Contents AISC 360 05 Example 001

User Manual: AISC 360-05 Example 001

Open the PDF directly: View PDF PDF.
Page Count: 7

Page 1 of 7 - Contents AISC 360-05 Example 001
Page 2 of 7 - Contents AISC 360-05 Example 001
Page 3 of 7 - Contents AISC 360-05 Example 001
Page 4 of 7 - Contents AISC 360-05 Example 001
Page 5 of 7 - Contents AISC 360-05 Example 001
Page 6 of 7 - Contents AISC 360-05 Example 001
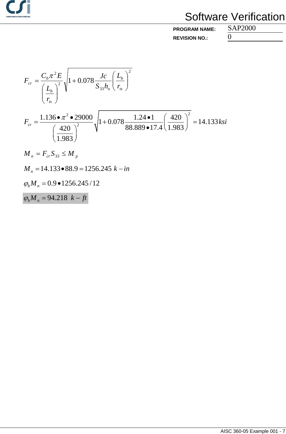
Page 7 of 7 - Contents AISC 360-05 Example 001

Navigation menu