AMQ User Guide Active MQ 5.2 Reference V1.8
User Manual:
Open the PDF directly: View PDF
.
Page Count: 146 [warning: Documents this large are best viewed by clicking the View PDF Link!]
- 1Introduction
- 2ActiveMQ Components
- 3Connectors
- 4Wildcards
- 5Client Configuration
- 6Broker Configuration
- 7Wire Protocols
- 8Network of Brokers
- 9Advisory Messaging
- 10Administration
- 11Logging
- 12 Destination/Consumer Options
- 13 Advanced Features
- 13.1Asynchronous Sends
- 13.2 Message Groups
- 13.3Topic Message Ordering
- 13.4 Binary Large Objects (BLOBs)
- 13.5 Composite Destinations
- 13.6 Virtual Topics
- 13.7Mirrored Queues
- 13.8Message Transformers
- 13.9Connection Pooling
- 13.10Spring Support
- 13.11Message Cursors
- 13.12Enterprise Integration Patterns
- 13.13Individual Acknowledge
- 13.14Prioritizing Messages
- 14Extending ActiveMQ’s Functionality
- 15Destination Policies
- 16Authentication and Authorization Services
- 17Performance

ActiveMQ 5.2 Reference Guide
Table of Contents
1 INTRODUCTION ...................................................................................................................................................... 1
1.1 What Is ActiveMQ? ............................................................................................................................................... 1
1.2 What is MOM? ...................................................................................................................................................... 2
1.3 Why Use ActiveMQ .............................................................................................................................................. 3
1.4 When and Where to Use ActiveMQ ...................................................................................................................... 4
1.4.1 Where ............................................................................................................................................................. 4
1.4.2 When .............................................................................................................................................................. 4
1.5 Downloading and Installing ActiveMQ ................................................................................................................. 5
2 ACTIVEMQ COMPONENTS ................................................................................................................................. 5
3 CONNECTORS .......................................................................................................................................................... 9
3.1 Connector URIs .................................................................................................................................................. 11
3.2 Low-Level Connectors ........................................................................................................................................ 12
3.2.1 VM ............................................................................................................................................................... 13
3.2.2 Peer .............................................................................................................................................................. 16
3.2.3 TCP .............................................................................................................................................................. 17
3.2.4 NIO .............................................................................................................................................................. 18
3.2.5 SSL ............................................................................................................................................................... 19
3.2.5.1 Setting up the SSL Key and Trust Stores ............................................................................................................... 19
3.2.5.2 Starting the SSL-enabled Broker ............................................................................................................................ 20
3.2.5.3 Starting the SSL-enabled Client ............................................................................................................................. 20
3.2.6 HTTP/HTTPS ............................................................................................................................................... 21
3.2.7 Multicast ...................................................................................................................................................... 22
3.2.8 Rendezvous .................................................................................................................................................. 23
3.3 Composite Connectors ....................................................................................................................................... 25
3.3.1 Static ............................................................................................................................................................ 25
3.3.2 Failover ........................................................................................................................................................ 26
3.3.3 Discovery ..................................................................................................................................................... 27
3.3.4 Fanout .......................................................................................................................................................... 29
3.4 Monitoring a Transport Connector ..................................................................................................................... 30
4 WILDCARDS ........................................................................................................................................................... 31
5 CLIENT CONFIGURATION ................................................................................................................................ 32
5.1 The jndi.properties File ....................................................................................................................................... 32
5.2 The LDAP-based JNDI ....................................................................................................................................... 38
5.2.1 Environment Properties Hashtable ............................................................................................................. 39
5.2.2 The jndi.properties File ............................................................................................................................... 40
5.2.3 System Properties ........................................................................................................................................ 41
5.2.4 JNDI Operations .......................................................................................................................................... 41
5.3 Tomcat ................................................................................................................................................................ 42
5.4 Spring ................................................................................................................................................................. 45
6 BROKER CONFIGURATION ............................................................................................................................. 45
6.1 Specifying the Broker’s XML Configuration File ............................................................................................... 45
6.2 The Broker’s XML Configuration File ................................................................................................................ 46
6.2.1 broker ........................................................................................................................................................... 47
6.2.2 transportConnector ...................................................................................................................................... 49
Copyright 2008, Total Transaction Management
www.ttmsolutions.com
i

ActiveMQ 5.2 Reference Guide
6.2.3 networkConnector ........................................................................................................................................ 51
6.2.4 systemUsage ................................................................................................................................................ 54
6.2.5 persistenceAdapter ...................................................................................................................................... 56
6.2.5.1 amqPersistenceAdapter .......................................................................................................................................... 57
6.2.5.2 journaledJDBC ...................................................................................................................................................... 57
6.2.6 destinations .................................................................................................................................................. 57
6.3 UseDedicatedTaskRunner ................................................................................................................................... 58
7 WIRE PROTOCOLS ............................................................................................................................................... 58
8 NETWORK OF BROKERS ................................................................................................................................... 60
8.1 Store and Forward ............................................................................................................................................... 60
8.2 High Availability ................................................................................................................................................. 61
8.2.1 Master/Slave Broker Configurations ........................................................................................................... 61
8.2.1.1 Pure Master Slave .................................................................................................................................................. 62
8.2.1.2 Shared File System Master Slave .......................................................................................................................... 66
8.2.1.3 JDBC Master Slave ............................................................................................................................................... 68
8.3 Isolating Your Broker From Other Brokers ....................................................................................................... 68
9 ADVISORY MESSAGING ..................................................................................................................................... 70
10 ADMINISTRATION ............................................................................................................................................. 72
10.1 Command Line Tools ....................................................................................................................................... 72
10.2 JConsole ............................................................................................................................................................ 75
10.2.1 Configuration ............................................................................................................................................ 75
10.2.2 Connection ................................................................................................................................................. 76
10.2.3 Operation ................................................................................................................................................... 77
10.3 Web Console ..................................................................................................................................................... 79
10.3.1 Securing Access to the Web Console ......................................................................................................... 83
10.4 DestinationSource ............................................................................................................................................. 83
11 LOGGING .............................................................................................................................................................. 84
11.1 Commons-logging ............................................................................................................................................. 84
11.2 Log4j ................................................................................................................................................................. 84
11.3 java.util.logging ................................................................................................................................................. 85
11.4 Controlling Logging with JConsole ................................................................................................................... 87
11.5 Client Logging ................................................................................................................................................... 87
12 DESTINATION/CONSUMER OPTIONS ........................................................................................................ 87
12.1 Prefetch Limits ................................................................................................................................................. 89
12.2 Slow Consumers ............................................................................................................................................... 91
12.3 Asynchronous Dispatch .................................................................................................................................... 95
12.4 Retroactive Consumers .................................................................................................................................... 95
12.5 Exclusive Consumers ...................................................................................................................................... 98
12.6 Dead Letter Queue (DLQ) ................................................................................................................................ 99
12.6.1 individualDeadLetterStrategy .................................................................................................................... 99
12.6.2 sharedDeadLetterStrategy ....................................................................................................................... 100
12.6.3 DiscardingDLQBroker ............................................................................................................................ 101
13 ADVANCED FEATURES ................................................................................................................................. 102
13.1 Asynchronous Sends ....................................................................................................................................... 102
13.1.1 Flow Control ............................................................................................................................................ 102
13.2 Message Groups ............................................................................................................................................ 103
13.2.1 Message Groups vs Selectors .................................................................................................................. 105
13.3 Topic Message Ordering ................................................................................................................................ 106
Copyright 2008, Total Transaction Management
www.ttmsolutions.com
ii

ActiveMQ 5.2 Reference Guide
13.4 Binary Large Objects (BLOBs) ...................................................................................................................... 107
13.4.1 Sending a BLOB ...................................................................................................................................... 108
13.4.2 Receiving a BLOB ................................................................................................................................... 111
13.5 Composite Destinations .................................................................................................................................. 112
13.5.1 Client-Side Composite Destinations ........................................................................................................ 112
13.5.2 Broker-Side Composite Destinations ....................................................................................................... 113
13.5.3 Selecting Composite Destinations .......................................................................................................... 114
13.6 Virtual Topics ................................................................................................................................................. 115
13.6.1 Virtual Topics vs. Composite Destinations .............................................................................................. 119
13.7 Mirrored Queues ............................................................................................................................................. 119
13.8 Message Transformers .................................................................................................................................... 121
13.9 Connection Pooling ......................................................................................................................................... 121
13.10 Spring Support .............................................................................................................................................. 122
13.11 Message Cursors ........................................................................................................................................... 122
13.12 Enterprise Integration Patterns ...................................................................................................................... 123
13.13 Individual Acknowledge ................................................................................................................................ 123
13.14 Prioritizing Messages .................................................................................................................................... 123
14 EXTENDING ACTIVEMQ’S FUNCTIONALITY .......................................................................................... 123
15 DESTINATION POLICIES ................................................................................................................................ 127
16 AUTHENTICATION AND AUTHORIZATION SERVICES ........................................................................ 128
16.1 Authentication ................................................................................................................................................. 129
16.1.1 Authentication and Authorization between Message Brokers ................................................................. 131
16.2 Authorization ................................................................................................................................................... 132
16.2.1 Controlling Access To Temporary Destinations .................................................................................... 134
16.3 Camel ............................................................................................................................................................... 135
16.4 TTM’s Security Plugins ................................................................................................................................... 135
16.4.1 File Based Security Plugin ...................................................................................................................... 135
16.4.2 LDAP Based Security Plugin ................................................................................................................... 136
17 PERFORMANCE ............................................................................................................................................. 137
17.1 Persistent vs. Transient Messages ................................................................................................................... 137
17.1.1 Asynchronous Sends ................................................................................................................................ 137
17.1.2 Transactions ............................................................................................................................................ 137
17.2 Prefetch Limit .................................................................................................................................................. 138
17.3 Threads ........................................................................................................................................................... 139
17.4 DUPS_OK_ACKNOWLEDGE ...................................................................................................................... 139
17.5 Optimized Acknowledge ................................................................................................................................. 139
17.6 Asynchronous Dispatch .................................................................................................................................. 140
17.7 Embedded Brokers ......................................................................................................................................... 140
17.8 Message Copy ................................................................................................................................................. 140
17.9 OpenWire Loose Encoding ............................................................................................................................. 140
1. JAR FILE REQUIREMENTS.............................................................................................................................142
Copyright 2008, Total Transaction Management
www.ttmsolutions.com
iii

ActiveMQ 5.2 Reference Guide
1 Introduction
The primary goal of this document is to serve as a reference guide on how to use and configure
the Apache ActiveMQ message broker. This is a living document that continues to evolve as the
product evolves and we uncover more information regarding the product’s use.
ActiveMQ is a highly configurable, feature rich messaging system. This release of the guide
captures, what we understand to be, the more important aspects of configuring and using
ActiveMQ.
The guide supplements the documentation currently available on the Apache ActiveMQ web
site, and we hope the guide will help you successfully deploy ActiveMQ.
The document assumes the reader has a basic understanding of message-oriented middleware,
the Java programming language, and XML.
Comments and/or suggestions regarding this reference guide would be greatly appreciated. You
can email them to the document’s primary author: Joe Fernandez .
1.1 What Is ActiveMQ?
ActiveMQ is an open source, message-oriented middleware (MOM) system that is developed
and maintained by the Apache Software Foundation (ASF). The next section briefly describes a
MOM system; to learn more about MOM in general, visit the Middleware Resource Center.
ActiveMQ provides the following quality of service (QoS) features, which are expected by
world-class enterprise deployments: performance, scalability, availability, reliability,
transactional integrity, and security. ActiveMQ’s clustering and failover technologies provide
unprecedented high availability. ActiveMQ also supports a myriad of different low-level
transport protocols such as TCP, SSL, HTTP, HTTPS, and XMPP.
ActiveMQ adheres to a plugin architecture that makes it an extendible messaging framework, as
well as messaging system. The extendible nature of its architecture allows you to develop
custom modules that are included in various parts of the core engine’s processing chain.
Examples of such modules are core engine plugins, transport connectors, message dispatch
policies, persistence adapters, and network services.
ActiveMQ’s messaging engine, or message broker, is written in the Java programming language
and fully implements version 1.1 of Sun Microsystem’s Java Messaging Service (JMS)
Copyright 2008, Total Transaction Management
www.ttmsolutions.com
1

ActiveMQ 5.2 Reference Guide
specification/standard; therefore, it presents a standards-based MOM system through which Java
applications can reliably communicate messages to one another. This reference guide assumes
the reader has a basic understanding of the Java programming language and JMS 1.1
specification. This guide also advocates developing portable JMS applications and as such,
emphasizes adherence to the JMS and the Java Naming and Directory Service (JNDI). There are
instances where the guide makes reference to ActiveMQ’s native application programming
interfaces, and in those instances the reader is warned that making direct reference to such
objects will compromise the portability of their JMS client.
ActiveMQ can be deployed on any operating platform (e.g., Windows, UNIX, and Linux) that
provides a compatible Java Virtual Machine (JDK 1.5 or higher).
Even though it is written in Java, with the primary goal of implementing the JMS API,
ActiveMQ also supports other programming languages (e.g., C#, Ruby, Python, C/C++). This
document focuses on JMS clients and does not cover the non-Java clients. Please refer to the
ActiveMQ web site for more information on ActiveMQ’s support for non-Java programming
languages.
You should visit the FAQ on the ActiveMQ web site; it covers a broad range of ActiveMQ
topics.
1.2 What is MOM?
MOM is a specific type of messaging middleware that facilitates communications between
loosely coupled distributed applications. MOM is more closely identified with providing
asynchronous communications, via queues, between the loosely coupled applications. So within
the MOM framework, messages are sent to and delivered from a message queue. MOM clients
send a message to a queue and the message remains in the queue until another MOM client
retrieves the message from that queue. One advantage to this asynchronous messaging model is
that the client retrieving the message does not have to be available when the message is sent to
the queue and can instead retrieve the message at any time. This is sometimes referred to as
deferred communications.
All of the above is opposed to a more tightly-coupled synchronous communications model where
the sender and receiver of a message must be available at the same time in order to successfully
communicate with one another. One example of a tightly coupled distributed system requiring
synchronous communications is Remote Method Invocation (RMI). With RMI, the sender
requires the receiver to be available when it sends the message; if not, the corresponding remote
method invocation fails.
Even though MOM is more closely identified with asynchronous communications, most MOM
implementations, including ActiveMQ, can also accommodate the more tightly-coupled
synchronous communications paradigm. This is typically performed via the Request-Reply
messaging pattern.
Copyright 2008, Total Transaction Management
www.ttmsolutions.com
2

ActiveMQ 5.2 Reference Guide
1.3 Why Use ActiveMQ
ActiveMQ is the most popular open source software (OSS) MOM today, and is rapidly becoming
the de-facto MOM for OSS-based Service Oriented Architecture (SOA) deployments.
The following are advantages of employing OSS and ActiveMQ:
1) OSS advantages:
a. OSS is more cost effective than proprietary products; there are no royalty license
fees.
b. OSS is now accepted due to the success of Linux and the numerous projects
(including ActiveMQ) that comprise the Apache Software Foundation (ASF).
c. OSS provides customers freedom from being “locked in” to proprietary providers
of expensive software products, licenses, and support.
d. OSS provides more flexibility for support and current status through third party
professional services providers and public user forums.
2) AMQ advantages:
a. ActiveMQ is OSS
b. ActiveMQ can be integrated with other JMS providers (e.g., IBM’s MQ-Series,
Progress’ SonicMQ, and BEA’s MessageQ), and supports clients written in C/C+
+, C#, Ruby, Perl, and PHP. This provides a path for enterprises to embrace open
source ESB for future implementations, regardless of past technology
commitments.
c. ActiveMQ offers proven scalability, availability, and performance that will grow
with the customer’s requirements.
d. ActiveMQ is standards based. It supports the open standard JMS 1.1 Application
Programming Interface (API), with the ability to communicate between
distributed applications using messaging and queuing interfaces.
e. The ActiveMQ message broker is written in the Java language, and is thus very
portable.
f. ActiveMQ can facilitate a wide range of general purpose solutions via multiple
messaging pattern paradigms and numerous attributes.
g. ActiveMQ makes it easier to leverage grid and virtual server farms with built in
load-balancing and optional persistence and performance monitoring through
Java Management Extensions (JMX).
h. ActiveMQ is currently available and is successfully employed in customer
production environments.
i. ActiveMQ is continually supported and updated by the ASF and the user
community.
3) AMQ features:
a. ActiveMQ is a fast and feature-rich open source JMS message broker primarily
targeted for loosely coupled, distributed application environments. It provides
Copyright 2008, Total Transaction Management
www.ttmsolutions.com
3

ActiveMQ 5.2 Reference Guide
persistence and once-and-only-once assurance of message delivery, and can be
highly scalable through clustering, peer-to-peer and federated network.
b. ActiveMQ fully supports JMS 1.1 with reliable support for non-persistent,
persistent, transactional and XA messaging.
c. ActiveMQ supports both point-to-point and publish-and-subscribe messaging
models.
d. ActiveMQ provides high availability and high performance clustering and general
purpose asynchronous messaging.
e. ActiveMQ can be used from .NET, C/C++ or from scripting languages like Perl,
Python, PHP and Ruby via various "Cross Language Clients.”
f. ActiveMQ supports secure Internet communications using industry standard
Secure Sockets Layer (SSL), and supports IPV6.
g. AJAX (Asynchronous JavaScript and XML) support in ActiveMQ builds on the
same basis as the REST (Representational State Transfer) connector for
ActiveMQ, allowing web capable applications to send or receive messages over
JMS.
h. ActiveMQ can use JDBC for persistence, and when combined with journaling,
can provide high performance persistence. Optimal high-performance persistence
is provided through the Kaha storage solution, which is being added in Apache
ActiveMQ v5.0.
i. ActiveMQ supports a variety of transport protocols such as TCP, SSL, UDP and
multicast.
j. ActiveMQ can be embedded into Spring framework applications and configured
using Spring's XML configuration mechanism
1.4 When and Where to Use ActiveMQ
1.4.1 Where
ActiveMQ is becoming the preferred OSS MOM for any modern enterprise application
architecture, and can be used to implement a SOA framework co-existing and supporting
historical client-server, publish and subscribe, and XML-oriented applications.
ActiveMQ can be integrated with a number of platforms/frameworks including: Geronimo,
Spring and Apache Tomcat.
1.4.2 When
ActiveMQ provides a clean application agnostic interface when you need applications to
communicate by writing and retrieving application-specific data (messages) to/from queues,
without having a private, dedicated, logical connection to link them.
ActiveMQ is the preferred Open Source MOM when you need:
•Availability: Transparent load balancing, failover, and recovery
•Interoperability: With many various message stores including JDBC
Copyright 2008, Total Transaction Management
www.ttmsolutions.com
4

ActiveMQ 5.2 Reference Guide
•Manageability: Can be administered with JMX
•Performance: Approaching or competing with proprietary solutions
•Reliability: Guaranteed once-and-only-once message delivery
•Scalability: Clustering and load balancing features
•Security: SSL, HTTPS, and authentication and authorization.
1.5 Downloading and Installing ActiveMQ
To download and install ActiveMQ on your operating platform, follow the instructions described
in the “ActiveMQ Getting Started Guide”, which can be found at
http://activemq.apache.org/getting-started.html
If you have downloaded multiple distributions of ActiveMQ, set the ACTIVEMQ_HOME
environment variable to point to the distribution you will be using. For example,
> export ACTIVEMQ_HOME=$HOME/apache-activemq-5.0
Ensure that, at a minimum, the following jar file is in your client application’s CLASSPATH:
activemq-all-<version>.jar. See 17.9 for a list and description of other jar files that your
particular deployment may require.
2 ActiveMQ Components
Some of the more important components of the ActiveMQ messaging framework are the client
(application), message, destination, and message broker. The client, which is an application
component that uses the services provided by the message broker, can further be categorized as
either a message producer and/or consumer. A producer creates a message, which it then gives
to the message broker for routing and delivery to a particular destination. Consumers retrieve
messages from the destinations to which they have been routed. A destination can therefore be
viewed as a logical channel through which clients communicate with one another. It is the
responsibility of the ActiveMQ message broker or network of brokers (NoB) to not only route
the message to the correct destination, but to also ensure adequate quality of services such as
reliability, persistence, security, and high availability. An ActiveMQ NoB can take on different
network topologies such as hub-n-spoke, ring, peer-to-peer, etc.
Copyright 2008, Total Transaction Management
www.ttmsolutions.com
5

ActiveMQ 5.2 Reference Guide
Many times an analogy is drawn between a MOM system and a postal service. That is, the client
is a postal customer, the postal system is a broker or NoB, the message is a letter, and the
destination is a post office box.
A destination, which can be either a queue or a topic, is maintained by the message broker (a
broker can maintain many destinations). Queues are used by producers to send a message to a
consumer, while topics are used by a producer to send a message to one or more consumers. A
queue is often-times referred to as a point-to-point messaging channel, while a topic is referred
to as a publish-subscribe messaging channel. Thus producers that send messages to topics are
more commonly referred to as publishers and consumers that retrieve messages from topics are
referred to as subscribers. So to recap, a message is read from a queue by only one consumer,
while one or more consumers (subscribers) can read a message from a topic.
Copyright 2008, Total Transaction Management
www.ttmsolutions.com
Client
Broker
Broker
Broker
Broker
Client
Network or Cluster
of Brokers
Client
Producer
Message
Consumer
Message
Send Deliver
Queue
Broker
6

ActiveMQ 5.2 Reference Guide
As previously mentioned, the message broker is the ActiveMQ component that accepts messages
from producers and delivers those messages to their corresponding target destination (queue or
topic). The broker or network of brokers is also responsible for delivering or dispatching
messages from the destination to one or more consumers. In ActiveMQ vernacular, the term
“dispatching” is more commonly used to describe the delivery of messages from the destination
to the consumer. In the process of routing and dispatching messages, the broker provides quality
of service features such as guaranteed delivery, high availability, transactional integrity, security,
and reliability.
There are two basic types of ActiveMQ brokers: embedded and standalone.
An embedded broker executes within the same JVM process as the Java clients that are using its
services. There may be one or more clients residing within a single JVM, each executing within
its own thread(s) of execution; all clients access the same embedded broker. The clients
communicate with their embedded broker via direct method invocation (DMI) as opposed to
serializing command objects across a TCP/IP-based transport connector. One advantage of using
an embedded broker is that if the network fails, its embedded clients can still use the services of
the broker. For example, a producing client can still send messages to the broker and any
messages that need to be forwarded on to another broker will be held and/or persisted by the
broker until the network is once-again made available. Another advantage is increased
performance, because the broker’s embedded clients communicate with the broker via DMI
instead of across a TCP/IP connection.
Embedded Broker
Copyright 2008, Total Transaction Management
www.ttmsolutions.com
Publisher
Message
Message
Publish
Topic
Broker
Subscribers
Deliver
Broker 1
Client
JVM
Client
Direct Method
Invocation
TCP/IP
Network
7

ActiveMQ 5.2 Reference Guide
Embedded brokers can connect to other embedded brokers to form what is referred to as a
“peer” network. Peer networks provide better performance because there is only one network
hop involved when sending a message from a producer/publisher to a consumer/subscriber.
Peer Network
A client starts an embedded broker via the vm or peer transport connectors (see sections 3.2.1
and 3.2.2).
Embedded brokers can also listen for and initiate connections to standalone or non-embedded
brokers. Unlike an embedded broker, a standalone broker is one that does not have its clients co-
residing in its JVM and communicates with its clients through network-based transport
connectors, which are covered in the next section.
Standalone Broker
Copyright 2008, Total Transaction Management
www.ttmsolutions.com
Broker 1
Client
JVM
Client
TCP/IP
Network
Broker 2
Client
VM
Client
JVM
Broker 1
Client
JVM
JVM
Client
JVM
TCP/IP
Network
8

ActiveMQ 5.2 Reference Guide
3 Connectors
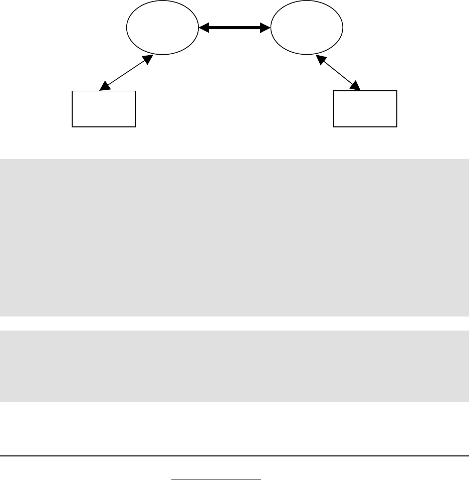
Within the ActiveMQ nomenclature, the terms ‘transport connector’ and ‘network connector’
are significant. These connectors represent network communication channels through which the
clients communicate with their respective standalone brokers and brokers communicate with
one another. The underlying wire format protocols used through these communication channels
are called, “OpenWire” and “STOMP” (see section 7); the default protocol is OpenWire. So
when a Java client invokes a JMS operation (e.g., message send), the ActiveMQ client libraries
will wrap that operation into an OpenWire command object and then sends or serializes the
command object, via the underlying ‘transport connector’, to the broker.
A ‘transport connector’ is used by a client to establish a bidirectional communication channel
with a broker. It is also used by a broker to listen for and accept network connection requests
from clients and other brokers.
A ‘network connector’ is used by a broker to establish a communications channel to another
broker. Transport and network connectors are specified through the client and broker’s external
configuration files.
When a broker (call it broker 1) establishes or initiates a network connection with another broker
(broker 2), the resulting connection serves as a unidirectional “forwarding bridge” that is used
by broker 1 to forward messages on to broker 2. In this case, broker 1 is referred to as the
producing broker, whilst broker 2 is referred to as the consuming broker. For example, if a
broker has producers, but no consumers, it may use one or more forwarding bridges to forward
messages on to brokers that have appropriate consumers. If a broker has multiple forwarding
bridges, with appropriate consumers at the other ends of the bridges, it will load balance
messages across the bridges.
Copyright 2008, Total Transaction Management
www.ttmsolutions.com
Broker 1
Client
(Producer)
Transport
Connector
Broker 2
Network
Connector
Or
Forwarding
Bridge
Client
(Consumer)
Transport
Connector
Network of Brokers
9

ActiveMQ 5.2 Reference Guide
As described above, the default behavior of a network connector is to construct a unidirectional
forwarding bridge between two message brokers. So if broker 1 initiates a network connection
with broker 2, then the resulting connection can only accommodate messages flowing from
broker 1 to broker 2. The connection cannot accommodate messages flowing from broker 2 to
broker 1. In effect, broker 1 serves as the message producer and broker 2 the message consumer.
This default behavior could not, for example, accommodate two clients implementing a request-
reply messaging pattern or protocol, because the reply from the consumer could not flow back to
the producer. However, starting with version 5.0 of ActiveMQ, you can override this default
behavior so that the network connection can accommodate messages flowing in either direction.
In other words, brokers at either end of the channel can both produce and consume messages to
and from one another. This type of bidirectional network connection is referred to as a ‘duplex’
connection and is configured through the broker’s external XML configuration file. For more
information on how to configure a broker’s network connections, see section 6.2.3.
CAUTION: Ensure that only one broker establishes a “duplex” connector with another broker.
If both brokers try and establish duplex connectors with one another, one of the brokers will
throw an InvalidClientIdException as follows:
javax.jms.InvalidClientIDException: Broker: broker1 - Client: NC_broker2_inboundbroker1
already connected from vm://broker1#6
The above exception, which is being thrown by broker1, is stating that broker2 tried to establish
a demanding forwarding bridge (network connector) with broker1, but broker1 is disallowing it,
because it has already established a demand forwarding bridge with broker2. Broker2 will
continuously keep trying and will fill the log files with such an exception.
CAUTION: When reading through the documentation on the ActiveMQ web site, you may run
across a broker boolean attribute called, “advisorySupport”. The documentation states that
setting this attribute to false (default is true) will improve performance a little because it disables
the support for advisory messages (see section 9); however, setting this option to ‘false’
precludes the broker from forwarding messages to other brokers.
Copyright 2008, Total Transaction Management
www.ttmsolutions.com
Broker 1
Client
(Producer)
Transport
Connector
Broker 2
Duplex
Network
Connector
Client
(Consumer)
Transport
Connector
10

ActiveMQ 5.2 Reference Guide
3.1 Connector URIs
A connector, whether it is a transport or network connector, is specified through a URI (Uniform
Resource Identifier) entry in both the client and broker’s configuration files.
In general, URI’s are written as follows: <scheme>:<scheme-specific-part>
For example, the URI below is used by a client to connect, via the TCP protocol, to a standalone
broker that resides on the same machine and is listening on port 61616. This same transport
connector URI can also be found in the broker’s configuration file to specify that the broker
listen on port 61616 for incoming transport and network connection requests.
tcp://localhost:61616
More information on the URI syntax can be found here: http://www.ietf.org/rfc/rfc1738.txt
The client-side transport connector URIs can be specified either directly by the application code
(e.g., when creating an AMQ connection or connection factory object) or indirectly either
through the Java Naming and Directory Interface (JNDI) or corresponding framework’s (e.g.,
Spring) configuration file. For those JMS clients that are not integrated within a framework, such
as a J2EE container or Spring, the JNDI name space can be configured through the
jndi.properties file; therefore, you can treat the jndi.properties file as the client’s configuration
file. It is good practice to have the client rely on the JNDI to indirectly acquire JMS administered
objects such as connection factories and destinations (queues and topics). Using the JNDI will
ensure that the application remains isolated from any provider-specific objects and thus can be
more easily ported across different JMS providers. If a JMS client is embedded within another
framework (e.g., Tomcat, Geronimo, Spring), then you should rely on that framework’s
respective JNDI implementation or configuration file and not the jndi.properties file.
More information on the jndi.properties file can be found in section 5, “Client Configuration”.
In the broker’s XML configuration file, you’ll note a transportConnector element. This element
is used to listen for and accept network connection requests from other brokers, as well as from
clients. The sample below is a snippet of a broker’s XML configuration file. The sample defines
a broker that establishes one transport and two network connectors. This broker will create
networkConnectors to the brokers on the machines called linux01 and linux02. It will also setup
a transportConnector to listen for network connection requests that arrive from the brokers on
linux01 and linux02, or from clients.
<broker brokerName="mybroker" useJmx="true"
xmlns="http://activemq.org/config/1.0">
Copyright 2008, Total Transaction Management
www.ttmsolutions.com
11

ActiveMQ 5.2 Reference Guide
<transportConnectors>
<transportConnector
name="openwire"
uri="tcp://localhost:61616"
/>
</transportConnectors>
<networkConnectors>
<networkConnector
name="linux01 and linux02"
uri="static://(tcp://linux01:61616,tcp://linux02:61616)"
/>
</networkConnectors>
</broker>
The transportConnector and networkConnector element’s ‘name’ attribute can be assigned any
name, but should be unique. In the example above, the transportConnector’s name was assigned
“openwire” to simply identify the transportConnector as one supporting clients that use
ActiveMQ’s OpenWire protocol. Brokers typically use OpenWire to communicate with one
another while clients can use OpenWire, STOMP, and XMPP to communicate with the broker.
For more information on ActiveMQ’s wire protocols see section 7.
More information on configuring the broker can be found in section 6, “Broker Configuration”.
There are two types of ActiveMQ connector URIs: low-level and composite. The scheme
(prefix) portion of a low-level connector URI identifies the underlying network protocol that will
be used for communications on the corresponding connection. ActiveMQ supports the TCP,
SSL, HTTP, and HTTPS protocols for reliable communications, and Multicast and jmDNS
protocols for broker/client discovery. There are also two additional prefixes for low-level
connector URIs that do not specify a protocol, but are instead used by a client to launch and
connect to an embedded broker. These two are referred to as the ‘vm’ and ‘peer’ transports.
A composite connector URI wraps one or more low-level connector URIs and is used to layer
additional logic or functionality on top of the low-level connector. The following sections cover
low-level and composite connectors.
CAUTION: ActiveMQ uses the java.net.URI class, which does not allow any white space to be
used within the URI. So for example, if you are using the failover: or static: composite
connectors URIs, which are described later, do not put any white spaces around the ‘,’
characters.
3.2 Low-Level Connectors
Copyright 2008, Total Transaction Management
www.ttmsolutions.com
12

ActiveMQ 5.2 Reference Guide
3.2.1 VM
The VM connector is used by Java clients to launch and connect to an embedded broker. The
corresponding VM transport connector between the client and broker is not a network-based
connection (e.g., socket) and instead relies on direct method invocations, which provides for a
high performance embedded messaging system.
The first client (thread) to establish a VM transport connector will start the embedded or intra-
VM broker. Any subsequent threads within the same JVM that reference the same VM transport
connector URI will attach themselves to the already active embedded broker. Once all of the
broker’s connectors (transport and network) have been closed, the embedded broker will
automatically shut down. If all clients (threads) close their respective VM transport connectors,
but the broker still has active network connectors to other brokers and/or active transport
connectors to external clients, then it will remain active and not automatically shutdown.
VM Connector URI Syntax (required portion in bold)
vm://brokerName?transportOptions
VM Transport Options
Option Name Default
Value Description
broker.* All the options with this prefix are used to configure the broker. See
table below.
create true Create the broker on demand if it does not already exist.
marshal false
If ‘true’, it will force all command objects, sent between client and
broker, to be marshaled and un-marshaled using the default wire
format.
trace false Causes all commands that are sent over the transport to be logged
wireFormat “default” The name of the wire format to use. The default wire format is
OpenWire.
wireFormat.* All the options with this prefix are used to configure the wire format.
The options in this table are used with the broker.* prefix.
Option Default Description
useJmx true If true, enables JMX. Default is true.
persistent true If true, the broker uses persistent storage.
Copyright 2008, Total Transaction Management
www.ttmsolutions.com
13

ActiveMQ 5.2 Reference Guide
Option Default Description
populateJMSXUserID
false If true, the broker populates the JMSXUserID
message property with the sender’s authenticated
username.
useShutdownHook
true If true, the broker installs a shutdown hook, so
that it can shut down properly when it receives a
JVM kill.
brokerName “localhost” Specifies the broker name. Default is localhost.
deleteAllMessagesOnStartup false If true, deletes all the messages in the persistent
store as the broker starts up.
enableStatistics true If true, enables statistics gathering in the broker.
waitForSlave
false If true, this marks the broker as being a master
broker in a pure master/slave configuration and
thus the master will not fully initialize until the
server has connected to it. This was introduce in
ActiveMQ 5.2
This is an example of the most basic VM transport connector URI.
vm://mylocalbroker
The above example is used by a client to launch and connect to an embedded broker; the
resulting broker will be called, “mylocalbroker”. In this particular example, the broker is used
only for intra-JVM messaging because it has not been configured to connect to other brokers or
listen for connections from clients or other brokers. Therefore, the primary purpose of the broker
is to service clients (threads) that are running within its same JVM. An example application for
such a configuration is one that implements a message processing chain (pipeline). Each stage of
the chain is defined by a queue and a thread dedicated to reading off the queue and performing
some operation on the messages it reads off the queue. After performing its operation, the thread
can then pass the message to the next queue in the chain. Recall that the broker will be launched
only by the first client to connect to the embedded broker. Subsequent clients will simply attach
to the running broker.
This example illustrates how to configure the broker with the ‘broker.*’ prefix.
vm://mylocalbroker?marshal=false&broker.persistent=false
As an alternative, you can configure the broker via the following syntax, which allows you to
drop the ‘broker.*’ prefix.
Copyright 2008, Total Transaction Management
www.ttmsolutions.com
14

ActiveMQ 5.2 Reference Guide
vm:broker:(tcp://host:port)?brokeroptions
Here’s an example client VM connector URI that starts an embedded broker that is called
“embeddedbroker”. The broker listens on the local port 6000 for incoming connection requests,
and has the persistence feature turned off.
vm:broker:(tcp://localhost:6000)?brokerName=embeddedbroker&persistent=false
The diagram below illustrates the network topology that results from the above vm connector.
The broker has many properties and using the above syntax to configure the broker can easily
result in a very complex URI. The most flexible and powerful method of configuring the
embedded broker is through its external XML configuration file. The following URI starts an
embedded broker and configures it using an external configuration file called, “activemq.xml”,
which must be located in the CLASSPATH.
vm://localbroker?brokerConfig=xbean:activemq.xml
Through the external XML configuration file, you can, for example, instruct the embedded
broker to listen on transport connectors and initiate network connections to other embedded and/
or standalone brokers. Setting up a network or cluster of brokers that is comprised of nothing but
embedded brokers provides for added performance because a message will only travel across
one network hop to reach its destination.
Copyright 2008, Total Transaction Management
www.ttmsolutions.com
Broker 1
Client
JVM
Client
Direct Method
Invocation
TCP/IP
Network
15

ActiveMQ 5.2 Reference Guide
A Simple Cluster or Network of Embedded Brokers
More information on configuring the broker can be found in section 6.
When starting an embedded broker, make sure the following jar file is in your CLASSPATH:
apache-activemq-<version>.jar. If you configure the embedded broker through its external XML
configuration file, make sure these jar files are in your client’s CLASSPATH: xbean-spring-
<version>.jar and spring-<version>.jar.
CAUTION: When using an embedded broker, you must use caution that you do not send a
message immediately after starting the corresponding Connection object. It is very likely that
the embedded broker may not have been fully activated and/or establlished its network
connectors by the time you send the message. Our testing has shown that a 1 second delay
immediately after the Connection.start() should suffice. A more elegant approach for addressing
this situation should be implemented in upcoming releases of ActiveMQ.
3.2.2 Peer
The peer connector is a superset of the VM connector. The peer connector uses the VM
connector to launch and connect to an embedded broker, but it also configures the embedded
broker to establish network connectors to other embedded brokers within the LAN subnet that
have the same peer group name. So you can consider the peer connector to be a convenience
connector for setting up a peer-to-peer network of embedded brokers. In other words, a cluster
that is comprised solely of embedded brokers.
Peer Connector URI Syntax (required portion in bold)
peer://peergroup/brokerName?brokerOptions
The example below will start an embedded broker called “broker1” that will join the “groupa”
cluster of embedded brokers.
Copyright 2008, Total Transaction Management
www.ttmsolutions.com
Broker 1
Client
JVM
Client
Network
Broker 2
Client
VM
Client
JVM
16

ActiveMQ 5.2 Reference Guide
peer://groupa/broker1
As a simpler example, you can specify this URI below for all clients in the peer network (each
client’s broker will be assigned a unique broker id).
peer://groupa
The peer connector uses multicast to connect to other brokers on the LAN subnet. If any of the
following apply, you may encounter issues when setting up a peer network of brokers.
•You have firewall software running on any of the machines involved
•You do not have DNS lookup properly configured for each of the machines involved
•All of the machines involved are not on the same subnet
In the case that you cannot use the peer connector for one of these reasons, you can instead use
the VM connector with appropriate broker configuration to set up a cluster of embedded brokers.
3.2.3 TCP
The TCP connector, which is by far the most frequently used, is used by:
•Clients to establish transport connectors to brokers
•Brokers to accept transport connections from clients
•Brokers to establish network connectors to other brokers
•Brokers to accept network connections from other brokers
TCP Connector URI Syntax (required portion in bold)
tcp://hostname:port?transportOptions
Transport Options
Option Name Default
Value Description
Copyright 2008, Total Transaction Management
www.ttmsolutions.com
17

ActiveMQ 5.2 Reference Guide
trace false Causes all commands that are sent over the transport
to be logged
useLocalHost true When true, it causes the local machines name to
resolve to "localhost".
socketBufferSize 64 * 1024 Sets the socket buffer size in bytes
soTimeout 0
Sets the socket timeout in milliseconds. With this
option set to a non-zero timeout, a read() call on the
InputStream associated with this TCP Socket will
block for only this amount of time. If the timeout
expires, a java.net.SocketTimeoutException is
raised, though the Socket is still valid.
connectionTimeout 30000
A non-zero value specifies the connection timeout in
milliseconds. A zero value means wait forever for the
connection to be established. Negative values are
ignored.
wireFormat Openwire The name of the wireFormat to use
wireFormat.* All the properties with this prefix are used to
configure the wireFormat. See section 7, “Wire
Protocols”.
Examples of using TCP connectors were given in previous sections. The snippet below, which is
taken from a broker’s XML configuration file, uses a TCP connector within a
transportConnector element. In this particular case, the element is used to instruct the broker to
listen on the local port 61616 for incoming connection requests from both clients and other
brokers. Tracing has been enabled for the connector.
<broker brokerName="mybroker" useJmx="true"
xmlns="http://activemq.org/config/1.0">
<transportConnectors>
<transportConnector
name="openwire"
uri="tcp://localhost:61616?trace=true"
/>
</transportConnectors>
…
</broker>
3.2.4 NIO
Same as the TCP connector, but the new I/O (NIO) Java package is used. This may provide
better performance than TCP. Our labs have not yet run performance tests between the TCP and
NIO connectors.
Copyright 2008, Total Transaction Management
www.ttmsolutions.com
18

ActiveMQ 5.2 Reference Guide
This is a good article on the Java NIO package:
http://www.javaworld.com/javaworld/jw-09-2001/jw-0907-merlin.html?page=1
The Java NIO package should not be confused with IBM’s AIO4J package:
http://java.sys-con.com/read/46658.htm
NIO Connector URI Syntax (required portion in bold)
nio://hostname:port?transportOptions
3.2.5 SSL
The SSL connector URI is used to establish transport and network connectors using SSL over a
TCP socket connection. SSL is short for Secure Sockets Layer; it is a protocol used for securing
communications across a TCP/IP network. It uses a cryptographic system based on two keys to
encrypt data that is transmitted across the network.
Connector Syntax
ssl://hostname:port?transportOptions
A broker XML configuration entry example follows:
<transportConnector name="ssl" uri="ssl://localhost:61410"/>
A client jndi.properties configuration entry example follows:
connection.local.brokerURL = ssl://linux01:61410
The transport options are the same as those for the TCP connector.
3.2.5.1 Setting up the SSL Key and Trust Stores
The following steps describe how to set up the broker and client to use a SSL connector. The
‘keytool’ is a command line utility that is provided with the Java runtime.
Using the keytool, create a new keystore and self-signed certificate with corresponding public/private
keys for the broker.
> keytool -genkey -alias amqbroker -keyalg RSA -keystore brokerkeystore
Examine the keystore and notice the entry type is PrivateKeyEntry, which means that this entry
has a private key associated with it.
> keytool -list -v -keystore brokerkeystore
Copyright 2008, Total Transaction Management
www.ttmsolutions.com
19

ActiveMQ 5.2 Reference Guide
Export the broker's certificate so it can be shared with clients:
> keytool -export -alias amqbroker -keystore brokerkeystore –rfc -file broker_cert
Certificates are typically stored using the printable encoding format defined by the Internet RFC
1421 standard, instead of their binary encoding. This certificate format, also known as "Base 64
encoding", facilitates exporting certificates to other applications by email or through some other
mechanism. The -export command by default outputs a certificate in binary encoding, but will
instead output a certificate in the printable encoding format, if the -rfc option is specified.
Using the keytool, create a new keystore and self-signed certificate with corresponding public/private
keys for the client.
> keytool -genkey -alias amqclient -keyalg RSA -keystore clientkeystore
Create a truststore for the client, and import the broker's certificate. This establishes that the
client "trusts" the broker:
> keytool -import -alias amqbroker -keystore clientkeystore -file broker_cert
3.2.5.2 Starting the SSL-enabled Broker
Before starting the broker, you must set up the SSL_OPTS environment variable as follows so
that the JVM will know how to use the broker keystore.
> export SSL_OPTS = -Djavax.net.ssl.keyStore=/path/to/brokerkeystore
-Djavax.net.ssl.keyStorePassword=password
3.2.5.3 Starting the SSL-enabled Client
When starting the client's JVM, specify the following system properties:
javax.net.ssl.keyStore=/path/to/clientkeystore
javax.net.ssl.trustStore=/path/to/clientkeystore
javax.net.ssl.keyStorePassword=password
The system properties can be entered as client command arguments, as follows:
> java -Djavax.net.ssl.keyStore=/path/to/clientkeystore –D(other properties)
MyConsumer $@ &
Detailed SSL specific information can be obtained by specifying the following argument on the client
command line:
-Djavax.net.debug=ssl
In the above example, the broker will be authenticated by the client. If the broker is to
authenticate the client, then you will need to provide a corresponding truststore for the broker.
Copyright 2008, Total Transaction Management
www.ttmsolutions.com
20

ActiveMQ 5.2 Reference Guide
For more information on the keytool see Sun’s JSSE Reference Guide.
This is also a good reference article on the topic. http://docs.codehaus.org/display/JETTY/How
+to+configure+SSL
3.2.6 HTTP/HTTPS
These transport connector URIs allow the client and broker to tunnel their communications
through the HTTP and HTTPS protocols.
HTTP/HTTPS Connector URI Syntax (required portion in bold)
http://host:port
https://host:port
Client jndi.properties file example:
connection.local.brokerURL = http://linux01:61410
Broker XML file example:
<transportConnector name="http" uri="http://linux01:61410"/>
The following jar files are required in the CLASSPATH for clients:
$ACTIVEMQ_HOME/activemq-<version>.jar
$ACTIVEMQ_HOME/lib/optional/commons-httpclient-<version>.jar
$ACTIVEMQ_HOME/lib/optional/xstream-<version>.jar
$ACTIVEMQ_HOME/lib/optional/xmlpull-<version>.jar
Note: See the following JIRA regarding the use of HTTPS.
https://issues.apache.org/activemq/browse/AMQ-1098
There is also this thread, which concerns ActiveMQ’s use of Jetty for HTTPS support. Note that
a misconfiguration with respect to the keys and/or certificates can lead to an infinite loop.
http://www.nabble.com/SslSocketConnector-loops-forever-during-initialization-
to14621825.html#a17535467
Copyright 2008, Total Transaction Management
www.ttmsolutions.com
21

ActiveMQ 5.2 Reference Guide
3.2.7 Multicast
The multicast low-level connector provides a means for brokers and clients located on the same
LAN subnet to find each other and establish connections.
Multicast Connector URI Syntax (required portion in bold)
multicast://default?transportOptions
or
multicast://ipaddress:port?transportOptions
The use of the multicast connector for brokers to discover each other is described here. Client
use of the multicast connector URI to find a broker requires the Discovery composite connector,
described in section 3.3.3
The multicast connector employs a MulticastSocket to join a multicast group. A multicast group
is defined by a class D IP address and port, which can fall in the range 224.0.0.0 to
239.255.255.255, inclusive; the address 224.0.0.0 is reserved and should not be used. When you
send a message to a multicast group, via a multicast socket, all subscribing recipients to that IP
address and port receive the message. The multicast socket does not have to be a member of the
multicast group to send messages to it. When a multicast socket subscribes to a multicast group/
port, it receives datagrams sent by other hosts to the group/port, as do all other members of the
group and port.
The example below, which is a snippet from a broker XML configuration file, illustrates how to
set up multicast discovery for a broker. The <transportConnector> element’s discoveryURI
attribute tells the broker to join a multicast group to receive discovery advertisements from other
brokers and clients via the broker’s well-known default multicast group. The default multicast
group’s IP address is 239.255.2.3. The <transportConnector> element’s uri attribute is telling the
broker to listen for subsequent connection requests from other brokers and clients on port 61616.
The <networkConnector> element’s uri attribute is telling the broker to advertise its discovery
packet out through the default multicast group. The discovery advertisement packet essentially
tells other brokers that this broker is available and carries information on how to connect to it
(i.e., send a network connect request to localhost:61616).
<transportConnectors>
<transportConnector
name="default"
uri="tcp://localhost:61616"
discoveryURI="multicast://default"
/>
</transportConnectors>
<networkConnectors>
<networkConnector
name="default"
uri="multicast://default"
/>
</networkConnectors>
Copyright 2008, Total Transaction Management
www.ttmsolutions.com
22

ActiveMQ 5.2 Reference Guide
This example illustrates how to set up your own unique or non-default multicast group that a
network of brokers will subscribe to. Notice how the discoveryURI and uri attributes for the
<transportConnector> and <networkConnector> elements have been modified from the default
value. Also note that a multicast port number is not required.
<transportConnectors>
<transportConnector
name="default"
uri="tcp://localhost:61616"
discoveryURI="multicast://239.255.2.5"
/>
</transportConnectors>
<networkConnectors>
<networkConnector
name="default"
uri="multicast://239.255.2.5"
/>
</networkConnectors>
CAUTION: See AMQ-1489
https://issues.apache.org/activemq/browse/AMQ-1489
3.2.8 Rendezvous
The ActiveMQ rendezvous low-level connector is an alternative to multicast as a means to
discover clients or brokers. The rendezvous connector uses jmDNS, the Java implementation of
multi-cast DNS. JmDNS is fully compatible with Apple’s Bonjour (a.k.a. Rendezvous) zero-
configuration protocol. The rendezvous connector can be used by a client to find brokers, and by
brokers to find other brokers.
Rendezvous Connector URI Syntax (required portion in bold)
rendezvous://groupname
The use of the rendezvous connector for brokers to discover each other is described here. Client
use of the rendezvous connector URI to find a broker requires the Discovery composite
connector, described in section 3.3.3
To configure brokers to discover each other using the rendezvous connector, specify matching
rendezvous connector URIs in the uri attribute of the <networkConnector> element and the
discoveryURI attribute of the <transportConnector> element in the brokers’ configuration files.
Here is an example.
Copyright 2008, Total Transaction Management
www.ttmsolutions.com
23

ActiveMQ 5.2 Reference Guide
<transportConnectors>
<transportConnector
name="default"
uri="tcp://localhost:61616"
discoveryURI="rendezvous://group1"
/>
</transportConnectors>
<networkConnectors>
<networkConnector
name="default"
uri=" rendezvous://group1"
/>
</networkConnectors>
The ActiveMQ distribution includes the jmDNS package in the
$ACTIVEMQ_HOME/lib/optional/jmdns-<version>.jar file. When running a client, the
CLASSPATH must include this file.
The advertisements of the Rendezvous connectors, as well as those of other jmDNS-compatible
applications, can be inspected using the JmDNS Browser application contained in the jar file. To
run the browser, use
> java –jar $ACTIVEMQ_HOME/lib/optional/ jmdns-<version>.jar
Shown below is a screen capture of the browser window.
The Rendezvous connectors show up as “_groupname.ActiveMQ-4.” in the Types column of the
browser window. Selecting this entry causes the transportConnector’s uri value to be displayed
under Services.
Copyright 2008, Total Transaction Management
www.ttmsolutions.com
24

ActiveMQ 5.2 Reference Guide
3.3 Composite Connectors
3.3.1 Static
The composite ‘static’ connector is used for specifying a list of low-level connector URIs. A
broker uses the static connector to establish a network connector for each low-level connector
URI that is specified in the list.
Static Connector URI Syntax (required portion in bold)
static:(uri1,uri2,uri3,...)?transportOptions
Note that you cannot have any spaces in between the ‘,’ characters.
In the sample broker’s XML configuration file below, the broker’s <networkConnector> element
includes a static URI with a list of two tcp low-level connector URIs; therefore, the broker will
establish two network connectors to the corresponding remote brokers. .
<beans>
<!-- Allows us to use system properties as variables in this
configuration file -->
<bean
class="org.springframework.beans.factory.config.PropertyPlaceholderConfigurer
"/>
<broker brokerName="mybroker" useJmx="true"
xmlns="http://activemq.org/config/1.0">
<transportConnectors>
<transportConnector
name="openwire"
uri="tcp://localhost:61616"
/>
</transportConnectors>
<networkConnectors>
<networkConnector
name="linux01 and linux02"
uri="static:(tcp://linux01:61616,tcp://linux02:61616)"
/>
</networkConnectors>
</broker>
</beans>
Copyright 2008, Total Transaction Management
www.ttmsolutions.com
25

ActiveMQ 5.2 Reference Guide
The static connector URI is used for configuring brokers and cannot be used for configuring
clients.
3.3.2 Failover
The composite ‘failover’ connector, which is used by clients, layers re-connect logic on top of
any of the low-level transport connectors, other than the VM and peer connectors. Like the static
connector, the failover connector URI allows you to list one or more low level connector URIs.
The failover algorithm, associated with this connector, randomly chooses one of the connector
URIs in the list and attempts to use it to establish a connection to the corresponding broker. If it
does not succeed in establishing the connection or the established connection subsequently fails,
a new connection is established to one of the other URIs in the list.
The failover connector is used by clients to connect to a broker that resides in a network or
cluster of brokers. The target cluster can be configured as a Master/Slave cluster. In this
situation, the client will always connect to a master and will failover to a slave broker if and
when the master fails. Master/Slave clusters are described in section 8.2.1.
Failover Connector URI Syntax (required portion in bold)
failover:(uri1,uri2,uri3,...)?transportOptions
In the example URI below, the client will initially connect to the broker on either linux01 or
linux02. If the endpoint fails, then the client will be automatically reconnected to the other
broker.
failover:(tcp://linux01:61616,tcp://linux02:61616)
Transport Options
Option Name Default Value Description
initialReconnectDelay 10 How long to wait before the first reconnect attempt (in
ms)
maxReconnectDelay 30000 The maximum amount of time we ever wait between
reconnect attempts (in ms)
useExponentialBackOff true Should an exponential back off be used between
reconnect attempts
backOffMultiplier 2 The exponent used in the exponential back off
attempts
maxReconnectAttempts 0 If not 0, then this is the maximum number of reconnect
attempts before an error is sent back to the client
randomize true use a random algorithm to choose the URI to use for
reconnect from the list provided
Copyright 2008, Total Transaction Management
www.ttmsolutions.com
26

ActiveMQ 5.2 Reference Guide
With the above default settings, the reconnect attempts will occur indefinitely, and the
intervening delays will follow this sequence: 10ms, 20ms, 40ms, 80ms, 160ms, …, 30000ms.
The URI below is like the one above, except that it has the initialReconnectDelay transport
option set to 100 and randomize turned off. Since randomize is turned off, it will always attempt
to connect to the first URI, followed by the second, third, etc...
failover:(tcp://localhost:61616,tcp://remotehost:61616)?initialReconnectDelay=100&randomize=false
If the failover connector specifies only one URI (see example below) and the corresponding
broker fails, then connection retry attempts will be made to that one broker.
failover:(tcp://linux01:61616)
3.3.3 Discovery
The composite ‘discovery’ connector URI is used by a client to establish a transport connector to
a broker. The discovery connector allows you to do this without having to specify multiple IP
addresses or host names. Either the multicast connector (described in section 3.2.7) or the
rendezvous connector (described in section 3.2.8) is used as a discovery agent to accomplish
this.
The discovery connector is just like the failover connector except that it uses a discovery agent
to construct the list of potential broker candidates to connect to. It uses the same transport
options as those for the failover connector except that ‘randomize’ is always set to true.
Discovery Connector URI Syntax (required portion in bold)
discovery:(discoveryAgentURI)?transportOptions
or
discovery:discoveryAgentURI
To configure a broker and client to discover each other using the multicast connector, specify the
multicast connector URI for the discoveryURI attribute of the broker’s transport connector, as
shown in this broker configuration file example.
<transportConnectors>
<transportConnector
name="default"
uri="tcp://localhost:61616"
discoveryURI="multicast://default"
/>
</transportConnectors>
Then, a client would be configured to use a discovery connector URI with multicast in the
client’s jndi.properties file, as shown in this example.
Copyright 2008, Total Transaction Management
www.ttmsolutions.com
27

ActiveMQ 5.2 Reference Guide
java.naming.factory.initial = org.apache.activemq.jndi.ActiveMQInitialContextFactory
# use the following property to specify the JNDI names for the connection factories
connectionFactoryNames = local, mdisc
# These are the URLs or URIs to use for the abovementioned connection
# factories
connection.local.brokerURL = tcp://linux02:61616
connection.mdisc.brokerURL = discovery:(multicast://default)?initialReconnectDelay=100
Note that the above example assumes the network of target brokers are subscribed to the
‘default’ multicast group.
To configure a broker and client to discover each other using the rendezvous connector, specify
the rendezvous connector URI for the discoveryURI attribute of the broker’s transport connector,
as shown in this broker configuration file example.
<transportConnectors>
<transportConnector
name="default"
uri="tcp://localhost:61616"
discoveryURI="rendezvous://group1"
/>
</transportConnectors>
For the corresponding client configuration, enclose the rendezvous connector URI in a discovery
URI, and specify the groupname that was used for the broker’s discoveryURI attribute. This
example is from a client’s jndi.properties file.
java.naming.factory.initial =
org.apache.activemq.jndi.ActiveMQInitialContextFactory
# use the following property to specify the JNDI names for the connection
factories
connectionFactoryNames = local, rdisc
# These are the URLs or URIs to use for the abovementioned connection
# factories
connection.local.brokerURL = tcp://linux02:61616
connection.rdisc.brokerURL = discovery:(rendezvous://group1)
Use caution if your consumer is registering a durable subscription and is also being given a
randomized list of brokers to connect with (e.g., via the discovery URI). After starting and
stopping multiple times, the consumer may register the same durable subscription with all the
brokers on the list. A broker that receives message from a publisher for that particular durable
subscription will forward a copy of the message on to other brokers that also have that durable
subscription. In effect, this causes the messages to be needlessly copied to all the brokers in the
network with that durable subscription.
Copyright 2008, Total Transaction Management
www.ttmsolutions.com
28

ActiveMQ 5.2 Reference Guide
It is recommended that you always use the maxReconnectAttempts transport option with the
discovery connector. If you do not specify this option and there are no brokers available on the
network, then the Connection.start() method will hang your client until a broker does become
available.
connection.mdisc.brokerURL = discovery:(multicast://default)?maxReconnectAttempts=10
3.3.4 Fanout
The ‘fanout’ connector URI is a composite URI that allows the client to simultaneously connect
to multiple brokers and replicate operations across all of the brokers to which it is connected.
Fanout Connector URI Syntax (required portion in bold)
fanout:(fanoutURI)?transportOptions
or
fanout:fanoutURI
Valid URI types for fanoutURI include static and multicast. Here’s an example of a fanout
connector used by a client.
fanout:(static:(tcp://linux01:61616,tcp://linux02:61616))?initialReconnectDelay=100
With the above example, the client will connect to the brokers running on both the linux01 and
linux02 machines. If the client is a producer and it sends a message to a topic called
“TOPIC.TEST”, that send operation is replicated across both brokers.
The transport options for the fanout URI are the same as those used for the failover connector
URI (see section 3.3.2), plus the two options shown in the following table.
Transport Options
Option Name Default Value Description
fanOutQueues false Should commands be replicated to queues as well as
topics?
minAckCount 2 The minimum number of brokers to which connections
must be established.
The “fanOutQueues” option is specific to the fanout connector. By default, the fanout does not
replicate commands to queues; only topics. Therefore, if you’d like to fanout a message send
command to multiple queues on multiple brokers, you’ll have to set this option to ‘true’.
fanout:(static:(tcp://linux01:61616,tcp://linux02:61616))?fanoutQueues=true
Copyright 2008, Total Transaction Management
www.ttmsolutions.com
29

ActiveMQ 5.2 Reference Guide
By default, a client’s fanout transport waits for connections to be established to 2 brokers, or the
number of static TCP URIs configured (if more than 2). Until this number of connections is
established, the client’s call to Connection.createSession() does not return. For example, a
producer that uses the fanout connector listed below will wait until 2 brokers are running, and
connections are established to those two brokers.
fanout:(multicast://default)
Another example would be a producer using the following fanout connector.
fanout:(static:(tcp://localhost:61629,tcp://localhost:61639,tcp://localhost:61649))
In this case, three broker connections are needed. However, this required number of connections
can be overridden by using the minAckCount transport option. For example, this fanout
connector allows the producer to run after connecting to just one broker.
fanout:(multicast://default)?minAckCount=1
CAUTION: It is not recommended that you use the fanout URI for consumers. Also, if a
producer fans out across multiple brokers, who happen to be inter-connected, then there is a
very high likelihood that a consumer on one of those brokers will get duplicate messages.
3.4 Monitoring a Transport Connector
This section describes how to set up your client application so that it can monitor the status of its
ActiveMQ transport connector (i.e., its connection to the message broker); however, doing so
will require that your client make reference to ActiveMQ-specific classes, which will
compromise your client’s level of JMS portability.
To begin with, your client must, at a minimum, import the following ActiveMQ classes.
import org.apache.activemq.transport.TransportListener;
import org.apache.activemq.ActiveMQConnection;
import org.apache.activemq.command.Command;
Your client must then implement the TransportListener interface by implementing these
methods.
public void onCommand(Object command){}
public void onException(IOException error){}
public void transportInterupted(){}
public void transportResumed(){}
Your client then registers itself as a transport listener with ActiveMQ by invoking the
ActiveMQConnection class’s addTransportListener method.
((ActiveMQConnection)connection).addTransportListener(this);
Copyright 2008, Total Transaction Management
www.ttmsolutions.com
30

ActiveMQ 5.2 Reference Guide
After registerating itself as a transport listener, the client’s four methods listed above will be
called asynchronoulsy to inform the client of events at the transport level. The command object
passed to the onCommand method implements the Command interface. The Command interface
has a series of boolean is*() methods (e.g., isShutdownInfo()) that can be used to determine the
event type. More information on this transport event functionality is available via the javadoc for
the ‘org.apache.activemq.command’ package.
4 Wildcards
Sections 5 and 6 describe how to configure a client and broker. Wildcards, which are used
within client and broker configuration files, are a convenience mechanism used to refer to
multiple destinations within a destination name hierarchy. For example, suppose your client is
publishing price messages from a stock exchange feed. You might use some kind of destination
naming format such as
PRICE.STOCK.NASDAQ.JAVA to publish Sun’s price on NASDAQ and
PRICE.STOCK.NYSE.IBM to publish IBM’s price on the New York Stock Exchange
A subscriber could then use exact destinations to subscribe to exactly the prices it requires. Or it
could use wildcards to define hierarchical pattern matches to the destinations to subscribe from.
ActiveMQ supports the following wildcards, which are not part of the JMS specification.
The ‘.’ character is used to separate names in a path.
The ‘*’ character is used to match any name in a path
The ‘>’ character is used to recursively match any destination starting from this name
For example using the example above, these subscriptions are possible
Subscription Meaning
PRICE.> Any price for any product on any exchange
PRICE.STOCK.> Any price for a stock on any exchange
PRICE.STOCK.NASDAQ.* Any stock price on NASDAQ
PRICE.STOCK.*.IBM Any IBM stock price on any exchange
Copyright 2008, Total Transaction Management
www.ttmsolutions.com
31

ActiveMQ 5.2 Reference Guide
5 Client Configuration
5.1 The jndi.properties File
When writing a JMS client application, you will typically want to rely on the Java Naming and
Directory Interface (JNDI) to lookup a particular connection factory and/or destination object. A
connection factory is used to render connections to brokers and a destination identifies a queue
or topic. In the JMS nomenclature, the connection factory and destination objects are referred to
as “administered objects”. Using the JNDI to lookup or acquire these administered objects will
help isolate your application from provider-specific code and thus your application will be more
portable across different JMS providers.
The jndi.properties file is used by ActiveMQ client applications to configure and look up these
two administered objects.
The following is an example jndi.properties file; notice how connector URIs, which were
described in previous sections, are assigned to the different connection factories.
#########################################################################
#
# This is the jndi.properties file, which is used to
# define/configure one or more administered objects (connection
# factory and destination) for the ActiveMQ JMS client.
#
# This file must be placed in the application's CLASSPATH in order to have
# the JVM load it into the default InitialContext. A JNDI context is a name
# space used to hold name/value pairs.
#
# The 'java.naming.factory.initial' property tells the JVM what JNDI context
# factory (or local JNDI provider) it should use for the application. In this
# case, we're telling it to use AMQ's 'ActiveMQInitialContextFactory' object
# as the context factory.
java.naming.factory.initial =
org.apache.activemq.jndi.ActiveMQInitialContextFactory
#
# Connection Factory Names
#
# Use the following property to specify the connection factories that will
# appear in the JNDI context defined by this properties file. Here's a code
# sample of how your application would lookup one of the factories defined
# for the context.
#
# Context ctx = new InitialContext();
# ConnectionFactory factory = ctx.lookup("linux01ConnectionFactory");
#
#
Copyright 2008, Total Transaction Management
www.ttmsolutions.com
32

ActiveMQ 5.2 Reference Guide
connectionFactoryNames = localConnectionFactory, linux01ConnectionFactory,
linux02ConnectionFactory
#
# Connection Properties
#
# This section contains the properties assigned to the connection
# objects that are rendered by their respective factories. These
# properties will not take affect until after you invoke the
# start() method on an instance of a connection.
#
# Note that if you want a property assigned to a specific connection
# factory, you need to qualify it with this prefix
#
# "connection.<factory-name>."
#
# If you only have one factory defined, you don't want to bother with the
# prefixing.
#
#
#
# Normally, in a JNDI environment, java.naming.provider.url is used to
# point the JVM to a remote JNDI provider. However, in the case of
# ActiveMQ, the property is being used to configure the application's
# transport URI connector. That is, the connector it will use to
# connect to the broker. If you do not specify this property, the
# 'tcp://localhost:61616' uri will be used by default. Use this property
# if you only have one connection factory defined. If you have more than
# one factory, use the "connection.<factory-name>.brokerURL" property.
#
# This will connect the application to an 'embedded' broker.
# java.naming.provider.url = vm://localhost
#
# Connect all connections rendered by the linux01ConnectionFactory to the
# remote broker running on linux01
#
connection.linux01ConnectionFactory.brokerURL = tcp://linux01:61616
#
# Connect all connections rendered by the linux02ConnectionFactory to the
# remote broker running on linux02
#
connection.linux02ConnectionFactory.brokerURL = tcp://linux02:61616
#
# Connect all connections rendered by the localConnectionFactory to the
# broker running on the local machine
#
connection.localConnectionFactory.brokerURL = tcp://localhost:61616
#
# Automatically assign this clientID to each connection rendered by the
# linux01ConnectionFactory. Be careful when using this and
# durable subscriptions. Setting this property will disable the
# auto-generation of the unique client ids.
Copyright 2008, Total Transaction Management
www.ttmsolutions.com
33

ActiveMQ 5.2 Reference Guide
#
# connection.linux01ConnectionFactory.clientID = joef.123
# Use this property to assign a prefix of your own to the
# auto-generated client ids.
#
#clientIDPrefix =
#
# Assign clientID prefixes to the connections rendered by their respective
# factories.
connection.localConnectionFactory.clientIDPrefix = Pedro
connection.linux01ConnectionFactory.clientIDPrefix = linux01
connection.linux02ConnectionFactory.clientIDPrefix = linux02
# Automatically assign this user name and password to each connection
# rendered by the localConnectionFactory. Only used if security is
# turned on at the corresponding broker.
connection.localConnectionFactory.userName = user
connection.localConnectionFactory.password = password
#
#
# Adding Destinations To The Context
#
# Register some queues (destinations) in this JNDI context using the form
# queue.[jndiName] = [physicalName]. The physicalName is the name as
# referenced by the broker. The application would use code similar
# to the following to look up these destinations.
#
# Queue myQ1 = (Queue) ctx.lookup("MyQueue");
# Queue myQ2 = (Queue) ctx.lookup("JunkQ");
#
queue.MyQueue = example.MyQueue
queue.JunkQ = JunkQ
Example jndi.properties File
The above jndi.properties file provides you with a small sample of the properties that can be
assigned to a connection factory. The table below lists and describes all the properties that can
be assigned to a connection factory.
Property
Default
Value Description
alwaysSyncSend false
Set this property to true if you always
require messages to be sent
synchronously.
brokerURL null
The connection URL used for connecting
to the ActiveMQ broker. For example,
tcp://12.345.67.89:6167
clientID null
Sets the JMS clientID to use for the
created connection. If using durable
subscriptions, note that setting this
Copyright 2008, Total Transaction Management
www.ttmsolutions.com
34

ActiveMQ 5.2 Reference Guide
property will turn off auto-generation of
the clientID.
clientIDPrefix null
Sets the prefix used by auto-generated
JMS clientID values, which are used if
the JMS client does not explicitly specify
one.
closeTimeout 15,000
(ms)
Sets the timeout before a close is
considered complete. Normally a close()
on a connection waits for confirmation
from the broker; this allows that
operation to timeout in order to avoid the
client hanging if there is no broker
copyMessageOnSend true
Should a JMS message be copied to a
new JMS Message object as part of the
send() method? By default, this is enabled
to be compliant with the JMS. However,
if your producer does not reuse the
message object, then it can disable the
copying of the message, which improves
throughput.
disableTimeStampsByDefault false
Sets whether or not timestamps on
messages should be disabled. If you
disable them it adds a small performance
boost.
dispatchAsync true
Enables or disables the default setting for
whether consumers have their messages
dispatched synchronously or
asynchronously by the broker. For more
information regarding asynchronous
dispatching see section 12.3. Starting
with version 5.1, the default value has
been switched from ‘false’ to ‘true’.
exclusiveConsumer false
Enables or disables whether or not queue
consumers should be exclusive. For more
information see section 12.5.
objectMessageSerializationDefered false
When an object is set on a message of
type ObjectMessage, the JMS spec
requires the object to be serialized by that
set method. Enabling this flag defers the
object serialization. The object may
subsequently get serialized if the message
has to be sent over a network connection
or persisted to secondary storage.
password Sets the JMS password used for
connections created from this factory
Copyright 2008, Total Transaction Management
www.ttmsolutions.com
35

ActiveMQ 5.2 Reference Guide
producerWindowSize 0 This is used to control the flow of
messages from producer to broker.
statsEnabled
useAsyncSend false
Forces the use of asynchronous sends,
which should improve performance;
however, this means that the
Session.send() method will return
immediately whether the message has
been sent or not which could lead to
message loss.
useBeanNameAsClientIdPrefix
useCompression false
Enables the default “DEFLATE” (gzip)
message compression algorithm to
compress the message bodies. This
property only needs to be set for the
producer client. ActiveMQ uses the
java.util.zip package’s
DeflaterOutputStream and
InflaterOutputStream classes to compress
and de-compress a message, repectively.
More information on the DEFLATE
algorithm can be found here:
http://en.wikipedia.org/wiki/DEFLATE
useRetroactiveConsumer false
Sets whether or not retroactive consumers
are enabled. Retroactive consumers allow
non-durable topic subscribers to receive
old messages that were published before
the non-durable subscriber started.
userName Sets the JMS userName used by
connections created by this factory
warnAboutUnstartedConnectionTimeout
500
(ms)
Enables the timeout from a connection
creation to when a warning is generated if
the connection is not properly started via
Connection.start() and a message is
received by a consumer. It is very
common to forget to start the connection
so this option makes the default case to
create a warning if the user forgets. To
disable the warning just set the value to
anything < 0 (e.g., -1).
Copyright 2008, Total Transaction Management
www.ttmsolutions.com
36

ActiveMQ 5.2 Reference Guide
Many of the properties listed in the table above can also be assigned via the brokerURL property
itself; however, when assigning properties via the brokerURL, the property must be preceded
with a “jms.” prefix. For example, the following assigns a clientIDPrefix of “Pedro” to all
connections that are rendered by the connection factory called, “linux01ConnectionFactory”.
connection.linux01ConnectionFactory.brokerURL =
tcp://linux01:61616?jms.clientIDPrefix=Pedro
The following is a code snippet that illustrates how the client leverages JNDI to get
ConnectionFactory and Destination objects.
// We rely on the default JNDI InitialContext to lookup a connection
// factory and destination that are specified in the jndi.properties file.
javax.naming.Context ctx = new InitialContext();
// Create a connection factory for the target broker. From the factory
// you can create many connection objects, but typically an application
// will only have one connection
ConnectionFactory factory = (javax.jms.ConnectionFactory)
ctx.lookup("ConnectionFactory");
//Now have the connection factory render a connection
Connection conn = factory.createConnection();
// Lookup and create a queue
Queue myQ = (Queue) ctx.lookup("MyQueue");
The snippet of code above assumes that the jndi.properties file resides somewhere within the
client’s CLASSPATH; therefore, the JVM will automatically load its properties into the default
InitialContext. More information on the jndi.properties file can be found here:
http://java.sun.com/products/jndi/tutorial/beyond/env/source.html#APPRES
If your client is deployed in an environment where there may exist multiple jndi.properties files,
you may want to create an ActiveMQ-specific InitialContext to avoid any conflicts. Take for
example, the situation where your ActiveMQ client is a Java servlet that will be deployed as a
web application to any number of different web containers (e.g., Tomcat, JBoss, Jetty,
WebLogic, etc.). You can create an ‘amq.properties’ file, which adheres to the jndi.properties or
java.util.Properties format, and deploy it to the web application’s “/WEB-INF/classes” directory.
During your web application’s initialize lifecycle phase, it can create an ActiveMQ initial
context as follows:
Properties props = new Properties();
props.load( servlet.getServletContext().getResourceAsStream(
"/WEB-INF/classes/amq.properties" ) );
Context jmsCtx = new InitialContext (props);
Copyright 2008, Total Transaction Management
www.ttmsolutions.com
37

ActiveMQ 5.2 Reference Guide
Or if it is a standalone client, and assuming the amq.properties file is in the CLASSPATH, you
can do the following:
Properties props = new Properties();
ClassLoader myLoader = this.getClass().getClassLoader();
props.load(myLoader.getResourceAsStream("amq.properties"));
Context jmsCtx = new InitialContext(props);
The one drawback with the two examples above is that your code does make specific references
to ActiveMQ; therefore, it compromises the code’s portability. This next section illustrates a
more portable approach within the context of a web application container like Tomcat.
5.2 The LDAP-based JNDI
This section describes how to use the JNDI to store and retrieve ActiveMQ’s JMS administered
objects (i.e., connection factory and destination) to and from a LDAP directory server (DS).
The primary benefit of using a LDAP DS is that all information, especially information
pertaining to ActiveMQ administered objects, can be centrally and securely stored and managed.
This is especially attractive for large enterprise class environments that employ many JMS
clients.
Java objects are stored in the LDAP DS according to rfc2713.
The following ActiveMQ administered objects are stored in the DS as javax.naming.Reference
objects.
org.apache.activemq.ActiveMQConnectionFactory
org.apache.activemq.command.ActiveMQTopic
org.apache.activemq.command.ActiveMQQueue
The following is an example LDAP Interchange Format (LDIF) file for an
ActiveMQConnectionFactory object.
dn: cn=factory2,ou=adminobjects,o=amq,dc=example,dc=com
objectClass: javaNamingReference
objectClass: javaObject
objectClass: javaContainer
objectClass: top
Copyright 2008, Total Transaction Management
www.ttmsolutions.com
38

ActiveMQ 5.2 Reference Guide
cn: factory2
javaclassname: org.apache.activemq.ActiveMQConnectionFactory
javafactory: org.apache.activemq.jndi.JNDIReferenceFactory
javareferenceaddress: #0#blobTransferPolicy.uploadUrl#http://localhost:8080/
uploads/
javareferenceaddress: #1#brokerURL#tcp://localhost:61670
javareferenceaddress: #2#objectMessageSerializationDefered#false
javareferenceaddress: #4#redeliveryPolicy.initialRedeliveryDelay#1000
javareferenceaddress: #3#prefetchPolicy.queuePrefetch#1000
In order to interact with a LDAP DS, via the JNDI, your Java client must use an implementation
of the JNDI service provider interface (SPI) that stores and retrieves Java objects to and from the
LDAP DS. Luckily, there is such an implementation and it is included in JDK 1.5 and higher.
The package that provides this implementation is called, “com.sun.jndi.ldap” and the two classes
in this package that your Java code will interact with are called, “LdapCtxFactory” and
“LdapCtx”. However, as you’ll see, the only classes that you will need to directly reference are
LdapCtxFactory and javax.naming.Context; the latter being an interface. The LdapCtxFactory
renders LdapCtx objects, which implement the Context interface
The first thing your Java code must do is acquire and configure an instance of this package’s
Context interface implementation (i.e., LdapCtx), which it will do so via LdapCtxFactory. The
following sections describe three different methods for doing this.
5.2.1 Environment Properties Hashtable
With this method, your Java code specifies the fully qualified class name of the LdapCtxFactory
through an entry in an environment property Hashtable, which represents the resulting Context’s
environment. The following code snippet illustrates this.
Hashtable env = new Hashtable();
env.put(Context.INITIAL_CONTEXT_FACTORY,
"com.sun.jndi.ldap.LdapCtxFactory");
Using the same Hashtable, your code must then specify the URL for the target LDAP directory
service along with the proper security credentials (username and password). These will all be
used to establish a connection to that target directory service.
env.put(Context.PROVIDER_URL, "ldap://ldap.wiz.com:
389/ou=adminobjects,o=amq,dc=example,dc=com");
env.put(Context.SECURITY_PRINCIPAL, "uid=admin,ou=system");
env.put(Context.SECURITY_CREDENTIALS, "secret");
Copyright 2008, Total Transaction Management
www.ttmsolutions.com
39

ActiveMQ 5.2 Reference Guide
Notice how the PROVIDER_URL property must contain the distinguished name (DN) that
pertains to the root of the directory information tree (DIT) that is used for storing the ActiveMQ
administered objects.
Now that your environment properties have all been properly set, your code can create an
instance of the Context as this code snippet illustrates:
Context ctx = new InitialContext(env);
Remember that the object doing the actual Context implementation is LdapCtx.
5.2.2 The jndi.properties File
Another method for acquiring an instance of the Context is to use the jndi.properties file. With
this approach:
You specify the service provider and its environment properties through the
jndi.properties file.
The configuration burden is shifted from the developer to whoever launches the
application.
Modifications to the configuration will not require corresponding modifications to
the application’s source code.
Here is an example jndi.properties file.
#
# This file must be placed in the JMS client’s CLASSPATH
#
# The 'java.naming.factory.initial' property tells the JVM what JNDI context
# factory (or local JNDI provider) it should use for the application. In this
# case, we're telling it to use the LdapCtxFactory object
# as the context factory. .
java.naming.factory.initial = com.sun.jndi.ldap.LdapCtxFactory
java.naming.provider.url=ldap://192.168.1.148:10389/ou=adminobjects,o=amq,dc=example,dc=
com
java.naming.security.credentials=secret
java.naming.security.principal=uid=admin,ou=system
The JMS client will then create the Context with one simple statement as this snippet illustrates.
Context ctx = new InitialContext();
Copyright 2008, Total Transaction Management
www.ttmsolutions.com
40

ActiveMQ 5.2 Reference Guide
Unlike the previous method, this method does not have to specify an environment Hashtable,
because the default property values are automatically picked up from the jndi.properties file.
NOTE: The jndi.properties file must be located in the JMS client’s class path.
More information on the jndi.properties file can be found at this URL.
http://java.sun.com/products/jndi/tutorial/beyond/env/source.html
5.2.3 System Properties
You can also use ‘system properties’ as yet a third method; for example.
>java -Djava.naming.factory.initial=\
com.sun.jndi.ldap.LdapCtxFactory -Djava.naming.provider.url=\
ldap:// 192.168.1.148:10389/ou=adminobjects,o=ActiveMQ2,dc=example,dc=com\
-Djava.naming.security.credentials=secret \
-Djava.naming.security.principal=uid=admin,ou=system YourJMSApplication
As when using the jndi.properties file, the JMS client would then create the Context with one
simple statement as this snippet illustrates.
Context ctx = new InitialContext();
5.2.4 JNDI Operations
Now that your JMS client has acquired a Context, it can perform JNDI operations (lookup, bind,
rebind, unbind, etc.) against the corresponding LDAP DS. Your JMS client doesn’t have to
concern itself with transforming the ActiveMQ administered objects to and from Reference
objects. Recall that the Reference object is one of only a handful of object types that can be
stored in the DS.
The following code snippets, which assume you’re using the jndi.properties or system properties
methods, illustrate how relatively simple it is to perform some of the JNDI operations
Bind an ActiveMQConnectionFactory object to the DS.
import javax.naming.InitialContext;
import javax.naming.Context;
import org.apache.activemq.ActiveMQConnectionFactory;
public class JndiBind {
public static void main(String[] args) throws Exception {
new JndiBind().init();
}
Copyright 2008, Total Transaction Management
www.ttmsolutions.com
41

ActiveMQ 5.2 Reference Guide
public void init() throws Exception {
try {
Context ctx = new InitialContext();
// Create an ActiveMQ connection factory, give it some URL and save it in the directory.
ActiveMQConnectionFactory factory1 = new ActiveMQConnectionFactory();
factory1.setBrokerURL("tcp://localhost:61683");
ctx.bind("cn=factory3", factory1);
}
catch(Exception e){
e.printStackTrace();
}
}
}
Lookup an ActiveMQConnectionFactory object from the DS. Note how in this example we’re
casting the ActiveMQConnectionFactory that is returned from the lookup to a JMS
ConnectionFactory. This helps isolate the code from the JMS provider.
import javax.naming.InitialContext;
import javax.naming.Context;
import javax.jms.ConnectionFactory;
public class JndiLookup {
public static void main(String[] args) throws Exception {
new JndiLookup().init();
}
public void init() throws Exception {
try {
Context ctx = new InitialContext();
ConnectionFactory factory2 = (ConnectionFactory)ctx.lookup("cn=factory2");
}
catch(Exception e){
e.printStackTrace();
}
}
}
5.3 Tomcat
Copyright 2008, Total Transaction Management
www.ttmsolutions.com
42

ActiveMQ 5.2 Reference Guide
This is an example of how ActiveMQ administered objects can be configured into Tomcat 6.0’s
JNDI InitialContext implementation. The example provides insight into the following JNDI
ActiveMQ object: “org.apache.activemq.jndi.JNDIReferenceFactory”. This object is used to
integrate ActiveMQ with other JNDI service providers.
Through the use of an object factory, the JNDI framework allows for object implementations to
be dynamically loaded into the JNDI name space. The JNDIReferenceFactory object is such a
factory and can be used by JNDI providers to bind and create ActiveMQ-administered objects to
and from its JNDI name space. Therefore, JNDIReferenceFactory can be used to create the two
JMS administered objects: ConnectionFactory and Destination.
Here’s an example of how you can configure Tomcat 6.0’s JNDI implementation to bind and
render ActiveMQ connection factories and destinations.
Step 1 is to define the administered objects through your web application’s context.xml file,
which is located in $TOMCAT_HOME/webapps/<webapp name>/META-INF/. The following is
an example context.xml file, which defines the JNDI namespace for your particualr web
application.
<?xml version="1.0" encoding="UTF-8"?>
<Context antiJARLocking="true" path="/TomcatServletExample">
<!-- Define the connection factory used to connect to the local broker -->
<Resource
auth="Container"
brokerName="LocalActiveMQBroker"
brokerURL="tcp://localhost:61616"
description="JMS Connection Factory"
factory="org.apache.activemq.jndi.JNDIReferenceFactory"
name="jms/localConnectionFactory"
type="org.apache.activemq.ActiveMQConnectionFactory"/>
<!-- Define a queue called Q.TEST -->
<Resource
auth="Container"
description="my Queue"
factory="org.apache.activemq.jndi.JNDIReferenceFactory"
name="jms/Q.TEST" physicalName="Q.TEST"
type="org.apache.activemq.command.ActiveMQQueue"/>
<!-- Define a queue called Q.REQ -->
<Resource
auth="Container"
Copyright 2008, Total Transaction Management
www.ttmsolutions.com
43

ActiveMQ 5.2 Reference Guide
description="my other Queue"
factory="org.apache.activemq.jndi.JNDIReferenceFactory"
name="jms/Q.REQ" physicalName="Q.REQ"
type="org.apache.activemq.command.ActiveMQQueue"/>
</Context>
You do not have to make any modifications to the …/WEB-INF/web.xml file to access the
administered objects defined in the …/META-INF/context.xml file.
This example JndiTest.java servlet illustrates how the administered objects are acquired via the
JNDI.
import java.io.*;
import java.text.*;
import java.util.*;
import javax.servlet.*;
import javax.servlet.http.*;
import javax.jms.*;
import javax.naming.InitialContext;
public class JndiTest extends HttpServlet {
public void doGet(HttpServletRequest request, HttpServletResponse response)
throws IOException, ServletException {
response.setContentType("text/html");
PrintWriter out = response.getWriter();
String body = "";
try {
InitialContext init = new InitialContext();
javax.jms.Queue destination =
(javax.jms.Queue) init.lookup("java:comp/env/jms/Q.TEST");
ConnectionFactory connectionFactory =
(ConnectionFactory)
init.lookup("java:comp/env/jms/localConnectionFactory");
Connection connection = connectionFactory.createConnection();
Session session = connection.createSession(false,
Session.AUTO_ACKNOWLEDGE);
TextMessage message = session.createTextMessage();
message.setText("My text message was send and received");
connection.start();
MessageProducer producer = session.createProducer(destination);
producer.setDeliveryMode(DeliveryMode.PERSISTENT);
producer.send(message);
message = null;
MessageConsumer consumer = session.createConsumer(destination);
Copyright 2008, Total Transaction Management
www.ttmsolutions.com
44

ActiveMQ 5.2 Reference Guide
message = (TextMessage) consumer.receive(1000);
if( message!=null ) {
body = message.getText();
}
producer.close();
consumer.close();
session.close();
connection.close();
} catch (Exception e) {
System.out.println(e.toString());
}
out.println("<html>");
out.println("<head>");
For more information on Tomcat JNDI see “Tomcat 6.0 JNDI How-To”.
5.4 Spring
This ActiveMQ web page provides a good description of how to configure a Spring-based
ActiveMQ client, http://activemq.apache.org/spring-support.html
6 Broker Configuration
There are several ways to configure a broker, but the most flexible and powerful method of
configuring a message broker is through an XML configuration file. This section will describe
how to specify an XML configuration file and the most important elements in the configuration
file along with their attributes and properties.
6.1 Specifying the Broker’s XML Configuration File
A standalone broker is started by invoking the following command:
> $ACTIVEMQ_HOME/bin/activemq
By default, the standalone broker will look for the XML broker configuration file called
“activemq.xml”, which is located in the $ACTIVEMQ_HOME/conf directory; this directory also
happens to be the broker’s default CLASSPATH directory. However, you can specify a different
configuration file by using the “xbean:file:” command line option, as follows:
Copyright 2008, Total Transaction Management
www.ttmsolutions.com
45

ActiveMQ 5.2 Reference Guide
> $ACTIVEMQ_HOME/bin/activemq xbean:file:/path/to/foo.xml
Here’s an example of using the “xbean:file:” command line option on Windows.
> %ACTIVEMQ_HOME%\bin\activemq xbean:file:C:/path/to/foo.xml
Note the forward slashes in the path to the file and if a directory name has spaces, then replace
the space character with the URL encoded version for the space character, which is ‘%20’. For
example,
C:/Program%20Files/AMQ/apache-activemq-5.0/conf/foo.xml
You can also use the “xbean:” option to specify an external XML configuration file; however,
when using this option, the specified file should be located in the $ACTIVEMQ_HOME/conf
directory (default CLASSPATH).
> $ACTIVEMQ_HOME/bin/activemq xbean:foo.xml
More information on the activemq command’s options can be found at this ActiveMQ web page:
http://activemq.apache.org/activemq-command-line-tools-reference.html
When starting an embedded broker, via the vm connector you can also use the “xbean:file:” and
“xbean:” options. You assign these options and their corresponding XML configuration file
paths to the vm connector’s ‘brokerConfig’ option. When using the “xbean:” option, the
corresponding XML configuration file must be located in the client application’s CLASSPATH.
The example below illustrates how to start an embedded broker via the vm connector and how to
direct it to an external XML configuration file called “foo.xml”, which in this case must be in
the application’s CLASSPATH.
vm://localbroker?brokerConfig=xbean:foo.xml
In this example, the “xbean:file:” option is used to specify an absolute path to the “foo.xml” file.
vm://localbroker?brokerConfig=xbean:file:C:/tmp/foo.xml
6.2 The Broker’s XML Configuration File
Copyright 2008, Total Transaction Management
www.ttmsolutions.com
46

ActiveMQ 5.2 Reference Guide
At the highest level, the broker’s XML configuration file is comprised of a <beans> element
followed by one or more <broker> and <bean id> elements. There is also a <bean class>
element that needs to immediately follow the opening <beans> element.
Within the configuration file, you will typically have only one <broker> element, which is used
to configure an instance of a broker. Subsequent sections will go into more detail on the
<broker> element’s attributes and sub-elements or nested elements. If you specify more than one
<broker> element, you will end up with multiple distinct instances of a broker all running within
the same VM.
Below is an example of a very simple broker XML configuration file. Note that the outermost
element must be a <beans> element and that the <bean> element is required. A starter element
(e.g., <beans>) must have an ending element (e.g., </beans>); however, in some cases, if your
element has no nested elements it can be both a starter and ending element (e.g., <bean
class=”some.class”/>) that is comprised of only attributes. Note the forward slash before the ‘>’
character; this indicates both a starter and ending element. Also, comments in both XML and
HTML files are surrounded by a starting ‘<!--' and ending ‘-->’. For example,
<!-- This is a comment -->
<beans>
<!-- Allows us to use system properties as variables in this configuration file -->
<bean class="org.springframework.beans.factory.config.PropertyPlaceholderConfigurer"/>
<!-- DO NOT USE UNDERSCORES FOR THE BROKER NAME -->
<!-- If you do not specify a brokerName, then a default name of ‘localhost’ will be
assigned to the broker. However, all brokers are given unique broker ids. -->
<!-- The xmlns attribute is required and identifies the name space for the broker element -->
<broker brokerName="mybroker" useJmx="true" xmlns="http://activemq.org/config/1.0">
<!-- All the broker’s sub-elements go here -->
<!-- This is the closing element for the <broker> element. -->
</broker>
<!-- This is the closing element for the <beans> element and the file. -->
</beans>
6.2.1 broker
The <broker> element is the most important element in the configuration file. It is the element
that identifies and configures an instance of a broker. If you specify more than one <broker>
Copyright 2008, Total Transaction Management
www.ttmsolutions.com
47

ActiveMQ 5.2 Reference Guide
element, you will end up with multiple distinct instances of a broker all running within the same
VM. The following is a very simple example of a <broker> element with three attributes:
brokerName, useJmx, and xmlns. Note that the element has no nested elements; therefore, it is
both a starter and ending element. You will typically have one or more nested elements. The
‘xmlns’ attribute is not listed in the table below; it represents the XML name space for this XML
file/document1.
<broker brokerName="mybroker" useJmx="true" xmlns=http://activemq.org/config/1.0 />
Attributes For The <broker> element.
Attribute Default
Value Description
advisorySupport
true
Allows the support of advisory messages to
be disabled for performance reasons.
CAUTION: setting this option to ‘false’
precludes the broker from forwarding
messages to other brokers.
brokerName
Sets the name of the broker, which must be
unique across the network of brokers. If a
name is not specified, one will be given to
the broker.
brokerObjectName
Sets the JMX ObjectName for this broker2
dataDirectory
Sets the default directory in which the data
files will be stored by the default message
store mechanism.
deleteAllMessagesOnStartup false
Sets whether or not all messages are deleted
from the message store on startup – used
primarily for testing.
masterConnectorURI Used for setting up a ‘pure’ Master/Slave
configuration. See section 8.2.1.1.
persistent true Used for turning persistence on or off.
populateJMSXUserID
false Sets whether or not the broker should
populate the JMSXUserID message header
field. This field contains the message
producer’s authenticated user name.
shutdownOnMasterFailure false Sets whether a slave, in a pure master/slave
cluster, should shutdown if the master fails.
1 See http://www.w3schools.com/xml/xml_namespaces.asp
2 See http://java.sun.com/j2se/1.5.0/docs/api/javax/management/ObjectName.html for more information on how this
attribute is used.
Copyright 2008, Total Transaction Management
www.ttmsolutions.com
48

ActiveMQ 5.2 Reference Guide
start
true Sets whether or not the broker is started
along with the Spring application context it
is defined within. Normally you would want
the broker to start up along with the
application context, but sometimes when
working with JUnit tests you may wish to
start and stop the broker explicitly yourself.
useJmx true Sets whether or not the Broker's services should
be exposed into JMX.
useLocalHostBrokerName
false If the brokerName attribute is not set, then
this sets whether or not the broker name
should take on the name assigned to the
local machine. If both the brokerName and
this attribute are set to false, then the broker
name will default to ‘localhost’. However,
all brokers are assigned unique broker ids.
Only available in 5.0.
useVirtualTopics
true Sets whether or not Virtual Topics should
be supported by default if they have not
been explicitly configured.
The following sections describe some of the <broker> element’s more important nested
elements.
6.2.2 transportConnector
The <transportConnector> element, which is wrapped by the <transportConnectors> element, is
one of the <broker> element’s nested elements. It is used to specify an IP address and port
number on which the broker will listen for and accept network connection requests from both
clients and other brokers. You can specify zero or more <transportConnector> elements. If you
don’t specify this element, then the broker will not listen for and accept connection requests.
Here’s a very simple example of a broker configuration file that defines a broker called
“localbroker” that uses the tcp connector URI to listen for connection requests on its local host’s
port number 61616.
<beans>
<bean class="org.springframework.beans.factory.config.PropertyPlaceholderConfigurer"/>
<broker brokerName="mybroker" useJmx="true" xmlns="http://activemq.org/config/1.0">
Copyright 2008, Total Transaction Management
www.ttmsolutions.com
49

ActiveMQ 5.2 Reference Guide
<transportConnectors>
<transportConnector name="openwire" uri="tcp://localhost:61616" />
</transportConnectors>
</broker>
</beans>
This example illustrates how the broker can open multiple <transportConnector> elements using
different low-level connector URIs. Note how the URI scheme (e.g., tcp:// ) identifies the
underlying network protocol.
<beans>
<bean class="org.springframework.beans.factory.config.PropertyPlaceholderConfigurer"/>
<broker brokerName="mybroker" useJmx="true" xmlns="http://activemq.org/config/1.0">
<transportConnectors>
<transportConnector name="openwire" uri="tcp://localhost:61616" />
<transportConnector name="ssl" uri="ssl://localhost:61617"/>
<transportConnector name="stomp" uri="stomp://localhost:61613"/>
</transportConnectors>
</broker>
</beans>
This table lists all of the attributes associated with the <transportConnector> element.
Attribute Default
Value Description
discoveryURI null
Enables a discovery agent for this transport
connector. The broker will listen for discovery
advertisements from other brokers using this
URI. See section 3.3.3.
name null
This is the name assigned to the corresponding
transport connector object. If a name is not
given, the name will default to the string
assigned to the ‘uri’ attribute; the ‘:’ will be
Copyright 2008, Total Transaction Management
www.ttmsolutions.com
50

ActiveMQ 5.2 Reference Guide
replaced with ‘_’.
uri
Specifies the URI for this transport connector.
For example, tcp://localhost:61617. See section
3.
The two most important attributes are the ‘uri’ and ‘discoveryURI’ attributes. The uri attribute is
required and the discoveryURI is required if you have a <networkConnector> element that
makes reference to it.
6.2.3 networkConnector
The <networkConnector> element, which is wrapped by the <networkConnectors> element, is
used to specify the IP address and port to which the broker will create a connection to another
broker.
You can specify zero or more <networkConnector> elements; however, recall that through the
‘static’ composite URI connector, you can specify one or more IP address and port number
combinations that the broker will connect to. If you do not specify any <networkConnector>
elements, the broker will not initiate/establish connections to other brokers.
The example below illustrates a configuration that will force the broker to connect to two remote
brokers (one running on linux01 and the other running on linux02). Note that the
networkConnector’s uri attribute has two IP address and port number combinations assigned to
it.
<broker brokerName="mybroker" useJmx="true" xmlns="http://activemq.org/config/1.0">
<networkConnectors>
<!-- Establish connections to linux01 and linux02 -->
<networkConnector
name="linux01 and linux02"
uri="static://(tcp://linux01:61616,tcp://linux02:61616)" />
</networkConnectors>
</broker>
The <networkConnector> element’s uri attribute requires that you use either the ‘static’,
‘rendezvous’ or ‘multicast’ URI.
The multicast or rendezvous URIs are used as part of the automatic discovery protocol, which
brokers use to automatically find one another (see sections 3.2.7 and 3.2.8). In the example
Copyright 2008, Total Transaction Management
www.ttmsolutions.com
51

ActiveMQ 5.2 Reference Guide
below, the broker will advertise discovery packets out through the default multicast port and also
receive discovery packets through the default multicast port. The brokers use the discovery
packets and multicast to automatically join a cluster of brokers listening on and advertising
through the given multicast IP address. When responding to a discovery packet, the broker will
not only indicate that it is available to join the cluster, but also what IP address and port number
it is listening on for connection requests. In the example below, the broker is listening on the
“localhost:61616” IP address and port number combination.
<beans>
<bean class="org.springframework.beans.factory.config.PropertyPlaceholderConfigurer"/>
<broker brokerName="mybroker" useJmx="true" xmlns="http://activemq.org/config/1.0">
<transportConnectors>
<transportConnector name="openwire"
uri="tcp://localhost:61616"
discoveryURI="multicast://default" />
</transportConnectors>
<networkConnectors>
<!-- Send out discovery advertisement packets to auto discover the other brokers -->
<networkConnector
name="discovery"
uri="multicast://default"/>
</networkConnectors>
</broker>
</beans>
This table lists and describes attributes for the <networkConnector> element.
Attribute
Default
Value Description
conduitSubscriptions true
Multiple consumers subscribing to the
same destination are treated as one
consumer by the network. See example
after this table.
decreaseNetworkConsumerPriority false
If set to true, the priority associated with
a queue consumer will be decreased the
further away it is, in network hops, from
Copyright 2008, Total Transaction Management
www.ttmsolutions.com
52

ActiveMQ 5.2 Reference Guide
the broker that received the message.
dispatchAsync false
See section 12.3 for more information
on asynchronous dispatching.
duplex false
If true, a network connection will be
used to both produce AND consume
messages. In other words, messages can
flow in either direction. This is useful
for hub and spoke scenarios when the
hub is behind a firewall or for clients
implementing a request/reply protocol.
This is available only for ActiveMQ
version 5.0 and higher.
dynamicallyIncludedDestinations empty
Any messages destined to destinations
in this list will be forwarded across the
network. An empty list means all
destinations not in the
excludedDestinations list will be
forwarded.
dynamicOnly false
If set to true, the broker will forward
messages to the endpoint broker (broker
at the other end of the connection) only
if that endpoint broker has active
consumers.
excludedDestinations empty
Any messages destined to any
destination in this list will not be
forwarded across the network.
name “bridge”
The name assigned to the corresponding
network connection object.
networkTTL 1
This specifies the number of brokers in
the network that messages and
subscriptions can pass through. This
basically represents the number of
network hops that a subscription or
message can go through on this
particular network to reach its final
destination.
staticallyIncludedDestinations empty
Any messages destined for destinations
in this list will always be passed across
the network - even if no consumers have
ever registered an interest
uri Empty
Defines the URI for this network
connector. Requires that you use either
the ‘static’, ‘rendezvous’ or ‘multicast’
Copyright 2008, Total Transaction Management
www.ttmsolutions.com
53

ActiveMQ 5.2 Reference Guide
URI.
userName & password Empty
The userName and password attributes
are set in order to allow the broker to
connect to a remote broker that has
‘authentication’ enabled. More
information on authentication can be
found in section 16.
You should pay close attention to the ‘dynamicOnly’ and ‘networkTTL’ attributes and their
default settings, which are not properly set for large networks of brokers.
conduitSubscriptions
This example helps to further explain “conduitSubscriptions”. Suppose you have two brokers, A
and B. Connected to broker A, you have a consumer that subscribes to a queue called Q.TEST.
Connected to broker B, you have two consumers that subscribe to the same queue. Then you
start a producer on broker A that writes 30 messages to Q.TEST. By default,
(conduitSubscriptions=true), 15 messages will be sent to the consumer on broker A and the
resulting 15 messages will be sent to the two consumers on broker B. This is because broker A
views the two subscriptions on broker B as one. If you set conduitSubscriptions to “false”, then
each of the three consumers is given 10 messages.
6.2.4 systemUsage
The <systemUsage> element is used to set maximum limits on the amount of system resource
usage allowed for the ActiveMQ broker. The following is an example element taken from the
default broker XML configuration file (activemq.xml).
<systemUsage>
<systemUsage>
<memoryUsage>
<memoryUsage limit="10 mb" percentUsageMinDelta="20"/>
</memoryUsage>
<tempUsage>
<tempUsage limit="100 mb"/>
</tempUsage>
<storeUsage>
<storeUsage limit="1 gb" name="foo"/>
</storeUsage>
</systemUsage>
</systemUsage>
Copyright 2008, Total Transaction Management
www.ttmsolutions.com
54

ActiveMQ 5.2 Reference Guide
The <memoryUsage> element is used to set the maximum amount of memory the broker will
use. The <tempUsage> element is used to set the maximum size of the message store used for
non-persistent messages that may optionally overflow from memory awaiting dispatch. The
<storeUsage> element is used to control the maximum size of the ActiveMQ message store (i.e.,
the store used for persistent messages).
One relevant boolean property is called “sendFailIfNoSpace”. When turned on, this property
forces the ActiveMQ message broker to simply throw a JMSException and not block the
corresponding send if there is insufficient space.
<beans>
…
<broker>
…
<systemUsage sendFailIfNoSpace="true">
<memoryUsage>
<memoryUsage limit="400kb" />
</memoryUsage>
<storeUsage>
<storeUsage limit="10mb" />
</storeUsage>
<tempUsage>
<tempUsage limit="64mb" />
</tempUsage>
</systemUsage>
…
</broker>
…
</beans>
Here’s another example, and note how the settings are addressed for a particular message store.
<beans>
…
<broker xmlns="http://activemq.apache.org/schema/core" persistenceAdapter="#store">
…
<systemUsage>
<systemUsage sendFailIfNoSpace="true" >
<memoryUsage>
<memoryUsage limit="400kb" />
</memoryUsage>
Copyright 2008, Total Transaction Management
www.ttmsolutions.com
55

ActiveMQ 5.2 Reference Guide
<storeUsage>
<storeUsage limit="10mb" store="#store" />
</storeUsage>
<tempUsage>
<tempUsage limit="64mb" />
</tempUsage>
</systemUsage>
</systemUsage>
…
</broker>
…
<bean id="store" class="org.apache.activemq.store.amq.AMQPersistenceAdapter" >
<property name="directory" value="target/amqdata" />
<property name="maxFileLength" value="1000000" />
<property name="checkpointInterval" value="5000" />
<property name="cleanupInterval" value="5000" />
</bean>
</beans>
Here is an interesting thread on ActiveMQ’s user forum regarding the maxFileLength property.
Note the situation described by Richard and Gary’s response.
http://www.nabble.com/Usage-Manager-Store-is-Full---Root-Cause--td22147570.html
6.2.5 persistenceAdapter
The JMS API specifies two modes of message delivery: PERSISTENT and NON-PERSISTENT.
The PERSISTENT mode of delivery, which is the default, instructs the JMS provider to take
extra measures in order to ensure that a message is not lost while being routed to its final
destination. To ensure this level of guaranteed message delivery, the message broker will persist
or write a message out to stable storage or the “message store” as it is sometimes referred to.
Persisting the message to the message store will ensure that the message is not lost if the broker
were to fail. There are various different types of message store implementations that you can
configure for ActiveMQ, and the <persistenceAdapter> element is used to specify which of these
implementations the broker is to employ when persisting messages.
Copyright 2008, Total Transaction Management
www.ttmsolutions.com
56

ActiveMQ 5.2 Reference Guide
6.2.5.1 amqPersistenceAdapter
Starting with version 5.0 of ActiveMQ, the default message store for ActiveMQ is based on an
embeddable transactional message storage solution that is supposed to be extremely fast and
reliable. For more information on ActiveMQ’s default message store and how it is configured,
go to this ActiveMQ web page:
http://activemq.apache.org/amq-message-store.html
6.2.5.2 journaledJDBC
This is the default message store for ActiveMQ 4.x and earlier; it uses a high performance
journal along with an embedded database called “Derby”.
For more information on this store and how to configure it, go to this ActiveMQ web page:
http://activemq.apache.org/persistence.html
The above web page will also describe how to use other databases with and without the journal.
6.2.6 destinations
This is a sub-element of the <broker> element and it is used for specifying the destinations
(queues and topics) that are to be created on broker startup as opposed to waiting for a client to
connect to the broker and register those destinations.
<broker brokerName="mybroker" persistent="true" useShutdownHook="false">
…
<destinations>
<queue name=”MyQueue” physicalName=”example.MyQueue” />
<topic name=”MyTopic” physicalName=”example.MyTopic” />
</destinations>
…
</broker>
The name and physicalName attributes should match the corresponding names found in the
client’s JNDI context.
Copyright 2008, Total Transaction Management
www.ttmsolutions.com
57

ActiveMQ 5.2 Reference Guide
6.3 UseDedicatedTaskRunner
By default, ActiveMQ dedicates a thread to service a destination; therefore, if you create a large
number of destinations, there will also be an equally large number of threads. However, you can
configure ActiveMQ to instead use a thread pool to service destinations. A thread pool can help
reduce the overall number of threads used by ActiveMQ, which may also have performance
implications. To force ActiveMQ to use a thread pool, set the system property called,
“org.apache.activemq.UseDedicatedTaskRunner” to false. Note that this system property is set
to true in the ActiveMQ startup script, which is found in the ACTIVEMQ_HOME/bin directory.
if "%ACTIVEMQ_OPTS%" == "" set ACTIVEMQ_OPTS=-Xmx512M -Dorg.apache.activemq.UseDedicatedTaskRunner=true
7 Wire Protocols
ActiveMQ clients and message brokers communicate with one another by streaming command
objects, which include messages, to one another through network connections. At the client, all
communications between the client and broker is taken care of by the ActiveMQ client class
files or libraries.
The broker and client can optionally both reside in the same Java Virtual Machine (JVM or
VM). In this configuration, the broker is referred to as an embedded or intra-VM broker and it
communicates with its clients via direct method invocation instead of through a network
communication channel. Embedded brokers are further described in section 3.2.1.
ActiveMQ currently employs two encoding formats (wire protocols) used to stream the
command objects through a network connection. The two are called “OpenWire” and
“STOMP”.
STOMP, which stands for Streaming Text Orientated Messaging Protocol, is used to support
ActiveMQ clients written in languages other than Java and it is also used to develop bridges or
gateways between ActiveMQ and other JMS providers (e.g., MQSeries).
The OpenWire protocol is the default encoding format used by the native Java, C/C++, and
.NET ActiveMQ client libraries, which are the only native client libraries currently available.
Unlike STOMP, which is text-based, OpenWire employs a more efficient binary format.
The OpenWire protocol has a handful of parameters, which are assigned through a “Connector
URI” (See section 3.1). The following table lists and describes the OpenWire parameters.
OpenWire Options
Copyright 2008, Total Transaction Management
www.ttmsolutions.com
58

ActiveMQ 5.2 Reference Guide
Parameter Name Default Value Description
stackTraceEnabled true Should the stack trace of exception that occurs on
the broker be sent to the client?
tcpNoDelayEnabled false
Does not affect the wire format, but provides a
hint to the peer that the TCP NODELAY option
should be enabled on the communications Socket.
Setting the TCP_NODELAY option will turn off
Nagle’s algorithm, which is used to improve
network efficiency. This is also referred to as
“nagling”. The algorithm aggregates small
messages on the sending side into larger TCP
packets thus improving overall network
efficiency. When the Nagle algorithm is turned
off, packets are immediately transmitted thus
increasing performance, but potentially
compromising network efficiency.
On most operating systems and JVMs, the Nagle
algorithm is turned on by default.
cacheEnabled true Should commonly repeated values be cached so
that less marshalling occurs?
tightEncodingEnabled true For more information on tight encoding, see
section 17.9
prefixPacketSize true Should the size of the packet be prefixed before
each packet is marshaled?
maxInactivityDuration 30000
The maximum inactivity duration (before which
the socket is considered dead) in milliseconds. On
some platforms it can take a long time for a
socket to appear to die, so we allow the broker to
kill connections if they are inactive for a period of
time. Used by some transports to enable a keep
alive heart beat feature. Set to a value <= 0 to
disable inactivity monitoring.
Copyright 2008, Total Transaction Management
www.ttmsolutions.com
59

ActiveMQ 5.2 Reference Guide
maximumConnections Integer.MAX_VALUE
Specifies the maximum number of connections
that will be accepted by the TcpTransportServer.
You can apply this option to the URI attribute that
is associated with the <transportConnector>
element. The <transportConnector> element is
found in the broker’s activemq.xml file.
cacheSize 1024 If cacheEnabled is true, then this specifies the
maximum number of values to cache.
This is an example of how OpenWire parameters are specified through a Connection URI.
tcp://localhost:61616?wireFormat.cacheEnabled=false&wireFormat.tightEncodingEnabled=false
8 Network of Brokers
8.1 Store and Forward
A store and forward network of brokers is one that supports the forwarding of messages across
multiple brokers in order to reach a destination with an active consumer. Take for example a
network of three brokers: A, B, and C. A is connected to B, B is connected to C, a producer is
connected to A, and a consumer is connected to C.
Copyright 2008, Total Transaction Management
www.ttmsolutions.com
BrokerA
Client
(Producer)
BrokerB
Network
Connector
Or
Forwarding
Bridge
Client
(Consumer)
Transport
Connector
BrokerC
Network
Connector
Or
Forwarding
Bridge
Transport
Connector
Network of Brokers
60

ActiveMQ 5.2 Reference Guide
When the producer on A produces a message to a queue on A, we would like that message to be
forwarded to the corresponding queue on C so that the consumer connected to C can read that
message from the queue on C. In order to achieve this, all the brokers must have appropriate
transport and network connector elements assigned to their configurations. That is, broker A
must have a network connector to broker B and broker B must have a network connector to
broker C. At a minimum, brokers B and C must also have transport connectors, which they use
to listen for and accept incoming network connection requests.
One thing to note is that the default settings for the network connector element’s “networkTTL”
and “dynamicOnly” attributes are set to “1” and “false”, respectively. A networkTTL setting of 1
precludes a message from being forwarded across more than one broker. A dynamicOnly setting
of false will not preclude the broker from forwarding a message to another broker that no longer
has an active consumer. With the default networkTTL setting, the message sent from the
producer on A would reach B, but never make it to C. In order to reach C, networkTTL must be
given a value of at least ‘2’. With the default dynamicOnly setting, it is very likely that the
broker will forward a message to a broker that at one time had an active consumer for the
destination; therefore, the messages forwarded to that broker may be permanently lost. More
information on the network connector element’s attributes can be found in section 6.2.3.
CAUTION: When reading through the documentation on the ActiveMQ web site, you may run
across a broker boolean attribute called, “advisorySupport”. The documentation states that
setting this attribute to false (default is true) will improve performance a little because it disables
the support for advisory messages (see section 9); however, setting this option to ‘false’
precludes the broker from forwarding messages to other brokers.
8.2 High Availability
8.2.1 Master/Slave Broker Configurations
The configurations associated with ActiveMQ’s Master-Slave network of brokers provide for
fault tolerance at the broker level. The configurations are comprised of a cluster of brokers,
where each cluster has one master along with one or more dormant slave brokers that get called
into service (become the master) if and when the master fails. The slave is dormant because
while it waits to be called into service, it has all network connectivity disabled; therefore, it
cannot accept connection requests from clients and other brokers and cannot initiate connections
to other brokers. ActiveMQ does not have the capability for an active or hot standby Master-
Slave configuration.
The Mater-Slave functionality is only available with version 4.0 and higher of ActiveMQ.
Copyright 2008, Total Transaction Management
www.ttmsolutions.com
61

ActiveMQ 5.2 Reference Guide
These are the three types of Master-Slave broker configurations.
Master Slave Type Requirements Pros Cons
Pure Master
Slave
ActiveMQ 4.0 or
higher
No central point of
failure.
Requires manual restart to bring
back a failed master and can only
support 1 slave
Shared File
System Master
Slave
A Shared Networked
File System (NFS).
ActiveMQ 4.1 or
higher
Run as many slaves
as needed.
Automatic recovery
of old masters
Requires a distributed shared file
system (e.g., NFS or SAN).
JDBC Master
Slave
A shared database
ActiveMQ 4.1 or
higher
Run as many slaves
as needed.
Automatic recovery
of old masters
Requires a shared database. Also
relatively slow as it cannot use
ActiveMQ’s high performance
journal
If a shared network file system (NFS) is available, then the “Shared File System Master-Slave”
configuration is recommended. This configuration also uses ActiveMQ’s high-performance
journal, which serves as a database cache.
8.2.1.1 Pure Master Slave
A pure Master-Slave broker configuration is one that does not use a shared file system or
database. In this configuration, a master has only one slave and it maintains all message and state
information with the slave through a ‘replication’ (communications) channel. The advantage of
this configuration is that a shared file system or database is not required; however, the
disadvantage is that performance is impacted because of the overhead involved with
communicating all message and state information through the replication channel.
Copyright 2008, Total Transaction Management
www.ttmsolutions.com
62

ActiveMQ 5.2 Reference Guide
Pure Master-Slave Configuration
This pure mast-slave configuration can be expanded upon by connecting multiple master brokers
to form a large, highly available network or cluster of brokers.
A Highly Available Network Comprised of Pure Master-Slave Configurations
These are the characteristics of a pure Master-Slave deployment:
A master must constantly keep the slave synchronized via the replication channel. This
includes all messages, message states, acknowledgements and transactional states.
While a slave is actively connected to the master, it does not permit or start any network or
transport connectors; during this time, its sole purpose is to mirror the state of the master.
NOTE: See the following JIRA in relation to the above bullet-item: https://issues.apache.org/
activemq/browse/AMQ-1511
Copyright 2008, Total Transaction Management
www.ttmsolutions.com
Master
Client
Failover
Transport
Slave
Replication
Channel
M
S
M
S
M
S
M
S
63

ActiveMQ 5.2 Reference Guide
The master will only respond to a client when the corresponding message exchange
(synchronization) has been successfully passed to the slave. For example, a transaction
commit will not complete until the master and the slave have processed the commit.
If the master fails, the slave has two optional modes of operation:
oStarts all its network and transport connectors thus allowing clients connected to the
master to resume on the slave
oCan be configured to close down. In this mode, the slave is simply used to duplicate
state for the master. In the event of a catastrophic failure, the slave’s data repository
can be used as a backup for recovery.
Clients that interact with a pure master-slave deployment should employ a failover transport that
has the master as the first transport in the failover list and has the randomize parameter disabled
(i.e., set to false). This will ensure that it first connects to the master and if and when the master
fails, it will move on to the next transport on the list, which is the slave. Take the following
transport, which the client would have in its jndi.properties file, as an example.
failover:(tcp://masterhost:61616,tcp://slavehost:61616)?randomize=false
Setting randomize to ‘false’ disables randomness so that the transport will always try the master
first, then the slave if it can't connect to the master. And again recall that the slave does not
accept connections until it becomes the master.
Limitations of Pure Master Slave
Only one slave can be connected to the Master.
A failed master cannot be re-started without first shutting down the slave; there is no automatic
synchronization from slave back to master. The master must be manually synchronized with the
slave as described below.
Recovering a Master Slave
After a master has failed it must first be re-synchronized with the slave prior to being restarted.
Here are the steps for this manual re-synchronization process:
1. Shutdown the slave broker; the clients connected to the slave do not need to be shutdown
because they will begin to retry connection attempts to both the master and the slave.
Again, this only applies to clients that are using the ‘failover’ transport as described
above.
2. Copy the slave’s data directory to that of the master broker’s
3. Start the master, then start the slave.
Copyright 2008, Total Transaction Management
www.ttmsolutions.com
64

ActiveMQ 5.2 Reference Guide
Configuring The Pure Master Slave
A master broker doesn't require any special configuration; it's a normal broker until a slave
broker connects to it. The one exception to this rule is the “waitForSlave” attribute, which was
introduced with the release of ActiveMQ 5.2. If you set this attribute to true, it does mark the
broker as being a master broker in a pure master/slave configuration and it also tells the master
broker not to fully initialize until the slave broker has connected to it. So if you set this attribute
to true, the master broker will not accept connections from either clients or other brokers until a
connection identifying itself as being from the slave broker is received. This ensures that the
master and slave brokers remain in sync with one another. Example configuration:
<broker waitForSlave="true"… >
. . .
</broker>
To mark a broker as a slave there is just one property to set as this example, taken from the slave
broker’s XML configuration file, demonstrates:
<broker masterConnectorURI="tcp://masterhost:62001"… >
. . .
</broker>
Broker Property default Description
masterConnectorURI null URI to the master broker e.g. tcp://masterhost:62001
shutdownOnMasterFailure false
If set to true, the slave will shut down if the master fails, otherwise the
slave will take over as being the new master. The slave ensures that
there is a separate copy of each message and acknowledgement on
another machine which can protect against catastrophic hardware
failure. If the master fails you might want the slave to also shut down
because you may always want to duplicate messages to 2 physical
locations to prevent message loss on catastrophic data centre or
hardware failure. If you would rather the system keep on running after
a master failure then leave this flag as false.
Configuring the Authentication of the Slave
In ActiveMQ 4.1 and higher, you can use a <masterConnector/> element to also configure a
slave broker. This element also provides you with the capability of specifying a userid and
password for those cases where the master requires authentication. The example below
Copyright 2008, Total Transaction Management
www.ttmsolutions.com
65

ActiveMQ 5.2 Reference Guide
illustrates the use of the <masterConnector> element; note that it is a sub-element of the
<services> element.
<broker brokerName="slave" useJmx="false" shutdownOnMasterFailure="true"
xmlns="http://activemq.org/config/1.0">
<transportConnectors>
<transportConnector uri="tcp://localhost:62002"/>
</transportConnectors>
<services>
<masterConnector remoteURI= "tcp://localhost:62001" userName="Chuckee"
password="Cheese"/>
</services>
</broker>
8.2.1.2 Shared File System Master Slave
If your organization uses a Storage Area Network (SAN -
http://en.wikipedia.org/wiki/Storage_area_network ) or a highly reliable Networked File Service
(NFS), then you are recommended to use the “Shared File System Master-Slave” configuration.
With this configuration, you set up two or more brokers that reference the same, shared data
directory (message store). The first broker to acquire the exclusive lock for the shared data
directory becomes the master broker. Those brokers that cannot acquire the lock become
dormant slaves that periodically attempt to acquire the lock. The slaves are “dormant” because
they do not activate their transport and network connectors until they become a master. If and
when the master fails, the lock gets released, which allows one of the slaves to acquire the lock
and thus becomes the new master. When a slave becomes a master, it immediately activates its
transport and network connectors. In the meantime, clients will loose their connections to the
failed master and will automatically failover to the new master. So the idea here is to provide
high availability by introducing redundancy at both the message broker and message store levels.
The following snippet, taken from a broker’s XML configuration file, demonstrates how to set
up a shared master/slave configuration.
<! In this particualr case, all brokers in the master/slave cluster
must share the same name. -->
<broker xmlns="http://activemq.org/config/1.0"
brokerName="master"
dataDirectory="${activemq.base}/shared-data" >
<!-- The transport connectors ActiveMQ will listen to -->
<transportConnectors>
<transportConnector uri="tcp://localhost:61617" />
</transportConnectors>
Copyright 2008, Total Transaction Management
www.ttmsolutions.com
66

ActiveMQ 5.2 Reference Guide
<managementContext>
<managementContext connectorPort="1399"
jmxDomainName="org.apache.activemq"/>
</managementContext>
</broker>
Lets assume that the above configuration is given to two brokers, each running on separate
machines, and that the dataDirectory attribute points to a highly reliable shared file system,
which in this particular case is located at, “${activemq.base}/shared-data”. The final location to
the resulting data directory will actually be "${activemq.base}/shared-data/master”, because the
value assigned to the brokerName attribute is appended to the path assigned to the dataDirectory
attribute. If you do not specify the brokerName attribute, the default name of “localhost” will be
assigned to the broker.
The first broker to grab the lock to the shared data directory becomes the master. The second
broker, which becomes the slave, displays the following warning message and will wait to
acquire the lock.
WARN AMQPersistenceAdapter - Waiting to Lock the Store C:\Program Files\AMQ\apache-
activemq-5.1-SNAPSHOT\bin\..\masterslave-data\master
Again, while waiting for the lock to be released, the slave broker is dormant and will not activate
its transport or network connectors. Client and other brokers will not be able to connect to it.
CAUTION: It is very important that you use the same name for all brokers in a shared
master/slave configuration cluster; if not, they will end up using different data directories and
will not comprise a master/slave cluster. For example, if one broker is called “master” and the
other “slave”, then they will end up referencing the data directories "${activemq.base}/shared-
data/master” and "${activemq.base}/shared-data/slave”, respectively.
Another approach to setting up a shared master/slave configuration is to use the
persistenceAdapter element instead of the dataDirectory attribute as this example illustrates.
<broker useJmx="false" xmlns="http://activemq.org/config/1.0">
<persistenceAdapter>
<journaledJDBC dataDirectory="/sharedFileSystem/broker"/>
</persistenceAdapter>
…
</broker>
When using the above method, the slave will put out this different message letting you know that
is has not acquired the lock.
Copyright 2008, Total Transaction Management
www.ttmsolutions.com
67

ActiveMQ 5.2 Reference Guide
INFO journalPersistenceAdapterFactory - Journal is locked... waiting 10 seconds for the journal
to be unlocked
Clients should be using the failover transport with a list of all the brokers in this particular
Master-Slave cluster. For example, if there are three brokers in the cluster, the failover transport
would look something like this.
failover:(tcp://broker1:61616,tcp://broker2:61616,tcp://broker3:61616)
Randomization is turned on (default behavior) and only the master broker activates its transport
connectors; therefore, the clients can only connect to the master.
Shared File System Master-Slave
8.2.1.3 JDBC Master Slave
Except for the following, the JDBC Master-Slave configuration behaves very much like the
Shared Master Slave configuration.
1. Instead of a shared file system, the cluster of brokers is pointed at a shared database.
2. The ActiveMQ high performance journal cannot be used; therefore, performance will not
be as good as when using the Shared File System Master Slave.
3. Use the <jdbcPersistenceAdapter> element, instead of <journaledJDBC>, to point the
brokers to the shared database.
8.3 Isolating Your Broker From Other Brokers
Copyright 2008, Total Transaction Management
www.ttmsolutions.com
Master
Client
Failover
Transport
SAN
or
NFS
Shared
Data
Directory
Slaves
68

ActiveMQ 5.2 Reference Guide
If you are within a development or testing environment, you may have a requirement to isolate
your broker from other brokers or network of brokers within that environment. To address this
requirement, edit your broker’s XML configuration file as follows.
1. Give the <broker> element’s ‘brokerName’ attribute a unique value (name).
2. Through the <broker> element’s <persistenceAdapter> sub-element, ensure that the
broker is given its own unique data directory. If it shares a data directory with another
broker, then it will become part of a shared master/slave cluster. If the broker is not given
a <persistenceAdapter> element, then it will, by default, be given a unique data directory
based on its broker name.
3. Ensure that the port numbers assigned via the <broker> element’s <transportConnector>
and <managementContext> sub-elements do not conflict with those assigned to other
brokers on the same machine.
4. If you do not want your broker auto-discovering other brokers, then remove any
‘multicast’ connector URIs in the <transportConnector> and <networkConnector>
elements so that your broker does not automatically discover and connect to other
brokers. If you want your broker to auto-discover other brokers within your own private
cluster, then ensure that you use the same unique multicast IP address for all brokers in
your private cluster. For example, this snippet from an XML configuration file has
changed the ‘default’ multicast IP address to a unique multicast IP address of 239.255.2.5
<transportConnectors>
<transportConnector
name="default"
uri="tcp://localhost:61616"
discoveryURI="multicast://239.255.2.5"
/>
</transportConnectors>
<networkConnectors>
<networkConnector
name="default"
uri="multicast://239.255.2.5"
/>
</networkConnectors>
You can then give your XML configuration file a unique name and pass it to the activemq script
via its “xbean:file:” option as follows.
> $ACTIVEMQ_HOME/bin/activemq xbean:file:/path/to/mybroker.xml
Copyright 2008, Total Transaction Management
www.ttmsolutions.com
69

ActiveMQ 5.2 Reference Guide
9 Advisory Messaging
ActiveMQ provides a facility called, “Advisory Messaging”, which allows your client
application to monitor the system by subscribing to a predefined set of administrative or advisory
topics. ActiveMQ automatically publishes messages to these topics to reflect the following types
of system events:
The stopping and starting of consumers, producers and connections
Temporary destinations being created and destroyed
Messages expiring on topics and queues
Brokers sending messages to destinations with no consumers.
The stopping and starting of connections
Please refer to the following ActiveMQ web site page for a complete list of advisory events.
http://activemq.apache.org/advisory-message.html
You’ll note that starting with ActiveMQ 5.2, additional advisory messages were introduced. By
default, the publishing of the majority of these new advisory messages is turned off. To turn
them on, use the destination policy element as this example illustrates (note the use of the
wildcard characters to specify all queues and all topics).
<broker>
…
<destinationPolicy>
<policyMap>
<policyEntries>
<policyEntry queue=">"
memoryLimit="5mb"
advisoryForConsumed="true"
advisoryForDelivery="true"
advisoryWhenFull="true"
advisoryForSlowConsumers="true"
advisdoryForFastProducers="true"
advisoryForDiscardingMessages="true" />
<policyEntry topic=">"
advisoryForConsumed="true"
Copyright 2008, Total Transaction Management
www.ttmsolutions.com
70

ActiveMQ 5.2 Reference Guide
advisoryForDelivery="true"
advisoryWhenFull="true"
advisoryForSlowConsumers="true"
advisdoryForFastProducers="true"
advisoryForDiscardingMessages="true" />
</policyEntries>
</policyMap>
</destinationPolicy>
…
</broker>
All advisory topics have the “ActiveMQ.Advisory” prefix assigned to their names and there are
two basic types of advisory topics: client and destination. The following lists the client advisory
topics:
ActiveMQ.Advisory.Connection – sent messages that reflect all connection start and stop
events.
ActiveMQ.Advisory.Consumer.Queue – sent messages that reflect all consumer start and
stop events on all queues.
ActiveMQ.Advisory.Producer.Queue – sent messages that reflect all producer start and stop
events on all queues.
ActiveMQ.Advisory.Consumer.Topic – sent messages that reflect all consumer start and stop
events on all topics.
ActiveMQ.Advisory.Producer.Topic – sent messages that reflect all producer start and stop
events on all queues.
These are the destination advisory topics:
ActiveMQ.Advisory.Queue – sent messages that reflect all queue create and destroy events.
ActiveMQ.Advisory.Topic – sent messages that reflect all topic create and destroy events
ActiveMQ.Advisory.TempQueue – sent messages that reflect all create and destroy events
for all temporary queues.
ActiveMQ.Advisory.TempTopic – sent messages that reflect all create and destroy events for
all temporary topics.
ActiveMQ.Advisory.Expired.Queue – sent messages that reflect all expired messages for all
queues
Copyright 2008, Total Transaction Management
www.ttmsolutions.com
71

ActiveMQ 5.2 Reference Guide
ActiveMQ.Advisory.Expired.Topic – sent messages that reflect all expired messages for all
topics.
ActiveMQ.Advisory.NoConsumer.Queue – sent messages that reflect all messages sent to all
queues that do not have a consumer
ActiveMQ.Advisory.NoConsumer.Topic – sent messages that reflect all messages sent to all
topics that do not have a consumer
The above names can also serve as prefixes that can be assigned qualifiers in order to receive
events for a particular destination. The following example illustrates how to subscribe to all
create and destroy events for a queue called, “Q.REQ”.
Topic advisoryTopic = session.createTopic(“ActiveMQ.Advisory.Queue.Q.REQ”);
Or you can use the “.>” wildcard string to receive events for any number of clients and or
destinations. For example, to receive all advisory messages, you can wild-card the
“ActiveMQ.Advisory” prefix as fallows.
Topic advisoryTopic = session.createTopic("ActiveMQ.Advisory.>");
10 Administration
10.1 Command Line Tools
The command line tools are activemq and activemq-admin which are located at
$ACTIVEMQ_HOME/bin. Activemq starts an ActiveMQ broker and is illustrated in Section 6
Broker Configuration. This section describes activemq-admin. Releases prior to ActiveMQ 5
contained standalone tool scripts, which have been combined into activemq-admin, with the
prior script names now passed as task name command line arguments to activemq-admin. These
tasks, and their options are described in detail at the following link:
http://activemq.apache.org/activemq-command-line-tools-reference.html
Note that the information at the above URL represents the 4.1.1 standalone utilities, but the
detailed information is correct for AMQ 5.
Copyright 2008, Total Transaction Management
www.ttmsolutions.com
72

ActiveMQ 5.2 Reference Guide
The following summarizes the capabilities of activemq-admin, and provides examples and
sample output where appropriate:
Tasks:
start run an ActiveMQ broker
stop shutdown an ActiveMQ broker
list list all running brokers in the specified JMX context
query query the JMX context for broker statistics and information
bstat predefined query that displays useful broker statistics
browse browse the messages of a specific queue
Examples:
start a broker
> activemq-admin start xbean:file:$ACTIVEMQ_HOME/conf/dick1.xml&
list brokers
> activemq-admin list
BrokerName = dick1
query broker information
> activemq-admin query
This command displays detailed information for all MBean types within the JMX context – these
include: brokers, destinations (queues, topics, and subscriptions), and connections
> activemq-admin query -QQueue=Q.REQ
Type = Queue
DispatchCount = 24
Destination = Q.REQ
MaxEnqueueTime = 11850504
QueueSize = 12
Name = Q.REQ
DequeueCount = 24
MemoryPercentageUsed = 0
ConsumerCount = 0
MemoryLimit = 30198988
EnqueueCount = 12
Copyright 2008, Total Transaction Management
www.ttmsolutions.com
73

ActiveMQ 5.2 Reference Guide
MinEnqueueTime = 247613
AverageEnqueueTime = 6049061.708333333
BrokerName = dick1
> activemq-admin query -QBroker=dick1
TemporaryQueues = [Ljavax.management.ObjectName;@64dc11
TemporaryTopics = [Ljavax.management.ObjectName;@3eca90
DurableTopicSubscribers = [Ljavax.management.ObjectName;@161d36b
QueueSubscribers = [Ljavax.management.ObjectName;@17f1ba3
InactiveDurableTopicSubscribers = [Ljavax.management.ObjectName;@1d520c4
MemoryLimit = 67108864
Type = Broker
TemporaryTopicSubscribers = [Ljavax.management.ObjectName;@1ef8cf3
BrokerId = ID:linux01-3613-1194543805448-0:0
TotalMessageCount = 12
MemoryPercentageUsed = 0
TotalEnqueueCount = 111
Queues = [Ljavax.management.ObjectName;@1174b07
Topics = [Ljavax.management.ObjectName;@147c5fc
TopicSubscribers = [Ljavax.management.ObjectName;@1ac1fe4
BrokerName = dick1
TotalDequeueCount = 24
TemporaryQueueSubscribers = [Ljavax.management.ObjectName;@ecd7e
StatisticsEnabled = true
TotalConsumerCount = 8
browse a queue
> activemq-admin browse –amqurl tcp://linux01:61410 Q.REQ
JMS_HEADER_FIELD:JMSDestination = Q.REQ
JMS_BODY_FIELD:JMSText = Test Message[0] 0.028848685449153866{}
JMS_CUSTOM_FIELD:MessageNumberInt = 0
JMS_HEADER_FIELD:JMSDeliveryMode = persistent
Copyright 2008, Total Transaction Management
www.ttmsolutions.com
74

ActiveMQ 5.2 Reference Guide
JMS_HEADER_FIELD:JMSMessageID = ID:linux01-3619-1194543865208-0:0:1:1:1
JMS_CUSTOM_FIELD:MessageNumberStr = 0
JMS_HEADER_FIELD:JMSExpiration = 0
JMS_HEADER_FIELD:JMSPriority = 4
JMS_HEADER_FIELD:JMSRedelivered = false
JMS_HEADER_FIELD:JMSTimestamp = 1194543866209
bstat
> activemq-admin bstat dick1
This command prints out statistics for broker “dick1”. The output is similar to the query output,
but is only for the requested broker.
shutdown a broker
> activemq-admin stop dick1
Stopping broker: dick1
10.2 JConsole
Administration of ActiveMQ brokers can be accomplished by means of JMX, the Java
Management Extensions. ActiveMQ support of JMX means that a JMX Console, such as the
JConsole GUI, can be used to monitor and change an ActiveMQ broker and the JVM in which it
runs.
JConsole is included in the JDK, and the executable can be found in the $JAVA_HOME/bin
directory. JConsole is capable of connecting to local and/or remote JMX agents running in the
JVM of ActiveMQ brokers. Manageable broker attributes and objects are represented by
Managed Beans (MBeans). These are displayed in a tree hierarchy on the MBeans tab of the
main JConsole window.
10.2.1 Configuration
A combination of system properties, broker properties, and “managementContext” properties are
used to configure ActiveMQ administration through JMX. Various properties are used to enable/
disable administration entirely, allow remote administration, require password authentication,
specify SSL characteristics for the administrative connection, etc. Fortunately, the default values
for most of these properties make it relatively easy to get started with ActiveMQ administration
using JConsole.
Copyright 2008, Total Transaction Management
www.ttmsolutions.com
75

ActiveMQ 5.2 Reference Guide
JMX system properties are specified when the broker startup script is run (for a standalone
broker), or when a client and embedded broker are started. The standard activemq startup script
sets the SUNJMX environment variable to "-Dcom.sun.management.jmxremote", then uses this
value as an argument to the java command when the broker is started. In a similar manner, this
system property should be set whenever a client with embedded broker is started, if JMX
administration of the broker is desired. Several other JMX system properties exist – these are
documented at http://java.sun.com/j2se/1.5.0/docs/guide/management/agent.html#properties.
Broker properties are specified in the standalone broker’s configuration file, or at the end of the
URL that starts an embedded broker. The broker property “useJmx” can be used to enable or
disable access to the ActiveMQ JMX management. The default value is “true”, but this can be
changed either in the broker XML configuration file, using
<broker brokerName="broker4" useJmx="false"> … </broker>
or as a broker option on a URL, such as
vm:broker:(vm://localhost)?useJmx="false”
The “managementContext” properties are specified in the <managementContext> elements of
the standalone broker’s XML configuration file. Here is an example snippet.
<!-- Use the following to configure how ActiveMQ is exposed in JMX -->
<managementContext>
<managementContext
connectorPort="1099" jmxDomainName="org.apache.activemq"/>
</managementContext>
Specifying the “connectorPort” attribute in the above way allows JConsole to remotely connect
to the JMX agent for JVM and ActiveMQ administration. For multiple brokers running on the
same machine, unique port numbers should be assigned. An alternative to specifying the
connectorPort attribute is to set the com.sun.management.jmxremote.port property, although this
has some security/access implications (see the JMX system properties documentation).
10.2.2 Connection
JConsole can establish either a local or remote connection to a JMX agent. When JConsole first
comes up, or when the New Connection menu item is selected, the New Connection dialog box
is displayed. An example is shown below.
Copyright 2008, Total Transaction Management
www.ttmsolutions.com
76

ActiveMQ 5.2 Reference Guide
Under “Local Process:” are listed all the JVM processes that have a JMX agent and are running
with the same user id as the JConsole process – including the JConsole process itself. Select a
listed process, and the Connect button, to establish the JConsole connection.
If the connectorPort attribute or the com.sun.management.jmxremote.port system property has
been configured for a broker, the “Remote Process:” option can be used to establish the
administrative connection. Two syntax alternatives are available to specify the host and port, as
shown in the dialog box. Here are examples of each:
linux03:1099
service:jmx:rmi:///jndi/rmi://linux03:1099/jmxrmi
If the connectorPort attribute was used to specify a port, or the system property
com.sun.management.jmxremote.authenticate has been set to false, then Username and
Password entries need not be provided.
10.2.3 Operation
After the administrative connection has been established, the main JConsole window is
displayed.
Copyright 2008, Total Transaction Management
www.ttmsolutions.com
77

ActiveMQ 5.2 Reference Guide
Selecting the MBeans tab and expanding the org.apache.activemq JMX domain name allows the
administrator to inspect object properties and statistics, and to perform certain administrative
operations. Attributes, whose values exist in arrays, can be accessed by double-clicking on the
array name in the Value column. Attributes with values are shown in blue, such as the broker’s
MemoryLimit in the window shown below, can be changed by simply entering a new value.
Copyright 2008, Total Transaction Management
www.ttmsolutions.com
78

ActiveMQ 5.2 Reference Guide
10.3 Web Console
A brief description and configuration information for the ActiveMQ web console is located on
the following ActiveMQ web page: http://activemq.apache.org/web-console.html.
By default, the web console runs in the ActiveMQ broker and listens on port 8161. The above
link describes how to change this port as well as how to configure the web browser in the jetty
web container if you prefer to have the web console run independent of the ActiveMQ broker.
The following are the major features of the web console:
Home page – the menu is on the shaded line below ActiveMQ.
Copyright 2008, Total Transaction Management
www.ttmsolutions.com
79

ActiveMQ 5.2 Reference Guide
The queue screen displays statistics, as well as send, purge, and delete operations.
The queue browse screen is displayed by selecting a queue on the Queues screen. This screen
displays the messages on the queue.
Copyright 2008, Total Transaction Management
www.ttmsolutions.com
80

ActiveMQ 5.2 Reference Guide
10.3.1 Securing Access to the Web Console
The following link takes you to a web page that describes how to secure access to the ActiveMQ
web console.
http://activemq.apache.org/user-submitted-configurations.html
10.4 DestinationSource
The DestinationSource class, which is found in the org.apache.activemq.advisory package, is an
administrative convenience class that can be used by client applications to keep track of the
destinations that are available in a broker and allows the client to listen to destinations as they
are created and deleted. You can also use DestinationSource to get a listing of queues and topics
that are currently available on the broker.
The following code snippet shows you how to acquire a DestinationSource object and get a
listing of currently available queues.
…
Copyright 2008, Total Transaction Management
www.ttmsolutions.com
83

ActiveMQ 5.2 Reference Guide
ActiveMQConnection connection = connectionFactory.createConnection();
Set<ActiveMQQueue> queueSet = amqcon.getDestinationSource().getQueues();
Iterator<ActiveMQQueue> queues = queueSet.iterator();
for(ActiveMQQueue queue: queues ) {
System.out.println( "Queue: " + queue.getPhysicalName() );
}
…
If you download the ActiveMQ source code base, you’ll find a test case in …/activemq-
core/src/test/java/org/apache/activemq/advisory called, “DestinationListenerTest”. The test case
shows you how to set up a DestinationListener.
11 Logging
11.1 Commons-logging
Logging refers to the generation of messages that report information and errors as software
executes. Logging is useful not only to reveal exception conditions, but also to assist in
debugging code, and to help understand how a product functions.
ActiveMQ uses the Apache Software Foundation’s (ASF) “commons-logging” package for
logging. This org.apache.commons.logging package is a thin API veneer that can be configured
to use any logging implementation at runtime.
By default, commons-logging (and therefore ActiveMQ) uses the feature-rich and popular log4j
logging implementation, also from the ASF. Another logging implementation that is available
through the commons-logging package is the JDK 1.4 (and newer) java.util.logging package.
The User Guide that describes commons-logging development and administration can be found
at http://commons.apache.org/logging/guide.html.
11.2 Log4j
Because ActiveMQ uses the commons-logging API described above, the default logging
implementation is log4j. This logging package was designed for minimal overhead and optimal
logging performance.
Copyright 2008, Total Transaction Management
www.ttmsolutions.com
84

ActiveMQ 5.2 Reference Guide
Log4j has three main components: Loggers, Appenders, and Layouts. A Logger is a Java object
that performs logging. An Appender represents a logging output destination. A Layout specifies
the format of the Logger’s output.
Loggers have names, and exist in a hierarchy of descendants from a nameless “root logger”. A
Logger may have a severity level or priority assigned, from the set (descending order) of FATAL,
ERROR, WARN, DEBUG, and TRACE. Additional levels OFF (nothing is logged) and ALL
(everything is logged) are supported. If a Logger has no level assigned, it inherits the level of its
parent Logger.
Appenders exist for the console and regular files, as well as more sophisticated destinations such
as a Windows Event Log or a remote socket server. More than one Appender can be attached to
a logger.
Layouts can be used to specify any number of pieces of information relevant to the message
being logged, such as the format of the current date and time, the source code filename, line
number, class name, method name, thread name, and severity level.
The most straightforward way of administering log4j logging in ActiveMQ is through the use of
Java properties, for example by using a $ACTIVEMQ_HOME/conf/log4j.properties file. The
file that is installed with ActiveMQ begins with these four lines:
log4j.rootLogger=INFO, stdout, out
log4j.logger.org.apache.activemq.spring=WARN
log4j.logger.org.springframework=WARN
log4j.logger.org.apache.xbean.spring=WARN
The first line establishes the severity level INFO for the root Logger, and assigns two Appenders
named “stdout” and “out” to the root Logger. The next three lines assign severity level WARN to
the named Loggers.
Various properties can be assigned to any of the named Appenders. For example:
log4j.appender.stdout=org.apache.log4j.ConsoleAppender
log4j.appender.stdout.layout=org.apache.log4j.PatternLayout
log4j.appender.stdout.layout.ConversionPattern=%-5p %-30.30c{1} - %m%n
More information about log4j configuration can be found at
http://logging.apache.org/log4j/1.2/manual.html.
11.3 java.util.logging
Copyright 2008, Total Transaction Management
www.ttmsolutions.com
85

ActiveMQ 5.2 Reference Guide
As an alternative to log4j, ActiveMQ can be configured to use the JDK 1.4 (or newer)
java.util.logging package. One advantage provided by java.util.logging is the ability to modify a
logging severity level at runtime using an administrative tool such as JConsole.
To configure ActiveMQ for java.util.logging, create a file
$ACTIVEMQ_HOME/conf/commons-logging.properties with the following line:
org.apache.commons.logging.Log=org.apache.commons.logging.impl.Jdk14Logger
The java.util.logging package uses Logger, Handler, and Formatter classes in a manner
analogous to the log4j’s Logger, Appender, and Layout. A single LogManager object maintains
Logger and Handler information for the Virtual Machine.
In general, java.util.logging Loggers have names, and a hierarchical arrangement. A Logger may
have a severity level or priority assigned, from the set (descending order) of SEVERE,
WARNING, INFO, CONFIG, FINE, FINER, and FINEST. As with log4j, additional levels OFF
(nothing is logged) and ALL (everything is logged) are supported, and if a Logger has no level
assigned, it inherits the level of its parent Logger.
By default, the java.util.logging LogManager gets configuration information from the file
$JAVA_ROOT/lib/logging.properties. To establish a separate properties file for use with
ActiveMQ, you would define a system property to give java.util.logging.config.file a value. For
example, on the “java” command line that starts a broker, you could insert:
-Djava.util.logging.config.file="${ACTIVEMQ_BASE}"/conf/logging.properties
You can use this properties file to register and configure Handlers and Formatters, and to assign
severity levels. For examples, these two lines register a FileHandler and a ConsoleHandler with
the LogManager, and establish a severity level of INFO for all Loggers:
handlers = java.util.logging.FileHandler,java.util.logging.ConsoleHandler
.level=INFO
With a more specific reference to the full name of a Logger, you can fine-tune severity levels:
org.apache.activemq.spring.level=WARNING
org.springframework.level=WARNING
org.apache.xbean.spring.level=WARNING
org.apache.activemq.level=FINEST
Several Handler properties can be set, for example the Formatter to be used:
java.util.logging.FileHandler.formatter = java.util.logging.XMLFormatter
java.util.logging.ConsoleHandler.formatter = java.util.logging.SimpleFormatter
Copyright 2008, Total Transaction Management
www.ttmsolutions.com
86

ActiveMQ 5.2 Reference Guide
Other Handler properties can be used to specify values such as the pathname of a log file, a size
limit for the file, and a severity level to apply specifically to the Handler. Further information is
available in the JDK documentation, and in
http://java.sun.com/javase/6/docs/technotes/guides/logging/overview.html.
11.4 Controlling Logging with JConsole
If you have configured ActiveMQ to use java.util.logging, then the Java Monitoring and
Management Console (JConsole) can be used to change Logger severity levels at runtime.
Start by using JConsole’s New Connection dialog box to connect to the Java Virtual Machine.
Select the MBeans tab, and expand the tree widget to expose
java.util.logging/Logging/Attributes.
Double-clicking on the LoggerNames Value will cause a list of Loggers to be displayed. If you
take any Logger’s full name, and go to the java.util.logging/Logging/Operations page, you will
be able to invoke the getLoggerLevel and setLoggerLevel methods of that Logger object.
11.5 Client Logging
To control logging for an ActiveMQ Java client, ensure that the following files are in the client’s
class path.
log4j.properties – change the logging level via the ‘log4j.rootLogger’ statement in this file
common-logging-<version number>.jar
log4j-<version number>.jar
12 Destination/Consumer Options
The configuration options that ActiveMQ makes available for assigning to destinations and/or
consumers allow you to extend their functionality without having to extend the JMS API. These
options are assigned through either a connector URI or destination. For example, the following
Copyright 2008, Total Transaction Management
www.ttmsolutions.com
87

ActiveMQ 5.2 Reference Guide
jndi.properties file will assign a priority level of 10 to any consumer that associates itself with
the destination called “TEST.Q”.
java.naming.factory.initial = org.apache.activemq.jndi.ActiveMQInitialContextFactory
connectionFactoryNames = local
connection.local.brokerURL = tcp://linux02:61616
queue.TEST.Q = TEST.Q?consumer.priority=10
And this jndi.properties file will assign a prefetch limit to all destinations that are derived from
the connector URI that has been assigned to the ‘local’ connection factory. Recall that with in
the JMS, destinations are assigned to sessions and sessions are derived from connections.
java.naming.factory.initial = org.apache.activemq.jndi.ActiveMQInitialContextFactory
connectionFactoryNames = local
connection.local.brokerURL = tcp://linux02:61616?jms.prefetchPolicy.all=50
queue.Q.REQ = Q.REQ
Note from the two examples above that the ‘consumer’ prefix is used when assigning the option
through a destination, while the ‘jms’ prefix is used when assigning the option through a
connector URI. The following table lists and describes briefly all the options that can be
assigned to a destination/consumer.
Option Name Default
Value Description
prefetchSize variable The number of messages the consumer is capable of
pre-fetching.
maximumPendingMessageLimit 0
Used for setting the max number of non-persistent,
pending messages that can be accumulated by the
broker.
noLocal false
In some cases, a client’s connection may both
produce to and consumer from the same destination.
When set to ‘true’, the noLocal attribute will prohibit
delivery of messages produced by the client’s own
connection.
dispatchAsync false Should the broker asynchronously dispatch messages
to the consumer?
retroactive false Is this a retroactive consumer?
selector null JMS Selector used with the consumer.
Copyright 2008, Total Transaction Management
www.ttmsolutions.com
88

ActiveMQ 5.2 Reference Guide
exclusive false Specifies whether or not the consumer will be treated
as an exclusive consumer.
priority 0 Sets the priority level associated with the consumer.
The lower the value the higher the priority.
The following sections will describe in more detail some of the options listed in the table above.
12.1 Prefetch Limits
To achieve a high level of message throughput, the ActiveMQ message broker dispatches or
pushes messages to a consumer as fast as possible so that the consumer always has messages in
its local memory (message buffer) to process. This is opposed to the consumer having to pull
each individual message from the broker, which adds a significant amount of overhead or
latency per message.
Consumer’s Message Buffer
However, this method of pushing as many messages as possible on to the consumer must
incorporate a throttling mechanism. This is because it typically takes much less time for the
broker to deliver a message than it does for the consumer to process it; therefore, the consumer
could very easily be overwhelmed with messages. This would be the case if, for example, the
consumer must access a DB as part of the message processing. The throttling mechanism that
ActiveMQ incorporates is referred to as the “prefetch limit”. This limit specifies how many
messages the broker can push to the consumer without first getting an acknowledgement back
from the consumer for a message it has processed. When the prefetch limit has been reached, the
broker will stop delivering messages to the consumer until the consumer starts to acknowledge
processed messages.
With the prefetch set to 0, consumers pull messages from the queue when they are ready. In
other words, the broker will not dispatch the message to the consumer until the consumer asks
for via the receive method.
These are the default “prefetch limit” values assigned to the various destination types.
queues: 1000
Copyright 2008, Total Transaction Management
www.ttmsolutions.com
Message
Deliver
Queue
Broker
Msg Buffer
Consumer
89

ActiveMQ 5.2 Reference Guide
persistent/durable topics: 100
non-persistent topics: Short.MAX_VALUE -1 (32766)
queue browsers: 500
The default values can be overridden by assigning a ‘jms.prefetchPolicy’ parameter to the
connector URI that is used by the client for establishing a connection to the broker. The
following lists and describes the different jms.prefetchPolicy parameters.
Parameter Name Description
jms.prefetchPolicy.all Sets the prefetch size for all consumer types
jms.prefetchPolicy.queuePrefetch Sets the prefetch size for queue consumers
jms.prefetchPolicy.topicPrefetch Sets the prefetch size for topic consumers
jms.prefetchPolicy.durableTopicPrefetch Sets the prefetch size for durable topic consumers
jms.prefetchPolicy.queueBrowserPrefetch Sets the prefetch size for queue browsers
For example, the connector URI depicted in this jndi.properties file will set the prefetch size for
all consumer types.
java.naming.factory.initial = org.apache.activemq.jndi.ActiveMQInitialContextFactory
connectionFactoryNames = local
connection.local.brokerURL = tcp://linux02:61616?jms.prefetchPolicy.all=50
queue.Q.REQ = Q.REQ
Keep in mind that the client can derive one or more JMS sessions from a connection to the
broker and that these sessions can be assigned different destinations.
The connector URI depicted in this jndi.properties file will set the prefetch size for just queue
consumers.
java.naming.factory.initial = org.apache.activemq.jndi.ActiveMQInitialContextFactory
connectionFactoryNames = local
connection.local.brokerURL = tcp://linux02:61616?jms.prefetchPolicy. queuePrefetch=1
queue.Q.REQ = Q.REQ
The prefetch size can also be configured on a per destination basis, instead of a connection basis.
This is done by assigning the “consumer.prefetchSize” option to the destination as depicted in
this jndi.properties file.
java.naming.factory.initial = org.apache.activemq.jndi.ActiveMQInitialContextFactory
connectionFactoryNames = local
Copyright 2008, Total Transaction Management
www.ttmsolutions.com
90

ActiveMQ 5.2 Reference Guide
connection.local.brokerURL = tcp://linux02:61616
queue.Q.REQ = Q.REQ?consumer.prefetchSize=10
12.2 Slow Consumers
Consumers that do not process messages from their local message buffer in a timely manner are
referred to as “slow consumers”. With respect to non-persistent messages, slow consumers can
cause message back-flow problems on the broker. For example, if a slow consumer’s prefetch
limit has been reached, the broker cannot dispatch any more messages to that consumer;
therefore, the messages for that consumer may accumulate in the broker’s local memory. With
messages accumulating in the broker’s local memory, you run the risk of compromising
producers and other faster consumers that are using the services of the broker. Since these
pending messages are non-persistent, the broker cannot write them out to secondary storage to
free up local memory. One way of mitigating this possible issue is to configure a cluster of
consumers that read off the same destination.
Consumer Cluster
However, clustering consumers may not always be possible as would be the case if; for example,
there exists a slow exclusive consumer (See section 12.5). Or there may exist the situation where
all consumers in the cluster slow down due to a slow DB that they are all accessing.
ActiveMQ allows you to configure the maximum number of pending, non-persistent messages
that the broker will accumulate for a slow consumer (i.e., in addition to that consumer’s prefetch
limit). When this maximum number is reached, older messages are discarded thus making room
for newer messages. Configuring this functionality is done through the
Copyright 2008, Total Transaction Management
www.ttmsolutions.com
Queue
Broker
Msg Buffer
Consumer
Msg Buffer
Consumer
.
.
.
91

ActiveMQ 5.2 Reference Guide
“maximumPendingMessageLimit” destination option. The following table lists and describes the
possible values for this option.
Possible Values
For
maximumPendingMessageLimit
Description
0
A value of zero for the limit specifies that the
broker should not keep any pending messages in
memory other than the consumer’s prefetch limit
amount.
> 0
A value greater than zero will accumulate pending
messages up to the amount specified. When this
value is breached, older messages will be discarded
to make room for new messages.
-1 A value of -1 disables the discarding of messages
This jndi.properties file illustrates how the pending message limit size is assigned to a consumer
that associates itself with the Q.REQ destination.
java.naming.factory.initial = org.apache.activemq.jndi.ActiveMQInitialContextFactory
connectionFactoryNames = local
connection.local.brokerURL = tcp://linux02:61616
queue.Q.REQ = Q.REQ?consumer.maximumPendingMessageLimit =10
Another configuration approach taken is to configure the pending message limits at the broker.
This allows you to centralize configuration at the broker level instead of having to configure
each and every client. You can configure the broker to follow one of two pending message limit
strategies on a per destination basis. These two strategies are called the
“constantPendingMessageLimitStrategy” and the “prefetchRatePendingMessageLimitStrategy”.
ConstantPendingMessageLimitStrategy
This strategy is similar to setting the maximumPendingMessageLimit option to a value greater
than zero. The example below is a snippet taken from a broker’s XML configuration file that
illustrates how to set this strategy for all queues starting with the prefix “FOO”
<broker brokerName="slave" xmlns="http://activemq.org/config/1.0">
…
<destinationPolicy>
Copyright 2008, Total Transaction Management
www.ttmsolutions.com
92

ActiveMQ 5.2 Reference Guide
<policyMap>
<policyEntries>
<policyEntry queue="FOO.>">
<!-- lets force old messages to be discarded
for slow consumers -->
<pendingMessageLimitStrategy>
<constantPendingMessageLimitStrategy limit="30"/>
</pendingMessageLimitStrategy>
</policyEntry>
</policyEntries>
</policyMap>
</destinationPolicy>
</broker>
With the above example in-place, all consumers associated with queues starting with the prefix
“FOO” will be assigned a constantPendingMessageLimitStrategy with a limit of 30.
PrefetchRatePendingMessageLimitStrategy
This strategy will calculate the maximum number of pending messages using a specified
multiplier of the consumer’s prefetch size. So with this strategy, you can for example specify to
keep around 5.5 times the prefetch count for each consumer. Here’s an example
<broker brokerName="slave" xmlns="http://activemq.org/config/1.0">
…
<destinationPolicy>
<policyMap>
<policyEntries>
<policyEntry queue="FOO.>">
<!-- lets force old messages to be discarded
for slow consumers -->
<pendingMessageLimitStrategy>
<prefetchRatePendingMessageLimitStrategy multiplier="5.5"/>
</pendingMessageLimitStrategy>
</policyEntry>
</policyEntries>
</policyMap>
</destinationPolicy>
</broker>
You can also influence the strategy that the broker will use to discard or evict pending messages
that result from slow consumers. The default eviction strategy is referred to as,
“oldestMessageEvictionStrategy”, which specifies that the oldest messages are to be evicted
first.
Copyright 2008, Total Transaction Management
www.ttmsolutions.com
93

ActiveMQ 5.2 Reference Guide
A second eviction strategy is called, “oldestMessageWithLowestPriorityEvictionStrategy”. This
strategy states that the pending message with the lowest priority will be evicted first, which
allows you to evict the lower priority pending messages first even if they are newer.
The example broker XML configuration file below illustrates how to setup a pending message
limit strategy of prefetchRatePendingMessageLimitStrategy in combination with an eviction
strategy of oldestMessageEvictionWithLowestPriorityStrategy for all queue destinations having
a prefix of “FOO”.
<broker brokerName="slave" xmlns="http://activemq.org/config/1.0">
…
<destinationPolicy>
<policyMap>
<policyEntries>
<policyEntry queue="FOO.>">
<pendingMessageLimitStrategy>
<prefetchRatePendingMessageLimitStrategy multiplier="5.5"/>
</pendingMessageLimitStrategy>
<messageEvictionStrategy>
<oldestMessageEvictionWithLowestPriorityStrategy/>
</messageEvictionStrategy >
</policyEntry>
</policyEntries>
</policyMap>
</destinationPolicy>
</broker>
From here on things need work, because of the high water mark thing. Does the high water mark
override the pending message limit strategy??? Do we just ignore it?
This example broker XML configuration file illustrates how to set the
oldestMessageEvictionWithLowestPriorityStrategy for all queue destinations having a prefix of
“FOO”. Again, note the high water mark is set to 50.
<broker brokerName="slave" xmlns="http://activemq.org/config/1.0">
…
<destinationPolicy>
<policyMap>
<policyEntries>
<policyEntry queue="FOO.>">
Copyright 2008, Total Transaction Management
www.ttmsolutions.com
94

ActiveMQ 5.2 Reference Guide
<messageEvictionStrategy>
<oldestMessageEvictionWithLowestPriorityStrategy
evictExpiredMessagesHighWatermark=50 />
</messageEvictionStrategy >
</policyEntry>
</policyEntries>
</policyMap>
</destinationPolicy>
</broker>
Other approaches for dealing with slow consumers are “Asynchronous Dispatch” (see section
12.3 ) and “Message Cursors” (see section 13.11).
12.3 Asynchronous Dispatch
See the following web page for an explanation of the dispatchAsync option.
http://open.iona.com/wiki/display/ProdInfo/Understanding+the+Threads+Allocated+in+ActiveMQ
By default, the dispatchAsync option is set to true; therefore, the dispatch thread within the
broker is used.
You can configure asynchronous dispatching at either the connection or destination. Here are
some examples as they would appear in a jndi.properties file.
# You can assign dispatchAsync to a connection factory either indirectly via the brokerURL
# or directly to the factory
connection.<factory name>.brokerURL= tcp://localhost:61616?jms.dispatchAsync=true
connection.<factory name>.dispatchAsync=true
# Or you can assign it to a destination
queue.TEST.Q = TEST.Q?consumer.dispatchAsync=true
12.4 Retroactive Consumers
A retroactive consumer is one that receives messages from a Topic that has been configured to
make every attempt to go back in time and re-dispatch any messages that the consumer may have
missed. Missed messages may occur if the consumer is connecting to the broker for the first
time, or may have gotten disconnected from the broker and is re-connecting.
Copyright 2008, Total Transaction Management
www.ttmsolutions.com
95

ActiveMQ 5.2 Reference Guide
The retroactive consumer feature is not guaranteed. For various reasons, messages the consumer
has missed may have been evicted and thus will no longer be available.
It is very likely that retroactive consumers will receive duplicate messages. For example, if a
retroactive consumer re-connects to a broker, it may receive the same missed messages that it
was given during its previous session with the broker.
You configure a Topic to be retroactive by assigning it an attribute called,
“consumer.retroactive” and assigning that attribute a value of ‘true’ as this example
jndi.properties file illustrates.
# Set up the connection factory
connectionFactoryNames = localConnectionFactory
connection.localConnectionFactory.brokerURL = tcp://localhost:61616
# Create a test topic and make it retroactive
topic.TEST.TOPIC = TEST.TOPIC?consumer.retroactive=true
Through its XML configuration file, the message broker can be given one of a number of
different “subscription recovery policies“. These policies mandate how the broker is to go back
in time and retrieve messages for retroactive consumers. The broker XML configuration snippet
below, illustrates one such policy called, “fixedCountSubscriptionRecoveryPolicy“. In the
snippet, all topics that start with the “TEST.” prefix will be assigned this policy.
<broker>
…
<destinationPolicy>
<policyMap>
<policyEntries>
<policyEntry topic="TEST.>">
<subscriptionRecoveryPolicy>
<fixedCountSubscriptionRecoveryPolicy maximumSize="10" />
</subscriptionRecoveryPolicy>
</policyEntry>
</policyEntries>
</policyMap>
</destinationPolicy>
…
</broker>
The following lists and describes all of the recovery subscription policies that can be assigned to
Topics.
fixedCountSubscriptionRecoveryPolicy
This policy mandates that the broker is to re-dispatch a fixed count of missed messages. The
fixed count is configured through the fixedCountSubscriptionRecoveryPolicy’s maximumSize
Copyright 2008, Total Transaction Management
www.ttmsolutions.com
96

ActiveMQ 5.2 Reference Guide
attribute. In the example above, the broker will re-dispatch up to the last 10 messages that the
consumer has missed.
fixedSizedSubscriptionRecoveryPolicy
This policy mandates that the broker limit the amount of memory used for storing missed
messages. The amount of memory is configured through the
fixedSizedSubscriptionRecoveryPolicy’s maximumSize attribute.
< fixedSizedSubscriptionRecoveryPolicy maximumSize=”1024” />
This is the default recovery subscripotion policy for all Topics and the default setting for
maximumSize is “100 * 64 * 1024” or 6,553,600 bytes.
noSubscriptionRecoveryPolicy
This policy disables subscription recovery for the given destinations(s).
lastImageSubscriptionRecoveryPolicy
This policy will only return the first or oldest message to be missed.
queryBasedSubscriptionRecoveryPolicy
This policy re-dispatches messages based on a specific message selector. For example, the
setting below will re-dispatch only those messages whose type is ‘car’ and color is blue and
weight greater than 2500 pounds.
<queryBasedSubscriptionRecoveryPolicy query="JMSType = 'car' AND color =
'blue' AND weight >2500" />
timedSubscriptionRecoveryPolicy
This policy retains missed messages based on an expiry time. For example, the setting below
will maintain missed messages for 60 seconds. The time unit used for recoverDuration is in
milliseconds.
<timedSubscriptionRecoveryPolicy recoverDuration="60000" />
Copyright 2008, Total Transaction Management
www.ttmsolutions.com
97

ActiveMQ 5.2 Reference Guide
12.5 Exclusive Consumers
ActiveMQ dispatches messages from a queue in the same sequential order that they arrived in
the queue and at times, it is important for a consumer to process messages in the same order that
they arrived in the queue. However, if you have a cluster of consumers concurrently reading
from a queue, you will lose the ability to process the messages in the same order that they
arrived at the queue. This is because ActiveMQ’s default behavior is to balance the queue’s
message load across the cluster of consumers; therefore, the messages will be processed
concurrently by different consumers.
Starting with ActiveMQ 4.x and higher, a new feature has been introduced called, “Exclusive
Consumer” or “Exclusive Queues”. With this feature enabled, if there is a cluster of consumers
reading off a particular queue, the broker picks a consumer in the cluster to consume all
messages in a queue. This ensures that all messages in the queue are processed in the same order
that they arrived. In other words, ActiveMQ will single-thread all of the queue’s messages
through one consumer. If the chosen consumer fails, then the broker will automatically choose
another consumer in the cluster. So in effect, what you have is a master/slave cluster
configuration for consumers. One consumer in the cluster is chosen as the master to receive all
messages and if the master fails, a new master is chosen from the cluster.
To create an exclusive consumer, you assign the “consumer.exclusive=true” parameter to the
destination’s entry as it is defined in the JNDI name space. The following example illustrates
how this is done in the jndi.properties file.
#########################################################################
#
# This is the jndi.properties file, which that is used to
# define/configure one or more administered objects (connection
# factory and destination) for the ActiveMQ JMS client.
#
# This file must be placed in the application's CLASSPATH in order to have
# the JVM load it into the default InitialContext.
java.naming.factory.initial =
org.apache.activemq.jndi.ActiveMQInitialContextFactory
connectionFactoryNames = local
connection.local.brokerURL = tcp://localhost:61616
queue.TestQ = TestQ?consumer.exclusive=true
Copyright 2008, Total Transaction Management
www.ttmsolutions.com
98

ActiveMQ 5.2 Reference Guide
12.6 Dead Letter Queue (DLQ)
A dead letter queue, which can also be a topic, is used to hold messages that could not be
delivered. For example, the message expired or its redelivery count was exceeded.
12.6.1 individualDeadLetterStrategy
By default, the DLQ is a queue (it can be configured to be a topic) and is named,
“ActiveMQ.DLQ”. All undelivered messages will, by default, be placed in the ActiveMQ.DLQ
queue. However, you can alter the default behavior via a <policyEntry> element in the broker’s
XML configuration file. The following examples of a <policyEntry>, assigns a DLQ by the name
of DLQ.Q.Test and DLQ.Topic.Test for individual destinations called Q.Test and Topic.Test,
respectively. Undelivered messages from Q.Test and Topic.Test will therefore be placed in
DLQ.Q.Test and DLQ.Topic.Test, respectively.
<beans>
<broker …>
…
<destinationPolicy>
<policyMap>
<policyEntries>
<policyEntry queue="Q.TEST”>
<deadLetterStrategy>
<individualDeadLetterStrategy queuePrefix="DLQ." />
</deadLetterStrategy>
</policyEntry>
<policyEntry topic="Topic.TEST”>
<deadLetterStrategy>
<individualDeadLetterStrategy queuePrefix="DLQ." />
</deadLetterStrategy>
</policyEntry>
</policyEntries>
</policyMap>
</destinationPolicy>
…
</broker>
</beans>
This table describes the attributes for the <individualDeadLetterStrategy> element.
Copyright 2008, Total Transaction Management
www.ttmsolutions.com
99

ActiveMQ 5.2 Reference Guide
Attributes
For
<individualDeadLetterStrategy>
Default Value Description
queuePrefix ActiveMQ.DLQ.Queue.
Sets the prefix to use for all
dead letter queues for queue
messages
topicPrefix ActiveMQ.DLQ.Topic.
Sets the prefix to use the dead
letter queues for topic
messages
useQueueForQueueMessages true
Sets whether a queue or topic
should be used for queue
messages. If you set this to
‘false’, you would end up with
a topic having the following
prefix,
“ActiveMQ.DLQ.Queue.”
useQueueForTopicMessages true
Sets whether a queue or topic
should be used for topic
messages. If you set this to
false, you’ will end up having
a topic with the following
prefix,
“ActiveMQ.DLQ.Topic.”.
processExpired true
If set to false, expired
messages will not be placed in
the DLQ.
processNonPersistent
true If set to false and the message
is non-persistent, then the
message will not be placed in
the DLQ.
12.6.2 sharedDeadLetterStrategy
The <sharedDeadLetterStrategy> element can be used for setting the system’s default
ActiveMQ.DLQ processExpired and processNonPersistent attributes. For example, this
policyEntry will result in expired messages not being placed in the default system’s
ActiveMQ.DLQ.
<policyEntry queue=">" >
<deadLetterStrategy>
Copyright 2008, Total Transaction Management
www.ttmsolutions.com
100

ActiveMQ 5.2 Reference Guide
<sharedDeadLetterStrategy processExpired="false"/>
</deadLetterStrategy>
</policyEntry>
12.6.3 DiscardingDLQBroker
This is a plugin that allows one to configure queues and topics, all or matched based on regular
expressions, to drop messages that are being sent to the DLQ.
This plugin,, which is only available in ActiveMQ 5.2+, is useful when one uses constant
pending message limit strategy or the other eviction rules, but doesn’t want to incur the overhead
of yet another consumer to clear the DLQ.
This is an example configuration.
<plugins>
<bean xmlns=http://www.springframework.org/schema/beans id="discardingDlqBroker"
class="org.apache.activemq.plugin.DiscardingDLQBroker">
<property name="dropAll" value="true"/>
<property name="dropTemporaryTopics" value="true"/>
<property name="dropTemporaryQueues" value="true"/>
<!--drops by destination name, using java regular expressions
http://java.sun.com/j2se/1.5.0/docs/api/java/util/regex/Pattern.html
delimited by spaces, so destination names cannot contain spaces
<property name="dropOnly" value="topic_1 queue_1"/>
-->
<!-- Used to specify how often a message gets logged indicating the number of messages that
have been dropped. -->
<property name="reportInterval" value="1000"/>
</bean>
</plugins>
Copyright 2008, Total Transaction Management
www.ttmsolutions.com
101

ActiveMQ 5.2 Reference Guide
13 Advanced Features
13.1 Asynchronous Sends
When your producer sends a persistent message to the ActiveMQ message broker, the
corresponding Producer.send() method will block until the broker sends the producer back an
acknowledgement (ack), which indicates that the broker has successfully placed the message in
the target destination and has also written the message out to secondary storage. This is
sometimes referred to as a synchronous send. The one exception is if your producer is sending
persistent messages as part of a transaction. In this case it is the commit() method that will be
synchronous (i.e., blocks), and not the sends that are part of the transaction. When the commit()
method successfully completes, it is an indication that all the persistent messages have been
successfully written out to secondary storage.
This synchronous mode of sending persistent messages guarantees a high-level of reliability;
however, it also introduces a latency penalty, because the application or thread of execution
must block until it receives the ‘ack’ from the message broker. If your application has been
designed to tolerate a few lost messages in failure scenarios, then you can disable synchronous
sends and enable asynchronous sends. Enabling asynchronous sends will preclude the Producer.
send() method from blocking or waiting on the ‘ack’ from the broker thus eliminating the
latency penalty associated with synchronous sends. To enable asynchronous sends, set the
‘useAsyncSend’ URI connection property to ‘true’. This is an example of setting it for a tcp
connector URI.
tcp://localhost:61616?jms.useAsyncSend=true
Or you can use several methods for assigning it to a connection factory in your jndi.properties
file as follows
connection.<factory name>.brokerURL= tcp://localhost:61616?jms.useAsyncSend=true
connection.<factory name>.useAsyncSend = true
13.1.1 Flow Control
Starting with version 5.0 of ActiveMQ, you can control the flow of asynchronous sends. In other
words, you can control the maximum amount of message data that an asynchronous producer
can transmit to the message broker prior to receiving an acknowledgment from the broker that it
has accepted the previously sent messages. By default, this flow control is disabled for producers
that have enabled asynchronous sends; however, you can enable flow control for asynchronous
sends by assigning the ‘producerWindowSize’ property to the asynchronous producer’s
connector URI as depicted in this example.
tcp://localhost:61616?jms.useAsyncSend=true&jms.producerWindowSize=1024000
Copyright 2008, Total Transaction Management
www.ttmsolutions.com
102

ActiveMQ 5.2 Reference Guide
Or you can use several methods for assigning it to a connection factory in your jndi.properties
file as follows.
connection.<factory name>.brokerURL=\ tcp://localhost:61616?
jms.useAsyncSend=true&jms.producerWindowSize=1024000
connection.<factory name>.producerWindowSize=1024000
You can also disable flow control on a per destination basis via the broker’s XML configuration
file. In the sample XML snippet below, all topics starting with the “TEST.” prefix will have
producer flow control disabled.
<broker>
….
<destinationPolicy>
<policyMap>
<policyEntries>
<policyEntry topic="TEST.>" producerFlowControl="false"/>
</policyEntries>
</policyMap>
</destinationPolicy>
…
</broker>
13.2 Message Groups
“Message Groups” is an ActiveMQ feature that leverages the JMS-defined JMSXGroupID
message property to build upon another ActiveMQ feature called, “Exclusive Consumer”3.
To quickly recap, an exclusive consumer is a consumer that has been picked, from a cluster of
consumers, by the message broker to receive all messages from the corresponding queue (i.e.,
the queue that the cluster is reading from). Dispatching all messages to the exclusive consumer
ensures that all messages in the queue are processed in the same order that they arrived in the
queue. If the exclusive consumer were to fail, the broker picks another consumer from the
cluster to become the exclusive consumer. This configuration is also referred to as a master/slave
cluster of consumers; the master being the consumer picked to do the receiving and slaves are
the consumers on stand-by waiting to take over if and when the master fails.
With message groups, the broker will pick multiple exclusive consumers, from a cluster of
consumers, and dispatches to each of these exclusive consumers all the messages that have been
3 Unlike the “exclusive consumer” feature, which has to be enabled by assigning the “consumer.exclusive=true“
parameter to a destination, the message grouping feature is automatically performed by the message broker.
Copyright 2008, Total Transaction Management
www.ttmsolutions.com
103

ActiveMQ 5.2 Reference Guide
grouped by a particular JMSXGroupID property value. For example, suppose you have four
consumers in a cluster that are all reading off a queue called Q.TEST. The producer that is
sending messages to the queue assigns a JMSXGroupID value of either “A” or “B” to each
message it produces and sends to the queue. The message broker will pick one consumer from
the cluster to process all messages with the JMSXGroupID of “A” and another consumer from
the cluster to process all messages with the JMSXGroupID of “B”. The other two consumers
that are not picked would serve as backups in case any of the selected consumers fail. So in
effect, the broker is treating a message group as an atomic unit of work and load balancing those
units of work across the consumer cluster. By assigning a message group to an exclusive
consumer, the broker is also ensuring that the messages in the group are processed in the same
order that they arrived at the queue.
So in order to take advantage of the message groups feature your producers must assign a value
to the JMSXGroupID message header property. The producer can also “close” a message group
by assigning an integer value of zero to the JMS-specific “JMSXGroupSeq” message property.
After closing a message group, any subsequent message group with the same JMSXGroupID
property will be assigned to another consumer. The following code snippet illustrates the
sending of a message group, followed by the closing of that group.
// Send 10 messages and group them into the “CHECKING” message group
for(int i=0; i<10; i++) {
msg = session.createTextMessage();
msg.setText("Message[" + i + "]");
msg.setStringProperty("JMSXGroupID",”CHECKING”);
//each message in the group needs to have a sequence number
msg.setIntProperty("JMSXGroupSeq", i+1);
qSender.send(msg);
}
//Now close the message group so that the next “CHECKING”
//message group can be reassigned to another consumer
msg = session.createTextMessage();
msg.setText("Message[close]");
msg.setStringProperty("JMSXGroupID",”CHECKING”);
msg.setIntProperty("JMSXGroupSeq",0);
qSender.send(msg);
The ActiveMQ message broker will also set a boolean message header property called
JMSXGroupFirstForConsumer on the first message of a message group.
The figure below illustrates how the broker partitions message groups and assigns them to
different consumers. In this case, the producer has produced two message groups (A and B) and
each of the groups is assigned to a different consumer.
Copyright 2008, Total Transaction Management
www.ttmsolutions.com
104

ActiveMQ 5.2 Reference Guide
In the figure above, note how the producer has interleaved the messages for both groups. It has
been noted that if the messages for the groups are not interleaved, the broker may pick the same
consumer to process both message group as depicted below.
13.2.1 Message Groups vs Selectors
It is possible to emulate the message group functionality using message selectors. For example,
you can create two consumers, where one employs a message selector for JMSXGroupID set to
“A” and the other employs a message selector for JMSXGroupID set to “B”. However, the
disadvantages of using selectors are:
The consumer has to be aware of which selector it has to use.
The producer also has to be aware of consumers and their selectors. For example, if a new
consumer is invoked with a new message selector, then the producer has to become aware of
this and specify the new JMSXGroupID value that the new consumer is looking for.
If a consumer fails, the messages it was selecting will not be read.
You run the risk of creating more than one consumer with the same selector, which would
break the ordering of the message group.
Copyright 2008, Total Transaction Management
www.ttmsolutions.com
Queue
Broker
Consumer
A|B|A|B|A|B|A|B|A
Producer
A A A A
B B B B
Consumer
Queue
Broker
Consumer
A|A|A|A|B|B|B|B|B
Producer
A A A A
B B B B
Consumer
105

ActiveMQ 5.2 Reference Guide
13.3 Topic Message Ordering
If you have many publishers publishing messages to a topic that also has many subscribers, the
subscribers to that topic may not all receive messages from the topic in the same order (i.e.,
relative to one another). For example, suppose you have publishers “A” and “B” that
simultaneously publish 3 messages (A1, A2, A3, and B1, B2, B3) to the same topic. If you have
two subscribers subscribed to the same topic, they may receive the messages in the following
order.
subscriber1: A1, A2, B1, A3, B2, B3
subscriber2: B1, A1, B2, B3, A2, A3
Note that each subscriber receives the messages in the same sequential order that they were
published by their respective publisher (i.e., A1, followed by A2, etc). However, the two
subscribers do not receive the messages in the same order relative to one another.
When enabled for a particular topic, the “Topic Message Ordering” (TMO) feature ensures that
each subscriber receives the messages from the topic in the same order, relative to one another.
So with TMO enabled, the two subscribers would receive messages from the topic in the
following order.
subscriber1: A1, B1, B2, A2, A3, B3
subscriber2: A1, B1, B2, A2, A3, B3
Enabling TMO is done on a per destination basis through the <strictOrderDispatchPolicy>
element, which is located in the broker’s XML configuration file.
The following is a sample of a broker’s XML configuration file that illustrates the use of the
<strictOrderDispatchPolicy> element.
<broker brokerName="mybroker " xmlns="http://activemq.org/config/1.0">
…
<destinationPolicy>
<policyMap>
<policyEntries>
<policyEntry topic=">">
<dispatchPolicy>
<strictOrderDispatchPolicy />
</dispatchPolicy>
</policyEntry>
</policyEntries>
</policyMap>
</destinationPolicy>
</broker>
Copyright 2008, Total Transaction Management
www.ttmsolutions.com
106

ActiveMQ 5.2 Reference Guide
Note the wildcard value (“>”) that is assigned to the ‘topic’ attribute of the <policyEntry>
element that encapsulates the <strictOrderDispatchPolicy>. This wildcard, in conjunction with
the <strictOrderDispatchPolicy> element, enables TMO for all topics. In the example below,
TMO is only enabled for those topics having a prefix name of “FOO.”.
<broker brokerName="mybroker" xmlns="http://activemq.org/config/1.0">
…
<destinationPolicy>
<policyMap>
<policyEntries>
<policyEntry topic="FOO.>">
<dispatchPolicy>
<strictOrderDispatchPolicy />
</dispatchPolicy>
</policyEntry>
</policyEntries>
</policyMap>
</destinationPolicy>
</broker>
The one disadvantage of TMO is the performance cost associated with the extra synchronization
required for its implementation.
13.4 Binary Large Objects (BLOBs)
A BLOB is a very large file that comprises either binary and/or text data. There may be instances
where application developers have to address a requirement to send BLOBs across a distributed
application while at the same time requiring some of the features that ActiveMQ provides such
as reliability, high availability, transactions, load balancing, message ordering, etc. Starting with
version 5.0, ActiveMQ supports the sending of BLOBs; however, your application will have to
reference ActiveMQ-specific classes, which will compromise the portability of the application.
The primary class to reference is ActiveMQBlobMessage, which in turn extends
ActiveMQMessage and implements BlobMessage. The latter two implement and extend the
javax.jms.Message interface, respectively. The figure below illustrates the hierarchy between the
classes
Copyright 2008, Total Transaction Management
www.ttmsolutions.com
107

ActiveMQ 5.2 Reference Guide
ActiveMQ sends BLOBs “out-of-band”, which means that the BLOB itself is transmitted through
a network connection other than the main transport and network connections used by ActiveMQ
for normal client-to-broker and broker-to-broker communications. This out-of-band
methodology is used so as not to clog the main connections with these potentially huge data
files. File transfer protocols such as FTP, SCP, or even HTTP can be used for the out-of-band
transmission. Even though the transmission of a BLOB does not occur through a main ActiveMQ
communication channel, the corresponding ActiveMQ command objects used to control the
file’s transmission do; therefore, ActiveMQ QoS features such as reliability, high availability,
transactions, persistence, load balancing, message grouping, etc. can be leveraged for the
transmission of the BLOB.
13.4.1 Sending a BLOB
To send a BLOB, you must first acquire a JMS Session from a Connection; however, in this case
you must cast the Session to an ActiveMQSession, which implements the JMS Session interface.
ActiveMQSession session = (ActiveMQSession)conn.createSession(false, Session.CLIENT_ACKNOWLEDGE);
Through the ActiveMQSession, you then create an ActiveMQBlobMessage, which again,
implements BlobMessage. You derive a BlobMessage from one of the following two methods,
which are provided by ActiveMQSession.
public BlobMessage createBlobMessage(URL url) throws JMSException
public BlobMessage createBlobMessage(URL url, boolean deletedByBroker) throws
JMSException
public BlobMessage createBlobMessage(File file) throws JMSException
The first two methods create an initialized BlobMessage object that is used to send a message
containing a URL, which points to some network addressable BLOB. The java.net.URL class
represents a Uniform Resource Locator, which is a pointer to a "resource" (e.g.,
http://www.some-shared-site.com/uploads/blob.txt) on the network; in this particular case, it
Copyright 2008, Total Transaction Management
www.ttmsolutions.com
Message
(interface)
ActiveMQBlobMessage
ActiveMQMessage
extends
BlobMessage
implements
org.apache.activemq.command
javax.jms
implements
extends
108

ActiveMQ 5.2 Reference Guide
points to the BLOB. For the second method, the ‘deletedByBroker’ parameter specifies whether
the broker is to delete the resource after the receiving client has acknowledged receipt of the
message. The following example illustrates sending a URL pointing to a BLOB resource located
at www.some-shared-site.com
BlobMessage message = session.createBlobMessage(new URL("http://localhost:
8161/fileserver/blob.txt/"));
producer.send(message);
The next section will describe how the consumer downloads the BLOB file.
The third createBlobMessage method creates an initialized BlobMessage object that is used to
send a message containing a pointer to a local File (BLOB). When the message is sent, via the
Producer.send() method, the corresponding ActiveMQSession will first upload the BLOB file
according to the “BLOB transfer policy” that is associated with the corresponding Connection.
Remember that a JMS Producer is derived from a JMS Session, and a Session is derived from
a JMS Connection.
For example, this simple jndi.properties file demonstrates how a BLOB transfer policy is
assigned to all Connections rendered by the “local” connection factory.
java.naming.factory.initial =
org.apache.activemq.jndi.ActiveMQInitialContextFactory
connectionFactoryNames = local
connection.local.brokerURL=tcp://localhost:61616?
jms.blobTransferPolicy.uploadUrl=http://localhost:
8161/fileserver/&jms.copyMessageOnSend=false
queue.Q.REQ = Q.REQ?consumer.prority=10
The uploadUrl associated with the transfer policy specifies the URL (directory) that will receive
all BLOBs for this particular connection factory. After uploading the BLOB to the uploadUrl, the
ActiveMQSession will send the BlobMessage on to the broker and target destination. The
default BLOB transfer policy has an uploadUrl set to “http://localhost:8080/uploads/. Note that if
the transfer policy identifies a web site, the web server for that site must be configured to allow
uploading.
CAUTION: note how the jms.copyMessageOnSend option is set to ‘false’. With this option set
to true, the upload will not work. This is because the ActiveMQBlobMessage will lose its
BlobUploader object during the copy process. The following JIRA exists for this problem;
please check the JIRA to see if a fix has been applied to your version of ActiveMQ.
https://issues.apache.org/activemq/browse/AMQ-1770
Copyright 2008, Total Transaction Management
www.ttmsolutions.com
109

ActiveMQ 5.2 Reference Guide
Also, be aware that the BLOB resources that are uploaded to the web server’s repository are not
deleted. This is also true for the createBlobMessage(URL url, boolean deletedByBroker)
method. See the following JIRA.
https://issues.apache.org/activemq/browse/AMQ-1529
You can use ActiveMQ’s embedded web server (jetty) to service the uploading/downloading of
the BLOB’s. The following XML snippet, taken from the broker’s XML configuration file,
illustrates the XML elements used for launching and configuring the embedded jetty web server.
<broker>
…
</broker>
<jetty xmlns="http://mortbay.com/schemas/jetty/1.0">
<connectors>
<nioConnector port="8161"/>
</connectors>
<handlers>
<webAppContext contextPath="/admin"
resourceBase="${activemq.base}/webapps/admin" logUrlOnStart="true"/>
<webAppContext contextPath="/demo"
resourceBase="${activemq.base}/webapps/demo" logUrlOnStart="true"/>
<webAppContext contextPath="/fileserver"
resourceBase="${activemq.base}/webapps/fileserver" logUrlOnStart="true"/>
</handlers>
</jetty>
The following is some sample code illustrating how to upload.
// Grab our JNDI context
Context ctx = new InitialContext();
/**
Lets assume the following brokerURL is associated with the connection factory
tcp://localhost:61616?jms.blobTransferPolicy.uploadUrl=http://localhost:
8161/fileserver/&jms.copyMessageOnSend=false
**/
ConnectionFactory factory = (javax.jms.ConnectionFactory) ctx.lookup(“connectionFactory”);
Connection conn = factory.createConnection();
Queue myQueue = (javax.jms.Queue) ctx.lookup("Q.BLOB");
Copyright 2008, Total Transaction Management
www.ttmsolutions.com
110

ActiveMQ 5.2 Reference Guide
ActiveMQSession session = (ActiveMQSession) conn.createSession(false,
Session.CLIENT_ACKNOWLEDGE);
MessageProducer qSender = session.createProducer(myQueue);
conn.start();
File blobFile = new File("/tmp/blobtest.htm");
ActiveMQBlobMessage message = (ActiveMQBlobMessage)session.createBlobMessage(blobFile);
qSender.send(message);
13.4.2 Receiving a BLOB
A consumer receives a BlobMessage in the same manner, regardless of whether it is a URL or
File based BlobMessage. The best way to describe how to receive a BlobMessage is via the
sample code below; please refer to the comments in the code.
// Assuming we have already gotten out InitialContext, let’s first get our
// connection factory
ConnectionFactory factory = (ConnectionFactory)ctx.lookup(“connectionFactory”);
// Now get a Connection from the factory
Connection conn = factory.createConnection();
// Lookup the queue that the BlobMessage was sent to
Queue myQueue = (Queue) ctx.lookup("Q.BLOB");
// Create an ActiveMQ-specific session for receiving the BlobMessage
ActiveMQSession session = (ActiveMQSession)
conn.createSession(false, Session.CLIENT_ACKNOWLEDGE);
// Create a reader for the queue
MessageConsumer qReader = session.createConsumer(myQueue);
// Start the connection
conn.start();
// Wait for the BlobMessage
Message message = qReader.receive();
if (message != null ){
// See if the message received is of type BlobMessage
Copyright 2008, Total Transaction Management
www.ttmsolutions.com
111

ActiveMQ 5.2 Reference Guide
if (message instanceof BlobMessage ) {
// Get an InputStream to read the BLOB
InputStream in = ((BlobMessage)message).getInputStream();
// If there was a problem with the out of band download, then an InputStream
// will not be received.
if( in != null ) {
// Write BLOB data out to a file
FileOutputStream fout = new FileOutputStream("/tmp/rcvdBlob.htm");
for( int i; (i=in.read()) != -1; )
fout.write(i);
fout.flush();
fout.close();
// Acknowledge the message
message.acknowledge();
} else System.out.println("Did not get input stream");
} else System.out.println("Message received was not instanceof BlobMessage");
}else System.out.println("BLOB not received");
13.5 Composite Destinations
13.5.1 Client-Side Composite Destinations
The composite destination is an ActiveMQ-specific feature that allows you to map a single,
“virtual” JMS destination to a collection of physical JMS destinations. In other words, the
composite destination feature allows you to send a message to multiple physical destinations
(queues and/ or topics) in one single send operation.
You can configure this feature through the client-side JNDI by assigning a list of physical
destinations to one virtual destination. Take for example the jndi.properties file below and note
how the virtual queue called Q.BLAST has been mapped to a list of physical queues. When a
producer sends a message to the Q.BLAST destination, that same message will be forwarded to
each of the three physical queues: Q.REQ, Q.FOO, and Q.TEST.
java.naming.factory.initial =
org.apache.activemq.jndi.ActiveMQInitialContextFactory
connectionFactoryNames = local
connection.local.brokerURL = tcp://linux02:61616
queue.Q.BLAST = Q.REQ, Q.FOO, Q.TEST
Copyright 2008, Total Transaction Management
www.ttmsolutions.com
112

ActiveMQ 5.2 Reference Guide
You can also mix and match the composite list with both topics and queues. If you have a
physical destination list comprising both queues and topics, you must qualify entries with either
the “topic://” or “queue://” scheme prefix. Given the JNDI example above, suppose you want to
add a topic (TOPIC.TEST) to the existing composite list of physical queues (Q.REQ, Q,FOO,
and Q.TEST) so that when your producer sends a message to Q.BLAST that message will be
sent to all three queues and a topic. You would modify the composite list as depicted in this
jndi.properties file.
java.naming.factory.initial =
org.apache.activemq.jndi.ActiveMQInitialContextFactory
connectionFactoryNames = local
connection.local.brokerURL = tcp://linux02:61616
queue.Q.BLAST = Q.REQ, Q.FOO, Q.TEST, topic://TOPIC.TEST
topic.TOPIC.TEST = TOPIC.TEST
13.5.2 Broker-Side Composite Destinations
The previous section showed you how to configure composite destinations on the client. This
section describes how to configure composite destinations through the broker’s XML
configuration file, which allows you to centralize the configuration of the composite
destinations. The sample broker XML configuration file below illustrates how the composite
destination in the previous section is configured via the <destinationInterceptors> element.
<broker brokerName="mybroker " xmlns="http://activemq.org/config/1.0">
...
<destinationInterceptors>
<virtualDestinationInterceptor>
<virtualDestinations>
<compositeQueue name="Q.BLAST">
<forwardTo>
Copyright 2008, Total Transaction Management
www.ttmsolutions.com
Q.BLAST
Virtual Destination
Q.FOO
Q.TEST
Q.REQ
Physical Destinations
113

ActiveMQ 5.2 Reference Guide
<queue physicalName="Q.REQ" />
<queue physicalName="Q.FOO" />
<queue physicalName="Q.TEST" />
<topic physicalName="TOPIC.TEST" />
</forwardTo>
</compositeQueue>
</virtualDestinations>
</virtualDestinationInterceptor>
</destinationInterceptors>
</broker>
...
</beans>
With the broker configuration above, all producers connecting to the broker, and not just the
ones using the jndi.properties file described in the previous section, can reference the
“Q.BLAST” composite destination.
13.5.3 Selecting Composite Destinations
Starting with version 5.0 of ActiveMQ, you can assign selectors to composite destinations. This
feature allows you to route a message from a composite virtual destination to its corresponding
physical destinations based on selectors that may be assigned to the physical destinations. Let’s
take the following example; you have a virtual composite destination called, Q.BLAST and it is
mapped to three physical destinations (Q.REQ, Q.FOO, and Q.TEST). Without a selector
assigned to any of the three physical destinations, a message sent to Q.BLAST will be forwarded
to all three physical destinations. Let’s now suppose that you want a message sent to Q.REQ
only if the message has a header property called “color” with an assigned value of “blue”. This
would be the corresponding configuration in the broker’s XML configuration file.
<beans>
<broker brokerName="mybroker " xmlns="http://activemq.org/config/1.0">
...
<destinationInterceptors>
<virtualDestinationInterceptor>
<virtualDestinations>
<compositeQueue name="Q.BLAST">
<forwardTo>
<filteredDestination selector=”color=’blue’” queue="Q.REQ" />
<queue physicalName="Q.FOO" />
<queue physicalName="Q.TEST" />
</forwardTo>
</compositeQueue>
</virtualDestinations>
</virtualDestinationInterceptor>
</destinationInterceptors>
</broker>
...
Copyright 2008, Total Transaction Management
www.ttmsolutions.com
114

ActiveMQ 5.2 Reference Guide
</beans>
13.6 Virtual Topics
To set the stage for describing Virtual Topics, let’s first briefly discuss JMS durable
subscriptions. A durable subscription is derived, by a consumer (subscriber), from a JMS
session. The durable subscription is used by the subscriber to receive all messages published to a
topic; including all messages published while the subscriber was inactive. The JMS specification
mandates that a session with durable subscriptions must pertain to a JMS connection that has
been assigned a unique client identifier. The consumer must also provide a unique name for each
durable subscription that it creates.
One disadvantage with durable subscriptions is that a subscriber must ensure a unique client
identifier and subscription name. Another disadvantage is that having to use unique identifiers
precludes you from load balancing messages across multiple consumers and the ability to
failover across those consumers. By using a virtual topic you can address these disadvantages
and still retain the publish/subscribe semantics of a topic. With a virtual topic, a publisher
publishes messages to the virtual topic just as it would with a regular topic. However, the topic is
presented to the consumer as a queue and not a topic. For example, suppose we have a publisher
that publishes messages to a virtual topic called “VirtualTopic.BLAST” (the “VirtualTopic.”
prefix is required for virtual topics) and we have consumers on different systems (SAVINGS and
CHECKING) that need to receive messages that have been published to VirtualTopic.BLAST. A
consumer in the SAVINGS system that wishes to receive messages published to
VirtualTopic.BLAST associates itself with a queue called
“Consumer.SAVINGS.VirtualTopic.BLAST” (the “Consumer.” Prefix is required) and a
consumer in the CHECKING system associates itself with a queue called
“Consumer.CHECKING.VirtualTopic.BLAST”. In effect, what you have are consumers
subscribing to a queue in order to receive messages published to a topic. This gives you all the
advantages a queue provides such as message grouping, load balancing, and failover. The queue
also serves as a “durable” subscription because if the consumer becomes inactive, then when it is
re-activated it will receive any messages that were published to the topic while it was inactive.
Copyright 2008, Total Transaction Management
www.ttmsolutions.com
115

ActiveMQ 5.2 Reference Guide
The consumer also does not have to concern itself with creating a unique client identifier, which
is required by durable subscriptions. Another advantage is that the queues can be monitored, via
JMX, which allows you to look at the current depth of the queue and browse through the
messages.
As described above, virtual topic names must have the “VirtualTopic.” prefix and corresponding
queues must follow this syntax
Consumer.<name assigned by consumer>.VirtualTopic.<name assigned by publisher>.
Via the broker’s XML configuration file, you can alter this naming convention to whatever you
wish.
The following broker XML configuration file illustrates how to make the topic called “BLAST”
a virtual topic.
<beans>
<broker brokerName="mybroker " xmlns="http://activemq.org/config/1.0">
...
<destinationInterceptors>
<virtualDestinationInterceptor>
<virtualDestinations>
<virtualTopic name="VirtualTopic.BLAST"/>
</virtualDestinations>
</virtualDestinationInterceptor>
</destinationInterceptors>
</broker>
...
</beans>
Copyright 2008, Total Transaction Management
www.ttmsolutions.com
BLAST
Virtual Topic
SAVINGS
CHECKING
Physical Queues
Consumer
Consumer
Consumer Clusters
Publisher
116

ActiveMQ 5.2 Reference Guide
This example illustrates how the consumer prefix has been changed from the default
“Consumer.” to “VirtualTopicConsumers.”.
<beans>
<broker brokerName="mybroker " xmlns="http://activemq.org/config/1.0">
...
<destinationInterceptors>
<virtualDestinationInterceptor>
<virtualDestinations>
<virtualTopic
name="VirtualTopic.BLAST"
prefix="VirtualTopicConsumers.*." />
</virtualDestinations>
</virtualDestinationInterceptor>
</destinationInterceptors>
</broker>
...
</beans>
In the example below, all topics are being treated as virtual topics; note the use of the wildcard
character “>” to indicate 'match all topics'.
<beans>
<broker brokerName="mybroker" xmlns="http://activemq.org/config/1.0">
...
<destinationInterceptors>
<virtualDestinationInterceptor>
<virtualDestinations>
<virtualTopic name=">" />
</virtualDestinations>
</virtualDestinationInterceptor>
</destinationInterceptors>
</broker>
...
</beans>
This is a sample jndi.properties file identifying the topic called “BLAST” as a virtual topic.
java.naming.factory.initial =
org.apache.activemq.jndi.ActiveMQInitialContextFactory
connectionFactoryNames = local
Copyright 2008, Total Transaction Management
www.ttmsolutions.com
117

ActiveMQ 5.2 Reference Guide
connection.local.brokerURL = tcp://linux02:61616
topic.BLAST = VirtualTopic.BLAST
This code sample illustrates the publisher looking up the virtual topic and then publishing 5
messages to the topic.
...
javax.naming.Context ctx = new InitialContext();
// Create a connection factory for the target broker.
ConnectionFactory factory = (javax.jms.ConnectionFactory)
ctx.lookup("localConnectionFactory");
//Now have the connection factory render a connection
Connection conn = factory.createConnection();
// Lookup the virtual topic called BLAST
Topic myTopic = (Topic) ctx.lookup("BLAST");
// Have the connection render a session for sending to this Topic
Session session = conn.createSession(false, Session.CLIENT_ACKNOWLEDGE);
// Now have the session render a producer for the Topic
MessageProducer topicSender = session.createProducer(myTopic);
//Start the connection
conn.start();
// publish the five test messages
for(int i=0; i<5; i++){
msg = session.createTextMessage();
String temp = Math.random() + "{}";
msg.setText("Test Message[" + i + "] " + temp);
topicSender.send(msg);
}
...
CAUTION: When using virtual topics within a network of brokers, you need to take some
precautions to avoid duplicate messages. This is because a broker, in a network of brokers, will
forward a message sent to the virtual topic and may also forward messages sent to the
corresponding physical queues. Therefore, you must ensure that the messages sent to the
Consumer.*.VirtualTopic.> destination (physical queues) are not forwarded. This can be done
by disabling the forwarding of messages on the corresponding physical queues.
Here is an example taken from a broker’s configuration file:
...
Copyright 2008, Total Transaction Management
www.ttmsolutions.com
118

ActiveMQ 5.2 Reference Guide
<networkConnectors>
<networkConnector uri="static://(tcp://localhost:61617)">
<excludedDestinations>
<queue physicalName="Consumer.*.VirtualTopic.>"/>
</excludedDestinations>
</networkConnector>
</networkConnectors>
...
13.6.1 Virtual Topics vs. Composite Destinations
By now you may be telling yourself that virtual topics can be implemented using composite
destinations, which is a correct statement. For example, you can create a composite topic that
maps to one or more physical queues. However, this requires that you statically configure the
mapping from topic to queues via the JNDI or broker’s XML configuration file. On the other
hand, as long as you adhere to the proper naming convention for virtual topics, the virtual topic
and its queues can be created dynamically.
13.7 Mirrored Queues
When enabled, the mirrored queues feature allows an application to monitor the messages that
flow through a queue. The way this feature works is that whenever a message is sent to a
particular queue, that message is also published to a topic; therefore, any application that is
interested in monitoring the message traffic through the queue can subscribe to that topic. For
example, suppose you have one or more producers sending messages to a queue called
“Q.TEST” and you also have one or more consumers receiving messages from that same queue.
Now suppose you also have one or more client applications that wish to monitor the messages
that are flowing through “Q.TEST”. The monitoring applications would simply subscribe to a
topic called “VirtualTopic.Mirror.Q.TEST”, which would allow them to begin receiving all
messages flowing through “Q.TEST” (see figure below).
Copyright 2008, Total Transaction Management
www.ttmsolutions.com
119

ActiveMQ 5.2 Reference Guide
You can also piggy-back this feature with “Virtual Topics” (see section 13.6). For example,
suppose you have many instances of a client called “M1” that wish to monitor the queue called
“Q.TEST” and you would like to “load balance” the messages across all instances of M1. You
can achieve this by having all instances of M1 subscribe to the queue called
“Consumer.M1.VirtualTopic.Mirror.Q.TEST”. So with this configuration, you have essentially
created a “mirrored queue” for “Q.TEST”.
Copyright 2008, Total Transaction Management
www.ttmsolutions.com
VirtualTopic.Mirror.Q.Test
Topic
Q.TEST
Physical Queue
Subscriber
Consumer
Consumer Clusters
Producer
VirtualTopic.Mirror.Q.Test
Topic
Q.TEST
Physical Queue
Subscriber
Consumer
Consumer Clusters
Producer
Consumer.M1.VirtualTopic.Mirror.Q.TEST
M1
Mirrored Queue
120

ActiveMQ 5.2 Reference Guide
By default, the mirrored queue functionality is disabled, because enabling it will cause
ActiveMQ to create a topic for each queue that is created. To enable this functionally set the
<broker> element’s useMirroredQueues attribute to “true” as depicted in this snippet of a
broker’s XML configuration file.
<beans>
<broker brokerName="mybroker" useMirroredQueues="true"
xmlns="http://activemq.org/config/1.0">
...
</broker>
...
</beans>
13.8 Message Transformers
Starting with version 5.0, ActiveMQ allows application developers to add their own message
transformation objects to the ActiveMQ message bus. An ActiveMQ transformation object, or
transformer, must implement the org.apache.activemq.MessageTransformer interface. A
transformer can be positioned such that it is given a message prior to the message being
delivered to the message broker and/or prior to the message being delivered to the consumer.
To install a message transformer, you invoke the setTransformer() method of any one of the
following ActiveMQ classes: ActiveMQConnectionFactory, ActiveMQConnection,
ActiveMQSession, ActiveMQMessageConsumer, and ActiveMQMessageProducer. The
transformer is inherited across child objects; therefore, if you install it via the
ActiveMQConnectionFactory, it will be inherited by all subsequent connections, sessions,
consumers, and producers.
13.9 Connection Pooling
The org.apache.activemq.pool package provides a JMS service provider object
(PooledConnectionFactory) through which you can pool instances of Connection, Session, and
MessageProducer objects. However, note this comment taken from ActiveMQ 5.0’s
PooledConnectionFactory.java file.
/**
* <b>NOTE</b> this implementation is only intended for use when sending
* messages. It does not deal with pooling of consumers; for that look at a
* library like <a href="http://jencks.org/">Jencks</a> such as in <a
Copyright 2008, Total Transaction Management
www.ttmsolutions.com
121

ActiveMQ 5.2 Reference Guide
* href="http://jencks.org/Message+Driven+POJOs">this example</a>
*
*/
ActiveMQ’s PooledConnectionFactory is primarily intended for use with frameworks/tools like
Spring’s JmsTemplate and Jenck’s AMQPool. As the comment above mentions, if you intend to
pool consumers, then use the Jenck’s package, which can also be deployed via Spring.
13.10Spring Support
Refer to ActiveMQ’s Spring Support page for examples on how to configure an ActiveMQ JMS
client in Spring. In that page, note the following:
The ‘zeroconf’ transport is no longer supported in ActiveMQ 5.0
The reference to Spring’s SingleConnectionFactory class; this class returns the same
Connection from all createConnection() calls, and ignores calls to Connection.close(). So in
effect, it allows you to re-use the same connection.
The JmsTemplate gotchas - http://activemq.apache.org/jmstemplate-gotchas.html
Refer to the Spring JMS web page for more information on using JMS within the Spring
framework.
13.11Message Cursors
In previous versions of ActiveMQ, the message broker held all in-transit messages in memory.
With this memory model, a consumer that cannot keep up with the rate of messages being
produced for a particular destination would cause the broker’s maximum message limit to be
reached. When this limit is reached, the broker cannot accept any more messages from
producers; therefore, those producers that are in the process of sending messages to the broker
are blocked until the slow consumers can alleviate the message congestion at the broker.
Starting with version 5.0, a new memory model has been implemented that prevents producers
from being blocked by slow consumers. This memory model employs “message cursors” and is
fully described on the following ActiveMQ web page.
http://activemq.apache.org/message-cursors.html
Copyright 2008, Total Transaction Management
www.ttmsolutions.com
122

ActiveMQ 5.2 Reference Guide
13.12Enterprise Integration Patterns
Via Apache Camel, ActiveMQ supports the “Enterprise Integration Patterns” (EIP) that are
documented in the corresponding book by Gregor Hohpe and Bobby Woolf.
This ActiveMQ web page describes how to use the EIP/Camel within ActiveMQ.
http://activemq.apache.org/enterprise-integration-patterns.html
13.13Individual Acknowledge
Starting with version 5.2 of ActiveMQ, a new ActiveMQ-specific message acknowledgment has
been added to the existing set that is mandated by the JMS specification. This acknowledgement
mode is referred to as INDIVIDUAL_ACKNOWLEDGE and is used to acknowledge an
individual message. When using this acknowledgement mode, the message.acknowledge()
method invocation will only acknowledge that message. This is opposed to the
CLIENT_ACKNOWLEDGE, which acknowledges all messages received up to that point by the
session.
Be advised that this is an ActiveMQ proprietary acknowledgement mode; it does not adhere to
the JMS specification.
13.14Prioritizing Messages
ActiveMQ does not currently support the prioritized message consumption. That is, messages
with a higher priority are consumed prior to those messages with a lower priority. However,
there are a couple of techniques that can be implemented to address prioritized message
consumption. One technique relies on the use of selectors, while the other relies on Camel to
implement the resequencer messaging pattern. Click here for more information on these two
techniques.
14 Extending ActiveMQ’s Functionality
ActiveMQ incorporates a plug-in architecture that allows you to extend its functionality via an
architecture that is similar, in concept, to the plug-in architecture found in the Apache web
server. That is, you develop a plug-in module that adheres to a defined interface, which allows
the plug-in to be included in the core engine’s processing chain. In ActiveMQ’s case, the
Copyright 2008, Total Transaction Management
www.ttmsolutions.com
123

ActiveMQ 5.2 Reference Guide
interface is defined by a combination of the org.apache.activemq.broker.BrokerPlugin and
org.apache.activemq.broker.Broker classes. The BrokerPlugin is a very simple interface
comprising one method call.
package org.apache.activemq.broker;
/**
* Represents a plugin into a Broker
*
* @version $Revision: 564271 $
*/
public interface BrokerPlugin {
/**
* Installs the plugin into the interceptor chain of the broker, returning the new
* intercepted broker to use.
*/
Broker installPlugin(Broker broker) throws Exception;
}
You create a class that implements this interface and is called out as a plugin (Spring bean) in
the ActiveMQ XML configuration file (see sample below). Your plugin bean can then optionally
reference other Spring beans that are listed in the XML file.
<beans xmlns="http://www.springframework.org/schema/beans"
xmlns:amq="http://activemq.org/config/1.0"
xmlns:xsi="http://www.w3.org/2001/XMLSchema-instance"
xsi:schemaLocation="http://www.springframework.org/schema/beans
http://www.springframework.org/schema/beans/spring-beans-2.0.xsd
http://activemq.org/config/1.0 http://activemq.apache.org/schema/activemq-core.xsd
http://activemq.apache.org/camel/schema/spring
http://activemq.apache.org/camel/schema/spring/camel-spring.xsd">
<!-- Allows us to use system properties as variables in this configuration file -->
<bean class="org.springframework.beans.factory.config.PropertyPlaceholderConfigurer" />
<broker xmlns="http://activemq.org/config/1.0" brokerName="localhost"
dataDirectory="${activemq.base}/data" plugins="#myPlugin">
<!-- The transport connectors ActiveMQ will listen to -->
<transportConnectors>
<transportConnector name="openwire" uri="tcp://localhost:61616" />
Copyright 2008, Total Transaction Management
www.ttmsolutions.com
124

ActiveMQ 5.2 Reference Guide
</transportConnectors>
</broker>
<bean id="myPlugin" class="org.myorg.MyPlugin">
<!-- You can reference one or more Spring beans in this file -->
<property name="myMgr" ref="myManager"/>
</bean>
<bean id="myManager" class="org.myorg.MyManager">
<property name="fooList">
<list>
<value>foo</value>
<value>foo2</value>
</list>
</property>
</bean>
</beans>
You can also call out plugin’s from within the <plugin> element as this example illustrates.
<beans xmlns="http://www.springframework.org/schema/beans"
xmlns:amq="http://activemq.org/config/1.0"
xmlns:xsi="http://www.w3.org/2001/XMLSchema-instance"
xsi:schemaLocation="http://www.springframework.org/schema/beans
http://www.springframework.org/schema/beans/spring-beans-2.0.xsd
http://activemq.org/config/1.0 http://activemq.apache.org/schema/activemq-core.xsd
http://activemq.apache.org/camel/schema/spring
http://activemq.apache.org/camel/schema/spring/camel-spring.xsd">
<!-- Allows us to use system properties as variables in this configuration file -->
<bean class="org.springframework.beans.factory.config.PropertyPlaceholderConfigurer" />
<broker xmlns="http://activemq.org/config/1.0" brokerName="localhost"
dataDirectory="${activemq.base}/data">
<!-- The transport connectors ActiveMQ will listen to -->
<transportConnectors>
<transportConnector name="openwire" uri="tcp://localhost:61616" />
</transportConnectors>
<plugins>
<bean id="myPlugin" class="org.myorg.MyPlugin">
…
</bean>
Copyright 2008, Total Transaction Management
www.ttmsolutions.com
125

ActiveMQ 5.2 Reference Guide
</plugins>
</broker>
</beans>
At startup, the broker’s main processing engine calls your plug-in’s installPlugin() method. This
method creates and returns an object that extends org.apache.activemq.broker.BrokerFilter.
import org.apache.activemq.broker.Broker;
import org.apache.activemq.broker.BrokerPlugin;
public class MyPlugin implements BrokerPlugin {
public Broker installPlugin(Broker broker) throws Exception {
return new MyBroker(broker);
}
}
The BrokerFilter class is a convenience class that implements the
org.apache.activemq.broker.Broker interface. The Broker interface defines all the main engine
operations (e.g., addConnection, addSession, etc.) that your implementation can intercept.
The class that extends BrokerFilter overrides any of the methods that are defined in the Broker
interface so that it can intercept the corresponding core engine’s operations. Here’s an example
of a class that extends BrokerFilter and intercepts/overrides the addConnection() and
addSession() Broker methods/operations.
import org.apache.activemq.broker.Broker;
import org.apache.activemq.broker.BrokerFilter;
import org.apache.activemq.broker.ConnectionContext;
import org.apache.activemq.command.ConnectionInfo;
public class MyBroker extends BrokerFilter {
public MyBroker(Broker next) {
super(next);
}
public void addConnection(ConnectionContext context, ConnectionInfo info)
throws Exception {
// Your code goes here
Copyright 2008, Total Transaction Management
www.ttmsolutions.com
126

ActiveMQ 5.2 Reference Guide
// Then call your parent
super.addConnection(context, info);
}
public void addSession(ConnectionContext context, SessionInfo info)
throws Exception {
// Your code goes here…
// Then call your parent
super.addSession(context, info);
}
}
The last thing your code does in each of the method implementations is to call the BrokerFilter
parent class so that it can call the next plug-in in the processing chain.
15 Destination Policies
ActiveMQ supports a number of different policies which can be assigned to individual
destinations (queues, topics) or to wildcards of queue/topic hierarchies. This makes it easy to
configure how different regions of the JMS destination space are handled.
The following are examples of different policies that can be customized on a per destination
basis
<beans>
<bean
class="org.springframework.beans.factory.config.PropertyPlaceholderConfigurer"
/>
<broker persistent="false" brokerName="${brokername}"
xmlns="http://activemq.org/config/1.0">
<!-- lets define the dispatch policy -->
<destinationPolicy>
<policyMap>
<policyEntries>
<policyEntry topic="FOO.>">
<dispatchPolicy>
<roundRobinDispatchPolicy />
</dispatchPolicy>
<subscriptionRecoveryPolicy>
<lastImageSubscriptionRecoveryPolicy />
</subscriptionRecoveryPolicy>
Copyright 2008, Total Transaction Management
www.ttmsolutions.com
127

ActiveMQ 5.2 Reference Guide
</policyEntry>
<policyEntry topic="ORDERS.>">
<dispatchPolicy>
<strictOrderDispatchPolicy />
</dispatchPolicy>
<!-- 1 minutes worth -->
<subscriptionRecoveryPolicy>
<timedSubscriptionRecoveryPolicy recoverDuration="60000" />
</subscriptionRecoveryPolicy>
</policyEntry>
<policyEntry topic="PRICES.>">
<!-- 10 seconds worth -->
<subscriptionRecoveryPolicy>
<timedSubscriptionRecoveryPolicy recoverDuration="10000" />
</subscriptionRecoveryPolicy>
<!-- lets force old messages to be discarded for slow consumers -->
<pendingMessageLimitStrategy>
<constantPendingMessageLimitStrategy limit="10"/>
</pendingMessageLimitStrategy>
</policyEntry>
</policyEntries>
</policyMap>
</destinationPolicy>
</broker>
</beans>
16 Authentication and Authorization Services
This section discusses the authentication and authorization (A&A) services provided by an
ActiveMQ message broker. When authentication services are enabled for a particular message
broker, all connection requests made to that message broker must provide the proper credentials
(i.e., user name and password). The message broker will reject any connection request that does
not provide the proper credentials. When enabled, authorization services controls access to the
destinations that are managed by the message broker. To enable authorization services, you must
also enable authentication services.
Before you begin to use ActiveMQ’s A&A services, ensure that you have cleared out the
broker’s data directory. The broker’s data directory is typically found in ../activemq-data/
<broker name>. If you enable A&A services and their exists artifacts in the data directory that
were not created whileA&A services were enabled, then this will likely lead to exceptions being
thrown by the message broker.
Copyright 2008, Total Transaction Management
www.ttmsolutions.com
128

ActiveMQ 5.2 Reference Guide
The default activemq.xml configuration file comes with three optional and enabled elements:
<commandAgent>, <camelContext>, and <jetty>. If you enable A&A services, these enabled
elements will more than likely cause the broker to throw security-related exceptions. This is
because these elements represent functionality that is essentially represented by clients that need
to connect to the broker and the connections are made without security credentials. If you do not
require the functionality behind these elements, you should disable or comment-out the
elements.
16.1 Authentication
To provide authentication, ActiveMQ comes with a simple Java Authentication and
Authorization Services (JAAS)-based plug-in module. It is considered “simple”, because it is
based on three basic files and not on something more sophisticated like a replicated directory
service (e.g., LDAP or Active Directory). To enable the JAAS plug-in module and authentication
services, you must first add the <plugins> element and its <jaasAuthenticationPlugin> sub-
element to the message brokers XML configuration file as this XML snippet illustrates.
<plugins>
<!-- use JAAS to authenticate using the login.config file -->
<jaasAuthenticationPlugin configuration="activemq-domain" />
</plugins>
You configure the simple JAAS plug-in module by setting the java.security.auth.login.config
system property to point to a configuration file that must adhere to the format depicted below.
/**
* Licensed to the Apache Software Foundation (ASF) under one or more
* contributor license agreements. See the NOTICE file distributed with
* this work for additional information regarding copyright ownership.
* The ASF licenses this file to You under the Apache License, Version 2.0
* (the "License"); you may not use this file except in compliance with
* the License. You may obtain a copy of the License at
*
* http://www.apache.org/licenses/LICENSE-2.0
*
* Unless required by applicable law or agreed to in writing, software
* distributed under the License is distributed on an "AS IS" BASIS,
* WITHOUT WARRANTIES OR CONDITIONS OF ANY KIND, either express or implied.
* See the License for the specific language governing permissions and
* limitations under the License.
*/
activemq-domain {
org.apache.activemq.jaas.PropertiesLoginModule required
debug=true
org.apache.activemq.jaas.properties.user="org/apache/activemq/security/users.properties"
Copyright 2008, Total Transaction Management
www.ttmsolutions.com
129

ActiveMQ 5.2 Reference Guide
org.apache.activemq.jaas.properties.group="org/apache/activemq/security/groups.properties";
};
If the java.security.auth.login.config system property is not set, ActiveMQ’s JAAS plug-in
module will search for the file called “login.config”, which adheres to the above format, in the
message broker’s CLASSPATH. The broker’s default CLASSPATH is
$ACTIVEMQ_HOME/conf. The “login.config” file points to two additional files that are used to
define users and user groups. These two files should be located in the same directory that
contains the “login.config” file.
The users.properties file is used to define each user along with the user’s password. This is an
example users.properties file.
## ---------------------------------------------------------------------------
## Comments
##
## user-name = password
## ---------------------------------------------------------------------------
system=manager
user=password
guest=password
The groups.properties file is used to define what groups(s) each user is assigned to and is used by
the authorization services, which is discussed in the following section. This is an example
groups.properties file.
## ---------------------------------------------------------------------------
## Comments
##
## group=<list of comm- separated users pertianing to this group>
## ---------------------------------------------------------------------------
admins=system
users=system,user
tempDestinationAdmins=system,user
guests=guest
With all of the above in-place, the ActiveMQ message broker will accept only those
connections, from either clients or brokers, having the proper credentials (i.e., user name,
password).
If you don’t wish to use the JAAS plug-in module and its corresponding external configuration
files, you can instead rely on the <simpleAuthenticationPlugin> element to provide all
authentication information through the brokers XML configuration file. This is illustrated in the
following XML snippet.
Copyright 2008, Total Transaction Management
www.ttmsolutions.com
130

ActiveMQ 5.2 Reference Guide
<plugins>
<!-- use the simpleAuthenticationPlugin instead of JAAS -->
<simpleAuthenticationPlugin>
<!-- Define all users along with their passwords and the groups -->
<users>
<authenticationUser
username="system"
password="manager"
groups="users,admins"/>
<authenticationUser
username="user"
password="password"
groups="users"/>
<authenticationUser
username="guest"
password="password"
groups="guests"/>
</users>
</simpleAuthenticationPlugin>
</plugins>
This sample code snippet illustrates how a JMS client would create a connection with the proper
credentials.
// Get a connection factory from the JNDI InitialContext
javax.jms.ConnectionFactory factory = (javax.jms.ConnectionFactory)
ctx.lookup("localConnectionFactory");
// Get a connection from the connection factory’s createConnection method and
// pass it the proper user name and password.
try {
conn = factory.createConnection("user", "password");
//Start the connection
conn.start();
}
catch(JMSException e){
System.out.println("Caught this exception: "+ e.getClass());
System.out.println("Caught this security exception: "+ e.getMessage());
System.exit(1);
}
16.1.1 Authentication and Authorization between Message Brokers
If you have enabled authentication for a particular message broker, then other brokers that wish
to connect to that broker must provide the proper authentication credentials via their
<networkConnector> element.
For example, let’s suppose that we have a network of brokers (NoB) with the following
configuration:
The NoB comprises two brokers (BrokerA and BrokerB)
Copyright 2008, Total Transaction Management
www.ttmsolutions.com
131

ActiveMQ 5.2 Reference Guide
We have enabled authentication for BrokerA via the example <simpleAuthenticationPlugin>
given in the previous section.
Authentication for BrokerB has not been enabled.
BrokerA only listens for connections. In other words, BrokerA has a <transportConnector>
element, but no <networkConnector> elements.
In order for BrokerB to connect to BrokerA, the corresponding <networkConnector> element in
BrokerB’s XML configuration file must be set up as follows.
<networkConnectors>
<!-- A connector used for connecting to brokerA -->
<networkConnector name="brokerAbridge"
userName="user"
password="password"
uri="static://(tcp://brokerA:61616)"/>
</networkConnectors>
Note how BrokerB’s <networkConnector> element must provide the proper credentials in order
to connect to BrokerA. . The userName assigned to that <networkConnector> element must also
have the proper ‘authorization’ credentials if ‘authorization’ has been enabled on BrokerA.
Messages cannot be forwarded from BrokerB to BrokerA if BrokerA has authorization enabled
and BrokerB’s corresponding <networkConnector> element’s userName has not been given the
proper authorization credentials.
Also, if BrokerA is given a <networkConnector> element so that it can initiate a connection to
BrokerB, then that <networkConnector> must be given a userName/password combination that
is defined in the <simpleAuthenticationPlugin> element; this is required even though BrokerB
does not have authentication services enabled.
16.2 Authorization
Authorization services are used to grant user groups access rights to destinations. Access rights
are granted in the form of three operations: read, write, and admin.
Operation Description
read You can browse and consume from the destination
write You can send messages to the destination
admin You can lazily create the destination if it does not yet exist. This allows you
fine grained control over which new destinations can be dynamically created
Copyright 2008, Total Transaction Management
www.ttmsolutions.com
132

ActiveMQ 5.2 Reference Guide
in what part of the queue/topic hierarchy
Access rights are configured through the <authorizationPlugin> XML element, which is located
in the broker’s XML configuration file. The following is an example broker XML configuration
file that uses the JAAS plug-in for authentication and the <authorizationPlugin> element to
assign access rights to the groups defined in the groups.properties file. Note how wildcards (“>”)
are used for assigning access rights to a hierarchy of destination names. Full access rights should
always be given to the ActiveMQ.Advisory topics, else your client will receive an exception stating it
does not have access rights to these series of topics.
<beans>
<bean class="org.springframework.beans.factory.config.PropertyPlaceholderConfigurer"/>
<broker xmlns="http://activemq.org/config/1.0">
<plugins>
<!-- use JAAS to authenticate using the login.config file on the CLASSPATH to configure JAAS -->
<jaasAuthenticationPlugin configuration="activemq-domain" />
<!-- configure a destination based authorization mechanism -->
<authorizationPlugin>
<map>
<authorizationMap>
<authorizationEntries>
<authorizationEntry queue=">" read="admins" write="admins" admin="admins" />
<authorizationEntry queue="USERS.>" read="users" write="users" admin="users" />
<authorizationEntry queue="GUEST.>" read="guests" write="guests,users"
admin="guests,users" />
<authorizationEntry topic=">" read="admins" write="admins" admin="admins" />
<authorizationEntry topic="USERS.>" read="users" write="users" admin="users" />
<authorizationEntry topic="GUEST.>" read="guests" write="guests,users"
admin="guests,users" />
<authorizationEntry topic="ActiveMQ.Advisory.>" read="guests,users"
write="guests,users" admin="guests,users,admins"/>
</authorizationEntries>
<!-- let's assign roles to temporary destinations. comment this entry if we don't want
any roles assigned to temp destinations -->
<tempDestinationAuthorizationEntry>
<tempDestinationAuthorizationEntry read="tempDestinationAdmins"
write="tempDestinationAdmins" admin="tempDestinationAdmins"/>
</tempDestinationAuthorizationEntry>
</authorizationMap>
</map>
Copyright 2008, Total Transaction Management
www.ttmsolutions.com
133

ActiveMQ 5.2 Reference Guide
</authorizationPlugin>
</plugins>
</broker>
</beans>
CAUTION: If authorization has been enabled, then all groups must be granted all access rights
to the ActiveMQ.Advisory topics.
16.2.1 Controlling Access To Temporary Destinations
To control access to temporary destinations, you will need to add a
<tempDestinationAuthorizationEntry> element to the authorizationMap. Through this element,
you control access to all temporary destinations. If this element is not present, read, write, and
admin privileges for temporary destinations will be granted to all. In the example below, read,
write, and admin privileges for temporary destinations are only granted to those clients that have
been assigned to the 'admin' group.
<broker>
..
<plugins>
..
<authorizationPlugin>
<map>
<authorizationMap>
<authorizationEntries>
<authorizationEntry queue="TEST.Q" read="users"
write="users" admin="users" />
<authorizationEntry topic="ActiveMQ.Advisory.>" read="all"
write="all" admin="all"/>
</authorizationEntries>
<tempDestinationAuthorizationEntry>
<tempDestinationAuthorizationEntry read="admin" write="admin"
admin="admin"/>
</tempDestinationAuthorizationEntry>
</authorizationMap>
</map>
</authorizationPlugin>
..
</plugins>
..
</broker>
Copyright 2008, Total Transaction Management
www.ttmsolutions.com
134

ActiveMQ 5.2 Reference Guide
16.3 Camel
If you intend to use Camel against a ‘secure’ ActiveMQ broker, then refer to the following URL for
information on how to pass a username and password to the ActiveMQ broker when using Camel.
http://activemq.apache.org/camel/jms.html
In particular, the section titled, “Configuring different JMS providers”. Note how you can configure the
ActiveMQ connection factory via the Spring XML file as follows. The example below is the same as
found on that web page, but a userName and password property have been added.
<camelContext id="camel"
xmlns="http://activemq.apache.org/camel/schema/spring">
</camelContext>
<bean id="activemq" class="org.apache.camel.component.jms.JmsComponent">
<property name="connectionFactory">
<bean class="org.apache.activemq.ActiveMQConnectionFactory">
<property name="brokerURL"
value="vm://localhost?broker.persistent=false"/>
<property name="userName" value="john"/>
<property name="password" value="secret"/>
</bean>
</property>
</bean>
16.4 TTM’s Security Plugins
16.4.1 File Based Security Plugin
If you’re interested in a dynamically reconfigurable security plugin, check out TTM’s simple
security plugin (SSP). The SSP is an ActiveMQ plugin module that provides dynamically
reconfigurable authentication and authorization security services. Dynamic reconfiguration
allows you to update the SP’s configuration without having to stop and restart the ActiveMQ
message broker. This is also referred to as “hot deployment” or “dynamic reloading”. The SSP
is free and can be downloaded from this web page.
http://www.ttmsolutions.com/amqsec.php4
The SP package also includes the following:
MD5-obfuscated passwords. The SP’s file security realm supports passwords that have been
obfuscated via the MD5 (Message-Digest algorithm 5) cryptographic hash function. This
provides the added security of not having to store passwords in clear text. For example, the
following entry in the security realm defines a user with a name of ‘mary’ and a password for
‘mary’ that has been obfuscated via the MD5 hash function. The entry also assigns ‘mary’ to
the groups, ‘users’ and ‘guests’.
Copyright 2008, Total Transaction Management
www.ttmsolutions.com
135

ActiveMQ 5.2 Reference Guide
username="mary" password="MD5:12735683dee9c7d59a54d30251bb29d0" groups="users, guests"
ActiveMQ’s simpleAuthenticationPlugin does not support obfuscated passwords.
An extended version of the ActiveMQ CommandAgent called, “TtmCommandAgent”.
Unlike the CommandAgent, the TtmCommandAgent works within a secured ActiveMQ
message broker environment. In other words, TtmCommandAgent can be given
authentication credentials (username and password), which it uses to connect with a broker
that requires such credentials.
Administrative MBean. Through this JMX MBean, you can view the SP’s properties and
issue commands to the SP.
16.4.2 LDAP Based Security Plugin
TTM’s LDAP Security Plugin (LSP) is an ActiveMQ plugin module that uses a LDAP directory
server (DS) to provide dynamically reconfigurable authentication and authorization (A&A)
security services.
The primary benefit of using a LDAP DS is that all A&A information, which pertains to
ActiveMQ clients and resources (i.e., topics and queues), is centrally and securely stored and
managed. This is especially attractive for large enterprise class environments that employ 10’s if
not 100’s of ActiveMQ message brokers. The combination of LSP and DS also provides for
dynamic runtime configuration. This feature allows you to make modifications to the A&A
information in the DS and not have to stop and restart the ActiveMQ message broker(s) to have
those modifications take effect.
The SP connects or binds to a central LDAP directory service to:
1. Authenticate clients
2. Retrieve clients’ security credentials
3. Retrieve the access control lists (ACLs) assigned to a broker’s resources (destinations).
This package has been certified for the officially released version of ActiveMQ 5.1. It has not
been certified with prior releases or SNAPSHOT versions of 5.1.
For more information, please download the plugin’s user guide via the following web page.
http://www.ttmsolutions.com/amqldapsec.php4
Copyright 2008, Total Transaction Management
www.ttmsolutions.com
136

ActiveMQ 5.2 Reference Guide
17 Performance
This section touches on some important performance factors to take into consideration when
using ActiveMQ.
17.1 Persistent vs. Transient Messages
When a producer sends a persistent message to the ActiveMQ message broker, the underlying
JMS session will block until the message broker sends the session an acknowledgement that it
has received the message and has written the message out to secondary storage. This is
sometimes referred to as a synchronous send, which guarantees a high-level of reliability;
however, it also introduces a latency penalty, because the session must block until it receives the
acknowledgement from the message broker.
When a producer sends a transient or non-persistent message, the underlying session does not
have to wait for the broker to acknowledge that it has written the message to secondary storage;
therefore, the latency associated with sending a transient message is much less than that for
sending a persistent message. However, unlike a persistent message, a transient message cannot
survive a message broker failure.
The following sections will provide some tips on how to improve performance when using
persistent messaging.
17.1.1 Asynchronous Sends
If your producer must use persistent messages, but has been designed to tolerate a few lost
messages in failure scenarios, then you can disable synchronous sends and enable asynchronous
sends. Enabling asynchronous sends for persistent messages will preclude the producer from
blocking or waiting on the broker’s acknowledgement message thus reducing the latency penalty
associated with the synchronous sends. See section 13.1 to learn more about asynchronous sends
and how to enable this feature.
17.1.2 Transactions
If your producer must send persistent messages and cannot tolerate any lost messages, then one
option is to group multiple send() methods within the context of a single transaction. When a
send() is part of a transaction, it will automatically operate in asynchronous mode, because it is
the transaction’s commit() method that will block to wait for the acknowledgment from the
broker. In this particular case, the acknowledgment back to the commit method tells the session
that all the messages sent within the context of the transaction have been safely written out to
secondary storage. In effect, a transaction allows you to consolidate or batch many synchronous
sends, and their corresponding writes to secondary storage, down to just one synchronous send.
Copyright 2008, Total Transaction Management
www.ttmsolutions.com
137

ActiveMQ 5.2 Reference Guide
17.2 Prefetch Limit
The prefetch limit that is assigned to a consumer is an indication of the message load the
consumer can adequately process. The higher the limit, the greater the message loads that the
broker can stream to the consumer. A higher prefetch limit also ensures that the consumer
always has messages in its local message buffer and does not have to wait for messages to be
read in from the broker thus enhancing the overall message throughput of both the consumer and
message broker.
The default configuration for ActiveMQ is set up for environments that require very high
performance and message throughput. To address these types of environments, the default
prefetch limit (see section 12.1) for consumers is set to a high value (1000 messages); therefore,
the default dispatch policy is one that will attempt to fill the consumer’s prefetch buffer as
quickly as possible. With an environment that utilizes a small average message size, a potential
side-effect of this default configuration is that a small number of consumers, which comprise a
larger cluster of consumers, may end up receiving the majority of the message load. This side-
effect may not pose an issue if the processing of each message requires a relatively small amount
of time. However, if the message processing time is high, then this default configuration would
not be the optimum configuration, because you would want to more evenly disperse the message
processing/load across the cluster of consumers.
The following describes how ActiveMQ disperses the message load under a couple of different
scenarios.
1. This first scenario is one where a destination has a cluster of active consumers (i.e., more
than one consumer blocked waiting for a message). As producers send messages to that
destination, ActiveMQ will evenly disperse the messages across the active consumers in the
cluster; no matter what the value of the prefetch limit.
2. This second scenario is one where a destination has many pending messages (i.e., messages
in the destination, ready to be delivered), but there are no active consumers to receive those
pending messages. Let’s suppose the destination has 1000 pending messages and through
some sort of activation script, a cluster of 10 consumers is then automatically activated for
that destination. What will happen is that the broker will stream, up to the consumer’s
prefetch limit, the messages to the consumer that first connects to the broker. In other words,
the broker will latch on to that first consumer and stream as many messages, as the prefetch
limit allows, to that consumer. Because the default prefetch limit is 1000, that first consumer
will receive all 1000 pending messages. This will raise a serious issue if each message
requires a lot of processing time.
To address the potential issue described in scenario #2 above, you can lower the prefetch limit
for the consumers. If, for example, you lowered the limit to 10, the broker will stream only 10
messages to the first consumer and will not stream any more messages to that consumer until it
Copyright 2008, Total Transaction Management
www.ttmsolutions.com
138

ActiveMQ 5.2 Reference Guide
receives an acknowledgement from the consumer. This will make it more likely that the broker
will dispatch messages to the rest of the consumers, as they connect with the broker.
17.3 Threads
By default, ActiveMQ makes use of several threads to process messages and isolate producers
from consumers. Under certain conditions, you can increase the overall scalability/throughput of
ActiveMQ by reducing this default number of threads. The following web page describes how
threads are used within ActiveMQ and the options (async, dispatchAsync, optimizedDispatch)
that are used to influence the number of threads used w/in ActiveMQ.
http://open.iona.com/wiki/display/ProdInfo/Understanding+the+Threads+Allocated+in+ActiveMQ
17.4 DUPS_OK_ACKNOWLEDGE
The DUPS_OK_ACKNOWLEDGE is a JMS session-specific option that instructs the session to
lazily acknowledge the delivery of messages. For example, with DUPS_OK_ACKNOWLEDGE
mode, the JMS session acknowledges the consumption of a batch of messages. Also, unlike the
two other JMS session acknowledgement modes (AUTO_ACKNOWLEDGE and
CLIENT_ACKNOWLEDGE), the session does not block waiting for a broker acknowledgement
to the session’s acknowledgement, because no broker acknowledgement is requested in the
DUPS_OK_ACKNOWLEDGE mode. These two characteristics of
DUPS_OK_ACKNOWLEDGE mode will generally improve overall message throughput.
However, with DUPS_OK_ACKNOWLEDGE mode there is no guarantee that messages are
delivered and consumed only once. In general, messages will not be redelivered very often; they
are redelivered only in cases of failure, where the broker has not received a client
acknowledgement for a message it has delivered. Consumers should use
DUPS_OK_ACKNOWLEDGE mode if they don’t care about duplicate delivery.
17.5 Optimized Acknowledge
When using a JMS session that is in AUTO_ACKNOWLEDGE mode, ActiveMQ will
acknowledge receipt of messages in batches (similar to DUPS_OK_ACKNOWLEDGE) to
improve performance. The batch size is 50% of the prefetch limit for the consumer. You can
turn off this batch acknowledgment by setting the ActiveMQ connection factory property called,
“optimizeAcknowledge” to be false.
Copyright 2008, Total Transaction Management
www.ttmsolutions.com
139

ActiveMQ 5.2 Reference Guide
17.6 Asynchronous Dispatch
Asynchronous dispatch allows the message broker to efficiently address ‘slow’ consumers;
however, it does increase context switching between threads. For more information, see section
12.3.
17.7 Embedded Brokers
The use of embedded or intra-VM brokers greatly reduces message latency because there is no
network hop between client and broker. A client communicates with its embedded broker via
direct method invocation as opposed to streaming ActiveMQ command objects through a
network connection. More information on embedded brokers can be found in sections 2 and
3.2.1.
17.8 Message Copy
In order to be JMS compliant, ActiveMQ’s Producer.send() method copies the corresponding
message to a new message object. However, if your producer does not reuse the message object
or does not mutate the message after it is sent, then it can disable the copying of the message,
which improves throughput. To disable message copying, set the ‘copyMessageOnSend’ URI
connection property to ‘false’. This is an example of setting it for a tcp connector URI.
tcp://localhost:61616?jms.copyMessageOnSend=true
Or you can use several methods for assigning it to a connection factory in your jndi.properties
file as follows
connection.<factory name>.brokerURL= tcp://localhost:61616?
jms.useAsyncSend=true
connection.<factory name>.copyMessageOnSend’ = false
17.9 OpenWire Loose Encoding
By default, ActiveMQ uses a “tight encoding” format for the OpenWire protocol. This type of
encoding produces smaller protocol packets, but requires more CPU utilization. For those
environments where network bandwidth is not an issue, but CPU utilization is, switching to the
“loose encoding” format should help reduce CPU usage.
To disable the tight encoding format, set the ‘tightEncodingEnabled’ wire format property to
‘false’ in the connection URI as follows.
Copyright 2008, Total Transaction Management
www.ttmsolutions.com
140

ActiveMQ 5.2 Reference Guide
1. JAR File Requirements
The following table lists jar files that are relevant to an ActiveMQ client application and
describes when the jar file must be in the client’s CLASSPATH.
JAR Files Description
apache-activemq-<version>.jar
This is the main ActiveMQ jar file and is always
required. This jar file is typically found in the
ACTIVEMQ_HOME directory. If you’re using a
SNAPSHOT release of ActiveMQ, the jar file
will typically be called, activemq-all-<version>-
SNAPSHOT.jar
spring-<version>.jar
xbean-spring-<version>.jar
These jar files are required if your client invokes
an ‘embedded’ broker and configures the
embedded broker through an external XML
configuration file. More information on
embedded brokers can be found in sections 2 and
3.2.1.
jmdns-1.0-RC2.jar This jar file is required if your client application
is using the ‘rendezvous’ based discovery agent.
activemq-optional-<version>.jar
commons-httpclient-<version>.jar
xstream-<version>.jar
xmlpull-<version>.jar
These jar files are required if you client uses the
http and/or https transport connector URIs. The
jar files can all be found in the
ACTIVEMQ_HOME/lib/optional directory.
Copyright 2008, Total Transaction Management
www.ttmsolutions.com
142



