT('userenv',
'SID');
SQL_ID
-------------
1y17j786c7jbh
SQL> SELECT CHILD_NUMBER, EXECUTIONS,
2 PARSE_CALLS, INVALIDATIONS, OBJECT_STATUS
3 FROM V$SQL WHERE SQL_ID = '1y17j786c7jbh';
CHILD_NUMBER EXECUTIONS PARSE_CALLS INVALIDATIONS OBJECT_STATUS
------------ ---------- ----------- ------------- -------------
0 1 1 0 VALID
SQL> EXEC DBMS_STATS.GATHER_TABLE_STATS(null,'sales',no_invalidate => FALSE);
PL/SQL procedure successfully completed.
SQL> SELECT CHILD_NUMBER, EXECUTIONS,
2 PARSE_CALLS, INVALIDATIONS, OBJECT_STATUS
3 FROM V$SQL WHERE SQL_ID = '1y17j786c7jbh';
CHILD_NUMBER EXECUTIONS PARSE_CALLS INVALIDATIONS OBJECT_STATUS
------------ ---------- ----------- ------------- --------------
0 1 1 1 INVALID_UNAUTH
20.1.4.2 Cursors Marked Rolling Invalid
When cursors are marked rolling invalid (
V$SQL.IS_ROLLING_INVALID
is
Y
), the database
gradually performs hard parses over an extended time.
Note:
When
V$SQL.IS_ROLLING_REFRESH_INVALID
is
Y
, the underlying object has
changed, but recompilation of the cursor is not required. The database
updates metadata in the cursor.
Chapter 20
Overview of Cursor Sharing
20-17

Purpose of Rolling Invalidation
Because a sharp increase in hard parses can significantly degrade performance,
rolling invalidation—also called deferred invalidation—is useful for workloads that
simultaneously invalidate many cursors. The database assigns each invalid cursor a
randomly generated time period. SQL areas invalidated at the same time typically
have different time periods.
A hard parse occurs only if a query accessing the cursor executes after the time period
has expired. In this way, the database diffuses the overhead of hard parsing over time.
Note:
If parallel SQL statements are marked rolling invalid, then the database
performs a hard parse at next execution, regardless of whether the time
period has expired. In an Oracle Real Application Clusters (Oracle RAC)
environment, this technique ensures consistency between execution plans of
parallel execution servers and the query coordinator.
An analogy for rolling invalidation might be the gradual replacement of worn-out office
furniture. Instead of replacing all the furniture at once, forcing a substantial financial
outlay, a company assigns each piece a different expiration date. Over the course of a
year, a piece stays in use until it is replaced, at which point a cost is incurred.
Specification of Deferred Invalidation
By default, DDL specifies that statements accessing the object use immediate cursor
invalidation. For example, if you create a table or an index, then cursors that reference
this table or index use immediate invalidation.
If a DDL statement supports deferred cursor invalidation, then you can override the
default behavior by using statements such as
ALTER TABLE ... DEFERRED INVALIDATION
.
The options depend on the DDL statement. For example,
ALTER INDEX
only supports
DEFERRED INVALIDATION
when the
UNUSABLE
or
REBUILD
option is also specified.
An alternative to DDL is setting the
CURSOR_INVALIDATION
initialization parameter to
DEFERRED
at the session or system level. A DDL statement using the
IMMEDIATE
INVALIDATION
clause overrides the
DEFERRED
setting of the
CURSOR_INVALIDATION
initialization parameter.
When Rolling Invalidation Occurs
If the
DEFERRED INVALIDATION
attribute applies to an object, either as a result of DDL or
an initialization parameter setting, then statements that access the object may be
subject to deferred invalidation. The database marks shared SQL areas as rolling
invalid in either of the following circumstances:
•
DBMS_STATS
gathers statistics for a table, table cluster, or index when the
NO_INVALIDATE
parameter is set to
DBMS_STATS.AUTO_INVALIDATE
. This is the default
setting.
•One of the following statements is issued with
DEFERRED INVALIDATION
in
circumstances that do not prevent the use of deferred invalidation:
–
ALTER TABLE
on partitioned tables
Chapter 20
Overview of Cursor Sharing
20-18

–
ALTER TABLE ... PARALLEL
–
ALTER INDEX ... UNUSABLE
–
ALTER INDEX ... REBUILD
–
CREATE INDEX
–
DROP INDEX
–
TRUNCATE TABLE
on partitioned tables
A subset of DDL statements require immediate cursor invalidation for DML (
INSERT
,
UPDATE
,
DELETE
, or
MERGE
) but not
SELECT
statements. Many factors relating to the
specific DDL statements and affected cursors determine whether Oracle Database
uses deferred invalidation.
20.2 CURSOR_SHARING and Bind Variable Substitution
This topic explains what the
CURSOR_SHARING
initialization parameter is, and how setting
it to different values affects how Oracle Database uses bind variables.
This section contains the following topics:
•CURSOR_SHARING Initialization Parameter
The
CURSOR_SHARING
initialization parameter controls how the database processes
statements with bind variables.
•Parsing Behavior When CURSOR_SHARING = FORCE
When SQL statements use literals rather than bind variables, setting the
CURSOR_SHARING
initialization parameter to
FORCE
enables the database to replace
literals with system-generated bind variables. Using this technique, the database
can sometimes reduce the number of parent cursors in the shared SQL area.
20.2.1 CURSOR_SHARING Initialization Parameter
The
CURSOR_SHARING
initialization parameter controls how the database processes
statements with bind variables.
In Oracle Database 12c, the parameter supports the following values:
•
EXACT
This is the default value. The database enables only textually identical statements
to share a cursor. The database does not attempt to replace literal values with
system-generated bind variables. In this case, the optimizer generates a plan for
each statement based on the literal value.
•
FORCE
The database replaces all literals with system-generated bind variables. For
statements that are identical after the bind variables replace the literals, the
optimizer uses the same plan.
Note:
The
SIMILAR
value for
CURSOR_SHARING
is deprecated.
Chapter 20
CURSOR_SHARING and Bind Variable Substitution
20-19

You can set
CURSOR_SHARING
at the system or session level, or use the
CURSOR_SHARING_EXACT
hint at the statement level.
20.2.2 Parsing Behavior When CURSOR_SHARING = FORCE
When SQL statements use literals rather than bind variables, setting the
CURSOR_SHARING
initialization parameter to
FORCE
enables the database to replace literals
with system-generated bind variables. Using this technique, the database can
sometimes reduce the number of parent cursors in the shared SQL area.
Note:
If a statement uses an
ORDER BY
clause, then the database does not perform
literal replacement in the clause because it is not semantically correct to
consider the constant column number as a literal. The column number in the
ORDER BY
clause affects the query plan and execution, so the database
cannot share two cursors having different column numbers.
When
CURSOR_SHARING
is set to
FORCE
, the database performs the following steps during
the parse:
1. Copies all literals in the statement to the PGA, and replaces them with system-
generated bind variables
For example, an application could process the following statement:
SELECT SUBSTR(last_name, 1, 4), SUM(salary)
FROM hr.employees
WHERE employee_id < 101 GROUP BY last_name
The optimizer replaces literals, including the literals in the
SUBSTR
function, as
follows:
SELECT SUBSTR(last_name, :"SYS_B_0", :"SYS_B_1"), SUM(salary)
FROM hr.employees
WHERE employee_id < :"SYS_B_2" GROUP BY last_name
2. Searches for an identical statement (same SQL hash value) in the shared pool
If an identical statement is not found, then the database performs a hard parse.
Otherwise, the database proceeds to the next step.
3. Performs a soft parse of the statement
As the preceding steps indicate, setting the
CURSOR_SHARING
initialization parameter to
FORCE
does not reduce the parse count. Rather, in some cases,
FORCE
enables the
database to perform a soft parse instead of a hard parse. Also,
FORCE
does not the
prevent against SQL injection attacks because Oracle Database binds the values after
any injection has already occurred.
Example 20-11 Replacement of Literals with System Bind Variables
This example sets
CURSOR_SHARING
to
FORCE
at the session level, executes three
statements containing literals, and displays the plan for each statement:
ALTER SESSION SET CURSOR_SHARING=FORCE;
SET LINESIZE 170
Chapter 20
CURSOR_SHARING and Bind Variable Substitution
20-20

SET PAGESIZE 0
SELECT SUM(salary) FROM hr.employees WHERE employee_id < 101;
SELECT * FROM TABLE(DBMS_XPLAN.DISPLAY_CURSOR());
SELECT SUM(salary) FROM hr.employees WHERE employee_id < 120;
SELECT * FROM TABLE(DBMS_XPLAN.DISPLAY_CURSOR());
SELECT SUM(salary) FROM hr.employees WHERE employee_id < 165;
SELECT * FROM TABLE(DBMS_XPLAN.DISPLAY_CURSOR());
The following
DISPLAY_CURSOR
output, edited for readability, shows that all three
statements used the same plan. The optimizer chose the plan, an index range scan,
because it peeked at the first value (
101
) bound to the system bind variable, and
picked this plan as the best for all values. In fact, this plan is not the best plan for all
values. When the value is
165
, a full table scan is more efficient.
SQL_ID cxx8n1cxr9khn, child number 0
-------------------------------------
SELECT SUM(salary) FROM hr.employees WHERE employee_id < :"SYS_B_0"
Plan hash value: 2410354593
-------------------------------------------------------------------------------------
| Id | Operation | Name |Rows|Bytes|Cost(%CPU)|Time|
-------------------------------------------------------------------------------------
| 0 | SELECT STATEMENT | | | |2 (100)| |
| 1 | SORT AGGREGATE | |1 | 8 | | |
| 2 | TABLE ACCESS BY INDEX ROWID BATCHED| EMPLOYEES |1 | 8 |2 (0) |00:00:01|
|* 3 | INDEX RANGE SCAN | EMP_EMP_ID_PK |1 | |1 (0) |00:00:01|
-------------------------------------------------------------------------------------
Predicate Information (identified by operation id):
---------------------------------------------------
3 - access("EMPLOYEE_ID"<101)
A query of
V$SQLAREA
confirms that Oracle Database replaced with the literal with
system bind variable
:”SYS_B_0”
, and created one parent and one child cursor
(
VERSION_COUNT=1
) for all three statements, which means that all executions shared the
same plan.
COL SQL_TEXT FORMAT a36
SELECT SQL_TEXT, SQL_ID, VERSION_COUNT, HASH_VALUE
FROM V$SQLAREA
WHERE SQL_TEXT LIKE '%mployee%'
AND SQL_TEXT NOT LIKE '%SQL_TEXT%';
SQL_TEXT SQL_ID VERSION_COUNT HASH_VALUE
------------------------------------ ------------- ------------- ----------
SELECT SUM(salary) FROM hr.employees cxx8n1cxr9khn 1 997509652
WHERE employee_id < :"SYS_B_0"
20.3 Adaptive Cursor Sharing
The adaptive cursor sharing feature enables a single statement that contains bind
variables to use multiple execution plans.
Cursor sharing is "adaptive" because the cursor adapts its behavior so that the
database does not always use the same plan for each execution or bind variable
value. This section contains the following topics:
Chapter 20
Adaptive Cursor Sharing
20-21

•Purpose of Adaptive Cursor Sharing
With bind peeking, the optimizer peeks at the values of user-defined bind variables
on the first invocation of a cursor.
•How Adaptive Cursor Sharing Works: Example
Adaptive cursor sharing monitors statements that use bind variables to determine
whether a new plan is more efficient.
•Bind-Sensitive Cursors
A bind-sensitive cursor is a cursor whose optimal plan may depend on the value
of a bind variable.
•Bind-Aware Cursors
A bind-aware cursor is a bind-sensitive cursor that is eligible to use different
plans for different bind values.
•Cursor Merging
If the optimizer creates a plan for a bind-aware cursor, and if this plan is the same
as an existing cursor, then the optimizer can perform cursor merging.
•Adaptive Cursor Sharing Views
You can use the
V$
views for adaptive cursor sharing to see selectivity ranges,
cursor information (such as whether a cursor is bind-aware or bind-sensitive), and
execution statistics.
20.3.1 Purpose of Adaptive Cursor Sharing
With bind peeking, the optimizer peeks at the values of user-defined bind variables on
the first invocation of a cursor.
The optimizer determines the cardinality of any
WHERE
clause condition as if literals had
been used instead of bind variables. If a column in a
WHERE
clause has skewed data,
however, then a histogram may exist on this column. When the optimizer peeks at the
value of the user-defined bind variable and chooses a plan, this plan may not be good
for all values.
In adaptive cursor sharing, the database monitors data accessed over time for
different bind values, ensuring the optimal choice of cursor for a specific bind value.
For example, the optimizer might choose one plan for bind value
10
and a different
plan for bind value
50
. Cursor sharing is "adaptive" because the cursor adapts its
behavior so that the optimizer does not always choose the same plan for each
execution or bind variable value. Thus, the optimizer automatically detects when
different execution of a statement would benefit from different execution plans.
Note:
Adaptive cursor sharing is independent of the
CURSOR_SHARING
initialization
parameter. Adaptive cursor sharing is equally applicable to statements that
contain user-defined and system-generated bind variables. Adaptive cursor
sharing does not apply to statements that contain only literals.
20.3.2 How Adaptive Cursor Sharing Works: Example
Adaptive cursor sharing monitors statements that use bind variables to determine
whether a new plan is more efficient.
Chapter 20
Adaptive Cursor Sharing
20-22

Assume that an application executes the following statement five times, binding
different values every time:
SELECT * FROM employees WHERE salary = :sal AND department_id = :dept
Also assume in this example that a histogram exists on at least one of the columns in
the predicate. The database processes this statement as follows:
1. The application issues the statement for the first time, which causes a hard parse.
During the parse, the database performs the following tasks:
•Peeks at the bind variables to generate the initial plan.
•Marks the cursor as bind-sensitive. A bind-sensitive cursor is a cursor whose
optimal plan may depend on the value of a bind variable. To determine
whether a different plan is beneficial, the database monitors the behavior of a
bind-sensitive cursor that uses different bind values.
•Stores metadata about the predicate, including the cardinality of the bound
values (in this example, assume that only 5 rows were returned).
•Creates an execution plan (in this example, index access) based on the
peeked values.
2. The database executes the cursor, storing the bind values and execution statistics
in the cursor.
3. The application issues the statement a second time, using different bind variables,
causing the database to perform a soft parse, and find the matching cursor in the
library cache.
4. The database executes the cursor.
5. The database performs the following post-execution tasks:
a. The database compares the execution statistics for the second execution with
the first-execution statistics.
b. The database observes the pattern of statistics over all previous executions,
and then decides whether to mark the cursor as a bind-aware cursor. In this
example, assume that the database decides the cursor is bind-aware.
6. The application issues the statement a third time, using different bind variables,
which causes a soft parse. Because the cursor is bind-aware, the database does
the following:
•Determines whether the cardinality of the new values falls within the same
range as the stored cardinality. In this example, the cardinality is similar: 8
rows instead of 5 rows.
•Reuses the execution plan in the existing child cursor.
7. The database executes the cursor.
8. The application issues the statement a fourth time, using different bind variables,
causing a soft parse. Because the cursor is bind-aware, the database does the
following:
•Determines whether the cardinality of the new values falls within the same
range as the stored cardinality. In this example, the cardinality is vastly
different: 102 rows (in a table with 107 rows) instead of 5 rows.
•Does not find a matching child cursor.
9. The database performs a hard parse. As a result, the database does the following:
Chapter 20
Adaptive Cursor Sharing
20-23

•Creates a new child cursor with a second execution plan (in this example, a
full table scan)
•Stores metadata about the predicate, including the cardinality of the bound
values, in the cursor
10. The database executes the new cursor.
11. The database stores the new bind values and execution statistics in the new child
cursor.
12. The application issues the statement a fifth time, using different bind variables,
which causes a soft parse. Because the cursor is bind-aware, the database does
the following:
•Determines whether the cardinality of the new values falls within the same
range as the stored cardinality. In this example, the cardinality is 20.
•Does not find a matching child cursor.
13. The database performs a hard parse. As a result, the database does the following:
a. Creates a new child cursor with a third execution plan (in this example, index
access)
b. Determines that this index access execution plan is the same as the index
access execution plan used for the first execution of the statement
c. Merges the two child cursors containing index access plans, which involves
storing the combined cardinality statistics into one child cursor, and deleting
the other one
14. The database executes the cursor using the index access execution plan.
20.3.3 Bind-Sensitive Cursors
A bind-sensitive cursor is a cursor whose optimal plan may depend on the value of a
bind variable.
The database has examined the bind value when computing cardinality, and considers
the query “sensitive” to plan changes based on different bind values. The database
monitors the behavior of a bind-sensitive cursor that uses different bind values to
determine whether a different plan is beneficial.
The optimizer uses the following criteria to decide whether a cursor is bind-sensitive:
•The optimizer has peeked at the bind values to generate cardinality estimates.
•The bind is used in an equality or a range predicate.
For each execution of the query with a new bind value, the database records the
execution statistics for the new value and compares them to the execution statistics for
the previous value. If execution statistics vary greatly, then the database marks the
cursor bind-aware.
Example 20-12 Column with Significant Data Skew
This example assumes that the
hr.employees.department_id
column has significant
data skew.
SYSTEM
executes the following setup code, which adds 100,000 employees
in department 50 to the
employees
table in the sample schema, for a total of 100,107
rows, and then gathers table statistics:
Chapter 20
Adaptive Cursor Sharing
20-24

DELETE FROM hr.employees WHERE employee_id > 999;
ALTER TABLE hr.employees DISABLE NOVALIDATE CONSTRAINT emp_email_uk;
DECLARE
v_counter NUMBER(7) := 1000;
BEGIN
FOR i IN 1..100000 LOOP
INSERT INTO hr.employees
VALUES (v_counter,null,'Doe','Doe@example.com',null,'07-
JUN-02','AC_ACCOUNT',null,null,null,50);
v_counter := v_counter + 1;
END LOOP;
END;
/
COMMIT;
EXEC DBMS_STATS.GATHER_TABLE_STATS ( ownname => 'hr', tabname => 'employees');
ALTER SYSTEM FLUSH SHARED_POOL;
The following query shows a histogram on the
employees.department_id
column:
COL TABLE_NAME FORMAT a15
COL COLUMN_NAME FORMAT a20
COL HISTOGRAM FORMAT a9
SELECT TABLE_NAME, COLUMN_NAME, HISTOGRAM
FROM DBA_TAB_COLS
WHERE OWNER = 'HR'
AND TABLE_NAME = 'EMPLOYEES'
AND COLUMN_NAME = 'DEPARTMENT_ID';
TABLE_NAME COLUMN_NAME HISTOGRAM
--------------- -------------------- ---------
EMPLOYEES DEPARTMENT_ID FREQUENCY
Example 20-13 Low-Cardinality Query
This example continues the example in Example 20-12. The following query shows
that the value
10
has extremely low cardinality for the column
department_id
,
occupying .00099% of the rows:
VARIABLE dept_id NUMBER
EXEC :dept_id := 10;
SELECT COUNT(*), MAX(employee_id) FROM hr.employees WHERE department_id = :dept_id;
COUNT(*) MAX(EMPLOYEE_ID)
---------- ----------------
1 200
The optimizer chooses an index range scan, as expected for such a low-cardinality
query:
SQL> SELECT * FROM TABLE(DBMS_XPLAN.DISPLAY_CURSOR);
PLAN_TABLE_OUTPUT
-------------------------------------
SQL_ID a9upgaqqj7bn5, child number 0
-------------------------------------
select COUNT(*), MAX(employee_id) FROM hr.employees WHERE department_id = :dept_id
Chapter 20
Adaptive Cursor Sharing
20-25

Plan hash value: 1642965905
-------------------------------------------------------------------------------------
| Id| Operation | Name |Rows|Bytes|Cost (%CPU)|Time |
-------------------------------------------------------------------------------------
| 0| SELECT STATEMENT | | | |2(100)| |
| 1| SORT AGGREGATE | |1 |8 | | |
| 2| TABLE ACCESS BY INDEX ROWID BATCHED| EMPLOYEES |1 |8 |2 (0)|00:00:01|
|*3| INDEX RANGE SCAN | EMP_DEPARTMENT_IX |1 | |1 (0)|00:00:01|
-------------------------------------------------------------------------------------
Predicate Information (identified by operation id):
---------------------------------------------------
3 - access("DEPARTMENT_ID"=:DEPT_ID)
The following query of
V$SQL
obtains information about the cursor:
COL BIND_AWARE FORMAT a10
COL SQL_TEXT FORMAT a22
COL CHILD# FORMAT 99999
COL EXEC FORMAT 9999
COL BUFF_GETS FORMAT 999999999
COL BIND_SENS FORMAT a9
COL SHARABLE FORMAT a9
SELECT SQL_TEXT, CHILD_NUMBER AS CHILD#, EXECUTIONS AS EXEC,
BUFFER_GETS AS BUFF_GETS, IS_BIND_SENSITIVE AS BIND_SENS,
IS_BIND_AWARE AS BIND_AWARE, IS_SHAREABLE AS SHARABLE
FROM V$SQL
WHERE SQL_TEXT LIKE '%mployee%'
AND SQL_TEXT NOT LIKE '%SQL_TEXT%';
SQL_TEXT CHILD# EXEC BUFF_GETS BIND_SENS BIND_AWARE SHARABLE
---------------------- ------ ----- ---------- --------- ---------- --------
SELECT COUNT(*), MAX(e 0 1 196 Y N Y
mployee_id) FROM hr.em
ployees WHERE departme
nt_id = :dept_id
The preceding output shows one child cursor that has been executed once for the low-
cardinality query. The cursor has been marked bind-sensitive because the optimizer
believes the optimal plan may depend on the value of the bind variable.
When a cursor is marked bind-sensitive, Oracle Database monitors the behavior of the
cursor using different bind values, to determine whether a different plan for different
bind values is more efficient. The database marked this cursor bind-sensitive because
the optimizer used the histogram on the
department_id
column to compute the
selectivity of the predicate
WHERE department_id = :dept_id
. Because the presence of
the histogram indicates that the column is skewed, different values of the bind variable
may require different plans.
Example 20-14 High-Cardinality Query
This example continues the example in Example 20-13. The following code re-
executes the same query using the value
50
, which occupies 99.9% of the rows:
EXEC :dept_id := 50;
SELECT COUNT(*), MAX(employee_id) FROM hr.employees WHERE department_id = :dept_id;
Chapter 20
Adaptive Cursor Sharing
20-26

COUNT(*) MAX(EMPLOYEE_ID)
---------- ----------------
100045 100999
Even though such an unselective query would be more efficient with a full table scan,
the optimizer chooses the same index range scan used for
department_id=10
. This
reason is that the database assumes that the existing plan in the cursor can be
shared:
SQL> SELECT * FROM TABLE(DBMS_XPLAN.DISPLAY_CURSOR);
PLAN_TABLE_OUTPUT
-------------------------------------
SQL_ID a9upgaqqj7bn5, child number 0
-------------------------------------
SELECT COUNT(*), MAX(employee_id) FROM hr.employees WHERE department_id = :dept_id
Plan hash value: 1642965905
-------------------------------------------------------------------------------------
| Id| Operation | Name |Rows|Bytes|Cost (%CPU)|Time |
-------------------------------------------------------------------------------------
| 0| SELECT STATEMENT | | | |2(100)| |
| 1| SORT AGGREGATE | |1 |8 | | |
| 2| TABLE ACCESS BY INDEX ROWID BATCHED| EMPLOYEES |1 |8 |2 (0)|00:00:01|
|*3| INDEX RANGE SCAN | EMP_DEPARTMENT_IX |1 | |1 (0)|00:00:01|
-------------------------------------------------------------------------------------
Predicate Information (identified by operation id):
---------------------------------------------------
3 - access("DEPARTMENT_ID"=:DEPT_ID)
A query of
V$SQL
shows that the child cursor has now been executed twice:
SELECT SQL_TEXT, CHILD_NUMBER AS CHILD#, EXECUTIONS AS EXEC,
BUFFER_GETS AS BUFF_GETS, IS_BIND_SENSITIVE AS BIND_SENS,
IS_BIND_AWARE AS BIND_AWARE, IS_SHAREABLE AS SHARABLE
FROM V$SQL
WHERE SQL_TEXT LIKE '%mployee%'
AND SQL_TEXT NOT LIKE '%SQL_TEXT%';
SQL_TEXT CHILD# EXEC BUFF_GETS BIND_SENS BIND_AWARE SHARABLE
---------------------- ------ ----- ---------- --------- ---------- --------
SELECT COUNT(*), MAX(e 0 2 1329 Y N Y
mployee_id) FROM hr.em
ployees WHERE departme
nt_id = :dept_id
At this stage, the optimizer has not yet marked the cursor as bind-aware.
20.3.4 Bind-Aware Cursors
A bind-aware cursor is a bind-sensitive cursor that is eligible to use different plans for
different bind values.
After a cursor has been made bind-aware, the optimizer chooses plans for future
executions based on the bind value and its cardinality estimate. Thus, “bind-aware”
means essentially “best plan for the current bind value.”
Chapter 20
Adaptive Cursor Sharing
20-27

When a statement with a bind-sensitive cursor executes, the optimizer uses an internal
algorithm to determine whether to mark the cursor bind-aware. The decision depends
on whether the cursor produces significantly different data access patterns for different
bind values, resulting in a performance cost that differs from expectations.
If the database marks the cursor bind-aware, then the next time that the cursor
executes the database does the following:
•Generates a new plan based on the bind value
•Marks the original cursor generated for the statement as not sharable
(
V$SQL.IS_SHAREABLE
is
N
). The original cursor is no longer usable and is eligible to
age out of the library cache
When the same query repeatedly executes with different bind values, the database
adds new bind values to the “signature” of the SQL statement (which includes the
optimizer environment, NLS settings, and so on), and categorizes the values. The
database examines the bind values, and considers whether the current bind value
results in a significantly different data volume, or whether an existing plan is sufficient.
The database does not need to create a new plan for each new value.
Consider a scenario in which you execute a statement with 12 distinct bind values
(executing each distinct value twice), which causes the database to trigger 5 hard
parses, and create 2 additional plans. Because the database performs 5 hard parses,
it creates 5 new child cursors, even though some cursors have the same execution
plan as existing cursors. The database marks the superfluous cursors as not usable,
which means these cursors eventually age out of the library cache.
During the initial hard parses, the optimizer is essentially mapping out the relationship
between bind values and the appropriate execution plan. After this initial period, the
database eventually reaches a steady state. Executing with a new bind value results in
picking the best child cursor in the cache, without requiring a hard parse. Thus, the
number of parses does not scale with the number of different bind values.
Example 20-15 Bind-Aware Cursors
This example continues the example in "Bind-Sensitive Cursors". The following code
issues a second query
employees
with the bind variable set to
50
:
EXEC :dept_id := 50;
SELECT COUNT(*), MAX(employee_id) FROM hr.employees WHERE department_id = :dept_id;
COUNT(*) MAX(EMPLOYEE_ID)
---------- ----------------
100045 100999
During the first two executions, the database was monitoring the behavior of the
queries, and determined that the different bind values caused the queries to differ
significantly in cardinality. Based on this difference, the database adapts its behavior
so that the same plan is not always shared for this query. Thus, the optimizer
generates a new plan based on the current bind value, which is
50
:
SQL> SELECT * FROM TABLE(DBMS_XPLAN.DISPLAY_CURSOR);
PLAN_TABLE_OUTPUT
-------------------------------------
SQL_ID a9upgaqqj7bn5, child number 1
-------------------------------------
SELECT COUNT(*), MAX(employee_id) FROM hr.employees WHERE department_id = :dept_id
Chapter 20
Adaptive Cursor Sharing
20-28

Plan hash value: 1756381138
-----------------------------------------------------------------------------
| Id | Operation | Name | Rows | Bytes | Cost(%CPU)| Time |
-----------------------------------------------------------------------------
| 0 | SELECT STATEMENT | | | |254 (100)| |
| 1 | SORT AGGREGATE | | 1 | 8 | | |
|* 2 | TABLE ACCESS FULL| EMPLOYEES | 100K | 781K |254 (15)| 00:00:01 |
-----------------------------------------------------------------------------
Predicate Information (identified by operation id):
---------------------------------------------------
2 - filter("DEPARTMENT_ID"=:DEPT_ID)
The following query of
V$SQL
obtains information about the cursor:
SELECT SQL_TEXT, CHILD_NUMBER AS CHILD#, EXECUTIONS AS EXEC,
BUFFER_GETS AS BUFF_GETS, IS_BIND_SENSITIVE AS BIND_SENS,
IS_BIND_AWARE AS BIND_AWARE, IS_SHAREABLE AS SHAREABLE
FROM V$SQL
WHERE SQL_TEXT LIKE '%mployee%'
AND SQL_TEXT NOT LIKE '%SQL_TEXT%';
SQL_TEXT CHILD# EXEC BUFF_GETS BIND_SENS BIND_AWARE SHAREABLE
---------------------- ------ ----- ---------- --------- ---------- ---------
SELECT COUNT(*), MAX(e 0 2 1329 Y N N
mployee_id) FROM hr.em
ployees WHERE departme
nt_id = :dept_id
SELECT COUNT(*), MAX(e 1 1 800 Y Y Y
mployee_id) FROM hr.em
ployees WHERE departme
nt_id = :dept_id
The preceding output shows that the database created an additional child cursor
(
CHILD#
of
1
). Cursor
0
is now marked as not shareable. Cursor
1
shows a number of
buffers gets lower than cursor
0
, and is marked both bind-sensitive and bind-aware. A
bind-aware cursor may use different plans for different bind values, depending on the
selectivity of the predicates containing the bind variable.
Example 20-16 Bind-Aware Cursors: Choosing the Optimal Plan
This example continues the example in "Example 20-15". The following code executes
the same
employees
query with the value of
10
, which has extremely low cardinality
(only one row):
EXEC :dept_id := 10;
SELECT COUNT(*), MAX(employee_id) FROM hr.employees WHERE department_id = :dept_id;
COUNT(*) MAX(EMPLOYEE_ID)
---------- ----------------
1 200
The following output shows that the optimizer picked the best plan, which is an index
scan, based on the low cardinality estimate for the current bind value of
10
:
SQL> SELECT * from TABLE(DBMS_XPLAN.DISPLAY_CURSOR);
PLAN_TABLE_OUTPUT
Chapter 20
Adaptive Cursor Sharing
20-29

-------------------------------------
SQL_ID a9upgaqqj7bn5, child number 2
-------------------------------------
select COUNT(*), MAX(employee_id) FROM hr.employees WHERE department_id = :dept_id
Plan hash value: 1642965905
-------------------------------------------------------------------------------------
| Id| Operation | Name |Rows|Bytes|Cost (%CPU)|Time |
-------------------------------------------------------------------------------------
| 0| SELECT STATEMENT | | | |2(100)| |
| 1| SORT AGGREGATE | |1 |8 | | |
| 2| TABLE ACCESS BY INDEX ROWID BATCHED| EMPLOYEES |1 |8 |2 (0)|00:00:01|
|*3| INDEX RANGE SCAN | EMP_DEPARTMENT_IX | 1| |1 (0)|00:00:01|
-------------------------------------------------------------------------------------
Predicate Information (identified by operation id):
---------------------------------------------------
3 - access("DEPARTMENT_ID"=:DEPT_ID)
The
V$SQL
output now shows that three child cursors exist:
SELECT SQL_TEXT, CHILD_NUMBER AS CHILD#, EXECUTIONS AS EXEC,
BUFFER_GETS AS BUFF_GETS, IS_BIND_SENSITIVE AS BIND_SENS,
IS_BIND_AWARE AS BIND_AWARE, IS_SHAREABLE AS SHAREABLE
FROM V$SQL
WHERE SQL_TEXT LIKE '%mployee%'
AND SQL_TEXT NOT LIKE '%SQL_TEXT%';
SQL_TEXT CHILD# EXEC BUFF_GETS BIND_SENS BIND_AWARE SHAREABLE
---------------------- ------ ----- ---------- --------- ---------- ---------
SELECT COUNT(*), MAX(e 0 2 1329 Y N N
mployee_id) FROM hr.em
ployees WHERE departme
nt_id = :dept_id
SELECT COUNT(*), MAX(e 1 1 800 Y Y Y
mployee_id) FROM hr.em
ployees WHERE departme
nt_id = :dept_id
SELECT COUNT(*), MAX(e 2 1 3 Y Y Y
mployee_id) FROM hr.em
ployees WHERE departme
nt_id = :dept_id
The database discarded the original cursor (
CHILD#
of
0
) when the cursor switched to
bind-aware mode. This is a one-time overhead. The database marked cursor
0
as not
shareable (
SHAREABLE
is
N
), which means that this cursor is unusable and will be among
the first to age out of the cursor cache.
20.3.5 Cursor Merging
If the optimizer creates a plan for a bind-aware cursor, and if this plan is the same as
an existing cursor, then the optimizer can perform cursor merging.
Chapter 20
Adaptive Cursor Sharing
20-30

In this case, the database merges cursors to save space in the library cache. The
database increases the selectivity range for the cursor to include the selectivity of the
new bind value.
When a query uses a new bind variable, the optimizer tries to find a cursor that it
thinks is a good fit based on similarity in the selectivity of the bind value. If the
database cannot find such a cursor, then it creates a new one. If the plan for the new
cursor is the same as one of the existing cursors, then the database merges the two
cursors to save space in the library cache. The merge results in the database marking
one cursor as not sharable. If the library cache is under space pressure, then the
database ages out the non-sharable cursor first.
20.3.6 Adaptive Cursor Sharing Views
You can use the
V$
views for adaptive cursor sharing to see selectivity ranges, cursor
information (such as whether a cursor is bind-aware or bind-sensitive), and execution
statistics.
Specifically, use the following views:
•
V$SQL
shows whether a cursor is bind-sensitive or bind-aware.
•
V$SQL_CS_HISTOGRAM
shows the distribution of the execution count across a three-
bucket execution history histogram.
•
V$SQL_CS_SELECTIVITY
shows the selectivity ranges stored for every predicate
containing a bind variable if the selectivity was used to check cursor sharing. It
contains the text of the predicates, and the low and high values for the selectivity
ranges.
•
V$SQL_CS_STATISTICS
summarizes the information that the optimizer uses to
determine whether to mark a cursor bind-aware. For a sample of executions, the
database tracks the rows processed, buffer gets, and CPU time. The
PEEKED
column shows
YES
when the bind set was used to build the cursor; otherwise, the
value is
NO
.
20.4 Real-World Performance Guidelines for Cursor Sharing
The Real-World Performance team has created guidelines for how to optimize cursor
sharing in Oracle database applications.
This section contains the following topics:
•Develop Applications with Bind Variables for Security and Performance
The Real-World Performance group strongly suggests that all enterprise
applications use bind variables.
•Do Not Use CURSOR_SHARING = FORCE as a Permanent Fix
The best practice is to write sharable SQL and use the default of
EXACT
for
CURSOR_SHARING
.
•Establish Coding Conventions to Increase Cursor Reuse
By default, any variation in the text of two SQL statements prevents the database
from sharing a cursor, including the names of bind variables. Also, changes in the
size of bind variables can cause cursor mismatches. For this reason, using bind
variables in application code is not enough to guarantee cursor sharing.
Chapter 20
Real-World Performance Guidelines for Cursor Sharing
20-31

•Minimize Session-Level Changes to the Optimizer Environment
A best practice is to prevent users of the application from changing the
optimization approach and goal for their individual sessions. Any changes to the
optimizer environment can prevent otherwise identical statements from sharing
cursors.
20.4.1 Develop Applications with Bind Variables for Security and
Performance
The Real-World Performance group strongly suggests that all enterprise applications
use bind variables.
Oracle Database applications were intended to be written with bind variables. Avoid
application designs that result in large numbers of users issuing dynamic, unshared
SQL statements.
Whenever Oracle Database fails to find a match for a statement in the library cache, it
must perform a hard parse. Despite the dangers of developing applications with
literals, not all real-world applications use bind variables. Developers sometimes find
that it is faster and easier to write programs that use literals. However, decreased
development time does not lead to better performance and security after deployment.
Video:
Video
The primary benefits of using bind variables are as follows:
•Resource efficiency
Compiling a program before every execution does not use resources efficiently,
but this is essentially what Oracle Database does when it performs a hard parse.
The database server must expend significant CPU and memory to create cursors,
generate and evaluate execution plans, and so on. By enabling the database to
share cursors, soft parsing consumes far fewer resources. If an application uses
literals instead of bind variables, but executes only a few queries each day, then
DBAs may not perceive the extra overhead as a performance problem. However, if
an application executes hundreds or thousands of queries per second, then the
extra resource overhead can easily degrade performance to unacceptable levels.
Using bind variables enables the database to perform a hard parse only once, no
matter how many times the statement executes.
•Scalability
When the database performs a hard parse, the database spends more time
acquiring and holding latches in the shared pool and library cache. Latches are
low-level serialization devices. The longer and more frequently the database
latches structures in shared memory, the longer the queue for these latches
becomes. When multiple statements share the same execution plan, the requests
for latches and the durations of latches go down. This behavior increases
scalability.
•Throughput and response time
Chapter 20
Real-World Performance Guidelines for Cursor Sharing
20-32

When the database avoids constantly reparsing and creating cursors, more of its
time is spent in user space. The Real-World Performance group has found that
changing literals to use binds often leads to orders of magnitude improvements in
throughput and user response time.
Video:
Video
•Security
The only way to prevent SQL injection attacks is to use bind variables. Malicious
users can exploit application that concatenate strings by “injecting” code into the
application.
20.4.2 Do Not Use CURSOR_SHARING = FORCE as a Permanent
Fix
The best practice is to write sharable SQL and use the default of
EXACT
for
CURSOR_SHARING
.
However, for applications with many similar statements, setting
CURSOR_SHARING
to
FORCE
can sometimes significantly improve cursor sharing. The replacement of literals with
system-generated bind values can lead to reduced memory usage, faster parses, and
reduced latch contention. However,
FORCE
is not meant to be a permanent development
solution.
As a general guideline, the Real-World Performance group recommends against
setting
CURSOR_SHARING
to
FORCE
exception in rare situations, and then only when all of
the following conditions are met:
•Statements in the shared pool differ only in the values of literals.
•Response time is suboptimal because of a very high number of library cache
misses.
•Your existing code has a serious security and scalability bug—the absence of bind
variables—and you need a temporary band-aid until the source code can be fixed.
•You set this initialization parameter at the session level and not at the instance
level.
Setting
CURSOR_SHARING
to
FORCE
has the following drawbacks:
•It indicates that the application does not use user-defined bind variables, which
means that it is open to SQL injection. Setting
CURSOR_SHARING
to
FORCE
does not fix
SQL injection bugs or render the code any more secure. The database binds
values only after any malicious SQL text has already been injected.
Video:
Video
Chapter 20
Real-World Performance Guidelines for Cursor Sharing
20-33

•The database must perform extra work during the soft parse to find a similar
statement in the shared pool.
•The database removes every literal, which means that it can remove useful
information. For example, the database strips out literal values in
SUBSTR
and
TO_DATE
functions. The use of system-generated bind variables where literals are
more optimal can have a negative impact on execution plans.
•There is an increase in the maximum lengths (as returned by
DESCRIBE
) of any
selected expressions that contain literals in a
SELECT
statement. However, the
actual length of the data returned does not change.
•Star transformation is not supported.
20.4.3 Establish Coding Conventions to Increase Cursor Reuse
By default, any variation in the text of two SQL statements prevents the database from
sharing a cursor, including the names of bind variables. Also, changes in the size of
bind variables can cause cursor mismatches. For this reason, using bind variables in
application code is not enough to guarantee cursor sharing.
The Real-World Performance group recommends that you standardize spacing and
capitalization conventions for SQL statements and PL/SQL blocks. Also establish
conventions for the naming and definitions of bind variables. If the database does not
share cursors as expected, begin your diagnosis by querying
V$SQL_SHARED_CURSOR
.
Example 20-17 Variations in SQL Text
In this example, an application that uses bind variables executes 7 statements using
the same bind variable value, but the statements are not textually identical:
VARIABLE emp_id NUMBER
EXEC :emp_id := 101;
SELECT SUM(salary) FROM hr.employees WHERE employee_id < :emp_id;
SELECT SUM(salary) FROM hr.employees WHERE employee_id < :EMP_ID;
SELECT SUM(salary) FROM hr.employees WHERE employee_id < :Emp_Id;
SELECT SUM(salary) FROM hr.employees WHERE employee_id < :emp_id;
select sum(salary) from hr.employees where employee_id < :emp_id;
Select sum(salary) From hr.employees Where employee_id < :emp_id;
Select sum(salary) From hr.employees Where employee_id< :emp_id;
A query of
V$SQLAREA
shows that no cursor sharing occurred:
COL SQL_TEXT FORMAT a35
SELECT SQL_TEXT, SQL_ID, VERSION_COUNT, HASH_VALUE
FROM V$SQLAREA
WHERE SQL_TEXT LIKE '%mployee%'
AND SQL_TEXT NOT LIKE '%SQL_TEXT%';
SQL_TEXT SQL_ID VERSION_COUNT HASH_VALUE
----------------------------------- ------------- ------------- ----------
SELECT SUM(salary) FROM hr.employee bkrfu3ggu5315 1 3751971877
s WHERE employee_id < :EMP_ID
SELECT SUM(salary) FROM hr.employee 70mdtwh7xj9gv 1 265856507
s WHERE employee_id < :Emp_Id
Select sum(salary) From hr.employee 18tt4ny9u5wkt 1 2476929625
s Where employee_id< :emp_id
SELECT SUM(salary) FROM hr.employe b6b21tbyaf8aq 1 4238811478
Chapter 20
Real-World Performance Guidelines for Cursor Sharing
20-34

es WHERE employee_id < :emp_id
SELECT SUM(salary) FROM hr.employee 4318cbskba8yh 1 615850960
s WHERE employee_id < :emp_id
select sum(salary) from hr.employee 633zpx3xm71kj 1 4214457937
s where employee_id < :emp_id
Select sum(salary) From hr.employee 1mqbbbnsrrw08 1 830205960
s Where employee_id < :emp_id
7 rows selected.
Example 20-18 Bind Length Mismatch
The following code defines a bind variable with different lengths, and then executes
textually identical statements with the same bind values:
VARIABLE lname VARCHAR2(20)
EXEC :lname := 'Taylor';
SELECT SUM(salary) FROM hr.employees WHERE last_name = :lname;
VARIABLE lname VARCHAR2(100)
EXEC :lname := 'Taylor';
SELECT SUM(salary) FROM hr.employees WHERE last_name = :lname;
The following query shows that the database did not share the cursor:
COL SQL_TEXT FORMAT a35
SELECT SQL_TEXT, SQL_ID, VERSION_COUNT, HASH_VALUE
FROM V$SQLAREA
WHERE SQL_TEXT LIKE '%mployee%'
AND SQL_TEXT NOT LIKE '%SQL_TEXT%';
SQL_TEXT SQL_ID VERSION_COUNT HASH_VALUE
----------------------------------- ------------- ------------- ----------
SELECT SUM(salary) FROM hr.employee buh8j4557r0h1 2 1249608193
s WHERE last_name = :lname
The reason is because of the bind lengths:
COL BIND_LENGTH_UPGRADEABLE FORMAT a15
SELECT s.SQL_TEXT, s.CHILD_NUMBER,
c.BIND_LENGTH_UPGRADEABLE
FROM V$SQL s, V$SQL_SHARED_CURSOR c
WHERE SQL_TEXT LIKE '%employee%'
AND SQL_TEXT NOT LIKE '%SQL_TEXT%'
AND s.CHILD_ADDRESS = c.CHILD_ADDRESS;
SQL_TEXT CHILD_NUMBER BIND_LENGTH_UPG
----------------------------------- ------------ ---------------
SELECT SUM(salary) FROM hr.employee 0 N
s WHERE last_name = :lname
SELECT SUM(salary) FROM hr.employee 1 Y
s WHERE last_name = :lname
20.4.4 Minimize Session-Level Changes to the Optimizer Environment
A best practice is to prevent users of the application from changing the optimization
approach and goal for their individual sessions. Any changes to the optimizer
environment can prevent otherwise identical statements from sharing cursors.
Chapter 20
Real-World Performance Guidelines for Cursor Sharing
20-35

Example 20-19 Environment Mismatches
This example shows two textually identical statements that nevertheless do not share
a cursor:
VARIABLE emp_id NUMBER
EXEC :emp_id := 110;
ALTER SESSION SET OPTIMIZER_MODE = FIRST_ROWS;
SELECT salary FROM hr.employees WHERE employee_id < :emp_id;
ALTER SESSION SET OPTIMIZER_MODE = ALL_ROWS;
SELECT salary FROM hr.employees WHERE employee_id < :emp_id;
A query of
V$SQL_SHARED_CURSOR
shows a mismatch in the optimizer modes:
SELECT S.SQL_TEXT, S.CHILD_NUMBER, s.CHILD_ADDRESS,
C.OPTIMIZER_MODE_MISMATCH
FROM V$SQL S, V$SQL_SHARED_CURSOR C
WHERE SQL_TEXT LIKE '%employee%'
AND SQL_TEXT NOT LIKE '%SQL_TEXT%'
AND S.CHILD_ADDRESS = C.CHILD_ADDRESS;
SQL_TEXT CHILD_NUMBER CHILD_ADDRESS O
----------------------------------- ------------ ---------------- -
SELECT salary FROM hr.employees WHE 0 0000000080293040 N
RE employee_id < :emp_id
SELECT salary FROM hr.employees WHE 1 000000008644E888 Y
RE employee_id < :emp_id
Chapter 20
Real-World Performance Guidelines for Cursor Sharing
20-36

Part VII
Monitoring and Tracing SQL
Use
DBMS_MONITOR
to track database operations, SQL Test Case Builder to package
information relating to a performance problem, and SQL Trace to generate diagnostic
data for problem SQL statements.
This part contains the following chapters:
•Monitoring Database Operations
This chapter describes how to monitor SQL and PL/SQL.
•Gathering Diagnostic Data with SQL Test Case Builder
SQL Test Case Builder is a tool that automatically gathers information needed to
reproduce the problem in a different database instance.
•Performing Application Tracing
This chapter explains what end-to-end application tracing is, and how to generate
and read trace files.

21
Monitoring Database Operations
This chapter describes how to monitor SQL and PL/SQL.
This chapter contains the following topics:
•About Monitoring Database Operations
A database operation is a user-defined logical object that includes session
activity between two points in time.
•Enabling and Disabling Monitoring of Database Operations
Use initialization parameters to enable or disable monitoring.
•Creating a Database Operation
Creating a database operation involves supplying a name and defining its
beginning and end times.
•Monitoring SQL Executions Using Cloud Control
By default, AWR automatically captures SQL monitoring reports in XML format.
•Monitoring Database Operations: Scenarios
In these scenarios, you report on both simple and composite database operations.
21.1 About Monitoring Database Operations
A database operation is a user-defined logical object that includes session activity
between two points in time.
A database operation contains a set of database tasks. A typical task might be a batch
job or Extraction, Transformation, and Loading (ETL) processing job.
A database operation is uniquely identified by its name and execution ID. Each
operation can be executed many times. Each execution of an operation is uniquely
identifiable.
Real-Time Database Operations provides the ability to monitor composite operations
automatically. The database automatically monitors parallel queries, DML, and DDL
statements as soon as execution begins. By default, Real-Time SQL Monitoring
automatically starts when a SQL statement runs in parallel, or when it has consumed
at least 5 seconds of CPU or I/O time in a single execution.
The SQL monitoring feature is enabled by default when the
STATISTICS_LEVEL
initialization parameter is either set to
TYPICAL
(the default value) or
ALL
. Using the
DBMS_SQL_MONITOR
package, you can start and stop, monitor, and report on database
operations.
This section contains the following topics:
•Purpose of Monitoring Database Operations
Real-Time SQL Monitoring enables you to monitor a single SQL statement or
PL/SQL program unit.
21-1

•Database Operation Monitoring Concepts
The
DBMS_SQL_MONITOR
package is the key component of the architecture for
database operations.
•User Interfaces for Database Operations Monitoring
You can monitor database operations from the command line or by using Cloud
Control.
•Basic Tasks in Database Operations Monitoring
This section explains the basic tasks in database operations monitoring.
See Also:
Oracle Database Concepts for a brief conceptual overview of database
operations
21.1.1 Purpose of Monitoring Database Operations
Real-Time SQL Monitoring enables you to monitor a single SQL statement or PL/SQL
program unit.
Database operations extend Real-Time SQL Monitoring by enabling you to treat a set
of statements or procedures as a named, uniquely identified, and re-executable unit. In
general, monitoring database operations is useful for the following users:
•DBAs whose responsibilities include identifying expensive (high response time)
SQL statements and PL/SQL functions
•DBAs who manage batch jobs in a data warehouse or OLTP system
•Application or database developers who need to monitor the activities related to
particular operations, for example, Oracle Data Pump operations
Monitoring database operations is useful for performing the following tasks:
•Tracking and reporting
Tracking requires first defining a database operation, for example, though
DBMS_SQL_MONITOR
, OCI, or JDBC APIs. You can define an operation from a different
session from the one that you are currently using. The database infrastructure
determines what to track on behalf of the defined operation.
You can generate reports on the operation. For example, your tuning task may
involve determining which SQL statements run on behalf of a specific batch job,
what their execution statistics were, what was occurring in the database when the
operation was executing, and so on.
•Monitoring execution progress
This task involves monitoring a currently executing database operation. The
information is particularly useful when you are investigating why an operation is
taking a long time to complete.
•Monitoring resource usage
You may want to detect when a SQL execution uses excessive CPU, issues an
excessive amount of I/O, or takes a long time to complete. With Oracle Database
Resource Manager (the Resource Manager), you can configure thresholds for
Chapter 21
About Monitoring Database Operations
21-2

each consumer group that specify the maximum resource usage for all SQL
executions in the group. When a SQL operation reaches a specified threshold, the
Resource Manager can switch the operation into a lower-priority consumer group,
terminate the session or call, or log the event. You can then monitor these SQL
operations.
•Tuning for response time
When tuning a database operation, you typically aim to improve the response
time. Often the database operation performance issues are mainly SQL
performance issues.
This section contains the following topics:
21.1.2 Database Operation Monitoring Concepts
The
DBMS_SQL_MONITOR
package is the key component of the architecture for database
operations.
This section contains the following topics:
•About the Architecture of Real-Time SQL Monitoring
Real-Time SQL Monitoring is a built-in database infrastructure that helps you
identify performance problems with long-running and parallel SQL statements.
•When the Database Monitors Operations
Monitoring of operations depends on whether the database operation is simple or
composite.
•Attributes of Database Operations
The
DBMS_SQL_MONITOR.BEGIN_OPERATION
function defines a database operation.
21.1.2.1 About the Architecture of Real-Time SQL Monitoring
Real-Time SQL Monitoring is a built-in database infrastructure that helps you identify
performance problems with long-running and parallel SQL statements.
Real-Time SQL Monitoring is a feature of the Oracle Database Tuning Pack. Database
operations are enabled when the
CONTROL_MANAGEMENT_PACK_ACCESS
initialization
parameter is set to
DIAGNOSTIC+TUNING
(default).
The following figure gives an overview of the architecture for Real-Time SQL
Monitoring.
Chapter 21
About Monitoring Database Operations
21-3

Figure 21-1 Architecture for Real-Time SQL Monitoring
User
Oracle
Enterprise
Manager
V$SQL_MONITOR
V$SQL_PLAN_MONITOR
V$SQL_MONITOR_SESSTAT
AWR
DBMS_SQL_MONITOR
REPORT_SQL_MONITOR
DBMS_SQL_MONITOR Database Operations
User-Defined Operations
Real-Time SQL Monitoring
BEGIN OPERATION
...
END_OPERATION
CONTROL_MANAGEMENT_PACK_ACCESS
As shown in the preceding graphic, the
DBMS_SQL_MONITOR
PL/SQL package defines
database operations. After monitoring is initiated, the database stores metadata about
the database operations in AWR, and the data itself in both AWR and ASH. The
database refreshes monitoring statistics in close to real time as each monitored
statement executes, typically once every second. The database stores the operational
data (the statements and metadata about the statements) in the SGA, and then
periodically writes it to disk.
Every monitored database operation has an entry in the
V$SQL_MONITOR
view. This entry
tracks key performance metrics collected for the execution, including the elapsed time,
CPU time, number of reads and writes, I/O wait time, and various other wait times. The
V$SQL_PLAN_MONITOR
view includes monitoring statistics for each operation in the
execution plan of the SQL statement being monitored. You can access reports by
using
DBMS_SQL_MONITOR.REPORT_SQL_MONITOR
, Oracle Enterprise Manager Cloud Control
(Cloud Control), or EM Express.
Chapter 21
About Monitoring Database Operations
21-4

21.1.2.2 When the Database Monitors Operations
Monitoring of operations depends on whether the database operation is simple or
composite.
This section contains the following topics:
•Simple Database Operations
A simple database operation is a single SQL statement or PL/SQL subprogram.
•Composite Database Operations
A composite database operation is activity between two points in time in a
database session, with each session defining its own beginning and end points.
21.1.2.2.1 Simple Database Operations
A simple database operation is a single SQL statement or PL/SQL subprogram.
Oracle Database monitors simple database operations when any of the following
conditions is true:
•SQL statements execute in parallel.
•Tracking for SQL statements is forced by the
/*+ MONITOR */
hint.
•SQL statements or PL/SQL subprograms have consumed at least 5 seconds of
CPU or I/O time in a single execution.
For simple operations, Real-Time SQL Monitoring helps determine where a currently
executing SQL statement is in its execution plan and where the statement is spending
its time. You can also see the breakdown of time and resource usage for recently
completed statements. In this way, you can better determine why a particular
operation is expensive.
Typical use cases for Real-Time SQL Monitoring include the following:
•A frequently executed SQL statement is executing more slowly than normal. You
must identify the root cause of this problem.
•A database session is experiencing slow performance.
•A parallel SQL statement is taking a long time. You want to determine how the
server processes are dividing the work.
21.1.2.2.2 Composite Database Operations
A composite database operation is activity between two points in time in a database
session, with each session defining its own beginning and end points.
SQL statements or PL/SQL subprograms that execute within these two points in time
are part of the composite operation. A session can participate in at most one
composite database operation at a time.
Oracle Database monitors composite database operations when either of the following
conditions is true:
•You started an operation with
DBMS_SQL_MONITOR.BEGIN_OPERATION
, and the operation
has consumed at least 5 seconds of CPU or I/O time.
Chapter 21
About Monitoring Database Operations
21-5

•Tracking for the operations is forced by setting
FORCE_TRACKING
to
Y
in
BEGIN_OPERATION
.
In OLTP and data warehouse environments, a job often logically groups related SQL
statements. The job can span multiple concurrent sessions. Typical use cases for
monitoring composite operations include the following:
•A periodic batch job containing many SQL statements must complete in a certain
number of hours, but took longer than expected.
•After a database upgrade, the execution time of an important batch job increased.
To resolve this problem, you must collect enough relevant statistical data from the
batch job before and after the upgrade, compare the two sets of data, and then
identify the changes.
•Packing a SQL tuning set (STS) took far longer than anticipated. To diagnose the
problem, you need to know what was being executed over time. Because this
issue cannot be easily reproduced, you need to monitor the process while it is
running.
21.1.2.3 Attributes of Database Operations
The
DBMS_SQL_MONITOR.BEGIN_OPERATION
function defines a database operation.
A database operation is uniquely identified by the following information:
•Database operation name
This is a user-created name such as
daily_sales_report
. The operation name is
the same for a job even if it is executed concurrently by different sessions or on
different databases. Database operation names do not reside in different
namespaces.
•Database operation execution ID
Two or more occurrences of the same database operation can run at the same
time, with the same name but different execution IDs. This numeric ID uniquely
identifies different executions of the same database operation.
The database automatically creates an execution ID when you begin a database
operation. You can also specify a user-created execution ID.
Optionally, you can specify the session ID and session serial number in which to start
the database operations. Thus, one database session can start a database operation
defined in a different database session.
The database uses the following triplet of values to identify each SQL and PL/SQL
statement monitored in the
V$SQL_MONITOR
view, regardless of whether the statement is
included in a database operation:
•SQL identifier to identify the SQL statement (
SQL_ID
)
•Start execution timestamp (
SQL_EXEC_START
)
•An internally generated identifier to ensure that this primary key is truly unique
(
SQL_EXEC_ID
)
You can use zero or more additional attributes to describe and identify the
characteristics of a database operation. Each attribute has a name and value. For
example, for operation
daily_sales_report
, you might define the attribute
db_name
and
assign it the value
prod
.
Chapter 21
About Monitoring Database Operations
21-6

21.1.3 User Interfaces for Database Operations Monitoring
You can monitor database operations from the command line or by using Cloud
Control.
This section contains the following topics:
•Monitored SQL Executions Page in Cloud Control
The Monitored SQL Executions page in Cloud Control, also known as SQL
Monitor, displays details of SQL execution. SQL Monitor is the recommended
interface for reporting on database operations.
•DBMS_SQL_MONITOR Package
The
DBMS_SQL_MONITOR
package defines the beginning and ending of a database
operation, and generates a report of the database operations.
•Views for Monitoring and Reporting on Database Operations
You can obtain the statistics for database operations using several
V$
and data
dictionary view.
21.1.3.1 Monitored SQL Executions Page in Cloud Control
The Monitored SQL Executions page in Cloud Control, also known as SQL Monitor,
displays details of SQL execution. SQL Monitor is the recommended interface for
reporting on database operations.
Statistics at each step of the execution plan are tracked by key performance metrics,
including elapsed time, CPU time, number of reads and writes, I/O wait time, and
various other wait times. These metrics enable DBAs to analyze SQL execution in
depth and decide on the most appropriate tuning strategies for monitored SQL
statements.
SQL Monitor Active Reports provide a flash-based interactive report that enables you
to save data in an HTML file. You can save this file and view it offline.
This section contains the following topics:
•Accessing the Monitored SQL Executions Page
The Monitored SQL Executions shows information such as the SQL ID, database
time, and I/O requests.
21.1.3.1.1 Accessing the Monitored SQL Executions Page
The Monitored SQL Executions shows information such as the SQL ID, database time,
and I/O requests.
To access the Monitored SQL Executions page:
1. Log in to Cloud Control with the appropriate credentials.
2. Under the Targets menu, select Databases.
3. In the list of database targets, select the target for the Oracle Database instance
that you want to administer.
4. If prompted for database credentials, then enter the minimum credentials
necessary for the tasks you intend to perform.
5. From the Performance menu, select SQL Monitoring.
Chapter 21
About Monitoring Database Operations
21-7

The Monitored SQL Executions page appears.
Figure 21-2 Monitored SQL Executions
21.1.3.2 DBMS_SQL_MONITOR Package
The
DBMS_SQL_MONITOR
package defines the beginning and ending of a database
operation, and generates a report of the database operations.
Table 21-1 DBMS_SQL_MONITOR
Subprogram Description
BEGIN_OPERATION
This function starts a composite database operation in the current session.
This function associates a session with a database operation. Starting in
Oracle Database 12c Release 2 (12.2), you can use
session_id
and
session_num
to indicate the session in which to start monitoring.
END_OPERATION
This function ends a composite database operation in the current session.
If the specified composite database operation does not exist, then this
function has no effect.
REPORT_SQL_MONIT
OR
This function builds a detailed report with monitoring information for a
simple or a composite database operation.
For each operation, it gives key information and associated global
statistics. Use this function to get detailed monitoring information for a
simple or a composite database operation.
The target database operation for this report can be:
•The last database operation monitored by Oracle Database (default,
no parameter).
•The last database operation executed in the specified session and
monitored by Oracle Database. The session is identified by its session
ID and optionally its serial number (
-1
is current session).
•The last execution of a specific database operation identified by its
sql_id
.
•A specific execution of a database operation identified by the
combination
sql_id
,
sql_exec_start
, and
sql_exec_id
.
•The last execution of a specific composite database operation
identified by
dbop_name
.
•The specific execution of a composite database operation identified
by the combination
dbop_name
,
dbop_exec_id
.
Use the
type
parameter to specify the output type:
TEXT
(default),
HTML
,
ACTIVE
, or
XML
.
REPORT_SQL_MONIT
OR_XML
This function is identical to the
REPORT_SQL_MONITOR
function, except that
the return type is
XMLType
.
REPORT_SQL_MONIT
OR_LIST
This function builds a report for all or a subset of database operations that
have been monitored by Oracle Database.
Chapter 21
About Monitoring Database Operations
21-8

Table 21-1 (Cont.) DBMS_SQL_MONITOR
Subprogram Description
REPORT_SQL_MONIT
OR_LIST_XML
This function is identical to the
REPORT_SQL_MONITOR_LIST
function, except
that it returns
XMLType
.
21.1.3.3 Views for Monitoring and Reporting on Database Operations
You can obtain the statistics for database operations using several
V$
and data
dictionary view.
The following table summarizes these views.
Table 21-2 Views for Database Operations Monitoring
View Description
DBA_HIST_REPORTS
This view displays metadata about XML reports captured into
Automatic Workload Repository (AWR). Each XML report
contains details about some activity of a component. For
example, a SQL Monitor report contains a detailed report
about a particular database operation.
Important columns include:
•The
REPORT_SUMMARY
column contains the summary of
the report.
•The
COMPONENT_NAME
column accepts the value
sqlmonitor
.
•The
REPORT_ID
column provides the ID of the report,
which you can specify in the
RID
parameter of
DBMS_AUTO_REPORT.REPORT_REPOSITORY_DETAIL
.
DBA_HIST_REPORTS_DETAILS
This view displays details about each report captured in AWR.
Metadata for each report appears in the
DBA_HIST_REPORTS
view, whereas the actual report is available in the
DBA_HIST_REPORTS_DETAILS
view.
Chapter 21
About Monitoring Database Operations
21-9

Table 21-2 (Cont.) Views for Database Operations Monitoring
View Description
V$SQL_MONITOR
This view contains global, high-level information about simple
and composite database operations.
For simple database operations, monitoring statistics are not
cumulative over several executions. In this case, one entry in
V$SQL_MONITOR
is dedicated to a single execution of a SQL
statement. If the database monitors two executions of the
same SQL statement, then each execution has a separate
entry in
V$SQL_MONITOR
.
For simple database operations,
V$SQL_MONITOR
has one
entry for the parallel execution coordinator process and one
entry for each parallel execution server process. Each entry
has corresponding entries in
V$SQL_PLAN_MONITOR
. Because
the processes allocated for the parallel execution of a SQL
statement are cooperating for the same execution, these
entries share the same execution key (the combination of
SQL_ID
,
SQL_EXEC_START
, and
SQL_EXEC_ID
).
For composite database operations, each row contains an
operation whose statistics are accumulated over the SQL
statements and PL/SQL subprograms that run in the same
session as part of the operation. The primary key is the
combination of the columns
DBOP_NAME
and
DBOP_EXEC_ID
.
V$SQL_MONITOR_SESSTAT
This view contains the statistics for all sessions involved in the
database operation.
Most of the statistics are cumulative. The database stores the
statistics in XML format instead of using each column for each
statistic. This view is primarily intended for the report
generator. Oracle recommends that you use
V$SESSTAT
instead of
V$SQL_MONITOR_SESSTAT
.
V$SQL_PLAN_MONITOR
This view contains monitoring statistics for each step in the
execution plan of the monitored SQL statement.
The database updates statistics in
V$SQL_PLAN_MONITOR
every
second while the SQL statement is executing. Multiple entries
exist in
V$SQL_PLAN_MONITOR
for every monitored SQL
statement. Each entry corresponds to a step in the execution
plan of the statement.
You can use the preceding
V$
views with the following views to get additional
information about the monitored execution:
•
V$ACTIVE_SESSION_HISTORY
•
V$SESSION
•
V$SESSION_LONGOPS
•
V$SQL
•
V$SQL_PLAN
21.1.4 Basic Tasks in Database Operations Monitoring
This section explains the basic tasks in database operations monitoring.
Chapter 21
About Monitoring Database Operations
21-10

Basic tasks are as follows:
•"Enabling and Disabling Monitoring of Database Operations"
This task explains how you can enable automatic monitoring of database
operations at the system and statement level.
•"Creating a Database Operation"
This section explains how you can define the beginning and end of a database
operation using PL/SQL.
•"Monitoring SQL Executions Using Cloud Control"
This section explains how you can generate and interpret reports on a database
operation.
21.2 Enabling and Disabling Monitoring of Database
Operations
Use initialization parameters to enable or disable monitoring.
This section contains the following topics:
•Enabling Monitoring of Database Operations at the System Level
The SQL monitoring feature is enabled by default when the
STATISTICS_LEVEL
initialization parameter is either set to
TYPICAL
(the default value) or
ALL
. SQL
monitoring starts automatically for all long-running queries.
•Enabling and Disabling Monitoring of Database Operations at the Statement Level
When the
CONTROL_MANAGEMENT_PACK_ACCESS
initialization parameter is set to
DIAGNOSTIC+TUNING
, you can use hints to enable or disable monitoring of specific
SQL statements.
21.2.1 Enabling Monitoring of Database Operations at the System
Level
The SQL monitoring feature is enabled by default when the
STATISTICS_LEVEL
initialization parameter is either set to
TYPICAL
(the default value) or
ALL
. SQL
monitoring starts automatically for all long-running queries.
Prerequisites
Because SQL monitoring is a feature of the Oracle Database Tuning Pack, the
CONTROL_MANAGEMENT_PACK_ACCESS
initialization parameter must be set to
DIAGNOSTIC
+TUNING
(the default value).
Assumptions
This tutorial assumes the following:
•The
STATISTICS_LEVEL
initialization parameter is set to
BASIC
.
•You want to enable automatic monitoring of database operations.
Chapter 21
Enabling and Disabling Monitoring of Database Operations
21-11

To enable monitoring of database operations:
1. Connect SQL*Plus to the database with the appropriate privileges, and then query
the current database operations settings.
For example, run the following SQL*Plus command:
SQL> SHOW PARAMETER statistics_level
NAME TYPE VALUE
----------------------------------- ----------- -----
statistics_level string BASIC
2. Set the statistics level to
TYPICAL
.
For example, run the following SQL statement:
SQL> ALTER SYSTEM SET STATISTICS_LEVEL='TYPICAL';
21.2.2 Enabling and Disabling Monitoring of Database Operations at
the Statement Level
When the
CONTROL_MANAGEMENT_PACK_ACCESS
initialization parameter is set to
DIAGNOSTIC
+TUNING
, you can use hints to enable or disable monitoring of specific SQL statements.
The database monitors SQL statements or PL/SQL subprograms automatically when
they have consumed at least 5 seconds of CPU or I/O time in a single execution. The
MONITOR
hint is useful to enforce monitoring of statements or subprograms that do not
meet the time criteria.
Two statement-level hints are available to force or prevent the database from
monitoring a SQL statement. To force SQL monitoring, use the
MONITOR
hint:
SELECT /*+ MONITOR */ SYSDATE FROM DUAL;
This hint is effective only when the
CONTROL_MANAGEMENT_PACK_ACCESS
parameter is set to
DIAGNOSTIC+TUNING
. To prevent the hinted SQL statement from being monitored, use
the
NO_MONITOR
reverse hint.
Assumptions
This tutorial assumes the following:
•Database monitoring is currently enabled at the system level.
•You want to disable automatic monitoring for the statement
SELECT * FROM sales
ORDER BY time_id
.
To disable monitoring of database operations for a SQL statement:
1. Execute the query with the
NO_MONITOR
hint.
For example, run the following statement:
SQL> SELECT * /*+NO_MONITOR*/ FROM sales ORDER BY time_id;
Chapter 21
Enabling and Disabling Monitoring of Database Operations
21-12

21.3 Creating a Database Operation
Creating a database operation involves supplying a name and defining its beginning
and end times.
Start a database operation by using the
DBMS_SQL_MONITOR.BEGIN_OPERATION
function,
and end it by using the
DBMS_SQL_MONITOR.END_OPERATION
procedure.
To begin the operation in a different session, specify the combination of
session_id
and
serial_num
. The
BEGIN_OPERATION
function returns the database operation execution
ID. If
dbop_exec_id
is null, then the database generates a unique value.
A single namespace exists for database operations, which means that name collisions
are possible. Oracle recommends the following naming convention:
component_name.subcomponent_name.operation name. For operations inside the
database, Oracle recommends using
ORA
for the component name. For example, a
materialized view refresh could be named
ORA.MV.refresh
. An E-Business Suite payroll
function could be named
EBIZ.payroll
.
To create a database operation in the current session:
1. In SQL*Plus or SQL Developer, log in to the database as a user with the
necessary privileges.
2. Start the operation by using
DBMS_SQL_MONITOR.BEGIN_OPERATION
.
This function returns the database operation execution ID. The following example
creates the operation named
ORA.sales.agg
, and stores the execution ID in a
SQL*Plus variable:
VARIABLE exec_id NUMBER;
BEGIN
:exec_id := DBMS_SQL_MONITOR.BEGIN_OPERATION ( dbop_name => 'ORA.sales.agg' );
END;
/
3. Execute the SQL statements or PL/SQL programs that you want to monitor.
4. End the operation by using
DBMS_SQL_MONITOR.END_OPERATION
.
The following example ends operation
ORA.sales.agg
:
BEGIN
DBMS_SQL_MONITOR.END_OPERATION ( dbop_name => 'ORA.sales.agg', dbop_eid
=> :exec_id );
END;
/
Example 21-1 Creating a Database Operation
The following example illustrates how to use the
DBMS_SQL_MONITOR
package to begin
and end a database operation in a different session. This example assumes the
following:
•You are an administrator and want to monitor statements in a session started by
user
sh
.
•You want to monitor queries of the
sh.sales
table and
sh.customers
table.
•You want these two queries to be monitored as a database operation named
sh_count
.
Chapter 21
Creating a Database Operation
21-13

Table 21-3 Creating a Database Operation
SYSTEM Session SH Session DESCRIPTION
SQL> CONNECT SYSTEM
Enter password: *********
Connected.
n/a Start SQL*Plus and
connect as a user with
the administrator
privileges.
n/a
SQL> CONNECT sh
Enter password: ******
Connected.
In a different terminal,
start SQL*Plus and
connect as a user as
user
sh
.
SELECT SID, SERIAL#
FROM V$SESSION
WHERE USERNAME = 'SH';
SID SERIAL#
---------- ----------
121 13397
n/a In the
SYSTEM
session,
query the session ID and
serial number of the
sh
session.
VARIABLE eid NUMBER
BEGIN
:eid:=DBMS_SQL_MONITOR.BEGIN_OPERATION
('sh_count', null, null,
null, '121', '13397');
END;
/
PRINT eid
EID
----------
2
n/a In the
SYSTEM
session,
begin a database
operation, specifying the
session ID and serial
number for the
sh
session.
n/a
SELECT count(*)
FROM sh.sales;
COUNT(*)
----------
918843
SELECT COUNT(*)
FROM sh.customers;
COUNT(*)
----------
55500
In the
sh
session, query
the
sales
and
customers
tables. These SQL
queries are part of the
sh_count
operation.
BEGIN
DBMS_SQL_MONITOR.END_OPERATION
('sh_count',:eid);
END;
/
n/a End the database
operation by specifying
the operation name and
execution ID.
Chapter 21
Creating a Database Operation
21-14

Table 21-3 (Cont.) Creating a Database Operation
SYSTEM Session SH Session DESCRIPTION
COL DBOP_NAME FORMAT a10
COL STATUS FORMAT a10
COL ID FORMAT 999
SELECT DBOP_NAME, DBOP_EXEC_ID AS ID,
STATUS, CPU_TIME, BUFFER_GETS
FROM V$SQL_MONITOR
WHERE DBOP_NAME IS NOT NULL
ORDER BY DBOP_EXEC_ID;
DBOP_NAME ID STATUS CPU_TIME GETS
---------- -- ---------- -------- ----
sh_count 1 EXECUTING 24997 65
n/a Query the metadata for
the
sh_count
database
operation. The status of
the operation is
EXECUTING
because the
session has not picked
up the new session
status.
n/a
SELECT SYSDATE FROM DUAL;
To collect changed
session information,
execute a query that
performs a round trip to
the database.
COL DBOP_NAME FORMAT a10
COL STATUS FORMAT a10
COL ID FORMAT 999
SELECT DBOP_NAME, DBOP_EXEC_ID AS ID,
STATUS, CPU_TIME, BUFFER_GETS
FROM V$SQL_MONITOR
WHERE DBOP_NAME IS NOT NULL
ORDER BY DBOP_EXEC_ID;
DBOP_NAME ID STATUS CPU_TIME GETS
---------- -- ---------- -------- ----
sh_count 1 DONE 24997 65
n/a The status of the
operation is now updated
to
DONE
.
21.4 Monitoring SQL Executions Using Cloud Control
By default, AWR automatically captures SQL monitoring reports in XML format.
The reports capture only SQL statements that are not executing or queued and have
finished execution since the last capture cycle. AWR captures reports only for the most
expensive statements according to elapsed execution time.
The Monitored SQL Executions page in Enterprise Manager Cloud Control (Cloud
Control) summarizes the activity for monitored statements. You can use this page to
drill down and obtain additional details about particular statements. The Monitored
SQL Executions Details page uses data from several views, including the following:
•
GV$SQL_MONITOR
•
GV$SQL_PLAN_MONITOR
Chapter 21
Monitoring SQL Executions Using Cloud Control
21-15

•
GV$SQL_MONITOR_SESSTAT
•
GV$SQL
•
GV$SQL_PLAN
•
GV$ACTIVE_SESSION_HISTORY
•
GV$SESSION_LONGOPS
•
DBA_HIST_REPORTS
•
DBA_HIST_REPORTS_DETAILS
Assumptions
This tutorial assumes the following:
•The user
sh
is executing the following long-running parallel query of the sales
made to each customer:
SELECT c.cust_id, c.cust_last_name, c.cust_first_name,
s.prod_id, p.prod_name, s.time_id
FROM sales s, customers c, products p
WHERE s.cust_id = c.cust_id
AND s.prod_id = p.prod_id
ORDER BY c.cust_id, s.time_id;
•You want to ensure that the preceding query does not consume excessive
resources. While the statement executes, you want to determine basic statistics
about the database operation, such as the level of parallelism, the total database
time, and number of I/O requests.
•You use Cloud Control to monitor statement execution.
Note:
To generate the SQL monitor report from the command line, run the
REPORT_SQL_MONITOR
function in the
DBMS_SQLTUNE
package, as in the
following sample SQL*Plus script:
VARIABLE my_rept CLOB
BEGIN
:my_rept :=DBMS_SQLTUNE.REPORT_SQL_MONITOR();
END;
/
PRINT :my_rept
To monitor SQL executions:
1. Access the Monitored SQL Executions page, as described in "Monitored SQL
Executions Page in Cloud Control".
In the following graphic, the top row shows the parallel query.
Chapter 21
Monitoring SQL Executions Using Cloud Control
21-16

In this example, the query has been executing for 1.4 minutes.
2. Click the value in the SQL ID column to see details about the statement.
The Monitored SQL Details page appears.
The preceding report shows the execution plan and statistics relating to statement
execution. For example, the Timeline column shows when each step of the
execution plan was active. Times are shown relative to the beginning and end of
the statement execution. The Executions column shows how many times an
operation was executed.
3. In the Overview section, click the link next to the SQL text.
A message shows the full text of the SQL statement.
Chapter 21
Monitoring SQL Executions Using Cloud Control
21-17

4. In the Time & Wait Statistics section, next to Database Time, move the cursor over
the largest portion on the bar graph.
A message shows that user I/O is consuming over half of database time.
Database Time measures the amount of time the database has spent working on
this SQL statement. This value includes CPU and wait times, such as I/O time.
The bar graph is divided into several color-coded portions to highlight CPU
resources, user I/O resources, and other resources. You can move the cursor over
any portion to view the percentage value of the total.
5. In the Details section, in the IO Requests column, move the cursor over the I/O
requests bar to view the percentage value of the total.
A message appears.
In the preceding graphic, the IO Requests message shows the total number of
read requests issued by the monitored SQL. The message shows that read
requests form 80% of the total I/O requests.
Chapter 21
Monitoring SQL Executions Using Cloud Control
21-18

21.5 Monitoring Database Operations: Scenarios
In these scenarios, you report on both simple and composite database operations.
This section contains the following topics:
•Reporting on a Simple Operation: Scenario
In this scenario, a single query should have completed in seconds, but is still
running after several minutes.
•Reporting on a Composite Operation: Scenario
This scenario creates a composite operation and generates an active report.
21.5.1 Reporting on a Simple Operation: Scenario
In this scenario, a single query should have completed in seconds, but is still running
after several minutes.
The user
sh
is running a query, which is not completing. By querying
V$SQL
, you know
the SQL ID of the query is
fbjymtacazga2
. You decide to use SQL Monitor for
diagnosis.
1. Start SQL*Plus, and log in to the database as an administrator.
2. Obtain a text report by invoking
DBMS_SQL_MONITOR.REPORT_SQL_MONITOR
:
SET LONG 1000000
VARIABLE my_rept CLOB;
BEGIN
:my_rept := DBMS_SQL_MONITOR.REPORT_SQL_MONITOR(
sql_id => 'fbjymtacazga2',
report_level => 'ALL',
TYPE => 'text');
END;
/
PRINT :my_rept
Partial sample output appears below:
SQL Text
------------------------------
SELECT s.prod_id, c.cust_last_name FROM sales s, customers c ORDER BY prod_id
Global Information
------------------------------
Status : EXECUTING
Instance ID : 1
Session : SH (31:25365)
MY_REPT
--------------------------------------------------------------------------------
SQL ID : fbjymtacazga2
SQL Execution ID : 16777216
Execution Started : 10/03/2017 13:07:39
First Refresh Time : 10/03/2017 13:07:43
Last Refresh Time : 10/03/2017 13:10:03
Duration : 145s
Module/Action : SQL*Plus/-
Service : SYS$USERS
Chapter 21
Monitoring Database Operations: Scenarios
21-19

Program : sqlplus@myhost (TNS V1-V3)
Global Stats
MY_REPT
--------------------------------------------------------------------------------
=========================================================================
| Elapsed | Cpu | IO | Buffer | Read | Read | Write | Write |
| Time(s) | Time(s) | Waits(s) | Gets | Reqs | Bytes | Reqs | Bytes |
=========================================================================
| 157 | 129 | 28 | 10328 | 28974 | 5GB | 45028 | 10GB |
=========================================================================
SQL Plan Monitoring Details (Plan Hash Value=2036849021)
================================================================================
================================================================================
===================================
MY_REPT
--------------------------------------------------------------------------------
| Id | Operation | Name | Rows | Cost |
Time | Start | Execs | Rows | Read | Read | Write | Write | Mem |
Temp | Activity | Activity Detail |
| | | | (Estim) | |
Active(s) | Active | | (Actual) | Reqs | Bytes | Reqs | Bytes | |
| (%) | (# samples) |
...
3. Because you want an easy-to-read view of the plan, you generate an active report:
SET TRIMSPOOL ON
SET TRIM ON
SET PAGES 0
SET LINESIZE 1000
SET LONG 1000000
SET LONGCHUNKSIZE 1000000
SPOOL /tmp/long_sql.htm
SELECT DBMS_SQL_MONITOR.REPORT_SQL_MONITOR(
sql_id => 'fbjymtacazga2',
report_level => 'ALL',
TYPE => 'active')
FROM DUAL;
SPOOL OFF
You open the HTML file in a browser, and then review the report:
Chapter 21
Monitoring Database Operations: Scenarios
21-20

The cause of the problem is shown in Line 2: a Cartesian join. The query has no
WHERE
clause. Instead of returning around 1 million rows as it would for an inner join
of
sales
and
customers
, the query is returning 1.2 billion rows. Sorting the merged
data from the two tables is consuming most of the DB time (Line 1).
21.5.2 Reporting on a Composite Operation: Scenario
This scenario creates a composite operation and generates an active report.
Your goal is to group four queries of tables in the
sh
schema into an operation, and
then generate a report.
1. In SQL*Plus, log on as an administrative user
SAM
. Begin an operation named
SHOP
(specifying
forced_tracking
to ensure that SQL Monitor tracks the SQL), run four
queries, and then end the operation as follows:
VARIABLE exec_id NUMBER;
BEGIN
:exec_id := DBMS_SQL_MONITOR.BEGIN_OPERATION ( dbop_name => 'SHOP',
forced_tracking => 'Y' );
END;
/
SELECT COUNT(*) FROM sh.sales;
SELECT COUNT(*) FROM sh.customers;
SELECT prod_id, cust_id
FROM sh.sales
WHERE prod_id < 26
ORDER BY prod_id;
SELECT cust_id, cust_first_name, cust_last_name, cust_city
FROM sh.customers
WHERE cust_id < 30000
Chapter 21
Monitoring Database Operations: Scenarios
21-21

ORDER BY cust_id;
BEGIN
DBMS_SQL_MONITOR.END_OPERATION ( dbop_name => 'SHOP', dbop_eid => :exec_id );
END;
/
2. To obtain metadata about the operation, including its status and metadata, query
V$SQL_MONITOR
(sample output included):
COL STATUS FORMAT a10
COL DBOP_NAME FORMAT a10
COL CON_NAME FORMAT a5
SELECT STATUS, SQL_ID, DBOP_NAME, DBOP_EXEC_ID,
TO_CHAR(ELAPSED_TIME/1000000,'000.00') AS ELA_SEC
FROM V$SQL_MONITOR
WHERE DBOP_NAME = 'SHOP';
STATUS SQL_ID DBOP_NAME DBOP_EXEC_ID ELA_SEC
---------- ------------- ---------- ------------ -------
DONE SHOP 3 001.34
3. To obtain metadata about the SQL Monitor report, call
DBMS_SQL_MONITOR.REPORT_SQL_MONITOR
(sample output included):
SET LONG 10000000
SET LONGCHUNKSIZE 10000000
SET PAGES 0
SELECT DBMS_SQL_MONITOR.REPORT_SQL_MONITOR(
dbop_name => 'SHOP', type => 'TEXT', report_level => 'ALL') AS rpt
FROM DUAL;
SQL Monitoring Report
Global Information
------------------------------
Status : DONE
Instance ID : 1
Session : SAM (87:6406)
DBOP Name : SHOP
DBOP Execution ID : 3
First Refresh Time : 10/03/2017 07:33:32
Last Refresh Time : 10/03/2017 07:34:24
Duration : 52s
Module/Action : sqlplus@myhost (TNS V1-V3)/-
Service : MYSERVICE
Program : sqlplus@myhost (TNS V1-V3)
Global Stats
========================================================
| Elapsed | Cpu | IO | Buffer | Read | Read |
| Time(s) | Time(s) | Waits(s) | Gets | Reqs | Bytes |
========================================================
| 1.36 | 1.34 | 0.02 | 202 | 583 | 27MB |
========================================================
4. To generate an active HTML report, pass the name of the operation to
DBMS_SQL_MONITOR.REPORT_SQL_MONITOR
:
SET TRIMSPOOL ON
SET TRIM ON
SET PAGES 0
Chapter 21
Monitoring Database Operations: Scenarios
21-22

SET LINESIZE 1000
SET LONG 1000000
SET LONGCHUNKSIZE 1000000
SPOOL /tmp/shop.htm
SELECT
DBMS_SQL_MONITOR.REPORT_SQL_MONITOR(dbop_name=>'SHOP',report_level=>'ALL',TYPE=>'
active')
FROM DUAL;
SPOOL OFF
The following graphic shows the active report:
Figure 21-3
Chapter 21
Monitoring Database Operations: Scenarios
21-23

22
Gathering Diagnostic Data with SQL Test
Case Builder
SQL Test Case Builder is a tool that automatically gathers information needed to
reproduce the problem in a different database instance.
A SQL test case is a set of information that enables a developer to reproduce the
execution plan for a specific SQL statement that has encountered a performance
problem.
This chapter contains the following topics:
•Purpose of SQL Test Case Builder
SQL Test Case Builder automates the sometimes difficult and time-consuming
process of gathering and reproducing information about a problem and the
environment in which it occurred.
•Concepts for SQL Test Case Builder
Key concepts for SQL Test Case Builder include SQL incidents, types of
information recorded, and the form of the output.
•User Interfaces for SQL Test Case Builder
You can access SQL Test Case Builder either through Cloud Control or using
PL/SQL on the command line.
•Running SQL Test Case Builder
You can run SQL Test Case Builder using Cloud Control.
22.1 Purpose of SQL Test Case Builder
SQL Test Case Builder automates the sometimes difficult and time-consuming
process of gathering and reproducing information about a problem and the
environment in which it occurred.
The output of SQL Test Case Builder is a set of scripts in a predefined directory.
These scripts contain the commands required to re-create all the necessary objects
and the environment. After the test case is ready, you can create a zip file of the
directory and move it to another database, or upload the file to Oracle Support.
22.2 Concepts for SQL Test Case Builder
Key concepts for SQL Test Case Builder include SQL incidents, types of information
recorded, and the form of the output.
This section contains the following topics:
•SQL Incidents
In the fault diagnosability infrastructure of Oracle Database, an incident is a single
occurrence of a problem.
22-1

•What SQL Test Case Builder Captures
SQL Test Case Builder captures permanent information about a SQL query and its
environment.
•Output of SQL Test Case Builder
The output of the SQL Test Case Builder is a set of files that contains commands
required to re-create the environment and all necessary objects.
22.2.1 SQL Incidents
In the fault diagnosability infrastructure of Oracle Database, an incident is a single
occurrence of a problem.
A SQL incident is a SQL-related problem. When a problem (critical error) occurs
multiple times, the database creates an incident for each occurrence. Incidents are
timestamped and tracked in the Automatic Diagnostic Repository (ADR). Each incident
has a numeric incident ID, which is unique within the ADR.
SQL Test Case Builder is accessible any time on the command line. In Oracle
Enterprise Manager Cloud Control (Cloud Control), the SQL Test Case pages are only
available after a SQL incident is found.
22.2.2 What SQL Test Case Builder Captures
SQL Test Case Builder captures permanent information about a SQL query and its
environment.
The information includes the query being executed, table and index definitions (but not
the actual data), PL/SQL packages and program units, optimizer statistics, SQL plan
baselines, and initialization parameter settings. Starting in Oracle Database 12c, SQL
Test Case Builder also captures and replays transient information, including
information only available as part of statement execution.
SQL Test Case Builder supports the following:
•Adaptive plans
SQL Test Case Builder captures inputs to the decisions made regarding adaptive
plans, and replays them at each decision point. For adaptive plans, the final
statistics value at each buffering statistics collector is sufficient to decide on the
final plan.
•Automatic memory management
The database automatically handles the memory requested for each SQL
operation. Actions such as sorting can affect performance significantly. SQL Test
Case Builder keeps track of the memory activities, for example, where the
database allocated memory and how much it allocated.
•Dynamic statistics
Regathering dynamic statistics on a different database does not always generate
the same results, for example, when data is missing. To reproduce the problem,
SQL Test Case Builder exports the dynamic statistics result from the source
database. In the testing database, SQL Test Case Builder reuses the same values
captured from the source database instead of regathering dynamic statistics.
•Multiple execution support
Chapter 22
Concepts for SQL Test Case Builder
22-2

SQL Test Case Builder can capture dynamic information accumulated during
multiple executions of the query. This capability is important for automatic
reoptimization.
•Compilation environment and bind values replay
The compilation environment setting is an important part of the query optimization
context. SQL Test Case Builder captures nondefault settings altered by the user
when running the problem query in the source database. If any nondefault
parameter values are used, SQL Test Case Builder re-establishes the same
values before running the query.
•Object statistics history
The statistics history for objects is helpful to determine whether a plan change was
caused by a change in statistics values.
DBMS_STATS
stores the history in the data
dictionary. SQL Test Case Builder stores this statistics data into a staging table
during export. During import, SQL Test Case Builder automatically reloads the
statistics history data into the target database from the staging table.
•Statement history
The statement history is important for diagnosing problems related to adaptive
cursor sharing, statistics feedback, and cursor sharing bugs. The history includes
execution plans and compilation and execution statistics.
22.2.3 Output of SQL Test Case Builder
The output of the SQL Test Case Builder is a set of files that contains commands
required to re-create the environment and all necessary objects.
By default, SQL Test Case Builder stores the files in the following location, where
incnum refers to the incident number and runnum refers to the run number:
$ADR_HOME/incident/incdir_incnum/SQLTCB_runnum
For example, a valid output file name could be as follows:
$ORACLE_HOME/log/diag/rdbms/dbsa/dbsa/incident/incdir_2657/SQLTCB_1
You can specify a nondefault location by creating an Oracle directory and invoking
DBMS_SQLDIAG.EXPORT_SQL_TESTCASE
, as in the following example:
CREATE OR REPLACE DIRECTORY my_tcb_dir_exp '/tmp';
BEGIN
DBMS_SQLDIAG.EXPORT_SQL_TESTCASE (
directory => 'my_tcb_dir_exp'
, sql_text => 'SELECT COUNT(*) FROM sales'
, testcase => tco
);
END;
22.3 User Interfaces for SQL Test Case Builder
You can access SQL Test Case Builder either through Cloud Control or using PL/SQL
on the command line.
Chapter 22
User Interfaces for SQL Test Case Builder
22-3

This section contains the following topics:
•Graphical Interface for SQL Test Case Builder
Within Cloud Control, you can access SQL Test Case Builder from the Incident
Manager page or the Support Workbench page.
•Command-Line Interface for SQL Test Case Builder
The
DBMS_SQLDIAG
package performs tasks relating to SQL Test Case Builder.
22.3.1 Graphical Interface for SQL Test Case Builder
Within Cloud Control, you can access SQL Test Case Builder from the Incident
Manager page or the Support Workbench page.
This section contains the following topics:
•Accessing the Incident Manager
From the Incidents and Problems section on the Database Home page, you can
navigate to the Incident Manager.
•Accessing the Support Workbench
From the Oracle Database menu, you can navigate to the Support Workbench.
22.3.1.1 Accessing the Incident Manager
From the Incidents and Problems section on the Database Home page, you can
navigate to the Incident Manager.
To access the Incident Manager:
1. Log in to Cloud Control with the appropriate credentials.
2. Under the Targets menu, select Databases.
3. In the list of database targets, select the target for the Oracle Database instance
that you want to administer.
4. If prompted for database credentials, then enter the minimum credentials
necessary for the tasks you intend to perform.
5. In the Incidents and Problems section, locate the SQL incident to be investigated.
In the following example, the
ORA 600
error is a SQL incident.
6. Click the summary of the incident.
The Problem Details page of the Incident Manager appears.
Chapter 22
User Interfaces for SQL Test Case Builder
22-4

The Support Workbench page appears, with the incidents listed in a table.
22.3.1.2 Accessing the Support Workbench
From the Oracle Database menu, you can navigate to the Support Workbench.
To access the Support Workbench:
1. Log in to Cloud Control with the appropriate credentials.
2. Under the Targets menu, select Databases.
3. In the list of database targets, select the target for the Oracle Database instance
that you want to administer.
4. If prompted for database credentials, then enter the minimum credentials
necessary for the tasks you intend to perform.
5. From the Oracle Database menu, select Diagnostics, then Support
Workbench.
The Support Workbench page appears, with the incidents listed in a table.
22.3.2 Command-Line Interface for SQL Test Case Builder
The
DBMS_SQLDIAG
package performs tasks relating to SQL Test Case Builder.
This package consists of various subprograms for the SQL Test Case Builder, some of
which are listed in the following table.
Table 22-1 SQL Test Case Functions in DBMS_SQLDIAG
Procedure Description
EXPORT_SQL_TESTCASE
Exports a SQL test case to a user-specified directory
EXPORT_SQL_TESTCASE_DIR_BY_INC
Exports a SQL test case corresponding to the incident
ID passed as an argument
Chapter 22
User Interfaces for SQL Test Case Builder
22-5

Table 22-1 (Cont.) SQL Test Case Functions in DBMS_SQLDIAG
Procedure Description
EXPORT_SQL_TESTCASE_DIR_BY_TXT
Exports a SQL test case corresponding to the SQL
text passed as an argument
IMPORT_SQL_TESTCASE
Imports a SQL test case into a schema
22.4 Running SQL Test Case Builder
You can run SQL Test Case Builder using Cloud Control.
Assumptions
This tutorial assumes the following:
•You ran the following
EXPLAIN PLAN
statement as user
sh
, which causes an internal
error:
EXPLAIN PLAN FOR
SELECT unit_cost, sold
FROM costs c,
( SELECT /*+ merge */ p.prod_id, SUM(quantity_sold) AS sold
FROM products p, sales s
WHERE p.prod_id = s.prod_id
GROUP BY p.prod_id ) v
WHERE c.prod_id = v.prod_id;
•In the Incidents and Problems section on the Database Home page, a SQL
incident generated by the internal error appears.
•You access the Incident Details page, as explained in "Accessing the Incident
Manager".
To run SQL Test Case Builder:
1. Click the Incidents tab.
The Problem Details page appears.
2. Click the summary for the incident.
The Incident Details page appears.
Chapter 22
Running SQL Test Case Builder
22-6

3. In Guided Resolution, click View Diagnostic Data.
The Incident Details: incident_number page appears.
4. In the Application Information section, click Additional Diagnostics.
The Additional Diagnostics subpage appears.
Chapter 22
Running SQL Test Case Builder
22-7

5. Select SQL Test Case Builder, and then click Run.
The Run User Action page appears.
6. Select a sampling percentage (optional), and then click Submit.
After processing completes, the Confirmation page appears.
7. Access the SQL Test Case files in the location described in "Output of SQL Test
Case Builder".
Chapter 22
Running SQL Test Case Builder
22-8

23
Performing Application Tracing
This chapter explains what end-to-end application tracing is, and how to generate and
read trace files.
This chapter contains the following topics:
•Overview of End-to-End Application Tracing
End-to-end application tracing can identify the source of an excessive database
workload, such as a high load SQL statement, by client identifier, service, module,
action, session, instance, or an entire database.
•Enabling Statistics Gathering for End-to-End Tracing
To gather the appropriate statistics using PL/SQL, you must enable statistics
gathering for client identifier, service, module, or action using procedures in
DBMS_MONITOR
.
•Enabling End-to-End Application Tracing
To enable tracing for client identifier, service, module, action, session, instance or
database, execute the appropriate procedures in the
DBMS_MONITOR
package.
•Generating Output Files Using SQL Trace and TKPROF
This section explains the basic procedure for using SQL Trace and TKPROF.
•Guidelines for Interpreting TKPROF Output
While
TKPROF
provides a useful analysis, the most accurate measure of efficiency is
the performance of the application. At the end of the
TKPROF
output is a summary of
the work that the process performed during the period that the trace was running.
See Also:
SQL*Plus User's Guide and Reference to learn about the use of Autotrace to
trace and tune SQL*Plus statements
23.1 Overview of End-to-End Application Tracing
End-to-end application tracing can identify the source of an excessive database
workload, such as a high load SQL statement, by client identifier, service, module,
action, session, instance, or an entire database.
In multitier environments, the middle tier routes a request from an end client to
different database sessions, making it difficult to track a client across database
sessions. End-to-end application tracing is an infrastructure that uses a client ID to
uniquely trace a specific end-client through all tiers to the database and provides
information about the operation that an end client is performing in the database.
This section contains the following topics:
23-1

•Purpose of End-to-End Application Tracing
End-to-end application tracing simplifies diagnosing performance problems in
multitier environments.
•End-to-End Application Tracing in a Multitenant Environment
Starting in Oracle Database 12c Release 2 (12.2), when you are connected to a
container in a CDB, new
V$
views enable read access to trace files that are
specific to the container.
•Tools for End-to-End Application Tracing
The SQL Trace facility and TKPROF are two basic performance diagnostic tools
that can help you accurately assess the efficiency of the SQL statements an
application runs.
23.1.1 Purpose of End-to-End Application Tracing
End-to-end application tracing simplifies diagnosing performance problems in multitier
environments.
For example, you can identify the source of an excessive database workload, such as
a high-load SQL statement, and contact the user responsible. Also, a user having
problems can contact you. You can then identify what this user session is doing at the
non-CDB or PDB level
End-to-end application tracing also simplifies management of application workloads by
tracking specific modules and actions in a service. The module and action names are
set by the application developer. For example, you would use the
SET_MODULE
and
SET_ACTION
procedures in the
DBMS_APPLICATION_INFO
package to set these values in a
PL/SQL program.
End-to-end application tracing can identify workload problems in a database for:
•Client identifier
Specifies an end user based on the logon ID, such as
HR.HR
•Service
Specifies a group of applications with common attributes, service level thresholds,
and priorities; or a single application, such as
ACCTG
for an accounting application
•Module
Specifies a functional block, such as Accounts Receivable or General Ledger, of
an application
•Action
Specifies an action, such as an
INSERT
or
UPDATE
operation, in a module
•Session
Specifies a session based on a given database session identifier (SID), on the
local instance
•Instance
Specifies a given database instance based on the instance name
•Container
Specifies the container in a CDB
Chapter 23
Overview of End-to-End Application Tracing
23-2

23.1.2 End-to-End Application Tracing in a Multitenant Environment
Starting in Oracle Database 12c Release 2 (12.2), when you are connected to a
container in a CDB, new
V$
views enable read access to trace files that are specific to
the container.
The primary use cases are as follows:
•CDB administrators must view traces from a specific PDB.
The
V$DIAG_TRACE_FILE
view lists all trace files in the ADR trace directory that
contain trace data from a specific PDB.
V$DIAG_TRACE_FILE_CONTENTS
displays the
contents of the trace files.
•PDB administrators must view traces from a specific PDB.
You can use SQL Trace to collect diagnostic data for the SQL statements
executing in a PDB application. The trace data includes SQL tracing (event 10046)
and optimizer tracing (event 10053). Using
V$
views, developers can access only
SQL or optimizer trace records without accessing the entire trace file.
To enable users and tools to determine which PDB is associated with a file or a part of
a file, PDB annotations exist in trace files, incident dumps, and log files. The PDB
information is part of the structured metadata that is stored in the
.trm
file for each
trace file. Each record captures the following attributes:
•
CON_ID
, which is the ID of the container associated with the data
•
CON_UID
, which is the unique ID of the container
•
NAME
, which is the name of the container
23.1.3 Tools for End-to-End Application Tracing
The SQL Trace facility and TKPROF are two basic performance diagnostic tools that
can help you accurately assess the efficiency of the SQL statements an application
runs.
For best results, use these tools with
EXPLAIN PLAN
rather than using
EXPLAIN PLAN
alone. After tracing information is written to files, you can consolidate this data with the
TRCSESS utility, and then diagnose it with TKPROF or SQL Trace.
The recommended interface for end-to-end application tracing is Oracle Enterprise
Manager Cloud Control (Cloud Control). Using Cloud Control, you can view the top
consumers for each consumer type, and enable or disable statistics gathering and
SQL tracing for specific consumers. If Cloud Control is unavailable, then you can
manage this feature using the
DBMS_MONITOR
APIs.
This section contains the following topics:
•Overview of the SQL Trace Facility
The SQL Trace facility provides performance information on individual SQL
statements.
•Overview of TKPROF
To format the contents of the trace file and place the output into a readable output
file, run the TKPROF program.
Chapter 23
Overview of End-to-End Application Tracing
23-3

See Also:
Oracle Database PL/SQL Packages and Types Reference for information
about the
DBMS_MONITOR
,
DBMS_SESSION
,
DBMS_SERVICE
, and
DBMS_APPLICATION_INFO
packages
23.1.3.1 Overview of the SQL Trace Facility
The SQL Trace facility provides performance information on individual SQL
statements.
SQL Trace generates the following statistics for each statement:
•Parse, execute, and fetch counts
•CPU and elapsed times
•Physical reads and logical reads
•Number of rows processed
•Misses on the library cache
•User name under which each parse occurred
•Each commit and rollback
•Wait event data for each SQL statement, and a summary for each trace file
If the cursor for the SQL statement is closed, then SQL Trace also provides row
source information that includes:
•Row operations showing the actual execution plan of each SQL statement
•Number of rows, number of consistent reads, number of physical reads, number of
physical writes, and time elapsed for each operation on a row
Although you can enable the SQL Trace facility for a session or an instance, Oracle
recommends that you use the
DBMS_SESSION
or
DBMS_MONITOR
packages instead. When
the SQL Trace facility is enabled for a session or for an instance, performance
statistics for all SQL statements executed in a user session or in the instance are
placed into trace files. Using the SQL Trace facility can affect performance and may
result in increased system overhead, excessive CPU usage, and inadequate disk
space.
The TRCSESS command-line utility consolidates tracing information from several
trace files based on specific criteria, such as session or client ID.
23.1.3.2 Overview of TKPROF
To format the contents of the trace file and place the output into a readable output file,
run the TKPROF program.
TKPROF can also do the following:
•Create a SQL script that stores the statistics in the database
•Determine the execution plans of SQL statements
Chapter 23
Overview of End-to-End Application Tracing
23-4

TKPROF reports each statement executed with the resources it has consumed, the
number of times it was called, and the number of rows which it processed. This
information enables you to locate those statements that are using the greatest
resource. With baselines available, you can assess whether the resources used are
reasonable given the work done.
23.2 Enabling Statistics Gathering for End-to-End Tracing
To gather the appropriate statistics using PL/SQL, you must enable statistics gathering
for client identifier, service, module, or action using procedures in
DBMS_MONITOR
.
The default level is the session-level statistics gathering. Statistics gathering is global
for the database and continues after a database instance is restarted.
You can gather statistics by the following criteria:
•Enabling Statistics Gathering for a Client ID
The procedure
CLIENT_ID_STAT_ENABLE
enables statistics gathering for a given client
ID, whereas the procedure
CLIENT_ID_STAT_DISABLE
disables it.
•Enabling Statistics Gathering for Services, Modules, and Actions
The procedure
SERV_MOD_ACT_STAT_ENABLE
enables statistic gathering for a
combination of service, module, and action, whereas the procedure
SERV_MOD_ACT_STAT_DISABLE
disables statistic gathering for a combination of service,
module, and action.
23.2.1 Enabling Statistics Gathering for a Client ID
The procedure
CLIENT_ID_STAT_ENABLE
enables statistics gathering for a given client ID,
whereas the procedure
CLIENT_ID_STAT_DISABLE
disables it.
You can view client identifiers in the
CLIENT_IDENTIFIER
column in
V$SESSION
.
Assumptions
This tutorial assumes that you want to enable and then disable statistics gathering for
the client with the ID
oe.oe
.
To enable and disable statistics gathering for a client identifier:
1. Start SQL*Plus, and then connect to the database with the appropriate privileges.
2. Enable statistics gathering for
oe.oe
.
For example, run the following command:
EXECUTE DBMS_MONITOR.CLIENT_ID_STAT_ENABLE(client_id => 'OE.OE');
3. Disable statistics gathering for
oe.oe
.
For example, run the following command:
EXECUTE DBMS_MONITOR.CLIENT_ID_STAT_DISABLE(client_id => 'OE.OE');
Chapter 23
Enabling Statistics Gathering for End-to-End Tracing
23-5

23.2.2 Enabling Statistics Gathering for Services, Modules, and
Actions
The procedure
SERV_MOD_ACT_STAT_ENABLE
enables statistic gathering for a combination
of service, module, and action, whereas the procedure
SERV_MOD_ACT_STAT_DISABLE
disables statistic gathering for a combination of service, module, and action.
When you change the module or action using the preceding
DBMS_MONITOR
procedures,
the change takes effect when the next user call is executed in the session. For
example, if a module is set to
module1
in a session, and if the module is reset to
module2
in a user call in the session, then the module remains
module1
during this user
call. The module is changed to
module2
in the next user call in the session.
Assumptions
This tutorial assumes that you want to gather statistics as follows:
•For the
ACCTG
service
•For all actions in the
PAYROLL
module
•For the
INSERT ITEM
action within the
GLEDGER
module
To enable and disable statistics gathering for a service, module, and action:
1. Start SQL*Plus, and then connect to the database with the appropriate privileges.
2. Enable statistics gathering for the desired service, module, and action.
For example, run the following commands:
BEGIN
DBMS_MONITOR.SERV_MOD_ACT_STAT_ENABLE(
service_name => 'ACCTG'
, module_name => 'PAYROLL' );
END;
BEGIN
DBMS_MONITOR.SERV_MOD_ACT_STAT_ENABLE(
service_name => 'ACCTG'
, module_name => 'GLEDGER'
, action_name => 'INSERT ITEM' );
END;
3. Disable statistic gathering for the previously specified combination of service,
module, and action.
For example, run the following command:
BEGIN
DBMS_MONITOR.SERV_MOD_ACT_STAT_DISABLE(
service_name => 'ACCTG'
, module_name => 'GLEDGER'
, action_name => 'INSERT ITEM' );
END;
Chapter 23
Enabling Statistics Gathering for End-to-End Tracing
23-6

23.3 Enabling End-to-End Application Tracing
To enable tracing for client identifier, service, module, action, session, instance or
database, execute the appropriate procedures in the
DBMS_MONITOR
package.
With the criteria that you provide, specific trace information is captured in a set of trace
files and combined into a single output trace file. You can enable tracing for specific
diagnosis and workload management by the following criteria:
•Enabling Tracing for a Client Identifier
To enable tracing globally for the database for a specified client identifier, use the
DBMS_MONITOR.CLIENT_ID_TRACE_ENABLE
procedure.
•Enabling Tracing for a Service, Module, and Action
The
DBMS_MONITOR.SERV_MOD_ACT_TRACE_ENABLE
procedure enables SQL tracing for a
specified combination of service name, module, and action globally for a database,
unless the procedure specifies a database instance name.
•Enabling Tracing for a Session
The
SESSION_TRACE_ENABLE
procedure enables the trace for a given database
session identifier (SID) on the local instance.
•Enabling Tracing for the Instance or Database
The
DBMS_MONITOR.DATABASE_TRACE_ENABLE
procedure overrides all other session-
level traces, but is complementary to the client identifier, service, module, and
action traces. Tracing is enabled for all current and future sessions.
See Also:
Oracle Database Administrator’s Guide for information about how to locate
trace files
23.3.1 Enabling Tracing for a Client Identifier
To enable tracing globally for the database for a specified client identifier, use the
DBMS_MONITOR.CLIENT_ID_TRACE_ENABLE
procedure.
The
CLIENT_ID_TRACE_DISABLE
procedure disables tracing globally for the database for a
given client identifier.
Assumptions
This tutorial assumes the following:
•
OE.OE
is the client identifier for which SQL tracing is to be enabled.
•You want to include wait information in the trace.
•You want to exclude bind information from the trace.
To enable and disable tracing for a client identifier:
1. Start SQL*Plus, and then connect to the database with the appropriate privileges.
Chapter 23
Enabling End-to-End Application Tracing
23-7

2. Enable tracing for the client.
For example, execute the following program:
BEGIN
DBMS_MONITOR.CLIENT_ID_TRACE_ENABLE(
client_id => 'OE.OE' ,
waits => true ,
binds => false );
END;
3. Disable tracing for the client.
For example, execute the following command:
EXECUTE DBMS_MONITOR.CLIENT_ID_TRACE_DISABLE(client_id => 'OE.OE');
23.3.2 Enabling Tracing for a Service, Module, and Action
The
DBMS_MONITOR.SERV_MOD_ACT_TRACE_ENABLE
procedure enables SQL tracing for a
specified combination of service name, module, and action globally for a database,
unless the procedure specifies a database instance name.
The
SERV_MOD_ACT_TRACE_DISABLE
procedure disables the trace at all enabled instances
for a given combination of service name, module, and action name globally.
Assumptions
This tutorial assumes the following:
•You want to enable tracing for the service
ACCTG
.
•You want to enable tracing for all actions for the combination of the
ACCTG
service
and the
PAYROLL
module.
•You want to include wait information in the trace.
•You want to exclude bind information from the trace.
•You want to enable tracing only for the
inst1
instance.
To enable and disable tracing for a service, module, and action:
1. Start SQL*Plus, and then connect to the database with the appropriate privileges.
2. Enable tracing for the service, module, and actions.
For example, execute the following command:
BEGIN
DBMS_MONITOR.SERV_MOD_ACT_TRACE_ENABLE(
service_name => 'ACCTG' ,
module_name => 'PAYROLL' ,
waits => true ,
binds => false ,
instance_name => 'inst1' );
END;
3. Disable tracing for the service, module, and actions.
For example, execute the following command:
BEGIN
DBMS_MONITOR.SERV_MOD_ACT_TRACE_DISABLE(
service_name => 'ACCTG' ,
Chapter 23
Enabling End-to-End Application Tracing
23-8

module_name => 'PAYROLL' ,
instance_name => 'inst1' );
END;
23.3.3 Enabling Tracing for a Session
The
SESSION_TRACE_ENABLE
procedure enables the trace for a given database session
identifier (SID) on the local instance.
Whereas the
DBMS_MONITOR
package can only be invoked by a user with the DBA role,
users can also enable SQL tracing for their own session by invoking the
DBMS_SESSION.SESSION_TRACE_ENABLE
procedure, as in the following example:
BEGIN
DBMS_SESSION.SESSION_TRACE_ENABLE(
waits => true
, binds => false);
END;
Assumptions
This tutorial assumes the following:
•You want to log in to the database with administrator privileges.
•User
OE
has one active session.
•You want to temporarily enable tracing for the
OE
session.
•You want to include wait information in the trace.
•You want to exclude bind information from the trace.
To enable and disable tracing for a session:
1. Start SQL*Plus, and then log in to the database with the administrator privileges.
2. Determine the session ID and serial number values for the session to trace.
For example, query
V$SESSION
as follows:
SELECT SID, SERIAL#, USERNAME
FROM V$SESSION
WHERE USERNAME = 'OE';
SID SERIAL# USERNAME
---------- ---------- ------------------------------
27 60 OE
3. Use the values from the preceding step to enable tracing for a specific session.
For example, execute the following program to enable tracing for the
OE
session,
where the
true
argument includes wait information in the trace and the
false
argument excludes bind information from the trace:
BEGIN
DBMS_MONITOR.SESSION_TRACE_ENABLE(
session_id => 27
, serial_num => 60
, waits => true
, binds => false);
END;
4. Disable tracing for the session.
Chapter 23
Enabling End-to-End Application Tracing
23-9

The
SESSION_TRACE_DISABLE
procedure disables the trace for a given database
session identifier (SID) and serial number. For example:
BEGIN
DBMS_MONITOR.SESSION_TRACE_DISABLE(
session_id => 27
, serial_num => 60);
END;
23.3.4 Enabling Tracing for the Instance or Database
The
DBMS_MONITOR.DATABASE_TRACE_ENABLE
procedure overrides all other session-level
traces, but is complementary to the client identifier, service, module, and action traces.
Tracing is enabled for all current and future sessions.
All new sessions inherit the wait and bind information specified by this procedure until
you call the
DATABASE_TRACE_DISABLE
procedure. When you invoke this procedure with
the
instance_name
parameter, the procedure resets the session-level SQL trace for the
named instance. If you invoke this procedure without the
instance_name
parameter,
then the procedure resets the session-level SQL trace for the entire database.
Prerequisites
You must have administrative privileges to execute the
DATABASE_TRACE_ENABLE
procedure.
Assumptions
This tutorial assumes the following:
•You want to enable tracing for all SQL the
inst1
instance.
•You want wait information to be in the trace.
•You do not want bind information in the trace.
To enable and disable tracing for a session:
1. Start SQL*Plus, and then log in to the database with the necessary privileges.
2. Call the
DATABASE_TRACE_ENABLE
procedure to enable SQL tracing for a given
instance or an entire database.
For example, execute the following program, where the
true
argument specifies
that wait information is in the trace, and the
false
argument specifies that no bind
information is in the trace:
BEGIN
DBMS_MONITOR.DATABASE_TRACE_ENABLE(
waits => true
, binds => false
, instance_name => 'inst1' );
END;
3. Disable tracing for the session.
The
SESSION_TRACE_DISABLE
procedure disables the trace. For example, the
following program disables tracing for
inst1
:
EXECUTE DBMS_MONITOR.DATABASE_TRACE_DISABLE(instance_name => 'inst1');
Chapter 23
Enabling End-to-End Application Tracing
23-10

To disable the session-level SQL tracing for an entire database, invoke the
DATABASE_TRACE_DISABLE
procedure without specifying the
instance_name
parameter:
EXECUTE DBMS_MONITOR.DATABASE_TRACE_DISABLE();
23.4 Generating Output Files Using SQL Trace and
TKPROF
This section explains the basic procedure for using SQL Trace and TKPROF.
The procedure for generating output files is as follows:
1. Set initialization parameters for trace file management.
See "Step 1: Setting Initialization Parameters for Trace File Management".
2. Enable the SQL Trace facility for the desired session, and run the application. This
step produces a trace file containing statistics for the SQL statements issued by
the application.
See "Step 2: Enabling the SQL Trace Facility".
3. Run TKPROF to translate the trace file created in Step 2 into a readable output
file. This step can optionally create a SQL script that you can use to store the
statistics in a database.
See "Step 3: Generating Output Files with TKPROF".
4. Optionally, run the SQL script produced in Step 3 to store the statistics in the
database.
See "Step 4: Storing SQL Trace Facility Statistics".
This section contains the following topics:
•Step 1: Setting Initialization Parameters for Trace File Management
To enable trace files, you must ensure that specific initialization parameters are
set.
•Step 2: Enabling the SQL Trace Facility
You can enable the SQL Trace facility at the instance or session level.
•Step 3: Generating Output Files with TKPROF
TKPROF accepts as input a trace file produced by the SQL Trace facility, and it
produces a formatted output file. TKPROF can also generate execution plans.
•Step 4: Storing SQL Trace Facility Statistics
You might want to keep a history of the statistics generated by the SQL Trace
facility for an application, and compare them over time.
23.4.1 Step 1: Setting Initialization Parameters for Trace File
Management
To enable trace files, you must ensure that specific initialization parameters are set.
When the SQL Trace facility is enabled for a session, Oracle Database generates a
trace file containing statistics for traced SQL statements for that session. When the
SQL Trace facility is enabled for an instance, Oracle Database creates a separate
trace file for each process.
Chapter 23
Generating Output Files Using SQL Trace and TKPROF
23-11

To set initialization parameters for trace file management:
1. Check the settings of the
TIMED_STATISTICS
,
MAX_DUMP_FILE_SIZE
, and
DIAGNOSTIC_DEST
initialization parameters, as indicated in "Table 23-1".
Table 23-1 Initialization Parameters to Check Before Enabling SQL Trace
Parameter Description
DIAGNOSTIC_DEST
Specifies the location of the Automatic Diagnostic
Repository (ADR) Home. The diagnostic files for each
database instance are located in this dedicated directory.
MAX_DUMP_FILE_SIZE
When the SQL Trace facility is enabled at the database
instance level, every call to the database writes a text line
in a file in the operating system's file format. The maximum
size of these files in operating system blocks is limited by
this initialization parameter. The default is
UNLIMITED
.
TIMED_STATISTICS
Enables and disables the collection of timed statistics, such
as CPU and elapsed times, by the SQL Trace facility, and
the collection of various statistics in the
V$
views.
If
STATISTICS_LEVEL
is set to
TYPICAL
or
ALL
, then the
default value of
TIMED_STATISTICS
is
true
. If
STATISTICS_LEVEL
is set to
BASIC
, then the default value of
TIMED_STATISTICS
is
false
.
Enabling timing causes extra timing calls for low-level
operations. This is a dynamic parameter. It is also a
session parameter.
2. Devise a way of recognizing the resulting trace file.
Be sure you know how to distinguish the trace files by name. You can tag trace
files by including in your programs a statement such as
SELECT program_name' FROM
DUAL
. You can then trace each file back to the process that created it.
You can also set the
TRACEFILE_IDENTIFIER
initialization parameter to specify a
custom identifier that becomes part of the trace file name. For example, you can
add
my_trace_id
to subsequent trace file names for easy identification with the
following:
ALTER SESSION SET TRACEFILE_IDENTIFIER = 'my_trace_id';
3. If the operating system retains multiple versions of files, then ensure that the
version limit is high enough to accommodate the number of trace files you expect
the SQL Trace facility to generate.
4. If the generated trace files can be owned by an operating system user other than
yourself, then ensure that you have the necessary permissions to use TKPROF to
format them.
23.4.2 Step 2: Enabling the SQL Trace Facility
You can enable the SQL Trace facility at the instance or session level.
The package to use depends on the level:
•Database instance
Chapter 23
Generating Output Files Using SQL Trace and TKPROF
23-12

Use
DBMS_MONITOR.DATABASE_TRACE_ENABLE
procedure to enable tracing, and
DBMS_MONITOR.DATABASE_TRACE_DISABLE
procedure to disable tracing.
•Database session
Use
DBMS_SESSION.SET_SQL_TRACE
procedure to enable tracing (
true
) or disable
tracing (
false
).
Note:
Because running the SQL Trace facility increases system overhead,
enable it only when tuning SQL statements, and disable it when you are
finished.
To enable and disable tracing at the database instance level:
1. Start SQL*Plus, and connect to the database with administrator privileges.
2. Enable tracing at the database instance level.
The following example enables tracing for the
orcl
instance:
EXEC DBMS_MONITOR.DATABASE_TRACE_ENABLE(INSTANCE_NAME => 'orcl');
3. Execute the statements to be traced.
4. Disable tracing for the database instance.
The following example disables tracing for the
orcl
instance:
EXEC DBMS_MONITOR.DATABASE_TRACE_DISABLE(INSTANCE_NAME => 'orcl');
To enable and disable tracing at the session level:
1. Start SQL*Plus, and connect to the database with the desired credentials.
2. Enable tracing for the current session.
The following example enables tracing for the current session:
EXEC DBMS_SESSION.SET_SQL_TRACE(sql_trace => true);
3. Execute the statements to be traced.
4. Disable tracing for the current session.
The following example disables tracing for the current session:
EXEC DBMS_SESSION.SET_SQL_TRACE(sql_trace => false);
23.4.3 Step 3: Generating Output Files with TKPROF
TKPROF accepts as input a trace file produced by the SQL Trace facility, and it
produces a formatted output file. TKPROF can also generate execution plans.
After the SQL Trace facility has generated trace files, you can:
•Run TKPROF on each individual trace file, producing several formatted output
files, one for each session.
•Concatenate the trace files, and then run TKPROF on the result to produce a
formatted output file for the entire instance.
Chapter 23
Generating Output Files Using SQL Trace and TKPROF
23-13

•Run the TRCSESS command-line utility to consolidate tracing information from
several trace files, then run TKPROF on the result.
TKPROF does not report
COMMIT
and
ROLLBACK
statements recorded in the trace file.
Note:
The following SQL statements are truncated to 25 characters in the SQL
Trace file:
SET ROLE
GRANT
ALTER USER
ALTER ROLE
CREATE USER
CREATE ROLE
Example 23-1 TKPROF Output
SELECT * FROM emp, dept
WHERE emp.deptno = dept.deptno;
call count cpu elapsed disk query current rows
---- ------- ------- --------- -------- -------- ------- ------
Parse 1 0.16 0.29 3 13 0 0
Execute 1 0.00 0.00 0 0 0 0
Fetch 1 0.03 0.26 2 2 4 14
Misses in library cache during parse: 1
Parsing user id: (8) SCOTT
Rows Execution Plan
------- --------------------------------------------------- 14 MERGE JOIN
4 SORT JOIN
4 TABLE ACCESS (FULL) OF 'DEPT'
14 SORT JOIN
14 TABLE ACCESS (FULL) OF 'EMP'
For this statement, TKPROF output includes the following information:
•The text of the SQL statement
•The SQL Trace statistics in tabular form
•The number of library cache misses for the parsing and execution of the
statement.
•The user initially parsing the statement.
•The execution plan generated by
EXPLAIN PLAN
.
TKPROF also provides a summary of user level statements and recursive SQL calls
for the trace file.
23.4.4 Step 4: Storing SQL Trace Facility Statistics
You might want to keep a history of the statistics generated by the SQL Trace facility
for an application, and compare them over time.
Chapter 23
Generating Output Files Using SQL Trace and TKPROF
23-14

TKPROF
can generate a SQL script that creates a table and inserts rows of statistics into
it. This script contains the following:
•A
CREATE TABLE
statement that creates an output table named
TKPROF_TABLE
.
•
INSERT
statements that add rows of statistics, one for each traced SQL statement,
to
TKPROF_TABLE
.
After running
TKPROF
, run this script to store the statistics in the database.
This section contains the following topics:
•Generating the TKPROF Output SQL Script
When you run
TKPROF
, use the
INSERT
parameter to specify the name of the
generated SQL script.
•Editing the TKPROF Output SQL Script
After
TKPROF
has created the SQL script, you might want to edit the script before
running it.
•Querying the Output Table
After you have created the output table, query using a
SELECT
statement.
23.4.4.1 Generating the TKPROF Output SQL Script
When you run
TKPROF
, use the
INSERT
parameter to specify the name of the generated
SQL script.
If you omit the
INSERT
parameter, then
TKPROF
does not generate a script.
23.4.4.2 Editing the TKPROF Output SQL Script
After
TKPROF
has created the SQL script, you might want to edit the script before
running it.
If you have created an output table for previously collected statistics, and if you want to
add new statistics to this table, then remove the
CREATE TABLE
statement from the
script. The script then inserts the new rows into the existing table. If you have created
multiple output tables, perhaps to store statistics from different databases in different
tables, then edit the
CREATE TABLE
and
INSERT
statements to change the name of the
output table.
23.4.4.3 Querying the Output Table
After you have created the output table, query using a
SELECT
statement.
The following
CREATE TABLE
statement creates the
TKPROF_TABLE
:
CREATE TABLE TKPROF_TABLE (
DATE_OF_INSERT DATE,
CURSOR_NUM NUMBER,
DEPTH NUMBER,
USER_ID NUMBER,
PARSE_CNT NUMBER,
PARSE_CPU NUMBER,
PARSE_ELAP NUMBER,
PARSE_DISK NUMBER,
PARSE_QUERY NUMBER,
PARSE_CURRENT NUMBER,
Chapter 23
Generating Output Files Using SQL Trace and TKPROF
23-15

PARSE_MISS NUMBER,
EXE_COUNT NUMBER,
EXE_CPU NUMBER,
EXE_ELAP NUMBER,
EXE_DISK NUMBER,
EXE_QUERY NUMBER,
EXE_CURRENT NUMBER,
EXE_MISS NUMBER,
EXE_ROWS NUMBER,
FETCH_COUNT NUMBER,
FETCH_CPU NUMBER,
FETCH_ELAP NUMBER,
FETCH_DISK NUMBER,
FETCH_QUERY NUMBER,
FETCH_CURRENT NUMBER,
FETCH_ROWS NUMBER,
CLOCK_TICKS NUMBER,
SQL_STATEMENT LONG);
Most output table columns correspond directly to the statistics that appear in the
formatted output file. For example, the
PARSE_CNT
column value corresponds to the
count statistic for the parse step in the output file.
The columns in the following table help you identify a row of statistics.
Table 23-2 TKPROF_TABLE Columns for Identifying a Row of Statistics
Column Description
SQL_STATEMENT
This is the SQL statement for which the SQL Trace facility collected
the row of statistics. Because this column has data type
LONG
, you
cannot use it in expressions or
WHERE
clause conditions.
DATE_OF_INSERT
This is the date and time when the row was inserted into the table.
This value is different from the time when the SQL Trace facility
collected the statistics.
DEPTH
This indicates the level of recursion at which the SQL statement was
issued. For example, a value of 0 indicates that a user issued the
statement. A value of 1 indicates that Oracle Database generated the
statement as a recursive call to process a statement with a value of 0
(a statement issued by a user). A value of n indicates that Oracle
Database generated the statement as a recursive call to process a
statement with a value of n-1.
USER_ID
This identifies the user issuing the statement. This value also appears
in the formatted output file.
CURSOR_NUM
Oracle Database uses this column value to keep track of the cursor to
which each SQL statement was assigned.
The output table does not store the statement's execution plan. The following query
returns the statistics from the output table. These statistics correspond to the formatted
output shown in "Example 23-7".
SELECT * FROM TKPROF_TABLE;
Sample output appears as follows:
DATE_OF_INSERT CURSOR_NUM DEPTH USER_ID PARSE_CNT PARSE_CPU PARSE_ELAP
-------------- ---------- ----- ------- --------- --------- ----------
21-DEC-2017 1 0 8 1 16 22
Chapter 23
Generating Output Files Using SQL Trace and TKPROF
23-16

PARSE_DISK PARSE_QUERY PARSE_CURRENT PARSE_MISS EXE_COUNT EXE_CPU
---------- ----------- ------------- ---------- --------- -------
3 11 0 1 1 0
EXE_ELAP EXE_DISK EXE_QUERY EXE_CURRENT EXE_MISS EXE_ROWS FETCH_COUNT
-------- -------- --------- ----------- -------- -------- -----------
0 0 0 0 0 0 1
FETCH_CPU FETCH_ELAP FETCH_DISK FETCH_QUERY FETCH_CURRENT FETCH_ROWS
--------- ---------- ---------- ----------- ------------- ----------
2 20 2 2 4 10
SQL_STATEMENT
---------------------------------------------------------------------
SELECT * FROM EMP, DEPT WHERE EMP.DEPTNO = DEPT.DEPTNO
23.5 Guidelines for Interpreting TKPROF Output
While
TKPROF
provides a useful analysis, the most accurate measure of efficiency is the
performance of the application. At the end of the
TKPROF
output is a summary of the
work that the process performed during the period that the trace was running.
This section contains the following topics:
•Guideline for Interpreting the Resolution of Statistics
Timing statistics have a resolution of one hundredth of a second. Therefore, any
operation on a cursor that takes a hundredth of a second or less might not be
timed accurately.
•Guideline for Recursive SQL Statements
Recursive SQL is additional SQL that Oracle Database must issue to execute a
SQL statement issued by a user.
•Guideline for Deciding Which Statements to Tune
You must determine which SQL statements use the most CPU or disk resource.
•Guidelines for Avoiding Traps in TKPROF Interpretation
When interpreting
TKPROF
output, it helps to be aware of common traps.
23.5.1 Guideline for Interpreting the Resolution of Statistics
Timing statistics have a resolution of one hundredth of a second. Therefore, any
operation on a cursor that takes a hundredth of a second or less might not be timed
accurately.
Keep the time limitation in mind when interpreting statistics. In particular, be careful
when interpreting the results from simple queries that execute very quickly.
23.5.2 Guideline for Recursive SQL Statements
Recursive SQL is additional SQL that Oracle Database must issue to execute a SQL
statement issued by a user.
Conceptually, recursive SQL is “side-effect SQL.” For example, if a session inserts a
row into a table that has insufficient space to hold that row, then the database makes
recursive SQL calls to allocate the space dynamically. The database also generates
Chapter 23
Guidelines for Interpreting TKPROF Output
23-17

recursive calls when data dictionary information is not available in memory and so
must be retrieved from disk.
If recursive calls occur while the SQL Trace facility is enabled, then
TKPROF
produces
statistics for the recursive SQL statements and marks them clearly as recursive SQL
statements in the output file. You can suppress the listing of Oracle Database internal
recursive calls (for example, space management) in the output file by setting the
SYS
command-line parameter to
NO
. The statistics for a recursive SQL statement are
included in the listing for that statement, not in the listing for the SQL statement that
caused the recursive call. So, when you are calculating the total resources required to
process a SQL statement, consider the statistics for that statement and those for
recursive calls caused by that statement.
Note:
Recursive SQL statistics are not included for SQL-level operations.
23.5.3 Guideline for Deciding Which Statements to Tune
You must determine which SQL statements use the most CPU or disk resource.
If the
TIMED_STATISTICS
parameter is enabled, then you can find high CPU activity in the
CPU
column. If
TIMED_STATISTICS
is not enabled, then check the
QUERY
and
CURRENT
columns.
With the exception of locking problems and inefficient PL/SQL loops, neither the CPU
time nor the elapsed time is necessary to find problem statements. The key is the
number of block visits, both query (that is, subject to read consistency) and current
(that is, not subject to read consistency). Segment headers and blocks that are going
to be updated are acquired in current mode, but all query and subquery processing
requests the data in query mode. These are precisely the same measures as the
instance statistics
CONSISTENT GETS
and
DB BLOCK GETS
. You can find high disk activity in
the
disk
column.
The following listing shows
TKPROF
output for one SQL statement as it appears in the
output file:
SELECT *
FROM emp, dept
WHERE emp.deptno = dept.deptno;
call count cpu elapsed disk query current rows
---- ------- ------- --------- -------- -------- ------- ------
Parse 11 0.08 0.18 0 0 0 0
Execute 11 0.23 0.66 0 3 6 0
Fetch 35 6.70 6.83 100 12326 2 824
------------------------------------------------------------------
total 57 7.01 7.67 100 12329 8 826
Misses in library cache during parse: 0
If it is acceptable to have 7.01 CPU seconds and to retrieve 824 rows, then you need
not look any further at this trace output. In fact, a major use of
TKPROF
reports in a
tuning exercise is to eliminate processes from the detailed tuning phase.
Chapter 23
Guidelines for Interpreting TKPROF Output
23-18

The output indicates that 10 unnecessary parse call were made (because 11 parse
calls exist for this single statement) and that array fetch operations were performed.
More rows were fetched than there were fetches performed. A large gap between
CPU
and
elapsed
timings indicates Physical I/Os.
23.5.4 Guidelines for Avoiding Traps in TKPROF Interpretation
When interpreting
TKPROF
output, it helps to be aware of common traps.
This section contains the following topics:
•Guideline for Avoiding the Argument Trap
If you are not aware of the values being bound at run time, then it is possible to fall
into the argument trap.
•Guideline for Avoiding the Read Consistency Trap
Without knowing that an uncommitted transaction had made a series of updates to
a column, it is difficult to see why so many block visits would be incurred.
•Guideline for Avoiding the Schema Trap
In some cases, an apparently straightforward indexed query looks at many
database blocks and accesses them in current mode.
•Guideline for Avoiding the Time Trap
In some cases, a query takes an inexplicably long time.
23.5.4.1 Guideline for Avoiding the Argument Trap
If you are not aware of the values being bound at run time, then it is possible to fall into
the argument trap.
EXPLAIN PLAN
cannot determine the type of a bind variable from the text of SQL
statements, and it always assumes that the type is
VARCHAR
. If the bind variable is
actually a number or a date, then
TKPROF
can cause implicit data conversions, which
can cause inefficient plans to be executed. To avoid this situation, experiment with
different data types in the query, and perform the conversion yourself.
23.5.4.2 Guideline for Avoiding the Read Consistency Trap
Without knowing that an uncommitted transaction had made a series of updates to a
column, it is difficult to see why so many block visits would be incurred.
Such cases are not normally repeatable. If the process were run again, it is unlikely
that another transaction would interact with it in the same way.
SELECT name_id
FROM cq_names
WHERE name = 'FLOOR';
call count cpu elapsed disk query current rows
---- ----- --- ------- ---- ----- ------- ----
Parse 1 0.10 0.18 0 0 0 0
Execute 1 0.00 0.00 0 0 0 0
Fetch 1 0.11 0.21 2 101 0 1
Misses in library cache during parse: 1
Parsing user id: 01 (USER1)
Chapter 23
Guidelines for Interpreting TKPROF Output
23-19

Rows Execution Plan
e---- --------- ----
0 SELECT STATEMENT
1 TABLE ACCESS (BY ROWID) OF 'CQ_NAMES'
2 INDEX (RANGE SCAN) OF 'CQ_NAMES_NAME' (NON_UNIQUE)
23.5.4.3 Guideline for Avoiding the Schema Trap
In some cases, an apparently straightforward indexed query looks at many database
blocks and accesses them in current mode.
The following example shows an extreme (and thus easily detected) example of the
schema trap:
SELECT name_id
FROM cq_names
WHERE name = 'FLOOR';
call count cpu elapsed disk query current rows
-------- ------- -------- --------- ------- ------ ------- ----
Parse 1 0.06 0.10 0 0 0 0
Execute 1 0.02 0.02 0 0 0 0
Fetch 1 0.23 0.30 31 31 3 1
Misses in library cache during parse: 0
Parsing user id: 02 (USER2)
Rows Execution Plan
------- ---------------------------------------------------
0 SELECT STATEMENT
2340 TABLE ACCESS (BY ROWID) OF 'CQ_NAMES'
0 INDEX (RANGE SCAN) OF 'CQ_NAMES_NAME' (NON-UNIQUE)
Two statistics suggest that the query might have been executed with a full table scan:
the current mode block visits, and the number of rows originating from the Table
Access row source in the plan. The explanation is that the required index was built
after the trace file had been produced, but before
TKPROF
had been run. Generating a
new trace file gives the following data:
SELECT name_id
FROM cq_names
WHERE name = 'FLOOR';
call count cpu elapsed disk query current rows
----- ------ ------ -------- ----- ------ ------- -----
Parse 1 0.01 0.02 0 0 0 0
Execute 1 0.00 0.00 0 0 0 0
Fetch 1 0.00 0.00 0 2 0 1
Misses in library cache during parse: 0
Parsing user id: 02 (USER2)
Rows Execution Plan
------- ---------------------------------------------------
0 SELECT STATEMENT
1 TABLE ACCESS (BY ROWID) OF 'CQ_NAMES'
2 INDEX (RANGE SCAN) OF 'CQ_NAMES_NAME' (NON-UNIQUE)
In the correct version, the parse call took 10 milliseconds of CPU time and 20
milliseconds of elapsed time, but the query apparently took no time to execute and
Chapter 23
Guidelines for Interpreting TKPROF Output
23-20

perform the fetch. These anomalies arise because the clock tick of 10 milliseconds is
too long relative to the time taken to execute and fetch the data. In such cases, it is
important to get many executions of the statements, so that you have statistically valid
numbers.
23.5.4.4 Guideline for Avoiding the Time Trap
In some cases, a query takes an inexplicably long time.
For example, the following update of 7 rows executes in 19 seconds:
UPDATE cq_names
SET ATTRIBUTES = lower(ATTRIBUTES)
WHERE ATTRIBUTES = :att
call count cpu elapsed disk query current rows
-------- ------- -------- --------- -------- -------- ------- ----------
Parse 1 0.06 0.24 0 0 0 0
Execute 1 0.62 19.62 22 526 12 7
Fetch 0 0.00 0.00 0 0 0 0
Misses in library cache during parse: 1
Parsing user id: 02 (USER2)
Rows Execution Plan
------- ---------------------------------------------------
0 UPDATE STATEMENT
2519 TABLE ACCESS (FULL) OF 'CQ_NAMES'
The explanation is interference from another transaction. In this case, another
transaction held a shared lock on the table
cq_names
for several seconds before and
after the update was issued. It takes experience to diagnose that interference effects
are occurring. On the one hand, comparative data is essential when the interference is
contributing only a short delay (or a small increase in block visits in the previous
example). However, if the interference contributes only modest overhead, and if the
statement is essentially efficient, then its statistics may not require analysis.
23.6.1 Application Tracing Utilities
The Oracle tracing utilities are TKPROF and TRCSESS.
This section describes the syntax and semantics for the following utilities:
•TRCSESS
The TRCSESS utility consolidates trace output from selected trace files based on
user-specified criteria.
•TKPROF
The TKPROF program formats the contents of the trace file and places the output
into a readable output file.
23.6.1.1 TRCSESS
The TRCSESS utility consolidates trace output from selected trace files based on
user-specified criteria.
After TRCSESS merges the trace information into a single output file, TKPROF can
process the output file. This section contains the following topics:
Chapter 23
Application Tracing Utilities
23-21

•Purpose
TRCSESS is useful for consolidating the tracing of a particular session for
performance or debugging purposes.
•Guidelines
You must specify one of the
session
,
clientid
,
service
,
action
, or
module
options.
•Syntax
•Options
TRCSESS supports a number of command-line options.
•Examples
This section demonstrates common TRCSESS use cases.
23.6.1.1.1 Purpose
TRCSESS is useful for consolidating the tracing of a particular session for
performance or debugging purposes.
Tracing a specific session is usually not a problem in the dedicated server model
because one process serves a session during its lifetime. You can see the trace
information for the session from the trace file belonging to the server process.
However, in a shared server configuration, a user session is serviced by different
processes over time. The trace for the user session is scattered across different trace
files belonging to different processes, which makes it difficult to get a complete picture
of the life cycle of a session.
23.6.1.1.2 Guidelines
You must specify one of the
session
,
clientid
,
service
,
action
, or
module
options.
If you specify multiple options, then TRCSESS consolidates all trace files that satisfy
the specified criteria into the output file.
23.6.1.1.3 Syntax
trcsess [output=output_file_name]
[session=session_id]
[clientid=client_id]
[service=service_name]
[action=action_name]
[module=module_name]
[trace_files]
23.6.1.1.4 Options
TRCSESS supports a number of command-line options.
Argument Description
output
Specifies the file where the output is generated. If this option is not
specified, then the utility writes to standard output.
session
Consolidates the trace information for the session specified. The
session identifier is a combination of session index and session serial
number, such as
21.2371
. You can locate these values in the
V$SESSION
view.
Chapter 23
Application Tracing Utilities
23-22

Argument Description
clientid
Consolidates the trace information for the specified client ID.
service
Consolidates the trace information for the specified service name.
action
Consolidates the trace information for the specified action name.
module
Consolidates the trace information for the specified module name.
trace_files
Lists the trace file names, separated by spaces, in which TRCSESS
should look for trace information. You can use the wildcard character
(
*
) to specify the trace file names. If you do not specify trace files, then
TRCSESS uses all files in the current directory as input.
23.6.1.1.5 Examples
This section demonstrates common TRCSESS use cases.
Example 23-2 Tracing a Single Session
This sample output of TRCSESS shows the container of traces for a particular
session. In this example, the session index and serial number equals
21.2371
. All files
in current directory are taken as input.
trcsess session=21.2371
Example 23-3 Specifying Multiple Trace Files
The following example specifies two trace files:
trcsess session=21.2371 main_12359.trc main_12995.trc
The sample output is similar to the following:
[PROCESS ID = 12359]
*** 2014-04-02 09:48:28.376
PARSING IN CURSOR #1 len=17 dep=0 uid=27 oct=3 lid=27 tim=868373970961 hv=887450622
ad='22683fb4'
select * from cat
END OF STMT
PARSE #1:c=0,e=339,p=0,cr=0,cu=0,mis=0,r=0,dep=0,og=4,tim=868373970944
EXEC #1:c=0,e=221,p=0,cr=0,cu=0,mis=0,r=0,dep=0,og=4,tim=868373971411
FETCH #1:c=0,e=791,p=0,cr=7,cu=0,mis=0,r=1,dep=0,og=4,tim=868373972435
FETCH #1:c=0,e=1486,p=0,cr=20,cu=0,mis=0,r=6,dep=0,og=4,tim=868373986238
*** 2014-04-02 10:03:58.058
XCTEND rlbk=0, rd_only=1
STAT #1 id=1 cnt=7 pid=0 pos=1 obj=0 op='FILTER '
STAT #1 id=2 cnt=7 pid=1 pos=1 obj=18 op='TABLE ACCESS BY INDEX ROWID OBJ$ '
STAT #1 id=3 cnt=7 pid=2 pos=1 obj=37 op='INDEX RANGE SCAN I_OBJ2 '
STAT #1 id=4 cnt=0 pid=1 pos=2 obj=4 op='TABLE ACCESS CLUSTER TAB$J2 '
STAT #1 id=5 cnt=6 pid=4 pos=1 obj=3 op='INDEX UNIQUE SCAN I_OBJ# '
[PROCESS ID=12995]
*** 2014-04-02 10:04:32.738
Archiving is disabled
23.6.1.2 TKPROF
The TKPROF program formats the contents of the trace file and places the output into
a readable output file.
Chapter 23
Application Tracing Utilities
23-23

TKPROF can also do the following:
•Create a SQL script that stores the statistics in the database
•Determine the execution plans of SQL statements
Note:
If the cursor for a SQL statement is not closed, then TKPROF output
does not automatically include the actual execution plan of the SQL
statement. In this situation, use the
EXPLAIN
option with TKPROF to
generate an execution plan.
TKPROF reports each statement executed with the resources it has consumed, the
number of times it was called, and the number of rows which it processed.
This section contains the following topics:
•Purpose
TKPROF can locate statements that are consuming the greatest resources.
•Guidelines
The input and output files are the only required arguments.
•Syntax
•Options
TKPROF supports a number of command-line options.
•Output
This section explains the TKPROF output.
•Examples
This section demonstrates common TKPROF use cases.
23.6.1.2.1 Purpose
TKPROF can locate statements that are consuming the greatest resources.
With baselines available, you can assess whether the resources used are reasonable
given the work performed.
23.6.1.2.2 Guidelines
The input and output files are the only required arguments.
If you invoke TKPROF without arguments, then the tool displays online help.
23.6.1.2.3 Syntax
tkprof input_file output_file
[ waits=yes|no ]
[ sort=option ]
[ print=n ]
[ aggregate=yes|no ]
[ insert=filename3 ]
[ sys=yes|no ]
Chapter 23
Application Tracing Utilities
23-24

[ table=schema.table ]
[ explain=user/password ]
[ record=filename4 ]
[ width=n ]
23.6.1.2.4 Options
TKPROF supports a number of command-line options.
Table 23-3 TKPROF Arguments
Argument Description
input_file
Specifies the input file, a trace file containing statistics produced by the
SQL Trace facility. This file can be either a trace file produced for a single
session, or a file produced by concatenating individual trace files from
multiple sessions.
output_file
Specifies the file to which
TKPROF
writes its formatted output.
WAITS
Specifies whether to record summary for any wait events found in the
trace file. Valid values are
YES
(default) and
NO
.
SORT
Sorts traced SQL statements in descending order of specified sort option
before listing them in the output file. If multiple options are specified, then
the output is sorted in descending order by the sum of the values specified
in the sort options. If you omit this parameter, then
TKPROF
lists statements
into the output file in order of first use. Sort options are listed as follows:
•
PRSCNT
- Number of times parsed
•
PRSCPU
- CPU time spent parsing
•
PRSELA
- Elapsed time spent parsing
•
PRSDSK
- Number of physical reads from disk during parse
•
PRSQRY
- Number of consistent mode block reads during parse
•
PRSCU
- Number of current mode block reads during parse
•
PRSMIS
- Number of library cache misses during parse
•
EXECNT
- Number of executions
•
EXECPU
- CPU time spent executing
•
EXEELA
- Elapsed time spent executing
•
EXEDSK
- Number of physical reads from disk during execute
•
EXEQRY
- Number of consistent mode block reads during execute
•
EXECU
- Number of current mode block reads during execute
•
EXEROW
- Number of rows processed during execute
•
EXEMIS
- Number of library cache misses during execute
•
FCHCNT
- Number of fetches
•
FCHCPU
- CPU time spent fetching
•
FCHELA
- Elapsed time spent fetching
•
FCHDSK
- Number of physical reads from disk during fetch
•
FCHQRY
- Number of consistent mode block reads during fetch
•
FCHCU
- Number of current mode block reads during fetch
•
FCHROW
- Number of rows fetched
•
USERID
- Userid of user that parsed the cursor
PRINT
Lists only the first integer sorted SQL statements from the output file. If
you omit this parameter, then
TKPROF
lists all traced SQL statements. This
parameter does not affect the optional SQL script. The SQL script always
generates insert data for all traced SQL statements.
Chapter 23
Application Tracing Utilities
23-25

Table 23-3 (Cont.) TKPROF Arguments
Argument Description
AGGREGATE
If you specify
AGGREGATE
=
NO
, then
TKPROF
does not aggregate multiple
users of the same SQL text.
INSERT
Creates a SQL script that stores the trace file statistics in the database.
TKPROF
creates this script with the name
filename3
. This script creates a
table and inserts a row of statistics for each traced SQL statement into the
table.
SYS
Enables and disables the listing of SQL statements issued by the user
SYS
, or recursive SQL statements, into the output file. The default value of
YES
causes
TKPROF
to list these statements. The value of
NO
causes
TKPROF
to omit them. This parameter does not affect the optional SQL
script. The SQL script always inserts statistics for all traced SQL
statements, including recursive SQL statements.
TABLE
Specifies the schema and name of the table into which
TKPROF
temporarily
places execution plans before writing them to the output file. If the
specified table exists, then
TKPROF
deletes all rows in the table, uses it for
the
EXPLAIN PLAN
statement (which writes more rows into the table), and
then deletes those rows. If this table does not exist, then
TKPROF
creates it,
uses it, and then drops it.
The specified user must be able to issue
INSERT
,
SELECT
, and
DELETE
statements against the table. If the table does not exist, then the user
must also be able to issue
CREATE TABLE
and
DROP TABLE
statements.
This option enables multiple individuals to run
TKPROF
concurrently with the
same user in the
EXPLAIN
value. These individuals can specify different
TABLE
values and avoid destructively interfering with each other's
processing on the temporary plan table.
TKPROF
supports the following combinations:
•The
EXPLAIN
parameter without the
TABLE
parameter
TKPROF
uses the table
PROF$PLAN_TABLE
in the schema of the user
specified by the
EXPLAIN
parameter
•The
TABLE
parameter without the
EXPLAIN
parameter
TKPROF
ignores the
TABLE
parameter.
If no plan table exists, then
TKPROF
creates the table
PROF$PLAN_TABLE
and
then drops it at the end.
EXPLAIN
Determines the execution plan for each SQL statement in the trace file
and writes these execution plans to the output file.
TKPROF
also displays
the number of rows processed by each step of the execution plan.
TKPROF
determines execution plans by issuing the
EXPLAIN
PLAN
statement
after connecting to Oracle Database with the user and password specified
in this parameter. The specified user must have
CREATE SESSION
system
privileges.
TKPROF
takes longer to process a large trace file if the
EXPLAIN
option is used.
Note: Trace files generated immediately after instance startup contain
data that reflects the activity of the startup process. In particular, they
reflect a disproportionate amount of I/O activity as caches in the system
global area (SGA) are filled. For the purposes of tuning, ignore such trace
files.
RECORD
Creates a SQL script with the specified
filename
with all of the
nonrecursive SQL in the trace file. You can use this script to replay the
user events from the trace file.
Chapter 23
Application Tracing Utilities
23-26

Table 23-3 (Cont.) TKPROF Arguments
Argument Description
WIDTH
An integer that controls the output line width of some
TKPROF
output, such
as the explain plan. This parameter is useful for post-processing of
TKPROF
output.
23.6.1.2.5 Output
This section explains the TKPROF output.
This section contains the following topics:
•Identification of User Issuing the SQL Statement in TKPROF
TKPROF
lists the user ID of the user issuing each SQL statement.
•Tabular Statistics in TKPROF
TKPROF lists the statistics for a SQL statement returned by the SQL Trace facility
in rows and columns.
•Library Cache Misses in TKPROF
TKPROF also lists the number of library cache misses resulting from parse and
execute steps for each SQL statement.
•Row Source Operations in TKPROF
In the TKPROF output, row source operations show the number of rows
processed for each operation executed on the rows, and additional row source
information, such as physical reads and writes.
•Wait Event Information in TKPROF
If wait event information exists, then the
TKPROF
output includes a section on wait
events.
23.6.1.2.5.1 Identification of User Issuing the SQL Statement in TKPROF
TKPROF
lists the user ID of the user issuing each SQL statement.
If the SQL Trace input file contained statistics from multiple users, and if the statement
was issued by multiple users, then
TKPROF
lists the ID of the last user to parse the
statement. The user ID of all database users appears in the data dictionary in the
column
ALL_USERS
.
USER_ID
.
23.6.1.2.5.2 Tabular Statistics in TKPROF
TKPROF lists the statistics for a SQL statement returned by the SQL Trace facility in
rows and columns.
Each row corresponds to one of three steps of SQL statement processing. Statistics
are identified by the value of the
CALL
column. See Table 23-4.
Chapter 23
Application Tracing Utilities
23-27

Table 23-4 CALL Column Values
CALL Value Meaning
PARSE
Translates the SQL statement into an execution plan, including checks
for proper security authorization and checks for the existence of tables,
columns, and other referenced objects.
EXECUTE
Actual execution of the statement by Oracle Database. For
INSERT
,
UPDATE
,
DELETE
, and
MERGE
statements, this modifies the data. For
SELECT
statements, this identifies the selected rows.
FETCH
Retrieves rows returned by a query. Fetches are only performed for
SELECT
statements.
The other columns of the SQL Trace facility output are combined statistics for all
parses, executions, and fetches of a statement. The sum of
query
and
current
is the
total number of buffers accessed, also called Logical I/Os (LIOs). See Table 23-5.
Table 23-5 SQL Trace Statistics for Parses, Executes, and Fetches.
SQL Trace Statistic Meaning
COUNT
Number of times a statement was parsed, executed, or fetched.
CPU
Total CPU time in seconds for all parse, execute, or fetch calls for the
statement. This value is zero (0) if
TIMED_STATISTICS
is not enabled.
ELAPSED
Total elapsed time in seconds for all parse, execute, or fetch calls for
the statement. This value is zero (0) if
TIMED_STATISTICS
is not
enabled.
DISK
Total number of data blocks physically read from the data files on disk
for all parse, execute, or fetch calls.
QUERY
Total number of buffers retrieved in consistent mode for all parse,
execute, or fetch calls. Usually, buffers are retrieved in consistent
mode for queries.
CURRENT
Total number of buffers retrieved in current mode. Buffers are retrieved
in current mode for statements such as
INSERT
,
UPDATE
, and
DELETE
.
Statistics about the processed rows appear in the
ROWS
column. The column shows the
number of rows processed by the SQL statement. This total does not include rows
processed by subqueries of the SQL statement. For
SELECT
statements, the number of
rows returned appears for the fetch step. For
UPDATE
,
DELETE
, and
INSERT
statements,
the number of rows processed appears for the execute step.
Note:
The row source counts are displayed when a cursor is closed. In SQL*Plus,
there is only one user cursor, so each statement executed causes the
previous cursor to be closed; therefore, the row source counts are displayed.
PL/SQL has its own cursor handling and does not close child cursors when
the parent cursor is closed. Exiting (or reconnecting) causes the counts to be
displayed.
Chapter 23
Application Tracing Utilities
23-28

23.6.1.2.5.3 Library Cache Misses in TKPROF
TKPROF also lists the number of library cache misses resulting from parse and
execute steps for each SQL statement.
These statistics appear on separate lines following the tabular statistics. If the
statement resulted in no library cache misses, then
TKPROF
does not list the statistic. In
"Examples", the statement resulted in one library cache miss for the parse step and no
misses for the execute step.
23.6.1.2.5.4 Row Source Operations in TKPROF
In the TKPROF output, row source operations show the number of rows processed for
each operation executed on the rows, and additional row source information, such as
physical reads and writes.
Table 23-6 Row Source Operations
Row Source
Operation
Meaning
cr
Consistent reads performed by the row source.
r
Physical reads performed by the row source
w
Physical writes performed by the row source
time
Time in microseconds
In the following sample
TKPROF
output, note the
cr
,
r
,
w
, and
time
values under the Row
Source Operation column:
Rows Row Source Operation
------- ---------------------------------------------------
0 DELETE (cr=43141 r=266947 w=25854 time=60235565 us)
28144 HASH JOIN ANTI (cr=43057 r=262332 w=25854 time=48830056 us)
51427 TABLE ACCESS FULL STATS$SQLTEXT (cr=3465 r=3463 w=0 time=865083 us)
647529 INDEX FAST FULL SCAN STATS$SQL_SUMMARY_PK
(cr=39592 r=39325 w=0 time=10522877 us) (object id 7409)
23.6.1.2.5.5 Wait Event Information in TKPROF
If wait event information exists, then the
TKPROF
output includes a section on wait
events.
Output looks similar to the following:
Elapsed times include waiting on following events:
Event waited on Times Max. Wait Total Waited
---------------------------------------- Waited ---------- ------------
db file sequential read 8084 0.12 5.34
direct path write 834 0.00 0.00
direct path write temp 834 0.00 0.05
db file parallel read 8 1.53 5.51
db file scattered read 4180 0.07 1.45
direct path read 7082 0.00 0.05
direct path read temp 7082 0.00 0.44
rdbms ipc reply 20 0.00 0.01
Chapter 23
Application Tracing Utilities
23-29

SQL*Net message to client 1 0.00 0.00
SQL*Net message from client 1 0.00 0.00
In addition, wait events are summed for the entire trace file at the end of the file.
To ensure that wait events information is written to the trace file for the session, run
the following SQL statement:
ALTER SESSION SET EVENTS '10046 trace name context forever, level 8';
23.6.1.2.6 Examples
This section demonstrates common TKPROF use cases.
Example 23-4 Printing the Most Resource-Intensive Statements
If you are processing a large trace file using a combination of
SORT
parameters and the
PRINT
parameter, then you can produce a
TKPROF
output file containing only the highest
resource-intensive statements. The following statement prints the 10 statements in the
trace file that have generated the most physical I/O:
TKPROF ora53269.trc ora53269.prf SORT = (PRSDSK, EXEDSK, FCHDSK) PRINT = 10
Example 23-5 Generating a SQL Script
This example runs
TKPROF
, accepts a trace file named
examp12_jane_fg_sqlplus_007.trc
, and writes a formatted output file named
outputa.prf
:
TKPROF examp12_jane_fg_sqlplus_007.trc OUTPUTA.PRF EXPLAIN=hr
TABLE=hr.temp_plan_table_a INSERT=STOREA.SQL SYS=NO
SORT=(EXECPU,FCHCPU)
This example is likely to be longer than a single line on the screen, and you might
need to use continuation characters, depending on the operating system.
Note the other parameters in this example:
•The
EXPLAIN
value causes
TKPROF
to connect as the user
hr
and use the
EXPLAIN
PLAN
statement to generate the execution plan for each traced SQL statement. You
can use this to get access paths and row source counts.
Note:
If the cursor for a SQL statement is not closed, then
TKPROF
output does
not automatically include the actual execution plan of the SQL statement.
In this situation, you can use the
EXPLAIN
option with
TKPROF
to generate
an execution plan.
•The
TABLE
value causes
TKPROF
to use the table
temp_plan_table_a
in the schema
scott
as a temporary plan table.
•The
INSERT
value causes
TKPROF
to generate a SQL script named
STOREA
.
SQL
that
stores statistics for all traced SQL statements in the database.
•The
SYS
parameter with the value of
NO
causes
TKPROF
to omit recursive SQL
statements from the output file. In this way, you can ignore internal Oracle
Database statements such as temporary table operations.
Chapter 23
Application Tracing Utilities
23-30

•The
SORT
value causes
TKPROF
to sort the SQL statements in order of the sum of
the CPU time spent executing and the CPU time spent fetching rows before writing
them to the output file. For greatest efficiency, always use
SORT
parameters.
Example 23-6 TKPROF Header
This example shows a sample header for the TKPROF report.
TKPROF: Release 12.1.0.0.2
Copyright (c) 1982, 2012, Oracle and/or its affiliates. All rights reserved.
Trace file: /disk1/oracle/log/diag/rdbms/orcla/orcla/trace/orcla_ora_917.trc
Sort options: default
********************************************************************************
count = number of times OCI procedure was executed
cpu = cpu time in seconds executing
elapsed = elapsed time in seconds executing
disk = number of physical reads of buffers from disk
query = number of buffers gotten for consistent read
current = number of buffers gotten in current mode (usually for update)
rows = number of rows processed by the fetch or execute call
********************************************************************************
Example 23-7 TKPROF Body
This example shows a sample body for a TKPROF report.
call count cpu elapsed disk query current rows
------- ------ -------- ---------- ---------- ---------- ---------- ----------
Parse 1 0.01 0.00 0 0 0 0
Execute 1 0.00 0.00 0 0 0 0
Fetch 0 0.00 0.00 0 0 0 0
------- ------ -------- ---------- ---------- ---------- ---------- ----------
total 2 0.01 0.00 0 0 0 0
Misses in library cache during parse: 1
Optimizer mode: FIRST_ROWS
Parsing user id: 44
Elapsed times include waiting on following events:
Event waited on Times Max. Wait Total Waited
---------------------------------------- Waited ---------- ------------
SQL*Net message to client 1 0.00 0.00
SQL*Net message from client 1 28.59 28.59
********************************************************************************
select condition
from
cdef$ where rowid=:1
call count cpu elapsed disk query current rows
------- ------ -------- ---------- ---------- ---------- ---------- ----------
Parse 1 0.00 0.00 0 0 0 0
Execute 1 0.00 0.00 0 0 0 0
Fetch 1 0.00 0.00 0 2 0 1
------- ------ -------- ---------- ---------- ---------- ---------- ----------
total 3 0.00 0.00 0 2 0 1
Misses in library cache during parse: 1
Optimizer mode: CHOOSE
Chapter 23
Application Tracing Utilities
23-31

Parsing user id: SYS (recursive depth: 1)
Rows Row Source Operation
------- ---------------------------------------------------
1 TABLE ACCESS BY USER ROWID OBJ#(31) (cr=1 r=0 w=0 time=151 us)
********************************************************************************
SELECT last_name, job_id, salary
FROM employees
WHERE salary =
(SELECT max(salary) FROM employees)
call count cpu elapsed disk query current rows
------- ------ -------- ---------- ---------- ---------- ---------- ----------
Parse 1 0.02 0.01 0 0 0 0
Execute 1 0.00 0.00 0 0 0 0
Fetch 2 0.00 0.00 0 15 0 1
------- ------ -------- ---------- ---------- ---------- ---------- ----------
total 4 0.02 0.01 0 15 0 1
Misses in library cache during parse: 1
Optimizer mode: FIRST_ROWS
Parsing user id: 44
Rows Row Source Operation
------- ---------------------------------------------------
1 TABLE ACCESS FULL EMPLOYEES (cr=15 r=0 w=0 time=1743 us)
1 SORT AGGREGATE (cr=7 r=0 w=0 time=777 us)
107 TABLE ACCESS FULL EMPLOYEES (cr=7 r=0 w=0 time=655 us)
Elapsed times include waiting on following events:
Event waited on Times Max. Wait Total Waited
---------------------------------------- Waited ---------- ------------
SQL*Net message to client 2 0.00 0.00
SQL*Net message from client 2 9.62 9.62
********************************************************************************
********************************************************************************
delete
from stats$sqltext st
where (hash_value, text_subset) not in
(select --+ hash_aj
hash_value, text_subset
from stats$sql_summary ss
where ( ( snap_id < :lo_snap
or snap_id > :hi_snap
)
and dbid = :dbid
and instance_number = :inst_num
)
or ( dbid != :dbid
or instance_number != :inst_num)
)
call count cpu elapsed disk query current rows
------- ------ -------- ---------- ---------- ---------- ---------- ----------
Parse 1 0.00 0.00 0 0 0 0
Execute 1 29.60 60.68 266984 43776 131172 28144
Fetch 0 0.00 0.00 0 0 0 0
------- ------ -------- ---------- ---------- ---------- ---------- ----------
Chapter 23
Application Tracing Utilities
23-32

total 2 29.60 60.68 266984 43776 131172 28144
Misses in library cache during parse: 1
Misses in library cache during execute: 1
Optimizer mode: CHOOSE
Parsing user id: 22
Rows Row Source Operation
------- ---------------------------------------------------
0 DELETE (cr=43141 r=266947 w=25854 time=60235565 us)
28144 HASH JOIN ANTI (cr=43057 r=262332 w=25854 time=48830056 us)
51427 TABLE ACCESS FULL STATS$SQLTEXT (cr=3465 r=3463 w=0 time=865083 us)
647529 INDEX FAST FULL SCAN STATS$SQL_SUMMARY_PK
(cr=39592 r=39325 w=0 time=10522877 us) (object id 7409)
Elapsed times include waiting on following events:
Event waited on Times Max. Wait Total Waited
---------------------------------------- Waited ---------- ------------
db file sequential read 8084 0.12 5.34
direct path write 834 0.00 0.00
direct path write temp 834 0.00 0.05
db file parallel read 8 1.53 5.51
db file scattered read 4180 0.07 1.45
direct path read 7082 0.00 0.05
direct path read temp 7082 0.00 0.44
rdbms ipc reply 20 0.00 0.01
SQL*Net message to client 1 0.00 0.00
SQL*Net message from client 1 0.00 0.00
********************************************************************************
Example 23-8 TKPROF Summary
This example that shows a summary for the TKPROF report.
OVERALL TOTALS FOR ALL NON-RECURSIVE STATEMENTS
call count cpu elapsed disk query current rows
------- ------ -------- ---------- ---------- ---------- ---------- ----------
Parse 4 0.04 0.01 0 0 0 0
Execute 5 0.00 0.04 0 0 0 0
Fetch 2 0.00 0.00 0 15 0 1
------- ------ -------- ---------- ---------- ---------- ---------- ----------
total 11 0.04 0.06 0 15 0 1
Misses in library cache during parse: 4
Misses in library cache during execute: 1
Elapsed times include waiting on following events:
Event waited on Times Max. Wait Total Waited
---------------------------------------- Waited ---------- ------------
SQL*Net message to client 6 0.00 0.00
SQL*Net message from client 5 77.77 128.88
OVERALL TOTALS FOR ALL RECURSIVE STATEMENTS
call count cpu elapsed disk query current rows
------- ------ -------- ---------- ---------- ---------- ---------- ----------
Parse 1 0.00 0.00 0 0 0 0
Execute 1 0.00 0.00 0 0 0 0
Fetch 1 0.00 0.00 0 2 0 1
------- ------ -------- ---------- ---------- ---------- ---------- ----------
total 3 0.00 0.00 0 2 0 1
Chapter 23
Application Tracing Utilities
23-33

Misses in library cache during parse: 1
5 user SQL statements in session.
1 internal SQL statements in session.
6 SQL statements in session.
********************************************************************************
Trace file: main_ora_27621.trc
Trace file compatibility: 9.00.01
Sort options: default
1 session in tracefile.
5 user SQL statements in trace file.
1 internal SQL statements in trace file.
6 SQL statements in trace file.
6 unique SQL statements in trace file.
76 lines in trace file.
128 elapsed seconds in trace file.
23.7.1 Views for Application Tracing
You can use data dictionary and
V$
views to monitor tracing.
This section includes the following topics:
•Views Relevant for Trace Statistics
You can display the statistics that have been gathered with the following
V$
and
DBA
views.
•Views Related to Enabling Tracing
A Cloud Control report or the
DBA_ENABLED_TRACES
view can display outstanding
traces.
23.7.1.1 Views Relevant for Trace Statistics
You can display the statistics that have been gathered with the following
V$
and
DBA
views.
Table 23-7 Diagnostic Views
View Description
DBA_ENABLED_AGGREGATIONS
Accumulated global statistics for the currently enabled statistics
V$CLIENT_STATS
Accumulated statistics for a specified client identifier
V$SERVICE_STATS
Accumulated statistics for a specified service
V$SERV_MOD_ACT_STATS
Accumulated statistics for a combination of specified service,
module, and action
V$SERVICEMETRIC
Accumulated statistics for elapsed time of database calls and
for CPU use
V$DIAG_TRACE_FILE
Information about all trace files in ADR for the current container
V$DIAG_APP_TRACE_FILE
Information about all trace files that contain application trace
data (
SQL_TRACE
or
OPTIMIZER_TRACE
event data) in ADR for the
current container
V$DIAG_TRACE_FILE_CONTENTS
Trace data in the trace files in ADR
V$DIAG_SQL_TRACE_RECORDS SQL_TRACE
data in the trace files in ADR
V$DIAG_OPT_TRACE_RECORDS
Optimizer trace event data in the trace files in ADR
Chapter 23
Views for Application Tracing
23-34

Table 23-7 (Cont.) Diagnostic Views
View Description
V$DIAG_SESS_SQL_TRACE_RECORDS SQL_TRACE
data in the trace files in ADR for the current user
session
V$DIAG_SESS_OPT_TRACE_RECORDS
Optimizer trace event data in the trace files in ADR for the
current user session
V$DIAG_ALERT_EXT
Contents of the XML-based alert log in ADR for the current
container
23.7.1.2 Views Related to Enabling Tracing
A Cloud Control report or the
DBA_ENABLED_TRACES
view can display outstanding traces.
In the
DBA_ENABLED_TRACES
view, you can determine detailed information about how a
trace was enabled, including the trace type. The trace type specifies whether the trace
is enabled for client identifier, session, service, database, or a combination of service,
module, and action.
Chapter 23
Views for Application Tracing
23-35

Part VIII
Automatic SQL Tuning
SQL Tuning Advisor and SQL Access Advisor are built-in tools that provide SQL
tuning recommendations.
This part contains the following chapters:
•Managing SQL Tuning Sets
You can use SQL tuning sets to group statements and related metadata into a
single object, which you can use as input to SQL tuning tools.
•Analyzing SQL with SQL Tuning Advisor
Use SQL Tuning Advisor to obtain recommendations for improving performance of
high-load SQL statements, and prevent regressions by only executing optimal
plans.
•Optimizing Access Paths with SQL Access Advisor
SQL Access Advisor is diagnostic software that identifies and helps resolve SQL
performance problems by recommending indexes, materialized views,
materialized view logs, or partitions to create, drop, or retain.

24
Managing SQL Tuning Sets
You can use SQL tuning sets to group statements and related metadata into a single
object, which you can use as input to SQL tuning tools.
This chapter contains the following topics:
•About SQL Tuning Sets
A SQL tuning set (STS) is a database object that you can use as input to tuning
tools.
•Creating a SQL Tuning Set
Use the
CREATE_SQLSET
procedure in
DBMS_SQLTUNE
or
DBMS_SQLSET
to create an empty
STS in the database.
•Loading a SQL Tuning Set
To load an STS with SQL statements, use the
LOAD_SQLSET
procedure in the
DBMS_SQLTUNE
or
DBMS_SQLSET
package.
•Displaying the Contents of a SQL Tuning Set
To read the contents of an STS after it has been created and populated, use the
SELECT_SQLSET
function of
DBMS_SQLTUNE
or
DBMS_SQLSET
, optionally using filtering
criteria.
•Modifying a SQL Tuning Set
Use the
DELETE_SQLSET
procedure in
DBMS_SQLTUNE
or
DBMS_SQLSET
to delete SQL
statements from an STS.
•Transporting a SQL Tuning Set
You can transport an STS to any database created in Oracle Database 10g
Release 2 (10.2) or later. This technique is useful when using SQL Performance
Analyzer to tune regressions on a test database.
•Dropping a SQL Tuning Set
To drop an STS from the database, use the
DROP_SQLSET
procedure in the
DBMS_SQLTUNE
or
DBMS_SQLSET
package.
24.1 About SQL Tuning Sets
A SQL tuning set (STS) is a database object that you can use as input to tuning tools.
The database stores SQL tuning sets in a database-provided schema. An STS
includes:
•A set of SQL statements
•Associated execution context, such as user schema, application module name and
action, list of bind values, and the environment for SQL compilation of the cursor
•Associated basic execution statistics, such as elapsed time, CPU time, buffer gets,
disk reads, rows processed, cursor fetches, the number of executions, the number
of complete executions, optimizer cost, and the command type
24-1

•Associated execution plans and row source statistics for each SQL statement
(optional)
Note:
Data visibility and privilege requirements may differ when using an STS with
pluggable databases. See Oracle Database Administrator’s Guide for a table
that summarizes how manageability features work in a container database
(CDB).
This section contains the following topics:
•Purpose of SQL Tuning Sets
An STS enables you to group SQL statements and related metadata in a single
database object, which you can use to meet your tuning goals.
•Concepts for SQL Tuning Sets
To create an STS, you must load SQL statements into an STS from a source.
•User Interfaces for SQL Tuning Sets
You can use either Oracle Enterprise Manager Cloud Control (Cloud Control) or
PL/SQL packages to manage SQL tuning sets. Oracle recommends Cloud
Control.
•Basic Tasks for SQL Tuning Sets
DBMS_SQLTUNE
provides the procedures necessary for creating, using, and deleting
SQL tuning sets.
24.1.1 Purpose of SQL Tuning Sets
An STS enables you to group SQL statements and related metadata in a single
database object, which you can use to meet your tuning goals.
Specifically, SQL tuning sets achieve the following goals:
•Providing input to the performance tuning advisors
You can use an STS as input to multiple database advisors, including SQL Tuning
Advisor, SQL Access Advisor, and SQL Performance Analyzer.
•Transporting SQL between databases
You can export SQL tuning sets from one database to another, enabling transfer
of SQL workloads between databases for remote performance diagnostics and
tuning. When suboptimally performing SQL statements occur on a production
database, developers may not want to investigate and tune directly on the
production database. The DBA can transport the problematic SQL statements to a
test database where the developers can safely analyze and tune them.
24.1.2 Concepts for SQL Tuning Sets
To create an STS, you must load SQL statements into an STS from a source.
As shown in Figure 24-1, the source can be Automatic Workload Repository (AWR),
the shared SQL area, customized SQL provided by the user, trace files, or another
STS.
Chapter 24
About SQL Tuning Sets
24-2

Figure 24-1 SQL Tuning Sets
SQL Tuning
Advisor
SQL Access
Advisor
SQL Performance
Analyzer
Transport
Filter
Custom
SQL
AWR
Shared SQL
Area
SQL Trace
Files
STS
SQL tuning sets can do the following:
•Filter SQL statements using the application module name and action, or any
execution statistics
•Rank SQL statements based on any combination of execution statistics
•Serve as input to the advisors or transport it to a different database
24.1.3 User Interfaces for SQL Tuning Sets
You can use either Oracle Enterprise Manager Cloud Control (Cloud Control) or
PL/SQL packages to manage SQL tuning sets. Oracle recommends Cloud Control.
This section contains the following topics:
Chapter 24
About SQL Tuning Sets
24-3

•Accessing the SQL Tuning Sets Page in Cloud Control
The SQL Tuning Sets page in Cloud Control is the starting page from which you
can perform most operations relating to SQL tuning sets.
•Command-Line Interface to SQL Tuning Sets
On the command line, you can use the
DBMS_SQLTUNE
or
DBMS_SQLSET
packages to
manage SQL tuning sets.
24.1.3.1 Accessing the SQL Tuning Sets Page in Cloud Control
The SQL Tuning Sets page in Cloud Control is the starting page from which you can
perform most operations relating to SQL tuning sets.
To access the SQL Tuning Sets page:
1. Log in to Cloud Control with the appropriate credentials.
2. Under the Targets menu, select Databases.
3. In the list of database targets, select the target for the Oracle Database instance
that you want to administer.
4. If prompted for database credentials, then enter the minimum credentials
necessary for the tasks you intend to perform.
5. From the Performance menu, select SQL, then SQL Tuning Sets.
The SQL Tuning Sets page appears, as shown in Figure 24-2.
Figure 24-2 SQL Tuning Sets
24.1.3.2 Command-Line Interface to SQL Tuning Sets
On the command line, you can use the
DBMS_SQLTUNE
or
DBMS_SQLSET
packages to
manage SQL tuning sets.
You must have the
ADMINISTER SQL TUNING SET
system privilege to manage SQL tuning
sets that you own, or the
ADMINISTER ANY SQL TUNING SET
system privilege to manage
any SQL tuning sets.
The traditional package for managing SQL tuning sets is
DBMS_SQLTUNE
, which requires
the Oracle Tuning Pack. Starting in Oracle Database 18c, you can perform the same
tasks with
DBMS_SQLSET
, which does not require the Oracle Tuning Pack. In most cases,
the name of the subprogram in
DBMS_SQLSET
is identical to the name of the equivalent
Chapter 24
About SQL Tuning Sets
24-4

subprogram in
DBMS_SQLTUNE
. The following table shows only the subprograms whose
names differ.
Table 24-1 Naming Differences for SQL Tuning Set Subprograms
DBMS_SQLTUNE DBMS_SQLSET
ADD_SQLSET_REFERENCE ADD_REFERENCE
CAPTURE_CURSOR_CACHE_SQLSET CAPTURE_CURSOR_CACHE
CREATE_STGTAB_SQLSET CREATE_STGTAB
PACK_STGTAB_SQLSET PACK_STGTAB
REMAP_STGTAB_SQLSET REMAP_STGTAB
REVOVE_SQLSET_REFERENCE REMOVE_REFERENCE
UNPACK_STGTAB_SQLSET UNPACK_STGTAB
24.1.4 Basic Tasks for SQL Tuning Sets
DBMS_SQLTUNE
provides the procedures necessary for creating, using, and deleting SQL
tuning sets.
Note:
Alternatively, you can use the corresponding subprograms in
DBMS_SQLSET
. In
most cases, the subprograms have identical names.
The following graphic shows the basic workflow.
Chapter 24
About SQL Tuning Sets
24-5

Figure 24-3 SQL Tuning Sets APIs
LOAD_SQLSET
Create a Tuning Task
CREATE_SQLSET
DROP_SQLSET
DELETE_SQLSET
UPDATE SQLSET
CREATE_STGTAB_SQLSET
PACK_STGTAB_SQLSET
Transport STS
UNPACK_STGTAB_SQLSET
Modify STS
Contents
Display
Contents
of STS
Create STS
Drop STS
Populate STS
with SQL
Optionally, transport
STS to different
database
SELECT_SQLSET
Typically, you perform STS operations in the following sequence:
1. Create a new STS.
"Creating a SQL Tuning Set" describes this task.
2. Load the STS with SQL statements and associated metadata.
"Loading a SQL Tuning Set" describes this task.
3. Optionally, display the contents of the STS.
"Displaying the Contents of a SQL Tuning Set" describes this task.
4. Optionally, update or delete the contents of the STS.
"Modifying a SQL Tuning Set" describes this task.
5. Create a tuning task with the STS as input.
6. Optionally, transport the STS to another database.
"Transporting a SQL Tuning Set" describes this task.
7. Drop the STS when finished.
"Dropping a SQL Tuning Set" describes this task.
Chapter 24
About SQL Tuning Sets
24-6

24.2 Creating a SQL Tuning Set
Use the
CREATE_SQLSET
procedure in
DBMS_SQLTUNE
or
DBMS_SQLSET
to create an empty
STS in the database.
Using the function instead of the procedure causes the database to generate a name
for the STS. The following table describes some procedure parameters.
Table 24-2 DBMS_SQLTUNE.CREATE_SQLSET Parameters
Parameter Description
sqlset_name
Name of the STS
description
Optional description of the STS
Assumptions
This tutorial assumes that
•You want to create an STS named
SQLT_WKLD_STS
.
•You use
DBMS_SQLTUNE
instead of
DBMS_SQLSET
.
To create an STS:
1. In SQL*Plus or SQL Developer, log in to the database as a user with the
necessary privileges.
2. Use the
DBMS_SQLTUNE.CREATE_SQLSET
procedure.
For example, execute the following PL/SQL program:
BEGIN
DBMS_SQLTUNE.CREATE_SQLSET (
sqlset_name => 'SQLT_WKLD_STS'
, description => 'STS to store SQL from the private SQL area'
);
END;
3. Optionally, confirm that the STS was created.
The following example queries the status of all SQL tuning sets owned by the
current user:
COLUMN NAME FORMAT a20
COLUMN COUNT FORMAT 99999
COLUMN DESCRIPTION FORMAT a11
SELECT NAME, STATEMENT_COUNT AS "SQLCNT", DESCRIPTION
FROM USER_SQLSET;
Sample output appears below:
NAME SQLCNT DESCRIPTION
-------------------- ------ -----------
SQLT_WKLD_STS 2 SQL Cache
Chapter 24
Creating a SQL Tuning Set
24-7

24.3 Loading a SQL Tuning Set
To load an STS with SQL statements, use the
LOAD_SQLSET
procedure in the
DBMS_SQLTUNE
or
DBMS_SQLSET
package.
The standard sources for populating an STS are AWR, another STS, or the shared
SQL area. For both the workload repository and SQL tuning sets, predefined table
functions can select columns from the source to populate a new STS.
The following table describes some
DBMS_SQLTUNE.LOAD_SQLSET
procedure parameters.
Table 24-3 DBMS_SQLTUNE.LOAD_SQLSET Parameters
Parameter Description
populate_cursor
Specifies the cursor reference from which to populate the STS.
load_option
Specifies how the statements are loaded into the STS. The
possible values are
INSERT
(default),
UPDATE
, and
MERGE
.
The
DBMS_SQLTUNE.SELECT_CURSOR_CACHE
function collects SQL statements from the
shared SQL area according to the specified filter. This function returns one
SQLSET_ROW
per SQL ID or
PLAN_HASH_VALUE
pair found in each data source.
Use the
DBMS_SQLTUNE.CAPTURE_CURSOR_CACHE_SQLSET
function (or the equivalent
DBMS_SQLSET.CAPTURE_CURSOR_CACHE
) to repeatedly poll the shared SQL area over a
specified interval. This function is more efficient than repeatedly calling the
SELECT_CURSOR_CACHE
and
LOAD_SQLSET
procedures. This function effectively captures the
entire workload, as opposed to the AWR, which only captures the workload of high-
load SQL statements, or the
LOAD_SQLSET
procedure, which accesses the data source
only once.
Prerequisites
This tutorial has the following prerequisites:
•Filters provided to the
SELECT_CURSOR_CACHE
function are evaluated as part of SQL
statements run by the current user. As such, they are executed with that user's
security privileges and can contain any constructs and subqueries that user can
access, but no more.
•The current user must have privileges on the shared SQL area views.
Assumptions
This tutorial assumes the following:
•You want to load the SQL tuning set named
SQLT_WKLD_STS
with statements from
the shared SQL area.
•You want to use
DBMS_SQLTUNE
rather than
DBMS_SQLSET
to load the STS.
To load an STS:
1. In SQL*Plus or SQL Developer, log in to the database as a user with the
necessary privileges.
2. Run the
DBMS_SQLTUNE.LOAD_SQLSET
procedure.
Chapter 24
Loading a SQL Tuning Set
24-8

For example, execute the following PL/SQL program to populate a SQL tuning set
with all cursor cache statements that belong to the
sh
schema:
DECLARE
c_sqlarea_cursor DBMS_SQLTUNE.SQLSET_CURSOR;
BEGIN
OPEN c_sqlarea_cursor FOR
SELECT VALUE(p)
FROM TABLE(
DBMS_SQLTUNE.SELECT_CURSOR_CACHE(
' module = ''SQLT_WKLD'' AND parsing_schema_name = ''SH'' ')
) p;
-- load the tuning set
DBMS_SQLTUNE.LOAD_SQLSET (
sqlset_name => 'SQLT_WKLD_STS'
, populate_cursor => c_sqlarea_cursor
);
END;
/
24.4 Displaying the Contents of a SQL Tuning Set
To read the contents of an STS after it has been created and populated, use the
SELECT_SQLSET
function of
DBMS_SQLTUNE
or
DBMS_SQLSET
, optionally using filtering criteria.
Select the output of
SELECT_SQLSET
using a PL/SQL pipelined table function, which
accepts a collection of rows as input. You invoke the table function as the operand of
the table operator in the
FROM
list of a
SELECT
statement. The following table describes
some
SELECT_SQLSET
function parameters.
Table 24-4 DBMS_SQLTUNE.SELECT_SQLSET Parameters
Parameter Description
basic_filter
The SQL predicate to filter the SQL from the STS defined on attributes
of the
SQLSET_ROW
object_filter
Specifies the objects that exist in the object list of selected SQL from
the shared SQL area
The following table describes some attributes of the
SQLSET_ROW
object. These attributes
appears as columns when you query
TABLE(DBMS_SQLTUNE.SELECT_SQLSET())
.
Table 24-5 SQLSET_ROW Attributes
Parameter Description
parsing_schema_name
Schema in which the SQL is parsed
elapsed_time
Sum of the total number of seconds elapsed for this SQL statement
buffer_gets
Total number of buffer gets (number of times the database accessed a
block) for this SQL statement
Assumptions
This tutorial assumes the following:
•You want to display the contents of an STS named
SQLT_WKLD_STS
.
Chapter 24
Displaying the Contents of a SQL Tuning Set
24-9

•You are using
DBMS_SQLTUNE
instead of
DBMS_SQLSET
.
To display the contents of an STS:
1. In SQL*Plus or SQL Developer, log in to the database as a user with the
necessary privileges.
2. Query the STS contents using the
TABLE
function.
For example, execute the following query:
COLUMN SQL_TEXT FORMAT a30
COLUMN SCH FORMAT a3
COLUMN ELAPSED FORMAT 999999999
SELECT SQL_ID, PARSING_SCHEMA_NAME AS "SCH", SQL_TEXT,
ELAPSED_TIME AS "ELAPSED", BUFFER_GETS
FROM TABLE( DBMS_SQLTUNE.SELECT_SQLSET( 'SQLT_WKLD_STS' ) );
Sample output appears below:
SQL_ID SCH SQL_TEXT ELAPSED BUFFER_GETS
------------- --- ------------------------------ ---------- -----------
79f8shn041a1f SH select * from sales where quan 8373148 24016
tity_sold < 5 union select * f
rom sales where quantity_sold
> 500
2cqsw036j5u7r SH select promo_name, count(*) c 3557373 309
from promotions p, sales s whe
re s.promo_id = p.promo_id and
p.promo_category = 'internet'
group by p.promo_name order b
y c desc
fudq5z56g642p SH select sum(quantity_sold) from 4787891 12118
sales s, products p where s.p
rod_id = p.prod_id and s.amoun
t_sold > 20000 and p.prod_name
= 'Linen Big Shirt'
bzmnj0nbvmz8t SH select * from sales where amou 442355 15281
nt_sold = 4
3. Optionally, filter the results based on user-specific criteria.
The following example displays statements with a disk reads to buffer gets ratio
greater than or equal to 50%:
COLUMN SQL_TEXT FORMAT a30
COLUMN SCH FORMAT a3
COLUMN BUF_GETS FORMAT 99999999
COLUMN DISK_READS FORMAT 99999999
COLUMN %_DISK FORMAT 9999.99
SELECT sql_id, parsing_schema_name as "SCH", sql_text,
buffer_gets as "B_GETS",
disk_reads, ROUND(disk_reads/buffer_gets*100,2) "%_DISK"
FROM TABLE( DBMS_SQLTUNE.SELECT_SQLSET(
'SQLT_WKLD_STS',
'(disk_reads/buffer_gets) >= 0.50' ) );
Sample output appears below:
Chapter 24
Displaying the Contents of a SQL Tuning Set
24-10

SQL_ID SCH SQL_TEXT B_GETS DISK_READS %_DISK
------------- --- ------------------------------ ------ ---------- -------
79f8shn041a1f SH select * from sales where quan 24016 17287 71.98
tity_sold < 5 union select * f
rom sales where quantity_sold
> 500
fudq5z56g642p SH select sum(quantity_sold) from 12118 6355 52.44
sales s, products p where s.p
rod_id = p.prod_id and s.amoun
t_sold > 20000 and p.prod_name
= 'Linen Big Shirt'
24.5 Modifying a SQL Tuning Set
Use the
DELETE_SQLSET
procedure in
DBMS_SQLTUNE
or
DBMS_SQLSET
to delete SQL
statements from an STS.
You can use the
UPDATE_SQLSET
procedure to update the attributes of SQL statements
(such as
PRIORITY
or
OTHER
) in an existing STS identified by STS name and SQL ID.
Assumptions
This tutorial assumes that you want to modify
SQLT_WKLD_STS
as follows:
•You want to delete all SQL statements with fetch counts over 100.
•You want to change the priority of the SQL statement with ID
fudq5z56g642p
to
1
.
You can use priority as a ranking criteria when running SQL Tuning Advisor.
•You use
DBMS_SQLTUNE
instead of
DBMS_SQLSET
.
To modify the contents of an STS:
1. In SQL*Plus or SQL Developer, log in to the database as a user with the
necessary privileges.
2. Optionally, query the STS contents using the
TABLE
function.
For example, execute the following query:
SELECT SQL_ID, ELAPSED_TIME, FETCHES, EXECUTIONS
FROM TABLE(DBMS_SQLTUNE.SELECT_SQLSET('SQLT_WKLD_STS'));
Sample output appears below:
SQL_ID ELAPSED_TIME FETCHES EXECUTIONS
------------- ------------ ---------- ----------
2cqsw036j5u7r 3407459 2 1
79f8shn041a1f 9453965 61258 1
bzmnj0nbvmz8t 401869 1 1
fudq5z56g642p 5300264 1 1
3. Delete SQL statements based on user-specified criteria.
Use the
basic_filter
predicate to filter the SQL from the STS defined on attributes
of the
SQLSET_ROW
. The following example deletes all statements in the STS with
fetch counts over 100:
BEGIN
DBMS_SQLTUNE.DELETE_SQLSET (
sqlset_name => 'SQLT_WKLD_STS'
Chapter 24
Modifying a SQL Tuning Set
24-11

, basic_filter => 'fetches > 100'
);
END;
/
4. Set attribute values for SQL statements.
The following example sets the priority of statement
2cqsw036j5u7r
to
1
:
BEGIN
DBMS_SQLTUNE.UPDATE_SQLSET (
sqlset_name => 'SQLT_WKLD_STS'
, sql_id => '2cqsw036j5u7r'
, attribute_name => 'PRIORITY'
, attribute_value => 1
);
END;
/
5. Optionally, query the STS to confirm that the intended modifications were made.
For example, execute the following query:
SELECT SQL_ID, ELAPSED_TIME, FETCHES, EXECUTIONS, PRIORITY
FROM TABLE(DBMS_SQLTUNE.SELECT_SQLSET('SQLT_WKLD_STS'));
Sample output appears below:
SQL_ID ELAPSED_TIME FETCHES EXECUTIONS PRIORITY
------------- ------------ ---------- ---------- ----------
2cqsw036j5u7r 3407459 2 1 1
bzmnj0nbvmz8t 401869 1 1
fudq5z56g642p 5300264 1 1
24.6 Transporting a SQL Tuning Set
You can transport an STS to any database created in Oracle Database 10g Release 2
(10.2) or later. This technique is useful when using SQL Performance Analyzer to tune
regressions on a test database.
This section contains the following topics:
•About Transporting SQL Tuning Sets
Transporting SQL tuning sets between databases means copying the SQL tuning
sets to and from a staging table, and then using other tools to move the staging
table to the destination database. The most common tools are Oracle Data Pump
or a database link.
•Transporting SQL Tuning Sets with DBMS_SQLTUNE
You can transport SQL tuning sets using three subprograms in the
DBMS_SQLTUNE
or
DBMS_SQLSET
package.
24.6.1 About Transporting SQL Tuning Sets
Transporting SQL tuning sets between databases means copying the SQL tuning sets
to and from a staging table, and then using other tools to move the staging table to the
destination database. The most common tools are Oracle Data Pump or a database
link.
This section contains the following topics:
Chapter 24
Transporting a SQL Tuning Set
24-12

•Basic Steps for Transporting SQL Tuning Sets
Transporting SQL tuning sets requires exporting the STS, transporting the dump
file, and then importing the dump file.
•Basic Steps for Transporting SQL Tuning Sets When the CON_DBID Values Differ
When transporting an STS, you must remap the
con_dbid
of each SQL statement
in the STS when the
con_dbid
of the source database and the destination database
are different.
24.6.1.1 Basic Steps for Transporting SQL Tuning Sets
Transporting SQL tuning sets requires exporting the STS, transporting the dump file,
and then importing the dump file.
The following graphic shows the process using Oracle Data Pump and
ftp
.
Figure 24-4 Transporting SQL Tuning Sets
Transport ftp, nfs
Production
Database
Test
Database
Staging Table
Data Pump
Export
.dmp
file
Data Pump
Import
.dmp
file
System-Supplied Schema System-Supplied Schema
PACK_STGTAB_SQLSET UNPACK_STGTAB_SQLSET
Staging Table
As shown in Figure 24-4, the steps are as follows:
1. In the production database, pack the STS into a staging table using
DBMS_SQLTUNE.PACK_STGTAB_SQLSET
or
DBMS_SQLSET.PACK_STGTAB
.
2. Export the STS from the staging table to a
.dmp
file using Oracle Data Pump.
3. Transfer the
.dmp
file from the production host to the test host using a transfer tool
such as
ftp
.
4. In the test database, import the STS from the
.dmp
file to a staging table using
Oracle Data Pump.
5. Unpack the STS from the staging table using
DBMS_SQLTUNE.UNPACK_STGTAB_SQLSET
or
DBMS_SQLSET.UNPACK_STGTAB
.
Chapter 24
Transporting a SQL Tuning Set
24-13

24.6.1.2 Basic Steps for Transporting SQL Tuning Sets When the CON_DBID
Values Differ
When transporting an STS, you must remap the
con_dbid
of each SQL statement in the
STS when the
con_dbid
of the source database and the destination database are
different.
Situations that cause the
con_dbid
value to differ include the following:
•A single-instance database whose instance has been restarted
•Different instances of an Oracle RAC database
•Different PDBs
•A non-CDB and a CDB
The basic steps for remapping are as follows:
1. Pack the STS into a staging table using
DBMS_SQLTUNE.PACK_STGTAB_SQLSET
or
DBMS_SQLSET.PACK_STGTAB
.
2. Remap each
con_dbid
in the staging table using
DBMS_SQLTUNE.REMAP_STGTAB_SQLSET
or
DBMS_SQLSET.REMAP_STGTAB
.
3. Export the STS.
4. Unpack the STS in the destination CDB.
Example 24-1 Remapping a CON_DBID When Transporting an STS from a Non-
CDB to a CDB
In this example, you intend to transport an STS named
STS_for_transport
from a non-
CDB to a CDB. On the source non-CDB, you have already packed the STS into
source staging table
src_stg_tbl
using the
DBMS_SQLTUNE.PACK_STGTAB_SQLSET
procedure. The container ID of the destination CDB is
12345
.
In the source non-CDB, you execute the following commands:
VARIABLE con_dbid_src NUMBER;
EXEC SELECT UNIQUE con_dbid INTO :con_dbid_src FROM src_stg_tbl;
BEGIN
DBMS_SQLTUNE.REMAP_STGTAB_SQLSET (
staging_table_name => 'src_stg_tbl'
, staging_schema_owner => 'dba1'
, old_sqlset_name => 'STS_for_transport'
, old_con_dbid => :con_dbid_src
, new_con_dbid => 12345);
END;
You can now export the contents of the staging table, and then continue using the
normal transport procedure.
Chapter 24
Transporting a SQL Tuning Set
24-14

24.6.2 Transporting SQL Tuning Sets with DBMS_SQLTUNE
You can transport SQL tuning sets using three subprograms in the
DBMS_SQLTUNE
or
DBMS_SQLSET
package.
The following table describes the procedures relevant for transporting SQL tuning sets.
Table 24-6 Procedures for Transporting SQL Tuning Sets
DBMS_SQLTUNE
Procedure
Equivalent DBMS_SQLSET
Procedure
Description
CREATE_STGTAB_SQLSET CREATE_STGTAB
Create a staging table to hold
the exported SQL tuning sets
PACK_STGTAB_SQLSET PACK_STGTAB
Populate a staging table with
SQL tuning sets
UNPACK_STGTAB_SQLSET UNPACK_STGTAB
Copy the SQL tuning sets from
the staging table into a
database
Assumptions
This tutorial assumes the following:
•An STS with regressed SQL resides in a production database created in the
current release.
•You run SQL Performance Analyzer trials on a remote test database created in
Oracle Database 11g Release 2 (11.2).
•You want to copy the STS from the production database to the test database and
tune the regressions from the SQL Performance Analyzer trials.
•You want to use Oracle Database Pump to transfer the SQL tuning sets between
database hosts.
•You use
DBMS_SQLTUNE
rather than
DBMS_SQLSET
.
To transport an STS:
1. In SQL*Plus or SQL Developer, log in to the database as a user with
administrative privileges.
2. Use the
CREATE_STGTAB_SQLSET
procedure to create a staging table to hold the
exported SQL tuning sets.
The following example creates
my_11g_staging_table
in the
dba1
schema and
specifies the format of the staging table as 11.2:
BEGIN
DBMS_SQLTUNE.CREATE_STGTAB_SQLSET (
table_name => 'my_10g_staging_table'
, schema_name => 'dba1'
, db_version => DBMS_SQLTUNE.STS_STGTAB_11_2_VERSION
);
END;
/
Chapter 24
Transporting a SQL Tuning Set
24-15

3. Use the
PACK_STGTAB_SQLSET
procedure to populate the staging table with SQL
tuning sets.
The following example populates
dba1.my_11g_staging_table
with the STS
my_sts
owned by
hr
:
BEGIN
DBMS_SQLTUNE.PACK_STGTAB_SQLSET (
sqlset_name => 'sqlt_wkld_sts'
, sqlset_owner => 'sh'
, staging_table_name => 'my_11g_staging_table'
, staging_schema_owner => 'dba1'
, db_version => DBMS_SQLTUNE.STS_STGTAB_11_2_VERSION
);
END;
/
4. If necessary, remap the container ID values for the statements in the STS as
described in "Basic Steps for Transporting SQL Tuning Sets When the CON_DBID
Values Differ".
5. Use Oracle Data Pump to export the contents of the staging table.
For example, run the
expdp
command at the operating system prompt:
expdp dba1 DIRECTORY=dpump_dir1 DUMPFILE=sts.dmp TABLES=my_11g_staging_table
6. Transfer the dump file to the test database host.
7. Log in to the test host as an administrator, and then use Oracle Data Pump to
import the contents of the staging table.
For example, run the
impdp
command at the operating system prompt:
impdp dba1 DIRECTORY=dpump_dir1 DUMPFILE=sts.dmp TABLES=my_11g_staging_table
8. On the test database, execute the
UNPACK_STGTAB_SQLSET
procedure to copy the
SQL tuning sets from the staging table into the database.
The following example shows how to unpack the SQL tuning sets:
BEGIN
DBMS_SQLTUNE.UNPACK_STGTAB_SQLSET (
sqlset_name => '%'
, replace => true
, staging_table_name => 'my_11g_staging_table');
END;
/
24.7 Dropping a SQL Tuning Set
To drop an STS from the database, use the
DROP_SQLSET
procedure in the
DBMS_SQLTUNE
or
DBMS_SQLSET
package.
Prerequisites
Ensure that no tuning task is currently using the STS to be dropped. If an existing
tuning task is using this STS, then drop the task before dropping the STS. Otherwise,
the database issues an
ORA-13757
error.
Chapter 24
Dropping a SQL Tuning Set
24-16

Assumptions
This tutorial assumes the following:
•You want to drop an STS named
SQLT_WKLD_STS
.
•You use
DBMS_SQLTUNE
instead of
DBMS_SQLSET
.
To drop an STS:
1. In SQL*Plus or SQL Developer, log in to the database as a user with the
necessary privileges.
2. Use the
DBMS_SQLTUNE.DROP_SQLSET
procedure.
For example, execute the following PL/SQL program:
BEGIN
DBMS_SQLTUNE.DROP_SQLSET( sqlset_name => 'SQLT_WKLD_STS' );
END;
/
3. Optionally, confirm that the STS was deleted.
The following example counts the number of SQL tuning sets named
SQLT_WKLD_STS
owned by the current user (sample output included):
SELECT COUNT(*)
FROM USER_SQLSET
WHERE NAME = 'SQLT_WKLD_STS';
COUNT(*)
----------
0
Chapter 24
Dropping a SQL Tuning Set
24-17

25
Analyzing SQL with SQL Tuning Advisor
Use SQL Tuning Advisor to obtain recommendations for improving performance of
high-load SQL statements, and prevent regressions by only executing optimal plans.
This chapter contains the following topics:
•About SQL Tuning Advisor
SQL Tuning Advisor is SQL diagnostic software in the Oracle Database Tuning
Pack.
•Managing the Automatic SQL Tuning Task
When your goal is to identify SQL performance problems proactively, configuring
SQL Tuning Advisor as an automated task is a simple solution. The task
processes selected high-load SQL statements from AWR that qualify as tuning
candidates.
•Running SQL Tuning Advisor On Demand
You can run SQL Tuning Advisor on demand.
25.1 About SQL Tuning Advisor
SQL Tuning Advisor is SQL diagnostic software in the Oracle Database Tuning
Pack.
You can submit one or more SQL statements as input to the advisor and receive
advice or recommendations for how to tune the statements, along with a rationale and
expected benefit.
This section contains the following topics:
•Purpose of SQL Tuning Advisor
SQL Tuning Advisor is a mechanism for resolving problems related to suboptimally
performing SQL statements.
•SQL Tuning Advisor Architecture
Automatic Tuning Optimizer is the central tool used by SQL Tuning Advisor. The
advisor can receive SQL statements as input from multiple sources, analyze these
statements using the optimizer, and then make recommendations.
•SQL Tuning Advisor Operation
You can run SQL Tuning Advisor automatically or on demand. You can also run
the advisor on a local or remote database.
25.1.1 Purpose of SQL Tuning Advisor
SQL Tuning Advisor is a mechanism for resolving problems related to suboptimally
performing SQL statements.
Use SQL Tuning Advisor to obtain recommendations for improving performance of
high-load SQL statements, and prevent regressions by only executing optimal plans.
Tuning recommendations include:
25-1

•Collection of object statistics
•Creation of indexes
•Rewriting SQL statements
•Creation of SQL profiles
•Creation of SQL plan baselines
The recommendations generated by SQL Tuning Advisor help you achieve the
following specific goals:
•Avoid labor-intensive manual tuning
Identifying and tuning high-load SQL statements is challenging even for an expert.
SQL Tuning Advisor uses the optimizer to tune SQL for you.
•Generate recommendations and implement SQL profiles automatically
You can configure an Automatic SQL Tuning task to run nightly in maintenance
windows. When invoked in this way, the advisor can generate recommendations
and also implement SQL profiles automatically.
•Analyze database-generated statistics to achieve optimal plans
The database contains a vast amount of statistics about its own operations. SQL
Tuning Advisor can perform deep mining and analysis of internal information to
improve execution plans.
•Enable developers to tune SQL on a test system instead of the production system
When suboptimally performing SQL statements occur on a production database,
developers may not want to investigate and tune directly on the production
database. The DBA can transport the problematic SQL statements to a test
database where the developers can safely analyze and tune them.
When tuning multiple statements, SQL Tuning Advisor does not recognize
interdependencies between the statements. Instead, SQL Tuning Advisor offers a
convenient way to get tuning recommendations for many statements.
Note:
Data visibility and privilege requirements may differ when using SQL Tuning
Advisor with pluggable databases. The advisor can tune a query in the
current pluggable database (PDB), and in other PDBs in which this query
has been executed. In this way, a container database (CDB) administrator
can tune the same query in many PDBs at the same time, whereas a PDB
administrator can only tune a single PDB.
25.1.2 SQL Tuning Advisor Architecture
Automatic Tuning Optimizer is the central tool used by SQL Tuning Advisor. The
advisor can receive SQL statements as input from multiple sources, analyze these
statements using the optimizer, and then make recommendations.
Chapter 25
About SQL Tuning Advisor
25-2

Invoking Automatic Tuning Optimizer for every hard parse consumes significant time
and resources. Tuning mode is meant for complex and high-load SQL statements that
significantly affect database performance.
Manageability advisors such as SQL tuning advisor use a common infrastructure
called the advisor framework. This framework provides a common schema and
interface for storing task objects. An advisor schema is a set of tables to store the data
from advisors. SQL Tuning Advisor receives tuning input, and then writes to the
advisor schemas by means of the advisor framework. SQL Tuning Advisor reads data
from advisor schema when it produces its reports.
The following figure shows the basic architecture of SQL Tuning Advisor.
Figure 25-1 SQL Tuning Advisor Architecture
SQL
Tuning
Set
Shared Pool
Library Cache
Shared SQL Area
SELECT * FROM
employees
ADDM
AWR
AUTOTASK
Recommendations
Inplementation
of SQL Profiles
(Automatic Only)
SQL Tuning
Advisor
Optimizer
Automatic
Tuning
Optimizer
This section contains the following topics:
•Input to SQL Tuning Advisor
Input for SQL Tuning Advisor can come from several sources, including ADDM,
AWR, the shared SQL area, and SQL tuning sets.
•Output of SQL Tuning Advisor
After analyzing the SQL statements, SQL Tuning Advisor publishes
recommendations.
•Automatic Tuning Optimizer Analyses
In tuning mode, the optimizer has more time to consider options and gather
statistics. For example, Automatic Tuning Optimizer can use dynamic statistics
and partial statement execution.
Chapter 25
About SQL Tuning Advisor
25-3

See Also:
"SQL Parsing"
25.1.2.1 Input to SQL Tuning Advisor
Input for SQL Tuning Advisor can come from several sources, including ADDM, AWR,
the shared SQL area, and SQL tuning sets.
SQL Tuning Advisor uses its input sources as follows:
•Automatic Database Diagnostic Monitor (ADDM)
The primary input source for SQL Tuning Advisor is ADDM (pronounced Adam).
By default, ADDM runs proactively once every hour. To identify performance
problems involving high-load SQL statements, ADDM analyzes key statistics
gathered by Automatic Workload Repository (AWR) over the last hour . If a high-
load SQL statement is identified, then ADDM recommends running SQL Tuning
Advisor on the SQL.
•AWR
AWR takes regular snapshots of system activity, including high-load SQL
statements ranked by relevant statistics, such as CPU consumption and wait time.
You can view the AWR and manually identify high-load SQL statements. You can
run SQL Tuning Advisor on these statements, although Oracle Database
automatically performs this work as part of automatic SQL tuning. By default, AWR
retains data for the last eight days. You can locate and tune any high-load SQL
that ran within the retention period of AWR using this technique.
•Shared SQL area
The database uses the shared SQL area to tune recent SQL statements that have
yet to be captured in AWR. The shared SQL area and AWR provide the capability
to identify and tune high-load SQL statements from the current time going as far
back as the AWR retention allows, which by default is at least 8 days.
•SQL tuning set
A SQL tuning set (STS) is a database object that stores SQL statements along
with their execution context. An STS can include SQL statements that are yet to
be deployed, with the goal of measuring their individual performance, or identifying
the ones whose performance falls short of expectation. When a set of SQL
statements serve as input, the database must first construct and use an STS.
25.1.2.2 Output of SQL Tuning Advisor
After analyzing the SQL statements, SQL Tuning Advisor publishes recommendations.
Specifically, SQL Tuning Advisor produces the following types of output:
•Advice on optimizing the execution plan
•Rationale for the proposed optimization
•Estimated performance benefit
Chapter 25
About SQL Tuning Advisor
25-4

•SQL statement to implement the advice
The benefit percentage shown for each recommendation is calculated using the
following formula:
abnf% = (time_old - time_new)/(time_old)
For example, assume that before tuning the execution time was 100 seconds, and
after implementing the recommendation the new execution time is expected to be 33
seconds. This benefit calculation for this performance improvement is as follows:
67% = (100 - 33)/(100)
You choose whether to accept the recommendations to optimize the SQL statements.
Depending on how it is configured, Automatic SQL Tuning Advisor can implement the
SQL profile recommendations to tune the statement without user intervention. When
invoked on demand, SQL Tuning Advisor can recommend that the user implement a
SQL profile, but can never implement it automatically.
25.1.2.3 Automatic Tuning Optimizer Analyses
In tuning mode, the optimizer has more time to consider options and gather statistics.
For example, Automatic Tuning Optimizer can use dynamic statistics and partial
statement execution.
The following graphic depicts the different types of analysis that Automatic Tuning
Optimizer performs.
Figure 25-2 Automatic Tuning Optimizer
SQL Tuning
Advisor
Optimizer
Automatic Tuning
Optimizer
Normal Mode
Tuning Mode
Statistical
Analysis
Access Path
Analysis
SQL Structure
Analysis
Alternative Plan
Analysis
SQL
Profiling
This section contains the following topics:
Chapter 25
About SQL Tuning Advisor
25-5

•Statistical Analysis
The optimizer relies on statistics to generate execution plans.
•SQL Profiling
SQL profiling is the verification by the Automatic Tuning Optimizer of its own
estimates.
•Access Path Analysis
An access path is the means by which the database retrieves data.
•SQL Structural Analysis
During structural analysis, Automatic Tuning Optimizer tries to identify syntactic,
semantic, or design problems that can lead to suboptimal performance. The goal
is to identify poorly written SQL statements and to advise you how to restructure
them.
•Alternative Plan Analysis
While tuning a SQL statement, SQL Tuning Advisor searches real-time and
historical performance data for alternative execution plans for the statement.
See Also:
"Query Optimizer Concepts "
25.1.2.3.1 Statistical Analysis
The optimizer relies on statistics to generate execution plans.
If these statistics are stale or missing, then the optimizer can generate suboptimal
plans. Automatic Tuning Optimizer checks for missing or stale statistics, and
recommends gathering fresh statistics if needed.
•Object statistics
The optimizer checks the statistics for each object referenced in the query.
•System statistics
On Oracle Exadata Database Machine, the cost of smart scans depends on the
system statistics I/O seek time, multiblock read count, and I/O transfer speed. The
values of these system statistics are usually different on Oracle Exadata Database
Machine, so an analysis to determines whether these system statistics are not up
to date. If gathering these statistics would improve the plan, then SQL Tuning
Advisor recommends accepting a SQL profile.
The following graphic depicts the analysis of object-level statistics.
Chapter 25
About SQL Tuning Advisor
25-6

Figure 25-3 Statistical Analysis by Automatic Tuning Optimizer
Optimizer
Automatic Tuning
Optimizer
Recommended collecting
object-level statistics
SELECT . . .
SQL Tuning
Advisor
Customers
Table
Customers
Table
Stale
Statistics Absent
Statistics
25.1.2.3.2 SQL Profiling
SQL profiling is the verification by the Automatic Tuning Optimizer of its own
estimates.
By reviewing execution history and testing the SQL, the optimizer can ensure that it
has the most accurate information available to generate execution plans. SQL profiling
is related to but distinct from the steps of generating SQL Tuning Advisor
recommendations and implementing these recommendations.
The following graphic shows SQL Tuning Advisor recommending a SQL profile and
automatically implementing it. After creating the profile, the optimizer can use it as
additional input when generating execution plans.
Chapter 25
About SQL Tuning Advisor
25-7

Figure 25-4 SQL Profile
SQL Tuning
Advisor
Optimizer
(Tuning Mode)
CreateSubmit
SQL
Profile
Optimizer
(Normal Mode)
Output
No application
code change
Well-Tuned
Plan
GB
HJ HJ
Database
Users
Use
This section contains the following topics:
•How SQL Profiling Works
The database can profile some DML and DDL statements.
•SQL Profile Implementation
If the optimizer generates auxiliary information during statistical analysis or SQL
profiling, then the optimizer recommends implementing a SQL profile.
See Also:
"About SQL Profiles"
25.1.2.3.2.1 How SQL Profiling Works
The database can profile some DML and DDL statements.
Specifically, SQL Tuning Advisor can profile the following types of statement:
•DML statements (
SELECT
,
INSERT
with a
SELECT
clause,
UPDATE
,
DELETE
, and the
update or insert operations of
MERGE
)
•
CREATE TABLE
statements (only with the
AS SELECT
clause)
Chapter 25
About SQL Tuning Advisor
25-8

After performing its analysis, SQL Tuning Advisor either recommends or does not
recommend implementing a SQL profile.
The following graphic shows the SQL profiling process.
Figure 25-5 SQL Profiling
Optimizer
* Reviews past execution history to
adjust settings
* Performs sampling or partial
execution
SQL Profiling
Automatic Tuning
Optimizer
SELECT . . .
SQL Tuning
Advisor
Recommendation
to Implement
SQL Profile
No Recommendation
During SQL profiling, the optimizer verifies cost, selectivity, and cardinality for a
statement. The optimizer uses either of the following methods:
•Samples the data and applies appropriate predicates to the sample
The optimizer compares the new estimate to the regular estimate and, if the
difference is great enough, applies a correction factor.
•Executes a fragment of the SQL statement
This method is more efficient than the sampling method when the predicates
provide efficient access paths.
The optimizer uses the past statement execution history to determine correct settings.
For example, if the history indicates that a SQL statement is usually executed only
partially, then the optimizer uses
FIRST_ROWS
instead of
ALL_ROWS
optimization.
25.1.2.3.2.2 SQL Profile Implementation
If the optimizer generates auxiliary information during statistical analysis or SQL
profiling, then the optimizer recommends implementing a SQL profile.
As shown in Figure 25-6, the following options are possible:
Chapter 25
About SQL Tuning Advisor
25-9

•When SQL Tuning Advisor is run on demand, the user must choose whether to
implement the SQL profile.
•When the Automatic SQL Tuning task is configured to implement SQL profiles
automatically, advisor behavior depends on the setting of the
ACCEPT_SQL_PROFILE
tuning task parameter:
–If set to
true
, then the advisor implements SQL profiles automatically.
–If set to
false
, then user intervention is required.
–If set to
AUTO
(default), then the setting is
true
when at least one SQL
statement exists with a SQL profile, and
false
when this condition is not
satisfied.
Note:
The Automatic SQL Tuning task cannot automatically create SQL plan
baselines or add plans to them.
Figure 25-6 Implementing SQL Profiles
On Demand
Autotask
SQL Tuning
Advisor
Recommends
Implementing
SQL profile
User must
choose whether
to implement
Autoimplementation
No Autoimplementation
Implements
SQL profile
At any time during or after automatic SQL tuning, you can view a report. This report
describes in detail the SQL statements that were analyzed, the recommendations
generated, and any SQL profiles that were automatically implemented.
25.1.2.3.3 Access Path Analysis
An access path is the means by which the database retrieves data.
For example, a query using an index and a query using a full table scan use different
access paths. In some cases, indexes can greatly enhance the performance of a SQL
statement by eliminating full table scans. The following graphic illustrates access path
analysis.
Chapter 25
About SQL Tuning Advisor
25-10

Figure 25-7 Access Path Analysis
Optimizer
Automatic Tuning
Optimizer
SELECT . . .
SQL Tuning
Advisor
SQL Access
Advisor
Recommends
Workload
Comprehensive
Analysis
Index
Creation
Automatic Tuning Optimizer explores whether a new index can significantly enhance
query performance and recommends either of the following:
•Creating an index
Index recommendations are specific to the SQL statement processed by SQL
Tuning Advisor. Sometimes a new index provides a quick solution to the
performance problem associated with a single SQL statement.
•Running SQL Access Advisor
Because the Automatic Tuning Optimizer does not analyze how its index
recommendation can affect the entire SQL workload, it also recommends running
SQL Access Advisor on the SQL statement along with a representative SQL
workload. SQL Access Advisor examines the effect of creating an index on the
SQL workload before making recommendations.
25.1.2.3.4 SQL Structural Analysis
During structural analysis, Automatic Tuning Optimizer tries to identify syntactic,
semantic, or design problems that can lead to suboptimal performance. The goal is to
identify poorly written SQL statements and to advise you how to restructure them.
The following graphic illustrates structural analysis.
Chapter 25
About SQL Tuning Advisor
25-11

Figure 25-8 Structural Analysis
Optimizer
SQL Constructors (NOT IN, UNION)
Data Type Mismatches
Design Mistakes (No WHERE Clause)
Automatic Tuning
Optimizer
SELECT . . . UNION
SELECT . . . UNION ALL
SQL Tuning
Advisor
Restructured
Some syntax variations negatively affect performance. In structural analysis, the
automatic tuning optimizer evaluates statements against a set of rules, identifies
inefficient coding techniques, and recommends an alternative statement if possible.
As shown in Figure 25-8, Automatic Tuning Optimizer identifies the following
categories of structural problems:
•Inefficient use of SQL constructors
A suboptimally performing statement may be using
NOT IN
instead of
NOT EXISTS
, or
UNION
instead of
UNION ALL
. The
UNION
operator, as opposed to the
UNION ALL
operator, uses a unique sort to ensure that no duplicate rows are in the result set.
If you know that two queries do not return duplicates, then use
UNION ALL
.
•Data type mismatches
If the indexed column and the compared value have a data type mismatch, then
the database does not use the index because of the implicit data type conversion.
Also, the database must expend additional resources converting data types, and
some SQL statements may fail because data values do not convert correctly.
Common mistakes include columns that contain numeric data but are never used
for arithmetic operations: telephone numbers, credit card numbers, and check
numbers. To avoid poor cardinality estimates, suboptimal plans, and
ORA-01722
errors, developers must ensure that bind variables are type
VARCHAR2
and not
numbers.
•Design mistakes
A classic example of a design mistake is a missing join condition. If n is the
number of tables in a query block, then n-1 join conditions must exist to avoid a
Cartesian product.
In each case, Automatic Tuning Optimizer makes relevant suggestions to restructure
the statements. The suggested alternative statement is similar, but not equivalent, to
Chapter 25
About SQL Tuning Advisor
25-12

the original statement. For example, the suggested statement may use
UNION ALL
instead of
UNION
. You can then determine if the advice is sound.
25.1.2.3.5 Alternative Plan Analysis
While tuning a SQL statement, SQL Tuning Advisor searches real-time and historical
performance data for alternative execution plans for the statement.
If plans other than the original plan exist, then SQL Tuning Advisor reports an
alternative plan finding. The follow graphic shows SQL Tuning Advisor finding two
alternative plans and generating an alternative plan finding.
Figure 25-9 Alternative Plan Analysis
SQL Tuning
Advisor
Real-Time
Performance Data
Origin:
Cursor
Cache
GB
HJ HJ
AWR
Origin:
STS
GB
HJ HJ
Searches Produces
Optimizer
Automatic Tuning
Optimizer
Alternative Plan Finding
Performance Summary
Recommendations
SQL Tuning Advisor validates the alternative execution plans and notes any plans that
are not reproducible. When reproducible alternative plans are found, you can create a
SQL plan baseline to instruct the optimizer to choose these plans in the future.
Example 25-1 Alternative Plan Finding
The following example shows an alternative plan finding for a
SELECT
statement:
2- Alternative Plan Finding
---------------------------
Some alternative execution plans for this statement were found by searching
the system's real-time and historical performance data.
The following table lists these plans ranked by their average elapsed time.
See section "ALTERNATIVE PLANS SECTION" for detailed information on each
plan.
Chapter 25
About SQL Tuning Advisor
25-13

id plan hash last seen elapsed (s) origin note
-- ---------- -------------------- ------------ --------------- ----------------
1 1378942017 2009-02-05/23:12:08 0.000 Cursor Cache original plan
2 2842999589 2009-02-05/23:12:08 0.002 STS
Information
-----------
- The Original Plan appears to have the best performance, based on the
elapsed time per execution. However, if you know that one alternative
plan is better than the Original Plan, you can create a SQL plan baseline
for it. This will instruct the Oracle optimizer to pick it over any other
choices in the future.
execute dbms_sqltune.create_sql_plan_baseline(task_name => 'TASK_XXXXX',
object_id => 2, task_owner => 'SYS', plan_hash => xxxxxxxx);
The preceding example shows that SQL Tuning Advisor found two plans, one in the
shared SQL area and one in a SQL tuning set. The plan in the shared SQL area is the
same as the original plan.
SQL Tuning Advisor only recommends an alternative plan if the elapsed time of the
original plan is worse than alternative plans. In this case, SQL Tuning Advisor
recommends that users create a SQL plan baseline on the plan with the best
performance. In Example 25-1, the alternative plan did not perform as well as the
original plan, so SQL Tuning Advisor did not recommend using the alternative plan.
Example 25-2 Alternative Plans Section
In this example, the alternative plans section of the SQL Tuning Advisor output
includes both the original and alternative plans and summarizes their performance.
The most important statistic is elapsed time. The original plan used an index, whereas
the alternative plan used a full table scan, increasing elapsed time by .002 seconds.
Plan 1
------
Plan Origin :Cursor Cache
Plan Hash Value :1378942017
Executions :50
Elapsed Time :0.000 sec
CPU Time :0.000 sec
Buffer Gets :0
Disk Reads :0
Disk Writes :0
Notes:
1. Statistics shown are averaged over multiple executions.
2. The plan matches the original plan.
--------------------------------------------
| Id | Operation | Name |
--------------------------------------------
| 0 | SELECT STATEMENT | |
| 1 | SORT AGGREGATE | |
| 2 | MERGE JOIN | |
| 3 | INDEX FULL SCAN | TEST1_INDEX |
| 4 | SORT JOIN | |
| 5 | TABLE ACCESS FULL| TEST |
--------------------------------------------
Plan 2
------
Chapter 25
About SQL Tuning Advisor
25-14

Plan Origin :STS
Plan Hash Value :2842999589
Executions :10
Elapsed Time :0.002 sec
CPU Time :0.002 sec
Buffer Gets :3
Disk Reads :0
Disk Writes :0
Notes:
1. Statistics shown are averaged over multiple executions.
-------------------------------------
| Id | Operation | Name |
-------------------------------------
| 0 | SELECT STATEMENT | |
| 1 | SORT AGGREGATE | |
| 2 | HASH JOIN | |
| 3 | TABLE ACCESS FULL| TEST |
| 4 | TABLE ACCESS FULL| TEST1 |
-------------------------------------
To adopt an alternative plan regardless of whether SQL Tuning Advisor recommends
it, call
DBMS_SQLTUNE.CREATE_SQL_PLAN_BASELINE
. You can use this procedure to create a
SQL plan baseline on any existing reproducible plan.
25.1.3 SQL Tuning Advisor Operation
You can run SQL Tuning Advisor automatically or on demand. You can also run the
advisor on a local or remote database.
This section contains the following topics:
•Automatic and On-Demand SQL Tuning
Configure SQL Tuning Advisor to run automatically using
DBMS_AUTO_SQLTUNE
, or on
demand using
DBMS_SQLTUNE
.
•Local and Remote SQL Tuning
SQL Tuning Advisor can either analyze a workload on a local database or a
remote database.
25.1.3.1 Automatic and On-Demand SQL Tuning
Configure SQL Tuning Advisor to run automatically using
DBMS_AUTO_SQLTUNE
, or on
demand using
DBMS_SQLTUNE
.
The methods of invocation differ as follows:
•Automatically
You can configure SQL Tuning Advisor to run during nightly system maintenance
windows. When run by
AUTOTASK
, the advisor is known as Automatic SQL Tuning
Advisor and performs automatic SQL tuning.
•On-Demand
In on-demand SQL tuning, you manually invoke SQL Tuning Advisor to diagnose
and fix SQL-related performance problems after they have been discovered.
Chapter 25
About SQL Tuning Advisor
25-15

Oracle Enterprise Manager Cloud Control (Cloud Control) is the preferred interface
for tuning SQL on demand, but you can also use the
DBMS_SQLTUNE
PL/SQL
package.
SQL Tuning Advisor uses Automatic Tuning Optimizer to perform its analysis. This
optimization is "automatic" because the optimizer analyzes the SQL instead of the
user. Do not confuse Automatic Tuning Optimizer with automatic SQL tuning, which in
this document refers only to the work performed by the Automatic SQL Tuning task.
25.1.3.2 Local and Remote SQL Tuning
SQL Tuning Advisor can either analyze a workload on a local database or a remote
database.
In the simplest case, SQL Tuning Advisor accepts input, executes, and stores results
within a single database. Local mode is appropriate for databases in which the
performance overhead of SQL Tuning Advisor execution is acceptable.
In remote tuning, the database on which you initiate a tuning task differs from the
database in which the tuning process executes or in which results are stored. For
example, a standby database can have its own workload of queries, some of which
may require tuning. You can issue SQL Tuning Advisor statements on a standby
database. A standby-to-primary database link enables
DBMS_SQLTUNE
to write data to
and read data from the primary database. The link is necessary because the standby
database, which is read-only, cannot write the SQL tuning data.
The following figure illustrates the general setup for tuning a standby database
workload on a primary database. This technique requires a standby-to-primary
database link.
Figure 25-10 Tuning a Standby Workload on a Primary Database
Standby-to-Primary Database Link
Primary Database Standby Database
To tune a standby workload on a primary database, specify the
database_link_to
parameter in
DBMS_SQLTUNE
procedures. By default, the
database_link_to
parameter is
null, which means that tuning is local.
The
database_link_to
parameter must specify a private database link. This link must
be owned by
SYS
and accessed by the default privileged user
SYS$UMF
. The following
sample statement creates a link named
lnk_to_pri
:
Chapter 25
About SQL Tuning Advisor
25-16

CREATE DATABASE LINK lnk_to_pri CONNECT TO SYS$UMF IDENTIFIED BY password USING
'inst1';
The following table illustrates a typical remote tuning session. You issue all statements
on the standby database.
DBMS_SQLTUNE
uses the database link both to fetch data from
the primary database, and store data in the primary database.
Table 25-1 Tuning a Standby Database Workload Using a Database Link to the
Primary Database
Step Statement Issued on
Standby Database
Result
1
CREATE_TUNING_TASK DBMS_SQLTUNE
creates the task data in the primary
database using the standby-to-primary database link.
2
EXECUTE_TUNING_TASK DBMS_SQLTUNE
uses the database link to read the SQL
Tuning Advisor task data stored in the primary database.
The tuning analysis occurs on the standby database, but
DBMS_SQLTUNE
writes the results remotely to the primary
database.
3
REPORT_TUNING_TASK DBMS_SQLTUNE
uses the database link to read the SQL
Tuning Advisor report data from the primary database,
and then constructs the report locally on the standby
database.
4
ACCEPT_SQL_PROFILE DBMS_SQLTUNE
uses the database link to write the SQL
profile data remotely to the primary database.
25.2 Managing the Automatic SQL Tuning Task
When your goal is to identify SQL performance problems proactively, configuring SQL
Tuning Advisor as an automated task is a simple solution. The task processes
selected high-load SQL statements from AWR that qualify as tuning candidates.
This section contains the following topics:
•About the Automatic SQL Tuning Task
By default, the Automatic SQL Tuning task runs for in a nightly maintenance
window.
•Enabling and Disabling the Automatic SQL Tuning Task
You can enable or disable the Automatic SQL Tuning task using Cloud Control
(preferred) or a command-line interface.
•Configuring the Automatic SQL Tuning Task
You can configure the Automatic SQL Tuning task using Cloud Control or the
command line.
•Viewing Automatic SQL Tuning Reports
At any time during or after the running of the Automatic SQL Tuning task, you can
view a tuning report.
Chapter 25
Managing the Automatic SQL Tuning Task
25-17

See Also:
Oracle Database Administrator’s Guide to learn more about automated
maintenance tasks
25.2.1 About the Automatic SQL Tuning Task
By default, the Automatic SQL Tuning task runs for in a nightly maintenance window.
This section contains the following topics:
•Purpose of Automatic SQL Tuning
Configuring automatic SQL tuning instead of tuning manually decreases cost and
increases manageability
•Automatic SQL Tuning Concepts
Oracle Scheduler uses the automated maintenance tasks infrastructure (known as
AutoTask) to schedules tasks to run automatically.
•Command-Line Interface to SQL Tuning Advisor
On the command line, you can use PL/SQL packages to perform SQL tuning
tasks.
•Basic Tasks for Automatic SQL Tuning
This section explains the basic tasks in running SQL Tuning Advisor as an
automatic task.
See Also:
Oracle Database Administrator’s Guide to learn about SQL Tuning Advisor in
a multitenant environment
25.2.1.1 Purpose of Automatic SQL Tuning
Configuring automatic SQL tuning instead of tuning manually decreases cost and
increases manageability
Many DBAs do not have the time needed for the intensive analysis required for SQL
tuning. Even when they do, SQL tuning involves several manual steps. Because
several different SQL statements may be high load on any given day, DBAs may have
to expend considerable effort to monitor and tune them. .
The automated SQL tuning task does not process the following types of SQL:
•Ad hoc SQL statements or SQL statements that do not repeat within a week
•Parallel queries
•Queries that take too long to run after being SQL profiled, so that it is not practical
for SQL Tuning Advisor to test execution
•Recursive SQL
Chapter 25
Managing the Automatic SQL Tuning Task
25-18

You can run SQL Tuning Advisor on demand to tune the preceding types of SQL
statements.
25.2.1.2 Automatic SQL Tuning Concepts
Oracle Scheduler uses the automated maintenance tasks infrastructure (known as
AutoTask) to schedules tasks to run automatically.
By default, the Automatic SQL Tuning task runs for at most one hour in a nightly
maintenance window. You can customize attributes of the maintenance windows,
including start and end time, frequency, and days of the week.
25.2.1.3 Command-Line Interface to SQL Tuning Advisor
On the command line, you can use PL/SQL packages to perform SQL tuning tasks.
The following table describes the most relevant packages.
Table 25-2 SQL Tuning Advisor Packages
Package Description
DBMS_AUTO_SQLTUNE
Enables you run SQL Tuning Advisor, manage SQL
profiles, manage SQL tuning sets, and perform real-time
SQL performance monitoring. To use this API, you must
have the
ADVISOR
privilege.
DBMS_AUTO_TASK_ADMIN
Provides an interface to
AUTOTASK
. You can use this
interface to enable and disable the Automatic SQL
Tuning task.
25.2.1.4 Basic Tasks for Automatic SQL Tuning
This section explains the basic tasks in running SQL Tuning Advisor as an automatic
task.
The following graphic shows the basic workflow.
Chapter 25
Managing the Automatic SQL Tuning Task
25-19

Figure 25-11 Automatic SQL Tuning APIs
DBMS_AUTO_TASK_ADMIN.DISABLE
DBMS_SQLTUNE.
SET_TUNING_TASK_PARAMETER
Report on the SQL
Tuning Task
Disable the Automatic
SQL Tuning Task
DBMS_SQLTUNE.
REPORT_AUTO_TUNING_TASK
Configure the Automatic
SQL Tuning Task
DBMS_AUTO_TASK_ADMIN.ENABLE Enable the Automatic
SQL Tuning Task
As shown in Figure 25-12, the basic procedure is as follows:
1. Enable the Automatic SQL Tuning task.
See "Enabling and Disabling the Automatic SQL Tuning Task".
2. Optionally, configure the Automatic SQL Tuning task.
See "Configuring the Automatic SQL Tuning Task".
3. Display the results of the Automatic SQL Tuning task.
See "Viewing Automatic SQL Tuning Reports".
4. Disable the Automatic SQL Tuning task.
See "Enabling and Disabling the Automatic SQL Tuning Task".
25.2.2 Enabling and Disabling the Automatic SQL Tuning Task
You can enable or disable the Automatic SQL Tuning task using Cloud Control
(preferred) or a command-line interface.
This section contains the following topics:
•Enabling and Disabling the Automatic SQL Tuning Task Using Cloud Control
You can enable and disable all automatic maintenance tasks, including the
Automatic SQL Tuning task, using Cloud Control.
•Enabling and Disabling the Automatic SQL Tuning Task from the Command Line
If you do not use Cloud Control to enable and disable the Automatic SQL Tuning
task, then you must use the command line.
Chapter 25
Managing the Automatic SQL Tuning Task
25-20

25.2.2.1 Enabling and Disabling the Automatic SQL Tuning Task Using Cloud
Control
You can enable and disable all automatic maintenance tasks, including the Automatic
SQL Tuning task, using Cloud Control.
To enable or disable the Automatic SQL Tuning task using Cloud Control:
1. Log in to Cloud Control with the appropriate credentials.
2. Under the Targets menu, select Databases.
3. In the list of database targets, select the target for the Oracle Database instance
that you want to administer.
4. If prompted for database credentials, then enter the minimum credentials
necessary for the tasks you intend to perform.
5. From the Administration menu, select Oracle Scheduler, then Automated
Maintenance Tasks.
The Automated Maintenance Tasks page appears.
This page shows the predefined tasks. You access each task by clicking the
corresponding link to get more information about the task.
6. Click Automatic SQL Tuning.
The Automatic SQL Tuning Result Summary page appears.
The Task Status section shows whether the Automatic SQL Tuning Task is
enabled or disabled. In the following graphic, the task is disabled:
7. In Automatic SQL Tuning, click Configure.
The Automated Maintenance Tasks Configuration page appears.
Chapter 25
Managing the Automatic SQL Tuning Task
25-21

By default, Automatic SQL Tuning executes in all predefined maintenance
windows in
MAINTENANCE_WINDOW_GROUP
.
8. Perform the following steps:
a. In the Task Settings for Automatic SQL Tuning, select either Enabled or
Disabled to enable or disable the automated task.
b. To disable Automatic SQL Tuning for specific days in the week, check the
appropriate box next to the window name.
c. To change the characteristics of a window, click Edit Window Group.
d. Click Apply.
25.2.2.2 Enabling and Disabling the Automatic SQL Tuning Task from the
Command Line
If you do not use Cloud Control to enable and disable the Automatic SQL Tuning task,
then you must use the command line.
You have the following options:
•Run the
ENABLE
or
DISABLE
procedure in the
DBMS_AUTO_TASK_ADMIN
PL/SQL package.
This package is the recommended command-line technique. For both the
ENABLE
and
DISABLE
procedures, you can specify a particular maintenance window with the
window_name
parameter.
•Set the
STATISTICS_LEVEL
initialization parameter to
BASIC
to disable collection of all
advisories and statistics, including Automatic SQL Tuning Advisor.
Because monitoring and many automatic features are disabled, Oracle strongly
recommends that you do not set
STATISTICS_LEVEL
to
BASIC
.
To enable or disable Automatic SQL Tuning using DBMS_AUTO_TASK_ADMIN:
1. Connect SQL*Plus to the database with administrator privileges, and then do one
of the following:
•To enable the automated task, execute the following PL/SQL block:
BEGIN
DBMS_AUTO_TASK_ADMIN.ENABLE (
client_name => 'sql tuning advisor'
, operation => NULL
, window_name => NULL
);
END;
/
•To disable the automated task, execute the following PL/SQL block:
BEGIN
DBMS_AUTO_TASK_ADMIN.DISABLE (
client_name => 'sql tuning advisor'
, operation => NULL
, window_name => NULL
);
END;
/
2. Query the data dictionary to confirm the change.
Chapter 25
Managing the Automatic SQL Tuning Task
25-22

For example, query
DBA_AUTOTASK_CLIENT
as follows (sample output included):
COL CLIENT_NAME FORMAT a20
SELECT CLIENT_NAME, STATUS
FROM DBA_AUTOTASK_CLIENT
WHERE CLIENT_NAME = 'sql tuning advisor';
CLIENT_NAME STATUS
-------------------- --------
sql tuning advisor ENABLED
To disable collection of all advisories and statistics:
1. Connect SQL*Plus to the database with administrator privileges, and then query
the current statistics level setting.
The following SQL*Plus command shows that
STATISTICS_LEVEL
is set to
ALL
:
sys@PROD> SHOW PARAMETER statistics_level
NAME TYPE VALUE
------------------------------------ ----------- -----
statistics_level string ALL
2. Set
STATISTICS_LEVEL
to
BASIC
as follows:
sys@PROD> ALTER SYSTEM SET STATISTICS_LEVEL ='BASIC';
System altered.
25.2.3 Configuring the Automatic SQL Tuning Task
You can configure the Automatic SQL Tuning task using Cloud Control or the
command line.
This section contains the following topics:
•Configuring the Automatic SQL Tuning Task Using Cloud Control
You can enable and disable all automatic maintenance tasks, including the
Automatic SQL Tuning task, using Cloud Control. You must perform the operation
as
SYS
or have the
EXECUTE
privilege on the PL/SQL package
DBMS_AUTO_SQLTUNE
.
•Configuring the Automatic SQL Tuning Task Using the Command Line
The
DBMS_AUTO_SQLTUNE
package enables you to configure automatic SQL tuning by
specifying the task parameters using the
SET_AUTO_TUNING_TASK_PARAMETER
procedure.
25.2.3.1 Configuring the Automatic SQL Tuning Task Using Cloud Control
You can enable and disable all automatic maintenance tasks, including the Automatic
SQL Tuning task, using Cloud Control. You must perform the operation as
SYS
or have
the
EXECUTE
privilege on the PL/SQL package
DBMS_AUTO_SQLTUNE
.
To configure the Automatic SQL Tuning task using Cloud Control:
1. Log in to Cloud Control with the appropriate credentials.
2. Under the Targets menu, select Databases.
Chapter 25
Managing the Automatic SQL Tuning Task
25-23

3. In the list of database targets, select the target for the Oracle Database instance
that you want to administer.
4. If prompted for database credentials, then enter the minimum credentials
necessary for the tasks you intend to perform.
5. From the Administration menu, click Oracle Scheduler, then Automated
Maintenance Tasks.
The Automated Maintenance Tasks page appears.
This page shows the predefined tasks. You access each task by clicking the
corresponding link to get more information about the task itself.
6. Click Automatic SQL Tuning.
The Automatic SQL Tuning Result Summary page appears.
7. Under Task Settings, click Configure next to Automatic SQL Tuning
(
SYS_AUTO_SQL_TUNING_TASK
).
The Automated Maintenance Tasks Configuration page appears.
8. Under Task Settings, click Configure next to Automatic SQL Tuning.
The Automatic SQL Tuning Settings page appears.
9. Make the desired changes and click Apply.
25.2.3.2 Configuring the Automatic SQL Tuning Task Using the Command Line
The
DBMS_AUTO_SQLTUNE
package enables you to configure automatic SQL tuning by
specifying the task parameters using the
SET_AUTO_TUNING_TASK_PARAMETER
procedure.
Because the task is owned by
SYS
, only
SYS
can set task parameters.
The
ACCEPT_SQL_PROFILE
tuning task parameter specifies whether to implement SQL
profiles automatically (
true
) or require user intervention (
false
). The default is
AUTO
,
which means
true
if at least one SQL statement exists with a SQL profile and
false
if
this condition is not satisfied.
Note:
When automatic implementation is enabled, the advisor only implements
recommendations to create SQL profiles. Recommendations such as
creating new indexes, gathering optimizer statistics, and creating SQL plan
baselines are not automatically implemented.
Chapter 25
Managing the Automatic SQL Tuning Task
25-24

Assumptions
This tutorial assumes the following:
•You want the database to implement SQL profiles automatically, but to implement
no more than 50 SQL profiles per execution, and no more than 50 profiles total on
the database.
•You want the task to time out after 1200 seconds per execution.
To set Automatic SQL Tuning task parameters:
1. Connect SQL*Plus to the database with the appropriate privileges, and then
optionally query the current task settings.
For example, connect SQL*Plus to the database with administrator privileges and
execute the following query:
COL PARAMETER_NAME FORMAT a25
COL VALUE FORMAT a10
SELECT PARAMETER_NAME, PARAMETER_VALUE AS "VALUE"
FROM DBA_ADVISOR_PARAMETERS
WHERE ( (TASK_NAME = 'SYS_AUTO_SQL_TUNING_TASK') AND
( (PARAMETER_NAME LIKE '%PROFILE%') OR
(PARAMETER_NAME = 'LOCAL_TIME_LIMIT') OR
(PARAMETER_NAME = 'EXECUTION_DAYS_TO_EXPIRE') ) );
Sample output appears as follows:
PARAMETER_NAME VALUE
------------------------- ----------
EXECUTION_DAYS_TO_EXPIRE 30
LOCAL_TIME_LIMIT 1000
ACCEPT_SQL_PROFILES FALSE
MAX_SQL_PROFILES_PER_EXEC 20
MAX_AUTO_SQL_PROFILES 10000
2. Set parameters using PL/SQL code of the following form:
BEGIN
DBMS_SQLTUNE.SET_TUNING_TASK_PARAMETER (
task_name => 'SYS_AUTO_SQL_TUNING_TASK'
, parameter => parameter_name
, value => value
);
END;
/
See Also:
Oracle Database PL/SQL Packages and Types Reference for complete
reference information for
DBMS_AUTO_SQLTUNE
Example 25-3 Setting SQL Tuning Task Parameters
The following PL/SQL block sets a time limit to 20 minutes, and also automatically
implements SQL profiles and sets limits for these profiles:
Chapter 25
Managing the Automatic SQL Tuning Task
25-25

BEGIN
DBMS_SQLTUNE.SET_TUNING_TASK_PARAMETER('SYS_AUTO_SQL_TUNING_TASK',
'LOCAL_TIME_LIMIT', 1200);
DBMS_SQLTUNE.SET_TUNING_TASK_PARAMETER('SYS_AUTO_SQL_TUNING_TASK',
'ACCEPT_SQL_PROFILES', 'true');
DBMS_SQLTUNE.SET_TUNING_TASK_PARAMETER('SYS_AUTO_SQL_TUNING_TASK',
'MAX_SQL_PROFILES_PER_EXEC', 50);
DBMS_SQLTUNE.SET_TUNING_TASK_PARAMETER('SYS_AUTO_SQL_TUNING_TASK',
'MAX_AUTO_SQL_PROFILES', 10002);
END;
/
25.2.4 Viewing Automatic SQL Tuning Reports
At any time during or after the running of the Automatic SQL Tuning task, you can view
a tuning report.
The tuning report contains information about all executions of the automatic SQL
tuning task. Depending on the sections that were included in the report, you can view
information in the following sections:
•General information
This section has a high-level description of the automatic SQL tuning task,
including information about the inputs given for the report, the number of SQL
statements tuned during the maintenance, and the number of SQL profiles
created.
•Summary
This section lists the SQL statements (by their SQL identifiers) that were tuned
during the maintenance window and the estimated benefit of each SQL profile, or
the execution statistics after performing a test execution of the SQL statement with
the SQL profile.
•Tuning findings
This section contains the following information about each SQL statement
analyzed by SQL Tuning Advisor:
–All findings associated with each SQL statement
–Whether the profile was implemented on the database, and why
–Whether the SQL profile is currently enabled on the database
–Detailed execution statistics captured when testing the SQL profile
•Explain plans
This section shows the old and new explain plans used by each SQL statement
analyzed by SQL Tuning Advisor.
•Errors
This section lists all errors encountered by the automatic SQL tuning task.
This section contains the following topics:
•Viewing Automatic SQL Tuning Reports Using the Command Line
To generate a SQL tuning report as a
CLOB
, execute the
DBMS_SQLTUNE.REPORT_AUTO_TUNING_TASK
function.
Chapter 25
Managing the Automatic SQL Tuning Task
25-26

25.2.4.1 Viewing Automatic SQL Tuning Reports Using the Command Line
To generate a SQL tuning report as a
CLOB
, execute the
DBMS_SQLTUNE.REPORT_AUTO_TUNING_TASK
function.
You can store the
CLOB
in a variable and then print the variable to view the report.
Assumptions
This section assumes that you want to show all SQL statements that were analyzed in
the most recent execution, including recommendations that were not implemented.
To create and access an Automatic SQL Tuning Advisor report:
1. Connect SQL*Plus to the database with administrator privileges, and then execute
the
DBMS_SQLTUNE.REPORT_AUTO_TUNING_TASK
function.
The following example generates a text report to show all SQL statements that
were analyzed in the most recent execution, including recommendations that were
not implemented:
VARIABLE my_rept CLOB;
BEGIN
:my_rept :=DBMS_SQLTUNE.REPORT_AUTO_TUNING_TASK (
begin_exec => NULL
, end_exec => NULL
, type => 'TEXT'
, level => 'TYPICAL'
, section => 'ALL'
, object_id => NULL
, result_limit => NULL
);
END;
/
PRINT :my_rept
2. Read the general information section for an overview of the tuning execution.
The following sample shows the Automatic SQL Tuning task analyzed 17 SQL
statements in just over 7 minutes:
MY_REPT
---------------------------------------------------------------------------
GENERAL INFORMATION SECTION
---------------------------------------------------------------------------
Tuning Task Name : SYS_AUTO_SQL_TUNING_TASK
Tuning Task Owner : SYS
Workload Type : Automatic High-Load SQL Workload
Execution Count : 6
Current Execution : EXEC_170
Execution Type : TUNE SQL
Scope : COMPREHENSIVE
Global Time Limit(seconds) : 3600
Per-SQL Time Limit(seconds) : 1200
Completion Status : COMPLETED
Started at : 04/16/2012 10:00:00
Completed at : 04/16/2012 10:07:11
Number of Candidate SQLs : 17
Cumulative Elapsed Time of SQL (s) : 8
Chapter 25
Managing the Automatic SQL Tuning Task
25-27

3. Look for findings and recommendations.
If SQL Tuning Advisor makes a recommendation, then weigh the pros and cons of
accepting it.
The following example shows that SQL Tuning Advisor found a plan for a
statement that is potentially better than the existing plan. The advisor recommends
implementing a SQL profile.
---------------------------------------------------------------------------
SQLs with Findings Ordered by Maximum (Profile/Index) Benefit, Object ID
---------------------------------------------------------------------------
ob ID SQL ID statistics profile(benefit) index(benefit) restructure
------ ------------- ---------- ---------------- -------------- -----------
82 dqjcc345dd4ak 58.03%
72 51bbkcd9zwsjw 2
81 03rxjf8gb18jg
---------------------------------------------------------------------------
DETAILS SECTION
---------------------------------------------------------------------------
Statements with Results Ordered by Max (Profile/Index) Benefit, Object ID
---------------------------------------------------------------------------
Object ID : 82
Schema Name: DBA1
SQL ID : dqjcc345dd4ak
SQL Text : SELECT status FROM dba_autotask_client WHERE client_name=:1
---------------------------------------------------------------------------
FINDINGS SECTION (1 finding)
---------------------------------------------------------------------------
1- SQL Profile Finding (see explain plans section below)
--------------------------------------------------------
A potentially better execution plan was found for this statement.
The SQL profile was not automatically created because the verified
benefit was too low.
Recommendation (estimated benefit: 58.03%)
------------------------------------------
- Consider accepting the recommended SQL profile.
execute dbms_sqltune.accept_sql_profile(task_name =>
'SYS_AUTO_SQL_TUNING_TASK', object_id => 82, replace => TRUE);
Validation results
------------------
The SQL profile was tested by executing both its plan and the original
plan and measuring their respective execution statistics. A plan
may have been only partially executed if the other could be run
to completion in less time.
Original Plan With SQL Profile % Improved
------------- ---------------- ----------
Completion Status: COMPLETE COMPLETE
Elapsed Time(us): 26963 8829 67.25 %
CPU Time(us): 27000 9000 66.66 %
User I/O Time(us): 25 14 44 %
Buffer Gets: 905 380 58.01 %
Physical Read Requests: 0 0
Physical Write Requests: 0 0
Physical Read Bytes: 0 0
Physical Write Bytes: 7372 7372 0 %
Chapter 25
Managing the Automatic SQL Tuning Task
25-28

Rows Processed: 1 1
Fetches: 1 1
Executions: 1 1
Notes
-----
1. The original plan was first executed to warm the buffer cache.
2. Statistics for original plan were averaged over next 9 executions.
3. The SQL profile plan was first executed to warm the buffer cache.
4. Statistics for the SQL profile plan were averaged over
next 9 executions.
25.3 Running SQL Tuning Advisor On Demand
You can run SQL Tuning Advisor on demand.
This section contains the following topics:
•About On-Demand SQL Tuning
On-demand SQL tuning is defined as any invocation of SQL Tuning Advisor that
does not result from the Automatic SQL Tuning task.
•Creating a SQL Tuning Task
To create a SQL tuning task execute the
DBMS_SQLTUNE.CREATE_TUNING_TASK
function.
•Configuring a SQL Tuning Task
To change the parameters of a tuning task after it has been created, execute the
DBMS_SQLTUNE.SET_TUNING_TASK_PARAMETER
function.
•Executing a SQL Tuning Task
To execute a SQL tuning task, use the
DBMS_SQLTUNE.EXECUTE_TUNING_TASK
function.
The most important parameter is
task_name
.
•Monitoring a SQL Tuning Task
When you create a SQL tuning task in Cloud Control, no separate monitoring step
is necessary. Cloud Control displays the status page automatically.
•Displaying the Results of a SQL Tuning Task
To report the results of a tuning task, use the
DBMS_SQLTUNE.REPORT_TUNING_TASK
function.
25.3.1 About On-Demand SQL Tuning
On-demand SQL tuning is defined as any invocation of SQL Tuning Advisor that does
not result from the Automatic SQL Tuning task.
This section contains the following topics:
•Purpose of On-Demand SQL Tuning
Typically, you invoke SQL Tuning Advisor to run ADDM proactively, or to tune
SQL statement reactively when users complain about suboptimal performance.
•User Interfaces for On-Demand SQL Tuning
The recommended user interface for running SQL Tuning Advisor manually is
Cloud Control.
Chapter 25
Running SQL Tuning Advisor On Demand
25-29

•Basic Tasks in On-Demand SQL Tuning
This section explains the basic tasks in running SQL Tuning Advisor using the
DBMS_SQLTUNE
package.
25.3.1.1 Purpose of On-Demand SQL Tuning
Typically, you invoke SQL Tuning Advisor to run ADDM proactively, or to tune SQL
statement reactively when users complain about suboptimal performance.
In both the proactive and reactive scenarios, running SQL Tuning Advisor is usually
the quickest way to fix unexpected SQL performance problems.
25.3.1.2 User Interfaces for On-Demand SQL Tuning
The recommended user interface for running SQL Tuning Advisor manually is Cloud
Control.
This section contains the following topics:
•Accessing the SQL Tuning Advisor Using Cloud Control
Automatic Database Diagnostic Monitor (ADDM) automatically identifies high-load
SQL statements. If ADDM identifies such statements, then click Schedule/Run
SQL Tuning Advisor on the Recommendation Detail page to run SQL Tuning
Advisor.
•Command-Line Interface to On-Demand SQL Tuning
If Cloud Control is unavailable, then you can run SQL Tuning Advisor using
procedures in the
DBMS_SQLTUNE
package.
25.3.1.2.1 Accessing the SQL Tuning Advisor Using Cloud Control
Automatic Database Diagnostic Monitor (ADDM) automatically identifies high-load
SQL statements. If ADDM identifies such statements, then click Schedule/Run SQL
Tuning Advisor on the Recommendation Detail page to run SQL Tuning Advisor.
To tune SQL statements manually using SQL Tuning Advisor:
1. Log in to Cloud Control with the appropriate credentials.
2. Under the Targets menu, select Databases.
3. In the list of database targets, select the target for the Oracle Database instance
that you want to administer.
4. If prompted for database credentials, then enter the minimum credentials
necessary for the tasks you intend to perform.
5. From the Performance menu, click SQL, then SQL Tuning Advisor.
The Schedule SQL Tuning Advisor page appears.
Chapter 25
Running SQL Tuning Advisor On Demand
25-30

25.3.1.2.2 Command-Line Interface to On-Demand SQL Tuning
If Cloud Control is unavailable, then you can run SQL Tuning Advisor using
procedures in the
DBMS_SQLTUNE
package.
To use the APIs, the user must have the
ADVISOR
privilege.
25.3.1.3 Basic Tasks in On-Demand SQL Tuning
This section explains the basic tasks in running SQL Tuning Advisor using the
DBMS_SQLTUNE
package.
The following graphic shows the basic workflow when using the PL/SQL APIs.
Chapter 25
Running SQL Tuning Advisor On Demand
25-31

Figure 25-12 SQL Tuning Advisor APIs
create_tuning_task
execute_tuning_task
STS
report_tuning_task
Implement
Recommendations
Gather
optimizer
statistics
Create
SQL
Profile
set_tuning_task_parameter
Monitor Task
Create
Index
Restructure
SQL
Create SQL
Plan
Baseline
As shown in Figure 25-12, the basic procedure is as follows:
1. Prepare or create the input to SQL Tuning Advisor. The input can be either:
•The text of a single SQL statement
•A SQL tuning set that contains one or more statements
2. Create a SQL tuning task.
See "Creating a SQL Tuning Task".
3. Optionally, configure the SQL tuning task that you created.
See "Configuring a SQL Tuning Task".
4. Execute a SQL tuning task.
See "Executing a SQL Tuning Task".
5. Optionally, check the status or progress of a SQL tuning task.
"Monitoring a SQL Tuning Task".
6. Display the results of a SQL tuning task.
"Displaying the Results of a SQL Tuning Task".
7. Implement recommendations as appropriate.
Chapter 25
Running SQL Tuning Advisor On Demand
25-32

25.3.2 Creating a SQL Tuning Task
To create a SQL tuning task execute the
DBMS_SQLTUNE.CREATE_TUNING_TASK
function.
You can create tuning tasks from any of the following:
•The text of a single SQL statement
•A SQL tuning set containing multiple statements
•A SQL statement selected by SQL identifier from the shared SQL area
•A SQL statement selected by SQL identifier from AWR
The
scope
parameter is one of the most important for this function. You can set this
parameter to the following values:
•
LIMITED
SQL Tuning Advisor produces recommendations based on statistical checks,
access path analysis, and SQL structure analysis. SQL profile recommendations
are not generated.
•
COMPREHENSIVE
SQL Tuning Advisor carries out all the analysis it performs under limited scope
plus SQL profiling.
Assumptions
This tutorial assumes the following:
•You want to tune as user
hr
, who has the
ADVISOR
privilege.
•You want to tune the following query:
SELECT /*+ ORDERED */ *
FROM employees e, locations l, departments d
WHERE e.department_id = d.department_id
AND l.location_id = d.location_id
AND e.employee_id < :bnd;
•You want to pass the bind variable
100
to the preceding query.
•You want SQL Tuning Advisor to perform SQL profiling.
•You want the task to run no longer than 60 seconds.
To create a SQL tuning task:
1. Connect SQL*Plus to the database with the appropriate privileges, and then run
the
DBMS_SQLTUNE.CREATE_TUNING_TASK
function.
For example, execute the following PL/SQL program:
DECLARE
my_task_name VARCHAR2(30);
my_sqltext CLOB;
BEGIN
my_sqltext := 'SELECT /*+ ORDERED */ * ' ||
'FROM employees e, locations l, departments d ' ||
'WHERE e.department_id = d.department_id AND ' ||
'l.location_id = d.location_id AND ' ||
'e.employee_id < :bnd';
Chapter 25
Running SQL Tuning Advisor On Demand
25-33

my_task_name := DBMS_SQLTUNE.CREATE_TUNING_TASK (
sql_text => my_sqltext
, bind_list => sql_binds(anydata.ConvertNumber(100))
, user_name => 'HR'
, scope => 'COMPREHENSIVE'
, time_limit => 60
, task_name => 'STA_SPECIFIC_EMP_TASK'
, description => 'Task to tune a query on a specified employee'
);
END;
/
2. Optionally, query the status of the task.
The following example queries the status of all tasks owned by the current user,
which in this example is
hr
:
COL TASK_ID FORMAT 999999
COL TASK_NAME FORMAT a25
COL STATUS_MESSAGE FORMAT a33
SELECT TASK_ID, TASK_NAME, STATUS, STATUS_MESSAGE
FROM USER_ADVISOR_LOG;
Sample output appears below:
TASK_ID TASK_NAME STATUS STATUS_MESSAGE
------- ------------------------- ----------- --------------
884 STA_SPECIFIC_EMP_TASK INITIAL
In the preceding output, the
INITIAL
status indicates that the task has not yet
started execution.
25.3.3 Configuring a SQL Tuning Task
To change the parameters of a tuning task after it has been created, execute the
DBMS_SQLTUNE.SET_TUNING_TASK_PARAMETER
function.
This tutorial assumes the following:
•You want to tune with user account
hr
, which has been granted the
ADVISOR
privilege.
•You want to tune the
STA_SPECIFIC_EMP_TASK
created in "Creating a SQL Tuning
Task".
•You want to change the maximum time that the SQL tuning task can run to 300
seconds.
To configure a SQL tuning task:
1. Connect SQL*Plus to the database with the appropriate privileges, and then run
the
DBMS_SQLTUNE.SET_TUNING_TASK_PARAMETER
function.
For example, execute the following PL/SQL program to change the time limit of the
tuning task to 300 seconds:
BEGIN
DBMS_SQLTUNE.SET_TUNING_TASK_PARAMETER (
task_name => 'STA_SPECIFIC_EMP_TASK'
Chapter 25
Running SQL Tuning Advisor On Demand
25-34

, parameter => 'TIME_LIMIT'
, value => 300
);
END;
/
2. Optionally, verify that the task parameter was changed.
The following example queries the values of all used parameters in task
STA_SPECIFIC_EMP_TASK
:
COL PARAMETER_NAME FORMAT a25
COL VALUE FORMAT a15
SELECT PARAMETER_NAME, PARAMETER_VALUE AS "VALUE"
FROM USER_ADVISOR_PARAMETERS
WHERE TASK_NAME = 'STA_SPECIFIC_EMP_TASK'
AND PARAMETER_VALUE != 'UNUSED'
ORDER BY PARAMETER_NAME;
Sample output appears below:
PARAMETER_NAME VALUE
------------------------- ---------------
DAYS_TO_EXPIRE 30
DEFAULT_EXECUTION_TYPE TUNE SQL
EXECUTION_DAYS_TO_EXPIRE UNLIMITED
JOURNALING INFORMATION
MODE COMPREHENSIVE
SQL_LIMIT -1
SQL_PERCENTAGE 1
TARGET_OBJECTS 1
TEST_EXECUTE AUTO
TIME_LIMIT 300
Example 25-4 Tuning a Standby Database Workload Using a Database Link
Starting in Oracle Database 12c Release 2 (12.2), you can tune a standby database
workload by specifying a database link in the
database_link_to
parameter. For security
reasons, Oracle recommends using a private database link. The link must be owned
by
SYS
and accessed by a privileged user. Oracle Database includes a default
privileged user named
SYS$UMF
.
The following program, which is issued on the standby database, shows a sample
SQL tuning session for a query of
table1
. The
database_link_to
parameter specifies
the name of the standby-to-primary database link.
VARIABLE tname VARCHAR2(30);
VARIABLE query VARCHAR2(500);
EXEC :tname := 'my_task';
EXEC :query := 'SELECT /*+ FULL(t)*/ col1 FROM table1 t WHERE col1=9000';
BEGIN
:tname := DBMS_SQLTUNE.CREATE_TUNING_TASK(
sql_text => :query
, task_name => :tname
, database_link_to => 'lnk_to_pri' );
END;
/
EXEC DBMS_SQLTUNE.EXECUTE_TUNING_TASK(:tname);
Chapter 25
Running SQL Tuning Advisor On Demand
25-35

SELECT DBMS_SQLTUNE.REPORT_TUNING_TASK(:tname) FROM DUAL;
BEGIN
DBMS_SQLTUNE.ACCEPT_SQL_PROFILE(
task_name => :tname
, name => 'prof'
, task_owner => 'SYS'
, replace => TRUE
, database_link_to => 'lnk_to_pri' );
END;
/
Note that the
bind_list
parameter of
CREATE_TUNING_TASK
is not supported on a standby
database.
25.3.4 Executing a SQL Tuning Task
To execute a SQL tuning task, use the
DBMS_SQLTUNE.EXECUTE_TUNING_TASK
function. The
most important parameter is
task_name
.
Note:
You can also execute the automatic tuning task
SYS_AUTO_SQL_TUNING_TASK
using the
EXECUTE_TUNING_TASK
API. SQL Tuning Advisor performs the same
analysis and actions as it would when run automatically.
Assumptions
This tutorial assumes the following:
•You want to tune as user
hr
, who has the
ADVISOR
privilege.
•You want to execute the
STA_SPECIFIC_EMP_TASK
created in "Creating a SQL Tuning
Task".
To execute a SQL tuning task:
1. Connect SQL*Plus to the database with the appropriate privileges, and then run
the
DBMS_SQLTUNE.EXECUTE_TUNING_TASK
function.
For example, execute the following PL/SQL program:
BEGIN
DBMS_SQLTUNE.EXECUTE_TUNING_TASK(task_name=>'STA_SPECIFIC_EMP_TASK');
END;
/
2. Optionally, query the status of the task.
The following example queries the status of all tasks owned by the current user,
which in this example is
hr
:
COL TASK_ID FORMAT 999999
COL TASK_NAME FORMAT a25
COL STATUS_MESSAGE FORMAT a33
Chapter 25
Running SQL Tuning Advisor On Demand
25-36

SELECT TASK_ID, TASK_NAME, STATUS, STATUS_MESSAGE
FROM USER_ADVISOR_LOG;
Sample output appears below:
TASK_ID TASK_NAME STATUS STATUS_MESSAGE
------- ------------------------- ----------- --------------
884 STA_SPECIFIC_EMP_TASK COMPLETED
25.3.5 Monitoring a SQL Tuning Task
When you create a SQL tuning task in Cloud Control, no separate monitoring step is
necessary. Cloud Control displays the status page automatically.
If you do not use Cloud Control, then you can monitor currently executing SQL tuning
tasks by querying the data dictionary and dynamic performance views. The following
table describes the relevant views.
Table 25-3 DBMS_SQLTUNE.EXECUTE_TUNING_TASK Parameters
View Description
USER_ADVISOR_TASKS
Displays information about tasks owned by the current
user. The view contains one row for each task. Each
task has a name that is unique to the owner. Task
names are just informational and no uniqueness is
enforced within any other namespace.
V$ADVISOR_PROGRESS
Displays information about the progress of advisor
execution.
Assumptions
This tutorial assumes the following:
•You tune as user
hr
, who has the
ADVISOR
privilege.
•You monitor the
STA_SPECIFIC_EMP_TASK
that you executed in "Executing a SQL
Tuning Task".
To monitor a SQL tuning task:
1. Connect SQL*Plus to the database with the appropriate privileges, and then
determine whether the task is executing or completed.
For example, query the status of
STA_SPECIFIC_EMP_TASK
as follows:
SELECT STATUS
FROM USER_ADVISOR_TASKS
WHERE TASK_NAME = 'STA_SPECIFIC_EMP_TASK';
The following output shows that the task has completed:
STATUS
-----------
EXECUTING
2. Determine the progress of an executing task.
The following example queries the status of the task with task ID
884
:
Chapter 25
Running SQL Tuning Advisor On Demand
25-37

VARIABLE my_tid NUMBER;
EXEC :my_tid := 884
COL ADVISOR_NAME FORMAT a20
COL SOFAR FORMAT 999
COL TOTALWORK FORMAT 999
SELECT TASK_ID, ADVISOR_NAME, SOFAR, TOTALWORK,
ROUND(SOFAR/TOTALWORK*100,2) "%_COMPLETE"
FROM V$ADVISOR_PROGRESS
WHERE TASK_ID = :my_tid;
Sample output appears below:
TASK_ID ADVISOR_NAME SOFAR TOTALWORK %_COMPLETE
---------- -------------------- ----- --------- ----------
884 SQL Tuning Advisor 1 2 50
25.3.6 Displaying the Results of a SQL Tuning Task
To report the results of a tuning task, use the
DBMS_SQLTUNE.REPORT_TUNING_TASK
function.
The report contains all the findings and recommendations of SQL Tuning Advisor. For
each proposed recommendation, the report provides the rationale and benefit along
with the SQL statements needed to implement the recommendation.
Assumptions
This tutorial assumes the following:
•You want to tune as user
hr
, who has the
ADVISOR
privilege.
•You want to access the report for the
STA_SPECIFIC_EMP_TASK
executed in
"Executing a SQL Tuning Task".
To view the report for a SQL tuning task:
1. Connect SQL*Plus to the database with the appropriate privileges, and then run
the
DBMS_SQLTUNE.REPORT_TUNING_TASK
function.
For example, you run the following statements:
SET LONG 1000
SET LONGCHUNKSIZE 1000
SET LINESIZE 100
SELECT DBMS_SQLTUNE.REPORT_TUNING_TASK( 'STA_SPECIFIC_EMP_TASK' )
FROM DUAL;
Truncated sample output appears below:
DBMS_SQLTUNE.REPORT_TUNING_TASK('STA_SPECIFIC_EMP_TASK')
---------------------------------------------------------------------------
GENERAL INFORMATION SECTION
---------------------------------------------------------------------------
Tuning Task Name : STA_SPECIFIC_EMP_TASK
Tuning Task Owner : HR
Workload Type : Single SQL Statement
Execution Count : 11
Current Execution : EXEC_1057
Execution Type : TUNE SQL
Scope : COMPREHENSIVE
Chapter 25
Running SQL Tuning Advisor On Demand
25-38

Time Limit(seconds): 300
Completion Status : COMPLETED
Started at : 04/22/2012 07:35:49
Completed at : 04/22/2012 07:35:50
---------------------------------------------------------------------------
Schema Name: HR
SQL ID : dg7nfaj0bdcvk
SQL Text : SELECT /*+ ORDERED */ * FROM employees e, locations l,
departments d WHERE e.department_id = d.department_id AND
l.location_id = d.location_id AND e.employee_id < :bnd
Bind Variables :
1 - (NUMBER):100
---------------------------------------------------------------------------
FINDINGS SECTION (4 findings)
-----------------------------------------------
2. Interpret the results.
Chapter 25
Running SQL Tuning Advisor On Demand
25-39

26
Optimizing Access Paths with SQL Access
Advisor
SQL Access Advisor is diagnostic software that identifies and helps resolve SQL
performance problems by recommending indexes, materialized views, materialized
view logs, or partitions to create, drop, or retain.
This chapter contains the following topics:
•About SQL Access Advisor
SQL Access Advisor accepts input from several sources, including SQL tuning
sets, and then issues recommendations.
•Using SQL Access Advisor: Basic Tasks
Basic tasks include creating an STS, loading it, creating a SQL Access Advisor
task, and then executing the task.
•Performing a SQL Access Advisor Quick Tune
To tune a single SQL statement, the
DBMS_ADVISOR.QUICK_TUNE
procedure accepts
as its input a
task_name
and a single SQL statement.
•Using SQL Access Advisor: Advanced Tasks
This section describes advanced tasks involving SQL Access Advisor.
•SQL Access Advisor Examples
Oracle Database provides a script that contains several SQL Access Advisor
examples that you can run on a test database.
•SQL Access Advisor Reference
You can access metadata about SQL Access Advisor using data dictionary views.
26.1 About SQL Access Advisor
SQL Access Advisor accepts input from several sources, including SQL tuning sets,
and then issues recommendations.
Note:
Data visibility and privilege requirements may differ when using SQL Access
Advisor with pluggable databases.
This section contains the following topics:
•Purpose of SQL Access Advisor
SQL Access Advisor recommends the proper set of materialized views,
materialized view logs, partitions, and indexes for a specified workload.
26-1

•SQL Access Advisor Architecture
Automatic Tuning Optimizer is the central tool used by SQL Access Advisor.
•User Interfaces for SQL Access Advisor
Oracle recommends that you use SQL Access Advisor through its GUI wizard,
which is available in Cloud Control.
See Also:
Oracle Database Administrator’s Guide for a table that summarizes how
manageability features work in a container database (CDB)
26.1.1 Purpose of SQL Access Advisor
SQL Access Advisor recommends the proper set of materialized views, materialized
view logs, partitions, and indexes for a specified workload.
Materialized views, partitions, and indexes are essential when tuning a database to
achieve optimum performance for complex, data-intensive queries. SQL Access
Advisor takes an actual workload as input, or derives a hypothetical workload from a
schema. The advisor then recommends access structures for faster execution path.
The advisor provides the following advantages:
•Does not require you to have expert knowledge
•Makes decisions based on rules that reside in the optimizer
•Covers all aspects of SQL access in a single advisor
•Provides simple, user-friendly GUI wizards in Cloud Control
•Generates scripts for implementation of recommendations
26.1.2 SQL Access Advisor Architecture
Automatic Tuning Optimizer is the central tool used by SQL Access Advisor.
The advisor can receive SQL statements as input from the sources shown in
Figure 26-1, analyze these statements using the optimizer, and then make
recommendations.
Figure 26-1 shows the basic architecture of SQL Access Advisor.
Chapter 26
About SQL Access Advisor
26-2

Figure 26-1 SQL Access Advisor Architecture
Optimizer
Automatic
Tuning
Optimizer
SQL
Access
Advisor
DBA
Workload
SQL
Tuning
Set
Shared Pool
Library Cache
Shared SQL Area
SELECT * FROM
employees
Hypothetical
Recommendations
Indexes
Materialized
Views
Materialized
View Logs
Partitions
Filter Options
This section contains the following topics:
•Input to SQL Access Advisor
SQL Access Advisor requires a workload, which consists of one or more SQL
statements, plus statistics and attributes that fully describe each statement.
•Filter Options for SQL Access Advisor
You can apply a filter to a workload to restrict what is analyzed.
•SQL Access Advisor Recommendations
A task recommendation can range from a simple to a complex solution.
•SQL Access Advisor Actions
In general, each recommendation provides a benefit for a set of queries.
•SQL Access Advisor Repository
Information required and generated by SQL Access Advisor resides in the Advisor
repository, which is in the data dictionary.
See Also:
"About Automatic Tuning Optimizer"
Chapter 26
About SQL Access Advisor
26-3

26.1.2.1 Input to SQL Access Advisor
SQL Access Advisor requires a workload, which consists of one or more SQL
statements, plus statistics and attributes that fully describe each statement.
A full workload contains all SQL statements from a target business application. A
partial workload contains a subset of SQL statements.
As shown in Figure 26-1, SQL Access Advisor input can come from the following
sources:
•Shared SQL area
The database uses the shared SQL area to analyze recent SQL statements that
are currently in
V$SQL
.
•SQL tuning set
A SQL tuning set (STS) is a database object that stores SQL statements along
with their execution context. When a set of SQL statements serve as input, the
database must first construct and use an STS.
Note:
For best results, provide a workload as a SQL tuning set. The
DBMS_SQLTUNE
package provides helper functions that can create SQL
tuning sets from common workload sources, such as the SQL cache, a
user-defined workload stored in a table, and a hypothetical workload.
•Hypothetical workload
You can create a hypothetical workload from a schema by analyzing dimensions
and constraints. This option is useful when you are initially designing your
application.
26.1.2.2 Filter Options for SQL Access Advisor
You can apply a filter to a workload to restrict what is analyzed.
For example, specify that the advisor look at only the 30 most resource-intensive
statements in the workload, based on optimizer cost. This restriction can generate
different sets of recommendations based on different workload scenarios.
SQL Access Advisor parameters control the recommendation process and
customization of the workload. These parameters control various aspects of the
process, such as the type of recommendation required and the naming conventions for
what it recommends.
To set these parameters, use the
DBMS_ADVISOR.SET_TASK_PARAMETER
procedure.
Parameters are persistent in that they remain set for the life span of the task. When a
parameter value is set using
DBMS_ADVISOR.SET_TASK_PARAMETER
, the value does not
change until you make another call to this procedure.
Chapter 26
About SQL Access Advisor
26-4

26.1.2.3 SQL Access Advisor Recommendations
A task recommendation can range from a simple to a complex solution.
The advisor can recommend that you create database objects such as the following:
•Indexes
SQL Access Advisor index recommendations include bitmap, function-based, and
B-tree indexes. A bitmap index offers a reduced response time for many types of
ad hoc queries and reduced storage requirements compared to other indexing
techniques. B-tree indexes are most commonly used in a data warehouse to index
unique or near-unique keys. SQL Access Advisor materialized view
recommendations include fast refreshable and full refreshable materialized views,
for either general rewrite or exact text match rewrite.
•Materialized views
SQL Access Advisor, using the
TUNE_MVIEW
procedure, also recommends how to
optimize materialized views so that they can be fast refreshable and take
advantage of general query rewrite.
•Materialized view logs
A materialized view log is a table at the materialized view's master site or master
materialized view site that records all DML changes to the master table or master
materialized view. A fast refresh of a materialized view is possible only if the
materialized view's master has a materialized view log.
•Partitions
SQL Access Advisor can recommend partitioning on an existing unpartitioned
base table to improve performance. Furthermore, it may recommend new indexes
and materialized views that are themselves partitioned.
While creating new partitioned indexes and materialized view is no different from
the unpartitioned case, partition existing base tables with care. This is especially
true when indexes, views, constraints, or triggers are defined on the table.
To make recommendations, SQL Access Advisor relies on structural statistics about
table and index cardinalities of dimension level columns,
JOIN KEY
columns, and fact
table key columns. You can gather exact or estimated statistics with the
DBMS_STATS
package.
Because gathering statistics is time-consuming and full statistical accuracy is not
required, it is usually preferable to estimate statistics. Without gathering statistics on a
specified table, queries referencing this table are marked as invalid in the workload,
resulting in no recommendations for these queries. It is also recommended that all
existing indexes and materialized views have been analyzed.
26.1.2.4 SQL Access Advisor Actions
In general, each recommendation provides a benefit for a set of queries.
All individual actions in a recommendation must be implemented together to achieve
the full benefit. Recommendations can share actions.
For example, a
CREATE INDEX
statement could provide a benefit for several queries, but
some queries might benefit from an additional
CREATE MATERIALIZED VIEW
statement. In
Chapter 26
About SQL Access Advisor
26-5

that case, the advisor would generate two recommendations: one for the set of queries
that require only the index, and another one for the set of queries that require both the
index and the materialized view.
This section contains the following topics:
•Types of Actions
SQL Access Advisor makes several different types of recommendations.
•Guidelines for Interpreting Partitioning Recommendations
When SQL Access Advisor determines that partitioning a base table would
improve performance, the advisor adds a partition action to every recommendation
containing a query referencing the table. In this way, index and materialized view
recommendations are implemented on the correctly partitioned tables.
26.1.2.4.1 Types of Actions
SQL Access Advisor makes several different types of recommendations.
Recommendations include the following types of actions:
•
PARTITION BASE TABLE
This action partitions an existing unpartitioned base table.
•
CREATE|DROP|RETAIN {MATERIALIZED VIEW|MATERIALIZED VIEW LOG|INDEX}
The
CREATE
actions corresponds to new access structures.
RETAIN
recommends
keeping existing access structures. SQL Access Advisor only recommends
DROP
when the
WORKLOAD_SCOPE
parameter is set to
FULL
.
•
GATHER STATS
This action generates a call to a
DBMS_STATS
procedure to gather statistics on a
newly generated access structure.
Multiple recommendations may refer to the same action. However, when generating a
script for the recommendation, you only see each action once.
26.1.2.4.2 Guidelines for Interpreting Partitioning Recommendations
When SQL Access Advisor determines that partitioning a base table would improve
performance, the advisor adds a partition action to every recommendation containing a
query referencing the table. In this way, index and materialized view recommendations
are implemented on the correctly partitioned tables.
SQL Access Advisor may recommend partitioning an existing nonpartitioned base
table. When the advisor implementation script contains partition recommendations,
note the following issues:
•Partitioning an existing table is a complex and extensive operation, which may
take considerably longer than implementing a new index or materialized view.
Sufficient time should be reserved for implementing this recommendation.
•While index and materialized view recommendations are easy to reverse by
deleting the index or view, a table, after being partitioned, cannot easily be
restored to its original state. Therefore, ensure that you back up the database
before executing a script containing partition recommendations.
•While repartitioning a base table, SQL Access Advisor scripts make a temporary
copy of the original table, which occupies the same amount of space as the
Chapter 26
About SQL Access Advisor
26-6

original table. Therefore, the repartitioning process requires sufficient free disk
space for another copy of the largest table to be repartitioned. Ensure that such
space is available before running the implementation script.
The partition implementation script attempts to migrate dependent objects such as
indexes, materialized views, and constraints. However, some object cannot be
automatically migrated. For example, PL/SQL stored procedures defined against a
repartitioned base table typically become invalid and must be recompiled.
•If you decide not to implement a partition recommendation, then all other
recommendations on the same table in the same script (such as
CREATE INDEX
and
CREATE MATERIALIZED VIEW
recommendations) depend on the partitioning
recommendation. To obtain accurate recommendations, do not simply remove the
partition recommendation from the script. Rather, rerun the advisor with
partitioning disabled, for example, by setting parameter
ANALYSIS_SCOPE
to a value
that does not include the keyword
TABLE
.
26.1.2.5 SQL Access Advisor Repository
Information required and generated by SQL Access Advisor resides in the Advisor
repository, which is in the data dictionary.
The SQL Access Advisor repository has the following benefits:
•Collects a complete workload for SQL Access Advisor
•Supports historical data
•Is managed by the database
26.1.3 User Interfaces for SQL Access Advisor
Oracle recommends that you use SQL Access Advisor through its GUI wizard, which
is available in Cloud Control.
You can also invoke SQL Access Advisor through the
DBMS_ADVISOR
package. This
chapter explains how to use the API.
This section contains the following topics:
•Accessing the SQL Access Advisor: Initial Options Page Using Cloud Control
The SQL Access Advisor: Initial Options page in Cloud Control is the starting page
for a wizard that guides you through the process of obtaining recommendations.
•Command-Line Interface to SQL Tuning Sets
On the command line, you can use the
DBMS_ADVISOR
package to manage SQL
Tuning Advisor.
See Also:
•Oracle Database 2 Day + Performance Tuning Guide explains how to
use the SQL Access Advisor wizard.
•See Oracle Database PL/SQL Packages and Types Reference for
complete semantics and syntax.
Chapter 26
About SQL Access Advisor
26-7

26.1.3.1 Accessing the SQL Access Advisor: Initial Options Page Using Cloud
Control
The SQL Access Advisor: Initial Options page in Cloud Control is the starting page for
a wizard that guides you through the process of obtaining recommendations.
To access the SQL Access Advisor: Initial Options page:
1. Log in to Cloud Control with the appropriate credentials.
2. Under the Targets menu, select Databases.
3. In the list of database targets, select the target for the Oracle Database instance
that you want to administer.
4. If prompted for database credentials, then enter the minimum credentials
necessary for the tasks you intend to perform.
5. From the Performance menu, select SQL, then SQL Access Advisor.
The SQL Access Advisor: Initial Options page appears., shown in Figure 26-2.
Figure 26-2 SQL Access Advisor: Initial Options
You can perform most SQL plan management tasks in this page or in pages
accessed through this page.
26.1.3.2 Command-Line Interface to SQL Tuning Sets
On the command line, you can use the
DBMS_ADVISOR
package to manage SQL Tuning
Advisor.
The
DBMS_ADVISOR
package consists of a collection of analysis and advisory functions
and procedures callable from any PL/SQL program. You must have the
ADVISOR
privilege to use
DBMS_ADVISOR
.
26.2 Using SQL Access Advisor: Basic Tasks
Basic tasks include creating an STS, loading it, creating a SQL Access Advisor task,
and then executing the task.
The following graphic shows the basic workflow for SQL Access Advisor.
Chapter 26
Using SQL Access Advisor: Basic Tasks
26-8

Figure 26-3 Using SQL Access Advisor
SQLAccess
Task
SQL Tuning
Set
Recommendations
ADD_STS_REF
SET_TASK_PARAMETER
Create a SQLAccess Task
and Prepare Task
CREATE_TASK
Step 3
GET_TASK_SCRIPT
Step 6
Review Results
Step 5
EXECUTE_TASK
Step 4
Create SQL Tuning Set
CREATE_SQLSET
Step 1
LOAD_SQLSET...
Gather and Manage Workload
Identify Workload Source
Step 2
Create a SQL
Tuning Set
Workload
Reference
Typically, you use SQL Access Advisor by performing the following steps:
1. Create a SQL tuning set
The input workload source for SQL Access Advisor is a SQL tuning set (STS). Use
DBMS_SQLTUNE.CREATE_SQLSET
or
DBMS_SQLSET.CREATE_SQLSET
to create a SQL tuning
set.
"Creating a SQL Tuning Set as Input for SQL Access Advisor" describes this task.
2. Load the SQL tuning set
SQL Access Advisor performs best when a workload based on actual usage is
available. Use
DBMS_SQLTUNE.LOAD_SQLSET
or
DBMS_SQLSET.LOAD_SQLSET
to populate
the SQL tuning set with your workload.
"Populating a SQL Tuning Set with a User-Defined Workload" describes this task.
3. Create and configure a task
In the task, you define what SQL Access Advisor must analyze and the location of
the analysis results. Create a task using the
DBMS_ADVISOR.CREATE_TASK
procedure.
You can then define parameters for the task using the
SET_TASK_PARAMETER
procedure, and then link the task to an STS by using the
DBMS_ADVISOR.ADD_STS_REF
procedure.
"Creating and Configuring a SQL Access Advisor Task" describes this task.
4. Execute the task
Run the
DBMS_ADVISOR.EXECUTE_TASK
procedure to generate recommendations. Each
recommendation specifies one or more actions. For example, a recommendation
could be to create several materialized view logs, create a materialized view, and
then analyze it to gather statistics.
Chapter 26
Using SQL Access Advisor: Basic Tasks
26-9

"Executing a SQL Access Advisor Task" describes this task.
5. View the recommendations
You can view the recommendations by querying data dictionary views.
"Viewing SQL Access Advisor Task Results" describes this task.
6. Optionally, generate and execute a SQL script that implements the
recommendations.
"Generating and Executing a Task Script" that describes this task.
This section contains the following topics:
•Creating a SQL Tuning Set as Input for SQL Access Advisor
The input workload source for SQL Access Advisor is an STS.
•Populating a SQL Tuning Set with a User-Defined Workload
A workload consists of one or more SQL statements, plus statistics and attributes
that fully describe each statement.
•Creating and Configuring a SQL Access Advisor Task
Use the
DBMS_ADVISOR.CREATE_TASK
procedure to create a SQL Access Advisor task.
•Executing a SQL Access Advisor Task
The
DBMS_ADVISOR.EXECUTE_TASK
procedure performs SQL Access Advisor analysis
or evaluation for the specified task.
•Viewing SQL Access Advisor Task Results
You can view each recommendation generated by SQL Access Advisor using
several data dictionary views.
•Generating and Executing a Task Script
You can use the procedure
DBMS_ADVISOR.GET_TASK_SCRIPT
to create a script of the
SQL statements for the SQL Access Advisor recommendations. The script is an
executable SQL file that can contain
DROP
,
CREATE
, and
ALTER
statements.
26.2.1 Creating a SQL Tuning Set as Input for SQL Access Advisor
The input workload source for SQL Access Advisor is an STS.
Because an STS is stored as a separate entity, multiple advisor tasks can share it.
Create an STS with the
DBMS_SQLTUNE.CREATE_SQLSET
or
DBMS_SQLSET.CREATE_SQLSET
procedure.
After an advisor task has referenced an STS, you cannot delete or modify the STS
until all advisor tasks have removed their dependency on it. A workload reference is
removed when a parent advisor task is deleted, or when you manually remove the
workload reference from the advisor task.
Prerequisites
The user creating the STS must have been granted the
ADMINISTER SQL TUNING SET
privilege. To run SQL Access Advisor on SQL tuning sets owned by other users, the
user must have the
ADMINISTER ANY SQL TUNING SET
privilege.
Assumptions
This tutorial assumes the following:
•You want to create an STS named
MY_STS_WORKLOAD
.
Chapter 26
Using SQL Access Advisor: Basic Tasks
26-10

•You want to use this STS as input for a workload derived from the
sh
schema.
•You use
DBMS_SQLTUNE
rather than
DBMS_SQLSET
.
To create an STS :
1. In SQL*Plus, log in to the database as user
sh
.
2. Set SQL*Plus variables.
For example, enter the following commands:
SET SERVEROUTPUT ON;
VARIABLE task_id NUMBER;
VARIABLE task_name VARCHAR2(255);
VARIABLE workload_name VARCHAR2(255);
3. Create the SQL tuning set.
For example, assign a value to the
workload_name
variable and create the STS as
follows:
EXECUTE :workload_name := 'MY_STS_WORKLOAD';
EXECUTE DBMS_SQLTUNE.CREATE_SQLSET(:workload_name, 'test purpose');
26.2.2 Populating a SQL Tuning Set with a User-Defined Workload
A workload consists of one or more SQL statements, plus statistics and attributes that
fully describe each statement.
A full workload contains all SQL statements from a target business application. A
partial workload contains a subset of SQL statements. The difference is that for full
workloads SQL Access Advisor may recommend dropping unused materialized views
and indexes.
You cannot use SQL Access Advisor without a workload. SQL Access Advisor ranks
the entries according to a specific statistic, business importance, or combination of the
two, which enables the advisor to process the most important SQL statements first.
SQL Access Advisor performs best with a workload based on actual usage. You can
store multiple workloads in the form of SQL tuning sets, so that you can view the
different uses of a real-world data warehousing or OLTP environment over a long
period and across the life cycle of database instance startup and shutdown.
The following table describes procedures that you can use to populate an STS with a
user-defined workload.
Table 26-1 Procedures for Loading an STS
Procedure Description To Learn More
DBMS_SQLTUNE.LOAD_SQLSET
or
DBMS_SQLSET.LOAD_SQLSET
Populates the SQL tuning set
with a set of selected SQL.
You can call the procedure
multiple times to add new
SQL statements or replace
attributes of existing
statements.
Oracle Database PL/SQL
Packages and Types
Reference
Chapter 26
Using SQL Access Advisor: Basic Tasks
26-11

Table 26-1 (Cont.) Procedures for Loading an STS
Procedure Description To Learn More
DBMS_ADVISOR.COPY_SQLWKLD_TO
_STS
Copies SQL workload data to
a user-designated SQL
tuning set. The user must
have the required SQL tuning
set privileges and the
required
ADVISOR
privilege.
Oracle Database PL/SQL
Packages and Types
Reference
Assumptions
This tutorial assumes that you want to do the following:
•Create a table named
sh.user_workload
to store information about SQL statements
•Load the
sh.user_workload
table with information about three queries of tables in
the
sh
schema
•Populate the STS created in "Creating a SQL Tuning Set as Input for SQL Access
Advisor" with the workload contained in
sh.user_workload
•Use
DBMS_SQLTUNE.LOAD_SQLSET
instead of
DBMS_SQLSET.LOAD_SQLSET
To populate an STS with a user-defined workload:
1. In SQL*Plus, log in to the database as user
sh
.
2. Create the
user_workload
table.
For example, enter the following commands:
DROP TABLE user_workload;
CREATE TABLE user_workload
(
username varchar2(128), /* User who executes statement */
module varchar2(64), /* Application module name */
action varchar2(64), /* Application action name */
elapsed_time number, /* Elapsed time for query */
cpu_time number, /* CPU time for query */
buffer_gets number, /* Buffer gets consumed by query */
disk_reads number, /* Disk reads consumed by query */
rows_processed number, /* # of rows processed by query */
executions number, /* # of times query executed */
optimizer_cost number, /* Optimizer cost for query */
priority number, /* User-priority (1,2 or 3) */
last_execution_date date, /* Last time query executed */
stat_period number, /* Window exec time in seconds */
sql_text clob /* Full SQL Text */
);
3. Load the
user_workload
table with information about queries.
For example, execute the following statements:
-- aggregation with selection
INSERT INTO user_workload (username, module, action, priority, sql_text)
VALUES ('SH', 'Example1', 'Action', 2,
'SELECT t.week_ending_day, p.prod_subcategory,
SUM(s.amount_sold) AS dollars, s.channel_id, s.promo_id
FROM sales s, times t, products p
Chapter 26
Using SQL Access Advisor: Basic Tasks
26-12

WHERE s.time_id = t.time_id
AND s.prod_id = p.prod_id
AND s.prod_id > 10
AND s.prod_id < 50
GROUP BY t.week_ending_day, p.prod_subcategory, s.channel_id, s.promo_id')
/
-- aggregation with selection
INSERT INTO user_workload (username, module, action, priority, sql_text)
VALUES ('SH', 'Example1', 'Action', 2,
'SELECT t.calendar_month_desc, SUM(s.amount_sold) AS dollars
FROM sales s , times t
WHERE s.time_id = t.time_id
AND s.time_id BETWEEN TO_DATE(''01-JAN-2000'', ''DD-MON-YYYY'')
AND TO_DATE(''01-JUL-2000'', ''DD-MON-YYYY'')
GROUP BY t.calendar_month_desc')
/
-- order by
INSERT INTO user_workload (username, module, action, priority, sql_text)
VALUES ('SH', 'Example1', 'Action', 2,
'SELECT c.country_id, c.cust_city, c.cust_last_name
FROM customers c
WHERE c.country_id IN (52790, 52789)
ORDER BY c.country_id, c.cust_city, c.cust_last_name')
/
COMMIT;
4. Execute a PL/SQL program that fills a cursor with rows from the
user_workload
table, and then loads the contents of this cursor into the STS named
MY_STS_WORKLOAD
.
For example, execute the following PL/SQL program:
DECLARE
sqlset_cur DBMS_SQLTUNE.SQLSET_CURSOR;
BEGIN
OPEN sqlset_cur FOR
SELECT SQLSET_ROW(null,null, SQL_TEXT, null, null, 'SH', module,
'Action', 0, 0, 0, 0, 0, 1, 0, 1, 0, 0, null, 2, 3,
sysdate, 0, 0, null, 0, null, null)
FROM USER_WORKLOAD;
DBMS_SQLTUNE.LOAD_SQLSET('MY_STS_WORKLOAD', sqlset_cur);
END;
/
26.2.3 Creating and Configuring a SQL Access Advisor Task
Use the
DBMS_ADVISOR.CREATE_TASK
procedure to create a SQL Access Advisor task.
In the SQL Access Advisor task, you define what the advisor must analyze and the
location of the results. You can create multiple tasks, each with its own specialization.
All are based on the same Advisor task model and share the same repository.
Configuring the task involves the following steps:
•Defining task parameters
At the time the recommendations are generated, you can apply a filter to the
workload to restrict what is analyzed. This restriction provides the ability to
Chapter 26
Using SQL Access Advisor: Basic Tasks
26-13

generate different sets of recommendations based on different workload
scenarios.
SQL Access Advisor parameters control the recommendation process and
customization of the workload. These parameters control various aspects of the
process, such as the type of recommendation required and the naming
conventions for what it recommends.
If parameters are not defined, then the database uses the defaults. You can set
task parameters by using the
DBMS_ADVISOR.SET_TASK_PARAMETER
procedure.
Parameters are persistent in that they remain set for the life span of the task.
When a parameter value is set using
SET_TASK_PARAMETER
, it does not change until
you make another call to this procedure.
•Linking the task to the workload
Because the workload is independent, you must link it to a task using the
DBMS_ADVISOR.ADD_STS_REF
procedure. After this link has been established, you
cannot delete or modify the workload until all advisor tasks have removed their
dependency on the workload. A workload reference is removed when a user
deletes a parent advisor task or manually removes the workload reference from
the task by using the
DBMS_ADVISOR.DELETE_STS_REF
procedure.
Prerequisites
The user creating the task must have been granted the
ADVISOR
privilege.
Assumptions
This tutorial assumes the following:
•You want to create a task named
MYTASK
.
•You want to use this task to analyze the workload that you defined in "Populating a
SQL Tuning Set with a User-Defined Workload".
•You want to terminate the task if it takes longer than 30 minutes to execute.
•You want to SQL Access Advisor to only consider indexes.
To create and configure a SQL Access Advisor task:
1. Connect SQL*Plus to the database as user
sh
, and then create the task.
For example, enter the following commands:
EXECUTE :task_name := 'MYTASK';
EXECUTE DBMS_ADVISOR.CREATE_TASK('SQL Access Advisor', :task_id, :task_name);
2. Set task parameters.
For example, execute the following statements:
EXECUTE DBMS_ADVISOR.SET_TASK_PARAMETER(:task_name, 'TIME_LIMIT', 30);
EXECUTE DBMS_ADVISOR.SET_TASK_PARAMETER(:task_name, 'ANALYSIS_SCOPE', 'ALL');
3. Link the task to the workload.
For example, execute the following statement:
EXECUTE DBMS_ADVISOR.ADD_STS_REF(:task_name, 'SH', :workload_name);
Chapter 26
Using SQL Access Advisor: Basic Tasks
26-14

26.2.4 Executing a SQL Access Advisor Task
The
DBMS_ADVISOR.EXECUTE_TASK
procedure performs SQL Access Advisor analysis or
evaluation for the specified task.
Task execution is a synchronous operation, so the database does not return control to
the user until the operation has completed, or the database detects a user interrupt.
After the return or execution of the task, you can check the
DBA_ADVISOR_LOG
table for
the execution status.
Running
EXECUTE_TASK
generates recommendations. A recommendation includes one
or more actions, such as creating a materialized view log or a materialized view.
Prerequisites
When processing a workload, SQL Access Advisor attempts to validate each
statement to identify table and column references. The database achieves validation
by processing each statement as if it were being executed by the statement's original
user.
If the user does not have
SELECT
privileges to a particular table, then SQL Access
Advisor bypasses the statement referencing the table. This behavior can cause many
statements to be excluded from analysis. If SQL Access Advisor excludes all
statements in a workload, then the workload is invalid. SQL Access Advisor returns the
following message:
QSM-00774, there are no SQL statements to process for task TASK_NAME
To avoid missing critical workload queries, the current database user must have
SELECT
privileges on the tables targeted for materialized view analysis. For these tables, these
SELECT
privileges cannot be obtained through a role.
Assumptions
This tutorial assumes that you want to execute the task you configured in "Creating
and Configuring a SQL Access Advisor Task".
To create and configure a SQL Access Advisor task:
1. In SQL*Plus or SQL Developer, log in to the database as a user with the
necessary privileges.
2. Execute the task.
For example, execute the following statement:
EXECUTE DBMS_ADVISOR.EXECUTE_TASK(:task_name);
3. Optionally, query
USER_ADVISOR_LOG
to check the status of the task.
For example, execute the following statements (sample output included):
COL TASK_ID FORMAT 999
COL TASK_NAME FORMAT a25
COL STATUS_MESSAGE FORMAT a25
SELECT TASK_ID, TASK_NAME, STATUS, STATUS_MESSAGE
FROM USER_ADVISOR_LOG;
TASK_ID TASK_NAME STATUS STATUS_MESSAGE
Chapter 26
Using SQL Access Advisor: Basic Tasks
26-15

------- ------------------------- ----------- -------------------------
103 MYTASK COMPLETED Access advisor execution
completed
26.2.5 Viewing SQL Access Advisor Task Results
You can view each recommendation generated by SQL Access Advisor using several
data dictionary views.
The views are summarized in Table 26-2. However, it is easier to use the
DBMS_ADVISOR.GET_TASK_SCRIPT
procedure or Cloud Control, which graphically displays
the recommendations and provides hyperlinks to quickly see which SQL statements
benefit from a recommendation.
Each recommendation produced by SQL Access Advisor is linked to the SQL
statement it benefits. Each recommendation corresponds to one or more actions. Each
action has one or more attributes.
Each action has attributes pertaining to the access structure properties. The name and
tablespace for each applicable access structure are in the
ATTR1
and
ATTR2
columns of
USER_ADVISOR_ATTRIBUTES
. The space occupied by each new access structure is in the
NUM_ATTR1
column. Other attributes are different for each action.
Table 26-2 Views Showing Task Results
Data Dictionary View (DBA, USER) Description
DBA_ADVISOR_TASKS
Displays information about advisor tasks. To
see SQL Access Advisor tasks, select where
ADVISOR_NAME = 'SQL Access Advisor'.
DBA_ADVISOR_RECOMMENDATIONS
Displays the results of an analysis of all
recommendations in the database. A
recommendation can have multiple actions
associated with it. The
DBA_ADVISOR_ACTIONS
view describe the actions. A recommendation
also points to a set of rationales that present a
justification/reasoning for that
recommendation. The
DBA_ADVISOR_RATIONALE
view describes the
rationales.
DBA_ADVISOR_ACTIONS
Displays information about the actions
associated with all recommendations in the
database. Each action is specified by the
COMMAND
and
ATTR1
through
ATTR6
columns.
Each command defines how to use the
attribute columns.
DBA_ADVISOR_RATIONALE
Displays information about the rationales for
all recommendations in the database.
DBA_ADVISOR_SQLA_WK_STMTS
Displays information about all workload
objects in the database after a SQL Access
Advisor analysis. The precost and postcost
numbers are in terms of the estimated
optimizer cost (shown in
EXPLAIN PLAN
)
without and with the recommended access
structure.
Chapter 26
Using SQL Access Advisor: Basic Tasks
26-16

Assumptions
This tutorial assumes that you want to view results of the task you executed in
"Executing a SQL Access Advisor Task".
To view the results of a SQL Access Advisor task:
1. Connect SQL*Plus to the database with the appropriate privileges, and then query
the advisor recommendations.
For example, execute the following statements (sample output included):
VARIABLE workload_name VARCHAR2(255);
VARIABLE task_name VARCHAR2(255);
EXECUTE :task_name := 'MYTASK';
EXECUTE :workload_name := 'MY_STS_WORKLOAD';
SELECT REC_ID, RANK, BENEFIT
FROM USER_ADVISOR_RECOMMENDATIONS
WHERE TASK_NAME = :task_name
ORDER BY RANK;
REC_ID RANK BENEFIT
---------- ---------- ----------
1 1 236
2 2 356
The preceding output shows the recommendations (
rec_id
) produced by an SQL
Access Advisor run, with their rank and total benefit. The rank is a measure of the
importance of the queries that the recommendation helps. The benefit is the total
improvement in execution cost (in terms of optimizer cost) of all queries using the
recommendation.
2. Identify which query benefits from which recommendation.
For example, execute the following query of
USER_ADVISOR_SQLA_WK_STMTS
(sample
output included):
SELECT SQL_ID, REC_ID, PRECOST, POSTCOST,
(PRECOST-POSTCOST)*100/PRECOST AS PERCENT_BENEFIT
FROM USER_ADVISOR_SQLA_WK_STMTS
WHERE TASK_NAME = :task_name
AND WORKLOAD_NAME = :workload_name
ORDER BY percent_benefit DESC;
SQL_ID REC_ID PRECOST POSTCOST PERCENT_BENEFIT
------------- ---------- ---------- ---------- ---------------
fn4bsxdm98w3u 2 578 222 61.5916955
29bbju72rv3t2 1 5750 5514 4.10434783
133ym38r6gbar 0 772 772 0
The precost and postcost numbers are in terms of the estimated optimizer cost
(shown in
EXPLAIN
PLAN
) both without and with the recommended access structure
changes.
3. Display the number of distinct actions for this set of recommendations.
For example, use the following query (sample output included):
SELECT 'Action Count', COUNT(DISTINCT action_id) cnt
FROM USER_ADVISOR_ACTIONS
Chapter 26
Using SQL Access Advisor: Basic Tasks
26-17

WHERE TASK_NAME = :task_name;
'ACTIONCOUNT CNT
------------ ----------
Action Count 4
4. Display the actions for this set of recommendations.
For example, use the following query (sample output included):
SELECT REC_ID, ACTION_ID, SUBSTR(COMMAND,1,30) AS command
FROM USER_ADVISOR_ACTIONS
WHERE TASK_NAME = :task_name
ORDER BY rec_id, action_id;
REC_ID ACTION_ID COMMAND
---------- ---------- ------------------------------
1 1 PARTITION TABLE
1 2 RETAIN INDEX
2 1 PARTITION TABLE
2 3 RETAIN INDEX
2 4 RETAIN INDEX
5. Display attributes of the recommendations.
For example, create the following PL/SQL procedure
show_recm
, and then execute
it to see attributes of the actions:
CREATE OR REPLACE PROCEDURE show_recm (in_task_name IN VARCHAR2) IS
CURSOR curs IS
SELECT DISTINCT action_id, command, attr1, attr2, attr3, attr4
FROM user_advisor_actions
WHERE task_name = in_task_name
ORDER BY action_id;
v_action number;
v_command VARCHAR2(32);
v_attr1 VARCHAR2(4000);
v_attr2 VARCHAR2(4000);
v_attr3 VARCHAR2(4000);
v_attr4 VARCHAR2(4000);
v_attr5 VARCHAR2(4000);
BEGIN
OPEN curs;
DBMS_OUTPUT.PUT_LINE('=========================================');
DBMS_OUTPUT.PUT_LINE('Task_name = ' || in_task_name);
LOOP
FETCH curs INTO
v_action, v_command, v_attr1, v_attr2, v_attr3, v_attr4 ;
EXIT when curs%NOTFOUND;
DBMS_OUTPUT.PUT_LINE('Action ID: ' || v_action);
DBMS_OUTPUT.PUT_LINE('Command : ' || v_command);
DBMS_OUTPUT.PUT_LINE('Attr1 (name) : ' || SUBSTR(v_attr1,1,30));
DBMS_OUTPUT.PUT_LINE('Attr2 (tablespace): ' || SUBSTR(v_attr2,1,30));
DBMS_OUTPUT.PUT_LINE('Attr3 : ' || SUBSTR(v_attr3,1,30));
DBMS_OUTPUT.PUT_LINE('Attr4 : ' || v_attr4);
DBMS_OUTPUT.PUT_LINE('Attr5 : ' || v_attr5);
DBMS_OUTPUT.PUT_LINE('----------------------------------------');
END LOOP;
CLOSE curs;
DBMS_OUTPUT.PUT_LINE('=========END RECOMMENDATIONS============');
END show_recm;
/
Chapter 26
Using SQL Access Advisor: Basic Tasks
26-18

SET SERVEROUTPUT ON SIZE 99999
EXECUTE show_recm(:task_name);
The following output shows attributes of actions in the recommendations:
=========================================
Task_name = MYTASK
Action ID: 1
Command : PARTITION TABLE
Attr1 (name) : "SH"."SALES"
Attr2 (tablespace):
Attr3 : ("TIME_ID")
Attr4 : INTERVAL
Attr5 :
----------------------------------------
Action ID: 2
Command : RETAIN INDEX
Attr1 (name) : "SH"."PRODUCTS_PK"
Attr2 (tablespace):
Attr3 : "SH"."PRODUCTS"
Attr4 : BTREE
Attr5 :
----------------------------------------
Action ID: 3
Command : RETAIN INDEX
Attr1 (name) : "SH"."TIMES_PK"
Attr2 (tablespace):
Attr3 : "SH"."TIMES"
Attr4 : BTREE
Attr5 :
----------------------------------------
Action ID: 4
Command : RETAIN INDEX
Attr1 (name) : "SH"."SALES_TIME_BIX"
Attr2 (tablespace):
Attr3 : "SH"."SALES"
Attr4 : BITMAP
Attr5 :
----------------------------------------
=========END RECOMMENDATIONS============
26.2.6 Generating and Executing a Task Script
You can use the procedure
DBMS_ADVISOR.GET_TASK_SCRIPT
to create a script of the SQL
statements for the SQL Access Advisor recommendations. The script is an executable
SQL file that can contain
DROP
,
CREATE
, and
ALTER
statements.
For new objects, the names of the materialized views, materialized view logs, and
indexes are automatically generated by using the user-specified name template.
Review the generated SQL script before attempting to execute it.
Assumptions
This tutorial assumes that you want to save and execute a script that contains the
recommendations generated in "Executing a SQL Access Advisor Task".
To save and execute a SQL script:
1. Connect SQL*Plus to the database as an administrator.
Chapter 26
Using SQL Access Advisor: Basic Tasks
26-19

2. Create a directory object and grant permissions to read and write to it.
For example, use the following statements:
CREATE DIRECTORY ADVISOR_RESULTS AS '/tmp';
GRANT READ ON DIRECTORY ADVISOR_RESULTS TO PUBLIC;
GRANT WRITE ON DIRECTORY ADVISOR_RESULTS TO PUBLIC;
3. Connect to the database as
sh
, and then save the script to a file.
For example, use the following statement:
EXECUTE DBMS_ADVISOR.CREATE_FILE(DBMS_ADVISOR.GET_TASK_SCRIPT('MYTASK'),
'ADVISOR_RESULTS', 'advscript.sql');
4. Use a text editor to view the contents of the script.
The following is a fragment of a script generated by this procedure:
Rem Username: SH
Rem Task: MYTASK
Rem Execution date:
Rem
Rem
Rem Repartitioning table "SH"."SALES"
Rem
SET SERVEROUTPUT ON
SET ECHO ON
Rem
Rem Creating new partitioned table
Rem
CREATE TABLE "SH"."SALES1"
( "PROD_ID" NUMBER,
"CUST_ID" NUMBER,
"TIME_ID" DATE,
"CHANNEL_ID" NUMBER,
"PROMO_ID" NUMBER,
"QUANTITY_SOLD" NUMBER(10,2),
"AMOUNT_SOLD" NUMBER(10,2)
) PCTFREE 5 PCTUSED 40 INITRANS 1 MAXTRANS 255
NOCOMPRESS NOLOGGING
TABLESPACE "EXAMPLE"
PARTITION BY RANGE ("TIME_ID") INTERVAL( NUMTOYMINTERVAL( 1, 'MONTH'))
( PARTITION VALUES LESS THAN (TO_DATE(' 1998-02-01 00:00:00',
'SYYYY-MM-DD HH24:MI:SS', 'NLS_CALENDAR=GREGORIAN')) );
.
.
.
5. Optionally, in SQL*Plus, run the SQL script.
For example, enter the following command:
@/tmp/advscript.sql
Chapter 26
Using SQL Access Advisor: Basic Tasks
26-20

26.3 Performing a SQL Access Advisor Quick Tune
To tune a single SQL statement, the
DBMS_ADVISOR.QUICK_TUNE
procedure accepts as its
input a
task_name
and a single SQL statement.
The
DBMS_ADVISOR.QUICK_TUNE
procedure creates a task and workload and executes this
task.
EXECUTE_TASK
and
QUICK_TUNE
produce the same results. However,
QUICK_TUNE
is
easier when tuning a single SQL statement.
Assumptions
This tutorial assumes the following:
•You want to tune a single SQL statement.
•You want to name the task
MY_QUICKTUNE_TASK
.
To create a template and base a task on this template:
1. Connect SQL*Plus to the database as user
sh
, and then initialize SQL*Plus
variables for the SQL statement and task name.
For example, enter the following commands:
VARIABLE t_name VARCHAR2(255);
VARIABLE sq VARCHAR2(4000);
EXEC :sq := 'SELECT COUNT(*) FROM customers WHERE cust_state_province =''CA''';
EXECUTE :t_name := 'MY_QUICKTUNE_TASK';
2. Perform the quick tune.
For example, the following statement executes
MY_QUICKTUNE_TASK
:
EXEC DBMS_ADVISOR.QUICK_TUNE(DBMS_ADVISOR.SQLACCESS_ADVISOR,:t_name,:sq);
26.4 Using SQL Access Advisor: Advanced Tasks
This section describes advanced tasks involving SQL Access Advisor.
This section contains the following topics:
•Evaluating Existing Access Structures
SQL Access Advisor operates in two modes: problem-solving and evaluation.
•Updating SQL Access Advisor Task Attributes
You can use the
DBMS_ADVISOR.UPDATE_TASK_ATTRIBUTES
procedure to set attributes
for the task.
•Creating and Using SQL Access Advisor Task Templates
A task template is a saved configuration on which to base future tasks and
workloads.
•Terminating SQL Access Advisor Task Execution
SQL Access Advisor enables you to interrupt the recommendation process or
allow it to complete.
•Deleting SQL Access Advisor Tasks
The
DBMS_ADVISOR.DELETE_TASK
procedure deletes existing SQL Access Advisor
tasks from the repository.
Chapter 26
Performing a SQL Access Advisor Quick Tune
26-21

•Marking SQL Access Advisor Recommendations
By default, all SQL Access Advisor recommendations are ready to be
implemented. However, you can choose to skip or exclude selected
recommendations by using the
DBMS_ADVISOR.MARK_RECOMMENDATION
procedure.
•Modifying SQL Access Advisor Recommendations
Using the
UPDATE_REC_ATTRIBUTES
procedure, SQL Access Advisor names and
assigns ownership to new objects such as indexes and materialized views during
analysis.
26.4.1 Evaluating Existing Access Structures
SQL Access Advisor operates in two modes: problem-solving and evaluation.
By default, SQL Access Advisor attempts to solve access method problems by looking
for enhancements to index structures, partitions, materialized views, and materialized
view logs. For example, a problem-solving run may recommend creating a new index,
adding a new column to a materialized view log, and so on.
When you set the
ANALYSIS_SCOPE
parameter to
EVALUATION
, SQL Access Advisor
comments only on which access structures the supplied workload uses. An evaluation-
only run may only produce recommendations such as retaining an index, retaining a
materialized view, and so on. The evaluation mode can be useful to see exactly which
indexes and materialized views a workload is using. SQL Access Advisor does not
evaluate the performance impact of existing base table partitioning.
To create a task and set it to evaluation mode:
1. Connect SQL*Plus to the database with the appropriate privileges, and then create
a task.
For example, enter the following statement, where
t_name
is a SQL*Plus variable
set to the name of the task:
EXECUTE DBMS_ADVISOR.EXECUTE_TASK(:t_name);
2. Perform the quick tune.
For example, the following statement sets the previous task to evaluation mode:
EXECUTE DBMS_ADVISOR.SET_TASK_PARAMETER(:t_name,'ANALYSIS_SCOPE','EVALUATION');
26.4.2 Updating SQL Access Advisor Task Attributes
You can use the
DBMS_ADVISOR.UPDATE_TASK_ATTRIBUTES
procedure to set attributes for
the task.
You can set the following attributes:
•Change the name of a task.
•Give a task a description.
•Set the task to be read-only so it cannot be changed.
•Make the task a template upon which you can define other tasks.
•Changes various attributes of a task or a task template.
Chapter 26
Using SQL Access Advisor: Advanced Tasks
26-22

Assumptions
This tutorial assumes the following:
•You want to change the name of existing task
MYTASK
to
TUNING1
.
•You want to make the task
TUNING1
read-only.
To update task attributes:
1. Connect SQL*Plus to the database as user
sh
, and then change the name of the
task.
For example, use the following statement:
EXECUTE DBMS_ADVISOR.UPDATE_TASK_ATTRIBUTES('MYTASK', 'TUNING1');
2. Set the task to read-only.
For example, use the following statement:
EXECUTE DBMS_ADVISOR.UPDATE_TASK_ATTRIBUTES('TUNING1',
read_only => 'true');
26.4.3 Creating and Using SQL Access Advisor Task Templates
A task template is a saved configuration on which to base future tasks and workloads.
A template enables you to set up any number of tasks or workloads that can serve as
starting points or templates for future task creation. By setting up a template, you can
save time when performing tuning analysis. This approach also enables you to custom
fit a tuning analysis to the business operation.
Physically, there is no difference between a task and a template. However, a template
cannot be executed. To create a task from a template, you specify the template to be
used when a new task is created. At that time, SQL Access Advisor copies the data
and parameter settings from the template into the newly created task. You can also set
an existing task to be a template by setting the template attribute when creating the
task or later using the
UPDATE_TASK_ATTRIBUTE
procedure.
The following table describes procedures that you can use to manage task templates.
Table 26-3 DBMS_ADVISOR Procedures for Task Templates
Procedure Description
CREATE_TASK
The
template
parameter is an optional task name of an existing task or
task template. To specify built-in SQL Access Advisor templates, use the
template name as described in Table 26-6.
is_template
is an optional
parameter that enables you to set the newly created task as a template.
Valid values are
true
and
false
.
SET_TASK_PARAME
TER
The
INDEX_NAME_TEMPLATE
parameter specifies the method by which new
index names are formed. The
MVIEW_NAME_TEMPLATE
parameter specifies
the method by which new materialized view names are formed. The
PARTITION_NAME_TEMPLATE
parameter specifies the method by which new
partition names are formed.
Chapter 26
Using SQL Access Advisor: Advanced Tasks
26-23

Table 26-3 (Cont.) DBMS_ADVISOR Procedures for Task Templates
Procedure Description
UPDATE_TASK_ATT
RIBUTES
is_template
marks the task as a template. Physically, there is no
difference between a task and a template; however, a template cannot be
executed. Possible values are:
true
and
false
. If the value is
NULL
or
contains the value
ADVISOR_UNUSED
, then the setting is not changed.
Assumptions
This tutorial assumes the following:
•You want to create a template named
MY_TEMPLATE
.
•You want to set naming conventions for indexes and materialized views that are
recommended by tasks based on
MY_TEMPLATE
.
•You want to create task
NEWTASK
based on
MY_TEMPLATE
.
To create a template and base a task on this template:
1. Connect SQL*Plus to the database as user
sh
, and then create a task as a
template.
For example, create a template named
MY_TEMPLATE
as follows:
VARIABLE template_id NUMBER;
VARIABLE template_name VARCHAR2(255);
EXECUTE :template_name := 'MY_TEMPLATE';
BEGIN
DBMS_ADVISOR.CREATE_TASK (
'SQL Access Advisor'
, :template_id
, :template_name
, is_template => 'true'
);
END;
2. Set template parameters.
For example, the following statements set the naming conventions for
recommended indexes and materialized views:
-- set naming conventions for recommended indexes/mvs
BEGIN
DBMS_ADVISOR.SET_TASK_PARAMETER (
:template_name
, 'INDEX_NAME_TEMPLATE'
, 'SH_IDX$$_<SEQ>'
);
END;
BEGIN
DBMS_ADVISOR.SET_TASK_PARAMETER (
:template_name
, 'MVIEW_NAME_TEMPLATE'
, 'SH_MV$$_<SEQ>'
);
END;
Chapter 26
Using SQL Access Advisor: Advanced Tasks
26-24

3. Create a task based on a pre-existing template.
For example, enter the following commands to create
NEWTASK
based on
MY_TEMPLATE
:
VARIABLE task_id NUMBER;
VARIABLE task_name VARCHAR2(255);
EXECUTE :task_name := 'NEWTASK';
BEGIN
DBMS_ADVISOR.CREATE_TASK (
'SQL Access Advisor'
, :task_id
, :task_name
, template=>'MY_TEMPLATE'
);
END;
26.4.4 Terminating SQL Access Advisor Task Execution
SQL Access Advisor enables you to interrupt the recommendation process or allow it
to complete.
An interruption signals SQL Access Advisor to stop processing and marks the task as
INTERRUPTED
. At that point, you may update recommendation attributes and generate
scripts.
Intermediate results represent recommendations for the workload contents up to that
point in time. If recommendations must be sensitive to the entire workload, then Oracle
recommends that you let the task complete. Additionally, recommendations made by
the advisor early in the recommendation process do not contain base table partitioning
recommendations. The partitioning analysis requires a large part of the workload to be
processed before it can determine whether partitioning would be beneficial. Therefore,
if SQL Access Advisor detects a benefit, then only later intermediate results contain
base table partitioning recommendations.
This section describes two ways to terminate SQL Access Advisor task execution:
•Interrupting SQL Access Advisor Tasks
The
DBMS_ADVISOR.INTERRUPT_TASK
procedure causes a SQL Access Advisor task
execution to terminate as if it had reached its normal end.
•Canceling SQL Access Advisor Tasks
You can stop task execution by calling the
DBMS_ADVISOR.CANCEL_TASK
procedure
and passing in the task name for this recommendation process.
26.4.4.1 Interrupting SQL Access Advisor Tasks
The
DBMS_ADVISOR.INTERRUPT_TASK
procedure causes a SQL Access Advisor task
execution to terminate as if it had reached its normal end.
Thus, you can see any recommendations that have been formed up to the point of the
interruption. An interrupted task cannot be restarted. The syntax is as follows:
DBMS_ADVISOR.INTERRUPT_TASK (task_name IN VARCHAR2);
Assumptions
This tutorial assumes the following:
Chapter 26
Using SQL Access Advisor: Advanced Tasks
26-25

•Long-running task
MYTASK
is currently executing.
•You want to interrupt this task, and then view the recommendations.
To interrupt a currently executing task:
1. Connect SQL*Plus to the database as
sh
, and then interrupt the task.
For example, create a template named
MY_TEMPLATE
as follows:
EXECUTE DBMS_ADVISOR.INTERRUPT_TASK ('MYTASK');
26.4.4.2 Canceling SQL Access Advisor Tasks
You can stop task execution by calling the
DBMS_ADVISOR.CANCEL_TASK
procedure and
passing in the task name for this recommendation process.
SQL Access Advisor may take a few seconds to respond to this request. Because all
advisor task procedures are synchronous, to cancel an operation, you must use a
separate database session. If you use
CANCEL_TASK
, then SQL Access Advisor makes
no recommendations.
A cancel command effective restores the task to its condition before the start of the
canceled operation. Therefore, a canceled task or data object cannot be restarted.
However, you can reset the task using
DBMS_ADVISOR.RESET_TASK
, and then execute it
again. The
CANCEL_TASK
syntax is as follows:
DBMS_ADVISOR.CANCEL_TASK (task_name IN VARCHAR2);
The
RESET_TASK
procedure resets a task to its initial starting point, which has the effect
of removing all recommendations and intermediate data from the task. The task status
is set to
INITIAL
. The syntax is as follows:
DBMS_ADVISOR.RESET_TASK (task_name IN VARCHAR2);
Assumptions
This tutorial assumes the following:
•Long-running task
MYTASK
is currently executing. This task is set to make
partitioning recommendations.
•You want to cancel this task, and then reset it so that the task makes only index
recommendations.
To cancel a currently executing task:
1. Connect SQL*Plus to the database as user
sh
, and then cancel the task.
For example, create a template named
MY_TEMPLATE
as follows:
EXECUTE DBMS_ADVISOR.CANCEL_TASK ('MYTASK');
2. Reset the task.
For example, execute the
RESET_TASK
procedure as follows:
EXECUTE DBMS_ADVISOR.RESET_TASK('MYTASK');
3. Set task parameters.
For example, change the analysis scope to
INDEX
as follows:
Chapter 26
Using SQL Access Advisor: Advanced Tasks
26-26

EXECUTE DBMS_ADVISOR.SET_TASK_PARAMETER(:task_name, 'ANALYSIS_SCOPE', 'INDEX');
4. Execute the task.
For example, execute
MYTASK
as follows:
EXECUTE DBMS_ADVISOR.EXECUTE_TASK ('MYTASK');
26.4.5 Deleting SQL Access Advisor Tasks
The
DBMS_ADVISOR.DELETE_TASK
procedure deletes existing SQL Access Advisor tasks
from the repository.
The syntax for SQL Access Advisor task deletion is as follows:
DBMS_ADVISOR.DELETE_TASK (task_name IN VARCHAR2);
If a task is linked to an STS workload, and if you want to delete the task or workload,
then you must remove the link between the task and the workload using the
DELETE_STS_REF
procedure. The following example deletes the link between task
MYTASK
and the current user's SQL tuning set
MY_STS_WORKLOAD
:
EXECUTE DBMS_ADVISOR.DELETE_STS_REF('MYTASK', null, 'MY_STS_WORKLOAD');
Assumptions
This tutorial assumes the following:
•User
sh
currently owns multiple SQL Access Advisor tasks.
•You want to delete
MYTASK
.
•The task
MYTASK
is currently linked to workload
MY_STS_WORKLOAD
.
To delete a SQL Access Advisor task:
1. Connect SQL*Plus to the database as user
sh
, and then query existing SQL
Access Advisor tasks.
For example, query the data dictionary as follows (sample output included):
SELECT TASK_NAME
FROM USER_ADVISOR_TASKS
WHERE ADVISOR_NAME = 'SQL Access Advisor';
TASK_NAME
-------------------------
MYTASK
NEWTASK
2. Delete the link between
MYTASK
and
MY_STS_WORKLOAD
.
For example, delete the reference as follows:
EXECUTE DBMS_ADVISOR.DELETE_STS_REF('MYTASK', null, 'MY_STS_WORKLOAD');
3. Delete the desired task.
For example, delete
MYTASK
as follows:
EXECUTE DBMS_ADVISOR.DELETE_TASK('MYTASK');
Chapter 26
Using SQL Access Advisor: Advanced Tasks
26-27

26.4.6 Marking SQL Access Advisor Recommendations
By default, all SQL Access Advisor recommendations are ready to be implemented.
However, you can choose to skip or exclude selected recommendations by using the
DBMS_ADVISOR.MARK_RECOMMENDATION
procedure.
MARK_RECOMMENDATION
enables you to annotate a recommendation with a
REJECT
or
IGNORE
setting, which causes the
GET_TASK_SCRIPT
to skip it when producing the
implementation procedure.
If SQL Access Advisor makes a recommendation to partition one or multiple previously
nonpartitioned base tables, then consider carefully before skipping this
recommendation. Changing a table's partitioning scheme affects the cost of all
queries, indexes, and materialized views defined on the table. Therefore, if you skip
the partitioning recommendation, then the advisor's remaining recommendations on
this table are no longer optimal. To see recommendations on your workload that do
not contain partitioning, reset the advisor task and rerun it with the
ANALYSIS_SCOPE
parameter changed to exclude partitioning recommendations.
The syntax is as follows:
DBMS_ADVISOR.MARK_RECOMMENDATION (
task_name IN VARCHAR2
id IN NUMBER,
action IN VARCHAR2);
Assumptions
This tutorial assumes the following:
•You are reviewing the recommendations as described in tutorial "Viewing SQL
Access Advisor Task Results".
•You want to reject the first recommendation, which partitions a table.
To mark a recommendation:
1. Connect SQL*Plus to the database as user
sh
, and then mark the
recommendation.
For example, reject recommendation
1
as follows:
EXECUTE DBMS_ADVISOR.MARK_RECOMMENDATION('MYTASK', 1, 'REJECT');
This recommendation and any dependent recommendations do not appear in the
script.
2. Generate the script as explained in "Generating and Executing a Task Script".
26.4.7 Modifying SQL Access Advisor Recommendations
Using the
UPDATE_REC_ATTRIBUTES
procedure, SQL Access Advisor names and assigns
ownership to new objects such as indexes and materialized views during analysis.
SQL Access Advisor may not necessarily choose appropriate names. In this case, you
may choose to manually set the owner, name, and tablespace values for new objects.
For recommendations referencing existing database objects, owner and name values
cannot be changed. The syntax is as follows:
Chapter 26
Using SQL Access Advisor: Advanced Tasks
26-28

DBMS_ADVISOR.UPDATE_REC_ATTRIBUTES (
task_name IN VARCHAR2
rec_id IN NUMBER,
action_id IN NUMBER,
attribute_name IN VARCHAR2,
value IN VARCHAR2);
The
attribute_name
parameter can take the following values:
•
OWNER
Specifies the owner name of the recommended object.
•
NAME
Specifies the name of the recommended object.
•
TABLESPACE
Specifies the tablespace of the recommended object.
Assumptions
This tutorial assumes the following:
•You are reviewing the recommendations as described in tutorial "Viewing SQL
Access Advisor Task Results".
•You want to change the tablespace for recommendation 1, action 1 to
SH_MVIEWS
.
To mark a recommendation:
1. Connect SQL*Plus to the database as user
sh
, and then update the
recommendation attribute.
For example, change the tablespace name to
SH_MVIEWS
as follows:
BEGIN
DBMS_ADVISOR.UPDATE_REC_ATTRIBUTES (
'MYTASK'
, 1
, 1
, 'TABLESPACE'
, 'SH_MVIEWS'
);
END;
2. Generate the script as explained in "Generating and Executing a Task Script".
26.5 SQL Access Advisor Examples
Oracle Database provides a script that contains several SQL Access Advisor
examples that you can run on a test database.
The script is named
ORACLE_HOME/rdbms/demo/aadvdemo.sql
.
26.6 SQL Access Advisor Reference
You can access metadata about SQL Access Advisor using data dictionary views.
This section contains the following topics:
Chapter 26
SQL Access Advisor Examples
26-29

•Action Attributes in the DBA_ADVISOR_ACTIONS View
The DBA_ADVISOR_ACTIONS view displays information about the actions
associated with all recommendations in the database. Each action is specified by
the
COMMAND
and
ATTR1
through
ATTR6
columns.
•Categories for SQL Access Advisor Task Parameters
SQL Access Advisor task parameters fall into the following categories: workload
filtering, task configuration, schema attributes, and recommendation options.
•SQL Access Advisor Constants
DBMS_ADVISOR
provides a number of constants.
26.6.1 Action Attributes in the DBA_ADVISOR_ACTIONS View
The DBA_ADVISOR_ACTIONS view displays information about the actions
associated with all recommendations in the database. Each action is specified by the
COMMAND
and
ATTR1
through
ATTR6
columns.
The following table maps SQL Access Advisor actions to attribute columns in the
DBA_ADVISOR_ACTIONS
view. In the table,
MV
refers to a materialized view.
Table 26-4 SQL Access Advisor Action Attributes
Action ATTR1
Column
ATTR2
Column
ATTR3
Column
ATTR4
Column
ATTR5
Column
ATTR6
Column
NUM_ATT
R1
Column
CREATE
INDEX
Index name Index
tablespace
Target table
BITMAP
or
BTREE
Index column
list /
expression
Unused Storage
size in
bytes for
the index
CREATE
MATERIALIZE
D VIEW
MV name MV
tablespace
REFRESH
COMPLETE
,
REFRESH
FAST
,
REFRES
H FORCE
,
NEVER
REFRESH
ENABLE
QUERY
REWRITE
,
DISABLE
QUERY
REWRITE
SQL
SELECT
statement
Unused Storage
size in
bytes for
the MV
CREATE
MATERIALIZE
D VIEW LOG
Target table
name
MV log
tablespace
ROWID
PRIMARY
KEY
,
SEQUENC
E OBJECT ID
INCLUDING
NEW VALUES
,
EXCLUDING
NEW VALUES
Table column
list
Partitioning
subclauses
Unused
CREATE
REWRITE
EQUIVALENCE
Name of
equivalence
Checksum
value
Unused Unused Source SQL
statement
Equivalent
SQL
statement
Unused
DROP INDEX
Index name Unused Unused Unused Index
columns
Unused Storage
size in
bytes for
the index
DROP
MATERIALIZE
D VIEW
MV name Unused Unused Unused Unused Unused Storage
size in
bytes for
the MV
DROP
MATERIALIZE
D VIEW LOG
Target table
name
Unused Unused Unused Unused Unused Unused
Chapter 26
SQL Access Advisor Reference
26-30

Table 26-4 (Cont.) SQL Access Advisor Action Attributes
Action ATTR1
Column
ATTR2
Column
ATTR3
Column
ATTR4
Column
ATTR5
Column
ATTR6
Column
NUM_ATT
R1
Column
PARTITION
TABLE
Table name
RANGE
,
INTERVAL
,
LIST
,
HASH
,
RANGE-HASH
,
RANGE-LIST
Partition key
for
partitioning
(column
name or list
of column
names)
Partition key
for
subpartitionin
g (column
name or list
of column
names)
SQL
PARTITION
clause
SQL
SUBPARTITIO
N
clause
Unused
PARTITION
INDEX
Index name
LOCAL
,
RANGE
,
HASH
Partition key
for
partitioning
(list of
column
names)
Unused SQL
PARTITION
clause
Unused Unused
PARTITION
ON
MATERIALIZE
D VIEW
MV name
RANGE
,
INTERVAL
,
LIST
,
HASH
,
RANGE-HASH
,
RANGE-LIST
Partition key
for
partitioning
(column
name or list
of column
names)
Partition key
for
subpartitionin
g (column
name or list
of column
names)
SQL
SUBPARTITIO
N
clause
SQL
SUBPARTITIO
N
clause
Unused
RETAIN
INDEX
Index name Unused Target table
BITMAP
or
BTREE
Index
columns
Unused Storage
size in
bytes for
the index
RETAIN
MATERIALIZE
D VIEW
MV name Unused
REFRESH
COMPLETE
or
REFRESH
FAST
Unused SQL
SELECT
statement
Unused Storage
size in
bytes for
the MV
RETAIN
MATERIALIZE
D VIEW LOG
Target table
name
Unused Unused Unused Unused Unused Unused
26.6.2 Categories for SQL Access Advisor Task Parameters
SQL Access Advisor task parameters fall into the following categories: workload
filtering, task configuration, schema attributes, and recommendation options.
The following table groups the most relevant SQL Access Advisor task parameters into
categories. All task parameters for workload filtering are deprecated.
Table 26-5 Types of Advisor Task Parameters And Their Uses
Workload Filtering Task Configuration Schema Attributes Recommendation
Options
END_TIME DAYS_TO_EXPIRE DEF_INDEX_OWNER ANALYSIS_SCOPE
INVALID_ACTION_LIST JOURNALING DEF_INDEX_TABLESPACE COMPATIBILITY
INVALID_MODULE_LIST REPORT_DATE_FORMAT DEF_MVIEW_OWNER CREATION_COST
Chapter 26
SQL Access Advisor Reference
26-31

Table 26-5 (Cont.) Types of Advisor Task Parameters And Their Uses
Workload Filtering Task Configuration Schema Attributes Recommendation
Options
INVALID_SQLSTRING_LIMIT DEF_MVIEW_TABLESPACE DML_VOLATILITY
INVALID_TABLE_LIST DEF_MVLOG_TABLESPACE LIMIT_PARTITION_SCHEMES
INVALID_USERNAME_LIST DEF_PARTITION_TABLESPAC
E
MODE
RANKING_MEASURE INDEX_NAME_TEMPLATE PARTITIONING_TYPES
SQL_LIMIT MVIEW_NAME_TEMPLATE REFRESH_MODE
START_TIME STORAGE_CHANGE
TIME_LIMIT USE_SEPARATE_TABLESPACE
S
VALID_ACTION_LIST WORKLOAD_SCOPE
VALID_MODULE_LIST
VALID_SQLSTRING_LIST
VALID_TABLE_LIST
VALID_USERNAME_LIST
26.6.3 SQL Access Advisor Constants
DBMS_ADVISOR
provides a number of constants.
You can use the constants shown in the following table with SQL Access Advisor.
Table 26-6 SQL Access Advisor Constants
Constant Description
ADVISOR_ALL
A value that indicates all possible values. For string parameters,
this value is equivalent to the wildcard (
%
) character.
ADVISOR_CURRENT
Indicates the current time or active set of elements. Typically, this
is used in time parameters.
ADVISOR_DEFAULT
Indicates the default value. Typically used when setting task or
workload parameters.
ADVISOR_UNLIMITED
A value that represents an unlimited numeric value.
ADVISOR_UNUSED
A value that represents an unused entity. When a parameter is
set to
ADVISOR_UNUSED
, it has no effect on the current operation. A
typical use for this constant is to set a parameter as unused for its
dependent operations.
SQLACCESS_GENERAL
Specifies the name of a default SQL Access general-purpose task
template. This template sets the
DML_VOLATILITY
task parameter
to
true
and
ANALYSIS_SCOPE
to
INDEX
,
MVIEW
.
SQLACCESS_OLTP
Specifies the name of a default SQL Access OLTP task template.
This template sets the
DML_VOLATILITY
task parameter to
true
and
ANALYSIS_SCOPE
to
INDEX
.
Chapter 26
SQL Access Advisor Reference
26-32

Table 26-6 (Cont.) SQL Access Advisor Constants
Constant Description
SQLACCESS_WAREHOUSE
Specifies the name of a default SQL Access warehouse task
template. This template sets the
DML_VOLATILITY
task parameter
to
false
and
EXECUTION_TYPE
to
INDEX
,
MVIEW
.
SQLACCESS_ADVISOR
Contains the formal name of SQL Access Advisor. You can
specify this name when procedures require the Advisor name as
an argument.
Chapter 26
SQL Access Advisor Reference
26-33

Part IX
SQL Controls: Profiles and Plan Baselines
You can manage SQL profiles and SQL plan baselines, and migrate stored outlines to
SQL plan baselines.
This part contains the following chapters:
•Managing SQL Profiles
When warranted, SQL Tuning Advisor recommends a SQL profile. You can use
DBMS_SQLTUNE
to implement, alter, drop, and transport SQL profiles.
•Overview of SQL Plan Management
SQL plan management is a preventative mechanism that enables the optimizer
to automatically manage execution plans, ensuring that the database uses only
known or verified plans.
•Managing SQL Plan Baselines
This chapter explains the concepts and tasks relating to SQL plan management
using the
DBMS_SPM
package.
•Migrating Stored Outlines to SQL Plan Baselines
Stored outline migration is the user-initiated process of converting stored
outlines to SQL plan baselines. A SQL plan baseline is a set of plans proven to
provide optimal performance.

27
Managing SQL Profiles
When warranted, SQL Tuning Advisor recommends a SQL profile. You can use
DBMS_SQLTUNE
to implement, alter, drop, and transport SQL profiles.
This chapter contains the following topics:
•About SQL Profiles
A SQL profile is a database object that contains auxiliary statistics specific to a
SQL statement.
•Implementing a SQL Profile
Implementing a SQL profile means storing it persistently in the database.
•Listing SQL Profiles
The data dictionary view
DBA_SQL_PROFILES
stores SQL profiles persistently in the
database.
•Altering a SQL Profile
You can alter attributes of an existing SQL profile using the
attribute_name
parameter of the
ALTER_SQL_PROFILE
procedure.
•Dropping a SQL Profile
You can drop a SQL profile with the
DROP_SQL_PROFILE
procedure.
•Transporting a SQL Profile
You can export a SQL profile from the
SYS
schema in one database to a staging
table, and then import it from the staging table into another database. You can
transport a SQL profile to any Oracle database created in the same release or
later.
27.1 About SQL Profiles
A SQL profile is a database object that contains auxiliary statistics specific to a SQL
statement.
Conceptually, a SQL profile is to a SQL statement what object-level statistics are to a
table or index. SQL profiles are created when a DBA invokes SQL Tuning Advisor.
This section contains the following topics:
•Purpose of SQL Profiles
When profiling a SQL statement, SQL Tuning Advisor uses a specific set of bind
values as input.
•Concepts for SQL Profiles
A SQL profile is a collection of auxiliary statistics on a query, including all tables
and columns referenced in the query.
•User Interfaces for SQL Profiles
Oracle Enterprise Manager Cloud Control (Cloud Control) usually handles SQL
profiles as part of automatic SQL tuning.
27-1

•Basic Tasks for SQL Profiles
Basic tasks include accepting (implementing) a SQL profile, altering it, listing it,
and dropping it.
See Also:
"About SQL Tuning Advisor"
27.1.1 Purpose of SQL Profiles
When profiling a SQL statement, SQL Tuning Advisor uses a specific set of bind
values as input.
The advisor compares the optimizer estimate with values obtained by executing
fragments of the statement on a data sample. When significant variances are found,
SQL Tuning Advisor bundles corrective actions together in a SQL profile, and then
recommends its acceptance.
The corrected statistics in a SQL profile can improve optimizer cardinality estimates,
which in turn leads the optimizer to select better plans. SQL profiles provide the
following benefits over other techniques for improving plans:
•Unlike hints and stored outlines, SQL profiles do not tie the optimizer to a specific
plan or subplan. SQL profiles fix incorrect estimates while giving the optimizer the
flexibility to pick the best plan in different situations.
•Unlike hints, no changes to application source code are necessary when using
SQL profiles. The use of SQL profiles by the database is transparent to the user.
27.1.2 Concepts for SQL Profiles
A SQL profile is a collection of auxiliary statistics on a query, including all tables and
columns referenced in the query.
The profile is stored in an internal format in the data dictionary. The user interface is
the
DBA_SQL_PROFILES
dictionary view. The optimizer uses this information during
optimization to determine the most optimal plan.
This section contains the following topics:
•Statistics in SQL Profiles
A SQL profile contains, among other statistics, a set of cardinality adjustments.
•SQL Profiles and Execution Plans
The SQL profile contains supplemental statistics for the entire statement, not
individual plans. The profile does not itself determine a specific plan.
•SQL Profile Recommendations
SQL Tuning Advisor invokes Automatic Tuning Optimizer to generate SQL profile
recommendations.
•SQL Profiles and SQL Plan Baselines
You can use SQL profiles with or without SQL plan management.
Chapter 27
About SQL Profiles
27-2

See Also:
Oracle Database Reference to learn more about
DBA_SQL_PROFILES
27.1.2.1 Statistics in SQL Profiles
A SQL profile contains, among other statistics, a set of cardinality adjustments.
The cardinality measure is based on sampling the
WHERE
clause rather than on
statistical projection. A profile uses parts of the query to determine whether the
estimated cardinalities are close to the actual cardinalities and, if a mismatch exists,
uses the corrected cardinalities. For example, if a SQL profile exists for
SELECT * FROM
t WHERE x=5 AND y=10
, then the profile stores the actual number of rows returned.
Starting in Oracle Database 18c, SQL Tuning Advisor can recommend an Exadata-
aware SQL profile. On Oracle Exadata Database Machine, the cost of smart scans
depends on the system statistics I/O seek time (
ioseektim
), multiblock read count
(
mbrc
), and I/O transfer speed (
iotfrspeed
). The values of these statistics usually differ
on Exadata and can thus influence the choice of plan. If system statistics are stale,
and if gathering them improves performance, then SQL Tuning Advisor recommends
accepting an Exadata-aware SQL profile.
27.1.2.2 SQL Profiles and Execution Plans
The SQL profile contains supplemental statistics for the entire statement, not individual
plans. The profile does not itself determine a specific plan.
Internally, a SQL profile is implemented using hints that address different types of
problems. These hints do not specify any particular plan. Rather, the hints correct
errors in the optimizer estimation algorithm that lead to suboptimal plans. For example,
a profile may use the
TABLE_STATS
hint to set object statistics for tables when the
statistics are missing or stale.
When choosing plans, the optimizer has the following sources of information:
•The environment, which contains the database configuration, system statistics,
bind variable values, optimizer statistics, data set, and so on
•The supplemental statistics in the SQL profile
The following figure shows the relationship between a SQL statement and the SQL
profile for this statement. The optimizer uses the SQL profile and the environment to
generate an execution plan. In this example, the plan is in the SQL plan baseline for
the statement.
Chapter 27
About SQL Profiles
27-3

Figure 27-1 SQL Profile
SQL Plan Baseline
GB
NL NL
GB
HJ HJ
SQL Profile
Environment
OptimizerSQL Statement
SELECT . . .
Optimizer
Statistics
Configuration
Bind
Variables
Data
Set
If either the optimizer environment or SQL profile changes, then the optimizer can
create a new plan. As tables grow, or as indexes are created or dropped, the plan for a
SQL profile can change. The profile continues to be relevant even if the data
distribution or access path of the corresponding statement changes.
In general, you do not need to refresh SQL profiles. Over time, however, profile
content can become outdated. In this case, performance of the SQL statement may
degrade. The statement may appear as high-load or top SQL. In this case, the
Automatic SQL Tuning task again captures the statement as high-load SQL. You can
implement a new SQL profile for the statement.
27.1.2.3 SQL Profile Recommendations
SQL Tuning Advisor invokes Automatic Tuning Optimizer to generate SQL profile
recommendations.
Recommendations to implement SQL profiles occur in a finding, which appears in a
separate section of the SQL Tuning Advisor report. When you implement (or accept) a
SQL profile, the database creates the profile and stores it persistently in the data
dictionary. However, the SQL profile information is not exposed through regular
dictionary views.
Example 27-1 SQL Profile Recommendation
In this example, the database found a better plan for a
SELECT
statement that uses
several expensive joins. The database recommends running
DBMS_SQLTUNE.ACCEPT_SQL_PROFILE
to implement the profile, which enables the statement
to run 98.53% faster.
-------------------------------------------------------------------------------
FINDINGS SECTION (2 findings)
-------------------------------------------------------------------------------
1- SQL Profile Finding (see explain plans section below)
--------------------------------------------------------
A potentially better execution plan was found for this statement. Choose
one of the following SQL profiles to implement.
Recommendation (estimated benefit: 99.45%)
------------------------------------------
Chapter 27
About SQL Profiles
27-4

- Consider accepting the recommended SQL profile.
execute dbms_sqltune.accept_sql_profile(task_name => 'my_task',
object_id => 3, task_owner => 'SH', replace => TRUE);
Validation results
------------------
The SQL profile was tested by executing both its plan and the original plan
and measuring their respective execution statistics. A plan may have been
only partially executed if the other could be run to completion in less time.
Original Plan With SQL Profile % Improved
------------- ---------------- ----------
Completion Status: PARTIAL COMPLETE
Elapsed Time(us): 15467783 226902 98.53 %
CPU Time(us): 15336668 226965 98.52 %
User I/O Time(us): 0 0
Buffer Gets: 3375243 18227 99.45 %
Disk Reads: 0 0
Direct Writes: 0 0
Rows Processed: 0 109
Fetches: 0 109
Executions: 0 1
Notes
-----
1. The SQL profile plan was first executed to warm the buffer cache.
2. Statistics for the SQL profile plan were averaged over next 3 executions.
Sometimes SQL Tuning Advisor may recommend implementing a profile that uses the
Automatic Degree of Parallelism (Auto DOP) feature. A parallel query profile is only
recommended when the original plan is serial and when parallel execution can
significantly reduce the elapsed time for a long-running query.
When it recommends a profile that uses Auto DOP, SQL Tuning Advisor gives details
about the performance overhead of using parallel execution for the SQL statement in
the report. For parallel execution recommendations, SQL Tuning Advisor may provide
two SQL profile recommendations, one using serial execution and one using parallel.
The following example shows a parallel query recommendation. In this example, a
degree of parallelism of 7 improves response time significantly at the cost of
increasing resource consumption by almost 25%. You must decide whether the
reduction in database throughput is worth the increase in response time.
Recommendation (estimated benefit: 99.99%)
------------------------------------------
- Consider accepting the recommended SQL profile to use parallel execution
for this statement.
execute dbms_sqltune.accept_sql_profile(task_name => 'gfk_task',
object_id => 3, task_owner => 'SH', replace => TRUE,
profile_type => DBMS_SQLTUNE.PX_PROFILE);
Executing this query parallel with DOP 7 will improve its response time
82.22% over the SQL profile plan. However, there is some cost in enabling
parallel execution. It will increase the statement's resource consumption by
an estimated 24.43% which may result in a reduction of system throughput.
Also, because these resources are consumed over a much smaller duration, the
response time of concurrent statements might be negatively impacted if
sufficient hardware capacity is not available.
The following data shows some sampled statistics for this SQL from the past
week and projected weekly values when parallel execution is enabled.
Chapter 27
About SQL Profiles
27-5

Past week sampled statistics for this SQL
-----------------------------------------
Number of executions 0
Percent of total activity .29
Percent of samples with #Active Sessions > 2*CPU 0
Weekly DB time (in sec) 76.51
Projected statistics with Parallel Execution
--------------------------------------------
Weekly DB time (in sec) 95.21
27.1.2.4 SQL Profiles and SQL Plan Baselines
You can use SQL profiles with or without SQL plan management.
No strict relationship exists between the SQL profile and a SQL plan baseline. If a
statement has multiple plans in a SQL plan baseline, then a SQL profile is useful
because it enables the optimizer to choose the lowest-cost plan in the baseline.
27.1.3 User Interfaces for SQL Profiles
Oracle Enterprise Manager Cloud Control (Cloud Control) usually handles SQL
profiles as part of automatic SQL tuning.
On the command line, you can manage SQL profiles with the
DBMS_SQLTUNE
package.
To use the APIs, you must have the
ADMINISTER SQL MANAGEMENT OBJECT
privilege.
27.1.4 Basic Tasks for SQL Profiles
Basic tasks include accepting (implementing) a SQL profile, altering it, listing it, and
dropping it.
The following graphic shows the basic workflow.
Chapter 27
About SQL Profiles
27-6

Figure 27-2 Managing SQL Profiles
DBMS_SQLTUNE.DROP_SQL_PROFILE
DBMS_SQLTUNE.
ALTER_SQL_PROFILE
List SQL Profiles
Drop a SQL Profile
Implement a
SQL Profile
DBA_SQL_PROFILES
Alter a SQL Profile
DBMS_SQLTUNE.
ACCEPT_SQL_PROFILE
Typically, you manage SQL profiles in the following sequence:
1. Implement a recommended SQL profile.
"Implementing a SQL Profile" describes this task.
2. Obtain information about SQL profiles stored in the database.
"Listing SQL Profiles" describes this task.
3. Optionally, modify the implemented SQL profile.
"Altering a SQL Profile" describes this task.
4. Drop the implemented SQL profile when it is no longer needed.
"Dropping a SQL Profile" describes this task.
To tune SQL statements on another database, you can transport both a SQL tuning
set and a SQL profile to a separate database. "Transporting a SQL Profile" describes
this task.
27.2 Implementing a SQL Profile
Implementing a SQL profile means storing it persistently in the database.
Implementing a profile is the same as accepting it. A profile must be accepted before
the optimizer can use it as input when generating plans.
This section contains the following topics:
Chapter 27
Implementing a SQL Profile
27-7

•About SQL Profile Implementation
As a rule of thumb, implement a SQL profile recommended by SQL Tuning
Advisor.
•Implementing a SQL Profile
To implement a SQL profile, use the
DBMS_SQLTUNE.ACCEPT_SQL_PROFILE
procedure.
27.2.1 About SQL Profile Implementation
As a rule of thumb, implement a SQL profile recommended by SQL Tuning Advisor.
If the database recommends both an index and a SQL profile, then either use both or
use the SQL profile only. If you create an index, then the optimizer may need the
profile to pick the new index.
In some situations, SQL Tuning Advisor may find an improved serial plan in addition to
an even better parallel plan. In this case, the advisor recommends both a standard and
a parallel SQL profile, enabling you to choose between the best serial and best parallel
plan for the statement. Implement a parallel plan only if the increase in response time
is worth the decrease in throughput.
To implement a SQL profile, execute the
DBMS_SQLTUNE.ACCEPT_SQL_PROFILE
procedure.
Some important parameters are as follows:
•
profile_type
Set this parameter to
REGULAR_PROFILE
for a SQL profile without a change to parallel
execution, or
PX_PROFLE
for a SQL profile with a change to parallel execution.
•
force_match
This parameter controls statement matching. Typically, an accepted SQL profile is
associated with the SQL statement through a SQL signature that is generated
using a hash function. This hash function changes the SQL statement to upper
case and removes all extra whitespace before generating the signature. Thus, the
same SQL profile works for all SQL statements in which the only difference is case
and white spaces.
By setting
force_match
to
true
, the SQL profile additionally targets all SQL
statements that have the same text after the literal values in the
WHERE
clause have
been replaced by bind variables. This setting may be useful for applications that
use only literal values because it enables SQL with text differing only in its literal
values to share a SQL profile. If both literal values and bind variables are in the
SQL text, or if
force_match
is set to
false
(default), then the literal values in the
WHERE
clause are not replaced by bind variables.
27.2.2 Implementing a SQL Profile
To implement a SQL profile, use the
DBMS_SQLTUNE.ACCEPT_SQL_PROFILE
procedure.
Assumptions
This tutorial assumes the following:
•The SQL Tuning Advisor task
STA_SPECIFIC_EMP_TASK
includes a recommendation
to create a SQL profile.
•The name of the SQL profile is
my_sql_profile
.
Chapter 27
Implementing a SQL Profile
27-8

•The PL/SQL block accepts a profile that uses parallel execution (
profile_type
).
•The profile uses force matching.
To implement a SQL profile:
1. In SQL*Plus or SQL Developer, log in to the database as a user with the
necessary privileges.
2. Execute the
ACCEPT_SQL_PROFILE
function.
For example, execute the following PL/SQL:
DECLARE
my_sqlprofile_name VARCHAR2(30);
BEGIN
my_sqlprofile_name := DBMS_SQLTUNE.ACCEPT_SQL_PROFILE (
task_name => 'STA_SPECIFIC_EMP_TASK'
, name => 'my_sql_profile'
, profile_type => DBMS_SQLTUNE.PX_PROFILE
, force_match => true
);
END;
/
27.3 Listing SQL Profiles
The data dictionary view
DBA_SQL_PROFILES
stores SQL profiles persistently in the
database.
The profile statistics are in an Oracle Database internal format, so you cannot query
profiles directly. However, you can list profiles.
To list SQL profiles:
1. In SQL*Plus or SQL Developer, log in to the database as a user with the
necessary privileges.
2. Query the
DBA_SQL_PROFILES
view.
For example, execute the following query:
COLUMN category FORMAT a10
COLUMN sql_text FORMAT a20
SELECT NAME, SQL_TEXT, CATEGORY, STATUS
FROM DBA_SQL_PROFILES;
Sample output appears below:
NAME SQL_TEXT CATEGORY STATUS
------------------------------ -------------------- ---------- --------
SYS_SQLPROF_01285f6d18eb0000 select promo_name, c DEFAULT ENABLED
ount(*) c from promo
tions p, sales s whe
re s.promo_id = p.pr
omo_id and p.promo_c
ategory = 'internet'
group by p.promo_na
me order by c desc
Chapter 27
Listing SQL Profiles
27-9

27.4 Altering a SQL Profile
You can alter attributes of an existing SQL profile using the
attribute_name
parameter
of the
ALTER_SQL_PROFILE
procedure.
The
CATEGORY
attribute determines which sessions can apply a profile. View the
CATEGORY
attribute by querying
DBA_SQL_PROFILES.CATEGORY
. By default, all profiles are in
the
DEFAULT
category, which means that all sessions in which the
SQLTUNE_CATEGORY
initialization parameter is set to
DEFAULT
can use the profile.
By altering the category of a SQL profile, you determine which sessions are affected
by profile creation. For example, by setting the category to
DEV
, only sessions in which
the
SQLTUNE_CATEGORY
initialization parameter is set to
DEV
can use the profile. Other
sessions do not have access to the SQL profile and execution plans for SQL
statements are not impacted by the SQL profile. This technique enables you to test a
profile in a restricted environment before making it available to other sessions.
The example in this section assumes that you want to change the category of the SQL
profile so it is used only by sessions with the SQL profile category set to
TEST
, run the
SQL statement, and then change the profile category back to
DEFAULT
.
To alter a SQL profile:
1. In SQL*Plus or SQL Developer, log in to the database as a user with the
necessary privileges.
2. Use the
ALTER_SQL_PROFILE
procedure to set the
attribute_name
.
For example, execute the following code to set the attribute
CATEGORY
to
TEST
:
VARIABLE pname my_sql_profile
BEGIN DBMS_SQLTUNE.ALTER_SQL_PROFILE (
name => :pname
, attribute_name => 'CATEGORY'
, value => 'TEST'
);
END;
3. Change the initialization parameter setting in the current database session.
For example, execute the following SQL:
ALTER SESSION SET SQLTUNE_CATEGORY = 'TEST';
4. Test the profiled SQL statement.
5. Use the
ALTER_SQL_PROFILE
procedure to set the
attribute_name
.
For example, execute the following code to set the attribute
CATEGORY
to
DEFAULT
:
VARIABLE pname my_sql_profile
BEGIN
DBMS_SQLTUNE.ALTER_SQL_PROFILE (
name => :pname
, attribute_name => 'CATEGORY'
, value => 'DEFAULT'
);
END;
Chapter 27
Altering a SQL Profile
27-10

27.5 Dropping a SQL Profile
You can drop a SQL profile with the
DROP_SQL_PROFILE
procedure.
Assumptions
This section assumes the following:
•You want to drop
my_sql_profile
.
•You want to ignore errors raised if the name does not exist.
To drop a SQL profile:
1. In SQL*Plus or SQL Developer, log in to the database as a user with the
necessary privileges.
2. Use the
DBMS_SQLTUNE.DROP_SQL_PROFILE
procedure.
The following example drops the profile named
my_sql_profile
:
BEGIN
DBMS_SQLTUNE.DROP_SQL_PROFILE (
name => 'my_sql_profile'
);
END;
/
27.6 Transporting a SQL Profile
You can export a SQL profile from the
SYS
schema in one database to a staging table,
and then import it from the staging table into another database. You can transport a
SQL profile to any Oracle database created in the same release or later.
Table 27-1 shows the main procedures and functions for managing SQL profiles.
Table 27-1 APIs for Transporting SQL Profiles
Procedure or Function Description
CREATE_STGTAB_SQLPROF
Creates the staging table used for copying SQL profiles
from one system to another.
PACK_STGTAB_SQLPROF
Moves profile data out of the
SYS
schema into the
staging table.
UNPACK_STGTAB_SQLPROF
Uses the profile data stored in the staging table to
create profiles on this system.
The following graphic shows the basic workflow of transporting SQL profiles.
Chapter 27
Dropping a SQL Profile
27-11

Figure 27-3 Transporting SQL Profiles
DBMS_SQLTUNE
ACCEPT_SQL_PROFILE
CREATE_STGTAB_SQLPROF
PACK_STGTAB_SQLPROF
UNPACK_STGTAB_SQLPROF
Accept a
SQL Profile
Transport
to different
database
Transport SQL Profile
Assumptions
This tutorial assumes the following:
•You want to transport
my_profile
from a production database to a test database.
•You want to create the staging table in the
dba1
schema.
To transport a SQL profile:
1. Connect SQL*Plus to the database with the appropriate privileges, and then use
the
CREATE_STGTAB_SQLPROF
procedure to create a staging table to hold the SQL
profiles.
The following example creates
my_staging_table
in the
dba1
schema:
BEGIN
DBMS_SQLTUNE.CREATE_STGTAB_SQLPROF (
table_name => 'my_staging_table'
, schema_name => 'dba1'
);
END;
/
2. Use the
PACK_STGTAB_SQLPROF
procedure to export SQL profiles into the staging
table.
The following example populates
dba1.my_staging_table
with the SQL profile
my_profile
:
BEGIN
DBMS_SQLTUNE.PACK_STGTAB_SQLPROF (
profile_name => 'my_profile'
, staging_table_name => 'my_staging_table'
, staging_schema_owner => 'dba1'
);
END;
/
3. Move the staging table to the database where you plan to unpack the SQL
profiles.
Chapter 27
Transporting a SQL Profile
27-12

Move the table using your utility of choice. For example, use Oracle Data Pump or
a database link.
4. On the database where you plan to import the SQL profiles, use
UNPACK_STGTAB_SQLPROF
to unpack SQL profiles from the staging table.
The following example shows how to unpack SQL profiles in the staging table:
BEGIN
DBMS_SQLTUNE.UNPACK_STGTAB_SQLPROF(
replace => true
, staging_table_name => 'my_staging_table'
);
END;
/
Chapter 27
Transporting a SQL Profile
27-13

28
Overview of SQL Plan Management
SQL plan management is a preventative mechanism that enables the optimizer to
automatically manage execution plans, ensuring that the database uses only known or
verified plans.
SQL plan management uses a mechanism called a SQL plan baseline. A plan
baseline is a set of accepted plans that the optimizer is allowed to use for a SQL
statement. In this context, a plan includes all plan-related information (for example,
SQL plan identifier, set of hints, bind values, and optimizer environment) that the
optimizer needs to reproduce an execution plan. In the typical use case, the database
accepts a plan into the plan baseline only after verifying that the plan performs well.
The main components of SQL plan management are as follows:
•Plan capture
This component stores relevant information about plans for a set of SQL
statements.
•Plan selection
This component is the detection by the optimizer of plan changes based on stored
plan history, and the use of SQL plan baselines to select appropriate plans to
avoid potential performance regressions.
•Plan evolution
This component is the process of adding new plans to existing SQL plan
baselines, either manually or automatically.
This chapter contains the following topics:
•Purpose of SQL Plan Management
The primary goal of SQL plan management is to prevent performance regressions
caused by plan changes. A secondary goal is to gracefully adapt to changes such
as new optimizer statistics or indexes by verifying and accepting only plan
changes that improve performance.
•Plan Capture
SQL plan capture refers to techniques for capturing and storing relevant
information about plans in the SQL Management Base for a set of SQL
statements. Capturing a plan means making SQL plan management aware of this
plan.
•Plan Selection
SQL plan selection is the optimizer ability to detect plan changes based on
stored plan history, and the use of SQL plan baselines to select plans to avoid
potential performance regressions.
•Plan Evolution
In general, SQL plan evolution is the process by which the optimizer verifies new
plans and adds them to an existing SQL plan baseline.
28-1

•Storage Architecture for SQL Plan Management
The SQL plan management infrastructure records the signatures of parsed
statements, and both accepted and unaccepted plans.
28.1 Purpose of SQL Plan Management
The primary goal of SQL plan management is to prevent performance regressions
caused by plan changes. A secondary goal is to gracefully adapt to changes such as
new optimizer statistics or indexes by verifying and accepting only plan changes that
improve performance.
Note:
SQL plan baselines cannot help when an event has caused irreversible
execution plan changes, such as dropping an index.
This section contains the following topics:
•Benefits of SQL Plan Management
SQL plan management can improve or preserve SQL performance in database
upgrades and system and data changes.
•Differences Between SQL Plan Baselines and SQL Profiles
Both SQL profiles and SQL plan baselines help improve the performance of SQL
statements by ensuring that the optimizer uses only optimal plans.
28.1.1 Benefits of SQL Plan Management
SQL plan management can improve or preserve SQL performance in database
upgrades and system and data changes.
Specifically, benefits include:
•A database upgrade that installs a new optimizer version usually results in plan
changes for a small percentage of SQL statements.
Most plan changes result in either improvement or no performance change.
However, some plan changes may cause performance regressions. SQL plan
baselines significantly minimize potential regressions resulting from an upgrade.
When you upgrade, the database only uses plans from the plan baseline. The
database puts new plans that are not in the current baseline into a holding area,
and later evaluates them to determine whether they use fewer resources than the
current plan in the baseline. If the plans perform better, then the database
promotes them into the baseline; otherwise, the database does not promote them.
•Ongoing system and data changes can affect plans for some SQL statements,
potentially causing performance regressions.
SQL plan baselines help minimize performance regressions and stabilize SQL
performance.
•Deployment of new application modules introduces new SQL statements into the
database.
Chapter 28
Purpose of SQL Plan Management
28-2

The application software may use appropriate SQL execution plans developed in a
standard test configuration for the new statements. If the system configuration is
significantly different from the test configuration, then the database can evolve
SQL plan baselines over time to produce better performance.
28.1.2 Differences Between SQL Plan Baselines and SQL Profiles
Both SQL profiles and SQL plan baselines help improve the performance of SQL
statements by ensuring that the optimizer uses only optimal plans.
Both profiles and baselines are internally implemented using hints. However, these
mechanisms have significant differences, including the following:
•In general, SQL plan baselines are proactive, whereas SQL profiles are reactive.
Typically, you create SQL plan baselines before significant performance problems
occur. SQL plan baselines prevent the optimizer from using suboptimal plans in
the future.
The database creates SQL profiles when you invoke SQL Tuning Advisor, which
you do typically only after a SQL statement has shown high-load symptoms. SQL
profiles are primarily useful by providing the ongoing resolution of optimizer
mistakes that have led to suboptimal plans. Because the SQL profile mechanism
is reactive, it cannot guarantee stable performance as drastic database changes
occur.
Figure 28-1 SQL Plan Baselines and SQL Profiles
Suboptimal
Plan
Corrects
Cause
Suboptimal
Plan
SQL Plan
Baseline
SQL Profile
Prevents
Use
Past Present Future
•SQL plan baselines reproduce a specific plan, whereas SQL profiles correct
optimizer cost estimates.
A SQL plan baseline is a set of accepted plans. Each plan is implemented using a
set of outline hints that fully specify a particular plan. SQL profiles are also
implemented using hints, but these hints do not specify any specific plan. Rather,
the hints correct miscalculations in the optimizer estimates that lead to suboptimal
plans. For example, a hint may correct the cardinality estimate of a table.
Because a profile does not constrain the optimizer to any one plan, a SQL profile
is more flexible than a SQL plan baseline. For example, changes in initialization
parameters and optimizer statistics enable the optimizer to choose a better plan.
Oracle recommends that you use SQL Tuning Advisor. In this way, you follow the
recommendations made by the advisor for SQL profiles and plan baselines rather than
trying to determine which mechanism is best for each SQL statement.
Chapter 28
Purpose of SQL Plan Management
28-3

28.2 Plan Capture
SQL plan capture refers to techniques for capturing and storing relevant information
about plans in the SQL Management Base for a set of SQL statements. Capturing a
plan means making SQL plan management aware of this plan.
You can configure initial plan capture to occur automatically by setting an initialization
parameter, or you can capture plans manually by using the
DBMS_SPM
package.
This section contains the following topics:
•Automatic Initial Plan Capture
You enable automatic initial plan capture by setting
OPTIMIZER_CAPTURE_SQL_PLAN_BASELINES
to
true
(the default is
false
). When enabled,
the database checks whether executed SQL statements are eligible for automatic
capture.
•Manual Plan Capture
In SQL plan management, manual plan capture refers to the user-initiated bulk
load of existing plans into a SQL plan baseline.
28.2.1 Automatic Initial Plan Capture
You enable automatic initial plan capture by setting
OPTIMIZER_CAPTURE_SQL_PLAN_BASELINES
to
true
(the default is
false
). When enabled, the
database checks whether executed SQL statements are eligible for automatic capture.
The settings of the initialization parameters
OPTIMIZER_CAPTURE_SQL_PLAN_BASELINES
and
OPTIMIZER_USE_SQL_PLAN_BASELINES
are independent. For example, if
OPTIMIZER_CAPTURE_SQL_PLAN_BASELINES
is
true
, then the database creates initial plan
baselines regardless of whether
OPTIMIZER_USE_SQL_PLAN_BASELINES
is
true
or
false
.
This section contains the following topics:
•Eligibility for Automatic Initial Plan Capture
To be eligible for automatic plan capture, a statement must be repeatable, and it
must pass through any configured capture filters. By default, the database
considers all repeatable SQL statements as eligible for capture.
•Plan Matching for Automatic Initial Plan Capture
If the database executes a repeatable SQL statement, and if this statement
passes through the
DBMS_SPM.CONFIGURE
filters, then the database attempts to match
a plan in the SQL plan baseline.
See Also:
•"Plan Selection"
•Oracle Database Reference to learn about the
OPTIMIZER_USE_SQL_PLAN_BASELINES
initialization parameter
Chapter 28
Plan Capture
28-4

28.2.1.1 Eligibility for Automatic Initial Plan Capture
To be eligible for automatic plan capture, a statement must be repeatable, and it must
pass through any configured capture filters. By default, the database considers all
repeatable SQL statements as eligible for capture.
The first check for eligibility is repetition. If a statement is only executed once, then the
database does not consider it eligible for a SQL plan baseline. If a statement is
executed twice or more, however, then it is by definition repeatable, and so the
database considers it eligible for further checking.
For repeatable statements, the
DBMS_SPM.CONFIGURE
procedure enables you to create an
automatic capture filter. Thus, you can capture only statements that you want, and
exclude noncritical statements, thereby saving space in the
SYSAUX
tablespace.
Noncritical queries often have the following characteristics:
•Not executed often enough to be significant
•Not resource-intensive
•Not sufficiently complex to benefit from SQL plan management
For a specified parameter, a filter either includes (
allow=>TRUE
) or excludes
(
allow=>FALSE
) plans for statements with the specified values. To be eligible for
capture, a repeatable statement must not be excluded by any filter. The
DBMS_SPM.CONFIGURE
procedure supports filters for SQL text, parsing schema name,
module, and action.
A null value for any parameter removes the filter. By using
parameter_value=>'%'
in
combination with
allow=FALSE
, you can filter out all values for a parameter, and then
create a separate filter to include only specified values. The
DBA_SQL_MANAGEMENT_CONFIG
view shows the current filters.
28.2.1.2 Plan Matching for Automatic Initial Plan Capture
If the database executes a repeatable SQL statement, and if this statement passes
through the
DBMS_SPM.CONFIGURE
filters, then the database attempts to match a plan in
the SQL plan baseline.
For automatic initial plan capture, the plan matching algorithm is as follows:
•If a SQL plan baseline does not exist, then the optimizer creates a plan history and
SQL plan baseline for the statement, marking the initial plan for the statement as
accepted and adding it to the SQL plan baseline.
•If a SQL plan baseline exists, then the optimizer behavior depends on the cost-
based plan derived at parse time:
–If this plan does not match a plan in the SQL plan baseline, then the optimizer
marks the new plan as unaccepted and adds it to the SQL plan baseline.
–If this plan does match a plan in the SQL plan baseline, then nothing is added
to the SQL plan baseline.
Chapter 28
Plan Capture
28-5

28.2.2 Manual Plan Capture
In SQL plan management, manual plan capture refers to the user-initiated bulk load
of existing plans into a SQL plan baseline.
Use Cloud Control or PL/SQL to load the execution plans for SQL statements from
AWR, a SQL tuning set (STS), the shared SQL area, a staging table, or a stored
outline.
Figure 28-2 Loading Plans into a SQL Plan Baseline
SQL Management Base
SQL Statement Log
Loading
Plans into
a Plan
Baseline
SQL Plan History
SQL Plan Baseline
accepted
enabled
accepted
enabled
GB
HJ
HJ
GB
HJ
HJ
SQL
Tuning
Set
Staging Table
AWR
/*+ hint */
/*+ hint */
/*+ hint */
Stored Outline
Shared Pool
Library Cache
Shared SQL Area
SELECT * FROM
employees
The loading behavior varies depending on whether a SQL plan baseline exists for
each statement represented in the bulk load:
•If a baseline for the statement does not exist, then the database does the
following:
1. Creates a plan history and plan baseline for the statement
2. Marks the initial plan for the statement as accepted
3. Adds the plan to the new baseline
•If a baseline for the statement exists, then the database does the following:
Chapter 28
Plan Capture
28-6

1. Marks the loaded plan as accepted
2. Adds the plan to the plan baseline for the statement without verifying the
plan's performance
Manually loaded plans are always marked accepted because the optimizer assumes
that any plan loaded manually by the administrator has acceptable performance. You
can load plans without enabling them by setting the
enabled
parameter to
NO
in the
DBMS_SPM.LOAD_PLANS_FROM_%
functions.
28.3 Plan Selection
SQL plan selection is the optimizer ability to detect plan changes based on stored
plan history, and the use of SQL plan baselines to select plans to avoid potential
performance regressions.
When the database performs a hard parse of a SQL statement, the optimizer
generates a best-cost plan. By default, the optimizer then attempts to find a matching
plan in the SQL plan baseline for the statement. If no plan baseline exists, then the
database runs the statement with the best-cost plan.
If a plan baseline exists, then the optimizer behavior depends on whether the newly
generated plan is in the plan baseline:
•If the new plan is in the baseline, then the database executes the statement using
the found plan.
•If the new plan is not in the baseline, then the optimizer marks the newly
generated plan as unaccepted and adds it to the plan history. Optimizer behavior
depends on the contents of the plan baseline:
–If fixed plans exist in the plan baseline, then the optimizer uses the fixed plan
with the lowest cost.
–If no fixed plans exist in the plan baseline, then the optimizer uses the baseline
plan with the lowest cost.
–If no reproducible plans exist in the plan baseline, which could happen if every
plan in the baseline referred to a dropped index, then the optimizer uses the
newly generated cost-based plan.
Chapter 28
Plan Selection
28-7

Figure 28-3 Decision Tree for SQL Plan Selection
Execute this plan
No
Yes
Mark plan as unaccepted
in plan history
No
Compare costs of
accepted plans
Execute lowest-cost
plan in baseline
Yes Execute this
plan
SQL is issued
Generate execution
plan
Does
a SQL plan baseline
exist?
Is this
plan in SQL plan
baseline?
28.4 Plan Evolution
In general, SQL plan evolution is the process by which the optimizer verifies new
plans and adds them to an existing SQL plan baseline.
Specifically, plan evolution consists of the following distinct steps:
1. Verifying that unaccepted plans perform at least as well as accepted plans in a
SQL plan baseline (known as plan verification)
2. Adding unaccepted plans to the plan baseline as accepted plans after the
database has proved that they perform as well as accepted plans
In the standard case of plan evolution, the optimizer performs the preceding steps
sequentially, so that a new plan is not usable by SQL plan management until the
optimizer verifies plan performance relative to the SQL plan baseline. However, you
can configure SQL plan management to perform one step without performing the
other. The following graphic shows the possible paths for plan evolution.
Chapter 28
Plan Evolution
28-8

Figure 28-4 Plan Evolution
Verifying Adding
Verifying without adding
Adding without verifying
This section contains the following topics:
•Purpose of Plan Evolution
Typically, a SQL plan baseline for a SQL statement starts with a single accepted
plan. However, some SQL statements perform well when executed with different
plans under different conditions.
•PL/SQL Subprograms for Plan Evolution
The
DBMS_SPM
package provides procedures and functions for plan evolution.
28.4.1 Purpose of Plan Evolution
Typically, a SQL plan baseline for a SQL statement starts with a single accepted plan.
However, some SQL statements perform well when executed with different plans
under different conditions.
For example, a SQL statement with bind variables whose values result in different
selectivities may have several optimal plans. Creating a materialized view or an index
or repartitioning a table may make current plans more expensive than other plans.
If new plans were never added to SQL plan baselines, then the performance of some
SQL statements might degrade. Thus, it is sometimes necessary to evolve newly
accepted plans into SQL plan baselines. Plan evolution prevents performance
regressions by verifying the performance of a new plan before including it in a SQL
plan baseline.
28.4.2 PL/SQL Subprograms for Plan Evolution
The
DBMS_SPM
package provides procedures and functions for plan evolution.
These subprograms use the task infrastructure. For example,
CREATE_EVOLVE_TASK
creates an evolution task, whereas
EXECUTE_EVOLVE_TASK
executes it. All task evolution
subprograms have the string
EVOLVE_TASK
in the name.
Use the evolve procedures on demand, or configure the subprograms to run
automatically. The automatic maintenance task
SYS_AUTO_SPM_EVOLVE_TASK
executes
daily in the scheduled maintenance window. The task perform the following actions
automatically:
1. Selects and ranks unaccepted plans for verification
2. Accepts each plan if it satisfies the performance threshold
Chapter 28
Plan Evolution
28-9

28.5 Storage Architecture for SQL Plan Management
The SQL plan management infrastructure records the signatures of parsed
statements, and both accepted and unaccepted plans.
This section contains the following topics:
•SQL Management Base
The SQL management base (SMB) is a logical repository in the data dictionary.
•SQL Statement Log
When automatic SQL plan capture is enabled, the SQL statement log contains
the signature of statements that the optimizer has evaluated over time.
•SQL Plan History
The SQL plan history is the set of captured SQL execution plans. The history
contains both SQL plan baselines and unaccepted plans.
28.5.1 SQL Management Base
The SQL management base (SMB) is a logical repository in the data dictionary.
The SMB contains the following:
•SQL statement log, which contains only SQL IDs
•SQL plan history, which includes the SQL plan baselines
•SQL profiles
•SQL patches
The SMB stores information that the optimizer can use to maintain or improve SQL
performance.
The SMB resides in the
SYSAUX
tablespace and uses automatic segment-space
management. Because the SMB is located entirely within the
SYSAUX
tablespace, the
database does not use SQL plan management and SQL tuning features when this
tablespace is unavailable.
Figure 28-5 SMB Architecture
SQL
Statement
Log
SQL
Profiles
SQL
Plan
History
SQL
Patches
SYSAUX
SQL Management Base
Chapter 28
Storage Architecture for SQL Plan Management
28-10

Note:
Data visibility and privilege requirements may differ when using the SMB with
pluggable databases. See Oracle Database Administrator’s Guide for a table
that summarizes how manageability features work in a container database
(CDB).
28.5.2 SQL Statement Log
When automatic SQL plan capture is enabled, the SQL statement log contains the
signature of statements that the optimizer has evaluated over time.
A SQL signature is a numeric hash value computed using a SQL statement text that
has been normalized for case insensitivity and white space. When the optimizer
parses a statement, it creates signature.
During automatic capture, the database matches this signature against the SQL
statement log (
SQLLOG$
) to determine whether the signature has been observed before.
If it has not, then the database adds the signature to the log. If the signature is already
in the log, then the database has confirmation that the statement is a repeatable SQL
statement.
Note:
If a filter excludes a statement, then its signature is also excluded from the
log.
Example 28-1 Logging SQL Statements
This example illustrates how the database tracks statements in the statement log and
creates baselines automatically for repeatable statements. An initial query of the
statement log shows no tracked SQL statements. After a query of
hr.jobs
for
AD_PRES
,
the log shows one tracked statement.
SQL> ALTER SYSTEM SET OPTIMIZER_CAPTURE_SQL_PLAN_BASELINES=true;
System altered.
SQL> SELECT * FROM SQLLOG$;
no rows selected
SQL> SELECT job_title FROM hr.jobs WHERE job_id = 'AD_PRES';
JOB_TITLE
-----------------------------------
President
SQL> SELECT * FROM SQLLOG$;
SIGNATURE BATCH#
Chapter 28
Storage Architecture for SQL Plan Management
28-11

---------- ----------
1.8096E+19 1
Now the session executes a different
jobs
query. The log shows two tracked
statements:
SQL> SELECT job_title FROM hr.jobs WHERE job_id='PR_REP';
JOB_TITLE
-----------------------------------
Public Relations Representative
SQL> SELECT * FROM SQLLOG$;
SIGNATURE BATCH#
---------- ----------
1.7971E+19 1
1.8096E+19 1
A query of
DBA_SQL_PLAN_BASELINES
shows that no baseline for either statement exists
because neither statement is repeatable:
SQL> SELECT SQL_HANDLE, SQL_TEXT
2 FROM DBA_SQL_PLAN_BASELINES
3 WHERE SQL_TEXT LIKE 'SELECT job_title%';
no rows selected
The session executes the query for
job_id='PR_REP'
a second time. Because this
statement is now repeatable, and because automatic SQL plan capture is enabled, the
database creates a plan baseline for this statement. The query for
job_id='AD_PRES'
has only been executed once, so no plan baseline exists for it.
SQL> SELECT job_title FROM hr.jobs WHERE job_id='PR_REP';
JOB_TITLE
-----------------------------------
Public Relations Representative
SQL> SELECT SQL_HANDLE, SQL_TEXT
2 FROM DBA_SQL_PLAN_BASELINES
3 WHERE SQL_TEXT LIKE 'SELECT job_title%';
SQL_HANDLE SQL_TEXT
-------------------- --------------------
SQL_f9676a330f972dd5 SELECT job_title FRO
M hr.jobs WHERE job_
id='PR_REP'
28.5.3 SQL Plan History
The SQL plan history is the set of captured SQL execution plans. The history
contains both SQL plan baselines and unaccepted plans.
In SQL plan management, the database detects new SQL execution plans for existing
SQL plan baselines and records the new plan in the history so that they can be
evolved (verified). Evolution is initiated automatically by the database or manually by
the DBA.
Chapter 28
Storage Architecture for SQL Plan Management
28-12

Starting in Oracle Database 12c, the SMB stores the execution plans for all SQL
statements in the SQL plan history. The
DBMS_XPLAN.DISPLAY_SQL_PLAN_BASELINE
function
fetches and displays the plan from the SMB. For plans created before Oracle
Database 12c, the function must compile the SQL statement and generate the plan
because the SMB does not store it.
This section contains the following topics:
•Enabled Plans
An enabled plan is a plan that is eligible for use by the optimizer.
•Accepted Plans
An accepted plan is a plan that is in a SQL plan baseline for a SQL statement
and thus available for use by the optimizer. An accepted plan contains a set of
hints, a plan hash value, and other plan-related information.
•Fixed Plans
A fixed plan is an accepted plan that is marked as preferred, so that the optimizer
considers only the fixed plans in the baseline. Fixed plans influence the plan
selection process of the optimizer.
See Also:
•"Displaying Plans in a SQL Plan Baseline"
•Oracle Database PL/SQL Packages and Types Reference to learn about
the
DBMS_XPLAN.DISPLAY_SQL_PLAN_BASELINE
function
28.5.3.1 Enabled Plans
An enabled plan is a plan that is eligible for use by the optimizer.
When plans are loaded with the
enabled
parameter set to
YES
(default), the database
automatically marks the resulting SQL plan baselines as enabled, even if they are
unaccepted. You can manually change an enabled plan to a disabled plan, which
means the optimizer can no longer use the plan even if it is accepted.
28.5.3.2 Accepted Plans
An accepted plan is a plan that is in a SQL plan baseline for a SQL statement and
thus available for use by the optimizer. An accepted plan contains a set of hints, a plan
hash value, and other plan-related information.
The SQL plan history for a statement contains all plans, both accepted and
unaccepted. After the optimizer generates the first accepted plan in a plan baseline,
every subsequent unaccepted plan is added to the plan history, awaiting verification,
but is not in the SQL plan baseline.
28.5.3.3 Fixed Plans
A fixed plan is an accepted plan that is marked as preferred, so that the optimizer
considers only the fixed plans in the baseline. Fixed plans influence the plan selection
process of the optimizer.
Chapter 28
Storage Architecture for SQL Plan Management
28-13

Assume that three plans exist in the SQL plan baseline for a statement. You want the
optimizer to give preferential treatment to only two of the plans. As shown in the
following figure, you mark these two plans as fixed so that the optimizer uses only the
best plan from these two, ignoring the other plans.
Figure 28-6 Fixed Plans
DBA marks
as fixed
Considers
Ignores unless
fixed plans are
not reproducible
SQL Plan Baseline
fixed
accepted
enabled
fixed
accepted
enabled
accepted
enabled
accepted
enabled
GB
HJ HJ
GB
HJ HJ
GB
HJ HJ Optimizer
If new plans are added to a baseline that contains at least one enabled fixed plan, then
the optimizer cannot use the new plans until you manually declare them as fixed.
Chapter 28
Storage Architecture for SQL Plan Management
28-14

29
Managing SQL Plan Baselines
This chapter explains the concepts and tasks relating to SQL plan management using
the
DBMS_SPM
package.
This chapter contains the following topics:
•About Managing SQL Plan Baselines
This topic describes the available interfaces and basic tasks for SQL plan
management.
•Configuring SQL Plan Management
You can configure the capture and use of SQL plan baselines, and the SPM
Evolve Advisor task.
•Displaying Plans in a SQL Plan Baseline
To view the plans stored in the SQL plan baseline for a specific statement, use the
DBMS_XPLAN.DISPLAY_SQL_PLAN_BASELINE
function. This function uses plan information
stored in the plan history to display the plans.
•Loading SQL Plan Baselines
Using
DBMS_SPM
, you can initiate the bulk load of a set of existing plans into a SQL
plan baseline.
•Evolving SQL Plan Baselines Manually
You can use PL/SQL or Cloud Control to manually evolve an unaccepted plan to
determine whether it performs better than any plan currently in the plan baseline.
•Dropping SQL Plan Baselines
You can remove some or all plans from a SQL plan baseline. This technique is
sometimes useful when testing SQL plan management.
•Managing the SQL Management Base
The SQL management base is a part of the data dictionary that resides in the
SYSAUX
tablespace. It stores statement logs, plan histories, SQL plan baselines,
and SQL profiles.
See Also:
•"Migrating Stored Outlines to SQL Plan Baselines"
•Oracle Database PL/SQL Packages and Types Reference to learn more
about
DBMS_SPM
29.1 About Managing SQL Plan Baselines
This topic describes the available interfaces and basic tasks for SQL plan
management.
29-1

This section contains the following topics:
•User Interfaces for SQL Plan Management
You can access the
DBMS_SPM
package through Cloud Control or through the
command line.
•Basic Tasks in SQL Plan Management
This topic explains the basic tasks in using SQL plan management to prevent plan
regressions and permit the optimizer to consider new execution plans.
29.1.1 User Interfaces for SQL Plan Management
You can access the
DBMS_SPM
package through Cloud Control or through the command
line.
This section contains the following topics:
•Accessing the SQL Plan Baseline Page in Cloud Control
The SQL Plan Control page in Cloud Control is a GUI that shows information
about SQL profiles, SQL patches, and SQL plan baselines.
•DBMS_SPM Package
On the command line, use the
DBMS_SPM
and
DBMS_XPLAN
PL/SQL packages to
perform most SQL plan management tasks.
29.1.1.1 Accessing the SQL Plan Baseline Page in Cloud Control
The SQL Plan Control page in Cloud Control is a GUI that shows information about
SQL profiles, SQL patches, and SQL plan baselines.
To access the SQL Plan Baseline page:
1. Log in to Cloud Control with the appropriate credentials.
2. Under the Targets menu, select Databases.
3. In the list of database targets, select the target for the Oracle Database instance
that you want to administer.
4. If prompted for database credentials, then enter the minimum credentials
necessary for the tasks you intend to perform.
5. From the Performance menu, select SQL, then SQL Plan Control.
The SQL Plan Control page appears.
6. Click Files to view the SQL Plan Baseline subpage, shown in Figure 29-1.
Chapter 29
About Managing SQL Plan Baselines
29-2

Figure 29-1 SQL Plan Baseline Subpage
You can perform most SQL plan management tasks in this page or in pages
accessed through this page.
29.1.1.2 DBMS_SPM Package
On the command line, use the
DBMS_SPM
and
DBMS_XPLAN
PL/SQL packages to perform
most SQL plan management tasks.
The following table describes the most relevant
DBMS_SPM
procedures and functions for
creating, dropping, and loading SQL plan baselines.
Table 29-1 DBMS_SPM Procedures and Functions
Package Procedure or Function Description
DBMS_SPM CONFIGURE
This procedure changes
configuration options for the SMB in
name/value format.
DBMS_SPM CREATE_STGTAB_BASELINE
This procedure creates a staging
table that enables you to transport
SQL plan baselines from one
database to another.
DBMS_SPM DROP_SQL_PLAN_BASELINE
This function drops some or all plans
in a plan baseline.
DBMS_SPM LOAD_PLANS_FROM_CURSOR_CACHE
This function loads plans in the
shared SQL area (also called the
cursor cache) into SQL plan
baselines.
Chapter 29
About Managing SQL Plan Baselines
29-3

Table 29-1 (Cont.) DBMS_SPM Procedures and Functions
Package Procedure or Function Description
DBMS_SPM LOAD_PLANS_FROM_SQLSET
This function loads plans in an STS
into SQL plan baselines.
DBMS_SPM LOAD_PLANS_FROM_AWR
This function loads plans from AWR
into SQL plan baselines.
DBMS_SPM PACK_STGTAB_BASELINE
This function packs SQL plan
baselines, which means that it
copies them from the SMB into a
staging table.
DBMS_SPM UNPACK_STGTAB_BASELINE
This function unpacks SQL plan
baselines, which means that it
copies SQL plan baselines from a
staging table into the SMB.
Also, you can use
DBMS_XPLAN.DISPLAY_SQL_PLAN_BASELINE
to show one or more
execution plans for the SQL statement identified by SQL handle.
29.1.2 Basic Tasks in SQL Plan Management
This topic explains the basic tasks in using SQL plan management to prevent plan
regressions and permit the optimizer to consider new execution plans.
The tasks are as follows:
•Set initialization parameters to control whether the database captures and uses
SQL plan baselines, and whether it evolves new plans.
See "Configuring SQL Plan Management".
•Display plans in a SQL plan baseline.
See "Displaying Plans in a SQL Plan Baseline".
•Manually load plans into SQL plan baselines.
Load plans from AWR, SQL tuning sets, the shared SQL area, a staging table, or
stored outlines.
See "Loading SQL Plan Baselines".
•Manually evolve plans into SQL plan baselines.
Use PL/SQL to verify the performance of specified plans and add them to plan
baselines.
See "Evolving SQL Plan Baselines Manually".
•Drop all or some plans in SQL plan baselines.
See "Dropping SQL Plan Baselines".
•Manage the SMB.
Alter disk space limits and change the length of the plan retention policy.
See "Managing the SQL Management Base".
•Migrate stored outlines to SQL plan baselines.
Chapter 29
About Managing SQL Plan Baselines
29-4

See "Migrating Stored Outlines to SQL Plan Baselines".
29.2 Configuring SQL Plan Management
You can configure the capture and use of SQL plan baselines, and the SPM Evolve
Advisor task.
This section contains the following topics:
•Configuring the Capture and Use of SQL Plan Baselines
You control SQL plan management with the initialization parameters
OPTIMIZER_CAPTURE_SQL_PLAN_BASELINES
and
OPTIMIZER_USE_SQL_PLAN_BASELINES
.
•Managing the SPM Evolve Advisor Task
SPM Evolve Advisor is a SQL advisor that evolves plans that have recently been
added to the SQL plan baseline. The advisor simplifies plan evolution by
eliminating the requirement to do it manually.
29.2.1 Configuring the Capture and Use of SQL Plan Baselines
You control SQL plan management with the initialization parameters
OPTIMIZER_CAPTURE_SQL_PLAN_BASELINES
and
OPTIMIZER_USE_SQL_PLAN_BASELINES
.
The default values are as follows:
•
OPTIMIZER_CAPTURE_SQL_PLAN_BASELINES=false
For any repeatable SQL statement that does not already exist in the plan history,
the database does not automatically create an initial SQL plan baseline for the
statement.
If
OPTIMIZER_CAPTURE_SQL_PLAN_BASELINES=true
, then you can use the
DBMS_SPM.CONFIGURE
procedure to configure filters that determine which statements
are eligible for plan capture. By default, no filters are configured, which means that
all repeatable statements are eligible for plan capture.
•
OPTIMIZER_USE_SQL_PLAN_BASELINES=true
For any SQL statement that has an existing SQL plan baseline, the database
automatically adds new plans to the SQL plan baseline as unaccepted plans.
Note:
The settings of the preceding parameters are independent of each other. For
example, if
OPTIMIZER_CAPTURE_SQL_PLAN_BASELINES
is
true
, then the database
creates initial plan baselines for new statements even if
OPTIMIZER_USE_SQL_PLAN_BASELINES
is
false
.
If the default behavior is what you intend, then skip this section.
The following sections explain how to change the default parameter settings from the
command line. If you use Cloud Control, then set these parameters in the SQL Plan
Baseline subpage. This section contains the following topics:
Chapter 29
Configuring SQL Plan Management
29-5

•Enabling Automatic Initial Plan Capture for SQL Plan Management
Setting the
OPTIMIZER_CAPTURE_SQL_PLAN_BASELINES
initialization parameter to
true
is
all that is necessary for the database to automatically create an initial SQL plan
baseline for any SQL statement not already in the plan history.
•Configuring Filters for Automatic Plan Capture
If
OPTIMIZER_CAPTURE_SQL_PLAN_BASELINES=true
, then you can use the
DBMS_SPM.CONFIGURE
procedure to create an automatic capture filter for repeatable
statements.
•Disabling All SQL Plan Baselines
When you set the
OPTIMIZER_USE_SQL_PLAN_BASELINES
initialization parameter to
false
, the database does not use any plan baselines in the database.
See Also:
•"Figure 29-1"
•"Automatic Initial Plan Capture"
•"Plan Selection"
29.2.1.1 Enabling Automatic Initial Plan Capture for SQL Plan Management
Setting the
OPTIMIZER_CAPTURE_SQL_PLAN_BASELINES
initialization parameter to
true
is all
that is necessary for the database to automatically create an initial SQL plan baseline
for any SQL statement not already in the plan history.
Caution:
By default, when automatic baseline capture is enabled, the database
creates a SQL plan baseline for every repeatable statement, including all
recursive SQL and monitoring SQL. Thus, automatic capture may result in
the creation of an extremely large number of plan baselines. To limit the
statements that are eligible for plan baselines, configure filters using the
DBMS_SPM.CONFIGURE
procedure.
The
OPTIMIZER_CAPTURE_SQL_PLAN_BASELINES
parameter does not control the automatic
addition of newly discovered plans to a previously created SQL plan baseline.
To enable automatic initial plan capture for SQL plan management:
1. In SQL*Plus, log in to the database with the necessary privileges.
2. Show the current settings for SQL plan management.
For example, connect SQL*Plus to the database with administrator privileges and
execute the following command (sample output included):
SHOW PARAMETER SQL_PLAN
The following sample output shows that automatic initial plan capture is disabled:
Chapter 29
Configuring SQL Plan Management
29-6

NAME TYPE VALUE
------------------------------------ ----------- -----
optimizer_capture_sql_plan_baselines boolean FALSE
optimizer_use_sql_plan_baselines boolean TRUE
If the parameters are set as you intend, then skip the remaining steps.
3. To enable the automatic recognition of repeatable SQL statements and the
generation of SQL plan baselines for these statements, enter the following
statement:
ALTER SYSTEM SET OPTIMIZER_CAPTURE_SQL_PLAN_BASELINES=true;
29.2.1.2 Configuring Filters for Automatic Plan Capture
If
OPTIMIZER_CAPTURE_SQL_PLAN_BASELINES=true
, then you can use the
DBMS_SPM.CONFIGURE
procedure to create an automatic capture filter for repeatable statements.
An automatic filter enables you to capture only statements that you want, and exclude
noncritical statements. This technique saves space in the
SYSAUX
tablespace.
The following table describes the relevant parameters of the
DBMS_SPM.CONFIGURE
procedure.
Table 29-2 DBMS_SPM.CONFIGURE Parameters
Parameter Description
parameter_name
The type of filter for automatic capture.
Possible values are
AUTO_CAPTURE_SQL_TEXT
,
AUTO_CAPTURE_PARSING_SCHEMA_NAME
,
AUTO_CAPTURE_MODULE
, and
AUTO_CAPTURE_ACTION
.
parameter_value
The search criteria for the automatic capture filter.
When
parameter_name
is set to
AUTO_CAPTURE_SQL_TEXT
, the search
pattern depends on the
allow
setting:
•
LIKE
The parameter uses this pattern when
allow=>true
.
•
NOT LIKE
The parameter uses this pattern when
allow=>false
.
For all other non-null
parameter_name
values, the search pattern
depends on the
allow
setting:
•
=
The parameter uses this pattern when
allow=>true
.
•
<>
The parameter uses this pattern when
allow=>false
.
A null value removes the filter for
parameter_name
entirely.
allow
Whether to include (
true
) or exclude (
false
) matching SQL
statements and plans. If null, then the procedure ignores the specified
parameter.
You can configure multiple parameters of different types. Also, you can specify
multiple values for the same parameter in separate statements, which the database
combines. The settings are additive: one parameter setting does not override a
previous setting. For example, the following filter captures SQL in the parsing schema
SYS
or
SYSTEM
:
Chapter 29
Configuring SQL Plan Management
29-7

EXEC DBMS_SPM.CONFIGURE('AUTO_CAPTURE_PARSING_SCHEMA_NAME','SYS',true);
EXEC DBMS_SPM.CONFIGURE('AUTO_CAPTURE_PARSING_SCHEMA_NAME','SYSTEM',true);
However, you cannot configure multiple values for the same parameter in the same
procedure. For example, you cannot specify multiple SQL text strings for
AUTO_CAPTURE_SQL_TEXT
.
The
DBA_SQL_MANAGEMENT_CONFIG
view shows the current parameter values.
This tutorial assumes the following:
•The
OPTIMIZER_CAPTURE_SQL_PLAN_BASELINES
initialization parameter is set to
true
.
•You want to include only statements parsed in the
sh
schema to be eligible for
baselines.
•You want to exclude statements that contain the text
TEST_ONLY
.
To filter out all statements except those parsed in the sh schema:
1. Connect SQL*Plus to the database with the appropriate privileges.
2. To remove any existing filters for parsing schema and SQL text, execute the
following PL/SQL programs:
EXEC DBMS_SPM.CONFIGURE('AUTO_CAPTURE_PARSING_SCHEMA_NAME',null,true);
EXEC DBMS_SPM.CONFIGURE('AUTO_CAPTURE_SQL_TEXT',null,true);
3. Include only statements parsed in the
sh
schema for consideration for automatic
capture:
EXEC DBMS_SPM.CONFIGURE('AUTO_CAPTURE_PARSING_SCHEMA_NAME','sh',true);
4. Exclude any statement that contains the text
TEST_ONLY
from consideration for
automatic capture:
EXEC DBMS_SPM.CONFIGURE('AUTO_CAPTURE_SQL_TEXT','%TEST_ONLY%',false);
5. Optionally, to confirm the filters, query
DBA_SQL_MANAGEMENT_CONFIG
.
For example, use the following query (sample output included):
COL PARAMETER_NAME FORMAT a32
COL PARAMETER_VALUE FORMAT a32
SELECT PARAMETER_NAME, PARAMETER_VALUE
FROM DBA_SQL_MANAGEMENT_CONFIG
WHERE PARAMETER_NAME LIKE '%AUTO%';
PARAMETER_NAME PARAMETER_VALUE
-------------------------------- --------------------------------
AUTO_CAPTURE_PARSING_SCHEMA_NAME parsing_schema IN (SH)
AUTO_CAPTURE_MODULE
AUTO_CAPTURE_ACTION
AUTO_CAPTURE_SQL_TEXT (sql_text NOT LIKE %TEST_ONLY%)
29.2.1.3 Disabling All SQL Plan Baselines
When you set the
OPTIMIZER_USE_SQL_PLAN_BASELINES
initialization parameter to
false
,
the database does not use any plan baselines in the database.
Typically, you might want to disable one or two plan baselines, but not all of them. A
possible use case might be testing the benefits of SQL plan management.
Chapter 29
Configuring SQL Plan Management
29-8

To disable all SQL plan baselines in the database:
1. Connect SQL*Plus to the database with the appropriate privileges, and then show
the current settings for SQL plan management.
For example, connect SQL*Plus to the database with administrator privileges and
execute the following command (sample output included):
SQL> SHOW PARAMETER SQL_PLAN
NAME TYPE VALUE
------------------------------------ ----------- -----
optimizer_capture_sql_plan_baselines boolean FALSE
optimizer_use_sql_plan_baselines boolean TRUE
If the parameters are set as you intend, then skip the remaining steps.
2. To ignore all existing plan baselines enter the following statement:
SQL> ALTER SYSTEM SET OPTIMIZER_USE_SQL_PLAN_BASELINES=false
29.2.2 Managing the SPM Evolve Advisor Task
SPM Evolve Advisor is a SQL advisor that evolves plans that have recently been
added to the SQL plan baseline. The advisor simplifies plan evolution by eliminating
the requirement to do it manually.
This section contains the following topics:
•About the SPM Evolve Advisor Task
By default,
SYS_AUTO_SPM_EVOLVE_TASK
runs daily in the scheduled maintenance
window.
•Enabling and Disabling the SPM Evolve Advisor Task
No separate scheduler client exists for the Automatic SPM Evolve Advisor task.
•Configuring the Automatic SPM Evolve Advisor Task
Configure automatic plan evolution by specifying the task parameters using the
DBMS_SPM.SET_EVOLVE_TASK_PARAMETER
procedure.
29.2.2.1 About the SPM Evolve Advisor Task
By default,
SYS_AUTO_SPM_EVOLVE_TASK
runs daily in the scheduled maintenance window.
The SPM Evolve Advisor task perform the following operations:
1. Locates unaccepted plans
2. Ranks all unaccepted plans
3. Performs test executions of as many plans as possible during the maintenance
window
4. Selects the lowest-cost plan to compare against each unaccepted plan
5. Accepts automatically any unaccepted plan that performs sufficiently better, using
a cost-based algorithm, than the existing accepted plan
Chapter 29
Configuring SQL Plan Management
29-9

Note:
The SPM Evolve Advisor task can accept more than one plan for a single
statement.
SPM Evolve Advisor locates unaccepted plans that the optimizer added to the SMB
during earlier hard parses. In some cases, more optimal plans may reside in other
locations. By using the
DBMS_SPM.SET_EVOLVE_TASK_PARAMETER
procedure, you can
configure the automatic task to search the shared SQL area, AWR repository, or SQL
tuning sets for plans that are not yet in the SMB plan history. If the advisor finds
eligible plans in alternative locations, then it includes them along with the other
unaccepted plans. By default, the automatic task does not search alternative locations.
29.2.2.2 Enabling and Disabling the SPM Evolve Advisor Task
No separate scheduler client exists for the Automatic SPM Evolve Advisor task.
One client controls both Automatic SQL Tuning Advisor and Automatic SPM Evolve
Advisor. Thus, the same task enables or disables both.
29.2.2.3 Configuring the Automatic SPM Evolve Advisor Task
Configure automatic plan evolution by specifying the task parameters using the
DBMS_SPM.SET_EVOLVE_TASK_PARAMETER
procedure.
Because the
SYS_AUTO_SPM_EVOLVE_TASK
task is owned by
SYS
, only
SYS
can set task
parameters.
The following table describes some of the procedure parameters.
Table 29-3 DBMS_SPM.SET_EVOLVE_TASK_PARAMETER Parameters
Parameter Description
alternate_plan_source
Determines which sources to search for additional plans:
CURSOR_CACHE
,
AUTOMATIC_WORKLOAD_REPOSITORY
, or
SQL_TUNING_SETS
. Combine multiple values with the plus
sign (
+
). The default is
CURSOR_CACHE
+AUTOMATIC_WORKLOAD_REPOSITORY
.
alternate_plan_baseline
Determines which alternative plans should be loaded.
EXISTING
, which is the default, loads plans with for
statements with existing baselines.
NEW
loads plans for
statements without a baseline, in which case a new
baseline is created. Combine multiple values with the plus
sign (
+
).
alternate_plan_limit
Specifies the maximum number of plans to load. The
default is
0
.
Chapter 29
Configuring SQL Plan Management
29-10

Table 29-3 (Cont.) DBMS_SPM.SET_EVOLVE_TASK_PARAMETER Parameters
Parameter Description
accept_plans
Specifies whether to accept recommended plans
automatically. When
ACCEPT_PLANS
is
true
(default), SQL
plan management automatically accepts all plans
recommended by the task. When set to
false
, the task
verifies the plans and generates a report if its findings, but
does not evolve the plans.
The tutorial in this section assumes the following:
•You want the database to accept plans automatically.
•You want the task to time out after 1200 seconds per execution.
•You want the evolve task to look for up to a maximum of 500 plans in the shared
SQL area and AWR repository
To set automatic evolution task parameters:
1. Connect SQL*Plus to the database as
SYS
.
2. Query the current parameter settings for
SYS_AUTO_SPM_EVOLVE_TASK
.
For example, connect SQL*Plus to the database with administrator privileges and
execute the following query:
COL PARAMETER_NAME FORMAT a25
COL VALUE FORMAT a42
SELECT PARAMETER_NAME, PARAMETER_VALUE AS "VALUE"
FROM DBA_ADVISOR_PARAMETERS
WHERE ( (TASK_NAME = 'SYS_AUTO_SPM_EVOLVE_TASK') AND
( (PARAMETER_NAME = 'ACCEPT_PLANS') OR
(PARAMETER_NAME LIKE '%ALT%') OR
(PARAMETER_NAME = 'TIME_LIMIT') ) );
Sample output appears as follows:
PARAMETER_NAME VALUE
------------------------- ------------------------------------------
ALTERNATE_PLAN_LIMIT 0
ALTERNATE_PLAN_SOURCE CURSOR_CACHE+AUTOMATIC_WORKLOAD_REPOSITORY
ALTERNATE_PLAN_BASELINE EXISTING
ACCEPT_PLANS true
TIME_LIMIT 3600
3. Set parameters using PL/SQL code of the following form:
BEGIN
DBMS_SPM.SET_EVOLVE_TASK_PARAMETER(
task_name => 'SYS_AUTO_SPM_EVOLVE_TASK'
, parameter => parameter_name
, value => value
);
END;
/
Chapter 29
Configuring SQL Plan Management
29-11

For example, the following PL/SQL block configures the
SYS_AUTO_SPM_EVOLVE_TASK
task to automatically accept plans, seek up a maximum of 500 plans in the shared
SQL area and AWR repository, and time out after 20 minutes:
BEGIN
DBMS_SPM.SET_EVOLVE_TASK_PARAMETER(
task_name => 'SYS_AUTO_SPM_EVOLVE_TASK'
, parameter => 'TIME_LIMIT'
, value => '1200'
);
DBMS_SPM.SET_EVOLVE_TASK_PARAMETER(
task_name => 'SYS_AUTO_SPM_EVOLVE_TASK'
, parameter => 'ACCEPT_PLANS'
, value => 'true'
);
DBMS_SPM.SET_EVOLVE_TASK_PARAMETER(
task_name => 'SYS_AUTO_SPM_EVOLVE_TASK'
, parameter => 'ALTERNATE_PLAN_LIMIT'
, value => '500'
);
END;
/
4. Optionally, confirm your changes by querying the current parameter settings for
SYS_AUTO_SPM_EVOLVE_TASK
.
For example, execute the following query:
SELECT PARAMETER_NAME, PARAMETER_VALUE AS "VALUE"
FROM DBA_ADVISOR_PARAMETERS
WHERE ( (TASK_NAME = 'SYS_AUTO_SPM_EVOLVE_TASK') AND
( (PARAMETER_NAME = 'ACCEPT_PLANS') OR
(PARAMETER_NAME LIKE '%ALT%') OR
(PARAMETER_NAME = 'TIME_LIMIT') ) );
Sample output appears as follows:
PARAMETER_NAME VALUE
------------------------- ------------------------------------------
ALTERNATE_PLAN_LIMIT 500
ALTERNATE_PLAN_SOURCE CURSOR_CACHE+AUTOMATIC_WORKLOAD_REPOSITORY
ALTERNATE_PLAN_BASELINE EXISTING
ACCEPT_PLANS true
TIME_LIMIT 1200
29.3 Displaying Plans in a SQL Plan Baseline
To view the plans stored in the SQL plan baseline for a specific statement, use the
DBMS_XPLAN.DISPLAY_SQL_PLAN_BASELINE
function. This function uses plan information
stored in the plan history to display the plans.
The following table describes the relevant parameters for the
DBMS_XPLAN.DISPLAY_SQL_PLAN_BASELINE
function.
Chapter 29
Displaying Plans in a SQL Plan Baseline
29-12

Table 29-4 DBMS_XPLAN.DISPLAY_SQL_PLAN_BASELINE Parameters
Function Parameter Description
sql_handle
SQL handle of the statement. Retrieve the SQL handle by joining the
V$SQL.SQL_PLAN_BASELINE
and
DBA_SQL_PLAN_BASELINES
views on the
PLAN_NAME
columns.
plan_name
Name of the plan for the statement.
This section explains how to show plans in a baseline from the command line. If you
use Cloud Control, then display plan baselines from the SQL Plan Baseline subpage
shown in Figure 29-1.
To display plans in a SQL plan baselines:
1. Connect SQL*Plus to the database with the appropriate privileges, and then obtain
the SQL ID of the query whose plan you want to display.
For example, assume that a SQL plan baseline exists for a
SELECT
statement with
the SQL ID
31d96zzzpcys9
.
2. Query the plan by SQL ID.
The following query displays execution plans for the statement with the SQL ID
31d96zzzpcys9
:
SELECT PLAN_TABLE_OUTPUT
FROM V$SQL s, DBA_SQL_PLAN_BASELINES b,
TABLE(
DBMS_XPLAN.DISPLAY_SQL_PLAN_BASELINE(b.sql_handle,b.plan_name,'basic')
) t
WHERE s.EXACT_MATCHING_SIGNATURE=b.SIGNATURE
AND b.PLAN_NAME=s.SQL_PLAN_BASELINE
AND s.SQL_ID='31d96zzzpcys9';
The sample query results are as follows:
PLAN_TABLE_OUTPUT
---------------------------------------------------------------------------
---------------------------------------------------------------------------
SQL handle: SQL_513f7f8a91177b1a
SQL text: select * from hr.employees where employee_id=100
---------------------------------------------------------------------------
---------------------------------------------------------------------------
Plan name: SQL_PLAN_52gvzja8jfysuc0e983c6 Plan id: 3236529094
Enabled: YES Fixed: NO Accepted: YES Origin: AUTO-CAPTURE
---------------------------------------------------------------------------
Plan hash value: 3236529094
-----------------------------------------------------
| Id | Operation | Name |
-----------------------------------------------------
| 0 | SELECT STATEMENT | |
| 1 | TABLE ACCESS BY INDEX ROWID| EMPLOYEES |
| 2 | INDEX UNIQUE SCAN | EMP_EMP_ID_PK |
-----------------------------------------------------
Chapter 29
Displaying Plans in a SQL Plan Baseline
29-13

The results show that the plan for SQL ID
31d96zzzpcys
is named
SQL_PLAN_52gvzja8jfysuc0e983c6
and was captured automatically.
29.4 Loading SQL Plan Baselines
Using
DBMS_SPM
, you can initiate the bulk load of a set of existing plans into a SQL plan
baseline.
This section contains the following topics:
•About Loading SQL Plan Baselines
The
DBMS_SPM
package enables you to load plans from multiple sources.
•Loading Plans from AWR
This topic explains how to load plans from AWR using PL/SQL.
•Loading Plans from the Shared SQL Area
This topic explains how to load plans from the shared SQL area, also called the
cursor cache, using PL/SQL.
•Loading Plans from a SQL Tuning Set
A SQL tuning set (STS) is a database object that includes one or more SQL
statements, execution statistics, and execution context. This topic explains how to
load plans from an STS.
•Loading Plans from a Staging Table
You may want to transfer optimal plans from a source database to a different
destination database.
29.4.1 About Loading SQL Plan Baselines
The
DBMS_SPM
package enables you to load plans from multiple sources.
The goal of this task is to load plans from the following sources:
•AWR
Load plans from Automatic Workload Repository (AWR) snapshots. You must
specify the beginning and ending of the snapshot range. Optionally, you can apply
a filter to load only plan that meet specified criteria. By default, the optimizer uses
the loaded plans the next time that the database executes the SQL statements.
•Shared SQL area
Load plans for statements directly from the shared SQL area, which is in the
shared pool of the SGA. By applying a filter on the module name, the schema, or
the SQL ID you identify the SQL statement or set of SQL statements to capture.
The optimizer uses the plans the next time that the database executes the SQL
statements.
Loading plans directly from the shared SQL area is useful when application SQL
has been hand-tuned using hints. Because you probably cannot change the SQL
to include the hint, populating the SQL plan baseline ensures that the application
SQL uses optimal plans.
•SQL tuning set (STS)
Capture the plans for a SQL workload into an STS, and then load the plans into
the SQL plan baselines. The optimizer uses the plans the next time that the
Chapter 29
Loading SQL Plan Baselines
29-14

database executes the SQL statements. Bulk loading execution plans from an
STS is an effective way to prevent plan regressions after a database upgrade.
•Staging table
Use the
DBMS_SPM
package to define a staging table,
DBMS_SPM.PACK_STGTAB_BASELINE
to copy the baselines into a staging table, and Oracle Data Pump to transfer the
table to another database. On the destination database, use
DBMS_SPM.UNPACK_STGTAB_BASELINE
to unpack the plans from the staging table and
put the baselines into the SMB.
A use case is the introduction of new SQL statements into the database from a
new application module. A vendor can ship application software with SQL plan
baselines for the new SQL. In this way, the new SQL uses plans that are known to
give optimal performance under a standard test configuration. Alternatively, if you
develop or test an application in-house, export the correct plans from the test
database and import them into the production database.
•Stored outline
Migrate stored outlines to SQL plan baselines. After the migration, you maintain
the same plan stability that you had using stored outlines while being able to use
the more advanced features provided by SQL Plan Management, such as plan
evolution. See .
29.4.2 Loading Plans from AWR
This topic explains how to load plans from AWR using PL/SQL.
Load plans with the
LOAD_PLANS_FROM_AWR
function of the
DBMS_SPM
package. The
following table describes some function parameters.
Table 29-5 LOAD_PLANS_FROM_AWR Parameters
Function Parameter Description
begin_snap
Number of the beginning snapshot in the range. Required.
end_snap
Number of the ending snapshot in the range. Required.
basic_filter
A filter applied to AWR to select only qualifying plans to be loaded. The
default null means that all plans in AWR are selected. The filter can
take the form of any
WHERE
clause predicate that can be specified
against the column
DBA_HIST_SQLTEXT.SQL_TEXT
. An example is
basic_filter => 'sql_text like ''SELECT /*LOAD_STS*/%'''
.
fixed
Default
NO
means the loaded plans are used as nonfixed plans.
YES
means the loaded plans are fixed plans. "Plan Selection" explains that
the optimizer chooses a fixed plan in the plan baseline over a nonfixed
plan.
This section explains how to load plans using the command line. In Cloud Control, go
to the SQL Plan Baseline subpage (shown in Figure 29-1) and click Load to load plan
baselines from AWR.
This tutorial assumes the following:
•You want to load plans for the following query into the SMB:
SELECT /*LOAD_AWR*/ *
FROM sh.sales
Chapter 29
Loading SQL Plan Baselines
29-15

WHERE quantity_sold > 40
ORDER BY prod_id;
•You want the loaded plans to be nonfixed.
•The user
sh
has privileges to query
DBA_HIST_SNAPSHOT
and
DBA_SQL_PLAN_BASELINES
,
execute
DBMS_WORKLOAD_REPOSITORY.CREATE_SNAPSHOT
, and execute
DBMS_SPM.LOAD_PLANS_FROM_AWR
.
To load plans from the shared SQL area:
1. Log in to the database with the appropriate privileges, and then query the most
recent 3 AWR snapshots.
For example, query
DBA_HIST_SNAPSHOT
as follows:
SELECT *
FROM (SELECT SNAP_ID, SNAP_LEVEL,
TO_CHAR(BEGIN_INTERVAL_TIME, 'DD/MM/YY HH24:MI:SS') BEGIN
FROM DBA_HIST_SNAPSHOT
ORDER BY SNAP_ID DESC)
WHERE ROWNUM <= 3;
SNAP_ID SNAP_LEVEL BEGIN
---------- ---------- -----------------
212 1 10/12/15 06:00:02
211 1 10/12/15 05:00:11
210 1 10/12/15 04:00:59
2. Query
sh.sales
, using the
LOAD_AWR
tag to identify the SQL statement.
For example, use the following query:
SELECT /*LOAD_AWR*/ *
FROM sh.sales
WHERE quantity_sold > 40
ORDER BY prod_id;
3. Take a new AWR snapshot.
For example, use the following program:
EXEC DBMS_WORKLOAD_REPOSITORY.CREATE_SNAPSHOT;
4. Query the most recent 3 AWR snapshots to confirm that a new snapshot was
taken.
For example, query
DBA_HIST_SNAPSHOT
as follows:
SELECT *
FROM (SELECT SNAP_ID, SNAP_LEVEL,
TO_CHAR(BEGIN_INTERVAL_TIME, 'DD/MM/YY HH24:MI:SS') BEGIN
FROM DBA_HIST_SNAPSHOT
ORDER BY SNAP_ID DESC)
WHERE ROWNUM <= 3;
SNAP_ID SNAP_LEVEL BEGIN
---------- ---------- -----------------
213 1 10/12/15 06:24:53
212 1 10/12/15 06:00:02
211 1 10/12/15 05:00:11
5. Load the plans for the most recent 2 snapshots from AWR.
Chapter 29
Loading SQL Plan Baselines
29-16

For example, execute the
LOAD_PLANS_FROM_AWR
function in SQL*Plus to load the
plans from snapshot
212
to
213
:
VARIABLE v_plan_cnt NUMBER
EXEC :v_plan_cnt := DBMS_SPM.LOAD_PLANS_FROM_AWR(begin_snap => 212, end_snap =>
213);
In the preceding example, the variable
v_plan_cnt
contains the number of plans
that were loaded.
6. Query the data dictionary to ensure that the plans were loaded into the baseline
for the
LOAD_AWR
statement.
The following statement queries
DBA_SQL_PLAN_BASELINES
(sample output included):
COL SQL_HANDLE FORMAT a20
COL SQL_TEXT FORMAT a20
COL PLAN_NAME FORMAT a30
COL ORIGIN FORMAT a20
SELECT SQL_HANDLE, SQL_TEXT, PLAN_NAME,
ORIGIN, ENABLED, ACCEPTED
FROM DBA_SQL_PLAN_BASELINES
WHERE SQL_TEXT LIKE '%LOAD_AWR%';
SQL_HANDLE SQL_TEXT PLAN_NAME ORIGIN ENA ACC
-------------------- ----------------- ------------------------------ -------------------- --- ---
SQL_495d29c5f4612cda SELECT /*LOAD_AWR SQL_PLAN_4kr99sru62b6u54bc8843 MANUAL-LOAD-FROM-AWR YES YES
*/ * FROM
sh.sales WHERE
quantity_sold
> 40
ORDER BY prod_id
The output shows that the plan is accepted, which means that it is in the plan
baseline for the statement. Also, the origin is
MANUAL-LOAD-FROM-AWR
, which means
that the statement was loaded manually from AWR rather than automatically
captured.
29.4.3 Loading Plans from the Shared SQL Area
This topic explains how to load plans from the shared SQL area, also called the cursor
cache, using PL/SQL.
Load plans with the
LOAD_PLANS_FROM_CURSOR_CACHE
function of the
DBMS_SPM
package.
The following table describes some function parameters.
Table 29-6 LOAD_PLANS_FROM_CURSOR_CACHE Parameters
Function Parameter Description
sql_id
SQL statement identifier. Identifies a SQL statement in the shared SQL
area.
fixed
Default
NO
means the loaded plans are used as nonfixed plans.
YES
means the loaded plans are fixed plans. "Plan Selection" explains that
the optimizer chooses a fixed plan in the plan baseline over a nonfixed
plan.
Chapter 29
Loading SQL Plan Baselines
29-17

This section explains how to load plans using the command line. In Cloud Control, go
to the SQL Plan Baseline subpage (shown in Figure 29-1) and click Load to load plan
baselines from the shared SQL area.
This tutorial assumes the following:
•You have executed the following query:
SELECT /*LOAD_CC*/ *
FROM sh.sales
WHERE quantity_sold > 40
ORDER BY prod_id;
•You want the loaded plans to be nonfixed.
To load plans from the shared SQL area:
1. Connect SQL*Plus to the database with the appropriate privileges, and then
determine the SQL IDs of the relevant statements in the shared SQL area.
For example, query
V$SQL
for the SQL ID of the
sh.sales
query (sample output
included):
SELECT SQL_ID, CHILD_NUMBER AS "Child Num",
PLAN_HASH_VALUE AS "Plan Hash",
OPTIMIZER_ENV_HASH_VALUE AS "Opt Env Hash"
FROM V$SQL
WHERE SQL_TEXT LIKE 'SELECT /*LOAD_CC*/%';
SQL_ID Child Num Plan Hash Opt Env Hash
------------- ---------- ---------- ------------
27m0sdw9snw59 0 1421641795 3160571937
The preceding output shows that the SQL ID of the statement is
27m0sdw9snw59
.
2. Load the plans for the specified statements into the SQL plan baseline.
For example, execute the
LOAD_PLANS_FROM_CURSOR_CACHE
function in SQL*Plus to
load the plan for the statement with the SQL ID
27m0sdw9snw59
:
VARIABLE v_plan_cnt NUMBER
EXECUTE :v_plan_cnt := DBMS_SPM.LOAD_PLANS_FROM_CURSOR_CACHE(sql_id =>
'27m0sdw9snw59');
In the preceding example, the variable
v_plan_cnt
contains the number of plans
that were loaded.
3. Query the data dictionary to ensure that the plans were loaded into the baseline
for the statement.
The following statement queries
DBA_SQL_PLAN_BASELINES
(sample output included):
SELECT SQL_HANDLE, SQL_TEXT, PLAN_NAME,
ORIGIN, ENABLED, ACCEPTED
FROM DBA_SQL_PLAN_BASELINES;
SQL_HANDLE SQL_TEXT PLAN_NAME ORIGIN ENA ACC
--------------------- -------------------- --------------------- ------------------- --- ---
SQL_a8632bd857a4a25e SELECT /*LOAD_CC*/ SQL_PLAN_gdkvzfhrgkda MANUAL-LOAD-FROM-CC YES YES
* 71694fc6b
FROM sh.sales
WHERE quantity_sold
> 40
ORDER BY prod_id
Chapter 29
Loading SQL Plan Baselines
29-18

The output shows that the plan is accepted, which means that it is in the plan
baseline for the statement. Also, the origin is
MANUAL-LOAD-FROM-CC
, which means
that the statement was loaded manually from the shared SQL area rather than
automatically captured.
29.4.4 Loading Plans from a SQL Tuning Set
A SQL tuning set (STS) is a database object that includes one or more SQL
statements, execution statistics, and execution context. This topic explains how to load
plans from an STS.
Load plans with the
DBMS_SPM.LOAD_PLANS_FROM_SQLSET
function or using Cloud Control.
The following table describes some function parameters.
Table 29-7 LOAD_PLANS_FROM_SQLSET Parameters
Function
Parameter
Description
sqlset_name
Name of the STS from which the plans are loaded into SQL plan baselines.
basic_filter
A filter applied to the STS to select only qualifying plans to be loaded. The
filter can take the form of any
WHERE
clause predicate that can be specified
against the view
DBA_SQLSET_STATEMENTS
. An example is
basic_filter =>
'sql_text like ''SELECT /*LOAD_STS*/%'''
.
fixed
Default
NO
means the loaded plans are used as nonfixed plans.
YES
means
the loaded plans are fixed plans. "Plan Selection" explains that the
optimizer chooses a fixed plan in the plan baseline over a nonfixed plan.
This section explains how to load plans from the command line. In Cloud Control, go to
the SQL Plan Baseline subpage (shown in Figure 29-1) and click Load to load plan
baselines from SQL tuning sets.
Assumptions
This tutorial assumes the following:
•You want the loaded plans to be nonfixed.
•You have executed the following query:
SELECT /*LOAD_STS*/ *
FROM sh.sales
WHERE quantity_sold > 40
ORDER BY prod_id;
•You have loaded the plan from the shared SQL area into the SQL tuning set
named
SPM_STS
, which is owned by user
SPM
.
•After the operation, you want to drop the STS using
DBMS_SQLTUNE.DROP_SQLSET
rather than the equivalent D
BMS_SQLSET.DROP_SQLSET
.
To load plans from a SQL tuning set:
1. Connect SQL*Plus to the database with the appropriate privileges, and then verify
which plans are in the SQL tuning set.
For example, query
DBA_SQLSET_STATEMENTS
for the STS name (sample output
included):
Chapter 29
Loading SQL Plan Baselines
29-19

SELECT SQL_TEXT
FROM DBA_SQLSET_STATEMENTS
WHERE SQLSET_NAME = 'SPM_STS';
SQL_TEXT
--------------------
SELECT /*LOAD_STS*/
*
FROM sh.sales
WHERE quantity_sold
> 40
ORDER BY prod_id
The output shows that the plan for the
select /*LOAD_STS*/
statement is in the
STS.
2. Load the plan from the STS into the SQL plan baseline.
For example, in SQL*Plus execute the function as follows:
VARIABLE v_plan_cnt NUMBER
EXECUTE :v_plan_cnt := DBMS_SPM.LOAD_PLANS_FROM_SQLSET( -
sqlset_name => 'SPM_STS', -
basic_filter => 'sql_text like ''SELECT /*LOAD_STS*/%''' );
The
basic_filter
parameter specifies a
WHERE
clause that loads only the plans for
the queries of interest. The variable
v_plan_cnt
stores the number of plans loaded
from the STS.
3. Query the data dictionary to ensure that the plan was loaded into the baseline for
the statement.
The following statement queries the
DBA_SQL_PLAN_BASELINES
view (sample output
included).
SQL> SELECT SQL_HANDLE, SQL_TEXT, PLAN_NAME,
2 ORIGIN, ENABLED, ACCEPTED
3 FROM DBA_SQL_PLAN_BASELINES;
SQL_HANDLE SQL_TEXT PLAN_NAME ORIGIN ENA ACC
--------------------- --------------- ---------------- -------------------- --- ---
SQL_a8632bd857a4a25e SELECT SQL_PLAN_ahstb MANUAL-LOAD-FROM-STS YES YES
/*LOAD_STS*/* v1bu98ky1694fc6b
FROM sh.sales
WHERE
quantity_sold
> 40 ORDER BY
prod_id
The output shows that the plan is accepted, which means that it is in the plan
baseline. Also, the origin is
MANUAL-LOAD-FROM-STS
, which means that the plan was
loaded manually from a SQL tuning set rather than automatically captured.
4. Optionally, drop the STS.
For example, execute
DBMS_SQLTUNE.DROP_SQLSET
to drop the
SPM_STS
tuning set as
follows:
EXEC SYS.DBMS_SQLTUNE.DROP_SQLSET( sqlset_name => 'SPM_STS', -
sqlset_owner => 'SPM' );
Chapter 29
Loading SQL Plan Baselines
29-20

29.4.5 Loading Plans from a Staging Table
You may want to transfer optimal plans from a source database to a different
destination database.
For example, you may have investigated a set of plans on a test database and
confirmed that they have performed well. You may then want to load these plans into a
production database.
A staging table is a table that, for the duration of its existence, stores plans so that the
plans do not disappear from the table while you are unpacking them. Use the
DBMS_SPM.CREATE_STGTAB_BASELINE
procedure to create a staging table. To pack (insert
row into) and unpack (extract rows from) the staging table, use the
PACK_STGTAB_BASELINE
and
UNPACK_STGTAB_BASELINE
functions of the
DBMS_SPM
package.
Oracle Data Pump Import and Export enable you to copy the staging table to a
different database.
Figure 29-2 Loading Plans from a Staging Table
Destination Host
Source Host
1
1
1
4
Transfer Dump File
to Destination Host
Source Database Destination Database
1
Staging Table
SQL
Management
Base
SQL Plan
Baselines
1
1
1
2
Pack
3
Data Pump
Export
.dump
file
SQL
Management
Base
SQL Plan
Baselines
1
1
1
6
Unpack
5
Data Pump
Import
.dump
file
Staging Table
Export plans with the
PACK_STGTAB_BASELINE
function of the
DBMS_SPM
package, and then
import them with
UNPACK_STGTAB_BASELINE
. The following table describes some function
parameters.
Table 29-8 PACK_STGTAB_BASELINE and UNPACK_STGTAB_BASELINE
Parameters
Function Parameter Description
table_name
Specifies the table to be imported or exported.
Chapter 29
Loading SQL Plan Baselines
29-21

Table 29-8 (Cont.) PACK_STGTAB_BASELINE and
UNPACK_STGTAB_BASELINE Parameters
Function Parameter Description
origin
Origin of SQL plan baseline. These procedures accept all possible
values of
DBA_SQL_PLAN_BASELINES.ORIGIN
as the
origin
argument.
For example, the
origin
parameter permits
MANUAL-LOAD-FROM-STS
,
MANUAL-LOAD-FROM-AWR
, and
MANUAL-LOAD-FROM-CC
.
This tutorial assumes the following:
•You want to create a staging table named
stage1
in the source database.
•You want to load all plans owned by user
spm
into the staging table.
•You want to transfer the staging table to a destination database.
•You want to load the plans in
stage1
as fixed plans.
To transfer a set of SQL plan baselines from one database to another:
1. Connect SQL*Plus to the source database with the appropriate privileges, and
then create a staging table using the
CREATE_STGTAB_BASELINE
procedure.
The following example creates a staging table named
stage1
:
BEGIN
DBMS_SPM.CREATE_STGTAB_BASELINE (
table_name => 'stage1');
END;
/
2. On the source database, pack the SQL plan baselines you want to export from the
SQL management base into the staging table.
The following example packs enabled plan baselines created by user
spm
into
staging table
stage1
. Select SQL plan baselines using the plan name (
plan_name
),
SQL handle (
sql_handle
), or any other plan criteria. The
table_name
parameter is
mandatory.
DECLARE
v_plan_cnt NUMBER;
BEGIN
v_plan_cnt := DBMS_SPM.PACK_STGTAB_BASELINE (
table_name => 'stage1'
, enabled => 'yes'
, creator => 'spm'
);
END;
/
3. Export the staging table
stage1
into a dump file using Oracle Data Pump Export.
4. Transfer the dump file to the host of the destination database.
5. On the destination database, import the staging table
stage1
from the dump file
using the Oracle Data Pump Import utility.
6. On the destination database, unpack the SQL plan baselines from the staging
table into the SQL management base.
Chapter 29
Loading SQL Plan Baselines
29-22

The following example unpacks all fixed plan baselines stored in the staging table
stage1
:
DECLARE
v_plan_cnt NUMBER;
BEGIN
v_plan_cnt := DBMS_SPM.UNPACK_STGTAB_BASELINE (
table_name => 'stage1'
, fixed => 'yes'
);
END;
/
29.5 Evolving SQL Plan Baselines Manually
You can use PL/SQL or Cloud Control to manually evolve an unaccepted plan to
determine whether it performs better than any plan currently in the plan baseline.
This section contains the following topics:
•About the DBMS_SPM Evolve Functions
This topic describes the most relevant
DBMS_SPM
functions for managing plan
evolution. Execute evolution tasks manually or schedule them to run automatically.
•Managing an Evolve Task
This topic describes a typical use case in which you create and execute a task,
and then implement its recommendations.
See Also:
"Managing the SPM Evolve Advisor Task"
29.5.1 About the DBMS_SPM Evolve Functions
This topic describes the most relevant
DBMS_SPM
functions for managing plan evolution.
Execute evolution tasks manually or schedule them to run automatically.
Table 29-9 DBMS_SPM Functions and Procedures for Managing Plan Evolution
Tasks
Procedure or Function Description
ACCEPT_SQL_PLAN_BASELINE
This function accepts one recommendation to
evolve a single plan into a SQL plan baseline.
CREATE_EVOLVE_TASK
This function creates an advisor task to prepare
the plan evolution of one or more plans for a
specified SQL statement. The input parameters
can be a SQL handle, plan name or a list of plan
names, time limit, task name, and description.
Chapter 29
Evolving SQL Plan Baselines Manually
29-23

Table 29-9 (Cont.) DBMS_SPM Functions and Procedures for Managing Plan
Evolution Tasks
Procedure or Function Description
EXECUTE_EVOLVE_TASK
This function executes an evolution task. The
input parameters can be the task name,
execution name, and execution description. If
not specified, the advisor generates the name,
which is returned by the function.
IMPLEMENT_EVOLVE_TASK
This function implements all recommendations
for an evolve task. Essentially, this function is
equivalent to using
ACCEPT_SQL_PLAN_BASELINE
for all recommended plans. Input parameters
include task name, plan name, owner name,
and execution name.
REPORT_EVOLVE_TASK
This function displays the results of an evolve
task as a
CLOB
. Input parameters include the
task name and section of the report to include.
SET_EVOLVE_TASK_PARAMETER
This function updates the value of an evolve
task parameter. In this release, the only valid
parameter is
TIME_LIMIT
.
Oracle recommends that you configure SPM Evolve Advisor to run automatically. You
can also evolve SQL plan baselines manually. The following graphic shows the basic
workflow for managing SQL plan management tasks.
Figure 29-3 Evolving SQL Plan Baselines
DBMS_SPM.CREATE_EVOLVE_TASK
DBMS_SPM.EXECUTE_EVOLVE_TASK
DBMS_SPM.IMPLEMENT_EVOLVE_TASK
DBMS_SPM.REPORT_EVOLVE_TASK
DBMS_SPM.SET_EVOLVE_TASK_PARAMETER
Typically, you manage SQL plan evolution tasks in the following sequence:
1. Create an evolve task
2. Optionally, set evolve task parameters
3. Execute the evolve task
Chapter 29
Evolving SQL Plan Baselines Manually
29-24

4. Implement the recommendations in the task
5. Report on the task outcome
29.5.2 Managing an Evolve Task
This topic describes a typical use case in which you create and execute a task, and
then implement its recommendations.
The following table describes some parameters of the
CREATE_EVOLVE_TASK
function.
Table 29-10 DBMS_SPM.CREATE_EVOLVE_TASK Parameters
Function Parameter Description
sql_handle
SQL handle of the statement. The default
NULL
considers all SQL
statements with unaccepted plans.
plan_name
Plan identifier. The default
NULL
means consider all unaccepted plans
of the specified SQL handle or all SQL statements if the SQL handle is
NULL
.
time_limit
Time limit in number of minutes. The time limit for first unaccepted plan
equals the input value. The time limit for the second unaccepted plan
equals the input value minus the time spent in first plan verification,
and so on. The default
DBMS_SPM.AUTO_LIMIT
means let the system
choose an appropriate time limit based on the number of plan
verifications required to be done.
task_name
User-specified name of the evolution task.
This section explains how to evolve plan baselines from the command line. In Cloud
Control, from the SQL Plan Baseline subpage, select a plan, and then click Evolve.
This tutorial assumes the following:
•You do not have the automatic evolve task enabled.
•You want to create a SQL plan baseline for the following query:
SELECT /* q1_group_by */ prod_name, sum(quantity_sold)
FROM products p, sales s
WHERE p.prod_id = s.prod_id
AND p.prod_category_id =203
GROUP BY prod_name;
•You want to create two indexes to improve the query performance, and then
evolve the plan that uses these indexes if it performs better than the plan currently
in the plan baseline.
To evolve a specified plan:
1. Perform the initial setup as follows:
a. Connect SQL*Plus to the database with administrator privileges, and then
prepare for the tutorial by flushing the shared pool and the buffer cache:
ALTER SYSTEM FLUSH SHARED_POOL;
ALTER SYSTEM FLUSH BUFFER_CACHE;
b. Enable the automatic capture of SQL plan baselines.
Chapter 29
Evolving SQL Plan Baselines Manually
29-25

For example, enter the following statement:
ALTER SYSTEM SET OPTIMIZER_CAPTURE_SQL_PLAN_BASELINES=true;
c. Connect to the database as user
sh
, and then set SQL*Plus display
parameters:
CONNECT sh
-- enter password
SET PAGES 10000 LINES 140
SET SERVEROUTPUT ON
COL SQL_TEXT FORMAT A20
COL SQL_HANDLE FORMAT A20
COL PLAN_NAME FORMAT A30
COL ORIGIN FORMAT A12
SET LONGC 60535
SET LONG 60535
SET ECHO ON
2. Execute the
SELECT
statements so that SQL plan management captures them:
a. Execute the
SELECT /* q1_group_by */
statement for the first time.
Because the database only captures plans for repeatable statements, the plan
baseline for this statement is empty.
b. Query the data dictionary to confirm that no plans exist in the plan baseline.
For example, execute the following query (sample output included):
SELECT SQL_HANDLE, SQL_TEXT, PLAN_NAME, ORIGIN, ENABLED,
ACCEPTED, FIXED, AUTOPURGE
FROM DBA_SQL_PLAN_BASELINES
WHERE SQL_TEXT LIKE '%q1_group%';
no rows selected
SQL plan management only captures repeatable statements, so this result is
expected.
c. Execute the
SELECT /* q1_group_by */
statement for the second time.
3. Query the data dictionary to ensure that the plans were loaded into the plan
baseline for the statement.
The following statement queries
DBA_SQL_PLAN_BASELINES
(sample output included):
SELECT SQL_HANDLE, SQL_TEXT, PLAN_NAME,
ORIGIN, ENABLED, ACCEPTED, FIXED
FROM DBA_SQL_PLAN_BASELINES
WHERE SQL_TEXT LIKE '%q1_group%';
SQL_HANDLE SQL_TEXT PLAN_NAME ORIGIN ENA ACC FIX
-------------------- ---------------- ------------------------------ ------------ --- --- ---
SQL_07f16c76ff893342 SELECT /* q1_gro SQL_PLAN_0gwbcfvzskcu242949306 AUTO-CAPTURE YES YES NO
up_by */ prod_na
me, sum(quantity
_sold) FROM
products p,
sales s WHERE
p.prod_id =
s.prod_id AND
p.prod_category
_id =203 GROUP
BY prod_name
Chapter 29
Evolving SQL Plan Baselines Manually
29-26

The output shows that the plan is accepted, which means that it is in the plan
baseline for the statement. Also, the origin is
AUTO-CAPTURE
, which means that the
statement was automatically captured and not manually loaded.
4. Explain the plan for the statement and verify that the optimizer is using this plan.
For example, explain the plan as follows, and then display it:
EXPLAIN PLAN FOR
SELECT /* q1_group_by */ prod_name, sum(quantity_sold)
FROM products p, sales s
WHERE p.prod_id = s.prod_id
AND p.prod_category_id =203
GROUP BY prod_name;
SELECT * FROM TABLE(DBMS_XPLAN.DISPLAY(null, null, 'basic +note'));
Sample output appears below:
Plan hash value: 1117033222
------------------------------------------
| Id | Operation | Name |
------------------------------------------
| 0 | SELECT STATEMENT | |
| 1 | HASH GROUP BY | |
| 2 | HASH JOIN | |
| 3 | TABLE ACCESS FULL | PRODUCTS |
| 4 | PARTITION RANGE ALL| |
| 5 | TABLE ACCESS FULL | SALES |
------------------------------------------
Note
-----
- SQL plan baseline "SQL_PLAN_0gwbcfvzskcu242949306" used for this statement
The note indicates that the optimizer is using the plan shown with the plan name
listed in the previous step.
5. Create two indexes to improve the performance of the
SELECT /* q1_group_by */
statement.
For example, use the following statements:
CREATE INDEX ind_prod_cat_name
ON products(prod_category_id, prod_name, prod_id);
CREATE INDEX ind_sales_prod_qty_sold
ON sales(prod_id, quantity_sold);
6. Execute the
select /* q1_group_by */
statement again.
Because automatic capture is enabled, the plan baseline is populated with the new
plan for this statement.
7. Query the data dictionary to ensure that the plan was loaded into the SQL plan
baseline for the statement.
The following statement queries
DBA_SQL_PLAN_BASELINES
(sample output included).
SELECT SQL_HANDLE, SQL_TEXT, PLAN_NAME, ORIGIN, ENABLED, ACCEPTED
FROM DBA_SQL_PLAN_BASELINES
WHERE SQL_HANDLE IN ('SQL_07f16c76ff893342')
ORDER BY SQL_HANDLE, ACCEPTED;
Chapter 29
Evolving SQL Plan Baselines Manually
29-27

SQL_HANDLE SQL_TEXT PLAN_NAME ORIGIN ENA ACC
-------------------- -------------------- ------------------------------ ------------ --- ---
SQL_07f16c76ff893342 SELECT /* q1_group_b SQL_PLAN_0gwbcfvzskcu20135fd6c AUTO-CAPTURE YES NO
y */ prod_name, sum(
quantity_sold)
FROM products p, s
ales s
WHERE p.prod_id = s
.prod_id
AND p.prod_catego
ry_id =203
GROUP BY prod_name
SQL_07f16c76ff893342 SELECT /* q1_group_b SQL_PLAN_0gwbcfvzskcu242949306 AUTO-CAPTURE YES YES
y */ prod_name, sum(
quantity_sold)
FROM products p, s
ales s
WHERE p.prod_id = s
.prod_id
AND p.prod_catego
ry_id =203
GROUP BY prod_name
The output shows that the new plan is unaccepted, which means that it is in the
statement history but not the SQL plan baseline.
8. Explain the plan for the statement and verify that the optimizer is using the original
nonindexed plan.
For example, explain the plan as follows, and then display it:
EXPLAIN PLAN FOR
SELECT /* q1_group_by */ prod_name, sum(quantity_sold)
FROM products p, sales s
WHERE p.prod_id = s.prod_id
AND p.prod_category_id =203
GROUP BY prod_name;
SELECT * FROM TABLE(DBMS_XPLAN.DISPLAY(null, null, 'basic +note'));
Sample output appears below:
Plan hash value: 1117033222
------------------------------------------
| Id | Operation | Name |
------------------------------------------
| 0 | SELECT STATEMENT | |
| 1 | HASH GROUP BY | |
| 2 | HASH JOIN | |
| 3 | TABLE ACCESS FULL | PRODUCTS |
| 4 | PARTITION RANGE ALL| |
| 5 | TABLE ACCESS FULL | SALES |
------------------------------------------
Note
-----
- SQL plan baseline "SQL_PLAN_0gwbcfvzskcu242949306" used for this statement
The note indicates that the optimizer is using the plan shown with the plan name
listed in Step 3.
Chapter 29
Evolving SQL Plan Baselines Manually
29-28

9. Connect as an administrator, and then create an evolve task that considers all
SQL statements with unaccepted plans.
For example, execute the
DBMS_SPM.CREATE_EVOLVE_TASK
function and then obtain
the name of the task:
CONNECT / AS SYSDBA
VARIABLE cnt NUMBER
VARIABLE tk_name VARCHAR2(50)
VARIABLE exe_name VARCHAR2(50)
VARIABLE evol_out CLOB
EXECUTE :tk_name := DBMS_SPM.CREATE_EVOLVE_TASK(
sql_handle => 'SQL_07f16c76ff893342',
plan_name => 'SQL_PLAN_0gwbcfvzskcu20135fd6c');
SELECT :tk_name FROM DUAL;
The following sample output shows the name of the task:
:EVOL_OUT
--------------------------------------------------------------------------
TASK_11
Now that the task has been created and has a unique name, execute the task.
10. Execute the task.
For example, execute the
DBMS_SPM.EXECUTE_EVOLVE_TASK
function (sample output
included):
EXECUTE :exe_name :=DBMS_SPM.EXECUTE_EVOLVE_TASK(task_name=>:tk_name);
SELECT :exe_name FROM DUAL;
:EXE_NAME
---------------------------------------------------------------------------
EXEC_1
11. View the report.
For example, execute the
DBMS_SPM.REPORT_EVOLVE_TASK
function (sample output
included):
EXECUTE :evol_out := DBMS_SPM.REPORT_EVOLVE_TASK( task_name=>:tk_name,
execution_name=>:exe_name );
SELECT :evol_out FROM DUAL;
GENERAL INFORMATION SECTION
--------------------------------------------------------------------------
Task Information:
---------------------------------------------
Task Name : TASK_11
Task Owner : SYS
Execution Name : EXEC_1
Execution Type : SPM EVOLVE
Scope : COMPREHENSIVE
Status : COMPLETED
Started : 01/09/2012 12:21:27
Finished : 01/09/2012 12:21:29
Last Updated : 01/09/2012 12:21:29
Global Time Limit : 2147483646
Per-Plan Time Limit : UNUSED
Chapter 29
Evolving SQL Plan Baselines Manually
29-29

Number of Errors : 0
---------------------------------------------------------------------------
SUMMARY SECTION
---------------------------------------------------------------------------
Number of plans processed : 1
Number of findings : 1
Number of recommendations : 1
Number of errors : 0
---------------------------------------------------------------------------
DETAILS SECTION
---------------------------------------------------------------------------
Object ID : 2
Test Plan Name : SQL_PLAN_0gwbcfvzskcu20135fd6c
Base Plan Name : SQL_PLAN_0gwbcfvzskcu242949306
SQL Handle : SQL_07f16c76ff893342
Parsing Schema : SH
Test Plan Creator : SH
SQL Text : SELECT /*q1_group_by*/ prod_name,
sum(quantity_sold)
FROM products p, sales s
WHERE p.prod_id=s.prod_id AND p.prod_category_id=203
GROUP BY prod_name
Execution Statistics:
-----------------------------
Base Plan Test Plan
---------------------------- ------------------------
Elapsed Time (s): .044336 .012649
CPU Time (s): .044003 .012445
Buffer Gets: 360 99
Optimizer Cost: 924 891
Disk Reads: 341 82
Direct Writes: 0 0
Rows Processed: 4 2
Executions: 5 9
FINDINGS SECTION
---------------------------------------------------------------------------
Findings (1):
-----------------------------
1. The plan was verified in 2.18 seconds. It passed the benefit criterion
because its verified performance was 2.01 times better than that of the
baseline plan.
Recommendation:
-----------------------------
Consider accepting the plan. Execute
dbms_spm.accept_sql_plan_baseline(task_name => 'TASK_11', object_id => 2,
task_owner => 'SYS');
EXPLAIN PLANS SECTION
---------------------------------------------------------------------------
Baseline Plan
-----------------------------
Plan Id : 1
Plan Hash Value : 1117033222
Chapter 29
Evolving SQL Plan Baselines Manually
29-30

---------------------------------------------------------------------------
| Id| Operation | Name | Rows | Bytes |Cost | Time |
---------------------------------------------------------------------------
| 0 | SELECT STATEMENT | | 21 | 861 | 924 | 00:00:12|
| 1 | HASH GROUP BY | | 21 | 861 | 924 | 00:00:12|
| *2| HASH JOIN | |267996|10987836 | 742 | 00:00:09|
| *3| TABLE ACCESS FULL | PRODUCTS | 21 | 714 | 2 | 00:00:01|
| 4 | PARTITION RANGE ALL | |918843| 6431901 | 662 | 00:00:08|
| 5 | TABLE ACCESS FULL | SALES |918843| 6431901 | 662 | 00:00:08|
---------------------------------------------------------------------------
Predicate Information (identified by operation id):
------------------------------------------
* 2 - access("P"."PROD_ID"="S"."PROD_ID")
* 3 - filter("P"."PROD_CATEGORY_ID"=203)
Test Plan
-----------------------------
Plan Id : 2
Plan Hash Value : 20315500
---------------------------------------------------------------------------
|Id| Operation | Name | Rows | Bytes | Cost| Time |
---------------------------------------------------------------------------
| 0|SELECT STATEMENT | | 21| 861|891|00:00:11|
| 1| SORT GROUP BY NOSORT| | 21| 861|891|00:00:11|
| 2| NESTED LOOPS | |267996|10987836|891|00:00:11|
|*3| INDEX RANGE SCAN |IND_PROD_CAT_NAME | 21| 714| 1|00:00:01|
|*4| INDEX RANGE SCAN |IND_SALES_PROD_QTY| 12762| 89334| 42|00:00:01|
---------------------------------------------------------------------------
Predicate Information (identified by operation id):
------------------------------------------
* 3 - access("P"."PROD_CATEGORY_ID"=203)
* 4 - access("P"."PROD_ID"="S"."PROD_ID")
This report indicates that the new execution plan, which uses the two new indexes,
performs better than the original plan.
12. Implement the recommendations of the evolve task.
For example, execute the
IMPLEMENT_EVOLVE_TASK
function:
EXECUTE :cnt := DBMS_SPM.IMPLEMENT_EVOLVE_TASK( task_name=>:tk_name,
execution_name=>:exe_name );
13. Query the data dictionary to ensure that the new plan is accepted.
The query provides the following sample output:
SELECT SQL_HANDLE, SQL_TEXT, PLAN_NAME, ORIGIN, ENABLED, ACCEPTED
FROM DBA_SQL_PLAN_BASELINES
WHERE SQL_HANDLE IN ('SQL_07f16c76ff893342')
ORDER BY SQL_HANDLE, ACCEPTED;
SQL_HANDLE SQL_TEXT PLAN_NAME ORIGIN ENA ACC
-------------------- -------------------- ------------------------------ ------------ --- ---
SQL_07f16c76ff893342 SELECT /* q1_group_b SQL_PLAN_0gwbcfvzskcu20135fd6c AUTO-CAPTURE YES YES
y */ prod_name, sum(
quantity_sold)
FROM products p, s
ales s
Chapter 29
Evolving SQL Plan Baselines Manually
29-31

WHERE p.prod_id = s
.prod_id
AND p.prod_catego
ry_id =203
GROUP BY prod_name
SQL_07f16c76ff893342 SELECT /* q1_group_b SQL_PLAN_0gwbcfvzskcu242949306 AUTO-CAPTURE YES YES
y */ prod_name, sum(
quantity_sold)
FROM products p, s
ales s
WHERE p.prod_id = s
.prod_id
AND p.prod_catego
ry_id =203
GROUP BY prod_name
The output shows that the new plan is accepted.
14. Clean up after the example.
For example, enter the following statements:
EXEC :cnt := DBMS_SPM.DROP_SQL_PLAN_BASELINE('SQL_07f16c76ff893342');
EXEC :cnt := DBMS_SPM.DROP_SQL_PLAN_BASELINE('SQL_9049245213a986b3');
EXEC :cnt := DBMS_SPM.DROP_SQL_PLAN_BASELINE('SQL_bb77077f5f90a36b');
EXEC :cnt := DBMS_SPM.DROP_SQL_PLAN_BASELINE('SQL_02a86218930bbb20');
DELETE FROM SQLLOG$;
CONNECT sh
-- enter password
DROP INDEX IND_SALES_PROD_QTY_SOLD;
DROP INDEX IND_PROD_CAT_NAME;
29.6 Dropping SQL Plan Baselines
You can remove some or all plans from a SQL plan baseline. This technique is
sometimes useful when testing SQL plan management.
Drop plans with the
DBMS_SPM.DROP_SQL_PLAN_BASELINE
function. This function returns the
number of dropped plans. The following table describes input parameters.
Table 29-11 DROP_SQL_PLAN_BASELINE Parameters
Function
Parameter
Description
sql_handle
SQL statement identifier.
plan_name
Name of a specific plan. Default
NULL
drops all plans associated with the
SQL statement identified by
sql_handle
.
This section explains how to drop baselines from the command line. In Cloud Control,
from the SQL Plan Baseline subpage, select a plan, and then click Drop.
This tutorial assumes that you want to drop all plans for the following SQL statement,
effectively dropping the SQL plan baseline:
SELECT /* repeatable_sql */ COUNT(*) FROM hr.jobs;
Chapter 29
Dropping SQL Plan Baselines
29-32

To drop a SQL plan baseline:
1. Connect SQL*Plus to the database with the appropriate privileges, and then query
the data dictionary for the plan baseline.
The following statement queries
DBA_SQL_PLAN_BASELINES
(sample output included):
SQL> SELECT SQL_HANDLE, SQL_TEXT, PLAN_NAME, ORIGIN,
2 ENABLED, ACCEPTED
3 FROM DBA_SQL_PLAN_BASELINES
4 WHERE SQL_TEXT LIKE 'SELECT /* repeatable_sql%';
SQL_HANDLE SQL_TEXT PLAN_NAME ORIGIN ENA ACC
-------------------- -------------------- ------------------------------ -------------- --- ---
SQL_b6b0d1c71cd1807b SELECT /* repeatable SQL_PLAN_bdc6jswfd303v2f1e9c20 AUTO-CAPTURE YES YES
_sql */ count(*) fro
m hr.jobs
2. Drop the SQL plan baseline for the statement.
The following example drops the plan baseline with the SQL handle
SQL_b6b0d1c71cd1807b
, and returns the number of dropped plans. Specify plan
baselines using the plan name (
plan_name
), SQL handle (
sql_handle
), or any other
plan criteria. The
table_name
parameter is mandatory.
DECLARE
v_dropped_plans number;
BEGIN
v_dropped_plans := DBMS_SPM.DROP_SQL_PLAN_BASELINE (
sql_handle => 'SQL_b6b0d1c71cd1807b'
);
DBMS_OUTPUT.PUT_LINE('dropped ' || v_dropped_plans || ' plans');
END;
/
3. Confirm that the plans were dropped.
For example, execute the following query:
SELECT SQL_HANDLE, SQL_TEXT, PLAN_NAME, ORIGIN,
ENABLED, ACCEPTED
FROM DBA_SQL_PLAN_BASELINES
WHERE SQL_TEXT LIKE 'SELECT /* repeatable_sql%';
no rows selected
29.7 Managing the SQL Management Base
The SQL management base is a part of the data dictionary that resides in the
SYSAUX
tablespace. It stores statement logs, plan histories, SQL plan baselines, and SQL
profiles.
This section contains the following topics:
•About Managing the SMB
Use the
DBMS_SPM.CONFIGURE
procedure to set configuration options for the SMB and
the maintenance of SQL plan baselines.
•Changing the Disk Space Limit for the SMB
A weekly background process measures the total space occupied by the SMB.
Chapter 29
Managing the SQL Management Base
29-33

•Changing the Plan Retention Policy in the SMB
A weekly scheduled purging task manages disk space used by SQL plan
management.
29.7.1 About Managing the SMB
Use the
DBMS_SPM.CONFIGURE
procedure to set configuration options for the SMB and the
maintenance of SQL plan baselines.
The
DBA_SQL_MANAGEMENT_CONFIG
view shows the current configuration settings for the
SMB. The following table describes the parameters in the
PARAMETER_NAME
column.
Table 29-12 Parameters in
DBA_SQL_MANAGEMENT_CONFIG.PARAMETER_NAME
Parameter Description
SPACE_BUDGET_PERCENT
Maximum percent of
SYSAUX
space that the SQL
management base can use. The default is 10. The
allowable range for this limit is between 1% and 50%.
PLAN_RETENTION_WEEKS
Number of weeks to retain unused plans before they are
purged. The default is 53.
AUTO_CAPTURE_PARSING_SCHEMA_N
AME
A list of the form
(% LIKE a OR % LIKE b ...) AND (%
NOT LIKE c AND % NOT LIKE d ...)
, which is the internal
representation of the parsing schema name filter. If no
parsing schema filters exist, then one side of the outer
conjunction will be absent.
AUTO_CAPTURE_MODULE
A list of the form
(% LIKE a OR % LIKE b ...) AND (%
NOT LIKE c AND % NOT LIKE d ...)
, which is the internal
representation of the module filter. If no module filters exist,
then one side of the outer conjunction will be absent.
AUTO_CAPTURE_ACTION
A list of the form
(% LIKE a OR % LIKE b ...) AND (%
NOT LIKE c AND % NOT LIKE d ...)
, which is the internal
representation of the action filter. If no action filters exist,
then one side of the outer conjunction will be absent.
AUTO_CAPTURE_SQL_TEXT
A list of the form
(% LIKE a OR % LIKE b ...) AND (%
NOT LIKE c AND % NOT LIKE d ...)
, which is the internal
representation of the SQL text filter. If no SQL text filters
exist, then one side of the outer conjunction will be absent.
29.7.2 Changing the Disk Space Limit for the SMB
A weekly background process measures the total space occupied by the SMB.
When the defined limit is exceeded, the process writes a warning to the alert log. The
database generates alerts weekly until either the SMB space limit is increased, the
size of the
SYSAUX
tablespace is increased, or the disk space used by the SMB is
decreased by purging SQL management objects (SQL plan baselines or SQL profiles).
This task explains how to change the limit with the
DBMS_SPM.CONFIGURE
procedure.
Assumptions
This tutorial assumes the following:
•The current SMB space limit is the default of 10%.
Chapter 29
Managing the SQL Management Base
29-34

•You want to change the percentage limit to 30%
To change the percentage limit of the SMB:
1. Connect SQL*Plus to the database with the appropriate privileges, and then query
the data dictionary to see the current space budget percent.
For example, execute the following query (sample output included):
SELECT PARAMETER_NAME, PARAMETER_VALUE AS "%_LIMIT",
( SELECT sum(bytes/1024/1024) FROM DBA_DATA_FILES
WHERE TABLESPACE_NAME = 'SYSAUX' ) AS SYSAUX_SIZE_IN_MB,
PARAMETER_VALUE/100 *
( SELECT sum(bytes/1024/1024) FROM DBA_DATA_FILES
WHERE TABLESPACE_NAME = 'SYSAUX' ) AS "CURRENT_LIMIT_IN_MB"
FROM DBA_SQL_MANAGEMENT_CONFIG
WHERE PARAMETER_NAME = 'SPACE_BUDGET_PERCENT';
PARAMETER_NAME %_LIMIT SYSAUX_SIZE_IN_MB CURRENT_LIMIT_IN_MB
-------------------- ---------- ----------------- -------------------
SPACE_BUDGET_PERCENT 10 211.4375 21.14375
2. Change the percentage setting.
For example, execute the following command to change the setting to 30%:
EXECUTE DBMS_SPM.CONFIGURE('space_budget_percent',30);
3. Query the data dictionary to confirm the change.
For example, execute the following join (sample output included):
SELECT PARAMETER_NAME, PARAMETER_VALUE AS "%_LIMIT",
( SELECT sum(bytes/1024/1024) FROM DBA_DATA_FILES
WHERE TABLESPACE_NAME = 'SYSAUX' ) AS SYSAUX_SIZE_IN_MB,
PARAMETER_VALUE/100 *
( SELECT sum(bytes/1024/1024) FROM DBA_DATA_FILES
WHERE TABLESPACE_NAME = 'SYSAUX' ) AS "CURRENT_LIMIT_IN_MB"
FROM DBA_SQL_MANAGEMENT_CONFIG
WHERE PARAMETER_NAME = 'SPACE_BUDGET_PERCENT';
PARAMETER_NAME %_LIMIT SYSAUX_SIZE_IN_MB CURRENT_LIMIT_IN_MB
-------------------- ---------- ----------------- -------------------
SPACE_BUDGET_PERCENT 30 211.4375 63.43125
29.7.3 Changing the Plan Retention Policy in the SMB
A weekly scheduled purging task manages disk space used by SQL plan
management.
The task runs as an automated task in the maintenance window. The database purges
plans that have not been used for longer than the plan retention period, as identified
by the
LAST_EXECUTED
timestamp stored in the SMB for that plan. The default retention
period is 53 weeks. The period can range between 5 and 523 weeks.
This task explains how to change the plan retention period with the
DBMS_SPM.CONFIGURE
procedure. In Cloud Control, set the plan retention policy in the SQL Plan Baseline
subpage (shown in Figure 29-1).
Chapter 29
Managing the SQL Management Base
29-35

To change the plan retention period for the SMB:
1. Connect SQL*Plus to the database with the appropriate privileges, and then query
the data dictionary to see the current plan retention period.
For example, execute the following query (sample output included):
SQL> SELECT PARAMETER_NAME, PARAMETER_VALUE
2 FROM DBA_SQL_MANAGEMENT_CONFIG
3 WHERE PARAMETER_NAME = 'PLAN_RETENTION_WEEKS';
PARAMETER_NAME PARAMETER_VALUE
------------------------------ ---------------
PLAN_RETENTION_WEEKS 53
2. Change the retention period.
For example, execute the
CONFIGURE
procedure to change the period to 105 weeks:
EXECUTE DBMS_SPM.CONFIGURE('plan_retention_weeks',105);
3. Query the data dictionary to confirm the change.
For example, execute the following query:
SQL> SELECT PARAMETER_NAME, PARAMETER_VALUE
2 FROM DBA_SQL_MANAGEMENT_CONFIG
3 WHERE PARAMETER_NAME = 'PLAN_RETENTION_WEEKS';
PARAMETER_NAME PARAMETER_VALUE
------------------------------ ---------------
PLAN_RETENTION_WEEKS 105
Chapter 29
Managing the SQL Management Base
29-36

30
Migrating Stored Outlines to SQL Plan
Baselines
Stored outline migration is the user-initiated process of converting stored outlines to
SQL plan baselines. A SQL plan baseline is a set of plans proven to provide optimal
performance.
Note:
Starting in Oracle Database 12c, stored outlines are deprecated. See
"Migrating Stored Outlines to SQL Plan Baselines" for an alternative.
This chapter explains the concepts and tasks relating to stored outline migration. This
chapter contains the following topics:
•About Stored Outline Migration
A stored outline is a set of hints for a SQL statement.
•Preparing for Stored Outline Migration
The goal is preparation is determining which stored outlines are eligible for
migration.
•Migrating Outlines to Utilize SQL Plan Management Features
You can migrate stored outline to SQL plan baselines.
•Migrating Outlines to Preserve Stored Outline Behavior
You can migrate stored outlines to SQL plan baselines and preserve the original
behavior of the stored outlines by creating fixed plan baselines.
•Performing Follow-Up Tasks After Stored Outline Migration
After migrating outlines to SQL plan baselines, you must perform some follow-up
work.
30.1 About Stored Outline Migration
A stored outline is a set of hints for a SQL statement.
The hints direct the optimizer to choose a specific plan for the statement. A stored
outline is a legacy technique for providing plan stability.
This section contains the following topics:
•Purpose of Stored Outline Migration
If you rely on stored outlines to maintain plan stability and prevent performance
regressions, then you can safely migrate from stored outlines to SQL plan
baselines. After the migration, you can maintain the same plan stability while
benefiting from the features provided by the SQL Plan Management framework.
30-1

•How Stored Outline Migration Works
Stored outline migration is a user-initiated process that goes through multiple
stages.
•User Interface for Stored Outline Migration
You can use the
DBMS_SPM
package to perform the stored outline migration.
•Basic Steps in Stored Outline Migration
The basic process is to prepare, migrate, and then clean up.
30.1.1 Purpose of Stored Outline Migration
If you rely on stored outlines to maintain plan stability and prevent performance
regressions, then you can safely migrate from stored outlines to SQL plan baselines.
After the migration, you can maintain the same plan stability while benefiting from the
features provided by the SQL Plan Management framework.
Stored outlines have the following disadvantages:
•Stored outlines cannot automatically evolve over time. Consequently, a stored
outline may be optimal when you create it, but become a suboptimal plan after a
database change, leading to performance degradation.
•Hints in a stored outline can become invalid, as with an index hint on a dropped
index. In such cases, the database still uses the outlines but excludes the invalid
hints, producing a plan that is often worse than the original plan or the current
best-cost plan generated by the optimizer.
•For a SQL statement, the optimizer can only choose the plan defined in the stored
outline in the currently specified category. The optimizer cannot choose from other
stored outlines in different categories or the current cost-based plan even if they
improve performance.
•Stored outlines are a reactive tuning technique, which means that you only use a
stored outline to address a performance problem after it has occurred. For
example, you may implement a stored outline to correct the plan of a SQL
statement that became high-load. In this case, you used stored outlines instead of
proactively tuning the statement before it became high-load.
The stored outline migration PL/SQL API helps solve the preceding problems in the
following ways:
•SQL plan baselines enable the optimizer to use the same optimal plan and allow
this plan to evolve over time.
For a specified SQL statement, you can add new plans as SQL plan baselines
after they are verified not to cause performance regressions.
•SQL plan baselines prevent plans from becoming unreproducible because of
invalid hints.
If hints stored in a plan baseline become invalid, then the plan may not be
reproducible by the optimizer. In this case, the optimizer selects an alternative
reproducible plan baseline or the current best-cost plan generated by optimizer.
•For a specific SQL statement, the database can maintain multiple plan baselines.
The optimizer can choose from a set of optimal plans for a specific SQL statement
instead of being restricted to a single plan per category, as required by stored
outlines.
Chapter 30
About Stored Outline Migration
30-2

30.1.2 How Stored Outline Migration Works
Stored outline migration is a user-initiated process that goes through multiple stages.
This section explains how the database migrates stored outlines to SQL plan
baselines. This information is important for performing the task of migrating stored
outlines.
This section contains the following topics:
•Stages of Stored Outline Migration
To migrate stored outlines, you specify the stores outlines. The database then
creates and updates SQL plan baselines.
•Outline Categories and Baseline Modules
An outline is a set of hints, whereas a SQL plan baseline is a set of plans.
30.1.2.1 Stages of Stored Outline Migration
To migrate stored outlines, you specify the stores outlines. The database then creates
and updates SQL plan baselines.
Figure 30-1 Stages of Stored Outline Migration
outline1 ... outlinen
Obtain missing information such as bind data
Copy information from stored outlines
baseline1 ... baselinen
Reparse hints to generate plans
User specifies stored outlines
Database creates SQL plan baselines
Database updates SQL plan baselines
at first statement execution
The migration process has the following stages:
1. The user invokes a function that specifies which outlines to migrate.
2. The database processes the outlines as follows:
a. The database copies information in the outline needed by the plan baseline.
The database copies it directly or calculates it based on information in the
outline. For example, the text of the SQL statement exists in both schemas, so
the database can copy the text from outline to baseline.
b. The database reparses the hints to obtain information not in the outline.
The plan hash value and plan cost cannot be derived from the existing
information in the outline, which necessitates reparsing the hints.
Chapter 30
About Stored Outline Migration
30-3

c. The database creates the baselines.
3. The database obtains missing information when it chooses the SQL plan baseline
for the first time to execute the SQL statement.
The compilation environment and execution statistics are only available during
execution when the plan baseline is parsed and compiled.
The migration is complete only after the preceding phases complete.
30.1.2.2 Outline Categories and Baseline Modules
An outline is a set of hints, whereas a SQL plan baseline is a set of plans.
Because they are different technologies, some functionality of outlines does not map
exactly to functionality of baselines. For example, a single SQL statement can have
multiple outlines, each of which is in a different outline category, but the only category
that currently exists for baselines is
DEFAULT
.
The equivalent of a category for an outline is a module for a SQL plan baseline.
Table 30-1 explains how outline categories map to modules.
Table 30-1 Outline Categories
Concept Description Default Value
Outline Category Specifies a user-defined
grouping for a set of stored
outlines.
You can use categories to
maintain different stored
outlines for a SQL
statement. For example, a
single statement can have
an outline in the
OLTP
category and the
DW
category.
Each SQL statement can
have one or more stored
outlines. Each stored
outline is in one and only
one outline category. A
statement can have
multiple stored outlines in
different categories, but
only one stored outline
exists for each category of
each statement.
During migration, the
database maps each
outline category to a SQL
plan baseline module.
DEFAULT
Baseline Module Specifies a high-level
function being performed.
A SQL plan baseline can
belong to one and only one
module.
After an outline is migrated to a SQL
plan baseline, the module name
defaults to outline category name.
Chapter 30
About Stored Outline Migration
30-4

Table 30-1 (Cont.) Outline Categories
Concept Description Default Value
Baseline Category Only one SQL plan
baseline category exists.
This category is named
DEFAULT
. During stored
outline migration, the
module name of the SQL
plan baseline is set to the
category name of the
stored outline.
A statement can have
multiple SQL plan
baselines in the
DEFAULT
category.
DEFAULT
When migrating stored outlines to SQL plan baselines, Oracle Database maps every
outline category to a SQL plan baseline module with the same name. As shown in the
following diagram, the outline category
OLTP
is mapped to the baseline module
OLTP
.
After migration,
DEFAULT
is a super-category that contains all SQL plan baselines.
Figure 30-2 DEFAULT Category
Module OLTP
Baseline emp1
Module DW
Baseline emp2
Category DEFAULT
Baseline dept
Category OLTP
Category DW
Outline emp1
Outline emp2
Outline dept
SELECT...
SELECT...
30.1.3 User Interface for Stored Outline Migration
You can use the
DBMS_SPM
package to perform the stored outline migration.
Chapter 30
About Stored Outline Migration
30-5

Table 30-2 DBMS_SPM Functions Relating to Stored Outline Migration
DBMS_SPM Function Description
MIGRATE_STORED_OUTLINE
Migrates existing stored outlines to plan baselines.
Use either of the following formats:
•Specify outline name, SQL text, outline category, or all stored
outlines.
•Specify a list of outline names.
ALTER_SQL_PLAN_BASELINE
Changes an attribute of a single plan or all plans associated with a SQL
statement.
DROP_MIGRATED_STORED_OUTLINE
Drops stored outlines that have been migrated to SQL plan baselines.
The function finds stored outlines marked as
MIGRATED
in the
DBA_OUTLINES
view, and then drops these outlines from the database.
You can control stored outline and plan baseline behavior with initialization and
session parameters. Table 30-3 describes the relevant parameters. See Table 30-5
and Table 30-6 for an explanation of how these parameter settings interact.
Table 30-3 Parameters Relating to Stored Outline Migration
Initialization or Session Parameter Description Parameter Type
CREATE_STORED_OUTLINES
Determines whether Oracle Database
automatically creates and stores an
outline for each query submitted during
the session.
Initialization
parameter
OPTIMIZER_CAPTURE_SQL_PLAN_BASELINES
Enables or disables the automatic
recognition of repeatable SQL
statement and the generation of SQL
plan baselines for these statements.
Initialization
parameter
OPTIMIZER_USE_SQL_PLAN_BASELINES
Enables or disables the use of SQL plan
baselines stored in SQL Management
Base.
Initialization
parameter
USE_STORED_OUTLINES
Determines whether the optimizer uses
stored outlines to generate execution
plans.
Note: This is a session parameter, not
an initialization parameter.
Session
You can use database views to access information relating to stored outline migration.
Table 30-4 describes the following main views.
Table 30-4 Views Relating to Stored Outline Migration
View Description
DBA_OUTLINES
Describes all stored outlines in the database.
The
MIGRATED
column is important for outline migration and
shows one of the following values:
NOT-MIGRATED
and
MIGRATED
. When
MIGRATED
, the stored outline has been
migrated to a plan baseline and is not usable.
Chapter 30
About Stored Outline Migration
30-6

Table 30-4 (Cont.) Views Relating to Stored Outline Migration
View Description
DBA_SQL_PLAN_BASELINES
Displays information about the SQL plan baselines currently
created for specific SQL statements.
The
ORIGIN
column indicates how the plan baseline was
created. The value
STORED-OUTLINE
indicates the baseline
was created by migrating an outline.
30.1.4 Basic Steps in Stored Outline Migration
The basic process is to prepare, migrate, and then clean up.
The basic steps are as follows:
1. Prepare for stored outline migration.
Review the migration prerequisites and determine how you want the migrated plan
baselines to behave.
See "Preparing for Stored Outline Migration".
2. Perform either of the following tasks:
•Migrate to baselines to use SQL Plan Management features.
See "Migrating Outlines to Utilize SQL Plan Management Features".
•Migrate to baselines while exactly preserving the behavior of the stored
outlines.
See "Migrating Outlines to Preserve Stored Outline Behavior".
3. Perform post-migration confirmation and cleanup.
See "Performing Follow-Up Tasks After Stored Outline Migration".
30.2 Preparing for Stored Outline Migration
The goal is preparation is determining which stored outlines are eligible for migration.
To prepare for stored outline migration:
1. Connect SQL*Plus to the database with
SYSDBA
privileges or the
EXECUTE
privilege
on the
DBMS_SPM
package.
2. Query the stored outlines in the database.
The following example queries all stored outlines that have not been migrated to
SQL plan baselines:
SELECT NAME, CATEGORY, SQL_TEXT
FROM DBA_OUTLINES
WHERE MIGRATED = 'NOT-MIGRATED';
3. Determine which stored outlines meet the following prerequisites for migration
eligibility:
•The statement must not be a run-time
INSERT AS SELECT
statement.
Chapter 30
Preparing for Stored Outline Migration
30-7

•The statement must not reference a remote object.
•This statement must not be a private stored outline.
4. Decide whether to migrate all outlines, specified stored outlines, or outlines
belonging to a specified outline category.
If you do not decide to migrate all outlines, then identify the outlines or categories
that you intend to migrate.
5. Decide whether the stored outlines migrated to SQL plan baselines use fixed
plans or nonfixed plans:
•Fixed plans
A fixed plan is frozen. If a fixed plan is reproducible using the hints stored in
plan baseline, then the optimizer always chooses the lowest-cost fixed plan
baseline over plan baselines that are not fixed. Essentially, a fixed plan
baseline acts as a stored outline with valid hints.
A fixed plan is reproducible when the database can parse the statement based
on the hints stored in the plan baseline and create a plan with the same plan
hash value as the one in the plan baseline. If one of more of the hints become
invalid, then the database may not be able to create a plan with the same plan
hash value. In this case, the plan is nonreproducible.
If a fixed plan cannot be reproduced when parsed using its hints, then the
optimizer chooses a different plan, which can be either of the following:
–Another plan for the SQL plan baseline
–The current cost-based plan created by the optimizer
In some cases, a performance regression occurs because of the different plan,
requiring SQL tuning.
•Nonfixed plans
If a plan baseline does not contain fixed plans, then SQL Plan Management
considers the plans equally when picking a plan for a SQL statement.
6. Before beginning the actual migration, ensure that the Oracle database meets the
following prerequisites:
•The database must be Enterprise Edition.
•The database must be open and not in a suspended state.
•The database must not be in restricted access (DBA), read-only, or migrate
mode.
•Oracle Call Interface (OCI) must be available.
30.3 Migrating Outlines to Utilize SQL Plan Management
Features
You can migrate stored outline to SQL plan baselines.
The goals of this task are as follows:
•To allow SQL Plan Management to select from all plans in a plan baseline for a
SQL statement instead of applying the same fixed plan after migration
Chapter 30
Migrating Outlines to Utilize SQL Plan Management Features
30-8

•To allow the SQL plan baseline to evolve in the face of database changes by
adding new plans to the baseline
Assumptions
This tutorial assumes the following:
•You migrate all outlines.
To migrate specific outlines, use the
DBMS_SPM.MIGRATE_STORED_OUTLINE
function.
•You want the module names of the baselines to be identical to the category names
of the migrated outlines.
•You do not want the SQL plans to be fixed.
By default, generated plans are not fixed and SQL Plan Management considers all
plans equally when picking a plan for a SQL statement. This situation permits the
advanced feature of plan evolution to capture new plans for a SQL statement,
verify their performance, and accept these new plans into the plan baseline.
To migrate stored outlines to SQL plan baselines:
1. Connect SQL*Plus to the database with the appropriate privileges.
2. Call PL/SQL function
MIGRATE_STORED_OUTLINE
.
The following sample PL/SQL block migrates all stored outlines to fixed baselines:
DECLARE
my_report CLOB;
BEGIN
my_outlines := DBMS_SPM.MIGRATE_STORED_OUTLINE(
attribute_name => 'all' );
END;
/
30.4 Migrating Outlines to Preserve Stored Outline Behavior
You can migrate stored outlines to SQL plan baselines and preserve the original
behavior of the stored outlines by creating fixed plan baselines.
A fixed plan has higher priority over other plans for the same SQL statement. If a plan
is fixed, then the plan baseline cannot be evolved. The database does not add new
plans to a plan baseline that contains a fixed plan.
Assumptions
This tutorial assumes the following:
•You want to migrate only the stored outlines in the category named
firstrow
.
•You want the module names of the baselines to be identical to the category names
of the migrated outlines.
To migrate stored outlines to plan baselines:
1. Connect SQL*Plus to the database with the appropriate privileges.
2. Call PL/SQL function
MIGRATE_STORED_OUTLINE
.
Chapter 30
Migrating Outlines to Preserve Stored Outline Behavior
30-9

The following sample PL/SQL block migrates stored outlines in the category
firstrow
to fixed baselines:
DECLARE
my_report CLOB;
BEGIN
my_outlines := DBMS_SPM.MIGRATE_STORED_OUTLINE(
attribute_name => 'category',
attribute_value => 'firstrow',
fixed => 'YES' );
END;
/
After migration, the SQL plan baselines is in module
firstrow
and category
DEFAULT
.
30.5 Performing Follow-Up Tasks After Stored Outline
Migration
After migrating outlines to SQL plan baselines, you must perform some follow-up work.
The goals of this task are as follows:
•To configure the database to use plan baselines instead of stored outlines for
stored outlines that have been migrated to SQL plan baselines
•To create SQL plan baselines instead of stored outlines for future SQL statements
•To drop the stored outlines that have been migrated to SQL plan baselines
This section explains how to set initialization parameters relating to stored outlines and
plan baselines. The
OPTIMIZER_CAPTURE_SQL_PLAN_BASELINES
and
CREATE_STORED_OUTLINES
initialization parameters determine how and when the database creates stored outlines
and SQL plan baselines. Table 30-5 explains the interaction between these
parameters.
Table 30-5 Creation of Outlines and Baselines
CREATE_STORED_
OUTLINES
Initialization
Parameter
OPTIMIZER_CAPTURE
_SQL_PLAN_BASELIN
ES Initialization
Parameter
Database Behavior
false false
When executing a SQL statement, the
database does not create stored outlines or
SQL plan baselines.
false true
The automatic recognition of repeatable
SQL statements and the generation of SQL
plan baselines for these statements is
enabled. When executing a SQL statement,
the database creates only new SQL plan
baselines (if they do not exist) with the
category name
DEFAULT
for the statement.
Chapter 30
Performing Follow-Up Tasks After Stored Outline Migration
30-10

Table 30-5 (Cont.) Creation of Outlines and Baselines
CREATE_STORED_
OUTLINES
Initialization
Parameter
OPTIMIZER_CAPTURE
_SQL_PLAN_BASELIN
ES Initialization
Parameter
Database Behavior
true false
Oracle Database automatically creates and
stores an outline for each query submitted
during the session. When executing a SQL
statement, the database creates only new
stored outlines (if they do not exist) with the
category name
DEFAULT
for the statement.
category false
When executing a SQL statement, the
database creates only new stored outlines (if
they do not exist) with the specified category
name for the statement.
true true
Oracle Database automatically creates and
stores an outline for each query submitted
during the session. The automatic
recognition of repeatable SQL statements
and the generation of SQL plan baselines for
these statements is also enabled.
When executing a SQL statement, the
database creates both stored outlines and
SQL plan baselines with the category name
DEFAULT
.
category true
Oracle Database automatically creates and
stores an outline for each query submitted
during the session. The automatic
recognition of repeatable SQL statements
and the generation of SQL plan baselines for
these statements is also enabled.
When executing a SQL statement, the
database creates stored outlines with the
specified category name and SQL plan
baselines with the category name
DEFAULT
.
The
USE_STORED_OUTLINES
session parameter (it is not an initialization parameter) and
OPTIMIZER_USE_SQL_PLAN_BASELINES
initialization parameter determine how the database
uses stored outlines and plan baselines. Table 30-6 explains how these parameters
interact.
Table 30-6 Use of Stored Outlines and SQL Plan Baselines
USE_STORED_OUTLINES
Session Parameter
OPTIMIZER_USE_SQL_
PLAN_BASELINES
Initialization Parameter
Database Behavior
false false
When choosing a plan for a SQL
statement, the database does not use
stored outlines or plan baselines.
false true
When choosing a plan for a SQL
statement, the database uses only
SQL plan baselines.
Chapter 30
Performing Follow-Up Tasks After Stored Outline Migration
30-11

Table 30-6 (Cont.) Use of Stored Outlines and SQL Plan Baselines
USE_STORED_OUTLINES
Session Parameter
OPTIMIZER_USE_SQL_
PLAN_BASELINES
Initialization Parameter
Database Behavior
true false
When choosing a plan for a SQL
statement, the database uses stored
outlines with the category name
DEFAULT
.
category false
When choosing a plan for a SQL
statement, the database uses stored
outlines with the specified category
name.
If a stored outline with the specified
category name does not exist, then
the database uses a stored outline in
the
DEFAULT
category if it exists.
true true
When choosing a plan for a SQL
statement, stored outlines take
priority over plan baselines.
If a stored outline with the category
name
DEFAULT
exists for the
statement and is applicable, then the
database applies the stored outline.
Otherwise, the database uses SQL
plan baselines. However, if the stored
outline has the property
MIGRATED
,
then the database does not use the
outline and uses the corresponding
SQL plan baseline instead (if it
exists).
category true
When choosing a plan for a SQL
statement, stored outlines take
priority over plan baselines.
If a stored outline with the specified
category name or the
DEFAULT
category exists for the statement and
is applicable, then the database
applies the stored outline. Otherwise,
the database uses SQL plan
baselines. However, if the stored
outline has the property
MIGRATED
,
then the database does not use the
outline and uses the corresponding
SQL plan baseline instead (if it
exists).
Assumptions
This tutorial assumes the following:
•You have completed the basic steps in the stored outline migration.
•Some stored outlines may have been created before Oracle Database 10g.
Chapter 30
Performing Follow-Up Tasks After Stored Outline Migration
30-12

Hints in releases before Oracle Database 10g use a local hint format. After
migration, hints stored in a plan baseline use the global hints format introduced in
Oracle Database 10g.
To place the database in the proper state after the migration:
1. Connect SQL*Plus to the database with the appropriate privileges, and then check
that SQL plan baselines have been created as the result of migration.
Ensure that the plans are enabled and accepted. For example, enter the following
query (partial sample output included):
SELECT SQL_HANDLE, PLAN_NAME, ORIGIN, ENABLED, ACCEPTED, FIXED, MODULE
FROM DBA_SQL_PLAN_BASELINES;
SQL_HANDLE PLAN_NAME ORIGIN ENA ACC FIX MODULE
------------------------- ---------- -------------- --- --- --- ------
SYS_SQL_f44779f7089c8fab STMT01 STORED-OUTLINE YES YES NO DEFAULT
.
.
.
2. Optionally, change the attributes of the SQL plan baselines.
For example, the following statement changes the status of the baseline for the
specified SQL statement to
fixed
:
DECLARE
v_cnt PLS_INTEGER;
BEGIN
v_cnt := DBMS_SPM.ALTER_SQL_PLAN_BASELINE(
sql_handle=>'SYS_SQL_f44779f7089c8fab',
attribute_name=>'FIXED',
attribute_value=>'NO');
DBMS_OUTPUT.PUT_LINE('Plans altered: ' || v_cnt);
END;
/
3. Check the status of the original stored outlines.
For example, enter the following query (partial sample output included):
SELECT NAME, OWNER, CATEGORY, USED, MIGRATED
FROM DBA_OUTLINES
ORDER BY NAME;
NAME OWNER CATEGORY USED MIGRATED
---------- ---------- ---------- ------ ------------
STMT01 SYS DEFAULT USED MIGRATED
STMT02 SYS DEFAULT USED MIGRATED
.
.
.
4. Drop all stored outlines that have been migrated to SQL plan baselines.
For example, the following statements drops all stored outlines with status
MIGRATED
in
DBA_OUTLINES
:
DECLARE
v_cnt PLS_INTEGER;
BEGIN
v_cnt := DBMS_SPM.DROP_MIGRATED_STORED_OUTLINE();
DBMS_OUTPUT.PUT_LINE('Migrated stored outlines dropped: ' || v_cnt);
Chapter 30
Performing Follow-Up Tasks After Stored Outline Migration
30-13

END;
/
5. Set initialization parameters so that:
•When executing a SQL statement, the database creates plan baselines but
does not create stored outlines.
•The database only uses stored outlines when the equivalent SQL plan
baselines do not exist.
For example, the following SQL statements instruct the database to create SQL
plan baselines instead of stored outlines when a SQL statement is executed. The
example also instructs the database to apply a stored outline in category
allrows
or
DEFAULT
only if it exists and has not been migrated to a SQL plan baseline. In
other cases, the database applies SQL plan baselines instead.
ALTER SYSTEM
SET CREATE_STORED_OUTLINE = false SCOPE = BOTH;
ALTER SYSTEM
SET OPTIMIZER_CAPTURE_SQL_PLAN_BASELINES = true SCOPE = BOTH;
ALTER SYSTEM
SET OPTIMIZER_USE_SQL_PLAN_BASELINES = true SCOPE = BOTH;
ALTER SESSION
SET USE_STORED_OUTLINES = allrows SCOPE = BOTH;
Chapter 30
Performing Follow-Up Tasks After Stored Outline Migration
30-14

A
Guidelines for Indexes and Table Clusters
This appendix provides an overview of data access methods using indexes and
clusters that can enhance or degrade performance.
This appendix contains the following sections:
•Guidelines for Tuning Index Performance
Indexes are not a performance cure-all. You must consider carefully when and
how to use them.
•Guidelines for Using Function-Based Indexes for Performance
A function-based index includes columns that are either transformed by a function,
such as the
UPPER
function, or included in an expression, such as
col1
+
col2
.
•Guidelines for Using Partitioned Indexes for Performance
Similar to partitioned tables, partitioned indexes improve manageability,
availability, performance, and scalability. They can be partitioned independently
(global indexes) or automatically linked to the table partitioning method (local
indexes).
•Guidelines for Using Index-Organized Tables for Performance
An index-organized table differs from an ordinary table because the data for the
table is held in its associated index.
•Guidelines for Using Bitmap Indexes for Performance
Bitmap indexes can substantially improve performance of specific queries.
•Guidelines for Using Bitmap Join Indexes for Performance
In addition to a bitmap index on a single table, you can create a bitmap join index,
which is a bitmap index for the join of two or more tables.
•Guidelines for Using Domain Indexes for Performance
Domain indexes are built using the indexing logic supplied by a user-defined
indextype. An indextype is an object that specifies the routines that manage a
domain (application-specific) index.
•Guidelines for Using Table Clusters
A table cluster is a group of one or more tables that are physically stored together
because they share common columns and usually appear together in SQL
statements.
•Guidelines for Using Hash Clusters for Performance
Hash clusters group table data by applying a hash function to each row's cluster
key value.
A.1 Guidelines for Tuning Index Performance
Indexes are not a performance cure-all. You must consider carefully when and how to
use them.
This section contains the following topics:
A-1

•Guidelines for Tuning the Logical Structure
Index maintenance can present a significant CPU and I/O resource demand in any
write-intensive application.
•Guidelines for Using SQL Access Advisor
SQL Access Advisor is an alternative to manually determining which indexes are
required.
•Guidelines for Choosing Columns and Expressions to Index
A key is a column or expression on which you can build an index.
•Guidelines for Choosing Composite Indexes
A composite index, also called a concatenated index, is an index on multiple
columns in a table.
•Guidelines for Writing SQL Statements That Use Indexes
The optimizer may not choose an access path that uses an index.
•Guidelines for Writing SQL Statements That Avoid Using Indexes
In some cases, you might want to prevent a SQL statement from using an index
access path. For example, you know that the index is not very selective and a full
table scan would be more efficient.
•Guidelines for Avoiding Index Serialization on a Sequence-Generated Key
A classic index contention problem is caused by the insertion of a primary key
generated by a sequence.
•Guidelines for Re-Creating Indexes
You might want to re-create an index to compact it and minimize fragmented
space, or to change the index's storage characteristics.
•Guidelines for Compacting Indexes
You can coalesce leaf blocks of an index by using the
ALTER INDEX
statement with
the
COALESCE
option.
•Guidelines for Using Nonunique Indexes to Enforce Uniqueness
You can use an existing nonunique index on a table to enforce uniqueness, either
for
UNIQUE
constraints or the unique aspect of a
PRIMARY KEY
constraint.
•Guidelines for Using Enabled Novalidated Constraints
An enabled novalidated constraint behaves similarly to an enabled validated
constraint for new data.
A.1.1 Guidelines for Tuning the Logical Structure
Index maintenance can present a significant CPU and I/O resource demand in any
write-intensive application.
Although query optimization helps avoid the use of nonselective indexes within query
execution, the SQL engine must continue to maintain all indexes defined against a
table, regardless of whether queries use them. Therefore, do not build indexes unless
necessary.
To maintain optimal performance, drop indexes that an application is not using. You
can find indexes that are not being used by using the
ALTER INDEX MONITORING USAGE
functionality over a period that is representative of your workload. This monitoring
feature records whether an index has been used. Make sure you are monitoring a
representative workload to avoid dropping an index which is used, but not by the
workload you sampled.
Appendix A
Guidelines for Tuning Index Performance
A-2

Also, indexes within an application sometimes have uses that are not immediately
apparent from a survey of statement execution plans. An example of this is a foreign
key index on a parent table, which prevents share locks from being taken out on a
child table.
If you are deciding whether to create new indexes to tune statements, then you can
also use the
EXPLAIN PLAN
statement to determine whether the optimizer chooses to
use these indexes when the application is run. If you create new indexes to tune a
statement that is currently parsed, then Oracle Database invalidates the statement.
When the statement is next parsed, the optimizer automatically chooses a new
execution plan that could potentially use the new index. If you create new indexes on a
remote database to tune a distributed statement, then the optimizer considers these
indexes when the statement is next parsed.
Creating an index to tune one statement can affect the optimizer's choice of execution
plans for other statements. For example, if you create an index to be used by one
statement, then the optimizer can choose to use that index for other statements in the
application as well. For this reason, reexamine the application's performance and
execution plans, and rerun the SQL trace facility after you have tuned those
statements that you initially identified for tuning.
A.1.2 Guidelines for Using SQL Access Advisor
SQL Access Advisor is an alternative to manually determining which indexes are
required.
SQL Access Advisor recommends a set of indexes when invoked from Oracle
Enterprise Manager Cloud Control (Cloud Control) or run through the
DBMS_ADVISOR
package APIs. SQL Access Advisor either recommends using a workload or it
generates a hypothetical workload for a specified schema.
Various workload sources are available, such as the current contents of the SQL
cache, a user-defined set of SQL statements, or a SQL tuning set. Given a workload,
SQL Access Advisor generates a set of recommendations from which you can select
the indexes to be implemented. SQL Access Advisor provides an implementation
script that can be executed manually or automatically through Cloud Control.
A.1.3 Guidelines for Choosing Columns and Expressions to Index
A key is a column or expression on which you can build an index.
Follow these guidelines for choosing keys to index:
•Consider indexing keys that appear frequently in
WHERE
clauses.
•Consider indexing keys that frequently join tables in SQL statements.
•Choose index keys that are highly selective. The selectivity of an index is the
percentage of rows in a table having the same value for the indexed key. An index
selectivity is optimal if few rows have the same value.
Appendix A
Guidelines for Tuning Index Performance
A-3

Note:
Oracle Database automatically creates indexes, or uses existing
indexes, on the keys and expressions of unique and primary keys that
you define with integrity constraints.
Indexing low selectivity columns can be helpful when the data distribution is
skewed so that one or two values occur much less often than other values.
•Do not use standard B-tree indexes on keys or expressions with few distinct
values. Such keys or expressions are usually unselective and therefore do not
optimize performance unless the frequently selected key values appear less
frequently than the other key values. You can use bitmap indexes effectively in
such cases, unless the index is modified frequently, as in a high concurrency
OLTP application.
•Do not index frequently modified columns.
UPDATE
statements that modify indexed
columns and
INSERT
and
DELETE
statements that modify indexed tables take longer
than if there were no index. Such SQL statements must modify data in indexes
and data in tables. They also create additional undo and redo.
•Do not index keys that appear only in
WHERE
clauses with functions or operators. A
WHERE
clause that uses a function, other than
MIN
or
MAX
, or an operator with an
indexed key does not make available the access path that uses the index except
with function-based indexes.
•Consider indexing foreign keys of referential integrity constraints in cases in which
many concurrent
INSERT
,
UPDATE
, and
DELETE
statements access the parent and
child tables. Such an index allows
UPDATE
s and
DELETE
s on the parent table without
share locking the child table.
•When choosing to index a key, consider whether the performance gain for queries
is worth the performance loss for
INSERT
,
UPDATE
, and
DELETE
statements and the
use of the space required to store the index. You might want to experiment by
comparing the processing times of the SQL statements with and without indexes.
You can measure processing time with the SQL trace facility.
A.1.4 Guidelines for Choosing Composite Indexes
A composite index, also called a concatenated index, is an index on multiple columns
in a table.
Composite indexes can provide additional advantages over single-column indexes:
•Improved selectivity
Sometimes you can combine two or more columns or expressions, each with low
selectivity, to form a composite index with higher selectivity.
•Reduced I/O
If all columns selected by a query are in a composite index, then Oracle Database
can return these values from the index without accessing the table.
A SQL statement can use an access path involving a composite index when the
statement contains constructs that use a leading portion of the index.
Appendix A
Guidelines for Tuning Index Performance
A-4

Note:
This is no longer the case with index skip scans.
A leading portion of an index is a set of one or more columns that were specified first
and consecutively in the list of columns in the
CREATE
INDEX
statement that created the
index. Consider this
CREATE
INDEX
statement:
CREATE INDEX comp_ind
ON table1(x, y, z);
•
x
,
xy
, and
xyz
combinations of columns are leading portions of the index
•
yz
,
y
, and
z
combinations of columns are not leading portions of the index
This section contains the following topics:
•Guidelines for Choosing Keys for Composite Indexes
The effectiveness of a composite index depends on whether you choose the
correct columns as keys.
•Guidelines for Ordering Keys for Composite Indexes
In a composite index, the order of the keys can affect query performance.
See Also:
"Index Skip Scans"
A.1.4.1 Guidelines for Choosing Keys for Composite Indexes
The effectiveness of a composite index depends on whether you choose the correct
columns as keys.
Follow these guidelines for choosing keys for composite indexes:
•Consider creating a composite index on keys that appear together frequently in
WHERE
clause conditions combined with
AND
operators, especially if their combined
selectivity is better than the selectivity of either key individually.
•If several queries select the same set of keys based on one or more key values,
then consider creating a composite index containing all these keys.
Consider the guidelines associated with the general performance advantages and
trade-offs of indexes described in the previous sections.
A.1.4.2 Guidelines for Ordering Keys for Composite Indexes
In a composite index, the order of the keys can affect query performance.
Follow these guidelines for ordering keys in composite indexes:
•Create the index so the keys used in
WHERE
clauses comprise a leading portion.
Appendix A
Guidelines for Tuning Index Performance
A-5

•If some keys appear in
WHERE
clauses more frequently, then create the index so
that the more frequently selected keys comprise a leading portion to allow the
statements that use only these keys to use the index.
•If all keys appear in
WHERE
clauses equally often, but the data is physically ordered
on one of the keys, then place this key first in the composite index.
A.1.5 Guidelines for Writing SQL Statements That Use Indexes
The optimizer may not choose an access path that uses an index.
The optimizer chooses an access path only if it contains a construct that makes the
access path available. To give the query optimizer the option of using an index access
path, ensure that the statement contains a construct that makes such an access path
available.
A.1.6 Guidelines for Writing SQL Statements That Avoid Using
Indexes
In some cases, you might want to prevent a SQL statement from using an index
access path. For example, you know that the index is not very selective and a full table
scan would be more efficient.
If the statement contains a construct that makes such an index access path available,
then you can force the optimizer to use a full table scan through one of the following
methods:
•Use the
NO_INDEX
hint to give the query optimizer maximum flexibility while
disallowing the use of a certain index.
•Use the
FULL
hint to instruct the optimizer to choose a full table scan instead of an
index scan.
•Use the
INDEX
or
INDEX_COMBINE
hints to instruct the optimizer to use one index or a
set of listed indexes instead of another.
Parallel execution uses indexes effectively. It does not perform parallel index range
scans, but it does perform parallel index lookups for parallel nested loops join
execution. If an index is very selective (few rows correspond to each index entry), then
a sequential index lookup might be better than a parallel table scan.
A.1.7 Guidelines for Avoiding Index Serialization on a Sequence-
Generated Key
A classic index contention problem is caused by the insertion of a primary key
generated by a sequence.
Applications often use a sequence to generate primary keys. Insertions into the index
on a primary key are subject to contention because they all need to access the same
index block. This contention is acute in Oracle RAC because this index block must be
accessed by all instances, which requires a block transfer using Cache Fusion.
Starting in Oracle Database 18c, you can create a sequence with the
SCALE
attribute.
This feature eliminates index block contention among Oracle RAC nodes. When you
Appendix A
Guidelines for Tuning Index Performance
A-6

specify
SCALE
, the database prefixes the sequence with a numeric offset. The offset is
of the form iii||sss||, where the variables signify the following:
•iii denotes a three digit instance offset given by (instance_id % 100) + 100
•sss denotes a three digits session offset given by (session_id % 1000)
•|| is the concatenation operator
Using this technique, sessions in different Oracle RAC instances do not generate keys
that occupy adjacent slots in the same index block.
Example A-1 Creating a Scalable Sequence
In this example, you create a scalable sequence key, which you use to populate the
primary key of a
deptable
:
DROP TABLE deptable;
DROP SEQUENCE my_seq;
DROP TRIGGER my_trig;
CREATE TABLE deptable (ID NUMBER(10) NOT NULL, DESCR VARCHAR2(10));
ALTER TABLE deptable ADD (CONSTRAINT deptable_pk PRIMARY KEY (ID));
CREATE SEQUENCE my_seq START WITH 1 MAXVALUE 100 SCALE EXTEND;
CREATE OR REPLACE TRIGGER my_trig
BEFORE INSERT ON deptable
FOR EACH ROW
BEGIN
SELECT my_seq.NEXTVAL
INTO :new.id
FROM DUAL;
END;
/
INSERT INTO deptable(descr) VALUES (1,'id value');
COMMIT;
A query of the table indicates that session 43 of instance 1 inserted the row:
SQL> SELECT * FROM deptable;
ID DESCR
---------- ----------
101043001 id value
An insert from session 25 of instance 4 produces the following value:
SQL> SELECT * FROM deptable;
ID DESCR
---------- ----------
104025002 id value
Appendix A
Guidelines for Tuning Index Performance
A-7

A.1.8 Guidelines for Re-Creating Indexes
You might want to re-create an index to compact it and minimize fragmented space, or
to change the index's storage characteristics.
When creating a new index that is a subset of an existing index, or when rebuilding an
existing index with new storage characteristics, Oracle Database might use the
existing index instead of the base table to improve the performance of the index build.
However, in some cases using the base table instead of the existing index is
beneficial. Consider an index on a table on which a lot of DML has been performed.
Because of the DML, the size of the index can increase to the point where each block
is only 50% full, or even less. If the index refers to most of the columns in the table,
then the index could actually be larger than the table. In this case, it is faster to use the
base table rather than the index to re-create the index.
To reorganize or compact an existing index or to change its storage characteristics,
use the
ALTER INDEX . . . REBUILD
statement. The
REBUILD
statement uses the existing
index as the basis for the new one. All index storage statements are supported, such
as
STORAGE
(for extent allocation),
TABLESPACE
(to move the index to a new tablespace),
and
INITRANS
(to change the initial number of entries).
Usually,
ALTER INDEX . . . REBUILD
is faster than dropping and re-creating an index,
because this statement uses the fast full scan feature. It reads all the index blocks
using multiblock I/O, then discards the branch blocks. A further advantage of this
approach is that the old index is still available for queries while the rebuild is in
progress.
A.1.9 Guidelines for Compacting Indexes
You can coalesce leaf blocks of an index by using the
ALTER INDEX
statement with the
COALESCE
option.
This option enables you to combine leaf levels of an index to free blocks for reuse.
You can also rebuild the index online.
A.1.10 Guidelines for Using Nonunique Indexes to Enforce
Uniqueness
You can use an existing nonunique index on a table to enforce uniqueness, either for
UNIQUE
constraints or the unique aspect of a
PRIMARY KEY
constraint.
The advantage of this approach is that the index remains available and valid when the
constraint is disabled. Therefore, enabling a disabled
UNIQUE
or
PRIMARY KEY
constraint
does not require rebuilding the unique index associated with the constraint. This
technique can yield significant time savings on enable operations for large tables.
Using a nonunique index to enforce uniqueness also enables you to eliminate
redundant indexes. You do not need a unique index on a primary key column if that
column is included as the prefix of a composite index. You can use the existing index
to enable and enforce the constraint. You also save significant space by not
duplicating the index. However, if the existing index is partitioned, then the partitioning
Appendix A
Guidelines for Tuning Index Performance
A-8

key of the index must also be a subset of the
UNIQUE
key; otherwise, Oracle Database
creates an additional unique index to enforce the constraint.
A.1.11 Guidelines for Using Enabled Novalidated Constraints
An enabled novalidated constraint behaves similarly to an enabled validated constraint
for new data.
Placing a constraint in the enabled novalidated state signifies that any new data
entered into the table must conform to the constraint. Existing data is not checked. By
placing a constraint in the enabled novalidated state, you enable the constraint without
locking the table.
If you change a constraint from disabled to enabled, then the table must be locked. No
new DML, queries, or DDL can occur, because no mechanism can ensure that
operations on the table conform to the constraint during the enable operation. The
enabled novalidated state prevents users from performing operations on the table that
violate the constraint.
The database can validate an enabled novalidated constraint with a parallel,
consistent-read query of the table to determine whether any data violates the
constraint. The database performs no locking, so the enable operation does not block
readers or writers. In addition, the database can validate enabled novalidated
constraints in parallel. The database can validate multiple constraints at the same time
and check the validity of each constraint using parallel query.
To create tables with constraints and indexes:
1. Create the tables with the constraints.
NOT NULL
constraints can be unnamed and should be created enabled and
validated. Name all other constraints (
CHECK
,
UNIQUE
,
PRIMARY KEY
, and
FOREIGN KEY
)
and create them disabled.
Note:
By default, constraints are created in the
ENABLED
state.
2. Load old data into the tables.
3. Create all indexes, including indexes needed for constraints.
4. Enable novalidate all constraints. Do this to primary keys before foreign keys.
5. Allow users to query and modify data.
6. With a separate
ALTER TABLE
statement for each constraint, validate all constraints.
Do this to primary keys before foreign keys. For example,
CREATE TABLE t (a NUMBER CONSTRAINT apk PRIMARY KEY DISABLE, b NUMBER NOT NULL);
CREATE TABLE x (c NUMBER CONSTRAINT afk REFERENCES t DISABLE);
Now load data into table
t
.
CREATE UNIQUE INDEX tai ON t (a);
CREATE INDEX tci ON x (c);
ALTER TABLE t MODIFY CONSTRAINT apk ENABLE NOVALIDATE;
ALTER TABLE x MODIFY CONSTRAINT afk ENABLE NOVALIDATE;
Appendix A
Guidelines for Tuning Index Performance
A-9

At this point, users can start performing
INSERT
,
UPDATE
,
DELETE
, and
SELECT
operations on table
t
.
ALTER TABLE t ENABLE CONSTRAINT apk;
ALTER TABLE x ENABLE CONSTRAINT afk;
Now the constraints are enabled and validated.
See Also:
Oracle Database Concepts for an overview of integrity constraints
A.2 Guidelines for Using Function-Based Indexes for
Performance
A function-based index includes columns that are either transformed by a function,
such as the
UPPER
function, or included in an expression, such as
col1
+
col2
.
A function-based index is useful when frequently executed SQL statements include
transformed columns, or columns in expressions, in a
WHERE
or
ORDER BY
clause. If you
define a function-based index on the transformed column or expression, then the
database can use the index when that function or expression appears in a
WHERE
clause or an
ORDER BY
clause. In this way, the database can avoid calculating the
expression when processing
SELECT
and
DELETE
statements.
Oracle Database treats descending indexes as function-based indexes. The columns
marked
DESC
are sorted in descending order.
For example, function-based indexes defined with the
UPPER(column_name)
or
LOWER(column_name)
keywords allow case-insensitive searches. Assume that you create
an index on the following statement:
CREATE INDEX uppercase_idx ON employees (UPPER(last_name));
The preceding index facilitates processing queries such as:
SELECT *
FROM employees
WHERE UPPER(last_name) = 'MARKSON';
A.3 Guidelines for Using Partitioned Indexes for
Performance
Similar to partitioned tables, partitioned indexes improve manageability, availability,
performance, and scalability. They can be partitioned independently (global indexes)
or automatically linked to the table partitioning method (local indexes).
Oracle Database supports both range and hash-partitioned global indexes. In a range-
partitioned global index, each index partition contains values defined by a partition
bound. In a hash-partitioned global index, each partition contains values determined
by the Oracle Database hash function.
Appendix A
Guidelines for Using Function-Based Indexes for Performance
A-10

The hash method can improve performance of indexes where a small number leaf
blocks in the index have high contention in multiuser OLTP environment. In some
OLTP applications, index insertions happen only at the right edge of the index. This
situation could occur when the index is defined on monotonically increasing columns.
In such situations, the right edge of the index becomes a hot spot because of
contention for index pages, buffers, latches for update, and additional index
maintenance activity, which results in performance degradation.
With hash partitioned global indexes index entries are hashed to different partitions
based on partitioning key and the number of partitions. This spreads out contention
over number of defined partitions, resulting in increased throughput. Hash-partitioned
global indexes would benefit TPC-H refresh functions that are executed as massive
PDMLs into huge fact tables because contention for buffer latches would be spread
out over multiple partitions.
With hash partitioning, an index entry is mapped to a particular index partition based
on the hash value generated by Oracle Database. The syntax to create hash-
partitioned global index is very similar to hash-partitioned table. Queries involving
equality and
IN
predicates on index partitioning key can efficiently use global hash
partitioned index to answer queries quickly.
A.4 Guidelines for Using Index-Organized Tables for
Performance
An index-organized table differs from an ordinary table because the data for the table
is held in its associated index.
Changes to the table data, such as adding new rows, updating rows, or deleting rows,
result only in updating the index. Because data rows are stored in the index, index-
organized tables provide faster key-based access to table data for queries that involve
exact match or range search or both.
A parent/child relationship is an example of a situation that may warrant an index-
organized table. For example, a
members
table has a child table containing phone
numbers. Phone numbers for a member are changed and added over time. In a heap-
organized table, rows are inserted in data blocks where they fit. However, when you
query the
members
table, you always retrieve the phone numbers from the child table.
To make the retrieval more efficient, you can store the phone numbers in an index-
organized table so that phone records for a given member are inserted near each
other in the data blocks.
In some circumstances, an index-organized table may provide a performance
advantage over a heap-organized table. For example, if a query requires fewer blocks
in the cache, then the database uses the buffer cache more efficiently. If fewer distinct
blocks are needed for a query, then a single physical I/O may retrieve all necessary
data, requiring a smaller amount of I/O for each query.
Global hash-partitioned indexes are supported for index-organized tables and can
provide performance benefits in a multiuser OLTP environment. Index-organized
tables are useful when you must store related pieces of data together or physically
store data in a specific order.
Appendix A
Guidelines for Using Index-Organized Tables for Performance
A-11

A.5 Guidelines for Using Bitmap Indexes for Performance
Bitmap indexes can substantially improve performance of specific queries.
In general, queries perform best that have all of the following characteristics:
•The
WHERE
clause contains multiple predicates on low- or medium-cardinality
columns.
•The individual predicates on these low- or medium-cardinality columns select
many rows.
•The bitmap indexes used in the queries have been created on some or all of these
low-cardinality or medium-cardinality columns.
•The tables in the queries contain many rows.
You can use multiple bitmap indexes to evaluate the conditions on a single table.
Bitmap indexes are thus highly advantageous for complex ad hoc queries that contain
lengthy
WHERE
clauses. Bitmap indexes can also provide optimal performance for
aggregate queries and for optimizing joins in star schemas.
A.6 Guidelines for Using Bitmap Join Indexes for
Performance
In addition to a bitmap index on a single table, you can create a bitmap join index,
which is a bitmap index for the join of two or more tables.
A bitmap join index is a space-saving way to reduce the volume of data that must be
joined by performing restrictions in advance. For each value in a column of a table, a
bitmap join index stores the rowids of corresponding rows in another table. In a data
warehouse, the join condition is an inner equijoin between the primary key columns of
the dimension tables and the foreign key columns in the fact table.
Bitmap join indexes are more efficient in storage than materialized join views, an
alternative for materializing joins in advance. Materialized join views do not compress
the rowids of the fact tables.
A.7 Guidelines for Using Domain Indexes for Performance
Domain indexes are built using the indexing logic supplied by a user-defined
indextype. An indextype is an object that specifies the routines that manage a domain
(application-specific) index.
An indextype provides an efficient mechanism to access data that satisfy certain
operator predicates. Typically, the user-defined indextype is part of an Oracle
Database option, like the Oracle Spatial and Graph option.
The cartridge determines the parameters you can specify in creating and maintaining
the domain index. Similarly, the performance and storage characteristics of the domain
index are presented in the specific cartridge documentation.
Refer to the appropriate cartridge documentation for information such as the following:
Appendix A
Guidelines for Using Bitmap Indexes for Performance
A-12

•Which data types can be indexed?
•Which indextypes are provided?
•Which operators does the indextype support?
•How can the domain index be created and maintained?
•What is the most efficient way to use the operator in queries?
•What are the performance characteristics?
Note:
You can also create index types with the
CREATE INDEXTYPE
statement.
A.8 Guidelines for Using Table Clusters
A table cluster is a group of one or more tables that are physically stored together
because they share common columns and usually appear together in SQL statements.
Because the database physically stores related rows together, disk access time
improves. To create a table cluster, use the
CREATE CLUSTER
statement.
Consider clustering tables in the following circumstances:
•The application frequently accesses the tables in join statements.
•In master-detail tables, the application often selects a master record and then the
corresponding detail records.
Detail records are stored in the same data blocks as the master record, so they
are likely still to be in memory when you select them, requiring Oracle Database to
perform less I/O.
•The application often selects many detail records of the same master.
In this case, consider storing a detail table alone in a cluster. This measure
improves the performance of queries that select detail records of the same master,
but does not decrease the performance of a full table scan on the master table. An
alternative is to use an index organized table.
Avoid clustering tables in the following circumstances:
•The application joins the tables only occasionally or modifies their common column
values frequently.
Modifying a row's cluster key value takes longer than modifying the value in an
nonclustered table, because Oracle Database might need to migrate the modified
row to another block to maintain the cluster.
•The application often performs full table scans of only one of the tables.
A full table scan of a clustered table can take longer than a full table scan of an
nonclustered table. Oracle Database is likely to read more blocks because the
tables are stored together.
•The data from all tables with the same cluster key value exceeds more than one or
two data blocks.
Appendix A
Guidelines for Using Table Clusters
A-13

To access a row in a clustered table, Oracle Database reads all blocks containing
rows with that value. If these rows take up multiple blocks, then accessing a single
row could require more reads than accessing the same row in a nonclustered
table.
•The number of rows for each cluster key value varies significantly.
This causes waste of space for the low cardinality key value. It causes collisions
for the high cardinality key values. Collisions degrade performance.
Consider the benefits and drawbacks of clusters for the application. For example, you
might decide that the performance gain for join statements outweighs the performance
loss for statements that modify cluster key values. You might want to experiment and
compare processing times with the tables both clustered and stored separately.
A.9 Guidelines for Using Hash Clusters for Performance
Hash clusters group table data by applying a hash function to each row's cluster key
value.
All rows with the same cluster key value are stored together on disk. Consider the
benefits and drawbacks of hash clusters for the application. You might want to
experiment and compare processing times with a particular table in a hash cluster and
alone with an index.
Follow these guidelines for choosing when to use hash clusters:
•Use hash clusters to store tables accessed frequently by SQL statements with
WHERE
clauses, if the
WHERE
clauses contain equality conditions that use the same
column or combination of columns. Designate this column or combination of
columns as the cluster key.
•Store a table in a hash cluster if you can determine how much space is required to
hold all rows with a given cluster key value, including rows to be inserted
immediately and rows to be inserted in the future.
•Use sorted hash clusters, where rows corresponding to each value of the hash
function are sorted on a specific columns in ascending order, when the database
can improve response time on operations with this sorted clustered data.
•Do not store a table in a hash cluster in the following cases:
–The application often performs full table scans.
–You must allocate a great deal of space to the hash cluster in anticipation of
the table growing.
Full table scans must read all blocks allocated to the hash cluster, even though
some blocks might contain few rows. Storing the table alone reduces the number
of blocks read by full table scans.
•Do not store a table in a hash cluster if the application frequently modifies the
cluster key values. Modifying a row's cluster key value can take longer than
modifying the value in an nonclustered table, because Oracle Database might
need to migrate the modified row to another block to maintain the cluster.
If hashing is appropriate for the table based on the considerations in this list, then
storing a single table in a hash cluster can be useful. This is true regardless of whether
the table is joined frequently with other tables.
Appendix A
Guidelines for Using Hash Clusters for Performance
A-14

See Also:
•Oracle Database Administrator’s Guide to learn how to manage hash
clusters
•Oracle Database SQL Language Reference to learn about the
CREATE
CLUSTER
statement
Appendix A
Guidelines for Using Hash Clusters for Performance
A-15

Glossary
accepted plan
In the context of SQL plan management, a plan that is in a SQL plan baseline for a
SQL statement and thus available for use by the optimizer. An accepted plan contains
a set of hints, a plan hash value, and other plan-related information.
access path
The means by which the database retrieves data from a database. For example, a
query using an index and a query using a full table scan use different access paths.
adaptive cursor sharing
A feature that enables a single statement that contains bind variables to use multiple
execution plans. Cursor sharing is "adaptive" because the cursor adapts its behavior
so that the database does not always use the same plan for each execution or bind
variable value.
adaptive dynamic sampling
A feature of the adaptive optimizer that enables the automatic adjustment of the
dynamic statistics level.
adaptive optimizer
A feature of the optimizer that enables it to adapt plans based on run-time statistics.
adaptive query plan
An execution plan that changes after optimization because run-time conditions indicate
that optimizer estimates are inaccurate. An adaptive query plan has different built-in
plan options. During the first execution, before a specific subplan becomes active, the
optimizer makes a final decision about which option to use. The optimizer bases its
choice on observations made during the execution up to this point. Thus, an adaptive
query plan enables the final plan for a statement to differ from the default plan.
adaptive query optimization
A set of capabilities that enables the adaptive optimizer to make run-time
adjustments to execution plans and discover additional information that can lead to
better statistics. Adaptive optimization is helpful when existing statistics are not
sufficient to generate an optimal plan.
ADDM
See Automatic Database Diagnostic Monitor (ADDM).
Glossary-1

antijoin
A join that returns rows that fail to match the subquery on the right side. For example,
an antijoin can list departments with no employees. Antijoins use the
NOT EXISTS
or
NOT
IN
constructs.
approximate query processing
A set of optimization techniques that speed analytic queries by calculating results
within an acceptable range of error.
automatic capture filter
A SQL plan management feature that enables you to specify the eligibility criteria for
automatic initial plan capture.
Automatic Database Diagnostic Monitor (ADDM)
ADDM is self-diagnostic software built into Oracle Database. ADDM examines and
analyzes data captured in Automatic Workload Repository (AWR) to determine
possible database performance problems.
automatic optimizer statistics collection
The automatic running of the
DBMS_STATS
package to collect optimizer statistics for all
schema objects for which statistics are missing or stale.
automatic initial plan capture
The mechanism by which the database automatically creates a SQL plan baseline for
any repeatable SQL statement executed on the database. Enable automatic initial plan
capture by setting the
OPTIMIZER_CAPTURE_SQL_PLAN_BASELINES
initialization parameter to
true
(the default is
false
).
See repeatable SQL statement.
automatic reoptimization
The ability of the optimizer to automatically change a plan on subsequent executions
of a SQL statement. Automatic reoptimization can fix any suboptimal plan chosen due
to incorrect optimizer estimates, from a suboptimal distribution method to an incorrect
choice of degree of parallelism.
automatic SQL tuning
The work performed by Automatic SQL Tuning Advisor it runs as an automated task
within system maintenance windows.
Automatic SQL Tuning Advisor
SQL Tuning Advisor when run as an automated maintenance task. Automatic SQL
Tuning runs during system maintenance windows as an automated maintenance task,
searching for ways to improve the execution plans of high-load SQL statements.
See SQL Tuning Advisor.
Glossary
Glossary-2

Automatic Tuning Optimizer
The optimizer when invoked by SQL Tuning Advisor. In SQL tuning mode, the
optimizer performs additional analysis to check whether it can further improve the plan
produced in normal mode. The optimizer output is not an execution plan, but a series
of actions, along with their rationale and expected benefit for producing a significantly
better plan.
Automatic Workload Repository (AWR)
The infrastructure that provides services to Oracle Database components to collect,
maintain, and use statistics for problem detection and self-tuning.
AWR
See Automatic Workload Repository (AWR).
AWR snapshot
A set of data for a specific time that is used for performance comparisons. The delta
values captured by the snapshot represent the changes for each statistic over the time
period. Statistics gathered by are queried from memory. You can display the gathered
data in both reports and views.
band join
A special type of nonequijoin in which key values in one data set must fall within the
specified range (“band”) of the second data set.
base cardinality
For a table, the total number of rows in the table.
baseline
In the context of AWR, the interval between two AWR snapshots that represent the
database operating at an optimal level.
bind-aware cursor
A bind-sensitive cursor that is eligible to use different plans for different bind values.
After a cursor has been made bind-aware, the optimizer chooses plans for future
executions based on the bind value and its cardinality estimate.
bind-sensitive cursor
A cursor whose optimal plan may depend on the value of a bind variable. The
database monitors the behavior of a bind-sensitive cursor that uses different bind
values to determine whether a different plan is beneficial.
bind variable
A placeholder in a SQL statement that must be replaced with a valid value or value
address for the statement to execute successfully. By using bind variables, you can
write a SQL statement that accepts inputs or parameters at run time. The following
query uses
v_empid
as a bind variable:
Glossary
Glossary-3

SELECT * FROM employees WHERE employee_id = :v_empid;
bind variable peeking
The ability of the optimizer to look at the value in a bind variable during a hard parse.
By peeking at bind values, the optimizer can determine the selectivity of a
WHERE
clause
condition as if literals had been used, thereby improving the plan.
bitmap join index
A bitmap index for the join of two or more tables.
bitmap piece
A subcomponent of a single bitmap index entry. Each indexed column value may have
one or more bitmap pieces. The database uses bitmap pieces to break up an index
entry that is large in relation to the size of a block.
B-tree index
An index organized like an upside-down tree. A B-tree index has two types of blocks:
branch blocks for searching and leaf blocks that store values. The leaf blocks contain
every indexed data value and a corresponding rowid used to locate the actual row.
The "B" stands for "balanced" because all leaf blocks automatically stay at the same
depth.
bulk load
A
CREATE TABLE AS SELECT
or
INSERT INTO ... SELECT
operation.
bushy join tree
A join tree in which the left or the right child of an internal node can be a join node.
Nodes in a bushy join tree may have recursive structures in both its descendents.
cardinality
The number of rows that is expected to be or is returned by an operation in an
execution plan.
Cartesian join
A join in which one or more of the tables does not have any join conditions to any
other tables in the statement. The optimizer joins every row from one data source with
every row from the other data source, creating the Cartesian product of the two sets.
child cursor
The cursor containing the plan, compilation environment, and other information for a
statement whose text is stored in a parent cursor. The parent cursor is number
0
, the
first child is number
1
, and so on. Child cursors reference the same SQL text as the
parent cursor, but are different. For example, two queries with the text
SELECT * FROM t
use different cursors when they reference two different tables named
t
.
Glossary
Glossary-4

cluster scan
An access path for a table cluster. In an indexed table cluster, Oracle Database first
obtains the rowid of one of the selected rows by scanning the cluster index. Oracle
Database then locates the rows based on this rowid.
column group
A set of columns that is treated as a unit.
column group statistics
Extended statistics gathered on a group of columns treated as a unit.
column statistics
Statistics about columns that the optimizer uses to determine optimal execution plans.
Column statistics include the number of distinct column values, low value, high value,
and number of nulls.
complex view merging
The merging of views containing the
GROUP BY
or
DISTINCT
keywords.
composite database operation
In a database operation, the activity between two points in time in a database
session, with each session defining its own beginning and end points. A session can
participate in at most one composite database operation at a time.
concurrency
Simultaneous access of the same data by many users. A multiuser database
management system must provide adequate concurrency controls so that data cannot
be updated or changed improperly, compromising data integrity.
concurrent statistics gathering mode
A mode that enables the database to simultaneously gather optimizer statistics for
multiple tables in a schema, or multiple partitions or subpartitions in a table.
Concurrency can reduce the overall time required to gather statistics by enabling the
database to fully use multiple CPUs.
condition
A combination of one or more expressions and logical operators that returns a value of
TRUE
,
FALSE
, or
UNKNOWN
.
cost
A numeric internal measure that represents the estimated resource usage for an
execution plan. The lower the cost, the more efficient the plan.
cost-based optimizer (CBO)
The legacy name for the optimizer. In earlier releases, the cost-based optimizer was
an alternative to the rule-based optimizer (RBO).
Glossary
Glossary-5

cost model
The internal optimizer model that accounts for the cost of the I/O, CPU, and network
resources that a query is predicted to use.
cumulative statistics
A count such as the number of block reads. Oracle Database generates many types of
cumulative statistics for the system, sessions, and individual SQL statements.
cursor
A handle or name for a private SQL area in the PGA. Because cursors are closely
associated with private SQL areas, the terms are sometimes used interchangeably.
cursor cache
See shared SQL area.
cursor merging
Combining cursors to save space in the shared SQL area. If the optimizer creates a
plan for a bind-aware cursor, and if this plan is the same as an existing cursor, then
the optimizer can merge the cursors.
cursor-duration temporary table
A temporary, in-memory table that stores query results for the duration of a cursor. For
complex operations such as
WITH
clause queries and star transformations, this
optimization enhances the materialization of intermediate results from repetitively used
subqueries. In this way, cursor-duration temporary tables improve performance and
optimizes I/O.
data flow operator (DFO)
The unit of work between data redistribution stages in a parallel query.
data skew
Large variations in the number of duplicate values in a column.
database operation
A set of database tasks defined by end users or application code, for example, a batch
job or ETL processing.
default plan
For an adaptive plan, the execution plan initially chosen by the optimizer using the
statistics from the data dictionary. The default plan can differ from the final plan.
disabled plan
A plan that a database administrator has manually marked as ineligible for use by the
optimizer.
Glossary
Glossary-6

degree of parallelism (DOP)
The number of parallel execution servers associated with a single operation. Parallel
execution is designed to effectively use multiple CPUs. Oracle Database parallel
execution framework enables you to either explicitly choose a specific degree of
parallelism or to rely on Oracle Database to automatically control it.
dense key
A numeric key that is stored as a native integer and has a range of values.
dense grouping key
A key that represents all grouping keys whose grouping columns come from a specific
fact table or dimension.
dense join key
A key that represents all join keys whose join columns come from a particular fact
table or dimension.
density
A decimal number between
0
and
1
that measures the selectivity of a column. Values
close to
1
indicate that the column is unselective, whereas values close to
0
indicate
that this column is more selective.
direct path read
A single or multiblock read into the PGA, bypassing the SGA.
driving table
The table to which other tables are joined. An analogy from programming is a for loop
that contains another for loop. The outer for loop is the analog of a driving table, which
is also called an outer table.
dynamic performance view
A view created on dynamic performance tables, which are virtual tables that record
current database activity. The dynamic performance views are called fixed views
because they cannot be altered or removed by the database administrator. They are
also called
V$
views because they begin with the string
V$
(
GV$
in Oracle RAC).
dynamic plan
A set of subplan groups. A subplan group is set of subplans. In an adaptive query
plan, the optimizer chooses a subplan at run time depending on the statistics obtained
by the statistics collector.
dynamic statistics
An optimization technique in which the database executes a recursive SQL statement
to scan a small random sample of a table's blocks to estimate predicate selectivities.
Glossary
Glossary-7

dynamic statistics level
The level that controls both when the database gathers dynamic statistics, and the
size of the sample that the optimizer uses to gather the statistics. Set the dynamic
statistics level using either the
OPTIMIZER_DYNAMIC_SAMPLING
initialization parameter or a
statement hint.
enabled plan
In SQL plan management, a plan that is eligible for use by the optimizer.
endpoint number
A number that uniquely identifies a bucket in a histogram. In frequency and hybrid
histograms, the endpoint number is the cumulative frequency of endpoints. In height-
balanced histograms, the endpoint number is the bucket number.
endpoint repeat count
In a hybrid histogram, the number of times the endpoint value is repeated, for each
endpoint (bucket) in the histogram. By using the repeat count, the optimizer can obtain
accurate estimates for almost popular values.
endpoint value
An endpoint value is the highest value in the range of values in a histogram bucket.
equijoin
A join whose join condition contains an equality operator.
estimator
The component of the optimizer that determines the overall cost of a given execution
plan.
execution plan
The combination of steps used by the database to execute a SQL statement. Each
step either retrieves rows of data physically from the database or prepares them for
the session issuing the statement. You can override execution plans by using a hint.
execution tree
A tree diagram that shows the flow of row sources from one step to another in an
execution plan.
expected cardinality
For a table, the estimated number of rows the table has after all filter predicates have
been applied to the table.
expression
A combination of one or more values, operators, and SQL functions that evaluates to a
value. For example, the expression
2*2
evaluates to
4
. In general, expressions assume
the data type of their components.
Glossary
Glossary-8

expression statistics
A type of extended statistics that improves optimizer estimates when a
WHERE
clause
has predicates that use expressions.
extended statistics
A type of optimizer statistics that improves estimates for cardinality when multiple
predicates exist or when predicates contain an expression.
extensible optimizer
An optimizer capability that enables authors of user-defined functions and indexes to
create statistics collection, selectivity, and cost functions that the optimizer uses when
choosing an execution plan. The optimizer cost model is extended to integrate
information supplied by the user to assess CPU and I/O cost.
extension
A column group or an expression. The statistics collected for column groups and
expressions are called extended statistics.
external table
A read-only table whose metadata is stored in the database but whose data in stored
in files outside the database. The database uses the metadata describing external
tables to expose their data as if they were relational tables.
filter condition
A
WHERE
clause component that eliminates rows from a single object referenced in a
SQL statement.
final plan
In an adaptive plan, the plan that executes to completion. The default plan can differ
from the final plan.
fixed object
A dynamic performance table or its index. The fixed objects are owned by
SYS
. Fixed
object tables have names beginning with
X$
and are the base tables for the
V$
views.
fixed plan
An accepted plan that is marked as preferred, so that the optimizer considers only the
fixed plans in the SQL plan baseline. You can use fixed plans to influence the plan
selection process of the optimizer.
frequency histogram
A type of histogram in which each distinct column value corresponds to a single
bucket. An analogy is sorting coins: all pennies go in bucket 1, all nickels go in bucket
2, and so on.
Glossary
Glossary-9

full outer join
A combination of a left and right outer join. In addition to the inner join, the database
uses nulls to preserve rows from both tables that have not been returned in the result
of the inner join. In other words, full outer joins join tables together, yet show rows with
no corresponding rows in the joined tables.
full table scan
A scan of table data in which the database sequentially reads all rows from a table and
filters out those that do not meet the selection criteria. All data blocks under the high
water mark are scanned.
global temporary table
A special temporary table that stores intermediate session-private data for a specific
duration.
hard parse
The steps performed by the database to build a new executable version of application
code. The database must perform a hard parse instead of a soft parse if the parsed
representation of a submitted statement does not exist in the shared SQL area.
hash cluster
A type of table cluster that is similar to an indexed cluster, except the index key is
replaced with a hash function. No separate cluster index exists. In a hash cluster, the
data is the index.
hash collision
Hashing multiple input values to the same output value.
hash function
A function that operates on an arbitrary-length input value and returns a fixed-length
hash value.
hash join
A method for joining large data sets. The database uses the smaller of two data sets to
build a hash table on the join key in memory. It then scans the larger data set, probing
the hash table to find the joined rows.
hash scan
An access path for a table cluster. The database uses a hash scan to locate rows in a
hash cluster based on a hash value. In a hash cluster, all rows with the same hash
value are stored in the same data block. To perform a hash scan, Oracle Database
first obtains the hash value by applying a hash function to a cluster key value specified
by the statement, and then scans the data blocks containing rows with that hash value.
hash table
An in-memory data structure that associates join keys with rows in a hash join. For
example, in a join of the
employees
and
departments
tables, the join key might be the
Glossary
Glossary-10

department ID. A hash function uses the join key to generate a hash value. This hash
value is an index in an array, which is the hash table.
hash value
In a hash cluster, a unique numeric ID that identifies a bucket. Oracle Database uses a
hash function that accepts an infinite number of hash key values as input and sorts
them into a finite number of buckets. Each hash value maps to the database block
address for the block that stores the rows corresponding to the hash key value
(department 10, 20, 30, and so on).
hashing
A mathematical technique in which an infinite set of input values is mapped to a finite
set of output values, called hash values. Hashing is useful for rapid lookups of data in
a hash table.
heap-organized table
A table in which the data rows are stored in no particular order on disk. By default,
CREATE TABLE
creates a heap-organized table.
height-balanced histogram
A histogram in which column values are divided into buckets so that each bucket
contains approximately the same number of rows.
hint
An instruction passed to the optimizer through comments in a SQL statement. The
optimizer uses hints to choose an execution plan for the statement.
histogram
A special type of column statistic that provides more detailed information about the
data distribution in a table column.
hybrid hash distribution technique
An adaptive parallel data distribution that does not decide the final data distribution
method until execution time.
hybrid histogram
An enhanced height-based histogram that stores the exact frequency of each endpoint
in the sample, and ensures that a value is never stored in multiple buckets.
implicit query
A component of a DML statement that retrieves data without a subquery. An
UPDATE
,
DELETE
, or
MERGE
statement that does not explicitly include a
SELECT
statement uses an
implicit query to retrieve the rows to be modified.
In-Memory scan
A table scan that retrieves rows from the In-Memory Column Store (IM column store).
Glossary
Glossary-11

incremental statistics maintenance
The ability of the database to generate global statistics for a partitioned table by
aggregating partition-level statistics.
index
Optional schema object associated with a nonclustered table, table partition, or table
cluster. In some cases indexes speed data access.
index cluster
An table cluster that uses an index to locate data. The cluster index is a B-tree index
on the cluster key.
index clustering factor
A measure of row order in relation to an indexed value such as employee last name.
The more scattered the rows among the data blocks, the lower the clustering factor.
index fast full scan
A scan of the index blocks in unsorted order, as they exist on disk. This scan reads the
index instead of the table.
index full scan
The scan of an entire index in key order.
index-organized table
A table whose storage organization is a variant of a primary B-tree index. Unlike a
heap-organized table, data is stored in primary key order.
index range scan
An index range scan is an ordered scan of an index that has the following
characteristics:
•One or more leading columns of an index are specified in conditions.
•0, 1, or more values are possible for an index key.
index range scan descending
An index range scan in which the database returns rows in descending order.
index skip scan
An index scan occurs in which the initial column of a composite index is "skipped" or
not specified in the query. For example, if the composite index key is
(cust_gender,cust_email)
, then the query predicate does not reference the
cust_gender
column.
index statistics
Statistics about indexes that the optimizer uses to determine whether to perform a full
table scan or an index scan. Index statistics include B-tree levels, leaf block counts,
the index clustering factor, distinct keys, and number of rows in the index.
Glossary
Glossary-12

index unique scan
A scan of an index that returns either 0 or 1 rowid.
indextype
An object that specifies the routines that manage a domain (application-specific) index.
inner join
A join of two or more tables that returns only those rows that satisfy the join condition.
inner table
In a nested loops join, the table that is not the outer table (driving table). For every
row in the outer table, the database accesses all rows in the inner table. The outer
loop is for every row in the outer table and the inner loop is for every row in the inner
table.
join
A statement that retrieves data from multiple tables specified in the
FROM
clause of a
SQL statement. Join types include inner joins, outer joins, and Cartesian joins.
join condition
A condition that compares two row sources using an expression. The database
combines pairs of rows, each containing one row from each row source, for which the
join condition evaluates to
true
.
join elimination
The removal of redundant tables from a query. A table is redundant when its columns
are only referenced in join predicates, and those joins are guaranteed to neither filter
nor expand the resulting rows.
join factorization
A cost-based transformation that can factorize common computations from branches
of a
UNION ALL
query. Without join factorization, the optimizer evaluates each branch of
a
UNION ALL
query independently, which leads to repetitive processing, including data
access and joins. Avoiding an extra scan of a large base table can lead to a huge
performance improvement.
join group
A user-created database object that specifies a group of columns that participate in an
join. Join groups are only supported in the In-Memory column store.
join method
A method of joining a pair of row sources. The possible join methods are nested loop,
sort merge, and hash joins. A Cartesian join requires one of the preceding join
methods
Glossary
Glossary-13

join order
The order in which multiple tables are joined together. For example, for each row in
the
employees
table, the database can read each row in the
departments
table. In an
alternative join order, for each row in the
departments
table, the database reads each
row in the
employees
table.
To execute a statement that joins more than two tables, Oracle Database joins two of
the tables and then joins the resulting row source to the next table. This process
continues until all tables are joined into the result.
join predicate
A predicate in a
WHERE
or
JOIN
clause that combines the columns of two tables in a join.
key vector
A data structure that maps between dense join keys and dense grouping keys.
latch
A low-level serialization control mechanism used to protect shared data structures in
the SGA from simultaneous access.
left deep join tree
A join tree in which the left input of every join is the result of a previous join.
left table
In an outer join, the table specified on the left side of the
OUTER JOIN
keywords (in ANSI
SQL syntax).
library cache
An area of memory in the shared pool. This cache includes the shared SQL areas,
private SQL areas (in a shared server configuration), PL/SQL procedures and
packages, and control structures such as locks and library cache handles.
library cache hit
The reuse of SQL statement code found in the library cache.
library cache miss
During SQL processing, the act of searching for a usable plan in the library cache and
not finding it.
maintenance window
A contiguous time interval during which automated maintenance tasks run. The
maintenance windows are Oracle Scheduler windows that belong to the window group
named
MAINTENANCE_WINDOW_GROUP
.
manual plan capture
The user-initiated bulk load of existing plans into a SQL plan baseline.
Glossary
Glossary-14

materialized view
A schema object that stores a query result. All materialized views are either read-only
or updatable.
multiblock read
An I/O call that reads multiple database blocks. Multiblock reads can significantly
speed up full table scans. For example, a data block might be 8 KB, but the operating
system can read 1024 KB in a single I/O. For some queries, the optimizer may decide
that it is more cost-efficient to read 128 data blocks in one I/O than in 128 sequential
I/Os.
NDV
Number of distinct values. The NDV is important in generating cardinality estimates.
nested loops join
A type of join method. A nested loops join determines the outer table that drives the
join, and for every row in the outer table, probes each row in the inner table. The outer
loop is for each row in the outer table and the inner loop is for each row in the inner
table. An analogy from programming is a
for
loop inside of another
for
loop.
nonequijoin
A join whose join condition does not contain an equality operator.
nonjoin column
A predicate in a
WHERE
clause that references only one table.
nonpopular value
In a histogram, any value that does not span two or more endpoints. Any value that is
not nonpopular is a popular value.
noworkload statistics
Optimizer system statistics gathered when the database simulates a workload.
on-demand SQL tuning
The manual invocation of SQL Tuning Advisor. Any invocation of SQL Tuning Advisor
that is not the result of an Automatic SQL Tuning task is on-demand tuning.
optimization
The overall process of choosing the most efficient means of executing a SQL
statement.
optimizer
Built-in database software that determines the most efficient way to execute a SQL
statement by considering factors related to the objects referenced and the conditions
specified in the statement.
Glossary
Glossary-15

optimizer cost model
The model that the optimizer uses to select an execution plan. The optimizer selects
the execution plan with the lowest cost, where cost represents the estimated resource
usage for that plan. The optimizer cost model accounts for the I/O, CPU, and network
resources that the query will use.
optimizer environment
The totality of session settings that can affect execution plan generation, such as the
work area size or optimizer settings (for example, the optimizer mode).
optimizer goal
The prioritization of resource usage by the optimizer. Using the
OPTIMIZER_MODE
initialization parameter, you can set the optimizer goal best throughput or best
response time.
optimizer statistics
Details about the database its object used by the optimizer to select the best
execution plan for each SQL statement. Categories include table statistics such as
numbers of rows, index statistics such as B-tree levels, system statistics such as
CPU and I/O performance, and column statistics such as number of nulls.
Optimizer Statistics Advisor
A tool that inspects statistics gathering practices, automatically diagnoses problems
with these practices, and generates a report of findings and recommendations.
Optimizer Statistics Advisor rules
System-supplied standards by which Optimizer Statistics Advisor performs its checks.
optimizer statistics collection
The gathering of optimizer statistics for database objects. The database can collect
these statistics automatically, or you can collect them manually by using the system-
supplied
DBMS_STATS
package.
optimizer statistics collector
A row source inserted into an execution plan at key points to collect run-time statistics
for use in adaptive plans.
optimizer statistics preferences
The default values of the parameters used by automatic statistics collection and the
DBMS_STATS
statistics gathering procedures.
outer join
A join condition using the outer join operator (
+
) with one or more columns of one of
the tables. The database returns all rows that meet the join condition. The database
also returns all rows from the table without the outer join operator for which there are
no matching rows in the table with the outer join operator.
Glossary
Glossary-16

outer table
See driving table
parallel execution
The application of multiple CPU and I/O resources to the execution of a single
database operation.
parallel query
A query in which multiple processes work together simultaneously to run a single SQL
query. By dividing the work among multiple processes, Oracle Database can run the
statement more quickly. For example, four processes retrieve rows for four different
quarters in a year instead of one process handling all four quarters by itself.
parent cursor
The cursor that stores the SQL text and other minimal information for a SQL
statement. The child cursor contains the plan, compilation environment, and other
information. When a statement first executes, the database creates both a parent and
child cursor in the shared pool.
parse call
A call to Oracle to prepare a SQL statement for execution. The call includes
syntactically checking the SQL statement, optimizing it, and then building or locating
an executable form of that statement.
parsing
The stage of SQL processing that involves separating the pieces of a SQL statement
into a data structure that can be processed by other routines.
A hard parse occurs when the SQL statement to be executed is either not in the
shared pool, or it is in the shared pool but it cannot be shared. A soft parse occurs
when a session attempts to execute a SQL statement, and the statement is already in
the shared pool, and it can be used.
partition maintenance operation
A partition-related operation such as adding, exchanging, merging, or splitting table
partitions.
partition-wise join
A join optimization that divides a large join of two tables, one of which must be
partitioned on the join key, into several smaller joins.
pending statistics
Unpublished optimizer statistics. By default, the optimizer uses published statistics but
does not use pending statistics.
Glossary
Glossary-17

performance feedback
This form of automatic reoptimization helps improve the degree of parallelism
automatically chosen for repeated SQL statements when
PARALLEL_DEGREE_POLICY
is set
to
ADAPTIVE
.
pipelined table function
A PL/SQL function that accepts a collection of rows as input. You invoke the table
function as the operand of the table operator in the
FROM
list of a
SELECT
statement.
plan evolution
The manual change of an unaccepted plan in the SQL plan history into an
accepted plan in the SQL plan baseline.
plan generator
The part of the optimizer that tries different access paths, join methods, and join orders
for a given query block to find the plan with the lowest cost.
plan selection
The optimizer's attempt to find a matching plan in the SQL plan baseline for a
statement after performing a hard parse.
plan verification
Comparing the performance of an unaccepted plan to a plan in a SQL plan baseline
and ensuring that it performs better.
popular value
In a histogram, any value that spans two or more endpoints. Any value that is not
popular is an nonpopular value.
predicate pushing
A transformation technique in which the optimizer "pushes" the relevant predicates
from the containing query block into the view query block. For views that are not
merged, this technique improves the subplan of the unmerged view because the
database can use the pushed-in predicates to access indexes or to use as filters.
private SQL area
An area in memory that holds a parsed statement and other information for
processing. The private SQL area contains data such as bind variable values, query
execution state information, and query execution work areas.
private temporary table
A memory-only temporary table whose data and metadata is session-private.
proactive SQL tuning
Using SQL tuning tools to identify SQL statements that are candidates for tuning
before users have complained about a performance problem.
Glossary
Glossary-18

See reactive SQL tuning, SQL tuning.
projection view
An optimizer-generated view that appear in queries in which a
DISTINCT
view has been
merged, or a
GROUP BY
view is merged into an outer query block that also contains
GROUP BY
,
HAVING
, or aggregates.
See simple view merging, complex view merging.
query
An operation that retrieves data from tables or views. For example,
SELECT * FROM
employees
is a query.
query block
A top-level
SELECT
statement, subquery, or unmerged view
query optimizer
See optimizer.
reactive SQL tuning
Diagnosing and fixing SQL-related performance problems after users have complained
about them.
See proactive SQL tuning, SQL tuning.
recursive SQL
Additional SQL statements that the database must issue to execute a SQL statement
issued by a user. The generation of recursive SQL is known as a recursive call. For
example, the database generates recursive calls when data dictionary information is
not available in memory and so must be retrieved from disk.
reoptimization
See automatic reoptimization.
repeatable SQL statement
A statement that the database parses or executes after recognizing that it is tracked in
the SQL statement log.
response time
The time required to complete a unit of work.
See throughput.
result set
In a query, the set of rows generated by the execution of a cursor.
Glossary
Glossary-19

right deep join tree
A join tree in which the right input of every join is the result of a previous join, and the
left child of every internal node of a join tree is a table.
right table
In an outer join, the table specified on the right side of the
OUTER JOIN
keywords (in
ANSI SQL syntax).
rowid
A globally unique address for a row in a table.
row set
A set of rows returned by a step in an execution plan.
row source
An iterative control structure that processes a set of rows in an iterated manner and
produces a row set.
row source generator
Software that receives the optimal plan from the optimizer and outputs the execution
plan for the SQL statement.
row source tree
A collection of row sources produced by the row source generator. The row source
tree for a SQL statement shows information such as table order, access methods, join
methods, and data operations such as filters and sorts.
rule filter
The use of
DBMS_STATS.CONFIGURE_ADVISOR_RULE_FILTER
to restrict an Optimizer Statistics
Advisor task to a user-specified set of rules. For example, you might exclude the rule
that checks for stale statistics.
sample table scan
A scan that retrieves a random sample of data from a simple table or a complex
SELECT
statement, such as a statement involving joins and views.
sampling
Gathering statistics from a random subset of rows in a table.
selectivity
A value indicating the proportion of a row set retrieved by a predicate or combination
of predicates, for example,
WHERE last_name = 'Smith'
. A selectivity of
0
means that no
rows pass the predicate test, whereas a value of
1
means that all rows pass the test.
The adjective selective means roughly "choosy." Thus, a highly selective query returns
a low proportion of rows (selectivity close to
0
), whereas an unselective query returns
a high proportion of rows (selectivity close to
1
).
Glossary
Glossary-20

semijoin
A join that returns rows from the first table when at least one match exists in the
second table. For example, you list departments with at least one employee. The
difference between a semijoin and a conventional join is that rows in the first table are
returned at most once. Semijoins use the
EXISTS
or
IN
constructs.
shared cursor
A shared SQL area that is used by multiple SQL statements.
shared pool
Portion of the SGA that contains shared memory constructs such as shared SQL
areas.
shared SQL area
An area in the shared pool that contains the parse tree and execution plan for a SQL
statement. Only one shared SQL area exists for a unique statement. The shared SQL
area is sometimes referred to as the cursor cache.
simple database operation
A database operation consisting of a single SQL statement or PL/SQL procedure or
function.
simple view merging
The merging of select-project-join views. For example, a query joins the
employees
table to a subquery that joins the
departments
and
locations
tables.
SMB
See SQL management base (SMB).
snowflake schema
A star schema in which dimension tables reference other tables.
snowstorm schema
A combination of multiple snowflake schemas.
soft parse
Any parse that is not a hard parse. If a submitted SQL statement is the same as a
reusable SQL statement in the shared pool, then Oracle Database reuses the existing
code. This reuse of code is also called a library cache hit.
sort merge join
A type of join method. The join consists of a sort join, in which both inputs are sorted
on the join key, followed by a merge join, in which the sorted lists are merged.
SQL Access Advisor
SQL Access Advisor is internal diagnostic software that recommends which
materialized views, indexes, and materialized view logs to create, drop, or retain.
Glossary
Glossary-21

SQL compilation
In the context of Oracle SQL processing, this term refers collectively to the phases of
parsing, optimization, and plan generation.
SQL handle
A string value derived from the numeric SQL signature. Like the signature, the handle
uniquely identifies a SQL statement. It serves as a SQL search key in user APIs.
SQL ID
For a specific SQL statement, the unique identifier of the parent cursor in the library
cache. A hash function applied to the text of the SQL statement generates the SQL ID.
The
V$SQL.SQL_ID
column displays the SQL ID.
SQL incident
In the fault diagnosability infrastructure of Oracle Database, a single occurrence of a
SQL-related problem. When a problem (critical error) occurs multiple times, the
database creates an incident for each occurrence. Incidents are timestamped and
tracked in the Automatic Diagnostic Repository (ADR).
SQL management base (SMB)
A logical repository that stores statement logs, plan histories, SQL plan baselines, and
SQL profiles. The SMB is part of the data dictionary and resides in the
SYSAUX
tablespace.
SQL plan baseline
A set of one or more accepted plans for a repeatable SQL statement. Each accepted
plan contains a set of hints, a plan hash value, and other plan-related information. SQL
plan management uses SQL plan baselines to record and evaluate the execution
plans of SQL statements over time.
SQL plan capture
Techniques for capturing and storing relevant information about plans in the SQL
management base (SMB) for a set of SQL statements. Capturing a plan means
making SQL plan management aware of this plan.
SQL plan directive
Additional information and instructions that the optimizer can use to generate a more
optimal plan. For example, a SQL plan directive might instruct the optimizer to collect
missing statistics or gather dynamic statistics.
SQL plan history
The set of captured execution plans. The history contains both SQL plan baselines
and unaccepted plans.
SQL plan management
SQL plan management is a preventative mechanism that records and evaluates the
execution plans of SQL statements over time. SQL plan management can prevent
Glossary
Glossary-22

SQL plan regressions caused by environmental changes such as a new optimizer
version, changes to optimizer statistics, system settings, and so on.
SQL processing
The stages of parsing, optimization, row source generation, and execution of a SQL
statement.
SQL profile
A set of auxiliary information built during automatic tuning of a SQL statement. A SQL
profile is to a SQL statement what statistics are to a table. The optimizer can use SQL
profiles to improve cardinality and selectivity estimates, which in turn leads the
optimizer to select better plans.
SQL profiling
The verification and validation by the Automatic Tuning Advisor of its own estimates.
SQL signature
A numeric hash value computed using a SQL statement text that has been normalized
for case insensitivity and white space. It uniquely identifies a SQL statement. The
database uses this signature as a key to maintain SQL management objects such as
SQL profiles, SQL plan baselines, and SQL patches.
SQL statement log
When automatic SQL plan capture is enabled, a log that contains the SQL ID of SQL
statements that the optimizer has evaluated over time. A statement is tracked when it
exists in the log.
SQL test case
A problematic SQL statement and related information needed to reproduce the
execution plan in a different environment. A SQL test case is stored in an Oracle Data
Pump file.
SQL test case builder
A database feature that gathers information related to a SQL statement and packages
it so that a user can reproduce the problem on a different database. The
DBMS_SQLDIAG
package is the interface for SQL test case builder.
SQL trace file
A server-generated file that provides performance information on individual SQL
statements. For example, the trace file contains parse, execute, and fetch counts,
CPU and elapsed times, physical reads and logical reads, and misses in the library
cache.
SQL tuning
The process of improving SQL statement efficiency to meet measurable goals.
SQL Tuning Advisor
Built-in database diagnostic software that optimizes high-load SQL statements.
Glossary
Glossary-23

See Automatic SQL Tuning Advisor.
SQL tuning set (STS)
A database object that includes one or more SQL statements along with their
execution statistics and execution context.
star schema
A relational schema whose design represents a dimensional data model. The star
schema consists of one or more fact tables and one or more dimension tables that are
related through foreign keys.
statistics feedback
A form of automatic reoptimization that automatically improves plans for repeated
queries that have cardinality misestimates. The optimizer may estimate cardinalities
incorrectly for many reasons, such as missing statistics, inaccurate statistics, or
complex predicates.
stored outline
A set of hints for a SQL statement. The hints in stored outlines direct the optimizer to
choose a specific plan for the statement.
subplan
A portion of an adaptive plan that the optimizer can switch to as an alternative at run
time. A subplan can consist of multiple operations in the plan. For example, the
optimizer can treat a join method and the corresponding access path as one unit when
determining whether to change the plan at run time.
subplan group
A set of subplans in an adaptive query plan.
subquery
A query nested within another SQL statement. Unlike implicit queries, subqueries use
a
SELECT
statement to retrieve data.
subquery unnesting
A transformation technique in which the optimizer transforms a nested query into an
equivalent join statement, and then optimizes the join.
synopsis
A set of auxiliary statistics gathered on a partitioned table when the
INCREMENTAL
value
is set to
true
.
system statistics
Statistics that enable the optimizer to use CPU and I/O characteristics. Index statistics
include B-tree levels, leaf block counts, clustering factor, distinct keys, and number of
rows in the index.
Glossary
Glossary-24

table cluster
A schema object that contains data from one or more tables, all of which have one or
more columns in common. In table clusters, the database stores together all the rows
from all tables that share the same cluster key.
table expansion
A transformation technique that enables the optimizer to generate a plan that uses
indexes on the read-mostly portion of a partitioned table, but not on the active portion
of the table.
table statistics
Statistics about tables that the optimizer uses to determine table access cost, join
cardinality, join order, and so on. Table statistics include row counts, block counts,
empty blocks, average free space per block, number of chained rows, average row
length, and staleness of the statistics on the table.
throughput
The amount of work completed in a unit of time.
See response time.
top frequency histogram
A variation of a frequency histogram that ignores nonpopular values that are
statistically insignificant, thus producing a better histogram for highly popular values.
tuning mode
One of the two optimizer modes. When running in tuning mode, the optimizer is known
as the Automatic Tuning Optimizer. In tuning mode, the optimizer determines
whether it can further improve the plan produced in normal mode. The optimizer output
is not an execution plan, but a series of actions, along with their rationale and
expected benefit for producing a significantly better plan.
unaccepted plan
A plan for a statement that is in the SQL plan history but has not been added to the
SQL plan management.
unselective
A relatively large fraction of rows from a row set. A query becomes more unselective
as the selectivity approaches
1
. For example, a query that returns 999,999 rows from
a table with one million rows is unselective. A query of the same table that returns one
row is selective.
user response time
The time between when a user submits a command and receives a response.
See throughput.
Glossary
Glossary-25

V$ view
See dynamic performance view.
vector I/O
A type of I/O in which the database obtains a set of rowids, sends them batched in an
array to the operating system, which performs the read.
view merging
The merging of a query block representing a view into the query block that contains it.
View merging can improve plans by enabling the optimizer to consider additional join
orders, access methods, and other transformations.
workload statistics
Optimizer statistics for system activity in a specified time period.
Glossary
Glossary-26

Index
A
accepted plans, 4-29
access paths, 3-7, 8-1
B-tree indexes, 8-13
bitmap index, 8-31
bitmap index range scans, 8-38
bitmap indexes, 8-31, 8-33, 8-40
execution plans, 6-1
full table scans, 8-5, 8-6, 10-9, 11-2
heap-organized tables, 8-3
In-Memory table scans, 8-11, 8-12
index fast full, 8-26
index full scans, 8-24
index join scans, 8-29
index range scans, 8-20
index skip scans, 8-27
index unique scans, 8-18
sample table scans, 8-10, 8-11
table, 8-2
table access by rowid, 8-8
table cluster, 8-41
adaptive query optimization, 4-12
adaptive plans, 22-2
adaptive query plans, 4-13, 7-2, 7-29
controlling, 19-8
dynamic statistics, 10-14, 13-22
adaptive query plans, 4-13, 7-2, 7-29, 22-2
about, 4-13
bitmap index pruning, 4-19
cardinality misestimates, 4-14
enabling, 4-21
join methods, 4-15
optimizer statistics collector, 4-14
parallel distribution methods, 4-17
subplans, 4-14
adaptive sampling, 13-22
adaptive statistics, 4-21
automatic reoptimization, 4-22
dynamic statistics, 4-22
SQL plan directives, 4-25, 14-1
when enabled, 4-25
ADDM, 1-5
ADMINISTER ANY SQL TUNING SET system
privilege, 24-4
advisors
Optimizer Statistics Advisor, 18-1–18-3
SPM Evolve Advisor, 29-5, 29-9
SQL Access Advisor, 26-1, 26-7, 26-8
SQL Tuning Advisor, 25-1
aggregate functions, 4-26
ALTER SESSION statement, 23-12
ANALYZE command, 16-2
antijoins, 9-4, 9-37
handling nulls, 9-39
how they work, 9-38
when the optimizer considers, 9-37
APPEND hint, 10-14
applications
implementing, 2-3
APPROX_COUNT function, 4-27
APPROX_COUNT_DISTINCT function, 4-27
APPROX_COUNT_DISTINCT_AGG function,
4-27
APPROX_COUNT_DISTINCT_DETAIL function,
4-27
APPROX_FOR_AGGREGATION initialization
parameter, 4-27
APPROX_FOR_COUNT_DISTINCT initialization
parameter, 4-27
APPROX_FOR_PERCENTILE initialization
parameter, 4-27
APPROX_MEDIAN function, 4-27
APPROX_PERCENTILE function, 4-27
APPROX_RANK function, 4-27
APPROX_SUM function, 4-27
approximate query processing, 4-26
initialization parameters, 4-27
SQL functions, 4-27
automatic plan capture
creating automatic capture filters, 29-7
enabling, 29-6
automatic reoptimization, 4-12, 4-22, 7-2, 10-21
cardinality misestimates, 4-22
performance feedback, 4-24
statistics feedback, 4-22
automatic statistics collection, 13-2
Automatic Tuning Optimizer, 1-6, 4-12
SQL profiles, 25-7
Automatic Workload Repository (AWR), 1-5
Index-1

B
B-tree indexes, 8-13
band joins, 9-26
big bang rollout strategy, 2-4
bind variables, 20-1, 20-2
bind peeking, 20-13
cursors, 20-12
substitution, 20-19
bind-aware cursors, 20-27
bind-sensitive cursors, 20-24
bitmap indexes
access paths, 8-31
bitmap merge, 8-40
conversion to rowid, 8-36
inlist iterator, 7-17
on joins, A-12
pruning, 4-19
purpose, 8-33
range scans, 8-38
single value, 8-37
when to use, A-12
Bloom filters, 9-44
controls, 9-46
how they work, 9-45
metadata, 9-46
purpose, 9-45
BOOLEAN data type, 8-21
bulk loads
creating histograms, 10-16
gathering index statistics, 10-16
restrictions for online statistics gathering,
10-16
bushy join trees, 9-2
BYTES column
PLAN_TABLE table, 7-18, 7-29
C
cardinality, 1-6, 4-6, 4-14, 4-15, 4-22, 4-25, 8-33,
10-3, 10-20, 11-2, 11-4, 27-2
CARDINALITY column
PLAN_TABLE table, 7-18, 7-29
Cartesian joins, 9-42, 9-43
child cursors, 20-4
V$SQL, 20-6
clusters, table, A-13
sorted hash, A-14
column group statistics, 10-20
automatic and manual, 14-5
column groups, 14-1, 14-6
about, 14-2
creating, 14-8, 14-10
displaying information, 14-11
dropping, 14-12
column groups (continued)
optimizer statistics, 14-2
why needed, 14-3
columns
cardinality, 4-6
to index, A-3
compilation, SQL, 10-18, 10-20, 10-30
composite indexes, A-4
composite partitioning
examples of, 7-12
concurrent statistics gathering, 13-13–13-15, 5
CONFIGURE procedure, 28-5
consistent mode
TKPROF, 23-27
constraints, A-9
COST column
PLAN_TABLE table, 7-18, 7-29
CPU
system statistics, 13-31
current mode
TKPROF, 23-27
cursor sharing
adaptive, 20-21, 20-31
forcing, 20-20
Real-World Performance guidelines, 20-31
CURSOR_NUM column
TKPROF_TABLE table, 23-15
CURSOR_SHARING initialization parameter,
20-2, 20-19
cursor-duration temporary tables, 5-18–5-20
cursors, 3-3
about, 20-1
adaptive sharing, 20-21, 20-22, 20-31
bind variable peeking, 20-13
bind variables, 20-12
bind-aware, 20-27
bind-sensitive, 20-24
child, 20-4, 20-6
invalidating, 20-16
literals, 20-11
marked DEFERRED INVALIDATION, 20-17
marked rolling invalid, 20-17
merging, 20-30
parent, 20-4, 20-5
parsing and, 20-7
Real-World Performance guidelines, 20-31
sharing, 20-1, 20-2
temporary tables and, 5-19, 5-20
D
data blocks, 3-10
data dictionary cache, 3-4
data modeling, 2-1
Data Pump
Index
Index-2

Data Pump (continued)
Export utility
statistics on system-generated columns
names, 17-2
Import utility
copying statistics, 17-2
data skew, 11-2
data types
BOOLEAN, 8-21
database operations
attributes, 21-6
composite, 1-8, 21-1
concepts, 21-3
definition, 1-8, 21-1
monitoring, 21-1
simple, 1-8, 21-1
database operations, monitoring, 1-8, 21-1
composite, 21-5
composite operations, 21-1
creating database operations, 21-13
enabling with hints, 21-12
enabling with initialization parameters, 21-11
Enterprise Manager interface, 21-7
PL/SQL interface, 21-8
purpose, 21-2
real-time SQL, 21-1
simple operations, 21-1
user interfaces, 21-7
using Cloud Control, 21-15
Database Resource Manager, 13-15
DATE_OF_INSERT column
TKPROF_TABLE table, 23-15
DB_FILE_MULTIBLOCK_READ_COUNT
initialization parameter, 8-7
DBA_ADVISOR_ACTIONS view, 26-30
DBA_ADVISOR_EXECUTIONS view, 18-14
DBA_IND_STATISTICS view, 13-10
DBA_OPTSTAT_OPERATION_TASKS view,
13-18
DBA_OPTSTAT_OPERATIONS view, 13-18
DBA_OUTLINES view, 30-7
DBA_SQL_MANAGEMENT_CONFIG view, 28-5,
29-34
DBA_SQL_PROFILES view, 27-2
DBA_STAT_EXTENSIONS view, 14-15
DBA_TAB_COL_STATISTICS view, 11-5, 14-3
DBA_TAB_MODIFICATIONS view, 13-10
DBA_TAB_PENDING_STATS view, 15-4
DBA_TAB_STATISTICS view, 13-10
DBMS_ADVISOR package, 26-2, 26-22, 26-25,
26-26, A-3
DBMS_AUTO_SQLTUNE package, 25-24
DBMS_AUTO_TASK_ADMIN package, 12-3
DBMS_MONITOR package, 1, 23-8, 23-12
end-to-end application tracing, 23-3
DBMS_SESSION package, 23-12
DBMS_SPM package, 29-1, 29-2, 29-14, 29-25,
29-34, 30-7
DBMS_SQL_MONITOR package, 21-7
DBMS_SQLDIAG package, 22-5
DBMS_SQLSET package, 24-4
DBMS_SQLTUNE package, 24-4, 25-27, 25-31,
25-37, 25-38, 27-6
SQL Tuning Advisor, 25-30
DBMS_STATS package, 12-3, 13-9, 13-15,
13-21, 13-34, 13-39–13-41, 14-1, 14-8,
14-11, 14-15, 15-1, 15-4, 15-6, 16-2,
16-5, 16-6, 17-2
DBMS_XPLAN, 7-38
DBMS_XPLAN package, 6-7
DDL (data definition language)
processing of, 3-10
deadlocks, 3-3
debugging designs, 2-3
dedicated server, 3-4
deferred invalidation, 20-17
density, histogram, 11-5
DEPTH column
TKPROF_TABLE table, 23-15
designs
debugging, 2-3
testing, 2-3
validating, 2-3
development environments, 2-3
DIAGNOSTIC_DEST initialization parameter,
23-11
DISTRIBUTION column
PLAN_TABLE table, 7-18, 7-29
domain indexes
and EXPLAIN PLAN, 7-18
using, A-12
DROP_SQL_PLAN_DIRECTIVE procedure,
12-16
dynamic statistics, 4-22, 10-14, 10-18, 10-28,
13-12, 22-2
controlling, 12-11
process, 12-12
sampling levels, 12-12
setting statistics level, 12-13
when to use, 12-15
E
end-to-end application tracing, 1-8, 1
action and module names, 23-3
creating a service, 23-3
DBMS_APPLICATION_INFO package, 23-3
DBMS_MONITOR package, 23-3
enabling, 23-7, 23-8
gathering statistics, 23-5
Index
3

end-to-end application tracing (continued)
multitenant environment, 23-3
overview, 23-1
performing, 23-1
purpose, 23-2
endpoint repeat counts, in histograms, 11-18
ESS
See Expression Statistics Store
examples
EXPLAIN PLAN output, 23-18
EXECUTE_TASK procedure, 26-15
execution plans, 1-7, 3-4
about, 6-1, 6-2
adaptive, 4-13, 7-2, 7-29
displaying, 6-1
generating, 6-1
generation, 4-10
guidelines, 6-4
overview of, 6-1
parallel execution, 7-6
reading, 7-1
reference, 7-28
TKPROF, 23-13, 23-25
V$ views, 7-29
viewing with the utlxpls.sql script, 6-5
execution trees, 3-7
EXPLAIN PLAN statement
access paths, 8-11, 8-12
and full partition-wise joins, 7-15
and partial partition-wise joins, 7-14
and partitioned objects, 7-10
basic steps, 6-6
examples of output, 23-18
invoking with the TKPROF program, 23-25
PLAN_TABLE table, 6-5
restrictions, 6-5
viewing the output, 6-5
expression statistics
creating, 14-14
dropping, 14-16
managing, 14-12
Expression Statistics Store (ESS), 4-30
expressions, optimizer
statistics, 14-12, 14-16
extended statistics, 10-7
extensions, optimizer, 10-19, 14-1
displaying, 14-15
external tables
guideline for gathering optimizer statistics,
13-9
F
fixed objects
gathering statistics for, 12-1, 13-11
FLUSH_DATABASE_MONITORING_INFO
procedure, 13-10
FLUSH_SQL_PLAN_DIRECTIVE procedure,
12-16
frequency histograms, 11-6, 11-10
full outer joins, 9-33
full partition-wise joins, 7-15
full table scans, 8-5, 8-6, 10-9, 11-2
function-based indexes, A-10
G
global temporary tables, 10-4
H
hard parsing, 2-2, 3-4, 3-6, 20-7
hash clusters, 8-43
sorted, A-14
hash joins, 9-15
cost-based optimization, 9-4
how they work, 9-16
outer joins, 9-31
hash partitions, 7-10
examples of, 7-11
hashing, A-14
height-balanced histograms, 11-14, 11-15
high-load SQL
tuning, 12-2, 25-30
hints, optimizer, 1-9, 19-9
about, 19-10
APPEND, 10-14
FULL, A-6
GATHER_OPTIMIZER_STATISTICS, 10-17
guidelines, 19-12
INDEX_JOIN, 8-30
multiple, 19-12
NO_GATHER_OPTIMIZER_STATISTICS,
10-17
NO_INDEX, A-6
NO_MONITOR, 21-12
NO_PX_JOIN_FILTER, 9-46
OPTIMIZER_FEATURES_ENABLE, 19-6
ORDERED, 9-43
PQ_DISTRIBUTE, 7-14
PX_JOIN_FILTER, 9-46
USE_NL, 9-14, 9-31
histograms, 11-1
bucket compression, 11-5
cardinality algorithms, 11-4
creation during bulk loads, 10-16
criteria for creation, 11-3
data skew, 11-2
definition, 11-1
density, 11-5
Index
Index-4

histograms (continued)
endpoint numbers, 11-4
endpoint repeat counts, 11-18
endpoint values, 11-4
frequency, 11-6, 11-10
height-balanced, 11-14, 11-15
hybrid, 11-18, 11-20
NDV, 11-1
nonpopular values, 11-5
popular values, 11-5
purpose, 11-2
top frequency, 11-10
hybrid histograms, 11-18, 11-20
HyperLogLog algorithm, 13-22
I
I/O
reducing, A-4
system statistics, 13-31
ID column
PLAN_TABLE table, 7-18, 7-29
In-Memory Aggregation, 5-18
In-Memory Expressions (IMEs)
Expression Statistics Store (ESS), 4-30
In-Memory table scans, 8-11
controls, 8-11
example, 8-12
when chosen, 8-11
Incident Manager, accessing, 22-4
incidents, SQL, 22-2
incremental statistics, 13-27, 13-29
maintenance, 13-19, 13-20
synopses, 13-21
index clustering factor, 10-9
index statistics, 10-8
index clustering factor, 10-9
INDEX_JOIN hint, 8-30
index-organized tables, A-11
indexes
avoiding the use of, A-6
B-tree, 8-13
bitmap, 4-19, 8-31, 8-33, 8-37, A-12
bitmap join, A-12
choosing columns for, A-3
composite, A-4, A-5
domain, 7-18, A-12
dropping, A-2
enforcing uniqueness, A-8
ensuring the use of, A-6
fast full scans, 8-26
full scans, 8-24
function-based, A-10
guidelines, A-1
improving selectivity, A-4
indexes (continued)
index-organized tables, A-11
join scans, 8-29
low selectivity, A-6
modifying values of, A-3
non-unique, A-8
partitioned, A-10
range scans, 8-20
re-creating, A-8
selectivity of, A-3
serialization on sequential key, A-6
skip scans, 8-27
unique scans, 8-18
inner loop, in nested loops joins, 9-7
invalidation, deferred, 20-17
J
join conditions, 9-1
join methods
about, 9-5
hash joins, 9-16
nested loops, 9-6, 9-8, 9-10
sort merge joins, 9-19
join optimizations, 9-44
Bloom filters, 9-44
partition-wise, 9-48, 9-49
join types, 9-25
antijoins, 9-37
inner joins, 9-25
outer joins, 5-29, 9-30, 9-31
semijoins, 9-35
joins, 9-1
about, 9-1
antijoins, 9-4, 9-38
band, 9-26
Bloom filters, 9-44
Cartesian, 9-1, 9-42, 9-43
conditions, 9-1
full outer, 9-33
hash, 9-15
how the optimizer executes, 9-3
index join scans, 8-29
innert, 9-25
join types, 9-25
nested loops, 3-7, 9-6, 9-7
nested loops and cost-based optimization,
9-4
order, 19-13
outer, 5-29, 9-30
partition-wise, 9-48, 9-49
examples of full, 7-15
examples of partial, 7-14
full, 7-15
semijoins, 9-4, 9-35, 9-36
Index
5

joins (continued)
sort merge, 9-21
sort-merge and cost-based optimization, 9-4
trees, 9-2
L
latches
parsing and, 3-4
left deep join trees, 9-2
library cache
misses, 3-4
literals, in cursors, 20-11
M
manual plan capture, 28-6
materialized views
comparison with bitmap join indexes, A-12
query rewrite, 5-11
modeling, data, 2-1
multiversion read consistency, 3-10
N
NDV, 11-1
nested loops joins, 9-6, 9-7
controls, 9-14
cost-based optimization, 9-4
current implementation, 9-10
how they work, 9-7
nested nested loops, 9-8
original implementation, 9-13
outer joins, 9-31
USE_NL hint, 9-14
NO_INDEX hint, A-6
NO_PX_JOIN_FILTER hint, 9-46
nonpopular values, in histograms, 11-5
NOT IN subquery, 9-4
nulls
in antijoins, 9-39
O
OBJECT_INSTANCE column
PLAN_TABLE table, 7-18, 7-29
OBJECT_NAME column
PLAN_TABLE table, 7-18, 7-29
OBJECT_NODE column
PLAN_TABLE table, 7-18, 7-29
OBJECT_OWNER column
PLAN_TABLE table, 7-18, 7-29
OBJECT_TYPE column
PLAN_TABLE table, 7-18, 7-29
OPERATION column
PLAN_TABLE table, 7-18, 7-29
optimizer
about, 3-6
access paths, 8-1
adaptive, 7-2
concepts, 4-1
cost-based, 4-2
definition, 4-1
environment, 3-4
estimator, 4-6
execution, 3-7
Expression Statistics Store (ESS), 4-30
extensions, 10-19, 14-15
goals, 19-7
plan generation, 4-10
purpose of, 4-2
query transformer, 4-6
row sources, 3-6, 9-5
SQL plan directives, 10-19
SQL processing, 3-1
throughput, 19-7
OPTIMIZER column
PLAN_TABLE, 7-18, 7-29
optimizer hints, 1-9, 19-9
about, 19-10
APPEND, 10-14
FULL, A-6
guidelines, 19-12
INDEX_JOIN, 8-30
MONITOR, 21-12
multiple, 19-12
NO_INDEX, A-6
OPTIMIZER_FEATURES_ENABLE, 19-6
ORDERED, 9-43
PQ_DISTRIBUTE, 7-14
USE_NL, 9-31
optimizer statistics, 1, 10-1
adaptive statistics, 4-21
automatic collection, 13-1, 13-2
bulk loads, 10-14, 10-15
cardinality, 11-2
collection, 12-1
column groups, 10-20, 14-1–14-3, 14-5,
14-8, 14-10
controlling, 15-1
determining staleness, 13-10
dynamic, 10-14, 10-18, 12-11, 13-12, 22-2
exporting and importing, 17-1
expressions, 14-12, 14-16
extended, 10-7, 14-1
gathering, 13-1
gathering concurrently, 13-13–13-15, 5
gathering during bulk loads, 10-16
gathering manually, 13-6, 13-7
Index
Index-6

optimizer statistics (continued)
global statistics, 13-21
guideline for gathering external table, 13-9
histograms, 11-1, 11-15
history, 16-4
how gathered, 10-13
incremental, 13-19, 13-20, 13-27, 13-29
index, 10-8
locking, 15-1
managing, 16-1
manual collection, 13-6
monitoring collection, 13-18
noworkload, 13-39
Optimizer Statistics Advisor, 18-1–18-3
options for gathering, 12-1
partitioned tables, 13-9, 13-24
pending, 15-3, 15-6
pluggable databases and, 13-2
preferences, 12-3–12-6
publishing, 15-4
purging, 16-6
reporting mode, 13-41
restoring, 16-2
retention, 16-4
retention period, 16-5
setting, 15-8, 15-10
SQL plan directives, 10-19, 14-1
system, 13-33, 13-34, 13-39, 13-40, 25-6
table, 10-3
temporary, 10-4
transporting, 17-2
types, 10-3
unlocking, 15-2
when gathered, 10-18
workload, 13-35
Optimizer Statistics Advisor, 18-1
about, 18-4
actions, 18-7
basic tasks, 18-10
benefits, 18-4
components, 18-5
creating a rule filter, 18-18, 18-20
creating a task, 18-13, 18-24
creating an object filter, 18-15
DBA_ADVISOR_EXECUTIONS view, 18-14
DBMS_STATS PL/SQL package, 18-8
executing a task, 18-23
filters, 18-15
findings, 18-7
generating a script, 18-30
implementing actions automatically, 18-28
listing advisor tasks, 18-14
modes of operation, 18-8
problems with script-based approach, 18-3
purpose, 18-2
Optimizer Statistics Advisor (continued)
recommendations, 18-7
rules, 18-5
optimizer statistics collection, 12-1
optimizer statistics collectors, 4-14
OPTIMIZER_ADAPTIVE_FEATURES
initialization parameter, xxxi
OPTIMIZER_ADAPTIVE_STATISTICS
initialization parameter, 4-25
OPTIMIZER_CAPTURE_SQL_PLAN_BASELIN
ES initialization parameter, 28-4, 29-5
OPTIMIZER_FEATURES_ENABLE initialization
parameter, 19-6
OPTIMIZER_USE_PENDING_STATISTICS
initialization parameter, 15-4
OPTIMIZER_USE_SQL_PLAN_BASELINES
initialization parameter, 28-4, 29-5
OPTIONS column
PLAN_TABLE table, 7-18, 7-29
OR expansion, 5-1
ORA$AUTOTASK consumer group, 13-15
Oracle Exadata Database Machine, 25-6, 27-3
ORDERED hint, 9-43
OTHER column
PLAN_TABLE table, 7-18, 7-29
OTHER_TAG column
PLAN_TABLE table, 7-18, 7-29
outer joins, 9-30, 9-31
hash joins, 9-31
outer loops, in nested loops join, 9-7
P
parent cursors, 20-4, 20-5
PARENT_ID column
PLAN_TABLE table, 7-18, 7-29
parsing, SQL, 3-3
hard, 2-2, 20-7
hard parse, 3-4
parse trees, 3-7
soft, 2-2
soft parse, 3-4
PARTITION_ID column
PLAN_TABLE table, 7-18, 7-29
PARTITION_START column
PLAN_TABLE table, 7-18, 7-29
PARTITION_STOP column
PLAN_TABLE table, 7-18, 7-29
partition-wise joins, 9-48
full, 7-15
full, and EXPLAIN PLAN output, 7-15
how they work, 9-49
partial, and EXPLAIN PLAN output, 7-14
purpose, 9-49
partitioned indexes, A-10
Index
7

partitioned objects
and EXPLAIN PLAN statement, 7-10
gathering incremental statistics, 13-19, 13-20
gathering statistics, 13-24
guideline for gathering statistics, 13-9
partitioning
examples of, 7-11
examples of composite, 7-12
hash, 7-10, A-10
maintenance operations, 13-27
range, 7-10, A-10
start and stop columns, 7-11
plan evolution
purpose, 28-9
PLAN_TABLE table
BYTES column, 7-18, 7-29
CARDINALITY column, 7-18, 7-29
COST column, 7-18, 7-29
creating, 6-5
displaying, 6-7
DISTRIBUTION column, 7-18, 7-29
ID column, 7-18, 7-29
OBJECT_INSTANCE column, 7-18, 7-29
OBJECT_NAME column, 7-18, 7-29
OBJECT_NODE column, 7-18, 7-29
OBJECT_OWNER column, 7-18, 7-29
OBJECT_TYPE column, 7-18, 7-29
OPERATION column, 7-18, 7-29
OPTIMIZER column, 7-18, 7-29
OPTIONS column, 7-18, 7-29
OTHER column, 7-18, 7-29
OTHER_TAG column, 7-18, 7-29
PARENT_ID column, 7-18, 7-29
PARTITION_ID column, 7-18, 7-29
PARTITION_START column, 7-18, 7-29
PARTITION_STOP column, 7-18, 7-29
POSITION column, 7-18, 7-29
REMARKS column, 7-18, 7-29
SEARCH_COLUMNS column, 7-18, 7-29
STATEMENT_ID column, 7-18, 7-29
TIMESTAMP column, 7-18, 7-29
pluggable databases
automatic optimizer statistics collection, 13-2
manageability features, 13-2
SQL management base, 28-10
SQL Tuning Advisor, 25-1
SQL tuning sets, 24-1
popular values, in histograms, 11-5
POSITION column
PLAN_TABLE table, 7-18, 7-29
PQ_DISTRIBUTE hint, 7-14
preferences, optimizer statistics, 12-4, 12-6
primary keys
generated by sequence, A-6
private SQL areas, 20-1, 20-2
private SQL areas (continued)
parsing and, 3-3
processes
dedicated server, 3-4
profiles, SQL
about, 27-1
concepts, 27-2
implementing, 27-7
managing, 27-1
programming languages, 2-3
PX_JOIN_FILTER hint, 9-46
Q
queries
avoiding the use of indexes, A-6
ensuring the use of indexes, A-6
query transformations, 5-1
In-Memory Aggregation, 5-18
join factorization, 5-26
OR expansion, 5-1
predicate pushing, 5-9
purpose of table expansions, 5-21
query rewrite with materialized views, 5-11
star transformation, 5-14
star transformations, 5-11, 8-33
subquery unnesting, 5-10
table expansion, 5-20–5-22
view merging, 5-3
query transformer, 4-6
R
range
examples of partitions, 7-11
partitions, 7-10
Real-Time Database Operations, 1-8
Real-Time SQL Monitoring, 1-8, 21-1
architecture, 21-3
Real-World Performance
cursor sharing, 20-1
recursive SQL, 3-10, 10-14, 10-30, 23-17
REMARKS column
PLAN_TABLE table, 7-18, 7-29
reoptimization, automatic, 4-22, 7-2, 10-21
cardinality misestimates, 4-22
performance feedback, 4-24
statistics feedback, 4-22
restoring optimizer statistics, 16-2
result sets, SQL, 3-6, 3-9
right deep join trees, 9-2
rolling invalid cursors, 20-17
rollout strategies
big bang approach, 2-4
trickle approach, 2-4
Index
Index-8

rowids
table access by, 8-8
rows
row sets, 3-6
row sources, 3-6, 1, 9-5
rowids used to locate, 8-8
S
SAMPLE BLOCK clause, 8-10
SAMPLE clause, 8-10
sample table scans, 8-10
scans
In-Memory, 8-11
sample table, 8-10
SEARCH_COLUMNS column
PLAN_TABLE table, 7-18, 7-29
SELECT statement
SAMPLE clause, 8-10
selectivity
creating indexes, A-3
improving for an index, A-4
indexes, A-6
semijoins, 9-4, 9-35
how they work, 9-36
when the optimizer consider, 9-35
SET_EVOLVE_TASK_PARAMETER procedure,
29-9
shared cursors
life cycle, 20-15
shared pool, 10-20, 20-1
parsing check, 3-4
shared SQL areas, 3-4, 20-2
SMB
See SQL management base
soft parsing, 2-2, 3-4
sort merge joins, 9-19
cost-based optimization, 9-4
how they work, 9-21
SPM Evolve Advisor, 29-5, 29-9
SPM Evolve Advisor task
about, 29-9
managing, 29-9
scheduling, 29-10
SQL
controls, 1
execution, 3-7
operators, 1
optimization, 4-2
parsing, 3-3
processing, 3-1
recursive, 3-10, 10-30, 12-11
result sets, 3-6, 3-9
stages of processing, 8-2, 8-13
test cases, 22-1
SQL Access Advisor, 1-6, 26-2
about, 26-1
actions, 26-5
advanced tasks, 26-21
basic tasks, 26-8
constants, 26-32
creating task templates, 26-23
deleting tasks, 26-27
demo script, 26-29
evaluation mode, 26-22
EXECUTE_TASK procedure, 26-15
filter options, 26-4
input sources, 26-4
marking recommendations, 26-28
modifying recommendations, 26-28
populating SQL tuning sets, 26-11
quick tune, 26-21
recommendations, 26-6
reference, 26-29
repository, 26-7
task categories, 26-31
terminating tasks, 26-25
updating task attributes, 26-22
user interfaces, 26-7
SQL compilation, 10-18, 10-20, 10-30
SQL incidents, 22-2
SQL management base, 29-34
changing disk space limits, 29-34
managing, 29-33, 29-34
plan retention policy, 29-35
pluggable databases and, 28-10
SQL Performance Analyzer, 1-7
SQL plan baselines, 1-7, 4-29, 28-1
automatic plan capture, 28-5
configuring initial capture, 29-5
displaying, 29-12
dropping, 29-32
loading, 29-14
loading from AWR, 29-15
loading from shared SQL area, 29-17
loading using DBMS_SPM, 29-14
managing, 29-1
plan history, 28-12
plan matching, 28-5
plan retention, 29-35
SQL plan capture, 28-4
configuring filters of automatic plan capture,
29-7
enabling automatic, 29-6
SQL plan directives, 4-25, 10-19, 14-1
cardinality misestimates, 10-20
creation, 10-19
managing, 12-16
SQL plan evolution
managing an evolve task, 29-25
Index
9

SQL plan history, 28-12
SQL plan management, 1-7
accepted plans, 4-29
automatic plan capture, 28-4, 29-6
basic tasks, 29-4
benefits, 28-2
configuring, 29-5
DBMS_SPM, 29-3
DBMS_SPM package, 29-2
filters for automatic plan capture, 29-7
introduction, 28-1
loading plans from a staging table, 29-21
loading plans from SQL tuning sets, 29-19
manual plan capture, 28-6
plan capture, 28-1
plan evolution, 28-1, 28-8, 29-25
plan retention, 29-35
plan selection, 28-1, 28-7
plan verification, 28-8
purpose, 28-2
SPM Evolve Advisor, 29-9
SQL management base, 29-33, 29-34
SQL plan baselines, 4-29, 28-1, 29-1, 29-32
SQL plan capture, 28-4
storage architecture, 28-10
user interfaces, 29-2
SQL processing, 3-1
semantic check, 3-4
shared pool check, 3-4
stages, 3-1
syntax check, 3-3
SQL profiles, 1-6, 25-7
about, 27-1
and SQL plan baselines, 28-3
concepts, 27-2
Exadata-aware, 27-3
implementing, 27-7
managing, 27-1
statistics, 27-3
user interface, 27-6
SQL statement log, 28-11
SQL statements
avoiding the use of indexes, A-6
ensuring the use of indexes, A-6
execution plans of, 6-1
modifying indexed data, A-3
SQL Test Case Builder, 22-1
accessing the Incident Manager, 22-4
accessing the Support Workbench, 22-5
command-line interface, 22-5
gathering diagnostic data, 22-1
graphical interface, 22-4
key concepts, 22-1
output, 22-3
running, 22-6
SQL Test Case Builder (continued)
SQL incidents, 22-2
user interfaces, 22-3
what it captures, 22-2
SQL trace facility, 1, 23-4, 23-11
enabling, 23-12
generating output, 23-13
output, 23-27
statement truncation, 23-13
trace files, 1-8, 23-11
SQL tuning
automation, 1-5
definition, 1-1
introduction, 1-1
manual tools, 1-7
proactive, 1-3
purpose, 1-1
reactive, 1-3
tools overview, 1-2, 1-4
SQL Tuning Advisor, 1-6, 25-1
about, 25-1
administering with APIs, 25-30
analyses, 25-5
architecture, 25-2
automatic, 25-20, 25-27
automatic tuning task, 25-18, 25-24
command-line interface, 25-31
configuring a SQL tuning task, 25-34
controls, 25-15
creating a task, 25-33
DBMS_SQLTUNE, 25-31
displaying tuning results, 25-38
executing a task, 25-36
input sources, 25-4
monitoring tasks, 25-37
pluggable databases and, 25-1
reports, 25-26
running on-demand, 25-29, 25-30
statistical analysis, 25-6
using, 12-2, 25-30
using remotely, 25-16
SQL tuning sets
command-line interface, 24-4
loading in SQL plan baselines, 29-19
managing with APIs, 24-1
pluggable databases and, 24-1
populating with user-defined workload, 26-11
SQL_STATEMENT column
TKPROF_TABLE, 23-15
star transformations, 5-11, 5-14, 8-33
start columns
in partitioning and EXPLAIN PLAN
statement, 7-11
STATEMENT_ID column
PLAN_TABLE table, 7-18, 7-29
Index
Index-10

STATISTICS_LEVEL initialization parameter,
16-6
statistics, optimizer, 4-2, 1
adaptive statistics, 4-21, 13-22
automatic collection, 13-1, 13-2
bulk loads, 10-14, 10-15
cardinality, 11-2
collection, 12-1
column group, 10-20
column groups, 14-1, 14-3, 14-6, 14-8, 14-10
controlling, 15-1
deleting, 13-40
determining staleness, 13-10
dynamic, 10-14, 10-18, 12-11, 13-12, 22-2
dynamic statistics, 10-28
exporting and importing, 17-1
expressions, 14-12
extended, 10-7, 14-1
gathering concurrently, 13-13, 13-14
gathering manually, 13-6, 13-7
global statistics, 13-21
guideline for external tables, 13-9
history, 16-4
how gathered, 10-13
incremental, 13-19, 13-20, 13-27, 13-29
index, 10-8
locking, 15-1
managing, 16-1
manual collection, 13-6
monitoring collection, 13-18
noworkload, 13-39
Optimizer Statistics Advisor, 18-1–18-3
options for gathering, 12-1
partitioned tables, 13-24
pending, 15-3, 15-6
preferences, 12-3
publishing, 15-4
purging, 16-6
reporting mode, 13-41
restoring, 16-2
retention, 16-4
retention period, 16-5
setting, 15-8
system, 10-13, 13-31, 13-33, 13-34
table, 10-3
transporting, 17-2
types, 10-3
unlocking, 15-2
user-defined, 10-13
when gathered, 10-18
workload, 13-35
stop columns
in partitioning and EXPLAIN PLAN
statement, 7-11
stored outlines
stored outlines (continued)
about, 30-1
categories, 30-4
how they work, 30-3
purpose of migrating, 30-2
subqueries
NOT IN, 9-4
Support Workbench, accessing, 22-5
synopses, 13-21
SYS_AUTO_SQL_TUNING_TASK, 25-36
system statistics, 13-33, 13-34, 25-6
about, 13-31
deleting, 13-40
gathering, 13-37
noworkload, 13-39
T
table clusters, A-13
access paths, 8-41
guidelines, A-1
table expansion
about, 5-20
how it works, 5-21
purpose, 5-21
scenario, 5-22
table statistics, 10-3
task templates, SQL Access Advisor, 26-23
temporary tables
cursor-duration, 5-18–5-20
global, 10-4
types, 10-4
testing designs, 2-3
throughput
optimizer goal, 19-7
TIMED_STATISTICS initialization parameter,
23-27
TIMESTAMP column
PLAN_TABLE table, 7-18, 7-29
TKPROF program, 23-4, 23-11, 23-21, 23-23
editing the output SQL script, 23-15
example of output, 23-18
generating the output SQL script, 23-15
row source operations, 23-29
timing statistics, 23-17
using the EXPLAIN PLAN statement, 23-25
wait event information, 23-29
TKPROF_TABLE, 23-15
top frequency histograms, 11-10
tracing, 1, 23-1
consolidating with TRCSESS, 23-21
enabling, 23-7, 23-8
enabling statistics gathering, 23-5
generating output files, 23-11
identifying files, 23-11
Index
11

transformations, query
In-Memory Aggregation, 5-18
join factorization, 5-26
predicate pushing, 5-9
purpose of table expansions, 5-21
star, 5-11
subquery unnesting, 5-10
table expansion, 5-20–5-22
view merging, 5-3
transformer, query, 4-6
TRCSESS program, 23-21
trees, join, 9-2
trickle rollout strategy, 2-4
TRUNCATE command, 16-2
tuning
logical structure, A-2
U
unique index scans, 8-18
USE_NL hint, 9-14, 9-31
USER_ID column, TKPROF_TABLE, 23-15
utlxplp.sql script, 6-7
utlxpls.sql script, 6-7
V
V$SESSION view, 23-5
V$SQL view, 20-6, 20-31
V$SQL_CS_HISTOGRAM view, 20-31
V$SQL_CS_SELECTIVITY view, 20-31
V$SQL_CS_STATISTICS view, 20-31
V$SQL_PLAN view
using to display execution plan, 6-4
V$SQL_PLAN_STATISTICS view
using to display execution plan statistics, 6-4
V$SQL_PLAN_STATISTICS_ALL view
using to display execution plan information,
6-4
V$SQLAREA view, 20-5
validating designs, 2-3
view merging, 5-3
W
workloads, 2-3
Index
Index-12