Amber14
User Manual: Amber14
Open the PDF directly: View PDF .
Page Count: 824 [warning: Documents this large are best viewed by clicking the View PDF Link!]
- Contents
- Introduction and Installation
- Amber force fields
- Molecular mechanics force fields
- Specifying which force field you want in LEaP
- The ff14SB force field
- The ff14ipq protein force field
- The Duan et al. (2003) force field
- The Yang et al. (2003) united-atom force field
- Force fields related to semi-empirical QM
- The GLYCAM force fields for carbohydrates and lipids
- Lipid Force Fields
- Ions
- Solvent models
- CHAMBER
- Obsolete force field files
- The Generalized Born/Surface Area Model
- PBSA
- Reference Interaction Site Model
- Empirical Valence Bond
- sqm: Semi-empirical quantum chemistry
- QM/MM calculations
- paramfit
- Molecular mechanics force fields
- System preparation
- Running simulations
- sander
- pmemd and pmemd.amoeba
- Atom and Residue Selections
- Sampling configuration space
- Free energies
- Constant pH calculations
- NMR, X-ray, and cryo-EM/ET refinement
- Distance, angle and torsional restraints
- NOESY volume restraints
- Chemical shift restraints
- Pseudocontact shift restraints
- Direct dipolar coupling restraints
- Residual CSA or pseudo-CSA restraints
- Preparing restraint files for Sander
- Getting summaries of NMR violations
- Time-averaged restraints
- Multiple copies refinement using LES
- Some sample input files
- X-ray Crystallography Refinement using SANDER
- EMAP restraints for rigid and flexible fitting into EM maps
- LES
- Quantum dynamics
- mdgx
- Analysis of simulations
- mdout_analyzer.py and ambpdb
- cpptraj
- Running cpptraj
- General Concepts
- Data Sets and Data Files
- Data File Options
- Coordinates as a Data Set (COORDS Data Sets)
- General Commands
- Topology File Commands
- Trajectory File Commands
- Actions that Modify Topology/Coordinates
- Action Commands
- Matrix and Vector Actions
- Data Set Analysis Commands
- Coordinate Analysis Commands
- Matrix and Vector Analysis
- Matrix/Vector Analysis Examples
- MMPBSA.py
- MM_PBSA
- FEW
- XtalAnalyze
- NAB and AmberLite
- NAB: Introduction
- NAB: Language Reference
- Language Elements
- Higher-level constructs
- Statements
- Structures
- Functions
- Points and Vectors
- String Functions
- Math Functions
- System Functions
- I/O Functions
- Molecule Creation Functions
- Creating Biopoloymers
- Fiber Diffraction Duplexes in NAB
- Reduced Representation DNA Modeling Functions
- Molecule I/O Functions
- Other Molecular Functions
- Debugging Functions
- Time and date routines
- Computational resource consumption functions
- NAB: Rigid-Body Transformations
- NAB: Distance Geometry
- NAB: Molecular mechanics and dynamics
- NAB: Sample programs
- amberlite: Some AmberTools-Based Utilities
- Bibliography
- Index

Amber 14
Reference Manual
Principal contributors to the current codes:
David A. Case (Rutgers)
Tom Darden (OpenEye)
Thomas E. Cheatham III (Utah)
Carlos Simmerling (Stony Brook)
Adrian Roitberg (Florida)
Junmei Wang (UT Southwestern Medical Center)
Robert E. Duke (NIEHS and UNC-Chapel Hill)
Ray Luo (UC Irvine)
Daniel R. Roe (Utah)
Ross C. Walker (SDSC, UCSD)
Scott LeGrand (Amazon)
Jason Swails (Rutgers)
David Cerutti (Rutgers)
Joe Kaus (UCSD)
Robin Betz (UCSD)
Romain M. Wolf (Novartis)
Kenneth M. Merz (Michigan State)
Gustavo Seabra (Recife, Brazil)
Pawel Janowski (Rutgers)
Andreas W. Götz (SDSC, UCSD)
István Kolossváry (Budapest and D.E. Shaw)
Francesco Paesani (UCSD)Jian Liu (Berkeley)
Xiongwu Wu (NIH)
Thomas Steinbrecher (Karlsruhe)
Holger Gohlke (Düsseldorf)
Nadine Homeyer (Düsseldorf)
Qin Cai (UC Irvine)
Wes Smith (UC Irvine)
Dave Mathews (Rochester)
Romelia Salomon-Ferrer (SDSC, UCSD)
Celeste Sagui (North Carolina State)
Volodymyr Babin (North Carolina State)
Tyler Luchko (Rutgers)
Sergey Gusarov (NINT)
Andriy Kovalenko (NINT)
Josh Berryman (U. of Luxembourg)
Peter A. Kollman (UC San Francisco)
For more information, please visit http://ambermd.org/contributors
3
Acknowledgments
Research support from DARPA, NIH, ONR, DOE and NSF is gratefully acknowledged, along with support
from NVIDIA, Amazon and Exxact. Many people helped add features to various codes; these contributions are
described in the documentation for the individual programs; see also http://ambermd.org/contributors.html.
Recommended Citation:
• When citing Amber 14 in the literature, the following citation should be used:
D.A. Case, V. Babin, J.T. Berryman, R.M. Betz, Q. Cai, D.S. Cerutti, T.E. Cheatham, III, T.A. Darden, R.E.
Duke, H. Gohlke, A.W. Goetz, S. Gusarov, N. Homeyer, P. Janowski, J. Kaus, I. Kolossváry, A. Kovalenko,
T.S. Lee, S. LeGrand, T. Luchko, R. Luo, B. Madej, K.M. Merz, F. Paesani, D.R. Roe, A. Roitberg, C. Sagui,
R. Salomon-Ferrer, G. Seabra, C.L. Simmerling, W. Smith, J. Swails, R.C. Walker, J. Wang, R.M. Wolf, X.
Wu and P.A. Kollman (2014), AMBER 14, University of California, San Francisco.
Peter Kollman died unexpectedly in May, 2001. We dedicate Amber to his memory.
Notes
• We thank Chris Bayly and Merck-Frosst, Canada for permission to include charge increments for the AM1-
BCC charge scheme.
• Some of the force field routines were adapted from similar routines in the MOIL program package: R. Elber,
A. Roitberg, C. Simmerling, R. Goldstein, H. Li, G. Verkhivker, C. Keasar, J. Zhang and A. Ulitsky, "MOIL:
A program for simulations of macromolecules" Comp. Phys. Commun. 91, 159-189 (1995).
• The cifparse routines to deal with mmCIF formatted files were written by John Westbrook, and are dis-
tributed with permission. See cifparse/README for details.
Cover illustration: The cover shows all atom bilayer self assembly of 128 DOPC phospholipids simulated using
the GPU version of pmemd. The lipid molecules were represented with the Lipid14 force field parameters, along
with TIP3P waters and 0.15 M KCl. The lipids are presented as stick models, with the head group phosphorus
atoms highlighted as orange spheres. Water and ions have been removed for clarity. Taken from Skjevik, Å. A.;
Madej, B. D.; Dickson, C. J.; Teigen, K.; Walker, R.C.; Gould, I.R., J. Am. Chem. Soc. 2014, in review.
4
Contents
Contents 5
I. Introduction and Installation 13
1. Introduction 15
1.1. Information flow in Amber ...................................... 15
1.2. List of programs ............................................ 18
2. Installation 21
2.1. Applying Updates ........................................... 23
2.2. Contacting the developers ....................................... 25
II. Amber force fields 27
3. Molecular mechanics force fields 29
3.1. Specifying which force field you want in LEaP ........................... 29
3.2. The ff14SB force field ........................................ 30
3.3. The ff14ipq protein force field .................................... 32
3.4. The Duan et al. (2003) force field .................................. 33
3.5. The Yang et al. (2003) united-atom force field ............................ 34
3.6. Force fields related to semi-empirical QM .............................. 34
3.7. The GLYCAM force fields for carbohydrates and lipids ....................... 34
3.8. Lipid Force Fields ........................................... 42
3.9. Ions .................................................. 44
3.10. Solvent models ............................................ 46
3.11. CHAMBER .............................................. 47
3.12. Obsolete force field files ....................................... 52
4. The Generalized Born/Surface Area Model 57
4.1. GB/SA input parameters ....................................... 59
4.2. ALPB (Analytical Linearized Poisson-Boltzmann) ......................... 61
5. PBSA 65
5.1. Introduction .............................................. 65
5.2. Usage and keywords ......................................... 68
5.3. Example inputs and demonstrations of functionalities ........................ 76
5.4. Visualization functions in pbsa .................................... 79
5.5. pbsa in sander and NAB ....................................... 86
6. Reference Interaction Site Model 89
6.1. Introduction .............................................. 89
6.2. Practical Considerations ....................................... 94
6.3. Work Flow .............................................. 95
6.4. rism1d ................................................. 95
5
CONTENTS
6.5. 3D-RISM in NAB ........................................... 98
6.6. rism3d.snglpnt ........................................... 101
6.7. 3D-RISM in sander .......................................... 103
7. Empirical Valence Bond 111
7.1. Introduction .............................................. 111
7.2. General usage description ....................................... 112
7.3. Biased sampling ............................................ 115
7.4. Quantization of nuclear degrees of freedom ............................. 117
7.5. Distributed Gaussian EVB ...................................... 117
7.6. EVB input variables and interdependencies ............................. 119
8. sqm: Semi-empirical quantum chemistry 125
8.1. Available Hamiltonians ........................................ 125
8.2. Dispersion and hydrogen bond correction .............................. 126
8.3. Usage ................................................. 127
9. QM/MM calculations 133
9.1. Built-in semiempirical NDDO methods and SCC-DFTB ...................... 133
9.2. Interface for ab initio and DFT methods ............................... 142
9.3. Adaptive solvent QM/MM simulations ................................ 153
9.4. Adaptive buffered force-mixing QM/MM .............................. 158
9.5. SEBOMD: SemiEmpirical Born-Oppenheimer Molecular Dynamics ................ 165
10. paramfit 171
10.1. Usage ................................................. 172
10.2. The Job Control File ......................................... 173
10.3. Multiple molecule fits ......................................... 179
10.4. Fitting Forces ............................................. 179
10.5. Examples ............................................... 180
III. System preparation 183
11. Preparing PDB Files 185
11.1. Cleaning up Protein PDB Files for AMBER ............................. 185
11.2. Residue naming conventions ..................................... 186
11.3. Chains, Residue Numbering, Missing Residues ........................... 187
11.4. pdb4amber .............................................. 187
11.5. reduce ................................................. 190
12. LEaP 191
12.1. Introduction .............................................. 191
12.2. Concepts ............................................... 191
12.3. Running LEaP ............................................. 195
12.4. Basic instructions for using LEaP to build molecules ........................ 200
12.5. Commands .............................................. 201
12.6. Building oligosaccharides, lipids and glycoproteins ......................... 217
13. Reading and modifying Amber parameter files 225
13.1. Understanding Amber parameter files ................................ 225
13.2. ParmEd ................................................ 233
6
CONTENTS
14. Antechamber and GAFF 255
14.1. Principal programs .......................................... 255
14.2. A simple example for antechamber .................................. 259
14.3. Using the components.cif file from the PDB ............................. 262
14.4. Programs called by antechamber ................................... 262
14.5. Miscellaneous programs ....................................... 266
14.6. New Development of Antechamber And GAFF ........................... 268
14.7. Metal Center Parameter Builder (MCPB) .............................. 269
15. Setting up crystal simulations 271
15.1. UnitCell ................................................ 271
15.2. PropPDB ............................................... 271
15.3. AddToBox ............................................... 271
15.4. ChBox ................................................. 273
16. Using the AMOEBA Force Field with AMBER 275
16.1. Installing TINKER .......................................... 275
16.2. Preparing the system with TINKER ................................. 276
IV. Running simulations 279
17. sander 281
17.1. Introduction .............................................. 281
17.2. File usage ............................................... 282
17.3. Example input files .......................................... 283
17.4. Namelist Input Syntax ........................................ 284
17.5. Overview of the information in the input file ............................. 285
17.6. General minimization and dynamics parameters ........................... 285
17.7. Potential function parameters ..................................... 294
17.8. Varying conditions .......................................... 300
17.9. File redirection commands ...................................... 304
17.10.Getting debugging information .................................... 304
17.11.multisander (and multipmemd) .................................... 307
18. pmemd and pmemd.amoeba 309
18.1. Introduction .............................................. 309
18.2. Functionality ............................................. 309
18.3. PMEMD-specific namelist variables ................................. 311
18.4. Slightly changed functionality .................................... 312
18.5. Parallel performance tuning and hints ................................ 313
18.6. GPU Accelerated PMEMD ...................................... 313
18.7. Intel® Many Integrated Core Architecture .............................. 319
18.8. pmemd.amoeba ............................................ 321
19. Atom and Residue Selections 325
19.1. Amber Masks ............................................. 325
19.2. "Atom Expressions" in NAB Applications .............................. 328
19.3. GROUP Specification ......................................... 328
7
CONTENTS
20. Sampling configuration space 333
20.1. Self-Guided Langevin dynamics ................................... 333
20.2. Accelerated Molecular Dynamics ................................... 336
20.3. Targeted MD ............................................. 338
20.4. Multiply-Targeted MD (MTMD) ................................... 339
20.5. Nudged elastic band calculations ................................... 341
20.6. Low-MODe (LMOD) methods .................................... 344
21. Free energies 349
21.1. Thermodynamic integration ...................................... 349
21.2. Absolute Free Energies using EMIL ................................. 358
21.3. Linear Interaction Energies ...................................... 362
21.4. Umbrella sampling .......................................... 363
21.5. Replica Exchange Molecular Dynamics (REMD) .......................... 364
21.6. Adaptively biased MD, steered MD, and umbrella sampling with REMD .............. 381
21.7. Steered Molecular Dynamics (SMD) and the Jarzynski Relationship ................ 388
22. Constant pH calculations 393
22.1. Background .............................................. 393
22.2. Preparing a system for constant pH .................................. 393
22.3. Running at constant pH ........................................ 395
22.4. Analyzing constant pH simulations .................................. 398
22.5. Extending constant pH to additional titratable groups ........................ 400
22.6. Constant pH MD Replica Exchange ................................. 401
22.7. cphstats ................................................ 401
23. NMR, X-ray, and cryo-EM/ET refinement 409
23.1. Distance, angle and torsional restraints ................................ 410
23.2. NOESY volume restraints ...................................... 415
23.3. Chemical shift restraints ....................................... 416
23.4. Pseudocontact shift restraints ..................................... 417
23.5. Direct dipolar coupling restraints ................................... 419
23.6. Residual CSA or pseudo-CSA restraints ............................... 420
23.7. Preparing restraint files for Sander .................................. 421
23.8. Getting summaries of NMR violations ................................ 428
23.9. Time-averaged restraints ....................................... 428
23.10.Multiple copies refinement using LES ................................ 429
23.11.Some sample input files ........................................ 429
23.12.X-ray Crystallography Refinement using SANDER ......................... 433
23.13.EMAP restraints for rigid and flexible fitting into EM maps ..................... 434
24. LES 437
24.1. Preparing to use LES with Amber .................................. 437
24.2. Using the ADDLES program ..................................... 438
24.3. More information on the ADDLES commands and options ..................... 440
24.4. Using the new topology/coordinate files with SANDER ....................... 441
24.5. Using LES with the Generalized Born solvation model ....................... 442
24.6. Case studies: Examples of application of LES ............................ 442
8
CONTENTS
25. Quantum dynamics 447
25.1. Path-Integral Molecular Dynamics .................................. 447
25.2. Centroid Molecular Dynamics (CMD) ................................ 451
25.3. Ring Polymer Molecular Dynamics (RPMD) ............................ 454
25.4. Linearized semiclassical initial value representation ......................... 454
25.5. Reactive Dynamics .......................................... 459
25.6. Isotope effects ............................................. 462
26. mdgx 467
26.1. Input and Output ........................................... 467
26.2. Installation .............................................. 468
26.3. Special Algorithmic Features of mdgx ................................ 468
26.4. Customizable Virtual Site Support in mdgx ............................. 469
26.5. Restrained Electrostatic Potential Fitting in mdgx .......................... 472
26.6. Bonded Term Fitting in mdgx ..................................... 475
26.7. Thermodynamic Integration ..................................... 477
26.8. Future Directions and Goals of the mdgx Project .......................... 477
V. Analysis of simulations 479
27. mdout_analyzer.py and ambpdb 481
27.1. ambpdb ................................................ 481
28. cpptraj 483
28.1. Running cpptraj ............................................ 483
28.2. General Concepts ........................................... 484
28.3. Data Sets and Data Files ....................................... 488
28.4. Data File Options ........................................... 490
28.5. Coordinates as a Data Set (COORDS Data Sets) ........................... 492
28.6. General Commands .......................................... 494
28.7. Topology File Commands ....................................... 498
28.8. Trajectory File Commands ...................................... 502
28.9. Actions that Modify Topology/Coordinates ............................. 506
28.10.Action Commands .......................................... 513
28.11.Matrix and Vector Actions ...................................... 548
28.12.Data Set Analysis Commands .................................... 550
28.13.Coordinate Analysis Commands ................................... 556
28.14.Matrix and Vector Analysis ...................................... 562
28.15.Matrix/Vector Analysis Examples .................................. 566
29. MMPBSA.py 569
29.1. Introduction .............................................. 569
29.2. Preparing for an MM/PB(GB)SA calculation ............................ 570
29.3. Running MMPBSA.py ........................................ 572
29.4. Python API .............................................. 584
30. MM_PBSA 591
30.1. General instructions .......................................... 591
30.2. Input explanations ........................................... 592
30.3. Auxiliary programs used by MM_PBSA ............................... 598
30.4. APBS as an alternate PB solver in Sander .............................. 598
9
CONTENTS
31. FEW 601
31.1. Installation .............................................. 601
31.2. Overview of workflow steps and minimal input ........................... 603
31.3. Common setup of molecular dynamics simulations ......................... 605
31.4. Workflow for automated MM-PBSA & MM-GBSA calculations (WAMM) ............ 610
31.5. Linear interaction energy workflow (LIEW) ............................. 615
31.6. Thermodynamic integration workflow (TIW) ............................ 619
32. XtalAnalyze 627
32.1. XtalAnalyze.sh ............................................ 627
32.2. XtalPlot.sh .............................................. 629
32.3. md2map.sh .............................................. 630
VI. NAB and AmberLite 633
33. NAB: Introduction 635
33.1. Background .............................................. 636
33.2. Methods for structure creation .................................... 637
33.3. Compiling nab Programs ....................................... 639
33.4. Parallel Execution ........................................... 639
33.5. First Examples ............................................ 640
33.6. Molecules, Residues and Atoms ................................... 643
33.7. Creating Molecules .......................................... 643
33.8. Residues and Residue Libraries .................................... 644
33.9. Atom Names and Atom Expressions ................................. 646
33.10.Looping over atoms in molecules ................................... 647
33.11.Points, Transformations and Frames ................................. 648
33.12.Creating Watson Crick duplexes ................................... 649
34. NAB: Language Reference 659
34.1. Language Elements .......................................... 659
34.2. Higher-level constructs ........................................ 661
34.3. Statements ............................................... 667
34.4. Structures ............................................... 669
34.5. Functions ............................................... 670
34.6. Points and Vectors ........................................... 671
34.7. String Functions ............................................ 672
34.8. Math Functions ............................................ 672
34.9. System Functions ........................................... 673
34.10.I/O Functions ............................................. 673
34.11.Molecule Creation Functions ..................................... 676
34.12.Creating Biopoloymers ........................................ 677
34.13.Fiber Diffraction Duplexes in NAB .................................. 677
34.14.Reduced Representation DNA Modeling Functions ......................... 678
34.15.Molecule I/O Functions ........................................ 679
34.16.Other Molecular Functions ...................................... 679
34.17.Debugging Functions ......................................... 681
34.18.Time and date routines ........................................ 682
34.19.Computational resource consumption functions ........................... 682
10
CONTENTS
35. NAB: Rigid-Body Transformations 683
35.1. Transformation Matrix Functions ................................... 683
35.2. Frame Functions ........................................... 683
35.3. Functions for working with Atomic Coordinates ........................... 684
35.4. Symmetry Functions ......................................... 684
35.5. Symmetry server programs ...................................... 686
36. NAB: Distance Geometry 691
36.1. Metric Matrix Distance Geometry .................................. 691
36.2. Creating and manipulating bounds, embedding structures ...................... 692
36.3. Distance geometry templates ..................................... 696
36.4. Bounds databases ........................................... 698
37. NAB: Molecular mechanics and dynamics 701
37.1. Basic molecular mechanics routines ................................. 701
37.2. NetCDF read/write routines ...................................... 710
37.3. Typical calling sequences ....................................... 713
37.4. Second derivatives and normal modes ................................ 714
37.5. Low-MODe (LMOD) optimization methods ............................. 715
37.6. Using the Hierarchical Charge Partitioning (HCP) method ..................... 727
38. NAB: Sample programs 729
38.1. Duplex Creation Functions ...................................... 729
38.2. nab and Distance Geometry ...................................... 730
38.3. Building Larger Structures ...................................... 738
38.4. Wrapping DNA Around a Path .................................... 744
38.5. Other examples ............................................ 750
39. amberlite: Some AmberTools-Based Utilities 751
39.1. Introduction .............................................. 751
39.2. Coordinates and Parameter-Topology Files .............................. 752
39.3. pytleap: Creating Coordinates and Parameter-
Topology Files ............................................ 754
39.4. Energy Checking Tool: ffgbsa .................................... 757
39.5. Energy Minimizer: minab ....................................... 757
39.6. Molecular Dynamics "Lite": mdnab ................................. 758
39.7. MM(GB)(PB)/SA Analysis Tool: pymdpbsa ............................. 759
39.8. Examples and Test Cases ....................................... 766
Bibliography 775
Index 814
11
Part I.
Introduction and Installation
13
1. Introduction
Amber is the collective name for a suite of programs that allow users to carry out molecular dynamics simula-
tions, particularly on biomolecules. None of the individual programs carries this name, but the various parts work
reasonably well together, and provide a powerful framework for many common calculations.[1,2] The term amber
is sometimes used to refer to the empirical force fields that are implemented here.[3,4] It should be recognized
however, that the code and force field are separate: several other computer packages have implemented the Amber
force fields, and other force fields can be implemented with the Amber programs. Further, the force fields are in
the public domain, whereas the codes are distributed under a license agreement.
The Amber software suite is divided into two parts: AmberTools14, a collection of freely available programs
mostly under the GPL license, and Amber14, which is centered around the pmemd simulation program, and which
continues to be licensed as before, under a more restrictive license. Amber14 (2014) represents a significant change
from the most recent previous version, Amber12, which was released in April, 2012. (We have moved to numbering
releases by the last two digits of the calendar year, so there is no version 13.) Please see http://ambermd.org for
an overview of the most important changes.
AmberTools is a set of programs for biomolecular simulation and analysis. They are designed to work well
with each other, and with the “regular” Amber suite of programs. You can perform many simulation tasks with
AmberTools, and you can do more extensive simulations with the combination of AmberTools and Amber itself.
Most components of AmberTools are released under the GNU General Public License (GPL). A few components
are in the public domain or have other open-source licenses. See the README file for more information.
Everyone should read (or at least skim) this chapter.Even if you are an experienced Amber user, there may be
things you have missed, or new features, that will help. There are also tips and examples on the Amber Web pages
at http://ambermd.org. Although Amber may appear dauntingly complex at first, it has become easier to use over
the past few years, and overall is reasonably straightforward once you understand the basic architecture and option
choices. In particular, we have worked hard on the tutorials to make them accessible to new users. Thousands of
people have learned to use Amber; don’t be easily discouraged.
If you want to learn more about basic biochemical simulation techniques, there are a variety of good books to
consult, ranging from introductory descriptions,[5–7] to standard works on liquid state simulation methods,[8–10]
to multi-author compilations that cover many important aspects of biomolecular modelling.[11–15] Looking for
"paradigm" papers that report simulations similar to ones you may want to undertake is also generally a good idea.
If you are new to this field, Chapter 13 provides a basic introduction to force fields, along with details of how the
parameters are encoded in Amber files.
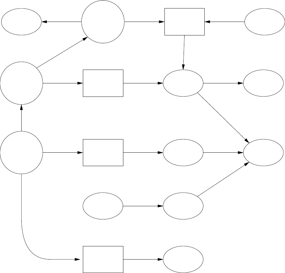
1.1. Information flow in Amber
Understanding where to begin in AmberTools is primarily a problem of managing the flow of information in
this package — see Fig. 1.1. You first need to understand what information is needed by the simulation programs
(sander, pmemd, mdgx or nab). You need to know where it comes from, and how it gets into the form that the
energy programs require. This section is meant to orient the new user and is not a substitute for the individual
program documentation.
Information that all the simulation programs need (see the circles in Fig. 1.1):
1. Cartesian coordinates for each atom in the system. These usually come from X-ray crystallography, NMR
spectroscopy, or model-building. They should generally be in Protein Data Bank (PDB) format. The program
LEaP provides a platform for carrying out many of these modeling tasks, but users may wish to consider
other programs as well. Generally, editing of these files is needed, and the pdb4amber and reduce scripts
can do some of this.
15

1. Introduction
pdb pdb4amber,
reduce
antechamber,
MCPB,
LEaP
force
field
info
prmtop
prmcrd
ParmEd
sander,
nab, mdgx,
pmemd
NMR or
XRAY info
mdin
info
mdout_analyzer,
cpptraj
MMPBSA.py,
amber lite,
FEW
Figure 1.1.: Basic information flow in Amber
2. Topology: Connectivity, atom names, atom types, residue names, and charges. This information comes from
the database, which is found in the $AMBERHOME/dat/leap/lib directory, and is described in Chapter 3. It
contains topology for the standard amino acids as well as N- and C-terminal charged amino acids, DNA,
RNA, and common sugars and lipids. Topology information for other molecules (not found in the standard
database) is kept in user-generated “residue files”, which are generally created using antechamber.
3. Force field: Parameters for all of the bonds, angles, dihedrals, and atom types in the system. The standard
parameters for several force fields are found in the $AMBERHOME/dat/leap/parm directory; see Chapter 3
for more information. These files may be used “as is” for proteins and nucleic acids, or users may prepare
their own files that contain modifications to the standard force fields.
4. Commands: The user specifies the procedural options and state parameters desired. These are specified in
input files (named mdin by default) or in “driver” programs written in the NAB language.
1.1.1. Preparatory programs
LEaP is the primary program to create a new system in Amber, or to modify existing systems. It is available as
the command-line program tleap or the GUI xleap. It combines the functionality of prep,link,edit and parm
from much earlier versions of Amber.
ParmEd provides a simple way to extract information about the parameters defined in a parameter-topology file.
It can also be used to check that the parameter-topology file is valid for complex systems, and it can also
make simple modifications to this file very quickly.
16
1.1. Information flow in Amber
antechamber is the main program to develop force fields for drug-like molecules or modified amino acids using
the general Amber force field (GAFF). These can be used directly in LEaP, or can serve as a starting point
for further parameter development.
MCPB provides a means to build, prototype, and validate MM models of metalloproteins. It uses the bonded plus
electrostatics model to expand existing pairwise additive force fields.
paramfit allows the generation of bonded force field parameters for any molecule by fitting to quantum data.
1.1.2. Simulation programs
sander (now part of AmberTools) is the basic energy minimizer and molecular dynamics program. This program
relaxes the structure by iteratively moving the atoms down the energy gradient until a sufficiently low average
gradient is obtained. The molecular dynamics portion generates configurations of the system by integrating
Newtonian equations of motion. MD will sample more configurational space than minimization, and will
allow the structure to cross over small potential energy barriers. Configurations may be saved at regular
intervals during the simulation for later analysis, and basic free energy calculations using thermodynamic
integration may be performed. More elaborate conformational searching and modeling MD studies can also
be carried out using the sander module. This allows a variety of constraints to be added to the basic force
field, and has been designed especially for the types of calculations involved in NMR, Xray or cryo-EM
structure refinement.
pmemd (part of Amber) is a version of sander that is optimized for speed and for parallel scaling; the pmemd.cuda
variant runs on GPUs. The name stands for “Particle Mesh Ewald Molecular Dynamics,” but this code can
now also carry out generalized Born simulations. The input and output have only a few changes from sander.
mdgx is a molecular dynamics engine with functionality that mimics some of the features in sander and pmemd,
but featuring simple C code and an atom sorting routine that simplifies the flow of information during force
calculations. The principal purpose of mdgx is to provide a tool for redesign of the basic molecular dynamics
algorithms and models, and for supporting new models for parameter development.
NAB (Nucleic Acid Builder) is a language that can be used to write programs to perform non-periodic simulations,
most often using an implicit solvent force field.
1.1.3. Analysis programs
mdout_analyzer.py is a simple-to-run Python script that will provide summaries of information that is in the
output files from sander or pmemd.
cpptraj is the main trajectory analysis utility (written in C++) for carrying out superpositions, extractions of
coordinates, calculation of bond/angle/dihedral values, atomic positional fluctuations, correlation functions,
analysis of hydrogen bonds, etc. It has many new features in version 14: see Chap. 28 for more information.
pbsa is an analysis program for solvent-mediated energetics of biomolecules. It can be used to perform both
electrostatic and non-electrostatic continuum solvation calculations with input coordinate files from molec-
ular dynamics simulations and other sources (in the pqr format). It also supports visualization of solvent-
mediated electrostatic potentials in various visualization programs.
MMPBSA.py is a python script that automates energy analysis of snapshots from a molecular dynamics simulation
using ideas generated from continuum solvent models. (There is also an older perl script, called mm_pbsa.pl,
that has similar functionality.)
FEW (Free energy workflow) automates free energy calculations of protein-ligand binding using TI, MM/PBSA-
type, or LIE calculations.
17
1. Introduction
amberlite is small set of NAB programs and python scripts that implement a limited set of MD simulations and
mm-pbsa (or mm-gbsa) analysis, aimed primarily at the analysis of protein-ligand interactions. These tools
can be useful in their own right, or as a good introduction to Amber and a starting point for more complex
calculations.
XtalAnalyze a set of utilities for analyzing crystal simulation trajectories. See Chapter 32 for more information.
1.2. List of programs
Amber is comprised of a large number of programs designed to aid you in your computational studies of chemical
systems, and the number of released tools grows regularly. This section provides a list of the main programs
included with AmberTools. Each program included in the suite is listed here with a very brief description of its
main function along with which chapter in the manual a more thorough description can be found. Note: there are
some additional programs that are part of the MTK++ suite that are not listed here; see that documentation for
more information.
AddToBox A program for adding solvent molecules to a crystal cell. See Subsection 15.3.
ChBox A program for changing the box dimensions of an Amber restart file. See Subsection 15.4.
CheckMD A program for automated checking of an MD simulation. Run the program without options for usage
statement.
MCPB A semi-automated tool for metalloprotein parametrization. See Section 14.7.
MMPBSA.py A program to post-process trajectories to calculate binding free energies according to the MM/PBSA
approximation. See Chapter 29.
MTKppConstants Lists the constants used in MTK++. Run the program without arguments to get the full list.
PropPDB A program for propagating a PDB structure. See Subsection 15.2
UnitCell A program for recreating a crystallographic unit cell from a PDB structure. See Subsection 15.1
acdoctor A tool to diagnose what may be causing antechamber to fail. See Subsection 14.5.1
am1bcc A program called by antechamber to calculate AM1-BCC charges during ligand parametrization. It
can be used as a standalone program, with the options printed when you enter the program name with no
arguments. See Section 14.4
ambpdb A program to convert an Amber system (prmtop and inpcrd/restart) into a PDB, MOL2, or PQR file. See
Section 27.1
ante-MMPBSA.py A program to create the necessary, self-consistent prmtop files for MMPBSA with a single
starting topology file. See Subsection 29.2.2
antechamber A program for parametrizing ligands and other small molecules. See Chapter 14
atomtype A program called by antechamber to judge the atom types in an input structure. It can be used as a
standalone program. If you provide no arguments, it prints out the usage statement. See Section 14.4
bondtype A program called by antechamber to judge what types of bonds exist in a given input structure. It can
be used as a standalone program. If you provide no arguments, it prints out the usage statement. See Section
14.4
chamber A program to convert a CHARMM psf file to an Amber topology (prmtop) file. See Section 3.11
charmmlipid2amber.x A script that converts a PDB created with the CHARMM-GUI lipid builder into one recog-
nized by Amber and AmberTools programs. If you provide no arguments, it prints out the usage statement.
18
1.2. List of programs
cpinutil.py A program to create a constant pH input (CPin) file from a PDB file. If you provide no arguments,
you get the usage statement.
cpptraj A versatile program for trajectory post-processing and data analysis. See Chapter 28
cphstats A program that computes protonation state statistics from constant pH simulations. See Section 22.7
elsize A program that estimates the effective electrostatic size of a given input structure. See Section 4.2.1
espgen A program called by antechamber to generate ESP files during ligand or small molecule parametrization.
If you provide no arguments, it prints out the usage statement.
hcp_getpdb A program that adds necessary sections to a topology (prmtop) file so it can be used for the HCP GB
approximation. See Section 37.6
matextract Part of the symmetry definition programs, used to print matrices dumped to stdin to stdout. See
Subsection 35.5.5
matgen Generate symmetry-transformation matrices. Part of the symmetry definition programs. See Subsection
35.5.1
matmerge Merges symmetry-transformation matrices into one matrix transformation matrix. Part of the symme-
try definition programs. See Subsection 35.5.3
matmul Multiplies matrices. Part of the symmetry definition programs. See Subsection 35.5.4
mdgx An explicit solvent, PME molecular dynamics engine. See Chapter 26
mdnab Implicit solvent MD program written in NAB as part of Amberlite (Chapter 39)
mdout_analyzer.py A script that allows you to rapidly analyze and graph data from sander/pmemd output files.
See Section 27
minab Implicit solvent minimization program written in NAB as part of Amberlite (Chapter 39)
mmpbsa_py_energy A NAB program written to calculate energies for MMPBSA using either GB or PB solvent
models. It can be used as a standalone program that mimics the imin=5 functionality of sander, but it is
called automatically inside MMPBSA. See MMPBSA mdin files as example input files for this program.
Providing the –help or -h flags prints the usage message.
mmpbsa_py_nabnmode A NAB program written to calculate normal mode entropic contributions for MMPBSA.
This can really only be used by MMPBSA.
molsurf A program that calculates a molecular surface area based on input PQR files and a probe radius. Providing
no arguments prints the usage message.
nab Stands for Nucleic Acid Builder. NAB is really a compiler that provides a convenient molecular programming
language loosely based on C. See Chapter 33 and other related chapters.
new_crd_to_dyn Sets up a Tinker-style .DYN file from a coordinate file. This is part of the Tinker-to-Amber
conversion program set.
new_to_old_crd Converts new Tinker-style coordinate files to old Amber-style coordinates. Part of the Tinker-
to-Amber conversion program set.
paramfit Improves force field parameters by fitting to quantum data. See Chapter 10
parmcal Calculates parameters for given angles and bonds interactively. See Subsection 14.5.2
parmchk2 A program that analyzes an input force field library file (mol2 or amber prep), and extracts relevant
parameters into an frcmod file. See Subsection 14.1.2
19
1. Introduction
parmed.py A program for querying and manipulating prmtop files. See Section 13.2
pbsa A finite difference Poisson-Boltzmann solver. See Chapter 5
pdb4amber A program to prepares PDB files for use in leap. See Section 11.4
pmemd A performance- and parallel-optimized dynamics engine implementing a subset of sander’s functionality
pmemd.cuda A GPU-accelerated version of pmemd
prepgen A program used as part of antechamber that generates an Amber prep file. Use no arguments to print the
usage message. See Section 14.4
pymdpbsa A full analysis tool for MD(GB,PB)/SA computations. See Section 39.7
pytleap A user-friendly wrapper for simple leap and antechamber runs to prepare topology and coordinate files
for Amber. See Section 39.3
reduce A program for adding or removing hydrogen atoms to a PDB. See Section 11.5
residuegen A program to automate the generation of an Amber residue template (i.e. Amber prep file). See
Subsection 14.5.3
resp A program typically called by antechamber and R.E.D tools to perform a Restrained ElectroStatic Potential
calculation for calculating partial atomic charges. Use no arguments to get the usage message
respgen A program called by antechamber to generate RESP input files. See Section 14.4
rism1d A 1D-RISM solver. See Section 6.4
rism3d.snglpnt A 3D-RISM solver for single point calculations. See Section 6.6
sander The main engine used for running molecular simulations with Amber. Originally an acronym standing for
Simulated Annealing with Nmr-Derived Energy Restraints.
softcore_setup.py A program to aid in softcore TI setup for sander. Use no arguments to get a usage message.
sqm Semiempirical (or Stand-alone) Quantum Mechanics solver. See Chapter 8
tinker_to_amber Converts a Tinker analout and parameter file into an Amber-compatible topology file.
tleap A script that calls teLeap with specific setup command-line arguments. See Chapter 12
transform Applies matrix transformations to a structure. Part of the symmetry definition programs. See Subsec-
tion 35.5.6
tss_init A program to do some matrix stuff. See Section 35.5
tss_main A program to do some matrix stuff. See Section 35.5
tss_next A program to do some matrix stuff. See Section 35.5
ucpp A program to do some source code preprocessing. You should never actually use this program—it is used
by nab.
xaLeap A graphical program for creating Amber topology files. This program is called through the xleap script,
so you should never actually invoke this program directly.
xleap A script that calls xaLeap with specific setup command-line arguments. See Chapter 12
xparmed.py A graphical front-end to ParmEd functionality (i.e., parameter file editing and querying). See Section
13.2
20
2. Installation
This chapter gives an overview of how to install and test your distribution. The Amber web page (http://ambermd.org)
has additional instructions and hints for various common operating systems. Look for the “Running Amber on ....”
links. Once you have downloaded the distribution files, do the following:
1. First, extract the files in some location (we use /home/myname as an example here):
cd /home/myname
tar xvfj AmberTools14.tar.bz2 # (Note: extracts in an
# “amber14” directory)
tar xvfj Amber14.tar.bz2 # (only if you have licensed Amber 14!)
2. Next, set your AMBERHOME environment variable:
export AMBERHOME=/home/myname/amber14 # (for bash, zsh, ksh, etc.)
setenv AMBERHOME /home/myname/amber14 # (for csh, tcsh)
Be sure to change the “/home/myname” above to whatever directory is appropriate for your machine, and be
sure that you have write permissions in the directory tree you choose.
3. Next, you may need to install some compilers and other libraries. Details depend on what OS you have, and
what is already installed. Package managers can greatly simplify this task. For example for Debian-based
Linux systems (such as Ubuntu), the following command should get you what you need:
sudo apt-get install csh flex gfortran g++ xorg-dev \
zlib1g-dev libbz2-dev patch python-tk python-matplotlib
See http://ambermd.org/ubuntu.html for more information, and for requirements for other variants of Linux,
and for Macintosh OSX.
4. Now, in the AMBERHOME directory, run the configure script:
cd $AMBERHOME
./configure --help
will show you the options. Choose the compiler and flags you want; for most systems, the following should
work:
./configure gnu
Don’t choose any parallel options at this point. (You may need to edit the resulting config.h file to change any
variables that don’t match your compilers and OS. The comments in the config.h file should help.) This step
will also check to see if there are any updates and bug fixes that have not been applied to your installation,
and will apply them (unless you ask it not to). If the configure step finds missing libraries, go back to Step 3.
5. The configure step will create two resource files in the AMBERHOME directory: amber.sh and amber.csh.
These sourceable scripts will set up your shell environment correctly for Amber:
source /home/myname/amber14/amber.sh # for bash, zsh, ksh, etc.
source /home/myname/amber14/amber.csh # for csh, tcsh
Of course, /home/myname/amber14 should be adjusted for your AMBERHOME. Adding these commands
to your login resource file (e.g., ~/.bashrc, ~/.cshrc, ~/.zshrc, etc.) will set up your environment every time
you start a new shell.
21
2. Installation
6. Then,
make install
will compile the codes. If this step fails, try to read the error messages carefully to identify the problem.
7. This can be followed by
make test
which will run tests and will report successes or failures.
Where "possible FAILURE" messages are found, go to the indicated directory under $AMBERHOME/Am-
berTools/test or $AMBERHOME/test, and look at the "*.dif" files. Differences should involve round-off in
the final digit printed, or occasional messages that differ from machine to machine (see below for details).
As with compilation, if you have trouble with individual tests, you may wish to comment out certain lines in
the Makefiles (i.e., $AMBERHOME/AmberTools/test/Makefile or $AMBERHOME/test/Makefile), and/or
go directly to the test subdirectories to examine the inputs and outputs in detail. For convenience, all of the
failure messages and differences are collected in the $AMBERHOME/logs directory; you can quickly see
from these if there is anything more than round-off errors.
The nature of molecular dynamics, is such that the course of the calculation is very dependent on the order
of arithmetical operations and the machine arithmetic implementation, i.e., the method used for round-off.
Because each step of the calculation depends on the results of the previous step, the slightest difference
will eventually lead to a divergence in trajectories. As an initially identical dynamics run progresses on
two different machines, the trajectories will eventually become completely uncorrelated. Neither of them
are "wrong;" they are just exploring different regions of phase space. Hence, states at the end of long
simulations are not very useful for verifying correctness. Averages are meaningful, provided that normal
statistical fluctuations are taken into account. "Different machines" in this context means any difference in
floating point hardware, word size, or rounding modes, as well as any differences in compilers or libraries.
Differences in the order of arithmetic operations will affect round-off behavior; (a + b) + c is not necessarily
the same as a + (b + c). Different optimization levels will affect operation order, and may therefore affect
the course of the calculations.
All initial values reported as integers should be identical. The energies and temperatures on the first cycle
should be identical. The RMS and MAX gradients reported in sander are often more precision sensitive
than the energies, and may vary by 1 in the last figure on some machines. In minimization and dynamics
calculations, it is not unusual to see small divergences in behavior after as little as 100-200 cycles.
Note: If you have untarred the Amber14.tar.bz2 file, then steps 1-6 will install and test both AmberTools
and Amber; otherwise it will just install and test AmberTools. If you license Amber later, just come back and
repeat steps 1-6 again.
8. If you are new to Amber, you should look at the tutorials and this manual and become familiar with how
things work. If and when you wish to compile parallel (MPI) versions of Amber, do this:
cd $AMBERHOME
./configure -mpi <....other options....> <compiler-choice>
make install
# Note the value below may depend on your MPI implementation
export DO_PARALLEL=”mpirun -np 2”
make test
# Note, some tests, like the replica exchange tests, require more
# than 2 threads, so we suggest that you test with either 4 or 8
# threads as well
export DO_PARALLEL=”mpirun -np 8”
make test
22
2.1. Applying Updates
This assumes that you have installed MPI and that mpicc and mpif90 are in your PATH. Some MPI
installations are tuned to particular hardware (such as infiniband), and you should use those versions if you
have such hardware. Most people can use standard versions of either mpich or openmpi. To install one of
these, use one of the simple scripts that we have prepared:
cd $AMBERHOME/AmberTools/src
./configure_mpich <compiler-choice> OR
./configure_openmpi <compiler-choice>
Follow the instructions of these scripts, then return to beginning of step 7.
Amber 14 brings with it an additional flag (-intelmpi) to enable use of the Intel® MPI Library. Use this
instead of -mpi in step 8 and ensure that you have installed the Intel® MPI Library, and that mpiicc and
mpiifort are in your PATH.
Some notes about the parallel programs in AmberTools:
1. The MPI version of nab is called mpinab, by analogy with mpicc or mpif90:mpinab is a compiler that
will produce an MPI-enabled executable from source code written in the NAB language. Before compiling
mpinab, be sure that you are familiar with the serial version of nab and that you really need a parallel version.
If you have shared-memory nodes, the OpenMP version might be a better alternative. See Section 33.4 for
more information. (Note that mpinab is primarily designed to write driver routines that call MPI versions of
the energy functions; it is not set up to write your own, novel, parallel codes.)
a) The MPI version of MMPBSA.py is called MMPBSA.py.MPI, and requires the package mpi4py to run.
If it is not present in your Python standard library already, it will be built along with MMPBSA.py.MPI
and placed in the $AMBERHOME/bin directory. If you have problems with MMPBSA.py.MPI, see if
you get the same problems with the serial version, MMPBSA.py, to see if it is an issue with the parallel
version or MMPBSA.py in general. Because we do not make or maintain the mpi4py source code,
MMPBSA.py.MPI will not be available on platforms on which mpi4py cannot be built.
2. NAB and Cpptraj can also be compiled using OpenMP:
./configure -openmp <....other options....> <compiler-choice>
make openmp
Note that the OpenMP version of NAB has the same name as the single-threaded version. See section 33.4
for information on running the OpenMP version of NAB and section 28.2.6 for information on running the
OpenMP version of Cpptraj.
3. See Section 18.6.5 for information about installing the GPU-accelerated versions of pmemd.
2.1. Applying Updates
For most users, simply running the configure script and responding ‘yes’ to the update request will automatically
download and apply all patches. This section describes the main updating script responsible for managing updates.
We suggest that you at least skim the first section on the basic usage—particularly the note about the --version
flag for if/when you ask for help on the mailing list.
2.1.1. Basic Usage
Updates to AmberTools and Amber are downloaded, applied, and managed automatically using the Python script
update_amber (it was patch_amber.py for AmberTools 12). This script requires Python 2. The configure script in
$AMBERHOME automatically uses update_amber to search for available updates to AmberTools 13 (and Amber 12
when present) unless explicitly disabled with the --no-updates flag (it must be the first option to configure). If
any are available, you will be asked if you want them downloaded and applied. This script resides in $AMBERHOME
and can be executed from anywhere (it will verify that AMBERHOME is set properly), but if moved from AMBERHOME,
it will not work. There are 3 main operating modes, or actions, that you can perform with them:
23
2. Installation
•$AMBERHOME/update_amber --check-updates : This option will query the Amber website for any up-
dates that have been posted that have not been applied to your installation. If you think you have found a
bug, this is helpful to try first before emailing with problems since your bug may have already been fixed.
•$AMBERHOME/update_amber --version : This option will return which patches have been applied to the
current tree so far. When emailing the Amber list with problems, it is important to have the output of this
command, since that lets us know exactly which updates have been applied.
•$AMBERHOME/update_amber --update : This option will go to the Amber website, download all updates
that have not been applied to your installation, and apply them to the source code. Note that you will
have to recompile any affected code for the changes to take effect!
2.1.2. Advanced options
update_amber has additional functionality as well that allows more intimate control over the patching process.
For a full list of options, use the --full-help command-line option. These are considered advanced options.
•$AMBERHOME/update_amber --download-patches : Only download patches, do not apply them
•$AMBERHOME/update_amber --apply-patch=<PATCH> : This will apply a third-party patch
•$AMBERHOME/update_amber --reverse-patch=<PATCH> : Reverses a third-party patch file that was ap-
plied via the --apply-patch option (see above).
•$AMBERHOME/update_amber --show-applied-patches : Shows details about each patch that has been
applied (including third-party patches)
•$AMBERHOME/update_amber --show-unapplied-patches : Shows details about each patch that has been
downloaded but not yet applied.
•$AMBERHOME/update_amber --remove-unapplied : Deletes all patches that have been downloaded but
not applied. This will force update_amber to download a fresh copy of that patch.
•$AMBERHOME/update_amber --update-to AmberTools/#,Amber/# : This command will apply all patches
necessary to bring AmberTools up to a specific version and Amber up to a specific version. Note, no up-
dates will ever be reversed using this command. You may specify only an AmberTools version or an Amber
version (or both, comma-delimited). No patches are applied to an omitted branch.
•$AMBERHOME/update_amber --revert-to AmberTools/#,Amber/# : This command does the same as
--update-to described above, except it will only reverse patches, never apply them.
update_amber will also provide varying amounts of information about each patch based on the verbosity setting.
The verbose level can be set with the --verbose flag and can be any integer between 0 and 4, inclusive. The
default verbosity level changes based on how many updates must be described. If only a small number of updates
need be described, all details are printed out. The more updates that must be described, the less information is
printed. If you manually set a value on the command-line, it will override the default. These values are described
below (each level prints all information from the levels before plus additional information):
• 0: Print out only the name of the update file (no other information)
• 1: Also prints out the name of the program(s) that are affected
• 2: Also prints out the description of the update written by the author of that update.
• 3: Also prints the name of the person that authored the patch and the date it was created.
• 4: Also prints out the name of every file that is modified by the patch.
24
2.2. Contacting the developers
2.1.3. Internet Connection Settings
If update_amber ever needs to connect to the internet, it will check to see if http://ambermd.org can be contacted
within 10 seconds. If not, it will report an error and quit. If your connection speed is particularly slow, you can
lengthen this timeout via the --timeout command-line flag (where the time is given in seconds).
Proxies By default, update_amber will attempt to contact the internet through the same mechanism as
programs like wget and curl. For users that connect to the internet through a proxy server, you can either set the
http_proxy environment variable yourself (in which case you can ignore the rest of the advice about proxies
here), or you can configure update_amber to connect to the internet through a proxy. To set up update_amber to
connect to the internet through a proxy, use the following command:
$AMBERHOME/update_amber --proxy=<PROXY_ADDRESS>
You can often find your proxy address from your IT department or the preferences in your favorite (configured)
web browser that you use to surf the web. If your proxy is authenticated, you will also need to set up a user:
$AMBERHOME/update_amber --proxy-user=<USERNAME>
If you have set up a user name to connect to your proxy, then you will be asked for your proxy password the first
time update_amber attempts to utilize an online resource. (For security, your password is never stored, and will
need to be retyped every time update_amber runs).
You can clear all proxy information using the --delete-proxy command-line flag—this is really only necessary
if you no longer need to connect through any proxy, since each time you configure a particular proxy user or server
it overwrites whatever was set before.
Mirrors If you would like to download Amber patches from another website or even a folder on a local filesystem,
you can use the --amber-updates and --ambertools-updates command-line flags to specify a particular web
address (must start with http://) or a local folder (use an absolute path). You can use the --reset-remotes
command-line flag to erase these settings and return to the default Amber locations on http://ambermd.org.
If you set up online mirrors and never plan on connecting directly to http://ambermd.org, you can change
the web address that update_amber attempts to connect to when it verifies an internet connection using the
--internet-check command-line option.
2.2. Contacting the developers
Please send suggestions and questions to amber@ambermd.org. You need to be subscribed to post there; to
subscribe, go to http://lists.ambermd.org/mailman/listinfo/amber. You can unsubscribe from this mailing list on
the same site.
25
Part II.
Amber force fields
27

3. Molecular mechanics force fields
Amber is designed to work with several simple types of force fields, although it is most commonly used with
parametrizations developed by Peter Kollman and his co-workers and “descendents”. The traditional parametriza-
tion uses fixed partial charges, centered on atoms. The current recommended force field for proteins and nucleic
acids is ff14SB, although ff03.r1 or ff14ipq (both for proteins) are also commonly used; descriptions are given be-
low. Less commonly used modifications add polarizable dipoles to atoms, so that the charge description depends
upon the environment; such potentials are called “polarizable” or “non-additive”. Examples are ff02 and ff02EP:
the former has atom-based charges (as in the traditional parametrization), and the latter adds in off-center charges
(or “extra points”), primarily to help describe better the angular dependence of hydrogen bonds. Major updates to
these are under development, but were not ready for the Amber14 release in April, 2014.
An alternative is to use force fields originally developed for the CHARMM or tinker (AMOEBA) codes; these
require a different setup procedure, which is described in Sections 3.11 (for CHARMM) and Chapter 16 and
Section 18.8 (for AMOEBA). Force fields for carbohydrates and lipids are also discussed below. Chapter 13
provides a basic introduction to force fields, along with details of how the parameters are encoded in Amber files.
3.1. Specifying which force field you want in LEaP
Various combinations of the above files make sense, and we have moved to an “ff” (force field) nomenclature
to identify these; examples would then be ff94 (which was the default in Amber 5 and 6), ff99, etc. The most
straightforward way to specify which force field you want is to use one of the leaprc files in
$AMBERHOME/dat/leap/cmd. The syntax is
xleap -s -f <filename>
Here, the -s flag tells LEaP to ignore any leaprc file it might find, and the -f flag tells it to start with commands
for some other file. Here are the combinations we support and recommend:
File name Original Charge Scheme Parameters
leaprc.ff14SB Cornell et al., 1994 see Sec. 3.2
leaprc.ff14ipq Cerutti et al., 2013 see Sec. 3.3
leaprc.ff03.r1 Duan et al. 2003 parm99.dat+frcmod.ff03
leaprc.ff03ua Yang et al. 2003 parm99.dat+frcmod.ff03+frcmod.ff03ua
leaprc.ff02 reduced charges parm99.dat+frcmod.ff02pol.r1
leaprc.gaff none gaff.dat
leaprc.GLYCAM_06j-1 Woods et al. GLYCAM_06j.dat
leaprc.GLYCAM_06EPb " GLYCAM_06EPb.dat
leaprc.lipid11 Skjevik et al., 2012 lipid11.dat [16]
leaprc.lipid14 " lipid14.dat [17]
Notes: The second column indicates the origin of the charge scheme used in the force field.
1. There is no default leaprc file. If you make a link from one of the files above to a file named leaprc, then that
will become the default. For example:
cd $AMBERHOME/dat/leap/cmd
ln -s leaprc.ff14SB leaprc
will provide a good default for many users; after this you could just invoke tleap or xleap without any
arguments, and it would automatically load the ff14SB force field. A file named leaprc in the working
directory overrides any other such files that might be present in the search path.
29
3. Molecular mechanics force fields
2. Most of the choices in the above table are for additive (non-polarizable) simulations; you should use saveAmberParm
to save the prmtop file.
3. The ff02 entries in the above table are for non-additive (polarizable) force fields. Use saveAmberParmPol to
save the prmtop file. Note that POL3 is a polarizable water model, so you need to use saveAmberParmPol
for it as well.
4. There is also a leaprc.gaff file, which sets you up for the GAFF (“general” Amber) force field. This is
primarily for use with Antechamber (see Chapter 14), and does not load any topology files.
5. There are some leaprc files for older force fields in the $AMBERHOME/dat/leap/cmd/oldff directory. We no
longer recommend these combinations, but we recognize that there may be reasons to use them, especially
for comparisons to older simulations. See Section 3.12.
6. Nucleic acid residues in ff14SB use the new (version 3) PDB nomenclature: “DC” is used for deoxy-cytosine,
and “C” for cytosine in RNA, etc. Earlier force fields (which are not recommended!) use “RC” for the RNA
version. If you want a single, nucleoside, use “CN”, etc. For a single nucleotide, use the following command
in LEaP:
cnuc = sequence { OHE C3 }
and analogs for other bases. Note that this will construct a protonated 5’ phosphate group, which may not
be what you want.
7. The General Amber Force Field (gaff) is discussed in Chap. 14.
3.2. The ff14SB force field
leaprc.ff14SB This will load the files listed below
parm10.dat ff10 force field parameters
frcmod.ff14SB ff14SB modifications to parm10.dat
amino12.lib topologies and charges for amino acids
amino12nt.lib same, for N-terminal amino acids
amino12ct.lib same, for C-terminal amino acids
nucleic12.lib topologies and charges for nucleic acids
leaprc.phosaa10 This will load parameters for phosphorylated amino acids
leaprc.modrna08 This will load parameters for modified RNA nucleotides
leaprc.ff14SBonlysc This is the same as leaprc.ff14SB, but will additionally load:
frcmod.ff99SB14 ff99SB backbone parameters with ff14SB atom types
3.2.1. Proteins
ff14SB is a continuing evolution of the ff99SB force field, primarily developed in the Simmerling group at Stony
Brook University.[18] Several groups had noticed that the older ff94 and ff99 parameter sets did not provide a good
energy balance between helical and extended regions of peptide and protein backbones. Another problem is that
many of the ff94 variants had incorrect treatment of glycine backbone parameters. ff99SB improved this behavior,
presenting a careful reparametrization of the backbone torsion terms in ff99 and achieves much better balance of
four basic secondary structure elements (PP II, β,αL, and αR). A detailed explanation of the parametrization as
well as an extensive comparison with many other variants of fixed-charge Amber force fields is given in the refer-
ence above. Briefly, dihedral term parameters were obtained through fitting the energies of multiple conformations
of glycine and alanine tetrapeptides to high-level ab initio QM calculations. We have shown that this force field
provides much improved proportions of helical versus extended structures. In addition, it corrected the glycine
sampling and should also perform well for β-turn structures, two things which were especially problematic with
most previous Amber force field variants.
30
3.2. The ff14SB force field
Since 2006, a number of limitations of the ff99SB parameter sets became evident, and a new round of parameter
optimization was undertaken. The changes mainly involve torsional parameters for the backbone and side chains.
For backbones, experimental scalar coupling data for small solvated peptides became available [19] against which
ff99SB was compared.[20] As ff99SB backbone dihedrals were fit based on gas-phase quantum data, we felt that
slight empirical adjustments were worth pursuing. This was done to improve agreement with scalar coupling data,
and we observed that this also improved stabilities of helical peptides.
The side chain dihedral parameters of ff99SB were the same as those of ff99. Residues such as isoleucine,
leucine, aspartate, and asparagine (cf.ff99SB-ILDN) sample conformations different from those indicated by ex-
periments. We therefore calibrated the dihedral corrections of the amino acid side chains against ab initio quantum
mechanical energy surfaces. As ff14SB is an additive model, a key objective was to minimize dependence of
ff14SB side chain parameters on particular backbone conformations. Therefore, side chain corrections were raised
against potential energy surfaces including multiple backbone conformations. Moreover, the method of generat-
ing fitting data was adjusted to minimize backbone-dependence, including restraint of all backbone dihedrals and
re-optimization of bonds and angles with each model. Whereas ff12SB also included restraints on all side chain di-
hedrals, restraint of one dihedral per side chain bond in ff14SB was found to further reduce backbone-dependence.
Together with new corrections for the backbone and the four amino acids addressed in ff99SB-ILDN, this work
offers updated side chain dihedral corrections for lysine, arginine, glutamate, glutamine, methionine, serine, thre-
onine, valine, tryptophan, cysteine, phenylalanine, tyrosine, and histidine. ff14SB enhances reproduction of exper-
imentally indicated geometries over ff99SB.
ff14SBonlysc, where sc stands for side chains, includes ff99SB backbone parameters with updated side chain
parameters that were derived from ab initio quantum mechanics calculations (as were the ff99SB backbone cor-
rections). This model is slightly different from ff14SB, which includes the ff14SBonlysc parameters as well as a
small empirical correction to backbone parameters that was designed to improve agreement between NMR data
and simulations in TIP3P water for short peptides. We are currently exploring whether this empirical correction
also improves simulations in other water models, such as the GBneck2 (igb=8) model. [21] Currently, it appears
that igb=8 may work best with the fully quantum mechanics-based dihedral parameters included in ff14SBonlysc.
Simulations performed in explicit water most likely benefit from the empirical corrections included in ff14SB.
3.2.2. Nucleic acids
As with proteins, many features of the current force fields, including partial atomic charges, Lennard-Jones
parameters, and most bond and angle terms, date back to force fields developed in the 1990’s, and overviews of
this work are available.[22,23] The next breakthrough’s in the Amber nucleic acid force field development came
from observations from relatively longer simulations on the 50-100 ns time scale in the early 2000’s.[24,25] These
simulations found systematic over-population of γ=trans backbone geometries in nucleic acids. High level QM
calculations were performed on models of sugars and phosphates, specifically a sugar-phosphate model[26] and
a sugar-phosphate-sugar model,[27] which ultimately led to the ff99-bsc0 parameterization.[26] For simulation
of canonical DNA and RNA structures, the ff99-bsc0 parameterization has proven rather successful. For non-
canonical structures, particular those with loops or bulges, or χflips, some anomalies have been noted. With
RNA, incorrect loop geometries, backbone sub-state populations and sugar pucker populations were observed in
longer simulations. In addition to not being able to always maintain south puckers where found in RNA structures,
multiple groups noticed a tendency for the RNA backbone to shift, putting χinto the high-anti region which leads
to an opening of the duplex structure into a ladder-like configuration. Again, QM methods at various levels were
employed to improve the χdistribution using relevant model systems. The most tested χmodifications are the
“OL” modifications used in ff14SB.[28,29] An alternative available with Amber is the Yildirim χmodifications
(and also related modifications called TOR which alter ε/ζas well)[30–32], and a systematic assessment and
validation of these newer χmodifications is underway on a large series of RNA tetraloop structures. Note that
small changes to a particular dihedral may lead to alteration in properties of related dihedrals, and may have
unintended consequences. For example, the ff99-bsc0 modifications tend to lock RNA sugar puckers mainly in the
north, even with nucleotides in particular sequence contexts that prefer southern conformations. Moreover, the χ
modifications tend to further destabilize γ= trans. This suggests that to reliably improve the nucleic acid dihedrals,
a more systematic approach across many dihedrals with simultaneous fitting may be more appropriate. Moreover,
we no longer fully support the idea that parameters are transferable between DNA and RNA, or between purines
31

3. Molecular mechanics force fields
Name Modification Notes
ff94 Original force field file Obsolete
ff98 Modified charge set Obsolete
ff99 Updated charge set Current
bsc0 Barcelona α/γbackbone modification [26]
χOL3 χmodification tuned for RNA [28,29]
ε/ζOL1 ε/ζmodification for DNA improvement for DNA, no effects for RNA [34]
χOL4 χmodification tuned for DNA [33]
Table 3.1.: Force field name and modifications for simulating nucleic acids.
and pyrimidines. For example, the ff99-OL modifications (with or without ff99-bsc0) improve the modeling of
RNA, but lead to issues with DNA, most notably with quadruplex structures. Therefore recent work has focused
on separate χmodifications for DNA.[33]
A new set of parameters for the ε/ζdihedral torsion for DNA have been developed using QM methods that
include the solvation effects implicitly.[34] This set of parameters called ε/ζOL1 (not to be confused with the
χmodification) have been tested with several double-stranded DNA systems including the Dickerson-Drew do-
decamer, A-tracts, CG-rich duplexes, Z-DNA and G-quadruplexes. The modification increases the population of
BII substate by stabilizing the ε/ζ= g-/t state. Additionally, higher values for the helical twist are present in the
tested systems. In combination with the χmodification for DNA (χOL4, [33]), the force field generates struc-
tures that suggest a better agreement with NMR data. The reader should pay careful attention to the use of the χ
modifications, since the naming convention of the authors is the same for RNA and DNA. Details of the different
modifications available for DNA are presented in Table 3.1.
Considering the multiple small modifications available, it is very important to do extensive testing and bench-
marking of any simulations done with these variations. This is ongoing work from different research groups
involved in the simulation of nucleic acids. For DNA, we recommend the combination of ff99 +bsc0 +ε/ζOL1
+χOL4. (The appropriate leaprc file will be made available soon as an update to AmberTools.) For RNA, we
recommend using ff14SB, which is identical to ff12 and is a combination of ff99 +bsc0 +χOL3.
3.2.3. Modified amino acids and nucleotides
Parameters for phosphorylated amino acids [35] can be obtained by typing “source leaprc.phophaa10” in
your leap.in file. Many post-translational modifications are also available at http://selene.princeton.edu/FFPTM/.
Parameters for common modifications for RNA nucleotides [36]can by loaded with “source leaprc.modrna08”.
Pointers to other sets of Amber-compatible force fields may be found at the Amber web site, http://ambermd.org/.
3.3. The ff14ipq protein force field
leaprc.ff1ripq This will load the files listed below
parm14ipq.dat force field parameters
amino14ipq.lib topologies and charges for amino acids
aminont14ipq.lib same, for N-terminal amino acids
aminoct14ipq.lib same, for C-terminal amino acids
The ff14ipq force field features a complete rederivation of torsion potentials and nonbonded parameters within
the family of Amber fixed-charge force fields. Charges were derived by an extended IPolQ method, [37] which
we deemed necessary in order to simultaneously fit torsion parameters. In the extended methodology, two sets of
charges are fitted: one for the systems in vacuum, the other for systems in the condensed phase. In this manner, the
extended IPolQ methodology derives the condensed phase charges by fitting to the average electrostatic potential
of polarized and unpolarized molecules as it originally did, but also derives a set of charges specifically to fit
the data for unpolarized molecules. The two sets of charges are derived in the same linear least squares fitting
32
3.4. The Duan et al. (2003) force field
problem, with restraint equations weakly coupling the corresponding charges together. This creates charge sets
for each phase related by a minimal perturbation, which can be assumed to be the effective, average polarization
of the molecules when they enter solution. The charge set appropriate to the vacuum phase is then used when
fitting torsion potentials to vacuum phase quantum mechanical energies, and the torsion potentials are transferred
directly for use with the condensed-phase charge set in actual simulations, following the earlier assumption that the
effective polarization of the molecules, and thereby any energetic consequences of entering the condensed phase,
are captured in the charge perturbation.
As a consequence of the fitting protocol, it is most appropriate to use the TIP4P-Ew water model with ff14ipq.
However, because nearly all fixed-charge water models will produce similar reaction field potentials within solvated
biomolecules, it is likely that other common water models that are compatible with long-ranged electrostatics can
also be paired with the protein model.
In the original IPolQ derivation, some changes to the polar atom Lennard-Jones σradii in ff94 were introduced
to improve agreement with experimental hydration free energies of amino acid side chain analogs; these are carried
over to ff14ipq. However, these larger radii frustrated fitting of internal energies, and were therefore applied only
between the polar atoms and surrounding water.
Like the charge set, the torsion potentials were also derived by an iterative scheme in which the model learns
from its performance in previous generations, building to a well converged parameter set. Preliminary testing on
α-helical, β-sheet, and small globular proteins indicates that the force field yields stable simulations of major
protein structures and even captures the instability of some small peptide systems observed experimentally. The
torsion potentials were derived by fitting against over 60,000 gas-phase energies of dipeptides, tripeptides, and
tetrapeptides calculated at the MP2/cc-pVTZ level. The original fitting set consisted of 28,000 structures, but
artifacts in subsequent simulations led us to examine the effect of reintroducing structures optimized by the fitted
force field back into its own fitting data. Most of the original 28,000 structures, which were obtained usng restraints
to sample particular torsion angles, were energy minimized without restraints by the first generation of the ff14ipq
force field. Energies of the resulting structures were calculated at the MP2/cc-pVTZ level and compared to the
ff14ipq predictions; this revealed many minor inconsistencies and some gaping discrepancies created by holes
in the parameter sampling. When ff14ipq predictions were in error, it was nearly always because the ff14ipq-
optimized structures were more stable than MP2/cc-pVTZ would predict. In extreme cases the over-prediction
exceeded 15 kcal/mol for amino acid dipeptides. By incorporating the new energies and structures into the fitting
data, nearly all of these errors were fixed in the second generation of the torsion parameters, and by the third (and
final) generation, ff14ipq was able to maintain agreement with its MP2 benchmark while optimizing small peptide
structures.
Beyond this, there has so far been no "tinkering" with ff14ipq parameters: all of the numbers come straight from
quantum mechanical data. We would like to think that the promising results we have seen on small oligopeptides
and globular proteins is a result of how carefully we crafted the data set, but ff14ipq must gain acceptance over a
much longer process as other investigators use the force field to model proteins in solution. We anticipate that there
will now be a lineage of models based on ff14ipq, as there has been with the Cornell charge and Lennard_Jones
parameters, [38], whose current incarnation is ff14SB, described above. We have plans to incorporate the results
of future simulations into parameter refinement while explicitly maintaining a basis in quantum mechanical ener-
gies. If successful, ff14ipq may be the last major force field of its kind–future models will add virtual sites and
polarization–but the techniques we developed to fit this ab-initio force field should prove useful in making future
models.
3.4. The Duan et al. (2003) force field
frcmod.ff03 For proteins: changes to parm99.dat, primarily in the
phi and psi torsions.
all_amino03.in Charges and atom types for proteins
all_aminont03.in For N-terminal amino acids
all_aminoct03.in For C-terminal amino acids
The ff03 force field [39,40] is a modified version of ff99 (described below). The main changes are that charges
are now derived from quantum calculations that use a continuum dielectric to mimic solvent polarization, and that
33
3. Molecular mechanics force fields
the φand ψbackbone torsions for proteins are modified, with the effect of decreasing the preference for helical
configurations. The changes are just for proteins; nucleic acid parameters are the same as in ff99.
The original model used the old (ff94) charge scheme for N- and C-terminal amino acids. This was what was
distributed with Amber 9, and can still be activated by using oldff/leaprc.ff03. More recently, new libraries for the
terminal amino acids have been constructed, using the same charge scheme as for the rest of the force field. This
newer version (which is recommended for all new simulations) is accessed by using leaprc.ff03.r1.
3.5. The Yang et al. (2003) united-atom force field
frcmod.ff03ua For proteins: changes to parm99.dat, primarily in the
introduction of new united-atom carbon types and new
side chain torsions.
uni_amino03.in Amino acid input for building database
uni_aminont03.in NH3+ amino acid input for building database.
uni_aminoct03.in COO- amino acid input for building database.
The ff03ua force field [41] is the united-atom counterpart of ff03. This force field uses the same charging scheme as
ff03. In this force field, the aliphatic hydrogen atoms on all amino acid side-chains are united to their corresponding
carbon atoms. The aliphatic hydrogen atoms on all alpha carbon atoms are still represented explicitly to minimize
the impact of the united-atom approximation on protein backbone conformations. In addition, aromatic hydrogens
are also explicitly represented. Van der Waals parameters of the united carbon atoms are refitted based on solvation
free energy calculations. Due to the use of an all-atom protein backbone, the φand ψbackbone torsions from ff03
are left unchanged. The sidechain torsions involving united carbon atoms are all refitted. In this parameter set,
nucleic acid parameters are still in all atom and kept the same as in ff99.
3.6. Force fields related to semi-empirical QM
ParmAM1 and parmPM3 are classical force field parameter sets that reproduce the geometry of proteins
minimized at the semi-empirical AM1 or PM3 level, respectively.[42] These new force fields provide an
inexpensive, yet reliable, method to arrive at geometries that are more consistent with a semi-empirical treatment
of protein structure. These force fields are meant only to reproduce AM1 and PM3 geometries (warts and all) and
were not tested for use in other instances (e.g., in classical MD simulations, etc.) Since the minimization of a
protein structure at the semi-empirical level can become cost-prohibitive, a “preminimization” with an
appropriately parametrized classical treatment will facilitate future analysis using AM1 or PM3 Hamiltonians.
3.7. The GLYCAM force fields for carbohydrates and lipids
GLYCAM06 is a consistent and transferable parameter set for modeling carbohydrates,[43] lipids,[44] and
glycoconjugates.[45,46] The core philosophy of the force field development process is that parameters should
be: (1) be transferable to all carbohydrate ring formations and sizes, (2) be self-contained and therefore readily
transferable to many quadratic force fields, (3) not require specific atom types for α- and β-anomers, (4) be readily
extendible to carbohydrate derivatives and other biomolecules, (5) be applicable to monosaccharides and complex
oligosaccharides, and (6) be rigorously assessed in terms of the relative accuracy of its component terms.
When combining GLYCAM06 with AMBER parameters for other biomolecules, parameter orthogonality is
ensured by assigning unique atom types for GLYCAM. In order to facilitate combining GLYCAM06 with other
AMBER parameter sets for other biomolecules, a variation on the GLYCAM atom types has been introduced in
which the new name consists of an uppercase letter followed by second character, either a number or lowercase
letter. For example the GLYCAM “CG” atom type has been changed to “Cg”; “HO” is now represented as “Ho”,
and so forth.
34
3.7. The GLYCAM force fields for carbohydrates and lipids
As soon as new parameters are generated, or alterations are made to existing parameters, a new version of
GLYCAM is released. Updated versions that introduce new functionality are denoted using a letter suffix (i.e.
GLYCAM06a, 06b, etc.). Each release is accompanied with an associated text file that summarizes the new
functionality or alteration. For example, a particularly important update, released in GLYCAM06e, altered the
endo-anomeric torsion term (Cg-Os-Cg-Os) in order to more accurately reproduce the populations arising from
ring flips (4C1to 1C4etc.). This particular case suggested the need to be able to independently characterize the
exo- and endo-anomeric effect, which was achieved by assigning different atom types (Oa and Oe) to represent the
endo-anomeric and exo-anomeric oxygen atoms, respectively.
In another important update (GLYCAM06g), a small van der Waals term was applied to all hydroxyl hydrogen
atoms (Ho) to address a rare, but catastrophic, situation that can arise during MD simulations. In certain carbohy-
drate (and potentially other) configurations, a hydroxyl proton may be structurally constrained to being very close
to a carboxylate moiety. During an MD simulation of such a system, an oscillatory motion can begin between the
hydroxyl proton and the negative charge site, leading ultimately to failure of the simulation as the proton collapses
onto the negatively charged moiety. The small van der Waals term (Ho, R* = 0.2000 Å, ε= 0.0300 kcal/mol)
is just large enough to add sufficient repulsion to prevent this behavior, while not being large enough to perturb
properties such as hydrogen bond lengths.
The GLYCAM force field family, especially, GLYCAM06, has been extensively employed in simulations of
biomolecules by the larger scientific community.[47–50] The updated GLYCAM parameters and documentation
are available for download at the GLYCAM-Web site (www.glycam.org). Also available on the website are tools
for simplifying the generation of structure and topology files for performing simulations of oligosaccharides,
glycoconjugates and glycoproteins. GLYCAM-Web has been integrated into several glycomics databases, such as
the Consortium for Functional Glycomics (www.functionalglycomics.org).
GLYCAM06 force field
Always check glycam.org/params for more recent versions and new functionalities.
GLYCAM_06j.dat Parameters for oligosaccharides
GLYCAM_06j-1.prep Structures and charges for glycosyl residues
GLYCAM_lipids_06h.prep Structures and charges for some lipid residues
leaprc.GLYCAM_06j-1 LEaP configuration file for use of GLYCAM06
with carbohydrates alone or in combination
with the ff12SB or ff14SB force field.
GLYCAM_amino_06j_12SB.lib Glycoprotein libraries compatible
GLYCAM_aminoct_06j_12SB.lib with ff12SB and ff14SB.
GLYCAM_aminont_06j_12SB.lib
GLYCAM06EP force field using lone pairs (extra points)
GLYCAM_06EPb.dat Parameters for oligosaccharides
GLYCAM_06EPb.prep Structures and charges for glycosyl residues
leaprc.GLYCAM_06EPb LEaP configuration file for GLYCAM-06EP
GLYCAM Force Field Parameters Download Page
http://www.glycam.org/params
GLYCAM_06j-1.prep contains prep entries for all carbohydrate residues and GLYCAM_lipids_06h.prep contains
prep entries for lipid residues. GLYCAM_06EPb.prep contains prep entries for all carbohydrate residues available
for modeling with extra points.
For linking glycans to proteins, libraries containing modified amino acid residues (Ser, Thr, Hyp, and Asn) must
be loaded. To build a glycoprotein using ff12SB or ff14SB, GLYCAM_amino_06j_12SB.lib GLYCAM_aminont_06j_12SB.lib
and GLYCAM_aminoct_06j_12SB.lib must be loaded and the desired protein force field must also be loaded.
Amino acid libraries designed for linking carbohydrates modeled with extra points are not currently available.
35

3. Molecular mechanics force fields
Version Release Date Contributors Change Summary
j 15 Feb., 2014 BLF
Modified all parameters to be compatible with ff10, ff13,
ff12SB and ff14SB. These files may not be compatible
with older protein and nucleic acid force fields.
i 27 Aug., 2013 AKN Added two new monosaccharides to the prep file.
h 20 Oct., 2010 MBT, BLF
*Changed atom type naming to be orthogonal to other
force fields. Added HO van der Waals parameters. Set
protein-related parameter values to their parm99
counterparts. Updated N-sulfation parameters.
g 20 Oct., 2010 MBT
* 1,4-scaling terms added to parameter file. Angle and
torsion updates for pyranose rings, N-sulfate, phosphate
and sialic acid.
f 3 Feb., 2009 MBT * Corrected a typo in O-Acetyl term
e 28 May, 2008 MBT * Updated glycosidic linkage terms to optimize ring
puckering in pyranoses
d 12 May, 2008 SPK, MBT, ABY Terms for thiol glycosidic linkages
c 21 Feb., 2008 MBT, ABY * Additional (published) terms for lipid simulations[44]
b 10 Jan., 2008 MBT, ABY Alkanes, alkenes, amide and amino groups for lipid
simulations[44]
a 24 Apr., 2005 ABY Sulfates & phosphates for carbohydrates
Table 3.2.: Version change summary for the GLYCAM-06 force field. *Previously released parameters were
changed. See full release notes at glycam.org/params. SPK: Sameer P. Kawatkar. MBT: Matthew
B. Tessier. ABY: Austin B. Yongye. BLF: B. Lachele Foley. AKN: Anita K. Nivedha
3.7.1. File versioning
Beginning on 15 September, 2011, a new versioning system was implemented for Glycam parameters. Files
produced before that date will not necessarily conform to the new system. In the new system, all files containing
parameters are versioned. Users should check their contents and replace them with recent versions as appropriate.
The new versioning system employs letters and numbers. If a parameter set contains new functionality (e.g.,
the addition of new parameters) or fundamental changes (e.g., atom type name reassignments), a letter will be
appended to its name. If the new version contains corrections (e.g., for typographical errors), its name will be
appended with a number. See glycam.org/params for more documentation and examples.
Researchers are also encouraged to read the version change documentation available on the GLYCAM Parame-
ters download page under “Documents.” In this document, the changes specific to each version release are detailed.
The changes are also summarized here in Table 3.2.
3.7.2. Atom type name changes
Beginning with versions g, Glycam atom type names will adopt a standard designed to keep them from over-
lapping with other force fields. In most cases, Glycam’s type names will consist of two characters, one upper-case
followed by one lower-case. Because of this, leaprc files, lib files and prep files from versions prior to g will be
incompatible with current versions.
Note that some type names will not reflect the new Glycam type standard, despite being present in the Glycam
force field files, for example in the files for linking glycans to amino acid residues. In these cases, Glycam will use
the type name appropriate to the external force field. Parameters will be introduced only to the extent necessary
to provide a link between the force fields. Since the associated parameters will also include Glycam types, they
should only affect the intersections between the two force fields.
Beginning with versions j, atom type names for linking to amino acids are compatible with ff10, ff13, ff12SB
and ff14SB. Older versions of protein and nucleic acid force fields might not be compatible.
36
3.7. The GLYCAM force fields for carbohydrates and lipids
3.7.3. General information regarding parameter development
In GLYCAM-06,[43] the torsion terms have now been entirely developed by fitting to quantum mechanical
data (B3LYP/6-31++G(2d,2p)//HF/6-31G(d)) for small-molecules. This has converted GLYCAM-06 into an addi-
tive force field that is extensible to diverse molecular classes including, for example, lipids and glycolipids. The
parameters are self-contained, such that it is not necessary to load any AMBER parameter files when modeling
carbohydrates or lipids. To maintain orthogonality with AMBER parameters for proteins, notably those involving
the CT atom type, tetrahedral carbon atoms in GLYCAM are called Cg (C-GLYCAM, CG in previous releases).
Thus, GLYCAM and AMBER may be combined for modeling carbohydrate-protein complexes and glycoproteins.
More information on atom type names is available in 3.7.2 . Because the GLYCAM-06 torsion terms were de-
rived by fitting to data for small, often highly symmetric molecules, asymmetric phase shifts were not required
in the parameters. This has the significant advantage that it allows one set of torsion terms to be used for both
α- and β-carbohydrate anomers regardless of monosaccharide ring size or conformation. A molecular develop-
ment suite of more than 75 molecules was employed, with a test suite that included carbohydrates and numerous
smaller molecular fragments. The GLYCAM-06 force field has been validated against quantum mechanical and
experimental properties, including: gas-phase conformational energies, hydrogen bond energies, and vibrational
frequencies; solution-phase rotamer populations (from NMR data); and solid-phase vibrational frequencies and
crystallographic unit cell dimensions.
3.7.4. Scaling of electrostatic and nonbonded interactions
As in previous versions of GLYCAM,[2] the parameters were derived for use without scaling 1-4 non-bonded
and electrostatic interactions. Thus, in sander,pmemd, and so on, the simulation parameters scnb and scee should
typically be set to unity. We have shown that this is essential in order to properly treat internal hydrogen bonds,
particularly those associated with the hydroxymethyl group, and to correctly reproduce the rotamer populations
for the C5-C6 bond.[51] Beginning with Amber 11, it is now possible to employ mixed scaling of the scnb and
scee parameters. Anyone wishing to simulate systems containing both carbohydrates and proteins should use the
new mixed scaling capability. To do this, any scaling factors that differ from the default must be included in the
parameter file. Beginning with the GLYCAM_06g parameter file shipped with Amber 11, these factors are already
included. Anyone wishing to employ earlier parameter sets must modify the files.
3.7.5. Development of partial atomic charges
As in previous versions of GLYCAM, the atomic partial charges were determined using the RESP formalism,
with a weighting factor of 0.01,[43,52] from a wavefunction computed at the HF/6-31G(d) level. To reduce
artifactual fluctuations in the charges on aliphatic hydrogen atoms, and on the adjacent saturated carbon atoms,
charges on aliphatic hydrogens (types HC, H1, H2, and H3) were set to zero while the partial charges were fit
to the remaining atoms.[53] It should be noted that aliphatic hydrogen atoms typically carry partial charges that
fluctuate around zero when they are included in the RESP fitting, particularly when averaged over conformational
ensembles.[43,54] In order to account for the effects of charge variation associated with exocyclic bond rotation,
particularly associated with hydroxyl and hydroxylmethyl groups, partial atomic charges for each sugar were
determined by averaging RESP charges obtained from 100 conformations selected evenly from 10-50 ns solvated
MD simulations of the methyl glycoside of each monosaccharide, thus yielding an ensemble averaged charge
set.[43,54]
3.7.6. Carbohydrate parameters for use with the TIP5P water model
In order to extend GLYCAM to simulations employing the TIP-5P water model, an additional set of carbohydrate
parameters, GLYCAM-06EP, has been derived in which lone pairs (or extra points, EPs) have been incorporated
on the oxygen atoms.[55] The optimal O-EP distance was located by obtaining the best fit to the HF/6-31g(d)
electrostatic potential. In general, the best fit to the quantum potential coincided with a negligible charge on the
oxygen nuclear position. The optimal O-EP distance for an sp3 oxygen atom was found to be 0.70 Å; for an sp2
oxygen atom a shorter length of 0.3 Åwas optimal. When applied to water, this approach to locating the lone pair
37

3. Molecular mechanics force fields
Carbohydrate Pyranose Furanose
α/β,D/Lα/β,D/L
Arabinose yes yes
Lyxose yes yes
Ribose yes yes
Xylose yes yes
Allose yes
Altrose yes
Galactose yes a
Glucose yes a
Gulose yes
Idose a
Mannose yes
Talose yes
Fructose yes yes
Psicose yes yes
Sorbose yes yes
Tagatose yes yes
Fucose yes
Quinovose yes
Rhamnose yes
Galacturonic Acid yes
Glucuronic Acid yes
Iduronic Acid yes
N-Acetylgalactosamine yes
N-Acetylglucosamine yes
N-Acetylmannosamine yes
Neu5Ac yes, byes,b
KDN a,b a,b
KDO a,b a,b
Table 3.3.: Current Status of Monosaccharide Availability in GLYCAM. (a) Currently under development. (b) Only
one enantiomer and ring form known.
38
3.7. The GLYCAM force fields for carbohydrates and lipids
positions and assigning the partial charges yielded a model that was essentially indistinguishable from TIP-5P.
Therefore, we believe this model is well suited for use with TIP-5P.[55] The new files are named 06EP (originally
04EP), as they have been corrected for numerous typographical errors and updated to match current naming and
residue structure conventions.
3.7.7. Carbohydrate Naming Convention in GLYCAM
In order to incorporate carbohydrates in a standardized way into modeling programs, as well as to provide a stan-
dard for X-ray and NMR protein database files (pdb), we have developed a three-letter code nomenclature. The
restriction to three letters is based on standards imposed on protein data bank (PDB) files by the RCSB PDB Ad-
visory Committee (www.rcsb.org/pdb/pdbac.html), and for the practical reason that all modeling and experimental
software has been developed to read three-letter codes, primarily for use with protein and nucleic acids.
As a basis for a three-letter PDB code for monosaccharides, we have introduced a one-letter code for monosac-
charides (Table 3.4).[56] Where possible, the letter is taken from the first letter of the monosaccharide name.
Given the endless variety in monosaccharide derivatives, the limitation of 26 letters ensures that no one-letter
(or three-letter) code can be all encompassing. We have therefore allocated single letters firstly to all 5- and 6-
carbon, non-derivatized monosaccharides. Subsequently, letters have been assigned on the order of frequency of
occurrence or biological significance.
Using three letters (Tables 3.5 to 3.7), the present GLYCAM residue names encode the following content:
carbohydrate residue name (Glc, Gal, etc.), ring form (pyranosyl or furanosyl), anomeric configuration (αor β,
enantiomeric form (Dor L) and occupied linkage positions (2-, 2,3-, 2,4,6-, etc.). Incorporation of linkage position
is a particularly useful addition, since, unlike amino acids, the linkage cannot otherwise be inferred from the
monosaccharide name. Further, the three-letter codes were chosen to be orthogonal to those currently employed
for amino acids.
39

3. Molecular mechanics force fields
CarbohydrateaOne letter codebCommon Abbreviation
1D-Arabinose A Ara
2D-Lyxose D Lyx
3D-Ribose R Rib
4D-Xylose X Xyl
5D-Allose N All
6D-Altrose E Alt
7D-Galactose L Gal
8D-Glucose G Glc
9D-Gulose K Gul
10 D-Idose I Ido
11 D-Mannose M Man
12 D-Talose T Tal
13 D-Fructose C Fru
14 D-Psicose P Psi
15 D-Sorbose BdSor
16 D-Tagatose J Tag
17 D-Fucose (6-deoxy D-galactose) F Fuc
18 D-Quinovose (6-deoxy D-glucose) Q Qui
19 D-Rhamnose (6-deoxy D-mannose) H Rha
20 D-Galacturonic Acid OdGalA
21 D-Glucuronic Acid ZdGlcA
22 D-Iduronic Acid UdIdoA
23 D-N-Acetylgalactosamine VdGalNac
24 D-N-Acetylglucosamine YdGlcNAc
25 D-N-Acetylmannosamine WdManNAc
26 N-Acetyl-neuraminic Acid SdNeuNAc, Neu5Ac
KDN KNc,dKDN
KDO KOc,dKDO
N-Glycolyl-neuraminic Acid SGc,dNeuNGc, Neu5Gc
Table 3.4.: The one-letter codes that form the core of the GLYCAM residue names for monosaccharides aUsers
requiring prep files for residues not currently available may contact the Woods group (www.glycam.org)
to request generation of structures and ensemble averaged charges. bLowercase letters indicate L-
sugars, thus L-Fucose would be “f”, see Table 3.7 .cLess common residues that cannot be assigned
a single letter code are accommodated at the expense of some information content. dNomenclature
involving these residues will likely change in future releases.[56] Please visit www.glycam.org for the
most updated information.
40

3.7. The GLYCAM force fields for carbohydrates and lipids
α−D-Glcpβ−D-Galpα−D-Arapβ−D-Xylp
Linkage Position Residue Name Residue Name Residue Name Residue Name
Terminalb0GAb0LB 0AA 0XB
1-c1GAc1LB 1AA 1XB
2- 2GA 2LB 2AA 2XB
3- 3GA 3LB 3AA 3XB
4- 4GA 4LB 4AA 4XB
6- 6GA 6LB
2,3- ZGAdZLB ZAA ZXB
2,4- YGA YLB YAA YXB
2,6- XGA XLB
3,4- WGA WLB WAA WXB
3,6- VGA VLB
4,6- UGA ULB
2,3,4- TGA TLB TAA TXB
2,3,6- SGA SLB
2,4,6- RGA RLB
3,4,6- QGA QLB
2,3,4,6- PGA PLB
Table 3.5.: Specification of linkage position and anomeric configuration in D-hexo- and D-pentopyranoses in three-
letter codes based on the GLYCAM one-letter code aIn pyranoses A signifies α-configuration; B = β.
bPreviously called GA, the zero prefix indicates that there are no oxygen atoms available for bond
formation, i.e., that the residue is for chain termination. cIntroduced to facilitate the formation of a
1–1´ linkage as in α-D-Glc-1-1´-α-D-Glc {1GA 0GA}. dFor linkages involving more than one position,
it is necessary to avoid employing prefix letters that would lead to a three-letter code that was already
employed for amino acids, such as ALA.
α-D-Glc fβ-D-Man fα-D-Ara fβ-D-Xyl f
Linkage position Residue name Residue name Residue name Residue name
Terminal 0GD 0MU 0AD 0XU
1- 1GD 1MU 1AD 1XU
2- 2GD 2MU 2AD 2XU
3- 3GD 3MU 3AD 3XU
··· ··· ··· ··· ···
etc. etc. etc. etc. etc.
Table 3.6.: Specification of linkage position and anomeric configuration in D-hexo- and Dpentofuranoses in three-
letter codes based on the GLYCAM one-letter code. In furanoses D (down) signifies α; U (up) = β.
α-L-Glcpβ-L-Manpα-L-Arapβ-L-Xylp
Linkage position Residue name Residue name Residue name Residue name
Terminal 0gA 0mB 0aA 0xB
1- 1gA 1mB 1aA 1xB
2- 2gA 2mB 2aA 2xB
3- 3gA 3mB 3aA 3xB
··· ··· ··· ··· ···
etc. etc. etc. etc. etc.
Table 3.7.: Specification of linkage position and anomeric configuration in L-hexo- and Lpentofuranoses in three-
letter codes.
41
3. Molecular mechanics force fields
3.8. Lipid Force Fields
Biological processes in the human body are dependent on highly specific molecular interactions. The vast ma-
jority of the interactions take place in compartments within the cell, and an understanding of the behavior of the
membranes that compartmentalize and enclose the cell is therefore critical for rationalizing these processes. Bi-
ological membranes are complex structures formed mostly by lipids and proteins. For this reason lipid bilayers
have received a lot of attention both computationally and experimentally for many years.[57,58] The vital role of
cell membranes is underlined by the estimation that over half of all proteins interact with membranes, either tran-
siently or permanently.[59] Further, G protein-coupled receptors embedded in the membrane account for 50−60%
of present day drug targets, and membrane proteins as a whole make up around 70%.[60] Even so, only around
1300 unique resolved structures of membrane bound proteins, out of a total of 80,000 searchable entries, exist in
the Protein Data Bank reflecting the difficulties in studying membrane-associated proteins experimentally, making
them prime targets for simulation.
Prior to 2012, the only force field parameters for lipids distributed with AmberTools were part of the Glycam
force field.[44] Traditionally, lipid simulations with Amber have either employed the Charmm parameters, via
support for the Charmm force fields through the Chamber package[61]. Additionally there have been attempts to
adapt the General Amber Force Field (GAFF) with limited success.
In 2012, Amber greatly expanded support for simulation of lipids. This includes the development of a modular
framework for lipid simulations and initial parameterization within the LIPID11 force field[16] as well as a careful
refinement of the non-bonded parameters and associated torsion terms within the GAFF force field for specific
application to lipids.[62] The latter, GAFFLipid, is the first lipid parameter set based on the Amber force field
equation to support simulation of lipid bilayers in the tensionless NPT ensemble while the former, LIPID11,
provides the first modular framework for constructing lipid simulations that is analogous to the Amber amino
and nucleic acid force fields. Together these developments have made simulation of phospholipids with AMBER
substantially easier.
In 2014, LIPID14 was released as the latest Amber lipid force field. LIPID14 represents a major advancement
over the previous Amber compatible lipid force fields for lipid bilayer simulations in the NPT ensemble without
the need for an artificial constant surface tension term. LIPID14[17] is a new lipid force field that combines the
modular framework of LIPID11 as well as a number of refinements inspired by GAFFlipid. The modular nature of
the force field allows for many combinations of lipid head groups and tail groups as well as rapid parameterization
of further lipid types. In summary, several van der Waals and dihedral angle parameters have been refined to fit
experimental data and quantum energies as well as a new partial charge derivation for the head groups and tail
groups. The full parameterization details can be found in Dickson, et al[17]. The force field was validated on six
principle lipid bilayer types for a total of 0.5 microsecond each without applying a surface tension or constant area
term. The lipid bilayer structural features compare favorably with experimental measures such as area per lipid,
bilayer thickness, NMR order parameters, scattering data, and lipid lateral diffusion.
3.8.1. LIPID11: A modular lipid force field
Note: LIPID14 was released with Amber 14 as the latest Amber lipid force field.
Relevant files
leaprc.lipid11 loads the files below
lipid11.lib atoms, charges, and topologies for LIPID11 residues
lipid11.dat LIPID11 force field parameters
Description
LIPID11 is a modular force field for the simulation of phospholipids and cholesterol designed to be compatible
with the other pairwise additive Amber force fields.[16] Phospholipids are divided into interchangeable head group
and tail group “residues.”
Currently, there are seven tail group residues and eight head group residues supported, as well as cholesterol.
LEaP supports any combination of lipid residues. The supported LIPID11 residues and their residue names are
listed in Table 3.8.
Usage
42

3.8. Lipid Force Fields
Description LIPID11 Residue Name
Acyl chain Palmitoyl (16:0) PA
Stearoyl (18:0) ST
Oleoyl (18:1 n-9) OL
Linoleoyl (18:2 n-6) LEO
Linolenoyl (18:3 n-3) LEN
Arachidonoyl (20:4 n-6) AR
Docosahexanoyl (22:6 n-3)) DHA
Head group Phosphatidylcholine PC
Phosphatidylethanolamine PE
Phosphatidylserine PS
Phosphatidic acid (PHO4-) PH-
Phosphatidic acid (PO42-) P2-
R-phosphatidylglycerol PGR
S-phosphatidylglycerol PGS
Phosphatidylinositol PI
Other Cholesterol CHL
Table 3.8.: LIPID11 residue names
Lipid 1 sn-1 tail residue
head group residue
sn-2 tail residue
TER card
Lipid 2 sn-1 tail residue
head group residue
sn-2 tail residue
TER card
... ...
Table 3.9.: LIPID11 PDB format for LEaP
source leaprc.lipid11
LIPID11 can be used alone or in conjunction with other Amber force fields. The order with which the various
AMBER force fields (FF12 for example) are loaded along with LIPID14 should not matter. For example, to load
ff14SB and LIPID11 in LEaP use:
source leaprc.ff14SB
source leaprc.lipid11
LIPID11 PDB format
LIPID11 atom names and types are defined in Skjevik, et al[16].
A properly formatted lipid PDB can be loaded into LEaP. Each phospholipid molecule in LIPID11 is made up
of three residues. Atoms from each residue must be in contiguous blocks and ordered as described below in each
molecule. A TER card must be appended after all the atoms for each molecule. Table 3.9 specifies the residue
format for the PDB file loaded by LEaP in order to correctly define linker atoms.
The connectivity (CONECT records) section of the PDB is redundant and should be removed prior to loading
into LEaP. The head group and tail residues are linked together by the LEaP program after loading the lipid PDB
file.
charmmlipid2amber.x: How to convert PDB files with lipid molecules with CHARMM residue/atom
names to LIPID11 residue/atom names
A simple script called charmmlipid2amber.x is available to convert a CHARMM-GUI membrane builder PDB
file to a LIPID11 PDB file ready to be loaded in LEaP for Amber simulations:
43

3. Molecular mechanics force fields
Description LIPID14 Residue Name
Acyl chain Lauroyl (12:0) LA
Myristoyl (14:0) MY
Palmitoyl (16:0) PA
Oleoyl (18:1 n-9) OL
Head group Phosphatidylcholine PC
Phosphatidylethanolamine PE
Table 3.10.: LIPID14 residue names.
charmmlipid2amber.x input.pdb output.pdb
3.8.2. LIPID14: The Amber lipid force field
Relevant files
leaprc.lipid14 defines atom types and loads the files below
lipid14.lib atoms, charges, and topologies for LIPID14 residues
lipid14.dat LIPID14 force field parameters
Description
This force field represents the logical next step in development of an Amber lipid force field that includes the
modular nature of LIPID11 with the further parameter refinement inspired by GAFFLipid strategies to allow for
tensionless lipid bilayer simulations in Amber[17].
Currently there are two head groups and four tail groups available for use and LEaP supports any combination of
these residues. LIPID14 has been designed to be fully compatible with the other pairwise-additive protein, nucleic
acid, carbohydrate, and small molecule Amber force fields.
Usage
As in LIPID11, the new parameter set LIPID14 includes parameters for multiple head groups and tail groups.
Currently supported LIPID14 parameters are listed in Table 3.10. LIPID14 can be loaded into LEaP in a similar
way to the other Amber force fields. In LEaP, simply use the following command:
source leaprc.lipid14
LIPID14 PDB format
LIPID14 formatted PDB files follow the same format as the LIPID11 force field. The atom names and types are
defined in Dickson, et al [17]. See the LIPID11 section 3.8.1 for the specification of the PDB format to load in
LEaP.
3.9. Ions
frcmod.ionsjc_tip3p Joung/Cheatham ion parameters for TIP3P water
frcmod.ionsjc_spce same, but for SPC/E water
frcmod.ionsjc_tip4pew same, but for TIP4P/EW water
frcmod.ionslrcm_hfe_tip3p Li, Roberts, Chakravorty and Merz ion
parameters for TIP3P water (HFE set)
frcmod.ionslrcm_hfe_spce same, but for SPC/E water
frcmod.ionslrcm_hfe_tip4pew same, but for TIP4P/EW water
frcmod.ionslrcm_cm_tip3p Li, Roberts, Chakravorty and Merz ion
parameters for TIP3P water (CM set)
frcmod.ionslrcm_cm_spce same, but for for SPC/E water
frcmod.ionslrcm_cm_tip4pew same, but for TIP4P/EW water
frcmod.ionslrcm_iod Li, Roberts, Chakravorty and Merz ion
44

3.9. Ions
parameters for TIP3P, SPC/E and TIP4P/EW
waters (IOD set)
frcmod.ionslm_1264_tip3p Li/Merz ion parameters for TIP3P
water (12-6-4 set)
frcmod.ionslm_1264_spce same, but for SPC/E water
frcmod.ionslm_1264_tip4pew same, but for TIP4P/EW water
frcmod.ionsff99_tip3p Older monovalent ion parameters from ff94/ff99
atomic_ions.lib topologies for monoatomic ions (new naming scheme)
ions94.lib topologies for ions with the old naming scheme
In the past, for alkali ions with TIP3P waters, Amber has provided the values of Aqvist,[63] adjusted for Amber’s
nonbonded atom pair combining rules to give the same ion-OW potentials as in the original (which were designed
for SPC water); these values reproduce the first peak of the radial distribution for ion-OW and the relative free
energies of solvation in water of the various ions. Note that these values would have to be changed if a water model
other than TIP3P were to be used. Rather arbitrarily, Amber also included chloride parameters from Dang.[64]
These are now known not to work all that well with the Aqvist cation parameters, particularly for the K/Cl pair.
Specifically, at concentrations above 200 mM, KCl will spontaneously crystallize; this is also seen with NaCl at
concentrations above 1 M.[65] These “older” parameters are now collected in frcmod.ionsff99_tip3p, but are not
recommended except to reproduce older simulations.
Subsequently, Joung and Cheatham have created a more consistent set of parameters, fitting solvation free en-
ergies, radial distribution functions, ion-water interaction energies and crystal lattice energies and lattice constants
for non-polarizable spherical ions.[66,67] These have been separately parametrized for each of three popular water
models, as indicated above.
Li, Roberts, Chakravorty and Merz have developed the 12-6 Lennard-Jones parameters for 24 divalent metal
ions within TIP3P, SPC/E and TIP4P/EW waters for PME simulations.[68] The experimental values they tried
to reproduce are the experimental Hydration Free Energy (HFE) values, Ion-Oxygen Distance (IOD) values and
Coordination Number (CN) values of the first solvation shell. Similar to Joung and Cheatam’s work, three water
models were treated separately for the parameter design, as indicated in the name of frcmod files. Moreover, it
was found that it is hard to reproduce the three experimental values simultaneously due to the underestimation of
the nonbonded (Electrostatic plus Lennard-Jones) model. Therefore, three different parameter sets are designed
for each water model to meet different requirements, which are HFE set (to reproduce experimental HFE), IOD
set (to reproduce experimental IOD) and a compromise (CM) set of the former two (to reproduce the experimen-
tal relative HFE and CN values). Since the ion with certain parameter could reproduce similar IOD values in
the three water models, so the IOD set parameters of three water models were designed identical and shown in
frcmod.ionslrcm_iod file.
A new Lennard-Jones (LJ) type model based on a 12-6-4 potential has been developed and parameterized by
Li and Merz for 16 divalent metal ions with three widely used water models (TIP3P, SPC/E and TIP4P/EW).[69]
It arises from the consideration that the underestimation of the 12-6 LJ nonbonded model mainly comes from its
tendency to underestimate the charge-induced dipole interactions. Since the charge-induced dipole interaction is
proportional to r−4, a new term with format C4
r4was added to the 12-6 LJ potential yeilding a 12-6-4 LJ-type
potential. These parameters reproduce the experimental HFE, IOD and CN values at the same time without signif-
icant compromise. The VDW parameters which specified designed for the divalent metal ions with 12-6-4 LJ-type
nonbonded model are shown as the 12-6-4 set in the above. These frcmod files can be used to generate an orig-
inal prmtop file. After obtaining the original prmtop file, you can use the add12_6_4 command in parmed.py to
generate a prmtop with the additional C4terms with the flag “LENNARD_JONES_CCOEF”. Please see Subsec-
tion13.2.2 in the manual for detailed information. After obtaining the prmtop with the additional C4term, you can
use SANDER or PMEMD to run the simulation. There is an additional variable “lj1264” in the namelist of the
input file. When setting lj264 = 1, the “LENNARD_JONES_CCOEF” information in the prmtop file will be read
as C4terms and 12-6-4 LJ-type potential will be employed in the simulation.
Please note: Many leaprc files load the atomic_ions.lib file, but you will still need to explicitly load a frcmod file
that matches the water model you are using.
45
3. Molecular mechanics force fields
3.10. Solvent models
solvents.lib library for water, methanol, chloroform, NMA, urea
frcmod.tip4p Parameter changes for TIP4P.
frcmod.tip4pew Parameter changes for TIP4PEW.
frcmod.tip5p Parameter changes for TIP5P.
frcmod.spce Parameter changes for SPC/E.
frcmod.pol3 Parameter changes for POL3.
frcmod.meoh Parameters for methanol.
frcmod.chcl3 Parameters for chloroform.
frcmod.nma Parameters for N-methyacetamide.
frcmod.urea Parameters for urea (or urea-water mixtures).
Amber now provides direct support for several water models. The default water model is TIP3P.[70] This model
will be used for residues with names HOH or WAT. If you want to use other water models, execute the following
leap commands after loading your leaprc file:
WAT = PL3 (residues named WAT in pdb file will be POL3)
loadAmberParams frcmod.pol3 (sets the HW,OW parameters to POL3)
(The above is obviously for the POL3 model.) The solvents.lib file contains TIP3P,[70] TIP3P/F,[71]
TIP4P,[70,72] TIP4P/Ew,[73,74] TIP5P,[75] POL3[76] and SPC/E[77] models for water; these are called TP3,
TPF, TP4, T4E, TP5, PL3 and SPC, respectively. By default, the residue name in the prmtop file will be WAT,
regardless of which water model is used. If you want to change this (for example, to keep track of which water
model you are using), you can change the residue name to whatever you like. For example,
WAT = TP4
set WAT.1 name "TP4"
would make a special label in PDB and prmtop files for TIP4P water. Note that Brookhaven format files allow at
most three characters for the residue label, which is why the residue names above have to be abbreviated.
Amber has two flexible water models, one for classical dynamics, SPC/Fw[78] (called “SPF”) and one for
path-integral MD, qSPC/Fw[79] (called “SPG”). You would use these in the following manner:
WAT = SPG
loadAmberParams frcmod.qspcfw
set default FlexibleWater on
Then, when you load a PDB file with residues called WAT, they will get the parameters for qSPC/Fw. (Obviously,
you need to run some version of quantum dynamics if you are using qSPC/Fw water.)
The solvents.lib file, which is automatically loaded with many leaprc files, also contains pre-equilibrated boxes
for many of these water models. These are called POL3BOX, QSPCFWBOX, SPCBOX, SPCFWBOX, TIP3PBOX,
TIP3PFBOX, TIP4PBOX, TIP4PEWBOX, and TIP5PBOX. These can be used as arguments to the solvateBox or
solvateOct commands in LEaP.
In addition, non-polarizable models for the organic solvents methanol, chloroform and N-methylacetamide are
provided,[80] along with a box for an 8M urea-water mixture. The input files for a single molecule are in
$AMBERHOME/dat/leap/prep, and the corresponding frcmod files are in $AMBERHOME/dat/leap/parm.
Pre-equilibrated boxes are in $AMBERHOME/dat/leap/lib. For example, to solvate a simple peptide in methanol,
you could do the following:
source leaprc.ff14SB (get a standard force field)
loadAmberParams frcmod.meoh (get methanol parameters)
peptide = sequence { ACE VAL NME } (construct a simple peptide)
solvateBox peptide MEOHBOX 12.0 0.8 (solvate the peptide with meoh)
saveAmberParm peptide prmtop prmcrd
quit
Similar commands will work for other solvent models.
46

3.11. CHAMBER
3.10.1. OPC WATER MODEL
OPC is a new non-polarizable, 4-point, 3-charge rigid water model[81]. Geometrically, it resembles TIP4P-like
models, although the values of OPC point charges and charge-charge distances are quite different. The model has
a single VDW center on the oxygen nucelus. The model is constructed based on the concept of optimal point
charge approximation[82]; the central idea of OPC is to distribute the point charges to best reproduce the 3 lowest
order multipole moments of water molecule in liquid phase. The optimal values for the dipole μand the square
quadtupole moment QT[83] are determined as best fit values that reproduce key experimental properties of water
in liquid phase. The low dimensionality of the parameter space μ-QTpermits a vitually exhaustive search. The
linear quadrupole and the octupole moments[84] are fixed to values obtained from high quality QM calcuations
[83].
Table below summarizes key properties of OPC water (liquid phase) at 298.16K compared to experiment (TMD
= Temperature of Density Maximum). The computations were performed with AMBER-12 on GPUs, using time-
step of 2 fs, under periodic BC, PME, 8A cut-off. SHAKE was used to constrain hydrogens.
μ[D] ρ[gcm−3] Self diffusion [10−9m2s−1]ε(0) ∆Hvap [kcalmol−1] TMD [K]rOO RDF 1st peak position [A]
OPC 2.48 0.997±0.0002 2.3±0.02 78.4±2 10.569±0.002 273-277 2.80
exp 2.5-2.9 0.997[85] 2.299±0.04[86] 78.4[87] 10.52[88] 277[88] 2.80[89]
No specific ion parameters have yet been developed for OPC water; however, based on our very limited study
of ion-ion interactions (Na+,Cl-) in OPC, it appears that the Joung/Cheatham [67] ion parameters for TIP4P-EW
might be acceptable. You can access the OPC model through the offbox.off file (to set a solvent box), and the
frcmod.opc file (to load the parameters).
3.11. CHAMBER
CHAMBER (CHarmm↔AMBER) is a tool which enables the use of the CHARMM force field within AM-
BER’s molecular dynamics engines (MDEs). If you make use of this tool, please cite Ref. [61]. There are two
components to CHAMBER:
1. The tool ($AMBERHOME/bin/chamber) which converts a CHARMM psf, associated coordinated file, pa-
rameter and topology to a CHARMM force field enabled version of AMBER’s prmtop and inpcrd.
2. The additional code within sander and pmemd to evaluate the extra CHARMM energies and forces.
AMBER[38] and CHARMM[90,91] are two approaches to the parametrization of classical force fields that find
extensive use in the modeling of biological systems. The high similarity in the functional form of the two potential
energy functions used by these force fields, Eq.(3.1 and 3.2), gives rise to the possible use of one force field within
the other MDE.
VAMBER =∑
bonds
k(r−req)2+∑
angles
k(θ−θeq)2+∑
dihedrals
Vn
2[1+cos(nφ−γ)] 6
+∑
i<j"Ai j
R12
i j −Bi j
R6
i j #+∑
i<jqiqj
εRi j (3.1)
VCHARMM =∑
bonds
kb(b−b0)2+∑
angles
kθ(θ−θ0)2+∑
dihedrals
kφ[1+cos(nφ−δ)]
+∑
Urey−Bradley
ku(u−u0)2+∑
impropers
k(ω−ω0)2+∑
φ,ψ
VCMAP
+∑
nonbonded
ε"Rmini j
ri j 12
−Rmini j
ri j 6#+qiqj
εri j (3.2)
47
3. Molecular mechanics force fields
For the implementation of the CHARMM force field within Amber, parameters that are of the same energy
term can be directly translated. However, there are differences in the functional forms of the two potentials, with
CHARMM having three additional bonded terms. With respect to the 1-4 non-bonded interactions, CHARMM
scales these in a different manner: the electrostatic scaling factor (scee) is 1.0 in CHARMM but 1.2 in Amber,
while the van der Waals scaling factor (scnb) is 1.0 within CHARMM but 2.0 in Amber. Additionally, CHARMM
uses a different set of parameters in the Lennard-Jones equation for the van der Waals interaction if the two atoms
are bonded 1-4 to each other.
The first additional bonded term is CHARMM’s two-body Urey-Bradley term, which extends over all 1-3 bonds.
The second is a four-body quadratic improper term. The final additional term is a cross term, named CMAP,
[92,93], which is a function of two sequential protein backbone dihedrals. This term originates from differences
observed between classically calculated two-dimensional φ/ψpeptide free energy surfaces using the CHARMM22
force field and those of experiment. CMAP is a numerical energy correction which essentially transforms the 2D
φ/ψclassical energy map to match that of a QM calculated map.
Support for these extra terms has required the development of extra sections to Amber’s extensible prmtop
format to accommodate this new information as well as modifications of the precision of existing sections. For ex-
ample, the CHARMM parameter file stores the equilibrium angle (θ0,Eq.3.2) parameter in degrees in its parameter
file, while Amber stores it in radians in the prmtop. However, during the conversion with chamber, this becomes
inexact when converted to radians. Within CHARMM this is done internally at runtime and the inexactness is
determined by the variable type that will hold the result of this conversion. However, for Amber, this conversion
is done at the chamber execution stage, and as a result is limited by the precision to which that specific parameter
is written to the prmtop file. Hence the precision of the ANGLE_EQUIL_VALUE has been increased; similar
changes were carried out for the CHARGE and VDW sections for the same reasons. Specifically, the modified
sections of the prmtop format and the additions to it are as follows:
%FLAG CTITLE
The keyword CTITLE is used in place of TITLE to specify that this is a CHAMBER prmtop.
%FLAG FORCE_FIELD_TYPE
%FORMAT(i2,a78)
1 CHARMM 31 *>>>>>>>>CHARMM22 All-Hydrogen Topology File for Proteins <<
This section described the force field in use. The initial integer specifies the number of lines to be read. The
keyword CHARMM here indicates that this is the CHARMM force field.
%FLAG CHARGE
%COMMENT Atomic charge multiplied by sqrt(332.0716D0) (CCELEC)
%FORMAT(3e24.16)
The default format for charge has been changed from 5e16.8 to 3e24.16
%FLAG CHARMM_UREY_BRADLEY_COUNT
%COMMENT V(ub) = K_ub(r_ik - R_ub)**2
%COMMENT Number of Urey Bradley terms and types
%FORMAT(2i8)
This additional section describes the number of CHARMM Urey-Bradley terms present and the total number of
Urey-Bradley types in use.
%FLAG CHARMM_UREY_BRADLEY
%COMMENT List of the two atoms and its parameter index
%COMMENT in each UB term: i,k,index
%FORMAT(10i8)
This additional section lists the atom indexes and parameter lookup index for each of the Urey-Bradley terms.
%FLAG CHARMM_UREY_BRADLEY_FORCE_CONSTANT
%COMMENT K_ub: kcal/mole/A**2
48
3.11. CHAMBER
%FORMAT(5e16.8)
This additional section lists the force constant for each of the Urey-Bradley types.
%FLAG CHARMM_UREY_BRADLEY_EQUIL_VALUE
%COMMENT r_ub: A
%FORMAT(5e16.8)
This additional section lists the equilibrium value for each of the Urey-Bradley types.
%FLAG SCEE_SCALE_FACTOR
%FORMAT(5e16.8)
This additional section lists a unique value of scee for each dihedral. This overides the default or &cntrl values
set for scee and in the case of the CHARMM force field will always be 1.0 for all dihedrals.
%FLAG SCNB_SCALE_FACTOR
%FORMAT(5e16.8)
This is the analogous additional term for scnb
%FLAG CHARMM_NUM_IMPROPERS
%COMMENT Number of terms contributing to the
%COMMENT quadratic four atom improper energy term:
%COMMENT V(improper) = K_psi(psi - psi_0)**2
%FORMAT(10i8)
This additional section lists the number of CHARMM improper terms present.
%FLAG CHARMM_IMPROPERS
%COMMENT List of the four atoms in each improper term
%COMMENT i,j,k,l,index i,j,k,l,index
%COMMENT where index is into the following two lists:
%COMMENT CHARMM_IMPROPER_{FORCE_CONSTANT,IMPROPER_PHASE}
%FORMAT(10i8)
This additional section lists the atom indices and index into the parameter arrays for each of the CHARMM
improper terms.
%FLAG CHARMM_NUM_IMPR_TYPES
%COMMENT Number of unique parameters contributing to the
%COMMENT quadratic four atom improper energy term
%FORMAT(i8)
This additional section lists the number of types present for the CHARMM impropers.
%FLAG CHARMM_IMPROPER_FORCE_CONSTANT
%COMMENT K_psi: kcal/mole/rad**2
%FORMAT(5e16.8)
This additional section lists the force constant for each CHARMM improper types.
%FLAG CHARMM_IMPROPER_PHASE
%COMMENT psi: degrees
%FORMAT(5e16.8)
This additional section lists the equilibrium phase angle for each of the CHARMM improper types.
%FLAG LENNARD_JONES_ACOEF
%FORMAT(3e24.16)
The default format for the Lennard Jones A and B coefficients has been changed from 5e16.8 to 3e24.16.
49
3. Molecular mechanics force fields
%FLAG LENNARD_JONES_14_ACOEF
%FORMAT(3e24.16)
This additional section and the corresponding BCOEF section provide the alternative parameters for 1-4 VDW
interactions in the CHARMM force field.
In concert with these prmtop additions, the appropriate modifications have to be made within sander and pmemd
to enable the calculation of the energy and derivatives corresponding to these new terms. The intention behind the
approach of creating a CHARMM enabled prmtop file is that the use of this prmtop file should be transparent
to the user. Once a CHARMM prmtop file is produced by chamber, the sander and pmemd dynamics engines
automatically detect the presence of CHARMM parameters in the prmtop file and automatically select the correct
parameters and code paths.
WARNING: The use of an unpatched Amber molecular dynamics engine with a chamber-generated prmtop file
will give undefined behavior, leading to incorrect results. If you see the following error at runtime:
ERROR: Flag "TITLE" not found in PARM file
it most likely means that you are using an old pmemd or sander executable.
A difficulty that has been encountered with the chamber generated prmtop files is visualisation with VMD.
The format of the chamber generated prmtop is valid with respect to AMBER’s prmtop %FLAG, %FORMAT
paradigm, however, VMD does not take into account a flag’s corresponding format specification since it has, a
priori, set each flag to a specific format. Hence, when the format of an existing flag is modified in a prmtop, VMD
fails to recognise this and incorrectly uses its hardcoded value instead.
Chamber has the ability to write an additional version of the prmtop (vmd_prmtop) file, that is compatible with
VMD. The general strategy here, is to use this additional vmd_prmtop file only for viewing purposes with VMD,
and use the correct prmtop for calculations with SANDER and PMEMD. The compatible vmd_prmtop file is
correct with respect to topology, but an incorrect with respect to certain parameters; for example %CHARGE has
been truncated to the old format and %COMMENT has been removed.
If one specifics the -vmd flag, an additional prmtop file, named vmd_prmtop, is generated. This can then be
used with VMD in the following ways:
vmd -parm7 vmd_prmtop -rst7 file.inpcrd
vmd -parm7 vmd_prmtop -mdcrd trajectory.mdcrd
vmd -parm7 vmd_prmtop -netcdf trajectory.nc
3.11.1. Usage
Here is the set of options returned from running the chamber binary:
Usage: chamber [args]
args for input are <default>
-top <top_all27_prot_na.rtf>
-param <par_all27_prot_na.prm>
-psf <psf.psf>
-crd <chmpdb.pdb>
Note: -crd can specify a pdb, a CHARMM crd or CHARMM rst file.
The filetype is auto detected.
args for output are <default>
-p <prmtop>
-inpcrd <inpcrd>
args for options are:
-cmap / -nocmap (Required option. Specifies
whether CMAP terms should be
50
3.11. CHAMBER
included or excluded.)
-str file1 file2 ... (for loading additional
CHARMM topology, parameter, and
stream files, for data not found in
-top and -param files)
-tip3_flex (allow angle in water)
-box a b c
Set the Orthorhombic lattice parameters a b c
for the generated inpcrd file.
-verbose (lots of progress messages)
-vmd
Write a VMD compatible form of the prmtop file
-radius_set (GB radius set) options are: <default>
0 Bondi radii (bondi)
1 Amber 6 modified Bondi radii (amber6)
<2> modified Bondi radii (mbondi)
6 H(N)-modified Bondi radii (mbondi2)
arg for help (this message) -h
Typical usage would be as follows:
$AMBERHOME/bin/chamber -cmap -top top_all22_prot.inp \
-param par_all22_prot.inp -psf foo.psf -crd foo.coor \
-p foo.prmtop -inpcrd foo.inpcrd -box 48.37 40.15 35.21
Stream Files (-str flag) Often the CHARMM topology and parameter files being loaded with -top and -param
don’t contain all the necessary data, as the CHARMM .psf file may have been built with multiple files. For
example, in the c36 topology and corresponding param files (i.e top_all36_prot.rtf,par_all36_prot.prm) water
and ions are not included as they are in older force field files, thus, if the latter are desired, an additional file
containing them must be ’streamed’ in (i.e. toppar_water_ions.str) when generating the .psf. For cases like this,
chamber allows the reading of additional topology, parameter, and stream files that are needed using the -str flag.
An alternative, of course, would be to manually add any missing parameters to the primary topology and param
files by copying and pasting data from any supplementary files (i.e. TIP3 water params for c36), though this is
more error prone and time consuming. With the -str flag multiple files can be read in and the order is not
necessary. Below is a sample chamber input for system containing a protein, a sugar, and water and ions requiring
5 CHARMM topology and param files total:
$AMBERHOME/bin/chamber -top top_all36_prot.rtf -param par_all36_prot.prm \
-str toppar_water_ions.str top_all36_carb.rtf par_all36_carb.prm \
-psf prot.psf -crd prot.coor -p prot.prmtop -inpcrd prot.inpcrd
3.11.2. Validation
Starting with version c36a2 of CHARMM, a command (frcdump) has been implemented which provides a
validation route for alternate implementations of the CHARMM force fields. For a given system, this command
writes the various force field potential energy contributions, as well as the energy gradient experienced by each
atom, to a file using a specific format and to a high precision. The same formatted output can also be generated by
the AMBER MDEs to facilitate comparison and to validate that the CHARMM force field is being implemented
correctly in Amber’s MDEs.
An example section of a charmm script that will write this output to a file called charmm_gold_c36a2 is as
follows:
open unit 20 form write name charmm_gold_c36a2
frcdump unit 20
close unit 20
51
3. Molecular mechanics force fields
The analogous mdin section for Amber is as follows:
&debugf
do_charmm_dump_gold = 1,
/
Given this directive, the Amber MDE will stop after evaluating the potential energy of a system and write the
energy and forces pertaining to this to a (hardcoded) file called charmm_gold in the same directory as the mdin
file. The reader is invited to examine the various example test calculations within the $AMBERHOME/test/cham-
ber/dev_tests/ directory for in depth examples of the above. For such testing, it is recommended that both the
CHARMM binary and the Amber MDE binaries be compiled with the same compiler. Given that CHARMM
support within Amber and the chamber software is still somewhat experimental, the user is advised to carry out
such a comparison before running a long production run.
3.11.3. Known limitations / Issues
This is a non-exhaustive list of the current known bugs and/or limitations with chamber:
• CHARMM polarization models are not supported. (IPOL /= 0)
• The ability to read CHARMM restart files is not currently supported.
• The mdout file will contain extra potential energy fields pertaining to the CHARMM terms. This may break
or confuse third party scripts that parse such outputs.
• Third party scripts and/or tools which do not correctly parse the extensible prmtop format may have issues
with a chamber-generated prmtop file.
• The potential energy decomposition components (self, reciprocal, direct, adjusted) of the Particle Mesh
Ewald energy generated in the charmm_gold file when the do_charmm_dump_gold = 1 mdin option in
Amber do not match with the breakdown used in CHARMM, however, the summation and resulting forces
do match.
If other issues are found, the chamber authors would be very grateful if these could be reported to them, either via
the Amber mailing list and/or directly to the authors. Please ensure that prior to reporting an issue, the chamber
binary passes the test cases provided with AmberTools. Please provide a standalone example of the problem with
all input files present and a script reproducing the sequence of commands that triggers the problem. The posting
of large files (> 2 MB) to the Amber mailing list is not recommended; instead one should make the files available
on a website somewhere and provide a link to it with the posting to the list.
3.12. Obsolete force field files
The following files are included for historical interest. We do not recommend that these be used any more for
molecular simulations. The leaprc files that load these files have been moved to $AMBERHOME/dat/leap/par-
m/oldff.
3.12.1. The Weiner et al. (1984,1986) force fields
all.in All atom database input.
allct.in All atom database input, COO- Amino acids.
allnt.in All atom database input, NH3+ Amino acids.
uni.in United atom database input.
unict.in United atom database input, COO- Amino acids.
unint.in United atom database input, NH3+ Amino acids.
parm91X.dat Parameters for 1984, 1986 force fields.
52
3.12. Obsolete force field files
The ff86 parameters are described in early papers from the Kollman and Case groups.[94,95] [The “parm91”
designation is somewhat unfortunate: this file is really only a corrected version of the parameters described in
the 1984 and 1986 papers listed above.] These parameters are not generally recommended any more, but may
still be useful for vacuum simulations of nucleic acids and proteins using a distance-dependent dielectric, or for
comparisons to earlier work. The material in parm91X.dat is the parameter set distributed with Amber 4.0. The
STUB nonbonded set has been copied from parmuni.dat; these sets of parameters are appropriate for united atom
calculations using the “larger” carbon radii referred to in the “note added in proof” of the 1984 JACS paper. If
these values are used for a united atom calculation, the parameter scnb must be defined in the prmtop file and
should be set to 8.0; for all-atom calculations it should be 2.0. The scee parameter should be defined in the prmtop
file and set to 2.0 for both united atom and all-atom variants. Note that the default value for scee is now 1.2 (the
value for 1994 and later force fields); this must be explicitly defined in the prmtop file when using the earlier force
fields.
parm91X.dat is not recommended. However, for historical completeness a number of terms in the non-bonded
list of parm91X.dat should be noted. The non-bonded terms for I (iodine), CU (copper) and MG (magnesium) have
not been carefully calibrated, but are given as approximate values. In the STUB set of non-bonded parameters, we
have included parameters for a large hydrated monovalent cation (IP) that represent work by Singh et al.[96] on
large hydrated counterions for DNA. Similar values are included for a hydrated anion (IM).
The non-bonded potentials for hydrogen-bond pairs in ff86 use a Lennard-Jones 10-12 potential. If you want to
run sander with ff86 then you will need to recompile, adding -DHAS_10_12 to the Fortran preprocessor flags.
3.12.2. The Cornell et al. (1994) force field
all_nuc94.in Nucleic acid input for building database.
all_amino94.in Amino acid input for building database.
all_aminoct94.in COO- amino acid input for database.
all_aminont94.in NH3+ amino acid input for database.
nacl.in Ion file.
parm94.dat 1994 force field file.
parm96.dat Modified version of 1994 force field, for proteins.
parm98.dat Modified version of 1994 force field, for nucleic acids.
Contained in ff94 are parameters from the so-called “second generation” force field developed in the Kollman
group in the early 1990s.[38] These parameters are especially derived for solvated systems, and when used with an
appropriate 1-4 electrostatic scale factor, have been shown to perform well at modeling many organic molecules.
The parameters in parm94.dat omit the hydrogen bonding terms of earlier force fields. This is an all-atom force
field; no united-atom counterpart is provided. 1-4 electrostatic interactions are scaled by 1.2 instead of the value
of 2.0 that had been used in earlier force fields.
Charges were derived using Hartree-Fock theory with the 6-31G* basis set, because this exaggerates the dipole
moment of most residues by 10-20%. It thus “builds in” the amount of polarization which would be expected in
aqueous solution. This is necessary for carrying out condensed phase simulations with an effective two-body force
field which does not include explicit polarization. The charge-fitting procedure is described in Ref [38].
The ff96 force field [97] differs from parm94.dat in that the torsions for φand ψhave been modified in re-
sponse to ab initio calculations [98] which showed that the energy difference between conformations were quite
different than calculated by Cornell et al. (using parm94.dat). To create parm96.dat, common V1 and V2 pa-
rameters were used for φand ψ, which were empirically adjusted to reproduce the energy difference between
extended and constrained alpha helical energies for the alanine tetrapeptide. This led to a significant improvement
between molecular mechanical and quantum mechanical relative energies for the remaining members of the set of
tetrapeptides studied by Beachy et al. Users should be aware that parm96.dat has not been as extensively used
as parm94.dat, and that it almost certainly has its own biases and idiosyncrasies, including strong bias favoring
extended βconformations.[18,99,100]
The ff98 force field [101] differs from parm94.dat in torsion angle parameters involving the glycosidic torsion
in nucleic acids. These serve to improve the predicted helical repeat and sugar pucker profiles.
53
3. Molecular mechanics force fields
3.12.3. The Wang et al. (1999) force field
parm99.dat Basic force field parameters
all_amino94.in topologies and charges for amino acids
all_amino94nt.in same, for N-terminal amino acids
all_amino94ct.in same, for C-terminal amino acids
all_nuc94.in topologies and charges for nucleic acids
gaff.dat Force field for general organic molecules
all_modrna08.lib topologies for modified nucleosides
all_modrna08.frcmod parameters for modified nucleosides
The ff99 force field [102] points toward a common force field for proteins for “general” organic and bio-organic
systems. The atom types are mostly those of Cornell et al. (see below), but changes have been made in many
torsional parameters. The topology and coordinate files for the small molecule test cases used in the development
of this force field are in the parm99_lib subdirectory. The ff99 force field uses these parameters, along with the
topologies and charges from the Cornell et al. force field, to create an all-atom nonpolarizable force field for
proteins and nucleic acids.
There are more than 99 naturally occurring modifications in RNA. Amber force field parameters for all these
modifications have been developed to be consistent with ff94 and ff99.[36] The modular nature of RNA was taken
into consideration in computing the atom-centered partial charges for these modified nucleosides, based on the
charging model for the “normal” nucleotides.[103] All the ab initio calculations were done at the Hartree-Fock
level of theory with 6-31G(d) basis sets, using the GAUSSIAN suite of programs. The computed electrostatic
potential (ESP) was fit using RESP charge fitting in antechamber. Three-letter codes for all of the fitted nucleosides
were developed to standardize the naming of the modified nucleosides in PDB files. For a detailed description of
charge fitting for these nucleosides and an outline for the three letter codes, please refer to Ref. [36].
The AMBER force field parameters for 99 modified nucleosides are distributed in the form of library files. The
all_modrna08.lib file contains coordinates, connectivity, and charges, and all_modrna08.frcmod contains infor-
mation about bond lengths, angles, dihedrals and others. The AMBER force field parameters for the 99 modified
nucleosides in RNA are also maintained at the modified RNA database at http://ozone3.chem.wayne.edu.
3.12.4. The 2002 polarizable force fields
frcmod.ff02pol.r1 Recommended initialization file
parm99.dat Force field, for amino acids and some organic molecules;
can be used with either additive or
non-additive treatment of electrostatics.
parm99EP.dat Like parm99.dat, but with "extra-points": off-center
atomic charges, somewhat like lone-pairs.
frcmod.ff02pol.r1 Updated torsion parameters for ff02.
all_nuc02.in Nucleic acid input for building database, for a non-
additive (polarizable) force field without extra points.
all_amino02.in Amino acid input ...
all_aminoct02.in COO- amino acid input ...
all_aminont02.in NH3+ amino acid input ....
all_nuc02EP.in Nucleic acid input for building database, for a non-
additive (polarizable) force field with extra points.
all_amino02EP.in Amino acid input ...
all_aminoct02EP.in COO- amino acid input ...
all_aminont02EP.in NH3+ amino acid input ....
The ff02 force field is a polarizable variant of ff99. (See Ref. [104] for a recent overview of polarizable force fields.)
Here, the charges were determined at the B3LYP/cc-pVTZ//HF/6-31G* level, and hence are more like “gas-phase”
charges. During charge fitting the correction for intramolecular self polarization has been included.[80] Bond
polarization arising from interactions with a condensed phase environment are achieved through polarizable dipoles
54
3.12. Obsolete force field files
attached to the atoms. These are determined from isotropic atomic polarizabilities assigned to each atom, taken
from experimental work of Applequist. The dipoles can either be determined at each step through an iterative
scheme, or can be treated as additional dynamical variables, and propagated through dynamics along with the
atomic positions, in a manner analogous to Car-Parinello dynamics. Derivation of the polarizable force field
required only minor changes in dihedral terms and a few modification of the van der Waals parameters.
Subsequently, a set up updated torsion parameters has been developed for the ff02 polarizable force field.[105]
These are available in the frcmod.ff02pol.r1 file.
The user also has a choice to use the polarizable force field with extra points on which additional point charges
are located; this is called ff02EP. The additional points are located on electron donating atoms (e.g. O,N,S), which
mimic the presence of electron lone pairs.[106] For nucleic acids we chose to use extra interacting points only on
nucleic acid bases and not on sugars or phosphate groups.
There is not (yet) a full published description of this, but a good deal of preliminary work on small molecules
is available.[80,107] Beyond small molecules, our initial tests have focused on small proteins and double helical
oligonucleotides, in additive TIP3P water solution. Such a simulation model, (using a polarizable solute in a non-
polarizable solvent) gains some of the advantages of polarization at only a small extra cost, compared to a standard
force field model. In particular, the polarizable force field appears better suited to reproduce intermolecular inter-
actions and directionality of H-bonding in biological systems than the additive force field. Initial tests show ff02EP
behaves slightly better than ff02, but it is not yet clear how significant or widespread these differences will be.
55

4. The Generalized Born/Surface Area Model
The generalized Born solvation model can be used instead of explicit water for non-polarizable force fields; it
has been most widely tested on ff99SB, but in principle could be used with other non-polarizable force fields, such
as ff03. To estimate the total solvation free energy of a molecule, ∆Gsolv, one typically assumes that it can be
decomposed into the "electrostatic" and "non-electrostatic" parts:
∆Gsolv =∆Gel +∆Gnonel (4.1)
where ∆Gnonel is the free energy of solvating a molecule from which all charges have been removed (i.e. partial
charges of every atom are set to zero), and ∆Gel is the free energy of first removing all charges in the vacuum,
and then adding them back in the presence of a continuum solvent environment. Generally speaking, ∆Gnonel
comes from the combined effect of two types of interaction: the favorable van der Waals attraction between the
solute and solvent molecules, and the unfavorable cost of breaking the structure of the solvent (water) around the
solute. In the current Amber codes, this is taken to be proportional to the total solvent accessible surface area (SA)
of the molecule, with a proportionality constant derived from experimental solvation energies of small non-polar
molecules, and uses a fast LCPO algorithm [108] to compute an analytical approximation to the solvent accessible
area of the molecule.
The Poisson-Boltzmann approach described in the next section has traditionally been used in calculating ∆Gel.
However, in molecular dynamics applications, the associated computational costs are often very high, as the
Poisson-Boltzmann equation needs to be solved every time the conformation of the molecule changes. Amber
developers have pursued an alternative approach, the analytic generalized Born (GB) method, to obtain a rea-
sonable, computationally efficient estimate to be used in molecular dynamics simulations. The methodology has
become popular,[109–116] especially in molecular dynamics applications,[117–120] due to its relative simplicity
and computational efficiency, compared to the more standard numerical solution of the Poisson-Boltzmann equa-
tion. Within Amber GB models, each atom in a molecule is represented as a sphere of radius Riwith a charge qi
at its center; the interior of the atom is assumed to be filled uniformly with a material of dielectric constant 1. The
molecule is surrounded by a solvent of a high dielectric ε(80 for water at 300 K). The GB model approximates
∆Gel by an analytical formula,[109,121]
∆Gel =−1
2∑
i j
qiqj
fGB(ri j ,Ri,Rj)1−exp[−κfGB]
ε(4.2)
where ri jis the distance between atoms iand j, the Riare the so-called effective Born radii, and fGB() is a certain
smooth function of its arguments. The electrostatic screening effects of (monovalent) salt are incorporated [121]
via the Debye-Huckel screening parameter κ.
A common choice [109] of fGB is
fGB =r2
i j +RiRjexp(−r2
i j/4RiRj)1/2(4.3)
although other expressions have been tried.[112,122] The effective Born radius of an atom reflects the degree of its
burial inside the molecule: for an isolated ion, it is equal to its van der Waals (VDW) radius ρi. Then one obtains
the particularly simple form:
∆Gel =−q2
i
2ρi1−1
ε(4.4)
where we assumed κ=0 (pure water). This is the famous expression due to Born for the solvation energy of
a single ion. The function fGB() is designed to interpolate, in a clever manner, between the limit ri j →0, when
atomic spheres merge into one, and the opposite extreme ri j →∞, when the ions can be treated as point charges
57

4. The Generalized Born/Surface Area Model
obeying the Coulomb’s law.[115] For deeply buried atoms, the effective radii are large, Riρi, and for such atoms
one can use a rough estimate Ri≈Li, where Liis the distance from the atom to the molecular surface. Closer to
the surface, the effective radii become smaller, and for a completely solvent exposed side-chain one can expect Ri
to approach ρi.
The effective radii depend on the molecule’s conformation, and so have to be re-computed every time the confor-
mation changes. This makes the computational efficiency a critical issue, and various approximations are normally
made that facilitate an effective estimate of Ri. In particular, the so-called Coulomb field approximation, or CFA,
is often used, which replaces the true electric displacement around the atom by the Coulomb field. Within this
assumption, the following expression can be derived:[115]
R−1
i=ρ−1
i−1
4πZθ(|r|−ρi)r−4dr(4.5)
where the integral is over the solute volume surrounding atom i. For a realistic molecule, the solute boundary
(molecular surface) is anything but trivial, and so further approximations are made to obtain a closed-form ana-
lytical expression for the above equation, e.g.the so-called pairwise de-screening approach of Hawkins, Cramer
and Truhlar,[123] which leads to a GB model implemented in Amber with igb=1. The 3D integral used in the
estimation of the effective radii is performed over the van der Waals (VDW) spheres of solute atoms, which im-
plies a definition of the solute volume in terms of a set of spheres, rather than the complex molecular surface,[124]
commonly used in the PB calculations. For macromolecules, this approach tends to underestimate the effective
radii for buried atoms,[115] arguably because the standard integration procedure treats the small vacuum–filled
crevices between the van der Waals (VDW) spheres of protein atoms as being filled with water, even for struc-
tures with large interior.[122] This error is expected to be greatest for deeply buried atoms characterized by large
effective radii, while for the surface atoms it is largely canceled by the opposing error arising from the Coulomb
approximation, which tends [110,114,125] to overestimate Ri.
The deficiency of the model described above can, to some extent, be corrected by noticing that even the opti-
mal packing of hard spheres, which is a reasonable assumption for biomolecules, still occupies only about three
quarters of the space, and so "scaling-up" of the integral by a factor of four thirds should effectively increase the
underestimated radii by about the right amount, without any loss of computational efficiency. This idea was devel-
oped and applied in the context of pH titration,[115] where it was shown to improve the performance of the GB
approximation in calculating pKa values of protein sidechains. However, the one-parameter correction introduced
in Ref. [115] was not optimal in keeping the model’s established performance on small molecules. It was therefore
proposed [120] to re-scale the effective radii with the re-scaling parameters being proportional to the degree of the
atom’s burial, as quantified by the value Iiof the 3D integral. The latter is large for the deeply buried atoms and
small for exposed ones. Consequently, one seeks a well-behaved re-scaling function, such that Ri≈(ρ−1
i−Ii)−1
for small Ii, and Ri>(ρ−1
i−Ii)−1when Iibecomes large. The following simple, infinitely differentiable re-scaling
function was chosen to replace the model’s original expression for the effective radii:
R−1
i=˜
ρ−1
i−ρ−1
itanh(αΨ−βΨ2+γΨ3)(4.6)
where Ψ=Ii˜
ρi, and α,β,γare treated as adjustable dimensionless parameters which were optimized using the
guidelines mentioned earlier (primarily agreement with the PB). Currently, Amber supports two GB models (
termed OBC ) based on this idea. These differ by the values of α,β,γ, and are invoked by setting igb to either
igb=2 or igb=5. The details of the optimization procedure and the performance of the OBC model relative to the
PB treatment and in MD simulations on proteins is described in Ref. [120]; an independent comparison to the PB
in calculating the electrostatic part of solvation free energy on a large data set of proteins can be found in Ref.
[126].
Our experience with generalized Born simulations is mainly with ff12 or ff03; the current GB models are not
compatible with polarizable force fields. Replacing explicit water with a GB model is equivalent to specifying a
different force field, and users should be aware that none of the GB options (in Amber or elsewhere) is as mature
as simulations with explicit solvent; user discretion is advised! For example, it was shown that salt bridges are too
strong in some of these models [127,128] and some of them provide secondary structure distributions that differ
significantly from those obtained using the same protein parameters in explicit solvent, with GB having too much
α-helix present.[129,130] The combination of the ff14SB force field with igb=8 gives the best results for proteins;
58

4.1. GB/SA input parameters
1 2 5 7 8
mbondi mbondi2 mbondi2 bondi mbondi3
Table 4.1.: Recommended radii sets for various GB models. For values of igb given in the top row, the string in the
second row should be entered in LEaP as “set default PBRadii xxx”.
ff14SB and igb=1 is recommended for nucleic acids (see[131]for an evaluation of GB models for DNA).
The generalized Born models used here are based on the "pairwise" model introduced by Hawkins, Cramer and
Truhlar,[123,132] which in turn is based on earlier ideas by Still and others.[109,114,125,133] The so-called
overlap parameters for most models are taken from the TINKER molecular modeling package (http://tinker.wustl.edu).
The effects of added monovalent salt are included at a level that approximates the solutions of the linearized
Poisson-Boltzmann equation.[121] The original implementation was by David Case, who thanks Charlie Brooks
for inspiration. Details of our implementation of generalized Born models can be found in Refs. [134,135].
4.1. GB/SA input parameters
As outlined above, there are several "flavors" of GB available, depending upon the value of igb. The version
that has been most extensively tested corresponds to igb=1; the "OBC" models (igb=2 and 5) are newer, but ap-
pear to give significant improvements and are recommended for most projects (certainly for peptides or proteins).
The newest, most advanced, and least extensively tested model, GBn (igb=7), yields results in considerably better
agreement with molecular surface Poisson-Boltzmann and explicit solvent results than the "OBC" models under
many circumstances.[130] The GBn model was parameterized for peptide and protein systems and is not rec-
ommended for use with nucleic acids. A modification on the GBn model (igb=8) further improves agreement
between Poisson-Boltzmann and explicit solvent data compared to the original formulation (igb=7).[21] Users
should understand that all (current) GB models have limitations and should proceed with caution. Generalized
Born simulations can only be run for non-periodic systems, i.e.where ntb=0. The nonbonded cutoff for GB calcu-
lations should be greater than that for PME calculations, perhaps cut=16. The slowly-varying forces generally do
not have to be evaluated at every step for GB, either nrespa=2 or 4.
igb
= 0 No generalized Born term is used. (Default)
= 1 The Hawkins, Cramer, Truhlar[123,132] pairwise generalized Born model is used, with param-
eters described by Tsui and Case.[134] This model uses the default radii set up by LEaP. It is
slightly different from the GB model that was included in Amber6. If you want to compare to
Amber 6, or need to continue an ongoing simulation, you should use the command "set default
PBradii amber6" in LEaP, and set igb=1 in sander. For reference, the Amber6 values are those
used by an earlier Tsui and Case paper.[118] Note that most nucleic acid simulations have used
this model, so you take care when using other values. Also note that Tsui and Case used an offset
(see below) of 0.13 Å, which is different from its default value.
= 2 Use a modified GB model developed by A. Onufriev, D. Bashford and D.A. Case; the main idea
was published earlier,[115] but the actual implementation here[120] is an elaboration of this
initial idea. Within this model, the effective Born radii are re-scaled to account for the interstitial
spaces between atom spheres missed by the GBHCT approximation. In that sense, GBOBC is
intended to be a closer approximation to true molecular volume, albeit in an average sense. With
igb=2, the inverse of the effective Born radius is given
by:
R−1
i=ρ−1
i−tanhαΨ−βΨ2+γΨ3/ρi
where ρi=ρi−o f f set, and Ψ=Iρi, with Igiven in our earlier paper. The parameters α,
β, and γwere determined by empirical fits, and have the values 0.8, 0.0, and 2.909125. This
59
4. The Generalized Born/Surface Area Model
corresponds to model I in Ref [120]. With this option, you should use the LEaP command "set
default PBradii mbondi2" to prepare the prmtop file.
=3or4 These values are unused; they were used in Amber 7 for parameter sets that are no longer
supported.
= 5 Same as igb=2, except that now α,β,γare 1.0, 0.8, and 4.85. This corresponds to model II in
Ref [120]. With this option, you should use the command "set default PBradii mbondi2" in
setting up the prmtop file, although "set default PBradii bondi" is also OK. When tested in MD
simulations of several proteins,[120] both of the above parameterizations of the "OBC" model
showed equal performance, although further tests [126] on an extensive set of protein structures
revealed that the igb=5 variant agrees better with the Poisson-Boltzmann treatment in calculating
the electrostatic part of the solvation free energy.
= 6 With this option, there is no continuum solvent model used at all; this corresponds to a non-
periodic, "vacuum", model where the non-bonded interactions are just Lennard-Jones and Coulomb
interactions. This option is logically equivalent to setting igb=0 and eedmeth=4, although the
implementation (and computational efficiency) is not the same.
= 7 The GBn model described by Mongan, Simmerling, McCammon, Case and Onufriev[136] is
employed. This model uses a pairwise correction term to GBHCT to approximate a molecular
surface dielectric boundary; that is to eliminate interstitial regions of high dielectric smaller than
a solvent molecule. This correction affects all atoms and is geometry-specific, going beyond
the geometry-free, "average" re-scaling approach of GBOBC, which mostly affects buried atoms.
With this method, you should use the bondi radii set. The overlap or screening parameters in
the prmtop file are ignored, and the model-specific GBn optimized values are substituted. The
model carries little additional computational overhead relative to the other GB models described
above.[136] This method is not recommended for systems involving nucleic acids.
= 8 Same GB functional form as the GBn model (igb=7), but with different parameters.[21] The
offset, overlap screening parameters, and gbneckscale are changed. In addition, individual α,
β, and γparameters are introduced for each of the elements H, C, N, O, S. Parameters for other
elements have not been optimized, and the values used are those from igb=5. An option is given
to specify individual parameters for P, though these are not included by default.
The following are the default parameters sander uses with igb=8:
Sh=1.425952, Sc=1.058554, Sn=0.733599,
So=1.061039, Ss=-0.703469, Sp=0.5,
offset=0.195141, gbneckscale=0.826836,
gbalphaH=0.788440, gbbetaH=0.798699, gbgammaH=0.437334,
gbalphaC=0.733756, gbbetaC=0.506378, gbgammaC=0.205844,
gbalphaN=0.503364, gbbetaN=0.316828, gbgammaN=0.192915,
gbalphaOS=0.867814, gbbetaOS=0.876635, gbgammaOS=0.387882,
gbalphaP=1.0, gbbetaP=0.8, gbgammaP=4.85
where Sh, Sc, Sn, So, Ss and Sp are scaling parameters, gbalphaX, gbbetaX, gbgammaX are the
α,β,γset for element X. gbalphaOS, gbbetaOS, gbgammaOS is the α,β,γset for O and S.
The phosphorus parameters are not optimized and are simply taken as the parameters used in the
OBC-2 model (igb=5). mbondi3 radii are recommended with igb=8 and can be employed with
the LEaP command "set default PBradii mbondi3".
=10 Calculate the reaction field and nonbonded interactions using a numerical Poisson-Boltzmann
solver. This option is described in the Chapter 5. Note that this is not a generalized Born
simulation, in spite of its use of igb; it is rather an alternative continuum solvent model.
intdiel Sets the interior dielectric constant of the molecule of interest. Default is 1.0. Other values have not
been extensively tested.
extdiel Sets the exterior or solvent dielectric constant. Default is 78.5.
60

4.2. ALPB (Analytical Linearized Poisson-Boltzmann)
saltcon Sets the concentration (M) of 1-1 mobile counterions in solution, using a modified generalized Born
theory based on the Debye-Hückel limiting law for ion screening of interactions.[121] Default is 0.0
M (i.e.no Debye-Hückel screening.) Setting saltcon to a non-zero value does result in some increase
in computation time.
rgbmax This parameter controls the maximum distance between atom pairs that will be considered in carrying
out the pairwise summation involved in calculating the effective Born radii. Atoms whose associated
spheres are farther way than rgbmax from given atom will not contribute to that atom’s effective Born
radius. This is implemented in a "smooth" fashion (thanks mainly to W.A. Svrcek-Seiler), so that when
part of an atom’s atomic sphere lies inside rgbmax cutoff, that part contributes to the low-dielectric
region that determines the effective Born radius. The default is 25 Å, which is usually plenty for
single-domain proteins of a few hundred residues. Even smaller values (of 10-15 Å) are reasonable,
changing the functional form of the generalized Born theory a little bit, in exchange for a considerable
speed-up in efficiency, and without introducing the usual cut-off artifacts such as drifts in the total
energy.
The rgbmax parameter affects only the effective Born radii (and the derivatives of these values with
respect to atomic coordinates). The cut parameter, on the other hand, determines the maximum dis-
tance for the electrostatic, van der Waals and "off-diagonal" terms of the generalized Born interaction.
The value of rgbmax might be either greater or smaller than that of cut: these two parameters are
independent of each other. However, values of cut that are too small are more likely to lead to artifacts
than are small values of rgbmax; therefore one typically sets rgbmax <= cut.
rbornstat If rbornstat = 1, the statistics of the effective Born radii for each atom of the molecule throughout the
molecular dynamics simulation are reported in the output file. Default is 0.
offset The dielectric radii for generalized Born calculations are decreased by a uniform value "offset" to give
the "intrinsic radii" used to obtain effective Born radii. Default is 0.09 Å.
gbsa Option to carry out GB/SA (generalized Born/surface area) simulations. For the default value of 0,
surface area will not be computed and will not be included in the solvation term. If gbsa = 1, surface
area will be computed using the LCPO model.[108] If gbsa = 2, surface area will be computed by
recursively approximating a sphere around an atom, starting from an icosahedra. Note that no forces
are generated in this case, hence, gbsa = 2 only works for a single point energy calculation and is
mainly intended for energy decomposition in the realm of MM_GBSA.
surften Surface tension used to calculate the nonpolar contribution to the free energy of solvation (when gbsa
= 1), as Enp = surften*SA. The default is 0.005 kcal/mol/A2.[137]
rdt This parameter is only used for GB simulations with LES (Locally Enhanced Sampling). In GB+LES
simulations, non-LES atoms require multiple effective Born radii due to alternate descreening effects
of different LES copies. When the multiple radii for a non-LES atom differ by less than RDT, only a
single radius will be used for that atom. See Chapter 24 for more details. Default is 0.0 Å.
4.2. ALPB (Analytical Linearized Poisson-Boltzmann)
Like the GB model, the ALPB approximation [138,139] can be used to replace the need for explicit solvent,
with similar benefits (such as enhanced conformational sampling) and caveats. The basic ALPB equation that
approximates the electrostatic part of the solvation free energy is
∆Gel ≈∆Galpb =−1
21
εin −1
εex 1
1+αβ ∑
i j
qiqj1
fGB +αβ
A
where β=εin/εex is the ratio of the internal and external dielectrics, α=0.571412, and Ais the so-called effective
electrostatic size of the molecule, see the definition of Arad below. Here fGB is the same smooth function as in
the GB model. The GB approximation is then just the special case of ALPB when the solvent dielectric is infinite;
61
4. The Generalized Born/Surface Area Model
however, for finite values of solvent dielectric the ALPB tends to be more accurate. For aqueous solvation, the
accuracy advantage offered by the ALPB is still noticeable, and becomes more pronounced for less polar solvents.
Statistically significant tests on macromolecular structures [139] have shown that ALPB is more likely to be a
better approximation to PB than GB. At the same time, ALPB has virtually no additional computational overhead
relative to GB. However, users should realize that at this point the new model has not yet been tested nearly as
extensively as the GB model, and is therefore in its experimental stage. The model can potentially replace GB in
the energy analysis of snapshots via the MM-GB/SA scheme. The electrostatic screening effects of monovalent
salt are currently introduced into the ALPB in the same manner as in the GB, and are determined by the parameter
saltcon .
alpb Flag for using ALPB to handle electrostatic interactions within the implicit solvent model.
= 0 No ALPB (default).
= 1 ALPB is turned on. Requires that one of the GB models is also used to compute the effective
Born radii, that is one must set igb=1,2,5, or 7. The ALPB uses the same sets of radii as required
by the particular GB model.
arad Effective electrostatic size (radius) of the molecule. Characterizes its over-all dimensions and global
shape, and is not to be confused with the effective Born radius of an atom. An appropriate value of
Arad must be set if alpb=1: this can be conveniently estimated for your input structure with the utility
elsize that comes with the main distribution. The default is 15 Å. While Arad may change during the
course of a simulation, these changes are usually not very large; the accuracy of the ALPB is found
to be rather insensitive to these variations. In the current version of Amber Arad is treated as constant
throughout the simulation, the validity of this assumption is discussed in Ref. [139]. Currently, the
effective electrostatic size is only defined for "single-connected" molecules. However, the ALPB
model can still be used to treat the important case of complex formation. In the docked state, the
compound is considered as one, with its electrostatic size well defined. When the ligand and receptor
become infinitely separated, each can be assigned its own value of Arad.
4.2.1. elsize
NAME
elsize - Given the structure, estimates its effective electrostatic size
(parameter Arad ) need by the ALPB model.
SYNOPSIS
Usage: elsize input-pqr-file [-options]
-det an estimate based on structural invariants. DEFAULT.
-ell an estimate via elliptic integral (numerical).
-elf same as above, but via elementary functions.
-abc prints semi-axes of the effective ellipsoid.
-tab prints all of the above into a table without header.
-hea prints same table as -tab but with a header.
-deb prints same as -tab with some debugging information.
-xyz uses a file containing only XYZ coordinates.
DESCRIPTION
elsize is a program originally written by G. Sigalov to estimate the effective electrostatic size of a structure via a
quick, analytical method. The algorithm is presented in detail in Ref. .[139] You will need your structure in a pqr
format as input, which can be easily obtained from the prmtop and inpcrd files using ambpdb utility described
above:
ambpdb -p prmtop -pqr <inpcrd >input-file-pqr
62
4.2. ALPB (Analytical Linearized Poisson-Boltzmann)
After that you can simply do: elsize input-file-pqr , the value of electrostatic size in Angstroms will be output on
stdout. The source code is in the src/etc/ directory, its comments contain more extensive description of the options
and give an outline of the algorithm. A somewhat less accurate estimate uses just the XYZ coordinates of the
molecule and assumes the default radius size of for all atoms:
elsize input-file-xyz
This option is not recommended for very small compounds. The code should not be used on structures made up
of two or more completely disjoint" compounds – while the code will still produce a finite value of Arad , it is not
very meaningful. Instead, one should obtain estimates for each compound separately.
63
5. PBSA
Several efficient finite-difference numerical solvers, both linear [140,141] and nonlinear,[142] are implemented
in pbsa for various applications of the Poisson-Boltzmann method. In the following, a brief introduction is given
on the method, the numerical solvers, and numerical energy and force calculations. This is followed by a detailed
description of the usage and keywords. Finally example input files are explained for typical pbsa applications. For
more information on the background and how to use the method, please consult cited references and online Amber
tutorial pages.
5.1. Introduction
Solvation interactions, especially solvent-mediated dielectric screening and Debye-Hückel screening, are es-
sential determinants of the structure and function of proteins and nucleic acids.[143] Ideally, one would like to
provide a detailed description of solvation through explicit simulation of a large number of solvent molecules and
ions. This approach is frequently used in molecular dynamics simulations of solution systems. In many appli-
cations, however, the solute is the focus of interest, and the detailed properties of the solvent are not of central
importance. In such cases, a simplified representation of solvation, based on an approximation of the mean-force
potential for the solvation interactions, can be employed to accelerate the computation.
The mean-force potential averages out the degrees of freedom of the solvent molecules, so that they are often
called implicit or continuum solvents. The formalism with which implicit solvents can be applied in molecular
mechanics simulations is based on a rigorous foundation in statistical mechanics, at least for additive molecular
mechanics force fields. Within the formalism, it is straightforward to understand how to decompose the total mean-
field solvation interaction into electrostatic and non-electrostatic components that scale quite differently and must
be modeled separately (see for example [144]).
The Poisson-Boltzmann (PB) solvents are a class of widely used implicit solvents to model solvent-mediated
electrostatic interactions.[143] They have been demonstrated to be reliable in reproducing the energetics and con-
formations as compared with explicit solvent simulations and experimental measurements for a wide range of
systems.[143] In these models, a solute is represented by an atomic-detail model as in a molecular mechanics force
field, while the solvent molecules and any dissolved electrolyte are treated as a structure-less continuum. The
continuum treatment represents the solute as a dielectric body whose shape is defined by atomic coordinates and
atomic cavity radii.[145] The solute contains a set of point charges at atomic centers that produce an electrostatic
field in the solute region and the solvent region. The electrostatic field in such a system, including the solvent
reaction field and the Coulombic field, may be computed by solving the PB equation:[146,147]
∇[ε(r)∇φ(r)] = −4πρ(r)−4πλ (r)∑
i
ziciexp(−ziφ(r)/kBT)(5.1)
where ε(r)is the dielectric constant, φ(r)is the electrostatic potential, ρ(r)is the solute charge, λ(r)is the Stern
layer masking function, ziis the charge of ion type i,ciis the bulk number density of ion type ifar from the solute,
kBis the Boltzmann constant, and Tis the temperature; the summation is over all different ion types. The salt
term in the PB equation can be linearized when the Boltzmann factor is close to zero. However, the approximation
apparently does not hold in highly charged systems. Thus, it is recommended that the full nonlinear PB equation
solvers be used in such systems.
The non-electrostatic or non-polar (NP) solvation interactions are typically modeled with a term proportional to
the solvent accessible surface area (SASA).[137] An alternative and more accurate method to model the non-polar
solvation interactions is also implemented in pbsa.[148] The new method separates the non-polar solvation interac-
tions into two terms: the attractive (dispersion) and repulsive (cavity) interactions. Doing so significantly improves
the correlation between the cavity free energies and solvent accessible surface areas or molecular volumes enclosed
65
5. PBSA
by SASA for branched and cyclic organic molecules.[149] This is in contrast to the commonly used strategy that
correlates total non-polar solvation energies with solvent accessible surface areas, which only correlates well for
linear aliphatic molecules.[137] In the alternative method, the attractive free energy is computed by a numerical in-
tegration over the solvent accessible surface area that accounts for solvation attractive interactions with an infinite
cutoff.[150]
5.1.1. Numerical solutions of the PB equation
In pbsa both the linear form and the full nonlinear form of the PB equation are supported. Many strategies
may be used to discretize the PB equation, but only the finite-difference (FD) method, or more rigorously, the
finite-volume method [151–153] is fully supported in pbsa for both the linear and nonlinear PB equations. A FD
method involves the following steps: mapping atomic charges to the FD grid points (termed grid charges below);
assigning non-periodic/periodic boundary conditions, i.e., electrostatic potentials on the boundary surfaces of the
FD grid; and applying a dielectric model to define the high-dielectric (i.e., water) and low-dielectric (i.e., solute
interior) regions and mapping it to the FD grid edges.
These steps allow the partial differential equation to be converted into a linear or nonlinear system with the
electrostatic potential on grid points as unknowns, the charge distribution on the grid points as the source, and
the dielectric constant on the grid edges (and the salt-related term for the linear case) wrapped into the coefficient
matrix, which is a seven-banded symmetric matrix. In pbsa, four common linear FD solvers are implemented:
modified ICCG, geometric multigrid, conjugate gradient, and successive over-relaxation (SOR).[141] In addition,
we have also implemented six nonlinear FD solvers: Inexact Newton(NT)/modified ICCG, NT/geometric multi-
grid, conjugate gradient, and SOR and its improved versions - adaptive SOR and damped SOR.[142]
In addition to the FD method, a new discretization strategy is also introduced to solve the linear PB equation.[154]
The Immersed Interface method (IIM) is a second-order accurate numerical method developed for systems with
interface, i.e. solute/solvent boundary in this case. In the IIM discretization scheme, the linear equations on regular
grid points, i.e. grid points away from the interface, are the same as the standard finite-difference method, but the
linear equations on irregular grid points, i.e. grid points nearby the interface, are constructed by minimizing the
magnitude of the local truncation error in the discretization of the PB equation.[155] It can be proven that the
errors of calculated potentials are at the order of O(h2) on the regular grid points and O(h) on the irregular grid
points.[155]
5.1.2. Numerical interpretation of energy and forces
PB solvents approximate the solvent-induced electrostatic mean-force potential by computing the reversible
work in the process of charging the atomic charges in a solute molecule or complex. The charging free energy is a
function of the electrostatic potential φ, which can be computed by solving the linear or nonlinear system.
It has been shown (see for example [144]) that the total electrostatic energy of a solute molecule can be approx-
imated through the FD approach by subtracting the self FD Coulombic energy (GFD
coul,shel f ) and the short-range FD
Coulombic energy (GFD
coul,short ) from the total FD electrostatic energy (GFD
coul,total ), and adding back the analytical
short-range Coulombic energy (Gana
coul,short ). The self FD Coulombic energy is due to interactions of grid charges
within one single atom. The self energy exists even when the atomic charge is exactly positioned on one grid point.
It also exists in the absence of solvent and any other charges. It apparently is a pure artifact of the FD approach
and must be removed. The short-range FD Coulombic energy is due to interactions between grid charges in two
different atoms that are separated by a short distance, usually less than 14 grid units. The short-range Coulombic
energy is inaccurate because the atomic charges are mapped onto their eight nearest FD grids, thus causing devia-
tion from the analytical Coulomb energy. The correction of GFD
coul,shel f and GFD
coul,short is made possible by the work
of Luty and McCammon’s analytical approach to compute FD Coulombic interactions.[156]
Therefore, the PB electrostatic interactions include both Coulombic interactions and reaction field interactions
for all atoms of the solute. The total electrostatic energy is given in the energy component EEL in the output file.
The term that is reserved for the reaction field energy, EPB, is zero if this method is used. If you want to know how
much of EEL is the reaction field energy, you can set the BCOPT keyword (to be explained below) to compute the
reaction field energy only by using a Coulombic field (or singularity) free formulation.[157]
66
5.1. Introduction
When the full nonlinear Poisson-Boltzmann equation is used, an additional energy term, the ionic energy, should
also be included. This energy term disappears in the symmetrical linear system because the effects due to opposite
ions cancel out. It is currently approximated by calculation up to the space boundary of the FD grid. It should
be noted that the NBUFFER keyword may need increasing to obtain good precision in the ionic energy for small
molecules with a large FILLRATIO.
An alternative method of computing the electrostatic interactions is also implemented in pbsa. In this method,
the reaction field energy is computed directly after the induced surface charges are first computed at the dielectric
boundary (i.e., the surface that separates solute and solvent). These surface charges are then used to compute the
reaction field energy,[143] and is given as the EPB term. It has been shown that doing so improves the convergence
of reaction field energy with respect to the FD grid spacing. However, a limitation of this method is that the
Coulombic energy has to be recomputed analytically with a pairwise summation procedure. When this method
is used, the EEL term only gives the Coulombic energy with a cutoff distance provided in the input file. The
two ways of computing electrostatic interactions are controlled by the keywords ENEOPT and FRCOPT to be
described below.
The non-polar solvation free energy is returned by the ECAVITY term, which is either the total non-polar
solvation free energy or the cavity solvation free energy in the two different models described above. The EDISPER
term returns the dispersion solvation free energy. Of course it is zero if the total non-polar solvation free energy
has been returned by ECAVITY. The word INP can be used to choose one of the two treatments of non-polar
solvation interactions.[148] Specifically, you can use SASA to correlate total non-polar solvation free energy, i.e.,
Gnp =NP_TENSION ×SASA +NP_OFFSET as in PARSE.[137] You can also use SASA to correlate the cavity
term only and use a surface-integration approach to compute the dispersion term.[148] i.e., Gnp=Gdisp+Gcavity,
with Gcavity =CAVITY_TENSION ×SASA+CAV ITY_OFFSET . See the discussion of keywords in 8.2.8. These
options are described in detail in Ref. [148].
Finally, in this release, the PB forces are now correctly interpreted for the widely used SES molecular surface
definition, i.e., the partition of dielectric boundary pressure/force can now reproduce the virtual work principle.
This is achieved by proper decomposition of the dielectric boundary force on the reentrant portion of the molecular
surface. Specifically, the molecular surface is computed more accurately by considering the cases when the solvent
probe touches three atoms simultaneously. Next the reentrant force is also distributed onto the three atoms forming
the reentrant surface following the virtual work principle.[158]
5.1.3. Numerical accuracy and related issues
Note that the accuracy of any numerical PB procedure is determined by the discretization resolution specified
in the input, i.e., the grid spacing. The convergence criterion for the iteration procedures also plays some role for
the numerical PB solvers. Finally the accuracy is highly dependent upon the methods used for computing total
electrostatic interactions. In Lu and Luo,[144] the accuracy of the first method for total electrostatic interactions is
discussed in detail. In Ref.[158] the accuracy of the second method is discussed.
It is recommended that the second method for total electrostatic interactions be used for most calculations.
Apparently the cutoff distance for charge-charge interactions strongly influences the accuracy of electrostatic in-
teractions. The default setting is infinity, i.e., no cutoff is used. In this method, the convergence of the reaction
field energy with respect to the grid spacing is much better than that of the first method. Our experience shows
that the reaction field energies converge to within ~2% for tested proteins at the grid spacing of 0.5 Å when the
weighted harmonic average of dielectric constants is used at the solute/solvent interface (when SMOOTHOPT =
1, see below).[159]
The reaction field energies computed with the second method (when SMOOTHOPT = 2) are also in excellent
agreement (differences in the order of 0.1%) with those computed with the Delphi program which uses the same
method for energy calculation. For example, see the computational set up documented in test case pbsa_delphi in
this release.[160]
The accuracy of non-polar solvation energy depends on the quality of SASA which is computed numerically by
representing each atomic surface by spherically distributed dots. Thus a higher dot density gives more accurate
atomic surface and molecular surface. However, it is found that the default setting for the dot density is quite
sufficient for typical applications.[148] Should you encounter any memory allocation error for surface calculation,
you are advised to use a coarser surface dot resolution if the physical memory of your computer is limited.
67
5. PBSA
Numerical solvation calculations are memory intensive for macromolecules due to the fine grid resolution re-
quired for sufficient accuracy. Thus, the efficiency of pbsa depends on how much memory is allocated for it and
the performance of the memory subsystem. The option that is directly related to its memory allocation is the FD
grid spacing for the PB equation and the surface dot resolution for molecular surface. Apparently the geometric
dimension and the number of atoms are also important for predicting the memory usage. In general for a typical
computer configuration with 8GB memory, the geometric dimension can be as large as 180×180 ×180 Å3at the
default grid spacing of 0.5 Å before the computer responds too slowly.
5.2. Usage and keywords
5.2.1. File usage
pbsa has a very similar user interface as the Amber/sander program, though much simpler.
pbsa [-O] -i mdin -o mdout [-p prmtop -c inpcrd]/[-pqr pqr]
Starting from the 2014 release, pbsa supports the free format pqr file. Once the pqr reading is enabled, the default
Amber file reading and processing would be bypassed. Here is a brief description of the files mentioned above.
mdin input control data for the run.
mdout output user readable state info and diagnostics “-o stdout” will send output to stdout (to the terminal)
instead of to a file.
prmtop input molecular topology, force field, atom and residue names, and (optionally) periodic box type.
inpcrd input initial coordinates and (optionally) velocities and periodic box size.
pqr input initial coordinates, atomic charges and radii in the free format pqr.
A few comments on the “free-formatted” pqr file used by pbsa. First all fields are delimited by spaces only. Second
there is no strict format requirement as in a standard pdb file. This more liberal style is to accomodate pqr files of
different origins. pbsa reads data on a per-line basis using the following format:
Tag AtomNumber AtomName ResidueName ChainID ResidueNumber XYZ Charge Radius
Tag A string specifying either ATOM or HETATM. Lines with other strings are ignored.
AtomNumber The sequence no of the atom, which is reset to start from 1.
AtomName The atom name.
ResidueName The residue name.
ChainID The chain ID of the atom, optional, which is ignored.
ResidueNumber The sequence no. of the residue, which is ignored.
XYZ The floating numbers representing the atomic coordiantes (in Angstrom).
Charge A float number providing the atomic charge (in electron).
Radius A float number providing the atomic radius (in Angstrom).
Finally it is worth to point out that it is apparently very hard to know whether the charge and radius fields are
swapped as in the Delphi generated pqr file. Here we have assumed that the data are in the plain P.Q.R. order.
Please make sure you are following the same convention in generating the pqr files.
68
5.2. Usage and keywords
5.2.2. Basic input options
The layout of the input file is in the same way as that of Amber/sander for backward compatibility with previous
releases in Amber. The keywords are put in the the namelist of &cntrl for basic controls and &pb for more detailed
manipulation of the numerical procedures. This subsection discusses the basic keywords, either retained from
sander or newly created to invoke different energetic analyses. To reduce confusion most keywords from sander
have been removed from the namelist so they can no longer be read since the current implementation in pbsa only
performs single-structure calculations with the coordinates from inpcrd and exits. However, the current release is
compatible with the mdin file generated with the mmpbsa script in previous releases in Amber. Users interested in
energy minimization and molecular dynamics with the PB implementation are referred to sander in the release of
Amber. Nevertheless, for purposes of validation and development, the atomic forces can be dumped out in a file
when requested as described below.
The numerical electrostatic procedures can be turned on by setting IPB to either 1, 2 or 4. The flag IGB = 10 is
phased out in this release. The numerical non-polar procedures can be turned on by setting INP to either 1 or 2.
The backward compatible flag NPOPT is also phased out in this release.
imin Flag to run minimization. Both options give the same output energies though the output formats are
slightly different. This option is retained from previous releases in the Amber package for backward
compatibility. The current release of pbsa only supports single point energy calculation.
= 0 No minimization. Dynamics is available with sander and NAB.
= 1 Single point energy calculation. Default. Multiple-step PB minimization is also available with
sander and NAB.
ntx Option to read the coordinates from the “inpcrd” file. Only options 1 and 2 are supported in this
releases. Other options will cause pbsa to issue a warning though it does not affect the energy calcu-
lation.
= 1 X is read formatted with no initial velocity information. Default.
= 2 X is read unformatted with no initial velocity information.
ipb Option to set up a dielectric model for all numerical PB procedures. IPB = 1 corresponds to a classical
geometric method, while a level-set based algebraic method is used when IPB >2. The default IPB
is 2.
= 0 No electrostatic solvation free energy is computed.
= 1 The dielectric interface between solvent and solute is built with a geometric approach.
= 2 The dielectric interface is implemented with the level set function. Use of a level set function
simplifies the calculation of the intersection points of the molecular surface and grid edges and
leads to more stable numerical calculations. Default.
= 4 The dielectric interface is also implemented with the level set function. However, the linear
equations on the irregular points are constructed using the IIM. In this option, The dielectric
constant do not need to be smoothed, that is, SMOOTHOPT is useless. Only the linear PB
equation is supported, that is, NPBOPT = 0. And the different solvers are used to solve the
generated linear equation set, that is, the meaning of SOLVOPT is changed as shown below.
inp Option to select different methods to compute non-polar solvation free energy.
= 0 No non-polar solvation free energy is computed.
= 1 The total non-polar solvation free energy is modeled as a single term linearly proportional to the
solvent accessible surface area, as in the PARSE parameter set, that is, if INP = 1, USE_SAV
must be equal to 0. See Introduction.
= 2 The total non-polar solvation free energy is modeled as two terms: the cavity term and the dis-
persion term. The dispersion term is computed with a surface-based integration method [148]
69
5. PBSA
closely related to the PCM solvent for quantum chemical programs.[150] Under this frame-
work, the cavity term is still computed as a term linearly proportional to the molecular solvent-
accessible-surface area (SASA) or the molecular volume enclosed by SASA. Default.
Once the above basic options are specified, pbsa can proceed with the default options to compute the solvation free
energies with the input coordinates. Of course, this means that you only want to use default options for default
applications.
More PB options described below can be defined in the &pb namelist, which is read immediately after the
&cntrl namelist. We have tried hard to make the defaults for these parameters appropriate for calculations of
solvated molecular systems. Please use caution when changing any default options.
5.2.3. Options to define the physical constants
epsin Sets the dielectric constant of the solute region, default to 1.0. The solute region is defined to be the
solvent excluded volume.
epsout Sets the implicit solvent dielectric constant, default to 80. The solvent region is defined to be the space
not occupied the solute region. i.e., only two dielectric regions are allowed in the current release.
epsmemb Sets the membrane dielectric constant. Only used if membraneopt > 0, does nothing otherwise. Value
used should be between epsin and epsout or there may be errors. Defaults to 1.0.
smoothopt Instructs PB how to set up dielectric values for finite-difference grid edges that are located across the
solute/solvent dielectric boundary.
= 0 The dielectric constants of the boundary grid edges are always set to the equal-weight harmonic
average of EPSIN and EPSOUT.
= 1 A weighted harmonic average of EPSIN and EPSOUT is used for boundary grid edges. The
weights for EPSIN and EPSOUT are fractions of the boundary grid edges that are inside or
outside the solute surface.[161] Default.
= 2 The dielectric constants of the boundary grid edges are set to either EPSIN or EPSOUT depending
on whether the midpoints of the grid edges are inside or outside the solute surface.
istrng Sets the ionic strength (in mM) for the PB equation. Default is 0 mM. Note the unit is different from
that (in M) in the generalized Born methods implemented in Amber. Note also that we are only dealing
with symmetrical solution, so the ionic strength should be equal to the square of the valence of the
symmetrical ions times the ion concentration (in mM).
pbtemp Temperature (in K) used for the PB equation, needed to compute the Boltzmann factor for salt effects;
default is 300 K.
radiopt Option to set up atomic radii.
= 0 Use radii from the prmtop file for both the PB calculation and for the NP calculation (see INP).
= 1 Use atom-type/charge-based radii by Tan and Luo [162] for the PB calculation. Note that the
radii are optimized for Amber atom types as in standard residues from the Amber database. If
a residue is built by antechamber, i.e., if GAFF atom types are used, radii from the prmtop file
will be used. Please see [162] on how these radii are optimized. The procedure in [162] can also
be used to optimize radii for nonstandard residues. These optimized radii can be read in if they
are incorporated into the radii section of the prmtop file (of course via RADIOPT = 0). Default.
dprob Solvent probe radius for molecular surface used to define the dielectric boundary between solute and
solvent. DPROB = 1.4 by default.
iprob Mobile ion probe radius for ion accessible surface used to define the Stern layer. Default to 2.0 Å.
70
5.2. Usage and keywords
sasopt Option to determine which kind of molecular surfaces to be used in the Poisson-Boltzmann implicit
solvent model. Default is 0.
= 0 Use the solvent excluded surface as implemented by[160]
= 1 Use the solvent accessible surface. Apparently, this reduces to the van der Waals surface when
the dprobe is set to zero.
= 2 Use the smooth surface defined by a revised density function.[163] This must be combined with
IPB >2.
saopt Option to compute the surface area of a molecule. Default is 0. Once the computation is enabled, the
surface area will be reported in the output file with the subtitle “Total molecular surface”. Note that
only the surface areas for the solvent excluded surface and the solvent accessible surface are supported
in this release.
= 0 Do not compute any surface area.
= 1 Use the field-view method to compute the surface area.[164]
triopt Option to add trimer arc dots for a more accurate and lower memory mapping method of the analytical
solvent excluded surface. See[160]
= 0 Trimer arc dots are not used.
= 1 Trimer arc dots are used. Default.
arcres pbsa uses a numerical method to compute solvent accessible arcs. See [160]. The ARCRES keyword
gives the resolution (in the unit of Å) of dots used to represent these arcs, default to 0.25 Å. These
dots are first checked against nearby atoms to see whether any of the dots are buried. The exposed
dots represent the solvent accessible portion of the arcs and are used to define the dielectric constants
on the grid edges. It should be pointed out that ARCRES should be reduced to (0.125 Å) when
the TRIOPT option is turned off to achieve a similar accuracy in the reaction field energies. More
generally, ARCRES should be set to max(0.125 Å, 0.5h) when the TRIOPT option is turned on, or
max(0.0625 Å, 0.25h) when the TRIOPT option is turned off (his the grid spacing).
5.2.4. Options for Implicit Membranes
membraneopt Option to turn implicit membrane on and off. Membrane is implemented as a slab like region with
same dielectric constant as solute. Other membrane setup schemes will be made available in the future.
= 0 No implicit membrane used (default).
= 1 Use a slab-like implicit membrane.
mthick Membrane thickness in Å, default to 20.0.
mctrdz Distance in Å to offset membrane along the z direction. Default is 0 - membrane centered at the center
of the finite difference grid.
poretype Option to control use of exclusion region for channel proteins. Only cylindrical region is supported
currently.
= 0 Do not use a cylindrical exclusion region (Default).
= 1 Use cylindrical exclusion region.
poreradius Controls the radius, in Å, of the cylindrical exclusion region.
71
5. PBSA
5.2.5. Options to select numerical procedures
npbopt Option to select the linear or the full nonlinear PB equation.
= 0 Linear PB equation is solved. Default.
= 1 Nonlinear PB equation is solved.
solvopt Option to select iterative solvers.
= 1 Modified ICCG or Periodic (PICCG) if bcopt = 10 is. Default. If IPB = 4, an algebraic multigrid
solver is used.
= 2 Geometric multigrid. A four-level v-cycle implementation is applied. Each dimension of the
finite-difference grid is 24×n-1. If IPB = 4, preconditioned GMRES.
= 3 Conjugate gradient (Periodic version available under bcopt = 10). This option requires a large
MAXITN to converge. If IPB = 4, preconditioned BiCG.
= 4 SOR. This option requires a large MAXITN to converge.
= 5 Adaptive SOR. This is only compatible with NPBOPT = 1. This option requires a large MAXITN
converge.
= 6 Damped SOR. This is only compatible with NPBOPT = 1. This option requires a large MAXITN
to converge.
accept Sets the iteration convergence criterion (relative to the initial residue). Default to 0.001.
maxitn Sets the maximum number of iterations for the finite difference solvers, default to 100. Note that
MAXITN has to be set to a much larger value, like 10,000, for the less efficient solvers, such as
conjugate gradient and SOR, to converge.
fillratio The ratio between the longest dimension of the rectangular finite-difference grid and that of the solute.
Default is 2.0. It is suggested that a larger FILLRATIO, for example 4.0, be used for a small solute,
such as a ligand molecule. Otherwise, part of the small solute may lie outside of the finite-difference
grid, causing the finite-difference solvers to fail.
space Sets the grid spacing for the finite difference solver; default is 0.5 Å.
nbuffer Sets how far away (in grid units) the boundary of the finite difference grid is away from the solute
surface; default is 0 grids, i.e., automatically set to be at least a solvent probe or ion probe (diameter)
away from the solute surface.
nfocus Set how many successive FD calculations will be used to perform an electrostatic focussing calcu-
lation on a molecule. Default to 2, the maximum. When NFOCUS = 1, no focusing is used. It is
recommended that NFOCUS = 1 when the multigrid solver is used.
fscale Set the ratio between the coarse and fine grid spacings in an electrostatic focussing calculation. Default
to 8.
npbgrid Sets how often the finite-difference grid is regenerated; default is 1 step. For molecular dynamics
simulations, it is recommended to be set to at least 100. Note that the PB solver effectively takes
advantage of the fact that the electrostatic potential distribution varies very slowly during dynamics
simulations. This requires that the finite-difference grid be fixed in space for the code to be efficient.
However, molecules do move freely in simulations. Thus, it is necessary to set up the finite-difference
grid once in a while to make sure a molecule is well within the grid.
72
5.2. Usage and keywords
5.2.6. Options to compute energy and forces
ENEOPT is the option to set a method to compute electrostatic energy and forces, and DBFOPT is phased out
in this release.
bcopt Boundary condition options.
= 1 Boundary grid potentials are set as zero. Total electrostatic potentials and energy are computed.
= 5 Computation of boundary grid potentials using all grid charges. Total electrostatic potentials and
energy are computed. Default.
= 6 Computation of boundary grid potentials using all grid charges. Reaction field potentials and
energy are computed with the charge singularity free formulism.[157]
= 10 Periodic boundary condition is used. Total electrostatic potentials and energy are computed. Can
be used to switch ICCG and CG to PICCG and PCG. Should only be used with charge neutral
systems.
eneopt Option to compute total electrostatic energy and forces.
= 1 Compute total electrostatic energy and forces with the particle-particle particle-mesh (P3M) pro-
cedure outlined in Lu and Luo.[144] In doing so, energy term EPB in the output file is set to
zero, while EEL includes both the reaction field energy and the Coulombic energy. The van
der Waals energy is computed along with the particle-particle portion of the Coulombic energy.
The electrostatic forces and dielectric boundary forces can also be computed.[144] This option
requires a non-zero CUTNB and BCOPT = 5.
= 2 Use dielectric boundary surface charges to compute the reaction field energy. Default. Both
the Coulombic energy and the van der Waals energy are computed via summation of pairwise
atomic interactions. Energy term EPB in the output file is the reaction field energy. EEL is the
Coulombic energy.
= 3 Similar to the first option above, a P3M procedure is applied for both solvation and Coulombic
energy and forces for larger systems.
frcopt Option to compute and output electrostatic forces to a file named force.dat in the working directory.
= 0 Do not compute or output atomic and total electrostatic forces. This is default.
= 1 Reaction field forces are computed by trilinear interpolation. Dielectric boundary forces are com-
puted using the electric field on dielectric boundary. The forces are output in the unit of kcal/-
mol·Å.
= 2 Use dielectric boundary surface polarized charges to compute the reaction field forces and dielec-
tric boundary forces [158] The forces are output in the unit of kcal/mol·Å.
= 3 Reaction field forces are computed using dielectric boundary polarized charge. Dielectric bound-
rary forces are computed using the electric field on dielectric boundary. [165] The forces are
output in the unit of kcal/mol·Å.
scalec Option to compute reaction field energy and forces.
= 0 Do not scale dielectric boundary surface charges before computing reaction field energy and
forces. Default.
= 1 Scale dielectric boundary surface charges using Gauss’s law before computing reaction field en-
ergy and forces.
cutfd Atom-based cutoff distance to remove short-range finite-difference interactions, and to add pairwise
charge-based interactions, default is 5 Å. This is used for both energy and force calculations. See Eqn
(20) in Lu and Luo.[144]
73
5. PBSA
cutnb Atom-based cutoff distance for van der Waals interactions, and pairwise Coulombic interactions when
ENEOPT = 2. Default to 0. When CUTNB is set to the default value of 0, no cutoff will be used
for van der Waals and Coulombic interactions, i.e., all pairwise interactions will be included. When
ENEOPT = 1, this is the cutoff distance used for van der Waals interactions only. The particle-particle
portion of the Coulombic interactions is computed with the cutoff of CUTFD.
nsnba Sets how often atom-based pairlist is generated; default is 1 step. For molecular dynamics simulations,
a value of 5 is recommended.
5.2.7. Options for visualization and output
phiout pbsa can be used to output spatial distribution of electrostatic potential for visualization.
= 0 No potential file is printed out. Default.
= 1 Electrostatic potential is printed out in a file named pbsa.phi in the working directory. Please refer
to examples in the next section on how to display electrostatic potential on molecular surface.
phiform Controls the format of the electrostatic potential file.
= 0 The electrostatic potential (kT/mol·e) is printed in the Delphi binary format. Default.
= 1 The electrostatic potential (kcal/mol·e) is printed in the Amber ASCII format.
= 2 The electrostatic potential (kcal/mol·e) is printed in the DX volumetric data format for use with
VMD.
outlvlset pbsa can be set to write the total level set, used in locating interfaces between regions of differing
dielectric constant, to a DX format volumetric data file. This option will control printing of the total
level set (i.e. both solute-solvent and membrane level sets combined if membrane present)
= false No level set file printed out. Default.
= true Level set printed out in a file named pbsa_lvlset.dx
outmlvlset pbsa can be set to write the membrane level set, used in locating interfaces between regions of differing
dielectric constant, to a DX format volumetric data file. This option controls printing a separate file
for the membrane level set. Does nothing if membraneopt is not turned on.
= false No level set file printed out. Default.
= true Level set printed out in a file named pbsa_lvlset.dx
npbverb When set to 1, turns on verbose mode in pbsa; default is 0.
5.2.8. Options to select a non-polar solvation treatment
decompopt Option to select different decomposition schemes when INP = 2. See [148] for a detailed discussion
of the different schemes. The default is 2, the σdecomposition scheme, which is the best of the three
schemes studied.[148] As discussed in Ref. [148], DECOMPOPT = 1 is not a very accurate approach
even if it is more straightforward to understand the decomposition.
= 1 The 6/12 decomposition scheme.
= 2 The σdecomposition scheme. Default
= 3 The WCA decomposition scheme.
use_rmin The option to set up van der Waals radii. The default is to use rmin to improve the agreement with
TIP3P [148].
= 0 Use atomic van der Waals σvalues.
= 1 Use atomic van der Waals rmin values. Default.
74
5.2. Usage and keywords
sprob Solvent probe radius for solvent accessible surface area (SASA) used to compute the dispersion term,
default to 0.557 Å in the σdecomposition scheme as optimized in Ref. [148] with respect to the
TIP3P solvent and the PME treatment. Recommended values for other decomposition schemes can be
found in Table 4 of [148]. If USE_SAV = 0 (see below), SPROB can be used to compute SASA for the
cavity term as well. Unfortunately, the recommended value is different from that used in the dispersion
term calculation as documented in Ref. [148] Thus two separate pbsa calculations are needed when
USE_SAV = 0, one for the dispersion term and one for the cavity term. Therefore, please carefully
read Ref. [148] before proceeding with the option of USE_SAV = 0. Note that SPROB was used for
ALL three terms of solvation free energies, i.e., electrostatic, attractive, and repulsive terms in previous
releases in Amber. However, it was found in the more recent study [148] that it was impossible to use
the same probe radii for all three terms after each term was calibrated and validated with respect to the
TIP3P solvent. [148,162]
vprob Solvent probe radius for molecular volume (the volume enclosed by SASA) used to compute non-
polar cavity solvation free energy, default to 1.300 Å, the value optimized in Ref. [148] with respect
to the TIP3P solvent. Recommended values for other decomposition schemes can be found in Tables
1-3 of Ref. [148].
rhow_effect Effective water density used in the non-polar dispersion term calculation, default to 1.129 for DE-
COMPOPT = 2, the σscheme. This was optimized in Ref. [148] with respect to the TIP3P solvent in
PME. Optimized values for other decomposition schemes can be found in Table 4 of Ref. [148].
use_sav The option to use molecular volume (the volume enclosed by SASA) or to use molecular surface
(SASA) for cavity term calculation. The default is to use the molecular volume enclosed by SASA.
Recent study shows that the molecular volume approach transfers better from small training molecules
to biomacromolecules.
= 0 Use SASA to estimate cavity free energy.
= 1 Use the molecular volume enclosed by SASA. Default.
cavity_surften The regression coefficient for the linear relation between the total non-polar solvation free energy
(INP = 1) or the cavity free energy (INP = 2) and SASA/volume enclosed by SASA. The default value
is for INP = 2 and set to the best of three tested schemes as reported in Ref. [148], i.e. DECOMPOPT
= 2, USE_RMIN = 1, and USE_SAV = 1. See recommended values in Tables 1-3 for other schemes.
cavity_offset The regression offset for the linear relation between the total non-polar solvation free energy (INP =
1) or the cavity free energy (INP = 2) and SASA/volume enclosed by SASA. The default value is for
INP = 2 and set to the best of three tested schemes as reported in Ref. [148], i.e. DECOMPOPT = 2,
USE_RMIN = 1, and USE_SAV = 1. See recommended values in Tables 1-3 for other schemes.
maxsph pbsa uses a numerical method to compute solvent accessible surface area.[148] MAXSPH variable
gives the approximate number of dots to represent the maximum atomic solvent accessible surface,
default to 400. These dots are first checked against covalently bonded atoms to see whether any of the
dots are buried. The exposed dots from the first step are then checked against a non-bonded pair list
with a cutoff distance of 9 to see whether any of the exposed dots from the first step are buried. The
exposed dots of each atom after the second step then represent the solvent accessible portion of the
atom and are used to compute the SASA of the atom. The molecular SASA is simply a summation
of the atomic SASA’s. A molecular SASA is used for both PB dielectric map assignment and for NP
calculations.
5.2.9. Options to enable active site focusing
Active site focusing is an extension to the electrostatic focusing method. Electrostatic focusing can be regarded
as a multi-level FDPB calculation (two levels currently implemented) in which a coarse-grid solution is conducted
to set up the boundary condition for the requested fine-grid solution. In the original implementation of electrostatic
75
5. PBSA
focusing, the fine grid always covers all the solute atoms. However in the enhanced implementation, the fine grid
is allowed to cover only a local region of interest, such as an enzyme active site or ligand docking site. In such
applications, most or all of the protein atoms are held frozen during a calculation while only the active site side
chain and the substrate ligand are allowed to move. In principle, energies computed with the local electrostatic fo-
cusing method should correlate with those computed with the original electrostatic focusing method if the movable
substrate/ligand atoms are well within the local region of interest. The “active site” or the local region is specified
as a rectangular box by the following six variables:
xmax The upper boundary of the box in x direction.
xmin The lower boundary of the box in x direction, XMAX has to be greater than XMIN.
ymax The upper boundary of the box in y direction.
ymin The lower boundary of the box in y direction, YMAX has to be greater than YMIN.
zmax The upper boundary of the box in z direction.
zmin The lower boundary of the box in z direction, ZMAX has to be greater than ZMIN.
Of course, these keywords are zero by default, i.e. the original electrostatic focusing would be invoked if these
keywords remain to be the default value of zero.
5.2.10. Options to enable multiblock focusing
In order to handle large molecular systems with typical computer hardwares available to our end users, the
basic principle of the electrostatic focusing discussed in the previous subsection is extended for the multiblock
electrostatic focusing method. Briefly, the time-limiting step of FDPB, the fine-grid calculation, is divided into a
series of smaller jobs, with each solving only a small local region of a large molecular system. Once all the smaller
jobs are finished, the solutions are combined to obtain the final energy for the large molecular system. Note
that this is an approximated method, just like the original electrostatic focusing method. In this implementation,
overlapping/padding grid points are used to preserve accuracy. Most of the settings for this feature are hidden from
end users except the dimensions of the multi-blocks. [166]
Before your production runs, please activate NPBVERB = 1 and check in the mdout file to see if your multi-
block settings are indeed reasonable. Here are some hints. First, the blocksize should be around 643to 963for
typical computers with 8GB memory. Secondly, the grid dimension, xm, should be divisible by (ngrdblkx −1), or
slightly larger, for the x direction. The same applies for y and z directiosn as well. Keep in mind that the incentive
for choosing this method is to be able to work with large systems on typical computer hardwares.
ngrdblkx The number of fine-grid points for a focusing block in x direction, (ngrdblkx −1)should be divisible
by FSCALE.
ngrdblky The number of fine-grid points for a focusing block in y direction, (ngrdblky −1)should be divisible
by FSCALE.
ngrdblkz The number of fine-grid points for a focusing block in z direction, (ngrdblkz −1)should be divisible
by FSCALE.
pbsa can also be run in parallel environment with pbsa.MPI executable but for multiblock focusing only. Do make
sure that the number of nodes is less than the number of focusing blocks.
5.3. Example inputs and demonstrations of functionalities
5.3.1. Single-point calculation of solvation free energies
Normally the default pbsa options are capable of dealing with most situations. Users should be fully aware of
the meaning of an option before they change its default value. In all the following example inputs, only the
76
5.3. Example inputs and demonstrations of functionalities
options that are different from their default values will be shown, and the explanations on the changes will be
given in detail. Here is a sample input file that might be used to perform single structure calculations.
Sample single point PB calculation
&cntrl
/
&pb
npbverb=1, istrng=150, fillratio=1.5, saopt=1,
/
Note that NPBVERB = 1 above. This generates much detailed information in the output file for the PB and NP
calculations. A useful printout is atomic SASA data for both PB and NP calculations which may or may not
use the same atomic radius definition. Since the FD solver for PB is called twice to perform electrostatic focus
calculations, two PB printouts are shown for each single point calculation. For the PB calculation, a common error
message can be generated when FILLRATIO is set to the default value of 2.0 for small molecules. This may cause
a solute to lie outside of the focusing finite-difference grid.
In this example INP is not set and equal to the default value of 2, which calls for non-polar solvation calculation
with the new method that separates cavity and dispersion interactions. The EDISPER term gives the dispersion
solvation free energy, and the ECAVITY term gives the cavity solvation free energy. The default options for the
NP calculation are set to the recommended values for the σdecomposition scheme and to use molecular volume
to correlate with cavity free energy. You can find recommended values for other decomposition schemes and other
options in Tables 1-4 of Ref. [148]. If INP is set to 1, the ECAVITY term would give the total non-polar solvation
free energy.
Finally, a few words on the RADIOPT option, set to the default value of 1 instructing PB to use the optimized
values instead of reading the radii from the prmtop file. Starting this release, the RADIOPT option only controls
the radius definition for the PB calculation. The INP=2 calculation automatically uses the default values, such as
atomic radii and solvent probes as optimized in Ref. [148]. On the other hand, the INP=1 calculation is allowed to
use whatever radii that a user decides to use.
The ion strength option ISTRNG is set to 150 in unit mM, a typical value for a physiological environment. The
FILLRATIO option is set to 1.5 because the biomolecule is relatively large. We set saopt to 1 because we need the
information of the molecular surface area (the molecular surface is defined as the solvent excluded surface since
SASOPT is set to its default value 0).
5.3.2. Implicit membrane model
pbsa now supports inclusion of an implicit membrane region in implicit solvation calculations. This feature
is enabled by setting MEMBRANEOPT to 1 (default value is 0, for off). The membrane will extend the solute
dielectric region to include a slab-like planar region running parallel to the xy plane. The thickness is controlled
by the MTHICK option. The default is 20 Å. The membrane region will be centered on the center of the finite-
difference grid by default, and can be offset along the z-axis using the MCTRDZ option (default is 0). Neither
option will have any effect unless MEMBRANEOPT is set to 1. The dielectric constant can be controlled using
epsmemb. We set the membrane interior dielectric constant to a value of 4.0 in this example. This is four times
that of the solute which defaults to 1 (same as vacuum). The value of epsmemb should always be set to a value
greater than or equal to epsin (solute dielectric constant) and less than epsout (solvent dielectric constant). These
default to 1.0 and 80.0 respectively.
When using the implicit membrane model, only SASOPT = 2, i.e. the smooth molecular surface based on the
revised density function, is currently supported. It is also suggested that periodic boundary conditions be used to
avoid unphysical edge effects. This is currently supported under the conjugate gradient solvers: Periodic
Conjugate Gradient (PCG) and Periodic Incomplete Cholesky Conjugate Gradient (PICCG), and can be
accomplished by setting IPB = 2 (default), BCOPT = 10, and SOLVOPT = 1 (PICCG, default) or SOLVOPT = 3
(PCG). In addition, ENEOPT needs to be set to 1 because the charge-view method (ENEOPT = 2) has not been
verified for this application.
Sample single point PB calculation with membrane region
77
5. PBSA
&cntrl
inp=0
/
&pb
radiopt=0, nfocus=1, maxitn=200,
bcopt=10, eneopt=1, solvopt=1,
sasopt=2, membraneopt=1, epsmemb = 4.0
outlvlset=true, outmlvlset=true
/
The MAXITN option is set to a bigger value, 200, than the default one, 100, because the conjugate gradient
method, when applied to periodic boundary conditions, seem to require slightly more iterations than non-periodic
conjugate gradient solvers.
To aid in visualization of the dielectric model, the level set function, which is used to locate the interfacial
surfaces between regions of differing dielectric constant, can be written to output files. Output of the total level
set function, including both the solute-solvent and membrane contributions, can be written to a DX formatted
volumetric data file by setting the OUTLVLSET option to “true”. The membrane contribution can be written to a
separate file by setting the OUTMLVLSET option to “true”. This may take a good deal of extra time, so be sure to
leave it off if you don’t want / need to visualize the levelset surface. Accordingly, NFOCUS is set to 1 because we
want the electrostatic potential and the level set function in both the solute and the solvent region.
Finally, if calculations need to be performed on a protein which includes a solvent filled channel region, this
region should be excluded from the membrane dielectric region. This can be accomplished by setting PORETYPE
= 1 to allow definition of a cylindrical exclusion region. This region will be centered upon the center of mass of
the solute and will extend the entire length of the membrane. Its radius may be controlled using PORERADIUS =
r, where r is the desired radius in angstroms. An initial visualization of the system is generally required to facilitate
selection of an appropriate radius (see section 8.4).
5.3.3. Single point calculation of forces
Since pbsa is released for single point calculations in AmberTools, no energy minimization or molecular
dynamics is supported. However, the PB procedure can be invoked to print out the numerical electrostatic forces
for developmental purposes. Here is a sample input:
Sample PB force computation
&cntrl
inp=0
/
&pb
npbverb=1, radiopt=0, frcopt=2
/
Note that INP is set to 0 to turn off non-polar solvation interactions. RADIOPT = 0 means the atomic radii from the
topology files will be used. FRCOPT is set to 2, i.e., induced surface charges are used to compute the electrostatic
energy and forces. Since CUTNB is equal to the default value of zero, an infinite cutoff distance is used for both
Coulombic and van der Waals interactions.
5.3.4. Comparing with Delphi results
Under identical condition, pbsa is highly consistent with Delphi in term of computed reaction field energies. In
this subsection, we briefly go over the details on how you can obtain comparable energies from both programs.
Apparently, you need coordinates, atomic charges, and atomic radii that have exactly the same numerical values
but in both the Amber format and the Delphi format, i.e., the pqr format.
For a Delphi computation with the following input parameters:
78
5.4. Visualization functions in pbsa
salt=0.150
ionrad=2.0
exdi=80.0
indi=1.0
scale=2.0
prbrad=1.5
perfil=50
bndcon=4
linit=1000
A comparable computation in pbsa can be obtained by using the following input file:
Sample PB for delphi comparison
&cntrl
ipb=1, inp=0
/
&pb
istrng=150, ivalence=1, iprob=2.0, dprob=1.5,
radiopt=0, bcopt=5, smoothopt=2, nfocus=1,
/
IPB is set to 1 to make sure pbsa is using the exactly same surface defination as Delphi. Note that the values of
exdi,indi,prbrad, and ionrad in Delphi should be consistent with the values of EPSOUT,EPSIN,DPROB,and
IPROB in pbsa, respectively. In Delphi salt=0.150 is set in the unit of M, while in pbsa ISTRNG = 150 is in
the unit of mM. In Delphi the grid spacing is set as the number of grids per Å, i.e., scale=2.0, while in pbsa the
grid spacing is set straight in Å as SPACE = 0.5. In Delphi the grid dimension is set as percentage of the solute
dimension over the grid dimension, i.e., perfil=50, which is equivalent to the ratio of solute dimension over grid
dimension set as FILLRATIO = 2 in pbsa. Finally, Delphi sets the boundary condition by bndcon=4 and pbsa sets
the boundary condition as BCOPT = 5; both programs mean to use the Debye-Huckel limitation behavior for each
atomic charged sphere. There are additional options in pbsa that do not have corresponding counterparts in Delphi.
For example, SMOOTHOPT is used to instruct the program to use a specific dielectric boundary smoothing option,
which is equivalent to that used in Delphi when set to 2. (see Section 5.2.3).
5.4. Visualization functions in pbsa
pbsa can produce volumetric data files to allow visualization of electrostatic potential and level set maps. There
are two points to note before continuing.
1. The data files generated can become quite large if small grid spacings are used since they will scale as the
cube of the inverse of grid spacing
2. Unless singularity removal methods are used, the potential at grid nodes corresponding to atom centers may
be quite large when compared to the potential at the molecular / atomic surface. This will often result in poor
contrast during visualization of the potential map, particularly when it is used as a color map for a molecular
surface.
These two points should be kept in mind when determining grid spacing. For visualization purposes, a grid spacing
of about one angstrom should provide good results. If finer spacing is needed, singularity removal (BCOPT = 6)
can be used to prevent poor contrast that could result from the presence of singularities. Lastly, when using grid
spacings of 0.5 Å or lower, the output files may become quite large (tens, or even hundreds of megabytes each)
and may take a significant amount of time (up to several seconds each) to generate.
5.4.1. Visualization of electrostatic potential using PyMol
pbsa can produce an electrostatic potential map for visualization in PyMol when setting PHIOUT = 1. By
default, pbsa outputs a file pbsa.phi in the Delphi binary format. The sample input file is listed below:
79
5. PBSA
Sample PB visualization input
&cntrl
inp=0
/
&pb
npbverb=1, space=1.,
phiout=1, phiform=0
/
To be consistent with the surface routine of PyMol, the option PHIOUT = 1 instructs pbsa to use the radii as defined
in PyMol. The finite-difference grid is also set to be cubic as in Delphi. The default DPROB value is equal to that
used in PyMol, 1.4 Å. A large grid spacing, e.g. 1 Å or higher, is recommended for visualization purposes, as
commented above.
Here is an example of loading the potential map in PyMol. First load the molecule in the form of prmtop and
inpcrd. In our case we need to rename our prmtop file to molecule.top and inpcrd file to molecule.rst and load the
molecule with commands
PyMol> load molecule.top
PyMol> load molecule.rst
The molecule will appear as an object “molecule”. Next display the surface of the molecule in the PyMol menu
by clicking “S” and then select surface. Now import the potential map generated by pbsa with the command in
PyMol
PyMol> load pbsa.phi
to create a value map object called “pbsa”. After this, create a value ramp called e_lvl from the potential map with
the command
PyMol> ramp_new e_lvl, pbsa, [-7, 0, 7]
You can assign surface_color to the e_lvl ramp with the command
PyMol> set surface_color, e_lvl, molecule
This will display the surface with the color scale according to the potential. You can adjust the value scale, such as
[-5, 0, 5], to change the color scale and use “rebuild” command to redraw the surface.
5.4.2. Writing electrostatic potential to DX format volumetric data file
To visualize the pbsa potential using VMD, you will need to set the output to DX format by changing
PHIFORM = 0 to PHIFORM = 2.
Sample PB visualization input
&cntrl
inp=0
/
&pb
npbverb=1, space=1., sasopt=2,
phiout=1, phiform=2
/
The program will now generate a file called pbsa_phi.dx. This format should be automatically recognized by
VMD. It can be either loaded directly into your molecule or as a separate file.
80

5.4. Visualization functions in pbsa
5.4.3. Loading DX format electrostatic potential data in VMD
1. go to the “File” menu in the VMD Main window.
2. Select “New Molecule...”.
• This will bring up the “Molecule File Browser” window
3. Click on the “Browse...” button in the “Molecule File Browser” window
4. Select the file “pbsa_phi.dx” that was generated by pbsa using the file selection dialogue that pops up.
• The “Determine file type:” drop down menu should now read “DX”.
5. Click the “Load” button.
VMD will, by default, display the data with an isosurface representation.
5.4.4. Changing the representation model
1. Select “Representations...” from the “Graphics” menu in the “VMD Main” window
• The “Graphical Representations” window should pop up
2. Select the object corresponding to the volumetric data you loaded from the “Selected Molecule” pull down
menu
3. Click on the representation you wish to change
• There should be one present for the isosurface being displayed
4. Click on the “Draw style” tab if it is not already selected
5. Select “Volume” from the “Coloring Method” pull down menu if it is not already chosen
• Another pull down menu will appear next to it.
• If you have multiple data files loaded for the same object you can choose which is used to color your
chosen draw method representation here
6. The “Drawing Method” pull down menu will let you choose a different visual representation model.
• To directly visualize potential data, use either “Isosurface” or “Volume Slice”
•VMD can also be used to visualize the corresponding electric field by choosing “Field Lines”.
Displayed below are Volume Slice representations of electrostatic potential maps generated for an aquaporin sys-
tem. Computations were run using the periodic conjugate gradient solver for a 1 Å grid spacing, and FILLRATIO
of 2.0. For the systems using implicit water, the charge singularity removal methodology was used.
From Left to right: Vacuum, Water only, Water and 20 Å slab-like membrane, Water and 20 Å slab-like mem-
brane with 6 Å cylindrical channel region removed.
Often, the data ranges will not be consistent between potential distributions for different implicit solvent setups.
E.g. the range of the electrostatic values seen for vacuum will likely be larger than the range for implicit water.
The range of values displayed can be set manually to provide consistent color scaling for comparison.
81
5. PBSA
5.4.5. Adjusting the color scale of the color map
1. Select “Colors...” from the “Graphics” menu in the “VMD Main” window
• This should cause the “Color Controls” window to pop up
2. Select the “Color Scale” tab
• The color scheme can be selected from the “Method” pull down menu
• The “Offset” and “Midpoint” sliders can be used to adjust the scaling of the color map.
–If singularities are present, it may be difficult to get a good scaling for volume maps generated
with fine grid spacings. In this case, either re-run with singularity removal on, or set the color
scale range manually as shown in the next section.
When singularity removal is not employed, the presence of singularities will cause the range of the electrostatic
potential distribution near the atom centers to be much wider than near the molecular surface. This typically results
in very poor contrast particularly for implicit solvent since the high dielectric constant in the solvent region will
amplify the effect. This can be compensated for by manually setting the Color Scale Data Range.
5.4.6. Changing the color scale range
1. Select desired representation to modify
2. Select “Volume” Coloring Method and Select the desired volumetric map to rescale from the pull down
menu.
• Each time you change the volumetric map being displayed, you will need to repeat this, so it is a good
idea to make multiple representations for each potential data set rather than switching between them
on the same representation.
3. Select the “Trajectory” tab
4. You should see the automatically computed range in the “Color Scale Data Range:” boxes. The left hand
box controls the minimum value for the range, the right hand box controls the maximum value for the range.
5. Set the minimum and maximum values as needed to improve the contrast. Often the inner 10% to 30% of
the total (automatic) range will give good contrast for a one angstrom grid spacing.
6. Click on the “Set” button when you are finished
7. To return to the automatic scaling that was originally calculated by VMD, click the “Autoscale” button.
Electrostatic potential data can also be used as a color map for other drawing methods. You will need to first load
the data into the molecule you wish to display.
5.4.7. Loading electrostatic potential data into an existing molecule
The names of the files are used as labels, so it is useful to rename them from “pbsa_phi.dx” to something more
descriptive before loading.
1. Select the molecule you wish to display the potential color map on in the “VMD Main” window
2. Go to the “File” menu in the VMD Main window.
3. Select “Load Data Into Molecule...”.
• This will bring up the “Molecule File Browser” window
4. Click on the “Browse...” button in the “Molecule File Browser” window
82
5.4. Visualization functions in pbsa
5. Select the file “pbsa_phi.dx” that was generated by pbsa using the file selection dialogue that pops up.
• The “Determine file type:” drop down menu should now read “DX”.
6. Click the “Load” button.
The data should now be loaded into the molecule you selected.
5.4.8. Using the electrostatic potential data as a color map
Once you have loaded a volumetric data file into a molecule, it can be used to generate a color map for any
representations of that molecules model.
1. Open the “Graphical Representations” window if it is not already open
• Select “Representations...” from the “Graphics” menu in the “VMD Main” window
2. Select the molecule you loaded the data into from the “Selected Molecule” pull down menu
3. Select the representation you wish to map the potential color map onto
4. Select the “Draw Style” tab if it is not already selected
5. Select “Volume” from the “Coloring Method” pull down menu
• Another pull down menu should appear next to it
• Choose the selection that corresponds to the data you just loaded, it should be the last one on the list if
it is the last one that was loaded.
VMD will attempt to automatically scale the color mapping used for Volumetric data that you load. The color scale
may be manually adjusted if needed (see previous section)
5.4.9. Loading and displaying the level set map
The level set used by pbsa to model the solute - solvent interface can be written to an output file in DX format
by setting OUTLVLSET to “true” in the input file.
Sample PB visualization input
&cntrl
inp=0
/
&pb
npbverb=1, space=1., sasopt=2,
phiout=1, phiform=2,
outlvlset=true
/
The level set will be written to a DX format volumetric data file named “pbsa_lvlset.dx”. This file can be used
to visualize the corresponding molecular surface. The level set file is loaded into VMD in the same manner as an
electrostatic potential data file. Cross sections can be viewed using the “Volume Slice” representation.
Shown below are the level sets for the aquaporin systems shown previously (no level set is shown for vacuum as
there is no dielectric interface being modeled in that system)
From left to right: Water, Water + Slab-like membrane, Water + Membrane with pore region
83

5. PBSA
5.4.10. Visualizing the molecular surface as an isosurface of the level set
The level set is constructed such that the molecular surface is the locus of all points where the level set is zero.
This allows us to use the Isosurface representation in VMD to display the solvent excluded surface by setting the
“Isovalue” to 0. Alternatively, if we wish to view the potential just outside the surface, we can set the “Isovalue”
to a number slightly higher than 0. E.g. 0.1 or 0.01.
1. Load the level set data file into the molecule.
• This is done using the same procedure as loading an electrostatic potential data file, but the level set
data file will be chosen instead of the potential data file.
2. Create a new Isosurface representation in the “Graphical Representations” window.
3. Select the volume map for the level set from the pull down menu
4. Choose an “Isovalue” at or slightly above 0.
5. Using the “Coloring Method” pull down menu, you may also use a previously loaded electrostatic potential
data file as a color map by selecting “Volume” and then selecting the appropriate volume map from the pull
down menu that appears.
•VMD will automatically assign color scale range every time.
• To compare multiple potential maps, it is often desirable to use the same color scale range for each.
The best way to do this is to make a new representation for each potential map and manually assign the
same color scale range to be identical for each (see previous section)
The examples below were generated for Aquaporin (1IH5 in the protein data bank) under various implicit solvent
options using a FILLRATIO of 2.0, grid spacing of 1Å. For each calculation, the periodic conjugate gradient
solver with singularity removal was used. The level set for the system modeling implicit water was used to build
the isosurfaces. The electrostatic potential data files were then overlayed as color maps with the color scale ranges
set to [-80000,80000].
From Left to right: Water only, Water + Slab Like Membrane, Water + Membrane with 6Å cylindrical pore.
84

5.4. Visualization functions in pbsa
5.4.11. Visualizing interior channels, voids, and solvent pockets
One of the common roles for membrane proteins is to act as a transmembrane channel, to allow specific sub-
stance to pass from one side of a membrane to another. Features such as solvent / ion channels or internal voids
will often be occluded from view by the exterior surface. One option that can allow these to be viewed is to use
the clipping plane tool in VMD.
1. Open the “Exensions” pull down menu in the “VMD Main” window and go to the “Visualization” submenu
and select “Clipping Plane Tool”.
2. The “Clip Tool” window should pop up.
3. The “Distance” slider allows clipping to be set
4. The “Normal” slider sets the normal of the clipping plane.
• The “flip” button on the right will let you clip from front to back, which will be useful to clip the
occluding exteriro surface from the view and reveal the interior.
The clipping tool was used to reveal the internal pore region for the aquaporin system setups used in the previous
section.
From Left to right: Water only, Water + Slab like Membrane, Water + Membrane with pore region excluded.
As an alternative, the level set map generated using PORTYPE=1 with the implicit membrane option will allow
a cylindrical region to be excluded from the membrane level set. The corresponding isosurface will show any
interior cavities or voids which fall within this region for isovalues at or slightly above 0 (since the level set at the
membrane-solute interface will be below 0). See the previous section for details on writing and loading the level
set file.
Shown below is the level set isosurface for the aquaporin system with implicit water plus a membrane with a
cylindrical region removed. The corresponding potential data was again overlayed as a color map. The surface of
the channel region, and the membrane-solvent interface planes are now clearly visible.
5.4.12. Importing / Modifying Atomic Radii to VMD from the prmtop file
Currently, VMD does not support loading radii for atoms directly from the prmtop file when it loads a molecule.
These values can be loaded relatively easily using the tkconsole, however. To do so:
85
5. PBSA
1. select “Tk Console” from the “Extensions” menu in the “VMD Main” window.
• The “VMD TkConsole” window will then open
2. Be sure that the atom you want to import radii for is the top molecule on the list in the VMD Main window.
If it is not, you will need to replace “top” with the appropriate ID
3. Type or copy and paste the following lines, but DO NOT hit enter yet.
set prot [atomselect “top” all]
$prot set radius {#RadiiList#}
4. You will now need to replace #RadiiList# with the one from the prmtop file.
a) Open the prmtop file for the molecule using a text editor
b) find the section that starts with “%FLAG RADII”
c) Highlight/Select the list of numbers that follows “%FORMAT(5E16.8)”
d) Copy the list (usually done by selecting “Copy” from the “Edit” menu in your text editor)
e) Go back to the “VMD TkConsole” window
f) Highlight/Select #RadiiList#
g) Select “Paste Ctrl-v” from the “Edit” menu in the “VMD TkConsole” window
5. Now hit return
• If this was successful, you should now have the correct radii for each atom in the molecule.
• you can have the console print the list of all radii by typing:
$prot get radius
• For a more human readable printout, use:
for {set ind 0} {$ind<[llength $rad]} {incr ind} \
{puts "Atom $ind radius is [lindex $rad $ind]"}
These radii are used by VMD to display the VDW surface (made by selecting “VDW” from the “Drawing
Method” pull down menu in the “Graphical Representations” window). One useful trick is to set them to be a
small amount larger (say .01 Å) than those used to generate the surface. This will ensure that the color map will
represent the external field just outside of the molecule. To modify the radii type or copy the following in the Tk
Console:
set rad [$prot get radius]
for {set ind 0} {$ind<[llength $rad]} {incr ind} \
{lset rad $ind [expr [lindex $rad $ind] +.01]}
The above code will increase all atomic radii by .01 angstroms. This can be changed if a different amount is
desired. (The code assumes you already followed steps 1 through 5 otherwise $prot will be undefined!)
5.5. pbsa in sander and NAB
5.5.1. Electrostatic forces/gradients in pbsa
Force calculation in the finite-difference Poisson-Boltzmann method is straightforward, though not a trivial
issue. It can be shown, by using the variation of the electrostatic free energy, that the electrostatic force density
consists of three components, viz., the reaction field force, the dielectric boundary force, and the ionic force. [167]
Since the ionic force is much smaller in absolute value than the other two components, we only include the reaction
field force and the dielectric boundary force in this release.
86
5.5. pbsa in sander and NAB
The reaction field force only exists where there are atomic charges, so that it is straightforward to be mapped
onto atoms. In contrast, the dielectric boundary force exists on the molecular surface where the dielectric constant
changes. The surface force, or pressure, cannot be easily mapped onto atoms. This is because a force-mapping
procedure from the molecular surface to atoms apparently needs the derivatives of molecular surface with respect
to atomic positions. However such derivatives do not exist for the widely used molecular surface definition, i.e.,
the solvent excluded surface (SES). We are actively developing an analytical molecular surface definition that is
consistent with the widely used SES definition for the numerical PB methods so that this difficulty will be overcome
in future releases.
Temporarily, a partial solution in the mapping of dielectric boundary force as described by Gilson et al[167]
is implemented for PB dynamics and minimization when the SES definition is used. The stability of the MD
simulation has been much improved with a more accurate mapping method of analytical SES.
5.5.2. Example for pbsa in sander
All pbsa functionalities are available in sander and all input options are exactly the same as in the standalone
pbsa. An apparent exception is IPB: you need to really set IPB to nonzero in order to invoke pbsa functionalities.
All other default values of PB options in sander are same as those in pbsa for single point calculations, whereas
there are some options that have different recommended or default values when PB minimization or dynamics is
enabled. These options are
space=0.25
arcres=0.125
fscale=4
eneopt=2
bcopt=6
frcopt=2
The SPACE, ARCRES and FSCALE are all set for higher resolution of the grid so that the force calculation can
be more accurate. The charge view method (ENEOPT = 2, FRCOPT = 2) is used here because it has been tested
to be able to run stable molecular dynamics simulations. Plus, BCOPT is set to 6 to remove charge singularity for
the same stability purpose. An example input for PBMD is given as follows
Sample PB visualization input
&cntrl
imin=0, ntx=1, irest=0,
ipb=2, ntb=0,
ntc=2, ntf=2,
tempi=100, temp0=100, ntt=3, gamma_ln=1,
nstlim=100000, dt=0.002,
ntpr=100, ntwr=100, ntwx=100,
/
&pb
npbgrid=500, nsnba=5,
/
IPB is explicitly set to 2 to enable PB dynamics. The NPBGRID option is set to 500, which means the finite
difference grid is regenerated every 500 dynamics steps. NSNBA = 5 means the atom-based pairlist is generated
every 5 steps. Please refer to Chapter 17 for the other &cntrl options. Note that the above input can be used with
sander only.
5.5.3. Example for pbsa in NAB
pbsa functionalities are available in NAB as a part of the standard build. However the available input options
are limited, please refer to the table in Section 37.1 for the list of available pbsa input options. The structures and
87
5. PBSA
parameters are supplied by NAB’s facility. Here is a sample of calls in a NAB program to the mm_options()
routine, in order to run pbsa:
mm_options("ntpr=1, cut=99.0"); // No solute-solute cutoff
mm_options("ipb=2"); // Use PBSA
mm_options("accept=0.000001"); // Convergence criterion
mm_options("dprob=1.6"); // Solvent probe radius for SASA
mm_options("radiopt=1"); // Useatom-type/charge-based radii
mm_options("fillratio=4"); // Coarse/Fine ratio of electrostatic focusing
88
6. Reference Interaction Site Model
In addition to explicit and continuum implicit solvation models, Amber also has a third type of solvation model
for molecular mechanics simulations, the reference interaction site model (RISM) of molecular solvation[168–
181]. In AmberTools, 1D-RISM is available as rism1d. 3D-RISM is available as an option in NAB,MMPBSA.py
and sander.rism3d.snglpnt is a simplified, standalone interface, ideal for calculating solvation thermodynamics on
individual structures and trajectories. Details specific to using sander and sander.MPI can be found in Chapter 17.
6.1. Introduction
RISM is an inherently microscopic approach, calculating the equilibrium distribution of the solvent, from which
all thermodynamic properties are then arrived at. Specifically, RISM is an approximate solution to the Ornstein-
Zernike (OZ) equation[169,178,179,182,183]
h(r12,Ω1,Ω2) = c(r12,Ω1,Ω2) + ρZdr3dΩ3c(r13,Ω1,Ω3)h(r32,Ω3,Ω2),(6.1)
where r12 is the separation between particles 1 and 2 while Ω1and Ω2are their orientations relative to the vector
r12. The two functions in this relation are h, the total correlation function, and c, the direct correlation function.
The total correlation function is defined as
hab(rab,Ωa,Ωb)≡gab(rab,Ωa,Ωb)−1,
where gab is the pair-distribution function, which gives the conditional density distribution of species babout a. In
cases where only radial separation is considered, for example by orientational averaging over site αof species a
and site γof species b, gives the familiar one dimensional site-site radial distribution function, gαγ (rαγ ).
For real mixtures, it is often convenient to speak in terms of a solvent, V, of high concentration and a solute, U,
of low concentration. A generic case of solvation is infinite dilution of the solute, i.e., ρU→0. We can rewrite
Equation (6.1), in the limit of infinite dilution, as a set of three equations:
hVV(r12,Ω1,Ω2) = cVV(r12,Ω1,Ω2) + ρVZdr3dΩ3cVV(r13,Ω1,Ω3)hVV(r32,Ω3,Ω2),(6.2)
hUV(r12,Ω1,Ω2) = cUV(r12,Ω1,Ω2) + ρVZdr3dΩ3cUV(r13,Ω1,Ω3)hVV(r32,Ω3,Ω2),(6.3)
hUU(r12,Ω1,Ω2) = cUU(r12,Ω1,Ω2) + ρVZdr3dΩ3cUV(r13,Ω1,Ω3)hVU(r32,Ω3,Ω2).(6.4)
Equation (6.3) is directly relevant for biomolecular simulations where we are often interested in the properties of
a single, arbitrarily complex solute in the solution phase. Solutions to Equation (6.3) can be obtained using 3D-
RISM. However, a solution to Equation (6.2) for pure solvent is a necessary prerequisite and is readily obtained
from 1D-RISM.
To obtain a solution to the OZ equations it is necessary to have a second equation that relates hand cor uniquely
defines one of these functions. The general closure relation is[182]
g(r12,Ω1,Ω2) = exp[−βu(r12,Ω1,Ω2) + h(r12,Ω1,Ω2)−c(r12,Ω1,Ω2) + b(r12,Ω1,Ω2)] (6.5)
uis the potential energy function for the two particles and bis known as the bridge function (a non-local functional,
representable as infinite diagrammatic series in terms of h[182]). It should be noted that uis the only point at
which the interaction potential enters the equations. Depending on the method used to solve the OZ equations, u
89
6. Reference Interaction Site Model
is generally an explicit potential. In principle, it should now be possible to solve our two equations. For example,
we may wish to use SPC/E as a water model. Inputting the relevant aspects of the SPC/E model into u, 1D-RISM
can be used to calculate the equilibrium properties of the SPC/E model. A different explicit water model will yield
different properties.
A fundamental problem for all OZ-like integral equation theories is the bridge function, which contains multiple
integrals that are readily solved only in special circumstances. In practice, an approximate closure relation must be
used. While many closures have been developed, at this time only three are implemented in 3D-RISM: hypernetted-
chain approximation (HNC), Kovalenko-Hirata (KH) and the partial series expansion of order-n(PSE-n).
For HNC, we set b=0, giving[182]
gHNC(r12,Ω1,Ω2) = exp(−βu(r12,Ω1,Ω2) + h(r12,Ω1,Ω2)−c(r12,Ω1,Ω2))
=exp(t∗(r12,Ω1,Ω2)) (6.6)
where t∗is the renormalize-indirect correlation function. HNC works well in many situations, including charged
particles, but has difficulties when the size ratios of particles in the system are highly varied and may not always
converge on a solution when one should exist. Also, as the bridge term is generally repulsive, HNC allows particles
to approach too closely, overestimating non-Coulombic interactions[179].
KH is a combination of HNC and the mean spherical approximation (MSA), the former being applied to the
spatial regions of solvent density depletion (g<1), including the repulsive core, and the latter to those of solvent
density enrichment (g>1), such as association peaks[178,179]
gKH(r12,Ω1,Ω2) = (expt∗(r12,Ω1,Ω2)for g(r12,Ω1,Ω2)≤1
1+t∗(r12,Ω1,Ω2)for g(r12,Ω1,Ω2)>1.(6.7)
Like HNC, KH handles Coulombic systems well but overestimates non-Coulombic interactions. Unlike HNC, it
does not have difficulties with highly asymmetric particle sizes and readily converges to stable solutions for almost
all systems of practical interest. The reliability of the KH closure makes it particularly suitable for molecular
mechanics calculations.
PSE-noffers the ability to interpolate between KH and HNC. Here, the exponential regions of solvent density
enrichment are treated as a Taylor expansion,
gPSE-n(r12,Ω1,Ω2) = (expt∗(r12,Ω1,Ω2)for g(r12,Ω1,Ω2)≤1
∑n
i=0(t∗(r12,Ω1,Ω2))i/i!for g(r12,Ω1,Ω2)>1.(6.8)
In the case of n=1, the KH closure is obtained, while in the limit of n→∞HNC is recovered. This allows a
balance between the numerical stability of KH and the often better accuracy of HNC.
6.1.1. 1D-RISM
1D-RISM is used to calculate bulk properties of the solvent and is a prerequisite for 3D-RISM, for which the
primary result is the bulk solvent site-site susceptibility in reciprocal space, χVV(k). As its name would suggest,
1D-RISM is a one-dimensional calculation. The six-dimensional OZ equations are reduced to one dimension (ra-
dial separation) via the fundamental RISM approximation[169–172,182,183], which produces the intramolecular
pair correlation matrix,
ωαγ (k) = sin(krαγ )/(krαγ )(6.9)
where αand γlabel the different atom types in the model. Note that atoms of the same type in RISM theory
have the same Lennard-Jones and Coulomb parameters. For example, most three site water models have two
RISM types, oxygen and hydrogen. Depending on the model, propane, C3H8, may have two carbon types and two
90

6.1. Introduction
hydrogen types. Equation (6.2) then becomes
hαγ (r) = ∑
µν Zdr0dr00ωαµ (r−r0)cµν (r0−r00)ωνγ (r00) + ρνhνγ (r00)
=1
(2π)3Zeik·rdkhωc[1−ρωc]−1ωiαγ
=
∞
∑
0
ω(k)c(k)ω(k)[ρc(k)ω(k)]n.(6.10)
Equation (6.10) must be complemented with one of the five closures currently supported by rism1d (see Sub-
section 6.4.1). In 1d, these are site-site closures and there is no orientational dependence. For example, the HNC
closure (Eq. (6.6)) becomes,
gHNC
αγ (r) = exp−βuαγ (r) + hαγ (r)−cαγ (r).(6.11)
Equation (6.10), with KH, HNC or PSE-nclosures, is readily applicable to liquid mixtures, with site indices
of the site-site correlation functions enumerating interaction sites on all (different) species in the solution and the
intramolecular matrix (6.9) set equal to zero for sites α,γbelonging to different species.
A dielectrically consistent version of 1D-RISM theory (DRISM) enforces the proper dielectric asymptotics of
the site-site correlation functions, and so provides the self-consistent dielectric properties of electrolyte solution
with polar solvent and salt in a range of concentrations, including the given dielectric constant of the solution
[184].
The 1D-RISM integral equations are then solved for the site-site direct correlation function in an iterative man-
ner, accelerated by the modified direct inversion of the iterative subspace (MDIIS) [179,185]. All correlation
functions are represented as one-dimensional grids and the convolution integrals in Equation (6.10) are performed
in reciprocal space by making use of a fast Fourier transform applied to the short-range parts of all the correlations,
while the electrostatic asymptotics are separated out and Fourier transformed analytically [179–181].
6.1.2. 3D-RISM
With the results from 1D-RISM, a 3D-RISM calculation for a specific solute can be carried out. For 3D-RISM
calculations, only the solvent orientational degrees of freedom are averaged over and Equation (6.3) becomes[177,
178]
hUV
γ(r) = ∑
αZdr0cUV
αr−r0χVV
αγ (r0),(6.12)
where χVV
αγ (r)is the site-site susceptibility of the solvent, obtained from 1D-RISM and given by
χVV
αγ (r) = ωVV
αγ (r) + ραhVV
αγ (r).
3D-RISM supports HNC, KH and PSE-nclosures (see Sections 6.6.1,37.1 and 29.3.1). As with the 1D-RISM
closures, these are constructed by analogy from Eqs. 6.6-6.8. For example, HNC becomes
gHNC,UV
γ(r) = exp−βuUV
γ(r) + hUV
γ(r)−cUV
γ(r).(6.13)
As with 1D-RISM, correlation functions are represented on (3D) grids, convolution integrals are performed in
reciprocal space and a self-consistent solution is iteratively converged upon using the MDIIS accelerated solver.
There is one 3D grid for each solvent type for each correlation function. For example, for a solute in SPC/E water
there will be both gUV
H(r)and gUV
O(r)grids. Each point on the gUV
H(r)will give the fractional density of water
hydrogen a that location of real-space.
To properly treat electrostatic forces in electrolyte solution with polar molecular solvent and ionic species, the
electrostatic asymptotics of all the correlation functions (both the 3D and radial ones) are treated analytically [179,
180,186]. The non-periodic electrostatic asymptotics are separated out in the direct and reciprocal space and the
remaining short-range terms of the correlation functions are discretized on a 3D grid in a non-periodic box large
91

6. Reference Interaction Site Model
enough to ensure decay of the short-range terms at the box boundaries [186]. The convolution of the short-range
terms in the integral equation (6.12) is calculated using 3D fast Fourier transform [187,188]. Accordingly, the
electrostatic asymptotics terms in the thermodynamics integral (6.15) below are handled analytically and reduced
to one-dimensional integrals easy to compute [186].
With a converged 3D-RISM solution for hUV and cUVit is straightforward to calculate solvation thermodynamics.
From the perspective of molecular simulations, the most important thermodynamic values are the excess chemical
potential of solvation (solvation free energy), µex and the mean solvation force, fUV
i(Ri), on each solute atom, i.
µex can be obtained through analytical thermodynamic integration for HNC,
µex,HNC =kBT∑
α
ρV
αZdr1
2hUV
α(r)2−cUV
α(r)−1
2hUV
α(r)cUV
α(r),(6.14)
KH ,
µex,KH =kBT∑
α
ρV
αZdr1
2hUV
α(r)2Θ−hUV
α(r)−cUV
α(r)−1
2hUV
α(r)cUV
α(r),(6.15)
and PSE-n,
µex,PSE-n=kBT∑
α
ρV
αZdr1
2hUV
α(r)2−cUV
α(r)−1
2hUV
α(r)cUV
α(r)
−(t∗(r))n+1
(n+1)!ΘhUV
α(r)#,(6.16)
where Θis the Heaviside function.
Analogous versions of Eqns. 6.6,6.15 and 6.16 are used in 1D-RISM. While these are used for DRISM they
are have been derived for XRISM. Furthermore, these equations have been derived a number of different ways
with slightly different functional forms of the −1
2hc term [178,189–192]. These different functional forms are
equivalent in XRISM but not in DRISM. The form introduced by Pettitt and Rossky [190] is the most popular
in the literature and the default selection in rism1d. It is possible to have rism1d evaluate and output all three
functional forms (see Output) but, for DRISM, none of these expressions are correct.
The force equation
fUV
i(Ri) = −∂ µex
∂Ri=−∑
α
ραZdrgUV
α(r)∂uUV
α(r−Ri)
∂Ri
is valid for all closures with a path independent expression for the excess chemical potential, such as HNC, KH
and PSE-nclosures implemented in 3D-RISM [168,193–195].
In addition to closure specific expressions for the solvation free energy, other approximations also exist. The
Gaussian fluctuation (GF) approximation[196,197] is given as
µex,GF =kBT∑
α
ρV
αZdr−cUV
α(r)−1
2hUV
α(r)cUV
α(r)
and has been shown to yield improved absolute solvation free energies for both polar and non-polar solutes[197,
198] but not necessarily for relative free energies[199]. It is not associated with a particular closure but is typically
used in place of the expression for a given closure.
Eqs. (6.14)-(6.16) give the total solvation free energy, ∆Gsol, but it is often useful to decompose this into elec-
trostatic (solvent polarization), ∆Gpol, and non-electrostatic (dispersion and cavity formation), (∆Gdis +∆Gcav),
terms. Conceptually, we can divide the path of the thermodynamic integration into two steps: first the solute
without partial charges is inserted into the solvent (dispersion and cavity formation) and then partial charges are
introduced, which polarize the solvent,
µex =∆Gsol =∆Gpol +∆Gdis +∆Gcav.
∆Gsol is produced by a 3D-RISM calculation on the charged solute. ∆Gpol is then the difference of the two
92

6.1. Introduction
calculations. As a point of reference, generalized-Born and Poisson-Boltzmann methods calculate only ∆Gpol and,
typically, use a calculation involving solvent accessible surface area to predict ∆Gdis +∆Gcav.
6.1.3. Analytic Temperature Derivatives
For the thermodynamic analysis of solvation, it is often useful to calculate the energetic and entropic contribu-
tions, εsolvand −TSsolv respectively, to the solvation free energy. It has been shown that it is possible to analytically
decompose the solvation free energy into these two contributions when the solvation free energy has a closed ana-
lytical form, such as with HNC and KH closure [200]. In what follows, the analytical expression of energetic and
entropic contributions to the solvation free energy are derived in the framework of 1D-RISM theory with HNC
closure. The similar derivation can be applied to other closures as well as to the framework of 3D-RISM theory.
At this time, temperature derivatives are implemented for rism1d with HNC, KH and PSE-nclosures.
The solvation free energy of species U in a solution consisting of N total species is expressed in the RISM-HNC
framework as
µex,U
HNC =kBT∑on U
α∑N
M=1∑on M
γργRdrh1
2hαγ (r)2−cαγ (r)−1
2hαγ (r)cαγ (r)i.
The differentiation of the solvation free energy with respect to the temperature Tleads to
δTµex,U
HNC =
µex,U
HNC +kBT∑on U
α∑N
M=1∑on M
γργRdr"hαγ (r)·δThαγ (r)−δTcαγ (r)−1
2δThαγ (r)·cαγ (r)−1
2hαγ (r)·δTcαγ (r)#.
where δTis T∂
∂T. Since µex,U
HNC =εsolv,U−TSsolv,U, we have δTµex,U
HNC =−TSsolv,Uand therefore the above equation
can be rearranged as
εsolv,U=
−kBT∑on U
α∑N
M=1∑on M
γργRdr"hαγ (r)·δThαγ (r)−δTcαγ (r)−1
2δThαγ (r)·cαγ (r)−1
2hαγ (r)·δTcαγ (r)#.
It is noted that the solvation energy εsolv,Ucan be viewed as consisting of two contributions: one arising from
creation of a polarized cavity (in pure solvent) and the other corresponding to the energy of embedding the solute
molecule into the cavity. The former is the solvent reorganization energy and the latter is the average
solute-solvent interaction energy that is obtained as ∑α∑γργRdruαγ gαγ .
The temperature derivatives of correlation functionsδTh(r)and δTc(r)can be obtained by solving the tempera-
ture derivative of RISM-HNC equations
δTh(k) = w(k)δTc(k)w(k) + ρw(k)δTc(k)h(k) + ρw(k)c(k)δTh(k)
and
δThαγ (r) = huαγ (r)
kBT+δThαγ (r)−δTcαγ (r)i(hαγ (r) + 1).
Some practical examples can be found in [201] and [202].
93

6. Reference Interaction Site Model
6.2. Practical Considerations
6.2.1. Computational Requirements and Parallel Scaling
Calculating a 3D-RISM solution for a single solute conformation typically requires about 100 times more com-
puter time than the same calculation with explicit solvent or PB. While there are other factors to consider, such as
sampling confined solvent or overall efficiency of sampling in the whole statistical ensemble at once, this can be
prohibitive for many applications. Memory is also an issue as the 3D correlation grids require anywhere from a
few megabytes for the smallest solutes to gigabytes for large complexes. A lower bound and very good estimate
for the total memory required is
Total memory ≥8bytes×
Nbox NV
2NMDIIS
| {z }
c,residual
+1
|{z}
u
+Ndecomp
| {z }
polar decomp
Npropagate
| {z }
past solutions
(Nbox +2NyNz)
4
|{z}
asymptotics
+1
|{z}
FFT scratch
+2
|{z}
g,h
NV
where Nbox =Nx×Ny×Nzis the total number of grid points, NVis the number of solvent atom species and NMDIIS
is the number of MDIIS vectors used to accelerate convergence. uUV,cUV and the residual of cUV are stored in
real-space only and require a full grid for each solvent. cUV and its residual also require NMDIIS grids for the
MDIIS routine (see the mdiis_nvec keyword) and Npropagate grids to make use of solutions from previous solute
configurations to improve the initial guess (see the npropagate keyword). If a polar/non-polar decomposition is
requested (see the polardecomp keyword) an additional set of grids for past solutions with no solute charges is
kept (Ndecomp =2); by default this is turned off (Ndecomp =1). The full real space grid plus an additional 2NyNx
grid points are needed (due to the FFT) for gand hfor each solvent species and for the four grids required
to compute the long range asymptotics. Memory, therefore, scales linearly with Nbox while computation time
scales as O(Nbox log(Nbox)) due to the requirements of calculating the 3D fast Fourier transform (3D-FFT). To
overcome these requirements, two options are available beyond optimizations already in place, multiple time steps
and parallelization. Multiple time step methods are available only in sander (Chapter 17) and are applicable to
molecular dynamics calculations only. Parallelization is available for all calculations but is limited by system size
and computational resources.
Both sander and NAB have MPI implementations of 3D-RISM (see Section 6.5.5 for NAB compiling instruc-
tions) that distribute both memory requirements and computational load. As memory is distributed, the aggregate
memory of many computers can be used to perform calculations on very large systems. Memory distribution is
handled by the FFTW 3.3 library so decomposition is done along the z-axis. If a variable solvation box size is
used, the only consideration is to avoid specifying a large, prime number of processes (≥7). For fixed box sizes,
the number of grids points in each dimension must be divisible by two (a general requirement) and the number
of grid points in the z-axis must be divisible by the number of processes. sander.MPI also has the additional
consideration that the number of processes cannot be larger than the number of solute residues; NAB does not suffer
from this limitation.
6.2.2. Output
gUV,hUV and cUV files can be output for 3D-RISM calculations and are useful for visualization and calculation of
thermodynamic quantities. These use the ASCII Data Explorer (DX) file format (See http://ambermd.org/formats.html)
so there is one file for each solvent atom type for each requested frame. Each file is 348 +Nbox ×161
3bytes,
which can quickly fill disk space. Also, very few visualization programs are capable of displaying both molecular
and volumetric trajectories.
94
6.3. Work Flow
6.2.3. Numerical Accuracy
Numerical accuracy depends on the specified residual tolerance for the solution and the solvation box physical
size and grid spacing. Almost all applications should use a grid spacing of 0.5 Å. A larger grid spacing quickly leads
to severe errors in thermodynamic quantities. Smaller grid spacing may be necessary for some applications (e.g.,
mapping potentials of mean force) but this is rare and computationally expensive. A buffer distance between the
solute and the edges of the solvent box should typically be 14 Å for water or larger for ionic solutions. Molecular
dynamics[168], minimization and trajectory post-processing[199] have different requirements for the maximum
residual tolerance. Molecular dynamics does well with a tolerance of 10−5and npropagate=5. Minimization
requires tolerances of 10−11or lower and drms ≥10−4. Trajectory post-processing for MM/RISM type calculations
typically have high statistical noise from the trajectory itself and it is possible to use a tolerance of 10−3and
npropagate=1. However, this should be compared against a tolerance of 10−5on a subset of the data before
committing to this level of accuracy.
6.2.4. Solution Convergence
6.3. Work Flow
Using 3D-RISM with SANDER or NAB for molecular dynamics, minimization or snapshot analysis is very
similar to using implicit solvent models like GBSA or PBSA. However, some additional preliminary setup is
required, the extent of which depends on the solvent to be used.
3D-RISM requires detailed information of the bulk solvent in the form of the site-site susceptibility, χVV, and
properties such as the temperature and partial charges. This is read in as an .xvv file, which is produced by a
1D-RISM calculation. If another 3D-RISM calculation is to be preformed with any details of the bulk solvent
changed (e.g., temperature or pressure) a new .xvv file must be produced. Examples of precomputed .xvv files
for SPC/E and TIP3P water can be found in $AMBERHOME/AmberTools/test/rism1d.
Special care must be taken when producing .xvv files for use with 3D-RISM, particularly with respect to grid
parameters. It is important that the spatial extent of the grid be large enough to capture the essential long range
features of the solvent while the spacing must be fine enough to sample the short-range structure. A grid spacing
of 0.025 Å is sufficient for most applications. The number of grid points required, which will determine the
physical length of the grid in Å, generally depends on the properties of the solvent. Low concentration aqueous
salt solutions typically require much larger grids than pure bulk water. A good indicator that the grid is large
enough is convergence of delhv0 in the .xvv file. When converged, delhv0 should retain four to five digits of
precision when the number of grid points is doubled.
1D-RISM calculations require details of the some bulk properties of the solvent, such as temperature and di-
electric constant, and an explicit model of the molecular components. These are read in from one or more .mdl
files, depending on the composition of the solvent. Several .mdl files are included in the Amber11 distribution
and can be found in $AMBERHOME/dat/rism1d/mdl. These include many of the explicit models for solvent and
ions used with the Amber force fields. Other solvents models may be used by creating appropriate MDL files. See
http://ambermd.org/formats.html for format details.
6.4. rism1d
1D-RISM calculations are carried out with rism1d, and require only one input file with an .inp suffix. The
input file is listed on the command line without this suffix.
rism1d inputfile
Parameters for the calculation are read in from parameters name list.
6.4.1. Parameters
Note that these keywords are not case sensitive.
95
6. Reference Interaction Site Model
Theory
theory [DRISM] The 1D-RISM theory to use.
DRISM Dielectrically consistent RISM (recommended).
XRISM Extended RISM.
closure [KH] The type of closure to use.
KH Kovalenko-Hirata (recommended).
PSEnPartial serial expansion of order n. E.g., “PSE3”.
HNC Hyper-netted chain equation.
PY Percus-Yevick.
temperature_deriv [1] Solve another set of integral equations to calculate the temperature derivative. This typically
adds less than 50% to the compute time and yields an energy/entropy decomposition of the excess
chemical potential for all species and sites.
0Do not calculate the temperature derivative.
1Calculate the temperature derivative.
Grid Size
dr [0.025] Grid spacing in real space in Å.
nr [16384] Number of grid points. Should be a product of small prime factors (2, 3 and 5).
Output
outlist [] Indicates what output files to produce. Output file names use the root name of the input file with
an extension listed below. This is a list of any combination of the following characters in any order,
upper or lower case.
UUVV(r)Solvent site-site potential in real space, inputfile.uvv (see http://ambermd.org/formats.html).
XχVV(k)Solvent site-site susceptibility in reciprocal space. Required input for 3D-RISM, inputfile.xvv
(see http://ambermd.org/formats.html).
GGVV(r)Solvent site-site pair distribution function in real-space, inputfile.gvv (see http://ambermd.org/formats.html).
BBVV(r)Solvent site-site bridge correction in real space, inputfile.bvv (see http://ambermd.org/formats.html).
TThermodynamic properties of the solvent, inputfile.therm (see http://ambermd.org/formats.html).
EexNVV(r), exNVV Solvent site-site running, inputfile.exnvv, and total, inputfile.n00 (see
http://ambermd.org/formats.html), excess coordination numbers in real space.
NNVV(r)Solvent site-site running coordination numbers in real space, inputfile.nvv (see http://ambermd.org/formats.html).
QexQVV Solvent site-site excess total charge of site γabout α,inputfile.q00 (see http://ambermd.org/formats.html).
SSVV(k)Solvent site-site structure factor in reciprocal space, inputfile.svv (see http://ambermd.org/formats.html).
rout [0] Largest real space separation in Å for output files. If 0 then all grid points will be output.
kout [0] Largest reciprocal space separation in Å-1 for output files. If 0 then all grid points will be output.
ksave [-1] Output an intermediate solution every ksave steps. If ksave <= 0 then no intermediate restart
files are written. If any restart files are present at run time (.sav suffix) they are automatically used.
However, such files are non-portable binary files.
96
6.4. rism1d
progress [1] Write the current residue to standard output every progress iteration. If progress <= 0 then
residue is not reported.
selftest [0] If ‘1’, perform a self-consistency check and output the results to inputfile.self.test. Only
tests applicable to the input parameters and system are performed. The results will depend on the input
parameters (e.g., ‘tolerance’) used.
Species keywords
For each molecular species in the solvent mixture, a species name list should be provided.
density [] (Required.) Density of the species in M. See ’units’ below.
units [‘M’] Units for density value. Options are ‘M’ (molar), ‘mM’ (millimolar), ‘1/A^3’ (number per Å3),
‘g/cm^3’ (g/cm3) or ‘kg/m^3’ (kg/m3).
model [] (Required.) Relative or absolute path to and name of the .mdl file with the parameters for this solvent
molecule.
Solution Convergence
rism1d uses MDIIS to accelerate convergence. The default parameters for this method are usually near optimal
but some systems can be difficult to converge. In such cases it may be useful to use a small step size (mdiis_del=0.1
or 0.2). Occasionally, the target tolerance of 10−12 can not be achieved. A tolerance of 10−10 to 10−11 is often
sufficient but it is advisable to check how sensitive your calculations are to this.
mdiis_nvec [20] Number of MDIIS vectors to use.
mdiis_del [0.3] MDIIS step size.
tolerance [1e-12] Target residual tolerance for the self-consistent solution.
maxstep [10000] Maximum number of iterations to converge to a solution.
extra_precision [1] Controls the use of extra precision routines at key points in the 1D-RISM solver. This can
be useful for achieving low tolerances or for very large box lengths but increases computational cost.
Strongly recommended for solutions with charged particles (e.g., salts).
0 No extra precision routines are used.
1 Sensitive matrix multiplication and addition routines are done in extra precision. A small
computational cost is incurred.
Solvent Description
temperature [298.15] Temperature in Kelvin.
dieps [] (Required.) Dielectric constant of the solvent.
nsp [] (Required.) Number of species (molecules) in the solutions. Also indicates the number of species
name lists to follow.
Other
smear [1.0] Charge smear parameter in Å for long range asymptotics corrections.
adbcor [0.5] Numeric parameter for DRISM.
97
6. Reference Interaction Site Model
6.4.2. Example
Mixed ionic solvent.
&PARAMETERS
THEORY=’DRISM’, CLOSURE=’KH’, !Theory
NR=16384, DR=0.025, !Grid size and spacing
OUTLIST=’x’, ROUT=384, KOUT=0, !Output
MDIIS_NVEC=20, MDIIS_DEL=0.3, TOLERANCE=1.e-12, !MDIIS
KSAVE=-1, !Check pointing
PROGRESS=1, !Output frequency
MAXSTEP=10000, !Maximum iterations
SMEAR=1, ADBCOR=0.5, !Electrostatics
TEMPERATURE=310, DIEPS=78.497, NSP=3 !bulk solvent properties
/
&SPECIES
!SPC/E water
DENSITY=55.296d0, !very close to 0.0333 1/A3
MODEL="../../../dat/rism1d/model/SPC.mdl"
/
&SPECIES
!Sodium
units=’mM’
DENSITY=100,
MODEL="../../../dat/rism1d/model/Na+.mdl"
/
&SPECIES
!Chloride
units=’g/cm^3’
DENSITY=35.45e-4,
MODEL="../../../dat/rism1d/model/Cl-.mdl"
/
6.5. 3D-RISM in NAB
3D-RISM functionality is available in NAB and is built as part of the standard install procedure. MPI function-
ality for 3D-RISM in NAB requires some additional information at compile time, described in Section 6.5.5. At
this time, standard molecular dynamics and minimization with non-polarizable force fields are supported.
6.5.1. Solvation Box Size
The non-periodic solvation box super-cell can be defined as variable or fixed in size. When a variable box size
is used, the box size will be adjusted to maintain a minimum buffer distance between the atoms of the solute and
the box boundary. This has the advantage of maintaining the smallest possible box size while adapting to changes
of solute shape and orientation. Alternatively, the box size and grid spacing can be explicitly specified at run-time
and used for the duration of the calculation.
Regardless of how the solvation box is defined, the “center” of the solute is placed in the middle of the box. The
center of the solute and how it is placed in the solvent box is controlled with the centering keyword. Generally,
centering=1 (center=center-of-mass) is the default and should be used for MD and centering=2 (center=center-of-
geometry) should be used for minimization. Center-of-mass and center-of-geometry are conserved quantities in
each method respectively.
Other options for solute centering are available for special situations. To restrict the absolute position of grid-
points to be integer multiples of the grid-spacing (e.g., (2.5 Å,3.0 Å) for a grid spacing of 0.5 Å) use centering=3
98

6.5. 3D-RISM in NAB
for center-of-mass and centering=4 for center-of-geometry. To perform centering only on the first calculation (i.e.,
first step of MD or minimization or first frame of a trajectory analysis), use the negative integer corresponding to
the desired center definition. This allows the solute to drift in the solvent box. Finally, with some care, it is possible
to achieve custom centering using centering=0. Here, no solute centering is performed and the solvent grid has an
origin of (0,0,0) and a center of (x-length
2+dx,y-length
2+dy,z-length
2+dz). If you use centering=0, it is advisable to
use a fixed-size solvent box.
6.5.2. I/O
All 3D-RISM options, including input and output files, are specified using mm_options() (see Section 37.1).
Generated output files can be quite large and numerous. For each type of correlation, a separate file is produced
for each solvent atom type. The frequency that files are produced is controlled by the ntwrism parameter. For
every time step that output is produced, a new set of files is written with the time step number in the file name. For
example, a molecular dynamics calculation using an SPC/E water model with ntwrism=2 and guvfile=guv will
produce two files on time step ten: guv.O.10.dx and guv.H1.10.dx.
6.5.3. Examples
Molecular Dynamics
.
.
.
mm_options("ntpr=100, ntpr_md=100");
mm_options("dt=0.002"); //Large time step
mm_options("rattle=1"); //Use RATTLE
mm_options("cut=999.0"); //No solute-solute
//cut off
mm_options("rism=1"); //Use 3D-RISM-KH
mm_options("xvvfile=../rism1d/spc/spc.xvv.save"); //1D-RISM input
.
.
.
Minimization
.
.
.
mm_options("ntpr=1, cut=999.0"); //No solute-solute
//cut off
mm_options("rism=1"); //Use 3D-RISM-KH
mm_options("xvvfile=../rism1d/spc/spc.xvv.save"); //1D-RISM input
mm_options("tolerance=1e-11"); //Low tolerance
mm_options("solvcut=999.0"); //No solute-solvent
//cut off
mm_options("centering=2"); //Center solute
//using center-
//of-geometry
.
.
.
6.5.4. Thermodynamic Output
When nptrism6=0 thermodynamic data about the solvent is output. This is presented as a table
solute_epot: Total LJ Coulomb Bond
Angle Dihedral H-Bond LJ-14
Coulomb-14 Restraints 3D-RISM
99
6. Reference Interaction Site Model
Solute internal energy [kcal/mol] and its components. This is written as a single line.
rism_exchem: Total ExChem_1 ExChem_2 ...
Excess chemical potential (solvation free energy) [kcal/mol] for the closure used and the contribution from each
solvent atom type.
rism_exchGF: Total ExChem_GF_1 ExChem_GF_2 ...
Excess chemical potential (solvation free energy) [kcal/mol] using the Gaussian fluctuation approximation and
the contribution from each solvent atom type.
rism_exEnUV: Total Energy_1 Energy_2 ...
Average solute-solvent interaction energy [kcal/mol],
∆Usol =∑
α
ραZdrgUV
α(r)uUV
α(r),
and the contribution from each solvent atom type. Note that this is only a component of the solvation energy as it
does not include changes in the solvent-solvent interaction energy[203].
rism_volume: PMV
Partial molar volume of the solute [Å3].
rism_exNumb: ExNum_1 ExNum_2 ...
Excess number of each atom type of solvent accumulated by the solute.
rism_exChrg: Total ExChg_1 ExChg_2 ...
Excess charge [e] of each atom type of solvent accumulated by the solute.
rism_polar_: Total polar_1 polar_2 ...
Solvent polarization contribution to the total excess chemical potential [kcal/mol] and the contribution from each
solvent atom type. Only present when polardecomp=1.
rism_apolar: Total apolar_1 apolar_2 ...
Cavity formation and dispersion contribution to the total excess chemical potential [kcal/mol] and the
contribution from each solvent atom type. Only present when polardecomp=1.
rism_polGF_: Total polarGF_1 polarGF_2 ...
Solvent polarization contribution to the Gaussian fluctuation total excess chemical potential [kcal/mol] and the
contribution from each solvent atom type. Only present when polardecomp=1.
rism_apolGF: Total apolarGF_1 apolarGF_2 ...
Cavity formation and dispersion contribution to the Gaussian fluctuation total excess chemical potential [kcal/mol]
and the contribution from each solvent atom type. Only present when polardecomp=1.
6.5.5. Compiling MPI 3D-RISM
Executables compiled with mpinab and 3D-RISM must link to both C and Fortran MPI libraries, which is not the
default behaviour of most MPI compilers. As there are a wide variety of MPI implementations and no standards
for naming Fortran libraries, 3D-RISM is not included by default when compiling mpinab. The additional steps
required to include 3D-RISM in mpinab are
100
6.6. rism3d.snglpnt
1. If
a) you are using OpenMPI or MPICH2, proceed to step 2.
b) you are not using OpenMPI or MPICH2, identify the Fortran 77 libraries corresponding to your MPI
implementation. These will be found in the lib directory for your MPI implementation and will likely
contain “f” or “f77” in the file name. Set the XTRA_FLIBS environment variable to contain the com-
piler directive to link the library.
For example, the OpenMPI and MPICH2 library files are libmpi_f77.a and libfmpich.a respectively (the
suffix may vary) and XTRA_FLIBS could be explicitly set as:
OpenMPI export XTRA_FLIBS=-lmpi_f77
MPICH2 export XTRA_FLIBS=-lfmpich
2. Run configure and specify both -mpi and -rismmpi. For example:
./configure -mpi -rismmpi gnu
3. For dynamically linked executables (the default), set your LD_LIBRARY_PATH environment variable to the
location of your MPI library:
export LD_LIBRARY_PATH=$MPIHOME/lib where
$MPIHOME is the base directory for you MPI installation.
6.6. rism3d.snglpnt
3D-RISM functionality is also available in the command line tools rism3d.snglpnt and rism3d.snglpnt.MPI in-
stalled at compile time. These programs perform single point 3D-RISM calculations on trajectories and individual
solute snapshots. No other processing is done to the structures so unwanted solvent molecules should be removed
before hand. Except for minimization and molecular dynamics, all 3D-RISM features are available. Thermody-
namic data is always output (see Section 6.5.4). Note that these executables are built by NAB so please see Section
6.5.5 on ensuring rism3d.snglpnt.MPI is built.
6.6.1. Usage
3D-RISM specific command line keywords generally correspond to keyword options available in NAB’s mm_options
(see Section 37.1). If run without input, rism3d.snglpnt prints default settings for all parameters.
--pdb PDB file (Required, input.) PDB file for the solute. Coordinates are only used if a restart or trajectory file
is not supplied.
--prmtop prmtop file (Required, input.) Parameter topology file for the solute.
--rst restart file (Optional, input.) Coordinates for the solute in restart format.
--nc NetCDF file (Optional, input.) Trajectory for the solute in NetCDF format.
--xvv XVV file (Required, input.) Bulk solvent susceptibility file from 1D-RISM (see http://ambermd.org/formats.html).
--guv GUV root (Optional, output.) Root name for 3D solvent pair distribution files.
--cuv CUV root (Optional, output.) Root name for 3D solvent direct correlation files.
--huv HUV root (Optional, output.) Root name for 3D solvent total correlation files.
--uuv UUV root (Optional, output.) Root name for 3D solvent potential [kT] files.
--asymp asymptotics root (Optional, output.) Root name for 3D real-space long range asymptotics for total and
direct correlation files. This will produce one file for each of Cand Hfor each frame requested and
does not include the solvent site charge. Multiply the distribution by the solvent site charge to obtain
the long-range asymptotics for that site.
101
6. Reference Interaction Site Model
--quv QUV root (Optional, output.) Root name for 3D solvent charge density distribution files. This is the charge
density [e/Å] at each grid point with contributions from all solvent types.
--chgdist charge distribution root (Optional, output.) Root name for 3D solvent charge distribution files. This
gives a point charge [e] at each grid point with contributions from all solvent types.
--volfmt (Optional.) Format of volumetric data files. May be dx for DX files or xyzv for XYZV format (see
http://ambermd.org/formats.html).
--closure closure name (Optional.) A list of one or more of KH,HNC or PSEnwhere “n” is a positive integer.
If more than one closure is provided, the 3D-RISM solver will use the closures in order to obtain a
solution for the last closure in the list when no previous solutions are available. The solution for the
last closure in the list is used for all output. This can be useful for difficult to converge calculations
(see §6.2.4).
--closureorder closure order (Deprecated.) Specifies the order of the PSE-nclosure if the closure name is
given as “PSE” or “PSEN” (no integers).
--noasympcorr (Optional.) Turn off long range asymptotic corrections for thermodynamic output only. Long-
range asymptotics are still used to calculate the solution.
--buffer distance (Optional.) Minimum distance between the solute and the edge of the solvent box. Use this
with --grdspc. Incompatible with --ng and --solvbox.
--solvcut distance (Optional.) Set solute-solvent interaction cut off distance. If no value is specified then the
buffer distance is used. If a buffer distance is not provided, the cut off must be explicitly set. Note that
Coulomb interactions are interpolated and not truncated beyond the cut off. See [168] for details.
--grdspc 3D grid spacing (Optional.) Comma separated linear grid spacings for x,yand zdimensions. Use this
with --buffer. Incompatible with --ng and --solvbox.
--ng 3D grid points (Optional.) Comma separated number of grid points for x,yand zdimensions. Use this with
--solvbox. Incompatible with --buffer and --grdspc.
--solvbox 3D box length (Optional.) Comma separated solvation box side length for x,yand zdimensions. Use
this with --ng. Incompatible with --buffer and --grdspc.
--tolerance residual target (Optional.) A list of maximum residual values for solution convergence. When
used in combination with a list of closures it is possible to define different tolerances for each of
the closures. This can be useful for difficult to converge calculations (see §6.2.4). For the sake of
efficiency, it is best to use as high a tolerance as possible for all but the last closure. Three formats of
list are possible.
one tolerance All closures but the last use a tolerance of 1. The last tolerance in the list is used by the
last closure. In practice this, is the most efficient.
two tolerances All closures but the last use the first tolerance in the list. The last tolerance in the list
is used by the last closure.
ntolerances Tolerances from the list are assigned to the closure list in order.
--mdiis_del step size (Optional.) MDIIS step size.
--mdiis_nvec # of vectors (Optional.) Number of previous iterations MDIIS uses to predict a new solution.
--maxstep step number (Optional.) Maximum number of iterative steps per solution.
--npropagate # old solutions (Optional.) Number of previous solutions to use in predicting a new solution.
--polarDecomp (Optional.) Decomposes solvation free energy into polar and non-polar components. Note that
this typically requires 80% more computation time.
102
6.7. 3D-RISM in sander
--centering method (Optional.) Select how solute is centered in the solvent box.
-4 Center-of-geometry with grid-point rounding. Center on first step only.
-3 Center-of-mass with grid-point rounding. Center on first step only.
-2 Center-of-geometry. Center on first step only.
-1 Center-of-mass. Center on first step only.
0No centering. Dangerous.
1Center-of-mass. Center on every step. Recommended for molecular dynamics.
2Center-of-geometry. Center on every step. Recommended for minimization.
3Center-of-mass with grid-point rounding.
4Center-of-geometry with grid-point rounding.
--verbose level (Optional.)
0No output.
1Print the number of iterations required to converge.
2Print convergence details for each iteration.
6.7. 3D-RISM in sander
In addition to explicit and continuum implicit solvation models, sander has a third type of solvation model
for molecular mechanics simulations, the reference interaction site model (RISM) of molecular solvation[168–
181,183]. General information is given above; some features specific to sander are discussed here.
6.7.1. Multiple Time Step Methods for 3D-RISM
At this time, the computational cost of 3D-RISM is still prohibitive for performing calculations at each step of
molecular dynamics calculations. One of the most effective ways to reduce this computational burden is to reduce
the number of solutions calculated by using multiple time step (MTS) methods. Two MTS methods, r-RESPA and
force-coordinate extrapolation (FCE), are implemented for 3D-RISM and can be combined such that solutions are
only calculated once every 10 or 20 fs. At this time, these methods are only available for sander and not NAB.
r-RESPA[204,205] and I-Verlet[206] impulse MTS algorithms are widely used methods to reduce the compu-
tational load of long-range interactions while maintaining the desirable properties of energy conservation and time
reversibility. Impulse MTS can be invoked for 3D-RISM independent of the existing r-RESPA implementation
using the RISMnRESPA variable. For typical biomolecular simulations, impulse MTS is limited to a maximum
step size of 5 fs[207]. Since the computational load of calculating all internal interactions of the solute is small
compared to the 3D-RISM calculation, it is recommend to use dt=0.001, nrespa=1 and RISMnRESPA=5.
To overcome the stability limitation of impulse MTS, FCE uses an efficient extrapolation method to predict the
forces for some time steps rather than computing a full 3D-RISM solution[168]. In this method, forces, {F}, on
NUsolute atoms for the current time step tkare approximated as a linear combination of forces from the nprevious
time steps obtained from 3D-RISM calculations,
{F}(k)=
n
∑
l=1
akl {F}(l),l∈3D-RISM steps.(6.17)
The weight coefficients akl are obtained by expressing the current set of coordinates, {R}(k), as a linear combination
of coordinates from the nprevious time steps for which 3D-RISM calculations were performed. That is, the current
set of coordinates is projected onto the basis of nprevious solute arrangements by minimizing the norm of the
103

6. Reference Interaction Site Model
}
RISMnRESPA
FCEstride X RISMnRESPA
FCEnbasis
Force
Time
extrapolated
solvation forces
solvation
forces
Figure 6.1.: Multiple time step methods in 3D-RISM. RISMnRESPA(= 5)is the number of base time steps between
application of solvation forces (exact or extrapolated). FCEnbasis(= 4)is the number of previous
solutions used to extrapolate forces, in this case four previous solutions. Once FCEnbasis solutions
have be calculated, exact 3D-RISM forces are calculated every FCEstride(= 2)×RISMnRESPA time
steps; solvation forces are otherwise obtained through extrapolation.
difference between the current 3 ×NUmatrix of coordinates {R}(k)and the corresponding linear combination of
the previous ones {R}(l),
minimize{R}(k)−
n
∑
l=1
akl {R}(l)
2
.
Coefficients akl are then used in Equation (6.17)to extrapolate forces at the current intermediate time step. Simi-
larly, the known coordinates for the current time step can be approximated from previous time steps as
{R}(k)=
N
∑
l=1
akl {R}(l).
FCE MTS does not conserve energy and is not time reversible. However, 3D-RISM calculations can be reduced
to a frequency of once every 10 to 20 fs and stable dynamics achieved by using a Langevin thermostat with
gamma_ln=10 to 20 ps−1. Combined impulse FCE MTS calculations (see Figure 6.1) start the simulation using
impulse MTS until the requested size for the basis set, FCEnbasis, is achieved. After a large enough basis set is
collected, 3D-RISM calculations are only performed once every FCEstride ×RISMnRESPA time steps.
6.7.2. 3D-RISM in sander
Full 3D-RISM functionality is available in sander as part of the standard install procedure. However, some
methods available in sander are not compatible with 3D-RISM, such as QM/MM simulations. At this time, only
standard molecular dynamics, minimization and trajectory post-processing with non-polarizable force fields are
supported. With the exception of multiple time step features, 3D-RISM keywords in sander are identical to those
in NAB, rism3d.snglpnt and MMPBSA.py.
3D-RISM specific command line options for sander are
sander [standard options] -xvv xvvfile -guv guvroot -huv huvroot
-cuv cuvroot -uuv uuvroot -asymp asympfile
-quv quvroot -chgdist chgdistroot
xvvfile input description of bulk solvent properties, required for 3D-RISM calculations. Produced by rism1d.
guvroot output rootname for solute-solvent 3D pair distribution function, GUV(R). This will produce one file for
each solvent atom type for each frame requested.
104
6.7. 3D-RISM in sander
huvroot output rootname for solute-solvent 3D total correlation function, HUV(R). This will produce one file for
each solvent atom type for each frame requested.
cuvroot output rootname for solute-solvent 3D total correlation function, CUV(R). This will produce one file for
each solvent atom type for each frame requested.
uuvroot output rootname for solute-solvent 3D potential energy function, UUV(R), in units of kT. This will
produce one file for each solvent atom type for each frame requested.
asympfile output rootname for solute-solvent 3D long-range real-space asymptotics for Cand H. This will pro-
duce one file for each of Cand Hfor each frame requested and does not include the solvent site charge.
Multiply the distribution by the solvent site charge to obtain the long-range asymptotics for that site.
quvroot output rootname for solute-solvent 3D charge density distribution [e/Å]. This will produce one file that
combines contributions from all solvent atom types for each frame requested.
chgdist output rootname for solute-solvent 3D charge distribution [e]. This will produce one file that combines
contributions from all solvent atom types for each frame requested.
Generated output files can be large and numerous. For each type of correlation, a separate file is produced for each
solvent atom type. The frequency that files are produced is controlled by the ntwrism parameter. Every time step
that output is produced, a new set of files is written with the time step number in the file name. For example, a
molecular dynamics calculation using an SPC/E water model with ntwrism=2 and -guv guv on the command line
will produce two files on time step ten: guv.O.10.dx and guv.H1.10.dx.
6.7.2.1. Keywords
With the exception of irism, which is found in the &cntrl name list, all 3D-RISM options are specified in the
&rism name list.
irism [0] Use 3D-RISM. Found in &cntrl name list.
= 0 Off.
= 1 On.
Closure Approximation
closure [KH] Comma separate list of closure approximations. If more than one closure is provided, the 3D-
RISM solver will use the closures in order to obtain a solution for the last closure in the list when no
previous solutions are available. The solution for the last closure in the list is used for all output.
= KH Kovalenko-Hirata (KH).
= HNC Hyper-netted chain equation (HNC).
=PSEnPartial series expansion of order-n(PSE-n), where “n” is a positive integer.
Long-range asymptotics Long-range asymptotics are used to analytically account for solvent distribution be-
yond the solvent box. Long-range asymptotics are always used to when calculating solution but can be omitted for
the subsequent thermodynamic calculations, though it is not recommended.
asympcorr [T] Use long-range asymptotic corrections for thermodynamic calculations.
= T Use the long-range corrections.
= F Do not use long-range corrections.
105
6. Reference Interaction Site Model
Solvation Box The non-periodic solvation box super-cell can be defined as variable or fixed in size. When a
variable box size is used, the box size will be adjusted to maintain a minimum buffer distance between the atoms
of the solute and the box boundary. This has the advantage of maintaining the smallest possible box size while
adapting to changes of solute shape and orientation. Alternatively, the box size can be specified at run-time. This
box size will be used for the duration of the sander calculation.
solvcut [buffer] Cut-off distance for solvent-solute potential and force calculations. If buffer <0and
solvcut is not explicitly set, solvcut =|buffer|. For minimization it is recommended to not use a
cut-off (e.g. solvcut=9999).
Variable Box Size
buffer [14] Minimum distance in Å between the solute and the edge of the solvent box.
< 0 Use fixed box size (ng3 and solvbox).
>= 0 Buffer distance.
grdspc [0.5,0.5,0.5] Linear grid spacing in Å.
Fixed Box Size
ng3 [] Sets the number of grid points for a fixed size solvation box. This is only used if buffer<0.
nx,ny,nz Points for x,yand zdimensions.
solvbox [] Sets the size in Å of the fixed size solvation box. This is only used if buffer<0.
lx,ly,lz Box length in x,yand zdimensions.
Solution Convergence
tolerance [1e-5] A list of maximum residual values for solution convergence. When used in combination with a
list of closures it is possible to define different tolerances for each of the closures. This can be useful
for difficult to converge calculations (see Subsection 6.4.1 for details). For the sake of efficiency, it is
best to use as high a tolerance as possible for all but the last closure. For minimization a tolerance of
1e-11 or lower is recommended. Three formats of list are possible.
one tolerance All closures but the last use a tolerance of 1. The last tolerance in the list is used by the
last closure. In practice this, is the most efficient.
two tolerances All closures but the last use the first tolerance in the list. The last tolerance in the list
is used by the last closure.
ntolerances Tolerances from the list are assigned to the closure list in order.
mdiis_del [0.7] “Step size” in MDIIS.
mdiis_nvec [5] Number of vectors used by the MDIIS method. Higher values for this parameter can greatly
increase memory requirements but may also accelerate convergence.
mdiis_method [2] Specify implementation of the MDIIS routine.
= 0 Original. For small systems (e.g. <643grid points) this implementation may be faster than the
BLAS optimized version.
= 1 BLAS optimized.
= 2 BLAS and memory optimized.
maxstep [10000] Maximum number of iterations allowed to converge on a solution.
106
6.7. 3D-RISM in sander
npropagate [5] Number of previous solutions propagated forward to create an initial guess for this solute atom
configuration.
= 0 Do not use any previous solutions
= 1..5 Values greater than 0 but less than 4 or 5 will use less system memory but may introduce
artifacts to the solution (e.g., energy drift).
Minimization and Molecular Dynamics
centering [1] Controls how the solute is centered/re-centered in the solvent box.
= -4 Center-of-geometry with grid-point rounding. Center on first step only.
= -3 Center-of-mass with grid-point rounding. Center on first step only.
= -2 Center-of-geometry. Center on first step only.
= -1 Center-of-mass. Center on first step only.
= 0 No centering. Dangerous.
= 1 Center-of-mass. Center on every step. Recommended for molecular dynamics.
= 2 Center-of-geometry. Center on every step. Recommended for minimization.
= 3 Center-of-mass with grid-point rounding.
= 4 Center-of-geometry with grid-point rounding.
zerofrc [1] Redistribute solvent forces across the solute such that the net solvation force on the solute is zero.
= 0 Unmodified forces.
= 1 Zero net force.
Trajectory Post-Processing
apply_rism_force [1] Calculate and use solvation forces from 3D-RISM. Not calculating these forces can save
computation time and is useful for trajectory post-processing.
= 0 Do not calculate forces.
= 1 Calculate forces.
Multiple Time Steps Multiple time step features are only available in sander.
rismnrespa [1] rismnrespa ×dt =RISM RESPA multiple time step size. 5 fs is the maximum time step. “1”
corresponds to no multiple time stepping.
fcestride [0] fcestride ×rismnrespa ×dt =FCE multiple time step size. I.e., full 3D-RISM solutions
are performed every fcestride ×rismnrespa steps. In between full solutions extrapolated force
impulses are applied every rismnrespa steps. Maximum step size for stable dynamics depends on
damping coefficient for Langevin dynamics. “1” corresponds to no multiple time stepping.
= 0 No FCE multiple time stepping.
= 1 Invokes the FCE code but yields the same trajectories as 0.
>= 1 Invoke FCE with 3D-RISM solutions every fcestride ×rismnrespa steps.
fcenbasis [10] Number of previous full solutions used to extrapolate new forces. If FCE is not used this can be
set to 1 to reduce memory usage.
fcecrd [0] The coordinates used for the FCE method.
= 0 The absolute x, y, z position of each neighbour atom (with translations due to centering).
107
6. Reference Interaction Site Model
= 1 For predicting the forces on atom i, use the distance of each neighbour atom as the “coordinate”.
This has one third the number of coordinates to use in the prediction. Also, directional informa-
tion is lost.
= 2 For predicting the forces on atom i, use the x, y, z position of each neighbour atom with atom ias
the origin. Recommended.
Output
ntwrism [0] Indicates that solvent density grid should be written to file every ntwrism iterations.
= 0 No files written.
>= 1 Output every ntwrism time steps.
volfmt [‘DX’] Format of volumetric data files. May be ’dx’ for DX files or ’xyzv’ for XYZV format. See the
AmberTools manual for more information.
verbose [0] Indicates level of diagnostic detail about the calculation written to the log file.
= 0 No output.
= 1 Print the number of iterations used to converge.
= 2 Print details for each iteration and information about what FCE is doing every progress itera-
tions.
write_thermo [1] Print solvation thermodynamics in addition to standard sander output. The format is the same
as that found in NAB and rism3d.snglpnt.
polarDecomp [0] Decomposes solvation free energy into polar and non-polar components. Note that this typically
requires 80% more computation time.
= 0 No polar/non-polar decomposition.
= 1 Polar/non-polar decomposition.
progress [1] Display progress of the 3D-RISM solution every kshow iterations. 0 indicates this information will
not be displayed. Must be used with verbose >1.
6.7.2.2. Example
Molecular Dynamics (imin=0)
molecular dynamics with 3D-RISM and impulse MTS
&cntrl
ntx=1, ntpr=100, ntwx=1000,ntwr=1000,
nstlim=10000,dt=0.001, !No shake or r-RESPA
ntt=3, temp0=300, gamma_ln=20, !Langevin dynamics
ntb=0, !Non-periodic
cut=999., !Calculate all
!solute-solute
!interactions
irism=1,
/
&rism
rismnrespa=5, !r-RESPA MTS
fcenbasis=10,fcestride=2,fcecrd=2 !FCE MTS
/
108
6.7. 3D-RISM in sander
Minimization (imin=1)
Default XMIN minimization with 3D-RISM
&cntrl
imin=1, maxcyc=200,
drms=1e-3, !RMS force. Can be as low as 1e-4
ntmin=3, !XMIN
ntpr=5,
ntb=0, !Non-periodic
cut=999., !Calculate all
!solute-solute interactions
irism=1
/
&rism
tolerance=1e-11, !Low tolerance
solvcut=9999, !No cut-off for
!solute-solvent interactions
centering=2 !Solvation box centering
!using center-of-geometry
/
Trajectory Post-Processing (imin=5)
Trajectory post-processing with 3D-RISM
&cntrl
ntx=1, ntpr=1, ntwx=1,
imin=5,maxcyc=1, !Single-point energy calculation
!on each frame
ntb=0, !Non-periodic
cut=9999., !Calculate all
!solute-solute interactions
irism=1
/
&rism
tolerance=1e-4, !Saves some time compared to 1e-5
apply_rism_force=0, !Saves some time. Forces are not used.
npropagate=1 !Saves some time and 4*8*Nbox bytes
!of memory compared to npropagate=5.
/
109

7. Empirical Valence Bond
7.1. Introduction
Chemical reactivity can be formulated within the empirical valence bond (EVB) model[208,209], whereby
the reactive surface is defined as the lowest adiabatic surface obtained by diagonalization of the potential energy
matrix in the representation of non-reactive diabatic states. These diabatic states can be described by a force field
approach, such as Amber, or by a prescription incorporating information from ab initio calculations. The coupling
elements in the matrix embody all the physics needed for describing transitions between the diabatic states.
As an example, the intramolecular proton transfer reaction in malonaldehyde (Figure 7.1) can be described by a
two-state EVB matrix
V=V11 V12
V21 V22 (7.1)
where valence bond state 1 represents the reactant state (RS) with the proton H9 bonded to O8 and valence bond
state 2 represents the product state (PS) with the proton bonded to O7. The matrix elements V11 and V22 are
simply the energies of the reactant and product systems. The off-diagonal elements of this symmetric matrix, i.e.
V12 =V21, couple these diabatic states.
Amber provides several options for computing the V12 resonance integrals. In its simplest form, V12 is set to
a constant value which provides an EVB surface that reproduces experimental or ab initio barrier heights. More
flexibility can be introduced into V12 by employing an exponential or Gaussian function of the coordinates. It has
recently been shown [210,211] that a linear combination of distributed Gaussian functions is the most accurate
and flexible form for V12. With a set of distributed Gaussians, V12 can be fit to high-level electronic structure data
using the following form,
V2
12(q) = ∑
K
NDim
∑
i≥j≥0
Bi jK g(q,qK,i,j,αK)(7.2)
V2
12(q) = [V11(q)−V(q)] [V22(q)−V(q)] (7.3)
g(q,qK,0,0,αK) = 1+1
2αK|q−qK|2exp−1
2αK|q−qK|2(7.4)
C
C
C
OO
H
H
9
7
5
1
3
8
4
2
6
RS PS
H
H
C
C
C
OO
H
H
9
7
5
1
3
8
4
2
6
H
H
Figure 7.1.: Intramolecular proton transfer in malonaldehyde.
111

7. Empirical Valence Bond
g(q,qK,i,0,αK) = (q−qK)iexp−1
2αK|q−qK|2(7.5)
g(q,qK,i,j,αK) = (q−qK)i(q−qK)jexp−1
2αK|q−qK|2(7.6)
where g(q,qK,i,j,αK)are s-, p-, and d-type Gaussians at a number of points, qK, on the potential energy surface,
NDim is the total number of internal coordinates, Vis the ab initio energy and Bis a vector of coefficients. It
is important to note that a nonstandard s-type Gaussian is employed to precondition the resulting set of linear
equations that is passed to a GMRES[212] (aka DIIS[213,214]) solver. For a more exhaustive discussion of the
DG EVB method please see reference [211]. Additionally, the EVB facility in Amber can perform MD or energy
optimization on the EVB ground-state surface and biased sampling along a predefined reaction coordinate (RC).
Nuclear quantization based on the Feynman path integral formalism [215–217] is also possible.
7.2. General usage description
The EVB facility is built on top of the multisander infrastructure in Amber. (Section 17.11) As such, the user
will need to build the parallel version of sander in order to utilize the EVB feature. Information for each EVB
diabatic state is obtained from separate (simultaneous) instances of sander. The energies and forces of all the states
are communicated via MPI to the master node, which is responsible for computing the EVB energy and forces and
broadcasting these to the other nodes for the next MD step.
The required input files are (1) an EVB multisander group file containing per line all the command line options
for each sander job, (2) the mdin, coordinate, and parmtop files specified in the group file, and (3) the EVB input
files. At the top level, an EVB calculation is invoked as follows:
mpirun -np <# procs> sander.MPI -ng <# groups> -groupfile <EVB group file>
The contents of the EVB group file is similar to that for a conventional multisander execution, with the addition
of a command line flag -evbin for specifying the name of the EVB input file. Below is an example of an EVB
group file:
# Malonaldehyde RS: H9 bonded to O8
-O -i mdin -p mr.top -c mr.crd -o mr.out -r mr.rst -evbin input.mr
# Malonaldehyde PS: H9 bonded to O7
-O -i mdin -p mp.top -c mr.crd -o mp.out -r mp.rst -evbin input.mp
Each line corresponds to a diabatic state, and comments are preceded by a #symbol in the first column of a line.
Now, it is important to notice in the above example that the starting configurations for both sander jobs are the
same, although the topology files are different. This constraint guarantees that the system starts in a physically
meaningful part of configuration space. Furthermore, it is critical that the atom numbers (delineating the atom
locations in the coordinate and parmtop files) are identical among the EVB diabatic states. In Figure 7.1, for
example, the atom numbers of the RS and PS malonaldehydes are identical. The only additional flag in the &cntrl
namelist of the mdin file is ievb, which has the following values
ievb Flag to run EVB
= 0 No effect (default)
= 1 Enable EVB. The value of imin specifies if the sander calculation is a molecular dynam-
ics (imin=0) or an energy minimization (imin=1). The variable evb_dyn in the &evb
namelist of the EVB input file refines this choice to specify if the calculation type is on
the EVB ground-state surface, on a mapping potential, or on a biased potential.
The argument of the command line flag -evbin provides the name of the EVB input file. Corresponding to the
above group file example, the inputs for EVB state 1 are provided in the file input.mr and those for EVB state 2
are provided in input.mp. For the case of constant coupling between the EVB states, the file input.mr may look
like the following:
112

7.2. General usage description
# Malonaldehyde RS: proton (H9) bound to O8
&evb nevb = 2, nbias = 1, nmorse = 1, nmodvdw = 1, ntw_evb = 50,
xch_type = "constant",
evb_dyn = "egap_umb",
dia_shift(1)%st = 1, dia_shift(1)%nrg_offset = 0.0,
dia_shift(2)%st = 2, dia_shift(2)%nrg_offset = 0.0,
xch_cnst(1)%ist = 1, xch_cnst(1)%jst = 2,
xch_cnst(1)%xcnst = 12.5,
egap_umb(1)%ist = 1, egap_umb(1)%jst = 2,
egap_umb(1)%k = 0.005, egap_umb(1)%ezero = 0.0,
morsify(1)%iatom = 8, morsify(1)%jatom = 9, morsify(1)%D = 356.570,
morsify(1)%a = 1.046, morsify(1)%r0 = 1.000,
modvdw(1)%iatom = 9, modvdw(1)%jatom = 7,
/
and the file input.mp may appear as follows:
# Malonaldehyde PS: proton (H9) bound to O7
&evb nevb = 2, nbias = 1, nmorse = 1, nmodvdw = 1, ntw_evb = 50,
xch_type = "constant",
evb_dyn = "egap_umb",
dia_shift(1)%st = 1, dia_shift(1)%nrg_offset = 0.0,
dia_shift(2)%st = 2, dia_shift(2)%nrg_offset = 0.0,
xch_cnst(1)%ist = 1, xch_cnst(1)%jst = 2,
xch_cnst(1)%xcnst = 12.5,
egap_umb(1)%ist = 1, egap_umb(1)%jst = 2,
egap_umb(1)%k = 0.005, egap_umb(1)%ezero = 0.0,
morsify(1)%iatom = 7, morsify(1)%jatom = 9, morsify(1)%D = 356.570,
morsify(1)%a = 1.046, morsify(1)%r0 = 1.000,
modvdw(1)%iatom = 9, modvdw(1)%jatom = 8,
/
The above EVB files specify that the system is described by a two-state model, the coupling between the two-states
is a constant, and the dynamics is umbrella sampling along an energy gap RC. Since the reactant and product states
are identical by symmetry, no adjustments of the relative energies of the diabatic states are performed. The constant
value coupling between the two states is parameterized such that the EVB barrier reproduces the ab initio barrier of
~ 3 kcal/mol (RMP2/cc-pVTZ level). Lastly, the standard Amber harmonic bond interactions involving the proton
with the donor and acceptor oxygens are replaced by Morse functions and certain van der Waals interactions are
excluded.
This parameterization of the EVB surface to provide observables that match either results from high-level quan-
tum chemistry calculations or experimental measurements is the trickiest aspect of the EVB model. However, after
the EVB surface has been calibrated, the user has access to reactive chemical dynamics simulation timescales and
lengthscales which would be otherwise inaccessible using conventional ab initio MD approaches. The distributed
Gaussian EVB framework provides a systematic procedure for computing V12 from ab initio data.
Now, let us suppose that the constant coupling prescription does not provide the detailed features needed to
describe the reaction pathway. Furthermore, we find that the coupling as a function of the coordinates can be
described adequately (from comparison to ab initio data) using a Gaussian functional form. How should one
modify the above EVB input files to obtain a more accurate reactive surface? We need to change the xch_type
variable from “constant” to “gauss” as well as replace the variable xch_cnst by the variable xch_gauss(:), which
contains the parameters for the Gaussian functional form. Of course, these parameters need to be optimized to
provide the more accurate surface. The modifications to the EVB input files look something like the following,
.
.
.
xch_type = "constant",
113

7. Empirical Valence Bond
xch_type = "gauss",
.
.
.
xch_cnst(1)%ist = 1, xch_cnst(1)%jst = 2,
xch_cnst(1)%xcnst = 12.5,
xch_gauss(1)%ist = 1, xch_gauss(1)%jst = 2,
xch_gauss(1)%iatom = 8, xch_gauss(1)%jatom = 7,
xch_gauss(1)%a = 11.0, xch_gauss(1)%sigma = 0.0447,
xch_gauss(1)%r0 = 2.3,
.
.
.
where the cross-through lines have been replaced by those below them. Access to the exponential functional form
or the distributed Gaussian approximation to V12 entails similar changes to the input files. Please see $AMBER-
HOME/test/evb for examples.
114

7.3. Biased sampling
-75 -50 -25 025 50 75
Collective Reaction Coordinate [kcal/mol]
0
1
2
3
Potential of Mean Force [kcal/mol]
Figure 7.2.: Potential of mean force along an energy gap RC for the intramolecular proton transfer in malonalde-
hyde as obtained from a series of mapping potential simulations.
7.3. Biased sampling
When a reactive event is described by an intrinsic high free energy barrier, molecular dynamics on the EVB
ground-state surface will not adequately sample the important transition state region. Under these conditions,
chemical reactions are rare events and sampling on the EVB surface effectively reduces to sampling on a diabatic
surface. One framework for enhancing the sampling of rare events is through modification of the system Hamilto-
nian with the addition of biasing potentials. The EVB facility in Amber offers several options for biased sampling:
(1) Ariel Warshel’s mapping potential approach[208] (2) Dave Case’s umbrella sampling on an energy gap RC (3)
umbrella sampling on a distance RC and (4) umbrella sampling on a difference of distances RC.
In the mapping potential framework, the system Hamiltonian (and hence, the molecular dynamics) is described
by the modified potential
Vλ= (1−λ)Vii +λVf f (7.7)
where Vii is the EVB matrix element for the initial state and Vf f is the EVB matrix element for the final state. As
the value of the mapping potential parameter λchanges from 0 to 1, the system evolves from the initial state to the
final state. As an example, for λ=0.50, the system Hamiltonian is an equal linear combination of the initial and
final states and molecular dynamics sample the region in the vicinity of the transition state. Each mapping potential
Vλsamples only a portion of the reaction coordinate. In practice, a series of mapping potentials are used to bias
the sampling across the entire range of the RC. The average distribution of the RC for each mapping potential is
then unbiased and the set of unbiased distributions are combined to give the potential of mean force (PMF) on the
EVB ground-state surface. Figure 7.2 shows a PMF for the malonaldehyde intramolecular proton transfer reaction
as obtained from 9 mapping potential simulations with λranging from 0.10 to 0.90 at 0.10 intervals.
In the umbrella sampling framework, the system Hamiltonian is described by the modified potential
V(n)
biased(q) = Vel0(q) +V(n)
umb(q)
=Vel0(q) + 1
2k(n)hRC(q)−RC(n)
0i2(7.8)
where qis the set of system coordinates, kis the harmonic force constant parameter, and V(n)
umb is an umbrella
potential that is added to the original system potential Vel0 (obtained from diagonalization of the EVB matrix) to
bias the sampling towards a particular value of the reaction coordinate RC(n)
0. The superscript (n)denotes that a
115

7. Empirical Valence Bond
-75 -50 -25 025 50 75
Collective Reaction Coordinate [kcal/mol]
0
1
2
3
Potential of Mean Force [kcal/mol]
Figure 7.3.: Potential of mean force for the intramolecular proton transfer in malonaldehyde as obtained from a
series of umbrella sampling simulations along an energy gap RC. The distributions of the RC from all
the windows are combined using the WHAM procedure.
evb_dyn dependency
“evb_map” ⇒emap(:)
“egap_umb” ⇒egap_umb(:)
“bond_umb” ⇒bond_umb(:)
“dbonds_umb” ⇒dbonds_umb(:)
“qi_bond_pmf” ⇒bond_umb(:)
“qi_bond_dyn” ⇒bond_umb(:)
“qi_dbonds_pmf” ⇒dbonds_umb(:)
“qi_dbonds_dyn” ⇒dbonds_umb(:)
Table 7.2.: Derived variable types for EVB.
series of biased simulations, each enhancing the sampling of a particular window of the RC, is required to map out
the entire PMF. The number of umbrella sampling windows as well as the choice of values for the force constant
parameter and the RC equilibrium position will depend ultimately on the nature of the free energy landscape of the
system in question.
Results from the biased samplings then can be unbiased and combined using the weighted histogram analysis
method (WHAM)[218–220] to generate the PMF describing chemistry on the physically relevant EVB ground-
state potential energy surface, Vel0. Figure 7.3 depicts the PMF for the malonaldehyde intramolecular proton
transfer that is obtained from 13 umbrella sampling simulations with RC(n)
0spanning the range -60 kcal/mol to +60
kcal/mol at 10 kcal/mol intervals. The supporting program to generate the PMF from a set of mapping potential or
from a set of umbrella sampling simulations can be obtained from the Amber website, http://ambermd.org.
Biased sampling is accessed through the nbias and evb_dyn variables in the EVB input file. The variable nbias
specifies the number of biasing potentials to include in the system Hamiltonian. Mapping potential dynamics is
invoked using the assignment evb_dyn=“evb_map”. Biased sampling via umbrella potentials is invoked with the
assignment evb_dyn=“egap_umb”,evb_dyn=“bond_umb” or evb_dyn=“dbonds_umb”. Associated with each
choice of biased sampling approach is a derived type variable that provides the required parameters, as shown in
Table 7.2. Please see Section 7.6 for more details about the variable dependencies.
116
7.4. Quantization of nuclear degrees of freedom
7.4. Quantization of nuclear degrees of freedom
The EVB framework provides a computationally practical approximation to the electronic surface for modeling
chemical reactions involving classical atoms. The full Schrödinger equation, nevertheless, describes not only the
electrons but also the nuclei as a wave function. This quantum mechanical description of nuclei is particularly
important for capturing the nuclear dispersion of light particles, such as hydrogen. We provide quantization of the
nuclear degrees of freedom via coupling of the EVB facility with the Feynman Path-Integral Molecular Dynamics
function in Amber [215–217]. The current implementation utilizes the PIMD engine that is built on top of the
locally enhanced sampling (LES) infrastructure. As such, the user will need to build the parallel version of LES
sander in order to utilize EVB/LES-PIMD.
PIMD is invoked using the ipimd variable (and associated dependencies) in the &cntrl namelist of the mdin
input file (please consult Section 25.1.2). The requirements for EVB within the EVB/LES-PIMD context are
similar to those described for classical EVB but with the coordinate and parmtop files modified for a LES-type
calculation, where the number of LES copies correspond to the number of path integral slices. For example, a
classical EVB umbrella sampling on a difference of distances RC will have EVB input files similar to the above
examples but with the following modifications
.
.
.
evb_dyn = "dbonds_umb",
.
.
.
dbonds_umb(1)%iatom = 8, dbonds_umb(1)%jatom = 9, dbonds_umb(1)%katom = 7,
dbonds_umb(1)%k = 100.000, dbonds_umb(1)%ezero = -.20,
.
.
.
EVB/LES-PIMD utilizes these same EVB input files. The EVB group file evb.grpfile, however, has been modified
to point to the LES coordinate and parmtop files
# 32-bead Malonaldehyde RS: H9 bonded to O8
-O -i mdin -p mr_les.top -c mr_les.crd -o mr_les.out -r mr_les.rst \
-evbin input.mr
# 32-bead Malonaldehyde PS: H9 bonded to O7
-O -i mdin -p mp_les.top -c mr_les.crd -o mp_les.out -r mp_les.rst \
-evbin input.mp
Additionally, the -nslice <# PIMD slices> variable must be passed to the sander executable:
mpirun -np 2 sander.LES.MPI -ng 2 -nslice 32 -groupfile evb.grpfile
Here, the atoms of the malonaldehyde system have been replicated into 32 copies using the addles utility (see
Section 25.1.2) and each of the EVB diabatic states now use the corresponding LES coordinate and parmtop files.
Nuclear quantization lowers the free energy barrier due to quantum mechanical effects, such as zero point motion
and tunneling. Figure 7.4 compares the PMFs for the malonaldehyde proton transfer reaction along a difference
of distances RC from classical EVB and EVB/PIMD umbrella sampling simulations. Currently, only the distance
and difference of distances RCs are supported in EVB/PIMD. The energy gap RC is not supported because the
theoretical formulation of quantum transition state theory based on an energy gap RC has not yet been worked out.
7.5. Distributed Gaussian EVB
As briefly mentioned in the Introduction to EVB, V12 can be fit to high-level electronic structure data using a
set of s-, p-, and d-type Gaussians as the fitting basis functions. The current incarnation of DG EVB is limited to
two-state gas-phase systems. Current efforts to extend this approach to the condensed phase will provide a
practical systematic procedure for constructing a reactive surface from ab initio information. The curious student
is encouraged to read the original papers on this method for the theoretical formulation[210,211]. Here, we only
117

7. Empirical Valence Bond
-0.5 00.5
Difference of Bond Lengths [Å]
0
1
2
3
Potential of Mean Force [kcal/mol]
Figure 7.4.: PMFs as a function of the difference of bond lengths involving the proton with the donor and acceptor
oxygens in malonaldehyde. TheHcurve is from classical EVB, while the curve is from EVB/PIMD.
provide an example of this approach for constructing an ab initio-inspired surface describing the proton transfer
reaction in malonaldehyde. All the previously described EVB functionalities are accessible to this method. For
example, the key elements of the RS input.mr file for biased sampling along a distance RC on the DG EVB
surface may look something like the following:
.
.
.
nUFF = 1, nbias = 1,
dia_type = "ab_initio",
xch_type = "dist_gauss",
evb_dyn = "bond_umb",
bond_umb(1)%iatom = 7, bond_umb(1)%jatom = 9,
bond_umb(1)%k = 400.000, bond_umb(1)%ezero = 1.20,
dist_gauss%stype = "no_dihedrals",
dist_gauss%lin_solve = "diis",
dist_gauss%xfile_type = "gaussian_fchk",
ts_xfile(1) = "malonaldehydeTS_35.fchk",
min_xfile(1) = "malonaldehydeR_35.fchk",
min_xfile(2) = "malonaldehydeP_35.fchk",
dgpt_alpha(1) = 0.72,
dgpt_alpha(2) = 0.72,
dgpt_alpha(3) = 0.72,
UFF(1)%iatom = 7, UFF(1)%jatom = 9
.
.
.
These variables are described in Section 7.6. DG EVB is invoked through the xch_type variable, with dependen-
cies on dist_gauss,ts_xfile(:),min_xfile(:),dgpt_alpha(:), and UFF(:). The ab initio data for the RS minimum
are contained in the file malonaldehydeR_35.fchk, those for the PS minimum are contained in malonaldehy-
deP_35.fchk, and those for the transition state are contained in malonaldehydeTS_35.fchk. These files are in the
Gaussian [221] formatted checkpoint file format (gaussian_fchk). The αparameter [see Eqs. (7.4-7.6)] associ-
ated with each of these configuration space points is specified in the variable dgpt_alpha(:). If we wish to include
additional ab initio data points along the reaction path, we can specify the file names for those points in the variable
xdg_xfile(:). The αparameters associated with these points can be specified in dgpt_alpha(:). It is important to
keep in mind that the αparameters are ordered as follows: dgpt_alpha(ts_xfile(1), min_xfile(1), min_xfile(2),
118

7.6. EVB input variables and interdependencies
Figure 7.5.: PMF as a function of the distance between atoms H9 and O7 in malonaldehyde. The potential energy
surface was constructed from ab initio data using the DG EVB approach.
xdg_xfile(:)). Lastly, the UFF variable requests the inclusion of a Universal Force Field [222] repulsive term in V11
between the transferred proton (H9) and the acceptor (O7). The input.mp file for the PS V22 is identical to the above,
but with the UFF variable changed to reflect the identity of the acceptor atom from the perspective of the product
state topology: UFF(1)%iatom = 8, UFF(1)%jatom = 9. In practice, the inclusion of this term to Vii provides a
more optimal DG EVB surface for molecular dynamics sampling. Figure 7.5 shows the PMF for shortening the
rH9−O7 distance of the malonaldehyde RS from 1.8 Å to 1.0 Å using umbrella sampling of this RC. Note that the
PMF is not symmetric because this choice of RC breaks the intrinsic symmetry of the reaction. The difference
of distances RC involving atoms O8,H9 and O7 does provide a symmetric PMF and this is shown in Figure 25.2
within the context of kinetic isotope effect (Section 25.6.5).
7.6. EVB input variables and interdependencies
The variables in the &evb namelist of the EVB input file are described below. The style of the input file is
similar to the traditional mdin used in a sander run. Assignment to character type variables need to be encapsulated
within quotation marks (for example, evb_dyn=“groundstate”). Array variables are denoted below by a colon
enclosed within parentheses [for example, dia_shift(:)]. Derived type variables can be assigned element-wise, i.e.,
dia_shift(1)%st = 1, dia_shift(1)%nrg_offset = 0.0. In the specifications below, the data type of each variable is
enclosed in {···}, while the size of each array variable is enclosed in [···].
ntw_evb {integer}. MD step interval for writing to the EVB output file evbout.
nevb {integer}. Number of EVB states. For example, nevb = 3 specifies that the system is described by a
3×3 EVB matrix in the representation of three diabatic states. The EVB group file will contain three
lines of sander command line options specifying the mdin, coordinate, parmtop, and EVB input files.
nmorse {integer}. Number of Amber harmonic bond interactions that will be changed to a Morse type inter-
action. Requires additional inputs from the variable morsify(:).
119

7. Empirical Valence Bond
nbias {integer}. Number of biasing potentials to include in the system Hamiltonian. The supported biased
sampling approaches include (1) mapping potential, (2) umbrella sampling along an energy gap RC,
(3) umbrella sampling along a distance RC, and (4) umbrella sampling along a difference of distances
RC. See evb_dyn for associated dependencies.
nmodvdw {integer}. Number of van der Waals terms to exclude in the calculation of Vii. Requires additional
inputs from the variable modvdw(:).
nuff {integer}. Number of Universal Force Field [222] repulsive terms to include in the harmonic expan-
sion of Vii about the ab initio minimum. Requires additional inputs from the variable uff(:).
xch_type {character*512}. Coupling element type.
= “constant” Vi j is a constant. Requires additional inputs from the variable xch_cnst(:).
= “exp” Vi j(rkl) = Ai j exph−ui j rkl −r(0,i j)
kl i. Requires additional inputs from the variable xch_exp(:).
= “gauss” Vi j(rkl) = Ai j exp−1
σ2
i j rkl −r(0,i j)
kl 2. Requires additional inputs from the variable
xch_gauss(:).
= “dist_gauss” Vi j is described by the Schlegel-Sonnenberg distributed Gaussian approach. Requires
additional inputs from the variables dist_gauss,ts_xfile(:),min_xfile(:),xdg_xfile(:),
dgpt_alpha(:),uff(:).
evb_dyn {character*512}. EVB dynamics type.
= “groundstate” Dynamics on the EVB ground-state potential energy surface.
= “evb_map” Biased sampling based on Ariel Warshel’s mapping potential approach. Requires ad-
ditional inputs from the variable emap(:).
= “egap_umb” Umbrella sampling along an energy gap reaction coordinate. Requires additional
inputs from the variable egap_umb(:).
= “bond_umb” Umbrella sampling along a distance reaction coordinate. Requires additional inputs
from the variable bond_umb(:).
= “dbonds_umb” Umbrella sampling along a difference of two distances reaction coordinate. Re-
quires additional inputs from the variable dbonds_umb(:).
= “qi_bond_pmf” For generating the QI joint distribution function along the distance RCs of the
Pand P/2 slices (see Section 25.5.2). Requires additional inputs from the variable
bond_umb(:).
= “qi_bond_dyn” For sampling of the QI fv,Fand Gfactors with the Pand P/2 slices constrained
to the dividing surfaces along the distance RCs (see Section 25.5.2). Requires additional
inputs from the variable bond_umb(:).
= “qi_dbonds_pmf” For generating the QI joint distribution function along the difference of distances
RCs of the Pand P/2 slices (see Section 25.5.2). Requires additional inputs from the
variable dbonds_umb(:).
= “qi_dbonds_dyn” For sampling of the QI fv,Fand Gfactors with the Pand P/2 slices constrained
to the dividing surfaces along the difference of distances RCs (see Section 25.5.2). Re-
quires additional inputs from the variable dbonds_umb(:).
120

7.6. EVB input variables and interdependencies
dia_shift(:) {derived type}, [nevb]. Diabatic state energy shift.
%st {integer}. Diabatic state index.
%nrg_offset {real}. Energy offset for EVB state.
xch_cnst(:) {derived type}, [nxch]. Constant coupling. The size of this derived type array is nxch, which is
calculated internally as nevb(nevb −1)/2.
%ist {integer}. Diabatic state index involved in the coupling.
%jst {integer}. Diabatic state index involved in the coupling.
%xcnst {real}. Constant exchange parameter.
xch_exp(:) {derived type}, [nxch]. Parameters for the exponential functional form of the coupling term, Vi j(rkl) =
Ai j exph−ui j rkl −r(0,i j)
kl i. The size of this derived type array is nxch, which is calculated internally
as nevb(nevb −1)/2.
%ist {integer}. Diabatic state index involved in the coupling.
%jst {integer}. Diabatic state index involved in the coupling.
%iatom {integer}. Index of atom involved in rkl.
%jatom {integer}. Index of atom involved in rkl.
%a {real}. Ai j.
%u {real}. ui j.
%r0 {real}. r(0,i j)
kl .
xch_gauss(:) {derived type}, [nxch]. Parameters for the Gaussian functional form of the coupling term, Vi j(rkl ) =
Ai j exp−1
σ2
i j rkl −r(0,i j)
kl 2. The size of this derived type array is nxch, which is calculated inter-
nally as nevb(nevb −1)/2.
%ist {integer}. Diabatic state index involved in the coupling.
%jst {integer}. Diabatic state index involved in the coupling.
%iatom {integer}. Index of atom involved in rkl.
%jatom {integer}. Index of atom involved in rkl.
%a {real}. Ai j.
%sigma {real}. σi j.
%r0 {real}. r(0,i j)
kl .
morsify(:) {derived type}, [nmorse]. Parameters used for converting the Amber harmonic bond interactions to
the Morse type, VMorse(ri j) = De1−e−αri j −r0
i j 2
. The components in the derived type are
%iatom {integer}. Index of atom involved in ri j.
121

7. Empirical Valence Bond
%jatom {integer}. Index of atom involved in ri j.
%d {real}. De.
%a {real}. α.
%r0 {real}. r0
i j.
emap(:) {derived type}, [nbias]. Mapping potential parameters required for the function Vλ= (1−λ)Vii +
λVf f .
%ist {integer}. Diabatic state index for the initial state.
%jst {integer}. Diabatic state index for the final state.
%lambda {real}. λ.
egap_umb(:) {derived type}, [nbias]. Umbrella potential parameters required for the function Vumb(RC) =
1
2k[RC−RC0]2, where RC =Vii −Vf f .
%ist {integer}. Diabatic state index for the initial state.
%jst {integer}. Diabatic state index for the final state.
%k {real}. k.
%ezero {real}. RC0.
modvdw(:) {derived type}, [nmodvdw]. Exclude the van der Waals interactions between the specified atom pairs.
%iatom {integer}. Index of atom involved in the non-bonded interaction.
%jatom {integer}. Index of atom involved in the non-bonded interaction.
bond_umb(:) {derived type}, [nbias]. Umbrella potential parameters for the function Vumb(RC) = 1
2k[RC−RC0]2,
where RC =ri j.
%iatom {integer}. Index of atom involved in a distance.
%jatom {integer}. Index of atom involved in a distance.
%k {real}. k.
%ezero {real}. RC0.
dbonds_umb(:) {derived type}, [nbias]. Umbrella potential parameters for the difference of two distances RC
where one of the atoms is common to both distances. Vumb(RC) = 1
2k[RC−RC0]2, where RC =
ri j −rk j.
%iatom {integer}. Index of atom involved in a distance.
%jatom {integer}. Index of the atom common to both distances.
%katom {integer}. Index of atom involved in a distance.
%k {real}. k.
%ezero {real}. RC0.
122
7.6. EVB input variables and interdependencies
out_RCdot {logical}. Output the velocity of a free particle along the RC direction to the file evbout.
dist_gauss {derived type}. Schlegel-Sonnenberg distributed Gaussian specifications.
%stype {character*512}. Coordinate selection type. Supported coordinate selection types include
“all_coords”,“bonds_only”,“no_dihedrals”,“react-product”,“react-ts-product”.
%stol {real}. Coordinate selection tolerance for stype=“react-product” or stype=“react-ts-
product”. For stype=“react-product”, a particular internal coordinate is used in the DG
EVB procedure if the difference between the reactant and product structures is > stol. For
the case of stype=“react-ts-product”, the intersection of the selected set of coordinates
from react-ts > stol and product-ts > stol will be used for the DG EVB procedure.
%xfile_type {character*512}. File type of external ab initio data. Supported file types are “gaus-
sian_fchk” and “EVB”.
ts_xfile(:) {character*512}, [*]. Name of the file containing the ab initio data corresponding to the transition
state.
min_xfile(:) {character*512}, [*]. Name of the file containing the ab initio data corresponding to the minimum,
i.e. V11 and V22.
xdg_xfile(:) {character*512}, [*]. Name of the file containing the ab initio data corresponding to additional points
along the IRC.
dgpt_alpha(:) {real}, [*]. Optimized αparameters associated with the distributed Gaussian data points.
uff(:) {derived type}, [nuff]. Include a UFF repulsive term between the specified atom pairs in the harmonic
expansion of Vii about the ab initio minimum.
%iatom {integer}. Index of atom involved in the non-bonded interaction.
%jatom {integer}. Index of atom involved in the non-bonded interaction.
123
8. sqm: Semi-empirical quantum chemistry
AmberTools now contains its own quantum chemistry program, called sqm. This is code extracted from the
QM/MM portions of sander, but is limited to “pure QM” calculations. A principal current use is as a replacement
for MOPAC for deriving AM1-bcc charges, but the code is much more general than that. Right now, it is limited to
carrying out single point calculations and energy minimizations (geometry optimizations) for closed-shell systems.
It supports a wide variety of semi-empirical Hamiltonians, including many recent ones. An external electric field
generated by a set of point charges can be included for single point calculations. Our plan is to add capabilities to
subsequent versions. The major contributors are as follows:
• The original semi-empirical support was written by Ross Walker, Mike Crowley, and Dave Case,[223] based
on public-domain MOPAC codes of J.J.P. Stewart.
• SCC-DFTB support was written by Gustavo Seabra, Ross Walker and Adrian Roitberg,[224] and is based
on earlier work of Marcus Elstner.[225,226]
• Support for third-order SCC-DFTB was written by Gustavo Seabra and Josh Mcclellan.
• Various SCF convergence schemes were added by Tim Giese and Darrin York.
• The PM6 Hamiltonian was added by Andreas Goetz and dispersion and hydrogen bond corrections were
added by Andreas Goetz and Kyoyeon Park.
• The extension for MNDO type Hamiltonians to support d orbitals was written by Tai-Sung Lee, Darrin York
and Andreas Goetz.
• The charge-dependent exchange-dispersion corrections of vdW interactions[227] was contributed by Tai-
Sung Lee, Tim Giese, and Darrin York.
• The ability of reading user-defined parameters was added by Tai-Sung Lee and Darrin York.
8.1. Available Hamiltonians
Available MNDO-type semi-empirical Hamiltonians are PM3,[228] AM1,[229] RM1,[230] MNDO,[231]
PDDG/PM3,[232] PDDG/MNDO,[232] PM3CARB1,[233], PM3-MAIS[234,235], MNDO/d[236–238], AM1/d
(Mg from AM1/d[239] and H, O, and P from AM1/d-PhoT[240]) and PM6[241].
Support is also available for the Density Functional Theory-based tight-binding (DFTB) Hamiltonian,[224,242,
243] as well as the Self-Consistent-Charge version, SCC-DFTB.[225] DFTB/SCC-DFTB also supports approxi-
mate inclusion of dispersion effects,[244] as well as reporting CM3 charges [245] for molecules containing only
the H, C, N, O, S and P atoms and third-order corrections[246].
The elements supported by each QM method are:
• MNDO: H, Li, Be, B, C, N, O, F, Al, Si, P, S, Cl, Zn, Ge, Br, Cd, Sn, I, Hg, Pb
• MNDO/d: H, Li, Be, B, C, N, O, F, Na, Mg, Al, Si, P, S, Cl, Zn, Ge, Br, Sn, I, Hg, Pb
• AM1: H, C, N, O, F, Al, Si, P, S, Cl, Zn, Ge, Br, I, Hg
• AM1/d: H, C, N, O, F, Mg, Al, Si, P, S, Cl, Zn, Ge, Br, I, Hg
• PM3: H, Be, C, N, O, F, Mg, Al, Si, P, S, Cl, Zn, Ga, Ge, As, Se, Br, Cd, In, Sn, Sb, Te, I, Hg, Tl, Pb, Bi
125

8. sqm: Semi-empirical quantum chemistry
• PDDG/PM3: H, C, N, O, F, Si, P, S, Cl, Br, I
• PDDG/MNDO: H, C, N, O, F, Cl, Br, I
• RM1: H, C, N, O, P, S, F, Cl, Br, I
• PM3CARB1: H, C, O
• PM3-MAIS: H, O, Cl
• PM6: H, He, Li, Be, B, C, N, O, F, Ne, Na, Mg, Al, Si, P, S, Cl, Ar, K, Ca, Sc, Ti, V, Cr, Mn, Fe, Co, Ni, Cu,
Zn, Ga, Ge, As, Se, Br, Kr, Rb, Sr, Y, Zr, Nb, Mo, Tc, Ru, Rh, Pd, Ag, Cd, In, Sn, Sb, Te, I, Xe, Cs, Ba, La,
Lu, Hf, Ta, W, Re, Os, Ir, Pt, Au, Hg, Tl, Pb, Bi
• DFTB/SCC-DFTB: (Any atom set available from the www.dftb.org website)
The PM6 implementation has not been extensively tested for all available elements. Please check your results
carefully, possibly by comparison to other codes that implement PM6, in particular if transition metal elements
are present. SCF convergence may be more difficult to achieve for transition metal elements with partially filled
valence shells.
If the PM6 Hamiltonian is used in a QM/MM simulation with sander using electrostatic embedding (see Section
9) or if an electric field of external point charges is used, then the electrostatic interactions between QM and MM
atoms are modeled using the MNDO type core repulsion function for interactions between QM and MM atoms.
Parameters for the exponents αof the QM atoms are taken from PM3 (a default value of five is used for the
exponents αof the MM atoms as is the case for MNDO, AM1 and PM3). Since PM3 does not have parameters for
all elements that are supported by PM6, the missing exponents were defined in an ad hoc manner (see the source
code in $AMBERHOME/AmberToosl/src/sqm/qm2_parameters.F90, variable alp_pm6). The magnitude of the
coefficients αis probably not critical for the accuracy of QM/MM calculations but this should be tested on a case
by case basis. This does not affect QM calculations with sqm.
The DFTB/SCC-DFTB code was originally based on the DFT/DYLAX code by Marcus Elstner et al., but
has since been extensively re-written and optimized. In order to use DFTB (qm_theory=DFTB) a set of integral
parameter files are required. These are not distributed with Amber and must be obtained from the www.dftb.org
website and placed in the $AMBERHOME/dat/slko directory. Dispersion parameters for H, C, N, O, P and S
are available in the $AMBERHOME/dat/slko/DISPERSION.INP_ONCHSP file, and CM3 parameters for the same
atoms are in the $AMBERHOME/dat/slko/CM3_PARAMETERS.DAT file. Parameters for two parametrizations of
the third-order SCC-DFTB terms, namely SCC-DFTB-PA and SCC-DFTB-PR are distributed with Amber in the
files DFTB_3RD_ORDER_PA.DAT and DFTB_3RD_ORDER_PR.DAT, located in the same directory.
8.2. Dispersion and hydrogen bond correction
An empirical dispersion and hydrogen bonding correction is implemented for the MNDO type Hamiltonians
AM1 and PM6[247]. The empirical dispersion correction follows the formalism for DFT-D[248] and consists of a
physically sound r−6term that is damped at short distances to avoid the short-range repulsion which can be written
as
Edis =−s6∑
i j
fdamp(ri j ,R0
i j)C6,i jr−6
i j ,(8.1)
where ri j is the distance between two atoms iand j,R0
i j is the equilibrium van der Waals (vdW) separation
derived from the atomic vdW radii, C6,i j the dispersion coefficient, and s6a general scaling factor. The damping
function is given as
fdamp(ri j ,R0
i j) = "1+exp −αri j
sRR0
i j −1!#−1
.(8.2)
126

8.3. Usage
Bondi vdW radii[249] are used and for a pair of unlike atoms we have
R0
i j =R0
ii
3+R0
j j
3
R0
ii
2+R0
j j
2.(8.3)
For the C6coefficients the following equation is used,
C6,i j =2(C2
6,iiC2
6,j jNeff,iNeff,j)1/3
(C6,iiN2
eff,j)1/3+ (C6,j jN2
eff,i)1/3,(8.4)
where the Slater-Kirkwood effective number of electrons Neff,iand the C6coefficients can easily be found in the
literature[248].
An empirical hydrogen bonding correction[247] that is transferable among different semiempirical Hamiltonians
and has been parametrized for use with the dispersion correction described above is also available. This correction
does not make the assumption of a specific acceptor/hydrogen/donor binding situation. Instead it considers the
hydrogen bond as a charge-independent atom- atom term between two atoms capable of serving as an acceptor
or donor (for example, O, N) and weights this by a function that accounts for the steric arrangement of the two
atoms and the favorable positioning of a hydrogen atom inbetween. A damping function corrects for long- and
short-range behavior,
EH−bond =CAB
r2
AB
fgeom fdamp,(8.5)
fgeom =cos(θA)2cos(φA)2cos(ψA)2cos(φB)2cos(φB)2cos(ψB)2fbond,(8.6)
fbond =1−1
1+exp[−60(rXH/1.2−1)],(8.7)
fdamp =1
1+exp[−100(rAB/2.4−1)]1−1
1+exp[−10(rAB/7.0−1)],(8.8)
CAB =CA+CB
2.(8.9)
Here, CAand CBare the atomic hydrogen bonding correction parameters and the (torsion) angles in the function
fgeom are defined similarly to an earlier hydrogen bond correction[250].
The hydrogen bond correction can be used both for single point energy calculations or geometry optimizations
with SQM and for molecular dynamics simulations with SANDER. However, we do not recommend the use for
molecular dynamics at present since cutoffs needed to be implemented for the calculation of fgeom of equation
(8.6). This and some other conditional evaluations give rise to discontinuities in the potential energy surface and
thus make this method unattractive for MD simulations.
8.3. Usage
The sqm program uses the following simple command line:
sqm [-O] -i <input-file> -o <output-file>
As in other Amber programs, the “-O” flag allows the program to over-write the output file.
An example input file for running a simple minimization is shown here:
Run semi-empirical minimization
&qmmm
qm_theory=’AM1’, qmcharge=0,
/
6 CG -1.9590 0.1020 0.7950
6 CD1 -1.2490 0.6020 -0.3030
127
8. sqm: Semi-empirical quantum chemistry
6 CD2 -2.0710 0.8650 1.9630
6 CE1 -0.6460 1.8630 -0.2340
6 C6 -1.4720 2.1290 2.0310
6 CZ -0.7590 2.6270 0.9340
1 HE2 -1.5580 2.7190 2.9310
16 S15 -2.7820 0.3650 3.0600
1 H19 -3.5410 0.9790 3.2740
1 H29 -0.7870 -0.0430 -0.9380
1 H30 0.3730 2.0450 -0.7840
1 H31 -0.0920 3.5780 0.7810
1 H32 -2.3790 -0.9160 0.9010
The &qmmm namelist contains variables that allow you to control the options used. Following that is one line per
atom, giving the atomic number, atom name, and Cartesian coordinates (free format). The variables in the &qmmm
namelist are these:
qm_theory Level of theory to use for the QM region of the simulation (Hamiltonian). Default is to use the semi-
empirical Hamiltonian PM3. Options are AM1, RM1, MNDO, PM3-PDDG, MNDO-PDDG, PM3-
CARB1, MNDO/d (same as MNDOD), AM1/d (same as AM1D), PM6, and DFTB. The dispersion
correction can be switched on for AM1 and PM6 by choosing AM1-D* and PM6-D, respectively. The
dispersion and hydrogen bond correction will be applied for AM1-DH+ and PM6-DH+.
dftb_disper Flag turning on (1) or off (0) the use of a dispersion correction to the DFTB/SCC-DFTB energy.
Requires qm_theory=DFTB. It is assumed that you have the file DISPERSION.INP_ONCHSP in your
$AMBERHOME/dat/slko/ directory. This file must be downloaded from the website www.dftb.org,
as described in the beginning of this chapter. Not available for the Zn atom. (Default = 0)
dftb_3rd_order Third order correctio to SCC-DFTB. Default=” (no third order correction).
= ’PA’ Use the SCC-DFTB-PA parametrization, which was developed for proton affinities. The pa-
rameters will be read from the $AMBERHOME/dat/slko/DFTB_3RD_ORDER_PA.DAT file.
= ’PR’ Use the SCC-DFTB-PR parametrization, which was developed for phosphate hy-
drolysis reactions. The parameters will be read from the $AMBERHOME/dat/s-
lko/DFTB_3RD_ORDER_PR.DAT file.
= ’READ’ Parameters will be read from the mdin file, in a separate “dftb_3rd_order” namelist, which
must have the same format as the files above.
= ’filename’Parameters will be read from the file specified by filename, in the “dftb_3rd_order”
namelist, which must have the same format as the files above.
dftb_chg Flag to choose the type of charges to report when doing a DFTB calculation.
= 0 (default) - Print Mulliken charges
= 2 Print CM3 charges. Only available for H, C, N, O, S and P.
dftb_telec Electronic temperature, in K, used to accelerate SCC convergence in DFTB calculations. The elec-
tronic temperature affects the Fermi distribution promoting some HOMO/LUMO mixing, which can
accelerate the convergence in difficult cases. In most cases, a low telec (around 100K) is enough.
Should be used only when necessary, and the results checked carefully. Default: 0.0K
dftb_maxiter Maximum number of SCC iterations before resetting Broyden in DFTB calculations. (default: 70 )
qmcharge Charge on the QM system in electron units (must be an integer). (Default = 0)
spin Multiplicity of the QM system. Currently only singlet calculations are possible and so the default
value of 1 is the only available option. Note that this option is ignored by DFTB/SCC-DFTB, which
allows only ground state calculations. In this case, the spin state will be calculated from the number
of electrons and orbital occupancy.
128
8.3. Usage
qmqmdx Flag for whether to calculate QM-QM derivatives analytically or pseudo numerically. The default (and
recommended) option is to use ANALYTICAL QM-QM derivatives.
= 1 (default) - Use analytical derivatives for QM-QM forces.
= 2 Use numerical derivatives for QM-QM forces. Note: the numerical derivative code has not been
optimised as aggressively as the analytical code and as such is significantly slower. Numerical
derivatives are intended mainly for testing purposes.
verbosity Controls the verbosity of QM/MM related output. Warning: Values of 2 or higher will produce a lot
of output.
= 0 (default) - only minimal information is printed - Initial QM geometry and link atom positions as
well as the SCF energy at every ntpr steps.
= 1 Print SCF energy at every step to many more significant figures than usual. Also print the number
of SCF cycles needed on each step.
= 2 As 1 but also print info about memory reallocations, number of pairs per QM atom. Also prints
QM core - QM core energy, QM core - MM charge energy and total energy.
= 3 As 2 but also print SCF convergence information at every step.
= 4 As 3 but also print forces onof the file QM atoms due to the SCF calculation and the coordinates
of the link atoms at every step.
= 5 As 4 but also print all of the info in kJ/mol as well as kcal/mol.
tight_p_conv Controls the tightness of the convergence criteria on the density matrix in the SCF.
=0 (default) - loose convergence on the density matrix (or Mulliken charges, in case of a SCC-DFTB
calculation). SCF will converge if the energy is converged to within scfconv and the largest
change in the density matrix is within 0.05*sqrt(scfconv).
= 1 Tight convergence on density(or Mulliken charges, in case of a SCC-DFTB calculation). Use
same convergence (scfconv) for both energy and density (charges) in SCF. Note: in the SCC-
DFTB case, this option can lead to instabilities.
scfconv Controls the convergence criteria for the SCF calculation, in kcal/mol. In order to conserve energy
in a dynamics simulation with no thermostat it is often necessary to use a convergence criterion of
1.0d-9 or tighter. Note, the tighter the convergence the longer the calculation will take. Values tighter
than 1.0d-11 are not recommended as these can lead to oscillations in the SCF, due to limitations in
machine precision, that can lead to convergence failures. Default is 1.0d-8 kcal/mol. Minimum usable
value is 1.0d-14.
pseudo_diag Controls the use of ’fast’ pseudo diagonalisations in the SCF routine. By default the code will attempt
to do pseudo diagonalisations whenever possible. However, if you experience convergence problems
then turning this option off may help. Not available for DFTB/SCC-DFTB.
= 0 Always do full diagonalisation.
= 1 Do pseudo diagonalisations when possible (default).
pseudo_diag_criteria Float controlling criteria used to determine if a pseudo diagonalisation can be done. If the
difference in the largest density matrix element between two SCF iterations is less than this criteria
then a pseudo diagonalisation can be done. This is really a tuning parameter designed for expert use
only. Most users should have no cause to adjust this parameter. (Not applicable to DFTB/SCC-DFTB
calculations.) Default = 0.05
diag_routine Controls which diagonalization routine should be used during the SCF procedure. This is an ad-
vanced option which has no effect on the results but can be used to fine-tune performance. The speed
of each diagonalizer is both a function of the number and type of QM atoms as well as the LAPACK
129
8. sqm: Semi-empirical quantum chemistry
library that Sander was linked to. As such there is not always an obvious choice to obtain the best
performance. The simplest option is to set diag_routine = 0 in which case Sander will test each diago-
nalizer in turn, including the pseudo diagonalizer, and select the one that gives optimum performance.
This should ideally be the default behavior but this option has not been tested on sufficient architec-
tures to be certain that it will always work. Not available for DFTB/SCC-DFTB.
= 0 Automatically select the fastest routine (recommended).
= 1 Use internal diagonalization routine (default).
= 2 Use lapack dspev.
= 3 Use lapack dspevd.
= 4 Use lapack dspevx.
= 5 Use lapack dsyev.
= 6 Use lapack dsyevd.
= 7 Use lapack dsyevr.
printcharges
= 0 Don’t print any info about QM atom charges to the output file (default)
= 1 Print Mulliken QM atom charges to output file every ntpr steps.
print_eigenvalues Controls printing of MO eigenvalues.
= 0 Do not print MO eigenvalues
= 1 Print MO eigenvalues at the end of a single point calculation or geometry optimization (default)
= 2 Print MO eigenvalues at the end of every SCF cycle (only NDDO methods, not DFTB)
= 3 Print MO eigenvalues during each step of the SCF cycle (only NDDO methods, not DFTB)
qxd Flag to turn on (=.true.) or off (=.false., default) the charge-dependent exchange-dispersion corrections
of vdW interactions[227].
parameter_file
=’PARAM.FILE’ Read user-defined parameters from the file ’PARAM.FILE’. The first three space-
separated entries (case insensitive) of each line will be interpreted as a user-modified parameter
in the sequence of parameter name, element name, and value. For example, a line contains “USS
Cl -111.6139480D0 “ will cause the USS parameter of the Cl element changed to -111.6139480.
A line beginning with “END” will stop the reading. This function currently only works for
MNDO, AM1, PM3, MNDO/d, and AM1/d. Also, when new nuclear core-core parameters (FN,
in PM3, AM1, and AM1/d) are re-defined, the number of FNN parameter sets (NUM_FN) also
needs to be defined. For example, if FNn3 (n= 1, 2, or 3) is defined, then NUM_FN needs to be
set to 3 or 4.
peptide_corr
= 0 Don’t apply MM correction to peptide linkages. (default)
=1 Apply a MM correction to peptide linkages. This correction is of the form Esc f =Esc f +
htype(itype)sin2φ, where φis the dihedral angle of the H-N-C-O linkage and htype is a constant
dependent on the Hamiltonian used. (Recommended, except for DFTB/SCC-DFTB.)
itrmax Integer specifying the maximum number of SCF iterations to perform before assuming that conver-
gence has failed. Default is 1000. Typically higher values will not do much good since if the SCF
hasn’t converged after 1000 steps it is unlikely to. If the convergence criteria have not been met after
itrmax steps the SCF will stop and the minimisation will proceed with the gradient at itrmax. Hence
if you have a system which does not converge well you can set itrmax smaller so less time is wasted
130
8.3. Usage
before assuming the system won’t converge. In this way you may be able to get out of a bad geometry
quite quickly. Once in a better geometry SCF convergence should improve.
maxcyc Maximum number of minimization cycles to allow, using the xmin minimizer (see Section 37.5) with
the TNCG method. Default is 9999. Single point calculations can be done with maxcyc = 0.
ntpr Print the progress of the minimization every ntpr steps; default is 10.
grms_tol Terminate minimization when the gradient falls below this value; default is 0.02
ndiis_attempts Controls the number of iterations that DIIS (direct inversion of the iterative subspace) extrapola-
tions will be attempted. Not available for DFTB/SCC-DFTB. The SCF does not even begin to exhaust
its attempts at using DIIS extrapolations until the end of iteration 100. Therefore, for example, if
ndiis_attempts=50, then DIIS extrapolations would be performed at end of iterations 100 to 150. The
purpose of not performing DIIS extrapolations before iteration 100 is because the existing code base
performs quite well for most molecules; however, if convergence is not met after 100 iterations, then it
is presumed that further iterations will not yield SCF convergence without doing something different,
i.e., DIIS. Thus, the implementation of DIIS in SQM is a mechanism to try and force SCF conver-
gence for molecules that are otherwise difficult to converge. Default 0. Maximum 1000. Minimum
0. Note that DIIS will automatically turn itself on for 100 attempts at the end of iteration 800 even if
you did not explicitly set ndiis_attempts to a nonzero value. This is done as a final effort to achieve
convergence.
ndiis_matrices Controls the number of matrices used in the DIIS extrapolation. Including only one matrix is the
same as not performing an extrapolation. Including an excessive number of matrices may require a
large amount of memory. Not available for DFTB/SCC-DFTB. Default 6. Minimum 1. Maximum 20.
vshift Controls level shifting (only NDDO methods, not DFTB). Virtual orbitals can be shifted up by vshift
(in eV) to improve SCF convergence in cases with small HOMO/LUMO gap. Default 0.0 (no level
shift).
errconv SCF tolerance on the maximum absolute value of the error matrix, i.e., the commutator of the Fock
matrix with the density matrix. The value has units of hartree. The default value of errconv is suffi-
ciently large to effectively remove this tolerance from the SCF convergence criteria. Not available for
DFTB/SCC-DFTB. Default 1.d-1. Minimum 1.d-16. Maximum 1.d0.
qmmm_int When running QM calculations in the sqm program, an electric field of external point charges can
be added. In this way, the electrostatic effect outside of the QM region can be modeled, making the
calculation a simplified QM/MM calculation without QM/MM vdW’s contribution. Like QM/MM
calculations (see Section 9), the method to couple QM and MM electrostatic interactions for external
charges and semiempirical Hamiltonians can be specified via the qmmm_int namelist variable.
The current implementation limits use of external charges to only single point energy calculations. To
run such a calculation, an additional field, which begins with #EXCHARGES and ends with #END,
is required to specify the external point charges in the input. Each external point charge must include
atomic number, atom name, X, Y, Z coordinates and the charge in units of the electron charge. An
example input looks like:
single point energy calculation (adenine), with external charges (thymine)
&qmmm
qm_theory = ’PM3’,
qmcharge = 0,
maxcyc = 0,
qmmm_int = 1,
/
7 N 1.0716177 -0.0765366 1.9391390
1 H 0.0586915 -0.0423765 2.0039181
131
8. sqm: Semi-empirical quantum chemistry
1 H 1.6443796 -0.0347395 2.7619159
6 C 1.6739638 -0.0357766 0.7424316
7 N 0.9350155 -0.0279801 -0.3788916
6 C 1.5490760 0.0012569 -1.5808009
1 H 0.8794435 0.0050260 -2.4315709
7 N 2.8531510 0.0258031 -1.8409596
6 C 3.5646109 0.0195446 -0.7059872
6 C 3.0747955 -0.0094480 0.5994562
7 N 4.0885824 -0.0054429 1.5289786
6 C 5.1829921 0.0253971 0.7872176
1 H 6.1882591 0.0375542 1.1738824
7 N 4.9294871 0.0412404 -0.5567274
1 H 5.6035368 0.0648755 -1.3036811
#EXCHARGESwill be
6 C -4.7106131 0.0413373 2.1738637 -0.03140
1 H -4.4267056 0.9186178 2.7530256 0.06002
1 H -4.4439282 -0.8302573 2.7695655 0.05964
1 H -5.7883971 0.0505530 2.0247280 0.03694
6 C -3.9917387 0.0219348 0.8663338 -0.25383
6 C -4.6136833 0.0169051 -0.3336520 0.03789
1 H -5.6909220 0.0269347 -0.4227183 0.16330
7 N -3.9211729 -0.0009646 -1.5163659 -0.47122
1 H -4.4017172 -0.0036078 -2.4004924 0.35466
6 C -2.5395897 -0.0149474 -1.5962357 0.80253
8 O -1.9416783 -0.0291878 -2.6573783 -0.63850
7 N -1.9256484 -0.0110593 -0.3638948 -0.58423
1 H -0.8838255 -0.0216168 -0.3784269 0.35404
6 C -2.5361367 0.0074651 0.8766724 0.71625
8 O -1.8674730 0.0112093 1.9120833 -0.60609
#END
132
9. QM/MM calculations
Sander supports the option of describing part of the system quantum mechanically in an approach known as a
hybrid (or coupled potential) QM/MM simulation. Semi-empirical neglect of diatomic overlap (NDDO)-type and
density functional tight binding (DFTB) Hamiltonians are supported natively by sander and the basic documen-
tation (e.g. what Hamiltonians are implemented, description of the input parameters) can be found in Chapter 8.
Here we limit our description to those features that are unique to the QM/MM interface implemented in sander.
More advanced Hamiltonians based on ab initio wave function theory (WFT) and density functional theory (DFT)
are supported via an interface to external QM software packages the use of which is described in section 9.2.
The built-in semi-empirical QM/MM support was written by Ross Walker and Mike Crowley, [223] based
originally on public-domain MOPAC codes of J.J.P. Stewart. The QM/MM generalized Born implementation uses
the model described by Pellegrini and Field[251] while regular QM/MM Ewald support is based on the work
of Nam et al.[252] with QM/MM PME support based on the work of Walker et al.[223]. SCC-DFTB support
was written by Gustavo Seabra, Ross Walker and Adrian Roitberg,[224] and is based on earlier work of Marcus
Elstner.[225,226] Support for third-order SCC-DFTB was written by Gustavo Seabra and Josh McClellan.
9.1. Built-in semiempirical NDDO methods and SCC-DFTB
When running a QM/MM simulation in sander the system is partitioned into two regions, a QM region consisting
of the atoms defined by either the qmmask or iqmatoms keyword, and a MM region consisting of all the atoms that
are not part of the QM region. For a typical protein simulation in explicit solvent the number of MM atoms will
be much greater than the number of QM atoms. Either region can contain zero atoms, giving either a pure QM
simulation or a standard classical simulation. For periodic simulations, the quantum region must be compact, so
that the extent (or diameter) of the QM region (in any direction) plus twice the QM/MM cutoff must be less than
the box size. Hence, you can define an "active site" to be the QM region, but in most cases could not ask that
all cysteine residues (for example) be quantum objects. The restrictions are looser for non-periodic (gas-phase
or generalized Born) simulations, but the codes are written and tested for the case of a single, compact quantum
region.
The partitioned system is characterized by an effective Hamiltonian which operates on the system’s wavefunc-
tion Ψ, which is dependent on the position of the MM and QM nuclei, to yield the system energy Ee f f :
He f f Ψ(xe,xQM,xMM) = Ee f f (xQM,xMM)Ψ(xe,xQM,xMM)(9.1)
The effective Hamiltonian consists of three components - one for the QM region, one for the MM region and a
term that describes the interaction of the QM and MM regions, implying that likewise the energy of the system can
be divided into three components. If the total energy of the system is re-written as the expectation value of He f f
then the MM term can be removed from the integral since it is independent of the position of the electrons:
Ee f f =Ψ|HQM +HQM/MM|Ψ+EMM (9.2)
In the QM/MM implementation in sander,EMM is calculated classically from the MM atom positions using
the Amber or CHARMM force field equation and parameters, whereas HQM is evaluated using the chosen QM
method.
The interaction term HQM/MM is more complicated. By default, sander uses an electrostatic embedding scheme
(also referred to as additive scheme) in which the interaction of the MM point charges with the electrons of the
QM system as well as the interaction between the MM point charges and the QM nuclei (atomic cores for semi-
empirical methods) is explicitly taken into account. In other words, the MM region polarizes the QM electron
density. For the case where there are no covalent bonds between the atoms of the QM and MM regions the
133

9. QM/MM calculations
interaction Hamiltonian is thus the sum of an electrostatic term and a Lennard-Jones (VDW) term and can be
written as
HQM/MM =∑
q∑
m"Qmhelectron(xe,xMM)−QmZqhcore(xQM,xMM) + A
r12
qm −B
r6
qm !# (9.3)
where the subscripts e,mand qrefer to the electrons, the MM nuclei and the QM nuclei respectively. Here Qmis
the charge on MM atom m,Zqis the core charge (nucleus minus core electrons) on QM atom q,rqm is the distance
between atoms qand m, and A and B are Lennard-Jones interaction parameters. For systems that have covalent
bonds between the QM and MM regions, the situation is more complicated, as discussed later.
A more approximate form of the interaction term HQM/MM is referred to as mechanical embedding (or subtractive
QM/MM scheme). In this case the interactions between the QM and the MM region are obtained within the same
classical approximation that is used for the MM region, that is
HQM/MM =∑
q∑
m"QmQq
rqm + A
r12
qm −B
r6
qm !# (9.4)
where Qqis the classical MM point charge assigned to an atom in the QM region. Mechanical embedding is useful
to impose steric constraints on the embedded QM system, however, the electron density is not polarized by the
MM environment. An additional complication of this approach is that the point charges that are assigned to the
atoms in the QM region have to represent the electrostatic potential of the QM region during the whole course of
a QM/MM simulation.
If one evaluates the expectation values in Eq. 9.2 over a single determinant built from molecular orbitals
φi=∑
j
ci j χj(9.5)
where the ci j are molecular orbital coefficients and the χjare atomic basis functions, the total energy depends upon
the ci j and on the positions xMM and xQM of the atoms. The energy is obtained by setting ∂Ee f f /∂ci j to zero which
leads to a self-consistent (SCF) procedure to determine the ci j, (with a modified Fock matrix that contains the
electric field arising from the MM charges in the case of electrostatic embedding). Once the energy is known, the
forces on the atoms can be obtained by taking the derivative of the energy expression with respect to the positions
of the QM and MM atoms.
The main subtlety that arises in the case of electrostatic embedding is that, for a periodic system, there are
formally an infinite number of QM/MM interactions; even for a non-periodic system, the (finite) number of such
interactions may be prohibitively large. These problems are addressed in a manner analogous to that used for pure
MM systems: a PME approach is used for periodic systems, and a (large) cutoff may be invoked for non-periodic
systems. Some details are discussed below.
9.1.1. The QM/MM interface and link atoms
The sections above dealt with situations where there are no covalent bonds between the QM and MM regions. In
many protein simulations, however, it is necessary to have the QM/MM boundary cut covalent bonds, and a number
of additional approximations have to be made. There are a variety of approaches to this problem, including hybrid
orbitals, capping potentials, and explicit link atoms. The last option is the method available in sander.
There are a number of ways to implement a link atom approach that deal with the way the link atom is positioned,
the way the forces on the link atom are propagated, and the way non-bonding interactions around the link atom are
treated. Each time an energy or gradient calculation is to be done, the link atom coordinates are re-generated from
the current coordinates of the QM and MM atoms making up the QM-MM covalent pair. The link atom is placed
along the bond vector joining the QM and MM atom, at a distance dL−QM from the QM atom. By default dL−QM is
set to the equilibrium distance of a methyl C-H atom pair (1.09 Å) but this can be set in the input file. The default
link atom type is hydrogen, but this can also be specified as an input.
Since the link atom position is a function of the coordinates of the "real" atoms, it does not introduce any new
degrees of freedom into the system. The chain rule is used to re-write forces on the link atom itself in terms
134

9.1. Built-in semiempirical NDDO methods and SCC-DFTB
of forces on the two real atoms that define its position. This is analogous to the way in which "extra points" or
"lone-pairs" are handled in MM force fields.
The remaining details of how the QM-MM boundary is treated are as follows: for the interactions surrounding
the link atom, the MM bond term between the QM and MM atoms is calculated classically using the classical
force field parameters, as are any angle or dihedral terms that include at least one MM atom. The Lennard-Jones
interactions between QM-MM atom pairs are calculated in the same way as described in the section above with
exclusion of 1-2 and 1-3 interactions and scaling of 1-4 interactions. What remains is to specify the electrostatic
interactions between QM and MM atoms around the region of the link atom.
A number of different schemes have been proposed for handling link-atom electrostatics. Many of these have
been tested or calibrated on (small) gas-phase systems, but such testing can neglect some considerations that are
very important for more extended, condensed-phase simulations. In choosing our scheme, we wanted to ensure
that the total charge of the system is rigorously conserved (at the correct value) during an MD simulation. Further,
we strove to have the Mulliken charge on the link atom (and the polarity of its bond to the nearest QM atom)
adopt reasonable values and to exhibit only small fluctuations during MD simulations. Link atoms interact with
the MM field in exactly the same way as regular QM atoms. That is they interact with the electrostatic field due
to all the MM atoms that are within the cutoff, with the exception of the MM link pair atoms (MM atoms that are
bound directly to QM atoms). VDW interactions are not calculated for link atoms. These are calculated between
all real QM atoms and all MM atoms, including the MM link pair atoms. For Generalized Born simulations the
effective Born radii for the link atoms are calculated using the intrinsic radii for the MM link pair atoms that they
are replacing.
In the case of electrostatic embedding the atoms that make up the QM region (including the MM link pair
atom) have their charges from the prmtop file essentially replaced with Mulliken charges. Hence it is important to
consider the issue of charge conservation. The QM region (including the link atoms) by definition must have an
integer charge. This is defined by the &qmmm namelist variable qmcharge. If the MM atoms (including the MM
link pair atoms) that make up the QM region have prmtop charges that sum to the value of qmcharge then there is
no problem. If not, there are two options for dealing with this charge, defined by the namelist variable adjust_q. A
value of 1 will distribute the difference in charge equally between the nearest nlink MM atoms to the MM link pair
atoms. A value of 2 will distribute this charge equally over all of the MM atoms in the simulation (excluding MM
link pair atoms).
9.1.2. A reformulated QM/MM interface for PM3
In the current version of Amber, a reformulated QM-MM core-charge potential (denoted as PM3/MM*) has
been implemented. This reformulated potential scales the interaction between a QM core and a MM charge for the
purpose of better description of the geometry and energy at the QM-MM interface:[253]
Ecore
QM/MM =Zaqm(sasa,smsm)1+|qm|
qm·−e−fa
1·Ram +e−fa
2·Ram (9.6)
where Zais the effective core charge of QM atom a,qmis the partial charge on MM atom m,sais an sorbital
on the QM atom, smis a notional sorbital on the MM atom, Ram is the QM-MM interatomic distance, and fa
1
and fa
2are exponential scale factors which depend on the QM atom only. Optimal values for fa
1and fa
2were
determined based on the PM3 Hamiltonian, and are available for H, C, N and O atoms (so the QM region is
limited to these four atoms; but the MM region is not restricted). Application of this reformulated potential shows
improved prediction of geometry and interaction energy at the QM-MM interface for hydrogen bonded small
molecule complexes typical of biomolecular interactions, without significantly impacting the modeling of other
interaction types, such as dispersion dominant complexes.[253] In a QM/MM calculation, giving qmmm_int=3
along with qm_theory=PM3 will invoke this potential.
Based on PM3/MM*, further developments to the semi-empirical QM/MM coupling method have been intro-
duced – PM3/MMX2 (qmmm_int=4 and qm_theory=PM3) – which shares the same QM core-MM charge equation
with the PM3/MM* model. In addition, a QM parameter, ρmm, is introduced to each type of QM atoms in order
to “fine-tune” the QM electron-MM charge interaction (Eq. 9.7). Although ρmm is a parameter for QM atom, the
subscript mm emphasizes that it is a MM-related property (eqn 3.xx). Parameters are currently avaiable for H, C,
N, O and S QM atoms (manuscript in preparation).
135

9. QM/MM calculations
Eelectron
QM/MM =−qm(µaνa,smsm) = ∑
`a
∑
`mMa
lakMm
lmk(9.7)
where
Ma
lakMm
lmk=e2
2la+lm
2la
∑
i=1
l
∑
j=1hr2
i j +ρa
la+ρa
mm2i−1/2(9.8)
9.1.3. Generalized Born implicit solvent
The implementation of Generalized Born (GB) for QM/MM calculations is based on the method described by
Pellegrini and Field.[251] Here, the total energy is taken to be Ee f f from Eq. 9.2 plus Egb from Eq. 4.2. In Egb,
charges on the QM atoms are taken to be the Mulliken charges determined from the quantum calculation; hence
these charges depend upon the molecular orbital coefficients ci j as well as the positions of the atoms.
As with conventional QM/MM simulations, one then solves for the ci j by setting ∂Ee f f /∂ci j =0. This leads
to a set of SCF equations with a Fock matrix modified not only by the presence of MM atoms (as in "ordinary"
QM/MM simulations), but also modified by the presence of the GB polarization terms. Once self-consistency is
achieved, the resulting Mulliken charges can be used in the ordinary way to compute the GB contribution to the
total energy and forces on the atoms.
9.1.4. Ewald and PME
The support for long range electrostatics in QM/MM calculations using electrostatic embedding is based on a
modification of the Nam, Gao and York Ewald method for QM/MM calculations.[252] This approach works in a
similar fashion to GB in that Mulliken charges are used to represent long range interactions. Within the cut off,
interactions between QM and MM atoms are calculated using a full multipole treatment. Outside of the cut off the
interaction is based on pairwise point charge interactions. For semiempirical NDDO-type methods this leads to a
slight discontinuity at the QM/MM cut off boundary and thus a small energy drift during QM/MM MD simulations
in the NVE ensemble. This energy drift can be avoided by using a switching function at the cutoff (see below).
The implementation in Ref [252] uses an Ewald sum for both QM/QM and QM/MM electrostatic interactions.
This can be expensive for large MM regions, and thus sander uses a modification of this method by Walker and
Crowley[223] that uses a PME model (rather than an Ewald sum) for QM/MM interactions. This is controlled by
the qm_pme variable discussed below.
When running QM/MM Ewald or PME simulations in sander, if QM multipoles are involved in QM-MM
interactions (NDDO methods), a discontinuity in the QM-MM electrostatic potential occurs at the cut-off distance
due to the sudden change in the potential function (the difference between Eqs. 9.9 and 9.10) , thus resulting in
energy conservation problems in the simulation.
Er<cuto f f
QM/MM =−qm(µaνa,smsm) + Zaqm(sasa,smsm)(1+scale)(9.9)
Er>cuto f f
QM/MM =qm(Za−∑cµµ )
r(9.10)
This problem can be avoided by applying a switching function to smoothly connect the two different potentials.
The QM/MM electrostatic potential using a switching function can thus be written as:
EQM/MM =Er<cuto f f
QM/MM s(r) + Er>cuto f f
QM/MM (1−s(r))
The switching function can be turned on or off via the &qmmm namelist variable qmmm_switch, for details see
section 9.1.6 below.
136
9.1. Built-in semiempirical NDDO methods and SCC-DFTB
9.1.5. Hints for running successful QM/MM calculations
Required Parameters and Prmtop Creation
QM/MM calculations without link atoms require mass, charges, van der Waals and GB radii in the prmtop
file. All bonds, angles, and dihedrals parameters involving QM atoms are neglected. In the case of electrostatic
embedding the charges are also neglected. (Note that when SHAKE is applied to the QM reg, the bonds are
constrained to the ideal MM values, even when these are part of a QM region; hence, for this case, it is important
to have correct bond parameters in the QM region.) The simplest general prescription for setting things up is to
use antechamber and LEaP to create a reference force field, since "placeholders" are required in the prmtop file
even for things that will be neglected. This also allows you to run comparison simulations between pure MM and
QM/MM simulations, which can be helpful if problems are encountered in the QM/MM calculations.
The use of antechamber to construct a pure MM reference system is even more useful when there are link atoms,
since here MM parameters for bonds, angles and dihedrals that cross the QM/MM boundary are also needed.
Choosing the QM region
There are no good universal rules here. Generally, one might want to have as large a QM region as possible,
but having more than 80-100 atoms in the QM region will lead to simulations that are very expensive. One should
also remember that for many features of conformational analysis, a good MM force field may be better than a
semiempirical or DFTB quantum description. In choosing the QM/MM boundary, it is better to cut non-polar
bonds (such as C-C single bonds) than to cut unsaturated or polar bonds. Link atoms are not placed between bonds
to hydrogen. Thus cutting across a C-H bond will NOT give you a link atom across that bond. (This is not currently
tested for in the code and so it is up to the user to avoid such a situation.) Furthermore, link atoms are restricted
to one per MM link pair atom. This is tested for during the detection of link atoms and an error is generated if
this requirement is violated. This would seem to be a sensible policy otherwise you could have two link atoms too
close together. See the comments in qm_link_atoms.f for a more in-depth discussion of this limitation.
Choice of electrostatic cutoff
The implementation of the non-bonded cut off in QM/MM simulations is slightly different than in regular MM
simulations. The cut off between MM-MM atoms is still handled in a pairwise fashion. However, for QM atoms
any MM atom that is within qmcut of ANY QM atom is included in the interaction list for all QM atoms. This
means that the value of qmcut essentially specifies a shell around the QM region rather than a spherical shell
around each individual QM atom. Ideally the cut off should be large enough that the energy as a function of the
cutoff has converged. For non-periodic, generalized Born simulations, a cutoff of 15 to 20 Å seems sufficient in
some tests. (Remember that long-range electrostatic interactions are reduced by a factor of 80 from their gas-phase
counterparts, and by more if a non-zero salt concentration is used.) For periodic simulations, the cutoff only serves
to divide the interactions between "direct" and "reciprocal" parts; as with pure MM calculations, a cutoff of 8 or 9
Å is sufficient here.
Parallel simulations
The built-in QM/MM implementation currently supports execution in parallel via the message passing interface
(MPI), however, the implementation is not fully parallel. At present all parts of the QM simulation are parallel
except the density matrix build and the matrix diagonalisation. For small QM systems these two operations do
not take a large percentage of time and so acceptable scaling can be seen to around 8 CPU cores (depending on
type of CPU and/or interconnect speed between compute nodes). For large QM systems the matrix diagonalisation
time will dominate and so the scaling will not be as good. In this case it may be beneficial to choose a LAPACK
diagonalization routine in combination with a threaded library such as the Intel Math Kernel Library (MKL). For
details on how to choose the diagonalization routine see Section 8.3. The number of threads to be used for the
diagonalization is set via an environment variable of the operating system (typically OMP_NUM_THREADS).
137

9. QM/MM calculations
9.1.6. General QM/MM &qmmm Namelist Variables
An example input file for running a simple QM/MM MD simulation is shown here:
&cntrl
imin=0, nstlim=10000, ! Perform MD for 10,000 steps
dt=0.002, ! 2 fs time step
ntt=1, tempi=0.1, temp0=300.0, ! Berendsen temperature control
ntb=1, ! Constant volume periodic boundaries
ntf=2, ntc=2, ! Shake hydrogen atoms
cut=8.0, ! 8 angstrom classical non-bond cut off
ifqnt=1 ! Switch on QM/MM coupled potential
/
&qmmm
qmmask=’:753’, ! Residue 753 should be treated using QM
qmcharge=-2, ! Charge on QM region is -2
qm_theory=’PM3’, ! Use the PM3 semi-empirical Hamiltonian
qmcut=8.0 ! Use 8 angstrom cut off for QM region
/
The &qmmm namelist contains variables that allow you to control the options used for a QM/MM simulation. This
namelist must be present when running QM/MM simulations and at the very least must contain either the iqmatoms
or qmmask variable which define the region to be treated quantum mechanically. If ifqnt is set to zero then the
contents of this namelist are ignored.
For the QM region definition specify one of either iqmatoms or qmmask. Link atoms will be added automatically
along bonds (as defined in the prmtop file) that cross the QM/MM boundary.
iqmatoms comma-separated integer list containing the atom numbers (from the prmtop file) of the atoms to be
treated quantum mechanically.
qmmask Mask specifying the quantum atoms. E.g. :1-2, = residues 1 and 2. See mask documentation for more
info.
qmcut Specifies the size of the electrostatic cutoff in Angstroms for QM/MM electrostatic interactions. By
default this is the same as the value of cut chosen for the classical region, and the default generally
does not need to be changed. Any classical atom that is within qmcut of any QM atom is included in
the pair list. For PME calculations, this parameter just affects the division of forces between direct and
reciprocal space. Note: this option only effects the electrostatic interactions between the QM and MM
regions. Within the QM region all QM atoms see all other QM atoms regardless of their separation.
QM-MM van der Waals interactions are handled classically, using the cutoff value specified by cut.
qm_ewald This option specifies how long range electrostatics for the QM region should be treated.
= 0 Use a real-space cutoff for QM-QM and QM-MM long range interactions. In this situation QM
atoms do not see their images and QM-MM interactions are truncated at the cutoff. This is the
default for non-periodic simulations.
= 1 (default) Use PME or an Ewald sum to calculate long range QM-QM and QM-MM electrostatic
interactions. This is the default when running QM/MM with periodic boundaries and PME.
= 2 This option is similar to option 1 but instead of varying the charges on the QM images as the
central QM region changes the QM image charges are fixed at the Mulliken charges obtained
from the previous MD step. This approach offers a speed improvement over qm_ewald=1, since
the SCF typically converges in fewer steps, with only a minor loss of accuracy in the long range
electrostatics. This option has not been extensively tested, although it becomes increasingly
accurate as the box size gets larger.
138
9.1. Built-in semiempirical NDDO methods and SCC-DFTB
kmaxqx,y,z Specifies the maximum number of kspace vectors to use in the x, y and z dimensions respectively when
doing an Ewald sum for QM-MM and QM-QM interactions. Higher values give greater accuracy in
the long range electrostatics but at the expense of calculation speed. The default value of 8 should be
optimal for most systems.
ksqmaxq Specifies the maximum number of K squared values for the spherical cut off in reciprocal space when
doing a QM-MM Ewald sum. The default value of 100 should be optimal for most systems.
qm_pme Specifies whether a PME approach or regular Ewald approach should be used for calculating the long
range QM-QM and QM-MM electrostatic interactions.
= 0 Use a regular Ewald approach for calculating QM-MM and QM-QM long range electrostatics.
Note this option is often much slower than a pme approach and typically requires very large
amounts of memory. It is recommended only for testing purposes.
= 1 (default) Use a QM compatible PME approach to calculate the long range QM-MM electrostatic
energies and forces and the long range QM-QM forces. The long range QM-QM energies are
calculated using a regular Ewald approach.
qmmm_switch Specifies whether a switching function shall be used at the cutoff for long range electrostatics
(applies only to NDDO methods). The lower and higher boundaries of the switching function are user
definable, see r_switch_lo and r_switch_hi.
= 0 (default). Do not use a switching function. This leads to slight discontinuities in the potential at
the cut off and thus an energy drift in NVE simulations.
= 1 Use a switching function. See also variables r_switch_hi and r_switch_lo.
r_switch_hi Specifies the upper boundary of the switching function in Å (see qmmm_switch). Defaults to qmcut.
r_switch_lo Specifies lower boundary of the switching function in Å (see qmmm_switch). Defaults to r_switch_hi
- 2.
qmgb Specifies how the QM region should be treated with generalized Born.
= 2 (default) As described above, the electrostatic and "polarization" fields from the MM charges and
the exterior dielectric (respectively) are included in the Fock matrix for the QM Hamiltonian.
= 3 This is intended as a debugging option and should only be used for single point calculations. With
this option the GB energy is calculated using the Mulliken charges as with option 2 above but the
fock matrix is NOT modified by the GB field. This allows one to calculate what the GB energy
would be for a given structure using the gas phase quantum charges. When combined with a
simulation using qmgb=2, this allows the strain energy from solvation to be calculated.
qm_theory Level of theory to use for the QM region of the simulation. (Hamiltonian). Default is to use the
semi-empirical hamiltonian PM3. See the Section 8.3 for details.
qmmm_int Controls the way in which QM/MM interactions are handled in the direct space QMMM sum. This
controls only the electrostatic interactions. VDW interactions are always calculated classically us-
ing the standard 6-12 potential. Note: with the exception of qmmm_int=0 DFTB calculations
(qm_theory=DFTB) always use a simple mulliken charge - resp charge interaction and the value of
qmmm_int has no influence.
= 0 This turns off all electrostatic interaction between QM and MM atoms in the direct space sum.
Note QM-MM VDW interactions will still be calculated classically.
= 1 (default) QM-MM interactions in direct space are calculated in the same way for all of the various
semi-empirical hamiltonians. The interaction is calculated in an analogous way to the the core-
core interaction between QM atoms. The MM resp charges are included in the one electron
hamiltonian so that QMcore-MMResp and QMelectron-MMResp interactions are calculated.
139
9. QM/MM calculations
= 2 This is the same as for 1 above except that when AM1, PM3 or Hamiltonians derived from these
are in use the extra Gaussian terms that are introduced in these methods to improve the core-core
repulsion term in QM-QM interactions are also included for the QM-MM interactions. This is
the equivalent to the QM-MM interaction method used in CHARMM and DYNAMO. It tends
to slightly reduce the repulsion between QM and MM atoms at small distances. For distances
above approximately 3.5 angstroms it makes almost no difference.
= 3 Using this along with qm_theory=PM3 invokes a reformulated QM core-MM charge potential at
the QM-MM interface (Eq. 9.6). Current parametrization limits the QM region to H, C, N and
O atoms only; MM region is not restricted.[253]
= 4 Currently not in use.
= 5 Mechanical embedding: The electrostatic interaction between QM and MM atoms is treated on
the same level as within the MM region using the classical force field point charges also for the
QM atoms. The electronic Hamiltonian does not contain the field generated by the MM region
point charges and thus the electron density is not polarized by the MM environment. Does not
work with GB. Not extensively tested in presence of link atoms.
qmshake Controls whether SHAKE is applied to QM atoms. Using SHAKE on the QM region will allow you
to use larger time steps such as 2 fs with NTC=2. If, however, you expect bonds involving hydrogen
to be broken during a simulation you should not SHAKE for the QM region. WARNING: the SHAKE
routine uses the equilibrium bond lengths as specified in the prmtop file to reset the atom positions.
Thus while bond force constants and equilibrium distances are not used in the energy calculation for
QM atoms the equilibrium bond length is still required if QM SHAKE is on.
= 0 Do not shake QM H atoms.
= 1 Shake QM H atoms if SHAKE is turned on (NTC>1) (default).
printdipole Controls whether the dipole moment shall be printed every ntpr steps.
= 0 Do not print the dipole moment (default).
= 1 Print the dipole moment of the QM region.
= 2 Print the total dipole moment of the QM and MM region.
writepdb
= 0 Do not write a PDB file of the selected QM region. (default).
= 1 Write a PDB file of the QM region. This option is designed to act as an aid to the user to allow easy
checking of what atoms were included in the QM region. When this option is set a crude PDB file
of the atoms in the QM region will be written on the very first step to the file qmmm_region.pdb.
vsolv Controls whether solvent molecules shall be included into the QM region (requires settings in the
&vsolv namelist; see also section 9.3 on adaptive solvent QM/MM simulations, in particular the
namelist information in section 9.3.2.2).
= 0 Do not include solvent molecules into the QM region (default).
= 1 Include solvent molecules via simple solvent switching (requires &vsolv namelist).
= 2 Adaptive solvent QM/MM with fixed number of solvent molecules in A and T regions (requires
&vsolv and &adqmmm namelists).
= 3 Adaptive solvent QM/MM with fixed size of A and T regions (requires &vsolv and &adqmmm
namelists).
In addition to the above parameters, the following variables may be set, as described in Section 8.3:
qm_theory, dftb_disper, dftb_3rd_order , dftb_chg , dftb_telec , dftb_maxiter , qmcharge, spin, qmqmdx, ver-
bosity, tight_p_conv, scfconv, pseudo_diag, pseudo_diag_criteria, diag_routine, printcharges, qxd, parameter_file,
peptide_corr, and itrmax.
140
9.1. Built-in semiempirical NDDO methods and SCC-DFTB
9.1.7. Link Atom Specific QM/MM &qmmm Namelist Variables
The following options go in the &qmmm namelist and control the link atom behaviour.
lnk_dis Distance in Å from the QM atom to its link atom. Currently all link atoms must be placed at the
same distance. A negative value of lnk_dis specifies that the link atom should be placed directly on
top of the MM link pair atom. In this case the distance of the link atom from the QM region changes
as a function of time and the actual value of lnk_dis is ignored. Additionally this means that not all
link atoms will be placed at the same distance. Negative values of lnk_dis will work with regular
link atoms, such as hydrogen, but are really intended for use with pseudo atom / capping approaches.
Default = 1.09Å.
lnk_method This defines how classical valence terms that cross the QM/MM boundary are dealt with.
=1 (Default) in this case any bond, angle or dihedral that involves at least one MM atom, including
the MM link pair atom is included. This means the following (where QM = QM atom, MM =
MM atom, MML = MM link pair atom.):
Bonds = MM-MM, MM-MML, MML-QM
Angles = MM-MM-MM, MM-MM-MML, MM-MML-QM, MML-QM-QM
Dihedrals = MM-MM-MM-MM, MM-MM-MM-MML, MM-MM-MM-MML-QM, MM-
MML-QM-QM, MML-QM-QM-QM
=2 Only include valence terms that include a full MM atom, that is, count the MM link pair atom as
effectively being a QM atom. This option is designed to be used in conjunction with a pseudo
atom / capping type approach where the link atom is parameterized specifically to behave like a
uni-valent version of the MM atom it replaces. This option gives the following interactions:
Bonds = MM-MM, MM-MML
Angles = MM-MM-MM, MM-MM-MML, MM-MML-QM
Dihedrals = MM-MM-MM-MM, MM-MM-MM-MML, MM-MM-MML-QM, MM-MML-
QM-QM
lnk_atomic_no The atomic number of the link atoms. This selects what element the link atoms are to be. Default
= 1 (Hydrogen). Note this must be an integer and an atomic number supported by the chosen QM
theory.
adjust_q This controls how charge is conserved during a QMMM calculation involving link atoms. When the
QM region is defined the QM atoms and any MM atoms involved in link bonds have their RESP
charges zeroed. If the sum of these RESP charges does not exactly match the value of qmcharge then
the total charge of the system will not be correct.
= 0 No adjustment of the charge is done.
= 1 The charge correction is applied to the nearest nlink MM atoms to MM atoms that form link pairs.
Typically this will be any MM atom that is bonded to a MM link pair atom (a MM atom that
is part of a QM-MM bond). This results in the total charge of QM+QMlink+MM equaling the
original total system charge from the prmtop file. Requires natom-nquant-nlink >= nlink and
nlink>0.
= 2 (default) - This option is similar to option 1 but instead the correction is divided among all MM
atoms (except for those adjacent to link atoms). As with option 1 this ensures that the total charge
of the QM/MM system is the same as that in the prmtop file. Requires natom-nquant-nlink >=
nlink.
141
9. QM/MM calculations
9.1.8. Charge-dependent exchange-dispersion corrections of vdW interactions
The sqm program provides a new charge-dependent energy model consisting of van der Waals (vdW) and polar-
ization interactions between the quantum mechanical (QM) and molecular mechanical (MM) regions in a combined
QM/MM calculation. vdW interactions are commonly treated using empirical Lennard-Jones (L-J) potentials,
whose parameters are often chosen based on the QM atom type (e.g., based on hybridization or specific covalent
bonding environment). This strategy for determination of QM/MM nonbonding interactions becomes tedious to
parametrize and lacks robust transferability. Problems occur in the study of chemical reactions where the “atom
type” is a complex function of the reaction coordinate. This is particularly problematic for reactions, where atoms
or localized functional groups undergo changes in charge state and hybridization.
In sqm, this charge-dependent energy model was implemented based on a scaled overlap model for repulsive
exchange and attractive dispersion interactions that is a function of atomic charge. The model is chemically
significant since it properly correlates atomic size, softness, polarizability, and dispersion terms with minimal
one-body parameters that are functions of the atomic charge[227].
This “Charge-dependent exchange-dispersion corrections of vdW interactions” can be invoked by the
“qxd=.true.” switch in the &qmmm namelist. Note that this model currently does not have any effect on pure
quantum calculations through sqm, the qxd correction is only added to QM/MM interactions in sander. The de-
fault values of qxd parameters are set to reproduce the regular L-J interactions of typical atom types (HC for H,
C* for C, N for N, OW for O, and parameters for F and Cl are optimized[227]) when the charge dependence
parameters are zero. There are eight qxd parameters (symbols used in the reference[227] are indicated in the
parentheses): qxd_s (s), qxd_z0 (ζ(0)), qxd_zq (ζq), qxd_d0 (α1), qxd_dq (3 ×B), qxd_q0 (α2), qxd_qq (3 ×B),
and qxd_neff (Ne f f (0)). All parameters can be modified through external user-defined parameter files (see the
usage of ’parameter_file’ in Section 8.3).
9.2. Interface for ab initio and DFT methods
In addition to the built-in semi-empirical methods sander also supports QM/MM simulations with ab initio wave
function theory (WFT) and density functional theory (DFT) potentials via an interface to external QM software
packages[254]. The implementation makes use of the existing QM/MM infrastructure that has been developed
earlier for the semi-empirical methods. Thus, much of AMBER’s previous QM/MM functionality such as the user-
friendly link atom approach are available and the implementation remains simple and transparent to use without
any significant additional steps in the simulation setup as compared to semi-empirical QM/MM simulations. At
present the interface supports several well-known and widely used QM software packages. Mechanical embedding
is available for
• ADF (Amsterdam Density Functional) [255,256]
• GAMESS-US [257,258]
• NWChem [259]
Mechanical and electrostatic embedding is available for
• Gaussian [221]
• Orca [260]
• TeraChem [261]
While ADF, Gaussian and TeraChem are commercial programs, GAMESS-US, NWChem and Orca are available
at no cost for academic research. The interface has been written in a modular fashion and is easily extensible to
support other QM software packages. It is our intention to keep adding support for other software packages. If you
are interested in interfacing a specific program, please do not hesitate to contact us.
The interface was developed by Andreas Goetz (SDSC, UCSD) with help of Matthew Clark (SDSC) and support
by Ross Walker (SDSC, UCSD). Thanks are due to Christine Isborn and Todd Martinez (Stanford University) for
modifications to the TeraChem code to support this interface and to Mark Williamson (University of Cambridge)
142

9.2. Interface for ab initio and DFT methods
for an initial version of the module that supports NWChem. If you make use of this interface, please cite the
following work:
• A. W. Götz, M. A. Clark, R. C. Walker, An extensible interface for QM/MM molecular dynamics simulations
with AMBER, J. Comput. Chem. 35, 95-108 (2014), DOI: 10.1002/jcc.23444
If you are using the interface with the TeraChem code, please cite in addition the following work:
• C. M. Isborn, A. W. Götz, M. A. Clark, R. C. Walker, T. J. Martínez, Electronic Absorption Spectra from
MM and ab initio QM/MM Molecular Dynamics: Environmental Effects on the Absorption Spectrum of
Photoactive Yellow Protein, J. Chem. Theory Comput. 8, 5092-5106 (2012), DOI: 10.1021/ct3006826
Access to QM methods not available within Amber is also possible via the Amber interface to the PUPIL simulation
framework. For details, see refs. 262,263. In what follows we will describe the new interface that is native to
sander.
9.2.1. Theory
As described in section 9.1, the Hamiltonian of a system that is partitioned into a QM region that is treated with
WFT and a classical region that is treated with MM consists of three components and the energy associated with
this Hamiltonian is obtained as the corresponding expectation value
E=hΨ|HQM +HQM/MM|Ψi+EMM.(9.11)
A QM/MM calculation therefore requires not only to choose the WFT used in the QM region and the MM model
used for the MM region, but in addition also the form of the QM/MM Hamiltonian which describes the interaction
between the quantum and the classical region. The most simple approach is to neglect any electronic coupling
between the QM and the MM system and include only the classical non-bonded van der Waals (vdW) and electro-
static interactions between the QM and the MM atoms. This is useful to impose steric constraints on the embedded
QM system and commonly referred to as mechanical embedding. In most cases, however, it is better to allow for
an explicit polarization of the QM system due to the presence of the point charges on the MM atoms. This is
referred to as electronic embedding and the resulting interaction energy becomes
Eelectronic
QM/MM =∑
A∈MM Zρ(r)QA
|r−RA|dr+∑
A∈QM,B∈MM
ZAQB
RAB
+∑
A∈QM,B∈MM
εAB "σAB
RAB 12
−σAB
RAB 6#.
(9.12)
This QM/MM energy expression also holds for DFT and the terms represent, in order, the electrostatic interaction
between the QM electron density and the MM point charges, the electrostatic interation between the QM point
charge nuclei and the MM point charges, and the van der Waals repulsion between the QM and MM atoms.
The forces acting on an atom Ain a QM/MM calculation are given in terms of derivatives of the total energy
expression (9.11) with respect to the Cartesian coordinates of the atom,
FA=−∇AEQM −∇AEQM/MM −∇AEMM,(9.13)
where ∇A=∂/∂RA= (∂/∂Rx
A,∂/∂Ry
A,∂/∂Rz
A). If a QM and an MM program are coupled for QM/MM calcula-
tions, the QM program will calculate the QM forces −∇AEQM acting on QM atoms and the MM program the MM
forces −∇AEMM acting on the MM atoms. All that remains, is to calculate the forces acting on QM and MM atoms
due to the QM/MM interaction energy, −∇AEQM/MM. For mechanical embedding this will be entirely handled by
the MM program. For electronic embedding the forces are given as
143

9. QM/MM calculations
∇AEelectronic
QM/MM =ZA∑
B∈MM
QB(RA−RB)
R3
AB
+∑
B∈MM Z∂ ρ(r)
∂RA
QB
|r−RB|dr+∑
B∈MM
∇AVLJ
AB
=−ZAEMM(RA)−Zρ(r)EMM(r)dr+∑
B∈MM
∇AVLJ
AB
(9.14)
for the derivatives with respect to the positions of the QM atoms Awhere EMM is the electric field generated by
the MM point charges and and VLJ
AB is the Lennard-Jones potential from (9.12) and
∇BEelectronic
QM/MM =QB∑
A∈QM
ZA(RB−RA)
R3
AB
+Zρ(r)QB(RB−r)
|r−RB|3dr+∇BEmechanic
QM/MM
=−QBEQM(RB) + ∑
A∈QM
∇BVLJ
AB
(9.15)
for the derivatives with respect to the positions of the MM atoms Bwhere EQM is the electric field due to the QM
charge distribution. The contributions to the gradient due to the point charge interactions and due to the interaction
between the MM point charges and the QM electrons is evaluated by the QM program. Some QM programs do not
calculate the forces acting on the MM atoms (point charges) due to the presence of the QM system but in general
are able to return the electric field EQM at arbitrary points in space which is then used to obtain these forces. The
van der Waals repulsion (Lennard-Jones interaction) between QM and MM atoms is treated by AMBER in the
same way as for semiempirical NDDO-type and DFTB methods.
9.2.2. General Remarks
When using the AMBER interface to external QM software packages for performing WFT or DFT based QM or
QM/MM MD simulations, it is absolutely critical to be aware of the capabilities and limitations of the QM method
to be employed. In particular, QM based MD can be more tricky than MM based MD in the sense that it is more
likely that the QM program can fail for example due to SCF convergence problems. This can be the case if the
geometry of the QM region is far from its ground state equilibrium, for example because a simulation is started
from a bad geometry or performed at high temperature.
We have gone to large efforts and analyzed a large set of test simulations to provide the best default parameters
for the supported QM programs such that forces are computed with sufficient accuracy to guarantee energy coser-
vation for constant energy MD simulations. Of particular importance are SCF convergence and associated integral
negelct thresholds and the size of the grid used for the numerical quadrature of the exchange-correlation (XC)
potential and energy for DFT calculations. However, other than providing appropriate input parameters, AMBER
does not have any control over the external program and it is at the user’s discretion to employ sensible input
parameters for the QM program and to prepare the system such that the simulations are started at a reasonable
starting structure.
In any case we highly recommend to write restart files frequently so that a simulation can be restarted without
loss of much computational time in the case that a simulation should crash. The interface also stores the last in-
and output files of the external QM program during each MD step. Should there be any problems with the QM
program, it is therefore possible to analyze the reasons and take appropriate countermeasures.
The interface requires data to be exchanged between sander and the QM program. The interface is based on
file exchange and system calls and, during each step of a geometry optimization or an MD simulation, writes an
input file for the external program, starts a single point gradient calculation with the external program, and reads
the energy and forces from the external program’s output file (binary ADF checkpoint or formatted GAMESS,
Gaussian, ORCA and TeraChem output file). Data communication via MPI is also implemented and currently
supported by TeraChem.
144
9.2. Interface for ab initio and DFT methods
9.2.3. Limitations
In principle, all types of simulations that are possible with sander are supported. There are, however, some
restrictions for simulations that require sander to run in parallel, in particular path integral molecular dynam-
ics (PIMD) and replica exchange molecular dynamics (REMD), see the discussion of Parallelization below. The
interface to external QM programs also lacks some features regarding solvent models in comparison to the semiem-
pirical MNDO and DFTB QM/MM implementation that is available in AMBER, the most critical ones are listed
here.
Generalized Born Generalized Born (GB) implicit solvent models are not supported if external QM programs
are used for the QM region.
Particle Mesh Ewald (PME) and Periodic Boundary Conditions The PME approach for treating long-range
electrostatic QM/MM and QM/QM interactions in periodic systems is currently not supported. It is possible to
use periodic boundary conditions but a cutoff is used for the point charges to be included in the QM Hamiltonian
(determined by &qmmm namelist variable qmcut) thus truncating the long-range QM/MM electrostatic interactions
in (9.12). This leads to discontinuities in the potential energy surface and poor energy conservation for MD runs
in the NVE ensemble. The user may consider running non-periodic simulations with a cutoff that is larger than the
system size thus effectively including all interactions.
9.2.4. Performance Considerations
The computational cost of DFT is comparable to Hartree–Fock (HF) theory which is the simplest WFT method
that serves as zeroth order approximation for more elaborate correlated WFT methods such as Møller–Plesset per-
turbation theory, configuration interaction theory and coupled cluster theory. The calculations can be accelerated
by using density fitting approaches, sometimes called resolution-of identity (RI) approximation, which in the case
of DFT with exchange-correlation (XC) functionals that do not require admixture of exact HF-exchange, leads to
speedups of roughly one order of magnitude without compromising the accuracy of the results. Nevertheless, the
computational cost of DFT is in general two to three orders of magnitude higher than that of semiempirical QM
models. We recommend to carefully test the performance of the QM program to choose an optimal number of
processor counts for parallelized QM calculations. Typical simulation performance for typical QM system sizes of
tens of atoms will be on the order of a few picoseconds per day, depending on the underlying QM model chosen.
9.2.5. Parallelization
The MPI parallel executable sander.MPI can be used to run QM/MM MD simulations with external QM software
in which the MM portion of the calculation is parallelized. However, the computational cost of the MM part is
usually small compared to the cost of the QM part. In order to execute the QM part of the calculation in parallel,
the external QM program has to be instructed to do so, as described in the sections below.
In the case of PIMD or REMD simulations that require a separate energy and force evaluation for each group
at each time step, the parallelized executable sander.MPI has to be used. Multiple processes can be launched per
group to parallelize the MM calculations. Care has to be taken to choose the right number of parallel threads in
the external QM program. For example, on a machine with 32 cores, a simulation with 16 beads or replicas can
run the external QM program with 2 threads in parallel to make maximum use of the available processing cores.
If the available processors are spread over multiple nodes, special care has to be taken to ensure that the different
instances of the external QM program are launched on the correct nodes.
It is currently not possible to execute sander.MPI in parallel via MPI if the external QM program is also paral-
lelized using MPI.
9.2.6. Usage
All that is required to use the interface is a working installation of AMBER and one or more of the supported
QM programs. In order to use the external program from within sander, the &cntrl namelist variable ifqnt = 1
145

9. QM/MM calculations
must be set to enable QM calculations and the &qmmm namelist variable qm_theory = ’EXTERN’ must be set to
enable the external interface. The &qmmm namelist variable qmmask or iqmatoms is used for selecting the QM
region just as for QM/MM calculations with the semiempirical NDDO-type and DFTB approaches that are
natively available in AMBER. Charge and spin multiplicity for the QM region need to be defined via the variables
qmcharge and spin, respectively, in the &qmmm namelist. For a QM MD simulation, the sander input file
therefore needs to contain
! example input for QM simulation with external QM program
&cntrl
...
ifqnt = 1, ! switch on QM/MM
/
&qmmm
qmmask = ’@*’, ! select QM atoms (here: make all QM)
qmcharge = 0, ! charge on QM region (default = 0)
spin = 1, ! spin multiplicity of QM region (default = 1)
qm_theory = ’EXTERN’, ! use external QM program
/
For QM/MM simulations with electronic embedding (this is the default) we recommend to include all MM point
charges as external electric field in the QM Hamiltonian to avoid problems with energy conservation. For non-
periodic simulations this can be achieved by setting the &qmmm namelist variable qmcut to a value larger than the
system size.
In addition either the &adf,&gms,&nw,&gau,&orc or &tc namelist must be present to use either ADF,
GAMESS, NWChem, Gaussian, ORCA or TeraChem, respectively, and to assign parameters for the external QM
program. Please refer to the ADF, GAMESS, NWChem, Gaussian, ORCA or TeraChem user manual for details on
settings for the ab initio or DFT calculations. A list of namelist variables and their default setting is given below.
The defaults have been chosen such that energy conserving MD simulations in the NVE ensemble are possible.
An exception is ADF for which good energy conservation cannot be reached at present, in particular with the DZ
basis set. NWChem has not been extensively tested.
Properties that are calculated along the trajectory are printed to property files with names adf_job.ext,
gms_job.ext,gau_job.ext,orc_job.ext and tc_job.ext, where ext is either dip for dipole moment (x,
y, z component and absolute value) or chg for atomic charges, where supported. These property files are only
written if requested and will be deleted at the beginning of a run, so back them up in case a trajectory needs to be
restarted.
All calculations with a spin multiplicity larger than one will automatically be performed in the framework of
an unrestricted formalism (as opposend to restricted open shell), that is with unrestricted HF (UHF), unrestricted
DFT (UDFT) and MP2 with a UHF reference wave function (UMP2).
In addition to controlling the external programs via the sander input file, you may supply a template input file
for the external program in order to provide additional input which is not supported by the external interface.
The format, name, and input requirements for the template file vary with the external program as detailed in the
corresponding program’s documentation below. If you are using your own template, please make sure that the
parameters of the QM method (like SCF convergence threshold and XC quadrature grid size) yield sufficiently
accurate forces.
9.2.6.1. AMBER/ADF
To use ADF with the external interface, ADF must be properly installed on the working machine. In particular,
the executable adf must be in the search path. Please note that by default the ZORA/QZ4P fit basis will be used
for all basis sets to maximize the accuracy of the gradients calculated by ADF and thus obtain the best possible
energy conservation.
Limitations At present only mechanical embedding is supported.
146

9.2. Interface for ab initio and DFT methods
&adf Namelist variables
basis Basis set type to be used in the DFT calculation. Valid standard basis set types are: SZ, DZ, DZP,
TZP, TZ2P, TZ2P+ and ZORA/QZ4P. (Default: basis = ’DZP’)
fit_type Fit basis set type to be used for density fitting. Valid values are identical to the available basis sets
(SZ, DZ etc) in which case the fit basis corresponding to the AO Basis will be used; “standard” will
choose the fit basis that by default corresponds to the basis set chosen with the basis namelist variable.
(Default: fit_type = ’ZORA/QZ4P’)
core Type of frozen core to use. Allowed values are: None, Small, Medium, Large. (Default: core =
’None’)
xc Exchange-correlation functional to be used. Popular choices are ’LDA VWN’, ’GGA BLYP’, ’GGA
PBE’, ’HYBRID B3LYP’ and ’HYBRID PBE0’. Consult the ADF manual for all available options.
(Default: xc = ’GGA BLYP’)
scf_iter Maximum number of SCF cycles allowed. (Default: scf_iter = 50)
scf_conv Threshold upon which to stop the SCF procedure. The tested error is the commutator of the Fock
matrix and the density matrix. Convergence is considered to be achieved if the maximum element of
the commutator (which is zero for an optimized wave function) is smaller than scf_conv. (Default:
scf_conv = 1.0d-06)
integration Numerical integration accuracy. (Default: integration = 5.0)
num_threads Number of threads (and thus CPU cores) for ADF to use. Note that this is not requied if you are
running in a queuing system as ADF will automatically use the full number of reserved cores. (Default:
num_threads = 0 [this causes ADF to use all available cores on a machine])
use_dftb Specifies whether DFTB shall be used with ADF’s DFTB program dftb. If use_dftb = 1 then DFTB
will be used and only variables charge and scf_conv will be considered. (Default: use_dftb = 0 [do
not use DFTB, regular DFT calculation]) - works only with older DFTB versions (prior to 2011).
exactdensity The exact (as opposed to fitted) electron density is used for the evaluation of the exchange-correlation
potential if exactdensity = 1. (Default: exactdensity = 0)
use_template Determine whether or not to use a user-provided template file for running external programs. (De-
fault: use_template = 0)
ntpr Controls frequency of printing for dipole moment to file adf_job.dip (Defaults to &cntrl namelist
variable ntpr)
dipole Toggles writing of dipole moment to file adf_job.dip (Default: dipole = 0)
Example An input file for QM or (mechanical embedding) QM/MM MD with ADF using the PBE functional
and the TZP basis set therefore would have to contain
&adf
xc = ’GGA PBE’,
basis = ’TZP’,
/
147
9. QM/MM calculations
Template input file The template file for ADF should be named adf_job.tpl and must contain the following
keywords:
BASIS ... END
SAVE TAPE21
You should not include the following (block) keywords in the template file as these are taken care of by sander:
UNITS
FRAGMENTS ... END
RESTART
GRADIENT
ATOMS ... END
9.2.6.2. AMBER/GAMESS-US
To use GAMESS with the external interface, GAMESS must be compiled on the target system. Make note of the
version number you specify during the GAMESS compilation process (default is 00 which makes the GAMESS
execution script rungms look for the executable gamess.00.x). If you use a different version number you must
specify it with the gms_version namelist variable. $GMS_PATH should be set to the path where the script rungms
is located (for example /opt/gamess/). We assume that the rungms script copies the output .dat files to the
directory from which GAMESS is invoked. If this is not the case, please modify the script rungms accordingly.
Limitations Only mechanical embedding is supported with GAMESS. The available QM models are limited to
HF, DFT and MP2 since only for these analytical gradients are available in GAMESS.
&gms Namelist variables
basis Basis set type to be used in the calculation. Presently supported are the Pople type basis sets STO-3G,
6-31G, 6-31G*, 6-31G**, 6-31+G*, 6-31++G*, 6-311G, 6-311G* and 6-311G**. Also supported are
the Karlsruhe valence triple zeta basis sets KTZV, KTZVP and KTZVPP (with none, one and two
polarization functions, respectively) and the Dunning-type correlation consistent basis sets CCn (n
= D, T, Q, 5, 6; officially called cc-pVnZ) and ACCn (as CCn but augmented with a set of diffuse
function, officially called aug-cc-pVnZ). (Default: basis = ’6-31G*’)
method QM method to be used. At present, we support ’HF’ for Hartree–Fock, ’MP2’ for second order Møller-
Plesset perturbation theory and any of the supported DFT functionals. Popular choices for for DFT
functionals include ’BP86’, ’BLYP’, ’PBE’, ’B3LYP’ or ’PBE0’. (Default: method = ’BP86’)
nrad Number of radial points in the Euler-MacLaurin quadrature of the XC potential and energy density.
(Default: nrad = 96)
nleb Number of angular points in the Lebedev grids for the numerical quadrature of the XC potential and
energy density. (Default: nleb = 590 [The GAMESS default of 302 is not accurate enough to conserve
energy])
scf_conv SCF convergence threshold. Convergence is reached when the absolute density change between two
consecutive SCF cycles is less than scf_conv}. (Default: scf_conv = 1.0D-06)
maxit Maximum number of SCF iterations. (Default: maxit = 50)
gms_version This is the version number specified when building GAMESS. (Default: gms_version = 00)
num_threads Number of threads (and thus CPU cores) for GAMESS to use. Note that GAMESS may require a
special setup in the rungms script to be able to run using multiple threads. Unless num_threads is
explicitly specified, GAMESS will only use one thread (run on one core). (Default: num_threads = 1)
148

9.2. Interface for ab initio and DFT methods
mwords The maximum replicated memory which your job can use, on every node. This is given in units of
1,000,000 words (as opposed to 1024*1024 words), where a word is defined as 64 bits. You may
need to increase this value if GAMESS crashes due to not having enough memory allocated. (Default:
mwords = 50)
use_template Determine whether or not to use a user-provided template file for running external programs. (De-
fault: use_template = 0)
ntpr Controls frequency of printing for dipole moment and atomic charges to files gms_prop.ext (Defaults
to &cntrl namelist variable ntpr)
chelpg CHELPG charges are calculated if chelpg = 1. These charges are written to the file gms_prop.chg
(Default: chelpg = 0)
dipole Toggles writing of dipole moment to file gms_prop.dip (Default: dipole = 0)
Example An input file for QM or (mechanical embedding) QM/MM MD with GAMESS using the PBE
functional and the 6-31G** basis set that should run GAMESS on 16 CPU cores therefore would have to contain
&gms
method = ’DFT’,
dfttyp = ’PBE’,
basis = ’6-31G**’,
num_threads = 16,
/
Template input file The template file for GAMESS should be named gms_job.tpl and the $CONTRL card must
contain the following keywords:
RUNTYP=GRADIENT
UNIT=ANGS
COORD=UNIQUE
You should not include the $DATA card in the template file as it is taken care of by sander.
9.2.6.3. AMBER/Gaussian
To use Gaussian with the interface, Gaussian03 or Gaussian09 must be properly installed on the system and the
g03 or g09 executable must be in the path.
Limitations A cutoff is applied to QM/MM interactions in QM/MM simulations using electrostatic embedding
with and without PBCs. This leads to discontinuities in the potential energy surface and poor energy conservation.
In the case of QM/MM simulations without PBCs, this cutoff (qmcut variable in the &qmmm namelist) can be set
to a number that is larger than the simulated system, thus effectively not applying a cutoff. This is recommended.
&gau Namelist variables
basis Basis set type to be used in the calculation. Any basis set that is natively supported by Gaussian can
be used. Examples are the single zeta, split valence or triple zeta Pople type basis sets ’STO-3G’, ’3-
21G’, ’6-31G’ and ’6-311G’. The split-valence or triple zeta basis sets can be augmented with diffuse
functions on heavy atoms or additionally hydrogen by adding one or two plus signs, respectively, as in
’6-31++G’. Polarization functions on heavy atoms or additionally hydrogens are used by adding one
or two stars, respectively, as in ’6-31G**’. (Default: basis = ’6-31G*’)
149

9. QM/MM calculations
method Method to be used in the calculation. Can either be one of the WFT models for which Gaussian
supports gradients, for example ’RHF’ or ’MP2’, or some supported DFT functional. Popular choices
are ’BLYP’, ’PBE’ and ’B3LYP’. (Default: method = ’BLYP’)
scf_conv Threshold upon which to stop the SCF procedure. The tested error is the commutator of the Fock
matrix and the density matrix. Convergence is considered to be achieved if the maximum element of
the commutator (which is zero for an optimized wave function) is smaller than scf_conv}. Set in the
form of 10−N. (Default: scf_conv = 8)
num_threads Number of threads (and thus CPU cores) for Gaussian to use. Unless num_threads is explicitly
specified, Gaussian will only use one thread (run on one core). (Default: num_threads = 1)
use_template Determine whether or not to use a user-provided template file for running external programs. (De-
fault: use_template = 0)
ntpr Controls frequency of printing for dipole moment to file gau_job.dip (Defaults to &cntrl namelist
variable ntpr)
dipole Toggles writing of dipole moment to file gau_job.dip (Default: dipole = 0)
Example An input file for QM or QM/MM MD with Gaussian using the BP86 functional and the 6-31G**
basis set and running in parallel on 8 threads therefore would have to contain
&gau
method = ’BP86’,
basis = ’6-31G**’,
num_threads = 8,
/
Template input file The template file for Gaussian should be named gau_job.tpl and should only contain the
route section of a Gaussian input file. The route section defines the method to be used and SCF convergence
criteria. Charge and spin multiplicity are provided by via the &qmmm namelist. For example for a B3LYP
calculation with 6-31G* basis set, the route section would be:
#P B3LYP/6-31G*SCF=(Conver=8)
Do not include any information about coordinates or point charge treatment since this will all be handled by sander.
Also, do not include any Link 0 Commands (line starting with %) since these are handled by sander. If you want
to run Gaussian in parallel, specify the number of processors via the num_threads variable in the &gau namelist.
9.2.6.4. AMBER/Orca
To use Orca with the interface, Orca must be properly installed on the system, the Orca executables need to
reside in a directory that is in the search path. For convenience of use, namelist parameters in general correspond
to Orca keywords, see the Orca manual for details.
Limitations A cutoff is applied to QM/MM interactions in QM/MM simulations with and without PBCs. This
leads to discontinuities in the potential energy surface and poor energy conservation. In the case of QM/MM
simulations without PBCs, this cutoff (qmcut variable in the qmmm namelist) can be set to a number that is larger
than the simulated system, thus effectively not applying a cutoff. This is recommended.
Also note that ORCA only supports OpenMPI for parallel calculations.
150

9.2. Interface for ab initio and DFT methods
&orc Namelist variables
basis Basis set type to be used in the calculation. Possible choices include ’svp’, ’6-31g’, etc. See Orca
manual for a complete list. (Default: basis = ’SV(P)’)
cbasis Auxillary basis set for correlation fitting. See Orca manual for a complete list. (Default: basis =
’NONE’)
jbasis Auxillary basis set for Coulomb fitting. See Orca manual for a complete list. (Default: basis =
’NONE’)
method Method to be used in the calculation. Popular choices include ’hf’, ’pm3’, ’blyp’, and ’mp2’. (Default:
method = ’blyp’)
convkey General SCF convergence setting for simplified Orca input. Can take values ’TIGHTSCF’, ’VERY-
TIGHTSCF’, etc. (Default: convkey=’VERYTIGHTSCF’)
scfconv SCF convergence threshold for the energy. (Default: scfconv = -1, that is, not in use since we use the
general convergence settings keyword convkey. Otherwise this would lead to SCF energy convergence
of 10−Nau, if set to N.)
grid Grid type used during the SCF for the XC quadrature in DFT. (Default: grid = 4, this corresponds to
Intacc = 4.34 for the radial grid and an angular Lebedev grid with 302 points. Conservatively chosen
together with finalgrid to conserve energy.)
finalgrid Grid type used for the energy and gradient calculation after the SCF for the XC quadrature in DFT.
(Default: finalgrid = 6, this corresponds to Intacc = 5.34 for the radial grid and an angular Lebedev
grid with 590 points. Conservatively chosen together with grid to conserve energy.)
maxiter Maximum number of SCF iteractions. (Default maxiter = 100)
maxcore Global scratch memory (in MB) used by Orca. You may need to increase this when running larger
jobs. See Orca manual for more information. (Default maxcore = 1024)
num_threads Number of threads (and thus CPU cores) for Orca to use. Note that Orca only supports OpenMPI.
(Default: num_threads = 1)
use_template Determine whether or not to use a user-provided template file for running external programs. (De-
fault: use_template = 0)
ntpr Controls frequency of printing for the dipole moment to file orc_job.dip (Defaults to &cntrl namelist
variable ntpr)
dipole Toggles writing of the dipole moment to file orc_job.dip (Default: dipole = 0)
Example An input file for QM or QM/MM MD with Orca using the BLYP functional, the SVP basis set
therefore would have to contain
&orc
method = ’blyp’,
basis = ’svp’,
/
151
9. QM/MM calculations
Template input file The template file for Orca should be named orc_job.tpl and must at least contain
keywords specifying the method and basis set to be used in the calculation, for example:
# ORCA input file for BLYP/SVP simulation
! BLYP SVP
You should not include the following keywords in the template file as these are taken care of by sander (like
setting the runtype and adding coordinates):
# NOT to be included in ORCA input file
!engrad
!energy # (or any run type)
%pointcharges
*xyzfile # (or any coordinates)
9.2.6.5. AMBER/TeraChem
To use TeraChem with the interface, TeraChem must be properly installed on the system. In particular, the
terachem executable needs to be in the search path. Namelist parameters correspond to TeraChem keywords, see
the TeraChem manual for details.
Limitations A cutoff is applied to QM/MM interactions in QM/MM simulations with and without PBCs. This
leads to discontinuities in the potential energy surface and poor energy conservation. In the case of QM/MM
simulations without PBCs, this cutoff (qmcut variable in the &qmmm namelist) can be set to a number that is
larger than the simulated system, thus effectively not applying a cutoff. This is recommended.
&tc Namelist variables
basis Basis set type to be used in the calculation. Possible choices presently (TeraChem version 1.4) are
’STO-3G’, ’3-21G’, ’6-31G’ and ’6-311G’, ’3-21++G’ and ’6-31++G’ (Default: basis = ’6-31G’)
method Method to be used in the calculation, can be either ’RHF’ or some supported DFT functional. Popular
choices are ’BLYP’, ’PBE’ and ’B3LYP’. (Default: method = ’BLYP’)
dftd Determines whether dispersion corrections are applied in the case of DFT calculations. (Default: dftd
= ’no’)
precision Precision model setting (single vs double precision). (Default: precision = ’mixed’)
dynamicgrid Use coarse grid during early SCF iterations. (Default: dynamicgrid = ’yes’)
threall Determines a variety of thresholds. (Default: threall = 1.0E-11)
convthre SCF convergence threshold for the wavefunction. (Default: convthre = 3.0E-05, which leads to SCF
energy convergence of approximately 10−7au or 10−4kcal/mol)
maxit Maximum number of SCF iterations. (Default: maxit = 100)
dftgrid DFT grid to be employed for the numerical XC quadrature in DFT calculations. (Default: dftgrid = 1)
ngpus Determines how many GPUs are to be used. (Default: ngpus = 0, which uses all available GPUs)
gpuids If ngpus has a value other than zero, this determines the IDs of the GPUs to be used for the calculation.
(Default: gpuids = 0, 1, 2, etc.)
executable Name of the TeraChem executable. (Default: executable = terachem)
use_template Determine whether or not to use a user-provided template file for running external programs. (De-
fault: use_template = 0)
152

9.3. Adaptive solvent QM/MM simulations
ntpr Controls frequency of printing for dipole moment and atomic charges to files tc_job.ext. (Defaults
to &cntrl namelist variable ntpr)
charge_analysis Toggles writing of atomic charges to file tc_job.chg (Options: ’none’ or ’Mulliken’. Default:
dipole = ’none’)
dipole Toggles writing of dipole moment to file tc_job.dip (Default: dipole = 0)
Example An input file for QM or QM/MM MD with TeraChem using the PBE functional and the 6-31G* basis
set therefore would have to contain
&tc
method = ’PBE’,
basis = ’6-31G*’,
/
Template input file The template file for Terachem should be named tc_job.tpl and must at least contain the
following keywords:
basis
method
Any content of the template file after a line containing the end keyword will be ignored.
You should not include the following keywords in the template file as these are taken care of by sander.
Instead, specify these via the &qmmm or &tc namelist:
run
charge
spinmult
coordinates
pointcharges
amber
gpus
9.3. Adaptive solvent QM/MM simulations
Traditional QM/MM approaches are based on a static QM/MM partitioning in which atoms belonging to the
QM and MM regions are selected at the beginning of a molecular dynamics simulation. Such a static partitioning
cannot be applied if part of the bulk solvent in the vicinity of a region of interest needs to be included in the QM
region. Examples include cases in which the bulk solvent participates directly in a chemical reaction or in which
important interactions between the solute and the bulk solvent, such as polarization and charge transfer, are not
well parameterized at the QM/MM level and thus need to be described quantum mechanically. Due to molecular
diffusion, solvent molecules will constantly exchange between the QM and MM regions and thus require a special
treatment.
Several approaches have been developed that allow molecules to change their QM or MM character when cross-
ing the boundaries between the QM and MM regions. A good overview and comparison of these approaches
is available in the work by Bulo et al.[264]. One of the most accurate approaches is the difference-based adap-
tive solvation (DAS) method[265], in the following simply called adaptive QM/MM (adQM/MM). This method
is available in Amber through a parallelized implementation that has been developed by Andreas Goetz (SDSC)
with help from Ross Walker (SDSC), Rosa Bulo (Utrecht University) and Kyoyeon Park (UCSD). The useful-
ness of this adQM/MM approach for aqueous systems has been demonstrated with a development version of this
implementation[266]. If you publish work that results from using this implementation, please cite the following
work:
153

9. QM/MM calculations
• A. W. Götz, K. Park, R. E. Bulo, F. Paesani, R. C. Walker, Efficient adaptive QM/MM implementation:
Application to ion binding by peptides in solution, in preparation.
• R. E. Bulo, B. Ensing, J. Sikkema, L. Visscher, Toward a practical method for adaptive QM/MM simulations,
J. Chem. Theory Comput. 9, 2212-2221 (2009), DOI: 10.1021/ct900148e
In what follows we will describe the theoretical background of this implementation and how to perform adQM/MM
simulations. For an alternative approach, see section 9.4.
9.3.1. Theoretical background
In adQM/MM simulations, we distinguish three different regions, an active region (A), a transition region (T),
and the environment region (E). The active region contains both the part of the system that is permanently treated
quantum mechanically (similar to the QM region in regular QM/MM simulations) and the solvent molecules in its
vicinity that are also treated quantum mechanically. The E region is the part of the system that is treated at the MM
level. Within the T region, molecules change their character from purely QM to purely MM, that is, molecules in
the T region have partial QM and MM character, depending on their position within the T region. The T region that
connects the A and E regions is required to guarantee that the potential energy surface or forces remain continuous
throughout the simulation.
9.3.1.1. System partitioning
In the adQM/MM method[265], a partial MM character λis assigned to each molecule in the T region. The
value of λdepends on the distance of the molecule from the center of the A region according to
λ(r) =
0r≤RA
(r−RA)2(3RT−RA−2r)
(RT−RA)3RA<r<RT
1r≥RT
,(9.16)
where RAand RTare the inner and outer radii delimiting the T region. The switching function thus interpolates
smoothly between QM (A region) and MM (E region).
The adQM/MM energy can be constructed as a weighted average of regular QM/MM energies due to all possible
2NTpartitionings in which the NTmolecules in the T region are assigned either to the QM or the MM region,
EadQM/MM =∑
a
σaEQM/MM
a.(9.17)
The statistical coefficients σafor the QM/MM partitionings are defined on basis of the λvalues defined above,
σa=(0 ifmax({λ}QM
a)>min({λ}MM
a)
min({λ}MM
a)−max({λ}QM
a)ifmax({λ}QM
a)≤min({λ}MM
a),(9.18)
where {λ}QM
aand {λ}MM
aare the sets of λvalues for a given QM/MM partitioning athat are assigned to the QM
and MM regions, respectively. Due to this choice of coefficients, the weight σaof a QM/MM partitioning is zero if
the partition contains one or more MM molecules closer to the A region than any of the QM molecules. The total
number of non-zero QM/MM partitionings in an adQM/MM simulations is thus NT+1. In addition it is guaranteed
that the weight of each partition varies smoothly from 0 to 1, removing discontinuities in the system dynamics that
would appear in standard QM/MM simulations if a molecule would change its character by diffusing in or out of
the QM region.
9.3.1.2. Force interpolation
The forces resulting from the adQM/MM energy 9.17 are a weighted sum of the force from each non-zero
QM/MM partitioning and also contain a term that depends on the derivatives of the weight functions,
154

9.3. Adaptive solvent QM/MM simulations
FadQM/MM =−∑
a"σa∂EQM/MM
a
∂R+∂ σa
∂REQM/MM
a#.(9.19)
This introduces an artificial dependence on the relative energies of the different QM/MM partitionings. Thus, in
place of the energy interpolation scheme, a force interpolation is applied in which the forces are given as
˜
FadQM/MM =−∑
a
σa∂EQM/MM
a
∂R.(9.20)
The force interpolation does not conserve the energy from equation 9.17 but it is possible to define a conserved
quantity according to
˜
EadQM/MM =EadQM/MM +W,(9.21)
where the correction term Wis defined through
∂W
∂R=−∑
a
∂ σa
∂REQM/MM
a.(9.22)
The quantity ˜
EadQM/MM is not a potential energy since it is only defined along the path taken by the system during
the simulation. It is nevertheless useful to monitor this quantity to determine whether the simulation settings lead
to numerical stability. The correction term Wcan be expressed as the path integral of its force vector from equation
9.22, which can be discretized. For step nof an MD simulation it is given as
Wn=
n
∑
i∑
a
EQM/MM
a(i)σa(i+1)−σa(i−1)
2.(9.23)
The Amber implementation uses exclusively the force interpolation scheme from equation 9.20 and optionally
computes the correction term Wfrom equation 9.23 to enable monitoring of the conserved quantity ˜
EadQM/MM
from equation 9.21.
9.3.1.3. Alternative definitions of active, transition and environment regions
So far we have defined the boundaries between the A, T, and E regions with the distances RAand RTfrom
the center of the active region. In this case both the A and the T regions have fixed volumes but the number
of solvent molecules inside each region can vary during the simulation. Alternatively, we can fix the number of
solvent molecules NAand NTwithin the A and T regions, respectively. In this case the volume of the A and
T regions as well as the radii RAand RTwill vary during the course of a simulation. The advantage of fixing
the number of solvent molecules in the T region is that the number of QM/MM partitionings that needs to be
considered also remains constant (NT+1). This is useful to optimize load balancing in a parallel adQM/MM
implementation. The downside is that expression 9.23 does not strictly hold any more since the coefficients σa
depend on the λvalues which in turn depend on RAand RT. However, in practice, this is usually not an issue since
the conserved quantity ˜
EadQM/MM needs monitoring only during simulation setup to choose settings that afford
sufficient numerical stability. One thus can test simulation settings with fixed radii RAand RTand then switch to
fixed molecule numbers NAand NTfor production runs.
9.3.2. Running adQM/MM simulations with sander
Performing simulations with the adQM/MM approach described above requires the MPI parallelized sander
executable sander.MPI. The implementation features a dual layer parallelization in which the calculations for all
individual QM/MM partitionings are performed in parallel. Each of these QM/MM calculations can in turn be run
in parallel. The parallelization across QM/MM partitionings is based on the multisander code infrastructure which
effectively runs independent copies of sander for each QM/MM partitioning (similar to the replica exchange, path
integral and thermodynamic integration implementations).
155

9. QM/MM calculations
In order to run an adQM/MM simulation, the mdin input file needs to be set up similar to a regular QM/MM
simulation. The QM region as defined in the &qmmm namelist defines the atoms that are in the permanent QM
region. In addition, the &qmmm namelist variable vsolv needs to be set to 2 or 3 for fixed number of molecules
in the A and T region or fixed size of A and T region, respectively. The following shows the minimum additions
to the mdin input file that are required to perform an adQM/MM simulation as compared to a traditional QM/MM
simulation with fixed QM and MM regions:
# mdin file - minimum additional content for adaptive solvent QM/MM
&qmmm
...
adjust_q = 0, ! required, charge cannot be redistributed
vsolv = 2, ! switch on adQM/MM with fixed molecule numbers
! in A and T region
/
&vsolv
nearest_qm_solvent = 6, ! number of solvent molecules in A region
/
&adqmmm
n_partition = 4, ! number of QM/MM partitionings
! = number of molecules in T region + 1
/
In this example, a fixed number of solvent molecules is contained in the A region (6) and in the T region (3, since
the number of QM/MM partitionings is NT+1). Thus, the volume of the A and T regions changes during the
simulation. Details of all namelist variables are collected below.
In addition, a groupfile for multisander is required. This groupfile should point all sander copies to the same
mdin input file, inpcrd coordinate file and prmtop parameter and topology file:
# groupfile for adaptive solvent QM/MM run with n_partition = 4
-O -i mdin -c inpcrd -p prmtop
-O -i mdin -c inpcrd -p prmtop
-O -i mdin -c inpcrd -p prmtop
-O -i mdin -c inpcrd -p prmtop
If you explicitly specify output file names, make sure to give separate names to each group (for example
mdout.000,mdout.001 etc), see also the multisander documentation. The mutisander adQM/MM simulation
can then be executed with
mpirun -np 4 sander.MPI -rem 0 -ng 4 -groupfile groupfile
In this example, 4 MPI processes will be launched for 4 process groups (sander copies). The individual QM/MM
calculations for each partitioning would thus run in serial. To run the individual QM/MM calculations in parallel,
the number of MPI processes must be a multiple of the number of process groups.
Adaptive solvent QM/MM simulations can be performed both with the semiempirical NDDO-type and DFTB
methods that are native to sander or with QM methods that are available via the interface to external QM pro-
grams. In the latter case, each process group will launch only one instance of the external QM program and
the parallelization of the QM part of the QM/MM calculations is determined by the settings for the external QM
program.
9.3.2.1. Important notes for system preparation and adQM/MM simulations
At the time of writing (release of AMBER 14) there is only a limited body of experience with adQM/MM
simulations documented in the literature. Running adQM/MM simulations requires careful simulation setup, in
particular regarding the size of the A and T regions. The A region needs to be sufficiently large to correctly describe
the physics of the system of interest. The T region on the other hand needs to be sufficiently large to minimize force
interpolation errors between the QM and MM regions. Since the cost of an adQM/MM simulation scales linearly
with the number of molecules in the T region, a tradeoff between accuracy and cost often needs to be made. This
156
9.3. Adaptive solvent QM/MM simulations
in turn might lead to simulations that behave nicely for many time steps but eventually experience sudden, large
(unphysical) forces on atoms at the T region boundaries. Similarly, whether it is more appropriate to define the
center of the A region via an atom or the center of mass of the permanent QM region will affect the numerical
stability of a simulation, depending on the particular system. Likewise for determining the distances of the solvent
molecules via an atom or the center of mass of the solvent. In the case of water as solvent, problems can arise due
to autoprotolysis which can lead to the formation of hydroxide and hydronium ions in the A region. Since the MM
force field is not parameterized for hydroxide or hydronium ions, these will experience strong (unphysical) forces
upon entering the T region. Careful monitoring of adQM/MM simulations and a bit of patience is thus advisable.
It is a good idea to monitor the size of the A and T region and to check coordinates of atoms in the QM regions of
all partitionings.
9.3.2.2. Namelist parameters for adaptive solvent QM/MM simulations
Adaptive solvent QM/MM simulations require setting the vsolv variable in the &qmmm namelist and setting
variables in the &vsolv and &adqmmm namelists.
&vsolv namelist parameters The &vsolv namelist contains parameters that describe which solvent molecules
are contained in the A region in addition to the permanent QM region that is defined in the &qmmm namelist. This
namelist can be used without the &adqmmm namelist in a regular QM/MM simulation with sander if the variable
vsolv in the &qmmm namelist is set to 1 instead of 2 or 3 (see 9.1.6). In this case there is no transition region and
solvent molecules entering / leaving the QM region during the simulation would switch abruptly between QM and
MM description. This is not recommended since it will results in large unphysical forces whenever such a switch
occurs. However, this option is useful for post-processing of trajectories with single point QM/MM calculations in
which the solvent molecules closest to the permanent QM region are treated quantum mechanically.
nearest_qm_solvent_resname Residue name of the solvent that can exchange between QM and MM region (De-
fault: nearest_qm_solvent_resname = ’WAT’)
nearest_qm_solvent Number of solvent molecules in the A region (Default: nearest_qm_solvent = 0)
nearest_qm_solvent_fq Frequency of updating of the A region. Should be set to 1 (every MD step) for adQM/MM
simulations. (Default: nearest_qm_solvent_fq = 1)
nearest_qm_solvent_center_id Determines the atom(s) of the solvent molecules that is used to calculate the dis-
tance to the QM region.
= 0 Use the atom that is closest to the QM region. (default)
= -1 Use the center of mass.
> 0 Use this atom number within the solvent residue.
qm_center_atom_id Determines the atom of the permanent QM region that is used to calculate the distance to the
solvent molecules.
= 0 Use the atom of the permanent QM region that is closest to a solvent molecule. Not supported for
adQM/MM since the radii of the A and T region would remain undefined - a common point of
reference is required for all solvent molecules. Useful only for post-processing of trajectories.
(default)
= -1 Use the center of mass of the permanent QM region.
> 0 Use this atom number. Note that this is an absolute atom number - obviously, you should choose
an atom that is in the permanent QM region.
verbosity Controls verbosity of vsolv output in the mdout file.
= 0 Standard verbosity. (default)
> 1 Increase verbosity.
157
9. QM/MM calculations
&adqmmm namelist parameters If the &qmmm namelist variable vsolv is set to 2 or 3, an adQM/MM simula-
tion with a fixed number of molecules in the A and T regions or fixed size of the A and T regions, respectively, is
requested. Details of the adQM/MM simulation are set in the &adqmmm namelist as follows.
n_partition Defines the number of QM/MM partitions to be used. For vsolv=2 this also determines the number of
solvent molecules in the transition region, which is n_partition - 1. For vsolv=3 it has to be set to the
largest number of QM/MM partitionings that will be encountered for the chosen values of RA and RT.
(Default: n_partition = 1)
RA Defines the radius RAof the A region in Angstrom. Only relevant for vsolv=3. Needs to be changed
from the default value and requires setting of RT. (Default: RA = -1.0)
RT Defines the radius RTof the T region in Angstrom. Only relevant for vsolv=3. Needs to be changed
from the default value and requires setting of RA. (Default: RT = -1.0)
calc_wbk Controls whether the book-keeping term Wis calculated.
= 0 Do not calculate W. (default)
= 1 Calculate Wvia one-sided difference approximation (not recommended).
= 2 Calculate Wvia central-difference approximation, see equation 9.23. Requires additional compu-
tations for (dis)appearing partitionings. (recommended if Wis desired).
verbosity Controls verbosity of adQM/MM output in the mdout file.
= 0 Standard verbosity. (default)
= 1 Increase verbosity - write distances of residues in T region from center of A region to file
adqmmm_res_distances.dat and σavalues to file adqmmm_weights.dat. These files get over-
written at each program start.
= 2 Increase verbosity - write distances and σavalues also to the mdout file. Also write λvalues.
print_qm_coords Controls whether coordinates of the QM atoms in each partitioning are written to file.
= 0 Do not write coordinates. (default)
= 1 Write QM coordinates for all QM/MM paritionings in xyz format to files QM_coords.001 etc.
Files are overwritten upon each program call.
9.4. Adaptive buffered force-mixing QM/MM
9.4.1. Introduction
In hybrid quantum mechanical – molecular mechanical (QM/MM) methods the reactive part of the system (i.e.
where a significant change of the charge density distribution is expected) is described using a quantum mechanical
model while the rest of the system is treated using molecular mechanics. Conventional (“energy-mixing”) QM/MM
methods (convQM/MM) define a unique total energy function for the whole system that consists of three terms:
the energy of the QM model applied to the atoms in the QM region, the energy MM model applied to atoms in the
MM region and the interaction energy between the two regions:
EQM/MM(QM+MM) = EQM(QM) + EMM(MM) + EQM↔MM(QM+MM),(9.24)
where the superscript represents the level of theory, while the region to which they are applied are indicated in
parentheses. The coupling between the quantum region and the surrounding atoms (EQM↔MM(QM+MM)) can
be taken into account in several ways. For example, in the more sophisticated approaches, the effects of the
MM charges are included in the quantum mechanical SCF calculation in the form of an externally applied field.
Given a total energy, performing Hamiltonian or any other standard dynamics is straightforward. However, several
uncontrolled errors could potentially be introduced by such schemes. Representing the environment by a set
158
9.4. Adaptive buffered force-mixing QM/MM
of point charges can over-polarise the QM region, and conversely the electrostatic effect of the ever-changing
quantum mechanical charge density on atoms at the edge of the MM region is quite different from what is assumed
when the MM force field parameters are determined. The delicate balance that exists between the various non-
bonded MM terms is therefore no longer maintained across the QM-MM boundary. Furthermore, if adaptivity, i.e.
transitions of atoms between the two regions, is allowed, a new problem appears: in general there can be chemical
potential differences between the QM and MM regions for various species, and this results in a net flow betwen the
regions, leading to unphysical density differences, structure and dynamics. Allowing adaptivity in this sense can
be important when the active region itself is mobile (e.g. penetration, adhesion, crack propagation), or diffusional
processes in the environment are relevant (e.g. water molecules, ions, residues enter and exit the QM region during
the dynamics). To overcome these problems the adaptive buffered “force-mixing” QM/MM (abfQM/MM) method
was introduced [267,268]. The implementation of abfQM/MM was carried out by Letif Mones (University of
Cambridge) and Gabor Csanyi (University of Cambridge) with help from many others (see the article below).
When using this implementation in your work please cite the following papers:
• Noam Bernstein, Csilla Várnai, Iván Solt, Steven A. Winfield, Mike C. Payne, István Simon, Mónika Fuxre-
iter and Gábor Csányi, QM/MM simulation of liquid water with an adaptive quantum region, Phys. Chem.
Chem. Phys., 14, 646–656 (2012), DOI: 10.1039/c1cp22600b
• Csilla Várnai, Noam Bernstein, Letif Mones and Gábor Csányi, Tests of an Adaptive QM/MM Calculation
on Free Energy Profiles of Chemical Reactions in Solution, |J. Phys. Chem. B, 117, 12202−12211 (2013),
DOI: 10.1021/jp405974b
• Letif Mones, Andrew Jones, Andreas W. Götz, Teodoro Laino, Ross C. Walker, Ben Leimkuhler, Gábor
Csányi and Noam Bernstein, Implementation of the Adaptive Buffered Force QM/MM method into CP2K
and Amber program packages, in preparation.
9.4.2. Technical details of abfQM/MM
In the abfQM/MM method two independent force calculations are performed at each MD step. The first and
more time consuming calculation is an extended conventional QM/MM calculation, which is used for calculating
the forces of atoms treated quantum mechanically during the dynamics. We start with a core QM region, which
comprises atoms that will always be treated quantum mechanically throughout the simulation. This region is
enlarged (using a distance criterion, see below) to obtain the dynamical QM region which contains the atoms that
follow QM forces. The dynamical QM region is surrounded by a buffer region whose size can be determined by
simple force convergence tests [269,270] and its construction in practice is based on geometrical considerations:
atoms or molecules that are within a specified distance from the dynamical QM region are added to the buffer
region. From this first calculation only the forces of the atoms in the dynamical QM region are kept and the rest
(namely the forces on atoms in the buffer region) are discarded. The second calculation is used for obtaining good
forces on MM atoms, especially important near the QM/MM boundary. For this, either fully MM representation
of the whole system is used or, alternatively, another QM/MM force calculation, but this time using a smaller
(reduced) QM region consisting of only the atoms in the core QM region. The abfQM/MM method is an abrupt
force mixing method, which means that the forces are not derived from a total energy expression but a simple
combination of the forces of the two calculations described above
FabfQM/MM
i(QM+MM) = FExtended
iif iis in the dynamical QM region,
FReduced
iotherwise, (9.25)
where the superscripts Extended and Reduced denote that the forces are taken from the first and second calculations
described above, respectively. The selection of the QM and buffer atoms is controlled by distance criteria. Using a
single distance criterion measured from some key atoms in the QM region, however, would lead to rapid fluctuation
in the region definitions because atoms may cross and re-cross repeatedly. To reduce this effect, a hysteretic
algorithm can be applied using an inner (rin) and an outer (rout) radius [267]. Thus, an MM atom is redesignated
to be QM if its distance measured from the QM region (as defined by a set of atoms always treated quantum
159
9. QM/MM calculations
mechanically) is less than rin and a QM atom is redesignated to be MM if this distance is larger than rout. Similar
hysteretic algorithms are applied for the definition of the dynamical QM region as well as the buffer region.
The above definitions may lead to QM atoms that have covalent chemical bonds with MM atoms. This is not
necessarily a problem, as these bonded interactions can be treated in several ways from the point of view of carrying
out the the QM/MM calculation (e.g. link atoms, special pseudopotentials, frozen localized orbitals etc.). However,
none of these schemes are general, i.e. cutting some type of QM-MM bonds in this way might not yield reasonable
forces. For example, highly polarized bonds, bonds with bond order larger than 1 and delocalized bonds such as
those in aromatic rings should be protected from being cut. In the conventional, nonadaptive QM/MM scheme it is
easy to handle this problem, because the QM region is specified at the beginning of the simulation and the user can
pick a chemically sensible set of atoms. For our dynamically varying QM (and buffer) regions, chemically sensible
decisions have to be made algorithmically. Our implementation allows the user to specify a list of the breakable
types of bonds which the software then uses to build the regions automatically.
Finally, as in all force mixing schemes, the abfQM/MM scheme uses dynamical forces that are not conservative,
that is they are not the derivatives of a total energy function. This is the price we pay for adaptivity. The noncon-
servative nature of the dynamics necessitates the use of a thermostat to maintain the correct kinetic temperature
throughout the system. The strength of the thermostat we need to use in practice is similar to those that are con-
ventionally used in biomolecular simulations, which suggests that no ill effects will arise purely from the use of a
thermostat – the only caveat is that since the use of a thermostat is mandatory, strictly microcanonical simulations
cannot be performed. A simple Langevin thermostat is not appropriate in the presence of net heat generation (and
would lead to a steady state temperature deviation of several tens of degrees near the QM/MM boundary), so a
special adaptive thermostat (a combination of Langevin and Nose-Hoover thermostats) that is able to maintain the
correct temperature even in the presence of intrinsic heating or cooling is used [271].
9.4.3. Relation to other adaptive QM/MM methods
It is worth noting that the current implementation of abfQM/MM supports the use of several other adaptive
QM/MM methods. For example, setting r_qm_in,r_qm_out,r_buffer_in and r_buffer_out variables to 0 (for
definitions see the next section) leads to the adaptive conventional QM/MM (adconvQM/MM) technique that can be
considered also as the zero limit of the adaptive solvent QM/MM (adQM/MM) method [265] without a transition
region (see also section 9.3). In this case the extended and reduced systems are identical and the dynamics is
propagated by forces of a convQM/MM calculation whose QM region is adaptive. To save computational time for
adconvQM/MM the program first performs the corresponding convQM/MM calculation and then a dummy full
MM calculation whose forces are discarded. Another limit can be obtained when r_buffer_in and r_buffer_out
variables are set to 0 (and all other radii are not). This method can be called unbuffered force mixing QM/MM
(unbuffQM/MM). It has been observed that the applicability of both adconvQM/MM and unbuffQM/MM depends
on several factors (system, QM method, size of core /qm regions etc.) and it is advised to perform a force
convergence test [269,270] before using them.
9.4.4. Technical glossary
9.4.4.1. Systems
•extended system: the first (QM/MM) calculation, which is used for calculating the forces on atoms in the
dynamical QM region. To get converged forces on these atoms, a buffer region is added, leading to an
extended QM region.
•reduced system: the second calculation, which is used for obtaining the MM forces. Either a full MM
representation can be used or a QM region that is smaller than the dynamical QM region.
9.4.4.2. Atom types
There are basically four regions in the abfQM/MM method depending on their role during the dynamics: the
core, the qm, the buffer and the mm regions. These sets are disjoint by definition. There are atoms which are
permanent members of a given region and there are others that can change their identity by moving from one
160
9.4. Adaptive buffered force-mixing QM/MM
region to another. This section describes the different atom types and also gives their name and id used in the
implementation. Please note the distinction between the labels “QM” and “qm” atoms: the former indicates the
QM region used in the actual extended or reduced QM/MM calculations, while the latter is a label used to describe
those atoms that, together with the core atoms, follow dynamics using quantum mechanical forces.
•core atoms (id = 1-2): those atoms that constitute the QM region for the reduced system calculation. (The
QM atoms in the extended calculation are the core, the qm and buffer atoms together.)
•user specified core atoms (id = 1, tag = CORE_USER): core atoms specified by the user. These atoms are
permanent core atoms during the whole simulation.
–core extension atoms (id = 2, tag = CORE_EXT): core atoms selected by geometrical criteria around
the user specified core atoms. These atoms belong temporarily to the core region.
atomi∈ {core extension atoms} ⇐⇒ atomi=f(rcore_in,rcore_out,{user specified core})
{core atoms}={user specified core atoms}S{core extension atoms}
•qm atoms (id = 3-4): atoms, whose QM forces are used in the MD simulation similarly to core atoms but
qm atoms are excluded from the QM region in the reduced calculation. Their forces are calculated in the
extended QM/MM calculation.
–user specified qm atoms (id = 3, tag = QM_USER): qm atoms specified by the user. These atoms are
qm atoms during the whole simulation or occasionally can become core extension atoms.
–qm extension atoms (id = 4, tag = QM_EXT): qm atoms selected by geometrical criteria around the
core and user specified qm atoms. These atoms belong temporarily to the qm region.
atomi∈ {qm extension atoms} ⇐⇒ atomi=f(rqm_in,rqm_out,{user specified qm}S{core atoms})
{qm atoms}={user specified qm atoms}S{qm extension atoms}
•buffer atoms (id = 5-6): these atoms are in the buffer region. Although they are treated as QM atoms in the
extended calculation, forces on them from this calculation are discarded and they move with forces coming
from the reduced calculation in which they are treated with MM.
–user specified buffer atoms (id = 5, tag = BUFFER_USER): buffer atoms specified by the user. These
atoms are permanent buffer atoms during the whole simulation or occasionally can become qm or even
core extension atoms.
–buffer extension atoms (id = 6, tag = BUFFER_EXT): buffer atoms selected by geometrical criteria
around the qm and core atoms. These atoms belong temporarily to the buffer region.
atomi∈ {buffer extension atoms} ⇐⇒ atomi=f(rbuffer_in,rbuffer_out,{qm atoms}S{core atoms})
{buffer atoms}={user specified buffer atoms}S{buffer extension atoms}
•mm atoms (id = 7, tag = MM): they are MM atoms in both the extended and reduced calculations. For the
MD the forces are obtained from the reduced calculation.
• QM atom selections in the reduced and extended QM/MM calculations:
{QM atoms in the reduced system}={core atoms}
{QM atoms in the extended system}={core atoms}S{qm atoms}S{buffer atoms}
161

9. QM/MM calculations
9.4.5. Namelist parameters for adaptive buffer-forced QM/MM simulations
The abfQM/MM implementation requires only two calculations for each MD step, which are performed se-
quentially (first the computationally more expensive extended then the reduced calculations are carried out). Con-
sequently, unlike adaptive solvent QM/MM (adQM/MM, section 9.3) the subroutines of abfQM/MM are called
directly from sander and no groupfile is needed. All abfQM/MM related variables should be specified in the
&qmmm namelist. An example of an abfQM/MM dynamics is shown below:
# mdin file - example for adaptive buffered-force QM/MM dynamics
&cntrl
...
ntt=6, ! adaptive Langevin thermostat is used
...
ifqnt=1,
/
&qmmm
...
abfqmmm=1, ! activate abf QM/MM
r_core_in=3.0, ! inner radius for extended core region
r_core_out=3.5, ! outer radius for extended core region
r_qm_in=3.0, ! inner radius for extended qm region
r_qm_out=3.5, ! outer radius for extended qm region
r_buffer_in=4.0, ! inner radius for buffer region
r_buffer_out=4.5, ! outer radius for buffer region
coremask=’:1’, ! core region mask
qmmask=’:112, 1129, 1824, 2395’, ! qm region mask
buffermask=’’, ! buffer region mask
corecharge=0, ! core region charge
qmcharge=0, ! qm region charge
buffercharge=0, ! buffer region charge
/
9.4.5.1. Basic namelist parameters
abfqmmm 1 activates the adaptive buffered force-mixing method, default is 0 (no abf-QM/MM method is ap-
plied).
coremask core atom list specification (in ambmask format). Optional, by default (when it is missing or core-
mask=’ ’) it is an empty set and in this case the reduced system is the full MM representation. Note
that at least one of the coremask or qmmask sets has to be specified.
qmmask qm atom list specification (in ambmask format). Optional, by default (when it is missing or qmmask=’
’) it is an empty set and in this case only atoms in the core region will be treated as QM atoms during
the dynamics. Note that at least one of the coremask or qmmask sets has to be specified.
buffermask buffer atom list specification (in ambmask format). Optional, by default (when it is missing or buffer-
mask=’ ’) it is an empty set.
corecharge Total charge of core atom list defined in coremask, default is 0.
qmcharge Total charge of qm atom list defined in qmmask, default is 0.
buffercharge Total charge of buffer atom list defined in buffermask, default is 0.
r_core_in Inner radius for determining core extension region around user specified core atoms. Default is 0.
162
9.4. Adaptive buffered force-mixing QM/MM
r_core_out Outer radius for determining core extension region around the user specified core atoms. Default is
the value specified for r_core_in. If r_core_out <r_core_in then r_core_out =r_core_in.
r_qm_in Inner radius for determining qm extension region around the core and user specified qm atoms. Default
is 0.
r_core_out Outer radius for determining qm extension region around the core and user specified qm atoms. De-
fault is the value specified for r_qm_in. If r_qm_out <r_qm_in then r_qm_out =r_qm_in.
r_buffer_in Inner radius for determining buffer extension region around the qm and core atoms. Default is 0.
r_core_out Outer radius for determining buffer extension region around the qm and core atoms. Default is the
value specified for r_buffer_in. If r_buffer_out <r_buffer_in then r_buffer_out =r_buffer_in.
9.4.5.2. Adaptive thermostats’ namelist parameters
ntt Besides the original thermostats in sander, new adaptive ones are also introduced to be able to absorb
the heat production due to the nonconservative force-mixing dynamics. The corresponding thermostat
can be activated using the ntt command. In general, 5 activates the Nose–Hoover (chain)–Langevin,
6 the adaptive Langevin, 7 the adaptive Nose-Hoover chain and 8 the adaptive Nose-Hoover (chain)–
Langevin thermostat. For adaptive QM/MM ntt=6 or 8 should be used.
gamma_ln Collision frequency in ps−1
nchain Number of thermostats in each Nose–Hoover chain of thermostats (default is 1)
9.4.5.3. Miscellaneous namelist parameters
selection_type Type of selection of the different regions. Default is the atom–atom distance based selection
(selection_type = 1). In this case a given atom is going to belong to an outer region if the distance
between the atom in question and any atom in the inner region is less or equal than the corresponding
criterion. Option 2 is the flexible sphere selection: for each inner region the radius of the region is
calculated (as the largest distance between the centre of mass of the region and any atom belonging to
that region), and the distance between the edge of the inner region and the atom in question will de-
termine weather the atom belongs to the outer region or not. Option 3 is fixed sphere based selection:
it is the same as option 2 except that only the edge of the innermost region is calculated based on its
atoms and then all the other region’s borders are calculated geometrically as concentric spheres. For
option 2 and 3 the radii of spheres are calculated using the centre region, which is either defined by
the user (centermask) or it is the coremask if specified, otherwise it is qmmask. Note that option 2
and 3 selects significantly larger number of atoms than option 1.
initial_selection_type Type of initial selection type. This command controls the initial selection if not an
abfqmmm restart is performed (i.e. read_idrst_file is not specified). Default is 0, which is the middle
sphere selection (i.e. the mean of the corresponding inner and outer radii). Option -1 uses the inner
and option 1 applies the outer radius for the first selection.
center_type Type of calculation of center for selection_type = 2 and 3. Default is center of mass (option 1), while
option 2 is geometric center.
gamma_ln_qm Collision frequency of actual core and qm atoms in ps−1when adaptive massive Langevin ther-
mostat is applied. Default value is the same as gamma_ln defined in &cntrl session.
mom_cons_type Type of force correction for momentum conservation. Default is 1 when the extra force is dis-
tributed among the corresponding atoms as equal accelerations. Option 2 applies equal forces on each
atom. Options -1/-2 apply an acceleration/force proportional to the absolute value of the current accel-
eration/force of each atom. The region of atoms where the force correction is distributed is specified
by mom_cons_region. Option 0 does not apply momentum conservation.
163
9. QM/MM calculations
mom_cons_region Specifies the region where the force correction for momentum conservation is distributed.
Default is 1 that distributes the correction among only current core+qm atoms, option 2 distributes
it among current core+qm+buffer atoms and option 3 distributes the forces on all atoms. When
mom_cons_region = 0 the distribution is applied only among core atoms.
fix_atom_list > 0 activates the fixed atom list method, default is 0. In fixed atom list mode the different regions
are extended only by those solvent molecules that satisfy the given geometrical criteria and no solute
atoms will be selected besides the user specified ones in the coremask,qmmask and buffermask.
Useful when only solvent exchange is expected.
solvent_atom_number Number of atoms in solvent molecule for fixed atom list mode (fix_atom_list > 0), default
is 3. Defining this variable is important when the solvent is other than water and the solvent molecule
contains more (or less) than 3 atoms.
centermask Centre region atom list specification. Optional, if not defined then it is equal to coremask. If core-
mask is neither specified then centermask equals to qmmask.
oxidation_number_list_file File name of oxidation numbers. Each line in the file must be either a comment (start-
ing by ’!’ or ’#’) or a triplet: RES ATOM OXID, where RES can be ’all’ (specification for all residues),
’atom’ (specification for a given atom), residue name or residue index. If RES 6=’atom’ then ATOM is
the atom type name that can be specified completely (e.g. HE2) or partially using ’*’ (e.g. H* or HE*).
If RES = ’atom’ then ATOM is the atom index in the topology. OXID is the integer oxidation number.
Since different specifications can refer to the same atom, there is a hierarchy of the assignment and
the later step always overwrites the previous one: 1. RES = ’all’ with partial atom type specification
(in the order of X* →XY* →XYZ* ), 2. RES = ’all’ with complete atom type specification (XYZ1),
3. specified residue type with partial atom type specification, 4. specified residue type with complete
atom type specification, 5. residue index with partial atom type specification, 6. residue index with
complete atom type specification, 7. atom index specification.
ext_coremask_subset Possible core extension atom set. If specified only those atoms will be chosen according to
the corresponding geometrical criteria that can be also found in this list (in the case of fixed atom list
method solvent residues having at least one atom in the set will be chosen). If not defined then by
default it is the all atom list.
ext_qmmask_subset Possible qm extension atom set. If specified only those atoms will be chosen according to
the corresponding geometrical criteria that can be also found in this list (in the case of fixed atom list
method solvent residues having at least one atom in the set will be chosen). If not defined then by
default it is the all atom list.
ext_buffermask_subset Possible buffer extension atom set. If specified only those atoms will be chosen according
to the corresponding geometrical criteria that can be also found in this list(in the case of fixed atom
list method solvent residues having at least one atom in the set will be chosen). If not defined then by
default it is the all atom list.
cut_bond_list_file File name of breakable bonds for intelligent termination of different regions (core/qm/buffer).
Each line in the file must be either a comment (starting by ’!’ or ’#’) or a triplet: ATOM1 ARROW
ATOM2. ATOM1 and ATOM2 are both either atom types or atom indexes. ARROW specifies the
direction of bond breaking: if it is ’<=>’ then the bond can be split from both directions, if it is ’=>’
or ’<=’ then the bond can be cut only from ATOM1 or ATOM2 directions, respectively.
max_bonds_per_atom Maximum number of ligands around any atom in the system. This controls the size of
arrays for the intelligent termination. Default is 4 that is good for most biological systems. If there are
atoms having more than 4 ligands then adjustment is required.
n_max_recursive Intelligent termination scheme is a recursive subroutine to get a fast and reliable performance.
However, it may happen that according to the user specified breakable bonds a very large bond network
164
9.5. SEBOMD: SemiEmpirical Born-Oppenheimer Molecular Dynamics
will be chosen for a given region. To avoid it this variable can be used to control the maximum
number of iterations: when the number of iteration reaches the value of n_max_recursive the program
terminates. Default value is 10000.
min_heavy_mass To keep low the number of atoms in each extension region, by default the geometrical region se-
lection algorithm measures the distances between only heavy atoms, and hydrogen atoms are assigned
in a second step according to the heavy atoms they are bonded to. To extend the distance based selec-
tion for H atoms as well, decrease the value from its default 4.0 below the atomic mass of hydrogen
(e.g. 0.0).
pdb_file File name of a special abfQM/MM related pdb file generated during the dynamics. The first 8 columns
have the standard pdb format (’ATOM’, atom index, atom name, residue name, residue index, Carte-
sian coordinates of atom), 9th column is the oxidation number, 10th and 11th columns are the id
number and tag according to abfQM/MM implementation, respectively, and the possible following
columns include the atom indexes of MM atoms having direct bond to the given atom treated as QM
atom in the extended calculation. Default name is abfqmmm.pdb.
ntwpdb Frequency of printing out abfQM/MM information into pdb_file. Default value is 0 (no printing).
Using ntwpdb < 0 allows the user to perform a selection test. In this case neither dynamical nor even
point calculations are performed, the program terminates after printing the pdb file out.
read_idrst_file Name of abfQM/MM atom id restart file used for restarting simulations. In the beginning of the
simulation besides the user specified atoms those become also member of a given region that are within
the outer radius. For a given region if the outer radius differs from the inner one, in the beginning of
the dynamics the number of atoms will change until it reaches a dynamical equilibrium fluctuation. To
avoid this natural transient period in a consecutive restart calculation one can use the read_idrst_file
generated in the previous run telling the program the abfQM/MM atom id’s of the restart configuration.
Note that the safe use of read_idrst_file requires the same region specifications as in the previous run.
write_idrst_file Name of abfQM/MM atom id restart file generated during the run. Default name of the file is
abfqmmm.idrst.
ntwidrst Frequency of printing the abfQM/MM atom id restart file out. Default is 0 (no printing).
hot_spot 1 activates the hot spot–like adaptive calculation [272] in which the forces of atoms in the buffer
region are linear combinations of the forces obtained from the extended and reduced calculations
using a smoothing function. Default is 0 (no hot spot–like calculation is performed).
9.5. SEBOMD: SemiEmpirical Born-Oppenheimer Molecular Dynamics
The sander program provides the ability to run SEBOMD (SemiEmpirical Born-Oppenheimer Molecular Dy-
namics) simulations. During a SEBOMD simulation, all atoms are considered as quantum atoms within the NDDO
semiempirical approach (e.g., AM1, PM3, etc). Therefore, unlike in QM/MM methods, there is no link atom, no
frontier bond, no interaction between any QM and MM atoms (since there is no MM atom). Another consequence
of SEBOMD simulations is the computational time requested to compute energy and forces at each step of a
molecular dynamics can be (very) important. To allow for the computation of “large” systems (i.e., up to a couple
of thousands of atoms), an optional linear scaling divide and conquer strategy is implemented[273,274]. Periodic
boundary conditions with long-range electrostatic interactions (i.e., Ewald sum) can also be applied.
The SEBOMD code implemented in sander is originated from the DivCon program developed in the Merz group
while at Pennsylvania State University:
• Steve L. Dixon, Arjan van der Vaart, Valentin Gogonea, James J. Vincent, Edward N. Brothers, Lance M.
Westerhoff and Kenneth M. Merz, Jr. DivCon99, The Pennsylvania State University, 1999.
Major contributors to the SEBOMD interface are as follows:
165
9. QM/MM calculations
• Maintenance, code refactoring, debugging, testing by Gerald Monard
• Original roar interface by Gerald Monard and Arjan van der Vaart[275]
• Original sander port by Jennifer Thomas
• Ewald and Particle Mesh Ewald summation by Laurent Teixidor
• PIF and MAIS semiempirical correction implementation, peptidic corrections by Antoine Marion[276]
9.5.1. Functionalities and limitations
The current SEBOMD implementation allows to run sander simulations with the following functionalities:
• molecular dynamics or energy minimization (imin = 0, 1, or 5)
• gas phase or periodic boundary conditions (as defined in the topology file), no support for Generalized Born
solvent effect
• For PBC runs, different long range interactions handlers are possible: none, external Particle Mesh Ewald
using MM point charges as defined in the topology file, or direct Mulliken Ewald summation.
• temperature regulation as implemented in sander (ntt flag)
• pressure regulation: only barostat = 2 is supported (Monte Carlo barostat)
• parallel implemention (sander.MPI): only the Divide & Conquer approach can be used (method > 0)
• available hamiltonians: MNDO, AM1, AM1/d-PhoT, RM1, PM3, PM3/PDDG
• available corrections to PM3 hamiltonians: MAIS and PIF
• as d-orbitals are not yet implemented in the SEBOMD code, only the following elements are implemented:
H, C, N, O, P, S, F, Cl, Br, I (except for AM1/d-PhoT for which the P element is not yet available because it
requires d-orbital implementation)
• maximum number of atoms: 2600; maximum number of residues: 1000
Note: the SEBOMD code currently uses a static memory allocation as defined in $AMBERHOME/Amber-
Tools/src/sebomd/divcon.dim. Users wishing to simulation bigger systems will have to modify the SEBOMD
source code and recompile.
9.5.2. Sample SEBOMD input
To run a SEBOMD calculation, a specific namelist (&sebomd) must be used. It contains all the necessary
information for the run. To inform sander that a SEBOMD simulation must be run, two steps are required: 1)
switch the ifqnt keyword to 1 (as for a QM/MM calculation); 2) define the qm_theory keyword in the &qmmm
namelist to ’SEBOMD’. Here is a sample mdin file for SEBOMD:
! example input for SEBOMD simulation
&cntrl
...
ifqnt = 1, ! switch on QM calculation
/
&qmmm
qm_theory = ’SEBOMD’, ! use specific SEBOMD routines
/
&sebomd
hamiltonian = ’AM1’, ! Use the AM1 semiempirical hamiltonian
charge = 0, ! total charge on the (full) system is 0
/
166
9.5. SEBOMD: SemiEmpirical Born-Oppenheimer Molecular Dynamics
9.5.3. &sebomd namelist variables
charge = Integer Net charge of the system (Default = 0).
Note: SEBOMD only supports closed shell molecular systems.
method Algorithm for the SCF computation.
= 0 (Default) Standard closed-shell algorithm: the Fock matrix is diagonalized at each SCF iteration.
(Note: all subsetting parameters are ignored, only one subsystem containing all the atoms will
be generated).
= 1 Use linear scaling divide & conquer SCF algorithm. Buffer regions must be specified (dbuff1 and
dbuff2). Subsystems are built on an atom-based principle.
= 2 Use linear scaling divide & conquer SCF algorithm. Buffer regions must be specified (dbuff1
and dbuff2). Subsystems are built on an residue-based principle (recommended option over
method=1).
ncore = Integer When using divide and conquer method (method > 0): specify the number of residues used
to build the core. (default: ncore = 1)
dbuff1 = Float When using divide and conquer method (method > 0): specify the extent of the first buffer
region from the core in Å. (default: dbuff1 = 6.0)
dbuff2 = Float When using divide and conquer method (method > 0): specify the extent of the second buffer
region from the core in Å. (default: dbuff2 = 0.0)
hamiltonian Semiempirical hamiltonian to be used for energy and force calculations. All atoms within the molec-
ular system will be treated at this level of theory. Available semiempirical hamiltonians:
MNDO Request the use of MNDO semiempirical hamiltonian[231]
AM1 Request the use of AM1 semiempirical hamiltonian[229]
PM3 Request the use of PM3 semiempirical hamiltonian (default)[228]
PM3PDDG Request the use of PM3/PDDG semiempirical hamiltonian[232]
RM1 Request the use of RM1 semiempirical hamiltonian[230]
AM1D Request the use of AM1/d-PhoT semiempirical hamiltonian[240]
(Note: phosphorous (P) element is not yet implemented, therefore the AM1D hamiltonian is
available only for H, C, N, O, S, F, Cl, Br and I elements)
modif Modification/corrections to the semiempirical energy. Some semiempirical methods have been ex-
tended to improve results, mostly in the case of intermolecular interactions. For the moment only
PM3 corrections to the energy are available. Possible values are:
none (default) no correction
PIF2 PM3 hamiltonian is modified for intermolecular core-core interactions according to the work of
Bernal-Uruchurtu et al. and Harb et al. [235,277–279]. This correction can be applied when us-
ing PM3 hamiltonian with a molecular system composed of one (or more) organic molecule(s) in
interaction with explicit water molecules. Intermolecular water-water core-core interactions are
computed using specific PM3-PIF parameters for aqueous solvent, while intermolecular organic-
organic and organic-water intermolecular core-core interactions are computed using another spe-
cific set of PM3-PIF parameters. The intermolecular PM3-PIF (PIF2 version) parameters are
available only for the following interactions:
167

9. QM/MM calculations
Water Organic
Hw Ow H C N O Cl
Hw X X X X X X X
Ow X X X X X X X
HX X X X X X X
CX X X ∅X X ∅
NX X X X X X ∅
OX X X X X X X
Cl X X X ∅ ∅ X∅
(X: intermolecular interaction parameters between the two considered atom types are available;
∅: no intermolecular parameter available)
PIF3 PIF3 is an extension of the PIF2 parameters in which organic hydrogens are distinguished be-
tween “hydrophylic” hydrogens and “hydrophobic” hydrogens[276]. In the case of hydrophylic
hydrogens, intermolecular interactions between the hydrogen atom and water molecules are com-
puted using PIF2 parameters. In the case of hydrophobic hydrogens, intermolecular interactions
between these hydrogen atoms and water molecules are computed using specific parameters. The
distinction between hydrophobic and hydrophylic hydrogens is performed using the atom types
as specified in the topology file. Hydrogen atom types which are considered as hydrophylic are:
H,HO,HS,HW,hn,ho,hp, hs,hw,Ho,hO,hN,and hR. Other hydrogen atom
types are considered as hydrophobic.
MAIS1 MAIS extension of the PM3 hamiltonian in which intramolecular and intermolecular core-
core functions are replaced by specific MAIS functions. This option corresponds to the initial
work of Bernal-Uruchurtu et al.[234]. Parameters are only available for liquid water (H and O
elements).
MAIS2 Second version of the MAIS extension. Parameters are only available for H, O, and Cl
elements[235].
solute To be used in conjunction with nsol keyword when using PIF parameters (modif = ’PIF2’ or modif =
’PIF3’). This enables the control of intermolecular interactions.
= 0 (Default) no solute.
= 1 a solute composed of nsol residue is present.
nsol Control the definition of solute-solvent interactions.
= 0 (Default) no solute.
6=0number of residues which constitutes the solute (e.g., nsol = 5means the solute is composed of
the first 5 residues in the current topology file, all other “residues” are solvent molecules).
longrange Select the type of long range interaction when using periodic boundary conditions:
= 0 (Default) No long range interaction. Only the minimum image convention.
= 1 Perform PME (Particle Mesh Ewald) summation using constant atomic charges extracted from
the topology file.
= 2 Perform an Ewald summation using Mulliken atomic charges extracted from the semiempirical
wavefunction. Long-range Ewald Mulliken charge effects are incorporated in the Fock matrix of
the system to polarize the wavefunction.
iprec SCF convergence criteria:
= 4 (Default) SCF is converged when the relative SCF energy between two iterations (∆E
E) is less than
104times the machine precision. This ensures the conservation of the total energy during NVE
simulations.
= 5 Loose criteria: SCF energy is converged when ∆E
E<105x the machine precision.
168
9.5. SEBOMD: SemiEmpirical Born-Oppenheimer Molecular Dynamics
fullscf Option to enable pseudo-diagonalization routines
= 0 enable pseudo-diagonalization routine when possible. This can speed-up SCF calculations. (de-
fault)
= 1 turn off pseudo-diagonalization. Full diagonalization of the Fock matrix is performed at each
iteration of the SCF cycle.
ipolyn Option to activate polynomial interpolation of the guess density matrix
= 0 Use converged density matrix of the previous step as initial (guess) density matrix for the current
step. Recommended option for minimization.
= 1 Use polynomial interpolation of the density matrix elements from the last three steps as initial
(guess) density matrix for the current step. Recommended option for molecular dynamics runs.
(default)
screen verbosity option for SEBOMD calculations
= 0 minimum output. (default)
= 1 output semiempirical energy details at each step
= 2 output semiempirical energy details + the composition of all subsystems when using method > 0.
lambda = Float (default 1.0) Enable the computation of a mixed energy value between SEBOMD and full
MM computations. If lambda 6=1.0, in addition to a semiempirical calculation, the energy of the full
system is evaluated at the MM level. Then energy and forces are mixed according to:
E pot =λE(SEBOMD)+(1−λ)E(MM)
Since, sometimes, semiempirical potential energy surfaces are (very) different from MM surface, the
use of the lambda keyword permits to equilibrate MD more easily. For example, from an equilibrated
MM system, it is possible to run several SEBOMD simulations using different lambda values from
0.0 (full MM energy) to 1.0 (full QM energy) to obtain an equilibrated SEBOMD simulation.
charge_out Filename used to save atomic charges. Default = ’sebomd.chg’
ntwc Every ntwc steps, the (Mulliken) atomic charges will be written to the charge_out file. If ntwc = 0, no
atomic charge file will be written. Default = 0.
The format of the charge_out file is the following: every ntwc steps, the energy of the system is first
written, then one line per atom is written, containing the x, y, z coordinates and the Mulliken atomic
charge of the atom.
peptcorr flag to apply force field corrections on peptidic bonds
Some semiempirical methods do not correctly describe peptidic bond properties, leading to a pyrami-
dal peptide bond nitrogen. An empirical force field correction can be applied to force the planearity
of a peptide bond[280].
= 0 no peptidic correction. (default)
= 1 apply peptidic correction (see Ludwig et al. for details[280])
peptk = Float The force constant of the peptidic correction (in kcal/mol).
AM1 default value: peptk = 5.9864
PM3 default value: peptk = 9.8526
MNDO default value: peptk = 6.1737
169
10. paramfit
Robin Betz
The paramfit program allows specific forcefield parameters to be optimized or created by fitting to quantum
energy data. Paramfit can be used when parameters are missing in the default forcefields and antechamber cannot
find a replacement, or when existing parameters do not describe the system to the desired level of accuracy, such
as for dihedral constants on protein backbones.
Paramfit attempts to make the following statement true: With the correct AMBER parameters, calculations
performed at a quantum level over many conformations of a structures should match those calculated by
AMBER.
Paramfit can calculate the energy of each conformation and/or the force on each atom, and adjust the force field
parameters so that these values correspond to input quantum data.
For energies, Paramfit attempts to fit the AMBER energy to the quantum energy for a variety of conformations
of the input structure, minimizing the equation
N
∑
n=1
wihEMM(n)−EQM(n)2+Ki=0
where K is a constant that adjusts for different origins in the QM and MM calculations so that minimization may
be done to zero and N is the number of molecular conformations that are considered.
For forces, the equation that is optimized is
N
∑
n=1
Natoms
∑
atom=1
wiF(n,atom)MM −F(n,atom)QM2=0
where the sum of the differences in the forces on each atom should match given the correct set of parameters.
Individual structures can be assigned weights wito give them more or less relative importance in the fit. By default,
all weights are set to 1.
The program works by altering the parameters that AMBER uses to describe the molecule, which alter the
elements in the AMBER sum that is used to calculate the energy or forces. It is necessary to evaluate over many
conformations of the molecule because the parameters should predict how the molecule will behave dynamically
rather than statically. To get a good idea of the forces on a dihedral, for example, the energy needs to be evaluated
for multiple conformations of the dihedral to see how it changes each time. Paramfit will fit so that the energy
changes that AMBER predicts will happen when the dihedral twists match the changes predicted with quantum
methods.
In order to facilitate force field development, Paramfit supports fitting parameters across multiple molecules (for
example, fitting a single dihedral backbone term across a variety of input amino acids). Single molecule fits can
also be done to generate parameters that are missing or inadequate to describe small molecules or ligands.
Paramfit provides functionality for the majority of steps in the fitting process, including writing input files for
quantum packages, specifying which parameters are to be fit, determining the value of K for the system, and
finally conducting the fit and saving it in a force field modification file that can be used by other programs. An
external quantum program is needed to generate the energies needed for paramfit to conduct a fitting. Currently,
the program is capable of writing input files for ADF, GAMESS, and Gaussian, although if you write your own
input files instead of using paramfit’s functionality, any quantum package will work.
Paramfit has OpenMP support for parallelization of the AMBER function evaluation over the input conforma-
tions, where each core will evaluate the energy for a subset of the conformations. Enable this by adding the
-openmp option to configure and rebuilding paramfit. By default all available cores will be used. To change this,
171
10. paramfit
set the OMP_NUM_THREADS environment variable to the number of threads to be executed. You will see a speedup
directly proportional to the number of cores you are running.
Paramfit now includes several ways fitting functions to aid in parameter generation. It can fit such that the energy
of each input structure matches the single-point quantum energies inputted, or can now do the same fitting only
with the forces on each atom, which may produce a more accurate fit that is less sensitive to problems with the input
structure, and can also fit all dihedral force constants and phases simultaneously to a small set of quantum energies
using a method developed by Chad Hopkins and Adrian Roitberg. This method fits every term and requires fewer
function evaluations than running the full minimization algorithm, but requires especially good sampling of each
torsion angle of interest.
Fitting forces requires several additional options to specify the location of the output forces files in the job
control file. The easiest way to create a job control file for any of these options is to use the wizard, which runs
automatically when no job control file is specified. This will walk you through the creation of a job control file and
write it for you while prompting for all necessary options for the selected fitting function.
It is highly recommended that you fit to single-point quantum energies, as fitting to forces is considerably more
expensive in terms of required calculation and still somewhat experimental. The implementation of the dihedral
fitting method is requires a varied set of input structures, and does not allow specifying individual dihedrals to
be fit. No matter which method is used, please take care to carefully validate all parameters for reasonableness–
paramfit’s fit is dependent on the variation and quality of the input structures and the resulting parameters are not
guaranteed in ill-defined areas of the input conformation set. For example, if you fit a dihedral torsion term with
input structures sampling the 0-30 degree range of that dihedral, the resulting parameters cannot be expected to
give a valid energy of a structure with the dihedral at 90 degrees, as the algorithm merely fits to the available data
and cannot make other predictions.
10.1. Usage
Paramfit is called from the command line as follows for a single molecule fit:
paramfit -i Job_Control.in -p prmtop -c mdcrd -q QM_data.dat \
-v MEDIUM --random-seed seed
Running paramfit without any options will run a wizard that assists in the creation of a job control file. It is highly
recommended that you use the wizard to assist you in setting run options.
The following switches apply to single molecule fits only:
-p prmtop The molecular topology file for the structure.
-c mdcrd A coordinate file containing many conformations of the input structure. These may be generated by
running a short simulation in solution, or by manually specifying coordinates for each atom. It is important
that there be a good representation of the solution space for any parameters that are to be optimized– for
example, if you want a bond force constant it would be a good idea to have input structures with a good
range of values for the length of the that bond type. See Subsection 10.2.6
-q QM_data.dat A file containing the quantum energies of the structures in the coordinate file, in order, one per
line. You will have to extract the energies from the output files that the quantum package produces. An
example script to do this for Gaussian formatted output files can be found in $AMBERHOME/AmberTool-
s/src/paramfit/scripts.
To fit multiple molecules, the following switches are used:
paramfit -i Job_Control.in -pf prmtop_list -cf mdcrd_list -v MEDIUM --random-seed seed
Here is a very brief description of the command-line arguments for a multiple molecule fit. For more information
on conducting these, fits, please see 10.3.
172
10.2. The Job Control File
-pf prmtop_list A file containing a plain-text list of input topology files and the adjustment constant K for each file
separated by a space, one per line.
-cf mdcrd_list A file containing a plain text list of input coordinate files, number of structures to read from each
file, and directory containing quantum output from each file, separated by a space. These should be specified
in the same order as the topologies in the prmtop_list.
The following switches apply to either type of fit:
-i Job_Control.in The job control file for the program. See Section 10.2 for a description of the options and format
for this file. If no job control file is specified, a wizard will be initiated that will prompt you for options and
help create the file. Use of the wizard is highly recommended when running Paramfit for the first time.
-v MEDIUM The verbosity level to run the program at, either LOW, MEDIUM, or HIGH.
–random-seed seed The integer seed for the random number generator. Only specify this parameter when exactly
reproducible results are needed for debugging.
10.2. The Job Control File
Similarly to sander and other programs, paramfit requires a job control file that specifies individual options for
each run. The options that apply to your run vary depending on the runtype and the other settings, and they are
quite numerous. To aid you in creating a job control file, a wizard has been included that will prompt you about
applicable settings and create the job control file for you. Using the wizard is highly recommended, especially
when running a fit for the first time. To use the wizard, simply run paramfit without any options. It is highly
recommended that you use the wizard to create job control files, as it prompts for all options relevant to your
run and the resulting file can then be easily edited by hand.
The format consists of variable assignments, in the format variable=value, with one assignment per line. Pound
signs (#) will comment out lines. See the following sections for a description of what to put in the job control file
for various tasks:
10.2.1. General options
paramfit requires several options be set for every run. These variables should usually appear in your job control
file.
RUNTYPE Specifies whether this run will be creating quantum input files, setting parameters, or conducting a fit.
= CREATE_INPUT The structures in the coordinate file will be written out as individual input files for a
quantum package. See 10.2.2.
= SET_PARAMS Provides an interactive prompt allowing you to specify which parameters will be fit for
this molecule. See 10.2.3.
= FIT Conducts a fitting using one of the two minimization algorithms. See 10.2.4for other options that need
to be specified.
NSTRUCTURES Specifies how many structures are in the input coordinate file. If this value is less than the total
number of structures in the file, only the first nwill be read. Only applies to single molecule fits! If you
are fitting multiple molecules at once, the number of structures for each molecule should be specified in the
mdcrd_list file as described in 10.3.
173
10. paramfit
10.2.2. Creating quantum input files
Given a trajectory, Paramfit can write input files for a variety of quantum packages. This is necessary to generate
the energy values for each input conformation that Paramfit will fit to. You do not necessarily need to do this step
and can write your own input files if desired. Currently Gaussian, ADF, and GAMESS formats are supported.
Job files will be named sequentially with filename prefix and suffix specified in the job control file. Once all
the input files are written, you must run the quantum package yourself. Paramfit can read Gaussian output files
directly, but for other packages you must extract the energies yourself into a file with one energy per line in the
same order as the input structures.
Currently Paramfit only supports Gaussian if you are fitting forces, and will read the output files and extract the
force information for you. See 10.4 for more information on fitting these.
To enter this mode, set RUNTYPE=CREATE_INPUT and specify the following options in your job control file:
QMHEADER File that will be prepended to all created input files for the quantum program. This specifies things
on a per-system basis, such as choice of basis set, amount of memory to use, etc. These parameters will
vary depending on which quantum package you are using. Sample header files for all supported quantum
packages are included in example_config_files in paramfit’s source directory.
QMFILEFORMAT Specifies which quantum package the created input files should be formatted for.
= ADF Use the Amsterdam Density Functional Theory package.
= GAMESS Use the General Atomic and Molecular Electronic Structure System (GAMESS).
= GAUSSIAN Use Gaussian.
QM_SYSTEM_CHARGE The integral charge of the system. Defaults to 0. Note that some quantum packages may
require this to also be specified in your header file.
QM_SYSTEM_MULTIPLICITY The integral multiplicity of the system. Defaults to 1 (singlet).
QMFILEOUTSTART The prefix for each of the created input files. Defaults to ’Job.’ The structure number and
then the suffix will be appended to this value.
QMFILEOUTEND The suffix for each of the created input files. Defaults to ’.in’. With both default options, the
file will be named Job.n.in.
10.2.3. Specifying parameters
In order to facilitate batch runs as well as simplify the process of running paramfit on larger systems, the
parameters to be fit are saved and then loaded in during actual fitting so that they do not have to be specified
every time. The parameter setting runtype accomplishes this by prompting whether you would like to fit bond,
angle and/or dihedral parameters and then displaying a list of the specific atom types for each so that you can pick
exactly what paramfit should optimize. This saved file does not specify a value for any of the parameters, but
simply indicates which ones are to be changed during fitting.
If you do not wish to save a parameter file, you may instead fit a default set of parameters or be prompted every
time. See Subsection 10.2.4.
To enter this mode, set RUNTYPE=SET_PARAMS and the following options:
PARAMETER_FILE_NAME Specifies the name of a file in which to store the parameters. When loading these
parameters in during a fitting, this line will stay the same. Do not modify this file by hand: paramfit numbers
each bond, angle, and dihedral in a manner that is consistent but not human-readable.
174
10.2. The Job Control File
10.2.4. Fitting options
The fitting function accomplishes the actual parameter modification. It does this by minimizing the least squares
difference between the quantum energy and the energy calculated with the AMBER equation over all of the input
conformations. For a perfect fit, this means that over all structures, EMD −EQM +K=0.
K is the intrinsic difference between the quantum and the classical energies, which is represented as a parameter
that is also fit. The value of K depends on the system, and should be fit once as the only parameter before fitting
any other parameters.
To enter this mode, set RUNTYPE=FIT and set the following additional variables:
ALGORITHM The minimization algorithm to use. paramfit currently implements a genetic algorithm and a sim-
plex algorithm for conduction minimization. Each algorithm requires several parameters and is suited to
different problems. Please see 10.2.5 for descriptions of these options and a guide on choosing the appropri-
ate algorithm.
= GENETIC
= SIMPLEX
= BOTH Runs the hybrid genetic algorithm followed by the simplex algorithm to fine tune results
= NONE No fit is performed- useful for calculating energy of each structure with the initial parameters to
see their quality
FUNC_TO_FIT The fitting function to use in the calculation.
= SUM_SQUARES_AMBER_STANDARD Standard fit to single-point energies. Recommended selection.
= AMBER_FORCES Fit to the forces on atoms involved in fitted parameters. Currently only supports Gaus-
sian output. See Section 10.4 for details.
= DIHEDRAL_LEAST_SQUARES Use Chad Hopkins and Adrian Roitberg’s method to fit all dihedral terms
at once. This method will fit all dihedral torsion terms simultaneously with a minimal number of
function evaluations, but requires very good sampling of the relevant torsion angles.
KThe intrinsic difference between the quantum and classical energies. This value needs to be determined once
for each system so that the algorithm can minimize to zero instead of to a constant. See Subsection 10.5.2
for an example.
PARAMETERS_TO_FIT Sets how paramfit determines which parameters are to be fit. paramfit does not fit elec-
trostatics, but is capable of fitting every other element of the AMBER sum, which include bond harmonic
force constant and equilibrium length, angle harmonic force constant and equilibrium angle, and proper and
improper dihedral barrier height, phase shift, and periodicity. As a general rule, the fewer parameters there
are to fit, the faster and more accurate the results will be. Avoid fitting more parameters than necessary.
= DEFAULT Fit all bond force constants and lengths, angle force constants and sizes, and dihedral force
constants. This option will usually fit a very large number of parameters, and is rarely necessary. For
most cases, only a few parameters are desired, and they should be fit individually.
= K_ONLY Do not fit any force field parameters. Only fit the value of K (the difference between quantum
and classical energies for the system). This needs to be done once per system in order to determine K
before any other parameters are fit, as attempting to fit it at the same time results in inaccurate results.
Since small changes in K produce a great change in the overall least squares sum, the algorithm will
tend to focus on changing the value of K and will neglect the parameters.
= LOAD The list of parameters to be fit is contained in a file that was previously created with the parameter
setting runtype. Set PARAMETER_FILE_NAME to the location of this file. To create this file, run
paramfit with RUNTYPE=SET_PARAMS.
SCEE The value by which to scale 1-4 electrostatics for the AMBER sum. Defaults to 1.2
SCNB The value by which to scale 1-4 van der Waals for the AMBER sum. Defaults to 2.0.
175
10. paramfit
QM_ENERGY_UNITS The unit of energy in the quantum data file if you are fitting to energies. This will depend
on your quantum package and settings used for the single point calculations.
= HARTREE Default
= KCALMOL
= KJMOL
QM_FORCE_UNITS The unit of force in the quantum data files if you are fitting to forces. This will depend on
your quantum package and settings used for the force calculations.
= HARTREE_BOHR Default
= KCALMOL_ANGSTROM
WRITE_ENERGY Saves the final AMBER energy and the quantum data for each structure to the specified file.
Plotting these data is useful in verifying the results of the fitting and identifying any problem structures. See
Subsection 10.5.3 for more on how to verify the accuracy of results.
WRITE_FRCMOD When the fitting is complete, the parameters will be saved in a force field modification file at
this location in addition to displaying them in standard output. This file may be used with leap to create a
new prmtop. If no value is specified the file will not be created.
SCATTERPLOTS Creates graphs of the bond, angles, and dihedrals found in the input files for each parameter that
is being fit. These plots can be visualized using scripts/scatterplots.sh found in paramfit’s source directory.
This can be helpful in assessing the quality of the input conformations. No need to specify anything after
the = sign for this parameter.
SORT_MDCRDS
= YES Sorts the input structures in order of increasing energy before conducting the fit. This can aid in
identification of problem regions for the initial or fitted parameters, as they may be generally worse on
structures in certain energy ranges.
= NO Default
COORDINATE_FORMAT The format of the input coordinate set. Paramfit will return an error if the file is in an
unexpected format.
= TRAJECTORY Default
= RESTART
10.2.5. Algorithm options
Paramfit implements two minimization algorithms: a simplex and a hybrid simplex-genetic algorithm (GA).
The current version of paramfit incorporates numerous refinements to the genetic algorithm that require much less
input from the user– it is no longer necessary to choose between the simplex or GA. This improved algorithm
means that iterative fits are no longer necessary, and the algorithm will converge very close to or at the global
minimum on a single run.
The genetic algorithm starts with a randomly generated solution set, which it recombines and alters in ways
similar to evolution. The GA will start with many initial randomly generated sets of parameters. It will then
determine which are the best by evaluating the AMBER sum, select them for recombination to produce a new set
of parameters, randomly alter a few parameters slightly to prevent premature convergence, and iterate. Once several
“generations” have passed without improvement, a loosely converging simplex algorithm is run on a random subset
of the population, which is then allowed to recover for several generations before further simplex iterations are
conducted. This hybrid approach dramatically speeds convergence to the global minimum, while maintaining the
strengths of the genetic algorithm in searching a large, complex solution space with low sampling.
The following options in the job control file will control the behavior of the genetic algorithm. In general the
default values for these options is sufficient to produce good results, and alterations to them will speed convergence.
176
10.2. The Job Control File
Options marked internal algorithm parameter should not need to be altered by the vast majority of users, as they
are already set to their optimum. The algorithm’s results should be independent of these values if they are within
reasonable ranges (run the wizard for suggestions).
OPTIMIZATIONS The integer number of possible optimizations the algorithm will use. Analogous to the popu-
lation size in evolution; larger values require more function evaluations and are slower but produce better
initial sampling, and smaller ones will delay convergence. Defaults to 50.
SEARCH_SPACE If positive, the algorithm will search for new parameters for everything except dihedral phases
within this percentage of the original value, where 1.0 will search within ±100% of the value found in the
input prmtop. Defaults to searching over the entire range of valid values and ignoring the original value in
the topology file. You may wish to alter this value if you know that the original parameters are good and you
wish to search in their neighborhood.
MAX_GENERATIONS The maximum number of iterations the algorithm is allowed to run before it returns the
best non-converged optimization. Defaults to 50,000. If you find that you repeatedly need to increase this
value compared to the default, there are likely significant problems with your system or insufficient input
structures.
GENERATIONS_TO_SIMPLEX The number of iterations in a row that must pass without improvement in the best
parameter set for simplex refinements to be run on a random 5% of the populations. Set to 0 for a pure genetic
algorithm. Smaller values will speed convergence but may result in retrieval of local minima. Defaults to
10.
GENERATIONS_WITHOUT_SIMPLEX The number of generations that must pass between runs of simplex refine-
ment, regardless of improvement in the best parameter set. These iterations serve as a recovery period for
the population of the genetic algorithm, and allows time for the simplex results to be incorporated. If set to
small or zero values, simplex refinement may run too often, resulting in convergence to a local minima and
eliminating the global search properties of the genetic algorithm. Defaults to 10.
GENERATIONS_TO_CONV The number of iterations in a row that must pass without improvement in the best
parameter set for the algorithm to be considered converged. Set to a larger value for a longer but potentially
more accurate run. Defaults to 50, which is too large for most systems. This counter increments along with
the counter to trigger simplex refinement, and at the global minimum simplex refinement will produce no
improvement on the population, allowing convergence.
MUTATION_RATE Internal algorithm parameter The chance an allele (potential parameter) in the genetic algo-
rithm population has to be randomly set to a new value each generation. Defaults to 0.05.
PARENT_PERCENT Internal algorithm parameter The percentage of each generation that is allowed to pass on
alleles to the next generation. Defaults to 0.25.
The simplex algorithm is excellent at refining a good set of input parameters, but can converge on physically
unreasonable values (such as negative bond force constants) if given a naive guess. For this reason, the genetic
algorithm is recommended for finding the global minimum or a close approximation thereof, and the simplex
algorithm may be run on the resulting parameters to confirm the results, if desired. The simplex algorithm starts
at an initial set of parameters and moves “downhill” iteratively while sampling neighboring areas (much like an
amoeba crawling along the function landscape), and converges when the improvement from one step to another
becomes negligible. The simplex algorithm is generally faster than the GA, and excels at well-defined systems with
a small number of dimensions. This algorithm requires a very well-defined sample space, and the input structures
should contain a good range over all the bonds, angles, and dihedrals that are to be optimized. Otherwise, the
algorithm tends to wander and will converge in badly defined areas of the sample set. In smaller, well-defined
systems with only a few parameters, this algorithm will outperform the genetic algorithm.
Choose the simplex algorithm if you wish to fit only a few parameters and have a large number of input confor-
mations. You may specify the following options to fine-tune the step sizes taken, but for the vast majority of cases
the defaults should suffice:
177

10. paramfit
BONDFC_dx Intrinsic length of parameter space for minimization. Used to determine the size of the steps to
construct the initial simplex. Should be large enough that the steps sample a sufficiently large area but small
enough to not move outside of normal parameter range. Bond force constant step size defaults to 5.0.
BONDEQ_dx Bond equilibrium length step size. Defaults to 0.02.
ANGLEFC_dx Angle force constant step size. Defaults to 1.0.
ANGLEEQ_dx Angle equilibrium step size. Defaults to 0.05.
DIHEDRALBH_dx Dihedral force constant step size. Defaults to 0.2.
DIHEDRALN_dx Dihedral periodicity step size. Defaults to 0.01.
DIHEDRALG_dx Dihedral phase step size. Defaults to 0.05.
K_dx Step size for intrinsic difference constant. Defaults to 10.0.
CONV_LIMIT Floating point number that details the convergence limit for the minimization. The smaller the
number, the longer the algorithm will take to converge but the results may be more accurate. Defaults to
1.0E-15, which is very strict.
10.2.6. Bounds Checking
In order to ensure that the algorithms can return meaningful results, bounds checking routines are included in
paramfit. The bounds checking functionality ensures that the algorithm’s results are reasonable given the initial
sample set, and also makes sure that the sample set is well-defined.
Since bonds and angles are approximately harmonic, the algorithm’s result is reasonable if it lies within a well-
defined area of the sample set. Bonds and angle values are therefore checked after the algorithm has finished
running. In order to properly fit dihedrals, sample structures should span the entire range of phases for each
dihedral that is to be fit. Dihedral checking is therefore accomplished before the algorithm begins to conduct the
fit.
Bounds checking defaults to halting execution of the program upon reaching a failing condition. It is not rec-
ommended that this behavior be disabled, since the results of the fit are most likely inaccurate. Using the fitted
parameters anyway will probably result in an inaccurate depiction of the molecule. Properly represented parame-
ters in the input structures are crucial for a valid fit. Instead of using the parameters, fix the input structures so that
data are provided in the missing ranges, which will be stated in the error message, and rerun the program twice:
first in CREATE_INPUT mode to obtain quantum energies for the added structures and then in FIT mode to redo
the fit.
If you know that your input structures describe the parameters to be fit quite well, the selectivity of the bounds
checking can be altered by the specifying the following options in the job control file. Use these options with
caution, and verify the generated parameters carefully.
CHECK_BOUNDS
= ON The recommended and default option. This will halt execution when the bounds check fails.
= WARN Continue upon reaching a bounds failure condition, but output a warning. Do not use the pa-
rameters generated by this fit without careful verification! Use the error message and other results to
determine if they are reasonable.
BOND_LIMIT Fitting results for bond lengths that are this many Angstroms away from the closest approximation
in the input structures will result in a failing condition. Defaults to 0.1.
ANGLE_LIMIT Fitting results for angles that are more than this many radians away from the closes approximation
in the input structures will result in a failing condition. Defaults to 0.05π.
DIHEDRAL_SPAN The entire range of valid dihedral angles, 0 to π, for each dihedral that is to be fit should
be spanned by this many input structure values, otherwise a failing condition will result. Defaults to 12,
meaning that there needs to be a dihedral in every π
12 radian interval of the valid range.
178
10.3. Multiple molecule fits
10.3. Multiple molecule fits
Paramfit supports fitting one or more parameters across multiple molecules, and contains several features to aid
in force field development. The program is invoked differently, using a prmtop list and mdcrd list that specify
topology and structures for each molecule to fit. Since the value of K is also system-dependent, you will need to
fit K for each molecule individually.
Input topologies are specified in a prmtop list, which contains the filename of each topology and the value of K
for that system, separated by a space. There are no comments permitted in this file. For example:
molecule1.prmtop 50.0
molecule2.prmtop 100.0
To obtain the value of K for each topology file, conduct a single-molecule fit using all the structures corresponding
to that topology and put the resulting value in this file. This enables fitting to zero over multiple molecules.
Input coordinate files are stated in the coordinate list, which contains the filename of each coordinate set, the
number of structures contained in it, and the filename containing the energy of each structure, separated by a
space. Each energy file is exactly the same as single-molecule fits, containing the energy of each structure, one
per line, in the same order as the corresponding coordinate file. If there are more structures available in the
coordinate file than the number N specified, the first N structures will be used in the fit. An example coordinate
list would be:
molecule1.mdcrd 200 energy1.dat
molecule2.mdcrd 100 energy2.dat
Parameters to fit must be present in all of the available topologies, and the parameter specification file
(PARAMETER_FILE_NAME) should be created using a single-molecule invocation of paramfit. Saved output
files such as energy profile will be named according to the input file name, and a single frcmod will be written if
specified. A multiple molecule invocation of paramfit uses the following command line options:
paramfit -i Job_Control.in -pf prmtop_list -cf mdcrd_list [-v MEDIUM] [--random-seed seed]
The only alteration to the job control file necessary for multiple molecule fits is the deletion of the NSTRUCTURES
parameter. NSTRUCTURES should not be specified as it is now ambiguous and will result in a program error.
10.4. Fitting Forces
Paramfit can fit to the forces on each atom within an input structure rather than to single point energies. In
theory, this provides more data to the fitting algorithm and reduces noise by considering only the forces on atoms
involved in a fitted parameter in the function evaluation. This section will walk you through the process of fitting
forces using paramfit.
Currently, force fitting can only read in Gaussian output files, so input files will be created in the format
accepted by that program. Specify in the QMHEADER file the “force” keyword, so Gaussian will print out the
forces on each atom, and run paramfit in the CREATE_INPUT mode as normal. Then run Gaussian on those
input files, keeping the resulting output with the same naming scheme, for example appending “.out” to the name
of an input file to indicate its input. For example, in bash:
for i in ‘ls output/Job.*.gjf‘; do g09 < $i > $i.out; done
To run a fit with forces, you must specify the following options in the job control file, or use the wizard. Paramfit
will read in the output files from the Gaussian job using the same order and naming scheme, so alter the QM
filename parameters so that they match the suffix you appended to Gaussian output files.
# Enable force fitting function
FUNC_TO_FIT=AMBER_FORCES
# K irrelevant for force fitting
179
10. paramfit
K=0.0
# Force units used by Gaussian
QM_FORCE_UNITS=HARTREE_BOHR
# Naming scheme of gaussian output files
QMFILEOUTSTART=output/Job.
QMFILEOUTEND=.gjf.out
Specify parameters to fit, algorithm and output options as described previously for fits to energy.
As forces fitting is still experimental, take care to evaluate the resulting parameters.
10.5. Examples
10.5.1. Setting up to fit
The fitting process with paramfit follows a specific order. Example job control files for each step and a descrip-
tion of the step follow.
First, write a job control file to create the input structures and run paramfit:
RUNTYPE=CREATE_INPUT
# Trajectory has 50 structures
NSTRUCTURES=50
# Write in Gaussian format
QMFILEFORMAT=GAUSSIAN
# Prepend this file to QM inputs
QMHEADER=Gaussian.header
$AMBERHOME/bin/paramfit -i Job_Control.in -p prmtop -c mdcrd
After all 50 input files have been created, run the quantum program on them. Once it’s finished, extract the
quantum energies from the output files using the provided script, or write your own. Since the example used
Gaussian:
$AMBERHOME/AmberTools/src/paramfit/scripts/process_gaussian.x \
output_directory energies.dat
Now, or while the quantum jobs are running, since neither the energies nor the structures are needed yet,
determine which parameters are to be fit and save them.
RUNTYPE=SET_PARAMS
# File to be created
PARAMETER_FILE_NAME=saved_params
$AMBERHOME/bin/paramfit -i Job_Control.in -p prmtop
Now the quantum energies to fit have been obtained and the parameters to fit have been set, and the fitting process
may begin.
10.5.2. Fitting K
The first step in fitting is determining the value of K for a system. A job control file that will only fit K follows:
RUNTYPE=FIT
PARAMETERS_TO_FIT=K_ONLY
# Use the simplex function
FITTING_FUNCTION=SIMPLEX
Then,
180
10.5. Examples
$AMBERHOME/bin/paramfit -i Job_Control.in -p prmtop -c mdcrd -q energies.dat
Take this value of K and put it back in the job control file when conducting the actual fit.
RUNTYPE=FIT
# Use the parameters specified earlier
PARAMETERS_TO_FIT=LOAD
PARAMETER_FILE_NAME=saved_params
# Genetic algorithm options
FITTING_FUNCTION=GENETIC
OPTIMIZATIONS=500
GENERATIONS_TO_CONV=10
GENERATIONS_TO_SIMPLEX=2
GENERATIONS_WITHOUT_SIMPLEX=5
# Save parameters so they can be read into leap
WRITE_FRCMOD=fitted_params.frcmod
And call paramfit just as before. This example fit will create a force field modification file that can later be read
into leap to create a new prmtop with the modified parameters for the molecule.
10.5.3. Evaluating Results
When using paramfit, it is important to verify the accuracy of the fitted parameters for your input structures. The
WRITE_ENERGY option in the Job Control file is useful for this. Set it to a filename and paramfit will write the
final AMBER energy of each structure next to the quantum energy for the same structure in a file that can be easily
graphed.
If you have gnuplot, a script has been provided to quickly show each structure’s energies. Assuming your
energy file is named energy.dat:
$AMBERHOME/AmberTools/src/paramfit/scripts/plot_energy.x energy.dat
The resulting graph makes the identification of problem structures much easier, and gives a good visualization of
the fit. In general, carefully validate parameters generated by paramfit against other data before conducting large
simulations.
The SCATTERPLOT option in the job control file can also be useful in assessing the quality of the input
structures. If this option is set, paramfit will dump a variety of data files indicating the value for all fitted bonds,
angles, and dihedrals in the input conformations. These data may be visualized if you have the program gnuplot
by running the following command in the directory where paramfit was run:
$AMBERHOME/AmberTools/src/paramfit/scripts/scatterplots.sh
The resulting graphs feature different colored points for each bond, angle, and dihedral type that is being fit for
each of the input structures. This is useful in evaluating if the results of the fit are reasonable– for example, if the
algorithm converges with an equilibrium bond length that is not similar to any of the structures, that parameter may
not be accurate.
181
Part III.
System preparation
183
11. Preparing PDB Files
The only required or useful data in a PDB file to set up AMBER simulations are: atom names, residue names,
and maybe chain identifiers (if more than one chain is present), and the coordinates of heavy atoms. Non-protein
structures (especially low-molecular-weight ligands) will cause problems unless extra libraries are loaded;water
and monatomic ions are generally recognized if their names in the PDB file correspond to the internal names in the
AMBER libraries.
The upshot is that most PDB files require some modification before being used in Amber. Most of the
recommended steps given below can be achieved with the pdb4amber and reduce programs:
pdb4amber -i orig.pdb -o orig1.pdb --nohyd --dry
reduce -build -nuclear orig1.pdb > orig2.pdb
This converts the original pdb file into one likely to be more suitable for input into LEaP. But these programs
(which are described in Sections 11.4 and 11.5 below) cannot anticipate all situations, so you should still examine
the output pdb file to consider the points below.
11.1. Cleaning up Protein PDB Files for AMBER
This is a crucial step in the preparation and many potential problems and subsequent errors arise from omiting
this step! (But also note that these are guidelines for beginners: there are certainly circumstances where you may
wish to modify the ideas presented here.)
• Analyze the PDB file visually in any viewer that can represent (and maybe modify) the file. Alternatively,
use a text editor. Delete all parts which are judged irrelevant for the simulation. Be aware that anything not
protein or water will require you to prepare and load extra library files.
• If the x-ray unit cell in the PDB file contains more than one image, choose the entity you want to use and
delete the other(s).
• If there is a ligand, save it as an MDL standard data file (SDF). Many software packages are able to do this
directly. You may also save the ligand in PDB format and then use some other tools later to convert it into a
decent SDF file (including correct bond order and all hydrogens). It is crucial to keep the coordinates
of its heavy atoms at their original location. Then delete it from the PDB file. The ligand must treated
separately later.
• Delete all water molecules that are not considered relevant. Some waters might be essential for ligand
binding. If those waters are kept, they should be made part of the receptor (as distinct "residues"), not of the
ligand. leap recognizes water if the residue name is WAT or HOH. In later simulations, they may have to be
tethered (more or less strongly) to their original positions to prevent them from "evaporating".
• Apply the same delete procedure to ions, co-factors, and other stuff that has no special relevance for the
planned simulation.
•Get rid off all protein (or peptide) hydrogens that are explicitly expressed in the PDB file. The reduce
and leap utilities adds hydrogens automatically with predefined names. Having hydrogens in PDB files with
names that leap does not recognize within its residue libraries leads to a total mess.
• Eventually, remove also all connectivity records. These are mostly referring to ligands, or, in some cases,
to disulfide links. The latter should be explicitly re-connected (see later) without relying on connectivity
records in the PDB file.
185

11. Preparing PDB Files
• The final PDB file of the protein should only contain unique locations for heavy atoms of amino acids (and
maybe oxygens of specific water molecules). (In some PDB files, the same amino acid may be represented
by different states (conformations). You must decide which unique location you want to use later in the
simulations. If you don’t do anything, Amber will use the “A” conformation, which is generally the most
highly occupied one.) Missing atoms in amino acids are mostly allowed since leap can rebuild them if the
residue names are correct and if the atoms already present have correct names also.
•Make use of "TER" records to separate parts in the PDB file which are not connected covalently. This
is especially important in protein structures in which parts are missing (gaps). Not separating the loose ends
by a "TER" record may lead to strange (and wrong) behavior in leap or later in the simulations. Apply the
same rule to individual water molecules which you want to keep and separate each water by a "TER" record.
11.2. Residue naming conventions
Tautomeric and protonation states are not rendered in PDB files. If a defined state for a residue is required, its
name in the PDB file must reflect the choice. The following subsections deal with these cases. Important: if you
change a residue name in a PDB file, make sure to change it for all atoms of that residue!
Note also that PDB files written out by leap will keep the "special" names, which sometimes leads to annoying
effects in software packages which are not prepared for amino acids called HIE, HIP, CYX, and alike. You might
consider to change these names back to the standard prior to using these PDB files in other software packages. You
can also use the “-bres” option in ambpdb to do that.
Histidine can exist in three forms (δ,ε, and protonated). The PDB file must reflect the choice of the user. In the
current versions of leap command files included with AMBER, ε-histidine is the default, i.e., a "HIS" residue
in a PDB file will be translated automatically to HIE (for ε-histidine). If the residue is called "HID" in the
PDB file, the resulting residue for AMBER will become δ-histidine, while "HIP" will yield the protonated
form.
Cysteine can exist in free form or as part of a disulfide bridge. PDB residues named "CYS" are automatically
converted into a free cysteine with a SH side chain end. If the cysteine is known to be in a S-S bridge, the
residue name in the PDB file must be "CYX". In that case, no hydrogen is automatically added to the side
chain which ends in a bare sulfur. However, S-S bonds to pairing cysteines are not automatically made but
must be specified by the user. The pytleap Python script described in section 39.3 takes care of this through
a special command line option and a file specifying which residues are to be connected (page 755).
Asp,Glu,Lys Sometimes the usually charged residues aspartate "ASP", glutamate "GLU", and lysine "LYS" might
have to be used in their uncharged form. The residue names must then be changed to "ASH", "GLH", and
"LYN", respectively. A neutral form of arginine is not foreseen in AMBER (as the pKa of arginine is around
12, it is always considered protonated).
Terminals: ACE, NHE, NME There are special N- and C-terminal cap residues which can be used to neutralize
the N- and C-terminal in peptide chains when the defaults (NH+
3for the N-terminal and COO−for the
C-terminal) are not appropriate.
The "ACE" residue [−C(= O)−CH3] can be used to cap the N-terminal. The PDB entry of the capping
residue ACE must be:
ATOM 1 CH3 ACE resnumber x y z
ATOM 2 C ACE resnumber x y z
ATOM 3 O ACE resnumber x y z
Note the atom name "CH3" for this special carbon: another name is not allowed. Hydrogens should be
omitted. They are automatically added if the residue name and the heavy atoThe version bundled with
AmberTools 1.4 is reduce.3.14.080821. See the files in $AMBERHOME/AmberTools/src/reduce for more
information. The information below is taken from the README.usingReduce.txt file.m names are correct.
186

11.3. Chains, Residue Numbering, Missing Residues
For capping the C-terminus, two possibilities are given. The first one is a simple NH2termination giving
[C(= O)−NH2]. This residue is called "NHE" in the PDB file and consists of a single atom to be named N:
ATOM 1 N NHE resnumber x y z
The second possible C-terminal cap is NH −CH3, resulting in [C(= O)−NH −CH3] at the C-terminal. Its
entry in the PDB file must have the residue name "NME" and has the following PDB entry:
ATOM 1 N NME resnumber x y z
ATOM 2 CH3 NME resnumber x y z
As above for "ACE", the atom name for the carbon must be "CH3". "NHE" and "NME" residues are
automatically completed with hydrogens. Do not enter them explicitly.
The "ACE" residue should be the first residue in a chain (strand) while "NHE" or "NME" should be the last.
If cap residues are used to terminate gaps in incomplete protein chains, they must appear at the exact gap
location, respecting N-terminal and C-terminal order. Gaps must be separated by a "TER" record in the PDB
file. See section 11.3.
11.3. Chains, Residue Numbering, Missing Residues
• AMBER preparation modules assume that residues in a PDB file are connected and appear sequentially in
the file. If not covalently connected (i.e., linked by an amide bond), the residues must be separated by "TER"
records in the PDB file. (Alternatively, the chainid must change on going from one chain to the next chain.)
Thus for example, a protein consisting of two chains should have a "TER" record after the final residue of
the first chain. Similarly, if residues are missing (e.g., not detected in x-ray, or cut by the user), the gap
should also be separated by a "TER" record. Terminal residues will be charged by default. If the user wants
to avoid this (especially for gaps), these residues should be capped (by ACE and NHE or NME).
• In general, leap and tools calling it refer to the original input residue numbers. Thus, residues are numbered
(rather "named") according to the original PDB file for special commands like the disulfide connections.
• In output files from leap,residues will always be numbered starting from 1, irrespective of the original
numbering. Gaps are not considered either. Thus if a protein chain runs from 21 to 80, with residues 31 to
40 (i.e., 10 residues) missing, the final numbering of residues will run from 1 to 50.
The final residue numbers are the ones that must be used in later simulations to refer to individual residues
via AMBER masks or NAB atom expressions.For example, if a protein chain with residues from 30 to 110
is prepared for AMBER simulations, the final numbering will go from 1 to 81. If the original residues 35
to 40 should be fixed or tethered, the actual residues to be specified are 6 to 11. This can lead to serious
errors. So be careful about residue numbers. The script pytleap described later will always generate a new
PDB file with exact AMBER residue numbering and atom names. This PDB file should be used as reference
throughout all subsequent AMBER simulations. Above all, when using atom masks or atom expressions (see
Appendix 19), always check that they really refer to the desired atoms before running lengthy simulations.
Fixing or tethering wrong atoms are a common error which may easily go unnoticed.
11.4. pdb4amber
pdb4amber analyses PDB files and cleans them for further usage, especially with the LeaP programs of Amber.
It does NOT use any information in the original PDB file other than that contained in ATOM and HETATM records.
The final output files are stripped of everything not directly related to ATOM or HETATM records.
187

11. Preparing PDB Files
11.4.1. Usage
Typing pdb4amber on the command line without options (or followed by -h) produces the following help mes-
sage:
Usage: pdb4amber [options]
Options:
--version show program’s version number and exit
-h, --help show this help message and exit
-i FILE, --in=FILE PDB input file (default: stdin)
-o FILE, --out=FILE PDB output file (default: stdout)
-y, --nohyd remove all hydrogen atoms (default: no)
-d, --dry remove all water molecules (default: no)
-p, --prot keep only Amber-compatible residues (default: no)
--noter remove TER, MODEL, ENDMDL cards (default: no)
--constantph rename GLU,ASP,HIS for constant pH simulation
--version prints current version and quits
-i or --in specifies the PDB input file
-o or --out specifies the name of the new PDB output file
NOTE: Input and output file names cannot be the same. Be aware that on some systems with non
case-sensitive formats, the automatic check of this requirement might fail if input and
output files just differ in upper- and lower-case.
-y or --nohyd requires that all hydrogens are removed (NOT default). Usually PDB standard PDB files from
x-ray have no hydrogens, but already processed PDB files might have hydrogens attached. Since LeaP
is strict on hydrogen atom names, it is better to remove all hydrogens prior to running a PDB file
through LeaP.
-d or --dry removes all water molecules (NOT default). Water molecules in PDB files are useful in many occa-
sions. However, you might want to remove them prior to explicit solvent simulations or when running
3D-RISM. Removed waters are stored in a separate file by pdb4amber (see under OUTPUT below).
-p or --prot keeps only the actual protein + water + recognized CAPS like ACE, NME, and NHE (NOT default).
It is advised to separate pure protein and ligands prior to preparing files for Amber simulations. With
this option, anything not pure protein is removed by pdb4amber and stored in a separate file for further
processing later (see under OUTPUT below). Without this option, everything is kept also in the newly
generated PDB file.
–noter option to remove all TER, MODEL, ENDMDL cards from output. The default behavior is to keep
them.
–constantph option to rename GLU, ASP and HIS residues to GL4,AS4 and HIP which is required for constant
pH simulations 22
pdb4amber also command line redirect operators (< for input, > for output) so that it can be used effectively in
pipes. Eg. usage:
pdb4amber -i pdbin.pdb -o pdbout.pdb
pdb4amber < pdbin.pdb >pdbout.pdb
cat pdbin.pdb | pdb4amber -o pdbout.pdb
In general, you should use the ’-ypd’ combination of options to generate a protein-only file.
188
11.4. pdb4amber
11.4.2. Output
The new output file (specified with -o or –out) is a standard PDB file with all residues sequentially re-numbered
from 1 to N. In addition, several other files are created automatically:
• A text file with the output PDB file name and _renum.txt added. This is a table to help convert the renum-
bered residues into the original ones.
• A PDB file with the output PDB file name and _nonprot.pdb appended. This is a PDB file that contains only
non-protein residues (apart from water), i.e., mainly ligands and other stuff.
• When using -d (--dry), a PDB file with the output file name plus _water.pdb added. This file contains
exclusively the water that has been stripped from the original PDB file.
• A text file with the output PDB file name and _sslink attached, if disulfide bonds have been detected by
pdb4amber. This file might be used by the pytleap script to generate the correct disulfide bonds between
cysteines.
The following information is written to the screen (but can also be captured into a text file by ending the
command line with ’2>’, e.g.:
pdb4amber -i pdbin.pdb -o pdbout.pdb [-options] 2> some_file_name.log
Chains: All chain indicators in the PDB file are listed. This is useful especially in cases where the x-ray unit cell
contains more than one image of a protein (or complex). In many cases, one is only interested in one main
peptide chain. A long list of different chains may indicate that the PDB file should cleaned manually prior
to using pdb4amber.
Insertions: Insertions are mostly ’artificial’ residue numbers to keep specific key residue numbers in large protein
families constant. pdb4amber discards insertion codes and re-numbers all residues from 1 to N. But the
insertions are listed to the screen and also included in the _renum.txt file.
Histidines: By default, Amber routines assume that all histidines are epsilon tautomers (HIE). pdb4amber lists
all HIS residues (with the final renumbered residue numbers) to allow users to easily locate HIS and change
some to delta (HID), protonated (HIP), or histidinium bound to zinc (HIN) if required by the local environ-
ment in the protein. The residue numbers refer to the renumbered scheme!
Non-standard residues: Non-standard residues (i.e., residues not automatically recognized by Amber) are listed.
Mostly they are ligands (sometimes co-factors, detergent, buffer components, etc.). The user must take
care of these separately. These residues are also found in the _nonprot.pdb file mentioned above. They are
removed from the final output PDB file if the -p (--prot) option was chosen. Otherwise they are left also
in the output PDB file.
Cysteines in disulfide bonds: pdb4amber locates possible (most probable) disulfide bonds by checking the dis-
tance between SG (gamma sulfur) atoms in cysteines. If a distance SG-SG less than 2.5 Angstroem is found
between the SG atoms of two CYS, a disulfide bond is assumed. The respective CYS residues are renamed
to CYX (required for Amber) in the final PDB output file. CONECT records are also printed in the final
PDB output file which are then automatically recognized by tleap. The residue numbers of the CYX residues
refer to the renumbered scheme!
Gaps: pdb4amber tries hard (and mostly succeeds) in locating ’gaps’, i.e., missing residues in the PDB file. This
is done by checking distances of consecutive C-alpha atoms. If such a distance is larger than 5 Angstroem,
pdb4amber considers that there is a gap between the two residues and reports the gap to the screen. The
listed residue numbers refer to the renumbered scheme! It is up to user to decide how to handle the gaps.
Doing nothing at all will most probably lead to trouble later! By simply introducing a TER record at the
gap, Amber (LeaP) will later introduce the charged N (NH3+) or C (COO-) terminals at the gap borders. If
far from the binding site, this might be OK (except in long and unconstrained MD, where such unnatural
189
11. Preparing PDB Files
charges will inevitably lead to unrealistic behavior). The better solution is to introduce ACE or NME caps at
the correct positions (in addition to a TER record separating the gap residues). This can be done in various
ways (e.g. with PyMol). The correct names of the newly introduced residues (ACE or NME) and atoms
(CH3 for the methyl carbon, C, N, O for the others) must be observed!
Missing atoms: pdb4amber tries to determine missing heavy atoms atoms in standard amino acids and reports
these. Residue numbers refer to the renumbered sequence. Note that this has no implcations on further usage
of the file with LeaP since missing atoms are added automatically anyway. In some cases, this addition may
lead to clashes however and it might be useful to know which residues are actually affected by LeaP.
11.4.3. Final remark
The PDB file format and the non-respect of the (in principle well-defined rules) is a constant source of trouble.
There is no guarantee that pdb4amber works for all possible variants and format violations in PDB files. If you
encounter problems with this routine, please report them to me so that I can find a solution. You will never loose
(overwrite) your original PDB file. The worst that can happen is that the resulting output is flawed and not usable.
Romain M. Wolf, Basel, December 2013 romain.wolf (at) gmail.com
11.5. reduce
Reduce is a program for adding hydrogens to a Protein DataBank (PDB) molecular structure file. It was de-
veloped by J. Michael Word at Duke University in the lab of David and Jane Richardson. Reduce is described
in: Word, et. al. (1999) Asparagine and Glutamine: Using Hydrogen Atom Contacts in the Choice of Side-chain
Amide Orientation, J. Mol. Biol. 285, 1733-1747.
Both proteins and nucleic acids can have hydrogens added. HET groups can also be processed as long as
the atom connectivity is provided. A slightly modified version of the connectivity table provided by the PDB is
included. The latest version of reduce is available at http://kinemage.biochem.duke.edu/.
In most circumstances, the recommended command when using reduce to add hydrogens to a PDB file and
standardize the bond lengths of existing hydrogens is
reduce -build -nuclear coordfile.pdb > coordfileH.pdb
which includes the optimization of adjustable groups (OH, SH, NH3+, Met-CH3, and Asn, Gln and His sidechain
orientation). Disulfides, covalent modifications, and connection of the ribose-phosphate nucleic acid backbone,
are recognized and any hydrogens eliminated by bonding are skipped. When an amino acid main-chain nitrogen
is not connected to the preceding residue or some other group, reduce treats it as the N-terminus and constructs an
NH3+ only if the residue number is less than or equal to an adjustable limit (1, by default). Otherwise, it considers
the residue to be the observable beginning of an actually-connected fragment and does not protonate the nitrogen.
Reduce does not protonate carboxylates (including the C-terminus) because it does not specifically consider pH,
instead modeling a neutral environment.
Hydrogens are positioned with respect to the covalently bonded neighbors and these are identified by name.
Nonstandard atom names are the primary cause of missing or misplaced hydrogens. If reduce tries to process a
file which contains hydrogens with nonstandard names, the existing hydrogens may not be recognized and may
interfere with the generation of new hydrogens. The solution may be to remove existing hydrogens before further
processing.
There are a number of other, more advance, options for reduce, which can be viewed by running:
reduce -h
190
12. LEaP
12.1. Introduction
LEaP is the generic name given to the programs teLeap and xaLeap, which are generally run via the tleap
and xleap shell scripts. These two programs share a common command language but the xleap program has
been enhanced through the addition of an X-windows graphical user interface. The name LEaP is an acronym
constructed from the names of the older AMBER software modules it replaces: link, edit, and parm. Thus, LEaP
can be used to prepare input for the AMBER molecular mechanics programs.
LEaP is the basic tool to construct force field files (see Fig. 1.1). Using tleap, the user can:
Read AMBER PREP input files
Read Amber PARM format parameter sets
Read and write Object File Format files (OFF)
Read and write PDB files
Construct new residues and molecules using simple commands
Link together residues and create nonbonded complexes of molecules
Modify internal coordinates within a molecule
Generate files that contain topology and parameters for AMBER and NAB
usage: tleap [ -I<dir> ] [ -f <file>|- ]
The command tleap is a simple shell script that calls teLeap with a number of standard arguments. Directories to
be searched are indicated by one or more “-I” flags; standard locations are provided in the tleap script. The “-f”
flag is used to tell tleap to take its input from a file (or from stdin if “-f -” is specified). If there is no “-f” flag,
input is taken interactively from the terminal.
A key command for LEaP is loadPdb, which inputs sequence and structure information from Protein Databank
Files. Be sure to read Section 11 for information on how to “clean up” PDB files before loading them.
12.2. Concepts
In order to effectively use LEaP it is necessary to understand the philosophy behind the program, especially
the concepts of LEaP commands, variables, and objects. In addition to exploring these concepts, this section also
addresses the use of external files and libraries with the program.
12.2.1. Commands
A researcher uses LEaP by entering commands that manipulate objects. An object is just a basic building block;
some examples of objects are ATOMs, RESIDUEs, UNITs, and PARMSETs. The commands that are supported
within LEaP are described throughout the manual and are defined in detail in the “Command Reference” section.
The heart of LEaP is a command-line interface that accepts text commands which direct the program to
perform operations on objects. All LEaP commands have one of the following two forms:
command argument1 argument2 argument3 ...
variable = command argument1 argument2 ...
For example:
edit ALA trypsin = loadPdb trypsin.pdb
191
12. LEaP
Each command is followed by zero or more arguments that are separated by whitespace. Some commands return
objects which are then associated with a variable using an assignment (=) statement. Each command acts upon
its arguments, and some of the commands modify their arguments’ contents. The commands themselves are case-
insensitive. That is, in the above example, edit could have been entered as Edit,eDiT, or any combination
of upper and lower case characters. Similarly, loadPdb could have been entered a number of different ways,
including loadpdb. In this manual, we frequently use a mixed case for commands. We do this to enhance the
differences between commands and as a mnemonic device. Thus, while we write createAtom,createResidue,
and createUnit in the manual, the user can use any case when entering these commands into the program.
The arguments in the command text may be objects such as NUMBERs, STRINGs, or LISTs, or they may be
variables. These two subjects are discussed next.
12.2.2. Variables
A variable is a handle for accessing an object. A variable name can be any alphanumeric string whose first
character is an alphabetic character. Alphanumeric means that the characters of the name may be letters, numbers,
or special symbols such as “*”. The following special symbols should not be used in variable names: dollar sign,
comma, period (full stop), pound sign (hash), equals sign, space, semicolon, double quote, or the curly braces {
and }. LEaP commands should not be used as variable names. Unlike commands, variable names are
case-sensitive: “ARG” and “arg” are different variables. Variables are associated with objects using an
assignment statement not unlike that found in conventional programming languages such as Fortran or C.
mole = 6.02E23
MOLE = 6.02E23
myName = "Joe Smith"
listOf7Numbers = { 1.2 2.3 3.4 4.5 6 7 8 }
In the above examples, both mole and MOLE are variable names, whose contents are the same (6.02 × 1023).
Despite the fact that both mole and MOLE have the same contents, they are not the same variable. This is due to
the fact that variable names are case-sensitive. LEaP maintains a list of variables that are currently defined. This
list can be displayed using the list command. The contents of a variable can be printed using the desc command.
12.2.3. Objects
The object is the fundamental entity in LEaP. Objects range from the simple, such as NUMBERs and STRINGs,
to the complex, such as UNITs, RESIDUEs and ATOMs. Complex objects have properties that can be altered using
the set command, and some complex objects can contain other objects. For example, RESIDUEs are complex
objects that can contain ATOMs and have the properties: residue name, connect atoms, and residue type.
NUMBERs
NUMBERs are simple objects holding double-precision floating point numbers. They serve the same function
as “double precision” variables in Fortran and “double” variables in C.
STRINGs
STRINGs are simple objects that are identical to character arrays in C and similar to character strings in
Fortran. STRINGs store sequences of characters which may be delimited by double quote characters. Example
strings are:
"Hello there"
"String with a "" (quote) character"
"Strings contain letters and numbers:1231232"
192
12.2. Concepts
LISTs
LISTs are made up of sequences of other objects delimited by LIST open and close characters. The LIST open
character is an open curly bracket ({) and the LIST close character is a close curly bracket (}). LISTs can contain
other LISTs and be nested arbitrarily deep. Example LISTs are:
{1234}
{ 1.2 "string" }
{123{12}{34}}
LISTs are used by many commands to provide a more flexible way of passing data to the commands. The zMatrix
command has two arguments, one of which is a LIST of LISTs where each subLIST contains between three and
eight objects.
PARMSETs (Parameter Sets)
PARMSETs are objects that contain bond, angle, torsion, and non-bonding parameters for AMBER force field
calculations. They are normally loaded from force field data files, such as parm94.dat, and frcmod files.
ATOMs
ATOMs are complex objects that do not contain any other objects. The ATOM object corresponds to the chem-
ical concept of an atom. Thus, it is a single entity that may be bonded to other ATOMs and used as a building
block for creating molecules. ATOMs have many properties that can be changed using the set command. These
properties are defined below.
name This is a case-sensitive STRING property and it is the ATOM’s name. The names for all ATOMs in a
RESIDUE should be unique. The name has no relevance to molecular mechanics force field parameters; it is
chosen arbitrarily as a means to identify ATOMs. Ideally, the name should correspond to the PDB standard,
being 3 characters long except for hydrogens, which can have an extra digit as a 4th character.
type This is a STRING property. It defines the AMBER force field atom type. It is important that the charac-
ter case match the canonical type definition used in the appropriate force field data (*.dat) or frcmod file.
For smooth operation, all atom types must have element and hybridization defined by the addAtomTypes
command. The standard AMBER force field atom types are added by the selected leaprc file.
charge The charge property is a NUMBER that represents the ATOM’s electrostatic point charge to be used in a
molecular mechanics force field.
element The atomic element provides a simpler description of the atom than the type, and is used only for LEaP’s
internal purposes (typically when force field information is not available). The element names correspond to
standard nomenclature; the character “?” is used for special cases.
position This property is a LIST of NUMBERs. The LIST must contain three values: the (X, Y, Z) Cartesian
coordinates of the ATOM.
RESIDUEs
RESIDUEs are complex objects that contain ATOMs. RESIDUEs are collections of ATOMs, and are either
molecules (e.g., formaldehyde) or are linked together to form molecules (e.g., amino acid monomers). RESIDUEs
have several properties that can be changed using the set command. (Note that database RESIDUEs are each
contained within a UNIT having the same name; the residue GLY is referred to as GLY.1 when setting properties.
When two of these single-UNIT residues are joined, the result is a single UNIT containing the two RESIDUEs.)
One property of RESIDUEs is connection ATOMs. Connection ATOMs are ATOMs that are used to make
linkages between RESIDUEs. For example, in order to create a protein, the N-terminus of one amino acid residue
must be linked to the C-terminus of the next residue. This linkage can be made within LEaP by setting the N
193
12. LEaP
ATOM to be a connection ATOM at the N-terminus and the C ATOM to be a connection ATOM at the C-terminus.
As another example, two CYX amino acid residues may form a disulfide bridge by crosslinking a connection atom
on each residue.
There are several properties of RESIDUEs that can be modified using the set command. The properties are
described below:
connect0 This defines the first of up to three ATOMs that are used to make links to other RESIDUEs. In
UNITs containing single RESIDUEs, the RESIDUE’s connect0 ATOM is usually defined as the UNIT’s
head ATOM. (This is how the standard library UNITs are defined.) For amino acids, the convention is to
make the N-terminal nitrogen the connect0 ATOM.
connect1 This defines the second of up to three ATOMs that are used to make links to other RESIDUEs. In
UNITs containing single RESIDUEs, the RESIDUE’s connect1 ATOM is usually defined as the UNIT’s
tail ATOM. (This is done in the standard library UNITs.) For amino acids, the convention is to make the
C-terminal oxygen the connect1 ATOM.
connect2 This defines the third of up to three ATOMs that are used to make links to other RESIDUEs. In amino
acids, the convention is that this is the ATOM to which disulfide bridges are made.
restype This property is a STRING that represents the type of the RESIDUE. Currently, it can have one of
the following values: “undefined”, “solvent”, “protein”, “nucleic”, or “saccharide”. Some of the LEaP
commands behave in different ways depending on the type of a residue. For example, the solvate commands
require that the solvent residues be of type “solvent”. It is important that the proper character case be used
when defining this property.
name The RESIDUE name is a STRING property. It is important that the proper character case be used when
defining this property.
UNITs
UNITs are the most complex objects within LEaP, and the most important. They may contain RESIDUEs and
ATOMs. UNITs, when paired with one or more PARMSETs, contain all of the information required to perform a
calculation using AMBER. UNITs can be created using the createUnit command. RESIDUEs and ATOMs can
be added or deleted from a UNIT using the add and remove commands. UNITs have the following properties,
which can be changed using the set command:
head
tail These define the ATOMs within the UNIT that are connected when UNITs are joined together using the
sequence command or when UNITs are joined together with the PDB or PREP file reading commands. The
tail ATOM of one UNIT is connected to the head ATOM of the next UNIT in any sequence. (Note: a TER
card in a PDB file causes a new UNIT to be started.)
box This property can either be null, a NUMBER, or a LIST. The property defines the bounding box of the UNIT.
If it is defined as null then no bounding box is defined. If the value is a single NUMBER, the bounding box
will be defined to be a cube with each side being box Å across. If the value is a LIST, it must contain three
NUMBERs, the lengths of the three sides of the bounding box.
cap This property can either be null or a LIST. The property defines the solvent cap of the UNIT. If it is defined
as null, no solvent cap is defined. If it is a LIST, it must contain four NUMBERs. The first three define the
Cartesian coordinates (X, Y, Z) of the origin of the solvent cap in Å, while the fourth defines the radius of
the solvent cap, also in Å.
Examples of setting the above properties are:
set dipeptide head dipeptide.1.N
set dipeptide box { 5.0 10.0 15.0 }
set dipeptide cap { 15.0 10.0 5.0 8.0 }
194
12.3. Running LEaP
The first example makes the amide nitrogen in the first RESIDUE within “dipeptide” the head ATOM. The second
example places a rectangular bounding box around the origin with the (X, Y, Z) dimensions of ( 5.0, 10.0, 15.0 )
in Å. The third example defines a solvent cap centered at ( 15.0, 10.0, 5.0 ) Å with a radius of 8.0 Å. Note: the
set cap command does not actually solvate, it just sets an attribute. See the solvateCap command for a more
practical case.
Complex objects and accessing subobjects
UNITs and RESIDUEs are complex objects. Among other things, this means that they can contain other objects.
There is a loose hierarchy of complex objects and what they are allowed to contain. The hierarchy is as follows:
• UNITs can contain RESIDUEs and ATOMs.
• RESIDUEs can contain ATOMs.
The hierarchy is loose because it does not forbid UNITs from containing ATOMs directly. However, the convention
that has evolved within LEaP is to have UNITs directly contain RESIDUEs which directly contain ATOMs.
Objects that are contained within other objects can be accessed using dot “.” notation. An example would be a
UNIT which describes a dipeptide ALA-PHE. The UNIT contains two RESIDUEs each of which contain several
ATOMs. If the UNIT is referenced (named) by the variable dipeptide, then the RESIDUE named ALA can be
accessed in two ways. The user may type one of the following commands to display the contents of the
RESIDUE:
desc dipeptide.ALA
desc dipeptide.1
The first command translates to “describe some RESIDUE named ALA within the UNIT named dipeptide”. The
second form translates as “describe the RESIDUE with sequence number 1 within the UNIT named dipeptide”.
The second form is more useful because every subobject within an object is guaranteed to have a unique sequence
number. If the first form is used and there is more than one RESIDUE with the name ALA, then an arbitrary
residue with the name ALA is returned. To access ATOMs within RESIDUEs, either of the following forms of
command may be used:
desc dipeptide.1.CA
desc dipeptide.1.3
Assuming that the ATOM with the name CA has a sequence number 3 within RESIDUE 1, then both of the above
commands will print a description of the $alpha$-carbon of RESIDUE dipeptide.ALA or dipeptide.1. The reader
should keep in mind that dipeptide.1.CA is the ATOM, an object, contained within the RESIDUE named ALA
within the variable dipeptide. This means that dipeptide.1.CA can be used as an argument to any command that
requires an ATOM as an argument. However dipeptide.1.CA is not a variable and cannot be used on the left hand
side of an assignment statement.
12.3. Running LEaP
xleap -h or tleap -h
will give a list of command-line arguments (which are very simple). Once you have started either program, typing
“help” will bring up a lot of useful information about possible actions.
A file called leaprc is executed as a script file at the start of the LEaP session unless the user suppresses it with
a command line option. Sample files are in $AMBERHOME/dat/leap/cmd, and you may wish to copy one of these
to become "your" default file. LEaP will look first for a learpc file in the user’s current directory, then in any
directories included with -I flags.
The command line interface allows the user to specify a log file that is used to log all input and output within
the command line environment. The log file is named using the logFile command. The file has two purposes: to
195
12. LEaP
allow the user to see a complete record of operations performed by LEaP, and to help recover from (and recreate)
program crashes. Output from LEaP commands is written to the log file at a verbosity level of 2 regardless of the
verbosity level set by the user using the verbosity command. Each line in the log file that was typed in by the user
begins with the two characters "> " (a greater-than sign followed by a space). This allows the user to extract the
commands typed into LEaP from the log file to create a script file that can be executed using the source command.
This provides a type of insurance against program crashes by allowing the user to regenerate their interactive
sessions. An example of a command that will create a script to reenact a LEaP session is:
cat LOGFILE | grep "^> " | sed "s/^> //" > SOURCEFILE.x
Note that changes via graphical and table interfaces (xleap) are not captured by command-line traces.
tleap (terminal LEaP) is the non-graphical, command-line-only interface to LEaP. It has the same functionality
as the xleap main window (Universe Editor Command Window, described below), and uses standard text control
keys. xleap is a windowing interface to LEaP. In addition to the command-line interface contained in the Universe
Editor window, it has a Unit Editor (graphical molecule editor), an Atom Properties Editor, and a Parmset Editor.
These editors are discussed in subsequent subsections.
12.3.1. Universe Editor
The window that first appears when the user starts xleap is called the Universe Editor. The Universe Editor is the
most basic way in which users can interact with xleap. It has two parts, the "command window," which corresponds
to the tleap command interface, and the "pulldown" items above the window, which provide mouse-driven methods
to generate specific commands for the command window, either directly or via popped-up dialog boxes. The items
in the pulldowns allow the user to generate commands using dialog boxes. To display the "File" pulldown, for
example, press the left mouse button on "File;" to select an item in the pulldown, keep the button down, move the
mouse to highlight the item, then release the mouse button. A dialog box will then pop up containing fields which
the user can fill in, and lists from which values can be chosen; these will be used to generate commands for the
command window interface.
12.3.2. Unit Editor
When the user enters the \fCedit\fR command from the Universe Editor Command Window, the Unit Editor will
be displayed if the argument to the \fCedit\fR command is an existing UNIT or a nonexistent (i.e. new) object.
The Parmset Editor will be activated if the argument is a PARMSET. The Parmset Editor is discussed later in this
subsection.
The Unit Editor has five parts. At the top of the window is a pulldown menu bar; below it is a set of buttons titled
"Manipulation" that define the mode of mouse activity in the graphics window, and below that, a list of elements
to select for the manipulation "Draw" mode (selecting one automatically selects "Draw" mode). Then comes the
graphical molecule-editing ("viewing") window itself, and at the very bottom a text window where status and errors
are reported.
Unit Editor Menu Bar
The menu bar has three pulldowns: "Unit," "Edit," and "Display."
Unit pulldown The Unit pulldown contains commands affecting the whole UNIT.
• "Check unit" – checks the UNIT in the viewing window for improbable bond lengths, missing force
field atom types, close nonbonded contacts, and a non-integral and non-zero total charge. Information
is printed in the text window at the bottom of the Unit Editor.
• "Calculate charge" – the total electrostatic charge for the UNIT is displayed in the text window at the
bottom of the Unit Editor.
• "Build," "Add H & Build" – the coordinates of new atoms are adjusted according to hybridization
(inferred from bonds) and standard geometries. (See also the Edit pulldown’s "Relax” selection.)
196
12.3. Running LEaP
Newly-drawn ATOMs are marked as "unbuilt" until they are marked otherwise by one of the Build
commands or by the Edit pulldown’s "Mark selection (un)built." The builder only builds coordinates
for unbuilt ATOMs. This allows users to draw molecules piecemeal and make adjustments as they
draw, without worrying that the builder is going to undo their work. "Add H & Build" adds hydrogens
to the ATOMs that do not have a full valence and builds coordinates for the hydrogens and any other
ATOMs that are marked "unbuilt." The number of hydrogens added to each ATOM is determined by
the hybridization and element type of each ATOM.
• "Import unit" – a selection window pops up for the user to incorporate a copy of another unit in the
current one. The imported unit will generally superimpose on the existing one. (Hint: select all atoms
in the current unit before doing this to simplify dragging them apart using the Manipulation Move
mode.)
• "Close" – Exit the Editor.
Edit pulldown The Edit pulldown contains commands relating to the currently- selected ATOMs in the viewer
window. Selection is described below in the "Manipulation buttons" section.
• "Relax selection" – performs a limited energy minimization of all selected ATOMs, leaving unselected
ATOMs fixed in place, by relaxing strained bonds, angles, and torsions. If atom types have been
assigned and can be found in the currently-loaded force field, force field parameters are used. If no
types are available then default parameters are used that are based on ATOM hybridization. This
command invokes an iterative algorithm that can take some time to converge for large systems. As the
algorithm proceeds, the modified UNIT will be continuously updated within the viewing window. The
user can stop the process at any time by placing the mouse pointer within the viewing window and
typing control-C. Since only internal coordinates are energy minimized, steric overlap can result.
• "Edit selected atoms" – pops up an Atom Properties Editor, a tool for examining/setting the properties
of the selected ATOMs. The Atom Properties Editor allows the user to edit the ATOM names, types
and charges in a convenient table format. It is described in a separate subsection below.
• "Flip chirality" – This command inverts the chirality of all selected ATOMs. In order for the chirality
to be inverted, the ATOM cannot be in more than one ring. The operation causes the lightest chains
leaving the ATOM to be moved so as to invert the chirality. If the ATOM has only three chains attached
to it, then only one of the chains will be moved.
• "Select Rings/Residues/Molecules" – expands the currently selected group of atoms to include all
partially-contained rings, residues, or molecules.
• "Show everything" – causes all ATOMs to become visible.
• "Hide selection" – makes all selected ATOMs invisible.
• "Show selection only" – makes only selected ATOMs visible.
• "Mark selection unbuilt/built" - see "Unit/Build," above.
Display pulldown The Display pulldown contains commands that determine what information is displayed within
the viewing window.
• "Names" – toggles display of ATOM names at each ATOM position.
• "Types" – toggles display of molecular mechanics atom types. The ATOM types are displayed within
parentheses "()".
• "Charges" – toggles display of the atomic charges.
• "Residue names" – toggles display of residue names. These are displayed at the position of the first
ATOM, before any of that ATOM’s information that may be displayed. The residue names are dis-
played within angled brackets "<>".
• "Axes" – toggles display of the Cartesian coordinate axes. The origin of the axes coincides with the
origin of Cartesian space.
• "Periodic box" – toggles display of the periodic box, if the UNIT has one.
197
12. LEaP
Unit Editor manipulation buttons
The Manipulation buttons are Select, Twist, Move, Erase, and Draw. They determine the behavior of the mouse
left-button when the mouse pointer is in the Viewing Window.
Select This button allows one to select part or all of a UNIT in anticipation of a subsequent operation or action.
In the Select mode, the user can highlight ATOMs within the viewing window for special operations. The
mouse pointer becomes a pointing hand in the viewing window in this mode. Selected ATOMs are displayed
in a different color (or different line styles on monochrome systems) from all other ATOMs. Atoms can
be selected with the left-button in several ways: first, clicking on an atom and releasing selects that atom.
Clicking twice in a row on an atom (at any speed) selects all atoms (this is a bug – only the residue should be
selected). Keeping the button down and moving to release on another atom selects all ATOMs in the shortest
chain between the two ATOMs, if such a chain exists. Finally, by first pressing the button in empty space,
and holding it down as the mouse is moved, one can "drag a box" enclosing atoms of interest. Note that
a current selection can be expanded by using the "Edit" menubar pulldown select option to complete any
partial selection of rings, residues or molecules.
If the user holds down the SHIFT key while performing any of the above actions, the same effect will be
seen, except ATOMs will be unselected.
Twist Twist mode operates on previously-Selected atoms. The intention is to allow rotation about dihedrals; if too
many atoms are selected, odd transformations can occur. While in the Twist mode, the mouse pointer looks
like a curved arrow. Twisting is driven by holding down the left-button anywhere in the viewing window and
moving the mouse up and down. It is important to select a complete torsion (all four atoms) before trying to
"twist" it.
Move Like Twist,Move mode operates on previously-Selected atoms. While in the Move mode, the mouse pointer
looks like four arrows coming out of one central point. Holding down the left-button anywhere allows
movement of these atoms by dragging in any direction in the viewing plane. (The view can be rotated by
holding down the middle-button to allow any movement desired.) This option allows the user to move the
selected ATOMs relative to the unselected ATOMs.
To rotate the selected ATOMs relative to the unselected ones, press and drag the mode (left) button while
holding down the SHIFT key. The selected ATOMs will rotate around a central ATOM on a "virtual sphere"
(see the subsubsection below on the rotate (middle) button for more information on the "virtual sphere").
The user can change which ATOM is used as the center of rotation by clicking the mode (left) button on any
of the ATOMs in the window.
Erase Erase mode causes the mouse pointer to resemble a chalkboard eraser when it is in the viewing window.
Clicking the left-button will delete any atoms or bonds under this mouse pointer, one atom or bond per click.
Draw Choosing Draw is equivalent to choosing the default "Elements" atom in the next array of buttons; the initial
default is carbon. While in the Draw mode, the mouse pointer is a pencil when in the viewing window.
Clicking the left-button deposits an atom of the current element, while dragging the mouse pointer with the
left-button held down draws a bond: if no atom is found where the button is released, one is created.
When the mouse pointer approaches an ATOM, the end of the line connected to the pointer will "snap" to
the nearest ATOM. This is to facilitate drawing of bonds between ATOMs. Any bonds that are drawn will by
default be single bonds. To change the order of a bond, the user would move the mouse to any point along
the bond and click the mode (left) button. This will cause the order of the bond to increase until it is reset
back to a single bond. The user can cycle through the following bond order choices: single, double, triple,
and aromatic.
If the user rotates a structure as it is being drawn, she will notice that all of the ATOMs that have been
drawn lie in the same plane. New ATOMs are automatically placed in the plane of the screen. The fact that
LEaP places the new ATOMs in the same plane is not a handicap because once a rough sketch of part of
the structure is compete, the user can invoke one of LEaP’s two model building facilities ("Unit/Build" and
"Edit/Relax Selection" in the Unit Editor Menu bar) to build full three dimensional coordinates.
198
12.3. Running LEaP
Unit Editor Elements Buttons" "C, H, O, ..." These buttons put the viewing window in Draw mode if it is not in
that mode already, and select the drawing element. The more common elements have their own buttons, and
all elements are also found by pulling down the other elements button.
Unit Editor Viewing Window
The viewing window displays a projection of the UNIT currently being edited. The user can manipulate the
structure within the viewing window with the mouse. By moving the mouse and holding down the mouse buttons,
the user can rotate, scale, and translate the UNIT within the window. The functions attached to the mouse buttons
are:
Rotate (Middle button) By pressing the rotate (middle) button within the viewing window and dragging the
mouse, the user can rotate the UNIT around the center of the viewing window. While the rotate (mid-
dle) button is down, a circle appears within the viewing window, representing a "virtual sphere trackball."
As the user drags the mouse around the outside of the circle, the UNIT will spin around the axis normal to
the screen. As the user drags the mouse within the circle, the UNIT will spin around the axis in the screen,
perpendicular to the movement of the mouse. The structures that are being viewed can be considered to be
embedded within a sphere of glass. The circle is the projection of the edge of the sphere onto the screen.
Rotating a UNIT while the mouse is within the circle is akin to placing a hand on a glass sphere and turning
the sphere by pulling the hand. The rotate operation does not modify the coordinates of the ATOMs; rather,
it simply changes the user’s point of view.
Translate (Right button) By pressing the translate (right) button within the viewing window and dragging the
mouse around the viewing window, the user can translate the UNIT within the plane of the screen. The
structures will follow the mouse as it moves around the window. This operation does not modify the coordi-
nates of the UNIT.
Scale (middle plus right button) If the scale "button" (holding the middle and right buttons down at the same
time) is depressed, the user will change the size of the structures within the viewing window. Pressing the
scale (middle plus right) button and dragging the mouse up and down the screen will increase and decrease
the scale of the structures. This operation does not modify the coordinates of the UNIT.
Mode (left button) The function of the left button is determined by the current mode of the viewing window as
described in the "Manipulation" section, above. When the mouse enters the viewing window it changes
shape to reflect the current mode of the viewing window.
Spacebar Another always-available operation when the mouse pointer is in the viewing window is the keyboard
spacebar. It centers and normalizes the size of the molecule in the viewing window. This is especially useful
if the UNIT becomes "lost" due to some operation.
The functions of the middle and right buttons are fixed and always available to the user. This allows the user
to change the viewpoint of the UNIT within the viewing window regardless of its current mode. The user
might ask why there are controls to translate in the plane of the screen, but not out of the plane of the screen.
This is because LEaP does not have depth-cueing or stereo projection and this makes it difficult for users to
perceive changes in the depth of a structure. However, the user can rotate the entire UNIT by 90 degrees
which will orient everything so that the direction that was coming out of the screen becomes a direction
lying in the plane of the screen. Once the UNIT has been rotated using the rotate (middle) button, the user
can translate the structure anywhere in space. While it does take some getting used to, users can become
very adept at the combination of rotations and translations.
12.3.3. Atom Properties Editor
The Atom Properties Editor is popped up by the Unit Editor when the user selects the Edit selected atoms
command from the Edit pulldown. The Atom Properties Editor allows the user to edit the properties of ATOMs
using a convenient table format. ATOM properties are: name, type, charge, and element.
199
12. LEaP
12.3.4. Parmset Editor
If the user enters the command edit Foo in the Universe Editor and Foo is a PARMSET, then a Parmset Editor is
popped up. First, a window appears which contains a number of buttons. The buttons list the parameters that can
be edited – Atom, Bond, Angle, Proper Torsion, Improper Torsion, and Hydrogen Bond – and an option to close
the editor. Choosing one of the parameter buttons will pop up a Table Editor. This editor resembles that of the
Atom Properties Editor, having three parts: the Menu Bar, Status Window, and Table Window.
12.4. Basic instructions for using LEaP to build molecules
This section gives an overview of how LEaP is most commonly used. Detailed descriptions of all the commands
are given in the following section.
12.4.1. Building a Molecule For Molecular Mechanics
In order to prepare a molecule within LEaP for AMBER, three basic tasks need to be completed.
1. Any needed UNIT or PARMSET objects must be loaded;
2. The molecule must be constructed within LEaP;
3. The user must output topology and coordinate files from LEaP to use in AMBER.
The most typical command sequence is the following:
source leaprc.ff99SB (load a force field)
x = loadPdb trypsin.pdb (load in a structure)
.... add in cross-links, solvate, etc.
saveAmberParm x prmtop prmcrd (save files)
There are a number of variants of this:
1. Although loadPdb is by far the most common way to enter a structure, one might use loadOff, or
loadAmberPrep, or use the zmat command to build a molecule from a Z-matrix. See the Commands section
below for descriptions of these options. If you do not have a starting structure (in the form of a PDB file),
LEaP can be used to build the molecule; you will find, however, that this is not always a straightforward
process. Many experienced Amber users turn to other (commercial and non-commercial) programs to create
their initial structures.
2. Be very attentive to any errors produced in the loadPdb step; these generally mean that LEaP has misread
the file. A general rule of thumb is to keep editing your input PDB file until LEaP stops complaining. It is
often convenient to use the addPdbAtomMap or addPdbResMap commands to make systematic changes from
the names in your PDB files to those in the Amber topology files; see the leaprc files in $AMBERHOME/-
dat/leap/cmd for examples of this. Be sure to read Section 11 for information on how to “clean up” PDB
files before loading them.
3. The saveAmberParm command cited above is appropriate for most force fields; for polarizable calculations
you will need to use saveAmberParmPol.
12.4.2. Amino Acid Residues
For each of the amino acids found in the LEaP libraries, there has been created an N-terminal and a C-terminal
analog. The N-terminal amino acid UNIT/RESIDUE names and aliases are prefaced by the letter N (e.g., NALA)
and the C-terminal amino acids by the letter C (e.g., CALA). If the user models a peptide or protein within LEaP,
they may choose one of three ways to represent the terminal amino acids. The user may use (1) standard amino
acids, (2) protecting groups (ACE/NME), or (3) the charged C- and N-terminal amino acid UNITs/RESIDUEs. If
the standard amino acids are used for the terminal residues, then these residues will have incomplete valences.
These three options are illustrated below:
200
12.5. Commands
{ ALA VAL SER PHE }
{ ACE ALA VAL SER PHE NME }
{ NALA VAL SER CPHE }
The default for loading from PDB files is to use N- and C-terminal residues; this is established by the
addPdbResMap command in the default leaprc files. To force incomplete valences with the standard residues,
one would have to define a sequence (“ x = { ALA VAL SER PHE }”) and use loadPdbUsingSeq, or use
clearPdbResMap to completely remove the mapping feature.
Histidine can exist either as the protonated species or as a neutral species with a hydrogen at the δor εposition.
For this reason, the histidine UNIT/RESIDUE name is either HIP, HID, or HIE (but not HIS). The default “leaprc”
file assigns the name HIS to HIE. Thus, if a PDB file is read that contains the residue HIS, the residue will be
assigned to the HIE UNIT object. This feature can be changed within one’s own leaprc file.
The AMBER force fields also differentiate between the residue cysteine (CYS) and the similar residue which
participates in disulfide bridges, cystine (CYX). The user will have to explicitly define, using the bond command,
the disulfide bond for a pair of cystines, as this information is not read from the PDB file. In addition, the user
will need to load the PDB file using the loadPdbUsingSeq command, substituting CYX for CYS in the sequence
wherever a disulfide bond will be created.
12.4.3. Nucleic Acid Residues
The “D” prefix can be used to distinguish between deoxyribose and ribose units. Residue names like “A” or
“DA” can be followed by a “5” or “3” (“DA5”, “DA3”) for residues at the ends of chains; this is also the default
established by addPdbResMap, even if the “5” or “3” are not added in the PDB file. The “5” and “3” residues
are “capped” by a hydrogen; the plain and “3” residues include a “leading” phosphate group. Neutral residues
(nucleotides) capped by hydrogens end their names with “N”, as in “DAN”.
12.5. Commands
The following is a description of the commands that can be accessed using the command line interface in tleap,
or through the command line editor in xleap. Whenever an argument in a command line definition is enclosed
in square brackets (e.g., [arg]), then that argument is optional. When examples are shown, the command line is
prefaced by “> ”, and the program output is shown without this character preface.
Some commands that are almost never used have been removed from this description to save space. You can use
the “help” facility to obtain information about these commands; most only make sense if you understand what the
program is doing behind the scenes.
12.5.1. add
add a b
UNIT/RESIDUE/ATOM a,b
Add the object b to the object a. This command is used to place ATOMs within RESIDUEs, and RESIDUEs
within UNITs. This command will work only if b is not contained by any other object.
The following example illustrates both the add command and the way the TIP3P water molecule is created for
the LEaP distribution.
> h1 = createAtom H1 HW 0.417
> h2 = createAtom H2 HW 0.417
> o = createAtom O OW -0.834
>
> set h1 element H
> set h2 element H
> set o element O
201
12. LEaP
>
> r = createResidue TIP3
> add r h1
> add r h2
> add r o
>
> bond h1 o
> bond h2 o
> bond h1 h2
>
> TIP3 = createUnit TIP3
>
> add TIP3 r
> set TIP3.1 restype solvent
> set TIP3.1 imagingAtom TIP3.1.O
>
> zMatrix TIP3 {
> { H1 O 0.9572 }
> { H2 O H1 0.9572 104.52 }
> }
>
> saveOff TIP3 water.lib
Saving TIP3.
Building topology.
Building atom parameters.
12.5.2. addAtomTypes
addAtomTypes { { type element hybrid } { ... } ... }
Define element and hybridization for force field atom types. This command for the standard force fields can be
seen in the default leaprc files. The STRINGs are most safely rendered using quotation marks. If atom types are
not defined, confusing messages about hybridization can result when loading PDB files.
12.5.3. addIons and addIons2
addIons unit ion1 numIon1 [ion2 numIon2]
addIons2 unit ion1 numIon1 [ion2 numIon2]
Adds counterions in a shell around unit using a Coulombic potential on a grid. If numIon1 is 0, then the unit
is neutralized. In this case, numIon1 must be opposite in charge to unit and numIon2 must not be specified. If
solvent is present, it is ignored in the charge and steric calculations, and if an ion has a steric conflict with a solvent
molecule, the ion is moved to the center of that solvent molecule, and the latter is deleted. (To avoid this behavior,
either solvate _after_ addions, or use addIons2.) Ions must be monatomic. This procedure is not guaranteed
to globally minimize the electrostatic energy. When neutralizing regular-backbone nucleic acids, the first cations
will generally be placed between phosphates, leaving the final two ions to be placed somewhere around the middle
of the molecule. The default grid resolution is 1 Å, extending from an inner radius of (maxIonVdwRadius +
maxSoluteAtomVdwRadius) to an outer radius 4 Å beyond. A distance-dependent dielectric is used for speed.
addIons2 is the same as addIons, except solvent and solute are treated the same.
12.5.4. addIonsRand
addIonsRand unit ion1 #ion1 [ion2 #ion2] [separation]
202
12.5. Commands
Adds counterions in a shell around unit by replacing random solvent molecules. If #ion1 is 0, the unit is neutralized
(ion1 must be opposite in charge to unit, and ion2 cannot be specified). Otherwise, the specified numbers of ion1
[ion2] are added [in alternating order]. If separation is specified, ions will be guaranteed to be more than that
distance apart in Angstroms.
Ions must be monoatomic. This procedure is much faster than addIons, as it does not calculate charges. Solvent
must be present. It must be possible to position the requested number of ions with the given separation in the
solvent.
12.5.5. addPath
addPath path
Add the directory in path to the list of directories that are searched for files specified by other commands. The
following example illustrates this command.
> addPath /disk/howard
/disk/howard added to file search path.
After the above command is entered, the program will search for a file in this directory if a file is specified in a
command. Thus, if a user has a library named “/disk/howard/rings.lib” and the user wants to load that library, one
only needs to enter load rings.lib and not load /disk/howard/rings.lib.
12.5.6. addPdbAtomMap
addPdbAtomMap list
The atom Name Map is used to try to map atom names read from PDB files to atoms within residue UNITs when
the atom name in the PDB file does not match an atom in the residue. This enables PDB files to be read in without
extensive editing of atom names. Typically, this command is placed in the LEaP startup file, “leaprc”, so that
assignments are made at the beginning of the session. list should be a LIST of LISTs. Each sublist should contain
two entries to add to the Name Map. Each entry has the form:
{ string string }
where the first string is the name within the PDB file, and the second string is the name in the residue UNIT.
12.5.7. addPdbResMap
addPdbResMap list
The Name Map is used to map RESIDUE names read from PDB files to variable names within LEaP. Typically,
this command is placed in the LEaP startup file, “leaprc”, so that assignments are made at the beginning of the
session. The LIST is a LIST of LISTs. Each sublist contains two or three entries to add to the Name Map. Each
entry has the form:
{ double string1 string2 }
where double can be 0 or 1, string1 is the name within the PDB file, and string2 is the variable name to which
string1 will be mapped. To illustrate, the following is part of the Name Map that exists when LEaP is started from
the “leaprc” file included in the distribution:
ADE --> DADE
: :
0 ALA --> NALA
0 ARG --> NARG
: :
203
12. LEaP
1 ALA --> CALA
1 ARG --> CARG
: :
1 VAL --> CVAL
Thus, the residue ALA will be mapped to NALA if it is the N-terminal residue and CALA if it is found at the
C-terminus. The above Name Map was produced using the following (edited) command line:
> addPdbResMap {
> { 0 ALA NALA } { 1 ALA CALA }
>{0ARGNARG}{1ARGCARG}::
> { 0 VAL NVAL } { 1 VAL CVAL }
>::
> { ADE DADE } : :
> }
12.5.8. alias
alias [ string1 [ string2 ] ]
This command will add or remove an entry to the Alias Table or list entries in the Alias Table. If both strings are
present, then string1 becomes the alias to string2, the original command. If only one string is used as an argument,
then that string will be removed from the Alias Table. If no arguments are given to the command, the current
aliases stored in the Alias Table will be listed.
The proposed alias is first checked for conflict with the LEaP commands and rejected if a conflict is found. A
proposed alias will replace an existing alias with a warning being issued. The alias can stand for more than a single
word, but also as an entire string so the user can quickly repeat entire lines of input.
12.5.9. bond
bond atom1 atom2 [ order ]
Create a bond between atom1 and atom2. Both of these ATOMs must be contained by the same UNIT. By
default, the bond will be a single bond. By specifying “-”, “=”, “#”, or “:” as the optional argument, order, the
user can specify a single, double, triple, or aromatic bond, respectively. Example:
bond trx.32.SG trx.35.SG
12.5.10. bondByDistance
bondByDistance container [ maxBond ]
Create single bonds between all ATOMs in the UNIT container that are within maxBond Å of each other. If
maxBond is not specified, a default distance will be used. This command is especially useful in building
molecules. Example:
bondByDistance alkylChain
12.5.11. check
check unit [ parms ]
This command can be used to check unit for internal inconsistencies that could cause problems when performing
calculations. This is a very useful command that should be used before a UNIT is saved with saveAmberParm or
its variants. Currently it checks for the following possible problems:
204
12.5. Commands
• long bonds
• short bonds
• non-integral total charge of the UNIT
• missing force field atom types
• close contacts (< 1.5 Å) between nonbonded ATOMs
The user may collect any missing molecular mechanics parameters in a PARMSET for subsequent editing. In the
following example, the alanine UNIT found in the amino acid library has been examined by the check command:
> check ALA
Checking ’ALA’....
Checking parameters for unit ’ALA’.
Checking for bond parameters.
Checking for angle parameters.
Unit is OK.
12.5.12. combine
variable = combine list
Combine the contents of the UNITs within list into a single UNIT. The new UNIT is placed in variable. This
command is similar to the sequence command except it does not link the ATOMs of the UNITs together. In the
following example, the input and output should be compared with the example given for the sequence command.
> tripeptide = combine { ALA GLY PRO }
Sequence: ALA
Sequence: GLY
Sequence: PRO
> desc tripeptide
UNIT name: ALA !! bug: this should be tripeptide!
Head atom: .R<ALA 1>.A<N 1>
Tail atom: .R<PRO 3>.A<C 13>
Contents:
R<ALA 1>
R<GLY 2>
R<PRO 3>
12.5.13. copy
newvariable = copy variable
In most cases, creates an exact duplicate of the object variable. Since newvariable is not pointing to the same
object as variable, changing the contents of one object will not alter the other object. Example:
> tripeptide = sequence { ALA GLY PRO }
> tripeptideSol = copy tripeptide
> solvateBox tripeptideSol WATBOX216 8 2
In the above example, tripeptide is a separate object from tripeptideSol and is not solvated. Had the user instead
entered
205
12. LEaP
> tripeptide = sequence { ALA GLY PRO }
> tripeptideSol = tripeptide
> solvateBox tripeptideSol WATBOX216 8 2
then both tripeptide and tripeptideSol would be solvated since they would both refer to the same object.
Note that in a few instances, the copy command does not produce an exact copy. This is particularly relevant
when making copies of oligosaccharide residues. In these, the copy command invariably inverts chirality at the
anomeric carbon. The workaround for this is to use the copy command twice, where the second call inverts the
chirality back.
12.5.14. createAtom
variable = createAtom name type charge
Return a new and empty ATOM with name,type, and charge as its atom name, atom type, and electrostatic point
charge. (See the add command for an example of the createAtom command.)
12.5.15. createResidue
variable = createResidue name
Return a new and empty RESIDUE with the name name. (See the add command for an example of the
createResidue command.)
12.5.16. createUnit
variable = createUnit name
Return a new and empty UNIT with the name name. (See the add command for an example of the createUnit
command.)
12.5.17. deleteBond
deleteBond atom1 atom2
Delete the bond between the ATOMs atom1 and atom2. If no bond exists, an error will be displayed.
12.5.18. desc
desc variable
Print a description of the object variable. In the following example, the alanine UNIT found in the amino acid
library has been examined by the desc command:
> desc ALA
UNIT name: ALA
Head atom: .R<ALA 1>.A<N 1>
Tail atom: .R<ALA 1>.A<C 9>
Contents: R<ALA 1>
Now, the desc command is used to examine the first residue (1) of the alanine UNIT:
> desc ALA.1
RESIDUE name: ALA
RESIDUE sequence number: 1
Type: protein
206
12.5. Commands
Connection atoms:
Connect atom 0: A<N 1>
Connect atom 1: A<C 9>
Contents:
A<N 1>
A<HN 2>
A<CA 3>
A<HA 4>
A<CB 5>
A<HB1 6>
A<HB2 7>
A<HB3 8>
A<C 9>
A<O 10>
Next, we illustrate the desc command by examining the ATOM N of the first residue (1) of the alanine UNIT:
> desc ALA.1.N
ATOM Name: N
Type: N
Charge: -0.463
Element: N
Atom flags: 20000|posfxd- posblt- posdrn- sel- pert- notdisp- tchd-
posknwn+ int - nmin- nbld-
Atom position: 3.325770, 1.547909, -0.000002
Atom velocity: 0.000000, 0.000000, 0.000000
Bonded to .R<ALA 1>.A<HN 2> by a single bond.
Bonded to .R<ALA 1>.A<CA 3> by a single bond.
Since the N ATOM is also the first atom of the ALA residue, the following command will give the same output as
the previous example:
> desc ALA.1.1
12.5.19. groupSelectedAtoms
groupSelectedAtoms unit name
Create a group within unit with the name name, using all of the ATOMs within unit that are selected. If the group
has already been defined then overwrite the old group. The desc command can be used to list groups. Example:
groupSelectedAtoms TRP sideChain
An expression like “TRP@sideChain” returns a LIST, so any commands that require LISTs can take advantage of
this notation. After assignment, one can access groups using the “@” notation. Examples:
select TRP@sideChain
center TRP@sideChain
The latter example will calculate the center of the atoms in the “sideChain” group. (See the select command for
a more detailed example.)
12.5.20. help
help [string]
This command prints a description of the command in string. If no argument is given, a list of help topics is
provided.
207
12. LEaP
12.5.21. impose
impose unit seqlist internals
The impose command allows the user to impose internal coordinates on unit. The list of RESIDUEs to impose the
internal coordinates upon is in seqlist. The internal coordinates to impose are in internals, which is an object of
type LIST.
The command works by looking into each RESIDUE within unit that is listed in seqlist and attempts to apply
each of the internal coordinates within internals. The seqlist argument is a LIST of NUMBERS that represent
sequence numbers or ranges of sequence numbers. A range of sequence numbers is represented by two element
LISTs that contain the first and last sequence number in the range. The user can specify sequence number ranges
that are larger than what is found in unit, in which case the range will stop at the beginning or end of unit as
appropriate. For example, the range { 1 999 } will include all RESIDUEs in a 200 RESIDUE UNIT.
The internals argument is a LIST of LISTs. Each sublist contains a sequence of ATOM names which are of
type STRING followed by the value of the internal coordinate. An example of the impose command would be:
impose peptide { 1 2 3 } { { “N” “CA” “C” “N” -40.0 } { “C” “N” “CA” “C” -60.0 } }
This would cause the RESIDUE with sequence numbers 1, 2, and 3 within the UNIT peptide to assume an
α-helical conformation. The command
impose peptide { 1 2 { 5 10 } 12 } { { “CA” “CB” 5.0 } }
will impose on the residues with sequence numbers 1, 2, 5, 6, 7, 8, 9, 10, and 12 within the UNIT peptide a bond
length of 5.0 Å between the αand βcarbon atoms. RESIDUEs without an ATOM named CB, such as glycine,
will be unaffected.
It is important to understand that the impose command attempts to perform the intended action on all residues in
the seqlist, but does not necessarily limit itself to acting only upon internals contained within those residues. That
is, the list does not limit the residues to consider. Rather, it is a list of all starting points to consider. In other words,
to specify a seqlist of { 3 4 } tells impose to attempt to set two torsions, one starting in residue 3 and the other
starting in residue 4. It does not specify that the torsion should only be set if the atoms are found within residues 3
and/or 4.
Because of this, one must be careful when setting torsions between two residues. It is necessary to know which
atoms are contained in which residues. Consider the following trisaccharide:
α-D-Glcp-(1-6)-β-D-Manp-(1-6)-β-D-Galp-OH
To build it most simply in leap requires the following directive. Note that the build order in leap is the reverse
of the standard order in which the residues are written above.
glycan = sequence { ROH 6LB 6MB 0GA }
A proper build of a 1-6 oligosaccharide linkage often requires setting three torsions. In the manner that residues
are defined in the Glycam force fields, the atoms describing two of those torsions, φand ψ, span two residues.
However, the atoms in the third, ω, exist entirely within one residue. In fact, they exist within all three glycan
residues in the example above. The following commands will set only the three torsions in the glycosidic linkage
between residues 4 (0GA) and 3 (6MB).
impose glycan { 4 } { { “H1” “C1” “O6” “C6” -60.0 } } # O6 & C6 are in residue 3
impose glycan { 4 } { { “C1” “O6” “C6” “C5” 180.0 } } # only C1 is in residue 4
impose glycan { 3 } { { “O6” “C6” “C5” “O5” 60.0 } } # all are in residue 3
The common misconception that the seqlist sets a limit on the residues affected can cause trouble in this case. For
example, this command
impose glycan { 4 3 } { { “H1” “C1” “O6” “C6” -60.0 } }
208
12.5. Commands
will find all sequences beginning in residue 4 and in residue 3 that contain the serially bonded atoms H1 C1 O6
and C6. Therefore, in this case, it will set the specified torsions between residues 4 and 3 as well as between 3 and
2. Similarly, this command
impose peptide { 4 } { { “O6” “C6” “C5” “O5” 60.0 } }
will not affect any inter-residue linkage, but instead will set the C5-C6 torsion in the glucopyranoside (0GA) at the
non-reducing end of the oligosaccharide.
The ordering and content within the internals list is important as well. For these examples, consider the simple
peptide sequence:
peptide = sequence { ALA ALA ALA ALA }
The ordering of the internals specifies the atoms to which the torsion set is applied. The impose command will
find the first atom in the internals list, check for the presence of a bonded second atom, and so forth. It will then
apply the action, here a torsion, to those four atoms. For example, this command:
impose peptide { 3 } { { “N” “CA” “C” “N” -40.0 } } # between 3 and 4
will set the torsion between residues 3 and 4. However, this one:
impose peptide { 3 } { { “N” “C” “CA” “N” -40.0 } } # between 3 and 2
will set the torsion between residues 3 and 2.
If at any point, the impose command does not find an atom bonded to a previous atom in an internals list, it
will silently ignore the command. This is likely to occur in two instances. One, the atom simply might not exist in
the residue:
impose peptide { 3 } { { “N” “CA” “CB” “HB4” 10.0 } } # no effect, silent
Here, of course, there is no atom named HB4 in alanine. Similarly, improper torsions are ignored. For example,
this command also has no effect:
impose peptide { 3 } { { “N” “HB1” “CA” “CB” 10.0 } } # no effect, silent
because HB1 is not bonded to N.
Three types of conformational change are supported: Bond length changes, bond angle changes, and torsion
angle changes. If the conformational change involves a torsion angle, then all dihedrals around the central pair of
atoms are rotated. The entire list of internals is applied to each RESIDUE.
It is also important to note that the impose command performs its actions entirely using internal coordinates.
Because of this, it is difficult to predict the resulting behavior when the coordinates are translated back to cartesian,
for example when writing a PDB file.
12.5.22. list
List all of the variables currently defined. To illustrate, the following (edited) output shows the variables
defined when LEaP is started from the leaprc file included in the distribution:
> list A ACE ALA ARG ASN : : VAL W WAT Y
12.5.23. loadAmberParams
variable = loadAmberParams filename
Load an AMBER format parameter set file and place it in variable. All interactions defined in the parameter set
will be contained within variable. This command causes the loaded parameter set to be included in LEaP’s list of
parameter sets that are searched when parameters are required. General proper and improper torsion parameters
are modified during the command execution with the LEaP general type “?” replacing the AMBER general type
“X”
> parm91 = loadAmberParams parm91X.dat
> saveOff parm91 parm91.lib
209
12. LEaP
12.5.24. loadAmberPrep
loadAmberPrep filename [ prefix ]
This command loads an AMBER PREP input file. For each residue that is loaded, a new UNIT is constructed that
contains a single RESIDUE and a variable is created with the same name as the name of the residue within the
PREP file. If the optional argument prefix (a STRING) is provided, its contents will be prefixed to each variable
name; this feature is used to prefix UATOM residues, which have the same names as AATOM residues with the
string “U” to distinguish them.
> loadAmberPrep cra.in
Loaded UNIT: CRA
12.5.25. loadOff
loadOff filename
This command loads the OFF library within the file named filename. All UNITs and PARMSETs within the
library will be loaded. The objects are loaded into LEaP under the variable names the objects had when they were
saved. Variables already in existence that have the same names as the objects being loaded will be overwritten.
Any PARMSETs loaded using this command are included in LEaP’s library of PARMSETs that is searched
whenever parameters are required (the old AMBER format is used for PARMSETs rather than the OFF format in
the default configuration). Example command line:
> loadOff parm91.lib
Loading library: parm91.lib
Loading: PARAMETERS
12.5.26. loadMol2
variable = loadMol2 filename
Load a Sybyl MOL2 format file into variable, a UNIT. This command is very much like loadOff, except that it
only creates a single UNIT.
12.5.27. loadPdb
variable = loadPdb filename
Load a Protein Data Bank (PDB) format file with the file name filename into variable, a UNIT. The sequence
numbers of the RESIDUEs will be determined from the order of residues within the PDB file ATOM records.
This function will search the variables currently defined within LEaP for variable names that map to residue
names within the ATOM records of the PDB file. If a matching variable name is found then the contents of the
variable are added to the UNIT that will contain the structure being loaded from the PDB file. Adding the
contents of the matching UNIT into the UNIT being constructed means that the contents of the matching UNIT
are copied into the UNIT being built and that a bond is created between the connect0 ATOM of the matching
UNIT and the connect1 ATOM of the UNIT being built. The UNITs are combined in the same way UNITs are
combined using the sequence command. As atoms are read from the ATOM records their coordinates are written
into the correspondingly named ATOMs within the UNIT being built. If the entire residue is read and it is found
that ATOM coordinates are missing, then external coordinates are built from the internal coordinates that were
defined in the matching UNIT. This allows LEaP to build coordinates for hydrogens and lone-pairs which are not
specified in PDB files.
> crambin = loadPdb 1crn
210
12.5. Commands
12.5.28. loadPdbUsingSeq
loadPdbUsingSeq filename unitlist
This command reads a PDB format file named filename. This command is identical to loadPdb except it does not
use the residue names within the PDB file. Instead, the sequence is defined by the user in unitlist. For more
details see loadPdb.
> peptSeq = { UALA UASN UILE UVAL UGLY }
> pept = loadPdbUsingSeq pept.pdb peptSeq
In the above example, a variable is first defined as a LIST of united atom RESIDUEs. A PDB file is then loaded,
in this sequence order, from the file “pept.pdb”.
12.5.29. logFile
logFile filename
This command opens the file with the file name filename as a log file. User input and all output is written to the
log file. Output is written to the log file as if the verbosity level were set to 2. An example of this command is
> logfile /disk/howard/leapTrpSolvate.log
12.5.30. measureGeom
measureGeom atom1 atom2 [ atom3 [ atom4 ] ]
Measure the distance, angle, or torsion between two, three, or four ATOMs, respectively.
In the following example, we first describe the RESIDUE ALA of the ALA UNIT in order to find the identity
of the ATOMs. Next, the measureGeom command is used to determine a distance, simple angle, and a dihedral
angle. As shown in the example, the ATOMs may be identified using atom names or numbers.
> desc ALA.ALA
RESIDUE name: ALA
RESIDUE sequence number: 1
Type: protein ....
12.5.31. quit
Quit the LEaP program.
12.5.32. remove
remove a b
Remove the object bfrom the object a. If adoes not contain b, an error message will be displayed. This
command is used to remove ATOMs from RESIDUEs, and RESIDUEs from UNITs. If the object represented by
bis not referenced by any other variable name, it will be destroyed.
> dipeptide = combine { ALA GLY }
Sequence: ALA
Sequence: GLY
> desc dipeptide
UNIT name: ALA !! bug: this should be dipeptide!
Head atom: .R<ALA 1>.A<N 1>
Tail atom: .R<GLY 2>.A<C 6>
211
12. LEaP
Contents: R<ALA 1> R<GLY 2>
> remove dipeptide dipeptide.2
> desc dipeptide UNIT name: ALA !! bug: this should be dipeptide!
Head atom: .R<ALA 1>.A<N 1>
Tail atom: null
Contents: R<ALA 1>
12.5.33. saveAmberParm
saveAmberParm unit topologyfilename coordinatefilename
Save the Amber/NAB topology and coordinate files for unit into the files named topologyfilename and coordinate-
filename respectively. This command will cause LEaP to search its list of PARMSETs for parameters defining all
of the interactions between the ATOMs within unit. It produces topology files and coordinate files that are identical
in format to those produced by Amber PARM and can be read into Amber and NAB for calculations. The output
of this operation can be used for minimizations, dynamics, and thermodynamic perturbation calculations.
In the following example, the topology and coordinates from the all_amino94.lib UNIT ALA are generated:
> saveamberparm ALA ala.top ala.crd
12.5.34. saveMol2
saveMol2 unit filename type-flag
Write unit to the file filename as a Tripos mol2 format file. If type-flag is 0, the Tripos (Sybyl) atom types will
be used; if type-flag is 1, the Amber atom types present in unit will be used. Generally, you would want to set
type-flag to 1, unless you need the Sybyl atom types for use in some program outside Amber; Amber itself has no
force fields that use Sybyl atom types.
12.5.35. saveOff
saveOff object filename
The saveOff command allows the user to save UNITs and PARMSETs to a file named filename. The file is written
using the Object File Format (off) and can accommodate an unlimited number of uniquely named objects. The
names by which the objects are stored are the variable names specified within the object argument. If the file
filename already exists, the new objects will be added to it. If there are objects within the file with the same names
as objects being saved then the old objects will be overwritten. The argument object can be a single UNIT, a single
PARMSET, or a LIST of mixed UNITs and PARMSETs. (See the add command for an example of the saveOff
command.)
12.5.36. savePdb
savePdb unit filename
Write unit to the file filename as a PDB format file. In the following example, the PDB file from the
“all_amino94.lib” UNIT ALA is generated:
> savepdb ALA ala.pdb
12.5.37. sequence
variable = sequence list
212
12.5. Commands
The sequence command is used to combine the contents of list, which should be a LIST of UNITs, into a new,
single UNIT. This new UNIT is constructed by taking each UNIT in list in turn and copying its contents into the
UNIT being constructed. As each new UNIT is copied, a bond is created between the tail ATOM of the UNIT
being constructed and the head ATOM of the UNIT being copied, if both connect ATOMs are defined. If only one
is defined, a warning is generated and no bond is created. If neither connection ATOM is defined then no bond is
created. As each RESIDUE is copied into the UNIT being constructed it is assigned a sequence number which
represents the order the RESIDUEs are added. Sequence numbers are assigned to the RESIDUEs so as to
maintain the same order as was in the UNIT before it was copied into the UNIT being constructed. This
command builds reasonable starting coordinates for all ATOMs within the UNIT; it does this by assigning internal
coordinates to the linkages between the RESIDUEs and building the external coordinates from the internal
coordinates from the linkages and the internal coordinates that were defined for the individual UNITs in the
sequence.
> tripeptide = sequence { ALA GLY PRO }
12.5.38. set
This command operates in two modes. In the first, it sets default values for some parameters. In the second, it
sets specific properties to containers (for example, UNITs).
Defaults can be set in LEaP for the global parameters below with this usage:
set default parameter value
For example:
set default PBRadii mbondi
OldPrmtopFormat If set to “on”, the saveAmberParm command will write a prmtop file in the format used in
Amber 6 and earlier versions; if set to “off” (the default), it will use the new format. This is discouraged for
general use and is available mainly for backwards compatibility with programs that expect old-style topology
files or for testing.
Dielectric If set to “distance” (the default), electrostatic calculations in LEaP will use a distance-dependent di-
electric; if set to “constant”, a constant dielectric will be used.
PdbWriteCharges If set to “on”, atomic charges will be placed in the “B-factor” field of PDB files saved with the
savePdb command; if set to “off” (the default), no such charges will be written.
PBRadii Used to choose various sets of atomic radii for generalized Born or Poisson-Boltzmann calculations.
Options are: “bondi”, which gives values from Ref. [249], which should be used with igb = 7; “mbondi”,
which is the default, and the recommended parameter set for igb =1[134]; “mbondi2”, which is a second
modification of the Bondi radii set [120], and should be used with igb = 2 or 5; “mbondi3”, which is a third
modification of the Bondi radii set [21] recommended for use with igb = 8; and “amber6”, which is only to
be used for reproducing very early calculations that used igb =1[118].
nocenter If set to “on”, LEaP will not center the coordinates inside the box for a periodic simulation, but will
leave them unchanged (as it does for non-periodic simulations); if set to “off” (the default), centering of
coordinates will take place (as it always has, in previous versions of LEaP). Avoiding coordinate translations
can be useful to avoid changing reference (perhaps experimental) coordinates. This option may be especially
helpful for crystal simulations.
The parameters listed below can be set for the specified containers within LEaP using the following syntax:
set container parameter object
Some examples:
213
12. LEaP
set ATOM name "name"
set RESIDUE connect0 ATOM
my_system = loadPDB file.pdb
set my_system box {25 30 32}
For ATOMs:
name A unique STRING descriptor used to identify ATOMs.
type This is a STRING property that defines the AMBER force field atom type.
charge The charge property is a NUMBER that represents the ATOM’s electrostatic point charge to be used in a
molecular mechanics force field.
position This property is a LIST of NUMBERs containing three values: the (X, Y, Z) Cartesian coordinates of
the ATOM.
pertName This STRING is a unique identifier for an ATOM in its final state during a Free Energy Perturbation
calculation. This functionality is no longer implemented in Amber.
pertType This STRING is the AMBER force field atom type of a perturbed ATOM. This functionality is no longer
implemented in Amber.
pertCharge This NUMBER represents the final electrostatic point charge on an ATOM during a Free Energy
Perturbation. This function is no longer implemented in Amber.
For RESIDUEs:
connect0 This identifies the first of up to three ATOMs that will be used to make links to other RESIDUEs. In
a UNIT containing a single RESIDUE, the RESIDUE’s connect0 ATOM is usually defined as the UNIT’s
head ATOM.
connect1 This identifies the second of up to three ATOMs that will be used to make links to other RESIDUEs. In
a UNIT containing a single RESIDUE, the RESIDUE’s connect1 ATOM is usually defined as the UNIT’s
tail ATOM.
connect2 This identifies the third of up to three ATOMs that will be used to make links to other RESIDUEs. In
amino acids, the convention is that this is the ATOM to which disulfide bridges are made.
restype This property is a STRING that represents the type of the RESIDUE. Currently, it can have one of the
following values: “undefined”, “solvent”, “protein”, “nucleic”, or “saccharide”.
name This STRING property is the RESIDUE name.
For UNITs:
head Defines the ATOM within the UNIT that is connected when UNITs are joined together: the tail ATOM of
one UNIT is connected to the head ATOM of the subsequent UNIT in any sequence.
tail Defines the ATOM within the UNIT that is connected when UNITs are joined together: the tail ATOM of one
UNIT is connected to the head ATOM of the subsequent UNIT in any sequence.
box This property defines the bounding box of the UNIT (container). If object is set to null then no bounding box
is defined. If it is a single NUMBER, the bounding box will be defined to be a cube with each side being
NUMBER Å across. If it is a LIST, it must contain three NUMBERs, the lengths (in Å) of the three sides of
the bounding box.
cap This property defines the solvent cap of the UNIT. If it is set to null then no solvent cap is defined. Otherwise,
it should be a LIST of four NUMBERs; the first three NUMBERs define the Cartesian coordinates (X, Y, Z)
of the origin of the solvent cap in Å, while the fourth defines the radius of the solvent cap, also in Å.
214
12.5. Commands
12.5.39. solvateBox and solvateOct
solvateBox solute solvent distance [ closeness ]
solvateOct solute solvent distance [ closeness ]
These two commands create periodic solvent boxes around solute, which should be a UNIT. solvateBox creates
a cuboid box, while solvateOct creates a truncated octahedron. solute is modified by the addition of copies of
the RESIDUEs found within solvent, which should also be a UNIT, such that the closest distance between any
atom originally present in solute and the edge of the periodic box is given by the distance parameter. The resulting
solvent box will be repeated in all three spatial directions.
The optional closeness parameter can be used to control how close, in Å, solvent ATOMs may come to solute
ATOMs. The default value of closeness is 1.0. Smaller values allow solvent ATOMs to come closer to solute
ATOMs. The criterion for rejection of overlapping solvent RESIDUEs is if the distance between any solvent
ATOM and its nearest solute ATOM is less than the sum of the two ATOMs’ van der Waals radii multiplied by
closeness.
> mol = loadpdb my.pdb
> solvateOct mol TIP3PBOX 12.0 0.75
12.5.40. solvateCap
solvateCap solute solvent position radius [ closeness ]
The solvateCap command creates a solvent cap around solute, which is a UNIT. solute is modified by the addition
of copies of the RESIDUEs found within solvent, which should also be a UNIT. The solvent box will be repeated
in all three spatial directions to create a large solvent sphere with a radius of radius Å.
The position argument defines where the center of the solvent cap is to be placed. If position is a UNIT, a
RESIDUE, an ATOM, or a LIST of UNITs, RESIDUEs, or ATOMs, then the geometric center of the ATOM or
ATOMs within the object will be used as the center of the solvent cap sphere. If position is a LIST containing three
NUMBERs, then it will be treated as a vector describing the position of the solvent cap sphere center.
The optional closeness parameter can be used to control how close, in Å, solvent ATOMs may come to solute
ATOMs. The default value of closeness is 1.0. Smaller values allow solvent ATOMs to come closer to solute
ATOMs. The criterion for rejection of overlapping solvent RESIDUEs is if the distance between any solvent
ATOM and its nearest solute ATOM is less than the sum of the two ATOMs’ van der Waals radii multiplied by
closeness.
This command modifies solute in several ways. First, the UNIT is modified by the addition of solvent
RESIDUEs copied from solvent. Secondly, the “cap” parameter of solute is modified to reflect the fact that a
solvent cap has been created around the solute.
> mol = loadpdb my.pdb
> solvateCap mol WATBOX216 mol.2.CA 12.0 0.75
12.5.41. solvateShell
solvateShell solute solvent thickness [ closeness ]
The solvateShell command adds a solvent shell to solute, which should be a UNIT. solute is modified by the
addition of copies of the RESIDUEs found within solvent, which should also be a UNIT. The resulting
solute/solvent UNIT will be irregular in shape since it will reflect the contours of the original solute molecule.
The solvent box will be repeated in three directions to create a large solvent box that can contain the entire solute
and a shell thickness Å thick. Solvent RESIDUEs are then added to solute if they lie within the shell defined by
thickness and do not overlap with any ATOM originally present in solute. The optional closeness parameter can
be used to control how close solvent ATOMs can come to solute ATOMs. The default value of the closeness
argument is 1.0. Please see the solvateBox command for more details on the closeness parameter.
> mol = loadpdb my.pdb
> solvateShell mol WATBOX216 12.0 0.8
215
12. LEaP
12.5.42. source
source filename
This command executes the contents of the file given by filename, treating them as LEaP commands. To display
the commands as they are read, see the verbosity command.
12.5.43. transform
transform atoms, matrix
Transform all of the ATOMs within atoms by a symmetry operation. The symmetry operation is represented as a
(3 × 3) or (4 × 4) matrix, and given as nine or sixteen NUMBERs in matrix, a LIST of LISTs. The general matrix
looks like:
r11 r12 r13 -tx r21 r22 r23 -ty r31 r32 r33 -tz 0 0 0 1
The matrix elements represent the intended symmetry operation. For example, a reflection in the (x,y) plane
would be produced by the matrix:
10001000-1
This reflection could be combined with a 6 Å translation along the x-axis by using the following matrix:
1006010000-100001
In the following example, wrB is transformed by an inversion operation:
transformwrpB{{-100}{0-10}{00-1}}
12.5.44. translate
translate atoms direction
Translate all of the ATOMs within atoms by the vector given by direction, a LIST of three NUMBERs.
Example:
translate wrpB { 0 0 -24.53333 }
12.5.45. verbosity
verbosity level
This command sets the level of output that LEaP provides the user. A value of 0 is the default, providing the
minimum of messages. A value of 1 will produce more output, and a value of 2 will produce all of the output of
level 1 and display the text of the script lines executed with the source command. The following line is an
example of this command:
> verbosity 2
Verbosity level: 2
12.5.46. zMatrix
zMatrix object zmatrix
The zMatrix command is quite complicated. It is used to define the external coordinates of ATOMs within object
using internal coordinates. The second parameter of the zMatrix command is a LIST of LISTs; each sub-list has
several arguments:
{ a1 a2 bond12 }
216
12.6. Building oligosaccharides, lipids and glycoproteins
This entry defines the coordinate of a1, an ATOM, by placing it bond12 Å along the x-axis from ATOM a2.a2 is
placed at the origin if its coordinates are not defined.
{ a1 a2 a3 bond12 angle123 }
This entry defines the coordinate of a1 by placing it bond12 Å away from a2 making an angle of angle123
degrees between a1,a2 and a3. The angle is measured in a right-hand sense and in the xy plane. ATOMs a2 and
a3 must have coordinates defined.
{ a1 a2 a3 a4 bond12 angle123 torsion1234 }
This entry defines the coordinate of a1 by placing it bond12 Å away from a2, creating an angle of angle123
degrees between a1,a2, and a3, and making a torsion angle of torsion1234 degrees between a1,a2,a3, and a4.
{ a1 a2 a3 a4 bond12 angle123 angle124 orientation }
This entry defines the coordinate of a1 by placing it bond12 Å away from a2, and making angles angle123 degrees
between a1,a2, and a3, and angle124 degrees between a1,a2, and a4. The argument orientation defines whether
a1 is above or below a plane defined by a2,a3 and a4. If orientation is positive, a1 will be placed so that the triple
product ((a3−a2)×(a4−a2)) · (a1−a2) is positive. Otherwise, a1 will be placed on the other side of the plane. This
allows the coordinates of a molecule like fluoro-chloro-bromo-methane to be defined without having to resort to
dummy atoms.
The first arguments within the zMatrix entries (a1,a2,a3 and a4) are either ATOMs, or STRINGs containing
names of ATOMs that already exist within object. The subsequent arguments (bond12,angle123,torsion1234 or
angle124, and orientation) are all NUMBERs. Any ATOM can be placed at the a1 position, even one that has
coordinates defined. This feature can be used to provide an endless supply of dummy atoms, if they are required.
A predefined dummy atom with the name “*” (a single asterisk, no quotes) can also be used.
There is no order imposed in the sub-lists. The user can place sub-lists in arbitrary order, as long as they
maintain the requirement that all ATOMs a2,a3, and a4 must have external coordinates defined, except for entries
that define the coordinate of an ATOM using only a bond length. (See the add command for an example of the
zMatrix command.)
12.6. Building oligosaccharides, lipids and glycoproteins
Build assistance available at GLYCAM-Web:
The approaches presented below have been automated, with many additional options available, at the
GLYCAM-Web site: www.glycam.org. The capabilities of the website are being expanded. Currently, the
available functionalities include:
Oligosaccharides, linear and branched
Glycoproteins, O- or N-linked, with multiple glycans
Builds of oligosaccharides via URL directive
Build assistance available in the AmberTools tests:
Examples in addition to those described below can be found in the AmberTools tests. The relevant files are
located in:
$AMBERHOME/AmberTools/test/leap/glycam # main test directory
$AMBERHOME/AmberTools/test/leap/glycam/06EPb # extra points oligosaccharides
$AMBERHOME/AmberTools/test/leap/glycam/06j # main oligosaccharides
$AMBERHOME/AmberTools/test/leap/glycam/06j_10 # glycoprotein with ff10
$AMBERHOME/AmberTools/test/leap/glycam/06j_12SB # glycoprotein with ff12SB
217

12. LEaP
O
HOH2C
HO
HO
OH H
O
HOH2C
HO
O
OH H
0GB 3GB
O H
++O
HOH2C
HO
HO
OH H
O
HOH2C
HO
O
OH H
OH
ROH
O
HOH2C
HO
HO
OH
O
HOH2C
O
HO
OH H
0GA 4GB
O CH3
++
OME
H
O
HOH2C
HO
HO
OH
H
O
HOH2C
O
HO
OH H
OCH3
Figure 12.1.: Schematic representation of disaccharide formation, indicating the need for open valences on carbon
and oxygen atoms at linkage positions.
PLEASE NOTE: The molecules in the test directories were constructed for the purpose of testing functionality in
AmberTools. They might not be ready for simulations as they are. Some might be in configurations with severe
clashes. Most structural issues can be resolved by manipulating appropriate torsions. The glycoprotein tests
contain usage examples for torsion manipulations using the impose command.
Each sub-directory below "glycam" contains tests relevant to specific force fields. To run an individual test,
saving all relevant output and intermediate files, change to the sub-directory and issue the command:
./Run.glycam evaluate
To return the directory to its previous state, run:
./Run.glycam clean
The 00_README file in the main directory contains more information about using the tests.
Additional notes about this section:
Before continuing in this section, you should review the GLYCAM naming conventions covered in Section 3.7.
After that, there are two important things to keep in mind. The first is that GLYCAM is designed to build oligosac-
charides, not just monosaccharides. In order to link the monosaccharides together, each residue in GLYCAM will
have at least one open valence position. That is, each GLYCAM residue lacks either a hydroxyl group or a hy-
droxyl proton, and may be lacking more than one proton depending on the number of branching locations. Thus,
none of the residues is a complete molecule unto itself. For example, if you wish to build α-D-glucopyranose, you
must explicitly specify the anomeric -OH group (see Figure 12.1 for two examples).
The second thing to keep in mind is that when the sequence command is used in LEaP to link
monosaccharides together to form a linear oligosaccharide (analogous to peptide generation), the residue ordering
is opposite to the standard convention for writing the sequence. For example, to build the disaccharides illustrated
in Figure 12.1, using the sequence command in LEaP, the format would be:
upperdisacc = sequence { ROH 3GB 0GB }
lowerdisacc = sequence { OME 4GB 0GA }
While the sequence command is the most direct method to build a linear glycan, it is not the only method. Alter-
natives that facilitate building more complex glycans and glycoproteins are presented below. For those who need
to build structures (and generate topology and coordinate files) that are more complex, a convenient interface that
uses GLYCAM is available on the internet (http://glycam.ccrc.uga.edu or http://www.glycam.org).
Throughout this section, sequences of LEaP commands will be entered in the following format:
command argument(s) # descriptive comment
218
12.6. Building oligosaccharides, lipids and glycoproteins
This format was chosen so that the lines can be copied directly into a file to be read into LEaP. The number sign
(#) signifies a comment. Comments following commands may be left in place for future reference and will be
ignored by LEaP. Files may be read into LEaP either by sourcing the file or by specifying it on the command line
at the time that LEaP is invoked, e.g.:
tleap -f leap_input_file
Note that any GLYCAM parameter set shipped with Amber is likely to be updated in the future. The cur-
rent version is GLYCAM_06j.dat. This file and GLYCAM_06j-1.prep are automatically loaded with the default
leaprc.GLYCAM_06j-1. The user is encouraged to check www.glycam.org for updated versions of these files.
12.6.1. Procedures for building oligosaccharides using the GLYCAM-06 parameters
12.6.1.1. Example: Linear oligosaccharides
This section contains instructions for building a simple, straight-chain tetrasaccharide:
α-D-Manp-(1-3)-β-D-Manp-(1-4)-β-D-GlcpNAc-(1-4)-β-D-GlcpNAc-OH
First, it is necessary to determine the GLYCAM residues that will be used to build it. Since the initial α-D-Manp
residue links only at its anomeric site, the first character in its name is 0 (zero), indicating that it has no branches
or other connections, i.e., it is terminal. Since it is a D-mannose, the second character, the one-letter code, is M
(capital). Since it is an α-pyranose, the third character is A. Therefore, the first residue in the sequence above is
0MA. Since the second residue links at its 3-position as well as at the anomeric position, the first character in its
name is 3, and, being a β-pyranose, it is 3MB. Similarly, residues three and four are both 4YB. It will also be
necessary to add an OH residue at the end to generate a complete molecule. Note that in Section 12.6.3, below,
the terminal OH must be omitted in order to allow subsequent linking to a protein or lipid. Note also that when
present, a terminal OH (or OME etc) is assigned its own residue number.
Converting the order for use with the sequence command in LEaP, gives:
Residue name sequence: ROH 4YB 4YB 3MB 0MA
Residue number: 1 2 3 4 5
Here is a set of LEaP instructions that will build the sequence (there are, of course, other ways to do this):
source leaprc.GLYCAM_06j-1 # load leaprc
glycan = sequence { ROH 4YB 4YB 3MB 0MA } # build oligosaccharide
Using the sequence command, the φangles are automatically set to the orientation that is expected on the basis
of the exo-anomeric effect (±60°). If you wish to change the torsion angle between two residues, the impose
command may be used. In the following example, the ψangles between the two 4YB residues and between the
4YB and the 3MB are being set to the standard value of zero.
impose glycan {3} { {C1 O4 C4 H4 0.0} } # set psi between 4YB (3) & 4YB (2)
impose glycan {4} { {C1 O4 C4 H4 0.0} } # set psi between 3MB (4) & 4YB (3)
You may now generate coordinate, topology and PDB files, for example:
saveamberparm glycan glycan.top glycan.crd # save top & crd
savepdb glycan glycan.pdb # save pdb file
12.6.1.2. Example: Branched oligosaccharides
This section contains instructions for building a simple branched oligosaccharide. The example used here builds
on the previous one. Again, it will be assumed that the carbohydrate is not destined to be linked to a protein or a
lipid. If it were, one should omit the ROH residue from the structure. The branched oligosaccharide is
219
12. LEaP
α-D-Manp-(1–3)-β-D-Manp-(1–4)-β-D-GlcpNAc-(1–4)-β-D-GlcpNAc-OH
6
|
α-D-Manp-1
Note that the β-D-mannopyranose is now branched at the 3- and 6-positions. Consulting Tables 3.4 to 3.7
informs us that the first character assigned to a carbohydrate linked at the 3- and 6-positions is V. Thus, the name
of the residue called 3MB in the previous section must change to VMB.
Thus, when rewritten for LEaP this glycan becomes:
Residue name sequence: ROH 4YB 4YB VMB 0MA 0MA
Residue number: 1 2 3 4 5 6
To ensure that the correct residues are linked at the 3- and 6-positions in VMB, it is safest to specify these
linkages explicitly in LEaP. In the current example, the two terminal residues are the same (0MA), but that need
not be the case.
source leaprc.GLYCAM_06j-1 # load leaprc
glycan = sequence { ROH 4YB 4YB VMB } # linear sequence to branch
The longest linear sequence is built first, ending at the branch point “VMB” in order to explicitly specify
subsequent linkages. The following commands will place a terminal, 0MA residue at the number three position:
set glycan tail glycan.4.O3 # set attachment point to the O3 in VMB
glycan = sequence { glycan 0MA } # add one of the 0MA’s
The following commands will link the other 0MA to the 6-position. Note that the name of the molecule changes
from “glycan” to “branch”. This change is not necessary, but makes such command sequences easier to read,
particularly with complex structures.
set glycan tail glycan.4.O6 # set attachment point to the O6 in VMB
branch = sequence { glycan 0MA } # add the other 0MA
It can be especially important to reset torsion angles when building branched oligosaccharides. The following set
of commands cleans up the geometry considerably and then generates a set of output files:
impose branch {4} { {H1 C1 O6 C6 -60.0} } # set phi torsion and
impose branch {4} { {C1 O6 C6 H6 0.0} } # set psi 0MA(6) & VMB
impose branch {4} { {H1 C1 O4 C4 60.0} } # set phi torsion and
impose branch {4} { {C1 O4 C4 H4 0.0} } # set psi 3MB & 4YB
impose branch {3} { {H1 C1 O4 C4 60.0} } # set phi torsion and
impose branch {3} { {C1 O4 C4 H4 0.0} } # set psi 4YB & 4YB
impose branch {5} { {H1 C1 O3 C3 -60.0} } # set phi torsion and
impose branch {5} { {C1 O3 C3 H3 0.0} } # set psi 0MA(3) & VMB
saveamberparm branch branch.top branch.crd # save top & crd
savepdb branch branch.pdb # save pdb
12.6.1.3. Example: Complex branched oligosaccharides
The following example builds a highly branched, high-mannose structure shown in Figure 12.2 . In this example,
it is especially important to note that when the branching is ambiguous, LEaP might not choose the attachment
point one wants or expects. For this reason, connectivity should be specified explicitly whenever the structure
branches. That is, one cannot specify the longest linear sequence and add branches later. The sequence command
must be interrupted at each branch point. Otherwise, the connectivity is not assured. In this example, a branch
occurs at each VMA (-3,6-D-Manp) residue.
The following set of commands, given to tleap, will safely produce the structure represented in Figure12.2 .
220

12.6. Building oligosaccharides, lipids and glycoproteins
α2
α2
α2
α3
α2
α6
α6
α3
β4 β4 β ΟΗ
Figure 12.2.: Structure of Man-9, represented in the symbolic notation used by the Consortium for Functional
Glycomics. Here, =D-Manp and =D-GlcpNAc
source leaprc.GLYCAM_06j-1
glycan = sequence { ROH 4YB 4YB VMB }
set glycan tail glycan.4.O6
glycan=sequence { glycan VMA }
set glycan tail glycan.5.O6
glycan=sequence { glycan 2MA 0MA }
set glycan tail glycan.5.O3
glycan=sequence { glycan 2MA 0MA }
set glycan tail glycan.4.O3
glycan=sequence { glycan 2MA 2MA 0MA }
impose glycan {3} { {H1 C1 O4 C4 60.0} }
impose glycan {3} { {C1 O4 C4 H4 0.0} }
impose glycan {4} { {H1 C1 O4 C4 60.0} }
impose glycan {4} { {C1 O4 C4 H4 0.0} }
impose glycan {5} { {H1 C1 O6 C6 -60.0} } # 1-6 Link from (5) to (4), Phi
impose glycan {5} { {C1 O6 C6 C5 180.0} } # 1-6 Link from (5) to (4), Psi
impose glycan {4} { {O6 C6 C5 O5 60.0} } # 1-6 Link from (5) to (4), Chi
impose glycan {10} { {H1 C1 O3 C3 -60.0} }
impose glycan {10} { {C1 O3 C3 H3 0.0} }
impose glycan {6} { {H1 C1 O6 C6 -60.0} }
impose glycan {6} { {C1 O6 C6 C5 180.0} }
impose glycan {5} { {O6 C6 C5 O5 -60.0} }
impose glycan {8} { {H1 C1 O3 C3 -60.0} }
impose glycan {8} { {C1 O3 C3 H3 0.0} }
impose glycan {7} { {H1 C1 O2 C2 -60.0} }
impose glycan {7} { {C1 O2 C2 H2 0.0} }
impose glycan {9} { {H1 C1 O2 C2 -60.0} }
impose glycan {9} { {C1 O2 C2 H2 0.0} }
impose glycan {11} { {H1 C1 O2 C2 -60.0} }
impose glycan {11} { {C1 O2 C2 H2 0.0} }
impose glycan {12} { {H1 C1 O2 C2 -60.0} }
impose glycan {12} { {C1 O2 C2 H2 0.0} }
saveamberparm glycan glycan.prmtop glycan.restrt
221

12. LEaP
O1
C1
C2
C3
C4
C5
C6
C7
C8
C9
C10
O2
C1
C2
C3
C4
C5
C6
C7
C8
C9
C2
C3
O1
O2
C11
C12
C13
C14
C10
C11
C12
C13
C14
C1
O4PO2
O3
O1
C5
C4
N
C2
C1 C3
MY2
MYR
CHO
PGL
Figure 12.3.: DMPC
12.6.2. Procedures for building a lipid using GLYCAM-06 parameters
The procedure described here allows a user to produce a single lipid molecule without consideration for axial
alignment. Lipid bilayers are typically built in the (x,y) plane of a Cartesian coordinate system, which requires
the individual lipids to be aligned hydrophilic “head” to hydrophobic “tail” along the z-axis. This can be done
relatively easily by loading a template PDB file that has been appropriately aligned on the z-axis.
The lipid described in this example is 1,2-dimyristoyl-sn-glycero-3-phosphocholine or DMPC. For this example,
DMPC will be composed of four fragments: CHO, the choline “head” group; PGL, the phospho-glycerol “head”
group; MYR, the sn-1 chain myristic acid “tail” group; and MY2, the sn-2 chain myristic acid “tail” group. See
the molecular diagram in12.3 for atom labels (hydrogens and atomic charges are removed for clarity) and bonding
points between each residue (dashed lines). This tutorial will use only prep files for each of the four fragments.
These prep files were initially built as PDB files and formatted as prep files using antechamber. GLYCAM-
compatible charges were added to the prep files and a prep file database (GLYCAM_lipids_06h.prep) was created
containing all four files.
12.6.2.1. Example: Building a lipid with LEaP.
One need not load the main GLYCAM prep files in order to build a lipid using the GLYCAM-06 parameter set,
but it is automatically loaded with the default leaprc.GLYCAM_06j-1. Note that the lipid generated by this set of
commands is not necessarily aligned appropriately to create a bilayer along an axis. The commands to use are:
source leaprc.GLYCAM_06j-1 # source the leaprc for GLYCAM-06
loadamberprep GLYCAM_06_lipids.prep # load the lipid prep file
set CHO tail CHO.1.C5 # set the tail atom of CHO as C5.
set PGL head PGL.1.O1 # set the head atom of PGL to O1
set PGL tail PGL.1.C3 # set the tail atom of PGL to C3
lipid = sequence { CHO PGL MYR } # generate the straight-chain
# portion of the lipid
set lipid tail lipid.2.C2 # set the tail atom of PGL to C2
lipid = sequence { lipid MY2 } # add MY2 to the "lipid" unit
impose lipid {2} { {C1 C2 C3 O1 163} } # set torsions for
impose lipid {2} { {C2 C3 O1 C1 -180} } # PGL & MYR
impose lipid {2} { {C3 O1 C1 C2 180} }
impose lipid {2} { {O4 C1 C2 O1 -60} } # set torsions for
impose lipid {2} { {C1 C2 O1 C1 -180} } # PGL & MY2
impose lipid {2} { {C2 O1 C1 C2 180} }
# Note that the values here may not necessarily
# reflect the best choice of torsions.
222

12.6. Building oligosaccharides, lipids and glycoproteins
savepdb lipid DMPC.pdb # save pdb file
saveamberparm lipid DMPC.top DMPC.crd # save top and crd files
12.6.3. Procedures for building a glycoprotein in LEaP.
The LEaP commands given in this section assume that you already have a PDB file containing a glycan and
a protein in an appropriate relative configuration. Thorough knowledge of the commands in LEaP is required in
order to successfully link any but the simplest glycans to the simplest proteins, and is beyond the scope of this
discussion. Several options for generating the relevant PDB file are given below (see Items 5a-5c).
The protein employed in this example is bovine ribonuclease A (PDBID: 3RN3). Here the branched oligosac-
charide assembled in the second example will be attached (N-linked) to ASN 34 to generate ribonuclease B.
12.6.3.1. Setting up protein pdb files for glycosylation in LEaP.
1. Delete any atoms with the “HETATM” card from the PDB file. These would typically include bound lig-
ands, non-crystallographic water molecules and non-coordinating metal ions. Delete any hydrogen atoms if
present.
2. In general, check the protein to make sure there are no duplicate atoms in the file. This can be quickly done
by loading the protein in LEaP and checking for such warnings. In this particular example, residue 119
(HIS) contained duplicate side chain atoms. Delete all but one set of duplicate atoms.
3. Check for the presence of disulfide bonds (SSBOND) by looking at the header section of the PDB file. 3RN3
has four disulfide bonds, between the following pairs of cysteine residues: 26—84, 40—95, 58—110, and
65—72. Change the names of these eight cysteine residues from CYS to CYX.
4. At present, it is possible to link glycans to serine, threonine, hydroxyproline and asparagine. You must re-
name the amino acid in the protein PDB file manually prior to loading it into LEaP. The modified residue
names are OLS (for O-linkages to SER), OLT (for O-linkages to THR), OLP (for O-linkages to hydrox-
yproline, HYP) and NLN (for N-linkages to ASN). Libraries containing amino acid residues that have been
modified for the purpose are automatically loaded when leaprc.GLYCAM_06j-1 is sourced. See the lists of
library files in3.7 for more information.
5. Prepare a PDB file containing the protein and the glycan, with the glycan correctly aligned relative to the
protein surface. There are several approaches to performing this including:
a) It is often the case that one or more glycan residues are present in the experimental PDB file. In this case,
a reasonable method is to superimpose the linking sugar residue in the GLYCAM-generated glycan
upon that present in the experimental PDB file, and to then save the altered coordinates. If you use this
method, remember to delete the experimental glycan from the PDB file! It is also essential to ensure
that each carbohydrate residue is separated from other residues by a TER card in the PDB file. Also
remember to delete the terminal OH or OMe from the glycan. Alternately, the experimental glycan may
be retained in the PDB file, provided that it is renamed according to the GLYCAM 3-letter code, and
that the atom names and order in the PDB file match the GLYCAM standard. This is tedious, but will
work. Again, be sure to insert TER cards if they are missing between the protein and the carbohydrate
and between the carbohydrate residues themselves.
b) Use a molecular modeling package to align the GLYCAM-generated glycan with the protein and save
the coordinates in a single file. Remember to delete the terminal OH or OMe from the glycan.
c) Use the Glycoprotein Builder tool at http://www.glycam.org. This tool allows the user to upload protein
coordinates, build a glycan (or select it from a library), and attach it to the protein. All necessary
AMBER files may then be downloaded. This site is also convenient for preprocessing protein-only
files for subsequent uploading to the glycoprotein builder.
223
12. LEaP
12.6.3.2. Example: Adding a branched glycan to 3RN3 (N-linked glycosylation).
In this example we will assume that the glycan generated above (“branch.pdb”) has been aligned relative to the
ASN 34 in the protein file and that the complex has been saved as a new PDB file (e.g., as “3rn3_nlink.pdb”). The
last amino acid residue should be VAL 124, and the glycan should be present as 4YB 125, 4YB 126, VMB 127,
OMA 128 and OMA 129.
Remember to change the name of ASN 34 from ASN to NLN. For the glycan structure, ensure that each residue
in the PDB file is separated by a “TER” card. The sequence command is not to be used here, and all linkages
(within the glycan and to the protein) will be specified individually.
Enter the following commands into xleap (or tleap if a graphical representation is not desired). Alternately,
copy the commands into a file to be sourced.
source leaprc.GLYCAM_06j-1 # load the GLYCAM-06 leaprc for ff14SB
source leaprc.ff14SB # load the modified ff12 force field
glyprot = loadpdb 3rn3_nlink.pdb # load protein and glycan pdb file
bond glyprot.125.O4 glyprot.126.C1 # make inter glycan bonds
bond glyprot.126.O4 glyprot.127.C1
bond glyprot.127.O6 glyprot.128.C1
bond glyprot.127.O3 glyprot.129.C1
bond glyprot.34.SG glyprot.125.C1 # make glycan -- protein bond
bond glyprot.26.SG glyprot.84.SG # make disulfide bonds
bond glyprot.40.SG glyprot.95.SG
bond glyprot.58.SG glyprot.110.SG
bond glyprot.65.SG glyprot.72.SG
addions glyprot CL 0 # neutralize appropriately
solvateBox glyprot TIP3P BOX 8 # solvate the solute
savepdb glyprot 3nr3_glycan.pdb # save pdb file
saveamberparm glyprot 3nr3_glycan.top 3nr3_glycan.crd # save top, crd
quit # exit leap
224

13. Reading and modifying Amber parameter files
This chapter describes the content of Amber parameter files, along with details about ParmEd (which can be
used to examine and modify prmtop files) and paramfit (which can be used to fit force fields to quantum mechanical
and other target data).
13.1. Understanding Amber parameter files
Romain M. Wolf, Jason Swails, and David A. Case
This chapter provides a short description of Amber-compatible force field parameter files is given. Only the
actual data in parameter (*.dat) files are discussed. The special issue of deriving partial charges is not addressed.
Also, more complex subjects dealing with parameters for implicit solvent (GB or PB) or polarisability computa-
tions are skipped. This text is meant as a documentation for users who want to understand parameter files, and in
some cases might be tempted to change or add some parameters. Most of the following documentation is found in
bits and pieces at various Amber-related sites and in tutorials or original Amber manuals and these various sources
have been helpful to put together this hopefully concise documentation.
13.1.1. Parameter Transfers between Force Fields
Transferring parameters from one force field to another must respect the underlying functional form, the units in
which parameters are expressed in the parameter files, and also the exact procedures on how individual parameters
were obtained. In addition, attention must be paid to the methods used to deduce partial charges. Force fields
are self-consistent, i.e., all terms are interrelated and their actual values depend on the way they were derived.
Therefore, any parameter transfer between different force fields is dangerous, even when the functional form is the
same (or looks as if it were...).
Torsion terms are the most critical. Many torsion barriers and profiles are not easily assessed experimentally
and are often deduced from ab initio quantum mechanical (QM) computations on small fragments. Since QM
calculations offer many possibilities, the exact nature of these calculations (basis sets, Hartree-Fock and/or density
functionals, etc.) used to derive parameters should be known.
Special care must also be applied to 1-4 interactions, i.e., interactions between atoms separated by exactly three
consecutive bonds. Most Amber force fields for example assume that 1-4 interactions get a special treatment. See
section 13.1.6 for details. In many other force fields, the special treatment of 1-4 interactions is either different or
non-existent. This has an immediate influence on the torsion terms and resulting conformation energies. Therefore,
before transferring torsion terms, van der Waals parameters and partial charges from other force fields, check the
special treatment of 1-4 interactions in the source and the target force field.
13.1.2. How Amber Routines Use the Parameter Files
Amber routines that perform actual calculations (sander, pmemd, etc...) do not read parameter files directly.
They use a special file type, the parameter-topology file (parmtop from now on), which contains all the information
required by the various energy functions in the computation routines. The parmtop file is specific to the molecular
system for which it was created and is directly related to the second required file, the coordinate file.1Smallest
changes to the system (adding or removing atoms, or even changing the order of atoms in the coordinate file)
render the parmtop useless.
1This file can be in the Amber coordinate ’crd’ file format or, for some applications, also in PDB format.
225

13. Reading and modifying Amber parameter files
Although parmtop files are pure ASCII files, changing parameters directly in them by standard text editors is
strongly discouraged. In the worst case, computations will run without any warnings, but results might be totally
flawed. The safest way to generate parmtop files is to use an Amber tool like tleap that has been used, tested, and
enhanced over a number of years and usually generates correct parmtop files, provided that the input is correct
and that all required information is available via fragment libraries and parameter files. The latest AmberTools
12.0 version (April 2012) includes the ParmEd python script of Jason Swails which is very useful to examine or
post-process parmtop files. However, only users with detailed knowledge on the exact format of parmtop files
should dare fiddling around with this data type.
13.1.3. "*.dat" and "frcmod.*" Files
The standard parameter files with the .dat extension are located in the folder $AMBERHOME/dat/leap/parm.
Adding or changing parameters directly in the parameter files delivered with an Amber distribution is not a good
idea for the following reasons: (a) you might mess up the parameter file, (b) you might have trouble to remember
and find your changes later and add confusion when publishing results, (c) subsequent updates or patches might
overwrite your changes.
In the above mentioned folder, there are also various frcmod.*files. They have basically the same format as
the parameter *.dat files. See some of the examples provided in the Amber distributions. These files can be read
into tleap exactly like the standard *.dat files. They merge the default parameters in the *.dat file with the new
parameters in the frcmod.*files. More important, if the same parameters already exist in the *.dat files, the
parameters in the frcmod.*files overwrite the default *.dat parameters. This offers a handy way to add new or to
change original parameters without ever touching the default parameter files. Just make sure to read the respective
frcmod.*files in tleap when the new or altered parameters should be used.
13.1.4. Parameters Required for Amber Force Fields
The simplest form of the Amber force field (neglecting implicit solvent or polarisation terms) uses the following
Hamiltonian:
Etotal =∑
bonds
kb(r−r0)2
+∑
angles
kθ(θ−θ0)2
+∑
dihedrals
Vn[1+cos(nφ−γ)]
+
N−1
∑
i=1
N
∑
j=i+1"Ai j
R12
i j −Bi j
R6
i j
+qiqj
εRi j #
(13.1)
In this equation, the terms kb,r0,kθ,θ0,Vn,γ,Ai j,Bi j are parameters to be specified in the parameter files men-
tioned in section 13.1.3 for the various Amber force fields.2The meaning of these different parameters is outlined
in the following sections.
Equation 13.1 does not have a special term for out-of-plane motions. Amber routines handle these terms through
the same formulation as the torsion terms (see section 13.1.6).
Partial charges (qi,qjin equation 13.1), although parameters also, do not appear in parameter files, but are
assigned differently (see 13.1.7).
2Note that equation 13.1 does not use the (physically more correct) kb
2,kθ
2, and Vn
2notations because it refers to the constants as they appear
in the actual parameter files.
226
13.1. Understanding Amber parameter files
13.1.5. Atom Types
Amber atom types can be one or two characters long. Uppercase (standard protein and nucleotide force fields),
lowercase (GAFF General Amber Force Field ), and mixed upper-lowercase (GLYCAM sugar force field) are
allowed. Obviously, atom types must have a single, unique, definition.
If considering the definition a new atom type, think about the consequences. Of course, an atom type with an
identical name must not already exist in one of the standard force fields used in the Amber community. Depending
on how often and in how many combinations the atom type might occur, be also aware of the rather large number
of additional parameters that might be required. Especially for bond angles, this number can grow very rapidly.
A new atom type definition, if required, must be clear and precise. It should also be possible to treat the definition
in an automatic atom-type assignment procedure. Requiring users to visually verify and to change atom types by
hand will cause trouble and will make it impossible to use the force field in automatic procedures that should not
require user intervention for this task.
13.1.6. Bonded Interaction Terms
Bond Stretching Terms
The first row in equation 13.1 (page 226) is the harmonic term for bond stretching. In Amber-type parameter
files, the force constant kbis given for energy values in kcal/mol, with bond lengths in Å. The following line shows
an example from the GAFF force field file gaff.dat.
The bond between a sp3carbon (c3) and a hydroxyl oxygen (oh) has a default (equilibrium) value of 1.426 Å
and a force constant of 314.1 kcal/mol/Å2.
c3-oh 314.1 1.4260 SOURCE1 914 0.0129
The entrance in the parameter file starts with the definition of the bond (atomtype1 hyphen atomtype2), fol-
lowed by the force constant kb(in kcal/mol/Å2) and the equilibrium bond length r0(in Å). Only the first three
fields are relevant for computations. The other fields on the line above are mainly documentation.
As stated before, atom types in Amber FFs cannot have more than two characters. But if they have only one
character (e.g., a carbonyl carbon atom c), entries with a one-letter atom type must look like this:
c -oh 466.4 1.3060 SOURCE1 271 0.0041
i.e., the space is after the atom type, before the hyphen.
Starting with a space like on the next line might lead to problems.
c-oh 466.4 1.3060 SOURCE1 271 0.0041
This holds for all parameter file entries that use hyphens to separate atom types, i.e., also angle and torsion terms
(see following sections).
Angle Bending Terms
Angle bending terms are parameterised by a force constant kθin kcal/mol/radian2and an equilibrium angle
value θ0in degrees. They have the format as shown below:
c3-c3-oh 67.720 109.430 SOURCE3 48 1.5023
The middle atom c3 is bonded to another c3 and to a hydroxyl oxygen oh. The equilibrium bond angle θ0is 109.43
degrees and the force constant is 67.720 kcal/mol/radian2. Note that internally, angle deviations are computed in
π-radian2. The parmtop files also express the default ’equilibrium’ bond angles in radians. For example, the angle
of 109.43 degrees is internally represented as 1.9099 π-radians. Using degrees in the original parameter files is
obviously more convenient. Anything after the third field, the equilibrium angle, is mainly documentation and not
required.
227

13. Reading and modifying Amber parameter files
Torsion Terms
The third row in equation 13.1 is the usual Fourier-series expansion for torsional terms. In Amber parameter
files, these entries require a careful explanation:
First, many torsion terms contain generic entries, using the notation ’X’ for ’any atom’. These terms are used
when the parameter file does not contain more specific terms for the same torsion. They are combined with
explicit terms when present. Entries with generic ’X’ atoms must always come before the more specific ones in the
parameter files.
Second, Amber parameter files use a special notation for torsions that require more than one torsional term (see
example towards the end of section 13.1.6).
Third, the parameter file entry not only contains the torsion barrier term Vn(in kcal/mol), the phase γ(degrees)
and the periodicity n, but also a divider (integer) which splits the torsion term into individual contributions for
each pair of atoms involved in the torsion.
Fourth, torsion entries can also contain information about the special scaling of 1-4 non-bonded interactions
(see section 13.1.6 on page 230).
Consider the following example, the default term for the torsion around a Csp3-Csp3single bond:
X -c3-c3-X 9 1.400 0.000 3.000 JCC,7,(1986),230
The five relevant terms on this line are:
1. the definition (X -c3-c3-X)
2. the divider (9)
3. the barrier term (1.400)
4. the phase (0.000)
5. the periodicity (3.000)
Fields after the periodicity are mainly comment, except for the special flags SCNB and SCEE, that, if present,
govern the special treatment of 1-4 non-bonded interaction (see section 13.1.6)
The torsional barrier term (the actual barrier divided by two) is 1.400 and the periodicity is 3. The phase is zero
in this example, meaning that a maximum energy is encountered at zero degrees. A phase of 180 degrees on the
other hand means that there is a minimum at 180 degrees. The divider is 9 because each Csp3has three X attached
to it and each X ’sees’ three X attached to the other Csp3(3 ×3 = 9).
For a torsion angle φ(defined as X-c3-c3-X) of -60, 60, or 180 degrees, the torsion energy term would be zero:
1.4
9×[1+cos(3×φ−0.0)] = 0 (13.2)
This corresponds to the staggered conformation, i.e., the lowest energy state in a X3C-CX3connectivity like for
example ethane (H3C-CH3)
By rotating around the C-C bond, an eclipsed conformation where the X are exactly opposed is encountered
three times (periodicity = 3), namely at φ= 0, 120, or 240 (-120) degrees.
1.4
9×[1+cos(3×φ−0.0)] = 0.3111 (13.3)
.
Since the divider is 9, we have to multiply the value of 0.3111 by 9 to get the full torsional barrier, i.e., 9 ×
0.3111 =2.8 kcal/mol.3This might be used for ethane for example and would be close to the experimental torsion
barrier (ca. 3 kcal/mol).
In GAFF however, there is also a specific term for hc-c3-c3-hc that would come into play for ethane. In this
case, the divider is 1, because the term is fully defined.
3The actual barrier value of 2.8 kcal/mol here is twice the barrier term of 1.4 in the parameter file.
228

13.1. Understanding Amber parameter files
hc-c3-c3-hc 1 0.15 0.0 3. Junmei et al, 1999
Thus, using GAFF for ethane, this term counts 9 times because there are nine [hc,hc] pairs seeing each other.
Instead of equation 13.3, one would use
0.15×[1+cos(3×φ−0.0)] = 0.3000 (13.4)
i.e., the total torsional term in ethane would be 9×0.3=2.7 kcal/mol. The experimental torsional barrier value
of ca. 3 kcal/mol would be reached because of the additional van der Waals and Coulomb repulsion terms between
the staggered hydrogens.
Assume a connectivity for which some terms are fully defined (all four atom types are specified) while no
specific entry is given for others. In that case, the equations are combined. The specific terms are counted once
(divider = 1) and the remaining general terms are added according to
Vbarrier
divider ×[1+cos(periodicity ×φ−phase)] (13.5)
Things get more complex when the Fourier series has more than one term. A typical example would be the
rotation around an amide bond R1-NH-C(=O)-R2. In this case, the trans amide (H and O on opposite sides,
φ=180◦) is preferred over the cis-amide (H and O on the same side, φ=0). The entry in the GAFF parameter
file for this torsion is
hn-n -c -o 1 2.50 180.0 -2. JCC,7,(1986),230
hn-n -c -o 1 2.00 0.0 1. J.C.cistrans-NMA
If the torsion definition has a "negative" periodicity (-2 in the case above), it tells programs reading the parameter
file that additional terms are present for that particular connectivity. The equation to be applied for hn-n -c -o is:
Etorsion =2.00 ×[1+cos(1×φ−0.0)] + 2.50 ×[1+cos(2×φ−180.0)] (13.6)
Equation 13.6 prefers the trans amide (φ=180◦) over the cis amide (φ=0) by 4 kcal/mol considering the
torsion term alone. However the more favourable Coulomb term (the 1-4 attractive interaction between the negative
carbonyl oxygen and the positive amide hydrogen) reduces the overall preference for the trans conformation close
to the experimental value of ca. 2 kcal/mol.
In addition, the following general terms have to be applied for the torsions involving R1 and R2 in the peptide
bond R1-NH-C(=O)-R2, in order to compute the high torsional barrier of an amide bond:
X -c -n -X 4 10.000 180.000 2.000
Torsional terms are obviously the most difficult part to parametrize in a force field. They are in a way the last
rescue to get torsional barriers right, after all other terms have been adjusted. Therefore, their transfer from one
force field to the other is always most risky and acceptable only if all other involved terms in two force fields are
very similar. Transferability must always be validated.
Out-of-Plane Terms
Out-of-plane terms are handled via a Fourier term, similar to the torsion terms. But the four involved atoms are
not serially (linearly) bonded, they are "branched". The "central" atom is the atom that is forced into the plane of
the other three. For example, to keep a carbonyl group R1-C(=O)-R2 planar, the central C atom must be forced
into the plane of the other three connected items R1, R2, and O. The entry in the GAFF parameter file for this
term is
X -X -c -o 10.5 180. 2. JCC,7,(1986),230
Note that in Amber the central atom type (here c) is the third in the definition.The order of the remaining atoms
should (by definition) be alphabetic in atom type. The phase is always 180◦. In all-atom force fields, the periodicity
is always 2.
Out-of-plane terms are the only terms that are allowed to be "missing" in Amber parameter files. Common ones
are added automatically by tools like tleap. In many cases, these terms are "cosmetics" that avoid "in principle"
229

13. Reading and modifying Amber parameter files
planar structures from getting distorted under the influence of other forces (e.g., fused rings, planar nitrogens
with three substituents, etc...). The actual parameterisation is often intuitive and for many entries, the ("generic")
parameters are identical.
1-4 Non-Bonded Interaction Scaling
Figure 13.1.: 1-4 Interactions between atoms "1" and "4".
Non-bonded interactions between atoms separated by three consecutive bonds (as schematically shown in Figure
??) require a special treatment in Amber force fields. Although referring to non-bonded interactions, scaling
information is included in the torsion terms part of the parameter files.
By default, vdW 1-4 interactions are divided (scaled down) by a factor of 2.0, electrostatic 1-4 terms by a
factor of 1.2. These are default values for the protein force fields and GAFF, but not for sugar force fields GLY-
CAM_06EP and GLYCAM_06, for example, in which these interactions are not scaled at all.
Without any additional information, programs like tleap, used to prepare parmtop files, assume that the
standard scaling mentioned above is to be applied. However, this default can be overwritten in the torsion section
of the parameter file. An example is shown below for torsional terms in the GLYCAM_06j force field:
S -Ng-Cg-H1 1 2.00 0.0 1. SCEE=1.0 SCNB=1.0 N-Sulfates
S -Ng-Cg-Cg 1 0.0 0.0 -3. SCEE=1.0 SCNB=1.0 N-Sulfates
The special notation SCEE=1.0 SCNB=1.0 following the standard torsion terms4will tell tleap to prepare a
parmtop file which transfers these data into a special section, as shown below:
%FLAG SCEE_SCALE_FACTOR
%FORMAT(5E16.8)
scaling factors are entered here....
%FLAG SCNB_SCALE_FACTOR
%FORMAT(5E16.8)
scaling factors are entered here....
When using standard Amber force field parameter files as delivered with AmberTools, the user does not need to
care about this. However, when adding additional parameters, especially torsion terms, one should be aware of
these scaling factors and decide if they should be default or altered.
13.1.7. Non-Bonded Terms
Van der Waals Parameters
The standard formulation of the 6-12 Lennard-Jones potential Vi,jbetween two atoms iand jis:
4In this case, the fields coming after the periodicity (field 5), i.e., fields 6 and 7 are also read and are not ’just’ comment!
230

13.1. Understanding Amber parameter files
Vi,j=4εi,j"σi,j
ri,j12
−σi,j
ri,j6#(13.7)
Here, ri,jis the distance separating the two atoms, εi,jis the depth of the potential well for the interaction of
atoms iand j, and σi,jis the distance where the potential is exactly zero, i.e., where ’repulsion’ starts for the two
atoms. Both εi,jand σi,jare specific for the pair of atoms (or more precisely, ’atom types’).
Another possible formulation of Vi,j, relating to the concept of van der Waals radii, is:
Vi,j=εi,j"Rmin
ri,j12
−2Rmin
ri,j6#(13.8)
In this case, Rmin is the sum of the van der Waals radii, Ri+Rjof atoms iand j, the contact distance at which
the potential is at its minimum, i.e., at a value of −ε.
Figure 13.2.: Example of Lennard-Jones potential: the used data are those for the c3 atom type in the gaff force
field (vdW radius Rmin= 1.908 Å, ε= 0.1094 kcal/mol)
Combining equations (13.7) and (13.8) gives for the relation between σand Rmin:
Rmin =21/6σor σ=2−1/6Rmin (13.9)
In force fields, the ’A,B’ notation of the Lennard-Jones potential is commonly used:
Vi,j=Ai,j
r12
i,j−Bi,j
r6
i,j
(13.10)
where Ai,jand Bi,jare specific parameters for atom type pairs iand j. The meaning of Ai,jand Bi,jare easily
deduced from equation (13.7):
A=4εσ12 and B =4εσ6(13.11)
or, in terms of Rmin, using equation (13.8):
A=εR12
min and B =2εR6
min (13.12)
Van der Waals data in Amber force fields are given for each atom as a single data pair, a radius Rmin (’van der
Waals’ radius in Å) and an energy ε(kcal/mol) representing the depth of the potential well.
231

13. Reading and modifying Amber parameter files
These values are given at the end of the force field parameter files. In protein force fields, lines above these data
show equivalences. For example the line
N NA N2 N*NC NB NT NY
indicates that all atom types following N (the amide nitrogen) inherit the same Lennard-Jones parameters. Thus,
no entry for NA, N2, ... has to be given explicitly.
For Amber force fields, cross terms involving different atom types iand jare evaluated according to the
Lorentz/Berthelot mixing rules:
σi,j=0.5(σi,i+σj,j)or Rmin,i,j=0.5(Rmin,i+Rmin,j)(13.13)
εi,j=pεi,i·εj,j(13.14)
The parmtop file entries are in ’A’ and ’B’ terms to be used directly with equation 13.10, transforming the
[Rmin,ε] data pairs from the parameter files.
As an example, consider ethanol (CH3CH2OH) with the GAFF force field. There are five different GAFF atom
types. Below are shown the corresponding [Rmin,ε] data pairs, as found in the gaff.dat parameter file:
h1 1.3870 0.0157 Veenstra et al JCC,8,(1992),963
hc 1.4870 0.0157 OPLS
ho 0.0000 0.0000 OPLS Jorgensen, JACS,110,(1988),1657
oh 1.7210 0.2104 OPLS c3 1.9080 0.1094 OPLS
Note that there are three different hydrogen types: hc, the default H atom connected to an aliphatic carbon, h1, a
hydrogen type connected to an aliphatic carbon with one electronegative substituent (the oxygen in this case), and
the hydroxyl hydrogen ho (for which van der Waals interactions are neglected in Amber).
Partial Charges
For Amber force fields, partial charges do not appear in parameter files. For proteins and nucleic acid force fields
that use fragment (residue) libraries, partial charges are pre-defined and have been computed from electrostatic-
potential fitting of high-level an initio QM. They are automatically assigned by tools like tleap. Library files are
found the folder
$AMBERHOME/dat/leap/lib.
Below is shown the alanine (ALA) residue of the library file all_amino94.lib:
"N" "N" 0 1 131072 1 7 -0.415700
"H" "H" 0 1 131072 2 1 0.271900
"CA" "CT" 0 1 131072 3 6 0.033700
"HA" "H1" 0 1 131072 4 1 0.082300
"CB" "CT" 0 1 131072 5 6 -0.182500
"HB1" "HC" 0 1 131072 6 1 0.060300
"HB2" "HC" 0 1 131072 7 1 0.060300
"HB3" "HC" 0 1 131072 8 1 0.060300
"C" "C" 0 1 131072 9 6 0.597300
"O" "O" 0 1 131072 10 8 -0.567900
The partial charges for each atom are given in the last field of each line.
For the GAFF force field, there are various options to compute partial charges, the AM1-BBC method being
probably the best trade-off between quality and speed. There are other file types that can contain user-specified
partial charges, e.g., SYBYL mol2 files. See the antechamber documentation for details.
In parmtop files, partial charges are not entered as fragments of the electron charge, but are multiplied by the
square-root of 332.05 (= 18.22), because the factor 332.05 converts the Coulomb energy into kcal/mol when using
fragments of the electron charge in the Coulomb term of equation 13.1.
232
13.2. ParmEd
13.1.8. Final Remarks
Most parameters in Amber force fields have been tested on a large variety of structures. In rare cases, situations
are encountered where structures look "strange" or where results are obviously wrong. One should first look
into details of the simulation conditions and settings before blaming the problem on actually flawed force field
parameters. Simple test cases are often helpful to resolve the enigma.
When changing or adding parameters and later publishing results, new parameter should be mentioned. Also,
the Amber developers team should be notified about possibly problematic parameters. This ensures that potential
errors are corrected via patches in later versions and it will help the entire user community.
13.2. ParmEd
ParmEd (parmed.py) is a topology file editor written in Python that enables high level control of the primary
force field file in Amber: the prmtop file. ParmEd will modify the topology file and produce a new topology file
that will work with sander,pmemd, and NAB programs, and provides options unavailable otherwise. ParmEd
currently supports topology files created with both tleap and chamber (but support is very limited for those created
with tinker_to_amber).
13.2.1. Running parmed.py
parmed.py is used in a manner very similarly to cpptraj.
usage: parmed.py [-h] [-v] [-i FILE] [-p <prmtop>] [-O] [-l FILE]
[--prompt PROMPT] [-n] [-e] [-s] [-r]
[<prmtop>] [<script>]
positional arguments:
<prmtop> Topology file to analyze.
<script> File with a series of ParmEd commands to execute.
optional arguments:
-h, --help show this help message and exit
-v, --version show program’s version number and exit
Input Files:
-i FILE, --input FILE
Script with ParmEd commands to execute. Default reads
from stdin. Can be specified multiple times to process
multiple input files.
-p <prmtop>, --parm <prmtop>
List of topology files to load into ParmEd. Can be
specified multiple times to process multiple
topologies.
Output Files:
-O, --overwrite Allow ParmEd to overwrite existing files.
-l FILE, --logfile FILE
Log file with every command executed during an
interactive ParmEd session. Default is parmed.log
Interpreter Options:
These options affect how the ParmEd interpreter behaves in certain cases.
--prompt PROMPT String to use as a command prompt.
-n, --no-splash Prevent printing the greeting logo.
-e, --enable-interpreter
Allow arbitrary single Python commands or blocks of
Python code to be run. By default Python commands will
not be run as a safeguard for your system. Make sure
233
13. Reading and modifying Amber parameter files
you trust the source of the ParmEd command before
turning this option on.
Error Handling:
These options control how ParmEd handles various errors and warnings that
appear occur during the course of Action execution
-s, --strict Prevent scripts from running past unrecognized input
and actions that end with an error. In interactive
mode, actions with unrecognized inputs and failed
actions prevent any changes from being made to the
topology, but does not quit the interpreter. This is
the default behavior.
-r, --relaxed Scripts ignore unrecognized input and simply skip over
failed actions, executing the rest of the script.
Unrecognized input in the interactive interpreter
emits a non-fatal warning.
Like with ptraj and cpptraj, if you do not supply the prmtop or the input_file, it will read the commands from
STDIN as you type them. The debugging option enables the printing of detailed tracebacks. This adds the exact
line number on the exact file that the error occurred on, which can be useful for some debugging if the error
message is too confusing.
13.2.2. ParmEd commands (they are all case-insensitive)
All actions that work on a topology file will use the “parm <idx>|<name>” input sequence to operate on a
specified topology file. If present, either the topology file loaded <idx> topologies after the first one or the topology
file loaded with the given <name> will be modified by that action. If absent, the LAST topology file loaded will
be modified. The <idx> ranges from 0 to the total number of loaded topologies minus 1.
(Note: if you actually have a topology file named “1” that is not the second loaded topology file, you will need
to address it via an index. That is, integers will always be assumed to be indices unless they are out of the topology
file range.)
13.2.2.1. addAtomicNumber
Usage: addAtomicNumber
Adds a section in the topology file with the flag ATOMIC_NUMBER in order to identify specific elements.
Elements are matched based on their atomic masses in the MASS section of the topology file. An atom is assigned
an element by matching it with the element on the periodic table whose atomic mass is closest to the atom in
question. This approach should work for any atom whose mass is either unchanged from the LEaP output or if that
atom’s mass has only been changed to one of its isotopes.
13.2.2.2. addDihedral
Usage: addDihedral <mask1> <mask2> <mask3> <mask4> <phi_k> <per> <phase> <scee> <scnb> [type
<type>]
Adds a dihedral term (will NOT replace an existing dihedral) between atoms in mask1, mask2, mask3, and
mask4. The dihedral is defined around the bond between the atoms in mask2 and mask3. Each mask must define
the same number of atoms. For mask1 defines atoms 1,2,3; mask2 defines atoms 11,12,13; mask3 defines atoms
21,22,23; and mask4 defines atoms 31,32,33, then 3 new dihedrals will be added. One between atoms 1, 11, 21,
and 31, another between atoms 2, 12, 22, and 32, and a third between atoms 3, 13, 23, and 33. The dihedrals will
be set with force constant phi_k, periodicity per, phase angle phase, 1-4 electrostatic scaling factor scee (this must
be specified – the default Amber value is 1.2 and the default GLYCAM value is 1.0), the 1-4 van der Waals scaling
factor scnb (this must be specified – the default Amber value is 2.0 and the default GLYCAM value is 1.0). The
type is either “normal”, “multiterm”, or “improper”. “multiterm” simply means that 1-4 factors for that dihedral
are not calculated, which should be true for all but the last term in a multiterm dihedral (so 1-4 interactions are
234
13.2. ParmEd
only counted once) and in some ring systems with at most 6 atoms, since that could also lead to double-counting
specific 1-4 interactions.
13.2.2.3. addExclusions
Usage: addExclusions <mask1> <mask2>
Allows you to add arbitrary exclusions to the exclusion list. Every atom in <mask2> is added to the exclusion list
for each atom in <mask1> so that non-bonded interactions between those atom pairs will not be computed. NOTE
that this ONLY applies to direct-space (short-range) non-bonded potentials. For PME simulations, long-range
electrostatics between these atom pairs are still computed (in different unit cells).
13.2.2.4. addLJType
Usage: addLJType <mask> [radius <new_radius>] [epsilon <new_epsilon>] [radius_14 <new_radius14>]
[epsilon_14 <new_epsilon14>]
This command will assign all atoms specified in the given mask to a new van der Waals (VDW) atom type.
Note that several different Amber atom types may in fact be the same VDW type, so this command is designed to
give you control over changing just a single atom’s (or single Amber atom type’s) VDW parameters. Every atom
specified in the mask will be given the SAME type (but different from every other atom in the topology file), even
if their original VDW types are different. The parameters [new_radius] and [new_depth] are optional parameters
that specify that atom’s radius and well depth, which are combined with every other type’s radius and depth via
the canonical Amber combining rules. They default to the original value of the FIRST atom that is matched by the
mask.
Note that for chamber-created topology files (ONLY), each atom type has separate 1-4 parameters that may be
specified as well. Unspecified values will be taken from the default parameters of the first atom type as described
above. Any attempt to supply the 1-4 parameters on a normal topology created with leap will result in an error.
See the command printLJTypes for additional information here. You can use this command to see if addLJType
may be necessary for what you’re trying to do.
13.2.2.5. addPDB
Usage: addPDB <filename> [elem] [strict] [allicodes]
This command replaces the add_pdb program that was released in previous AmberTools releases. It reads in a
PDB file <filename> and adds the following new sections to the topology file:
RESIDUE_CHAINID The chain ID of each residue (if it was added by tleap and not in the PDB file, a * is used)
RESIDUE_ICODE PDB insertion code
RESIDUE_NUMBER The original residue number of this residue in the PDB file
ATOM_ELEMENT Atomic element. This section is redundant now that the topology file has an
ATOMIC_NUMBER section. Therefore, this section is no longer printed by default.
The strict keyword turns residue mismatches (excluding solvent) into fatal errors. Note that for nucleic acids,
terminal residue names often do not match the residue names in the PDB file because of the added 5 or 3 to the
residue name (for the 5’ terminus and 3’ terminus, respectively).
The elem keyword will force the ATOM_ELEMENT section to be printed to the topology file, but the element
will be determined from the ATOMIC_NUMBER section (or atomic mass if the former is not present) rather than
the atom names as was done in the add_pdb program.
The allicodes keyword forces insertion codes to be printed even if every one will be blank. This allows parsers
that use that section to be sure it will always be present.
Residues not in the PDB will be assigned a CHAINID of ’*’ and a RESIDUE_NUMBER of 0. While this action
is based on, and reproduces the key results of, the historical add_pdb program, it is a bit more flexible.
235

13. Reading and modifying Amber parameter files
13.2.2.6. add12_6_4
Usage: add12_6_4 [<mask>] [c4file <c4file> | watermodel <watermodel>] [polfile <polfile>] [tunfactor
<tunfactor>]
The add12_6_4 command is designed to create the prmtop files, which contain the C4terms between the divalent
metal ion and every atom type. By using it together with the outparm command, there will be a new flag named
“LENNARD_JONES_CCOEF” created in the end of the output prmtop file. The C4terms between the metal ions
and “OW” atom type (which is the oxygen atom of the water molecule, here we assume the polarizability of “HW”
is equal to zero) has been determined. Detailed information can be found in Table 4 from the paper of Li and
Merz.[69]
The C4term between the metal ion and every other atom type is calculated by following equation:
C4(atom type) = tun f actor ×C4(H2O)
α0(H2O)×α0(atom type)(13.15)
Here we explain the Usage terms:
1. The <mask> is the metal ion which was treated as the metal ion center when adding the C4terms. Please
make sure its corresponding “ATOMIC_NUMBER” is correct in the prmtop file, in that this is the criterion used
in the code to identify the metal ion. If no <mask> provided, default value :ZN.
2. To add the C4term between the metal ion and the “OW” atom type (the oxygen atom in the water molecules),
you can either use your own <c4file> (in this way you need to create a <c4file> where the first column is the
Atom Symbol and the second column is the corresponding C4value) or use the C4values stored in the parmed.py
(in this way you only need to specify the watermodel you are using in the command line, either TIP3P, SPCE or
TIP4PEW). If nothing (neither your own <c4file> nor the water model you are using) is specified, the TIP3P water
model will be treated as the default and the related values stored in parmed.py will be used.
3. To add C4terms between the metal ion and atom types besides “OW”, you need a polarizability file of all
the atom types (the default file is $AMBERHOME/dat/leap/parm/lj_1264_pol.dat, you can also create and use
your own polfile where the first column is the Amber Atom Type while the second column is polarizability), and
a tunfactor (which is shown in the previous equation - the default value is set as 1.0). The best tunfactor value
for each force field may be different and further testing is ongoing. You can also fine tune the optimal value for a
specific force field if so inclined.
After using the add12_6_4 command in the parmed.py, please don’t forget to use the outparm command to
output the new prmtop file. One thing need to clarify: for the <c4file>, the first column is Atom Symbol (e.g.,
Be, Mg, Ca. . . ) and the second column is the C4value between the metal ion and the “OW” atom type; for the
<polfile>, the first column is the Amber Atom Type (e.g., HC, CT, N3, OS, Be2+, Mg2+, Ca2+ . . . ) while the
second column is the polarizability.
13.2.2.7. change
Usage: change <property> <atom_mask> <new_value>
This command allows you to change the value of an atom’s property for every atom in a given mask to a new
value. The allowed atomic properties you can modify are the CHARGE (given in units of elementary atomic
charges), MASS (in g/mol), RADII (in Angstroms, these are the GB radii), SCREEN (the GB screening parame-
ters), ATOM_NAME, and AMBER_ATOM_TYPE (this is NOT the van der Waals type). Every atom in the mask
will be given the same new_value.
NOTE: The prmtop utility used here stores the partial CHARGE array in terms of elementary atomic charges.
All charges are multiplied by 18.2223 prior to being written to any new topology file (and is divided by that number
when read in from a topology file). Therefore, if you are changing specific atomic charges in this case, specify new
charges in elementary atomic charges.
NOTE: This command gives you access to specific atoms. If you want to change all of the GB radii to be
compatible with a specific GB model, see the changeRadii command.
236
13.2. ParmEd
13.2.2.8. changeLJPair
Usage: changeLJPair <mask1> <mask2> <Rmin> <epsilon>
This command changes a specific pairwise interaction between the atom type of the atoms in mask1 (these must
all be the same type) and the atoms in mask2 (these must all be the same type as well). Rmin and Depth are the
pre-combined values of these variables, which allows you to define your own combining rules for a specific pair
of atoms.
If you want to see which atoms this command will affect, you can use the printLJTypes with either of the given
masks to get a list of atoms that share the same type as the atoms in that mask.
This command is similar to NBFIX available through CHARMM.
13.2.2.9. changeLJ14Pair
Usage: changeLJ14Pair <mask1> <mask2> <Rmin> <epsilon>
This command is similar to changeLJPair above, except it alters the 1-4 Lennard Jones terms only. Note that
this command is only available for chamber-created topology files, and will result in an error if applied to a normal
topology created with leap.
13.2.2.10. changeLJSingleType
Usage: changeLJSingleType <mask> <Rmin> <epsilon>
This command allows you to change the radius and well depth of particular nonbonded atom types. It will
set new values for each interaction the selected type has with every other atom type (irrespective if changeLJPair
altered one of these terms before).
13.2.2.11. changeProtState
Usage: changeProtState <mask> <state #>
Changes the protonation state of a residue that is titratable via constant pH simulations in Amber. <mask>
must match all atoms of one, and only one, titratable residue as defined in $AMBERHOME/AmberTools/sr-
c/etc/cpin_data.py. As of Amber 11, current titratable residues include AS4, GL4, HIP, LYS, CYS, TYR, and
the basic nucleic acid residues DAP, DCP, DG, DT, AP, CP, G, and U. See comments in cpin_data.py for descrip-
tions of which state numbers correspond to which protonation charge state.
13.2.2.12. changeRadii
Usage: changeRadii <parameter_set>
Parameter set is one of the following: bondi, mbondi, mbondi2, mbondi3, amber6. This command will reset all
of the intrinsic GB radii to the specified set without having to recreate a topology file through leap.
13.2.2.13. checkValidity
Usage: checkValidity
Thoroughly checks the topology file for a wide range of errors. It also checks for common mistakes, like missing
disulfide bridges, for instance. More checks are done if a restart file is loaded prior to running this command. If
you are getting a strange error from a simulation engine, it may be worth using this to check the prmtop. Note that
this action, in particular, requires a version of Python 2.5 to 2.7.
13.2.2.14. combineMolecules
Usage: combineMolecules <mol_id1> [<mol_id2>]
This command will combine the two adjacent molecule numbers mol_id1 and mol_id2. The molecule sequences
begin at 1 (that is, the first molecule is 1, not 0). This is useful if you want to image a couple molecules together,
even if they have no covalent bonds defined between them. For instance, if you have 2 strands of DNA that you
237
13. Reading and modifying Amber parameter files
don’t want to be imaged separately, this command will combine them and force sander/pmemd to think of them as
a single molecule. Likewise for a protein system with a bound ligand, or anything else like this.
13.2.2.15. defineSolvent
Usage: defineSolvent <residue_list>
This command will allow you to define custom solvent residues. The residue_list must be a comma-separated
list with no whitespace separating the residue names. This is important for the proper determination of the SOL-
VENT_POINTERS and ATOMS_PER_MOLECULE sections of the topology file. By default, HOH and WAT
residues are recognized as solvent.
13.2.2.16. deleteDihedral
Usage: deleteDihedral <mask1> <mask2> <mask3> <mask4>
Deletes the dihedral around <mask2> and <mask3> in which the end-groups are <mask1> and <mask4>. For
multi-term dihedrals, it removes each term.
13.2.2.17. deletePDB
Usage: deletePDB
Deletes the flags that are added by addPDB (see description above).
13.2.2.18. fixTopology
Usage: fixTopology
In some rare cases, tleap will create a topology file in which bonds, angles, and/or dihedral terms may be
misplaced with respect to the list of terms including or without hydrogen. The checkValidity command described
above can be used to determine if this command is necessary (which is expected to be infrequent). If there is no
problem to fix, fixTopology will simply do nothing.
13.2.2.19. go
Usage: go
Stop reading commands and execute every command that has come before. This has exactly the same effect as
the End Of File (EOF) character. All commands in a script after “go” will be ignored. Placing “go” as the last
line of a script is the same as not including it at all (since the next line contains EOF, which executes the same
behavior). Thus, you can get the same behavior from the interactive session by either typing “go” or sending the
EOF character (which on unix is CTRL-D)
13.2.2.20. HMassRepartition
Usage: HMassRepartition [<mass>] [dowater]
This action implements hydrogen mass repartitioning in which the mass of each hydrogen is changed to <mass>
(the default value is 3.024 daltons if no mass is provided). The mass of the heavy atom that the hydrogen is attached
to is adjusted so that the total mass remains the same. This allows longer time steps to be taken in dynamics (see the
relevant literature regarding this approach). By default, partitioning is only applied to the solute since SHAKE on
water is handled analytically (via the SETTLE algorithm). Water can be forcibly repartitioned using the keyword
dowater.
13.2.2.21. help
Usage: help [action]
This command does one of two things. If action is not specified, a list of available commands along with their
short usage statement is displayed in a nicely formatted table. If action is provided and that action exists, a usage
238
13.2. ParmEd
statement along with a short description is printed. This is a useful reference for quick interactive sessions. You
can use a single “?” character instead of the word ‘help’.
13.2.2.22. listParms
Usage: listParms
This command will list all of the topology file names for the topology files that have been loaded into the main
list, highlighting the active one.
13.2.2.23. lmod
Usage: lmod
This action adjusts the Lennard Jones parameters to work with the LMOD code in Amber. It changes Lennard-
Jones A-coefficients that are 0 to 1000 to improve numerical stability. This action replaces the lmodprmtop pro-
gram.
13.2.2.24. ls
This is supposed to emulate the Unix ‘ls’ program as closely as possible, and can be used inside ParmEd in the
same way.
13.2.2.25. loadRestrt
Usage: loadRestrt <restart_filename>
This command takes an inpcrd or a restart file to assign coordinates to each of the atoms. This is currently only
needed for the writeOff function, as those files require coordinates.
13.2.2.26. netCharge
Usage: netCharge [mask]
This command will calculate the net charge of all atoms belonging to a specific mask. If no mask is provided, it
returns the net charge of all atoms in the topology file.
13.2.2.27. OpenMM
Usage: OpenMM [sander/pmemd options] [-platform <platform>] [-precision <precision model>] [dcd]
[progress] [script <script_file.py>] [norun]
This action use OpenMM to run a molecular dynamics simulation in a mode very similarly to how sander or
pmemd would run the same simulation. It recognizes all of the same command-line options as sander and pmemd
in addition to the ones listed above. It will read an mdin file (given by the -i flag) and run an equivalent simulation
(or as close to equivalent as possible) using the OpenMM Python application layer. See the OpenMM website
(https://simtk.org/home/openmm) and manual for more details. If a simulation cannot be done, an error message
is emitted.
The computational platform to use (CUDA, OpenCL, CPU, or Reference) can be provided as <platform>. By
default, the fastest platform detected will be used. The precision model can be used to specify the precision of the
variables that will be used as <precision model>. Currently supported options are “mixed” (single precision for
calculations, double precision for accumulation), “single” (everything is done in pure single precision), and “dou-
ble” (everything is done in pure double precision). As of OpenMM 6.0, only the CUDA and OpenCL platforms
support multiple precision models. CPU is always single and Reference is always double.
The default prmtop that will be used is the active topology file, although either the parm or -p flags can be used
to specify a different one. The progress keyword makes ParmEd print a message when it starts a new phase of the
simulation.
239
13. Reading and modifying Amber parameter files
The script keyword allows you to specify the name of a file in which a Python script that runs an equivalent
calculation that ParmEd is running is printed to. This allows you to both inspect what ParmEd is doing behind-the-
scenes with the OpenMM Python application layer as well as implement functionality not supported by Amber (but
supported by OpenMM) without having to do the potentially laborious setup beforehand. The latter is particularly
useful with the norun keyword, which will prevent ParmEd from running any dynamics or minimization.
The dcd keyword can be used to make ParmEd print the trajectory in DCD format. This is useful if you do not
have a NetCDF Python package installed (any of scipy, ScientificPython, or netCDF4 will work), but still wish to
generate a binary trajectory file.
See Chapter 17 and Chapter 18 for a more thorough description of the sander/pmemd options.
Some caveats for this action are listed below.
• The OpenMM package and the Python application layer must be installed and importable from the Python
environment. ParmEd supports only OpenMM version 6.0 or higher.
• OpenMM itself requires Python 2.6 or later, which in turn passes on this requirement to this command in
ParmEd.
• A NetCDF package for Python must be installed (for the Python interpreter used during the AmberTools
configure step) and available to either read or write NetCDF trajectories and restarts. Supported NetCDF-
Python packages are netCDF4, ScientificPython, or scipy (provided that the NetCDF bindings of those
packages are included in the install).
• Trajectory file and restart file writing from the Python application layer are very slow, especially for ASCII
versions of the files. NetCDF and DCD files are notably faster to write, but still incur significant overhead.
Increasing the intervals for data printouts (ntpr, ntwx, ntwv, ntwf, and ntwr in the mdin file, for instance) can
significantly improve computational performance, particularly for the GPU-enabled platforms.
• Not all features in sander and pmemd are supported, and not all unsupported options may be caught currently.
13.2.2.28. outparm
Usage: outparm <prmtop_name> [<restrt_name>]
This command is just like parmout, except it can occur as many times as you want it to, and that topology file
is written in the order in which that command is placed in the input file or read from STDIN (similar to outtraj in
cpptraj). If you provide a file name for restrt_name, parmed.py will also write a valid restart file from the provided
initial coordinates and velocities (if present) from the restart file added via the loadRestrt command. It will include
velocities if they were present in the initial restart file. Note this is most useful when used in conjunction with the
“strip” command. If all solvent is stripped, the box information will be discarded. If you do not strip all solvent
molecules, the box info will remain unchanged from the original (even if you strip a large number of solvent
molecules). If you removed a large number of solvent molecules, take care to re-equilibrate the density before
continuing with production dynamics.
13.2.2.29. parm
Usage: parm <filename> | parm set <filename>|<index>
If used with the “set” keyword, the active topology is changed to the one with the given file name or the <in-
dex>+1’th topology file that was loaded. If used without the “set” keyword, it adds a new topology file to the list
of available topologies from the given file name and sets that as the active topology for all future actions. (All
previous actions were already applied to the previous ‘active’ topology).
13.2.2.30. parmout
Usage: parmout <prmtop_name> [<restrt_name>]
This command is similar to trajout in cpptraj and ptraj. It is ALWAYS the last command executed, and only
the last parmout command is executed. It writes a topology file with all of the modifications made to it during
240
13.2. ParmEd
the course of the whole ParmEd session. If you provide a file name for restrt_name, parmed.py will also write
a valid restart file from the provided initial coordinates and velocities (if present) from the restart file added via
the loadRestrt command. It will include velocities if they were present in the initial restart file. Note this is most
useful when used in conjunction with the “strip” command. If all solvent is stripped, the box information will be
discarded. If you do not strip all solvent molecules, the box info will remain unchanged from the original (even if
you strip a large number of solvent molecules). If you removed a large number of solvent molecules, take care to
re-equilibrate the density before continuing with production dynamics.
13.2.2.31. printAngles
Usage: printAngles <mask>
This will print out every angle that involves at least one atom specified by <mask>.
13.2.2.32. printBonds
Usage: printBonds <mask>
This will print out every bond that involves at least one atom specified by <mask>.
13.2.2.33. printDihedrals
Usage: printDihedrals <mask>
This will print out every dihedral that involves at least one atom specified by <mask>. It labels multiterm
dihedrals with an M and improper dihedrals with an I in the output.
13.2.2.34. printDetails
Usage: printDetails <mask>
This command prints atomic details of every atom matching a given mask (atom number, residue number, residue
name, atom name, atom type, van der Waals radius, van der Waals well depth, mass, and charge) in standard Amber
units. This is a useful command to make sure that every atom you think belongs in a mask actually does belong
in the mask (and that no atoms were missed). The mask parser implemented in Python here is (mostly) a copy of
ptraj’s mask parser implemented in C, but some parts had to be rewritten slightly to adjust for different syntaxes of
the two languages. Note, distance-based criteria is not yet implemented in this parser.
13.2.2.35. printFlags
Usage: printFlags
This command prints every %FLAG present in the topology file (see http://ambermd.org/formats.html for a
description of what each section labelled with these FLAGs means).
13.2.2.36. printInfo
Usage: printInfo <flag>
This command just prints out all of the data in a given prmtop %FLAG (see http://ambermd.org/formats.html
for details)
13.2.2.37. printLJMatrix
Usage: printLJMatrix <mask>
This function prints out how every atom type interacts with the atom type(s) in <mask>.
241
13. Reading and modifying Amber parameter files
13.2.2.38. printLJTypes
Usage: printLJTypes [mask]
This command prints out each atom’s van der Waals, or Lennard-Jones type in the mask, as well as every other
atom that shares the same atom type as any type in the mask. If no mask is provided, it prints out that information
for every atom. This is particularly useful if you want to see if changing a particular pair interaction will affect
more atoms than you expect. If it turns out that you wish to treat some of the atoms that share the same VDW type
differently from one another, you will have to “separate” them by using the addLJType command before modifying
them.
13.2.2.39. printPointers
Usage: printPointers
This command will print every pointer along with its name and a short description in the topology file. Solvated
topology files will also have their SOLVENT_POINTERs printed in the same manner.
13.2.2.40. quit
Usage: quit
This command will halt parmed.py in its tracks. It is effectively the same as go except it will NOT execute any
parmout command (although any outparm command used prior to quitting has already been executed)
13.2.2.41. scale
Usage: scale <FLAG> <factor>
This action scales all numbers in the FLAG section of the topology file by multiplying it by the number <factor>.
This can be used, for instance, to scale all of the torsion force constants by a particular value in a Hamiltonian
replica exchange simulation. [281]
13.2.2.42. scee
Usage: scee <value>
Allows the user to set/change the value of the electrostatic scaling constant that will be used to scale 1-4 elec-
trostatic interactions. This needs to be set in the prmtop since it was removed from the sander/pmemd input file in
Amber 11. This will apply <value> to all dihedral terms.
13.2.2.43. scnb
Usage: scnb <value>
Allows the user to set/change the value of the VDW scaling constant that will be used to scale 1-4 VDW
interactions. This needs to be set in the prmtop since it was removed from the sander/pmemd input file in Amber
11. This will apply <value> to all dihedral terms.
13.2.2.44. setAngle
Usage: setAngle <mask1> <mask2> <mask3> <k> <THETeq>
Changes (or adds a non-existent) angle in the topology file. Each mask must select the same number of atoms,
and an angle will be placed between the atoms in mask1, mask2, and mask3 (one angle between atom1 from mask1,
atom1 from mask2, and atom1 from mask3, another angle between atom2 from mask1, atom2 from mask2, and
atom2 from mask3, etc.)
242
13.2. ParmEd
13.2.2.45. setBond
Usage: setBond <mask1> <mask2> <k> <Req>
Changes (or adds a non-existent) bond in the topology file. Each mask must select the same number of atoms,
and a bond will be placed between the atoms in mask1 and mask2 (one bond between atom1 from mask1 and
atom1 from mask2 and another bond between atom2 from mask1 and atom2 from mask2, etc.)
13.2.2.46. setMolecules
Usage: setMolecules [solute_ions=True|False]
This command uses its own algorithm to determine system molecularity (which resets SOLVENT_POINTERS
and ATOMS_PER_MOLECULE to what they should have been set to by leap). It will also determine if there
are any errors in which molecules are not represented as consecutive atoms within a topology file (which won’t
happen unless you modify it yourself or there is a bug in tleap that prevents it from reordering atoms properly).
However, in some unusual systems, tleap has been known to set the molecularity incorrectly, leading to strange
segfaults and errors in sander and pmemd. Errors of this type can be caught with checkValidity and corrected using
this command. It will also allow you to choose whether free ions are treated as part of the solute or part of the
solvent.
13.2.2.47. setOverwrite
Usage: setOverwrite [True|False]
Allows the original topology file to be overwritten. By default, the original prmtop file is protected, and you
cannot overwrite it. If you provide no value on this line, then it defaults to True. Note that no check is made if you
are overwriting any other existing file (just the original topology).
13.2.2.48. source
Usage: source <file>
Loads a file with a list of ParmEd commands and executes them immediately.
13.2.2.49. strip
Usage: strip <mask>
This will strip every atom that corresponds to the given atom mask out of the topology file altogether. Any
bond, angle, or dihedral that it is a part of will be deleted as well. The bond, angle, and dihedral types that are no
longer referenced after the atoms are stripped out are deleted from the topology file. All Lennard Jones parameters
are kept, however, even if they are no longer used. In this way, any LJ modifications you did before the strip
command will remain intact. If all solvent residues and atoms are deleted, then the IFBOX pointer is set to 0
and the SOLVENT_POINTERS, ATOMS_PER_MOLECULE, and BOX_DIMENSIONS (unused section of the
topology file) are deleted. NOTE that if you only remove a couple solvent molecules, any combineMolecules
or setMolecules commands issued previously will be reset! You will have to run them again. Finally, pointer
order could not be preserved for remaining atoms for efficiency considerations. For this reason, all pointers are
recalculated before a new topology file is written out, so even stripping just a small ligand molecule will appear to
change the topology file significantly if comparing via diff or a similar program. However, these differences are
caused by a simple rearrangement of pointers and should yield correct energies.
13.2.2.50. tiMerge
Usage: tiMerge <mol1mask> <mol2mask> <scmask1> <scmask2> [<scmask1N>] [<scmask2N>] [<tol>]
This will remove redundant bonding terms and atoms from prmtop files for use in thermodynamic integra-
tion calculations with PMEMD. The input topology should have two molecules corresponding to V0and V1.
mol1mask/mol2mask are the atom masks for the molecules that should be merged (for V0and V1respectively).
scmask1/scmask2 are the atom masks that list the unique atoms within the molecules to be merged. These do not
243
13. Reading and modifying Amber parameter files
necessarily have to be soft core atoms. For instance, removing the charges on a residue in a protein requires two
copies of that residue in the prmtop file. These masks can be set to that residue. All atoms not in scmask1/scmask2
but in mol1mask/mol2mask should be the same, as these are considered common atoms. Any bonding terms which
involve scmask atoms will be kept, but any extra terms will be removed. scmask1N/scmask2N are only used for
atoms that will not be merged. These atoms will be included in the masks for output, so that additional soft core
molecules that should not be merged do not have to be manually renumbered. tol specifies how close the coor-
dinates have to be for the atoms in V0and V1to be considered the same. See Subsection 21.1.6 for a complete
description of thermodynamic integration in PMEMD as well as an example of this command.
13.2.2.51. writeFrcmod
Usage: writeFrcmod <frcmod_name>
This command will dump a complete frcmod file containing every parameter in your topology file. (Note that
because LEaP cannot produce pair-specific VDW parameters, the effects of a changeLJPair will NOT be reflected
in the topology file unless the pair you choose is between two atoms with the same VDW type). It assumes the
canonical Amber combining rules for VDW terms, and uses each type’s interaction with itself to extract the well
depths and VDW radii.
13.2.2.52. writeOFF
Usage: writeOFF <OFF_File>
Writes an Amber OFF (library) file containing every residue, including terminal residues, found in a given
topology file.
13.2.3. Examples
This section outlines a couple of example input files for parmed.py with comments describing what each com-
mand does. You can try these examples on the test parameter files in $AMBERHOME/AmberTools/test/parmed
(either the normal_prmtop/trx.prmtop or the chamber_prmtop/dhfr_gas.prmtop).
Example 1
# This file generates a topology file with the new mbondi3 radii
# optimized for the igb = 8 GB model and changes the charge set
# of LYS 3 (trx.prmtop) to set up for a FEP-like calculation.
# In practice you would need more than just the protonated and
# deprotonated state (you would have to interpolate), but this
# is just a demonstration.
# Change to mbondi3
changeRadii mbondi3
# Output the first topology file
outparm trx_mbondi3_state0.parm7
# Change the charges of the LYS
change charge :3@N -0.3479
change charge :3@H 0.2747
change charge :3@CA -0.24
change charge :3@HA 0.1426
change charge :3@CB -0.10961
change charge :3@HB2,HB3 0.034
change charge :3@CG 0.06612
244
13.2. ParmEd
change charge :3@HG2,HG3 0.01041
change charge :3@CD -0.03768
change charge :3@HD2,HD3 0.01155
change charge :3@CE 0.32604
change charge :3@HE2,HE3 -0.03358
change charge :3@NZ -1.03581
change charge :3@HZ1 0
change charge :3@HZ2,HZ3 0.38604
change charge :3@C 0.7341
change charge :3@O -0.5894
# Output the second topology file
outparm trx_mbondi3_state1.parm7
Example 2
# This file generates a topology file in which the L-J
# interactions between atoms 10 and 28 have been removed,
# and the L-J interactions between atoms 40, 41, 42, and
# 57 with everybody else has been removed.
# Make atoms 10 and 28 new LJ types, but keep their original
# well depths and radii
addLJType @10
addLJType @28
# Zero the interaction between them
changeLJPair @10 @28 0.0 0.0
# Make atoms 40, 41, 42, and 57 a new LJ type with 0s for
# their parameters to remove all of their LJ interactions
# with every other atom
addLJType @40-42,57 0.0 0.0
# Write the final topology file. This statement could have
# been put anywhere
parmout altered_LJ.parm7
13.2.4. xparmed.py
To aid in simple tasks and make single- (or few-) prmtop file changes easier, a GUI version of ParmEd is
available. It uses the Tk/Python graphical toolkit interface (called Tkinter). Tkinter is part of the standard Python
library, but not all operating systems provide it with their system Python. The package names recognized by
different package managers (e.g. apt-get,port, and yum) vary from system to system, and are detailed in the
section below separated by common operating systems that have been tested by developers.
The GUI is very basic with a number of limitations. For instance, windows cannot be resized (but should fit on
most standard terminals and should be sized appropriately). Furthermore, if an information window is present, the
application will not end with the “Exit xParmEd” button until all information windows are closed. For scripting
purposes, the text-based version, parmed.py, should be used instead.
245
13. Reading and modifying Amber parameter files
13.2.4.1. Tkinter on Ubuntu (Debian)
To install Tkinter on Ubuntu (the package name on other Debians may differ), use the following command: sudo
apt-get install python-tk
13.2.4.2. Tkinter on Red Hat
To install Tkinter on Red Hat (and CentOS and Fedora, probably), use the following command: sudo yum install
tkinter
13.2.4.3. Tkinter on Mac OS X
The default Python installation on Mac OS X has Tkinter installed by default. In fact, it’s a much ’prettier’
version because it is built on top of Apple’s GUI toolkits, which makes it look like a native Mac application. You
can force Amber programs to use the Mac system Python by specifying /usr/bin/python as the default python to
configure. If you wish to use a Python installed via MacPorts, you will need to also install the corresponding
tkinter port. For instance, if you installed Python 2.7 from MacPorts and wish to use that, you will also need to
install py27-tkinter.
13.2.4.4. Tkinter on Everything Else
If your system does not already have Tkinter installed, and none of the above helps you, you should consult a
search engine or online forums. If it doesn’t exist, you may have to stick with parmed.py.
13.2.5. Advanced Options
This section describes some of the advanced options in parmed.py. Note these are not generally available to
xparmed.py
13.2.5.1. Interactive Python Shell
To increase ParmEd’s flexibility, you can activate an limited, interactive Python interpreter to inject your own
custom Python code into parmed.py’s normal execution. This brings with it the risk that custom code can be
malicious if untrusted, so custom code evaluation is disallowed by default. To enable it, use the “-e” or
“–enable-interpreter” command-line flag when executing parmed.py. To improve security, import statements are
disallowed, although the math module has been imported for basic mathematical operations. To execute a single
instruction, begin the command with a “!”. In this case, leading whitespace is eliminated (so leading tabs/spaces
are ignored here). For example,
bash $ parmed.py -e -n trx.prmtop
Loaded Amber topology file trx.prmtop
Reading input from STDIN...
> !print amber_prmtop.parm.parm_data[’ATOM_NAME’][0:10]
[’N’, ’H1’, ’H2’, ’H3’, ’CA’, ’HA’, ’CB’, ’HB2’, ’HB3’, ’OG’]
To execute a formatted block of code that requires more than one line, use “!!” to indicate to ParmEd that you
wish to drop to interpreter mode. Terminate that block of code with another “!!” line. The prompt in
STDIN-mode changes to “py >>>”. For example:
bash$ parmed.py -e -n trx.prmtop
Loaded Amber topology file trx.prmtop
Reading input from STDIN...
> !!
246
13.2. ParmEd
py >>> def formatted_print(items):
py >>> i = 0
py >>> for item in items:
py >>> print ’%10.4f ’ % item,
py >>> i += 1
py >>> if i % 5 == 0: print ”
py >>> print ”
py >>>
py >>> formatted_print(amber_prmtop.parm.parm_data[’CHARGE’][0:10])
py >>> !!
0.1849 0.1898 0.1898 0.1898 0.0567
0.0782 0.2596 0.0273 0.0273 -0.6714
> quit
Quitting.
The main topology class list being worked on is called amber_prmtop. The currently ‘active’ topology file is the
‘parm’ attribute of the list. You can also access specific topology files using an integer index or the original prmtop
name. See the API documentation below if you are interested in making custom modifications. Note that it is
VERY easy to break a topology file with this approach, so consider this an advanced option. A description of the
topology file format can be found on http://ambermd.org/formats.html.
WARNING: Variable declarations you make here drop onto the top-level namespace in ParmEd’s normal operat-
ing environment. That is, any variable you declare here MIGHT override a critical one for ParmEd. Variable names
to avoid using include any of the Python built-in functions and types as well as line, code, debug, ParmedActions,
ParmError, LineToCmd, amberParm, output_parm, and input.
13.2.5.2. ParmEd API
The actions in this version of ParmEd have been generalized to make it easy to incorporate them into your
own Python scripts. To gain access to the actions, you must import them from the ParmedActions module in the
ParmedTools package. When cast to a string, the action instance will output what it has done (or will do). The
execute method bound to each Action instance will actually carry out the action on the specified topology file. All
actions are lowercase only (to aid in case-insensitivity in parmed.py parsing).
You can instantiate a new action in one of two ways, but the first argument must be an AmberParm (or ParmList)
instance in both cases. Then, you can either load a single string with all of the options and key words (the same
way as you would type it in parmed.py), or you can enter each argument independently with keywords being added
appropriately.
An example showing how to add a new Lennard-Jones atom type is shown below using both techniques
described above.
# First add AMBERHOME/bin to the list of directories searched
# for modules and packages
import os
import sys
sys.path.append(os.path.join(os.getenv(’AMBERHOME’), ’bin’))
from chemistry.amber.readparm import AmberParm
from ParmedTools.ParmedActions import addljtype
parm = AmberParm(’trx.prmtop’)
act = addljtype(parm, ’@1 radius 0.0 epsilon 0.0’)
act.execute()
print ’I just did:\n%s’ % act
247
13. Reading and modifying Amber parameter files
parm.writeParm(’trx_modified.prmtop’)
# The following code does the same thing
parm = AmberParm(’trx.prmtop’)
act = addljtype(parm, ’@1’, radius=0.0, epsilon=0.0)
act.execute()
print ’I just did:\n%s\n\t...again.’ % act
parm.writeParm(’trx_modified_2.prmtop’)
13.2.5.3. Python Amber Topology class documentation
class AmberParm: The main topology file class. Its constructor takes a topology file name and a restart file
name. If the topology file name is given, it is read immediately. Otherwise, the AmberParm instance can always
be filled by passing an Amber topology file to its “rdparm” method. Certain instance attributes are accessible only
if a restart file is loaded (these are indicated below). It is accessible through the module
chemistry.amber.readparm. Instantiate AmberParm objects via commands like:
from chemistry.amber.readparm import AmberParm
my_topology = AmberParm(’my_file.prmtop’)
or
import chemistry.amber.readparm
my_topology = chemistry.amber.readparm.AmberParm(’my_file.prmtop’, ’my_file.inpcrd’)
Class methods:
__init__(prmtop_name,[inpcrd_name]) Constructor. Sets up the instance variables, parses the topology file, and
loads the coordinates for each atom if an inpcrd file name is given.
__str__() Returns the topology file name as the string representation of an amberParm class. Called via “typecast-
ing” an amberParm to a str-type or invoking the __str__ method directly. Use like: str(my_topology) –or–
my_topology.__str__() –or– ’%s’ % my_topology
LoadPointers() Reloads the “pointers” instance attributes from the POINTERS section of the topology file data.
You should use this if you make any changes to the data in the POINTERS section of the topology file. Use
like: my_topology.LoadPointers()
ptr(pointer) Returns the value of the given pointer from the pointers dictionary (NOT from the topology file). It
is case-insensitive. See http://ambermd.org/formats.html for a list of pointer names. Use like: num_atoms =
my_topology.ptr(’natom’)
rdparm(name) Parses the topology file and stores all of the data in the arrays and dictionaries detailed below. This
is called automatically in the constructor (__init__) method if a prmtop file name is provided. It must be
called separately if AmberParm was instantiated without a topology filename.
rdparm_old() Parses old-style topology files. This is called automatically inside rdparm() if it’s determined that
the prmtop is an old-style topology file.
writeParm(name) Writes a new topology file with the given name (required) using all data present in the
parm_data and formats dictionaries.
writeOFF(name) Writes an OFF file to a given filename (defaults to “off.lib”)
fill_LJ() Calculates the LJ radii and LJ depths for each atom type by analyzing each type’s self-interaction (the
ACOEF and BCOEF for each atom type interacting with another atom of the same type) by reversing the
combining rules. This fills LJ_radius, LJ_depth, and LJ_types arrays/dictionary.
248
13.2. ParmEd
fill_14_LJ() Calculates the LJ radii and LJ depths for each atom type’s 1-4 interactions (CHAMBER prmtops
only!) the same way that it’s done in fill_LJ() (but it fills the LJ_14_radius and LJ_14_depth arrays).
recalculate_LJ() Repopulates the LENNARD_JONES_ACEOF and LENNARD_JONES_BCOEF arrays by us-
ing the normal Amber combining rules on the well depths and radii found in LJ_depth and LJ_radius.
recalculate_14_LJ() Same as recalculate_LJ(), but it does it for CHAMBER prmtops for the 1-4 nonbonded
parameters using the LJ_14_radius and LJ_14_depth arrays.
LoadRst7(filename) Loads a restart file and its coordinates and/or velocities. This is called automatically in the
constructor if a restart filename is given.
addFlag(options**) Options are (flag_name, flag_format, num_items | data, comments). This will add a %FLAG
to the topology file data dictionary, it will add the appropriate Fortran format statement (it must be a simple
statement like 10I8, 5E16.8, etc.) to the formats dictionary, and it will either add an array of size num_items
filled with 0s OR it will use the provided data array. If you do not give a data array (which MUST be an
iterable, and it is converted to a Python list), then you have to give the number of 0s to put in a list under that
FLAG name. It will also add any prmtop comments if you supply them.
delete_mask(mask) This takes an AmberMask instance (but checks that the AmberMask’s topology is the same
as itself) or it takes a string mask and converts it to an AmberMask object, removing all atoms from atom_list.
This should only be called *once* for each instance, as not all internal variables and settings are reset prop-
erly to enable a second delete_mask. The coord and vels arrays are updated to reflect only the coordinates
and velocities of the remaining atoms. remake_parm() is called at the end of delete_mask.
remake_parm() This recalculates the topology parameters from the given atom_list and lists of bonds, angles,
and dihedrals. So far, it only works with normal topology files (not chamber-created topology files, LES
topology files, or Amoeba topology files). This only needs to be called if any of the above variables have
been changed (and is called automatically by writeParm if it detects any of the arrays have been modified in
any way).
Instance variables (or attributes). Note that Python dictionaries are like hash tables and Python lists index starting
from 0:
parm_data Dictionary that pairs a prmtop %FLAG name with a Python list containing all of the data correspond-
ing to that FLAG.
parm_comments Dictionary that pairs a prmtop %FLAG name with a Python list containing all of the comments
associated with that FLAG.
formats Dictionary that pairs a prmtop %FLAG name with its Fortran format string specified in the topology file.
chamber Boolean value that indicates whether a topology file was written by CHAMBER or not (if it has a
%FLAG CTITLE instead of TITLE)
version Version string found at the top of the prmtop file (str type)
prm_name Name of the original topology file (str type)
overwrite Boolean (True or False) that determines if we are allowed to overwrite prm_name in the writeParm
method described above.
valid Boolean that indicates whether there were any problems parsing the topology file or any glaring issue with
it (like it was lacking a POINTERS section)
exists Boolean that indicates whether or not the prmtop file exists.
LJ_types Dictionary that maps AMBER_ATOM_TYPE to the type index from the flag ATOM_TYPE_INDEX.
Useful if you only have the Amber atom type and not the atom number (in which case, just use the
ATOM_TYPE_INDEX list from parm_data)
249
13. Reading and modifying Amber parameter files
LJ_radius Python list of ordered Lennard Jones radii corresponding to ATOM_TYPE_INDEX values.
LJ_depth Python list of ordered Lennard Jones well depths corresponding to ATOM_TYPE_INDEX values.
LJ_14_radius Same as LJ_radius above for 1-4 non-bonded parameters. ONLY present in CHAMBER prmtops!
LJ_14_depth Same as LJ_depth above for 1-4 non-bonded parameters. ONLY present in CHAMBER prmtops!
coords Python list with coordinates of each atom in the format [x1,y1,z1,x2,y2,z2, ..., xN,yN,zN]. Only exists if
a restart file was loaded via the LoadRst7() above.
hasvels Boolean value that indicates whether velocities were loaded from the parsed restart file. Only present if
a restart file was loaded.
vels If has_vels is True, this stores all of the velocities parsed from the restart file in a Python list. Only present if
has_vels is True.
hasbox Boolean value that indicates whether box information was loaded from the parsed restart file. Only present
if a restart file was loaded.
box Python list containing all box information found in the restart file. Only present if hasbox is True.
atom_list List of Atom classes that describe each atom in the system. Each atom has instance variables
bond_partners, angle_partners, dihedral_partners, xx, xy, xz (cartesian coordinates if a restart file is loaded),
vx, vy, vz (velocities if a restart file is loaded), starting_index, and idx. The partners arrays are used to
define which atoms that atom defines a bond, angle, or dihedral with (each atom appears only once and
only in one of those arrays). These are used to define the exclusion list. starting_index is a pointer into
all of the atomic data arrays (like ATOM_NAME, ATOM_TYPE_INDEX, etc.), and is updated every time
remake_parm() is called. idx is never set until writeParm is called to write the topology file (and is reset to
-1 after starting_index is updated at the end of the routine).
bonds_inc_h List of all bonds including hydrogen listed in the original topology file. This array is NOT modified
by delete_mask. The only bonds from this list that are added to the prmtop in remake_parm are the ones
whose atoms still exist in the atom_list array at the time remake_parm is called. Each bond has associated
with it a bond type that is in the bond_type_list array described below.
bonds_without_h List of all bonds without hydrogen. See description for bonds_inc_h
bond_type_list List of all bond types defined in original topology file. The only ones assigned indexes are the
ones found in bonds between remaining atoms defined in bonds_inc_h and bonds_without_h.
angles_inc_h, angles_without_h, angle_type_list Same as bond counterparts, but for angles
dihedrals_inc_h, dihedrals_without_h, dihedral_type_list Same as bond/angle counterparts, but for dihedrals
residue_container A Python list in which each atom’s index (starting from 0) contains the residue number
(CAREFUL: starting from 1) that that atom belongs to.
13.2.5.4. Extending ParmEd
This section describes what is necessary to add a new action to ParmEd.
All actions are parsed from the ParmedActions.py file in $AMBERHOME/AmberTools/src/parmed/ directory.
Each action must be its own class that inherits from Action and takes an ArgumentList as its first argument
in its init method. All arguments should be extracted from the ArgumentList using its get_next_<type>,
get_key_<type>, and has_key methods (the get_key_<type> and has_key methods should be called first). See
existing methods as examples. You also need to take care to write the class doc-strings (the string immediately
following every class declaration) to be as helpful as possible, because they are used in the help function. You
must also add your command’s usage statement in the Usages dictionary found at the top of ParmedActions.py,
250
13.2. ParmEd
or it will be invisible to the help function and interpreter tab-autocompletion. The command name is taken as the
first argument from that usage string.
No further action is necessary to add your functionality to ParmEd (and you should never have to edit parmed.py
directly – any class put in ParmedActions.py is immediately accessible by parmed.py). Existing actions provide
helpful examples if you choose to expand ParmEd.
Extending xParmEd: Any action that is added to ParmedActions.py will be visible as buttons in xparmed.py,
but will be disabled by default unless you implement that action directly. There is no well-defined standard
for implementing actions in the GUI version like there is in the text-based version. GUI actions are defined in
$AMBERHOME/AmberTools/src/parmed/ParmedTools/gui/_guiactions.py, and all additional actions must
be defined there. You should only have to modify _guiactions.py, since the GUI is automatically sized and
filled based on classes in ParmedActions.py. The best advice I can give if you want to expand xParmEd is to
copy the class that does a similar task and modify it for your class. The related examples are fairly consistent in
their style of implementation, so hopefully it is easy enough to add actions quickly.
13.2.6. OpenMM Support
13.2.6.1. Topology file and Input coordinate/Restart File classes
Subclasses of the AmberParm and Rst7 (restart/inpcrd file) classes have been made compatible with the
OpenMM Python application layer. The relevant classes are the OpenMMAmberParm and OpenMMRst7 classes in
the chemistry.amber.openmmloader module. The OpenMMAmberParm class implements a createSystem
instance method that generates an OpenMM System object. The call signature is described below
parm = OpenMMAmberParm(’prmtop’, ’inpcrd’)
system = parm.createSystem(nonbondedMethod, nonbondedCutoff,
constraints, rigidWater, implicitSolvent,
implicitSolventKappa, implicitSolventSaltConc,
temperature, soluteDielectric, solventDielectric,
removeCMMotion, hydrogenMass, ewaldErrorTolerance,
flexibleConstraints, verbose)
Each of the options are described below. Where applicable, mm refers to the simtk.openmm module/package, app
refers to the simtk.openmm.app package, and urefers to the simtk.unit package. The top of any Python script
should look like this:
import simtk.openmm as mm
import simtk.openmm.app as app
import simtk.unit as u
nonbondedMethod The method used to compute electrostatic and van der Waals interactions. Options are
app.NoCutoff,app.CutoffNonPeriodic,app.CutoffPeriodic,app.PME, or app.Ewald. The default
is app.NoCutoff.
nonbondedCutoff The cutoff for the non-bonded interactions. The value must have dimension length or, if there
is no unit, is assumed to be in nanometers. The default is 1.0*u.nanometer
constraints What degrees of freedom to constrain during dynamics (e.g., SHAKE). Allowed values are None (no
constraints), app.HBonds,app.AllBonds,app.HAngles. Default is None.
rigidWater Should water molecules be held rigid? Allowed values are True or False. Default is True.
implicitSolvent Which Generalized Born implicit solvent model to use. All of the models in sander and pmemd
are implemented and available in OpenMM 6.0. Allowed values are None (igb=0), app.HCT (igb=1),
app.OBC1 (igb=2), app.OBC2 (igb=5), app.GBn (igb=7), and app.GBn2 (igb=8). Default is None.
implicitSolventKappa The Debye length relating to the salt concentration used in GB calculations. If provided,
this value will be used to model salt effects. The dimension is 1/length. Default is None.
251

13. Reading and modifying Amber parameter files
implicitSolventSaltConc The salt concentration used in GB calculations. If implicitSolventKappa (above) is
None, this value will be used to compute κaccording to the equation
κ=0.73×50.33355r[I±]
εT·1/u.angstroms
where εis the solvent dielectric, the 0.73 accounts for the lack of ion exclusions and 50.33355 is the quan-
tity 1/pε0kB/(2NAe2·1000)(ε0is the permittivity of free space, NAis Avogadro’s number, and eis the
elementary charge). This is the conversion factor that sander and pmemd use when T is set to 298.15 K and
the solvent dielectric is set to 78.5. Default value is 0.0*(u.moles/u.liter)
temperature This is the temperature used only for computing κfrom implicitSolventSaltConc. Default is
298.15*u.kelvin
soluteDielectric The dielectric constant of the solute interior. The default is 1.0, and care should be taken deviat-
ing from this.
solventDielectric The dielectric constant of the solvent. The default is 78.5, and care should be taken deviating
from this value.
removeCMMotion Should center-of-motion be removed? Options are True or False. Default is True.
hydrogenMass Set the mass of hydrogens to be used with hydrogen mass repartitioning (allows longer timesteps
to be used). This has the same effect as the HMassRepartition command in ParmEd. This argument is
provided to be compatible with the OpenMM Amber topology file object, and the preferred method to
implement hydrogen mass repartitioning is to import ParmedActions.hmassrepartition and use that.
Default is None (no repartitioning).
ewaldErrorTolerance Error tolerance to use in PME/Ewald summations. Default is 5×10−4
flexibleConstraints Determines whether the energies and forces are computed for constrained atoms. Allowed
values are True or False. Default is True (compute energies from all constraints).
verbose Prints out a progress report detailing how the OpenMM System object is populated. Allowed values are
True or False. Default is False.
The OpenMMRst7 class can be instantiated from a NetCDF restart file or ASCII restart file using the call
signature
from chemistry.amber.openmmloader import OpenMMRst7
rst = OpenMMRst7.open(’inpcrd’)
The rst object has the attributes positions, velocities, box_vectors, and box_lengths. The positions and velocities
properties are lists of OpenMM Vec3 (effectively 3-element tuples) objects for each atom that have the units
u.angstroms and u.angstroms/u.picosecond, respectively. The box_vectors property is a tuple of the three
lattice vectors as Vec3 objects with the units u.angstroms. The box_lengths property is a tuple of the lengths of
each of the lattice vectors.
13.2.6.2. OpenMM Reporters
The Python application layer in OpenMM allows certain reporters to be attached to a simulation so that forces,
velocities, positions, and energies can be periodically written to a file. The chemistry package includes a num-
ber of OpenMM reporters to allow printing of more native Amber files. The reporters are all found in the
chemistry.amber.openmmreporters module. The available modules are described below.
AmberStateDataReporter Used the same way as the StateDataReporter included with OpenMM, except the
one included here prints energies in kcal/mol (and allows you to specify the units if you want to change them).
252
13.2. ParmEd
ProgressReporter Used the same way as AmberStateDataReporter, but prints timing data and estimated time to
completion. Each report overwrites the one before it.
MdcrdReporter Allows a trajectory to be printed in the Amber ASCII format. The call signature looks like:
MdcrdReporter(filename, reportInterval, atom, uses_pbc,
crds, vels, frcs)
The arguments are:
• filename – The name of the file to write the trajectory to
• reportInterval – The number of steps between writing frames
• atom – The number of atoms in the system
• uses_pbc – Does the system have periodic boundary conditions? True or False.
• crds – Should coordinates be written? True or False
• vels – Should velocities be written? True or False
• frcs – Should forces be written?
One of crds, vels, and frcs must be True and the other two must be False.
NetCDFReporter Allows a trajectory to be printed in the Amber NetCDF format. The call signature looks like:
NetCDFReporter(filename, reportInterval, atom, uses_pbc,
crds, vels, frcs)
The arguments are the same as the MdcrdReporter described previously. The only difference is that crds, vels,
and frcs can be written to the same file. This reporter requires one of the NetCDF-Python packages to be installed
(netCDF4, scipy, or ScientificPython).
RestartReporter Prints out an Amber restart file periodically throughout a simulation. The call signature looks
like:
RestartReporter(filename, reportInterval, natom, uses_pbc,
write_multiple, netcdf, write_velocities)
The arguments are:
• filename – The name of the file to write the trajectory to
• reportInterval – The number of steps between writing restarts
• natom – The number of atoms in the system
• uses_pbc – Does the system have periodic boundary conditions? True or False.
• write_multiple – If True, each restart is written to a different file with a suffix .# where # is the step of the
simulation. Default is False
• netcdf – Restart files will be written in the NetCDF format if True. Default is False
• write_velocities – Writes velocities to the restart file. Default is True.
253
14. Antechamber and GAFF
These are a set of tools to generate files for organic molecules and for some metal centers in proteins, which
can then be read into LEaP. The Antechamber suite was written by Junmei Wang, and is designed to be used in
conjunction with the general AMBER force field (GAFF) (gaff.dat).[282] See Ref. [283] for an explanation of the
algorithms used to classify atom and bond types, to assign charges, and to estimate force field parameters that may
be missing in gaff.dat. The Metal Center Parameter Builder (MCPB) program was developed by Martin Peters
[284], and is described in Section 14.7.
Like the traditional AMBER force fields, GAFF uses a simple harmonic function form for bonds and angles.
Unlike the traditional AMBER force fields, atom types in GAFF are more general and cover most of the organic
chemical space. In total there are 33 basic atom types and 22 special atom types. The charge methods used
in GAFF can be HF/6-31G* RESP or AM1-BCC.[285,286] All of the force field parametrization were carried
out with HF/6-31G* RESP charges. However, in most cases, AM1-BCC, which was parametrized to reproduce
HF/6-31G* RESP charges, is recommended in large-scale calculations because of its efficiency.
The van der Waals parameters are the same as those used by the traditional AMBER force fields. The equilibrium
bond lengths and bond angles came from ab initio calculations at the MP2/6-31G* level and statistics derived
from the Cambridge Structural Database. The force constants for bonds and angles were estimated using empirical
models, and the parameters in these models were trained using the force field parameters in the traditional AMBER
force fields. General torsional angle parameters were extensively applied in order to reduce the huge number of
torsional angle parameters to be derived. The force constants and phase angles in the torsional angle parameters
were optimized using our PARMSCAN package,[287] with an aim to reproduce the rotational profiles depicted
by high-level ab initio calculations (geometry optimizations at the MP2/6-31G* level, followed by single point
calculations at MP4/6-311G(d,p)).
By design, GAFF is a complete force field (so that missing parameters rarely occur); it covers almost all the
organic chemical space that is made up of C, N, O, S, P, H, F, Cl, Br and I. Moreover, GAFF is totally compatible
with the AMBER macromolecular force fields. It should be noted that GAFF atom types, except metal types,
are in lower case, while AMBER atom types are always in upper case. This feature makes it possible to load
both AMBER protein/nucleic acid force fields and GAFF without any conflict. One can even merge the two
kinds of force fields into one file. The combined force fields are capable of studying complicated systems that
include both proteins/nucleic acids and organic molecules. We believe that the combination of GAFF with AMBER
macromolecular force fields will provide a useful molecular mechanical tool for rational drug design, especially in
binding free energy calculations and molecular docking studies. Since its introduction, GAFF has been used for
a wide range of applications, including ligand docking,[288] bilayer simulations,[289,290] and the study of pure
organic liquids [291].
14.1. Principal programs
The antechamber program itself is the main program of Antechamber. If your molecule falls into any of several
fairly broad categories, antechamber should be able to process your PDB file directly, generating output files
suitable for LEaP. Otherwise, you may provide an input file with connectivity information, i.e., in a format such
as Mol2 or SDF. If there are missing parameters after antechamber is finished, you may want to run parmchk2 to
generate a frcmod template that will assist you in generating the needed parameters.
14.1.1. antechamber
This is the most important program in the package. It can perform many file conversions, and can also assign
atomic charges and atom types. As required by the input, antechamber executes the following programs: sqm (or,
255
14. Antechamber and GAFF
alternatively, mopac or divcon), atomtype,am1bcc,bondtype,espgen,respgen and prepgen. It typically produces
many intermediate files; these may be recognized by their names, in which all letters are upper-case. If you
experience problems while running antechamber, you may want to run the individual programs that are described
below.
Antechamber options:
-help print these instructions
-i input file name
-fi input file format
-o output file name
-fo output file format
-c charge method
-cf charge file name
-nc net molecular charge (int)
-a additional file name
-fa additional file format
-ao additional file operation
crd : only read in coordinate
crg: only read in charge
name : only read in atom name
type : only read in atom type
bond : only read in bond type
-m multiplicity (2S+1), default is 1
-rn residue name, if not available in the input file
-rf residue topology file name in prep input file, default is molecule.res
-ch check file name in gaussian input file, default is molecule
-ek empirical calculation (mopac or sqm) keyword (in quotes)
-gk gaussian keyword in a pair of quotation marks
-gm gaussian assign memory, inside a pair of quotes, such as "%mem=1000MB"
-gn gaussian assign number of processor, inside a pair of quotes, such as "%nproc=8"
-df use divcon flag, 0 - use mopac; 2 - use sqm (the default)
-at atom type, can be gaff, amber, bcc and sybyl, default is gaff
-du check atom name duplications, can be yes(y) or no(n), default is yes
-j atom type and bond type prediction index, default is 4
0 : no assignment
1 : atom type
2 : full bond types
3 : part bond types
4 : atom and full bond type
5 : atom and part bond type
-eq equalize atomic charge, default is 1 for ’-c resp’ and ’-c bcc’
0 : no equalization
1 : by atomic paths
2 : by atomic paths and geometry, such as E/Z configurations
-s status information, can be 0 (brief), 1 (the default) and 2 (verbose)
-pf remove the intermediate files: can be yes (y) and no (n, default)
-i -o -fi and -fo must appear in command lines and the others are optional
Use ’antechamber -L’ to list the supported file formats and charge methods
List of the File Formats:
file format type abbre. index | file format type abbre. index
256
14.1. Principal programs
---------------------------------------------------------------
Antechamber ac 1 | Sybyl Mol2 mol2 2
PDB pdb 3 | Modified PDB mpdb 4
AMBER PREP (int) prepi 5 | AMBER PREP (car) prepc 6
Gaussian Z-Matrix gzmat 7 | Gaussian Cartesian gcrt 8
Mopac Internal mopint 9 | Mopac Cartesian mopcrt 10
Gaussian Output gout 11 | Mopac Output mopout 12
Alchemy alc 13 | CSD csd 14
MDL mdl 15 | Hyper hin 16
AMBER Restart rst 17 | Jaguar Cartesian jcrt 18
Jaguar Z-Matrix jzmat 19 | Jaguar Output jout 20
Divcon Input divcrt 21 | Divcon Output divout 22
SQM Input sqmcrt 23 | SQM Output sqmout 24
Charmm charmm 25 | Gaussian ESP gesp 26
--------------------------------------------------------------
AMBER restart file can only be read in as additional file
List of the Charge Methods:
charge method abbre. index | charge method abbre.
----------------------------------------------------------------
RESP resp 1 | AM1-BCC bcc 2
CM1 cm1 3 | CM2 cm2 4
ESP (Kollman) esp 5 | Mulliken mul 6
Gasteiger gas 7 | Read in charge rc 8
Write out charge wc 9 | Delete Charge dc 10
----------------------------------------------------------------
Examples:
(1) antechamber -i g98.out -fi gout -o sustiva_resp.mol2 -fo mol2 -c resp
(2) antechamber -i g98.out -fi gout -o sustiva_bcc.mol2 -fo mol2 -c bcc -j 5
(3) antechamber -i g98.out -fi gout -o sustiva_gas.mol2 -fo mol2 -c gas
(4) antechamber -i g98.out -fi gout -o sustiva_cm2.mol2 -fo mol2 -c cm2
(5) antechamber -i g98.out -fi gout -o sustiva.ac -fo ac
(6) antechamber -i sustiva.ac -fi ac -o sustiva.mpdb -fo mpdb
(7) antechamber -i sustiva.ac -fi ac -o sustiva.mol2 -fo mol2
(8) antechamber -i sustiva.mol2 -fi mol2 -o sustiva.gzmat -fo gzmat
(9) antechamber -i sustiva.ac -fi ac -o sustiva_gas.ac -fo ac -c gas
(10)antechamber -i mtx.pdb -fi pdb -o mtx.mol2 -fo mol2 -c rc -cf mtx.charge
(11)antechamber -i g03.out -fi gout -o mtx.mol2 -fo mol2 -c resp
-a mtx.pdb -fa pdb -ao name
(12)antechamber -i ch3I.mol2 -fi mol2 -o gcrt -fo gcrt -gv 1 -ge ch3I.gesp
(13)antechamber -i acetamide.out -fi gout -o acetamide_eq0.mol2 -fo mol2
-c resp -eq 0
(14)antechamber -i acetamide.out -fi gout -o acetamide_eq0.mol2 -fo mol2
-c resp -eq 1 (15)antechamber -i acetamide.out -fi gout
-o acetamide_eq0.mol2 -fo mol2 -c resp -eq 2
The following is the detailed explanations of some flags
-nc This flag specifies the net charge of the input molecule, otherwise, the net charge is read in from the input
directly (such as gout, mopout, sqmout, sqmcrt, gcrt, etc.) or calculated by summing the partial charges
(such as mol2, prepi, etc).
257
14. Antechamber and GAFF
-a,-fa,-ao Sometimes, one wants to read additional information from another file other than the input, the ’-ao’
flag informs the program to read in which information from the additional file specified with ’-a’ flag. In
Example (11), a mol2 file is generated from a Gaussian output file with atom names read in from a pdb file.
-ch,-gk,-gm,-gn Those flags specify the keywords and resource usage in Gaussian calculations
-ge,-gv The ’-ge’ flag specifies the file name of gesp file generated using iop(6/50=1) with Gaussian 09; the -gv
flag specifies the Gaussian version and the default is ’1’ for Gaussian 09. If one wants to generate Gaussian
input files (gcrt and gzmat) for older Gaussian versions, ’-gv’ must be set to ’0’.
-rn The ’-rn’ line specifies the residue name to be used; thus, it must be one to three characters long.
-at This flag is used to specify whether atom types are to be created for the GAFF force field or for atom types
consistent with parm94.dat and parm99.dat (i.e., the AMBER force fields). If you are using antechamber
to create a modified residue for use with the standard AMBER parm94/parm99 force fields, you should set
this flag to “amber”; if you are looking at a more arbitrary molecule, set it to “gaff”, even if the molecule is
intended for use as a ligand bound to a macromolecule described by the AMBER force fields.
-j This flag instructs the program how to run ’bondtype’ and ’atom type’. ’-j 1’ assumes the bond types already
exists; ’-j 4’ first predicts the connectivity table, then assigns bond and atom types sequentially; ’-j 5’ reads
in connectivity table from the input and then run ’bondtype’ and ’atomtype’ sequentially. In most situations,
’-j 4’, the default option, is recommended. However, ’-j 5’ should be used if the input structure is not good
enough and it includes the bond connectivity information (such as mol2, mdl, gzmat, etc.)
-eq This flag specifies how to do charge equilibration. With ’-eq 1’, atomic charge equilibration is predicted
only by atom paths, in another word, if two or more atoms have exactly same sets of atom paths, they are
equivalent and their charges are forced to be same. While ’-eq 2’ predicts charge equilibration using both
atom paths and some geometrical information (E/Z configuration). With the ’-eq 2’ option, the charges
of two hydrogen atoms bonded to the No 2 carbon of chloroethene are different as they adopt different
configurations to chlorine (one is cis and the other is trans). Similarly, the two amide hydrogen atoms of
acetamide do not share the same partial charge as the amide bond cannot rotate freely. To back-compatible
to the older versions, the default is set to ’1’
In Example (12), a gcrt file of iodine methane is generated and a gesp file named ch3I.gesp is produced when
running Gaussian 09 with the default keyword. In Examples (13-15), RESP charges are generated for acetamide
using different charge equilibration options. In the following table, the charges are listed for comparison
purposes.
atom names | eq = 0 | eq = 1 eq = 2
|no equalization |atomic paths | + geometry
--------------------------------------------------------------------------
methyl carbon |-0.5190 | -0.5516 | -0.5193
methyl hydrogen | 0.1412/0.1380/0.1396 | 0.1470 | 0.1397
carbonyl carbon | 0.9673 | 0.9786 | 0.9673
oxygen |-0.6468 | -0.6463 | -0.6468
nitrogen |-1.1189 | -1.1219 | -1.1189
amide hydrogen | 0.4556/0.4429 | 0.4501 | 0.4556/0.4429
--------------------------------------------------------------------------
14.1.2. parmchk2
parmchk2 reads in an ac/mol2/prepi/prepc file, an atomtype similarity index file (the default is $AMBERHOME-
/dat/antechamber/PARMCHK.DAT) as well as a force field file (the default is $AMBERHOME/dat/leap/parm/-
gaff.dat). It writes out a force field modification (frcmod) file containing any force field parameters that are needed
for the molecule but not supplied by the force field (*.dat) file. Problematic parameters, if any, are indicated in
the frcmod file with the note, “ATTN, need revision”, and are typically given values of zero. This can cause fatal
258
14.2. A simple example for antechamber
terminations of programs that later use a resulting prmtop file; for example, a zero value for the periodicity of the
torsional barrier of a dihedral parameter will be fatal in many cases. For each atom type, an atom type correspond-
ing file (ATCOR.DAT) lists its replaceable general atom types. By default, only the missing parameters are written
to the frcmod file. When the “-a” switch is given the value “Y”, parmchk2 prints out all force field parameters used
by the input molecule, whether they are already in the parm file or not. This file can be used to prepare the frcmod
file used by thermodynamic integration calculations using sander.
Unlike parmchk which only checks several substitutions for a missing force field parameter, parmchk2
enumerates all the possible substitutions and select the one with the best similarity score as the final substitue.
Moreover, a penalty score, which measures the similarity between the missing force field parameter and the
substitute is provided. The similarity socres are calculated using the similarity indexes defined in the atom type
similarity index file (PARMCHK.DAT). A similarity index of a pair of atom types (’A/B’) for a specific force
field parameter type was generated by calculating the average percent absolute error of two set of force field
parameters in gaff. The two set of force field parameters are identical except that one set has atom type ’A’ and
the other has ’B’. Each atom type pair (’A/B’) has nine similarity indexes for nine different types of force field
parameters, which are bond equilibrium length, bond stretching force constant, bond equilibrium angle (’A’ and
’B’ are central atoms), bond angle bending force constant (’A’ and ’B’ are central atoms), bond equilibrium angle
(’A’ and ’B’ are non-central atoms), bond angle bending force constant (’A’ and ’B’ are non-central atoms),
torsional angle twisting force constant (’A’ and ’B’ are inner side atoms), torsional angle twisting force constant
(’A’ and ’B’ are outter side atoms), and improper dihedral angle.
parmchk2 -i input file name
-o frcmod file name
-f input file format (prepi, ac ,mol2)
-p ff parmfile
-c atom type corresponding file, default is ATCOR.DAT
-a print out all force field parameters including those in the parmfile
can be ’Y’ (yes) or ’N’ (no), default is ’N’
-w print out parameters that matching improper dihedral parameters
that contain ’X’ in the force field parameter file, can be ’Y’ (yes)
or ’N’ (no), default is ’Y’
Example:
parmchk2 -i sustiva.prep -f prepi -o frcmod
This command reads in sustiva.prep and finds the missing force field parameters listed in frcmod.
14.2. A simple example for antechamber
The most common use of the antechamber program suite is to prepare input files for LEaP, starting from a
three-dimensional structure, as found in a PDB file. The antechamber suite automates the process of developing
a charge model and assigning atom types, and partially automates the process of developing parameters for the
various combinations of atom types found in the molecule.
As with any automated procedure, the output should be carefully examined, and users should be on the lookout
for any unusual or incorrect program behavior.
Suppose you have a PDB-format file for your ligand, say thiophenol, which looks like this:
ATOM 1 CG TP 1 -1.959 0.102 0.795
ATOM 2 CD1 TP 1 -1.249 0.602 -0.303
ATOM 3 CD2 TP 1 -2.071 0.865 1.963
ATOM 4 CE1 TP 1 -0.646 1.863 -0.234
ATOM 5 C6 TP 1 -1.472 2.129 2.031
ATOM 6 CZ TP 1 -0.759 2.627 0.934
ATOM 7 HE2 TP 1 -1.558 2.719 2.931
259
14. Antechamber and GAFF
ATOM 8 S15 TP 1 -2.782 0.365 3.060
ATOM 9 H19 TP 1 -3.541 0.979 3.274
ATOM 10 H29 TP 1 -0.787 -0.043 -0.938
ATOM 11 H30 TP 1 0.373 2.045 -0.784
ATOM 12 H31 TP 1 -0.092 3.578 0.781
ATOM 13 H32 TP 1 -2.379 -0.916 0.901
(This file may be found at $AMBERHOME/AmberTools/test/antechamber/tp/tp.pdb). The basic command to
create a mol2 file for LEaP is just:
antechamber -i tp.pdb -fi pdb -o tp.mol2 -fo mol2 -c bcc
The output file will look like this:
@<TRIPOS>MOLECULE
TP
13 13 1 0 0
SMALL
bcc
@<TRIPOS>ATOM
1 CG -1.9590 0.1020 0.7950 ca 1 TP -0.132000
2 CD1 -1.2490 0.6020 -0.3030 ca 1 TP -0.113000
3 CD2 -2.0710 0.8650 1.9630 ca 1 TP 0.015900
4 CE1 -0.6460 1.8630 -0.2340 ca 1 TP -0.137000
5 C6 -1.4720 2.1290 2.0310 ca 1 TP -0.132000
6 CZ -0.7590 2.6270 0.9340 ca 1 TP -0.113000
7 HE2 -1.5580 2.7190 2.9310 ha 1 TP 0.136500
8 S15 -2.7820 0.3650 3.0600 sh 1 TP -0.254700
9 H19 -3.5410 0.9790 3.2740 hs 1 TP 0.190800
10 H29 -0.7870 -0.0430 -0.9380 ha 1 TP 0.133500
11 H30 0.3730 2.0450 -0.7840 ha 1 TP 0.134000
12 H31 -0.0920 3.5780 0.7810 ha 1 TP 0.133500
13 H32 -2.3790 -0.9160 0.9010 ha 1 TP 0.136500
@<TRIPOS>BOND
1 1 2 ar
2 1 3 ar
3 1 13 1
4 2 4 ar
5 2 10 1
6 3 5 ar
7 3 8 1
8 4 6 ar
9 4 11 1
10 5 6 ar
11 5 7 1
12 6 12 1
13 8 9 1
@<TRIPOS>SUBSTRUCTURE
1 TP 1 TEMP 0 **** **** 0 ROOT
This command says that the input format is pdb, output format is Sybyl mol2, and the BCC charge model is to be
used. The output file is shown in the box titled .mol2. The format of this file is a common one understood by many
programs. However, to display molecules properly in software packages other than LEaP and gleap, one needs to
assign atom types using the ’-at sybyl’ flag rather than using the default gaff atom types.
You can now run parmchk2 to see if all of the needed force field parameters are available:
260
14.2. A simple example for antechamber
parmchk2 -i tp.mol2 -f mol2 -o frcmod
This yields the frcmod file:
remark goes here
MASS
BOND
ANGLE
DIHE
IMPROPER
ca-ca-ca-ha 1.1 180.0 2.0 General improper \\
torsional angle (2 general atom types)
ca-ca-ca-sh 1.1 180.0 2.0 Using default value
NONBON
In this case, there were two missing dihedral parameters from the gaff.dat file, which were assigned a default
value. (As gaff.dat continues to be developed, there should be fewer and fewer missing parameters to be estimated
by parmchk2.) In rare cases, parmchk2 may be unable to make a good estimate; it will then insert a placeholder
(with zeros everywhere) into the frcmod file, with the comment "ATTN: needs revision". After manually editing
this to take care of the elements that "need revision", you are ready to read this residue into LEaP, either as a
residue on its own, or as part of a larger system. The following LEaP input file (leap.in) will just create a system
with thiophenol in it:
source leaprc.gaff
mods = loadAmberParams frcmod
TP = loadMol2 tp.mol2
saveAmberParm TP prmtop inpcrd
quitwww.rscb.org
You can read this into LEaP as follows:
tleap -s -f leap.in
This will yield a prmtop and inpcrd file. If you want to use this residue in the context of a larger system, you can
insert commands after the loadAmberPrep step to construct the system you want, using standard LEaP commands.
In this respect, it is worth noting that the atom types in gaff.dat are all lower-case, whereas the atom types in the
standard AMBER force fields are all upper-case. This means that you can load both gaff.dat and (say) parm99.dat
into LEaP at the same time, and there won’t be any conflicts. Hence, it is generally expected that you will use one
of the AMBER force fields to describe your protein or nucleic acid, and the gaff.dat parameters to describe your
ligand; as mentioned above, gaff.dat has been designed with this in mind, i.e., to produce molecular mechanics
descriptions that are generally compatible with the AMBER macromolecular force fields.
The procedure above only works as it stands for neutral molecules. If your molecule is charged, you need to
set the -nc flag in the initial antechamber run. Also note that this procedure depends heavily upon the initial 3D
structure: it must have all hydrogens present, and the charges computed are those for the conformation you provide,
after minimization in the AM1 Hamiltonian. In fact, this means that you must have an reasonable all-atom initial
model of your molecule (so that it can be minimized with the AM1 Hamiltonian), and you may need to specify
what its net charge is, especially for those molecular formats that have no net charge information, and no partial
charges or the partial charges in the input are not correct. The system should really be a closed-shell molecule,
since all of the atom-typing rules assume this implicitly.
Further examples of using antechamber to create force field parameters can be found in the $AMBERHOME-
/test/antechamber directory. Here are some practical tips from Junmei Wang:
1. For the input molecules, make sure there are no open valences and the structures are reasonable. All hydro-
gen atoms must be present. Antechamber doesn’t know what to do with metal ions (see the MCPB program
for that), or for other non-organic elements such as Boron. Look at the $AMBERHOME/dat/leap/parm/-
gaff.dat file to see what sorts of atomic environments are supported.
261
14. Antechamber and GAFF
2. The Antechamber package produces two kinds of messages, error messages and informative messages. You
may safely ignore those message starting with "Info". For example: "Info: Bond types are assigned for
valence state 1 with penalty of 1".
3. Failures are most often produced when antechamber infers an incorrect connectivity. In such cases, you can
revise by hand the connectivity information in "ac" or "mol2" files. Systematic errors could be corrected by
revising the parameters in $AMBERHOME/dat/antechamber/CONNECT.TPL.
4. It is a good idea to check the intermediate files in case of a program failure, and you can run separate
programs one by one. Use the "-s 2" flag to antechamber to see details of what it is doing.
5. Beginning with Amber 10, a new program called acdoctor is provided to diagnose possible problem of an
input molecule. If you encounter failure when running antechamber programs, it is highly recommended to
let acdoctor perform a diagnosis.
6. By default, the AM1 Mulliken charges that are required for the AM1-BCC procedure are computed using
the sqm program, with the following keyword (which is placed inside the &qmmm namelist):
qm_theory=’AM1’, grms_tol=0.0002, tight_p_conv=1, scfconv=1.d-10,
For some molecules, especially if they have bad starting geometries, convergence to these tight criteria
may not be obtained. If you have trouble, examine the sqm.out file, and try changing scfconv to 1.d-8
and/or tight_p_conv to 0. You may also need to increase the value of grms_tol. You can use the -ek flag to
antechamber to change these, or just manually edit the sqm.in file. But be aware that there may be something
“wrong” with your molecule if these problems arise; the acdoctor program may help.www.rscb.org
14.3. Using the components.cif file from the PDB
If your PDB file comes from the PDB itself (www.rscb.org), ligands and other molecules are called
components, and you can download a components.cif file that contains a lot of useful information, including
idealized geometries that include all hydrogen atoms. Antechamber can now read this sort of file (using the
“-ccif” flag), so that you can create an initial forcefield like this:
antechamber -i components.cif -fi ccif -bk ’02J’ -o 02J.mol2 -fo mol2 -c bcc
In this example, we are preparing a mol2 file for residue “02J”. Please note the following:
• The PDB has chosen to represent most components in the neutral form; in the above example, this implies
that the carboxylic acid is protonated. If this is not what you want (probably not in this example), you will
need to edit the mol2 file to remove the extra hydrogen, then re-run this back through antechamber. You may
need to re-optimize the structure (say with sqm) before this second step. We are working to prepare a library
with more useful protonation states; look for announcements on the Amber web site.
• You would also need to run parmchk2 (as described above) to obtain any missing force field parameters.
• This is a new feature, and will certainly fail for some fraction of the 17,000 components that are in the
components.cif file! Be sure to examine the outputs carefully, and expect to have failures.
14.4. Programs called by antechamber
The following programs are automatically called by antechamber when needed. Generally, you should not need
to run them yourself, unless problems arise and/or you want to fine-tune what antechamber does.
262
14.4. Programs called by antechamber
14.4.1. atomtype
Atomtype reads in an ac file and assigns the atom types. You may find the default definition files in
$AMBERHOME/dat/antechamber: ATOMTYPE_AMBER.DEF (AMBER), ATOMTYPE_GFF.DEF (general
AMBER force field). ATOMTYPE_GFF.DEF is the default definition file. It is pointed out that the usage of
atomtype is not limited to assign force field atom types, it can also be used to assign atom types in other
applications, such as QSAR and QSPR studies. The users can define their own atom type definition files
according to certain rules described in the above mentioned files.
atomtype -i input file name
-o output file name (ac)
-f input file format(ac (the default) or mol2)
-p amber or gaff or bcc or gas, it is suppressed by "-d" option
-d atom type definition file, optional
-a do post atom type adjustment when ’-d’ is used
1: yes, 0: no (the default)
Example:
atomtype -i sustiva_resp.ac -o sustiva_resp_at.ac -f ac -p amber
This command assigns atom types for sustiva_resp.ac with amber atom type definitions. The output file name is
sustiva_resp_at.ac
14.4.2. am1bcc
Am1bcc first reads in an ac or mol2 file with or without assigned AM1-BCC atom types and bond types. Then
the bcc parameter file (the default, BCCPARM.DAT is in $AMBERHOME/dat/antechamber) is read in. An ac file
with AM1-BCC charges [285,286] is written out. Be sure the charges in the input ac file are AM1-Mulliken
charges.
am1bcc -i input file name in ac format
-o output file name
-f output file format(pdb or ac, optional, default is ac)
-p bcc parm file name (optional))
-j atom and bond type judge option, default is 0)
0: No judgement
1: Atom type
2: Full bond type
3: Partial bond type
4: Atom and full bond type
5: Atom and partial bond type
Example:
am1bcc -i comp1.ac -o comp1_bcc.ac -f ac -j 4
This command reads in comp1.ac, assigns both atom types and bond types and finally performs bond charge
correction to get AM1-BCC charges. The ’-j’ option of 4, which is the default, means that both the atom and bond
type information in the input file is ignored and a full atom and bond type assignments are performed. The ’-j’
option of 3 and 5 implies that bond type information (single bond, double bond, triple bond and aromatic bond)
is read in and only a bond type adjustment is performed. If the input file is in mol2 format that contains the basic
bond type information, option of 5 is highly recommended. comp1_bcc.ac is an ac file with the final AM1-BCC
charges.
263
14. Antechamber and GAFF
14.4.3. bondtype
bondtype is a program to assign six bond types based upon the read in simple bond types from an ac or mol2
format with a flag of “-j part” or purely connectivity table using a flag of “-j full”. The six bond types as defined
in AM1-BCC [285,286] are single bond, double bond, triple bond, aromatic single, aromatic double bonds and
delocalized bond. This program takes an ac file or mol2 file as input and write out an ac file with the predicted bond
types. After the continually improved algorithm and code, the current version of bondtype can correctly assign
bond types for most organic molecules (>99% overall and >95% for charged molecules) in our tests.
Starting with Amber 10, bond type assignment is proceeded based upon residues. The bonds that link two
residues are assumed to be single bonded. This feature allows antechamber to handle residue-based molecules,
even proteins are possible. It also provides a remedy for some molecules that would otherwise fail: it can be
helpful to dissect the whole molecule into residues. Some molecules have more than one way to assign bond
types; for example, there are two ways to alternate single and double bonds for benzene. The assignment adopted
by bondtype is purely affected by the atom sequence order. To get assignments for other resonant structures, one
may freeze some bond types in an ac or mol2 input file (appending ’F’ or ’f’ to the corresponding bond types).
Those frozen bond types are ignored in the bond type assignment procedure. If the input molecules contain some
unusual elements, such as metals, the involved bonds are automatically frozen. This frozen bond feature enables
bondtype to handle unusual molecules in a practical way without simply producing an error message.
bondtype -i input file name
-o output file name
-f input file format (ac or mol2)
-j judge bond type level option, default is part
full full judgment
part partial judgment, only do reassignment according
to known bond type information in the input file
Example:
#! /bin/csh -fv
set mols = \‘/bin/ls *.ac\‘
foreach mol ($mols)
set mol_dir = $mol:r
antechamber -i $mol_dir.ac -fi ac -fo ac -o $mol_dir.ac -c mul
bondtype -i $mol_dir.ac -f ac -o $mol_dir.dat -j full
am1bcc -i $mol_dir.dat -o $mol_dir\_bcc.ac -f ac -j 0
end
exit(0)
The above script finds all the files with the extension of "ac", calculates the Mulliken charges using antechamber,
and predicts the atom and bond types with bondtype. Finally, AM1-BCC charges are generated by running am1bcc
to do the bond charge correction. More examples are provided in $AMBERHOME/test/antechamber/bondtype and
$AMBERHOME/test/antechamber/chemokine.
14.4.4. prepgen
Prepgen generates the prep input file from an ac file. By default, the program generates a mainchain itself.
However, you may also specify the main-chain atoms in the main chain file. From this file, you can also specify
which atoms will be deleted, and whether to do charge correction or not. In order to generate the amino-acid-like
residue (this kind of residue has one head atom and one tail atom to be connected to other residues), you need a
main chain file. Sample main chain files are in $AMBERHOME/dat/antechamber.
prepgen -i input file name(ac)
-o output file name
-f output file format (car or int, default: int)
264
14.4. Programs called by antechamber
-m mainchain file name
-rn residue name (default: MOL)
-rf residue file name (default: molecule.res)
-f -m -rn -rf are optional
Examples:
prepgen -i sustiva.ac -o sustiva_int.prep -f int -rn SUS -rf SUS.res
prepgen -i sustiva.ac -o sustiva_car.prep -f car -rn SUS -rf SUS.res
prepgen -i sustiva.ac -o sustiva_int_main.prep -f int -rn SUS
-rf SUS.res -m mainchain_sus.dat
prepgen -i ala_cm2_at.ac -o ala_cm2_int_main.prep -f int -rn ALA
-rf ala.res -m mainchain_ala.dat
The above commands generate different kinds of prep input files with and without specifying a main chain file.
14.4.5. espgen
Espgen reads in a gaussian (92,94,98,03) output file and extracts the ESP information. An esp file for the resp
program is generated.
espgen -i input file name
-o output file name
Example:
(1) espgen -i sustiva_g98.out -o sustiva.esp
(2) espgen -i ch3I.gesp -o ch3I.esp
Command (1) reads in sustiva_g98.out and writes out sustiva.esp, which can be used by the resp program. Com-
mand (2) reads in a gesp file generated by Gaussian 09 and outputs the esp file. Note that this program replaces
shell scripts formerly found on the AMBER web site that perform equivalent tasks.
14.4.6. respgen
Respgen generates the input files for two-stage resp fitting. Starting with Amber 10, the program supports a
single molecule with one or multiple conformations RESP fittings. Atom equivalence is recognized automatically.
Frozen charges and charge groups are read in with ’-a’ flag. If there are some frozen charges in the additional
input data file, a RESP charge file, QIN is generated as well. Here are flags to respgen:
-i input file name(ac)
-o output file name
-l maximum path length (default is -1, i.e. the path can be any long)
-f output file format
resp1 - first stage resp fitting
resp2 - second stage resp fitting
iresp1 - first stage i_resp fitting
iresp2 - second stage i_resp fitting
-e equalizing atomic charge (default is 1)
0 not use
1 by atomic paths
2 by atomic paths and geometry (such as E/Z configuration)
-a additional input data (predefined charges, atom groups etc)
-n number of conformations (default is 1)
-w weight of charge constraint
the default values are 0.0005 for resp1/iresp1 and 0.001 for
resp2/iresp2
265
14. Antechamber and GAFF
The following is a sample of additional respgen input file
//predefined charges in a format of (CHARGE partial_charge atom_ID atom_name)
CHARGE -0.417500 7 N1
CHARGE 0.271900 8 H4
CHARGE 0.597300 15 C5
CHARGE -0.567900 16 O2
//charge groups in a format of (GROUP num_atom net_charge),
//more than one group may be defined.
GROUP 10 0.00000
//atoms in the group in a format of (ATOM atom_ID atom_name)
ATOM 7 N1
ATOM 8 H4
ATOM 9 C3
ATOM 10 H5
ATOM 11 C4
ATOM 12 H6
ATOM 13 H7
ATOM 14 H8
ATOM 15 C5
ATOM 16 O2
Example:
respgen -i sustiva.ac -o sustiva.respin1 -f resp1
respgen -i sustiva.ac -o sustiva.respin2 -f resp2
resp -O -i sustiva.respin1 -o sustiva.respout1 -e sustiva.esp -t qout_stage1
resp -O -i sustiva.respin2 -o sustiva.respout2 -e sustiva.esp
-q qout_stage1 -t qout_stage2
antechamber -i sustiva.ac -fi ac -o sustiva_resp.ac -fo ac -c rc -cf qout_stage2
respgen -i acetamide.ac -o acetamide.respin1 -f resp1 -e 2
respgen -i acetamide.ac -o acetamide.respin2 -f resp2 -e 2
The above commands first generate the input files (sustiva.respin1 and sustiva.respin2) for resp fitting, then do two-
stage resp fitting and finally use antechamber to read in the resp charges and write out an ac file, sustiva_resp.ac.
A more complicated example has been provided in $AMBERHOME/test/antechamber/residuegen. The last two
’respgen’ commands generate resp input files for acetamide discriminating the two amide hydrogen atoms.
14.5. Miscellaneous programs
The Antechamber suite also contains some utility programs that perform various tasks in molecular mechanical
calculations. They are listed in alphabetical order.
14.5.1. acdoctor
Acdoctor reads in all kinds of file formats applied in the antechamber program and ’diagnose’ possible reasons
that cause antechamber failure. Molecular format is first checked for some commonly-used molecular formats,
such as pdb, mol2, mdl (sdf), etc. Then unusual elements (elements other than C, O, N, S, P, H, F, Cl, Br and I)
are checked for all the formats. Unfilled valence is checked when atom types and/or bond types are read in. Those
file formats include ac, mol2, sdf, prepi, prepc, mdl, alc and hin. Acdoctor also applies a more stringent criterion
than that utilized by antechamber to determine whether a bond is formed or not. A warning message is printed
out for those bonds that fail to meet the standard. Then acdoctor diagnoses if all atoms are linked together through
atomic paths. If not, an error message is printed out. This kind of errors typically imply that the input molecule
has one or several bonds missing. Finally, acdoctor tries to assign bond types and atom types for the input
266
14.5. Miscellaneous programs
molecule. If no error occurs during running bondtype and atomtype, presumably the input molecule should be
free from problems when running the other Antechamber programs. It is recommended to diagnose your
molecules with acdoctor when you encounter Antechamber failures.
Usage: acdoctor -i input file name
-f input file format
Example:
acdoctor -i test.mol2 -f mol2
The program reads in test.mol2 and checks the potential problem when running the Antechamber programs. Errors
and warning message are printed out. (Possbile file formats are listed above in Section 14.1.1.
14.5.2. parmcal
parmcal is an interactive program to calculate the bond length and bond angle parameters, according to the
rules outlined in Ref. [282].
Please select:
1. calculate the bond length parameter: A-B
2. calculate the bond angle parameter: A-B-C
3. exit
14.5.3. residuegen
It can be painful to prepare a modified amino acid or nucleotide; the complication is that a residue is not a free
standing molecule, and needs to be capped with extra atoms, usually at both termini. For “simple” systems, where
a single conformation can be used to estimate partial charges, the prepgen program described above with the “-m”
flag to specify which atoms to keep in the final residue. For more complex circumstances, the residuegen
facilitates residue topology generation. residuegen reads in an input file and applies a set of antechamber
programs to generate residue topologies in prepi format. The program can be applied to generate amino-acid-like
topologies for amino acids, nucleic acids and other polymers as well. An example is provided below and the file
format of the input file is also explained.
Usage: residuegen input_file
Example:
residuegen ala.input
This command reads in ala.input and generate residue topology for alanine. The file format of ala.input is
explained below.
#INPUT_FILE: structure file in ac format, generated from a Gaussian output
INPUT_FILE ala.ac
#CONF_NUM: Number of conformations utilized
CONF_NUM 2
#ESP_FILE: esp file generated from gaussian output with ’espgen’
# for multiple conformations, cat all CONF_NUM esp files onto ESP_FILE
ESP_FILE ala.esp
#SEP_BOND: bonds that separate residue and caps, input in a format of
# (Atom_Name1 Atom_Name2), where Atom_Name1 belongs to residue and
# Atom_Name2 belongs to a cap; must show up two times
SEP_BOND N1 C2
SEP_BOND C5 N2
#NET_CHARGE: net charge of the residue
NET_CHARGE 0
267
14. Antechamber and GAFF
#ATOM_CHARGE: predefined atom charge, input in a format of
#(Atom_Name Partial_Charge); can show up multiple times.
ATOM_CHARGE N1 -0.4175
ATOM_CHARGE H4 0.2719
ATOM_CHARGE C5 0.5973
ATOM_CHARGE O2 -0.5679
#PREP_FILE: prep file name
PREP_FILE: ala.prep
#RESIDUE_FILE_NAME: residue file name in PREP_FILE
RESIDUE_FILE_NAME: ala.res
#RESIDUE_SYMBOL: residue symbol in PREP_FILE
RESIDUE_SYMBOL: ALA
14.6. New Development of Antechamber And GAFF
One important of functions of Antechamber is to assign AM1-BCC charges for organic molecules. Openeye’s
Quacpak module can also assign AM1-BCC charges. The careful users may find that the charges assigned by the
two programs are only marginally different (the largest charge difference is smaller than 0.05) in most cases. The
difference is probably rooted from the difference of AM1 Mulliken charges. In unusual cases, large discrepancy
occurs (the largest charge difference is larger than 0.1). Recently, we have systematically studied 585 marketed
drugs using the both packages and the result is presented below. As the general AMBER force field is tightly
related to the antechamber package, the new development of the GAFF is also summarized here.
14.6.1. Extensive Test of AM1-BCC Charges
Three methods, namely Antechamber/Mopac (Mulliken charges are calculated by Mopac), Antechamber/Sqm
(Mulliken charges are calculated by sqm) and Openeye’s Quacpak have been applied to assign the AM1-BCC
charges for the 585 drug molecules. The first two methods give essentially similar charges for all the cases and
the average charge difference is 0.005. The Quacpak, on the other hand, has an average charge difference of
0.015 to Antechamber/Mopac. When compared to RESP charges, the average charge differences are 0.102 and
0.105 for Antechamber/Mopac and Quacpak, respectively. In AM1-BCC, five BCC parameters were adjusted in
order to improve agreement with the experimental free energies of solvation. Adjustments were made to bonds of
amine nitrogen-H and amine nitrogen-tetravalent carbon.[285,286] As a consequence, the average largest charge
differences between AM1-BCC and RESP charges are very big: 0.441 for Antechamber/Mopac and 0.452 for
Quacpak.
There are 71 molecules (12%) having the largest charge difference larger than 0.1 between Antechamber/Mopac
and Quacpak. In comparison with the RESP charges, the average charge differences of the 71 molecules are 0.107
and 0.129 for Antechamber/Mopac and Quacpack, respectively. As to the average largest charge differences, the
corresponding values are 0.444 and 0.522. It is clearly that Antechamber/Mopac-bcc has a similar average charge
differences to RESP for the whole data set and the 71-molecule subset (0.102 vs 0.107), in contrast, Quacpac has
a much larger average charge difference for the 71 molecules (0.129) than that of the whole data set (0.105). The
similar trend is observed for the average largest charge difference as well (0.441 vs 0.444 for Antechamber/Mopac
and 0.452 vs 0.522 for Quacpac).
14.6.2. New Development of GAFF
We have modified some parameters according to users’ feedback. We would like to thank users who provide
us nice feedback/suggestion, especially David Mobley and Gabriel Rocklin. This version (GAFF1.4) is a meta-
version between gaff1.0 and gaff2.0 and the following is the major changes:
1. All the sp2 carbon in a AR2 ring (such as pyrrole, furan, pyrazole) are either ’cc’ or ’cd’ atom types (not
’c2’ any more). This is suggested by Gabriel Rocklin from UCSF. This modification improves the planarity
of multiple-ring systems
268
14.7. Metal Center Parameter Builder (MCPB)
2. New van der Waals parameters have been developed for ’br’ and ’i’ atom types. The current parameters can
well reproduce the experimental density data of CH3Br (1.6755, 20 degree) and CH3I (2.2789, 20 degree):
1.642 for CH3Br and 2.25 for CH3I, in contrast, the old parameters give 1.31 and 1.84, respectively.[291]
3. New van der Waals parameters have been suggested by David Mobley for ’c1’, ’cg’ and ’ch’ atom types.[292]
4. We have performed B3LYP/6-31G* optimization for 15 thousands marketed or experimental drugs/bio-
actives. Reliable bond length and bond angle equilibrium parameters were obtained by statistics: each bond
length parameter must show up at least five times and has a rmsd smaller than 0.02 Å; each bond angle
parameter must show up at least five times and has a rmsd smaller than 2.5 degrees. Those new parameters
not showing up in old gaff were directly added into gaff 1.4; and some low-quality gaff parameters which
show up less than five times or have large rmsd values (>0.02 Å for bond length and >5 degrees for bond
angles) were replaced with those newly generated. In summary, 59 low quality bond stretching parameters
were replaced and 56 new parameters were introduced; 437 low quality bond bending parameters were
replaced and 618 new parameters were introduced.
14.7. Metal Center Parameter Builder (MCPB)
14.7.1. Introduction
The Metal Center Parameter Builder (MCPB) program provides a means to rapidly build, prototype, and validate
MM models of metalloproteins. It uses the bonded plus electrostatics model to expand existing pairwise additive
force fields. It was developed by Martin Peters at the University of Florida in the lab of Kenneth Merz Jr. MCPB
is described fully Ref. [284].
Why is it desirable to model metalloprotein systems using MM models and more precisely within the bonded
plus electrostatic model? Structure/function and dynamics questions that are not currently attainable using QM
or QM/MM based methods due to unavailability of parameters or system size can be answered. Force fields have
been developed for zinc, copper, nickel, iron and platinum containing systems using the bonded plus electrostatics
model.
Incorporating metals into protein force fields can seem a daunting task due to the plethora of QM Hamiltonians,
basis sets and charge models to choose from which the parameters are created. It was also generally carried out
by hand without extensive validation for specific metalloproteins. MCPB was developed to remove the latter and
create a framework in which to test various methods, basis sets and charges models in the creation of metalloprotein
force fields.
The MCPB program was built using the MTK++ Application Program Interface (API). For more information
regarding MTK++ and MCPB please see the MTK++ manual: $AMBERHOME/doc/MTKpp.pdf A more extensive
description of metalloproteins and the theory within MCPB can be found in sections 10 to 12 of the MTK++
manual.
14.7.2. Running MCPB
MCPB takes two command-line arguments. One is the control file, which is required and chosen with the -i
flag. The other is the log file, which is optional and chosen with the -l flag. A full listing of all the commands used
by MCPB can be obtained with the -f flag.
MCPB: Semi-automated tool for metalloprotein parametrization
usage: MCPB [flags] [options]
options:
-i script file
-l log file
flags:
-h help
-f function list
269
14. Antechamber and GAFF
Full details of a metalloprotein parametrization procedure using MCPB can be found in section 15.10 of the
MTK++ manual. This example describes the active site parametrization of a di-zinc system (PDB ID: 1AMP).
The parametrization is broken down into stages since several MCPB operations rely on the output of external
packages such as Gaussian and RESP. Most of the steps are carried out using MCPB but some require user input
and instruction.
270
15. Setting up crystal simulations
David S. Cerutti
Simulations of biomolecular crystals are in principle no different than any of the simulations that AMBER
does in periodic boundary conditions. However, the setup of these systems is not trivial and probably cannot
be accomplished with the LEaP software. Of principal importance are the construction of the solvent conditions
(packing precise amounts of multiple solvent species into the simulation cell), and tailoring the unit cell dimensions
to accommodate the inherently periodic nature of the system. The LEaP software, designed to construct simulations
of molecules in solution, will overlay a pre-equilibrated solvent mask over the (biomolecular) solute, tile that mask
throughout the simulation cell, and then prune solvent residues which clash with the solute. The result of this
procedure is a system which will likely contract under constant pressure dynamics as the pruning process has left
vacuum bubbles at the solute:solvent interface. Simulations of biomolecular crystals require that the simulation cell
begin at a size corresponding to the crystallographic unit cell, and deviate very little from that size over the course
of equilibration and onset of constant pressure dynamics. This demands a different strategy for placing solvent in
the simulation cell. Four programs in the AmberTools release are designed to accomplish this. An example of their
use in given in a web-based tutorial at http://ambermd.org/tutorials/advanced/tutorial13/XtalTutor1.html .
For brevity, only basic descriptions of the programs are given in this manual. All of the programs may be
run with command line input; the input options to each program may be listed by running each program with no
arguments.
15.1. UnitCell
A macromolecular crystal contains many repeating unit cells which stack like blocks in three dimensional space
just as simulation cells do in periodic boundary conditions. Each unit cell, in turn, may contain multiple symmetry-
related clusters of atoms. A PDB file contains one set of coordinates for the irreducible unit of the crystal, the
“asymmetric unit,” and also information about the crystal space group and unit cell dimensions. The UnitCell pro-
gram reads PDB files, seeking the SMTRY records within the REMARKs to enumerate the rotation and translation
operations which may be applied to the coordinates given in the PDB file to reconstuct one complete unit cell.
15.2. PropPDB
Simulations in periodic boundary conditions require a minimum unit cell size: the simulation cell must be able
to enclose a sphere of at least the nonbonded direct space cutoff radius plus a small buffer region for nonbonded
pairlist updates. Many biomolecular crystal unit cells come in “shoebox” dimensions that may have one very short
side; many unit cells are also not rectangular but triclinic, meaning that the size of the largest sphere they can
enclose is further reduced. For these reasons, and perhaps to ensure that the rigid symmetry imposed by periodic
boundary conditions does not create artifacts (crystallographic unit cells are equivalent when averaged over all
time and space, but are not necessarily identical at any given moment), it may be necessary to include multiple unit
cells within the simulation cell. This is the purpose of the PropPDB program: to propagate a unit cell in one or
more directions so that the complete simulation cell meets minimum size requirements.
15.3. AddToBox
The AddToBox program handles placement of solvent within a crystal unit cell or supercell (as may be created
by PropPDB). As described in the introduction, the basic strategy is to place solvent such that added solvent
271
15. Setting up crystal simulations
molecules do not clash with biomolecule solutes, but may clash with one another initially. This compromise is
necessary because enough solvent must be added to the system to ensure that the correct unit cell dimensions are
maintained in the long run, but it is not acceptable to place solvent within the interior of a biomolecule where it
might not belong and never escape.
The AddToBox program takes a PDB file providing the coordinates of a complete biomolecular unit cell or
supercell (argument -c), the dimensions by which that supercell repeats in space (-X, -Y, -Z for the three box
edge lengths, and -al, -bt, and -gm for the three unit cell angles), a PDB file describing the solvent residue to add
(argument -a), and the number of copies of that solvent molecule to add (argument -na). AddToBox inherently
assumes that the biomolecular unit cell it is initially presented may contain some amount of solvent already, and
according to the AMBER convention of listing macromolecular solute atoms first and solvent last assumes that
the first -P atoms in the file are the protein (or biomolecule). AddToBox will then color a very fine grid “black” if
the grid point is within a certain distance of a biomolecular atom (argument -RP) or other solvent atom (argument
-RW); the grid is “white” otherwise (the grid is stored in binary for memory efficiency). AddToBox will the make
a copy of the solvent residue and randomly rotate and translate it somewhere within the unit cell. If all atoms
of the solvent residue land on “white” grid voxels, the solvent molecule will become part of the system and the
grid around the newly added solvent will be blacked out accordingly. If the solvent molecule cannot be placed,
this process will be repeated until a million consecutive failures are encountered, at which point the program will
terminate. If AddToBox has not placed the requested number of solvent molecules by the time it terminates, the -V
option can be used to order the program to recursively call itself with progressively smaller solvent buffer distances
until all the requested solvent can be placed. The output of the AddToBox program is another PDB named by the
-o option.
Successful operation of AddToBox may take practice. If multiple solvent species are required, as is the case
with heterogenous crystallization solutions, AddToBox may be called repeatedly with each input molecular cell
being the previous call’s output. When considering crystal solvation, the order of addition is important! It is
recommended that rare species, such as trace buffer reagents, be added first, with large -RW argument to ensure that
they are dispersed throughout the available crystal void zones. Large solvent species such as MPD (an isohexane
diol commonly used in crystallization conditions) or should be added second, and with a sufficiently large -RW
argument that methyl groups and ring systems cannot become interlocked (which will likely lead to SHAKE /
vlimit errors). Small and abundant species such as water should be added last, as they can go anywhere that space
remains.
It is likely that the unobservable “void” regions between biomolecules in most crystals do not contain solvent
species in proportion to their abundance in the crystallization solution–the vast majority of these regions are within
a few Ångstroms of some biomolecular surface, and different biomolecular functional groups will preferentially
interact with some types of solvent over others. Also, in many crystals some solvent molecules are observed; in
many of these, the amount of solvent observed is such that it would be impossible to pack other species into the
unit cell in proportion to their abundances in the crystallization fluid. In these cases, we recommend estimating
the amount of volume that must be filled with solvent apart from solvent which has already been observed in the
crystal, and filling this void with solvent in proportion to the composition of the crystallization fluid. For example,
if a crystal were grown in a 1:1 mole-to-mole water/ethanol mixture, and the crystal coordinates as deposited in the
PDB contained 500 water molecules and 3 ethanol molecules, we would use AddToBox to add water and ethanol in
a 1:1 ratio until the system contained enough solvent to maintain the correct volume during equilibrium dynamics
at constant pressure.
Finally, it is difficult to estimate exactly how much solvent will be needed to maintain the correct equilibrium
volume; the advisable approach is simply to make an initial guess and script the setup so that, over multiple runs and
reconstructions, the correct system composition can be found. We recommend matching the equilibrium unit cell
volume to within 0.3% to keep this simulation parameter within the error of most crystallographic measurements.
While errors of 0.5-1% will show up quickly after constant pressure dynamics begin, a 10 to 20ns simulation may
be needed to ensure that the correct equilibrium volume has been achieved.
272
15.4. ChBox
15.4. ChBox
After the complex process of adding solvent, the LEaP program may be used to produce a topology and initial
set of coordinates based on the PDB file produced by AddToBox. By using the SetBox command, LEaP will create
a periodic system without adding any more solvent on its own. The only problem with using LEaP at this point
is that the program will fail to realize that the system does tile in three dimensions if only the box dimensions are
set properly. If visualized, the output of UnitCell / PropPDB will likely look jagged, but the output of AddToBox,
containing lots of added water, will make it obvious how parts of biomolecules jutting out one face of the box fit
neatly into open spaces on an opposite face. The topology produced by LEaP needs no editing; only the last line of
the coordinates does. This can be done manually, but the ChBox program automates the process, taking the same
coordinates supplied to AddToBox and grafting them into the input coordinates file.
273
16. Using the AMOEBA Force Field with AMBER
This section describes how to set up a system using the AMOEBA force field for use in the AMBER software.
See Section 18.8 for instructions on running simulations using the Amoeba force field after performing the setup
described in the following sections.
One of the prerequisites for running simulations with the AMOEBA force field is that you must have the TIN-
KER software suite installed (see http://dasher.wustl.edu/tinker/ for downloads and documentation). The rest
of these instructions will assume that you unpacked the TINKER source code into a directory defined by the
TINKER_HOME environment variable.
16.1. Installing TINKER
Download the TINKER source code (e.g., tinker-6.3.3.tar.gz) and untar it. For the purposes of these
instructions we will suppose that you are unpacking the source code in /home/myname. The installation steps are
enumerated and described below.
1. Unpack the tinker source code, move to the source code directory, and set the TINKER_HOME environment
variable
tar zxvf tinker-6.3.3.tar.gz
cd tinker
export TINKER_HOME=”‘pwd‘” # For sh, bash, zsh, ksh, etc.
setenv TINKER_HOME “‘pwd‘” # For csh, tcsh
2. Locate the appropriate set of compilation scripts for your platform and compiler. Compiling with gfortran on
a Mac, for instance, the installation scripts are located in $TINKER_HOME/macosx/gfortran whereas they
are located in $TINKER_HOME/linux/intel to use the Intel compilers on a Linux system. These scripts will
be used in the next step.
3. The instructions in this step assume the use of gfortran on a Linux machine—you may need to modify some
of these commands according to step 2 above. There are 3 steps for building the Tinker suite of programs;
the source code is first compiled into objects, the objects are collected into a library, and the programs are
created by linking the program objects with the Tinker library. The commands below perform these three
steps in order.
cd $TINKER_HOME/source
$TINKER_HOME/linux/gfortran/compile.make # Compiles source code
$TINKER_HOME/linux/gfortran/library.make # Creates libtinker.a library
$TINKER_HOME/linux/gfortran/link.make # Create TINKER programs
After executing these steps, all of the programs will have the suffix .x in the $TINKER_HOME/source direc-
tory.
4. The next step is to move all of the binaries. The rename script will remove the “.x” suffix and move all of
the programs into $TINKER_HOME/bin.
mkdir $TINKER_HOME/bin
$TINKER_HOME/linux/gfortran/rename.make
275
16. Using the AMOEBA Force Field with AMBER
16.2. Preparing the system with TINKER
The following subsections will outline the steps needed to create an Amber topology defining the AMOEBA
potential.
16.2.1. Convert PDB to XYZ
The first step (after installing TINKER) is to convert an input PDB file into a TINKER .xyz file. The procedure
described in Chapter 11 still applies to preparing PDB files for use with TINKER. You can also create a box of
solvent in a PDB file (using, for example, tleap or packmol) if you wish to simulate an explicitly solvated system.
If your PDB file is named 4LYT.pdb (for example), the following text demonstrates using the pdbxyz program
from Tinker. The first step is to generate a Tinker keyword file with the same prefix (4LYT in this example) as the
PDB file. The main purpose of the keyword file for our purposes is to define the parameter file to use.
[myname@machine]$ echo “parameters $TINKER_HOME/params/amoebapro13” > 4LYT.key
[myname@machine]$ $TINKER_HOME/bin/pdbxyz 4LYT
######################################################################
##########################################################################
### ###
### TINKER --- Software Tools for Molecular Design ###
## ##
## Version 6.3 February 2014 ##
## ##
## Copyright (c) Jay William Ponder 1990-2014 ##
### All Rights Reserved ###
### ###
##########################################################################
######################################################################
In this case, the input parameter database (in this example amoebapro13.prm), is defined inside
$TINKER_HOME/params (but Fortran programs do not expand environment variables, so the whole path must be
typed here). This program will generate two files, 4LYT.xyz and 4LYT.seq. The format of each of these files is
defined in the Tinker documentation, but the 4LYT.xyz file is the one that is needed for the next step.
TIP
If you plan on simulating an explicitly solvated system, an effective strategy is to use tleap to create the PDB
file with the solvent box. You can also have tleap save a topology and coordinate file using the Amber force field
as well. This will cause tleap to write the box lengths (and angles) to the bottom of the coordinate file as the last
line. An example is shown below.
60.3196490 71.0908570 64.4813050 90.0000000 90.0000000 90.0000000
This line shows that the box sides are 60.3×71.1×64.5Å in an orthorhombic box. You can then add the
following keywords to the 4LYT.key file, which needs to be set for the step described in Subsection 16.2.3. The
text that should be added to 4LYT.key is shown below
a-axis 60.32
b-axis 71.10
c-axis 64.49
16.2.2. Create the analout
The next step requires capturing the output of the analyze program in Tinker. The analyze program takes a
Tinker .xyz file and prints out details about the parameters. The following command will generate the analout file.
276
16.2. Preparing the system with TINKER
$TINKER_HOME/bin/analyze 4LYT PC > 4LYT.analout
16.2.3. Create the prmtop
The next step is to use tinker_to_amber (built as part of AmberTools) to create the topology file. If you are using
periodic boundary conditions, you may need to add the definition of at least the a-axis. This is described as a tip
following Subsection 16.2.1.
The tinker_to_amber program is run as shown below
tinker_to_amber -name 4LYT -title “4LYT Amoeba FF”
This step will generate the files 4LYT.prmtop and 4LYT.inpcrd. The information printed to the screen during the
execution of tinker_to_amber is diagnostic. It may be compared against the information printed to the topology
file, but is not needed for running calculations. You should also check that the box information printed to the inpcrd
file matches what you expect. If you created a topology and inpcrd file using the Amber force field as described in
the tip following Subsection 16.2.1, you can match the information in the UNIT_CELL_PARAMETERS section of the
inpcrd file with the last line of the Amber force field coordinate file.
277
Part IV.
Running simulations
279

17. sander
17.1. Introduction
This is a guide to sander, the Amber module which carries out energy minimization, molecular dynamics, and
NMR refinements. The acronym stands for Simulated Annealing with NMR-Derived Energy Restraints, but this
module is used for a variety of simulations that have nothing to do with NMR refinement. Some general features
are outlined in the following paragraphs:
1. Sander provides direct support for several force fields for proteins and nucleic acids, and for several water
models and other organic solvents. The basic force field implemented here has the following form, which is
about the simplest functional form that preserves the essential nature of molecules in condensed phases:
V(r) = ∑
bonds
Kb(b−b0)2+∑
angles
Kθ(θ−θo)2
+∑
dihedrals
(Vn/2)(1+cos[nφ−δ]
+∑
nonbi j
(Ai j/r12
i j )−(Bi j/r6
i j)+(qiqj/ri j)
"Non-additive" force fields based on atom-centered dipole polarizabilities can also be used. These add a
"polarization" term to what was given above:
Epol =−2∑
i
µi·Eio
where µiis an induced atomic dipole. In addition, charges that are not centered on atoms, but are off-center
(as for lone-pairs or "extra points") can be included in the force field.
2. The particle-mesh Ewald (PME) procedure (or, optionally, a "true" Ewald sum) is used to handle long-
range electrostatic interactions. Long-range van der Waals interactions are estimated by a continuum model.
Biomolecular simulations in the NVE ensemble (i.e.with Newtonian dynamics) conserve energy well over
multi-nanosecond runs without modification of the equations of motion.
3. Two periodic imaging geometries are included: rectangular parallelepiped and truncated octahedron (box
with corners chopped off). (Sander itself can handle many other periodically-replicating boxes, but input
and output support in LEaP and ptraj is only available right now for these two.) The size of the repeating unit
can be coupled to a given external pressure, and velocities can be coupled to a given external temperature
by several schemes. The external conditions and coupling constants can be varied over time, so various
simulated annealing protocols can be specified in a simple and flexible manner.
4. It is also possible to carry out non-periodic simulations in which aqueous solvation effects are represented
implicitly by a generalized Born/ surface area model by adding the following two terms to the "vacuum"
potential function:
∆Gsol =∑
i j
(1−1
ε)(qiqj/fGB(ri j ) + A∑
i
σi
281
17. sander
The first term accounts for the polar part of solvation (free) energy, designed to provide an approximation
for the reaction field potential, and the second represents the non-polar contribution which is taken to be
proportional to the surface area of the molecule.
5. Users can define internal restraints on bonds, valence angles, and torsions, and the force constants and target
values for the restraints can vary during the simulation. The relative weights of various terms in the force
field can be varied over time, allowing one to implement a variety of simulated annealing protocols in a
single run.
6. Internal restraints can be defined to be "time-averaged", that is, restraint forces are applied based on the aver-
aged value of an internal coordinate over the course of the dynamics trajectory, not only on its current value.
Alternatively, restraints can be "ensemble-averaged" using the locally-enhanced-sampling (LES) option.
7. Restraints can be directly defined in terms of NOESY intensities (calculated with a relaxation matrix tech-
nique), residual dipolar couplings, scalar coupling constants and proton chemical shifts. There are provi-
sions for handling overlapping peaks or ambiguous assignments. In conjunction with distance and angle
constraints, this provides a powerful and flexible approach to NMR structural refinements.
8. Replica exchange calculations can allow simultaneous sampling at a variety of conditions (such as tempera-
ture), and allow the user to construct Boltzmann samples in ways that converge more quickly than standard
MD simulations. Other variants of biased MD simulations can also be used to improve sampling.
9. Restraints can also be defined in terms of the root-mean-square coordinate distance from some reference
structure. This allows one to bias trajectories either towards or away from some target. Free energies can be
estimated from non-equilibrium simulations based on targetting restraints.
10. Free energy calculations, using thermodynamic integration (TI) with a linear or non-linear mixing of the
"unperturbed" and "perturbed" Hamiltonian, can be carried out. Alternatively, potentials of mean force can
be computed using umbrella sampling.
11. The empirical valence bond (EVB) scheme can be used to mix "diabatic" states into a potential that can
represent many types of chemical reactions that take place in enzymes.
12. QMMM Calculations where part of the system can be treated quantum mechanically allowing bond breaking
and formation during a simulation. Semi-empirical and DFTB Hamiltonians are provided directly within
sander. More advanced ab initio and DFT Hamiltonians are available via an interface to external QM
software packages.
13. Nuclear quantum effects can be included through path-integral molecular dynamics (PIMD) simulations,
and estimates of quantum time-correlation functions can be computed.
17.2. File usage
sander [-help] [-O] [-A] -i mdin -o mdout -p prmtop -c inpcrd -r restrt
-ref refc -mtmd mtmd -x mdcrd -y inptraj -v mdvel -frc mdfrc -e mden
-inf mdinfo -radii radii -cpin cpin -cpout cpout -cprestrt cprestrt
-evbin evbin -suffix suffix
-O Overwrite output files if they exist.
-A Append output files if they exist (used mainly for replica exchange).
Here is a brief description of the files referred to above; the first five files are used for every run, whereas the
remainder are only used when certain options are chosen.
mdin input control data for the min/md run
mdout output user readable state info and diagnostics -o stdout will send output to stdout (to the terminal) instead
of to a file.
282

17.3. Example input files
mdinfo output latest mdout-format energy info
prmtop input molecular topology, force field, periodic box type, atom and residue names
inpcrd input initial coordinates and (optionally) velocities and periodic box size
refc input (optional) reference coords for position restraints; also used for targeted MD
mtmd input (optional) containing list of files and parameters for targeted MD to multiple targets
mdcrd output coordinate sets saved over trajectory
inptraj input coordinate sets in trajectory format, when imin=5
mdvel output velocity sets saved over trajectory
mdfrc output force sets saved over trajectory
mden output extensive energy data over trajectory (not synchronized with mdcrd or mdvel)
restrt output final coordinates, velocity, and box dimensions if any - for restarting run
inpdip input polarizable dipole file, when indmeth=3
rstdip output polarizable dipole file, when indmeth=3
cpin input protonation state definitions
cprestrt protonation state definitions, final protonation states for restart (same format as cpin)
cpout output protonation state data saved over trajectory
evbin input input for EVB potentials
suffix output this string will be added to all unspecified output files that are printed (for multisander runs, it will
append this suffix to all output files)
17.3. Example input files
Here are a couple of sample files, just to establish a basic syntax and appearance. There are more examples of
NMR-related files later in this chapter.
1. Simple restrained minimization
Minimization with Cartesian restraints
&cntrl
imin=1, maxcyc=200, (invoke minimization)
ntpr=5, (print frequency)
ntr=1, (turn on Cartesian restraints)
restraint_wt=1.0, (force constant for restraint)
restraintmask=’:1-58’, (atoms in residues 1-58 restrained)
/
283
17. sander
2. "Plain" molecular dynamics run
molecular dynamics run
&cntrl
imin=0, irest=1, ntx=5, (restart MD)
ntt=3, temp0=300.0, gamma_ln=5.0, (temperature control)
ntp=1, taup=2.0, (pressure control)
ntb=2, ntc=2, ntf=2, (SHAKE, periodic bc.)
nstlim=500000, (run for 0.5 nsec)
ntwx=1000, ntpr=200, (output frequency)
/
3. Self-guided Langevin dynamics run
Self-guided Langevin dynamics run
&cntrl
imin=0, irest=0, ntx=1, (start LD)
ntt=3, temp0=300.0,gamma_ln=1.0, (temperature control)
ntc=3, ntf=3, (SHAKE)
nstlim=500000, (run for 0.5 nsec)
ntwx=1000, ntpr=200, (output frequency)
isgld=1, tsgavg=0.2,tempsg=400.0, (SGLD)
/
17.4. Namelist Input Syntax
Namelist provides list-directed input, and convenient specification of default values. It dates back to the early
1960’s on the IBM 709, but was regrettably not part of Fortran 77. It is a part of the Fortran 90 standard, and is
supported as well by most Fortran 77 compilers (including g77).
Namelist input groups take the form:
&name
var1=value, var2=value, var3(sub)=value,
var4(sub,sub,sub)=value,value,
var5=repeat*value,value,
/
The variables must be names in the Namelist variable list. The order of the variables in the input list is of no
significance, except that if a variable is specified more than once, later assignments may overwrite earlier ones.
Blanks may occur anywhere in the input, except embedded in constants (other than string constants, where they
count as ordinary characters).
It is common in older inputs for the ending "/" to be replaced by "&end"; this is non-standard-conforming.
Letter case is ignored in all character comparisons, but case is preserved in string constants. String constants
must be enclosed by single quotes (’). If the text string itself contains single quotes, indicate them by two consec-
utive single quotes, e.g. C1’ becomes ’C1”’ as a character string constant.
Array variables may be subscripted or unsubscripted. An unsubscripted array variable is the same as if the
subscript (1) had been specified. If a subscript list is given, it must have either one constant, or exactly as many
as the number in the declared dimension of the array. Bounds checking is performed for ALL subscript positions,
although if only one is given for a multi-dimension array, the check is against the entire array size, not against
the first dimension. If more than one constant appears after an array assignment, the values go into successive
locations of the array. It is NOT necessary to input all elements of an array.
Any constant may optionally be preceded by a positive (1,2,3,..) integer repeat factor, so that, for example,
25*3.1415 is equivalent to twenty-five successive values 3.1415. The repeat count separator, *, may be preceded
284
17.5. Overview of the information in the input file
and followed by 0 or more blanks. Valid LOGICAL constants are 0, F, .F., .FALSE., 1, T, .T., and .TRUE.; lower
case versions of these also work.
17.5. Overview of the information in the input file
General minimization and dynamics input
One or more title lines, followed by the (required) &cntrl and (optional) &pb, &ewald, &qmmm, &amoeba
or &debugf namelist blocks. Described in Sections 17.6 and 17.7.
Varying conditions
Parameters for changing temperature, restraint weights, etc., during the MD run. Each parameter is specified
by a separate &wt namelist block, ending with &wt type=’END’, /. Described in Section 17.8.
File redirection
TYPE=filename lines. Section ends with the first non-blank line which does not correspond to a recognized
redirection. Described in Section 17.9.
Group information
Read if ntr,ibelly or idecomp are set to non-zero values, and if some other conditions are satisfied; see
sections on these variables, below. Described in Appendix 19.3.
17.6. General minimization and dynamics parameters
Each of the variables listed below is input in a namelist statement with the namelist identifier &cntrl.cmmu can
enter the parameters in any order, using keyword identifiers. Variables that are not given in the namelist input
retain their default values. Support for namelist input is included in almost all current Fortran compilers, and is a
standard feature of Fortran 90. A detailed description of the namelist convention is given in Appendix A.
In general, namelist input consists of an arbitrary number of comment cards, followed by a record whose first
seven characters after a " &" (e.g. " &cntrl ") name a group of variables that can be set by name.cmsys is followed
by statements of the form " maxcyc=500, diel=2.0, ... ", and is concluded by an " / " token. The first line of
input contains a title, which is then followed by the &cntrl namelist. Note that the first character on each line of a
namelist block must be a blank.
Some of the options and variables are much more important, and commonlycmrdified, than are others. We have
denoted the "common" options by printing them in boldface below. In general, you can skip reading about the
non-bold options on a first pass, and you should change these from their defaults only if you think you know what
you are doing.
17.6.1. General flags describing the calculation
imin Flag to run minimization.
= 0 (default) Run molecular dynamics without any minimization.
= 1 Perform an energy minimization.
= 5 Read in a trajectory for analysis.
Although sander will write energy information in the output files (using ntpr), it is often desirable
to calculate the energies of a set of structures at a later point. In particular, one may wish to
post-process a set of structures using a different energy function than was used to generate the
structures. An example of this is MM-PBSA analysis, where the explicit water is removed and
replaced with a continuum model.
If imin is set to 5, sander will read a trajectory file (the “inptraj” argument, specified using -y
on the command line), and will perform the functions described in the mdin file (e.g., an energy
285
17. sander
minimization) for each of the structures in this file. The final structure from each minimization
will be written out to the normal mdcrd file. If you wish to read in a binary (i.e., NetCDF format)
trajectory, be sure to set ioutfm to 1 (see below). Note that this will result in the output trajectory
having NetCDF format as well.
For example, when imin = 5 and maxcyc = 1000, sander will minimize each structure in the
trajectory for 1000 steps and write a minimized coordinate set for each frame to the mdcrd file.
If maxcyc = 1, the output file can be used to extract the energies of each of the coordinate sets in
the inptraj file.
Trajectories containing box coordinates can be post-processed. In order to read trajectories with
box coordinates, ntb should be greater than 0.
IMPORTANT CAVEAT: The initial coordinates input file used (-c <inpcrd>) should be the
same as the initial coordinates input file usedto generate the original trajectory. This is because
sander sets up parameters for PME from the box coordinates in the initial coordinates input file.
nmropt
= 0 (default) No nmr-type analysis will be done.
= 1 NMR restraints and weight changes will be read.
= 2 NMR restraints, weight changes, NOESY volumes, chemical shifts and residual dipolar restraints
will be read.
17.6.2. Nature and format of the input
ntx Option to read the initial coordinates, velocities and box size from the inpcrd file. Option 1 must be
used when one is starting from minimized or model-built coordinates. If an MD restrt file is used
as inpcrd, then option 5 is generally used (unless you explicitly wish to ignore the velocities that are
present).
= 1 (default) Coordinates, but no velocities, will be read; either formatted (ASCII) files or NetCDF
files can be used, as the input file type will be auto-detected.
= 5 Coordinates and velocities will be read from either a NetCDF or a formatted (ASCII) coordinate
file. Box information will be read if ntb >0. The velocity information will only be used if irest
= 1 (see below).
irest Flag to restart a simulation.
= 0 (default) Do not restart the simulation; instead, run as a new simulation. Velocities in the input
coordinate file, if any, will be ignored, and the time step count will be set to 0 (unless overridden
by t; see below).
= 1 Restart the simulation, reading coordinates and velocities from a previously saved restart file. The
velocity information is necessary when restarting, so ntx (see above) must be 4 or higher if irest
= 1.
17.6.3. Nature and format of the output
ntxo Format of the final coordinates, velocities, and box size (if constant volume or pressure run) written to
file "restrt".
= 1 (default) Formatted (ASCII)
= 2 NetCDF file (recommended, unless you have a workflow that requires the formatted form.)
ntpr Every ntpr steps, energy information will be printed in human-readable form to files "mdout" and
"mdinfo". "mdinfo" is closed and reopened each time, so it always contains the most recent energy
and temperature. Default 50.
286
17.6. General minimization and dynamics parameters
ntave Every ntave steps of dynamics, running averages of average energies and fluctuations over the last
ntave steps will be printed out. A value of 0 disables this printout. Setting ntave to a value 1/2 or 1/4
of nstlim provides a simple way to look at convergence during the simulation. Default = 0 (disabled).
ntwr Every ntwr steps during dynamics, the “restrt” file will be written, ensuring that recovery from a crash
will not be so painful. No matter what the value of ntwr, a restrt file will be written at the end of the
run, i.e., after nstlim steps (for dynamics) or maxcyc steps (for minimization). If ntwr <0, a unique
copy of the file, “restrt_<nstep>”, is written every abs(ntwr) steps. This option is useful if for example
one wants to run free energy perturbations from multiple starting points or save a series of restrt files
for minimization. Default = 500.
iwrap If iwrap = 1, the coordinates written to the restart and trajectory files will be "wrapped" into a primary
box. This means that for each molecule, its periodic image closest to the middle of the "primary box"
(with x coordinates between 0 and a, y coordinates between 0 and b, and z coordinates between 0
and c) will be the one written to the output file. This often makes the resulting structures look better
visually, but has no effect on the energy or forces. Performing such wrapping, however, can mess
up diffusion and other calculations. If iwrap = 0, no wrapping will be performed, in which case it is
typical to use cpptraj as a post-processing program to translate molecules back to the primary box.
For very long runs, setting iwrap = 1 may be required to keep the coordinate output from overflowing
the trajectory and restart file formats, especially if trajectories are written in ASCII format instead of
NetCDF (see also the ioutfm option). Default = 0.
ntwx Every ntwx steps, the coordinates will be written to the mdcrd file. If ntwx = 0, no coordinate trajectory
file will be written. Default = 0.
ntwv Every ntwv steps, the velocities will be written to the mdvel file. If ntwv = 0, no velocity trajectory
file will be written. If ntwv = -1, velocities will be written to mdcrd, which then becomes a combined
coordinate/velocity trajectory file, at the interval defined by ntwx. This option is available only for
binary NetCDF output (ioutfm = 1). Most users will have no need for a velocity trajectory file and so
can safely leave ntwv at the default. Default = 0. Note that dumping velocities frequently, like forces
or coordinates, will introduce potentially significant I/O and communication overhead, hurting both
performance and parallel scaling.
ntwf Every ntwf steps, the coordinates will be written to the mdfrc file. If ntwf = 0, no force trajectory
file will be written. If ntwf = -1, forces will be written to the mdcrd, which then becomes a combind
coordinate/force trajectory file, at the interval defined by ntwx. This option is available only for binary
NetCDF output (ioutfm = 1). Most users will have no need for a force trajectory file and so can
safely leave ntwf at the default. Default = 0. Note that dumping forces frequently, like velocities
or coordinates, will introduce potentially significant I/O and communication overhead, hurting both
performance and parallel scaling.
ntwe Every ntwe steps, the energies and temperatures will be written to file "mden" in a compact form. If
ntwe = 0 then no mden file will be written. Note that energies in the mden file are not synchronized
with coordinates or velocities in the mdcrd or mdvel file(s). Assuming identical ntwe and ntwx values
the energies are one time step before the coordinates (as well as the velocities which are synchronized
with the coordinates). Consequently, an mden file is rarely written. Default = 0.
ioutfm The format of coordinate and velocity trajectory files (mdcrd, mdvel and inptraj). As of Amber 9,
the binary format used in previous versions is no longer supported; binary output is now in NetCDF
trajectory format. While not the default option, binary trajectory files have many advantages: they are
smaller, higher precision, much faster to read and write, and able to accept a wider range of coordinate
(or velocity) values than formatted trajectory files.
= 0 (default) Formatted ASCII trajectory
= 1 Binary NetCDF trajectory
287
17. sander
ntwprt The number of atoms to include in trajectory files (mdcrd and mdvel). This flag can be used to decrease the
size of the these files, by including only the first part of the system, which is usually of greater interest (for
instance, one might include only the solute and not the solvent). If ntwprt = 0, all atoms will be included.
= 0 (default) Include all atoms of the system when writing trajectories.
> 0 Include only atoms 1 to ntwprt when writing trajectories.
idecomp Perform energy decomposition according to a chosen scheme. In former distributions this option was
only really useful in conjunction with mm_pbsa, where it is turned on automatically if required. Now, a
decomposition of h∂V/∂ λ ion a per-residue basis in thermodynamic integration (TI) simulations is also
possible.[293] The options are:
= 0 (default) Do not decompose energies.
= 1 Decompose energies on a per-residue basis; 1-4 EEL + 1-4 VDW are added to internal (bond, angle,
dihedral) energies.
= 2 Decompose energies on a per-residue basis; 1-4 EEL + 1-4 VDW are added to EEL and VDW.
= 3 Decompose energies on a pairwise per-residue basis; otherwise equivalent to idecomp = 1. Not available
in TI simulations.
= 4 Decompose energies on a pairwise per-residue basis; otherwise equivalent to idecomp = 2. Not available
in TI simulations.
If energy decomposition is requested, residues may be chosen by the RRES and/or LRES card. The RES
card is used to select the residues about which information is written out. See chapters 21.1 or 30 for more
information. Use of idecomp >0 is incompatible with ntr >0 or ibelly >0.
17.6.4. Frozen or restrained atoms
ibelly Flag for belly type dynamics. If set to 1, a subset of the atoms in the system will be allowed to
move, and the coordinates of the rest will be frozen. The moving atoms are specified bellymask. This
option is not available when igb>0. Note also that this option does not provide any significant speed
advantage, and is maintained primarily for backwards compatibility with older version of Amber.
Most applications should use the ntr variable instead to restrain parts of the system to stay close to
some initial configuration. Default = 0.
ntr Flag for restraining specified atoms in Cartesian space using a harmonic potential, if ntr > 0. The re-
strained atoms are determined by the restraintmask string. The force constant is given by restraint_wt.
The coordinates are read in "restrt" format from the "refc" file. Default = 0.
restraint_wt The weight (in kcal/mol −Å2) for the positional restraints. The restraint is of the form k(∆x)2, where
kis the value given by this variable, and ∆xis the difference between one of the Cartesian coordinates
of a restrained atom and its reference position. There is a term like this for each Cartesian coordinate
of each restrainted atom.
restraintmask String that specifies the restrained atoms when ntr=1.
bellymask String that specifies the moving atoms when ibelly=1.
The syntax for both restraintmask and bellymask is given in Section 19.1.1. Note that these mask
strings are limited to a maximum of 256 characters.
17.6.5. Energy minimization
maxcyc The maximum number of cycles of minimization. Default = 1.
ncyc If NTMIN is 1 then the method of minimization will be switched from steepest descent to conjugate
gradient after NCYC cycles. Default 10.
288
17.6. General minimization and dynamics parameters
ntmin Flag for the method of minimization.
= 0 Full conjugate gradient minimization. The first 4 cycles are steepest descent at the start of the run
and after every nonbonded pairlist update.
= 1 For NCYC cycles the steepest descent method is used then conjugate gradient is switched on
(default).
= 2 Only the steepest descent method is used.
= 3 The XMIN method is used, see Section 20.6.1.
= 4 The LMOD method is used, see Section 20.6.2.
dx0 The initial step length. If the initial step length is too big then will give a huge energy; however the
minimizer is smart enough to adjust itself. Default 0.01.
drms The convergence criterion for the energy gradient: minimization will halt when the root-mean-square
of the Cartesian elements of the gradient is less than DRMS. Default 1.0E-4 kcal/mole-Å
17.6.6. Molecular dynamics
nstlim Number of MD-steps to be performed. Default 1.
nscm Flag for the removal of translational and rotational center-of-mass (COM) motion at regular intervals
(default is 1000). For non-periodic simulations, after every NSCM steps, translational and rotational
motion will be removed. For periodic systems, just the translational center-of-mass motion will be
removed. This flag is ignored for belly simulations.
For Langevin dynamics, the position of the center-of-mass of the molecule is reset to zero every NSCM
steps, but the velocities are not affected. Hence there is no change to either the translation or rotational
components of the momenta. (Doing anything else would destroy the way in which temperature is
regulated in a Langevin dynamics system.) The only reason to even reset the coordinates is to prevent
the molecule from diffusing so far away from the origin that its coordinates overflow the format used
in restart or trajectory files.
t The time at the start (psec) this is for your own reference and is not critical. Start time is taken from
the coordinate input file if IREST=1. Default 0.0.
dt The time step (psec). Recommended MAXIMUM is .002 if SHAKE is used, or .001 if it isn’t. Note
that for temperatures above 300K, the step size should be reduced since greater temperatures mean
increased velocities and longer distance traveled between each force evaluation, which can lead to
anomalously high energies and system blowup. Default 0.001.
nrespa This variable allows the user to evaluate slowly-varying terms in the force field less frequently. For
PME, "slowly-varying" (now) means the reciprocal sum. For generalized Born runs, the "slowly-
varying" forces are those involving derivatives with respect to the effective radii, and pair interactions
whose distances are greater than the "inner" cutoff, currently hard-wired at 8 Å. If NRESPA>1 these
slowly-varying forces are evaluated every nrespa steps. The forces are adjusted appropriately, leading
to an impulse at that step. If nrespa*dt is less than or equal to 4 fs the energy conservation is not
seriously compromised. However if nrespa*dt >4 fs the simulation becomes less stable. Note that
energies and related quantities are only accessible every nrespa steps, since the values at other times
are meaningless.
17.6.7. Temperature regulation
ntt Switch for temperature scaling. Note that setting ntt=0 corresponds to the microcanonical (NVE) en-
semble (which should approach the canonical one for large numbers of degrees of freedom). Some
289
17. sander
aspects of the "weak-coupling ensemble" (ntt=1) have been examined, and roughly interpolate be-
tween the microcanonical and canonical ensembles.[294,295] The ntt=2 and 3 options correspond to
the canonical (constant T) ensemble.
= 0 Constant total energy classical dynamics (assuming that ntb<2, as should probably always be the
case when ntt=0).
= 1 Constant temperature, using the weak-coupling algorithm.[296] A single scaling factor is used
for all atoms. Note that this algorithm just ensures that the total kinetic energy is appropriate
for the desired temperature; it does nothing to ensure that the temperature is even over all parts
of the molecule. Atomic collisions will tend to ensure an even temperature distribution, but
this is not guaranteed, and there are many subtle problems that can arise with weak temperature
coupling.[297] Using ntt=1 is especially dangerous for generalized Born simulations, where
there are no collisions with solvent to aid in thermalization.) Other temperature coupling options
(especially ntt=3) should be used instead.
= 2 Andersen temperature coupling scheme,[298] in which imaginary "collisions" randomize the ve-
locities to a distribution corresponding to temp0 every vrand steps. Note that in between these
"massive collisions", the dynamics is Newtonian. Hence, time correlation functions (etc.) can be
computed in these sections, and the results averaged over an initial canonical distribution. Note
also that too high a collision rate (too small a value of vrand) will slow down the speed at which
the molecules explore configuration space, whereas too low a rate means that the canonical dis-
tribution of energies will be sampled slowly. A discussion of this rate is given by Andersen.[299]
= 3 Use Langevin dynamics with the collision frequency γgiven by gamma_ln, discussed below.
Note that when γhas its default value of zero, this is the same as setting ntt = 0. Since Langevin
simulations are highly susceptible to "synchronization" artifacts,[300,301] you should explicitly
set the ig variable (described below) to a different value at each restart of a given simulation.
temp0 Reference temperature at which the system is to be kept, if ntt >0. Note that for temperatures above
300K, the step size should be reduced since increased distance traveled between evaluations can lead
to SHAKE and other problems. Default 300.
temp0les This is the target temperature for all LES particles (see Chapter 6). If temp0les<0, a single temperature
bath is used for all atoms, otherwise separate thermostats are used for LES and non-LES particles.
Default is -1, corresponding to a single (weak-coupling) temperature bath.
tempi Initial temperature. For the initial dynamics run, (NTX .lt. 3) the velocities are assigned from a
Maxwellian distribution at TEMPI K. If TEMPI = 0.0, the velocities will be calculated from the forces
instead. TEMPI has no effect if NTX .gt. 3. Default 0.0.
ig The seed for the pseudo-random number generator. The MD starting velocity is dependent on the
random number generator seed if NTX .lt. 3 .and. TEMPI .ne. 0.0. The value of this seed also affects
the set of pseudo-random values used for Langevin dynamics or Andersen coupling, and hence should
be set to a different value on each restart if ntt = 2 or 3. Default 71277. If ig=-1, the random seed will
be based on the current date and time, and hence will be different for every run. It is recommended
that, unless you specifically desire reproducibility, that you set ig=-1 for all runs involving ntt=2 or 3.
tautp Time constant, in ps, for heat bath coupling for the system, if ntt = 1. Default is 1.0. Generally, values
for TAUTP should be in the range of 0.5-5.0 ps, with a smaller value providing tighter coupling to
the heat bath and, thus, faster heating and a less natural trajectory. Smaller values of TAUTP result in
smaller fluctuations in kinetic energy, but larger fluctuations in the total energy. Values much larger
than the length of the simulation result in a return to constant energy conditions.
gamma_ln The collision frequency γ, in ps−1, when ntt = 3. A simple Leapfrog integrator is used to propagate the
dynamics, with the kinetic energy adjusted to be correct for the harmonic oscillator case.[302,303]
Note that it is not necessary that γapproximate the physical collision frequency, which is about 50
290
17.6. General minimization and dynamics parameters
ps−1for liquid water. In fact, it is often advantageous, in terms of sampling or stability of integration,
to use much smaller values, around 2 to 5 ps−1.[303,304] Default is 0.
vrand If vrand>0and ntt=2, the velocities will be randomized to temperature TEMP0 every vrand steps.
Default is 1000.
vlimit If not equal to 0.0, then any component of the velocity that is greater than abs(VLIMIT) will be reduced
to VLIMIT (preserving the sign). This can be used to avoid occasional instabilities in molecular
dynamics runs. VLIMIT should generally be set to a value like 20 (the default), which is well above
the most probable velocity in a Maxwell-Boltzmann distribution at room temperature. A warning
message will be printed whenever the velocities are modified. Runs that have more than a few such
warnings should be carefully examined.
17.6.8. Pressure regulation
In "constant pressure" dynamics, the volume of the unit cell is adjusted (by small amounts on each step) to make
the computed pressure approach the target pressure, pres0. Equilibration with ntp >0 is generally necessary to
adjust the density of the system to appropriate values. Note that fluctuations in the instantaneous pressure on each
step will appear to be large (several hundred bar), but the average value over many steps should be close to the
target pressure. Pressure regulation only applies when Constant Pressure periodic boundary conditions are used
(ntp > 0). The two available pressure coupling algorithms available in Amber are of the “weak-coupling” variety,
analogous to temperature coupling,[296] and the use of the Monte Carlo barostat (a new addition to Amber 14).
While the Berendsen barostat yields the correct target density, it does not strictly sample from the isothermal-
isobaric ensemble and typically yields volume fluctuations that are too low. The Monte Carlo barostat, on the
other hand, samples rigorously from the isobaric-isothermal ensemble and does not necessitate computing the
virial. Please note: in general you will need to equilibrate the temperature to something like the final temperature
using constant volume (ntp=0) before switching on constant pressure simulations to adjust the system to the correct
density. If you fail to do this, the program will try to adjust the density too quickly, and bad things (such as SHAKE
failures) are likely to happen.
ntp Flag for constant pressure dynamics. This option should be set to 1 or 2 when Constant Pressure
periodic boundary conditions are used.
= 0 No pressure scaling (Default)
= 1 md with isotropic position scaling
= 2 md with anisotropic (x-,y-,z-) pressure scaling: this should only be used with orthogonal boxes
(i.e. with all angles set to 90 degrees). Anisotropic scaling is primarily intended for non-isotropic
systems, such as membrane simulations, where the surface tensions are different in different
directions; it is generally not appropriate for solutes dissolved in water.
= 3 md with semiisotropic pressure scaling: this is only available with constant surface tension
(csurften > 0) and orthogonal boxes. This links the pressure coupling in the two directions
tangential to the interface.
barostat Flag used to control which barostat to use in order to control the pressure.
= 1 Berendsen (Default)
= 2 Monte Carlo barostat
mcbarint Number of steps between volume change attempts performed as part of the Monte Carlo barostat.
Default is 100.
pres0 Reference pressure (in units of bars, where 1 bar ≈0.987 atm) at which the system is maintained (
when NTP >0). Default 1.0.
comp compressibility of the system when NTP >0. The units are in 1.0 × 10-6 bar-1; a value of 44.6 (default)
is appropriate for water.
291
17. sander
taup Pressure relaxation time (in ps), when NTP >0. The recommended value is between 1.0 and 5.0
psec. Default value is 1.0, but larger values may sometimes be necessary (if your trajectories seem
unstable).
Surface tension regulation
Constant surface tension is used in statistical ensembles for simulating liquid interfaces. This is primarily in-
tended for lipid membrane simulations with two or more interfaces. Constant surface tension is only available for
simulations with anisotropic pressure or semiisotropic scaling. This algorithm is an extension to the Berendsen
pressure scaling algorithm that adjusts the tangential pressure evaluation in order to maintain a “constant” surface
tension.[305] Since the surface tension is a function of the pressure tensor, fluctuations of the surface tension will
be large.
In order to use constant surface tension, periodic boundary conditions (ntb = 2), anisotropic or semiisotropic
pressure scaling (ntp = 2 or ntp =3), and an orthogonal box must be used.
csurften Flag for constant surface tension dynamics.
= 0 No constant surface tension (default)
= 1 Constant surface tension with interfaces in the yz plane
= 2 Constant surface tension with interfaces in the xz plane
= 3 Constant surface tension with interfaces in the xy plane
gamma_ten Surface tension value in units of dyne/cm. Default value is 0.0 dyne/cm.
ninterface Number of interfaces in the periodic box. There must be at least two interfaces in the periodic box.
Two interfaces is appropriate for a lipid bilayer system and is the default value.
17.6.9. SHAKE bond length constraints
ntc Flag for SHAKE to perform bond length constraints.[306] (See also NTF in the Potential function
section. In particular, typically NTF = NTC.) The SHAKE option should be used for most MD cal-
culations. The size of the MD timestep is determined by the fastest motions in the system. SHAKE
removes the bond stretching freedom, which is the fastest motion, and consequently allows a larger
timestep to be used. For water models, a special "three-point" algorithm is used.[307] Consequently,
to employ TIP3P set NTF = NTC = 2.
Since SHAKE is an algorithm based on dynamics, the minimizer is not aware of what SHAKE is
doing; for this reason, minimizations generally should be carried out without SHAKE. One exception
is short minimizations whose purpose is to remove bad contacts before dynamics can begin.
For parallel versions of sander only intramolecular atoms can be constrained. Thus, such atoms must
be in the same chain of the originating PDB file.
= 1 SHAKE is not performed (default)
= 2 bonds involving hydrogen are constrained
= 3 all bonds are constrained (not available for parallel or qmmm runs in sander)
tol Relative geometrical tolerance for coordinate resetting in shake. Recommended maximum: <0.00005
Angstrom Default 0.00001.
jfastw Fast water definition flag. By default, the system is searched for water residues, and special routines
are used to SHAKE these systems.[307]
= 0 Normal operation. Waters are identified by the default names (given below), unless they are
redefined, as described below.
= 4 Do not use the fast SHAKE routines for waters.
292
17.6. General minimization and dynamics parameters
The following variables allow redefinition of the default residue and atom names used by the program
to determine which residues are waters.
WATNAM The residue name the program expects for water. Default ’WAT ’.
OWTNM The atom name the program expects for the oxygen of water. Default ’O ’.
HWTNM1 The atom name the program expects for the 1st H of water. Default ’H1 ’.
HWTNM2 The atom name the program expects for the 2nd H of water. Default ’H2 ’.
noshakemask String that specifies atoms that are not to be shaken (assuming that ntc>1). Any bond that would
otherwise be shaken by virtue of the ntc flag, but which involves an atom flagged here, will *not* be
shaken. The syntax for this string is given in Chap. 13.5. Default is an empty string, which matches
nothing. A typical use would be to remove SHAKE constraints from all or part of a solute, while still
shaking rigid water models like TIPnP or SPC/E. Another use would be to turn off SHAKE constraints
for the parts of the system that are being changed with thermodynamic integration, or which are the
EVB or quantum regions of the system.
If this option is invoked, then all parts of the potential must be evaluated, that is, ntf must be one. The
code enforces this by setting ntf to 1 when a noshakemask string is present in the input.
If you want the noshakemask to apply to all or part of the water molecules, you must also set jfastw=4,
to turn off the special code for water SHAKE. (If you are not shaking waters, you presumably also want
to issue the "set default FlexibleWater on" command in LEaP; see that chapter for more information.)
17.6.10. Water cap
ivcap Flag to control cap option. The "cap" refers to a spherical portion of water centered on a point in
the solute and restrained by a soft half-harmonic potential. For the best physical realism, this option
should be combined with igb=10, in order to include the reaction field of waters that are beyond the
cap radius.
= 0 Cap will be in effect if it is in the prmtop file (default).
= 1 With this option, a cap can be excised from a larger box of water. For this, cutcap (i.e., the
radius of the cap), xcap, ycap, and zcap (i.e., the location of the center of the cap) need to be
specified in the &cntrl namelist. Note that the cap parameters must be chosen such that the
whole solute is covered by solvent. Solvent molecules (and counterions) located outside the
cap are ignored. Although this option also works for minimization and dynamics calculations
in general, it is intended to post-process snapshots in the realm of MM-PBSA to get a linear-
response approximation of the solvation free energy, output as ’Protein-solvent interactions’.
= 2 Cap will be inactivated, even if parameters are present in the prmtop file.
= 5 With this option, a shell of water around a solute can be excised from a larger box of water. For
this, cutcap (i.e., the thickness of the shell) needs to be specified in the &cntrl namelist. Solvent
molecules (and counterions) located outside the cap are ignored. This option only works for a
single-step minimization. It is intended to post-process snapshots in the realm of MM-PBSA
to get a linear-response approximation of the solvation free energy, output as ’Protein-solvent
interactions’.
fcap The force constant for the cap restraint potential.
cutcap Radius of the cap, if ivcap=1 is used.
xcap,ycap,zcap Location of the cap center, if ivcap=1 is used.
293
17. sander
17.6.11. NMR refinement options
(Users to should consult the section NMR refinement to see the context of how the following parameters would
be used.)
iscale Number of additional variables to optimize beyond the 3N structural parameters. (Default = 0). At
present, this is only used with residual dipolar coupling and CSA or pseudo-CSA restraints.
noeskp The NOESY volumes will only be evaluated if mod(nstep, noeskp) = 0; otherwise the last computed
values for intensities and derivatives will be used. (default = 1, i.e. evaluate volumes at every step)
ipnlty This parameter determines the the functional form of the penalty function for NOESY volume and
chemical shift restraints.
= 1 the program will minimize the sum of the absolute values of the errors; this is akin to minimizing
the crystallographic R-factor (default).
= 2 the program will optimize the sum of the squares of the errors.
= 3 For NOESY intensities, the penalty will be of the form awt[I1/6
c−I1/6
o]2. Chemical shift penalties
will be as for ipnlty=1.
mxsub Maximum number of submolecules that will be used. This is used to determine how much space to
allocate for the NOESY calculations. Default 1.
scalm "Mass" for the additional scaling parameters. Right now they are restricted to all have the same value.
The larger this value, the slower these extra variables will respond to their environment. Default 100
amu.
pencut In the summaries of the constraint deviations, entries will only be made if the penalty for that term is
greater than PENCUT. Default 0.1.
tausw For noesy volume calculations (NMROPT = 2), intensities with mixing times less that TAUSW (in
seconds) will be computed using perturbation theory, whereas those greater than TAUSW will use a
more exact theory. See the theory section (below) for details. To always use the "exact" intensities and
derivatives, set TAUSW = 0.0; to always use perturbation theory, set TAUSW to a value larger than
the largest mixing time in the input. Default is TAUSW of 0.1 second, which should work pretty well
for most systems.
17.6.12. EMAP restraints
EMAP restraints are used to perform targeted conformational search (TCS)[308]. EMAP uses maps to define
restraints to maintain conformations and/or to induce simulation systems to the target conformations. The restraint
map can be either obtained from electron microscopy experiements or derived from known protein structures, or
defined from initial simulation coordinates. EMAP can be used to do rigid docking of molecules into maps and
to do flexible fitting to obtain conformations defined by experimental maps. EMAP can also be used to mantain
conformations of protein domains when studying large scale conformational change. Users should consult the
section 23.13 to see how to define EMAP restraints.
iemap Turn on EMAP restrained simulation when iemap>0. (Default = 0). EMAP restraint information need
be input from emap namelists in the input file.
gammamap friction constant for the EMAP restraint maps when allowed to move . (default=1/ps). (See Section
23.13)
17.7. Potential function parameters
The parameters in this section generally control what sort of force field (or potential function) is used for the
simulation.
294
17.7. Potential function parameters
17.7.1. Generic parameters
ntf Force evaluation. Note: If SHAKE is used (see NTC), it is not necessary to calculate forces for the
constrained bonds.
= 1 complete interaction is calculated (default)
= 2 bond interactions involving H-atoms omitted (use with NTC=2)
= 3 all the bond interactions are omitted (use with NTC=3)
= 4 angle involving H-atoms and all bonds are omitted
= 5 all bond and angle interactions are omitted
= 6 dihedrals involving H-atoms and all bonds and all angle interactions are omitted
= 7 all bond, angle and dihedral interactions are omitted
= 8 all bond, angle, dihedral and non-bonded interactions are omitted
ntb This variable controls whether or not periodic boundaries are imposed on the system during the calcu-
lation of non-bonded interactions. Bonds spanning periodic boundaries are not yet supported. There
is no longer any need to set this variable, since it can be determined from igb and ntp parameters. The
“proper” default for ntb is chosen (ntb=0 when igb > 0, ntb=2 when ntp > 0, and ntb=1 otherwise).
This behavior can be overridden by supplying an explicit value, although this is discouraged to prevent
errors. The allowed values for NTB are
= 0 no periodicity is applied and PME is off (default when igb > 0)
= 1 constant volume (default when igb and ntp are both 0)
= 2 constant pressure (default when ntp > 0)
If NTB .NE. 0, there must be a periodic boundary in the topology file. Constant pressure is not used
in minimization (IMIN=1, above).
For a periodic system, constant pressure is the only way to equilibrate density if the starting state is
not correct. For example, the solvent packing scheme used in LEaP can result in a net void when
solvent molecules are subtracted which can aggregate into "vacuum bubbles" in a constant volume
run. Another potential problem are small gaps at the edges of the box. The upshot is that almost every
system needs to be equilibrated at constant pressure (ntb=2, ntp>0) to get to a proper density. But be
sure to equilibrate first (at constant volume) to something close to the final temperature, before turning
on constant pressure.
dielc Dielectric multiplicative constant for the electrostatic interactions. Default is 1.0. Please note this is
NOT related to dielectric constants for generalized Born or Poisson-Boltzmann calculations. It should
only be used for quasi-vacuum simulations, e.g. where one wants ε=4r; in this case you would also
set the eedmeth variable as well.
cut This is used to specify the nonbonded cutoff, in Angstroms. For PME, the cutoff is used to limit direct
space sum, and 8.0 is usually a good value. When igb>0, the cutoff is used to truncate nonbonded
pairs (on an atom-by-atom basis); here a larger value than the default is generally required. A separate
parameter (RGBMAX) controls the maximum distance between atom pairs that will be considered in
carrying out the pairwise summation involved in calculating the effective Born radii, see the general-
ized Born section below.
When igb > 0, the default is 9999.0 (effectively infinite)
When igb==0, the default is 8.0.
nsnb Determines the frequency of nonbonded list updates when igb=0 and nbflag=0; see the description of
nbflag for more information. Default is 25.
ipol When set to 1, use a polarizable force field. See Section 17.7.5 for more information. Default is 0.
295
17. sander
ifqnt Flag for QM/MM run; if set to 1, you must also include a &qmmm namelist. See Section 6.4 for
details on this option. Default is 0.
igb Flag for using the generalized Born or Poisson-Boltzmann implicit solvent models. See Section 4for
information about using this option. Default is 0.
irism Flag for 3D-reference interaction site model (RISM) molecular solvation method. See Section6.7for
information about this option. Default is 0.
ievb If set to 1, use the empirical valence bond method to compute energies and forces. See Section 6.3 for
information about this option. Default is 0.
iamoeba Flag for using the amoeba polarizable potentials of Ren and Ponder.[309,310] When this option is set
to 1, you need to prepare an amoeba namelist with additional parameters. Also, the prmtop file is built
in a special way. See Section 18.8 for more information about this option. Default is 0.
lj1264 When set to 1, use the 12-6-4 LJ-type nonbonded model.[69] It currently only supports sander and
pmemd (both the serial and MPI versions) but not pmemd.cuda. It is currently only compatible with the
Particle Mesh Ewald method for long-range electrostatics. For more information please see Section
3.9. Default is 0.
17.7.2. Particle Mesh Ewald
The Particle Mesh Ewald (PME) method is always "on", unless ntb = 0. PME is a fast implementation of the
Ewald summation method for calculating the full electrostatic energy of a unit cell (periodic box) in a macroscopic
lattice of repeating images. The PME method is fast since the reciprocal space Ewald sums are B-spline interpo-
lated on a grid and since the convolutions necessary to evaluate the sums are calculated via fast Fourier transforms.
Note that the accuracy of the PME is related to the density of the charge grid (NFFT1, NFFT2, and NFFT3), the
spline interpolation order (ORDER), and the direct sum tolerance (DSUM_TOL); see the descriptions below for
more information.
The particle mesh Ewald (PME) method was implemented originally in Amber 3a by Tom Darden, and has been
developed in subsequent versions of Amber by many people, in particular by Tom Darden, Celeste Sagui, Tom
Cheatham and Mike Crowley.[311–314] Generalizations of this method to systems with polarizable dipoles and
electrostatic multipoles is described in Refs. [315,316].
The &ewald namelist is read immediately after the &cntrl namelist. We have tried hard to make the defaults for
these parameters appropriate for solvated simulations. Please take care in changing any values from their defaults.
The &ewald namelist has the following variables:
nfft1, nfft2, nfft3 These give the size of the charge grid (upon which the reciprocal sums are interpolated) in
each dimension. Higher values lead to higher accuracy (when the DSUM_TOL is also lowered) but
considerably slow the calculation. Generally it has been found that reasonable results are obtained
when NFFT1, NFFT2 and NFFT3 are approximately equal to A, B and C, respectively, leading to a
grid spacing (A/NFFT1, etc.) of 1.0 Å. Significant performance enhancement in the calculation of the
fast Fourier transform is obtained by having each of the integer NFFT1, NFFT2 and NFFT3 values
be a product of powers of 2, 3, and/or 5. If the values are not given, the program will chose values to
meet these criteria.
order The order of the B-spline interpolation. The higher the order, the better the accuracy (unless the
charge grid is too coarse). The minimum order is 3. An order of 4 (the default) implies a cubic spline
approximation which is a good standard value. Note that the cost of the PME goes as roughly the
order to the third power.
verbose Standard use is to have VERBOSE = 0. Setting VERBOSE to higher values (up to a maximum of 3)
leads to voluminous output of information about the PME run.
296
17.7. Potential function parameters
ew_type Standard use is to have EW_TYPE = 0 which turns on the particle mesh ewald (PME) method. When
EW_TYPE = 1, instead of the approximate, interpolated PME, a regular Ewald calculation is run. The
number of reciprocal vectors used depends upon RSUM_TOL, or can be set by the user. The exact
Ewald summation is present mainly to serve as an accuracy check allowing users to determine if the
PME grid spacing, order and direct sum tolerance lead to acceptable results. Although the cost of the
exact Ewald method formally increases with system size at a much higher rate than the PME, it may
be faster for small numbers of atoms (<500). For larger, macromolecular systems, with >500 atoms,
the PME method is significantly faster.
dsum_tol This relates to the width of the direct sum part of the Ewald sum, requiring that the value of the direct
sum at the Lennard-Jones cutoff value (specified in CUT as during standard dynamics) be less than
DSUM_TOL. In practice it has been found that the relative error in the Ewald forces (RMS) due to
cutting off the direct sum at CUT is between 10.0 and 50.0 times DSUM_TOL. Standard values for
DSUM_TOL are in the range of 10−6to 10−5, leading to estimated RMS deviation force errors of
0.00001 to 0.0005. Default is 10−5.
rsum_tol This serves as a way to generate the number of reciprocal vectors used in an Ewald sum. Typically the
relative RMS reciprocal sum error is about 5-10 times RSUM_TOL. Default is 5 x 10−5.
mlimit(1,2,3) This allows the user to explicitly set the number of reciprocal vectors used in a regular Ewald
run. Note that the sum goes from -MLIMIT(2) to MLIMIT(2) and -MLIMIT(3) to MLIMIT(3) with
symmetry being used in first dimension. Note also the sum is truncated outside an automatically
chosen sphere.
ew_coeff Ewald coefficient, in Å−1. Default is determined by dsum_tol and cutoff. If it is explicitly inputed
then that value is used, and dsum_tol is computed from ew_coeff and cutoff.
nbflag If nbflag = 0, construct the direct sum nonbonded list in the "old" way, i.e.update the list every nsnb
steps. If nbflag = 1 (the default when imin = 0 or ntb >0), nsnb is ignored, and the list is updated
whenever any atom has moved more than 1/2 skinnb since the last list update.
skinnb Width of the nonbonded "skin". The direct sum nonbonded list is extended to cut +skinnb, and the
van der Waals and direct electrostatic interactions are truncated at cut. Default is 2.0 Å. Use of this
parameter is required for energy conservation, and recommended for all PME runs.
nbtell If nbtell = 1, a message is printed when any atom has moved far enough to trigger a list update. Use
only for debugging or analysis. Default of 0 inhibits the message.
netfrc The basic "smooth" PME implementation used here does not necessarily conserve momentum. If net-
frc = 1, (the default) the total force on the system is artificially removed at every step. This parameter
is set to 0 if minimization is requested, which implies that the gradient is an accurate derivative of the
energy. You should only change this parameter if you really know what you are doing.
vdwmeth Determines the method used for van der Waals interactions beyond those included in the direct sum. A
value of 0 includes no correction; the default value of 1 uses a continuum model correction for energy
and pressure.
eedmeth Determines how the switch function for the direct sum Coulomb interaction is evaluated. The default
value of 1 uses a cubic spline. A value of 2 implies a linear table lookup. A value of three implies use
of an "exact" subroutine call. When eedmeth=4, no switch is used (i.e.the bare Coulomb potential
is evaluated in the direct sum, cut off sharply at CUT). When eedmeth=5, there is no switch, and a
distance-dependent dielectric is used (i.e.the distance dependence is 1/r2rather than 1/r). The last
two options are intended for non-periodic calculations, where no reciprocal term is computed.
eedtbdns Density of spline or linear lookup table, if eedmeth is 1 or 2. Default is 500 points per unit.
297
17. sander
column_fft 1 or 0 flag to turn on or off, respectively, column-mode fft for parallel runs. The default mode is
slab mode which is efficient for low processor counts. The column method can be faster for larger
processor counts since there can be more columns than slabs and the communications pattern is less
congested. This flag has no effect on non-parallel runs. Users should test the efficiency of the method
in comparison to the default method before performing long calculations. Default is 0 (off).
17.7.3. Using IPS for the calculation of nonbonded interactions
Isotropic Periodic Sum (IPS) is a method for long-range interaction calculation.[317–322] Unlike the Ewald
method, which uses periodic boundary images to calculate long range interactions, IPS uses isotropic periodic
images of a local region to calculate the long-range contributions.
The IPS method in the current version is different from that implemented in Amber10. All IPS potentials
use rationalized polynomial forms and the electrostatic interaction is calculated using the polar IPS potential.
[321] In addition, the 3D IPS/DFFT algorithm [320] is implemented to handle heterogeneous systems as well as
finite systems. A homogeneous system is defined as the one where a cutoff region (with cut as its radius) has
similar composition throughout the system, such as small molecular solutions. Otherwise, a system is defined as
a heterogeneous system, such as interfacial systems or finite systems. For heterogeneous systems, a local region
larger than the cutoff region, normally equal or larger than the periodic boundary box, must be used to produce
accurate long range interactions. For homogeneous systems, it is recommended to use the 3D IPS method (ips≤3),
which uses the cutoff distance, cut, to define the local region radius. cut is typically around 10 Å. The 3D IPS/DFFT
method (ips≥4) can be used for any type of systems, but is recommended for heterogeneous systems only due to
the extra discrete fast Fourier transform (DFFT) expense.
ips Flag to control nonbonded interaction calculation method. The cut value will be used to define the
local region radius for ips≤3. When IPS is used for electrostatic interaction, PME will be turned off.
= 0 IPS will not be used (default).
= 1 3D IPS will be used for both electrostatic and L-J interactions.
= 2 3D IPS will be used only for electrostatic interactions.
= 3 3D IPS will be used only for L-J interactions.
= 4 3D IPS/DFFT will be used for both electrostatic and L-J interactions.
= 5 3D IPS/DFFT will be used only for electrostatic interactions.
= 6 3D IPS/DFFT will be used only for L-J interactions.
raips Local region radius. raips is automatically set to cut for 3D IPS calculations (ips≤3) and should be
set larger than cut for 3D IPS/DFFT calculations (ips≥4). A negative value indicates that it is set to
the longest box side of a simulation system. For finite systems, i.e., system without periodic boundary
conditions, raips=∞, which corresponding no image interaction. The default value is -1 Å.
mipsx,mipsy,mipsz Number of grids along three periodic boundary sides when using 3D IPS/DFFT method
(ips≥4). Negative values indicate they are calculated based on the grid size, gridips. Typical numbers
are the lengths of box sides (in Å) divided by 2 Å. Default values are -1. When ips=6 and PME is used
for electrostatic interaction, they are set to nfft1,nfft2, and nfft3 defined for PME, respectively.
mipso The order of the B-spline interpolation (ips≥4). The higher the order, the better the accuracy (unless
the charge grid is too coarse). The minimum order is 3. An order of 4 (the default) implies a cubic
spline approximation which is a good standard value. The cost for the DFFT calculation goes as
roughly the order to the third power. For ips=6 and PME is used to electrostatic interaction, it is set to
order defined for PME.
gridips Grid size for 3D IPS/DFFT calculation (ips≥4). The default value is 2 Å.
dvbips Volume tolerance for updating IPS function grids (ips≥4). When volume changes like in NPT sim-
ulations, the grid size changes and IPS function on grid points need be updated. The updating only
happens when the volume change ratio is more than dvbips. The default value is 1×10-8.
298
17.7. Potential function parameters
17.7.4. Extra point options
Several parameters deal with "extra-points" (sometimes called lone-pairs), which are force centers that are not
at atomic positions. These are currently defined as atoms with "EP" in their names. These input variables are really
only for the convenience of force-field developers; do not change the defaults unless you know what you are doing,
and have read the code. These variables are set in the &ewald namelist.
frameon If frameon is set to 1, (default) the bonds, angles and dihedral interactions involving the lone pairs/extra
points are removed except for constraints added during parm. The lone pairs are kept in ideal geometry
relative to local atoms, and resulting torques are transferred to these atoms. To treat extra points as
regular atoms, set frameon=0.
chngmask If chngmask=1 (default), new 1-1, 1-2, 1-3 and 1-4 interactions are calculated. An extra point belong-
ing to an atom has a 1-1 interaction with it, and participates in any 1-2, 1-3 or 1-4 interaction that
atom has. For example, suppose (excusing the geometry) C1,C2,C3,C4 form a dihedral and each has
1 extra point attached as below
C1------C2------C3------C4
| | | |
Ep1 Ep2 Ep3 Ep4
The 1-4 interactions include C1-C4, Ep1-C4, C1-Ep4, and Ep1-Ep4. (To see a printout of all 1-1, 1-2,
1-3 and 1-4 interactions set verbose=1.) These interactions are masked out of nonbonds. Thus the
amber mask list is rebuilt from these 1-1, 1-2, 1-3 and 1-4 pairs. A separate list of 1-4 nonbonds is
then compiled. This list does not agree in general with the above 1-4, since a 1-4 could also be a 1-3
if its in a ring. See the ephi() routine for the precise algorithm involved here. The list of 1-4 nonbonds
is printed if verbose=1.
17.7.5. Polarizable potentials
The following parameters are relevant for polarizable potentials, that is, when ipol is set to 1 in the &cntrl
namelist. These variables are set in the &ewald namelist.
indmeth If indmeth is 0, 1, or 2 then the nonbond force is called iteratively until successive estimates of the
induced dipoles agree to within DIPTOL (default 0.0001 debye) in the root mean square sense. The
difference between indmeth = 0, 1, or 2 have to do with the level of extrapolation (1st, 2nd or 3rd-
order) used from previous time steps for the initial guess for dipoles to begin the iterative loop. So far
2nd order (indmeth=1) seems to work best.
If indmeth = 3, use a Car-Parinello scheme wherein dipoles are assigned a fictitious mass and inte-
grated each time step. This is much more efficient and is the current default. Note that this method is
unstable for dt >1 fs.
diptol Convergence criterion for dipoles in the iterative methods. Default is 0.0001 Debye.
maxiter For iterative methods (indmeth<3), this is the maximum number of iterations allowed per time step.
Default is 20.
dipmass The fictitious mass assigned to dipoles. Default value is 0.33, which works well for 1fs time steps. If
dipmass is set much below this, the dynamics are rapidly unstable. If set much above this the dynamics
of the system are affected.
diptau This is used for temperature control of the dipoles (for indmeth=3). If diptau is greater than 10 (ps
units) temperature control of dipoles is turned off. Experiments so far indicate that running the system
in NVE with no temperature control on induced dipoles leads to a slow heating, barely noticeable on
the 100ps time scale. For runs of length 10ps, the energy conservation with this method rivals that of
SPME for standard fixed charge systems. For long runs, we recommend setting a weak temperature
control (e.g. 9.99 ps) on dipoles as well as on the atoms. Note that to achieve good energy conservation
299
17. sander
with iterative method, the diptol must be below 10 -7 debye, which is much more expensive. Default
is 11 ps (i.e.default is turned off).
irstdip If indmeth=3, a restart file for dipole positions and velocities is written along with the restart for atomic
coordinates and velocities. If irstdip=1, the dipolar positions and velocities from the inpdip file are
read in. If irstdip=0, an iterative method is used for step 1, after which Car-Parrinello is used.
scaldip To scale 1-4 charge-dipole and dipole-dipole interactions the same as 1-4 charge-charge (i.e. divided
by scee) set scaldip=1 (default). If scaldip=0 the 1-4 charge-dipole and dipole-dipole interactions are
treated the same as other dipolar interactions (i.e. divided by 1).
17.7.6. Dipole Printing
By including a &dipoles namelist containing a series of groups, at the end of the input file, the printing of
permanent, induced and total dipoles is enabled.
The X, Y and Z components of the dipole (in debye) for each group will be written to mdout every NTPR steps.
In order to avoid ambiguity with charged groups all of the dipoles for a given group are calculated with respect to
the centre of mass of that group.
It should be noted that the permanent, inducible and total dipoles will be printed regardless of whether a polariz-
able potential is in use. However, only the permanent dipole will have any physical meaning when non-polarizable
potentials are in use.
It should also be noted that the groups used in the dipole printing routines are not exclusive to these routines and
so the dipole printing procedure can only be used when group input is not in use for something else (i.e.restraints).
17.7.7. Detailed MPI Timings
profile_mpi Adjusts whether detailed per thread timings should be written to a file called profile_mpi when running
sander in parallel. By default only average timings are printed to the output file. This is done for
performance reasons, especially when running multisander runs. However for development it is useful
to know the individual timings for each mpi thread. When running in serial the value of profile_mpi
is ignored.
= 0 No detailed MPI timings will be written (default).
= 1 A detailed breakdown of the timings for each MPI thread will be written to the file: profile_mpi.
17.8. Varying conditions
This section of information is read (if NMROPT >0) as a series of namelist specifications, with name "&wt".
This namelist is read repeatedly until a namelist &wt statement is found with TYPE=END.
TYPE Defines quantity being varied; valid options are listed below.
ISTEP1,ISTEP2 This change is applied over steps/iterations ISTEP1 through ISTEP2. If ISTEP2 = 0, this change
will remain in effect from step ISTEP1 to the end of the run at a value of VALUE1 (VALUE2 is
ignored in this case). (default= both 0)
VALUE1,VALUE2 Values of the change corresponding to ISTEP1 and ISTEP2, respectively. If ISTEP2=0, the
change is fixed at VALUE1 for the remainder of the run, once step ISTEP1 is reached.
IINC If IINC >0, then the change is applied as a step function, with IINC steps/iterations between each
change in the target VALUE (ignored if ISTEP2=0). If IINC =0, the change is done continuously.
(default=0)
IMULT If IMULT=0, then the change will be linearly interpolated from VALUE1 to VALUE2 as the step
number increases from ISTEP1 to ISTEP2. (default) If IMULT=1, then the change will be effected by
a series of multiplicative scalings, using a single factor, R, for all scalings. i.e.
300
17.8. Varying conditions
VALUE2 = (R**INCREMENTS) * VALUE1.
INCREMENTS is the number of times the target value changes, which is determined by ISTEP1,
ISTEP2, and IINC.
The remainder of this section describes the options for the TYPE parameter. For a few types of cards, the meanings
of the other variables differ from that described above; such differences are noted below. Valid Options for TYPE
(you must use uppercase) are:
BOND Varies the relative weighting of bond energy terms.
ANGLE Varies the relative weighting of valence angle energy terms.
TORSION Varies the relative weighting of torsion (and J-coupling) energy terms. Note that any restraints defined
in the input to the PARM program are included in the above. Improper torsions are handled separately
(IMPROP).
IMPROP Varies the relative weighting of the "improper" torsional terms. These are not included in TORSION.
VDW Varies the relative weighting of van der Waals energy terms. This is equivalent to changing the well
depth (epsilon) by the given factor.
HB Varies the relative weighting of hydrogen-bonding energy terms.
ELEC Varies the relative weighting of electrostatic energy terms.
NB Varies the relative weights of the non-bonded (VDW, HB, and ELEC) terms.
ATTRACT Varies the relative weights of the attractive parts of the van der waals and h-bond terms.
REPULSE Varies the relative weights of the repulsive parts of the van der waals and h-bond terms.
RSTAR Varies the effective van der Waals radii for the van der Waals (VDW) interactions by the given factor.
Note that this is done by changing the relative attractive and repulsive coefficients, so ATTRACT/RE-
PULSE should not be used over the same step range as RSTAR.
INTERN Varies the relative weights of the BOND, ANGLE and TORSION terms. "Improper" torsions (IM-
PROP) must be varied separately.
ALL Varies the relative weights of all the energy terms above (BOND, ANGLE, TORSION, VDW, HB,
and ELEC; does not affect RSTAR or IMPROP).
REST Varies the relative weights of *all* the NMR restraint energy terms.
RESTS Varies the weights of the "short-range" NMR restraints. Short- range restraints are defined by the
SHORT instruction (see below).
RESTL Varies the weights of any NMR restraints which are not defined as "short range" by the SHORT
instruction (see below). When no SHORT instruction is given, RESTL is equivalent to REST.
NOESY Varies the overall weight for NOESY volume restraints. Note that this value multiplies the individual
weights read into the "awt" array. (Only if NMROPT=2; see Section 4 below).
SHIFTS Varies the overall weight for chemical shift restraints. Note that this value multiplies the individual
weights read into the "wt" array. (Only if NMROPT=2; see section 4 below).
SHORT Defines the short-range restraints. For this instruction, ISTEP1, ISTEP2, VALUE1, and VALUE2
have different meanings. A short-range restraint can be defined in two ways.
(1) If the residues containing each pair of bonded atoms comprising the restraint are close enough in
the primary sequence:
301
17. sander
ISTEP1 ≤ABS(delta_residue) ≤ISTEP2,
where delta_residue is the difference in the numbers of the residues containing the pair of bonded
atoms.
(2) If the distances between each pair of bonded atoms in the restraint fall within a prescribed range:
VALUE1 ≤distance ≤VALUE2.
Only one SHORT command can be issued, and the values of ISTEP1, ISTEP2, VALUE1, and
VALUE2 remain fixed throughout the run. However, if IINC>0, then the short-range interaction
list will be re-evaluated every IINC steps.
TGTRMSD Varies the RMSD target value for targeted MD.
TEMP0 Varies the target temperature TEMP0.
TEMP0LES Varies the LES target temperature TEMP0LES.
TAUTP Varies the coupling parameter, TAUTP, used in temperature scaling when temperature coupling op-
tions NTT=1 is used.
CUT Varies the non-bonded cutoff distance.
NSTEP0 If present, this instruction will reset the initial value of the step counter (against which ISTEP1/ISTEP2
and NSTEP1/NSTEP2 are compared) to the value ISTEP1. This only affects the way in which NMR
weight restraints are calculated. It does not affect the value of NSTEP that is printed as part of the
dynamics output. An NSTEP0 instruction only has an effect at the beginning of a run. For this card
(only) ISTEP2, VALUE1, VALUE2 and IINC are ignored. If this card is omitted, NSTEP0 = 0. This
card can be useful for simulation restarts, where NSTEP0 is set to the final step on the previous run.
STPMLT If present, the NMR step counter will be changed in increments of STPMLT for each actual dynamics
step. For this card, only VALUE1 is read. ISTEP1, ISTEP2, VALUE2, IINC, and IMULT are ignored.
Default = 1.0.
DISAVE, ANGAVE, TORAVE If present, then by default time-averaged values (rather than instantaneous values)
for the appropriate set of restraints will be used. DISAVE controls distance data, ANGAVE controls
angle data, TORAVE controls torsion data. See below for the functional form used in generating
time-averaged data.
For these cards: VALUE1 = τ(characteristic time for exponential decay) VALUE2 = POWER (power
used in averaging; the nearest integer of value2 is used) Note that the range (ISTEP1→ISTEP2) applies
only to TAU; The value of POWER is not changed by subsequent cards with the same ITYPE field,
and time-averaging will always be turned on for the entire run if one of these cards appears.
Note also that, due to the way that the time averaged internals are calculated, changing τat any time
after the start of the run will only affect the relative weighting of steps occurring after the change in τ
. Separate values for τand POWER are used for bond, angle, and torsion averaging.
The default value of τ(if it is 0.0 here) is 1.0D+6, which results in no exponential decay weighting.
Any value of τ≥1.D+6 will result in no exponential decay.
If DISAVE,ANGAVE, or TORAVE is chosen, one can still force use of an instantaneous value for
specific restraints of the particular type (bond, angle, or torsion) by setting the IFNTYP field to "1"
when the restraint is defined (IFNTYP is defined in the DISANG file).
If time-averaging for a particular class of restraints is being performed, all restraints of that class that
are being averaged (that is, all restraints of that class except those for which IFNTYP=1) *must* have
the same values of NSTEP1 and NSTEP2 (NSTEP1 and NSTEP2 are defined below). (For these
cards, IINC and IMULT are ignored) See the discussion of time-averaged restraints following the
input descriptions.
302
17.8. Varying conditions
DISAVI, ANGAVI, TORAVI
ISTEP1: Ignored.
ISTEP2: Sets IDMPAV. If IDMPAV >0, and a dump file has been specified (DUMPAVE is set in
the file redirection section below), then the time-averaged values of the restraints will be written
every IDMPAV steps. Only one value of IDMPAV can be set (corresponding to the first DIS-
AVI/ANGAVI/TORAVI card with ISTEP2 >0), and all restraints (even those with IFNTYP=1)
will be "dumped" to this file every IDMPAV steps. The values reported reflect the current value
of τ.
VALUE1: The integral which gives the time-averaged values is undefined for the first step. By default,
for each time-averaged internal, the integral is assigned the current value of the internal on the
first step. If VALUE16=0, this initial value of internal r is reset as follows:
-1000. <VALUE1 <1000.: Initial value = r_initial + VALUE
VALUE1 <= -1000.: Initial value = r_target + 1000.
1000. <= VALUE1 : Initial value = r_target - 1000.
r_target is the target value of the internal, given by R2+R3 (or just R3, if R2 is 0). VALUE1 is
in angstroms for bonds, in degrees for angles.
VALUE2: This field can be used to set the value of τused in calculating the time-averaged values of
the internal restraints reported at the end of a simulation (if LISTOUT is specified in the redirec-
tion section below). By default, no exponential decay weighting is used in calculating the final
reported values, regardless of what value of τwas used during the simulation. If VALUE2>0,
then τ= VALUE2 will be used in calculating these final reported averages. Note that the value
of VALUE2 = τspecified here only affects the reported averaged values in at the end of a simu-
lation. It does not affect the time-averaged values used during the simulation (those are changed
by the VALUE1 field of DISAVE, ANGAVE and TORAVE instructions).
IINC: If IINC = 0, then forces for the class of time-averaged restraints will be calculated exactly
as (dE/dr_ave) (dr_ave/dx). If IINC = 1, then then forces for the class of time-averaged re-
straints will be calculated as (dE/dr_ave) (dr(t)/dx). Note that this latter method results in a
non-conservative force, and does not integrate to a standard form. But this latter formulation
helps avoid the large forces due to the (1+i)term in the exact derivative calculation–and may
avert instabilities in the molecular dynamics trajectory for some systems. See the discussion
of time-averaged restraints following the input description. Note that the DISAVI, ANGAVI,
and TORAVI instructions will have no affect unless the corresponding time average request card
(DISAVE, ANGAVE or TORAVE, respectively) is also present.
DUMPFREQ Istep1 is the only parameter read, and it sets the frequency at which the coordinates in the distance
or angle restraints are dumped to the file specified by the DUMPAVE command in the I/O redirection
section. (For these cards, ISTEP1 and IMULT are ignored).
END END of this section.
NOTES:
1. All weights are relative to a default of 1.0 in the standard force field.
2. Weights are not cumulative.
3. For any range where the weight of a term is not modified by the above, the weight reverts to 1.0. For any
range where TEMP0, SOFTR or CUTOFF is not specified, the value of the relevant constant is set to that
specified in the input file.
4. If a weight is set to 0.0, it is set internally to 1.0D-7. This can be overridden by setting the weight to a
negative number. In this case, a weight of exactly 0.0 will be used. However, if any weight is set to exactly
0.0, it cannot be changed again during this run of the program.
303
17. sander
5. If two (or more) cards change a particular weight over the same range, the weight given on the last applicable
card will be the one used.
6. Once any weight change for which NSTEP2=0 becomes active (i.e. one which will be effective for the
remainder of the run), the weight of this term cannot be further modified by other instructions.
7. Changes to RSTAR result in exponential weighting changes to the attractive and repulsive terms (propor-
tional to the scale factor**6 and **12, respectively). For this reason, scaling RSTAR to a very small value
(e.g. ≤0.1) may result in a zeroing-out of the vdw term.
17.9. File redirection commands
Input/output redirection information can be read as described here. Redirection cards must follow the end of the
weight change information. Redirection card input is terminated by the first non-blank line which does not start
with a recognized redirection TYPE (e.g. LISTIN, LISTOUT, etc.).
The format of the redirection cards is
TYPE = filename
where TYPE is any valid redirection keyword (see below), and filename is any character string. The equals sign
("=") is required, and TYPE must be given in uppercase letters.
Valid redirection keywords are:
LISTIN An output listing of the restraints which have been read, and their deviations from the target distances
before the simulation has been run. By default, this listing is not printed. If POUT is used for the
filename, these deviations will be printed in the normal output file.
LISTOUT An output listing of the restraints which have been read, and their deviations from the target distances
_after the simulation has finished. By default, this listing is not printed. If POUT is used for the
filename, these deviations will be printed in the normal output file.
DISANG The file from which the distance and angle restraint information described below (Section 23.1) will
be read.
NOESY File from which NOESY volume information (Section 23.2) will be read.
SHIFTS File from which chemical shift information (Section 23.3) will be read.
PCSHIFT File from which paramagnetic shift information (Section 23.3) will be read.
DIPOLE File from which residual dipolar couplings (Section 23.5) will be read.
CSA File from which CSA or pseduo-CSA restraints (Section 23.6) will be read.
DUMPAVE File to which the time-averaged values of all restraints will be written. If DISAVI / ANGAVI /
TORAVI has been used to set IDMPAV6=0, then averaged values will be output. If the DUMPFREQ
command has been used, the instantaneous values will be output.
17.10. Getting debugging information
The debug options in sander are there principally to help developers test new options or to test results between
two machines or versions of code, but can also be useful to users who want to test the effect of parameters on the
accuracy of their ewald or pme calculations. If the debug options are set, sander will exit after performing the
debug tasks set by the user.
To access the debug options, include a &debugf namelist. Input parameters are:
304
17.10. Getting debugging information
do_debugf Flag to perform this module. Possible values are zero or one. Default is zero. Set to one to turn on
debug options.
One set of options is to test that the atomic forces agree with numerical differentiation of energy.
atomn Array of atom numbers to test atomic forces on. Up to 25 atom numbers can be specified, separated
by commas.
nranatm number of random atoms to test atomic forces on. Atom numbers are generated via a random number
generator.
ranseed seed of random number generator used in generating atom numbers default is 71277
neglgdel negative log of delta used in numerical differentiating; e.g. 4 means delta is 10−4Angstroms. Default
is 5. Note: In general it does no good to set nelgdel larger than about 6. This is because the relative
force error is at best the square root of the numerical error in the energy, which ranges from 10−15 up
to 10−12 for energies involving a large number of terms.
chkvir Flag to test the atomic and molecular virials numerically. Default is zero. Set to one to test virials.
dumpfrc Flag to dump energies, forces and virials, as well as components of forces (bond, angle forces etc.) to
the file "forcedump.dat" This produces an ascii file. Default is zero. Set to one to dump forces.
rmsfrc Flag to compare energies forces and virials as well as components of forces (bond, angle forces etc.)
to those in the file "forcedump.dat". Default is zero. Set to one to compare forces.
Several other options are also possible to modify the calculated forces.
zerochg Flag to zero all charges before calculating forces. Default zero. Set to one to remove charges.
zerovdw Flag to remove all van der Waals interactions before calculating forces. Default zero. Set to one to
remove van der Waals.
zerodip Flag to remove all atomic dipoles before calculating forces. Only relevant when polarizability is
invoked.
do_dir, do_rec, do_adj, do_self, do_bond, do_cbond, do_angle, do_ephi, do_xconst, do_cap These are flags
which turn on or off the subroutines they refer to. The defaults are one. Set to zero to prevent a
subroutine from running. For example, set do_dir=0 to turn off the direct sum interactions (van der
Waals as well as electrostatic). These options, as well as the zerochg, zerovdw, zerodip flags, can be
used to fine tune a test of forces, accuracy, etc.
EXAMPLES:
This input list tests the reciprocal sum forces on atom 14 numerically, using a delta of 10−4.
&debugf
neglgdel=4, nranatm = 0, atomn = 14,
do_debugf = 1,do_dir = 0,do_adj = 0,do_rec = 1, do_self = 0,
do_bond = 1,do_angle = 0,do_ephi = 0, zerovdw = 0, zerochg = 0,
chkvir = 0,
dumpfrc = 0,
rmsfrc = 0,
/
This input list causes a dump of force components to "forcedump.dat". The bond, angle and dihedral forces are
not calculated, and van der Waals interactions are removed, so the total force is the Ewald electrostatic force, and
the only non-zero force components calculated are electrostatic.
305
17. sander
&debugf
neglgdel=4, nranatm = 0, atomn = 0,
do_debugf = 1,do_dir = 1,do_adj = 1,do_rec = 1, do_self = 1,
do_bond = 0,do_angle = 0,do_ephi = 0, zerovdw = 1, zerochg = 0,
chkvir = 0,
dumpfrc = 1,
rmsfrc = 0,
/
In this case the same force components as above are calculated, and compared to those in "forcedump.dat".
Typically this is used to get an RMS force error for the Ewald method in use. To do this, when doing the force
dump use ewald or pme parameters to get high accuracy, and then normal parameters for the force compare:
&debugf
neglgdel=4, nranatm = 0, atomn = 0,
do_debugf = 1,do_dir = 1,do_adj = 1,do_rec = 1, do_self = 1,
do_bond = 0,do_angle = 0,do_ephi = 0, zerovdw = 1, zerochg = 0,
chkvir = 0,
dumpfrc = 0,
rmsfrc = 1,
/
For example, if you have a 40x40x40 unit cell and want to see the error for default pme options (cubic spline,
40x40x40 grid), run 2 jobs—— (assume box params on last line of inpcrd file)
Sample input for 1st job:
&cntrl
dielc =1.0,
cut = 11.0, nsnb = 5, ibelly = 0,
ntx = 7, irest = 1,
ntf = 2, ntc = 2, tol = 0.0000005,
ntb = 1, ntp = 0, temp0 = 300.0, tautp = 1.0,
nstlim = 1, dt = 0.002, maxcyc = 5, imin = 0, ntmin = 2,
ntpr = 1, ntwx = 0, ntt = 0, ntr = 0,
jfastw = 0, nmrmax=0, ntave = 25,
/
&debugf
do_debugf = 1,do_dir = 1,do_adj = 1,do_rec = 1, do_self = 1,
do_bond = 0,do_angle = 0,do_ephi = 0, zerovdw = 1, zerochg = 0,
chkvir = 0,
dumpfrc = 1,
rmsfrc = 0,
/
&ewald
nfft1=60,nfft2=60,nfft3=60,order=6, ew_coeff=0.35,
/
Sample input for 2nd job:
&cntrl
dielc =1.0,
cut = 8.0, nsnb = 5, ibelly = 0,
ntx = 7, irest = 1,
ntf = 2, ntc = 2, tol = 0.0000005,
ntb = 1, ntp = 0, temp0 = 300.0, tautp = 1.0,
306
17.11. multisander (and multipmemd)
nstlim = 1, dt = 0.002, maxcyc = 5, imin = 0, ntmin = 2,
ntpr = 1, ntwx = 0, ntt = 0, ntr = 0,
jfastw = 0, nmrmax=0, ntave = 25,
/
&debugf
do_debugf = 1,do_dir = 1,do_adj = 1,do_rec = 1, do_self = 1,
do_bond = 0,do_angle = 0,do_ephi = 0, zerovdw = 1, zerochg = 0,
chkvir = 0,
dumpfrc = 0,
rmsfrc = 1,
/
&ewald
ew_coeff=0.35,
/
Note that an Ewald coefficient of 0.35 is close to the default error for an 8 Angstrom cutoff. However, the first
job used an 11 Angstrom cutoff. The direct sum forces calculated in the 2nd job are compared to these, giving the
RMS error due to an 8 Angstrom cutoff, with this value of ew_coeff. The reciprocal sum error calculated in the
2nd job is with respect to the pme reciprocal forces in the 1st job considered as "exact".
Note further that if in these two jobs you had not specified "ew_coeff" sander would have calculated ew_coeff
according to the cutoff and the direct sum tolerance, defaulted to 10−5. This would give two different ewald
coefficients. Under these circumstances the direct, reciprocal and adjust energies and forces would not agree well
between the two jobs. However the total energy and forces should agree reasonably, (forces to within about 5x10−4
relative RMS force error) Since the totals are invariant to the coefficient.
Finally, note that if other force components are calculated, such as van der Waals, bond, angle, etc., then the total
force will include these, and the relative RMS force errors will be with respect to this total force in the denominator.
17.11. multisander (and multipmemd)
The multisander and multipmemd functionality are available in the parallel versions of the programs (i.e.,
sander.MPI and pmemd.MPI). This mode allows multiple independent simulations, or replicas, to be run in the
same program instance. It is particularly useful for computer clusters in which priority is given to large
CPU-count jobs. In this case, the command-line usage of sander and pmemd is slightly altered, as shown below:
mpirun -np <#proc> sander.MPI -ng <#groups> -groupfile groupfile
In this case, #proc processors will be evenly divided among #groups individual simulations (#proc must be a
multiple of #group!). The groupfile consists of a number of lines which is the command-line for each of the
#groups simulations you wish to run. Comment lines (i.e., those with # in the first column) are ignored, after
which the first #groups lines are read as the command-line flags of the Nth simulation.
The multisander and multipmemd mechanisms are also utilized for methods requiring multiple simulations to
communicate with one another, such as thermodynamic integration in sander and replica exchange molecular
dynamics (both described later). An example groupfile and program call are shown below.
Groupfile:
# Comment lines must start with a pound sign
# and there can be as many comment lines as you
# want, wherever you want them.
-O -p prmtop1 -c inpcrd1 -i replica1.mdin -suffix replica1
-O -p prmtop2 -c inpcrd2 -i replica2.mdin -suffix replica2
-O -p prmtop3 -c inpcrd3 -i replica3.mdin -suffix replica3
-O -p prmtop4 -c inpcrd4 -i replica4.mdin -suffix replica4
The -suffix flag behaves slightly differently than it does for classical use. In standard simulations (i.e., without
multisander or multipmemd), the provided suffix will be applied only to output files that are printed but were not
307
17. sander
given names on the command-line. With multisander, however, each thread has to produce different output files so
that different replicas do not try to write to the same file. As a result, a default suffix of 000, 001, 002, etc. is given
to the replicas and is added to every unspecified output file. If a -suffix is specified in the groupfile, as shown
above, every output file—including those given an explicit name for that replica—are given the additional suffix.
The four simulations shown in the groupfile above can be run on 8 processors each with the following
command (note, running sander.MPI may differ on your system).
mpirun -np 32 sander.MPI -ng 4 -groupfile groupfile
The multisander and multipmemd concepts are implemented via the use of MPI communicators. Each replica is
assigned a replica-wide communicator along which all communications required for standard MD simulations are
performed (called commsander and pmemd_comm in sander and pmemd, respectively). Each replica communicator
has a master thread (rank 0 in that communicator), and the master thread of each replica are joined in another MPI
communicator of replica masters (called commmaster and pmemd_master_comm in sander and pmemd, respec-
tively). All inter-replica communication is performed via commmaster or pmemd_master_comm.
By default, all Nthreads are allocated to each of the Mgroups by dividing the threads sequentially. That is, the
first N/Mthreads are assigned to replica 0, the second group of N/Mthreads are assigned to replica 1, etc. The
-ng-nonsequential flag will stripe the thread assignments. Replica 0 will receive threads 0, N−1, 2N−1, etc.,
while replica 1 receives threads 1, N, 2N, etc.
308
18. pmemd and pmemd.amoeba
18.1. Introduction
PMEMD (Particle Mesh Ewald Molecular Dynamics) is a reimplementation of a subset of sander functionality
that has been written with the major goal of improving the performance of the most frequently used methods of
sander. PMEMD supports Particle Mesh Ewald simulations, Generalized Born simulations, and ALPB (Analytical
Linearized Poisson-Boltzmann) simulations using both the AMBER and CHARMM Force fields. The AMOEBA
polarizable force field, is also supported but via a separate pmemd executable, pmemd.amba, which is essentially
pmemd v9 with AMOEBA support included.
One of the major additions to PMEMD is the support for acceleration of both PME and GB calculations using
NVIDIA GPUs.[323–325] A detailed overview is provided in section 18.6
For the supported functionality, the input required and output produced are intended to exactly replicate sander
within the limits of machine roundoff differences. PMEMD simply runs more rapidly, scales better in parallel
using MPI, can be used profitably on significantly higher numbers of processors, can make use of NVIDIA GPUs
for acceleration and uses less resident memory. Dynamic memory allocation is used so memory configuration
is not required. PMEMD is ideal for molecular dynamics simulations of large solvated systems for long periods
of time, especially if supercomputer resources are available. Benchmark data is available on the Amber web-
site, ambermd.org. Given the improvements in performance in both serial and parallel it is adviseable to always
use PMEMD in place of sander if the simulation requirements are within the functionality envelope provided by
PMEMD.
PMEMD accepts sander input files (mdin, prmtop, inpcrd, refc), and is also backward compatible in regard to
input to the same extent as sander. All options documented in the sander section of this manual should be properly
parsed.
18.2. Functionality
New functionality has been added to pmemd since the release of Amber 12. These include
•multi-pmemd (akin to multisander) implemented, using the same multisander flags.
• replica exchange MD simulations in both Temperature space and Hamiltonian space
• Atom mask specification option (restraintmask and bellymask options are available, like in sander)
• IPS simulations ips=1 enabled
• Generalized Born model igb=8 enabled
• LCPO surface area potential terms enabled for GB simulations (gbsa=1)
• TI calculations icfe=1 enabled
• SGLD and RXSGLD enabled enhanced conformational sampling
• EMAP enabled for flexible fitting or targeted conformational search
As mentioned above, PMEMD is not a complete implementation of sander. Instead, it is intended to be a fast
implementation of the functionality most likely to be used by someone doing long time scale explicitly or implicitly
solvated systems.
Specifically the following functionality is missing entirely:
309
18. pmemd and pmemd.amoeba
imin=5 In &cntrl. Trajectory analysis is not supported.
nmropt=2 In &cntrl. A variety of NMR-specific options such as NOESY restraints, chemical shift restraints,
pseudocontact restraints, and direct dipolar coupling restraints are not supported.
idecomp!=0 In &cntrl. Energy decomposition options, used in conjunction with mm_pbsa, are not supported.
ipol!=0 In &cntrl. Polarizable force field simulations are not supported, other than amoeba, which is supported
in pmemd.amba.
igb==10 In &cntrl. Poisson-Boltzmann simulations are not supported.
igb==6 or 8 In &cntrl. Gas phase (igb==6) simulations are not supported. IGB model 8 is not supported.
ntmin>2 In &cntrl. XMIN and LMOD minimization methods are not supported.
Solvent Caps Solvent cap simulations are not supported.
itgtmd!=0 In &cntrl. Targeted molecular dynamics is not supported.
ievb!=0 In &cntrl. Empirical Valence Bond methods are not supported.
ifqnt!=0 In &cntrl. QM/MM methods are not supported.
&debugf namelist Use of the &debugf namelist is only supported in a very limited way. Specifically only the
do_charmm_dump_gold option is supported.
ineb!=0 In &cntrl. Nudged elastic band (NEB) calculations are not supported. These calculations are done by
sander.MPI.
LES The Locally Enhanced Sampling method is not supported.
REM==2 The partial REMD method (for LES) is not supported
iamoeba!=0 In &cntrl. The amoeba polarizable potentials of Ren and Ponder are not supported in pmemd, but
ARE supported in pmemd.amba.
The following &ewald options are supported, but only with the indicated default values:
ew_type=0 Only Particle Mesh Ewald calculations are supported. ew_type = 1 (regular Ewald calculations) must
be done in sander.
nbflag=1 The nbflag option is ignored for MD, and all nonbonded list updates are scheduled based on "skin"
checks. This is more reliable and has little cost. The variable nsnb still can be set and has an influence
on minimizations. For PME calculations, list building may also be scheduled based on heuristics to
suit load balancing requirements in multiprocessor runs.
nbtell=0 The nbtell option is not particularly useful and is ignored.
eedmeth=1 Only a cubic spline switch function (eedmeth = 1) for the direct sum Coulomb interaction is supported.
This is the default, and most widely used setting for eedmeth. On some machine architectures, energies
and forces are actually splined as a function of r**2 to a higher precision than the cubic spline switch.
One consequence of only supporting eedmeth 1 is that vacuum simulations cannot be done (though
generalized Born nonperiodic simulations are available).
column_fft=0 This is a sander-specific performance optimization option. PMEMD uses different mechanisms to
enhance performance, and ignores this option.
It is suggested that new PMEMD users simply take an existing sander mdin file and attempt a short 10-30 step run.
The output will indicate whether or not PMEMD will handle the particular problem at hand for all the functionality
that is supported by "standard" sander. For functionality that requires special builds of sander or sander-derived
executables (LES), there may be failures in namelist parsing.
310
18.3. PMEMD-specific namelist variables
18.3. PMEMD-specific namelist variables
The following namelist options are specific to PMEMD and generally relate to PMEMD specific performance
optimizations: default values:
mdout_flush_interval In &cntrl, this variable can be used to control the minimum time in integer seconds between
"flushes" of the mdout file. PMEMD DOES NOT use file flush() calls at all because flush functionality
does not work for all fortran compilers used in building pmemd. Thus, pmemd does an open/close
cycle on mdout at a default minimum interval of 300 seconds. This interval can be changed with
this variable if desired in the range of 0-3600. If mdout_flush_interval is set to 0, then mdout will
be reopened and closed for each printed step. This functionality is provided in pmemd because some
large systems have such large file i/o buffers that mdout will have 0 length on the disk through 100’s of
psec of simulated time. The default of 300 seconds provides a good compromise between efficiency
and being able to observe the progress of the simulation.
mdinfo_flush_interval In &cntrl, this variable can be used to control the minimum time in integer seconds between
"flushes" of the mdinfo file. PMEMD DOES NOT use file flush() calls at all because flush functionality
does not work for all fortran compilers used in building pmemd. Thus, pmemd does an open/close
cycle on mdinfo at a default minimum interval of 60 seconds. This interval can be changed with this
variable if desired in the range of 0-3600. Note that mdinfo under pmemd simply serves as a heartbeat
for the simulation at mdinfo_flush_interval, and mdinfo probably will not be updated with the last step
data at the end of a run. If mdinfo_flush_interval is set to 0, then mdinfo will be reopened and closed
for each printed step.
es_cutoff, vdw_cutoff In &cntrl, these variables can be used to control the cutoffs used for vdw and electrostatic
direct force interactions in PME calculations separately. If you specify these variables, you should
not specify the cut variable, and there is a requirement that vdw_cutoff >= es_cutoff. These were
introduced anticipating the need to support force fields where the direct force calculations are more
expensive. For the current force fields, one can get slightly improved performance and about the same
accuracy as one would get using a single cutoff. A good example would be using vdw_cutoff =9.0,
es_cutoff =8.0. For this scenario, one gets about the accuracy in calculations associated with 9.0
angstrom cutoffs, but at a cost intermediate between an 8.0 and a 9.0 angstrom cutoff.
no_intermolecular_bonds In &cntrl. New variable controlling molecule definition. If 1, any molecules (ie.,
molecules as defined by the prmtop) joined by a covalent bond are fused to form a single molecule for
purposes of pressure and virial-related operations; if 0 then the old behaviour (use prmtop molecule
definitions) pertains. The default is 1; a value of 0 is not supported with forcefields using extra points.
This option was necessitated in order to efficiently parallelize model systems with extra points. This
redefinition of molecules actually allows for a more correct treatment of molecules during pressure ad-
justments and should produce better results with less strain on covalent bonds joining prmtop-defined
molecules, but if the default value is used for a NTP simulation, results will differ slightly relative to
sander if any intermolecular bonding was applied in forming the prmtop (eg., a cyx-cyx bridge was
added between two peptides that originated in a PDB file, with each peptide having its own "TER"
card). If consistency with sander is more important to you, and you are not using extra points, then
you may want to set no_intermolecular_bonds to 0.
ene_avg_sampling In &cntrl. New variable controlling the number of steps between energy samples used in
energy averages. If not specified, then ntpr is used (default). To match the behaviour of sander
or PMEMD v9 or earlier, this variable should be set to 1. This variable is only used for MD, not
minimization and will also effectively be turned off if ntave is in use (non-0) or RESPA is in use
(nrespa > 1). It is a fairly common situation that it is completely unnecessary to sample the energies
every step to get a good average during production, and this is costly in terms of performance. Thus,
performance can be improved (with greatest improvements for the ensembles in the order NVE > NVT
> NTP) without really losing anything of value by using the new default for energy average sampling
(specify nothing).
311
18. pmemd and pmemd.amoeba
use_axis_opt In &ewald. For parallel runs, the most favorable orientation of an orthogonal unit cell is with the
longest side in the Z direction. Starting with pmemd 3.00, internal coordinates were actually reori-
ented to take advantage of this, and in high processor count runs on oblong unit cells, using axis
optimization can improve performance on the order of 10%. However, if a system has hotspots, the
results produced with axes oriented differently may vary by on the order of 0.05% relatively quickly.
This effect has to do with the fact that axis optimization changes the order of LOTS of operations and
also the fft slab layout, and under mpi if the system has serious hotspots, shake will come up with
slightly different coordinate sets. This is really only a problem in pathological situations, and then
it is probably mostly telling you that the situation is pathological, and neither set of results is more
correct (typically the ewald error term is also high). In routine regression testing with over a dozen
tests, axis reorientation has no effect on results. Nonetheless, the defaults are now selected to be in
favor of higher reproducibility of results. Axis optimization is only done for mpi runs in which an
orthogonal unit cell has an aspect ratio of at least 3 to 2. It is turned off for all minimization runs and
for runs in which velocities are randomized (ntt = 2 or 3). If you want to force axis optimization, you
may set use_axis_opt = 1 in the &ewald namelist. If you set it to 0, you will force it off in scenarios
where it would otherwise be used.
fft_grids_per_ang In &ewald. This variable may be used to set the desired reciprocal space fft grid density in
terms of fft grids/angstrom. The nearest grid dimensions, given the prime factors supported by the
underlying fft implementation, that meet or exceed this density will be used (ie., nfft1,2,3 are set based
on this specification). The default value is 1.0 grids/angstrom and gives very reasonable accuracy.
PMEMD is actually more stringent now than sander in that it will meet or exceed the desired density
instead of just approximating it. Thus, to get identical results with sander, one may have to specify
grid dimensions to be used with the nfft1,2,3 variables.
18.4. Slightly changed functionality
An I/O optimization has been introduced into PMEMD. The NTWR default value (frequency of writing the
restart file) has been modified such that the default minimum is 500 steps, and this value is increased incrementally
for multiprocessor runs. In general, frequent writes of restrt, especially in runs with a high processor count, is
wasteful. Also, if the mden file is being written, it is always written as formatted output, regardless of the value of
ioutfm. SANDER now conforms to this convention regarding ioutfm and mden.
In thermodynamic integration calculations, the input format is different from SANDER. The differences are
explained in section 21.1 of the manual.
In addition, there are two command-line options unique to pmemd:
-l <logfile name> A name may be assigned to the log file on the command line.
-gpes <process_map_file> This option controls the distribution of threads in a multipmemd simulation and al-
lows you to allocate threads to various processes however you want (rather than dividing up all threads
equally between each line of the groupfile). By default, the threads are allocated sequentially (that is, for
N groups given M threads per group, or N*M threads total, threads 0 to M-1 will be assigned to the first
group, threads M to 2M-1 will be assigned to the second group, etc.). Using the -ng-nonsequential flag,
threads will be allocated with a one-at-a-time approach. For instance, given the same setup as above, the
first group gets threads 0, M, 2M, 3M, ... etc, the second group gets threads 1, M+1, 2M+1, 3M+1, ... etc.
The process_map_file is a file that contains as many lines as you have groups (although the last line can be
omitted, and the remaining unspecified threads will be assigned to the final group). Each line must contain
space-delimited integers that correspond to the thread numbers you want assigned to that group. Each group
is assigned the threads listed in that line of the process_map_file. Every thread must be specified in the
process_map_file, and no thread can be specified more than once.
312
18.5. Parallel performance tuning and hints
18.5. Parallel performance tuning and hints
In order to achieve higher scaling, pmemd has implemented several performance algorithms, the most notable
of which is the option of using a "block" or pencil fft rather than the usual slab fft algorithm. The block fft
algorithm allows the reciprocal space and fft workload to be distributed to more processors, but at a cost of higher
communications overhead, both in terms of the distributed fft transpose cost and in terms of communication of
the data necessary to set up the fft grids in the first place. A number of variables in the &ewald namelist can
be used to control whether the slab or block fft algorithm is used, how the block division occurs, whether direct
force work is also assigned to tasks doing reciprocal space and fft work, whether the master is given any force and
energy computation work to do, as opposed to being reserved strictly for handling output and loadbalancing, and
the frequency of atom ownership reassignment, an operation that counteracts rising communications costs caused
by diffusion. The various namelist variables involved have all been assigned defaults that adapt to run conditions,
and in general it is probably best that the user just use the defaults and not attempt to make adjustments. However,
in some instances, fine tuning may yield slightly better performance. The variables involved include block_fft,
fft_blk_y_divisor, excl_recip, excl_master, and atm_redist_freq. These are described further in the README under
pmemd/src as well as in the sourcecode itself.
Performance depends not only on proper setup of hardware and software, but also on making good choices in
simulation configuration. There are many tradeoffs between accuracy and cost, as one might expect, and under-
standing all of these comes with experience. However, I would like to suggest a couple of good choices for your
simulations, if you have facilities where you can routinely run at high processor count, say 32 processors or more.
First of all, there is an implementation of binary trajectory files in pmemd and sander, based on the netCDF binary
file format. This is invoked now using ioutfm == 1, assuming you have built either pmemd or sander with "bintraj"
support. Using this output format, i/o from the master process will be more efficient and your filesize will be about
half what it would otherwise be. In Amber, ptraj can read these new netCDF trajectory files and can convert them
to ASCII format if needed. At really high processor count using the netCDF format can be on the order of 10%
more efficient than using the standard formatted trajectory output. Secondly, other simulation packages typically
use multiple timestepping (respa) methods as an efficiency measure. These methods typically sample reciprocal
space forces for PME less frequently. Due to the limited use of such methods by Amber users this approach has
not been optimized in pmemd and hence while this can slightly improve performance for pmemd at low processor
count, at higher processor counts using respa typically makes loadbalancing less efficient leading to a net loss of
performance. If you wish to use respa for pme simulations (done typically by setting nrespa to 2 or 4), then you
should check whether you actually get better performance. You may well not, and it will be at a cost of a loss in
accuracy. Using respa for generalized Born simulations is fine in all cases, however.
18.6. GPU Accelerated PMEMD
One of the newer features of PMEMD is the ability to use NVIDIA GPUs to accelerate both explicit solvent
PME and implicit solvent GB simulations [323–325]. This work is by Ross Walker at the San Diego Super-
computer Center and Scott Le Grand at Amazon Web Services, in collaboration with NVIDIA. While this GPU
acceleration is considered to be production ready, and has been heavily used since its release as part of AMBER
11, it is still evolving and has not been tested to the same extent as the CPU code; users should exercise caution
when using this code. The error checking is not as verbose in the GPU code as it is on the CPU. In particular,
simulation failures, such as atom collisions or other simulation instabilities, will manifest themselves as CUDA
launch errors or GPU download failures and not as informative error messages. If you encounter problems during
a simulation on the GPU you should first try to run the identical simulation on the CPU to ensure that it is not your
simulation setup which is causing problems. Feedback and questions should be posted to the Amber mailing list
(see http://lists.ambermd.org/).
This section of the manual describes the feature set, installation, performance and accuracy considerations and
other aspects of GPUs at the time of Amber’s release. However, the rapidly changing nature of this field means
that frequent updates are likely. You should refer to the web page http://ambermd.org/gpus/ for the most up to date
information.
313
18. pmemd and pmemd.amoeba
18.6.1. New Features in AMBER 14
AMBER 14 brings with it a number of enhancements to the GPU accelerated code over AMBER 12. Changes
include an across the board performance improvement of approximately 30%, the introduction of a hybrid fixed
precision model (SPFP) as standard, support for peer to peer communication between GPUs giving enhanced multi-
GPU performance, support for extra points in multi-GPU runs, temperature and Hamiltonian replica exchange
as well as multi-dimension replica exchange. Also new in this version is support for the Monte Carlo barostat
providing NPT performance similar to NVT, support for ScaledMD, Jarzynski sampling, explicit solvent constant
pH, NMR restraint support on multiple GPUs, GBSA, hydrogen mass repartitioning as well as multiple bugfixes
and improved error messages and checking.
18.6.2. Supported Features
The GPU accelerated version of PMEMD supports both explicit solvent PME simulations in all three canonical
ensembles (NVE, NVT and NPT) and implicit solvent Generalized Born simulations. It has been designed to
support as many of the standard PMEMD features as possible, however, there are some current limitations that are
detailed below. Some of these may be addressed in the future, and patches released, with the most up to date list
posted on the web page. At the time of AMBER 14’s release the following options are NOT supported:
1. ibelly 6=0Simulations using belly style constraints are not supported.
2. icfe 6=0 Support for TI is not currently implemented.
3. iigb 6=0&& cut < systemsize GPU accelerated implicit solvent GB simulations do not support a cutoff.
4. nmropt > 1 Support is not currently available for nmropt > 1. In addition for nmropt = 1 only features that do
not change the underlying force field parameters are supported. For example umbrella sampling restraints
are supported as is Jarzynski sampling as well as simulated annealing functions such as variation of Temp0
with simulation step. However, varying the VDW parameters with step is not supported.
5. nrespa 6=1No multiple time stepping is supported.
6. vlimit 6=-1 For performance reasons the vlimit function is not implemented on GPUs.
7. imin = 1 with MPI Minimization is currently only supported for single GPU runs.
8. es_cutoff 6=vdw_cutoff Independent cutoffs for electrostatics and van der Waals are not supported on GPUs.
9. order > 4 PME interpolation orders of greater than 4 are not supported at present.
10. emil_do_calc 6=0 Emil is not supported on GPUs.
11. lj1264 6=0 The 12-6-4 potential is not supported on GPUs.
12. isgld > 0 Self guided langevin is not supported on GPUs.
13. iat(n) >= 0 for n=1,2,3,4. Center of mass restraints are not currently supported on GPUs.
Additionally there are some minor differences in the output format. For example the Ewald error estimate is not
calculated when running on a GPU. It is recommended that you first run a short simulation using the CPU code to
check that the Ewald error estimate is reasonable and that your system is stable. The above limitations are tested
for in the code; however, it is possible that there are additional simulation features that have not been implemented
or tested on GPUs.
314
18.6. GPU Accelerated PMEMD
18.6.3. Supported GPUs
GPU accelerated PMEMD has been implemented using CUDA and thus will only run on NVIDIA GPUs
at present. Due to accuracy concerns with pure single precision the code uses a custom designed hybrid
single/double/fixed-precision model termed SPFP. This places the requirement that the GPU hardware supports
both double precision and integer atomics meaning only GPUs with hardware revision 2.0 and later can be used.
Support for hardware revision 1.3 was present in previous versions of the code but for code complexity and main-
tenance reasons has been deprecated in AMBER 14. At the time of Amber’s release this comprises the following
NVIDIA cards (* = untested):
•Hardware Version 3.0 / 3.5
–Tesla K20/K20X/K40
–Tesla K10
–GTX-Titan / GTX-Titan-Black
–GTX770/780/780Ti
–GTX670/680/690
–Quadro cards supporting SM3.0 or 3.5*
•Hardware Version 2.0
–Tesla M2090
–Tesla C2050/C2070/C2075 (and M variants)
–Quadro cards supporting SM2.0*
–GTX560/570/580/590
–GTX465/470/480
Other cards not listed here may also be supported as long as they correctly implement the Hardware Revision 2.0,
3.0 or 3.5 specifications. Due to the larger graphics memories and extended testing offered by the Tesla series
GPUs these are the recommended models although GeForce cards will work fine. Additionally you should ensure
that all GPUs on which you plan to run PMEMD are connected to PCI-E 2.0 x 16 lane slots or better. For peer
to peer the cards to be used need to be on the same IOH controller. If this is not the case then you will likely
see significantly degraded performance in parallel. For more information please refer to the GPU section of the
AMBER website (http://ambermd.org/gpus/) under the Recommended Hardware section.
Support is provided for single GPU and multiple GPU runs. Employing multiple GPUs in a single simulation
requires MPI and the pmemd.cuda.MPI executable. If you have multiple simulations to run then the recommended
method is to use one GPU per job. The pmemd GPU code has been developed in such a way that for single GPU
runs the PCI-E bus is only used for I/O. This sets AMBER apart from other MD packages since it means the CPU
specs do not feature in the GPU code performance. As such low end economic CPUs can be used. Addition-
ally it means that in a system containing 4 GPUs 4 individual calculations can be run at the same time without
interfering with each other’s performance. Selection of which GPU is used for single GPU runs is automatic if
the GPUs are set to process exclusive mode (nvidia-smi -c 3) but the recommended approach is to use the
CUDA_VISIBLE_DEVICES environment variable to select which GPU should be used. For parallel runs you
specify the same number of MPI threads as you have GPUs you want to use. The code will automatically use peer
to peer communication if available. Multi-GPU runs require the GPUs to be set to default mode (nvidia-smi -c
0). More details are provided in section 18.6.6.
18.6.4. Accuracy Considerations
The nature of current generation GPUs is such that single precision arithmetic is considerably faster (>23x
for K10 and >2x for K20) than double precision arithmetic. This poses an issue when trying to obtain good
performance from GPUs. Traditionally the CPU code in Amber has always used double precision throughout
the calculation. While this full double precision approach has been implemented in the GPU code it gives very
315
18. pmemd and pmemd.amoeba
poor performance and so the default precision model used when running on GPUs is a combination of single and
fixed precision, termed hybrid precision (SPFP), that is discussed in further detail in references [323–325]. This
approach uses single precision for individual calculations within the simulation but fixed scaled integer precision
for all accumulations. It also uses fixed precision for shake calculations and for other parts of the code where
loss of precision was deemed to be unacceptable. Tests have shown that energy conservation is equivalent to
the full double precision code and specific ensemble properties, such as order parameters, match the full double
precision CPU code. Previous acceleration approaches, such as the MDGRAPE-accelerated sander, have used
similar hybrid precision models and thus we believe that this is a reasonable compromise between accuracy and
performance. The user should understand though that this approach leads to rapid divergence between GPU and
CPU simulations, similar to that observed when running the CPU code across different processor counts in parallel
but occuring much more rapidly. For this reason the GPU test cases are more sensitive to rounding difference
caused by hardware and compiler variations and will likely require manual inspection of the test case diff files in
order to verify that the installation is providing correct results.
While the default precision model is currently the hybrid SPFP model two different precision models have been
implemented within version 14 of the GPU code to facilitate advanced testing and comparison. The choice of
default precision model may change in the future based on the outcome of detailed validation tests of the different
approaches. The precision models supported, and determined at compile time as described later, are:
•SPFP - (Default) Use a combination of single precision for calculation and fixed precision for accumulation.
This approach is believed to provide the optimum tradeoff between accuracy and peformance and hence at
the time of release is the default model invoked when using the executable pmemd.cuda.
•DPFP - Use double precision (and double precision equivalent fixed precision) for the entire calculation.
This provides for careful regression testing against the CPU code. It makes no additional approximations
above and beyond the CPU implementation and would be the model of choice if performance was not a
consideration. On v2.0 NVIDIA hardware (e.g. M2090) the performance is approximately half that of the
SPFP model while on v3.0 NVIDIA hardware (e.g. K10) the performance is substantially less than the SPFP
model.
18.6.5. Installation and Testing
The GPU version of PMEMD is called pmemd.cuda (or pmemd.cuda.MPI for the multi GPU version) and must
be built separately from the standard serial and parallel installations. Before attempting to build the GPU version
of PMEMD you should have built and tested at least the serial version of Amber and preferably the parallel version
as well. This will help ensure that basic issues relating to standard compilation on your hardware and operating
system do not lead to confusion with GPU related compilation and testing problems. You should also be familiar
with Amber’s compilation and test procedures.
It is assumed that you have already correctly installed and tested CUDA support on your GPU. Addition-
ally the environment variable CUDA_HOME should be set to point to your NVIDIA Toolkit installation and
$CUDA_HOME/bin/ should be in your path. At the time of release CUDA 5.0 or later is required with 5.0, 5.5
and 6.0 having been tested and officially supported. For performance reasons, at the time of writing, CUDA 5.0 is
currently the recommended version to use.
Building and Testing the Default SPDP Precision Model
Assuming you have a working CUDA installation you can build pmemd.cuda using the default precision model
as follows:
export CUDA_HOME=/usr/local/cuda (or other appropriate location)
cd $AMBERHOME
./configure -cuda gnu
make install
Next you can run the tests using the default GPU (the one with the largest memory) with:
316
18.6. GPU Accelerated PMEMD
make test.cuda
The majority of these tests should pass. However, given the parallel nature of GPUs, meaning the order of operation
is not well defined, and the limited precision of the SPFP precision model it is not uncommon for there to be
several possible failures. You may also see some tests, particularly the GB nucleosome test, fail on GPUs with
limited memory. You should inspect the diff file created in the $AMBERHOME/logs/test_amber_cuda/ directory
to manually verify any possible failures. Differences which occur on only a few lines and are minor in nature
can be safely ignored. Any large differences, or if you are unsure, should be posted to the Amber mailing list for
comment.
Building non-standard Precision Models
You can build different precision models as described below. However, be aware that this is meant largely as a
debugging and testing issue and NOT for running production calculations. Please post any questions or comments
you may have regarding this to the Amber mailing list.
You select which precision model to compile as follows:
cd $AMBERHOME
./configure -cuda_DPFP gnu
make install
This will produce executables named pmemd.cuda_XXXX where XXXX is the precision model selected at
configure time (SPFP or DPFP). You can then test this on the GPU with the most memory as follows:
cd $AMBERHOME/test/
./test_amber_cuda.sh DPFP (to test the DPFP precision model)
Testing Alternative GPUs
Should you wish to run the tests on a GPU different from the one with the most memory (and lowest GPU ID if
more than one identical GPU exists) then you should make use of the CUDA_VISIBLE_DEVICES environment
variable as described below. For example, to test the GPU with ID = 2 (GPUs are numbered sequentially from
zero) and the default SPFP precision model you would run the tests as follows:
cd $AMBERHOME
export CUDA_VISIBLE_DEVICES=2
make test.cuda
Building pmemd.cuda.MPI
The GPU version of pmemd can be run in parallel on multiple GPUs using the executable pmemd.cuda.MPI.
Some simulations, particularly replica exchange simulations, require a parallel executable in order to operate.
Assuming you have a working CUDA installation you can build pmemd.cuda.MPI using the default precision
model as follows:
cd $AMBERHOME
./configure -cuda -mpi gnu
make install
Next you can run the tests using the default GPUs (the one with the largest memory in descending order) with:
export DO_PARALLEL=’mpirun -np 2’ # for bash/sh
setenv DO_PARALLEL “mpirun -np 2” # for csh/tcsh
make test.cuda_parallel
The majority of these tests should pass. However, as described above it is not uncommon for there to be several
possible failures. You should inspect the diff file created in the $AMBERHOME/logs/test_amber_cuda/ directory
to manually verify any possible failures. Differences which occur on only a few lines and are minor in nature
can be safely ignored. Any large differences, or if you are unsure, should be posted to the Amber mailing list for
comment.
317
18. pmemd and pmemd.amoeba
18.6.6. Running GPU Accelerated Simulations
In order to run a GPU accelerated MD simulation the only change required is to use the executable
pmemd.cuda in place of pmemd. E.g.
$AMBERHOME/bin/pmemd.cuda -O -i mdin -o mdout -p prmtop \
-c inpcrd -r restrt -x mdcrd
This will automatically run the calculation on the GPU with the most memory even if that GPU is already in use.
If you have only a single CUDA capable GPU in your machine then this is fine; however if you want to control
which GPU is used, or you want to run multiple independent simulations using different GPUs, then you manually
need to specify the GPU to use with the CUDA_VISIBLE_DEVICES environment variable.
CUDA_VISIBLE_DEVICES Specifies which GPU should be used for running a GPU accelerated PMEMD cal-
culation. This is based on the hardware ID of the GPU card which can be obtained by unsetting
the variable (unset CUDA_VISIBLE_DEVICES) and running the deviceQuery command from the
NVIDIA CUDA SDK. Valid values are a list of integers from 0 to 32. Multiple GPUs may be listed
with commas in between them, and the one with the most memory will be selected. For example:
export CUDA_VISIBLE_DEVICES=1,3
$AMBERHOME/bin/pmemd.cuda -O -i mdin -o mdout -p prmtop \
-c inpcrd -r restrt -x mdcrd
In this way it is possible to make use of multiple GPUs in a single node for multiple simultaneous calculations.
When running a single calculation across multiple GPUs using pmemd.cuda.MPI it also allows the selection of
specific GPUs on specific nodes. For example running a 2 GPU job with mpirun -np 2 pmemd.cuda.MPI with
the above listed CUDA_VISIBLE_DEVICES would automatically use the second (id=1) and fourth (id=3) GPU
in the node. The multi GPU code will avoid assigning MPI GPU tasks to the same GPU if sufficient GPUs are
visible. For a more indepth explanation of running GPU accelerated calculations, including how to utilize the peer
to peer support in parallel please refer to the GPU section of the AMBER website (http://ambermd.org/gpus/).
18.6.7. Considerations for Maximizing GPU Performance
There are a number of considerations above and beyond those typically used on a CPU for maximizing the
performance achievable for a GPU accelerated PMEMD simulation. The following provides some tips for ensuring
good performance.
1. Avoid using small values of NTPR, NTWX, NTWV, NTWE and NTWR. Writing to the output, restart
and trajectory files too often can hurt performance even on CPU runs; however, this is more acute for GPU
accelerated simulations because there is a substantial cost in copying data to and from the GPU. Performance
is maximized when CPU to GPU memory synchronizations are minimized. This is achieved by computing
as much as possible on the GPU and only copying back to CPU memory when absolutely necessary. There
is an additional overhead in that performance is boosted by only calculating the energies when absolutely
necessary, hence setting NTPR or NTWE to low values will result in excessive energy calculations. You
should not set any of these values to less than 100 (except 0 to disable them) and ideally use values of 500
or more. >100000 for NTWR is ideal.
2. Avoid setting ntave 6=0. Turning on the printing of running averages results in the code needing to calculate
both energy and forces on every step. This can lead to a performance loss of 8% or more when running on
the GPU. This can also affect performance on CPU runs although the difference is not as marked. Similar
arguments apply to setting the value of ene_avg_sampling to small values.
3. Avoid using the NPT ensemble (ntb=2) when it is not required; if needed make use of the Monte Carlo
barostat (barostat=2). Performance will generally be NVE>NVT>NPT (NVT~NPT for barostat=2).
4. Avoid the use of GBSA in implicit solvent GB simulations unless required. The GBSA term is calculated on
the CPU and thus requires a synchronization between GPU and CPU memory on every MD step as opposed
to every NTPR or NTWX steps when running without this option.
318
18.7. Intel® Many Integrated Core Architecture
5. Use the Berendsen Thermostat (ntt=1) or Anderson Thermostat (ntt=2) instead of the Langevin Thermostat
(ntt=3). Langevin simulations require very large numbers of random numbers which slows performance
slightly.
6. Do not assume that for small systems the GPU will always be faster. Typically for GB simulations of less
than 150 atoms and PME simulations of less than 9,000 atoms it is not uncommon for the CPU version of
the code to outperform the GPU version on a single node. Typically the performance differential between
GPU and CPU runs will increase as atom count increases. Additionally the larger the non-bond cutoff used
the better the GPU to CPU performance gain will be.
7. When running in parallel across multiple GPUs you should NOT attempt to share nodes and thus intercon-
nects. For example you should avoid running 2 separate MPI jobs on individual nodes (unless both are using
peer to peer). For example if you have 2 nodes, each with a QDR IB card in, 1 M2090 and 1 C2050 you
will likely get very poor performance if you attempt to run a dual GPU job on the 2 M2090’s and a second
dual GPU job on the 2 C2050’s. It is also not advisable to mix GPU models when running in parallel. In
this situation you are advised to physically place both M2090’s in one node and both C2050’s in the other.
You could of course run a dual M2090 job across the two nodes and then 2 single GPU jobs on each of the
C2050’s.
8. When running in parallel you should restrict jobs to a single node and select GPUs that are on the same IOH
controller and thus can communicate via peer to peer. For most 4 GPU nodes gpus 0 and 1 can typically
communicate via peer to peer and gpus 2 and 3 can communicate via peer to peer. The mdout file contains
a section that indicates if peer to peer support is enabled.
9. Avoid using CUDA Toolkit v5.5 or v6.0. At the time of writing the recommended CUDA Toolkit and
compiler is v5.0. This provides maximum performance. A performance regression bug in v5.5 means that it
is about 5 to 8% slower than v5.0.
10. Turn off ECC (Tesla models C2050 and later). ECC can cost you up to 10% in performance. You should
verify that your GPUs are working correctly, and not giving ECC errors for example before attempting this.
You can turn this off on Fermi based cards and later by running the following command for each GPU ID as
root, followed by a reboot:
nvidia-smi -g 0 --ecc-config=0 (repeat with -g x for each GPU ID)
Extensive testing of AMBER on a wide range of hardware has established that ECC has little to no benefit
on the reliability of AMBER simulations. This is part of the reason it is acceptable (see recommended
hardware) to use the GeForce gaming cards for AMBER simulations.
11. Turn on boost clocks if supported. Newer GPUs from NVIDIA, such as the K40, support boost clocks which
allow the clock speed to be increased if there is power and temperature headroom. This must be turned on to
obtain optimum performance with AMBER. If you have a K40 or newer GPU supporting boost clocks then
run the following:
12. sudo nvidia-smi -i 0 -ac 3004,875 which puts device 0 into the highest boost state.
13. To return to normal do: sudo nvidia-smi -rac
14. To enable this setting without being root do: nvidia-smi -acp 0
18.7. Intel® Many Integrated Core Architecture
One of the newest features of pmemd is the ability to use Intel MIC Products, such as Intel® Xeon Phi™
coprocessors. As Intel MIC Architecture support in pmemd is in its infancy only the native mode is included in
Amber 14. This is considered experimental and does not guarantee any performance improvement. However, this
support should not affect the accuracy of results due to the floating point consistency of Intel’s processors. Support
319
18. pmemd and pmemd.amoeba
for Intel® MIC Architecture in PMEMD is an ongoing project, and therefore frequent updates are likely. Improved
performance can be expected in upcoming patches.
Support for the Intel MIC Architecture in Amber 14 allows all the functionality of the pmemd engine to be run on
Intel® Xeon Phi™ coprocessors in native mode in either serial or parallel (MPI). The Intel® Xeon Phi™ product
family is supported, which includes the Intel® Xeon Phi™ coprocessor 3100/5100/7100 series. (Intel, Xeon, and
Intel Xeon Phi are trademarks of Intel Corporation in the U.S. and/or other countries.)
18.7.1. Installation and Testing
The version supporting Intel® Xeon Phi™ coprocessors is called pmemd.mic (or pmemd.mic.MPI for running
simulations in parallel on the coprocessor using MPI) and must be built separately from the standard serial and
parallel installations. Before attempting to build the this version you should have built and tested the serial and
parallel CPU versions of Amber (pmemd and pmemd.MPI). This will help to ensure that basic issues relating to
standard compilation on you hardware and operating system do not lead to confusion with coprocessor related
compilation problems. You should also be familiar with Amber’s compilation procedures.
Building PMEMD serial for Intel® Xeon Phi™ Coprocessors
Assuming you have installed Intel® Parallel Studio XE version 2013 or later, you can build pmemd.mic as
follows:
cd $AMBERHOME
./configure -mic intel
make install
Building PMEMD parallel for Intel® Xeon Phi™ Coprocessors
pmemd parallel for Intel® Xeon Phi™ coprocessors can only be built using MPI (mpiicc/mpiifort) from Intel®
Cluster Studio XE product, which is supported in Amber 14 through the use of a new MPI flag (-intelmpi). Build
pmemd.mic.MPI as follows:
cd $AMBERHOME
./configure -mic -intelmpi intel
make install
It is possible to run across multiple Intel® Xeon® processors and Intel® Xeon Phi™ coprocessors, even on a
cluster, with this implementation. However, it is a functional implementation and not performance optimized at
this time. Detailing how to run this way is beyond the scope of the current manual, however to see how to do this
with MPI applications in general, see
http://software.intel.com/en-us/articles/using-the-intel-mpi-library-on-intel-xeon-phi-coprocessor-systems .
18.7.2. Running simulations on Intel® Xeon Phi™ Coprocessors
In order to run a simulation on the Intel® Xeon Phi™ coprocessor, it is advised that you read the Intel®
Xeon Phi™ Coprocessor Developer’s Quick Start Guide (http://software.intel.com/en-us/articles/intel-xeon-phi-
coprocessor-developers-quick-start-guide) in addition to the instructions given here. This guide includes a de-
scription of the Intel® Manycore Platform Software Stack (Intel® MPSS), which enables the wide range of usage
models that Intel® Xeon Phi™ coprocessors support. Running a simulation on the coprocessor in native mode
requires that all files and binaries be visible to the coprocessor. Either mount your file system on the coproces-
sor (requires root access) or explicitly transfer the binaries, libraries and input files to the /tmp directory on the
coprocessor.
Note: Mounting requires the Amber directory plus any additional libraries used in an Amber simulation to be
visible to the coprocessor
320
18.8. pmemd.amoeba
Running simulations with a mounted filesystem:
1. To mount a filesystem please follow instructions available in the Intel MPSS readme file. You can also follow
the instructions in http://software.intel.com/sites/default/files/article/373934/system-administration-for-the-
intel-xeon-phi-coprocessor.pdf
2. Mount your AMBERHOME directory, working directory, Intel compiler directory, Intel MPI_HOME direc-
tory (for parallel run), and MKL_HOME directory (if MKL is used) on the coprocessor.
3. Add the following environment variables to a file (source_knc.sh in this example), which will be sourced on
execution of pmemd.mic:
export LD_LIBRARY_PATH=$LD_LIBRARY_PATH:$INTEL_COMPILER_HOME/ lib/mic/
export LD_LIBRARY_PATH=$LD_LIBRARY_PATH: $MKL_HOME/lib/mic/
export LD_LIBRARY_PATH=$LD_LIBRARY_PATH: $MPI_HOME/mic/lib/
export PATH=$PATH:$MPI_HOME/mic/bin
4. Run a simulation from your working directory on the host (CPU) with a mounted filesystem:
ssh mic0 “source source_knc.sh; \
$AMBERHOME/bin/pmemd.mic -O -i mdin -o mdout -p prmtop -c inpcrd”
Running simulations without a mounted filesystem:
1. Upload Intel® Xeon Phi™ coprocessor version of the Intel compiler library to the coprocessor:
scp -r $INTEL_COMPILER_HOME/lib/mic/*mic0:/tmp/
2. Similarly, upload coprocessor versions of the MPI and MKL libraries:
scp -r $INTEL_MPI_HOME/mic/lib/*mic0:/tmp/
scp -r $INTEL_MPI_HOME/lib/mic/*mic0:/tmp/
3. Upload the coprocessor version of PMEMD (pmemd.mic or pmemd.mic.MPI) and your working directory
(containing the input fies for simulation) to mic0:
scp -r $AMBERHOME/bin/pmemd.mic mic0:/tmp/
scp -r working_directory/*mic0:/tmp/
4. Change the permission of the libraries and binaries so that they are executable on the coprocessor:
chmod 777 -R /tmp/*
5. Finally run the simulation from host:
ssh mic0 “Export LD_LIBRARY_PATH=/tmp/; cd /tmp; \
./pmemd.mic -O -i mdin -o mdout -p prmtop -c inpcrd“
18.8. pmemd.amoeba
The Amoeba force field is a recently developed polarizable force field with parameters for water, univalent
ions, small organic molecules and proteins.[309,310,326–328] Differences from the current amber force fields
include more complex valence terms including anharmonic bond and angle corrections and bond angle and bond
dihedral cross terms, and a two dimensional spline fit for the phi-psi bitorsional energy. The differences in the
nonbond treatment include the use of atomic multipoles up to quadrupole order, induced dipoles using a Tholé
screening model, and the use of the Halgren buffered 7-14 functional form for van der Waals interactions. The
PME implementation used here, as well as a multigrid approach for atomic multipoles, is described in Ref. [316].
321
18. pmemd and pmemd.amoeba
Right now, setting up the system is a bit complex: you need to set up the system in Tinker, then run the tinker-
to-amber program to convert to Amber prmtop and coordinate files. Some examples are in $AMBERHOME/src/p-
memd.amoeba/build_amoeba. But keep checking the Amber web page, since we hope to provide a simpler path
soon.
With the use of Amoeba, minimization as well as usual methods of molecular dynamics can be used, including
constant temperature and pressure simulations. In addition, with the amoeba implementation it is possible to use
the Beeman dynamics integrator, which is helpful in making detailed comparisons to Tinker results. Note that the
Amoeba forcefield is parametrized for fully flexible molecules. At this time it is not possible to use SHAKE with
this forcefield.
The parameters ew_coeff, nfft1, nfft2, nfft3, and order from the &ewald section of input all relate to the accuracy
of the PME method, which is used in the Amoeba implementation in sander. Due to the use of atomic quadrupoles,
order (i.e. the B-spline polynomial degree plus one) needs to be at least 5 since the B-spline needs 3 continuous
derivatives. The ew_coeff together with the direct sum cutoff (see below) controls the accuracy in the Ewald
direct sum, and ew_coeff together with the PME grid dimensions nfft1,2,3 and order controls the accuracy in the
reciprocal sum. Since Amoeba atomic multipoles are typically dominated by the charges, experience gained in the
usual use of PME is pertinent. Typical values we have used for a good cost vs. accuracy balance are ew_coeff=0.45,
order=5, and nfft1,2,3 approximately 1.25 times the cell length in that direction.
Some specific amoeba-related input parameters are given here. They should be placed in the &amoeba namelist,
following the &cntrl namelist where iamoeba has been set to 1.
beeman_integrator Setting this to be one turns on the Beeman integrator. This is the default integrator for Amoeba
in Tinker. In sander this integrator can be used for NVE simulations, or for NVT or NTP simulations
using the Berendson coupling scheme. (This means that you must set ntt to 0 or 1 if you use the Bee-
man integrator.) By default, beeman_integrator=0, and the usual velocity Verlet integration scheme is
used instead.
amoeba_verbose In addition to the usual sander output, by setting amoeba_verbose=1, energy and virial compo-
nents can be output. By default, amoeba_verbose=0.
ee_dsum_cut This is the ewald direct sum cutoff. In the amoeba implementation this is allowed to be different
from the nonbond cutoff specified by cut. It should be less than or equal to the latter. (Note, this
feature does not apply to the direct sum for standard amber force fields, which use the nonbond cutoff
for the Ewald direct sum as well as van der Waals interactions. The default is 7.0 Angstroms, which
is conservative for energy conservation with ew_coeff=0.45.
dipole_scf_tol The induced dipoles in the amoeba force field are solutions to a set of linear equations (like the Ap-
plequist model but modified by Tholé damping for close dipole-dipole interactions). These equations
are solved iteratively by the method of successive over-relaxation. dipole_scf_tol is the convergence
criterion for the iterative solution to the linear equations. The iterations towards convergence stop
when the RMS difference between successive sets of induced dipoles is less than this tolerance in
Debye. The default is set to 0.01 Debye, which has been seen to give reasonable energetics and
dynamics, but requires mild temperature restraints. Good energy conservation in NVE simulations
requires a tolerance of about 10−6Debye tolerance.
sor_coefficient This is the successive over-relaxation parameter. This can be adjusted to optimize the number of
iterations needed to achieve convergence. Default value is 0.75. Productive values seem to be in the
range 0.6-0.8 .The optimal values seem to depend on the polarizabilities of the system atoms.
dipole_scf_iter_max This prevents infinite iterations when the polarization equations are somehow not converging.
A possible reason for this is a bad sor_coefficient, exacerbated by a close contact. Default is 50. For
comparison, with typical sor_coefficient values and an equilibrated system it should take 4-7 iterations
to achieve 0.01 Debye convergence and 18-25 iterations to achieve 10−6Debye.
ee_damped_cut This is used to cutoff the Tholé damping interactions. The default value is 4.5 Angstroms, which
should work for the typical sized polarizabilities encountered, and the default Tholé screening param-
eter (0.39).
322
18.8. pmemd.amoeba
do_vdw_taper Amoeba uses a Halgren buffered 7-14 form for the van der Waals interactions. In the Tinker code
these are typically evaluated out to 12 Angstroms, with a taper turned on and no long-range isotropic
continuum corrections to the energy and virial. In the sander implementation, the usual nonbond cutoff
from the &cntrl namelist is used for van der Waals interactions. The long range correction is available
to allow for shorter cutoffs. Setting do_vdw_taper to one causes VDW interactions to be tapered to
zero beginning at 0.9 times the van der waals cutoff. The taper is a 5th order polynomial switch on the
energy term, which gets differentiated for the forces (atom based switching). Its turned on by default.
do_vdw_longrange Setting this to one causes the long-range isotropic continuum correction to be turned on. This
adjusts the energy and virial, and in most cases will result in energies and virials that are fairly invariant
to van der Waals cutoff, with or without the above taper function. The integrals involved in this
correction are done numerically.
323

19. Atom and Residue Selections
There are three ways to select atoms and residues in AMBER-related routines: the AMBER "mask" notation,
used by most programs, the NAB "atom expressions", which work only with NAB-compiled applications, and
an older “GROUP” specification used in sander and pmemd. Information about these is collected in this chapter.
19.1. Amber Masks
A "mask" is a notation which selects atoms or residues for special treatment. A frequent usage is fixing or
tethering selected atoms or residues during minimization or molecular dynamics.
The following lines are partially copied from the original AMBER documentation. For more details, refer to the
entire section of that documentation describing the ambmask utility.
The "mask" selection expression is composed of "elementary selections". These start with ":" to select by
residues, or "@" to select by atoms. Residues can be selected by numbers (given as numbers separated by commas,
or as ranges separated by a dash) or by names (given as a list of residue names separated by commas). The same
holds true for atom selections by atom numbers or atom names. In addition, atoms can be selected by AMBER
atom type, in which case "@" must be immediately followed by "%". The notation ":*" means all residues and
"@*" means all atoms. The following examples show the usage of this syntax.
Residue Number List Examples
:1-10 = "residues 1 to 10"
:1,3,5 = "residues 1, 3, and 5"
:1-3,5,7-9 = "residues 1 to 3 and residue 5 and residues 7 to 9"
Residue Name List Examples
:LYS = "all lysine residues"
:ARG,ALA,GLY = "all arginine and alanine and glycine residues"
Atom Number List Examples Note that these masks use the actual sequential numbers of atoms in the file.
This is tricky and a serious source of error. You must know these numbers correctly. Using the atom numbers of
a PDB file written out by an AMBER tool is an appropriate way to avoid pitfalls. Do not use the original atom
numbers from the raw PDB file you started with.
@12,17 = "atoms 12 and 17"
@54-85 = "all atoms from 54 to 85"
@12,54-85,90 = "atom 12 and all atoms from 54 to 85 and atom 90"
Atom Name List Examples
@CA = all atoms with the name CA (i.e., all C-alpha atoms)
@CA,C,O,N,H = all atoms with names CA or C or O or N or H
(i.e., the entire protein backbone)
325

19. Atom and Residue Selections
Atom Type List Examples This last mask type is only used by specialists and mentioned here for completeness.
It allows the selection of AMBER atom types and requires detailed knowledge of AMBER force fields.
@%CT = all atoms with the force field type CT
(the standard sp3 aliphatic carbon)
@%N*,N3 = all atoms with the force field type N*or N3
(N*is a special sp2 nitrogen, N3 is an sp3 nitrogen)
Note that in the above example, N*is actually an atom type. The * is not a wild card meaning "all N-something
types"!
Logical Combinations The selections above can be combined by various logical operators, including selections
like "all atoms within a certain distance from...". The use of such combinations goes beyond this introductory
script. Interested users should refer to the next section for details.
19.1.1. ambmask
NAME
ambmask - test group input FIND mask (or mask string given in the &cntrl section) and dump the resulting atom
selection in a given format
SYNOPSIS
ambmask -p prmtop -c inpcrd -prnlev [0-3] -out [short|pdb|amber] -find [maskstr]
DESCRIPTION
ambmask acts as a filter which takes Amber topology and coordinate "restart" file and applies the "maskstr"
selection string (similar syntactically to UCSF Chimera/Midas) to select specific atoms or residues. Residues can
be selected by their numbers or names. Atoms can be selected by numbers, names, or Amber (forcefield) type.
Selections are case insensitive. The selected atoms are printed to stdout (by default, in Amber-style PDB format).
Atom and residue names and numbers are taken from Amber topology. Beware that selection string works on
those names and not the ones from the original PDB file. If you are not sure how atoms or residues are named
or numbered in the Amber topology, use ambmask with a selection string ":*" (which is the default) to dump the
whole PDB file with corresponding Amber atom/residue names and numbers.
The "maskstr" selection expression is composed of "elementary selections". These start with ":" to select by
residues, or "@" to select by atoms. Residues can be selected by numbers (given as numbers separated by
commas, or as ranges separated by a dash) or by names (given as a list of residue names separated by commas).
The same holds true for atom selections by atom numbers or atom names. In addition, atoms can be selected by
Amber atom type, in which case "@" must be immediately followed by "%". ":*" means all residues and "@*"
means all atoms. The following examples show the usage of this syntax. Square brackets should not be used in
actual expressions, they are only used for clarity here:
:{residue numlist} [:1-10] [:1,3,5] [:1-3,5,7-9]
:{residue namelist} [:LYS] [:ARG,ALA,GLY]
@{atom numlist} [@12,17] [@54-85] [@12,54-85,90]
@{atom namelist} [@CA] [@CA,C,O,N,H]
@%{atom typelist} [@%CT] [@%N*,N3]
These "elementary selections" can be combined into more complex selections using binary operators "&" (and)
and "|" (or), unary operator "!" (negation), distance binary operators "<:", ">:", "<@", ">@", and parentheses.
Spaces around operators are irrelevant. Parentheses have the highest priority, followed by distance operators
("<:", ">:", "<@", ">@"), "!" (negation), "&" (and) and "|" (or) in order of descending priority. A wildcard "="
in an atom or residue name matches any name starting with a given character (or characters). For example, [:AS=]
326
19.1. Amber Masks
would match all aspartic acid residues (ASP), and asparagines (ASN); [@H=] would match all atom names
starting with H (which are effectively all hydrogens). It cannot be used to match the end part of names (such as
[:=A]). Some examples of more complex selections follow:
[@C= & !@CA,C]
.. all carbons except backbone alpha and carbonyl carbon
[(:1-3@CA |:5-7@CB)]
.. alpha carbons in residues 1-3 and beta carbons in residues 5-7
[:CYS,ARG & !(:1-10 |@CA,CB)]
.. all CYS and ARG atoms except those which are in residues 1-10 and which are CA or CB
[:*& !@H=] or [!@H=]
.. all heavy atoms (i.e. except hydrogens)
[:5 <@4.5]
.. all atoms within 4.5A from residue 5
[(:1-55 <:3.0) & :WAT]
.. all water molecules within 3A from residues 1-55
Compound expressions of the following type are also allowed:
:{residue numlist|namelist}@{atom numlist|namelist|typelist}
[:1-10@CA] is equivalent to [:1-10 & @CA]
[:LYS@H=] is equivalent to [:LYS & @H=]
OPTIONS
The program needs an Amber topology file and coordinates (restrt format). The filename specified with the -p
option is Amber topology, while the filename given with the -coption is a coordinate file. If -por -coptions are
not given, the program expects that files "prmtop" and/or "inpcrd" exist in the current directory, which will be
taken as topology and coordinate files correspondingly. If no command line options are given, the program prints
the usage statement.
The option -prnlev specifies how much (debugging) information is printed to stdout. If it is 0, only selected
atoms are printed. More verbose output (which might be useful for debugging purposes) is achieved with higher
values: 1 prints original "maskstr" in its tokenized (with operands enclosed in square brackets) and postfix (or
Reverse Polish Notation) forms; number of atoms and residues in the topology file and number of selected atoms
are also printed to stdout. 2 prints the resulting mask array, which is an array of integer values, with ’1’ representing
a selected atom, and ’0’ an unselected one. Value of 3, in addition, prints mask arrays as they are pushed or popped
from the stack (this is really only useful for tracing the problems occurring during stack operations). The -prnlev
values of 0 or 1 should suffice for most uses.
The option -out specifies the format of printed atoms. "short" means a condensed output using residue (:) and
atom (@) designators followed by residue ranges and atom names. "pdb" (default) prints atoms in Amber-style
PDB format with the original "maskstr" printed as a REMARK at the top of the PDB file, and "amber" prints
atom/residue ranges in the format suitable for copying into group input section of Amber input file.
The option -find is followed by "maskstr" expression. This is a string where some characters have a special
meaning and thus express what parts (atoms/residues) of the molecule will get selected. The syntax of this string
is explained in the section above (DESCRIPTION). If this option is left out, it defaults to ":*", which selects all
atoms in the given topology file. The length of "maskstr" is limited to 80 characters. If the "maskstr" contains
spaces or special characters (which would be expanded by the shell), it should be protected by single or double
quotes (depending on the shell). In addition, for C-shells even a quoted exclamation character may be expanded
327
19. Atom and Residue Selections
for history substitution. Thus, it is recommended that the operand of the negation operator always be enclosed in
parentheses so that "!" is always followed by a "(" to produce "!(" which disables the special history interpretation.
For example, [@C= & !(@CA,C)] selects all carbons except backbone alpha and carbonyl carbon; the parentheses
are redundant but shell safe. The man page indicates further ways to disable history substitution.
FILES
Assumes that prmtop and inpcrd files exists in the current directory if they are not specified with -pand -coptions.
Resulting (i.e. selected) atoms are written to stdout.
BUGS
Because all atom names are left justified in Amber topology and the selections are case insensitive, there is no way
to distinguish some atom names: alpha carbon CA and a calcium ion Ca are a notorious example of that.
19.2. "Atom Expressions" in NAB Applications
NAB applications do not use the AMBER mask scheme outlined in the previous sections. They use simpler
(but less powerful) selection criteria. The scheme is:
chains(or "strands"):residues:atoms
For example, A:GLU:CA would select all Cαcarbons of all glutamate residues in chain A. A plain :: would select
all atoms in all residues and all chains (not very useful). ::H*would select all hydrogen atoms in any chain and
any residue, the *being a wild card for any sequence of characters. Similarly, ::*C*would select all atoms which
contain at least one "C" character, i.e., the wild card can be used in any position. The ?can be used as a wild card
for a single character. Thus, ::H? would select any atom starting with H plus one additional character (e.g., HC,
H1, HN, but not HG11).
The wild card can also be used in residue names. :A*:would select all alanines, asparagines, and arginines.
Selections can be combined separated by a vertical bar "|". :1-3,ALA:C*|:2-5:N*would select all carbon
atoms in residues 1 to 3, in all alanines and all nitrogen atoms in all residues from 2-5. If you would like to tether
all Cαatoms of a protein and the oxygen atom of explicit water molecules (with residue names ’WAT’), you would
use ::CA|:WAT:O*.
Output from NAB applications always tells how many atoms have been selected for a special treatment. If you
are not sure that your selection is correct, this number might at least be a hint. If you run a simulation with a protein
having 200 residues and want to tether all Cαcarbons, ::CA should result in 200 selected atoms (provided that all
residues have a well-defined CA atom, which they should).
19.3. GROUP Specification
This section describes the format used to define groups of atoms in various Amber programs. In sander, a
group can be specified as a movable "belly" while the other atoms are fixed absolutely in space (aside from scaling
caused by constant pressure simulation), and/or a group of movable atoms can independently restrained (held by a
potential) at their positions. In anal, groups can be defined for energy analysis.
Except in the analysis module where different groups of atoms are considered with different group numbers
for energy decomposition, in all other places the groups of atoms defined are considered as marked atoms to be
included for certain types of calculations. In the case of constrained minimization or dynamics, the atoms to be
constrained are read as groups with a different weight for each group.
Reading of groups is performed by the routine RGROUP, and you are advised to consult it if there is still some
ambiguity in the documentation.
Input description:
- 1 - Title format(20a4)
ITITL Group title for identification.
328
19.3. GROUP Specification
Setting ITITL = ’END’ ends group input.
------------------------------------------------------------------------
- 1A - Weight format(f)
This line is only provided/read when using GROUP input to
define restrained atoms.
WT The harmonic force constants in kcal/mol-A**2 for the group
of atoms for restraining to a reference position.
------------------------------------------------------------------------
- 1B - Control to define the group
KTYPG , (IGRP(I) , JGRP(I) , I = 1,7) format(a,14i)
KTYPG Type of atom selection performed. A molecule can be
defined by using only ’ATOM’ or ’RES’, or part of the
molecule can be defined by ’ATOM’ and part by ’RES’.
’ATOM’ The group is defined in terms of atom numbers. The atom
number list is given in igrp and jgrp.
’RES’ The group is defined in terms of residue numbers. The
residue number list is given in igrp and jgrp.
’FIND’ This control is used to make additional conditions
(apart from the ’ATOM’ and ’RES’ controls) which a given
atom must satisfy to be included in the current group.
The conditions are read in the next section (1C) and are
terminated by a SEARCH card.
Note that the conditions defined by FIND filter any set(s) of atoms
defined by the following ATOM/RES instructions. For example,
-- group input: select main chain atoms --
FIND
* * M*
SEARCH
RES 1 999
END
END
’END’ End input for the current group. Followed by either another
group definition (starting again with line 1 above), or by a second
’END’ "card", which terminates all group input.
IGRP(I) , JGRP(I)
The atom or residue pointers. If ktypg .eq. ’ATOM’ all
atoms numbered from igrp(i) to jgrp(i) will be put into
the current group. If ktypg .eq. ’RES’ all atoms in the
residues numbered from igrp(i) to jgrp(i) will be put
into the current group. If igrp(i) = 0 the next control
card is read.
It is not necessary to fill groups according to the
numerical order of the residues. In other words, Group 1
could contain residues 40-95 of a protein, Group 2 could
contain residues 1-40 and Group 3 could contain residues
96-105.
If ktypg .eq. ’RES’, then associating a minus sign with
igrp(i) will cause all residues igrp(i) through jgrp(i)
to be placed in separate groups.
In the analysis modules, all atoms not explicitly defined
as members of a group will be combined as a unit in the
(n + 1) group, where the (n) group in the last defined
group.
------------------------------------------------------------------------
- 1C - Section to read atom characteristics
***** Read only if KTYPG = ’FIND’ *****
JGRAPH(I) , JSYMBL(I) , JTREE(I) , JRESNM(I) format(4a)
329
19. Atom and Residue Selections
A series of filter specifications are read. Each filter consists
of four fields (JGRAPH,JSYMBL,JTREE,JRESNM), and each filter is placed
on a separate line. Filter specification is terminated by a line with
JGRAPH = ’SEARCH’. A maximum of 10 filters may be specified for a
single ’FIND’ command.
The union of the filter specifications is applied to the atoms defined
by the following ATOM/RES cards. I.e. if an atom satisfies any of the
filters, it will be included in the current group. Otherwise, it is not
included. For example, to select all non main chain atoms from residues
1 through 999:
-- group input: select non main chain atoms --
FIND
* * S*
* * B*
* * 3*
* * E*
SEARCH
RES 1 999
END
END
’END’ End input for the current group. Followed by either another
The four fields for each filter line are:
JGRAPH(I) The atom name of atom to be included. If this and the
following three characteristics are satisfied the atom is
included in the group. The wild card ’*’ may be used to
to indicate that any atom name will satisfy the search.
JSYMBL(I) Amber atom type of atom to be included. The wild card
’*’ may be used to indicate that any atom type will
satisfy the search.
JTREE(I) The tree name (M, S, B, 3, E) of the atom to be included.
The wild card ’*’ may be used to indicate that any tree
name will satisfy the search.
JRESNM(I) The residue name to which the atom has to belong to be
included in the group. The wild card ’*’ may be used to
indicate that any residue name will satisfy the search.
------------------------------------------------------------------------
Examples:
The molecule 18-crown-6 will be used to illustrate the group options. This molecule is composed of six repeating
(-CH2-O-CH2-) units. Let us suppose that one created three residues in the PREP unit: CRA, CRB, CRC. Each
of these is a (-CH2-O-CH2-) moiety and they differ by their dihedral angles. In order to construct 18-crown-6, the
residues CRA, CRB, CRC, CRB, CRC, CRB are linked together during the LINK module with the ring closure
being between CRA(residue 1) and CRB(residue 6).
Input 1:
Title one
RES 1 5
END
Title two
RES 6
END
END
Output 1: Group 1 will contain residues 1 through 5 (CRA, CRB, CRC, CRB, CRC) and Group 2 will contain
residue 6 (CRB).
Input 2:
Title one
330
19.3. GROUP Specification
RES 1 5
END
Title two
ATOM 36 42
END
END
Output 2: Group 1 will contain residues 1 through 5 (CRA, CRB, CRC, CRB, CRC) and Group 2 will contain
atoms 36 through 42. Coincidentally, atoms 36 through 42 are also all the atoms in residue 6.
Input 3:
Title one
RES -1 6
END
END
Output 3: Six groups will be created; Group 1: CRA, Group 2: CRB,..., Group 6: CRB.
Input 4:
Title one
FIND
O2 OS M CRA
SEARCH
RES 1 6
END
END
Output 4: Group 1 will contain those atoms with the atom name ’O2’, atom type ’OS’, tree name ’M’ and residue
name ’CRA’.
Input 5:
Title one
FIND
O2 OS * *
SEARCH
RES 1 6
END
END
Output 5: Group 1 will contain those atoms with the atom name ’O2’, atom type ’OS’, any tree name and any
residue name.
Input 6:
Title one
RES1366
END
END
Output 6: One group is created containing residues 1 to 3 and 6. Up to seven ranges of contiguous residues can
be specified per group. (In this case there are two ranges).
331
20. Sampling configuration space
There are many instances when standard molecular dynamics simulations get “stuck” near the starting config-
uration, and fail to adequately sample the available low-energy configurational space. This chapter describes a
variety of techniques that can partially overcome such problems. The following chapter (on Free Energies) contin-
ues many of these ideas, adapting them to the calculation of alchemical or configurational free energy differences.
There is no good distinction between these two chapters, because good sampling of the canonical distribution and
estimation of free energies go hand-in-hand. But the present chapter covers methods that are primarily devoted to
enhanced or accelerated sampling, whereas the following chapter considers methods that explicitly estimate free
energy differences.
20.1. Self-Guided Langevin dynamics
Self-guided Langevin dynamics (SGLD) is designed to enhance conformational search efficiency in either
a molecular dynamics (MD) simulation (when gamma_ln=0) or a Langevin dynamics (LD) simulation (when
gamma_ln>0). This method accelerates low frequency motion to enhance conformational sampling. [329,330]
Overview: The input parameter, tsgavg, defines the lower limit period of the low frequency motion. Typically,
tsgavg=0.2 ps is recommended for motions like phase separation, secondary structure folding, and ligand docking,
while tsgavg=1.0 ps is recommended for protein domain motion, and protein-protein docking. The input parameter,
sgft or tempsg, defines the strength of the guiding effect. sgft=0~1 with 0 for regular LD or MD simulations. A
smaller sgft will produce results closer to a normal MD or LD simulation. tempsg defines a conformational search
ability that is comparable to a high temperature simulation at temp0=tempsg. Normally, tempsg or sgft is set
to accelerates slow events to an affordable time scale while minimizing the pertubation to the conformational
distribution. The guiding force can be applied to a part of a simulation system between atom isgsta and atom
isgend.
The conformational distribution of SGLD can be reweighted to produce canonical ensemble averages[330,331].
The reweighting information is in the simulation output file. The force-momentum based SGLD algorithm
(SGLDfp) [332] (isgld=2) is available to allow conformational search to be accelerated while the canonical ensem-
ble distribution is mantained. However, the conformational searching abilities of SGLDfp is reduced as compared
with SGLD (isgld=1). Most recently, the generalized SGLD method (SGLDg) (isgld=3) is developed to enhance
conformational search in both LD (when gamma_ln>0) and MD (when gamma_ln=0) simulations. SGLDg is
more convenient and flexible and has better characterized conformational distribution and can be an replacement
of normal LD to sample the canonical ensemble by setting tempsg=temp0.
• SGLDfp (isgld=2) allows low resolution structures, such as secondary structures and tertiary structures,
and/or high resolution structures, such as bond lengths and bond angles, to be canonically sampled.
• SGLDg (isgld=3) utilizes independent low-frequency and high frequency Langevin equations to character-
ize the conformational searching and distribution. It provides options to use the force guiding factor, sgff, to
control energy barriers in low frequency space and to use the guiding temperature, tempsg, and the momen-
tum guiding factor, sgft, to enhance low frequency motion. When tempsg is set to the simulation temperature
(tempsg=temp0), SGLDg samples exactly the canonical ensemble and is an excellent replacement of regular
Langevin dynamics with enhanced conformational sampling ability, especially when the friction constant
is high, for example, gamma_ln>10/ps. SGLDg is recommanded when cannonical distribution need be
maintained(tempsg=temp0) or reweighted(tempsg>temp0).
SGLD can be used for replica exchange simulations (RXSGLD)[333] to achieve enhanced sampling with or with-
out elevating temperature. sgft or tempsg can be used to define different replicas. See Section 21.5.5 for a detailed
description of RXSGLD.
333
20. Sampling configuration space
isgld SGLD algorithm index. Default isgld= 0, SGLD is diabled; isgld=1 will turn on SGMD/SGLD method
for accelerated conformational search; isgld=2 will turn on the SGLDfp method [332] to mantain a
canonical ensemble distribution. isgld=3 will enable SGLDg/SGMDg method.
tsgavg Local averaging time (psec) for the guiding force calculation. Default 0.2 psec. A larger value defines
slower motion to be enhanced.
sgft Momentum guiding factor. Defines the strength of the guiding effect. Default 1.0 when gamma_ln>0
(SGLD), 0.2 when gamma_ln=0 (SGMD), or 0 for SGLDg or 1 for SGMDg (isgld=3). When isgld=1
or 2, tempsg>0 will override sgft. When isgld=3 and gamma_ln=0, i.e., SGMDg, sgft represents the
guiding friction constant in the unit of 1/ps and should be set to a positive value.
sgff Force guiding factor for SGLDg or SGMDg (isgld=3). sgff is used to scale down low frequency
energy surface by a factor, (1+sgff ). sgff is suggested to take values between 0 and -0.1, with default
value of 0. sgff is effective for SGMDg (isgld=3 and gamma_ln=0) simulations .
tempsg Target guiding temperature (K). This parameter is redefined since Amber 12 as a conformational
search ability which is comparable to a high temperature simulation with temp0=tempsg. For ex-
ample, by seting tempsg=500K, a SGMD/SGLD simulation will accelerate conformational search as
much as rising the simulation temperature to 500K. When isgld=1 or 2, the default is tempsg=0 K.
When tempsg=0, the guiding effect will be defined by sgft.tempsg>temp0 will accelerate a confor-
mational search and tempsg<temp0 will slow down a conformational search. When isgld=1 or 2,
once tempsg is set, sgft will fluctuate to reach the target conformational search ability. When isgld=3
(SGLDg), the default is tempsg=temp0, which allows the canonical ensemble will be sampled. When
tempsg<>temp0, the reweighting factor can be found in the SGLD output lines described below.
isgsta The first atom index of SGLD region. Default is 1.
isgend The last atom index of SGLD region. Default is natom.
fixcom Option to remove the net translation of the center of mass. For finite systems it is often more conve-
nient to have the center of mass fixed. Default 0 when gamma_ln>0 or 1 when gamma_ln=0. When
fixcom>0, the center of mass is fixed.
treflf Reference low frequency temperature. Default 0.0. treflf is the low frequency temperature when no
guiding force is applied to a simulation system (sgft=0). treflf is required for the weighting factor
calculation in SGMD/SGLD simulation (isgld=1) or for the guiding force calculation in SGMDfp/S-
GLDfp simulations (isgld=2). treflf is not needed in SGLDg or SGMDg (isgld=3) simulations. When
treflf =0, treflf will be estimated during a simulation. An accurate value of treflf can increase the
accuracy in the weighting factor calculation in SGMDfp/SGLDfp simulations.
sgfd Optional high frequency force guiding factor for SGLDfp (isgld=2). Should not be set if conforma-
tional distribution in high resolution need be maintained. When not set, its instantaneous value (printed
out in simulation output files) fluctuates to maintain high resolution conformational distribution.
The output of SGMD/SGLD simulations contains the following properties related to the enhancement in confor-
mational search and reweighting of conformational distribution:
SGLF = SGFT TEMPSG TEMPLF TREFLF FRCLF EPOTLF SGWT
SGHF = SGFF SGFD TEMPHF TREFHF FRCHF EPOTHF VIRSG
These quantities are instantaneous values defined as below:
SGFT: Momentum guiding factor,
SGFF: Force guiding factor. Adjusted in SGLDfp simulations (isgld=2)
SGFD: Force dumping factor. Adjusted in SGLDfp simulations (isgld=2)
TEMPSG: Guiding temperature.
SGWT: Weighting free energy. exp(SGWT) is the weighting factor of current frame.
VIRSG: Virial of the guiding force.
334

20.1. Self-Guided Langevin dynamics
TEMPLF: low frequency temperature
TEMPHF: high frequency temperature
TREFLF: reference low frequency temperature. It is the TEMPLF at SGFT=0 and TEMPSG=0.
TREFHF: reference high frequency temperature. It is the TEMPHF at SGFT=0 and TEMPSG=0.
FRCLF: low frequency force factor
FRCHF: high frequency force factor
EPOTLF: low frequency potential energy
EPOTHF: high frequency potential energy
The weight of a conformation is calculated by
Weight=exp(SGWT) =exp(((FRCLF*TREFLF/TEMPLF-1)*EPOTLF+
(FRCHF*TREFHF/TEMPHF-1)*EPOTHF+VIRSG)/(KBOLTZ*Temp))
or:
wi=exp(λLF T0
LF
TLF −1)ELF
kT + (λHF T0
HF
THF −1)EHF
kT +Wsg
kT
For convenience, two scripts, sgldinfo.sh and sgldwt.sh, are provided in the AMBERHOME/bin directory to
extract SGLD properties and weighting factors from sander output files. For example, one can run:
sgldinfo.sh mdout
to examine the SGLD properties, and run:
sgldwt.sh mdout
to print weighting factors at each print time frame. One may specify TREFLF, e.g., 23.5 K, and/or TREFHF, e.g.,
278.2 K, for more accurate weighting factors:
sgldwt.sh mdout 23.5 278.2
TREFLF and TREFHF can be obtained with sgldinfo.sh from a SGLD simulation at the same condition except
SGFT=0 and TEMPSG=0. Without specifying TREFLF and TREFHF, they will be estimated for the calculation.
Ensemble average properties are calculated through reweighting:
<P>=∑N
i=N0wiPi
∑N
i=N0wi
For SGLDfp (isgld=2) and SGLDg (isgld=3) simulations, no reweighting is needed.
Here is an example of a SGLD simulation input file:
Sample SGLD simulation to reach a 500K conformational search ability
&cntrl
nstlim=1000, cut=99.0, igb=1, saltcon=0.1,
ntpr=100, ntwr=100000, ntt=3, gamma_ln=10.0,
ntx=5, irest=1, ig = 256251,
ntc=2, ntf=2, tol=0.000001,
dt=0.002, ntb=0, tempi=300., temp0=300.,
isgld=1,tsgavg=0.2,tempsg=500,
/
Below is an example of a SGLDg simulation input file to sample the canonical ensemble while accelerate
conformational search:
335

20. Sampling configuration space
Sample SGLDg simulation for efficient conformational sampling
&cntrl
nstlim=1000, cut=99.0, igb=1, saltcon=0.1,
ntpr=100, ntwr=100000, ntt=3, gamma_ln=10.0,
ntx=5, irest=1, ig = 256251,
ntc=2, ntf=2, tol=0.000001,
dt=0.002, ntb=0, tempi=300., temp0=300.,
isgld=3,tsgavg=0.2,tempsg=300,sgft=0.5,sgff=-0.1,
/
Below is an example of a SGMDg simulation input file for accelerated conformational search:
Sample SGLDg simulation for efficient conformational sampling
&cntrl
nstlim=1000, cut=99.0, igb=1, saltcon=0.1,
ntpr=100, ntwr=100000, ntt=1, gamma_ln=0.0,
ntx=5, irest=1, ig = 256251,
ntc=2, ntf=2, tol=0.000001,
dt=0.002, ntb=0, tempi=300., temp0=300.,
isgld=3,tsgavg=0.2,tempsg=500,sgft=1,sgff=-0.1,
/
20.2. Accelerated Molecular Dynamics
20.2.1. Introduction
Many systems of interest in chemistry, physics and biology are characterized by the presence of a number of
metastable states separated by large barriers. Correctly sampling these systems is challenging for methods based on
Molecular Dynamics, Monte Carlo sampling or any other type of dynamic simulation. For most biological systems
of interest, the simulation time is limited to the nanosecond-microsecnd time scale, so simple molecular dynamics
cannot be used to adequately explore portions of the energy landscape separated by high barriers from the initial
minimum. Furthermore, for most biological molecules, the energy landscape has multiple minima or potential
energy wells with high free energy barriers, and during a molecular dynamics simulation the system is trapped in
one or another local minimum for long periods of simulation time. Consequently, thermodynamics and many other
properties of interest for large biological systems cannot be simulated directly because of the nonergodic nature of
the present state of the molecular dynamics methodology for systems with high free energy barriers.
Accelerated Molecular Dynamics (aMD) is a bias potential introduced by the McCammon group at UCSD [334].
It is a modification to the potential that in practice reduces the height of local barriers, allowing the calculation
to evolve much faster. A number of methods have been suggested to aid this problem, like replica exchange,
metadynamics, etc. AMD represents an interesting option as it only requires the evolution of a single copy of the
system, plus it doesn’t require any previous knowledge of the shape of the potential, i.e. aMD doesn’t require
information of where are the barriers, saddle points or even what type of configuration changes are expected or
necessary to traverse through a particular barrier. Moreover, an interesting feature of aMD is that the shape of
the added potential conserves the underlying shape of the real one, such that minima are maintained as minima
and barriers are preserved as barriers. In result, adding the aMD potential in practice simply modifies the relation
between energy differences, so the distribution of sampling of different structures is still related to the original
potential distribution and can be recovered exactly by reweighing.
The aMD modification of the potential is defined by the following equation:
V(r)∗=V(r) + ∆V(r)(20.1)
∆V(r) = (E p −V(r))2
(αP+E p −V(r)) +(Ed −Vd(r))2
(αD+Ed −V d(r)) (20.2)
336
20.2. Accelerated Molecular Dynamics
where V(r)is the normal potential and V d(r)is the normal torsion potential. Ep and Ed are average potential
and dihedral energies that serve as a reference energy from which to compare the present position of the calculation
and therefore the relationship to the boosting factor to be applied. The terms αPand αDare factors that determine
inversely the strength with which the boost is applied. For large values of alpha, the potential felt at any point
will essentially be the same as the true potential For values of alpha close to zero, the potential felt becomes
constant, in this limit, the sampling becomes a random walk. The amount of boost felt at a particular point in
the calculation, therefore, depends on the present value of the potential and dihedral energy, which is in direct
correlation to how low in the energy surface the configuration is positioned at that moment. The boosting potential
will be proportionally bigger for deeper regions of the potential energy surface, while it will be smaller for higher
points, which in result conserves the underlying shape of the potential, as previously mentioned.
AMD has been applied to a vast diversity of interesting problems [335–339]. We have recently applied the
implementation of aMD in Amber to the Bovine Pancreatic Trypsin Inhibitor and compared with an unbiased
millisecond MD simulation, showing aMD is able to recover the right population distribution and shows excellent
agreement with the MD simulation as with experimental data [338].
20.2.2. AMD implementation in Amber
AMD has been implemented in both sander and pmemd by Romelia Salomon-Ferrer. The implementation
includes the possibility of boosting independently only the torsional terms of the potential (iamd=2) or the whole
potential at once (iamd=1). It also allows the possibility to boost the whole potential with an extra boost to the
torsions(iamd=3). All the information generated by aMD, necessary for reweighing is stored at each step into a
vector which is flushed to a log file (amd.log by default) every time the coordinates are written to disk, i.e. every
ntwx steps. This is done for performance reasons, since writing to disk is always time consuming and it is not
advisable to do it every step. The name of the log file can be set to a user defined name by using the command
line option -amdlog when running Amber. Our present implementation also allows the user to delay (or lag) the
boosting a number of steps, i.e. only boost with a particular frequency defined by the variable amdlag. Additional
parameters are specified by the following variables: EthreshD (Ed), alphaD (αD), EthreshP (Ep) and alphaP (αP).
20.2.3. Preparing a system for aMD
As mentioned before, running aMD requires the definition of few parameters. AMD parameters are determined
based on previous knowledge of the system, which is easily acquirable by a short regular MD simulation, from
which the average values of the potential and torsion energy can be estimated. From there, a given amount of
energy per degree of freedom is added those values, in the form of multiples of alpha, setting the values of Ep and
Ed to be used. The following example should help clarify this procedure.
Average Dihedral : 611.5376 (based on MD simulations)
Average EPtot : -53155.3104 (based on MD simulations)
total ATOMS=16950
protein residues=64
For the dihedral potential:
Approximate energy contribution per degree of freedom.
3.5*64= 224 The value of 3.5 kcal/mol/residue seems to work well
alphaD = (1/5)*224 = 45 The value of .2 seems to work well
EthreshD = 224+611 = 835
For the total potential
alphaP = 16950*(1/5)=3390
For a lower boost you can also use a value between 0.15-0.19 instead of 0.20 (0.16 works well)
EthreshP = -53155.3104 + 3390 = -49765.3104
With these parameters, the aMD parameters in the input file should then be set to
iamd=3,EthreshD=835,alphaD=45,EthreshP=-49765,alphaP=3390,
For a higher acceleration it is common to simply add to Eb(dih) multiples of alpha. In this example, one level of acceleration higher than the base for the diedral potential would be defined by:
337
20. Sampling configuration space
iamd=3,EthreshD=880,alphaD=45,EthreshP=-49765,alphaP=3390,
Two levels higher would be then defined by:
iamd=3,EthreshD=925,alphaD=45,EthreshP=-49765,
After the aMD parameters to be used are defined, an MD run with aMD can be set using those parameters. De-
pending on the progress of the simulation, a higher boost can be applied as specified in the above example.
20.2.4. Sample input file for aMD
An example of an input file would be the following:
AVP dt=2.0fs with SHAKE, NPT aMD boost pot and dih
&cntrl
imin=0, irest=1, ntx=5,
dt=0.002, ntc=2, ntf=2, tol=0.000001,iwrap=1,
ntb=2, cut=12.0, ntp=1,igb=0,ntwprt = 3381,ioutfm = 1,
ntt=3, temp0=310.0, gamma_ln=1.0, ig=-1,
ntpr=1000, ntwx=1000, ntwr=1000, nstlim=2000000,
iamd=3,EthreshD=835,
alphaD=45,EthreshP=-49765,
alphaP=3390,
/
&ewald
dsum_tol=0.000001,
/
20.2.5. Further information
Test cases have been included into the distribution of Amber, also a tutorial based on a study we performed on
BPTI [338], showing the power of aMD and its validation versus a millisecond run on the same system performed
on Anton is now present on the Amber website. We encourage the user to read the paper, as well as follow the
tutorial for more information.
20.3. Targeted MD
The targeted MD option adds an additional term to the energy function based on the mass-weighted root mean
square deviation of a set of atoms in the current structure compared to a reference structure. The reference
structure is specified using the -ref flag in the same manner as is used for Cartesian coordinate restraints
(NTR=1). Targeted MD can be used with or without positional restraints. If positional restraints are not applied
(ntr=0), sander performs a best-fit of the reference structure to the simulation structure based on selection in
tgtfitmask and calculates the RMSD for the atoms selected by tgtrmsmask. The two masks can be identical or
different. This way, fitting to one part of the structure but calculating the RMSD (and thus restraint force) for
another part of the structure is possible. If targeted MD is used in conjunction with positional restraints (ntr=1),
only tgtrmsmask should be given in the control input because the molecule is ’fitted’ implicitly by applying
positional restraints to atoms specified in restraintmask.
The energy term has the form:
E = 0.5 *TGTMDFRC *NATTGTRMS *(RMSD-TGTRMSD)**2
The energy will be added to the RESTRAINT term. Note that the energy is weighted by the number of atoms
that were specified in the tgtrmsmask (NATTGTRMS). The RMSD is the root mean square deviation and is mass
weighted. The force constant is defined using the tgtmdfrc variable (see below). This option can be used with
molecular dynamics or minimization. When targeted MD is used, sander will print the current values for the
actual and target RMSD to the energy summary in the output file.
338
20.4. Multiply-Targeted MD (MTMD)
itgtmd
= 0 no targeted MD (default)
= 1 use targeted MD
= 2 use targeted MD to multiple targets (Multiply-targeted MD, or MTMD, see next section below)
tgtrmsd Value of the target RMSD. The default value is 0. This value can be changed during the simulation by
using the weight change option.
tgtmdfrc This is the force constant for targeted MD. The default value is 0, which will result in no penalty for
structure deviations regardless of the RMSD value. Note that this value can be negative, which would
force the coordinates AWAY from the reference structure.
tgtfitmask Define the atoms that will be used for the rms superposition between the current structure and the
reference structure. Syntax is in Chapter 19.1.1.
tgtrmsmask Define the atoms that will be used for the rms difference calculation (and hence the restraint force),
as outlined above. Syntax is in Chapter 19.1.1.
One can imagine many uses for this option, but a few things should be kept in mind. In this implementation of
targeted MD, there is currently only one reference coordinate set, so there is no way to force the coordinates to any
specific structure other than the one reference. To move a structure toward a reference coordinate set, one might
use an initial tgtrmsd value corresponding to the actual RMSD between the input and reference (inpcrd and refc).
Then the weight change option could be used to decrease this value to 0 during the simulation. To move a structure
away from the reference, one can increase tgtrmsd to values larger than zero. The minimum for this energy term
will then be at structures with an RMSD value that matches tgtrmsd. Keep in mind that many different structures
may have similar RMSD values to the reference, and therefore one cannot be sure that increasing tgtrmsd to a
given value will result in a particular structure that has that RMSD value. In this case it is probably wiser to use
the final structure, rather than the initial structure, as the reference coordinate set, and decrease tgtrmsd during the
simulation. To address this, multiply-targeted MD is now available in Amber (sander only), and is described in the
next section. As an additional note, a negative force constant tgtmdfrc can be used, but this can cause problems
since the energy will continue to decrease as the RMSD to the reference increases.
Also keep in mind that phase space for molecular systems can be quite complex, and this method does not
guarantee that a low energy path between initial and target structures will be followed. It is possible for the
simulation to become unstable if the restraint energies become too large if a low-energy path between a simulated
structure and the reference is not accessible.
Note also that the input and reference coordinates are expected to match the prmtop file and have atoms in the
same sequence. No provision is made for symmetry; rotation of a methyl group by 120° would result in a non-zero
RMSD value.
20.4. Multiply-Targeted MD (MTMD)
In Amber (sander only), the user may perform targeted MD calculations using multiple reference structures.
Each reference may have its own associated target RMSD value and force constant, each of which can evolve
independently in time. Additionally, the masks for each defined target may differ, and targeting to any given
reference structure can be activated for some or part of the simulation. The energy term for MTMD is simply the
sum of the energies that would be calculated for the molecule calculated relative to each target given the target
RMSD and force constant for that target. The energy will then be added to the RESTRAINT term.
To use MTMD, the MTMD input file is specified using the -mtmd flag in the command line arguments for
sander. The MTMD input file will contain one instance of the tgt namelist (“&tgt”) for each reference structure
used. The user may specify any number of reference structures.
339
20. Sampling configuration space
20.4.1. Variables in the &tgt namelist:
refin The file name of the reference structure used. The input and reference coordinates are expected to
match the prmtop file and have atoms in the same sequence. Default for refin is ”, no reference
structure given.
mtmdform If MTMDFORM > 0, then the reference coordinate file is formatted. Otherwise, the reference coor-
dinate file is an unformatted (binary) file. Default for MTMDFORM is the value assigned to MTMD-
FORM in the most recent namelist where MTMDFORM was specified. If MTMDFORM has not been
specified in any namelist, it defaults to 1.
mtmdstep1, mtmdstep2 Targeted MD for this structure is run for steps/iterations MTMDSTEP1 through MTMD-
STEP2. If MTMDSTEP2 = 0, then TMD will be run through the end of the run, and the values of
the target RMSD and the force constant will not change with time. Note that the first step/iteration
is considered step 0. Defaults for MTMDSTEP1 and MTMDSTEP2 are the values assigned to them
in the most recent namelist where MTMDSTEP1 and MTMDSTEP2 were specified. If MTMDSTEP1
and MTMDSTEP2 have not been specified in any namelist, they default to 0.
mtmdvari If MTMDVARI >0, then the force constant and target RMSD will vary with step number. Oth-
erwise, they are constant throughout the run. If MTMDVARI >0, then the values MTMDSTEP2,
MTMDRMSD2, and MTMDFORCE2 must be specified (see below). Default for MTMDVARI is
the value assigned to MTMDVARI in the most recent namelist where MTMDVARI was specified. If
MTMDVARI has not been specified in any namelist, it defaults to 0.
mtmdrmsd, mtmdrmsd2 The target RMSD for this reference. If MTMDVARI >0, then the value of MTMDRMSD
will vary between MTMDSTEP1 and MTMDSTEP2, so that, e.g. MTMDRMSD(MTMDSTEP1) =
MTMDRMSD and MTMDRMSD(MTMDSTEP2) = MTMDRMSD2. Defaults for MTMDRMSD and
MTMDRMSD2 are the values assigned to them in the most recent namelist where MTMDRMSD and
MTMDRMSD2 were specified. If MTMDRMSD and MTMDRMSD2 have not been specified in any
namelist, they default to 0.0.
mtmdforce, mtmdforce2 The force constant for this reference. If MTMDVARI >0, then the value of
MTMDFORCE will vary between MTMDSTEP1 and MTMDSTEP2, so that, e.g. MTMD-
FORCE(MTMDSTEP1) = MTMDFORCE and MTMDFORCE(MTMDSTEP2) = MTMDFORCE2.
Defaults for MTMDFORCE and MTMDFORCE2 are the values assigned to them in the most recent
namelist where MTMDFORCE and MTMDFORCE2 were specified. If MTMDFORCE and MTMD-
FORCE2 have not been specified in any namelist, they default to 0.0.
mtmdninc If MTMDVARI >0 and MTMDNINC >0, then the changes in the values of of MTMDRMSD and
MTMDFORCE are applied as a step function, with NINC steps/iterations between each change in the
target values. If MTMDNINC = 0, the change is effected continuously (at every step). Default for
MTMDNINC is the value assigned to MTMDNINC in the most recent namelist where MTMDNINC
was specified. If MTMDNINC has not been specified in any namelist, it defaults to 0.
mtmdmult If MTMDMULT=0, and the values of MTMDFORCE changes with step number, then the changes
in the force constant will be linearly interpolated from MTMDFORCE→MTMDFORCE2 as the step
number changes. If MTMDMULT=1 and the force constant is changing with step number, then the
changes in the force constant will be effected by a series of multiplicative scalings, using a single
factor, R, for all scalings. i.e.
MTMDFORCE2 = R**INCREMENTS *MTMDFORCE
INCREMENTS is the number of times the target value changes, which is determined by MTMD-
STEP1, MTMDSTEP2, and MTMDNINC. Default for MTMDMULT is the value assigned to MT-
MDMULT in the most recent namelist where MTMDMULT was specified. If MTMDMULT has not
been specified in any namelist, it defaults to 0.
340
20.5. Nudged elastic band calculations
mtmdmask Define the atoms that will be used for both the rms superposition between the current structure and
the reference structure and the rms difference calculation (and hence the restraint force), as outlined
above. Syntax is in Chapter 19.1.1.Default for MTMDMASK is the value assigned to MTMDMASK in
the most recent namelist where MTMDMASK was specified. If MTMDMASK has not been specified in
any namelist, it defaults to ’*’, use all atoms in the fit and force calculations. \
Namelist &tgt is read for each reference structure. Input ends when a namelist statement with refin = ” (or refin
not specified) is found. Note that comments can precede or follow any namelist statement, allowing comments and
reference definitions to be freely mixed.
20.5. Nudged elastic band calculations
20.5.1. Background
In the nudged elastic band method (NEB),[340,341] the path for a conformational change is approximated with
a series of images of the molecule describing the path. Minimization, with the images at the endpoints fixed in
space, of the total system energy provides a minimum energy path. Each image in-between is connected to the
previous and next image by "springs" along the path that serve to keep each image from sliding down the energy
landscape onto adjacent images. NEB is derived from the plain elastic band method, pioneered by Elber and
Karplus,[342] which added the spring forces to the potential of energy surface and minimized the energy of the
system. The plain elastic band method found low energy paths, but tended to cut corners in the energy landscape.
NEB prevents corner cutting by truncating the spring forces in directions perpendicular to the tangent of the path.
Furthermore, the forces from the molecular potential are truncated along the path, so that images remain evenly
spaced along the path. This leads to:
F=F⊥+Fk
F⊥=−∇V(P) + ((∇V(P)·τ)τ(20.3)
Fk= [(ki+1|Pi+1−Pi|−ki|Pi−Pi−1)·τ]τ
where, if Nis the number of atoms per image, Fis the force on image i,Piis the 3N dimensional position vector
of image i,kiis the spring constant between image i−1 and image i,Vis the potential described by the force field,
and τis the 3N dimensional tangent unit vector that describes the path.
The simplest definition of τis:
τ= (Pi−Pi−1)/|Pi−Pi−1|(20.4)
This definition leads to instability in the path caused by kinks that occur where the magnitude of Fkis much larger
than the magnitude of F⊥. A more stable tangent definition was derived to prevent kinks in the path that depends
upon the energies, E, of adjacent images.[343] The spring constants can be the same between all images or they
can be scaled to move the images closer together in the regions of transition states:[344]
I f (Ei>Ere f )then ki=kmax −∆k(Emax −Ei)/(Emax −Ere f )
otherwise ki=kmax −∆k(20.5)
Here Emax is the highest energy for an image along the path, Ere f is the energy of the higher energy endpoint,
and kmax and ∆kare parameters with units of force per length. Because the spring force applies only in directions
along the path and because the potential of the energy surface is zeroed along the path, the calculation is relatively
insensitive to the magnitude of the spring constants. Care must be taken, however, to select a spring constant that
does not result in higher frequency motions than those found in the system of interest.[345] At each step, before
calculating the spring forces that compose Fk, each image’s neighbor is rotated and translated onto itself to find
341
20. Sampling configuration space
the RMSD minimum, based on a subset of the system’s atoms which the user can define. In this way, each image
remains a continuous MD simulation, and the communication of coordinates can be greatly reduced.
Energy minimization of the path is complicated by the fact that the forces are truncated according to the tangent
direction, making it impossible to define a Lagrangian.[345] Conjugate gradient minimization, therefore, cannot
be used to find the minimum energy path. An algorithm for quenched molecular dynamics has been used to find
the minimum.[341] With this method, the component of the velocity parallel to the force is kept, but perpendicular
components are scaled:
I f (v·f>0)then v= (v·f)f
otherwise v=x(v·f)f(20.6)
where fis the 3N-dimensional unit force vector, vis the 3N-dimensional velocity vector, and xis a scaling fac-
tor less than one. Recently, a super-linear minimization method was described using an adopted basis Newton-
Raphson minimizer.[345]
A partial NEB (PNEB) implementation is available, and is the only form of NEB that is currently supported
[346]. This implementation allows the NEB method to be applied to a user defined subset of the system of interest.
It requires users to define the part of the system to apply NEB force decoupling to, as well as the part of the system
to RMS fit neighboring images to, to remove rotational and translational motion. This allows NEB to be used
efficiently in large systems where a local transition is desired, or in explicitly solvated systems.
As with the previous implementation of NEB in sander.MPI [347], minimization of the system energies along
the lowest potential energy path is achieved by simulated annealing. This requires no hypothesis for a starting path,
but does require careful judgment of the temperature and length of time required to populate the minimum energy
path. The initial coordinates can have multiple copies of the structure superimposed on the start and endpoints.
When adjacent structures are superimposed, the tangent, τis 0 in every direction. This case is explicitly handled
so that the calculation is stable.
20.5.2. Preparing input files for NEB
The NEB capability is implemented inside sander.MPI and uses the multisander functionality. Input prmtop and
inpcrd files for NEB should be generated using Leap. For NEB you need as a minimum a prmtop for a single
image of your molecule and two inpcrd files representing each end of the pathway.
The following are some notes for preparing NEB input files:
1. Always check that the prmtop files generated for the endpoint coordinates are identical. This can be done by
diffing the files. One prmtop must be used to describe both endpoints’ inpcrd files.
2. If you have intermediate structures along the path, you must make sure the prmtop is appropriate for this
structure as well.
3. The endpoint images serve as coordinate reference points, and the first and last images remain fixed in
coordinate and energy space along the path. No simulation is performed on these during NEB optimization,
so they must initially be well minimized to prevent the rest of the images from migrating to a local minimum
before the conformational transition occurs. Take this into consideration when choosing the number of
images to connect along the path.
Multisander requires a groupfile input, where each line of the groupfile is the sander command for each individual
image’s MD simulation. Multiple copies of each endpoint image are used for the initial simulation. If intermediates
are available and the user wishes to include them, they should be added sequentially in between the endpoint
conformations in the order in which these structures are thought to appear along the transition path.
Notes for running NEB using multisander:
1. The number of CPUs specified must be a multiple of the number of images. You can run this on a standard
desktop computer, but it will generally be more efficient to run it on a minimum of one processor per image.
342
20.5. Nudged elastic band calculations
2. If the user has access to parallel computing resources, multiple processors per image may be used. Careful
benchmarking should be done to gauge the best balance between computational efficiency in calculating the
dynamics of each image and slowdown caused by communications overhead at each step.
20.5.3. Input Variables
ineb Flag for nudged elastic band. A value of 0 (default) means that no nudged elastic band will be used.
A value of 1 means that a NEB simulation is being performed.
tgtfitmask Flag which sets atoms to RMS fit each image’s neighbor to itself. This must not include solvent,
which, due to diffusion, overlapping proves impossible. The more atoms you choose, the more com-
munication has to be done by each bead. Syntax for this is here: 19.1.1
tgtrmsmask Flag which sets atoms to decouple NEB forces for PNEB. This can be set to all atoms of the solute,
or a subset of atoms which best describes the area of the system which undergoes the conformational
change you wish to see. Syntax for this is here: 19.1.1
skmax Spring constant or kmax from above (100 by default).
skmin If skmin = skmax, a fixed spring constant is used. Otherwise, skmin is taken from above for scaled
spring constants (50 by default).
tmode If 1 (default), use the revised tangent definition that prevents kinks. For any other value, use the simple
(original) tangent definition.
vv If this is 1, use the quenched velocity Verlet minimization; otherwise, do not.
vfac Scaling factor for quenched velocity Verlet algorithm. (0.0 by default).
Sample input file for running initial heating along the path.
Below is an example input file that can be used to perform the initial heating step of a NEB run. Note that the
input and topology files must be identical for each bead; the names of the output, trajectory, restart and info files
should not be the same between beads.
Alanine NEB initial MD with small K
&cntrl
imin = 0, irest = 0,
ntc=1, ntf=1,
ntpr=1, ntwx=500,
ntb = 0, cut = 999.0, rgbmax=999.0,
igb = 1, saltcon=0.2,
nstlim = 40000, nscm=0,
dt = 0.0005, ig=42,
ntt = 3, gamma_ln=1000.0,
tempi=0.0, temp0=300.0,
tgtfitmask=":1,2,3",
tgtrmsmask=":1,2,3@N,CA,C",
ineb = 1,skmin = 10,skmax = 10,
nmropt=1,
/
&wt type=’TEMP0’, istep1=0,istep2=35000,
value1=0.0, value2=300.0
/
&wt type=’END’
/
343
20. Sampling configuration space
The important NEB specific lines are shown in boldface type. tgtfitmask variable denotes the atoms that will be
used to RMS fit each bead onto its neighbor images at each step. In this case all atoms of residues 1 2 and 3 are
specified. The tgtrmsmask variable denotes the atoms that the NEB forces will be applied to. In this case the
backbone atoms of residues 1, 2 and 3 are specified. In general, the atoms that have NEB forces applied to them
should be those involved in the transition of interest. If the specific transition is not known or there are many
degrees of freedom involved in the transition, one can simply specify all solute atoms. It is not recommended to
apply NEB forces to solvent atoms. For more examples, please refer to the runs in the $AMBERHOME/test/neb-
testcases directory, or see reference [346].
20.5.4. Important Considerations for NEB Simulations
With the implementation of PNEB, it is important to understand some limitations of the method. Only part of
the system is simulated with NEB forces, indicating this part of the system is moving along the minimum potential
energy landscape of the transition path. However, the part of the system to which NEB is not applied is not
necessarily forced along this minimum potential energy path, and attention must be paid to the convergence of this
part of the system. The conformational change in this part of the system is no doubt accelerated, since it responds
to the part of the system to which NEB forces are applied. Further equilibration of the system may need to be done
if the user wishes to examine changes not local to the area the NEB forces are applied to.
Careful attention must be paid to optimization methods, to assure that conformational space is explored for the
NEB part of the system, while the integrity of the non-NEB part remains intact. As in all NEB implementations,
a general caveat is that as the system size increases, the degrees of freedom increase and conformational changes
become more difficult to quantify. While NEB is a method which does not necessitate a reaction coordinate,
care should be taken when analyzing the resulting minimum energy path. It is reccommended that NEB be run
a statistically relevant number of times so reproducibility (and convergence) of the minimum energy path can be
studied.
20.6. Low-MODe (LMOD) methods
István Kolossváry’s LMOD methods for minimization, conformational searching, and flexible docking[348–
351] are now fully implemented in Amber. The centerpiece of LMOD is a conformational search algorithm based
on eigenvector following of low frequency vibrational modes. It has been applied to a spectrum of computational
chemistry domains including protein loop optimization and flexible active site docking.
Details of the LMOD procedure, and hints on getting good performance, are given in the AmberTools Users’
Manual, which should be consulted before trying the procedures in sander. The only difference between the
implementation in sander and in NAB involves details of how the input is specified; the same LMOD code is
linked into both. The sections below give input details for sander.
20.6.1. XMIN
The XMIN methods for minimization are traditional and manifold in the field of unconstrained optimization:
PRCG is a Polak-Ribiere nonlinear Conjugate Gradient algorithm,[352] LBFGS is a Limited-memory Broyden-
Fletcher-Goldfarb-Shanno quasi-Newton algorithm,[353] and TNCG is a Truncated Newton linear Conjugate Gra-
dient method with optional LBFGS preconditioning.[354]
Some of the &cntrl namelist variables that control Amber’s other minimization facilities also control XMIN.
Consequently, non-experts can employ the default XMIN method merely by specifying ntmin = 3.
maxcyc The maximum number of cycles of minimization. Default is 1 to be consistent with Amber’s other
minimization facilities although it may be unrealistically short.
ntmin The flag for the method of minimization.
= 3 The XMIN method is used.
= 4 The LMOD method is used. The LMOD procedure employs XMIN for energy relaxation and
minimization.
344
20.6. Low-MODe (LMOD) methods
drms The convergence criterion for the energy gradient: minimization will halt when the root-mean-square
of the Cartesian elements of the gradient is less than DRMS. Default is 1.0E-4 kcal/mole Åto be
consistent with Amber’s other minimization facilities although it may be unrealistically strict.
Other options that control XMIN are in the scope of the &lmod namelist. These parameters enable expert control
of XMIN.
lbfgs_memory_depth The depth of the LBFGS memory for LBFGS minimization, or LBFGS preconditioning in
TNCG minimization. Default is 3. Suggested alternate value is 5. The value 0 turns off LBFGS
preconditioning in TNCG minimization.
matrix_vector_product_method The finite difference Hv matrix-vector product method: "forward" = forward dif-
ference, "central" = central difference. Default is forward difference.
xmin_method The minimization method: "PRCG" = Polak-Ribiere Conjugate Gradient, "LBFGS" = Limited-
memory Broyden-Fletcher-Goldfarb-Shanno, and "TNCG" = Optionally LBFGS-preconditioned
Truncated Newton Conjugate Gradient. Default is LBFGS.
xmin_verbosity The verbosity of the internal status output from the XMIN package: 0 = none, 1 = minimization
details, and 2 = minimization and line search details plus CG details in TNCG. Currently, the XMIN
status output may be disordered with respect to Amber’s output. Default is 0, no output of the XMIN
package internal status. Note that XMIN is also available in AmberTools, in the NAB package. An
annotated example output corresponding to XMIN_VERBOSITY=2 can be found in the NAB docu-
mentation.
20.6.2. LMOD
Some of the options that control LMOD have the same names as Amber’s other minimization facilities. See
the XMIN section immediately above. Other options that control LMOD are in the scope of the &lmod namelist.
These parameters enable expert control of LMOD.
arnoldi_dimension The dimension of the ARPACK Arnoldi factorization. Zero specifies the whole space, that is,
three times the number of atoms. Default is 0, the whole space. Basically, the ARPACK package
used for the eigenvector calculations solves multiple "small" eigenvalue problems instead of a single
"large" problem, which is the diagonalization of the three times the number of atoms by three times
the number of atoms Hessian matrix. This parameter is the user specified dimension of the "small"
problem. The allowed range is total_low_modes + 1 <= arnoldi_dimension <= three times the num-
ber of atoms. The default means that the "small" problem and the "large" problem are identical. This
is the preferred, i.e., fastest, calculation for small to medium size systems, because ARPACK is guar-
anteed to converge in a single iteration. The ARPACK calculation scales with three times the number
of atoms times the arnoldi_dimension squared and, therefore, for larger molecules there is an optimal
arnoldi_dimension much less than three times the number of atoms that converges much faster in mul-
tiple iterations (possibly thousands or tens of thousands of iterations). The key to good performance
is to select an arnoldi_dimension such that all the ARPACK storage fits in memory. For proteins,
arnoldi_dimension=1000 is generally a good value, but often a very small 50-100 Arnoldi dimension
provides the fastest net computational cost with very many iterations.
conflib_filename The user-given filename of the LMOD conformational library. The file format is standard Amber
trajectory file. The conformations are stored in energetic order (global minimum energy structure first),
the number of conformations <= conflib_size. The default filename is conflib.
conflib_size The number of conformations to store in conflib. Default is 3.
energy_window The energy window for conformation storage; the energy of a stored structure will be in the
interval [global_min, global_min + energy_window]. Default is 0, only storage of the global minimum
structure.
345
20. Sampling configuration space
explored_low_modes The number of low frequency vibrational modes used per LMOD iteration. Default is 3.
frequency_eigenvector_recalc The frequency, measured in LMOD iterations, of the recalculation of eigenvectors.
Default is 3.
frequency_ligand_rotrans The frequency, measured in LMOD iterations, of the application of rigid-body rotational
and translational motions to the ligand(s). At each frequency_ligand_rotrans-th LMOD iteration num-
ber_ligand_rotrans rotations and translations are applied to the ligand(s). Default is 1, ligand(s) are
rotated and translated at every LMOD iteration.
lmod_job_title The user-given title for the job that goes in the first line of the conflib and lmod_trajectory files.
The default job title is "job_title_goes_here".
lmod_minimize_grms The gradient RMS convergence criterion of structure minimization. Default is 0.1.
lmod_relax_grms The gradient RMS convergence criterion of structure relaxation. Default is 1.0.
lmod_restart_frequency The frequency, in LMOD iterations, of conflib updating and LMOD restarting with a
randomly chosen structure from the pool. Default is 5.
lmod_step_size_max The maximum length of a single LMOD ZIG move. Default is 5.0 Å.
lmod_step_size_min The minimum length of a single LMOD ZIG move. Default is 2.0 Å.
lmod_trajectory_filename The filename of the LMOD pseudo trajectory. The file format is standard Amber tra-
jectory file. The conformations in this file show the progress of the LMOD search. The number of
conformations = number_lmod_iterations + 1. The default filename is lmod_trajectory.
lmod_verbosity The verbosity of the internal status output from the LMOD package: 0 = none, 1 = some details,
2 = more details, 3 = everything including ARPACK information. Currently, the LMOD status output
may be disordered with respect to Amber’s output. Default is 0, no output of the LMOD package
internal status. Note that LMOD is also available in AmberTools, in the NAB package. An annotated
example output corresponding to LMOD_VERBOSITY=2 can be found in the NAB documentation.
monte_carlo_method The Monte Carlo method: "Metropolis" = Metropolis Monte Carlo, "Total_Quench" = the
LMOD trajectory always proceeds towards the lowest lying neighbor of a particular energy well found
after exhaustive search along all of the low modes, and "Quick_Quench" = the LMOD trajectory
proceeds towards the first neighbor found, which is lower in energy than the current point on the path,
without exploring the remaining modes. Default is Metropolis Monte Carlo.
number_free_rotrans_modes The number of rotational and translational degrees of freedom. This is related to the
number of frozen or tethered atoms in the system: 0 atoms dof=6, 1 atom dof=3, 2 atoms dof=1, >=3
atoms dof=0. Default is 6, no frozen atoms.
number_ligand_rotrans The number of rigid-body rotational and translational motions applied to the ligand(s).
Such applications occur at each frequency_ligand_rotrans-th LMOD iteration. Default is 0, no rigid-
body motions applied to the ligand(s).
number_ligands The number of ligands for flexible docking. Default is 0, no ligand(s).
number_lmod_iterations The number of LMOD iterations. Default is 10. Note that setting num-
ber_lmod_iterations = 0 will result in a single energy minimization.
number_lmod_moves The number of LMOD ZIG-ZAG moves. Zero means that the number of ZIG-ZAG moves
is not pre-defined, instead LMOD will attempt to cross the barrier in as many ZIG-ZAG moves as it is
necessary. The criterion of crossing an energy barrier is stated above in the "LMOD Procedure" back-
ground section. number_lmod_moves >0 means that multiple barriers may be crossed and LMOD
can carry the molecule to a large distance on the potential energy surface without severely distorting
the geometry. Default is 0, LMOD will determine automatically where to stop the ZIG-ZAG sequence.
346
20.6. Low-MODe (LMOD) methods
random_seed The seed of the random number generator. Default is 314159.
restart_pool_size The size of the pool of lowest-energy structures to be used for restarting. Default is 3.
rtemperature The value of RT in Amber energy units. This is utilized in the Metropolis criterion. Default is 1.5.
total_low_modes The total number of low frequency vibrational modes to be used. Default is the minimum of
10 and three times the number of atoms minus the number of rotational and translational degrees of
freedom (number_free_rotrans_modes).
The following commands are part of the &lmod namelist. These commands control the way LMOD applies explicit
translations and rotations to one or more ligands and take effect only if number_ligands >= 1. All commands are
lists in square brackets, separated by commas such as [1, 33, 198], however, the list is read by Sander as a string
and, therefore, it should be enclosed in single quotes.
ligstart_list, ligend_list The serial number(s) of the first/last atom(s) of the ligand(s). Type integer. The number(s)
should correspond to the numbering in the Amber input files prmtop and inpcrd/restart. For example,
if there is only one ligand and it starts at atom 193, the command should be ligstart_list = ’[193]’. If
there are three ligands, the command should be, e.g., ’[193, 244, 1435]’. The same format holds for
all of the following commands. Note that the ligand(s) can be anywhere in the atom list, however, a
single ligand must have continuous numbering between the corresponding ligstart_list and ligend_list
values. For example, ligstar_list = ’[193, 244, 1435]’ and ligend_list = ’[217, 302, 1473]’.
ligcent_list The serial number(s) of the atom(s) of the ligand(s), which serves as the center of rotation. Type
integer. The value zero means that the center of rotation will be the geometric center of gravity of the
ligand.
rotmin_list, rotmax_list The range of random rotation of a particular ligand about the origin defined by the cor-
responding ligcent_list value is specified by the commands rotmin_list and rotmax_list. The angle
is given in +/- degrees. Type float. For example, in case of a single ligand and ligcent_list = ’[0]’,
rotmin_list = ’[30.0]’ and rotmax_list = ’[180.0]’ means that random rotations by an angle +/- 30-180
degrees about the center of gravity of the ligand, will be applied. Similarly, with number_ligands =
2, ligcent_list= 120.0]’ means that the first ligand will be rotated like in the single ligand example in
this paragraph, but a second ligand will be rotated about its atom number 201, by an angle +/- 60-120
degrees.
trmin_list, trmax_list The range of random translation(s) of ligand(s) is defined by the same way as rotation. For
example, with number_ligand = 1, trmin_list = ’[0.1]’ and trmax_list = ’[1.0]’ means that a single
ligand is translated in a random direction by a random distance between 0.1 and 1.0 Angstroms.
347
21. Free energies
21.1. Thermodynamic integration
In a free energy calculation, the system evolves according to a mixed potential (such as in Eqs. 21.3 or 21.4,
below). The essence of free energy calculations is to record and analyze the fluctuations in the values of V0
and V1(that is, what the energies would have been with the endpoint potentials) as the simulation progresses.
For thermodynamic integration (which is a very straightforward form of analysis) the required averages can be
computed "on-the-fly" (as the simulation progresses), and printed out at the end of a run. For more complex
analyses (such as the Bennett acceptance ratio scheme), one needs to write out the history of the values of V0and
V1to a file, and later post-process this file to obtain the final free energy estimates.
There is not room here to discuss the theory of free energy simulations, and there are many excellent discussions
elsewhere.[9,355,356] There are also plenty of recent examples to consult. [357,358] Such calculations are
demanding, both in terms of computer time, and in a level of sophistication to avoid pitfalls that can lead to poor
convergence. Since there is no one "best way" to estimate free energies, sander and pmemd primarily provide the
tools to collect the statistics that are needed. Assembling these into a final answer, and assessing the accuracy
and significance of the results, generally requires some calculations outside of what Amber provides, per se. The
discussion here will assume a certain level of familiarity with the basis of free energy calculations.
Both sander and pmemd have the capability of doing simple thermodynamic free energy calculations, using
either PME or generalized Born potentials. When icfe is set to 1, information useful for doing thermodynamic
integration estimates of free energy changes will be computed. The implementation is different between sander
and pmemd. For sander, you must use the multisander capability to create two groups, one corresponding to the
starting state, and a second corresponding to the ending state (See Section 17.11 for information); you will need a
prmtop file for each of these two end points. For pmemd, you use a single prmtop file which contains both the start
and end states. For both sander and pmemd a mixing parameter λis used to interpolate between the "unperturbed"
and "perturbed" potential functions.
21.1.1. Thermodynamic integration using Sander
There are now two different ways to prepare a thermodynamic integration free energy calculation in Sander. The
first is unchanged from previous versions of Amber: Here, the two prmtop files that you create must have the same
number of atoms, and the atoms must appear in the same order in the two files. This is because there is only one
set of coordinates that are propagated in the molecular dynamics algorithm. If there are more atoms in the initial
state than in the final, "dummy" atoms must be introduced into the final state to make up the difference. Although
there is quite a bit of flexibility in choosing the initial and final states, it is important in general that the system be
able to morph "smoothly" from the initial to the final state. Alternatively, you can set up your system to use the
softcore potential algorithm described below. This will remove the requirement to prepare "dummy" atoms and
allows the two prmtop files to have different numbers of atoms.
The basics of the multisander functionality are given in Section 17.11, but the mechanics are really quite
simple. You start a free energy calculation as follows:
mpirun -np 4 sander.MPI -ng 2 -groupfile <filename>
Since there are 4 total cpu’s in this example, each of the two groups will run in parallel with 2 cpu’s each. The
number of processors must be a multiple of two. The groups file might look like this:
-O -i mdin -p prmtop.0 -c eq1.x -o md1.o -r md1.x -inf mdinfo
-O -i mdin -p prmtop.1 -c eq1.x -o md1b.o -r md1b.x -inf mdinfob
349
21. Free energies
The input (mdin) and starting coordinate files must be the same for the two groups. Furthermore, the two prmtop
files must have the same number number of atoms, in the same order (since one common set of coordinates
will be used for both.) The simulation will use the masses found in the first prmtop file; in classical statistical
mechanics, the Boltzmann distribution in coordinates is independent of the masses so this should not represent any
real restriction.
On output, the two restart files should be identical, and the two output files should differ only in trivial ways
such as timings; there should be no differences in any energy-related quantities, except if energy decomposition
is turned on (idecomp > 0; then only the output file of the first group contains the per residue contributions to
h∂V/∂ λ i. For our example, this means that one could delete the md1b.o and md1b.x files, since the information
they contain is also in md1.o and md1.x. (It is a good practice, however, to check these file identities, to make sure
that nothing has gone wrong.)
21.1.2. Thermodynamic integration using PMEMD
In pmemd, there is only a single input topology file which contains the atoms corresponding to both the start and
end states. As explained in Ref. [359] this removes redundant calculations, greatly improving the efficiency of the
code. In order to accommodate these changes, some input flags have been modified compared to sander. These
are marked in the sections below. Also, simulations at the endpoints, λ= 0 or λ= 1, will work even for soft core
simulations.
The prmtop file needs to be carefully prepared in order to be compatible with the pmemd TI implementation. A
number of examples for setting up the prmtop file are given below in section 21.1.6. This is not a complete tutorial
on TI calculations, but explains how to prepare the new prmtop format for various types of TI calculations.
Performance of the PME TI pmemd implementation is approximately 75% that of a regular PME MD simulation
with roughly the same parallel scaling. The difference in absolute performance comes from the fact that a PME
calculation is not pairwise decomposable and therefore the reciprocal space calculation needs to be carried out
twice per time step, once for V0and V1. For GB TI the performance difference is approximately 50% since the GB
radii calculation is not pairwise decomposable and thus two non-bond calculations are carried out per time step.
The exception to this performance difference is when one is running just vdW only soft core transformations.
In this situation there are no charges on the TI atoms and thus the charges for all of the atoms in both V0and V1are
the same. Hence the long range electrostatics calculation only needs to be done once per step, rather than twice
(for V0and V1) . This results in performance roughly equivalent to a standard MD simulation. This optimization
is determined automatically and can be seen in the mdout file – ’No charge on TI atoms. Skipping extra recip
sum.’ To determine the total free energy change it is neccessary to carry out additional simulations to determine
the free energy of removing the charges from the molecules. It is up to the user to decide which path through the
thermodynamic cycle will be more efficient for their system of interest.
21.1.3. Basic inputs for thermodynamic integration
icfe The basic flag for free energy calculations. The default value of 0 skips such calculations. Setting this
flag to 1 turns them on, using the mixing rules in Eq. 21.3, below.
clambda The value of λfor this run, as in Eqs. 21.3 and 21.4, below. Zero corresponds to the unperturbed
Hamiltonian V0,λ=1 corresponds to the perturbed Hamiltonian, or V1.
klambda The exponent in Eq. 21.4, below.
tishake Flag that determines how SHAKE is handled
= 0 Coordinates are synchronized after SHAKE, no constraints removed (default)
= 1 SHAKE is removed between bonds containing one common and one unique atom. This was
the default in previous versions of sander. Note that disabling SHAKE requires the use of 1 fs
timestep.
350
21.1. Thermodynamic integration
21.1.3.1. Input flags specific to Sander
idecomp Flag that turns on/off decomposition of h∂V/∂ λ ion a per-residue level. The default value of 0 turns
off energy decomposition. A value of 1 turns the decomposition on, and 1-4 nonbonded energies
are added to internal energies (bond, angle, torsional). A value of 2 turns the decomposition on,
and 1-4 nonbonded energies are added to EEL and VDW energies, respectively. The frequency by
which values of h∂V/∂ λ iare included into the decomposition is determined by the NTPR flag. This
ensures that the sum of all contributions equals the average of all total h∂V/∂ λ ivalues output every
NTPR steps. All residues, including solvent molecules, have to be chosen by the RRES card to be
considered for decomposition. The RES card determines which residue information is finally output.
The output comes at the end of the mdout file. For each residue contributions of internal -, VdW-,
and electrostatic energies to h∂V/∂ λ iare given as an average over all (NSTLIM/NTPR) steps. In
a first section total per residue values are output followed below by further decomposed values from
backbone and sidechain atoms.
21.1.3.2. Input flags specific to PMEMD
timask1 Specifies the atoms unique to V0in ambmask format.
timask2 Specifies the atoms unique to V1in ambmask format.
21.1.4. Background theory of thermodynamic integration
The sander and pmemd programs do not compute free energies; it is up to the user to combine the output of
several runs (at different values of λ) and to numerically estimate the integral:
∆A=A(λ=1)−A(λ=0) = Z1
0h∂V/∂ λ iλdλ(21.1)
If you understand how free energies work, this should not be at all difficult. However, since the actual values of
λthat are needed, and the exact method of numerical integration, depend upon the problem and upon the precision
desired, we have not tried to pre-code these into the program.
The simplest numerical integration is to evaluate the integrand at the midpoint:
∆A'h∂V/∂ λ i1/2
This might be a good first thing to do to get some picture of what is going on, but is only expected to be accurate
for very smooth or small changes, such as changing just the charges on some atoms. Gaussian quadrature formulas
of higher order are generally more useful:
∆A=∑
i
wih∂V/∂ λ ii(21.2)
Some weights and quadrature points are given in the accompanying table; other formulas are possible,[360] but
the Gaussian ones listed there are probably the most useful. The formulas are always symmetrical about λ= 0.5,
so that λand (1−λ)both have the same weight. For example, if you wanted to use 5-point quadrature, you would
need to run five jobs, setting λto 0.04691, 0.23076, 0.5, 0.76923, and 0.95308 in turn. (Each value of λshould
have an equilibration period as well as a sampling period; this can be achieved by setting the ntave parameter.)
You would then multiply the values of h∂V/∂ λ iiby the weights listed in the Table, and compute the sum.
When icfe=1 and klambda has its default value of 1, the simulation uses the mixed potential function:
V(λ) = (1−λ)V0+λV1(21.3)
where V0is the potential with the original Hamiltonian, and V1is the potential with the perturbed Hamiltonian.
The program also computes and prints h∂V/∂ λ iand its averages; note that in this case, h∂V/∂ λ i=V1−V0. This
is referred to as linear mixing, and is often what you want unless you are making atoms appear or disappear. If
some of the perturbed atoms are "dummy" atoms (with no van der Waals terms, so that you are making these atoms
351
21. Free energies
"disappear" in the perturbed state), the integrand in Eq. 21.1 diverges at λ= 1; this is a mild enough divergence
that the overall integral remains finite, but it still requires special numerical integration techniques to obtain a good
estimate of the integral.[356]Sander and pmemd implement one simple way of handling this problem: if you set
klambda >1, the mixing rules are:
V(λ) = (1−λ)kV0+ [1−(1−λ)k]V1(21.4)
where kis given by klambda. Note that this reduces to Eq. 21.3 when k= 1, which is the default. If k≥4,
the integrand remains finite as λ→1.[356] We have found that setting k= 6 with disappearing groups as large as
tryptophan works, but using the softcore option (ifsc>0) instead is generally preferred.[361] Note that the behavior
of h∂V/∂ λ ias a function of λis not monotonic when klambda >1. You may need a fairly fine quadrature to
get converged results for the integral, and you may want to sample more carefully in regions where h∂V/∂ λ iis
changing rapidly.
Notes:
1. This is implemented in sander by calling the force() routine independently for each multisander group
and then combining the forces on each step. For a fix number of processors this increases the cost of the
calculation compared with the pmemd code, which only calculates the differences between V0and V1.
2. It is rather easy to make mistakes when running TI calculations. It is generally good to carry out a short run
(say 50 steps) setting ntpr=1. The check the following; if either test fails, be sure to fix the problem before
proceeding.
a) The restart files from V0and V1should be identical for sander (for pmemd there will only be a single
restart file).
b) If you diff the output files for sander, there should only be simple differences (for pmemd there will
only be a single combined output file). All energies, temperatures, pressures, etc. should be the same
in the two files. Simulations with sander using the QM/MM facility may show differences in the SCF
energies, but be sure that the total energies, and all the MM components, are the same.
3. Eq. 21.4 is designed for having dummy atoms in the perturbed Hamiltonian, and "real" atoms in the regular
Hamiltonian. You must ensure that this is the case when you set up the system in LEaP. (See the softcore
section, below, for a more general way to handle disappearing atoms, which does not require dummy atoms
at all.)
4. One common application of this model is to pKa calculations, where the charges are mutated from the
protonated to the deprotonated form. Since H atoms bonded to oxygen already have zero van der Waals radii
(in the Amber force fields and in TIP3P water), once their charge is removed (in the deprotonated form) they
are really then like dummy atoms. For this special situation, there is no need to use klambda >1: since the
van der Waals terms are missing from both the perturbed and unperturbed states, the proton’s position can
never lead to the large contributions to h∂V/∂ λ ithat can occur when one is changing from a zero van der
Waals term to a finite one.
5. The implementation requires that the masses of all atoms be the same on all threads. To enforce this, the
masses found for V0are used for V1as well. In classical statistical mechanics, the canonical distribution of
configurations (and hence of potential energies) is unaffected by changes in the masses, so this should not
pose a limitation. Since the masses for V1are ignored, they do not have to match those found for V0.
6. Special care needs to be taken when using SHAKE for atoms whose force field parameters differ in the two
end points. The same bonds must be SHAKEN in both cases, and the equilibrium bond lengths must also
be the same. By default, the coordinates from V0are synchronized with those from V1after SHAKE. This
will work for small perturbations, but if there is a significant change in bond length, it may be necessary to
use the noshakemask input to remove SHAKE from the regions that are being perturbed. If this is done, be
sure to set tishake=1 and to use a 1 fs timestep. Special care needs to be taken when water molecules are
part of the region that is changing. You need to make sure that the “number of 3-point waters” is the same
in both V0and V1. This may require setting jfastw and/or building the structure so that sander or pmemd do
352

21.1. Thermodynamic integration
not think that the water molecules involved are actually rigid waters. Also, just setting noshakemask might
not be enough, since this flag does not affect the settle routine that handles rigid waters.
nλi1−λiwi
1 0.5 1.0
2 0.21132 0.78867 0.5
3 0.1127 0.88729 0.27777
0.5 0.44444
5 0.04691 0.95308 0.11846
0.23076 0.76923 0.23931
0.5 0.28444
7 0.02544 0.97455 0.06474
0.12923 0.87076 0.13985
0.29707 0.70292 0.19091
0.5 0.20897
9 0.01592 0.98408 0.04064
0.08198 0.91802 0.09032
0.19331 0.80669 0.13031
0.33787 0.66213 0.15617
0.5 0.16512
12 0.00922 0.99078 0.02359
0.04794 0.95206 0.05347
0.11505 0.88495 0.08004
0.20634 0.79366 0.10158
0.31608 0.68392 0.11675
0.43738 0.56262 0.12457
Table 21.1.: Abscissas and weights for Gaussian integration.
21.1.5. Softcore Potentials in Thermodynamic Integration
Softcore potentials provide an additional way to perform thermodynamic integration calculations in Amber. The
system setup has been simplified so that appearing and disappearing atoms can be present at the same time and no
dummy atoms need to be introduced. For sander, two prmtop files, corresponding to the start and end states (V0
and V1) of the desired transformation need to be used. The common atoms that are present in both states need to
appear in the same order in both prmtop files and must have identical starting positions. In addition to the common
atoms, each process can have any number of unique soft core atoms, as specified by scmask. For pmemd, a single
prmtop file is used, containing the unique atoms for both the start and end states. The soft core atoms are specified
by scmask1 and scmask2 for V0and V1respectively.
A modified version of the vdW equation is used to smoothly switch off non-bonded interactions of these atoms
with their common atom neighbors:
VV0,disappearing =4ε(1−λ)
1
hαλ +ri j
σ6i2−1
αλ + (ri j
σ)6
(21.5)
VV1,appearing =4ελ
1
hα(1−λ) + ri j
σ6i2−1
α(1−λ)+(ri j
σ)6
(21.6)
Please refer to Ref [361] for a description of the implementation and performance testing when compared to the
TI methods described above using sander. For similar information pertaining to pmemd please see Ref [359]. Note
353
21. Free energies
that the term “disappearing” is used here, but it would probably be better to say that atoms present in V0but not
in V1are “decoupled” from their environment: the interactions among the “disappearing” atoms are not changed,
and do not contribute to h∂V/∂ λ i. If the disappearing atoms are a separate molecule (say a non-covalently-bound
ligand), this can be viewed as a transfer to the gas-phase.
Note that a slightly different setup is required for using soft core potentials compared to older TI-
implementations. Specifically, the difference is that to add or remove atoms without soft core potentials, they
are transformed into interactionless dummy particles, so both end state prmtop files have the same number of
atoms. When using soft core potentials instead, no dummy atoms are needed and the end states should be built
without them. Therefore prmtop files for non soft core simulations may have to be adapted to be used with soft
core potentials and vice versa.
All bonded interactions of the unique atoms are recorded separately in the output file (see below). Any bond,
angle, dihedral or 1-4 term that involves at least one appearing or disappearing atom is not scaled by λand
does not contribute to h∂V/∂ λ i. Therefore, output from both processes will not be identical when soft core
potentials are used. Softcore transformations avoid the origin singularity effect and therefore linear mixing can
(and should) always be used with them. Since the unique atoms become decoupled from their surroundings at high
or low lambdas and energy exchange between them and surrounding solvent becomes inefficient, a Berendsen
type thermostat should not be used for SC calculations. Unlike in previous versions, SHAKE constraints are not
automatically removed from bonds between common and unique atoms. Instead, the coordinates corresponding to
common atoms in V0are synchronized with those of V1. The original behavior can be restored using tishake. The
icfe and klambda parameters should be set to 1 for a soft core run and the desired lambda value will be specified
by clambda. When using softcore potentials with sander,λvalues should be picked so that 0.01 < clambda <
0.99. The pmemd implementation allows lambda to be set to any value between 0.0 and 1.0, thus simulations at
the endpoints are possible.
Additionally, the following parameters are available to control the TI calculation:
ifsc Flag for soft core potentials
= 0 SC potentials are not used (default)
= 1 SC potentials are used. Be sure to use prmtop files that are suitable for this, i.e. not-containing
dummy atoms (see above)
scalpha The αparameter in 21.5 and 21.6, its default value is 0.5. Other values have not been extensively
tested
logdvdl If set to .ne. 0, a summary of all ∂V/∂ λ values calculated during every step of the run will be printed
out at the end of the simulation for postprocessing.
dvdl_norest This option is now deprecated. Restraints involving soft core atoms are now decoupled from the rest
of the system. The energy is listed separately and does not contribute to ∂V/∂ λ .
dynlmb If set to a value .gt. zero, clambda is increased by dynlmb every ntave steps. This can be used to
perform simulations with dynamically changing lambdas.
crgmask Specifies a number of atoms (in ambmask format) that will have their atomic partial charges set to
zero. This is mainly for convenience because it removes the need to build additional prmtop files with
uncharged atoms for TI calculations involving the removal of partial charges.
21.1.5.1. Input flags specific to Sander
scmask Specifies the unique (soft core) atoms for this process in ambmask format. This, along with crgmask,
is the only parameter that will frequently be different in the two mdin files for V0and V1. It is valid to
set scmask to an empty string. A summary of the atoms in scmask is printed at the end of mdout.
354

21.1. Thermodynamic integration
21.1.5.2. Input flags specific to PMEMD
scmask1 Specifies the unique (soft core) atoms for V0in ambmask format. It is valid to set scmask1 to an empty
string.
scmask2 Specifies the unique (soft core) atoms for V1in ambmask format. It is valid to set scmask2 to an empty
string.
The force field potential energy contributions for the unique atoms in each process will be evaluated separately
during the simulation and are recorded after the complete system energy is given:
Softcore part of the system: 15 atoms, TEMP(K) = 316.69
SC_Etot= 24.3248 SC_EKtot= 11.6426 SC_EPtot = 12.6822
SC_BOND= 4.7723 SC_ANGLE= 2.1411 SC_DIHED = 1.6096
SC_14NB= 4.2947 SC_14EEL= 0.0000 SC_VDW = -0.1355
SC_EEL = 0.0000
SC_RES_DIST= 0.0000 SC_RES_ANG= 0.0000 SC_RES_TORS= 0.0000
SC_RES_PLPT= 0.0000 SC_RES_PLPL= 0.0000 SC_RES_GEN = 0.0000
SC_EEL_DER= 0.0000 SC_VDW_DER=-11.1533 SC_DERIV = -11.1533
The temperatures reported are calculated for the SC atoms only and fluctuate strongly for small numbers of unique
atoms. The energies in the first six lines include all terms that involve at least one unique atom, but SC_VDW
gives the vdW energy for pairs of unique atoms only which are subject to the standard 12-6 LJ potential. The vdW
potential between soft core / non soft core atoms (as given by equation 21.5) is part of the regular VDWAALS term
and is counted for dV/dl. The same applies to SC_EEL, which gives only the electrostatic interactions between
unique atoms, since electrostatics between soft core / non soft core atoms (for which equation 21.7 is used) are
part of regular EEL-energy. Note that the total potential energy, SC_EPtot, does not include contributions from the
restraint energies.
SC_EEL_DER, SC_VDW_DER, and SC_DERIV are additional λ-dependent contributions to h∂V/∂ λ ithat
arise from the form of the SC-potentials. For more information on how to perform and setup calculations, please
consult the tutorials provided at http://ambermd.org.
21.1.5.3. One step transformations using soft core electrostatics
Alternatively to the two-step process of removing charges from atoms first and then changing the vdW parame-
ters of chargeless atoms in a second TI calculation, sander and pmemd also have a soft core version of the Coulomb
equation implemented for single step transformations under periodic boundary conditions. This is automatically
applied to all atoms in scmask and their interactions with common atoms are given by:
VV0,disappearing = (1−λ)qiqj
4πεoqβλ +r2
i j
(21.7)
for disappearing atoms. Replace λby (1−λ)and vice versa for the form for appearing atoms. This introduces
a new parameter βwhich controls the ’softness’ of the potential. This is set in the input file via:
scbeta The parameter βin 21.7. Default value is 12A2, other values have not been extensively tested.
With the use of soft core vdW and electrostatics interactions, arbitrary changes between systems are possible in
single TI calculations. However, due to the unusual potential function forms introduced, it is not always clear that
a single-step calculation will converge faster than one broken down into several steps. Ref. [362] contains detailed
information on the performance of such single step TI calculations.
21.1.6. Preparing TI simulations for use in PMEMD
Since the generation of the prmtop file required for pmemd TI calculations is slightly more complex, than the
generation of two independent prmtop files as required by sander, so we provide here a number of examples
specific to pmemd.
355
21. Free energies
21.1.6.1. Free Energy using linear scaling
For this type of simulation, the molecule is perturbed between the start and end states using linear scaling (Eq.
21.3). This means that V0and V1must have the same number of atoms. Start by parameterizing the molecule as
usual. This may include the addition of dummy atoms as needed. Then, create a pdb which contains both
molecules separated by a TER card. Also, update the residue number for the second molecule. If the molecules
are different, be sure to use a different residue name for each one. The coordinates for corresponding atoms in the
pdb should be the same. The prmtop can then be prepared as usual, using LEaP. Note that LEaP sees both
molecules, so it may report a net charge in the prmtop, even though there is no net charge for V0or V1, even after
the addition of neutralizing counterions. See Chapter 12 for a complete description of LEaP.
The input flags for this system are:
icfe = 1, timask1 = ’:1’, timask2 = ’:2’
Where the first molecule is unique to V0and the second molecule is unique to V1. There may be any number of
other molecules, which are treated as common atoms and are part of both V0and V1.
21.1.6.2. Absolute free energy using soft core
For this type of simulation, a molecule is decoupled from the rest of the system using soft core potentials (Eqs.
21.5,21.6). Set up the prmtop as you would to run a simulation of the system. The end state is the system with a
fully decoupled molecule, so this prmtop will also work for TI.
The input flags for this system are:
icfe = 1, ifsc = 1,
timask1=’:1’, scmask1=’:1’,
timask2=”, scmask2=”,
Where the first molecule is the one that is decoupled from the rest of the system at the end state.
21.1.6.3. Relative free energy using soft core
For this type of simulation, a molecule is mutated from one to another using soft core potentials (Eqs.
21.5,21.6). This can be done as a single step using soft core electrostatics (Eq. 21.7), or part of a multistep TI
calculation. The prmtop is prepared in the same way for both cases. First, parameterize both molecules as usual.
Then, create a pdb containing both molecules, separated by a TER card. Additional molecules may be present and
will be treated as common atoms. Using this pdb, prepare the system using LEaP. The resulting prmtop can be
used for TI calculations.
The input flags for this system are:
icfe = 1, ifsc = 1,
timask1=’:1’, scmask1=’:1’,
timask2=’:2’, scmask2=’:2’,
Where the first molecule corresponds to the starting state, and the second molecule corresponds to the ending state.
This will set up a single step transformation using soft core electrostatics. To set up a soft core vdW transformation,
the flag crgmask=’:1 | :2’ can be added.
21.1.6.4. Mutation of a protein residue
For this type of simulation, a single residue is mutated in a protein. First, take the pdb for the wildtype and the
mutant proteins and concatenate the one after the other, separating them by a TER card. This is necessary because
LEaP must deal with full molecules. The atoms in the common residues should all have the same coordinates. Any
changes to the common residues, such as the addition of disulfide bonds or changing the protonation of HIS, must
be done for both copies of the protein in LEaP. The output prmtop and inpcrd files now have two copies of the
protein, with one including the mutated residue. Consider a system where residues ’:1-5’ represent the wildtype
protein and residues ’:6-10’ represent the mutant protein. Furthermore, assume that residue ’:3’ in the wildtype is
mutated, so the corresponding residue in the mutant is residue ’:8’.
356

21.1. Thermodynamic integration
The input flags for this system are:
icfe = 1, ifsc = 1,
timask1=’:1-5’, scmask1=’:3’,
timask2=’:6-10’, scmask2=’:8’,
This will do a single step transformation from the wildtype to the mutant protein.
There are a large number of redundant bonding terms that are being calculated, since there are two proteins in the
prmtop file. These additional bonding terms can be eliminated, improving the efficiency of the calculation. This
is an advanced technique, which is not needed to run a TI simulation, but to have the most efficient calculation.
In order to do this, a command has been added to parmed to remove these extra terms and atoms as described in
Section 13.2.
To run parmed:
parmed.py -p ti.prmtop -i merge.in
The input for parmed (merge.in) looks like this:
loadRestrt ti.inpcrd
setOverwrite True
tiMerge :1-5 :6-10 :3 :8
outparm ti_merged.prmtop ti_merged.inpcrd
quit
This will output ti_merged.prmtop and ti_merged.inpcrd which have had redundant bonding terms removed, as
well as the masks that should be used in the simulation. The parmed output gives:
Loaded Amber topology file ti.prmtop
Reading actions from merge.in
Loading restart file ti.inpcrd
Prmtop is overwritable
Merging molecules :1-5 and :6-10 into the same molecule.
Use softcore mask:
timask1=’@41,42,43,44,45,46,47,48,49,50,51,52,53,54,55,56,57,58,59’,
timask2=’@77,78,79,80,81,82,83,84,85,86,87,88,89,90’,
scmask1=’@41,42,43,44,45,46,47,48,49,50,51,52,53,54,55,56,57,58,59’,
scmask2=’@77,78,79,80,81,82,83,84,85,86,87,88,89,90’,
Outputting Amber topology file ti_merged.prmtop
Done!
Now the input flags for pmemd are:
icfe = 1, ifsc = 1,
timask1=’@41,42,43,44,45,46,47,48,49,50,51,52,53,54,55,56,57,58,59’,
timask2=’@77,78,79,80,81,82,83,84,85,86,87,88,89,90’,
scmask1=’@41,42,43,44,45,46,47,48,49,50,51,52,53,54,55,56,57,58,59’,
scmask2=’@77,78,79,80,81,82,83,84,85,86,87,88,89,90’,
Another possible use is to remove redundant bonding terms in a non soft core simulation. The set up is very
similar to that described above, except that the number of atoms in both molecules must be the same. When using
parmed, ignore the scmask1/scmask2 output, as these are not used in non soft core simulations.
21.1.7. Collecting potential energy differences for FEP calculations
In addition to the Thermodynamic Integration capabilities described above, sander can also collect potential
energy values during free energy simulation runs for postprocessing by e.g. the Bennett acceptance ratio scheme.
357

21. Free energies
This will make sander calculate at given points during the simulation the total potential energy of the system as it
would be for different λ-values at this conformation. This functionality is controlled by:
ifmbar If set to 1 (Default = 0), additional output is generated for later postprocessing.
bar_intervall Compute potential energies every bar_intervall steps (Default = 100)
bar_l_min Minimum λ-value (Default = 0.1)
bar_l_max Maximum λ-value (Default = 0.9)
bar_l_incr The increment to increase λby between the minimum and maximum (Default = 0.1)
Such energy collection will normally be part of a regular free energy calculation (using icfe=1 and ifsc=1) in-
volving simulations at various λ-values. Activating this functionality will not have any influence on the simulation
trajectory which will evolve according to the preset clambda value, it is merely a bookkeeping scheme that removes
the necessity of postprocessing output files later.
21.2. Absolute Free Energies using EMIL
As well as comparing two similar systems to find a free energy difference, thermodynamic integration techniques
can be used to find the absolute free energy, integrating between an all-atom AMBER model and a simplified model
for which the free energy can be directly written down. To find a chemical equilibrium, pairs or sets of absolute
free energies must of course be compared to find free energy differences, but taking this “long way around” can
be better if the direct integration path between the systems would involve a sharp energetic barrier or a large
conformational change. The basic equation of EMIL is thus:
A=Are f −Z1
0dλ∂H
∂ λ |λ
where Ais the total free energy of a system, Are f is the (analytically calculated) free energy of the associated
EMIL Hamiltonian and His the mixed Hamiltonian, which has the value of the normal AMBER Hamiltonian at
λ=0 and the EMIL Hamiltonian at λ=1.
The method was introduced in the literature with demonstrations for example systems with short-range interac-
tions [363,364], and an example AMBER calculation for the B-Z conformational equilibrium of DNA also exists
[365]. Some further discussion of accuracy and convergence of EMIL calculations using AMBER has also been
made [366]. To call EMIL, set “emil_do_calc” = 1 in the main input file, and also prepare an EMIL-specific input
file (by default called “emilParameters.in”).
It is advised to use a Langevin thermostat (ntt=3) (section 17.6.7) with a fairly high value of gamma_ln, (e.g. 1.0)
because dynamics under the EMIL Hamiltonian can have little coupling between particles, therefore an external
source of randomness is desirable in order to drive sampling. Use of generalized-Langevin thermostats (section
20.1) is consistent with EMIL, however no study has been made to ascertain the benefits of this approach. Use of
SHAKE with EMIL can give unphysical results, so it is advised to turn this off (ntc = 1, ntf = 1, dt = 0.001).
The letters “EM” in EMIL refer to “Einstein Molecule”, the name given in the literature [367,368] to this
type of calculation. The use of EMIL is an alternative to other AMBER methods of finding the absolute free
energy of molecules in implicit solvent, such as by combining a normal modes analysis (see section 28.14.1) and
MM(PB/GB)SA (see chapters 30 and 29). EMIL is quite likely to be more computationally expensive than this
type of post-hoc estimate of the free energy carried out after a normal MD simulation, but is also in some ways
simpler and is likely to be more accurate in the limit of a large amount of computation being available.
Periodic boundaries can be applied, although EMIL does not support non-rectilinear boxes.
When carrying out an EMIL integration, the AMBER part of the Hamiltonian is gradually turned off with
increasing lambda. To help achieve this without artifacts, the emil_sc option is available (pmemd only) which
allows mutual softcoring of all interatomic forces (see section 21.1 , eqn 21.5). For EMIL softcoring there is no
need to specify a softcoring mask or modified topology file, as all atoms are included in the process, however
icfe = 1 and ifsc = 1 must be set if emil_sc = 1. The value of clambda must also be set, to whatever lambda is
358
21.2. Absolute Free Energies using EMIL
also specified in the emil_paramfile. When using emil_sc with the default value of klambda (=1) (eqn 21.4), there
may be sharp changes in the generalized force near to lambda=clambda=1. In this case it is advised to have an
integration point at lambda=clambda=0.99 or a similar value so that the endpoint behaviour is not over-weighted
in the total calculation.
When emil_sc=0 (the default), a less sophisticated approach to the problem of discontinuities in the Lennard-
Jones and Coulomb potentials is taken: a short-range repulsion is automatically added to the Hamiltonian for
the intermediate stages of the integration 0<lambda<1 in order to prevent atoms from approaching within the
problematic regions of the scaled LJ and Coulomb interactions. This method is not always entirely effective,
especially in explicit solvent calculations, and may require a cut in the timestep for some values of lambda.
EMIL is compatible with multisander and multipmemd (section 17.11), however the only benefit currently is to
collect together runs at multiple values of lambda for submission as a single job: H-REMD methods (sec 21.5.4)
and other advanced uses of multisander and multipmemd have not yet been implemented.
21.2.1. EMIL Namelist Input
An EMIL-specific namelist of input and output filenames for EMIL should be provided in the main input file,
of the form:
&emil_cntrl
emil_paramfile = "emilParameters.in",
emil_logfile = "emil.log",
emil_model_infile = "wellsIn.dat",
emil_model_outfile = "wellsOut.dat",
/
The variables emil_paramfile and emil_logfile are paths to files for control data and logging specific to the EMIL
calculation. The variable emil_model_infile gives the path to an initial specification for an analytically tractable
model and emil_model_outfile points to a saved model state. If these variables are not set then an initial model will
be automatically generated, and no output model will be saved.
21.2.2. EMIL parameter input
The “emilParameters.in” file contains setup info specific to the EMIL calculation. The file is formatted as a list of
key-value pairs, one per line. Blank lines or those beginning with a “#” are ignored. The keys are case-insensitive.
Providing that you are running at 300K with a fairly standard forcefield, only the seed, lambda, liquidRes and
solidRes values should need to be changed.
The input keys which can be used are:
seed integer seed for EMIL’s random number generator
lambda real mixing parameter for the alchemical transformation. Must be equal to sclambda if emil_sc=1.
epsilonWell real Depth of harmonic restraints. This is in units of kBT, so that the wells are automatically deeper if
the temperature increases. The value of β=1/kBTat the start of the simulation is printed in the emil_logfile.
Harmonic restraints are assigned to atoms of residues in the solidRes list and have a potential of the form
V(r) = ε(r2/r2
well −1).
rWell real The radius of a harmonic restraint, such that the potential is zero.
epsilonTrap real Depth of ’trap’ restraints (in units of kBT). Trap restraints are assigned to atoms of residues
in the liquidRes lists (if any) and have a potential which is harmonic on 0 ≤r≤reqTrap and then has a
constant force on reqTrap <r<rTrap. Beyond rTrap the force exerted by a trap well is zero.
359
21. Free energies
reqTrap real The radius of the harmonic region of a trap well. Trap wells need to have (at least) a small harmonic
region in order to increase the stability of the dynamics near to the bottom of the well.
rTrap real The total radius of a trap well.
wingForce real The force in the constant-force region of a trap well (in units of kBT/˚
A).
solidRes string The list of residues for which each atom is permanently assigned to a specific harmonic well.
liquidRes string A list of residues which are part of a fluid of chemically identical molecules, for which the
chain-well assignment can be adjusted at each timestep by Monte Carlo sampling. Multiple liquids can be
defined, in the case that different sets of indistinguishable chains are present in liquid or dissolved phases.
Chains whose residues are in these lists are assigned to trap wells, but chains can exchange wells with their
neighbours based on a Metropolis acceptance criterion. In each liquid chain only one atom (the heaviest
atom is chosen automatically, so this would be the the oxygen of a TIP3P water) interacts directly with the
trap well; the remainder of the atoms in the chain have a harmonic well generated for them which holds them
in an approximately constant relative position to the ’root’ atom of the chain.
swapTriesPerChain float Monte Carlo attempt rate for moves that exchange the trap wells between particles in
the liquidRes lists. The use of swap moves can greatly accelerate convergence, but can also create problems
if the acceptance rate (printed in the emil_logfile) is zero or close to zero for any value of lambda. This is
equivalent to a freezing-out of the exchange symmetry between particles and requires an adjustment of the
reference free energy, as well as probably introducing a discontinuity to the generalized force.
relocTriesPerChain float Monte Carlo attempt rate for moves that move particles in the liquidRes lists (typically
solvent or salt molecules) into or out of their wells. Even if this value is non-zero, relocation moves are only
applied if the AMBER Hamiltonian is fully mixed out.
saveWellsEvery integer Period with which to write the well positions.
printEvery integer Period with which to log the generalized force. The average over the previous non-printed
timesteps is output.
Here is an example input file for a fairly standard EMIL run using pmemd and emil_sc:
##EMIL input configuration: this is a comment.
##emil has its own RNG
seed 2325
##set the Mixing parameter:
## you will need several values on the interval [0,1].
lambda 0.0
##Residue names associated with wells.
##This is the list of residues needed for duplex DNA
##you will have to extend/change it for your own system
solidRes DC,DG,DA,DT,DA5,DT5,DA3,DT3,DG5,DG3,DC5,DC3
liquidRes WAT
liquidRes NA
liquidRes CL
swapTriesPerChain 0.1
##timesteps between writing well positions
saveWellsEvery 100000
##timesteps between output of generalized force
printEvery 1000
360

21.2. Absolute Free Energies using EMIL
21.2.3. EMIL generalized-force output
EMIL writes its output to the emil_logfile. This logfile contains some header information, and data to monitor
the progress of the run, but the important lines are of the following format:
nstep: 25 soft_dHdL: 2.06419354e+04 molec_dHdL:...
...6.13140526e+04 abstr_dHdL: -5.34856062e+02
The step number, nstep, indicates the timestep at which the printout was made. The soft_dHdL is the generalized
force due to the weak and short-range repulsive term which is present in the mixed Hamiltonian for values of
0<λ<1, but only if emil_sc=0. The molec_dHdL is the generalized force due to the AMBER Hamiltonian,
and the abstr_dHdL is the generalized force due to the EMIL Hamiltonian. The gradient of the total Hamiltonian
with respect to lambda is just the sum of these three terms. In order to make the most efficient use of information,
EMIL accumulates a mean value of each generalized force term between printouts, so the value written is not an
instantaneous “snapshot” but the average over a time window printEvery steps in length.
Although the EMIL Hamiltonian is specified in units of kBT, the generalized force is output in units kcal/mol,
so the strength of the restraints (and the size of the generalized force) will increase with temperature.
21.2.4. EMIL tractable model definition
The model defined by EMIL is currently very simple. Each atom of any residues in the list solidRes from
“emilParameters.in” is restrained to a fixed position using a harmonic well of depth epsilonSolid, with the zero
of the potential at distance rWellSolid. The position of the harmonic well minimum is fixed at whatever the atom
position at the start of the run might be, unless the option readStartWellFileName is provided, in which case the
positions are read in from the file.
Atoms defined by the liquidRes lists have wells with a finite range, and in order to have faster convergence for
simulations including explicit solvent (where the particle-well distance can otheriwise be very large at small λ) the
particle-well assignment is shuffled at each timestep by Monte Carlo sampling. The MC method is not currently
implemented in parallel, which can create limitations for EMIL calculations using large numbers of cores per value
of λ: the optimal parallelisation strategy in this case is to make many runs on few cores each, at different values of
λ.
Derivations and formulae for the free energy associated with each well type are available in the supplementary
data of [365], however the calculated totals are also printed out at the start of the emil_logfile.
Use of thermostat synchronisation to reduce errorbars
A feature of the Langevin thermostat which can cause serious problems in other circumstances (discussed in
[301]) is that simulations run with the same seed will come to resemble each other, even if the Hamiltonians and
initial configurations are somewhat different. A surprising benefit of this is that, if EMIL is used to compare two
or more dissimilar systems then the variance of the difference in the generalized forces at a given value of λcan
be less than the sum of the variances of the individual measurements:
VAR∂H(x1,λ)
∂ λ −∂H(x2,λ)
∂ λ <VAR∂H(x1,λ)
∂ λ +VAR∂H(x2,λ)
∂ λ (21.8)
which is to say that, although the means of the two generalized forces are estimated correctly, the covariance of
the two generalized forces is greater than zero. Using this phenomenon it is possible to estimate the difference in
free energies between two (or N) systems more cheaply than the free energies themselves [365,366,369].
While it is therefore beneficial to use the same seeds for a given value of λacross all systems, it is still necessary
to use a new seed for each restart of the same trajectory, and to use different seeds for different values of λ. To
maintain thermostat synchronization, the number of atoms in the different systems must be the same. This can
be achieved if necessary by the addition of non-interacting dummy atoms to the smaller topology files using the
parmed (sec. 13.2) utility.
361
21. Free energies
Brief instructions for an EMIL calculation
To run an EMIL calculation, first equilibrate a single simulation of the system in question then follow the steps
below:
1. If you started off at constant pressure, find the average box-size and scale the system to this size.
2. Prepare multiple “emilParameters.in” files (see section 21.2.2) which differ from each other only in the
parameters seed and lambda. The values of lambda should be spread over the interval 0 ≤λ≤1.
3. Put your “emilParameters.in” files into one directory each and run pmemd in each of the directories,setting
ntt = 3, ntp = 0, emil_do_calc=1, emil_sc=1. If runs finish and are restarted, then the saved well positions
written at the end of the old run will need to be loaded into the new one, as well as the normal AMBER
restart files.
4. It may be necessary to set up restraints of some kind from within pmemd or sander if the free energy to be
calculated is for only a subset of the available conformations of the molecule(s), or to speed up convergence
at low values of λ, by preventing the solute molecule from drifting away from its restraint system (this drift
is a particular problem for small systems, where the cumulative effect of the EMIL solute restraints, even
over all atoms, is still weak at small λ).
5. Collect the converged time-average values of the generalized forces (or the differences in generalized forces
if you are comparing several systems) at each value of λ.It is often worth looking at the different time series
individually, in order to make the most efficient use of data by only throwing away the minimum number of
equilibration points, and in order to target simulation effort to those values of λwhich are taking the longest
to give a small errorbar [365]).
6. Do a numerical integration of each of the three dHdL terms from the EMIL logfiles with respect to λthen
subtract these totals from the free energy of the EMIL Hamiltonian, which is printed in the headers of the
EMIL logfiles, to get the free energy of the system under the AMBER Hamiltonian. As well as taking time-
averages of the (delta) generalized forces and then integrating these values, it may also be valuable to collect
a time-series of the (delta) free energy values and examine this total for convergence.
A longer tutorial on the use of EMIL is available on the AMBER website, also the examples in the test suite might
provide some help to get started.
21.3. Linear Interaction Energies
sander contains rudimentary facilities to compute binding free energies using the linear interaction energy
model.
ilrt if set to 1, turns on the computation of LIE contributions (default=0)
lrt_interval Computer LIE contributions every lrt_interval MD steps (default=50)
lrtmask The ’solute’. Interaction Energies between the atoms in lrtmask and the remainder of the system are
computed.
The LIE facilities work by computing the system energies several times using different charge and vdW-parameter
sets. This results in reduced performance if lrt_interval is set to less than approx. 10. The LIE output at the end
of the mdout file gives the electrostatic interaction energy between the solute and rest of the system times 0.5, i.e.
in accordance with the original formulation of LIE theory. The solute SASA and vdW-interaction energy with its
surroundings is calculated unscaled.
362

21.4. Umbrella sampling
21.4. Umbrella sampling
Another free energy quantity that is accessible within sander is the ability to compute potentials of mean force
(at least for simple distance, angle, or torsion variables) using umbrella sampling. The basic idea is as follows. You
add an artificial restraint to the system to bias it to sample some coordinate in a certain range of values, and you
keep track of the distribution of values of this coordinate during the simulation. Then, you repeatedly move the
minimum of the biasing potential to different ranges of the coordinate of interest, and carry out more simulations.
These different simulations (often called "windows") must have some overlap; that is, any particular value of the
coordinate must be sampled to a significant extent in more than one window. After the fact, you can remove the
effect of the bias sing potential, and construct a potential of mean force, which is the free energy profile along the
chosen coordinate.
The basic ideas have been presented in many places,[218–220,370,371] and will not be repeated here. The
implementation in sander follows two main steps. First, restraints are set up (using the distance and angle re-
straint files) and the DUMPFREQ parameter is used to create "history" files that contain sampled values of the
restraint coordinate. Second, a collection of these history files is analyzed (using the so-called "weighted his-
togram" or WHAM method [218–220]) to generate the potentials of mean force. As with thermodynamic in-
tegration, the sander program itself does not compute these free energies; it is up to the user to combine the
output of several windows into a final result. For many problems, the programs prepared by Alan Grossfield
(http://membrane.urmc.rochester.edu/) are very convenient, and the sander output files are compatible with these
codes. Other methods of analysis, besides WHAM, may also be used.[372]
A simple example. The input below shows how one window of a potential of mean force might be carried out.
The coordinate of interest here is the chi angle of a base in an RNA duplex. Here is the mdin file:
test of umbrella sampling of a chi torsion angle
&cntrl
nstlim=50000, cut=20.0, igb=1, saltcon=0.1,
ntpr=1, ntwr=100000, ntt=3, gamma_ln=0.2,
ntx=5, irest=1,
ntc=2, ntf=2, tol=0.000001,
dt=0.001, ntb=0,
nmropt=1,
/
&wt type=’DUMPFREQ’, istep1=10 /
&wt type=’END’ /
DISANG=chi.RST
DUMPAVE=chi_vs_t.170
The items in the &cntrl namelist are pretty standard, and not important here, except for specifying nmropt=1,
which allows restraints to be defined. (The name of this variable is an historical artifact: distance and angle
restraints were originally introduced to allow NMR-related structure calculations to be carried out. But they are
also very useful for cases, like this one, that have nothing to do with NMR. Please see section 23.1 for a complete
description of the options, noting especially the restraint and rstwt variables.) The DUMPFREQ command is used
to request a separate file be created to hold values of the torsion angle; this will have the name chi_vs_t.170 given
in the DUMPAVE file redirection command.
The torsion angle restraint itself is given in the chi.RST file:
# torsion restraint for chi of residue 2
&rst iat=39,40,42,43, r1=0., r2=170., r3=170., r4=360., rk2 = 30.,
rk3 = 30., /
The iat variable gives the atom numbers of the four atoms that define the torsion of interest. We set r2=r3 and
rk2 = rk3 to obtain a harmonic bias sing potential, with a minimum at 170 o . The values r1 and r4 should be far
away from 170, so that the potential is essentially harmonic everywhere. (It is not required that bias sing potentials
be harmonic, but Dr. Grossfield’s programs assume that they are, so we enforce that here.) Subsequent runs would
change the minimum in the potential to values other than 170, creating other chi_vs_t files. These files would
then be used to create potentials of mean force. Note that the conventionally defined "force constant" is twice the
363
21. Free energies
value rk2, and that the Grossfield program uses force constants measured in degrees, rather than radians. So you
must perform a unit conversion in using those programs, multiplying rk2 by 0.0006092 ( =2(π/180)2) to get a
equivalent force constant for a torsional restraint.
21.5. Replica Exchange Molecular Dynamics (REMD)
Replica exchange molecular dynamics (REMD) is an expanded ensemble method—it samples from an ensemble
(significantly) larger than a typical statistical mechanical ensemble defined by the Hamiltonian governing the
system (e.g., microcanonical, canonical, grand-canonical, etc.). This section will briefly describe the general
theory of REMD-based techniques, after which the later subsections will cover the details of Amber’s REMD
implementation as well as the various allowable exchange types.
21.5.1. Introduction
‘Sampling’ in expanded ensemble techniques can be broadly decomposed into two different types of sub-
sampling within the total ensemble. The first type is the common conformational sampling that can be realized
through methods like molecular dynamics. The second type samples from thermodynamic state-space, in which
the core Hamiltonian (together with its thermodynamic constraints) that define the ensemble is allowed to change.
Thus, expanded ensemble techniques broaden the sampling space of simulations by allowing a system to move
through both conformational space (which is typically continuous) and state space (which is typically discrete).
A point in the phase space of the expanded ensemble is defined by a specific value(s) of the state parameter(s)
in addition to the 3Nparticle positions and conjugate momenta. To simplify terminology, I will refer to all of
the points in phase space that have the same value of the state parameter(s) as a ‘sub-ensemble’ since it can be
interpreted as the statistical ensemble defined by that thermodynamic state, whereas ‘the ensemble’ will refer to
the full, expanded ensemble containing all state indices.
To ensure that the ensemble is constructed properly, the simulation must generate a reversible Markov chain
of states. Standard MD obeys this requirement under the (ubiquitous) assumption that the system is ergodic. For
Monte Carlo-based methods, a reversible Markov chain implies that the condition of detailed balance (Eq. 21.9) is
satisfied. Detailed balance is effectively an equilibrium condition, in which the probability of being in state i(πi)
multiplied by the transition probability of moving from state ito j(Pi→j) is equal to the probability of being in state
jmultiplied by the transition probability of moving from state jto i. By relating probabilities with concentrations
and transition probabilities with chemical rate constants, it is easy to see that Eq. 21.9 is a simple equilibrium
equation between two species.
πiPi→j=πjPj→i(21.9)
To sample from the ensemble, REMD employs a set of non-interacting replicas (i.e., the forces on the particles
are unaffected by the particles in other replicas) that attempt to swap their positions in state space during the course
of the simulation. In Amber, the conformational sampling in each replica (i.e., sub-ensemble) is peformed with MD
while replica swaps in state space are performed using Metropolis Monte Carlo in which the exchange probability
is computed from Eq. 21.9.
The general workflow used by Amber for replica exchange simulations is illustrated in Figure 21.1. Each replica
runs a pre-specified number of MD steps before stopping to attempt exchanges with one of its nearest neighbor (its
exchange partner alternates every other exchange attempt). Restricting exchange attempts to pairs is not required
(exchanges can involve 3 replicas, for instance), but it greatly simplifies the resulting exchange probability when
solving Eq. 21.9, and allows N/2 consecutive exchanges to be attempted independently. Furthermore, replica
exchange attempts need not be made deterministically or synchronously (i.e., each replica evaluates exchange
attempts at the same time relative to each other), but doing so significantly simplifies the programming require-
ments. The following sections will describe how REMD is implemented and performed in Amber for each of the
supported types of exchanges—temperature, solution pH, and generalized Hamiltonian.
If you are not already familiar with the technique and its theoretical underpinnings, we recommend that you
study the literature, particularly of the type of replica exchange you plan on using.[373–378]
364

21.5. Replica Exchange Molecular Dynamics (REMD)
State Coordinate (e.g., Temperature)
Time
Replica 1
Replica 2
Replica 4
Replica 5
Replica 2
Replica 1
Replica 4
Replica 5
Replica 2
Replica 1
Replica 5
Replica 4
?
?
?
?
Figure 21.1.: Replica exchange schematic showing 5 replicas combined in an expanded ensemble. Large arrows
represent MD trajectories of sub-ensembles while the smaller arrows represent attempted swaps be-
tween replicas in state space. Question marks represent Monte Carlo exchange attempts (green for
successful, red for failed).
365

21. Free energies
21.5.2. Running REMD simulations
In order to run REMD simulations, sander and pmemd uses the multisander (and multipmemd) machinery that
allows multiple MD trajectories to be run in the same simulation. This mode of sander and pmemd is used slightly
differently than their normal operation, and is described in Section 17.11.
There are two new variables that must be present in the &cntrl section of the mdin files of each replica for all
REMD simulations.
numexchg This is the number of exchange attempts that will be performed between replica pairs
nstlim This is the number of MD steps that will be performed between exchange attempts
There are also additional command-line flags that should be placed on the command-line (with the groupfile),
described below:1
-rem <#> This flag defines the type of replica exchange that will be run for 1-D REMD. The allowed values are 1
(T-REMD), 3 (H-REMD), and 4 (pH-REMD). Each approach is described in later sections.
-remlog <remlog_file> This flag specifies the name of the log file that contains information about each of the
replicas during each exchange attempt. The default value is rem.log.
-remtype <remtype_file> This flag specifies a filename for the remtype file; this file provides helpful information
about the current replica run. For reservoir REMD runs it also prints reservoir information. Default is
rem.type
Some specialized types of REMD simulations have additional command-line flags that will be described in future
sections.
Note the change in the meaning of nstlim. For standard MD, nstlim is the total number of MD steps that will
be performed. For REMD, simulations, on the other hand, nstlim is the number of steps between replica exchange
attempts and the total number of steps is equal to nstlim ×numexchg. The nstlim variable, then, is related to the
inverse of the exchange attempt frequency (EAF) in REMD simulations. The value of numexchg must be the same
for each input file, or the program will hang indefinitely as those replicas assigned more exchange attempts wait to
exchange data with replicas that have already finished. We also strongly suggest keeping nstlim the same as well
to avoid making replicas with fewer steps wait for those with more steps to finish.
Currently, Amber only supports running replica exchange simulations at constant volume for explicit solvent
simulations, and all replicas must have the same volume. Therefore, the equilibration stage of each replica should
begin after the original system was run at constant pressure to stabilize the density (and volume).
Amber currently supports 4 types of exchange attempts: Temperature REMD (T-REMD), Hamiltonian REMD
(H-REMD), constant pH REMD (pH-REMD), and replica exchange self-guided Langevin dynamics (RXSGLD).
Multi-dimensional REMD simulations (defined by 2 or more state parameters) are also supported. The instructions
given above apply to all REMD simulations, but instructions for running REMD simulations in general strongly
depend on the type of exchange being attempted. Additional details for running REMD simulations are provided
in the following sections for each type of exchange attempt.
21.5.3. Running Temperature REMD simulations
In temperature REMD (T-REMD), replicas are distinguished based on the temperature of their temperature bath.
In general, each replica should differ from each other only by their target temperature, temp0, specified in the mdin
file for each replica. The N replicas are first sorted in an array by their target temperatures, so the ordering of the
replicas in the groupfile is irrelevant. Neighboring residues attempt to exchange every nstlim MD steps, with
the exchange partners alternating each replica exchange attempt. For example, if replicas 2 and 3 attempt to swap
the first time then replicas 1 and 2 will attempt to swap the next time (as will replicas 3 and 4). Topologically,
the N temperature-sorted replicas form a loop, in which the first and the last replicas are neighbors. Therefore,
N/2 exchanges are attempted every nstlim steps. The exchange success rate is computed via a Metropolis Monte
1Some specialized types of REMD simulations have additional command-line flags that will be described in the later sections.
366

21.5. Replica Exchange Molecular Dynamics (REMD)
Carlo move shown in Eq. 21.10 that satisfies detailed balance for swapping temperatures. If the exchange is
allowed between the pair, the temperature between the replicas is swapped before MD resumes. The velocities of
each replica involved in successful exchange are then adjusted by the scaling factor pTnew/Told where Told is the
temperature before the exchange and Tnew is the temperature after. This velocity scaling is done to ensure that each
structure is immediately adjusted to its new target temperature. After the exchange calculation, the MD resumes
for nstlim steps until the next exchange attempt (in which the exchange partners alternated with respect to the
previous exchange attempt).
Pi,j=min1,exp[−(βi−βj)(Ej−Ei)](21.10)
Before starting a replica exchange simulation, an optimal set of temperatures should be determined so that the
exchange ratio is roughly a constant. This spacing of the replicas in temperature-space determines the probability
of exchange among the replicas, and the user is referred to the literature for a more complete description of the
influence of various factors on the exchange probability. A useful resource for generating a series of temperatures
with a specific exchange success probability can be found online at http://folding.bmc.uu.se/remd/.
Each replica requires (for input files) or generates (for output files) its own mdin, inpcrd, mdout, mdcrd, restrt,
mdinfo, and associated files. The names are provided through the specification of a groupfile on the command line
with the -groupfile groupfile option. The groupfile file contains a separate command line for each of the replicas or
multisander instances, as described in Section 17.11. To choose the number of replicas or multisander instances,
the -ng N command line option is used (in this case to specify Nseparate instances.)
For example, an 4-replica REMD job will need 4 mdin and 4 inpcrd files. Then, the groupfile might look like
this:
#
# multisander or replica exchange group file
#
-O -i mdin.rep1 -o mdout.rep1 -c inpcrd.rep1 -r restrt.rep1 -x mdcrd.rep1
-O -i mdin.rep2 -o mdout.rep2 -c inpcrd.rep2 -r restrt.rep2 -x mdcrd.rep2
-O -i mdin.rep3 -o mdout.rep3 -c inpcrd.rep3 -r restrt.rep3 -x mdcrd.rep3
-O -i mdin.rep4 -o mdout.rep4 -c inpcrd.rep4 -r restrt.rep4 -x mdcrd.rep4
Note that for T-REMD the mdin and inpcrd files are not required to be ordered by their target temperatures since
they will not remain sorted during the simulation. Sorting is performed automatically at each REMD iteration as
described above. Thus one can restart REMD simulations without modifying the restart files from the previous
REMD run (see below for more information about restarting REMD).
It is important when running T-REMD to ensure that each topology file is equivalent and the input files differ only
in the temperature (temp0), and that all explicit solvent calculations are run at constant volume. Because Eq. 21.10
was derived under the assumption that exchanging replicas only swapped temperatures, only the temperature can
vary between replicas. Satisfying this requirement is left to the user, and no warnings or checks are implemented
if this assumption is violated.
21.5.3.1. Restarting REMD simulations
It is recommended that each REMD run generate a new set of output files (such as mdcrd), but for convenience
one may use -A in the command line in order to append output to existing output files. This can be a useful option
when restarting REMD simulations. If -A is used, files that were present before starting the REMD simulation are
appended to throughout the new simulation. If -O is used, any files present are overwritten.
At the end of a REMD simulation, the target temperature of each replica is most likely not the same as it was
at the start of the simulation (due to successful exchanges). If one wishes to continue this simulation, sander or
pmemd will need to know how the target temperature has changed. Since the target value is normally specified
in the mdin file (via temp0), the previous mdin files would all need to be modified to reflect changes in target
temperature of each replica. In order to simplify this process, sander and pmemd write the final target temperature
as additional information in the restart files during a T-REMD simulation. When a T-REMD simulation is started,
the program will check to see if the target temperature is present in the restart file. If it is present, this value will
367
21. Free energies
override the value in the mdin file. In this manner, one can restart the simulation from the set of restart files and
sander or pmemd will automatically update the target temperature of each replica to correspond to the final value
from the previous run. If the target temperature is not present (as would be the case for the first REMD run), the
correct values should be present in the mdin files.
21.5.3.2. Content of the output files
It is important to note that in the current implementation of T-REMD all output is currently by replica only, not
by temperature!To facilitate post processing of trajectory data by temperature, the temperature must be specified
for each snapshot. For NetCDF trajectories, adding this information is simple because NetCDF is an extensible
format. We strongly recommend that you always use NetCDF trajectories, especially for REMD simulations. For
ASCII formatted trajectories, a header line is written to each frame just before the coordinates. This header line
has the format:
REMD <replica#> <exchange#> <step#> <Temperature>
PTRAJ and CPPTRAJ are be able to read trajectories with this new format.
The rem.log file for T-REMD simulations has the following format:
# Replica Exchange log file
# numexchg is 5
# REMD filenames:
# remlog= rem.log
# remtype= rem.type
# Rep#, Velocity Scaling, T, Eptot, Temp0, NewTemp0, Success rate (i,i+1), ResStruct#
# exchange 1
1 1.15 0.00 -10.46 300.00 400.00 0.00 -1
2 1.04 0.00 -10.46 325.00 350.00 2.00 -1
3 0.96 0.00 -10.46 350.00 325.00 0.00 -1
4 0.87 0.00 -10.46 400.00 300.00 2.00 -1
# exchange 2
1 0.94 312.03 -6.81 400.00 350.00 1.00 -1
2 1.07 280.77 -3.95 350.00 400.00 1.00 -1
3 -1.00 247.11 -10.58 325.00 325.00 1.00 -1
4 -1.00 271.12 -14.15 300.00 300.00 0.00 -1
# exchange 3
1 0.96 305.31 -11.02 350.00 325.00 0.67 -1
2 0.87 288.89 -12.45 400.00 300.00 1.33 -1
3 1.04 290.99 -13.30 325.00 350.00 1.33 -1
4 1.15 256.19 -12.83 300.00 400.00 0.00 -1
The columns, listed in order, are the replica number, velocity scaling factor, the instantaneous temperature, the
potential energy of the structure, the target temperature before the exchange attempt, the target temperature after
the exchange attempt, the average success rate, and the reservoir structure number. The replica number never
changes since replicas swap target temperatures. When the velocity scaling factor is -1, the exchange attempt
failed and velocities are not altered. For successful exchange attempts, velocites are either scaled up (when the
new target temperature is higher than the old one) or down (when the new target temperature is lower than the old
one). Success rates are calculated as #successes/#tries ×2, where the factor of 2 is used because each pair of
neighboring replicas attempts to exchange every other exchange attempt. In the beginning of the log file, this may
lead to unusual success rates, but after a large number of exchange attempts the values will normalize. Success
rates are computed as the exchange success rate between the original temperature (Temp0 column) and the next
highest temperature in the temperature ladder (not necessarily the temperature it just attempted to exchange with).
The success rate for the highest temperature is often 0 since it reflects the success rate between the highest and
lowest temperatures.
All temperatures are reported in Kelvin and all energies in kcal/mol.
368
21.5. Replica Exchange Molecular Dynamics (REMD)
21.5.3.3. Cautions when using replica exchange
While many variations of replica exchange have been tested with sander, all possible variations have not been
tested and the option is intended for use by advanced researchers that already have a comprehensive understanding
of standard molecular dynamics simulations. Caution should be used when creating REMD input files. Amber
will check for the most obvious errors but due to the nature of the multiple output files the reason for the error may
not be readily apparent. The following is only a subset of things that users should keep in mind:
1. The number of replicas must be an even number (so that all replicas have a partner for exchange).
2. Temp0 values for each replica must be unique for Temperature-based REMD.
3. Other than temp0 mdin files should be identical.
4. Temp0 values should not be changed in the nmropt=1 weight change section.
5. A groupfile is required.
6. If high temperatures are used, it may be necessary to use a smaller time step and possibly restraints to prevent
cis/trans isomerization or chirality inversion.
7. Due to increased diffusion rates at high temperature, it may be good to use iwrap=1 to prevent coordinates
from becoming too large to fit in the restart format. An alternative to this is, of course, to use NetCDF restart
files (ntxo=2)
8. Note that the optimal temperature range and spacing will depend on the system. The user is strongly recom-
mended to read the literature in this area.
9. Constant pressure is not supported for REMD simulations. This means NTP must be 0.
21.5.3.4. Replica exchange example
Below is an example of an 8-replica REMD run on 16 processors, (note, running a MPI program varies from
computer to computer).
mpirun -np 16 sander.MPI -ng 8 -groupfile groupfile -rem 1
Here is the groupfile:
#
# multisander or replica exchange group file
#
-O -i mdin.rep1 -o mdout.rep1 -c inpcrd.rep1 -r restrt.rep1 -x mdcrd.rep1
-O -i mdin.rep2 -o mdout.rep2 -c inpcrd.rep2 -r restrt.rep2 -x mdcrd.rep2
-O -i mdin.rep3 -o mdout.rep3 -c inpcrd.rep3 -r restrt.rep3 -x mdcrd.rep3
-O -i mdin.rep4 -o mdout.rep4 -c inpcrd.rep4 -r restrt.rep4 -x mdcrd.rep4
-O -i mdin.rep5 -o mdout.rep5 -c inpcrd.rep5 -r restrt.rep5 -x mdcrd.rep5
-O -i mdin.rep6 -o mdout.rep6 -c inpcrd.rep6 -r restrt.rep6 -x mdcrd.rep6
-O -i mdin.rep7 -o mdout.rep7 -c inpcrd.rep7 -r restrt.rep7 -x mdcrd.rep7
-O -i mdin.rep8 -o mdout.rep8 -c inpcrd.rep8 -r restrt.rep8 -x mdcrd.rep8
This input specifies that T-REMD should be used (-rem 1), with 8 replicas (-ng 8) and 2 processors per replica (-np
16). Note that the total number of processors should always be a multiple of the number of replicas.
369
21. Free energies
21.5.3.5. Replica exchange using a hybrid solvent model
This section describes an advanced feature of Amber.[128,129] Users that are not already comfortable with stan-
dard replica exchange simulations should likely get more experience with them before attempting hybrid solvent
REMD calculations.
For large systems, REMD becomes intractable since the number of replicas needed to span a given temperature
range increases roughly with the square root of the number of degrees of freedom in the system. Recognizing that
the main difficulty in applying REMD with explicit solvent lies in the number of simulations required, rather than
just the complexity of each simulation, we recently developed a new approach in which each replica is simulated
in explicit solvent using standard methods such as periodic boundary conditions and inclusion of long-range elec-
trostatic interactions using PME. However, the calculation of exchange probabilities (which determines the tem-
perature spacing and thus the number of replicas) is handled differently. Only a subset of closest water molecules
is retained, with the remainder temporarily replaced by a continuum representation. The energy is calculated using
the hybrid model, and the exchange probability is determined. The original solvent coordinates are then restored
and the simulation proceeds as a continuous trajectory with fully explicit solvation. This way the perceived system
size for evaluation of exchange probability is dramatically reduced and fewer replicas are needed.
An important difference from existing hybrid solvent models is that the system is fully solvated throughout
the entire MD simulation, and thus the distribution functions and solvent properties should not be affected by the
use of the hybrid model in the exchange calculation. In addition, no restraints of any type are needed for the
solvent, and the solute shape and volume may change since the solvation shells are generated for each replica
on the fly at every exchange calculation. Nearly no computational overhead is involved since the calculation
is performed infrequently as compared to the normal force evaluations. Thus the hybrid REMD approach can
employ more accurate continuum models that are too computationally demanding for use in each time step of a
standard molecular dynamics simulation. However, since the Hamiltonian used for the exchange differs from that
employed during dynamics, these simulations are approximate and are not guaranteed to provide correct canonical
ensembles.
At each exchange calculation sander will create the hybrid system based on the current coordinates for the fully
solvated system. This is done by calculating the distance of each water oxygen to the nearest solute atom, and
sorting the water by increasing shortest distance. The closest numwatkeep are retained and the potential energy
is calculated using the GB model specified by hybridgb. After the energy calculation the fully solvated system is
restored.
For a more complete example, users are directed to the hybridREMD test case (in the rem_hybrid subdirectory)
in the Amber test directory.
numwatkeep The number of explicit waters that should be retained for the calculation of potential energy to be
used for the exchange calculation. Before each exchange attempt, the closest numwatkeep waters will
be retained (closest to the solute) and the rest will be temporarily removed and then replaced after the
exchange probability has been calculated. The default value is -1, indicating that all waters should
be retained (standard REMD). A value of 0 would direct Amber to remove all of the explicit water
(as in MM-PBSA) while a non-zero value will result in some water close to the solute being retained
while the rest is removed. Currently it is not possible to select a subset of solute atoms for determining
which waters are "close". Determining the optimal numwatkeep value is a topic of current research.
hybridgb Specifies which GB model should be used for calculating the PE of the stripped coordinates, equivalent
to the igb variable. Currently only hybridgb values of 1, 2, and 5 are supported.
Cautions: Hybrid-REMD has not been extensively tested. The following would not be expected to work without
further modification of the code:
1. Only the water is imaged for the creation of the stripped system. Care should be taken with dimers (such as
DNA duplexes) to ensure that the imaging is correct.
2. Explicit counterions should probably not be used.
3. The choice of implicit solvent model will likely have a large effect on the resulting ensemble.
370
21.5. Replica Exchange Molecular Dynamics (REMD)
21.5.3.6. Reservoir REMD
The ability to perform REMD with a structure reservoir [379,380] has been implemented in Amber as of version
10. Although REMD can significantly increase the efficiency of conformational sampling, obtaining converged
data can still be challenging. This is particularly true for larger systems, as the number of replicas needed to span a
given temperature range increases with the square root of the number of degrees of freedom in the system. Another
consideration is that the folding rate of a peptide tends not to be as dependent on temperature as the unfolding rate,
making the search for native peptide structures in higher temperature replicas more problematic; in the case where
a native-like structure is found it will almost always be exchanged to a lower temperature replica, requiring a repeat
of the search process. In addition, the exchange criterion in REMD assumes a Boltzmann-weighted ensemble of
structures, which is typically not the case at the start of a REMD simulation. Although the exchange criterion
will eventually drive each replica toward a Boltzmann-weighted ensemble of structures, this essentially means that
until all of the replicas are converged, none of the replicas are converged.
Reservoir REMD is a method which can significantly enhance the rate of convergence and reduce the high
computational expense of standard REMD simulations. An ensemble of structures (or reservoir) is generated
at high temperature, then linked to lower temperatures via REMD. Periodic exchanges are attempted between
randomly chosen structures in the reservoir and the highest temperature replica. If the structure reservoir is already
Boltzmann-weighted,[379] convergence is significantly enhanced as the lower temperature replicas simply act to
re-weight the reservoir ensemble - in essence all of the searching has been accomplished from the start. This is
in contrast to standard REMD where all the replicas are run simultaneously, and the computational expense for
running long simulations must be paid for each of the replicas even though only a few high-temperature ones may
be contributing to sampling of new basins.
One major advantage of this approach is that a converged ensemble of conformations needs to be generated
only once and only for one temperature. Typically this temperature should be high enough to facilitate crossing
of energy barriers, but low enough that there is still a measureable fraction of native structure present. Another
advantage is that exchanges with the reservoir do not need to be time-correlated with the replica simulations;
folding events sampled during reservoir generation can provide multiple native structures for the other replicas.
It may not always be possible however to generate a Boltzmann-weighted ensemble of structures (e.g. for a
large molecule in explicit solvent). In such cases it is possible to use a non-Boltzmann weighted reservoir by
modifying only the exchange criterion between the reservoir and the highest temperature replica. If the weight of
all structures in the reservoir is set to 1, this corresponds to a completely flat distribution across the free energy
landscape. Alternatively, weights can be assigned to structures based on various structural properties. In the current
implementation, weights are assigned to structures via dihedral bin clustering, wherein clusters are identified by
unique configurations of user-defined dihedral angles.
There are several new command line arguments that pertain to Reservoir REMD:
-rremd Type of reservoir to use.
= 0 No reservoir (Default)
= 1 Boltzmann-weighted reservoir
= 2 Non-Boltzmann weighted reservoir where the weight of each structure in the reservoir is assumed to be
1/N
= 3 Non-Boltzmann weighted reservoir with weights defined by dihedral angle binning.
-reservoir Specifies the file name prefix for reservoir structures. Reservoir structure files should be in the restart
file format MDRESTRT, and are expected to be named according to the format <name>.XXXXXX, where
XXXXXX is a 6 digit integer, e.g. frame.000001. Default is "reserv/frame". IMPORTANT NOTE: Struc-
ture numbering should begin at 1.
-saveene specifies the file containing energies of the structures in the reservoir (default filename is "saveene").
This file must contain a header line with format:
<# reservoir structures> <reservoir T> <#atoms> <random seed>
<velocity flag>
371

21. Free energies
If the velocity flag =1 then velocity information will be read from the reservoir structure files, otherwise
(if velocity flag =0) velocities will be assigned to the structure based on the reservoir temperature. After
the header line there should be a line containing the potential energy of each reservoir structure. IMPOR-
TANT NOTE: For reservoir REMD with dihedral bin clustering (rremd==3) each potential energy should
be followed by the cluster # that reservoir structure belongs to.
-clusterinfo For reservoir REMD with dihedral bin clustering (rremd==3) this file specifies what dihedrals are
used and the binsize, as well as what cluster each reservoir structure belongs to. Default is "cluster.info".
File has the following format:
<# Dihedral Angles>
<atom# 1> <atom# 2> <atom# 3> <atom# 4>[Dihedral 1]
. .
. .
. .
<atom# 1> <atom# 2> <atom# 3> <atom# 4>[# Dihedral Angles]
<Total # Clusters>
<Cluster #> <Weight>
<Bin1><Bin2>...<Bin #Dihedral Angles>[Cluster 1]
. .
. .
. .
<Cluster #> <Weight>
<Bin1><Bin2>...<Bin #Dihedral Angles>[# Clusters]
The first line is the number of dihedral angles that will be binned, following the definition of those dihedral
angles (4 atoms using sander atom #s, starting from 1) and the bin size for each dihedral angle. Next is the
total # of clusters followed by lines providing information about each cluster: the cluster number, weight
and ID as defined by dihedral binning. The ID is composed of consecutive 3 digit integers, 1 for each
dihedral angle. For example, a structure belonging to cluster 7 with a weight of 2 with 2 dihedral angles
that fall in bins 3 and 8 would look like:
7 2 003008
21.5.4. Hamiltonian replica exchange
Instead of spacing replicas throughout temperature space, you can also space replicas throughout “Hamiltonian
space.” That is, every replica has a different Hamiltonian, or energy function, and exchange attempts occur between
adjacent Hamiltonians. With sander and pmemd, Hamiltonian replica exchange is implemented by exchanging
coordinates between replicas and evaluating the energy of that new structure. The corresponding detailed balance
equation that is used to compute the exchange probability is shown in Eq. 21.11. This option is enabled by using
-rem 3 on the command-lines in the groupfile.
Pi→j=min{1,exp(−β1[H1(x2)−H1(x1)] −β2[H2(x1)−H2(x2)]) (21.11)
Here, state irefers to the replica combination [β1H1(x1),β2H2(x2)] and state jrefers to the replica combination
[β1H1(x2),β2H2(x1)]. Eq. 21.11 assumes that only coordinates are traded between exchanging replicas, but allows
for the temperatures to differ. The temperature does not exchange upon a successful attempt, but velocities are
swapped following successful exchange attempts and scaled by pTnew/Told to match the target temperature of
their new replica.
21.5.4.1. Free Energy Perturbation
Upon closer inspection of Eq. 21.11, we can see a close resemblance to Free Energy Perturbation[376,381]
∆Ga→b=−kBTln[exp(−β(Eb−Ea))] (21.12)
372
21.5. Replica Exchange Molecular Dynamics (REMD)
We can see that for every exchange attempt, the required ∆Eis calculated in both directions. The value for the
free energy (in both directions) is accumulated and reported in the rem.log file each time an exchange is attempted.
For replica exchange free energy perturbation (REFEP), multiple topology files are often needed that correspond
to a value of an alchemical parameter, λ, similar to thermodynamic integration. The ParmEd program included
with AmberTools can be used to generate the intermediate topology files by scaling charges and/or van der Waals
parameters. In this case, because coordinates are exchanged, each replica tracks a particular Hamiltonian and set
of control variables, rather than a sequence of configuations. Note this is the opposite behavior of T-REMD in
which replicas change temperatures but keep the same sequence of configurations.
21.5.4.2. Umbrella Sampling
Hamiltonian exchange can be used to perform replica exchange umbrella sampling [382] using the NMR flat
well restraints. In this case, every line of the group file needs a different restraint file in which the center of
the biasing umbrella changes. Each replica tracks a particular umbrella location rather than a replica trajectory.
Note this is the opposite behavior of T-REMD in which replicas change temperatures but keeps the same replica
trajectory.
21.5.4.3. Steps for running H-REMD simulations
Note: before running Hamiltonian replica exchange (H-REMD), you should be familiar with Temperature
replica exchange (T-REMD) simulations. H-REMD simulations are set up similarly to T-REMD simulations. Each
replica is specified on a line of a groupfile and is run with multisander. Each replica differs either by simulation
control parameters in the input file (e.g., for umbrella sampling replica exchange[382] or REXAMD [383,384]) or
parameters in the topology file (e.g., REFEP).
• The majority of H-REMD settings are similar to T-REMD. A groupfile is needed. The number of replicas
must be an even number (so that all replicas have a partner for exchange). Constant pressure is not supported
for REMD simulations. This means ntp must be 0.
• Depending on the type of H-REMD, all replicas may have different force fields/control variables (if the
differences are too large, the exchange probability may suffer)
• The order of the replicas in the groupfile is very important. As a general rule in all H-REMD simulations, the
least different Hamiltonians (replicas) should be neighbors. Because this method is relatively new, there are
very limited discussions in the literature about the optimum positions of replicas in the Hamiltonian ladder
[385,386]. Exchange neighbors are defined by adjacent lines in the groupfile (i.e., each replica exchanges
‘right’ or ‘up’ with the replica defined by the line above and exchanges ‘left’ or ‘down’ with the replica
defined by the line below in the groupfile).
• For editing the prmtop, e.g., in the case of REFEP, there is a python script in AmberTools, parmed.py, which
facilitates the modifications of Amber topology files. See the AmberTools Manual for details.
• In H-REMD, each replica has a different Hamiltonian. In contrast to T-REMD, neighbor replicas exchange
their conformations, which means each replica keeps its initial Hamiltonian and there is no need for post-
processing (i.e., using ptraj or cpptraj) to extract sub-ensembles. However, you will have to post-process in
order to reconstruct replica-based time series.
To enable H-REMD the -rem flag on the command-line must be given the value 3. H-REMD simulations require
the same input files as T-REMD simulations and generates the same output files. The output printed in the remlog
file differs significantly from that found in the remlog file for T-REMD, however. Example remlog output for
H-REMD is shown below:
# Replica Exchange log file
# numexchg is 10000
# REMD filenames:
# remlog= remlog
# remtype= rem.type
373
21. Free energies
# Rep#, Neibr#, Temp0, PotE(x_1), PotE(x_2), left_fe, right_fe, Success, Success rate (i,i+1)
# exchange 1
1 8 300.00 -12783.23 -12755.40 -16.39 0.00 F 0.00
2 3 300.00 -12839.84 -12802.56 0.00 -0.05 T 2.00
3 2 300.00 -12802.60 -12839.79 -0.04 0.00 T 0.00
4 5 300.00 -12847.41 -12858.37 0.00 -0.78 F 0.00
5 4 300.00 -12858.19 -12846.63 0.18 0.00 F 0.00
6 7 300.00 -12859.65 -12833.42 0.00 0.30 T 2.00
7 6 300.00 -12833.63 -12859.95 -0.21 0.00 T 0.00
8 1 300.00 -12771.63 -12766.84 0.00 -16.23 F 0.00
# exchange 2
1 2 300.00 -12825.03 -13147.73 0.00 -0.62 F 0.00
2 1 300.00 -13148.20 -12824.42 -0.47 0.00 F 1.00
3 4 300.00 -13136.97 -12823.77 0.00 0.62 T 1.00
4 3 300.00 -12823.32 -13137.59 0.44 0.00 T 0.00
5 6 300.00 -12919.25 -13181.18 0.00 -0.41 T 1.00
6 5 300.00 -13180.48 -12918.84 0.70 0.00 T 1.00
7 8 300.00 -13162.39 -12775.37 0.00 0.16 T 1.00
8 7 300.00 -12775.59 -13162.55 -0.22 0.00 T 0.00
...
The columns, in order, are the replica number, the exchange partner for this attempt, the target temperature, the
potential energy of the current structure, the potential energy of the proposed structure, the free energy difference
calculated via Eq. 21.12 for all exchanges to the ‘left’ (or ‘up’ in the Hamiltonian ladder), all free energies for
exchanges to the ‘right’ (or ‘down’ in the Hamiltonian ladder), whether the exchange attempt succeeded (T) or not
(F), and the average success rate. For each step, the only free energy values printed are those between replicas that
attempted to exchange. All free energies between non-exchanging pairs are set to 0 for that step. Therefore, the
‘final’ free energies can be found by summing the respective terms from the last two exchanges in the remlog file.
All energies have units of kcal/mol, and temperatures have units of Kelvin.
21.5.4.4. An example
When running H-REMD, the format of the groupfile is very similar to that in T-REMD, but specific details
depend on the type of simulation being performed. In the case of REFEP, the groupfile may look like the
following:
-O -i mdin -p prmtop.0 -c inpcrd.0 -suffix 000
-O -i mdin -p prmtop.1 -c inpcrd.1 -suffix 001
-O -i mdin -p prmtop.2 -c inpcrd.2 -suffix 002
-O -i mdin -p prmtop.3 -c inpcrd.3 -suffix 003
-O -i mdin -p prmtop.4 -c inpcrd.4 -suffix 004
-O -i mdin -p prmtop.5 -c inpcrd.5 -suffix 005
-O -i mdin -p prmtop.6 -c inpcrd.6 -suffix 006
-O -i mdin -p prmtop.7 -c inpcrd.7 -suffix 007
Notice how the topology file differs in each case, but the input file remains the same. An example groupfile for
umbrella sampling may look like the following:
-O -i mdin.0 -p prmtop -c inpcrd.0 -suffix 000
-O -i mdin.1 -p prmtop -c inpcrd.1 -suffix 001
-O -i mdin.2 -p prmtop -c inpcrd.2 -suffix 002
-O -i mdin.3 -p prmtop -c inpcrd.3 -suffix 003
-O -i mdin.4 -p prmtop -c inpcrd.4 -suffix 004
-O -i mdin.5 -p prmtop -c inpcrd.5 -suffix 005
-O -i mdin.6 -p prmtop -c inpcrd.6 -suffix 006
-O -i mdin.7 -p prmtop -c inpcrd.7 -suffix 007
Notice in this case how the topology file is the same but the input file differs in each case (which is where the
center of the umbrella is defined). Like T-REMD, sander.MPI (or pmemd.MPI) are executed via the following
command:
374
21.5. Replica Exchange Molecular Dynamics (REMD)
mpirun -np 16 sander.MPI -ng 8-groupfile groupfile -rem 3
Note that the particular method for launching an MPI program may depend on your MPI implementation. Also,
pmemd requires at least 2 threads per replica, whereas sander will work with just 1.
21.5.5. RXSGLD: Replica exchange using Self-Guided Langevin Dynamics
RXSGLD utilizes the guiding force, sgft or tempsg, to define replicas. SGLD simulations are performed for
replicas[333]. Please refer to Section 20.1 about how to set up SGLD simulations. When temperature is the same
for all replicas, the replica exchange ratios are high and so is the conformational search efficiency. RXSGLD is an
alternative to SGLD, SGLDfp, or SGLDg to achive efficient conformational search while being able to obtain the
canonical ensemble distribution. RXSGLD is turned on if isgld>0 is set in Sander or PMEMD input files when
performing replica exchange simulations.
For the convenience of reference, we define replicas as non-interacting identical simulation systems and define
stages as simulation conditions between which replicas transite. In REMD, stages are different by temperatures,
while in RXSGLD, stages are different by the strength of guiding forces, as defined by sgld or tempsg. For example,
we can set tempsg=300, 310, 325, 345, 370, 400, 440, and 500K for stages 1 to 8, respectively, while temp0=300K
for all stages. In RXSGLD, temperatures in different stages can be same or different from each other, however, it
is prefered to keep all temperature the same to achive high replica exchange efficiency.
Because the temperatures of different stages may be the same, the stages are given a ID from 1 to Nrep. Like
REMD, each RXSGLD trajectory file is for each replica. Different from REMD, the frames of RXSGLD
trajectories are proceeded with the following information:
RXSGLD <replica#> <exchange#> <step#> <stage ID>
The output from RXSGLD contains the following lines:
TEMP0= <temp0> SGFT= <sgft> TEMPSG= <tempsg> STAGE= <stag ID> REPNUM= <rep#> EXCHANGE= <exchange#>
RXSGLD trajectories can be processed with PTRAJ the same way as REMD trajectories, except replace
temperatures with stage IDs. For example, to extract the trajectory on stage 1, we can use the following
command:
ptraj rxsgld.top <<EOF
trajin rxsgld.trj.000 rxsgldtraj rxsgldid 1
trajout rxsgld.trj.stag 1
EOF
21.5.6. pH-REMD
In constant pH REMD, replicas attempt to exchange their solution pH values in much the same way as tem-
peratures are exchanged in T-REMD. The idea of swapping pH in the discrete protonation state implementation
(described in Section 22) was proposed by [Itoh et al. 377] and later implemented and evaluated in Amber. [378]
The implementation here works very similarly to T-REMD, except each replica is given a different value of solvph
in the mdin file instead of temp0. The exchange probability, shown in Eq. 21.13, is derived under the assumption
that all replicas have the same temperature.
Pi→j=minn1,exphln10NH+
i−NH+
j(pHi−pHj)io (21.13)
Where NH+
iis the number of titratable protons currently ‘active’ in state i.
Before running pH-REMD simulations, you should first be familiar with running constant pH MD described in
Section 22, since it will help you set up each replica. Aside from the changes required to run at constant pH, setting
up pH-REMD simulations is quite similar to setting up T-REMD simulations. Each replica should have the same
topology file, and all mdin files should be identical except for the value of solvph. Furthermore, each residue
should be titrating the same residues (this is very important). For instance, you cannot turn ‘off’ carboxylate
titrations at basic pH if your pH-REMD spans both acidic and basic conditions.
375
21. Free energies
21.5.6.1. Analyzing Output
The output from pH-REMD simulations is analyzed in the same way as standard constant pH simulations, with
some preprocessing required. Because the pH of each replica changes upon successful replica exchange attempts,
each replica contains members from ensembles at all pHs. Therefore, you must use ptraj or cpptraj to extract
ensembles at each pH. To simplify the coding required, the pH is stored as the ‘temperature’ in each trajectory, so
the T-REMD machinery should be used in ptraj/cpptraj to extract desired ensembles.
The cpout files have additional information added to them to indicate which protonation states belong to which
ensembles. This is done by printing the pH next to each record, as shown below.
Solvent pH: 3.00000
Monte Carlo step size: 5
Time step: 5
Time: 10.008
Residue 0 State: 3 pH: 3.000
Residue 0 State: 3 pH: 3.000
Residue 0 State: 3 pH: 3.500
Residue 0 State: 3 pH: 3.500
Residue 0 State: 3 pH: 2.000
Residue 0 State: 3 pH: 2.000
Residue 0 State: 3 pH: 2.500
You can see that the pH is changing between snapshots. In addition to generating pH-based trajectories, you also
must generate pH-based cpout information that is stored in each cpout file. The replica pH is identified on each
line of the cpout file to aid in constructing the pH-specific protonation state ensembles. To aid with this, the
cphstats program, described in Subsection 22.7.5, has an option to provide a “prefix” that defines the new file
names for the pH-specific cpout files that it builds from a list of each cpout file from a single pH-REMD
simulation. For example:
cphstats --fix-remd 1AKI.cpout 1AKI.cpout.000 1AKI.cpout.001 \
1AKI.cpout.002 1AKI.cpout.003
Assuming you ran replicas at pH 2, 3, 4, and 5, this will generate files 1AKI.cpout.pH_2.00, 1AKI.cpout.pH_3.00,
1AKI.cpout.pH_4.00, and 1AKI.cpout.pH_5.00, with their respective ensembles. If you ran, for instance, 20 ns
of simulation in chunks of 5 ns (so you ran 4 “chunks” after 3 restarts), you will need to run this command 4
times—once for each simulation segment. You should analyze the resulting protonation state distribution using
these newly-generated cpout files.
21.5.6.2. A pH-REMD Example
Below is an example in which 4 replicas are run at pH values of 2.0, 2.5, 3.0, and 3.5. The command below
shows an example of running this simulation on 8 processors (2 processors for each replica). Note that running
MPI programs may vary from computer to computer.
mpirun -np 8 sander.MPI -ng 4 -groupfile groupfile -rem 4 -remlog rem.log
The groupfile in this example is shown below:
-O -i phremd.pH2.0.mdin -cpin cpin -p ASPREF.top -c ASPREF.rst7
-O -i phremd.pH2.5.mdin -cpin cpin -p ASPREF.top -c ASPREF.rst7
-O -i phremd.pH3.0.mdin -cpin cpin -p ASPREF.top -c ASPREF.rst7
-O -i phremd.pH3.5.mdin -cpin cpin -p ASPREF.top -c ASPREF.rst7
376
21.5. Replica Exchange Molecular Dynamics (REMD)
The suffixes “.000”, “.001”, “.002”, and “.003” will be added to the output files from each of the replicas in order
to distinguish them from each other by default. This suffix can be changed using the “-suffix” flag for that replica.
Any suffix provided this way will be applied to ALL output files, regardless of whether or not they are specified.
This is only true for multi-sander and multi-pmemd simulations.
The resulting rem.log file looks like the following:
# Replica Exchange log file
# numexchg is 50
# REMD filenames:
# remlog= rem.log
# remtype= rem.type
# Rep#, N_prot, old_pH, new_pH, Success rate (i,i+1)
# exchange 1
1 1 2.000 3.500 0.0000
2 1 2.500 3.000 2.0000
3 1 3.000 2.500 0.0000
4 1 3.500 2.000 2.0000
# exchange 2
1 1 3.500 3.000 1.0000
2 1 3.000 3.500 1.0000
3 1 2.500 2.000 1.0000
4 1 2.000 2.500 1.0000
# exchange 3
1 1 3.000 2.500 0.6667
2 1 3.500 2.000 1.3333
3 1 2.000 3.500 0.6667
4 1 2.500 3.000 1.3333
# exchange 4
1 1 2.500 2.000 1.0000
2 1 2.000 2.500 1.0000
3 1 3.500 3.000 1.0000
4 1 3.000 3.500 1.0000
The columns are the current replica number (which never changes because pH is swapped between replicas), the
total number of protons “active” on all of the titratable sites, the original solution pH, the new solution pH after
exchange, and the success ratio (multiplied by 2 to account for swapping neighbors each exchange attempt).
21.5.7. Multi-dimensional Replica Exchange
Multi-dimensional replica exchange refers to an expanded ensemble technique in which each subensemble (i.e.,
each replica) is defined by multiple state parameters such as the temperature of the heat bath or the Hamiltonian.
For such systems, an exchange attempt between two arbitrary replicas yields a complex equation for the exchange
probability that must be derived and specified for each type of multi-dimensional exchange scheme. However,
if exchange attempts between replica pairs are restricted to pairs that only differ in one state parameter, such as
the temperature, then the exchange probability equation reduces to the one used for that particular type of replica
exchange. Such an approach allows the existing exchange routines to be used in complex, multi-dimensional
replica exchange simulations.
To implement the scheme described above, the entire expanded ensemble is subdivided into dimensions which
are further divided into groups. Each dimension is defined by a particular type of exchange attempt—namely
temperature exchange, Hamiltonian exchange, or pH exchange—and assigns every replica in the simulation to a
particular group. Each group is like a one-dimensional REMD simulation by itself—replicas differ only by the one
thermodynamic state parameter used to define that particular dimension. Exchange attempts occur only between
nearest neighbors of a single replica group.
377

21. Free energies
H(x1, i1, j1)
H(x2, i1, j2)
H(x3, i1, j3)
H(x4, i1, j4)
H(x5, i2, j1)
H(x6, i2, j2)
H(x7, i2, j3)
H(x8, i2, j4)
H(x9, i3, j1)
H(x10, i3, j2)
H(x11, i3, j3)
H(x12, i3, j4)
H(x13, i4, j1)
H(x14, i4, j2)
H(x15, i4, j3)
H(x16, i4, j4)
State Index i changes
State Index j changes
EAs in j space
EAs in i space
Figure 21.2.: Schematic showing exchange attempts (EAs) in multi-dimensional REMD simulations. Exchange
attempts are indicated by the colored arrows, where red arrows indicate exchange attempts between
replicas in a group of the dimension defined by the jstate parameters. Blue arrows indicate exchange
attempts between replicas in the dimension defined by the state parameter i. Figure taken from ref.
387.
No two replicas should be in the same group in more than one dimension since, by definition, that would require
the state parameters of those two replicas to differ in more than one dimension (which would preclude them from
being part of the same group in any dimension according to the scheme described previously). It is easiest to
understand this scheme in the context of a 2-dimensional replica exchange ensemble with replicas represented by
elements of a matrix, as in Fig. 21.2.
21.5.7.1. Running multi-dimensional replica exchange simulations
Multi-dimensional REMD simulations require an extra input file provided on the command-line (not in the
groupfile) that defines each replica group in each dimension. Every replica must be assigned to one and only one
group in every dimension (failure to do so results in an error message). Furthermore, each group must consist
of an even number of replicas. Dimensions are defined in the &multirem namelist in the REMD input file. Each
&multirem namelist adds another dimension. The following variables may be specified in the &multirem namelist:
group(:, :) 2-dimensional (Fortran-style) array defining the group (first dimension) and the position within that
group (second dimension). See the description of the exchange routines above to see if the ordering within
each group is important (for example, the ordering defines exchange partners in H-REMD while replicas
are automatically sorted by target temperature in T-REMD). Indexes in this array start from 1, and index n
378
21.5. Replica Exchange Molecular Dynamics (REMD)
corresponds to the nth replica defined in the groupfile. The suggested syntax for assigning to this variable is
shown in the example below.
exch_type Defines the type of exchange that will be performed. Supported values (case-insensitive) are “tem-
perature” (or “temp”), “Hamiltonian” (or “HREMD”), and “pH.” pH-REMD is not currently compatible
with T-REMD in another dimension. Also, H-REMD/pH-REMD simulations are not expected to work well.
pH-compatible temperature and umbrella exchange are planned for the future.
desc Description that will be printed in the rem.log files. This is for documentation purposes only, and will have
no effect on the simulation.
A sample input file that performs alchemical Hamiltonian-REMD in one dimension and Temperature-REMD in
another dimension is shown below.
Temperature REMD
&multirem
exch_type = ’TEMPERATURE’,
group(1,:) = 1,2,
group(2,:) = 3,4,
desc = ’Temperature exchange from 300K to 400K’
/
Hamiltonian REMD
&multirem
exch_type=’HAMILTONIAN’,
group(1,:) = 1,3,
group(2,:) = 2,4,
desc = ’Protonated ASP to Deprotonated ASP mutation’
/
Running multi-dimensional REMD simulations differs from running them in a single dimension. First, restarts
and trajectories must be written in the NetCDF format (ntxo=2 for restarts and ioutfm=1 for trajectories). These
changes are applied by default for multi-dimensional REMD simulations. Next, the REMD input file is taken
following the -remd-file flag, and -rem should not be specified (it is set to -1 internally when -remd-file is
read). An example command-line corresponding to the 4-replica example input file is shown below:
mpirun -np 4 sander.MPI -ng 4 -groupfile groupfile \
-remd-file remd.dim -remlog rem.log
The replica exchange information is stored in the remlog files written during the simulation. A separate remlog file
is written for each dimension with the name <prefix>.nwhere nis the nth dimension read from the REMD input
file and <prefix> is the file name given on the command-line for the -remlog switch.
21.5.7.2. Restarting multi-dimensional replica exchange simulations
Some exchange types swap state parameters (e.g., temperature and pH) while others swap coordinates (Hamilto-
nian), meaning that the ordering of the groupfile may change for restarts (see Fig. 21.3). To prevent requiring you
to rewrite a new REMD file or groupfile each restart, the group number and replica position for each dimension is
stored in the restart file. When irest=1 (see page 286) and the restart files contain the replica position information,
the position of each replica in each dimension is set to the values stored in the restart file. This allows the same
groupfile and REMD file to be used for every subsequent restart.
Note, if the REMD index information is not present in the restart file or the REMD dimension information in the
restart does not match what is defined in the REMD input file, the replica ordering will be assigned as it is defined
in the REMD input file.
379

21. Free energies
1,1
1,2
1,3
1,4
2,1
2,2
2,3
2,4
3,1
3,2
3,3
3,4
4,1
4,2
4,3
4,4
State 1 changes
2,1
1,2
1,3
1,4
1,1
2,2
2,3
2,4
3,1
3,2
3,3
3,4
4,1
4,2
4,3
4,4
State 2 changes
2,1
1,2
1,3
1,4
1,1
2,2
2,3
2,4
3,1
3,2
3,4
3,3
4,1
4,2
4,3
4,4
State 1 changes
2,1
1,2
1,3
1,4
1,1
2,2
2,3
2,4
3,1
3,2
3,4
4,3
4,1
4,2
3,3
4,4
State 2 changes
Figure 21.3.: Replica arrangement in multi-dimensional REMD simulations at multiple exchange steps following
some successful state parameter exchanges. The large numbers in the background is the original
placement in the REMD input file. The blue and red numbers are the group number and position in
the group, respectively. Replicas with the same color are part of the same group. Figure taken from
ref. 387.
380
21.6. Adaptively biased MD, steered MD, and umbrella sampling with REMD
21.5.7.3. Analyzing multi-dimensional replica exchange simulations
The REMD log file for each dimension is further divided into the log messages for each group, as shown below.
# Replica Exchange log file
# numexchg is 100
# Dimension 1 of 2
# Description: Temperature exchange from 300K to 400K
# exchange_type = TEMPERATURE
# REMD filenames:
# remlog= rem.log.1
# remd dimension file= remd.dim
# Rep#, Velocity Scaling, T, Eptot, Temp0, NewTemp0, Success rate (i,i+1), ResStruct#
# exchange 1 REMD group 1
1 -1.00 0.00 -40.69 300.00 300.00 0.00 0
2 -1.00 0.00 -19.77 400.00 400.00 0.00 0
# exchange 1 REMD group 2
1 -1.00 0.00 -66.78 300.00 300.00 0.00 0
2 -1.00 0.00 -46.06 400.00 400.00 0.00 0
# exchange 3 REMD group 1
1 -1.00 221.66 -34.00 300.00 300.00 0.00 0
2 -1.00 347.52 -29.09 400.00 400.00 0.00 0
# exchange 3 REMD group 2
1 -1.00 257.14 -63.10 300.00 300.00 0.00 0
2 -1.00 332.76 -26.73 400.00 400.00 0.00 0
The above example is shown for the first dimension (temperature) of the example REMD file shown in Sec.
21.5.7.1. The columns are the same as those used in the corresponding 1-dimensional REMD simulation for that
exchange type.
To analyze structural properties, you must use cpptraj to properly snapshots into the appropriate replicas. See
Chapter 28 for more details.
21.6. Adaptively biased MD, steered MD, and umbrella sampling with
REMD
21.6.1. Overview
The following describes a suite of modules useful for the calculation of the free energy associated with a reaction
coordinate σ(r1,...,rN)(which is defined as a smooth function of the atomic positions r1,...,rN):
f(ξ) = −kBTlnδ[ξ−σ(r1,...,rN)] ,
(the angular brackets denote an ensemble average, kBis the Boltzmann constant and Tis the temperature) that is
also frequently referred to as the potential of mean force.
Specifically, new frameworks are provided for equilibrium umbrella sampling and steered molecular dynamics
that enhance the functionality delivered by earlier implementations (described earlier in this manual), along with
a new Adaptively Biased Molecular Dynamics (ABMD) method[388] that belongs to the general category of umbrella
sampling methods with a time-dependent potential. Such methods were first introduced by Huber, Torda and van
Gunsteren (the Local Elevation Method[389]) in the molecular dynamics (MD) context, and by Wang and Landau in
the context of Monte Carlo simulations[390]. More recent approaches include the adaptive force bias method[391],
and the metadynamics method[392,393]. All these methods estimate the free energy of a reaction coordinate from
an evolving ensemble of realizations, and use that estimate to bias the system dynamics to flatten an effective
free energy surface. Collectively, these methods may all be considered to be umbrella sampling methods with an
evolving potential.
381

21. Free energies
The ABMD method grew out of attempts to speed up and streamline the metadynamics method for free energy
calculations with a controllable accuracy. It is characterized by a favorable scaling in time, and only a few (two)
control parameters. It is formulated in terms of the following equations:
mad2ra
dt2=Fa+∂
∂raUt|σ(r1,...,rN),
∂U(t|ξ)
∂t=kBT
τFGξ−σ(r1,...,rN),
where the first ones represent Newton’s equations that govern ordinary MD (temperature and pressure regulation
terms are not shown) augmented with an additional force coming from the time dependent biasing potential U(t|ξ)
[U(t=0|ξ) = 0], whose time evolution is given by the second equation. G(ξ)is a positive definite and symmetric
kernel, which may be thought of as a smoothed Dirac delta function. For large enough τF(the flooding timescale)
and small enough kernel width, the biasing potential U(t|ξ)converges towards −f(ξ)as t→∞.
Our numerical implementation of the ABMD method involves the use of a bi-weight kernel along with the use of
cubic B-splines (or products thereof) to discretize the biasing potential U(t|ξ)w.r.t. ξ, and an Euler-like scheme for
time integration. ABMD admits two important extensions, which lead to a more uniform flattening of U(t|ξ) + f(ξ)
due to an improved sampling of the “evolving” canonical distribution. The first extension is identical in spirit to
the multiple walkers metadynamics [394,395]. It amounts to carrying out several different MD simulations biased
by the same U(t|ξ), which evolves via:
∂U(t|ξ)
∂t=kBT
τF∑
α
Gξ−σ(rα
1,...,rα
N),
where αlabels different MD trajectories. A second extension is to gather several different MD trajectories, each
bearing its own biasing potential and, if desired, its own distinct collective variable, into a generalized ensemble
for “replica exchange” with modified “exchange” rules[396–398]. Both extensions are advantageous and lead to a
more uniform flattening of U(t|ξ) + f(ξ).
In order to assess and improve the accuracy of the free energies, the ABMDcmmmulations may need to be fol-
lowed up with equilibrium umbrella sampling runs, which make use of the biasing potential U(t|ξ)cas is. Such
a procedure is very much in the spirit of adaptive umbrella sampling. With these runs, one calculates the biased
probability density:
pB(ξ) = δ[ξ−σ(r1,...,rN)]B.
The idea here is that if, as a result of an ABMD run, f(ξ) +U(t|ξ) = 0 exactly, then the biased probability density
pB(ξ)would be flat (constant). In practice, this is typically not the case, but one can use pB(ξ)to “correct” the
free energy via:
f(ξ) = −U(ξ)−kBTln pB(ξ).
This procedure has previously been successfully used to calculate accurate free energy maps for a number of
molecules including several short peptides.
If you find any of these modules useful, we would ask you to kindly consider quoting the following pa-
per: V. Babin, C. Roland, and C. Sagui, “Adaptively biased molecular dynamics for free energy calculations”,
J. Chem. Phys. 128, 134101 (2008).
21.6.2. Reaction Coordinates
A reaction coordinate is defined in the variable section (see Fig. 21.4). This section must contain a type
keyword along with a value of type STRING and a list of integers i(the number of integers vary depending on
the variable type). For some types of reaction coordinates the variable section must also contain a list of real
numbers, r, whose length depends on the specific type.
The following reaction coordinates are currently implemented2:
2It is really easy to program another one, if desired.
382

21.6. Adaptively biased MD, steered MD, and umbrella sampling with REMD
1variable
2type = STRING
3i = (i1, i2, ..., iN)
4r = (r1, r2, ..., rM)
5end variable
Figure 21.4.: Syntax of reaction coordinate definition: type is a STRING,iis a list of integer numbers and ris a
list of real numbers.
•type = DISTANCE : distance (in Å) between two atoms whose indexes are read from the list i.
•type = LCOD : linear combination of distances (in Å) between pairs of atoms listed in iwith the coefficients
read from rlist. For example, i = (1, 2, 3, 4) and r = (1.0, -1.0) define the difference between
1-2 and 3-4 distances.
•type = ANGLE : angle (in radians) between the lines joining atoms with indexes i1 and i2 and atoms with
indexes i2 and i3.
•type = TORSION : dihedral angle (in radians) formed by atoms with indexes i1,i2,i3 and i4.
•type = COS_OF_DIHEDRAL : sum of cosines of dihedral angles formed by atoms with indexes in the list i.
The number of atoms must be a multiple of four.
•type = R_OF_GYRATION : radius of gyration (in Å) of atoms with indexes given in the ilist (mass weighted).
1variable
2type = MULTI_RMSD
3i = (1, 2, 3, 4, 0, 3, 4, 5, 0) ! the last zero is optional
4r = (1.0, 1.0, 1.0, ! group #1, atom 1
52.0, 2.0, 2.0, ! group #1, atom 2
63.0, 3.0, 3.0, ! group #1, atom 3
74.0, 4.0, 4.0, ! group #1, atom 4
823.0, 23.0, 23.0, ! group #2, atom 3
94.0, 4.0, 4.0, ! group #2, atom 4
10 5.0, 5.0, 5.0) ! group #2, atom 5
11 end variable
Figure 21.5.: An example of MULTI_RMSD variable definition.
•type = MULTI_RMSD :RMS (in Å, mass weighted) of RMSDs of several groups of atoms w.r.t. reference
positions provided in the rlist. The ilist is interpreted as a list of indexes of participating atoms. Zeros
separate the groups. An atom may enter several groups simultaneously. The rarray is expected to contain the
reference positions (without zero sentinels). The implementation uses the method (and the code) introduced
in Ref.[399]. An example of variable of this type is presented in Fig. 21.5. Two groups are defined here:
one comprises the atoms with indexes 1, 2, 3, 4 (line 3 in Fig. 21.5, numbers prior to the first zero) and
another one of atoms with indexes 3, 4, 5. The code will first compute the (mass weighted) RMSD (R1) of
atoms belonging to the first group w.r.t. reference coordinates provided in the rarray (first 12 =4×3 real
numbers of it; lines 4, 5, 6, 7 in Fig. 21.5). Next, the (mass weighted) RMSD (R2) of atoms of the second
group w.r.t. the corresponding reference coordinates (last 9 =3×3 elements of the rarray in Fig. 21.5) will
be computed. Finally, the code will compute the value of the variable as follows:
value =rM1
M1+M2R2
1+M2
M1+M2R2
2,
383

21. Free energies
where M1and M2are the total masses of atoms in the corresponding groups.
•type = N_OF_BONDS :
value =∑
p
1−rp.r06
1−rp.r012 ,
where the sum runs over pairs of atoms p,rpdenotes distance between the atoms of pair pand r0is a
parameter measured in Å. The rarray must contain exactly one element that is interpreted as r0. The i
array is expected to contain pairs of indexes of participating atoms. For example, if 1 and 2 are the indexes
of Oxygen atoms and 3, 4, 5 are the indexes of Hydrogen atoms and one intents to count all possible O-H
bonds, the ilist must be (1, 3, 1, 4, 1, 5, 2, 3, 2, 4, 2, 5), that is, it must explicitly list all the pairs to be
counted.
•type = HANDEDNESS :
value =∑
a
ua,3·[ua,1×ua,2]
|ua,1||ua,2||ua,3|,
where
ua,1=ra+1−ra
ua,2=ra+3−ra+2
ua,3= (1−w)(ra+2−ra+1) + w(ra+3−ra),
and radenote the positions of participating atoms. The iarray is supposed to contain indexes of the atoms
and the rarray may provide the value of w(0 ≤w≤1, the default is zero).
•type = N_OF_STRUCTURES :
value =∑
g
1−Rg.R0,g6
1−Rg.R0,g12 ,
where the sum runs over groups of atoms, Rgdenotes the RMSD of the group gw.r.t. some reference co-
ordinates and R0,gare positive parameters measured in Å. The iarray is expected to contain indexes of
participating atoms with zeros separating different groups. The elements of the rarray are interpreted as
the reference coordinates of the first group followed by their corresponding R0; then followed by the refer-
ence coordinates of the atoms of the second group, followed by the second R0, and so forth. To make the
presentation clearer, let us consider the example presented in Fig. 21.6. The atomic groups and reference
coordinates are the same as the ones shown in Fig. 21.5. Lines 7 and 11 in Fig. 21.6 contain additional
entries that set the values of the threshold distances R0,1and R0,2. To compute the variable, the code first
computes the mass weighted RMSD values R1and R2for both groups –much like in the MULTI_RMSD case–
and then combines those in a manner similar to that used in the N_OF_BONDS variable.
value =
1−R1.R0,16
1−R1.R0,112 +
1−R2.R0,26
1−R2.R0,212 .
In other words, the variable “counts” the number of structures that match (stay close in RMSD sense) with the
reference structures.
21.6.3. Steered Molecular Dynamics
The ncsu_smd section, if present in the MDIN file, activates the steered MD code (the method itself is extensively
described in the literature: see for example Ref.[400] and references therein). The prefix NCSU appears in several
384

21.6. Adaptively biased MD, steered MD, and umbrella sampling with REMD
1variable
2type = N_OF_STRUCTURES
3i = (1, 2, 3, 4, 0, 3, 4, 5, 0) ! the last zero is optional
4r = (1.0, 1.0, 1.0, ! group #1, atom 1
52.0, 2.0, 2.0, ! group #1, atom 2
63.0, 3.0, 3.0, ! group #1, atom 3
74.0, 4.0, 4.0, ! group #1, atom 4
81.0, ! R0 for group #1
923.0, 23.0, 23.0, ! group #2, atom 3
10 4.0, 4.0, 4.0, ! group #2, atom 4
11 5.0, 5.0, 5.0, ! group #2, atom 5
12 2.0) ! R0 for group #2
13 end variable
Figure 21.6.: An example of N_OF_STRUCTURES variable.
switches to do with steered MD: this stands for “North Carolina State University”, but can equally well signify
“Nice Collective Steering Umbrellas”.
Apart from the variable subsection(s), the following is recognized within the ncsu_smd section:
•output_file = STRING : sets the output file name.
•output_freq = INTEGER : sets the output frequency (in MD steps).
There must be at least one reaction coordinate defined within this section (that is, there must be at least one
variable subsection in the ncsu_smd section). The steered MD code requires that additional entries be present in
the variable subsections:
•path = (REAL|X, REAL|X, ..., REAL|X) : the steering path whose elements must be either real num-
bers or letter X. The latter will be substituted by the value of the reaction coordinate at the beginning of the
run. The path must include at least two elements. There is no upper limit on the number of entries. The
elements define Catmull-Rom spline used for steering.
•harm = (REAL, REAL, ..., REAL) : this variable specifies the harmonic constant. If a single number
is provided, e.g., harm = (10.0), then it is constant throughout the run. If two or more numbers are
provided, e.g., harm = (10.0, 20.0), then the harmonic constant follows Catmull-Rom spline built upon
the provided values.
An example of MDIN file for steered MD is shown in Fig. 21.7. The reaction coordinate here is the distance between
5th and 9th atoms. The spring constant is set constant throughout the run in line 14 and the steering path is
configured in line 13 (the letter Xin this context means “take the value of the variable at the beginning of the run”).
The values of the reaction coordinate, harmonic constant and the work performed on the system are requested to
be dumped to the smd.txt file every 50 MD steps. The way steering paths are constructed is controlled by the
path_mode and harm_mode keywords. In SPLINE mode (default) the path is approximated by spline that passes
through the given points; in LINES mode the path is represented by the line segments joining the control points.
21.6.4. Umbrella sampling
To activate the umbrella sampling code, the ncsu_pmd section must be present in the MDIN file. The ncsu_pmd
section must contain at least one variable subsection. Apart from variable,output_file and output_freq
entries are recognized like in the steered MD case presented earlier. For umbrella sampling, the variable section(s)
must contain two additional entries:
•anchor_position = REAL : real number that sets the position of the minimum of the umbrella (harmonic)
potential.
385

21. Free energies
1title line
2&cntrl
3...
4/
5
6ncsu_smd
7output_file = ’smd.txt’
8output_freq = 50
9
10 variable
11 type = DISTANCE
12 i = (5, 9)
13 path = (X, 3.0) path_mode = LINES
14 harm = (10.0)
15 end variable
16 end ncsu_smd
Figure 21.7.: An example MDIN file for steered MD. Only the relevant part is shown.
•anchor_strength = REAL : non-negative real number that sets the harmonic constant for the umbrella
(harmonic) potential.
An example of an MDIN file for an umbrella sampling simulation is shown in Fig. 21.8. The first reaction coor-
dinate here is the angle formed by the lines joining the 5th with 9th and 9th with 15th atoms (line 12). It is to
be harmonically restrained near 1.0 rad (line 13, anchor_position keyword) using the spring of strength 10.0
kcal/mol/rad2(line 14, anchor_strength keyword). The second reaction coordinate requested in Fig. 21.8 is a
dihedral angle (type = TORSION, line 17) formed by the 1st, 2nd, 3rd and 4th atoms (line 18, the iarray). It is
to be restrained near zero with strength 23.8 kcal/mol/rad2(lines 19, 20 in Fig. 21.8). The values of the reaction
coordinate(s) are to be dumped every 50 MD steps to the pmd.txt file.
The NCSU implementation of umbrella sampling works correctly with the Amber standard replica-exchange MD
described earlier in this manual. It assumes, however, that the number and type of reaction coordinate(s) are
the same in all replicas. On the other hand, both anchor_position and anchor_strength may be different
for different temperatures. For replica-exchange MD the output files (set by the output_name keyword on a per-
replica basis) are temperature bound (or MDIN-bound, since there is one-to-one temperature-MDIN correspondence).
21.6.5. Adaptively Biased Molecular Dynamics
The implementation has a very simple and intuitive interface: the code is activated if either an ncsu_abmd or
an ncsu_bbmd section is present in the MDIN file (the difference between those “flavors” is purely technical and
will become clear later). Unlike in the ncsu_smd and ncsu_pmd cases, the dimensionality of a reaction coordinate
(the number of variable subsections in a ncsu_abmd or ncsu_bbmd section) cannot exceed five (though three is
already hardly useful due to statistical reasons).
The following entries are recognized within the ncsu_abmd (or ncsu_bbmd) section:
•mode = ANALYSIS | UMBRELLA | FLOODING : sets the execution mode. In ANALYSIS mode the dynamics
is not altered. The only effect of this mode is that the value(s) of the reaction coordinate(s) is(are) dumped
every monitor_freq to monitor_file. In UMBRELLA mode, biasing potential from the umbrella_file is
used to bias the simulation (τF=∞, biasing potential does not change). In FLOODING mode the adaptive
biasing is enabled.
•monitor_file = STRING : sets the name of the file to which value(s) of reaction coordinate(s) (along with
the magnitude of biasing potential in FLOODING mode) are dumped.
•monitor_freq = INTEGER : the frequency of the output to the monitor_file.
386

21.6. Adaptively biased MD, steered MD, and umbrella sampling with REMD
1title line
2&cntrl
3...
4/
5
6ncsu_pmd
7output_file = ’pmd.txt’
8output_freq = 50
9
10 variable ! first
11 type = ANGLE
12 i = (5, 9, 15)
13 anchor_position = 1.0
14 anchor_strength = 10.0
15 end variable
16 variable # second
17 type = TORSION
18 i = (1, 2, 3, 4)
19 anchor_position = 0.0
20 anchor_strength = 23.8
21 end variable
22 end ncsu_pmd
Figure 21.8.: An example MDIN file for umbrella sampling (only relevant part is presented in full).
•timescale = REAL :τF, the flooding timescale in picoseconds (only required in FLOODING mode).
•umbrella_file = STRING : biasing potential file name (the file must exist for the UMBRELLA mode).
In FLOODING mode, the variable subsections of the ncsu_abmd section must also contain the following entries:
•min = REAL : smallest desired value of the reaction coordinate (required, unless the reaction coordinate is
limited from below).
•max = REAL : largest desired value of the reaction coordinate (required, unless the reaction coordinate is
limited from above).
•resolution = REAL : the “spatial” resolution for the reaction coordinate.
To access the biasing potential files created in the course of FLOODING simulations, the ncsu-umbrella-slice
utility is provided (it prints a short description of itself if invoked with --help option).
An example MDIN file for the ncsu_abmd flavor of ABMD is shown in the Fig. 21.9.
The reaction coordinate is defined in lines 17, 18 as the distance between the 5th and 9th atoms (more than one
reaction coordinates might be requested by mere inclusion of additional variable subsections). The mode is set to
FLOODING thus enabling the adaptive biasing with flooding timescale τF=100ps (line 14). The region of interest
of the reaction coordinate is specified to be between -1Åand 10Å(line 19) and the resolution is set to 0.5Å(line 20).
The lower bound (-1Å) could have been omitted for DISTANCE variable: the default value of zero would be used
in such case. The code will try to load the biasing potential from the umbrella.nc file (line 12) and use it as the
value of U(t|ξ)at the beginning of the run. The biasing potential built in the course of simulation will be saved to
the same file (umbrella.nc) every time the RESTRT file is written. The ncsu-umbrella-slice utility can then be
used to access its content. An MDIN file for the follow up biased run at equilibrium would look much like the one
shown in the Fig. 21.9, but with mode changed from FLOODING to UMBRELLA.
The ncsu_abmd code works correctly with replica-exchange (that is, for -rem flag set to 1). In such case the
monitor and umbrella files are temperature-bound (unlike, e.g., MDOUT and MDCRD files that require post processing).
If number of sander groups exceeds one (the flag -ng is greater than one) and -rem flag is set to zero, the code runs
multiple walkers ABMD. In both cases the number and type(s) of variable(s) must be the same across all replicas.
387

21. Free energies
1title line
2&cntrl
3...
4/
5
6ncsu_abmd
7mode = FLOODING
8
9monitor_file = ’abmd.txt’
10 monitor_freq = 33
11
12 umbrella_file = ’umbrella.nc’
13
14 timescale = 100.0 ! in ps
15
16 variable
17 type = DISTANCE
18 i = (5, 9)
19 min = -1.0 max = 10.0 ! min is not needed for DISTANCE
20 resolution = 0.5 ! required for mode = FLOODING
21 end variable
22 end ncsu_abmd
Figure 21.9.: An example MDIN file for ABMD (only the relevant part is presented in full).
Finally, the ncsu_bbmd flavor allows one to run replica-exchange (AB)MD with different reaction coordinates
and different modes (ANALYSIS,UMBRELLA or FLOODING) in different replicas (along with different temperatures,
if desired). To this end, the -rem flag must be set to zero and the ncsu_bbmd sections must be present in all
MDIN files. The MDIN file for the replica of rank zero (first line in the group file) is expected to contain additional
information as compared to ncsu_abmd case (an example of such MDIN file for replica zero is shown in Fig. 21.10).
The MDIN files for all other replicas except zero do not need any additional information, and therefore take the same
form as in the ncsu_abmd flavor (except that the section name is changed from ncsu_abmd to ncsu_bbmd, thus
activating a slightly different code path). Each MDIN file may define its own reaction coordinates, have different
mode and temperature if desired.
Within the first replica ncsu_bbmd section the following additional entries are recognized:
•exchange_freq = INTEGER : number of MD steps between the exchange attempts.
•exchange_log_file = STRING : the name of the file to which exchange statistics is to be reported.
•exchange_log_freq = INTEGER : frequency of exchange_log_file updates.
•mt19937_seed = INTEGER : seed for the random generator (Mersenne twister [401]).
•mt19937_file = STRING : the name of the file to which the state of the Mersenne twister is dumped peri-
odically (for restarts).
The MDOUT,MDCRD,RESTRT,umbrella_file and monitor_file files are MDIN-bound in course of the ncsu_bbmd-
enabled run. An example that uses this kind of replica exchange is presented in Ref.402.
21.7. Steered Molecular Dynamics (SMD) and the Jarzynski Relationship
21.7.1. Background
SMD applies an external force onto a physical system, and drives a change in coordinates within a certain time.
Several applications have come from Klaus Schulten’s group.[403] An implementation where the coordinate in
388

21.7. Steered Molecular Dynamics (SMD) and the Jarzynski Relationship
1title line
2&cntrl
3...
4/
5
6ncsu_bbmd
7
8! 0th replica only
9
10 exchange_freq = 100 ! try for exchange every 100 steps
11
12 exchange_log_file = ’bbmd.log’
13 exchange_log_freq = 25
14
15 mt19937seed = 123455 ! random generator seed
16 mt19937file = ’mt19937.nc’ ! file to store/load the PRG
17
18 ! not specific for 0th replica
19
20 mode = ANALYSIS
21
22 monitorfile = ’bbmd.01.txt’ ! it is wise to have different
23 ! names in different replicas
24 monitor_freq = 123
25
26 variable
27 type = DISTANCE
28 i = (5, 9)
29 end variable
30 end ncsu_bbmd
Figure 21.10.: An example MDIN file for ncsu_bbmd flavor of ABMD (only the relevant part is presented in full).
question changes in time at constant velocity is coded in this version of Amber. The present implementation
has been done by the group of Prof. Dario Estrin in Buenos Aires <dario@q1.fcen.uba.ar>by Marcelo Marti
<marcelomarti@yahoo.com>and Alejandro Crespo <alec@qi.fcen.uba.ar>, and in the group of Prof. Adrian
Roitberg at the University of Florida <roitberg@ufl.edu>.[404]
The method should be thought of as an umbrella sampling where the center of the restraint is time-dependent as
in:
Vrest(t) = (1/2)k[x−x0(t)]2
where xcould be a distance, an angle, or a torsion between atoms or groups of atoms.
This methodology can be used then to drive a physical process such as ion diffusion, conformational changes and
many other applications. By integrating the force over time (or distance), a generalized work can be computed.
This work can be used to compute free energy differences using the so-called Jarzynski relationship.[405–407]
This method states that the free energy difference between two states A and B (differing in their values of the
generalized coordinate x) can be calculated as
exp(−∆G/kBT) = hexp(−W/kBT)iA(21.14)
This means that by computing the work between the two states in question, and averaging over the initial state,
equilibrium free energies can be extracted from non-equilibrium calculations. In order to make use of this feature,
SMD calculations should be done, with different starting coordinates taken from equilibrium simulations. This can
389

21. Free energies
be done by running sander multiple times, or by running multisander (Section 17.11). There are examples of the
various modes of action under the test/jar directories in the Amber distribution.
21.7.2. Implementation and usage
To set up a SMD run, set the jar variable in the &cntrl namelist to 1. The change in coordinates is performed
from a starting to an end value in nstlim steps.
To specify the type and conditions of the restraint an additional ".RST" file is used as in nmropt=1. (Note that
jar=1 internally sets nmropt=1.) The restraint file is similar to that of NMR restraints (see Section 23.1), but
fewer parameters are required. For instance, the following RST file could be used:
# Change distance between atoms 485 and 134 from 15 A to 20 A
&rst iat=485,134, r2=15., rk2 = 5000., r2a=20. /
Note that only r2,r2aand rk2 are required; rk3 and r3 are set equal to these so that the harmonic restraint is always
symmetric, and r1 and r4 are internally set so that the restrain is always operative. An SMD run changing an angle,
would use three iat entries, and one changing a torsion needs four. As in the case of NMR restraints, group inputs
can also be used, using iat<0and defining the corresponding groups using the igr flag.
The output file differs substantially from that used in the case of nmr restraints. It contains 4 columns: x0(t),x,
force, work. Here work is computed as the integrated force over distances (or angle, or torsion). These files can be
used for later processing in order to obtain the free energy along the selected reaction coordinate using Jarzynski’s
equality.
Example
The following example changes the distance between two atoms along 1000 steps:
Sample pulling input
&cntrl
nstlim=1000, cut=99.0, igb=1, saltcon=0.1,
ntpr=100, ntwr=100000, ntt=3, gamma_ln=5.0,
ntx=5, irest=1, ig = 256251,
ntc=2, ntf=2, tol=0.000001,
dt=0.002, ntb=0, tempi=300., temp0=300.,
jar=1,
/
&wt type=’DUMPFREQ’, istep1=1, /
&wt type=’END’, /
DISANG=dist.RST
DUMPAVE=dist_vs_t
LISTIN=POUT
LISTOUT=POUT
Note that the flag jar is set to 1, and redirections to the dist.RST file are given. In this example the values in the
output file dist_vs_t are written every istep=1 steps.
The restraint file dist.RST in this example is:
# Change distance between atoms 485 and 134 from 15 A to 20.0 A
&rst iat=485,134, r2=15., rk2 = 5000., r2a=20.0, /
and the output dist_vs_t file might contain:
15.00000 15.12396 -1239.55482 0.00000
15.00500 14.75768 2470.68119 3.07782
15.01000 15.13490 -1246.46571 6.13835
15.01500 15.15041 -1350.03026 -0.35289
15.02000 14.77085 2481.56731 2.47596
15.02500 15.12423 -987.34073 6.21152
15.03000 15.18296 -1520.41603 -0.05787
390
21.7. Steered Molecular Dynamics (SMD) and the Jarzynski Relationship
15.03500 14.79016 2431.22399 2.21915
.......
19.97000 19.89329 4.60255 67.01305
19.97500 19.87926 4.78696 67.03652
19.98000 19.86629 4.54839 67.05986
19.98500 19.85980 3.75589 67.08062
19.99000 19.86077 2.58457 67.09647
19.99500 19.86732 1.27678 67.10612
In this example, the work of pulling from 15.0 to 20.0 (over 2 ps) was 67.1 kcal/mol. One would need to repeat
this calculation many times, starting from different snapshots from an equilibrium trajectory constrained at the
initial distance value. This could be done with a long MD or a REMD simulation, and postprocessing with ptraj
to extract snapshots. Once the work is computed, it should be averaged using Eq. 21.14 to get the final estimate of
the free energy difference. The number of simulations, the strenght of the constraint, and the rate of change are all
important factors. The user should read the appropriate literature before using this method. It is recommended that
the width of the work distribution do not exceed 5-10% for faster convergence. In many cases, umbrella sampling
(see Section 21.4) may be a better way to estimate the free energy of a conformational change.
391
22. Constant pH calculations
A constant pH molecular dynamics method was developed by John Mongan for simulations run with the Gener-
alized Born implicit solvent model [408] and Jason Swails for simulations with explicit solvent. [409] Using either
constant pH method requires minor modifications to the process of generating the prmtop file and also requires a
second input file describing the titrating residues.
22.1. Background
Traditionally, molecular dynamics simulations have employed constant protonation states for titratable residues.
This approach has many drawbacks. First, assigning protonation states requires knowledge of pKa values for
the protein’s titratable groups. Second, if any of these pKa values are near the solvent pH there may be no single
protonation state that adequately represents the ensemble of protonation states appropriate at that pH. Finally, since
protonation states are constant, this approach decouples the dynamic dependence of pKa and protonation state on
conformation.
The constant pH method implemented in sander and pmemd addresses these issues through Monte Carlo sam-
pling of the Boltzmann distribution of protonation states concurrent with the molecular dynamics simulation. The
protonation state distribution is affected by solvent pH, which is set as an external parameter. Residue protonation
states are changed by changing the partial charges on the atoms of the protonable residue.
22.2. Preparing a system for constant pH
Amber provides definitions for titrating side chains of ASP, GLU, HIS, LYS, TYR, and CYS. See below if you
need other titrating groups.
Begin by preparing your PDB file as you normally would for use with LEaP. Edit the PDB file, replacing all
histidine residue names (HIS, HID, or HIE) with HIP. Change all ASP and ASH to AS4 and all GLU and GLH
to GL4. The others—LYS, TYR, and CYS—have the same name. This ensures that the prmtop file will have a
hydrogen defined at every possible point of protonation. Note that these changes should only be applied to residues
that you wish to titrate.
Run LEaP with the leaprc.constph command file. This file loads all parameters that were used for the reference
compounds. You can load this file with the following command:
source leaprc.constph
This loads the ff12SB force field. In addition, it loads the special carboxylate residue libraries and force field
modifications—constph.lib and frcmod.constph—that defines a hydrogen atom at each protonable location (syn-
and anti- for both oxygens) along with improper torsions to prevent them from rotating into each other. It also sets
the GB solvation radii (PBradii) to mbondi2, which was the set used to parameterize the reference compounds.
Now load your edited PDB file and proceed as usual to create the prmtop and prmcrd files. Changing any of the
above parameters should be closely checked by titrating the reference compounds and ensuring the predicted pKa
matches.
Once you have the prmtop file, you need to generate a cpin file. The cpin file describes which residues should
titrate, and defines the possible protonation states and their relative energies. A python script, cpinutil.py, is
provided to generate this file. It takes a prmtop file as input, on the command line along with the GB model you
wish to evaluate protonation transitions in, and writes the cpin file to STDOUT. Here is an example of generating
the cpin file from your prmtop file, ’prmtop’ using the igb=2 GB model:
cpinutil.py -p prmtop -igb 2 > cpin
393
22. Constant pH calculations
The cpinutil.py program accepts a number of flags that modify its behavior. By default, all residues start in
protonation state 0: deprotonated for ASP and GLU, protonated for LYS, TYR, and CYS, and doubly protonated
for HIS (i.e. HIP). Initial protonation states can be specified using the -states flag followed by a comma and/or
whitespace-delimited list of initial protonation states (see below for more about protonation state definitions) as
follows:
cpinutil.py -p prmtop -igb 2 -states 1 3 0 0 0 1 >cpin
Note that if a list of states is provided, it must match exactly the number of residues that cpinutil has found to
titrate based on the restrictions put on the command line. The -system flag can be used to provide a name for the
titrating system. This is purely cosmetic and has no effect on your simulations.
cpinutil.py -p prmtop -igb 2 -system HEWL > cpin
A number of flags are available for filtering which residues are included in the cpin file. All residues in the cpin
file, and only the residues in the cpin file, will be titrated. In general it is safe to exclude TYR and LYS for acidic
simulations and GL4 and AS4 for basic simulations. HIP should be included in all except very acidic simulations.
Note that there is currently no support for titrating N or C terminal residues. If you have an N or C terminal residue
with a titratable sidechain, you should explicitly exclude it from the cpin file. The -resnum flag may be used to
specify which residue numbers should be retained; all others are deleted. Conversely, the -notresnum flag can be
used to specify which residue numbers are deleted; all others are retained. Residue number refers to the numbering
in the PDB file, not the index number among titrating residues. Similarly, -resname and -notresname can be
used to filter by residue type. For instance, -notresname TYR,LYS would eliminate basic residues from the cpin
file. The -minpKa and -maxpKa flags can be used to filter out residues whose reference pKas do not satisfy that
criteria. For example, -minpKa 5.0 will exclude all AS4 and GL4 residues from titrating.
You can get a full list of all available titratable residues using the --list argument to cpinutil.py, and you can
get a full description of reference energies and charge vectors for any residue using the --describe argument.
The full usage statement for cpinutil.py (accessible via -h/--help) is shown on the next page.
394
22.3. Running at constant pH
usage: cpinutil.py [Options]
optional arguments:
-h, --help show this help message and exit
-v, --version show program’s version number and exit
-d, --debug Enable verbose tracebacks to debug this program
Output files:
-o FILE, --output FILE
Output file. Defaults to standard output
-op FILE, --output-prmtop FILE
For explicit solvent simulations, a custom set of
radii are necessary to obtain reasonable results for
carboxylate pKas (e.g., AS4 and GL4 residues). If
specified, this file will be the prmtop compatible
with the reference energies in the printed cpin file.
Required Arguments:
-p FILE Topology file to be used in constant pH simulation
Simulation Options:
-igb IGB Generalized Born model which you intend to use to
evaluate dynamics (or protonation state swaps).
Default is 2.
Residue Selection Options:
-resnames [RES [RES ...]]
Residue names to include in CPIN file
-notresnames [RES [RES ...]]
Residue names to exclude from CPIN file
-resnums [NUM [NUM ...]]
Residue numbers to include in CPIN file
-notresnums [NUM [NUM ...]]
Residue numbers to exclude from CPIN file
-minpKa pKa Minimum reference pKa to include in CPIN file
-maxpKa pKa Maximum reference pKa to include in CPIN file
System Information:
-states [NUM [NUM ...]]
List of default states to assign to titratable
residues
-system <system name>
Name of system to titrate. No effect on simulation.
Residue Information:
If any options here are used, no CPIN file will be written. These
arguments take precedence and are mutually exclusive with each other.
--describe [RESNAME [RESNAME ...]]
Print out the details of given residues
-l, --list List all titratable residues
This program will read a topology file and generate a cpin file for constant
pH simulations with sander
22.3. Running at constant pH
22.3.1. Running at constant pH in implicit solvent
Running constant pH simulations in either sander or pmemd has few differences from normal operation. In the
mdin file, you must set icnstph=1 to turn on constant pH in implicit solvent. solvph is used to set the solvent pH
395
22. Constant pH calculations
value. You must also specify the period for Monte Carlo steps, ntcnstph (the number of steps between protonation
state change attempts). Note that only one residue is examined on each step, so you should decrease the step period
as the number of titrating residues increases to maintain a constant effective step period for each residue. We have
seen good results with fairly short periods, in the neighborhood of 100 fs effective period for each residue (e.g.
ntcnstph=5, dt=0.002 with about 10 residues titrating).
Constant pH MD techniques employ a reference (model) compound to compute relative free energy differences
between the various protonation states through a thermodynamic cycle (see Figure 22.1). The free energy of the
protonation state change in the model compound that is necessary to yield the correct pKais pre-computed for
each protonation state change. This so-called reference energy is printed to the cpin file by cpinutil.py. In order
to obtain sensible results, you must run your simulations with the same potential energy function for your system
that was used to derive these reference energies (or alternatively rederive the reference energies with the potential
you wish to use).
The reference energies were derived using the following parameters:
cut=30.0, igb=#, saltcon=0.1, nrespa=1,
temp0=300.0, ntc=2, ntf=2
where # is the value passed to the cpinutil.py program. In particular, care should be taken when modifying the
igb,saltcon,nrespa, or temp0 parameters (nrespa should never be changed). The cutoff, 30 , is effectively infinite
for the (very small) model compounds, so using any reasonable cutoff—including an infinite cutoff—is valid. The
ff99SB force field was used to parametrize the model compounds. Using other force fields should be validated
before you run simulations. If the charge scheme is the same as ff99SB (e.g., ff14SB), chances are good that the
reference energies will still be valid. Other force fields (e.g., ff03 and ff13) that have different charge definitions
require recalculating the reference energies.
The model compounds have the sequence ACE-X-NME, where ACE is a neutral acetyl capping group, X is the
titratable residue, and NME is a neutral methylamine capping group. Both ACE and NME are provided in the
standard Amber residue libraries.
Some additional command line flags have been added to sander to support constant pH operation. The cpin
file must be specified using the -cpin option. Additionally, a history of the protonation states sampled is written
to the filename specified by -cpout. Finally, a constant pH restart file is written to the filename specified by -
cprestrt. This is used to ensure that titrating residues retain the same protonation state when the simulation is
restarted. The constant pH restart file is a cpin-format file, and should be used as the cpin file when restarting the
simulation. It will generally be longer than the original cpin file, as it contains some amount of zeroed data. The
only difference between the cprestrt file created at the end of a simulation and the cpin file used to start it will be
the RESSTATES array. Note that due to compiler-dependence of the namelist implementation, cprestrt files may
differ from computer to computer.
396

22.3. Running at constant pH
Figure 22.1.: Thermodynamic cycle used in CpHMD simulations. The energy difference between the two proto-
nation states computed by sander is equal to the difference ∆G1−∆G2and ∆GMC =∆G2−∆G1−
∆Gre f erence is used to evaluate the Metropolis Monte Carlo criteria for the proposed change in pro-
tonation state(s).
22.3.2. Running at constant pH in explicit solvent
The hybrid molecular dynamics/Monte Carlo technique used in the implicit solvent calculations will not work in
explicit solvent because all protonation state changes will be opposed by the solvent orientation around the existing
protonation states. To work around this limitation while allowing MD to be propagated in explicit solvent, protona-
tion state changes are still attempted using a Generalized Born implicit solvent model. [409] The workflow, shown
in Figure 22.2, involves running MD for ntcnstph steps, stripping the solvent and ions, attempting protonation
state changes for each titratable residue in random order, and restoring the solvent for running solvent relaxation
dynamics if any protonation states have changed before resuming MD.
The modifications needed to run explicit solvent simulations at constant pH are similar to the modifications
needed to run implicit solvent simulations at constant pH, with some small differences highlighted here. We
found that the existing GB radii defined for carboxylate oxygens is too large for the titratable residues AS4 and
GL4. The reason is that the 4 hydrogen atoms in the carboxylate groups are all assigned an intrinsic solvent radius
that contributes significantly to the effective radii of the carboxylate oxygens. To compensate, the intrinsic GB
radii of AS4 and GL4 carboxylate oxygens must be reduced such that the effective radius is closer to the
carboxylate oxygen atoms of an ASP or GLU residue. The cpinutil.py script that generates the cpin file has been
modified to make the necessary changes to the topology file (which can be written with the new “-op” flag that
was added for this purpose). An example command-line used to set up a constant pH simulation in explicit
solvent for carboxylates is:
cpinutil.py -igb 2 -resnames AS4 GL4 -p <tleap_prmtop> \
397
22. Constant pH calculations
-op <new_radii_prmtop>
In the above command, new_radii_prmtop is generated and must be used for constant pH simulations. In addition
to the modified topology file you need for CpHMD in explicit solvent, there is an additional parameter, ntrelax,
that defines the number of solvent relaxation steps that will be performed following successful protonation state
changes. In general, we’ve found that while ca. 4 ps is required to generate a truly relaxed solvent distribution,
200 fs is sufficient to account for the bulk of the solvent relaxation.
Another difference with respect to implicit CpHMD simulations is that a protonation state change attempt is
carried out for each residue in random order. This is done to allow protonation state change attempts to be done
far less frequently to limit the amount of MD time that is consumed by the solvent relaxation dynamics. The
following input variables should be used in your sander or pmemd input file.
icnstph=2, ntcnstph=100, ntrelax=200,
solvph=6.4, saltcon=0.1, temp0=300.0,
ntc=2, ntf=2
Notice that the value of icnstph is 2, which indicates that CpHMD should be run in explicit solvent. The ntrelax
flag will run solvent relaxation dynamics (in which the non-solvent is held fixed) for 200 steps. The saltcon
variable controls the salt concentration for the GB calculations. It has no effect on the dynamics, but is required
for consistency with the reference energy of the model compound.
22.4. Analyzing constant pH simulations
As the simulation progresses, the protonation states that are sampled are written to the cpout file. A section of a
cpout file is included here:
Solvent pH: 2.00000
Monte Carlo step size: 2
Time step: 0
Time: 0.000
Residue 0 State: 1
Residue 1 State: 0
Residue 2 State: 1
Residue 3 State: 0
Residue 4 State: 1
Residue 5 State: 0
Residue 2 State: 0
Residue 4 State: 0
Residue 0 State: 3
Residue 1 State: 0
Residue 0 State: 0
One record is written on each Monte Carlo step. Each record is terminated by a blank line. There are two types
of records, full records and delta records. Full records, like the one shown above, lists the solvent pH, MC step
size, current time step, and current time before listing every residue in the system. Full records are written on the
first step and every ntwx steps afterwards so as to coincide with the frames written to the trajectory. Delta records
list only those residues that were titrated (single or double lines for implicit solvent or a list of every residue for
explicit solvent). Note that in some cases, the protonation state for a delta record may be the same as that in an
earlier record: this indicates that the Monte Carlo protonation move was rejected for that residue. The residue
numbers in cpout are indices over the titrating residues included in the cpin file; cpout files must be analyzed in
conjunction with the cpin to map these indices back to the original system.
The Perl script calcpka.pl is provided in $AMBERHOME/AmberTools/src/etc as an example parser for the cpout
format used for calculating predicted pKavalues from cpout files. The cphstats program was written to replace
calcpka.pl. Its usage is described in Section 22.7.
398

22.4. Analyzing constant pH simulations
Figure 22.2.: Workflow for constant pH MD simulations in explicit solvent.
399
22. Constant pH calculations
22.5. Extending constant pH to additional titratable groups
There are two major components to defining a new titrating group for constant pH. First you must define the
partial charges for each atom in the residue for each protonation state. Then you must set the relative energies of
each state.
Defining charge sets
Partial charges are most easily calculated using Antechamber and Gaussian. You must set up a model to cal-
culate charges for each protonation state. If the titrating group you are defining is a polymer subunit (e.g. amino
acid residue), you must adjust the charges on atoms that have bonded interactions (including 1-4) with atoms in
neighboring residues. The charges on these atoms must be changed so they are constant across all protonation
states - otherwise relative energies of protonation states become sequence dependent.cmmr an amino acid, this
means that all backbone atoms must have constant charges. For the residues defined here, we arbitrarily selected
the backbone charges of the protonated state to be used across all protonation states. The total charge difference
between states should remain 1; we achieved this by adjusting the charge on the beta carbon.
Calculating relative energies
Relative energies are used to calibrate the method such that when a model compound is titrated at pH equal to
its pKa, the energies (and thus populations) of the protonated and deprotonated states are equal.calcpkamalenergies
of the different protonation states are calculated using thermodynamic integration of a model compound between
the charge sets defined for the different protonation states. The model compound should be a small molecule
that mimics the bonded environment of the titratable group of interest, and for which experimental pK a data are
available. For instance, the model compound for an amino acid X is generally ACE-X-NME; the model compound
for a ligand might be the free ligand. The thermodynamic integration calculations must be performed using exactly
the same parameters and force field as you plan to use in your constant pH simulations. Once the relative energies
of the states are calculated by thermodynamic integration, the energy difference must be adjusted to account for
the pKa : the energy of the more protonated states should be increased by pKaRT ln(10).
For example suppose one were developing a model for an artificial amino acid, ART, with pK a 3.5 and two
protonation states: ARP, having one proton and ARD having zero protons. After calculating partial charges as
above, you would construct a model compound having the sequence ACE-ARP-NME and generate a prmtop file
where the ARP charges were perturbed to the ARD values (this can be done using the ParmEd program bundled
with AmberTools). You would then use sander to perform thermodynamic integration between ARP and ARD.
Suppose that this showed that the energy of ARD relative to ARP was -6.3 kcal/mol. You would assign a relative
energy of -6.3 to ARD and a relative energy of 3.5RTln(10) to ARP.
Testing the titratable group definitions
Prior to large scale use of your new titratable group definition, it’s a good idea to test it by performing a
constant pH simulation on your model compound, with pH set to the model pKa. Doing this requires generation
of a cpin file, so this is a good time to define your titratable residue to to cpinutil.py. These definitions are found
in $AMBERHOME/AmberTools/src/etc/cpinutils/residues.py. The residue name must be added to the list
titratable_residues at the top of the file. Add your residue definition to the bottom of the file, following the
examples of the other residues (and make sure to execute the “check” function on that residue at the end as a way
of checking your input. It is also a good idea to use cpinutil.py with --describe to check that the charge vectors
match what you meant to input—the output format using --describe is much easier to check than the input in
residues.py. The definition of CYS is shown below as an example.
# Cysteine
refene1 = _ReferenceEnergy(igb2=77.4666763, igb5=76.2588331, igb8=71.5804519)
refene1.solvent_energies(igb2=77.6041407, igb5=76.2827217)
refene1.set_pKa(8.5, deprotonated=False)
400
22.6. Constant pH MD Replica Exchange
refene2 = _ReferenceEnergy(igb2=0, igb5=0, igb8=0)
refene2.solvent_energies()
CYS = TitratableResidue(’CYS’, [’N’, ’H’, ’CA’, ’HA’, ’CB’, ’HB2’, ’HB3’, ’SG’,
’HG’, ’C’, ’O’], pka=8.5)
CYS.add_state(protcnt=1, refene=refene1, # protonated
charges=[-0.4157, 0.2719, 0.0213, 0.1124, -0.1231, 0.1112, 0.1112,
-0.3119, 0.1933, 0.5973, -0.5679])
CYS.add_state(protcnt=0, refene=refene2, # deprotonated
charges=[-0.4157, 0.2719, 0.0213, 0.1124, -0.3593, 0.1122, 0.1122,
-0.8844, 0.0, 0.5973, -0.5679])
CYS.check()
Reference energies are those calculated from TI (and adjusted if necessary to reproduce experimental pKas). The
reference energies should be calculated for all GB models you plan to support. For all but one of the states, set
the pKaof the residue so that the reference energy is properly adjusted to the given pKa. If the state to which
you are applying that reference energy is protonated, then set deprotonated=False, as shown above. Otherwise, set
deprotonated=True.
You should always titrate your model compound to make sure that calculated pKas for the model compound
match experiment. The TI values are typically sufficient, but some residues may require adjustments.
22.6. Constant pH MD Replica Exchange
Running constant pH replica exchange simulations can be performed in either implicit or explicit solvent. There
is no difference in the replica exchange setup between running in implicit or explicit solvent. This method is
described in Section 21.5.6 above. We have found that pH-REMD dramatically improves protonation state and
conformational state sampling, so we suggest using it whenever possible.
22.7. cphstats
The cphstats command-line program was written by Jason Swails to compute protonation state statistics from
constant pH simulations (in both implicit and explicit solvent). Written in C++, it is between one and two orders
of magnitude faster than the original calcpka.pl script written in Perl and roughly twice as fast as the calcpka
program written in Fortran 90. You can access a list and description of all available command-line flags using the
--help flag, whose output is shown below.
Usage: cphstats [-O] [-V] [-h] [-i <cpin>] [-t] [-o FILE] [-R FILE -r INT]
[--chunk INT --chunk-out FILE] [--cumulative --cumulative-out FILE]
[-v INT] [-n INT] [-p|-d] [--calcpka|--no-calcpka] [--fix-remd]
[--population FILE] [-c CONDITION -c CONDITION -c ...]
[--conditional-output FILE] [--chunk-conditional FILE]
cpout1 [cpout2 [cpout3 ...] ]
General Options:
-h, --help Print this help and exit.
-V, --version Print the version number and exit.
-O, --overwrite
Allow existing outputs to be overwritten.
--debug Print out information about the files that are
being read in and used for the calculations.
--expert I will consider you an expert user and NOT warn
you if you try to compute statistics from REMD-based
files before using --fix-remd [NOT default behavior]
--novice I will warn you if you try to use REMD-based files
to compute statistics. [Default behavior]
Input Files and Options:
401
22. Constant pH calculations
-i FILE, --cpin FILE
Input cpin file (from sander) with titrating residue
information.
-t FLOAT, --time-step FLOAT
This is the time step in ps you used in your simulations.
It will be used to print data as a function of time.
Default is 2 fs (0.002)
Output Files:
-o FILE, --calcpka-output FILE
File to which the standard ‘calcpka’-type statistics
are written. Default is stdout
-R FILE, --running-avg-out FILE
Output file where the running averages of time series
data for each residue is printed (see [Output Options]
below for details). Default is [running_avgs.dat]
--chunk-out FILE
Output file where the time series data calculated
over chunks of the simulation are printed (see
[Output Options] below for details).
Default is [chunk.dat]
--cumulative-out FILE
Output file where the cumulative time series data
is printed (see [Output Options] below for details).
Default is [cumulative.dat]
--population FILE
Output file where protonation state populations are
printed for every state of every residue.
--conditional-output FILE
Output file with requested conditional probabilities.
Default is [conditional_prob.dat].
--chunk-conditional FILE
Prints a time series of the conditional probabilities over
a trajectory split up into chunks.
Output Options:
These options modify how the output files will appear
-v INT, --verbose INT
Controls how much information is printed to the
calcpka-style output file. Options are:
(0) Just print fraction protonated. [Default]
(1) Print everything calcpka prints.
-n INT, --interval INT
An interval between which to print out time series data
like ‘chunks’, ‘cumulative’ data, and running averages.
It is also used as the ’window’ of the conditional
probability time series (--chunk-conditional).
Default [1000]
-p, --protonated
Print out protonation fraction instead of deprotonation
fraction in time series data (Default behavior).
-d, --deprotonated
Print out deprotonation fraction instead of protonation
fraction in time series data.
-a, --pKa Print predicted pKas (via Henderson-Hasselbalch) in place
of fraction (de)protonated. NOT default behavior.
Analysis Options:
These options control which analyses are done. By default, only
the original, calcpka-style analysis is done.
402
22.7. cphstats
--calcpka Triggers the calcpka-style output [On by default]
--no-calcpka Turns off the calcpka-style output
-r WINDOW, --running-avg WINDOW
Defines a window size for a moving, running average
time series. <WINDOW> is the number of MD steps (NOT
the number of MC exchange attempts).
--chunk WINDOW
Computes the time series data over a chunk of the
simulation of size <WINDOW> time steps. See above for
details.
--cumulative Computes the cumulative average time series data (see above
for options) over the course of the trajectory.
--fix-remd PREFIX
This option will trigger cphstats to reassemble the
titration data into pH-specific ensembles. This
is an exclusive mode of the program---no other
analyses will be done.
-c CONDITIONAL, --conditional CONDITIONAL
Evaluates conditional probabilities. CONDITIONAL should be a
string of the format:
<resid>:<state>,<resid>:<state>,...
or
<resid>:PROT,<resid>:DEPROT,...
or
<resid>:<state1>;<state2>,<resid>:PROT,...
Where <resid> is the residue number in the prmtop (NOT the
cpin) and <state> is either the state number or (p)rotonated
or (d)eprotonated, case-insensitive
This program analyzes constant pH output files (cpout) from Amber.
These output files can be compressed using gzip compression. The
compression will be detected automatically by the file name extension.
You must have the gzip headers for this functionality to work.
22.7.1. Standard statistics
The standard output of cphstats is the same as that for the calcpka and calcpka.pl programs that came
before. An example from a protein with 10 titratable residues is shown below.
Solvent pH is 4.000
GL4 7 : Offset -0.448 Pred 3.552 Frac Prot 0.263 Transitions 91163
HIP 15 : Offset 2.036 Pred 6.036 Frac Prot 0.991 Transitions 6194
AS4 18 : Offset -1.063 Pred 2.937 Frac Prot 0.080 Transitions 41490
GL4 35 : Offset 2.113 Pred 6.113 Frac Prot 0.992 Transitions 5458
AS4 48 : Offset -1.365 Pred 2.635 Frac Prot 0.041 Transitions 17596
AS4 52 : Offset -1.123 Pred 2.877 Frac Prot 0.070 Transitions 25306
AS4 66 : Offset -1.689 Pred 2.311 Frac Prot 0.020 Transitions 7334
AS4 87 : Offset -1.757 Pred 2.243 Frac Prot 0.017 Transitions 8976
AS4 101 : Offset 0.342 Pred 4.342 Frac Prot 0.687 Transitions 105377
AS4 119 : Offset -1.894 Pred 2.106 Frac Prot 0.013 Transitions 6700
Average total molecular protonation: 4.174
The external pH that was set in sander or pmemd is shown at the top, followed by each of the residues with their
name and number as they appear in the topology file. The computed pKavalues printed by cphstats are computed
by fitting to the Hendersen-Hasselbalch equation (Eq. 22.1). The values printed in the standard output are defined
below:
Offset Difference in pK units that the predicted pKais from the solvent pH.
403

22. Constant pH calculations
Pred The predicted pKacomputed from the fraction protonated and the pH in Eq. 22.1.
Frac Prot The total fraction of the simulation that the residue spent in its ‘protonated’ form.
Transitions The number of times that the total number of ‘active’ protons on the titratable residue changed fol-
lowing a protonation state change attempt. This does not count when the protonation state changed between
two tautomers or protomers with the same number of protons. For instance, the switching from the HID
to the HIE tautomers of histidine does not count. Nor does switching from the syn-O1-protonated to the
syn-O2-protonated forms of any carboxylate residues.
pKa=pH −log1−fp
fp(22.1)
In Eq. 22.1,fpis the total fraction protonated for a given residue. A more rigorous way of computing the pKa
of a titratable residue is to fit Eq. 22.2—the Hill equation—to the pHs and protonation fractions collected over
a full titration curve to compute the best-fit values of the Hill coefficient (n) and computed pKa. This requires
post-processing the output from cphstats with your own script or program.
fd=1−fp=1
1+10n(pKa−pH)(22.2)
Example You can analyze as many cpout files as you would like, provided that each cpout file was generated
from a simulation run at the same pH as the others. For pH-REMD simulations, a pre-processing stage is initially
required, as described in a section 22.7.5. You can direct cphstats to print the output to a file with the -o flag or
have it printed to the screen (stdout) by default. You must provide a cpin file with the -i flag to calculate any
protonation state statistics.
cphstats -i cpin pH_4.md1.cpout pH_4.md2.cpout pH_4.md3.cpout \
-o pH_4.dat
22.7.2. Cumulative, running, and “chunk” averages
These options provide a way of monitoring how the ensemble of protonation states evolve during the course of
a simulation. Because MD yields insights into the dynamical behavior of molecules, it’s often advantageous to
monitor the evolution of the protonation state fractions with geometric measurements of the system coordinates.
Each option—cumulative, running, and “chunk” averages—can be output as a time series of fraction protonated,
fraction deprotonated, or predicted pKausing the -p,-d, and -a flags, respectively. The details of calculating
each of these properties is described in the next sections. The output is printed to a file in the following format:
#Time step GL4 7 HIP 15 AS4 18 GL4 35 Total Avg. Prot.
1000 0.30693 0.99505 0.00000 0.99505 3.900498
2000 0.24378 0.99751 0.00000 0.99751 3.962594
3000 0.23754 0.99834 0.05150 0.99834 4.014975
...
The final column is always the total average protonation (note, a protonated histidine counts as ‘2’ protons and a
protonated lysine counts as ‘3’, so only differences in total protonation fraction are meaningful). The time step
corresponds to the actual MD time step, not the interval between protonation state changes.
Cumulative averages
A cumulative average is a time series whose values at time tare calculated according to
hAit=Rt
0A(t)dt
t
such that it represents the average value from time 0 to t. The final average should match the output printed in
the standard statistics output of the previous section, which is an average over the entire ensemble. Cumulative
404

22.7. cphstats
averages can be misleading, however, as hAitchanges rapidly when tis small and very slowly as tbecomes large.
It can give the impression that a property is converging to a particular value when in fact that property is fluctuating
a lot.
Example To compute a cumulative average, you must use the --cumulative flag to indicate you wish to
compute this value. You can control how frequently this quantity is sampled by setting the interval, in MD time
steps (not protonation state change attempts), using the -n flag. The default interval is to print values every 1000
time steps. The longer your simulation is, the less frequently you have to sample points. Data is written to the file
cumulative.dat unless a different name is provided with the --cumulative-out flag. An example usage is:
cphstats -i cpin pH_4.md1.cpout pH_4.md2.cpout pH_4.md3.cpout -n 10000 -p \
--no-calcpka --cumulative --cumulative-out pH_4_cumulative.dat
The --no-calcpka flag prevents the standard statistics (previous section) from being computed and printed. The
cumulative protonated fraction will be printed to the file pH_4_cumulative.dat with values dumped every 10000
steps.
Running averages
A running average is a time series whose values at time tare calculated according to
hAit=Rt+σ
t−σA(t)dt
2σ
such that it represents the average value from t−σto t+σ—the value 2σis referred to as the window size. The
advantage of a running average over a cumulative average is that the shape of the curve at large values of tdo not
depend on the values near t=0. If the interval is smaller than the window size, then adjacent values of hAitwill
be comprised of overlapping data points.
Example To compute a running average, you must specify a window size, in MD time steps, with the -r flag.
The interval—specified with the -n flag—controls how frequently samples from the time series are saved to the
output file. An example usage is
cphstats -i cpin pH_4.md1.cpout pH_4.md2.cpout pH_4.md3.cpout \
-n 2000 -r 10000 -R pH_4_runningavg.dat -d
This command will compute the running average of the deprotonation fraction (because of the -d flag) every 2000
time steps with a window size of 10000 time steps—the average will be computed from the 5000 steps before
time tto 5000 steps after time tevery 2000 steps. It may be important to note that any portion of the window that
extends before t=0 or after the last time step of the simulation is simply truncated. In this example, the running
average data is printed to the file pH_4_runningavg.dat and the standard statistical output is printed to the screen.
“Chunk” averages
A “chunk” average is a time series in which the trajectory is segmented into separate chunks of specified size
2σtime steps. The average value is then calculated according to
hAit=Rt+σ
t−σA(t)dt
2σ
Indeed, “chunk” averages are simply a special case of running averages in which the times for which hAitare
computed are the center points of the time chunks. In this analysis, every point of the simulation is uniquely
assigned to a single chunk (so no overlap is possible like there is for running averages with a window size larger
than twice the interval).
405
22. Constant pH calculations
Example Unlike the cumulative and running average analyses, the interval is not used for “chunk” averaging.
The chunk size, in MD time steps, simultaneously specifies the size of the simulation to use in the average as well
as the positions of the points in the generated time series. An example chunk analysis is
cphstats -i cpin pH_4.md1.cpout pH_4.md2.cpout pH_4.md3.cpout --pKa \
--no-calcpka --chunk 100000 --chunk-out pH_4_chunks.dat
This command will break the trajectory into 100,000 time step-chunks and compute the pKaof each residue for
each chunk according to Eq. 22.1. In this example, the “chunk” pKas are printed to the file pH_4_chunks.dat.
22.7.3. Populations
If you specify a file with the --populations flag, the population of every residue in every state computed over
the whole trajectory will be printed to the specified file. An example command is shown below
cphstats -i cpin pH_4.md1.cpout pH_4.md2.cpout pH_4.md3.cpout \
--populations populations.dat
The populations.dat file will look something like the following:
Residue Number State 0 State 1 State 2 State 3 State 4
-----------------------------------------------------------------------------------
Residue: GL4 7 0.642697 (0) 0.182143 (1) 0.003043 (1) 0.168653 (1) 0.003465 (1)
Residue: HIP 15 0.982722 (2) 0.017278 (1) 0.000000 (1)
Residue: AS4 18 0.986247 (0) 0.006043 (1) 0.000075 (1) 0.007635 (1) 0.000000 (1)
Residue: GL4 35 0.052398 (0) 0.437664 (1) 0.025815 (1) 0.476629 (1) 0.007495 (1)
Residue: AS4 48 0.995087 (0) 0.001435 (1) 0.000085 (1) 0.003393 (1) 0.000000 (1)
Residue: AS4 52 0.973672 (0) 0.007520 (1) 0.002705 (1) 0.015465 (1) 0.000638 (1)
Residue: AS4 66 0.999612 (0) 0.000165 (1) 0.000000 (1) 0.000223 (1) 0.000000 (1)
Residue: AS4 87 0.948970 (0) 0.023918 (1) 0.001240 (1) 0.025235 (1) 0.000638 (1)
Residue: AS4 101 0.678859 (0) 0.160313 (1) 0.002295 (1) 0.153793 (1) 0.004740 (1)
Residue: AS4 119 0.971682 (0) 0.015043 (1) 0.000623 (1) 0.011888 (1) 0.000765 (1)
In the example output, each residue except for histidine 15 is a carboxylate that has 5 available states: deprotonated
and protonated on the syn- or anti- positions of either carboxylate oxygen. You can use the --describe flag for
cpinutil.py to get a detailed description of what each state is. The decimal numbers shown are the fraction of
the time that the residue spent in the specified protonation state. The integer in parentheses next to the protonation
state population is the number of titratable protons that are present in that state. Notice that histidine 15 has only 3
states. The first is the doubly-protonated state whereas the other two states are singly-protonated at the Nδand Nε
positions, respectively. This output gives a more detailed view of where the protons are during the simulation.
22.7.4. Conditional probabilities
It is frequently the case that an enzyme’s or ribozyme’s catalytic mechanism depends on two titratable residues
having specific protonation states to fulfill their role as either a proton donor or acceptor in the mechanism. When
one residue is a proton acceptor and the other a proton donor, there is an ‘optimum’ pH at which the fraction of
proteins that have the correct set of protonation states will be a maximum and the catalytic rate is lowered when the
pH is either raised or reduced from this optimum value, since we typically assume that the only catalytically active
state is the one with the catalytically ‘correct’ set of protonation states. By assuming that each residue titrates
independently—that is that the protonation state of one does not affect the protonation state of the other—we can
derive a pH-rate profile for the enzyme or ribozyme by using the pKaof each residue to compute fraction of time
each residue spends in its catalytically active protonation state and simply multiply those fractions for each residue
to arrive at the conditional probability.
If, however, the catalytic residues titrate cooperatively or anticooperatively, the conditional probabilities cannot
be computed as a simple product of the individual probabilities. By directly capturing the coupling between
dynamics and titration of all titratable residues, CpHMD and pH-REMD are capable of probing this cooperativity.
This section describes how to use cphstats to compute conditional probabilities directly from the protonation
state data.
406
22.7. cphstats
Conditional Probability Expressions
This section describes the syntax of the conditional probability expressions that you must use for cphstats.
The format of the expression is a comma-delimited list of residue:state specifications shown below.
<residue 1>:<state specification>,<residue 2>:<state specification>
You can list as many residues as you want. A snapshot satisfies the conditional probability criteria if each of the
specified residues is in the list of allowable states within the state specifications—unspecified residues can be in
any state. The residue specifiers are the residue numbers in the topology file. The state specification can be either
a semicolon-delimited list of state numbers or the description “protonated” or “deprotonated.” The parser is
case-insensitive and you only have to type up to one letter of either word to trigger recognition of “protonated” or
“deprotonated.” Example conditional probability expressions are shown below with accompanying descriptions
of what conditional probabilities they define. Individual residue:state specifications are indicated by color.
“35:P,52:D”
This expression is satisfied if residue 35 is protonated at the same time that residue 52 is deprotonated.
“35:Prot,52:1;3,15:1”
This expression is satisifed if residue 35 is protonated and residue 52 is in either state 1 or 3 and residue 15 is in
state 1. Other residues can be in any state.
Examples
You can specify conditional probability expressions following the -c flag on the command-line. You can
specify as many expressions as you want, as long as each one is preceded by -c or --conditional. The fraction
of states that satisfy each conditional probability is written to the conditional probability output file specified by
--conditional-output (or conditional_prob.dat by default). An example command-line is shown below
cphstats -i cpin pH_4.md1.cpout pH_4.md2.cpout pH_4.md3.cpout \
-c “35:P,52:D” -c “35:prot,52:1;3,15:1” \
--conditional-output conditional.dat
Example output from conditional.dat is shown below.
Conditional Probabilities Fraction
35:P,52:D 0.982922
35:prot,52:1;3,15:1 0.000290
For the sake of comparison, the standard statistics are shown below.
Solvent pH is 4.000
GL4 7 : Offset -0.167 Pred 3.833 Frac Prot 0.405 Transitions 31378
HIP 15 : Offset 1.391 Pred 5.391 Frac Prot 0.961 Transitions 5578
AS4 18 : Offset -1.851 Pred 2.149 Frac Prot 0.014 Transitions 1910
GL4 35 : Offset 2.432 Pred 6.432 Frac Prot 0.996 Transitions 391
AS4 48 : Offset -2.282 Pred 1.718 Frac Prot 0.005 Transitions 570
AS4 52 : Offset -1.855 Pred 2.145 Frac Prot 0.014 Transitions 438
AS4 66 : Offset -1.998 Pred 2.002 Frac Prot 0.010 Transitions 698
AS4 87 : Offset -1.489 Pred 2.511 Frac Prot 0.031 Transitions 1239
AS4 101 : Offset -0.478 Pred 3.522 Frac Prot 0.250 Transitions 19924
AS4 119 : Offset -1.516 Pred 2.484 Frac Prot 0.030 Transitions 2408
Average total molecular protonation: 3.716
In this example, residue 35 is protonated while residue 52 is deprotonated 98.2922% of the time. Assuming that
the two residues titrate independently, we would calculate this conditional probability to be 0.996×(1−0.014)×
100% =98.2056%. This indicates that these residues titrate independently at pH 4.
407
22. Constant pH calculations
Conditional probability “chunks”
cphstats currently supports creating time series of conditional probabilities by breaking the trajectory into
equal-sized “chunks” and computing the conditional probability over that chunk (see Sec. 22.7.2 for details). To
perform this analysis, specify a conditional “chunk” output file with the --chunk-conditional flag. The -n flag
is used to define the size of the chunk (the same flag used to define the time series interval for cumulative and
running averages). The format of the output file is the same as that shown in Sec. 22.7.2 for the other time series,
but the columns are labeled with the conditional probability expression instead of the residue name and number.
An example usage is shown below.
cphstats -i cpin pH_4.md1.cpout pH_4.md2.cpout pH_4.md3.cpout \
-c “35:P,52:D” -c “35:prot,52:1;3,15:1” -n 100000 \
--chunk-conditional chunk_conditional.dat
This example will break the simulation into 100,000-time-step chunks and compute the two conditional probabili-
ties over each chunk, writing the results to chunk_conditional.dat.
22.7.5. Processing pH-REMD cpout files
Replica exchange in pH-space is performed by attempting to exchange solution pH between replicas. Like
with temperature-based REMD, this means that individual replicas do not keep the same pH throughout the entire
simulation. Since many of the analyses described in the previous sections pertain to ensembles at one pH, they
are not readily applicable to the raw output from pH-REMD simulations and must often be pre-processed before
being analyzed. This section describes only how to do the preprocessing. You are expected to be familiar with the
content of Subsection 21.5.6 above.
Re-ordering cpout files
You can use cphstats to generate pH-specific cpout files from pH-REMD replica cpout files using the
--fix-remd flag. To do so, you must provide a file name prefix to which the suffix .pH_X will be appended as
well as the cpout files from every replica for a single simulation (and only a single simulation). If you ran the
simulation in multiple steps, using restarts from the previous simulation to start the next, you will have to run the
command described here for each segment of the total simulation separately. No cpin file is needed for this step.
An example usage is shown below:
cphstats --fix-remd cpout pH_1.md1.cpout pH_2.md1.cpout pH_3.md1.cpout \
pH_4.md1.cpout pH_5.md1.cpout pH_6.md1.cpout
This command will create the files cpout.pH_1.00, cpout.pH_2.00, cpout.pH_3.00, cpout.pH_4.00, cpout.pH_5.00,
and cpout.pH_6.00 that can subsequently be used for the analyses described in the previous section.
If you attempt to use REMD cpout files without fixing them in the previous analyses, you will receive an error.
Analyzing replica statistics
There are times when you may want to analyze statistics, such as fraction protonated or deprotonated, from a
single replica when looking at things like correlation times, for instance. You can disable the REMD file protection
using the --expert flag, but note that any computed pKais based on Eq. 22.1 with a single pH, so they will be
meaningless for REMD-based trajectories.
408
23. NMR, X-ray, and cryo-EM/ET refinement
We find the sander module to be a flexible way of incorporating a variety of restraints into a optimization
procedure that includes energy minimization and dynamical simulated annealing. The "standard" sorts of NMR
restraints, derived from NOE and J-coupling data, can be entered in a way very similar to that of programs like
DISGEO, DIANA or X-PLOR; an aliasing syntax allows for definitions of pseudo-atoms, connections with peak
numbers in spectra, and the use of "ambiguous" constraints from incompletely-assigned spectra. More "advanced"
features include the use of time-averaged constraints, use of multiple copies (LES) in conjunction with NMR
refinement, and direct refinement against NOESY intensities, paramagnetic and diamagnetic chemical shifts, or
residual dipolar couplings. In addition, a key strength of the program is its ability to carry out the refinements
(usually near the final stages) using an explicit-solvent representation that incorporates force fields and simulation
protocols that are known to give pretty accurate results in many cases for unconstrained simulations; this ability
should improve predictions in regions of low constraint density and should help reduce the number of places where
the force field and the NMR constraints are in "competition" with one another.
Since there is no generally-accepted "recipe" for obtaining solution structures from NMR data, the comments
below are intended to provide a guide to some commonly-used procedures. Generally speaking, the programs that
need to be run to obtain NMR structures can be divided into three parts:
1. front-end modules, which interact with NMR databases that provide information about assignments, chemi-
cal shifts, coupling constants, NOESY intensities, and so on. We have tried to make the general format of the
input straightforward enough so that it could be interfaced to a variety of programs. At TSRI, we generally
use the FELIX and NMRView codes, but the principles should be similar for other ways of keeping track
of a database of NMR spectral information. As the flow-chart on the next page indicates, there are only a
few files that need to be created for NMR restraints; these are indicated by the solid rectangles. The primary
distance and torsion angle files have a fairly simple format that is largely compatible with the DIANA pro-
grams; if one wishes to use information from ambiguous or overlapped peaks, there is an additional "MAP"
file that makes a translation from peak identifiers to ambiguous (or partial) assignments. Finally, there are
some specialized (but still pretty straightforward) file formats for chemical shift or residual dipolar coupling
restraints.
There are a variety of tools, besides the ones described below, that can assist in preparing input for structure
refinement in Amber.
• The SANE (Structure Assisted NOE Evaluation) package, http://ambermd.org/sane.zip, is widely used
at The Scripps Research Institute.[410]
• If you use Bruce Johnson’s NmrView package, you might also want to look at the TSRI additions to
that: http://garbanzo.scripps.edu/nmrgrp/wisdom/pipe/tips_scripts.html. In particular, the xpkTOupl
and starTOupl scripts there convert NmrView peak lists into the "7-column" needed for input to
makeDIST_RST.
• Users of the MARDIGRAS programs from UCSF can use the mardi2amber program to do conversion
to Amber format: http://picasso.ucsf.edu/mardihome.html
2. restrained molecular dynamics, which is at the heart of the conformational searching procedures. This is the
part that sander itself handles.
3. back-end routines that do things like compare families of structures, generate statistics, simulate spectra,
and the like. For many purposes, such as visualization, or the running of procheck-NMR, the "interface"
to such programs is just the set of PDB files that contain the family of structures to be analyzed. These
general-purpose structure analysis programs are available in many locations and are not discussed here. The
409
23. NMR, X-ray, and cryo-EM/ET refinement
principal sander-specific tool is sviol, which prepares tables and statistics of energies, restraint violations,
and the like.
23.1. Distance, angle and torsional restraints
Distance, angle, and other restraints are read from the DISANG file if nmropt >0. Namelist rst ("&rst")
contains the following variables; it is read repeatedly until a namelist &rst statement is found with IAT(1)=0, or
until reaching the end of the DISANG file.
If you wish to include weight changes but have no internal constraints, set nmropt=1, but do not include a
DISANG line in the file redirection section. (Note that, unlike earlier versions of Amber, the &rst namelists must
be in the DISANG file, and not in the mdin file.)
In many cases, the user will not prepare this section of the input by hand, but will use the auxiliary programs
makeDIST_RST, makeANG_RST and makeCHIR_RST to prepare input from simpler files.
There have been several additions made to restraints as of Amber 10. These additions have only been made to
sander and not to pmemd.
23.1.1. Variables in the &rst namelist:
iat(1)→iat(8)
•If IRESID = 0 (normal operation): The atoms defining the restraint. Type of restraint is determined (in
order) by:
1. If IAT(3) = 0, this is a distance restraint.
2. If IAT(4) = 0, this is an angle restraint.
3. If IAT(5) = 0, this is a torsional (or J-coupling, if desired) restraint or a genereralized distance restraint
of 4 atoms, a type of restraint new as of Amber 10 (sander only, see below).
4. If IAT(6) = 0, this is a plane-point angle restraint, a second restraint new as of Amber 10 (sander only).
The angle is measured between the normal of a plane defined by IAT(1)..IAT(4) and the vector from
the center of mass of atoms IAT(1)..IAT(4) to the position of IAT(5). The normal is defined by (r1 - r2)
×(r3 - r4), where rn is the position of IAT(n).
5. If IAT(7) = 0, this is a generalized distance restraint of 6 atoms (see below).
6. Otherwise, if IAT(1)..IAT(8) are all non-zero, this is a plane- plane angle restraint, a third new restraint
type as of Amber 10 (sander only, or a generalized distance restraint of 8 atoms (see below). For the
plane-plane restraint, the angle is measured between the two normals of the two planes, which are
defined by (r1 - r2) ×(r3 - r4) and (r5 - r6) ×(r7 - r8). In the case of either planar restraint, the plane
may be defined using three atoms instead of four simply by using one atom twice.
If any of IAT(n) are <0, then a corresponding group of atoms is defined below, and the coordinate- averaged
position of this group will be used in place of atom IAT(n). A new feature as of Amber 10, atom groups
may be used not only in distance restraints, but also in angle, torsion, the new plane restraints, or the new
generalized restraints. If this is a distance restraint, and IAT1 <0, then a group of atoms is defined below, and
the coordinate-averaged position of this group will be used in place of the coordinates of atom 1 [IAT(1)].
Similarly, if IAT(2) <0, a group of atoms will be defined below whose coordinate-averaged position will be
used in place of the coordinates for atom 2 [IAT(2)].
•If IRESID=1: IAT(1)..IAT(8) point to the *residues* containing the atoms comprising the internal. Residue
numbers are the absolute in the entire system. In this case, the variables ATNAM(1)..ATNAM(8) must be
specified and give the character names of the atoms within the respective residues. If any of IAT(n) are less
than zero, then group input will still be read in place of the corresponding atom, as described below.
•Defaults for IAT(1)→IAT(8) are 0.
410
23.1. Distance, angle and torsional restraints
rstwt(1)→rstwt(4) New as of Amber 10 (sander only), users may now define a single restraint that is a function of
multiple distance restraints, called a "generalized distance coordinate" restraint. The energy of such a
restraint has the following form:
U=k(w1|r1−r2|+w2|r3−r4|+w3|r5−r6|+w4|r7−r8|−r0)2
where the weights wnare given in rstwt(1)..rstwt(4) and the positions rnare the positions of the atoms
in iat(1)..iat(8).
Generalized distance coordinate restraints must be defined with either 4, 6, or 8 atoms and 2, 3, or
4 corresponding non-zero weights in rstwt(1)..rstwt(4). Weights may be any positive or negative real
number.
If all the weights in rstwt(1)..rstwt(4) are zero and four atoms are given in iat(1)..iat(4) for the restraint,
the restraint is a torsional or J-coupling restraint. If eight atoms are given in iat(1)..iat(8) and all
weights are zero, the restraint is a plane-plane angle restraint. However, if the weights are non-zero,
the restraint will be a generalized distance coordinate restraint.
Default for rstwt(1)..rstwt(4) is 0.0
restraint New as of Amber 10 (sander only), users may now use a "natural language" system to define restraints
by using the RESTRAINT character variable. Valid restraints defined in this manner will begin with
a "distance( )" "angle( )" "torsion( )" or "coordinate( )" keyword. Within the parentheses, the atoms
that make up the restraint are specified. Atoms may be defined either with an explicit atom number or
by using ambmask format, namely :(residue#)@(atom name). Atoms may be separated by commas,
spaces, or parentheses. Additionally, negative integers may be used if atom groupings are defined in
other variables in the namelist as described below. In addition to the principle distance, angle, torsion,
and coordinate keywords, Some keywords may be used within the principle keywords to define more
complicated restraints. The keyword "plane( )" may be used once or twice within the parentheses of
the "angle( ) keyword to define a planar restraint. Defining one plane grouping plus one other atom in
this manner will create a plane-point angle restraint as described above. Defining two plane groupings
will create a plane-plane angle restraint. The keyword "plane( )" may only be used inside of "angle(
)," and is necessary to define either a plane-point or plane-plane restraint.
Within the "coordinate( )" keyword, the user must use 2 to 4 "distance( )" keywords to define a
generalized distance coordinate restraint. The "distance( )" keyword functions just like it does when
used to define a traditional distance restraint. The user may specify any two atom numbers, masks,
or negative numbers corresponding to atom groups defined outside of RESTRAINT. Additionally,
following each "distance( )" keyword inside "coordinate( )" the user must specify a real-number
weight to be applied to each distance making up the generalized coordinate.
The "com( )" keyword may be used within any other keyword to define a center of mass grouping of
atoms. Within the parenthesis, the user will enter a list of atom numbers or masks. Negative numbers,
which correspond to externally-defined groups, may not be used.
Any type of parenthetical character, i.e., ( ), [ ], or { }, may be used wherever parentheses have been
used above.
The following are all examples of valid restraint definitions:
restraint = "distance( (45) (49) )"
= "angle (:21@C5’ :21@C4’ 108)"
= "torsion[-1,-1,-1, com(67, 68, 69)]"
= "angle( -1, plane(81, 85, 87, 90) )"
= "angle(plane(com(9,10),:5@CA,31,32),plane(14,15,15,16))"
= "coordinate(distance(:5@C3’,:6@O5’),-1.0,distance(134,-1),1.0)"
There is a 256 character limit on RESTRAINT, so if a particularly large atom grouping is desired, it is
necessary to specify a negative number instead of "com( )" and define the group as described below.
RESTRAINT will only be parsed if IAT(1) = 0, otherwise the information in IAT(1) .. IAT(8) will
define the restraint. Default for restraint is ’ ’.
411
23. NMR, X-ray, and cryo-EM/ET refinement
atnam If IRESID = 1, then the character names of the atoms defining the internal are contained in
ATNAM(1)→ATNAM(8). Residue IAT(1) is searched for atom name ATNAM(1); residue IAT(2)
is searched for atom name ATNAM(2); etc. Defaults for ATNAM(1)→ATNAM(8) are ’ ’.
iresid Indicates whether IAT(I) points to an atom # or a residue #. See descriptions of IAT() and ATNAM()
above. If RESTRAINT is used to define the internal instead of IAT(), IRESID has no effect on how
RESTRAINT is parsed. However, it will affect the behavior of atom group definitions as described
below if negative numbers are specified within RESTRAINT. Default = 0.
nstep1, nstep2 This restraint is applied for steps/iterations NSTEP1 through NSTEP2. If NSTEP2 = 0, the restraint
will be applied from NSTEP1 through the end of the run. Note that the first step/iteration is considered
step zero (0). Defaults for NSTEP1, NSTEP2 are both 0.
irstyp Normally, the restraint target values defined below (R1→R4) are used directly. If IRSTYP = 1, the
values given for R1→R4 define relative displacements from the current value (value determined from
the starting coordinates) of the restrained internal. For example, if IRSTYP=1, the current value of a
restrained distance is 1.25, and R1 (below) is -0.20, then a value of R1=1.05 will be used. Default is
IRSTYP=0.
ialtd Determines what happens when a distance restraint gets very large. If IALTD=1, then the potential
"flattens out", and there is no force for large violations; this allows for errors in constraint lists, but
might tend to ignore constraints that should be included to pull a bad initial structure towards a more
correct one. When IALTD=0 the penalty energy continues to rise for large violations. See below for
the detailed functional forms that are used for distance restraints. Set IALTD=0 to recover the behavior
of earlier versions of sander. Default value is 0, or the last value that was explicitly set in a previous
restraint. This value is set to 1 if makeDIST_RST is called with the -altdis flag.
ifvari If IFVARI >0, then the force constants/positions of the restraint will vary with step number. Other-
wise, they are constant throughout the run. If IFVARI >0, then the values R1A→R4A, RK2A, and
RK3A must be specified (see below). Default is IFVARI=0.
ninc If IFVARI >and NINC >0, then the change in the target values of of R1→R4 and K2,K3 is applied
as a step function, with NINC steps/ iterations between each change in the target values. If NINC = 0,
the change is effected continuously (at every step). Default for NINC is the value assigned to NINC in
the most recent namelist where NINC was specified. If NINC has not been specified in any namelist, it
defaults to 0.
imult If IMULT=0, and the values of force constants RK2 and RK3 are changing with step number, then
the changes in the force constants will be linearly interpolated from rk2→rk2a and rk3→rk3a as the
step number changes. If IMULT=1 and the force constants are changing with step number, then the
changes in the force constants will be effected by a series of multiplicative scalings, using a single
factor, R, for all scalings. i.e.
rk2a = R**INCREMENTS *rk2
rk3a = R**INCREMENTS *rk3.
INCREMENTS is the number of times the target value changes, which is determined by NSTEP1,
NSTEP2, and NINC. Default for IMULT is the value assigned to IMULT in the most recent namelist
where IMULT was specified. If IMULT has not been specified in any namelist, it defaults to 0.
r1→r4, rk2, rk3, r1a→r4a, rk2a, rk3a If IALTD=0, the restraint is a well with a square bottom with parabolic sides
out to a defined distance, and then linear sides beyond that. If R is the value of the restraint in question:
• R <r1 Linear, with the slope of the "left-hand" parabola at the point R=r1.
• r1 <= R <r2 Parabolic, with restraint energy k2(R−r2)2.
• r2 <= R <r3 E = 0.
412
23.1. Distance, angle and torsional restraints
• r3 <= R <r4 Parabolic, with restraint energy k3(R−r3)2.
• r4 <= R Linear, with the slope of the "right-hand" parabola at the point R=r4.
For torsional restraints, the value of the torsion is translated by +-n*360, if necessary, so that it falls
closest to the mean of r2 and r3. Specified distances are in Angstroms. Specified angles are in degrees.
Force constants for distances are in kcal/mol-Å2 Force constants for angles are in kcal/mol-rad 2 .
(Note that angle positions are specified in degrees, but force constants are in radians, consistent with
typical reporting procedures in the literature).
If IALTD=1, distance restraints are interpreted in a slightly different fashion. Again, If R is the value
of the restraint in question:
• R <r2 Parabolic, with restraint energy k2(R−r2)2.
• r2 <= R <r3 E = 0.
• r3 <= R <r4 Parabolic, with restraint energy k3(R−r3)2.
• r4 <= R Hyperbolic, with energy k3[b/(R−r3)+a], where a=3(r4−r3)2and b=−2(r4−r3)3.
This function matches smoothly to the parabola at R=r4, and tends to an asymptote of ak3at
large R. The functional form is adapted from that suggested by Michael Nilges, Prot. Eng. 2,
27-38 (1988). Note that if ialtd=1, the value of r1 is ignored.
ifvari
= 0 The values of r1→r4, rk2, and rk3 will remain constant throughout the run.
> 0 The values r1a, r2a, r3a, r4a, r2ka and r3ka are also used. These variables are defined as for r1→r4
and rk2, rk3, but correspond to the values appropriate for NSTEP = NSTEP2: e.g., if IVARI >0,
then the value of r1 will vary between NSTEP1 and NSTEP2, so that, e.g. r1(NSTEP1) = r1 and
r1(NSTEP2) = r1a. Note that you must specify an explicit value for nstep1 and nstep2 if you
use this option. Defaults for r1→r4,rk2,rk3,r1a→r4a,rk2a and rk3a are the values assigned to
them in the most recent namelist where they were specified. They should always be specified in
the first &rst namelist.
r0, k0, r0a, k0a New as of Amber 10 (sander only), the user may more easily specify a large parabolic well if
desired by using R0 and K0, and then R0A and K0A if IFVARI > 0. The parabolic well will have its
zero at R = R0 and a force constant of K0. These variables simply map the disired parabolic well into
r1→r4, rk2, rk3, r1a→r4a, rk2a, and rk3a in the following manner:
• R1 = 0 for distance, angle, and planar restraints, R1 = R0 - 180 for torsion restraints
• R1A = 0 for distance, angle, and planar restraints, R1A = R0A - 180 for torsion restraints
• R2 = R0; R3 = R0
• R2A = R0A; R3A = R0A
• R4 = R0 + 500 for distance restraints, R4 = 180 for angle and planar restraints, R4 = R0 + 180
for torsion restraints
• RK2 = K0; RK3 = K0
• RK2A = K0A; RK3A = K0A
rjcoef(1)→rjcoef(3) By default, 4-atom sequences specify torsional restraints. It is also possible to impose re-
straints on the vicinal 3 J-coupling value related to the underlying torsion. J is related to the torsion
τby the approximate Karplus relationship: J=Acos2(τ) + Bcos(τ) +C. If you specify a non-zero
value for either RJCOEF(1) or RJCOEF(2), then a J-coupling restraint, rather than a torsional restraint,
will be imposed. At every MD step, J will be calculated from the Karplus relationship with A = RJ-
COEF(1), B = RJCOEF(2) and C = RJCOEF(3). In this case, the target values (R1->R4, R1A->R4A)
and force constants (RK2, RK3, RK2A, RK3A) refer to J-values for this restraint. RJCOEF(1)-
>RJCOEF(3) must be set individually for each torsion for which you wish to apply a J-coupling
413
23. NMR, X-ray, and cryo-EM/ET refinement
restraint, and RJCOEF(1)->RJCOEF(3) may be different for each J-coupling restraint. With respect
to other options and reporting, J-coupling restraints are treated identically to torsional restraints. This
means that if time-averaging is requested for torsional restraints, it will apply to J-coupling restraints
as well. The J-coupling restraint contribution to the energy is included in the "torsional" total. And
changes in the relative weights of the torsional force constants also change the relative weights of the
J-coupling restraint terms. Setting RJCOEF has no effect for distance and angle restraints. Defaults
for RJCOEF(1)->RJCOEF(3) are 0.0.
igr1(i),i=1→200, igr2(i),i=1→200, ... igr8(i),i..1=1→200 If IAT(n) <0, then IGRn() gives the atoms defining the
group whose coordinate averaged position is used to define "atom n" in a restraint. Alternatively, if
RESTRAINT is used to define the internal, then if the nth atom specified is a number less than zero,
IGRn() gives the atoms defining the group whose coordinate averaged position is used to define "atom
n" in a restraint. If IRESID = 0, absolute atom numbers are specified by the elements of IGRn(). If
IRESID = 1, then IGRn(I) specifies the number of the residue containing atom I, and the name of
atom I must be specified using GRNAMn(I). A maximum of 200 atoms are allowed in any group.
Only specify those atoms that are needed. Default value for any unspecified element of IGRn(i) is 0.
grnam1(i),i=1→200, grnam2(i),i=1→200, ... grnam8(i),i=1→200 If group input is being specified (IGRn(1) >
0), and IRESID = 1, then the character names of the atoms defining the group are contained in GR-
NAMn(i), as described above. In the case IAT(1) <0, each residue IGR1(i) is searched for an atom
name GRNAM1(i) and added to the first group list. In the case IAT(2) <0, each residue IGR2(i) is
searched for an atom name GRNAM2(i) and added to the second group list. Defaults for GRNAMn(i)
are ’ ’.
ir6 If a group coordinate-averaged position is being used (see IGR1 and IGR2 above), the average position
can be calculated in either of two manners: If IR6 = 0, center-of-mass averaging will be used. If IR6=1,
the r−6−1/6average of all interaction distances to atoms of the group will be used. Default for IR6
is the value assigned to IR6 in the most recent namelist where IR6 was specified. If IR6 has not been
specified in any namelist, it defaults to 0.
ifntyp If time-averaged restraints have been requested (see DISAVE/ANGAVE/TORAVE above), they are,
by default, applied to all restraints of the class specified. Time-averaging can be overridden for specific
internals of that class by setting IFNTYP for that internal to 1. IFNTYP has no effect if time-averaged
restraint are not being used. Default value is IFNTYP=0.
ixpk, nxpk These are user-defined integers than can be set for each constraint. They are typically the "peak
number" and "spectrum number" associated with the cross-peak that led to this particular distance
restraint. Nothing is ever done with them except to print them out in the "violation summaries", so
that NMR people can more easily go from a constraint violation to the corresponding peak in their
spectral database. Default values are zero.
iconstr If iconstr >0, (default is 0) a Lagrangian multiplier is also applied to the two-center internal coordi-
nate defined by IAT(1) and IAT(2). The effect of this Lagrangian multiplier is to maintain the initial
orientation of the internal coordinate. The rotation of the vector IAT(1)->IAT(2) is prohibited, though
translation is allowed. For each defined two-center internal coordinate, a separate Lagrangian multi-
plier is used. Therefore, although one can use as many multipliers as needed, defining centers should
NOT appear in more than one multiplier. This option is compatible with mass centers (i.e., negative
IAT(1) or IAT(2)). ICONSTR can be used together with harmonic restraints. RK2 and RK3 should
be set to 0.0 if the two-center internal coordinate is a simple Lagrangian multiplier. An example has
been included in $AMBERHOME/example/lagmul.
Namelist &rst is read for each restraint. Restraint input ends when a namelist statement with iat(1) = 0 (or iat(1)
not specified) is found. Note that comments can precede or follow any namelist statement, allowing comments and
restraint definitions to be freely mixed.
414
23.2. NOESY volume restraints
23.2. NOESY volume restraints
After the previous section, NOESY volume restraints may be read. This data described in this section is only
read if NMROPT = 2. The molecule may be broken in overlapping submolecules, in order to reduce time and
space requirements. Input for each submolecule consists of namelist "&noeexp", followed immediately by standard
Amber "group" cards defining the atoms in the submolecule. In addition to the submolecule input ("&noeexp"),
you may also need to specify some additional variables in the cntrl namelist; see the "NMR variables" description
in that section.
In many cases, the user will not prepare this section of the input by hand, but will use the auxiliary program
makeDIST_RST to prepare input from simpler files.
Variables in the &noeexp namelist:
For each submolecule, the namelist "&noeexp" is read (either from stdin or from the NOESY redirection file)
which contains the following variables. There are no effective defaults for npeak, emix, ihp, jhp, and aexp: you
must specify these.
npeak(imix) Number of peaks for each of the "imix" mixing times; if the last mixing time is mxmix, set
NPEAK(mxmix+1) = -1. End the input when NPEAK(1) <0.
emix(imix) Mixing times (in seconds) for each mixing time.
ihp(imix,ipeak), jhp(imix,ipeak) Atom numbers for the atoms involved in cross-peak "ipeak" at mixing time "imix"
aexp(imix,ipeak) Experimental target integrated intensity for this cross peak. If AEXP is negative, this cross peak
is part of a set of overlapped peaks. The computed intensity is added to the peak that follows; the
next time a peak with AEXP >0 is encountered, the running sum for the calculated peaks will be
compared to the value of AEXP for that last peak in the list. In other words, a set of overlapped
peaks is represented by one or more peaks with AEXP <0 followed by a peak with AEXP >0. The
computed total intensity for these peaks will be compared to the value of AEXP for the final peak.
arange(imix,ipeak) "Uncertainty" range for this peak: if the calculated value is within ±ARANGE of AEXP, then
no penalty will be assessed. Default uncertainties are all zero.
awt(imix,ipeak) Relative weight for this cross peak. Note that this will be multiplied by the overall weight given
by the NOESY weight change cards in the weight changes section (Section 1). Default values are 1.0,
unless INVWT1,INVWT2 are set (see below), in which case the input values of AWT are ignored.
invwt1,invwt2 Lower and upper bounds on the weights for the peaks respectively, such that the relative weight for
each peak is 1/intensity if 1/intensity lies between the lower and upper bounds. This is the intensity
after being scaled by oscale. The inverse weighing scheme adopted by this option prevents placing too
much influence on the strong peaks at the expense of weaker peaks and was previously invoked using
the compilation flag "INVWGT". Default values are INVWT1=INVWT2=1.0, placing equal weights
on all peaks.
omega Spectrometer frequency, in Mhz. Default is 500. It is possible for different sub-molecules to have
different frequencies, but omega will only change when it is explicitly re-set. Hence, if all of your
data is at 600 Mhz, you need only set omega to 600. in the first submolecule.
taurot Rotational tumbling time of the molecule, in nsec. Default is 1.0 nsec. Like omega, this value is
"sticky", so that a value set in one submolecule will remain until it is explicitly reset.
taumet Correlation time for methyl jump motion, in ns. This is only used in computing the intra-methyl
contribution to the rate matrix. The ideas of Woessner are used, specifically as recommended by Kalk
& Berendsen.[411] Default is 0.0001 ns, which is effectively the fast motion limit. The default is
consistent with the way the rest of the rate matrix elements are determined (also in the fast motion
limit,) but probably is not the best value to use, since methyl groups appear to have T1 values that
415
23. NMR, X-ray, and cryo-EM/ET refinement
are systematically shorter than other protons, and this is likely to arise from the fact that the methyl
correlation time can be near to the inverse of the spectrometer frequency. A value of 0.02 - 0.05 ns is
probably better than 0.0001, but this is still an active research area, and you are on your own here, and
should consult the literature for further discussion.[412] As with omega,taumet can be different for
different sub-molecules, but will only change when it is explicitly re-set.
id2o Flag for determining if exchangeable protons are to be included in the spin-diffusion calculation. If
ID2O=0 (default) then all protons are included. If ID2O=1, then all protons bonded to nitrogen or
oxygen are assumed to not be present for the purposes of computing the relaxation matrix. No other
options exist at present, but they could easily be added to the subroutine indexn. Alternatively, you
can manually rename hydrogens in the prmtop file so that they do not begin with "H": such protons
will not be included in the relaxation matrix. (Note: for technical reasons, the HOH proton of tyrosine
must always be present, so setting ID2O=1 will not remove it; we hope that this limitation will be
of minor importance to most users.) The id2o variable retains its value across namelist reads, i.e.its
value will only change if it is explicitly reset.
oscale overall scaling factor between experimental and computed volume units. The experimental intensities
are multiplied by oscale before being compared to calculated intensities. This means that the weights
WNOESY and AWT always refer to "theoretical" intensity scales rather than to the (arbitrary) experi-
mental units. The oscale variable retains its value across namelist reads, i.e.its value will only change
if it is explicitly reset. The initial (default) value is 1.0.
The atom numbers ihp and jhp are the absolute atom numbers. For methyl groups, use the number of the last
proton of the group; for the delta and epsilon protons of aromatic rings, use the delta-2 or epsilon-2 atom numbers.
Since this input requires you to know the absolute atom numbers assigned by Amber to each of the protons, you
may wish to use the separate makeDIST_RST program which provides a facility for more turning human-readable
input into the required file for sander.
Following the &noeexp namelist, give the Amber "group" cards that identify this submolecule. This combination
of "&noeexp" and "group" cards can be repeated as often as needed for many submolecules, subject to the limits
described in the nmr.h file. As mentioned above, this input section ends when NPEAK(1) <0, or when and
end-of-file is reached.
23.3. Chemical shift restraints
After reading NOESY restraints above (if any), read the chemical shift restraints in namelist &shf, or the pseu-
docontact restraints in namelist &pcshift. Reading this input is triggered by the presence of a SHIFTS line in the
I/O redirection section. In many cases, the user will not prepare this section of the input by hand, but will use the
auxiliary programs shifts or fantasian to prepare input from simpler files.
Variables in the &shf namelist.
(Defaults are only available for shrang, wt,nter, and shcut; you must specify the rest.)
nring Number of rings in the system.
natr(i)Number of atoms in the i-th ring.
iatr(j,i)Absolute atom number for the j-th atom of the i-th ring.
namr(i)Eight-character string that labels the i-th ring. The first three characters give the residue name (in
caps); the next three characters contain the residue number (right justified); column 7 is blank; column
8 may optionally contain an extra letter to distinguish the two rings of trp, or the 5 or 8 rings of the
heme group.
str(i)Ring current intensity factor for the i-th ring. Older values are summarized by Cross and Wright;[413]
more recent empirical parametrizations seem to give improved results.[414,415]
416

23.4. Pseudocontact shift restraints
nprot Number of protons for which penalty functions are to be set up.
iprot(i)Absolute atom number of the i-th proton whose shifts are to be evaluated. For equivalent protons,
such as methyl groups or rapidly flipping phenylalanine rings, enter all two or three atom numbers in
sequence; averaging will be controlled by the wt parameter, described below.
obs(i)Observed secondary shift for the i-th proton. This is typically calculated as the observed value minus
a random coil reference value.
shrang(i)"Uncertainty" range for the observed shift: if the calculated shift is within ±SHRANG of the observed
shift, then no penalty will be imposed. The default value is zero for all shifts.
wt(i)Weight to be assigned to this penalty function. Note that this value will be multiplied by the overall
weight (if any) given by the SHIFTS command in the assignment of weights (above). Default values
are 1.0. For sets of equivalent protons, give a negative weight for all but the last proton in the group;
the last proton gets a normal, positive value. The average computed shift of the group will be compared
to obs entered for the last proton.
shcut Values of calculated shifts will be printed only if the absolute error between calculated and observed
shifts is greater than this value. Default = 0.3 ppm.
nter Residue number of the N-terminus, for protein shift calculations; default = 1.
cter Residue number of the C-terminus, for protein shift calculations. Believe it or not, the current code
cannot figure this out for itself.
In typical usage, the shifts program (http://casegroup.rutgers.edu/shifts.html) would be used to create
this file, with a typical command line:
shifts -readobs -sander ’::H*’ gcg10
Sample input and output files are in $AMBERHOME/test/rdc.
23.4. Pseudocontact shift restraints
The PCSHIFT module allows the inclusion of pseudocontact shifts as constraints in energy minimization and
molecular dynamics calculations on paramagnetic molecules. The pseudocontact shift depends on the magnetic
susceptibility anisotropy of the metal ion and on the location of the resonating nucleus with respect to the axes of
the magnetic susceptibility tensor. For the nucleus i, it is given by:
δi
pc =∑
j
1
12πr3
i j h∆χj
ax(3n2
i j −1)+(3/2)∆χj
rh(l2
i j −m2
i j)i
where li j,mi j, and ni j are the direction cosines of the position vector of atom i with respect to the j-th magnetic
susceptibility tensor coordinate system, ri j is the distance between the j-th paramagnetic center and the proton i,
∆χax and ∆χrh are the axial and the equatorial (rhombic) anisotropies of the magnetic susceptibility tensor of the
j-th paramagnetic center. For a discussion, see Ref. [416].
The PCSHIFT module to be used needs a namelist file which includes information on the magnetic susceptibility
tensor and on the paramagnetic center, and a line of information for each nucleus. This module allows to include
more than one paramagnetic center in the calculations. To include pseudocontact shifts as constraints in energy
minimization and molecular dynamics calculations the NMROPT flag should be set to 2, and a PCSHIFT=filename
statement entered in the I/O redirection section.
To perform molecular dynamics calculations it is necessary to eliminate the rotational and translational degree
of freedom about the center of mass (this because during molecular dynamics calculations the relative orientation
between the external reference coordinate system and the magnetic anisotropy tensor coordinate system has to be
fixed).This option can be obtained with the NSCM flag of sander.
417
23. NMR, X-ray, and cryo-EM/ET refinement
Variables in the pcshift namelist.
nprot number of pseudocontact shift constraints.
nme number of paramagnetic centers.
nmpmc name of the paramagnetic atom
optphi(n), opttet(n), optomg(n), opta1(n), opta2(n) the five parameters of the magnetic anisotropy tensor for each
paramagnetic center.
optkon force constant for the pseudocontact shift constraints
Following this, there is a line for each nucleus for which the pseudocontact shift information is given has to be
added. Each line contains :
iprot(i) atom number of the i-th proton whose shift is to be used as constraint.
obs(i) observed pseudocontact shift value, in ppm
wt(i) relative weight
tolpro(i) relative tolerance ix mltpro
mltpro(i) multiplicity of the NMR signal (for example the protons of a methyl group have mltprot(i)=3)
Example. Here is a &pcshf namelist example: a molecule with three paramagnetic centers and 205
pseudocontact shift constraints.
&pcshf
nprot=205,
nme=3,
nmpcm=’FE ’,
optphi(1)=-0.315416,
opttet(1)=0.407499,
optomg(1)=0.0251676,
opta1(1)=-71.233,
opta2(1)=1214.511,
optphi(2)=0.567127,
opttet(2)=-0.750526,
optomg(2)=0.355576,
opta1(2)=-60.390,
opta2(2)=377.459,
optphi(3)=0.451203,
opttet(3)=-0.0113097,
optomg(3)=0.334824,
opta1(3)=-8.657,
opta2(3)=704.786,
optkon=30,
iprot(1)=26, obs(1)=1.140, wt(1)=1.000, tolpro(1)=1.00, mltpro(1)=1,
iprot(2)=28, obs(2)=2.740, wt(2)=1.000, tolpro(2)=.500, mltpro(2)=1,
iprot(3)=30, obs(3)=1.170, wt(3)=1.000, tolpro(3)=.500, mltpro(3)=1,
iprot(4)=32, obs(4)=1.060, wt(4)=1.000, tolpro(4)=.500, mltpro(4)=3,
iprot(5)=33, obs(5)=1.060, wt(5)=1.000, tolpro(5)=.500, mltpro(5)=3,
iprot(6)=34, obs(6)=1.060, wt(6)=1.000, tolpro(6)=.500, mltpro(6)=3,
...
...
418

23.5. Direct dipolar coupling restraints
iprot(205)=1215, obs(205)=.730, wt(205)=1.000, tolpro(205)=.500,
mltpro(205)=1,
/
An mdin file that might go along with this, to perform a maximum of 5000 minimization cycles, starting with 500
cycles of steepest descent. PCSHIFT=./pcs.in redirects the input from the namelist "pcs.in" which contains the
pseudocontact shift information.
Example of minimization including pseudocontact shift constraints
&cntrl
ibelly=0,imin=1,ntpr=100,
ntr=0,maxcyc=500,
ncyc=50,ntmin=1,dx0=0.0001,
drms=.1,cut=10.,
nmropt=2,pencut=0.1, ipnlty=2,
/
&wt type=’REST’, istep1=0,istep2=1,value1=0.,
value2=1.0, /
&wt type=’END’ /
DISANG=./noe.in
PCSHIFT=./pcs.in
LISTOUT=POUT
23.5. Direct dipolar coupling restraints
Energy restraints based on direct dipolar coupling constants are entered in this section. All variables are in
the namelist &align; reading of this section is triggered by the presence of a DIPOLE line in the I/O redirection
section.
When dipolar coupling restraints are turned on, the five unique elements of the alignment tensor are treated
as additional variables, and are optimized along with the structural parameters. Their effective masses are deter-
mined by the scalm parameter entered in the &cntrl namelist. Unlike some other programs, the variables used
are the Cartesian components of the alignment tensor in the axis system defined by the molecule itself: e.g.
Smn ≡h(3cosθmcosθn−δmn)/2i, where θxis the angle between the xaxis and the spectrometer field.[417] The
factor of 105is just to make the values commensurate with atomic coordinates, since both the coordinates and the
alignment tensor values will be updated during the refinement. The calculated dipolar splitting is then
Dcalc =− 10−5γiγjh
2π2r3
i j !∑
m,n=xyz
cosφm·Smn ·cosφn
where φxis the angle between the internuclear vector and the xaxis. Geometrically, the splitting is proportional
to the transformation of the alignment tensor onto the internuclear axis. This is just Eqs. (5) and (13) of the above
reference, with any internal motion corrections (which might be a part of Ssystem) set to unity. If there is an internal
motion correction which is the same for all observations, this can be assimilated into the alignment tensor. The
current code does not allow for variable corrections for internal motion. See Ref. [418] for a fuller discussion of
these issues.
At the end of the calculation, the alignment tensor is diagonalized to obtain information about its principal
components. This allows the alignment tensor to be written in terms of the "axial" and "rhombic" components that
are often used to describe alignment.
Variables in the &align namelist.
ndip Number of observed dipolar couplings to be used as restraints.
id,jd Atom numbers of the two atoms involved in the dipolar coupling.
419
23. NMR, X-ray, and cryo-EM/ET refinement
dobsl, dobsu Limiting values for the observed dipolar splitting, in Hz. If the calculated coupling is less than
dobsl, the energy penalty is proportional to (Dcalc −Dobs,l)2; if it is larger than dobsu, the penalty is
proportional to (Dcalc −Dobs,lu)2. Calculated values between dobsl and dobsu are not penalized. Note
that dobsl must be less than dobsu; for example, if the observed coupling is -6 Hz, and a 1 Hz "buffer"
is desired, you could set dobsl to -7 and dobsu to -5.
dwt The relative weight of each observed value. Default is 1.0. The penalty function is thus:
Ei
align =Di
wt(Di
calc −Di
obs(u,l))2
where Dwt may vary from one observed value to the next. Note that the default value is arbitrary, and
a smaller value may be required to avoid overfitting the dipolar coupling data.[418]
dataset Each dipolar peak can be associated with a "dataset", and a separate alignment tensor will be computed
for each dataset. This is generally used if there are several sets of experiments, each with a different
sample or temperature, etc., that would imply a different value for the alignment tensor. By default,
there is one dataset to which each observed value is assigned.
num_datasets The number of datasets in the constraint list. Default is 1.
s11,s12,s13,s22,s23 Initial values for the Cartesian components of the alignment tensor. The tensor is traceless,
so S33 is calculated as -(S11+S22). In order to have the order of magnitude of the S values be roughly
commensurate with coordinates in Angstroms, the alignment tensor values must be multiplied by 105.
gigj Product of the nuclear "g" factors for this dipolar coupling restraint. These are related to the nuclear
gyromagnetic rations by γN=gNβN/¯
h. Common values are 1H = 5.5856, 13C = 1.4048, 15N = -0.5663,
31P = 2.2632.
dij The internuclear distance for observed dipolar coupling. If a non-zero value is given, the distance is
considered to be fixed at the given value. If a dij value is zero, its value is computed from the structure,
and it is assumed to be a variable distance. For one-bond couplings, it is usually best to treat the bond
distance as "fixed" to an effective zero-point vibration value.[419]
dcut Controls printing of calculated and observed dipolar couplings. Only values where abs(dobs(u,l) -
dcalc) is greater than dcut will be printed. Default is 0.1 Hz. Set to a negative value to print all dipolar
restraint information.
freezemol If this is set to .true., the molecular coordinates are not allowed to vary during dynamics or minimiza-
tion: only the elements of the alignment tensor will change. This is useful to fit just an alignment
tensor to a given structure. Default is .false..
23.6. Residual CSA or pseudo-CSA restraints
Resonance positions in partially aligned media will be shifted from their positions in isotropic media, and this
can provide information that is very similar to residual dipolar coupling constriants. This section shows how to
input these sorts of restraints. The entry of the alignment tensor is done as in Section 23.5, so you must have a
DIPOLE file (with an &align namelist) even if you don’t have any RDC restraints. Then, if there is a CSA line in
I/O redirection section, that file will be read with the following inputs:
Variables in the &csa namelist.
ncsa Number of observed residual CSA peaks to be used as restraints.
icsa,jcsa,kcsa Atom numbers for the csa of interest: jcsa is the atom whose ∆σvalue has been measured; icsa
and kcsa are two atoms bonded to it, used to define the local axis frame for the CSA tensor. See
amber12/test/pcsa/RST.csa for examples of how to set these.
420
23.7. Preparing restraint files for Sander
cobsl, cobsu Limiting values for the observed residual CSA, in Hz (not ppm or ppb!). If the calculated value of ∆σ
is less than cobsl, the energy penalty is proportional to (∆σcalc −∆σobs,l)2; if it is larger than cobsu,
the penalty is proportional to (∆σcalc −∆σobs,u)2. Calculated values between cobsl and cobsu are not
penalized. Note that cobsl must be less than cobsu.
cwt The relative weight of each observed value. Default is 1.0. The penalty function is thus:
Ei
csa =Ci
wt(∆σi
calc −∆σi
obs(u,l))2
where Cwt may vary from one observed value to the next. Note that the default value is arbitrary, and
a smaller value may be required to avoid overfitting the data.
datasetc Each residual CSA can be associated with a "dataset", and a separate alignment tensor will be com-
puted for each dataset. This is generally used if there are several sets of experiments, each with a
different sample or temperature, etc., that would imply a different value for the alignment tensor. By
default, there is one dataset to which each observed value is assigned. The tensors themselves are
entered for each dataset in the DIPOLE file.
field Magnetic field (in MHz) for the residual CSA being considered here. This is indexed from 1 to ncsa,
and is nucleus dependent. For example, if the proton frequency is 600 MHz, then field for 13C would
be 150, and that for 15N would be 60.
sigma11, sigma22, sigma12, sigma13, sigma23 Values of the CSA tensor (in ppm) for atom icsa, in the local
coordinate frame defined by atoms icsa,jcsa and kcsa. See $AMBERHOME/test/pcsa/RST.csa for
examples of how to set these.
ccut Controls printing of calculated and observed residual CSAs. Only values where abs(cobs(u,l) - ccalc)
is greater than ccut will be printed. Default is 0.1 Hz. Set to a negative value to print all information.
The residual CSA facility is new as of Amber 10, and has not been used as much as other parts
of the NMR refinement package. You should study the example files listed above to see how things
work. The residual CSA values should closely match those found by the RAMAH package (http://www-
personal.umich.edu/~hashimi/Software.html), and testing this should be a first step in making sure you have entered
the data correctly.
23.7. Preparing restraint files for Sander
Fig. 23.1 shows the general information flow for auxiliary programs that help prepare the restraint files. Once
the restraint files are made, Fig. 23.2 shows a flow-chart of the general way in which sander refinements are carried
out.
The basic ideas of this scheme owe a lot to the general experience of the NMR community over the past
decade. Several papers outline procedures in the Scripps group, from which a lot of the NMR parts of sander
are derived.[410,420–424] They are by no means the only way to proceed. We hope that the flexibility incorpo-
rated into sander will encourage folks to experiment with refinement protocols.
23.7.1. Preparing distance restraints: makeDIST_RST
The makeDIST_RST program converts a simplified description of distance bounds into a detailed input for
sander. A variety of input and output filenames may be specified on the command line:
input:
-upb <filename>7-col file of upper distance bounds, OR
-ual <filename>8-col file of upper and lower bounds, OR
-vol <filename>7-col file of NOESY volumes
-pdb <filename>Brookhaven format file
-map <filename>MAP file (default:map.DG-AMBER)
-les <filename>LES atom mappings, made by addles
421

23. NMR, X-ray, and cryo-EM/ET refinement
NOESY
peak-list
various
calibrations
7/8 column
distance
bounds
makeDIST_RST distance
restraints
makeDIST_RST volume
restraints
chemical
shift
restraints
chemical
shifts
analyze
ambiguities
MAP
file
default
MAP file
SHIFTS or
FA NTASIAN
spectr um
5column
coupling
constants
makeANG_RST J-coupling
restraints
DISANG
file
default
chirality
infor m.
makeCHIR_RST chirality
restraints
direct
dipolar
couplings
makeDIP_RST alignment
restraints
Figure 23.1.: Notation: circles represent logical information, whose format might differ from one project to the
next; solid rectangles are in a specific format (largely compatible with DIANA and other programs),
and are intended to be read and edited by the user; ellipses are specific to sander, and are generally
not intended to be read or edited manually. The conversion of NOESY volumes to distance bounds
can be carried out by a variety of programs such as mardigras or xpk2bound that are not included
with Amber. Similarly, the analysis and partial assignment of ambiguous or overlapped peaks is a
separate task; at TSRI, these are typically carried out using the programs xpkasgn and filter.pl
422

23.7. Preparing restraint files for Sander
gener ic
PDB-file
protonate Amber
PDB-file
LEaP pr mtop &
pr mcrd
files
sander
control
file
SANDER NMR
restraints
sander
output
sviolviolation
statistics
Amber
coordinates
ambpdb output
pdb-files
Figure 23.2.: General organization of NMR refinement calculations.
output:
-dgm <filename>DGEOM95 restraint format
-rst <filename>SANDER restraint format
-svf <filename>Sander Volume Format, for NOESY refinement
other options:
-help (gives you this explanation, overrides other parameters)
-report (gives you short runtime diagnostic output)
-nocorr (do not correct upper bound for r**-6 averaging)
-altdis (use alternative form for the distance restraints)
The 7/8 column distance bound file is essentially that used by the DIANA or DISGEO programs. It consists of
one-line per restraint, which would typically look like the following:
23 ALA HA 52 VAL H 3.8 # comments go here
The first three columns identify the first proton, the next three the second proton, and the seventh column gives the
upper bound. Only the first three letters of the residue name are used, so that DIANA files that contain residues
like "ASP-" will be correctly interpreted. An alternate, 8-column, format has both upper and lower bounds as the
seventh and eighth columns, respectively. A typical line might in an "8-col" file might look like this:
23 ALA HA 52 VAL H 3.2 3.8 # comments go here
Here the lower bound is 3.2 Åand the upper bound is 3.8 Å. Comments typically identify the spectrum and peak-
number or other identification that allow cross-referencing back to the appropriate spectrum. If the comment
contains the pattern "<integer>:<integer>", then the first integer is treated as a peak-identifier, and the second as
a spectrum-identifier. These identifiers go into the ixpk and nxpk variables, and will later be printed out in sander,
to facilitate going back to the original spectra to track down violations, etc.
The format for the -vol option is the same as for the -upb option except that the seventh column holds a peak
intensity (volume) value, rather than a distance upper bound.
423
23. NMR, X-ray, and cryo-EM/ET refinement
The input PDB file must exactly match the Amber prmtop file that will be used; use the ambpdb -aatm command
to create this.
If all peaks involved just single protons, and were fully assigned, this is all that one would need. In general,
though, some peaks (especially methyl groups or fast-rotating aromatic rings) represent contributions from more
than one proton, and many other peaks may not be fully assigned. Sander handles both of these situations in the
same way, through the notion of an "ambiguous" peak, that may correspond to several assignments. These peaks
are given two types of special names in the 7/8-column format file:
1. Commonly-occurring ambiguities, like the lack of stereospecific assignments to two methylene protons, are
given names defined in the default MAP file. These names, also more-or-less consistent with DIANA, are
like the names of "pseudo-atoms" that have long been used to identify such partially assigned peaks, e.g.
"QB" refers to the (HB2,HB3) combination in most residues, and "MG1" in valine refers collectively to the
three methyl protons at position CG1, etc.
2. There are generally also molecule-specific ambiguities, arising from potential overlap in a NOESY spectrum.
Here, the user assigns a unique name to each such ambiguity or overlap, and prepares a list of the potential
assignments. The names are arbitrary, but might be constructed, for example, from the chemical shifts that
identify the peak, e.g. "p_2.52" might identify the set of protons that could contribute to a peak at 2.52 ppm.
The chemical shift list can be used to prepare a list of potential assignments, and these lists can often be
pruned by comparison to approximate or initial structures.
The default and molecule-specific MAP files are combined into a single file, which is used, along with the
7-column restraint file, the the program makeDIST_RST to construct the actual sander input files. You should
consult the help file for makeDIST_RST for more information. For example, here are some lines added to the
MAP file for a recent TSRI refinement:
AMBIG n2:68 = HE 86 HZ 86
AMBIG n2:72 = HE 24 HD 24 HZ 24
AMBIG n2:73 = HN 81 HZ 13 HE 13 HD 13 HZ 24
AMBIG n2:78 = HN 76 HZ 13 HE 13 HZ 24
AMBIG n2:83 = HN 96 HN 97 HD 97 HD 91
AMBIG n2:86 = HD1 66 HZ2 66
AMBIG n2:87 = HN 71 HH2 66 HZ3 66 HD1 66
Here the spectrum name and peak number were used to construct a label for each ambiguous peak. Then, an entry
in the restraint file might look like this:
123 GLY HN 0 AMB n2:68 5.5
indicating a 5.5 Åupper bound between the amide proton of Gly 123 and a second proton, which might be either
the HE or HZ protons of residue 86. (The "zero" residue number just serves as a placeholder, so that there will be
the same number of columns as for non-ambiguous restraints.) If it is possible that the ambiguous list might not
be exhaustive (e.g. if some protons have not been assigned), it is safest to set ialtd=1, which will allow "mistakes"
to be present in the constraint list. On the other hand, if you want to be sure that every violation is "active", set
ialtd=0.
If the -les flag is set, the program will prepare distance restraints for multiple copies (LES) simulations. In this
case, the input PDB file is one without LES copies, i.e. with just a single copy of the molecule. The "lesfile"
specified by this flag is created by the addles program, and contains a mapping from original atom numbers into
the copy numbers used in the multiple-copies simulation.
The -rst and -svf flags specify outputs for sander, for distance restraints and NOESY restraints, respectively.
In each case, you may need to hand-edit the outputs to add additional parameters. You should make it a habit to
compare the outputs with the descriptions given earlier in this chapter to make sure that the restraints are what you
want them to be.
It is common to run makeDIST_RST several times, with different inputs that correspond to different spectra,
different mixing times, etc. It is then expected that you will manually edit the various output files to combine them
into the single file required by sander.
424
23.7. Preparing restraint files for Sander
23.7.2. Preparing torsion angle restraints: makeANG_RST
There are fewer "standards" for representing coupling constant information. We have followed the DIANA
convention in the program makeANG_RST. This program takes as input a five-column torsion angle constraint file
along with an Amber PDB file of the molecule. It creates as output (to standard out) a list of constraints in RST
format that is readable by Amber.
Usage: makeANG_RST -help
makeANG_RST -pdb ambpdb_file [-con constraint] [-lib libfile]
[-les lesfile ]
The input torsion angle constraint file can be read from standard in or from a file specified by the -con option on
the command line. The input constraint file should look something like this:
1 GUA PPA 111.5 144.0
2 CYT EPSILN 20.9 100.0
2 CYT PPA 115.9 134.2
3 THY ALPHA 20.4 35.6
4 ADE GAMMA 54.7 78.8
5 GLY PHI 30.5 60.3
6 ALA CHI 20.0 50.0
....
Lines beginning with "#" are ignored. The first column is the residue number; the second is the residue name (three
letter code, or as defined in your personal torsion library file). Only the first three letters of the residue name are
used, so that DIANA files that contain residues like "ASP-" will be correctly interpreted. Third is the angle name
(taken from the torsion library described below).The fourth column contains the lower bound, and the fifth column
specifies the upper bound. Additional material on the line is (presently) ignored.
Note: It is assumed that the lower bound and the upper bound define a region of allowed conformation on the
unit circle that is swept out in a clockwise direction from lb →ub. If the number in the lb column is greater than
the the number in the ub column, 360°will successively be subtracted from the lb until lb <ub. This preserves
the clockwise definition of the allowed conformation space, while also making the number that specifies the lower
bound less than the number that specifies the upper bound, as is required by Amber. If this occurs, a warning
message will be printed to stderr to notify the user that the data has been modified.
The angles that one can constrain in this manner are defined in the library file that can be optionally specified on
the command line with the -lib flag, or the default library "tordef.lib" (written by Garry P. Gippert) will be used. If
you wish to specify your own nomenclature, or add angles that are not already defined in the default file, you
should make a copy of this file and modify it to suit your needs. The general format for an entry in the library is:
LEU PSI N CA C N+
where the first column is the residue name, the second column is the angle name that will appear in the input file
when specifying this angle, and the last four columns are the atom names that define the torsion angle. When a
torsion angle contains atom(s) from a preceding or succeeding residue in the structure, a "-" or "+" is appended
to those atom names in the library, thereby specifying that this is the case. In the example above, the atoms that
define PSI for LEU residues are the N, CA, and C atoms of that same LEU and the N atom of the residue after that
LEU in the primary structure. Note that the order of atoms in the definition is important and should reflect that the
torsion angle rotates about the two central atoms as well as the fact that the four atoms are bonded in the order that
is specified in the definition.
If the first letter of the second field is "J", this torsion is assumed to be a J-coupling constraint. In that case,
three additional floats are read at the end of the line, giving the A,B and C coefficients for the Karplus relation for
this torsion. For example:
ALA JHNA H N CA HA 9.5 -1.4 0.3
will set up a J-coupling restraint for the HN-HA 3-bond coupling, assuming a Karplus relation with A,B, C as 9.5,
-1.4 and 0.3. (These particular values are from Brüschweiler and Case, JACS 116: 11199 (1994).)
425
23. NMR, X-ray, and cryo-EM/ET refinement
This program also supports pseudorotation phase angle constraints for prolines and nucleic acid sugars; each of
these will generate restraints for the 5 component angles which correspond to the lb and ub values of the input
pseudorotation constraint. In the torsion library, a pseudorotation definition looks like:
PSEUDO CYT PPA NU0 NU1 NU2 NU3 NU4
CYT NU0 C4’ O4’ C1’ C2’
CYT NU1 O4’ C1’ C2’ C3’
CYT NU2 C1’ C2’ C3’ C4’
CYT NU3 C2’ C3’ C4’ O4’
CYT NU4 C3’ C4’ O4’ C1’
The first line describes that a PSEUDOrotation angle is to be defined for CYT that is called PPA and is made up of
the five angles NU0-NU4. Then the definition for NU0-NU4 should also appear in the file in the same format as
the example given above for LEU PSI.
PPA stands for Pseudorotation Phase Angle and is the angle that should appear in the input constraint file when
using pseudorotation constraints. The program then uses the definition of that PPA angle in the library file to look
for the 5 other angles (NU0-NU4 in this case) which it then generates restraints for. PPA for proline residues is
included in the standard library as well as for the DNA nucleotides.
If the -les flag is set, the program will prepare torsion angle restraints for multiple copies (LES) simulations. In
this case, the input PDB file is one without LES copies, i.e. with just a single copy of the molecule. The "lesfile"
specified by this flag is created by the addles program, and contains a mapping from original atom numbers into
the copy numbers used in the multiple-copies simulation.
Torsion angle constraints defined here cannot span two different copy sets, i.e., there cannot be some atoms of
a particular torsion that are in one multiple copy set, and other atoms from the same torsion that are in other copy
sets. It is OK to have some atoms with single copies, and others with multiple copies in the same torsion. The
program will create as many duplicate torsions as there are copies.
A good alternative to interpreting J-coupling constants in terms of torsion angle restraints is to refine directly
against the coupling constants themselves, using an appropriate Karplus relation. See the discussion of the variable
RJCOEF, above.
23.7.3. Chirality restraints: makeCHIR_RST
Usage: makeCHIR_RST <pdb-file> <output-constraint-file>
We also find it useful to add chirality constraints and trans-peptide ωconstraints (where appropriate) to prevent
chirality inversions or peptide bond flips during the high-temperature portions of simulated annealing runs. The
program makeCHIR_RST will create these constraints. Note that you may have to edit the output of this program
to change trans peptide constraints to cis, as appropriate.
23.7.4. Direct dipolar coupling restraints: makeDIP_RST
For simulations with residual dipolar coupling restraints, the makeDIP_RST.protein,makeDIP_RST.dna and
makeDIP_RST.diana are simple codes to prepare the input file. Use -help to obtain a more detailed description of
the usage. For now, this code only handles backbone NH and CαH data. The header specifying values for various
parameters needs to be manually added to the output of makeDIP_RST.
Use of residual dipolar coupling restraints is new both for Amber and for the general NMR community. Re-
finement against these data should be carried out with care, and the optimal values for the force constant, penalty
function, and initial guesses for the alignment tensor components are still under investigation. Here are some
suggestions from the experiences so far:
1. Beware of overfitting the dipolar coupling data in the expense of Amber force field energy. These dipolar
coupling data are very sensitive to tiny changes in the structure. It is often possible to drastically improve
the fitting by making small distortions in the backbone angles. We recommend inclusion of explicit angle
restraints to enforce ideal backbone geometry, especially for those residues that have corresponding residual
dipolar coupling data.
426
23.7. Preparing restraint files for Sander
2. The initial values for the Cartesian components of the alignment tensor can influence the final structure and
alignment if the structure is not fixed (ibelly = 0). For a fixed structure (ibelly = 1), these values do not
matter. Therefore, the current "best" strategy is to fit the experimental data to the fixed starting structure, and
use the alignment tensor[s] obtained from this fitting as the initial guesses for further refinement.
3. Amber is capable of simultaneously fitting more than one set of alignment data. This allows the use of
individually obtained datasets with different alignment tensors. However, if the different sets of data have
equal directions of alignment but different magnitudes, using an overall scaling factor for these data with a
single alignment tensor could greatly reduce the number of fitting parameters.
4. Because the dipolar coupling splittings depend on the square root of the order parameters (0 ≤S2 ≤1), these
order parameters describing internal motion of individual residues are often neglected (N. Tjandra and A.
Bax, Science 278, 1111-1113, 1997). However, the square root of a small number can still be noticeably
smaller than 1, so this may introduce undesirable errors in the calculations.
23.7.5. fantasian
A program to evaluate magnetic anisotropy tensor parameters
Ivano Bertini
Depart. of Chemistry, Univ. of Florence, Florence, Italy
e-mail: bertini@risc1.lrm.fi.cnr.it
INPUT FILES:
Observed shifts file (pcshifts.in):
1st column -->residue number
2nd column -->residue name
3rd column -->proton name
4th column -->observed pseudocontact shift value
5th column -->multiplicity of the NMR signal (for example it is 3 for of a methyl group)
6th column -->relative tolerance
7th column -->relative weight
Amber pdb file (parm.pdb): coordinates file in PDB format. If you need to use a solution NMR family of structures
you have to superimpose the structures before to use them.
OUTPUT FILES:
Observed out file (obs.out): This file is built and read by the program itself, it reports the data read from the input
files.
output file (res.out): The main output file. In this file the result of the fitting is reported. Using fantasian it
is possible to define an internal reference system to visualize the orientation of the tensor axes. Then in this file
you can find PDB format lines (ATOM) which can be included in a PDB file to visualize the internal reference
system and the tensor axes. In the main output file all the three equivalent permutations of the tensor parameters
with respect to the reference system are reported. The summary of the minimum and maximum errors and that of
squared errors are also reported.
Example files: in the directory example there are all the files necessary to run a fantasian calculation:
fantasian.com -->run file
pcshifts.in -->observed shifts file
parm.pdb -->coordinate file in PDB format
obs.out -->data read from input files
res.out -->main output file ~
427
23. NMR, X-ray, and cryo-EM/ET refinement
23.8. Getting summaries of NMR violations
If you specify LISTOUT=POUT when running sander, the output file will contain a lot of detailed information
about the remaining restraint violations at the end of the run. When running a family of structures, it can be useful
to process these output files with sviol, which takes a list of sander output files on the command line, and sends a
summary of energies and violations to STDOUT. If you have more than 20 or so structures to analyze, the output
from sviol becomes unwieldy. In this case you may also wish to use sviol2, which prints out somewhat less detailed
information, but which can be used on larger families of structures. The senergy script gives a more detailed view
of force-field energies from a series of structures. (We thank the TSRI NMR community for helping to put these
scripts together, and for providing many useful suggestions.)
23.9. Time-averaged restraints
The model of the previous sections involves the "single-average-structure" idea, and tries to fit all constraints to
a single model, with minimal deviations. A generalization of this model treats distance constraints arising from
from NOE crosspeaks (for example) as being the average distance determined from a trajectory, rather than as the
single distance derived from an average structure.
Time-averaged bonds and angles are calculated as
¯r= (1/C)Zt
0e(t0−t)/τr(t0)−idt0−1/i
(23.1)
where
¯r= time-averaged value of the internal coordinate (distance or angle)
t= the current time
τ= the exponential decay constant
r(t0)= the value of the internal coordinate at time t’
i= average is over internals to the inverse of i. Usually i= 3 or 6 for NOE distances, and -1 (linear
averaging) for angles and torsions.
C= a normalization integral.
Time-averaged torsions are calculated as
<ϕ>=tan−1(<sin(φ)> / < cos(φ)>)
where φis the torsion, and <sin(φ)>and <cos(φ)>are calculated using the equation above with sin(φ(t0))
or cos(φ(t0)) substituted for r(t0).
Forces for time-averaged restraints can be calculated either of two ways. This option is chosen with the DISAVI
/ ANGAVI / TORAVI commands. In the first (the default),
∂E/∂x= (∂E/∂¯r)(∂¯r/∂r(t))(∂r(t)/∂x)(23.2)
(and analogously for y and z). The forces then correspond to the standard flat-bottomed well functional form, with
the instantaneous value of the internal replaced by the time-averaged value. For example, when r3<¯r<r4,
E=k3(¯r−r3)2
and similarly for other ranges of ¯r.
When the second option for calculating forces is chosen (IINC = 1 on a DISAVI, ANGAVI or TORAVI card),
forces are calculated as
428
23.10. Multiple copies refinement using LES
∂E/∂x= (∂E/∂¯r)(∂r(t)/∂x)(23.3)
For example, when r3<¯r<r4,
∂E/∂x=2k3(¯r−r3)(∂r(t)/∂x)
Integration of this equation does not give Eq. 23.2, but rather a non-intuitive expression for the energy (although
one that still forces the bond to the target range). The reason that it may sometimes be preferable to use this second
option is that the term ∂¯r/∂r(t), which occurs in the exact expression [Eq. 23.2], varies as (¯r/r(t))1+i. When
i=3, this means the forces can be varying with the fourth power the distance, which can possibly lead to very large
transient forces and instabilities in the molecular dynamics trajectory. [Note that this will not be the case when
linear scaling is performed, i.e. when i=−1, as is generally the case for valence and torsion angles. Thus, for
linear scaling, the default (exact) force calculation should be used].
It should be noted that forces calculated using Eq. 23.3 are not conservative forces, and would cause the system
to gradually heat up, if no velocity rescaling were performed. The temperature coupling algorithm should act to
maintain the average temperature near the target value. At any rate, this heating tendency should not be a problem
in simulations, such as fitting NMR data, where MD is being used to sample conformational space rather than to
extract thermodynamic data.
This section has described the methods of time-averaged restraints. For more discussion, the interested user is
urged to consult studies where this method has been used.[425–429]
23.10. Multiple copies refinement using LES
NMR restraints can be made compatible with the multiple copies (LES) facility; see the following chapter for
more information about LES. To use NMR constraints with LES, you need to do two things:
(1) Add a line like "file wnmr name=(lesnmr) wovr" to your input to addles. The filename (lesnmr in this
example) may be whatever you wish. This will cause addles to output an additional file that is needed at the next
step.
(2) Add "-les lesnmr" to the command line arguments to makeDIST_RST. This will read in the file created
by addles containing information about the copies. All NMR restraints will then be interpreted as "ambiguous"
restraints, so that if any of the copies satisfies the restraint, the penalty goes to zero.
Note that although this scheme has worked well on small peptide test cases, we have yet not used it extensively
for larger problems. This should be treated as an experimental option, and users should use caution in applying or
interpreting the results.
23.11. Some sample input files
The next few pages contain excerpts from some sample NMR refinement files used at TSRI. The first example
just sets up a simple (but often effective) simulated annealing run. You may have to adjust the length, temperature
maximum, etc. somewhat to fit your problem, but these values work well for many "ordinary" NMR problems.
23.11.1. 1. Simulated annealing NMR refinement
15ps simulated annealing protocol
&cntrl
nstlim=15000, ntt=1, (time limit, temp. control)
ntpr=500, pencut=0.1, (control of printout)
ipnlty=1, nmropt=1, (NMR penalty function options)
vlimit=10, (prevent bad temp. jumps)
ntb=0, (non-periodic simulation)
/
429
23. NMR, X-ray, and cryo-EM/ET refinement
&ewald
eedmeth=5, (use r dielectric)
/
#
# Simple simulated annealing algorithm:
#
# from steps 0 to 1000: raise target temperature 10->1200K
# from steps 1000 to 3000: leave at 1200K
# from steps 3000 to 15000: re-cool to low temperatures
#
&wt type=’TEMP0’, istep1=0,istep2=1000,value1=10.,
value2=1200., /
&wt type=’TEMP0’, istep1=1001, istep2=3000, value1=1200.,
value2=1200.0, /
&wt type=’TEMP0’, istep1=3001, istep2=15000, value1=0.,
value2=0.0, /
#
# Strength of temperature coupling:
# steps 0 to 3000: tight coupling for heating and equilibration
# steps 3000 to 11000: slow cooling phase
# steps 11000 to 13000: somewhat faster cooling
# steps 13000 to 15000: fast cooling, like a minimization
#
&wt type=’TAUTP’, istep1=0,istep2=3000,value1=0.2,
value2=0.2, /
&wt type=’TAUTP’, istep1=3001,istep2=11000,value1=4.0,
value2=2.0, /
&wt type=’TAUTP’, istep1=11001,istep2=13000,value1=1.0,
value2=1.0, /
&wt type=’TAUTP’, istep1=13001,istep2=14000,value1=0.5,
value2=0.5, /
&wt type=’TAUTP’, istep1=14001,istep2=15000,value1=0.05,
value2=0.05, /
#
# "Ramp up" the restraints over the first 3000 steps:
#
&wt type=’REST’, istep1=0,istep2=3000,value1=0.1,
value2=1.0, /
&wt type=’REST’, istep1=3001,istep2=15000,value1=1.0,
value2=1.0, /
&wt type=’END’ /
LISTOUT=POUT (get restraint violation list)
DISANG=RST.f (file containing NMR restraints)
The next example just shows some parts of the actual RST file that sander would read. This file would ordinarily
not be made or edited by hand; rather, run the programs makeDIST_RST,makeANG_RST and makeCHIR_RST,
combining the three outputs together to construct the RST file.
23.11.2. Part of the RST.f file referred to above
# first, some distance constraints prepared by makeDIST_RST:
# (comment line is input to makeRST, &rst namelist is output)
#
430
23.11. Some sample input files
#( proton 1 proton 2 upper bound)
#---------------------------------------------
#
# 2 ILE HA 3 ALA HN 4.00
#
&rst iat= 23, 40, r3= 4.00, r4= 4.50,
r1 = 1.3, r2 = 1.8, rk2=0.0, rk3=32.0, ir6=1, /
#
# 3 ALA HA 4 GLU HN 4.00
#
&rst iat= 42, 50, r3= 4.00, r4= 4.50, /
#
# 3 ALA HN 3 ALA MB 5.50
#
&rst iat= 40, -1, r3= 6.22, r4= 6.72,
igr1= 0, 0, 0, 0, igr2= 44, 45, 46, 0, /
#
# .......etc......
#
# next, some dihedral angle constraints, from makeANG_RST:
#
&rst iat= 213, 215, 217, 233, r1=-190.0,
r2=-160.0, r3= -80.0, r4= -50.0, /
&rst iat= 233, 235, 237, 249, r1=-190.0,
r2=-160.0, r3= -80.0, r4= -50.0, /
# .......etc.......
#
# next, chirality and omega constraints prepared by makeCHIR_RST:
#
#
# chirality for residue 1 atoms: CA CG HB2 HB3
&rstiat=3,8,6,7,
r1=10., r2=60., r3=80., r4=130., rk2 = 10., rk3=10., /
#
# chirality for residue 1 atoms: CB SD HG2 HG3
&rstiat=5,11,9,10,/
#
# chirality for residue 1 atoms: N C HA CB
&rstiat=1,18,4,5,/
#
# chirality for residue 2 atoms: CA CG2 CG1 HB
&rst iat= 22 , 26 , 30 , 25 , /
#
......etc........
# trans-omega constraint for residue 2
&rst iat= 22 , 20 , 18 , 3 ,
r1=155., r2=175., r3=185., r4=205., rk2 = 80., rk3=80., /
#
# trans-omega constraint for residue 3
&rst iat= 41 , 39 , 37 , 22 , /
#
# trans-omega constraint for residue 4
&rst iat= 51 , 49 , 47 , 41 , /
431
23. NMR, X-ray, and cryo-EM/ET refinement
#
# ......etc........
#
The next example is an input file for volume-based NOE refinement. As with the distance/angle RST file shown above, the user would generally not construct this file, but create it from a "7-column" file using the makeDIST_RST program. Hand-editing might be used at the top of the file, to change the correlation times, etc.
23.11.3. 3. Sample NOESY intensity input file
#A part of a NOESY intensity file:
&noeexp
id2o=1, (exchangeable protons removed)
oscale=6.21e-4, (scale between exp. and calc. intensity units)
taumet=0.04, (correlation time for methyl rotation, in ns.)
taurot=4.2, (protein tumbling time, in ns.)
NPEAK = 13*3, (three peaks, each with 13 mixing times)
EMIX = 2.0E-02, 3.0E-02, 4.0E-02, 5.0E-02, 6.0E-02,
8.0E-02, 0.1, 0.126, 0.175, 0.2, 0.25, 0.3, 0.35,
(mixing times, in sec.)
IHP(1,1) = 13*423, IHP(1,2) = 13*1029, IHP(1,3) = 13*421,
(number of the first proton)
JHP(1,1) = 78*568, JHP(1,2) = 65*1057, JHP(1,3) = 13*421,
(number of the second proton)
AEXP(1,1) = 5.7244, 7.6276, 7.7677, 9.3519,
10.733, 15.348, 18.601,
21.314, 26.999, 30.579,
33.57, 37.23, 40.011,
(intensities for the first cross-peak)
AEXP(1,2) = 8.067, 11.095, 13.127, 18.316,
22.19, 26.514, 30.748,
39.438, 44.065, 47.336,
54.467, 56.06, 60.113,
AEXP(1,3) = 7.708, 13.019, 15.943, 19.374,
25.322, 28.118, 35.118,
40.581, 49.054, 53.083,
56.297, 59.326, 62.174,
/
SUBMOL1
RES 27 27 29 29 39 41 57 57 70 70 72 72 82 82 (residues in this submol)
END END
Next, we illustrate the form of the file that holds residual dipolar coupling restraints. Again, this would generally
be created from a human-readable input using the program makeDIP_RST.
23.11.4. Residual dipolar restraints, prepared by makeDIP_RST:
&align
ndip=91, dcut=-1.0, gigj = 37*-3.1631, 54*7.8467,
s11=3.883, s22=53.922, s12=33.855, s13=-4.508, s23=-0.559,
id(1)=188, jd(1)=189, dobsu(1)= 6.24, dobsl(1)= 6.24,
id(2)=208, jd(2)=209, dobsu(2)= -10.39, dobsl(1)= -10.39,
id(3)=243, jd(3)=244, dobsu(3)= -8.12, dobsl(1)= -8.12,
....
id(91)=1393, jd(91)=1394, dobsu(91)= -19.64, dobsl(91) = -19.64,
/
432
23.12. X-ray Crystallography Refinement using SANDER
Finally, we show how the detailed input to sander could be used to generate a more complicated restraint. Here is
where the user would have to understand the details of the RST file, since there are no "canned" programs to create
this sort of restraint. This illustrates, though, the potential power of the program.
23.11.5. A more complicated constraint
# 1) Define two centers of mass. COM1 is defined by
# {C1 in residue 1; C1 in residue 2; N2 in residue 3; C1 in residue 4}.
# COM2 is defined by {C4 in residue 1; O4 in residue 1; N*in residue 1}.
# (These definitions are effected by the igr1/igr2 and grnam1/grnam2
# variables; You can use up to 200 atoms to define a center-of-mass
# group)
#
# 2) Set up a distance restraint between COM1 and COM2 which goes from a
# target value of 5.0A to 2.5A, with a force constant of 1.0, over steps 1-5000.
#
# 3) Set up a distance restraint between COM1 and COM2 which remains fixed
# at the value of 2.5A as the force slowly constant decreases from
# 1.0 to 0.01 over steps 5001-10000.
#
# 4) Sets up no distance restraint past step 10000, so that free (unrestrained)
# dynamics takes place past this step.
#
&rst iat=-1,-1, nstep1=1,nstep2=5000,
iresid=1,irstyp=0,ifvari=1,ninc=0,imult=0,ir6=0,ifntyp=0,
r1=0.00000E+00,r2=5.0000,r3=5.0000, r4=99.000,rk2=1.0000,rk3=1.0000,
r1a=0.00000E+00,r2a=2.5000,r3a=2.5000, r4a=99.000,rk2a=1.0000,rk3a=1.0000,
igr1 = 2,3,4,5,0, grnam1(1)=’C1’,grnam1(2)=’C1’,grnam1(3)=’N2’,
grnam1(4)=’C1’, igr2 = 1,1,1,0, grnam2(1)=’C4’,grnam2(2)=’O4’,grnam2(3)=’N*’,
/
&rst iat=-1,-1, nstep1=5001,nstep2=10000,
iresid=1,irstyp=0,ifvari=1,ninc=0,imult=0,ir6=0,ifntyp=0,
r1=0.00000E+00,r2=2.5000,r3=2.5000, r4=99.000,rk2=1.0000,rk3=1.0000,
r1a=0.00000E+00,r2a=2.5000,r3a=2.5000, r4a=99.000,rk2a=1.0000,rk3a=0.0100,
igr1 = 2,3,4,5,0, grnam1(1)=’C1’,grnam1(2)=’C1’,grnam1(3)=’N2’,
grnam1(4)=’C1’, igr2 = 1,1,1,0, grnam2(1)=’C4’,grnam2(2)=’O4’,grnam2(3)=’N*’,
/
23.12. X-ray Crystallography Refinement using SANDER
An interface program links the SANDER and Crystallography and NMR System (CNS) software packages[430]
to run QM/MM refinement on X-ray crystal structures, which in many instances will lead to an improvement of
X-ray crystal structure quality for medium to low resolution datasets.[431,432] The QM calculation is enabled
by a linear scaling semi-empirical technique, the divide-and-conquer method, allowing large portions of a protein
to be studied at a quantum mechanical level of theory while still retaining charge effects from the surrounding
protein.[273,274,433]
SANDER computes forces to make an additional call to the interface program, where the atomic coordinates are
output to a scratch file, CNS is then invoked via a system call to calculate the X-ray target function and its gradient
in Cartesian space based on the coordinates in the scratch file. In practice, this is accomplished by modifying
the CNS input script, minimize.inp. It does not perform minimization but only evaluates and outputs the X-ray
target function and gradient based on the input structure. Next the X-ray target function and the gradient deposited
in the scratch files are read into SANDER and added to the physical energy and gradient according to following
433

23. NMR, X-ray, and cryo-EM/ET refinement
equations. The QM/MM refinement proceeds by minimizing the total target function.
Etotal = Echem +wxrayExray
The QM/MM setup in SANDER is discussed in Chapter 9. In order to run QM/MM refinement in Amber, you
should have CNS already installed and set up the environment variables for CNS in your shell script. Make sure
you can run “cns_solve <minimize.inp >minimize.out” directly from your working directory. Convert
the PDB structure factors file into CNS format. Generate the input topology and coordinate files for the CNS
refinement. If necessary, construct topology and parameter files for unusual ligands as well. The initial coordinates
in the SANDER and CNS input files should be consistent with one another. Provide the necessary (and correct) in-
formation about crystal structure in the minimize.inp, such as crystal data, space group, etc. Change the weighting
factor (wxray)to balance QM/MM chemical data and the crystallographic data as appropriate.
File Usage
sander [-help] [-O] -i qmmmin -o qmmmout -p prmtop -c inpcrd -x qmmmcrd -cns
Files for sander
qmmmin Control data for the QM/MM minimization run
prmtop Molecular topology, force field, periodic box type, atom and residue names
inprcd Initial coordinates
Files for CNS
minimize.inp Modified minimization input
protein.cv Structure factors file in cns format
xref.in Link file connected between sander and CNS
generate.mtf Topology file in CNS format
generate.pdb Initial coordinates in CNS format
Sample inputs and outputs are in the $AMBERHOME/test/1vrp_xray directory.
23.13. EMAP restraints for rigid and flexible fitting into EM maps
EMAP restrained simulation[308,434] was developed to incooperate electron microscopy (EM) image infor-
mation into macromolecular structure determination. Different from NMR and X-ray data, EM images have low
resolutions (5~50Å). However, EM images of large molecular assemblies up to millions of atoms and in various
biological relavent environments are available. This low resolution images provide precious structure information
that can help to determine structures of many molecular assemblies and machineries[434–441].
With EMAP restraints, Sander and PMEMD can be used to perform both rigid[434] and flexible[308] fitting of
molecules into experimental maps of complexes to obtain complex structures, to obtain conformations agreeing
with experimental maps. In addition to experimental map information, homologuous structural information can be
used by EMAP to perform targeted conformational search (TCS) to induce simulation systems to form structures
of interest.
If the restraint map or structure is very different from the starting conformation, SGLD is recommended to
induce large conformational change by setting isgld=1. This is often used to simulate conformational transition
between different states. See Sampling and free energy search section20.1 for details in setup SGLD runs.
If domain motion is desired while domain structures need to be maintained, one can use an EMAP restraint
generated from the initial coordinate for each domain and set move=1 to allow the restraint map tp move with the
domain, so that domains can search the conformational space without unfolding or changing structures.
Each EMAP restraint is defined by a map file and a selection of atoms, as well as related parameters. Multiple
EMAP restraints can be defined. The map can be either input from an image file, or generated from a pdb structure
or derived from the starting coordinates. The definition of EMAP restraints are read in from the input file as “emap”
namelists. The following are variables in each emap namelist.
mapfile file name of a restraint map or structure. The restraint maps must be in “map”, “ccp4”, or “mrc”
format. The structure must be in pdb format. The structure need not be the same as the simulation
434

23.13. EMAP restraints for rigid and flexible fitting into EM maps
system. A resolution can be specified for the conversion to a density map. When a blank filename
is specified, mapfile=”, the input coordinates of the masked atoms will be used to generate a restraint
map. (default=”).
atmask atom mask for selecting atoms to be restrained. (default=’:*’).
fcons restraining constant. (default=0.05 kcal/g).
move Allow the restraint map to move when move>0. (default=0).
resolution The resolution used to convert an atomic structure to a map. (default=2 Å).
ifit Perform rigid fitting before simulation when ifit>0. One would do this when the initial coordinates
don’t match those of the map. (default=0). When the fit is performed, the map is transformed (by
translation and rotation) to match the coordinates; the coordinates are not altered. In addition, EMAP
allows output of the re-oriented map (mapfit=...)that matches the (final) simulation coordinates, and/or
output of the coordinates (molfit=...) that would match the orientation of the original map.
grids Grid numbers in x,y,z,phi,psi,theta dimensions for grid-threading rigid fitting[434]. For example,
grids=2,2,2,3,3,3 defines 2 grid points in each of x,y,z directions between the minimum and maixmum
coordinates, and 3 grid points in each of phi (0-360), psi(0-360), theta(0-180) angles. A search for
local minimums start from every grid point and the global minimum is identified from all the local
minimums. (default=1,1,1,1,1,1) .
mapfit file name for the final constraint map after rigid fitting and/or moving. The file name must has an
extension of .map, .ccp4, or .mrc. (default=”, for no map output).
molfit file name for the final restrained atom coordinates after rigid fitting and/or simulation. The file name
must has an extension of .pdb. (default=”, for no structure output).
Here is an example input file for an EMAP constrained SGLD simulation:
Map Constraint Self-Guided Langevin dynamics
&cntrl ntx=1, ntb=0,nstlim=100000, imin=0, maxcyc=1, ntc=2, ntf=2, cut=9.0,
ntpr=1000, ntwr=10000,ntwx=10000, ntt=3, gamma_ln=10.0,nscm=100, dt=0.001,
ntb=0,igb=0,ips=1, isgld=1, tsgavg=1.0, sgft=0.5,tempsg=0, (SGLD)
iemap=1, (turn on EMAP )
/
&emap (EMAP restraint 1 )
mapfile=’data/1gb1.ccp4’, (map is input from a map file)
atmask=’:1-20’, (residues 1-20 are restrained)
fcons=0.1,
move=1, (restraint map can move)
ifit=1, (perform rigid fitting first)
mapfit=’scratch/gb1n_1.ccp4’, (final map)
molfit=’scratch/gb1n_1.pdb’, / (final restrained atoms related to initial map)
&emap (EMAP restraint 2)
mapfile=’data/1gb1.pdb’, (map is generated from a pdb file)
atmask=’:22-37’, (residues 22-37 are restrained)
fcons=0.1,move=0, (restraint map is fixed)
ifit=1, (perform rigid fitting first)
mapfit=’scratch/gb1h_1.ccp4’, (final map, same as initial)
molfit=’scratch/gb1h_1.pdb’, / (final restrained atoms related to initial map)
&emap (EMAP restraint 3)
mapfile=’’, (map is generated from initial coordinates)
atmask=’:41-56’, (residues 41-56 are restrained)
fcons=0.1,move=1, (restraint map can move)
ifit=1, (perform rigid fitting first)
mapfit=’scratch/gb1c_1.ccp4’, (final map)
molfit=’scratch/gb1c_1.pdb’, / (final restrained atoms related to initial map)
435
24. LES
The LES functionality for sander was written by Carlos Simmerling. It basically functions by modifying the
prmtop file using the program addles. The modified prmtop file is then used with a slightly modified version of
sander called sander.LES.
24.1. Preparing to use LES with Amber
The first decision that must be made is whether LES is an appropriate technique for the system that you are
studying. For further guidance, you may wish to consult published articles to see where LES has proven useful in
the past. Several examples will also be given at the end of this section in order to provide models that you may
wish to follow.
There are three main issues to consider before running the ADDLES module of Amber.
1. What should be copied?
2. How many copies should be used?
3. How many regions should be defined?
A brief summary of my experience with LES follows.
1. You should make copies of flexible regions of interest. This sounds obvious, and in some cases it is. If
you are interested in determining the conformation of a protein loop, copy the loop region. If you need to
determine the position of a side chain in a protein after a single point mutation, copy that side chain. If the
entire biomolecule needs refinement, then copy the entire molecule. Some other cases may not be obvious-
you may need to decide how far away from a particular site structural changes may propagate, and how far
to extend the LES region.
2. You should use as few copies as are necessary. While this doesn’t sound useful, it illustrates the general
point–too few copies and you won’t get the full advantages of LES, and too many will not only increase
your system size unnecessarily but will also flatten the energy surface to the point where minima are no
longer well defined and a wide variety of structures become populated. In addition, remember that LES is
an approximation, and more copies make it more approximate. Luckily, published articles that explore the
sensitivity of the results to the number of copies show that 3-10 copies are usually reasonable and provide
similar results, with 5 copies being a good place to start.
3. Placing the divisions between regions can be the most difficult choice when using LES. This is essentially
a compromise between surface smoothing and copy independence. The most effective surface-smoothing
in LES takes places between LES regions. This is because Na copies in region A interact with all Nb
copies in region B, resulting in Na*Nb interactions, with each scaled by 1/(Na*Nb) compared to the original
interaction. This is better both from the statistics of how many different versions of this interaction contribute
to the LES average, and how much the barriers are reduced. Remember that since the copies of a given region
do not interact with different copies of that same region, interactions inside a region are only scaled by 1/N.
The other thing to consider is whether these enhanced statistics are actually helpful. For example, if the copies
cannot move apart, you will obtain many copies of the same conformation–obviously not very helpful. This will
also result in less effective reduction in barriers, since the average energy barriers will be very similar to the non-
average barrier. The independence of the copies is also related to how the copies are attached. For example,
different copies of an amino acid side chain are free to rotate independently (at least within restrictions imposed
437
24. LES
by the surroundings and intrinsic potential) and therefore each side chain in the sequence could be placed into a
separate LES region. If you are interested in backbone motion, however, placing each amino acid into a separate
region is not the best choice. Each copy of a given amino acid will be bonded to the neighbor residues on each
side. This restriction means that the copies are not very independent, since the endpoints for each copy need to
be in nearly the same places. A better choice is to use regions of 2-4 amino acids. As the regions get larger,
each copy can start to have more variety in conformation- for example, one segment may have some copies in a
helical conformation while others are more strand-like or turn-like. The general rule is that larger regions are more
independent, though you need to consider what types of motions you expect to see.
The best way to approach the division of the atoms that you wish to copy into regions is to make sure that you
have several LES regions (unless you are copying a very small region such as a short loop or a small ligand). This
will ensure plenty of inter-copy averaging. Larger regions permit wider variations in structure, but result in less
surface smoothing. A subtle point should be addressed here- the statistical improvement available with LES is not
a benefit in all cases and care must be taken in the choice of regions. For example, consider a ligand exiting a
protein cavity in which a side chain acts as a gate and needs to move before the ligand can escape. If we make
multiple copies of the gate, and do not copy the ligand, the ligand will interact in an average way with the gates. If
the gate was so large that even the softer copies can block the exit, then the ligand would have to wait until ALL of
the gate copies opened in order to exit. This may be more statistically difficult than waiting for the original, single
gate to open despite the reduced barriers. Another way to envision this is to consider the ligand trying to escape
against a true probability distribution of the gate- if it was open 50% of the time and closed 50%, then the exit may
still be completely blocked. Continuum representations are therefore not always the best choice.
Specific examples will be given later to illustrate how these decisions can be made for a particular system.
24.2. Using the ADDLES program
The ADDLES module of Amber is used to prepare input for simulations using LES. A non-LES prmtop and
prmcrd file are generated using a program such as LEaP. This prmtop file is then given to ADDLES and replaced
by a new prmtop file corresponding to the LES system. All residues are left intact- copies of atoms are placed in the
same residue as the original atom, so that analysis based on sequence is preserved. Atom numbering is changed,
but atom names are unchanged, meaning that a given residue may have several atoms with the same name. A
different program is available for taking this new topology file and splitting the copies apart into separate residues,
if desired. All copies are given the same coordinates as in the input coordinate file for the non-LES system.
Using addles:
addles <inputfile >outputfile
SAMPLE INPUT FILE:
~ a line beginning with ~ is a comment line.
~ all commands are 4 letters.
~ the maximum line length is 80 characters;
~ a trailing hyphen, "-", is the line continuation token.
~ use ’file’ to specify an input/output file, then the type of file
’rprm’ means this is the file to read the prmtop
~ the ’read’ means it is an input file
~
file rprm name=(solv2OO.topo) read
~
~ ’rcrd’ reads the original coordinates- optional, only if you want
~ a set of coords for the new topology
~ you can also use ’rcvd’ for coords+velocities, ’rcvb’ for coords,
~ velos and box dimensions, ’rcbd’ for coords and box dimensions.
~ use "pack=n" option to read in multiple sets of coordinates and
~ assign different coordinates to different copies.
438
24.2. Using the ADDLES program
file rcrd name=(501v200.coords) read
~ ’wprm’ is the new topology file to be written. the ’wovr’ means to
~ write over the file if it exists, ’writ’ means don’t write over.
file wprm name=(lesparm) wovr
~ ’wcrd is for writing coords, it will automatically write velo and box
~ if they were read in by ’rcvd’ or ’rcvb’
file wcrd name=(lescrd) wovr
~ now put ’action’ before creating the subspaces
action
~ the default behavior is to scale masses by 1/N.
~ omas leaves all masses at the original values
omas
~ now we specify LES subspaces using the ’spac’ keyword, followed
~ by the number of copies to make and then a pick command to tell which
~ atom to copy for this subspace
~ 3 copies of the fragment consisting of monomers 1 and 2
spac numc=3 pick #mon 1 2 done
~ 3 copies of the fragment consisting of monomers 3 and 4
spac numc=3 pick #mon 3 4 done
~ 3 copies of the fragment consisting of residues 5 and 6
spac numc=3 pick #mon 5 6 done
~ 2 copies of the side chain on residue 1
~ note that this replaces each of the side chains ON EACH OF THE 3
~ COPIES MADE ABOVE with 2 copies - net 6 copies
~ each of the 3 copies of residue 1-2 has 2 side chain copies.
~ the ’#sid’ command picks all atoms in the residue except
~ C,O,CA,HA,N,H and HN.
spac numc=2 pick #sid 1 1 done
spac numc=2 pick *sid 2 2 done
spac numc=2 pick #sid 3 3 done
spac numc=2 pick #sid 4 4 done
spac numc=2 pick #sid 5 5 done
~ use the *EOD to end the input
*EOD
What this does: all of the force constants are scaled in the new prmtop file by 1/N for N copies, so that this scaling
does not need to be done for each pair during the nonbond calculation. Charges and VDW epsilon values are also
scaled. New bond, angle, torsion and atom types are created. Any of the original types that were not used are
discarded. Since each LES copy should not interact with other copies of the SAME subspace, the other copies are
placed in the exclusion list. If you define very large LES regions, the exclusion list will get large and you may have
trouble with the fixed length for this entry in the prmtop file- currently 8 digits.
The coordinates are simply copied - that means that all of the LES copies initially occupy the same positions
in space. In this setup, the potential energy should be identical to the original system- this is a good test to make
sure everything is functioning properly. Do a single energy evaluation of the LES system and the original system,
using the copied coordinate file. All terms should be nearly identical (to within machine precision and roundoff).
With PME on non- neutral systems, all charges are slightly modified to neutralize the system. For LES, there are
a different number of atoms than in the original system, and therefore this charge modification to each atom will
differ from the non-LES system and electrostatic energies will not match perfectly.
IMPORTANT: After creating the LES system, the copies will all feel the same forces, and since the coordinates
are identical, they will move together unless the initial velocities are different. If you are initializing velocities
using INIT=3 and TEMPI>0, this is not a problem. In order to circumvent this problem, addles slightly (and
randomly) modifies the copy velocities if they were read from the coordinate input file. If the keyword "nomodv"
is specified, the program will leave all of the velocities in the same values as the original file. If you do not read
439
24. LES
velocities, make sure to assign an initial non-zero temperature to the system. You should think about this and
change the behavior to suit your needs. In addition, the program scales the velocities by sqrt(N) for N copies to
maintain the correct thermal energy (mv2), but only when the masses are scaled (not using omas option). Again,
this requires some thought and you may want different behavior. Regardless of what options are used for the
velocities, further equilibration should be carried out. These options are simple attempts to keep the system close
to the original state.[442]
Sometimes it is critical that different copies can have different initial coordinates (NEB for example), this is
why the option "pack" is added to command rcrd(rcvd,rcvb,rcbd). To use this option, user need first concatenate
different coordinates into a single file, and use "pack=n" to indicate how many sets of coordinates there are in the
file, like the following example:
file rcrd name=(input.inpcrd) pack=4 read
Then addles will assign coordinates averagely. For example, if 4 sets coordinates exists in input file, and 20 copies
are generated, then copy 1-5 will have coordinate set 1, copy 6-10 will have coordinates set 2, and so on. Note this
option can’t work with multiple copy regions now.
It is important to understand that each subsequent pick command acts on the ORIGINAL particle numbers.
Making a copy of a given atom number also makes copies of all copies of that atom that were already created.
This was the simplest way to be able to have a hierarchical LES setup, but you can’t make extra copies of part of
one of the copies already made. I’m not sure why you would want to, or if it is even correct to do so, but you
should be warned. Copies can be anything -spanning residues, copies of fragments already copied, non-contiguous
fragments, etc. Pay attention to the order in which you make the copies, and look carefully at the output to make
sure you get what you had in mind. Addles will provide a list at the end of all atoms, the original parent atom, and
how many copies were made.
There are array size limits in the file SIZE.h, I apologize in advance for the poor documentation on these. Mail
carlos.simmerling@stonybrook.edu if you have any questions or problems.
24.3. More information on the ADDLES commands and options
file: open a file, also use one of
rcrd: read coords from this file
rcvd: read coords + velo from file
rcvb: read coords, velo and box from file
wcrd: write coords (and more if rcvd, rcvb) to file
wprm: write new topology file
action: start run, all of the following options must come AFTER action
nomodv: do NOT slightly randomize the velocities of the copies
spac: add a new subspace definition, using a pick command (see below).
follow with numc=# pickcmd where # is the number of copies to make
and pickcmd is a pick command that selects the group of atoms to copy.
omas: leave all masses at original values (otherwise scale 1/N)
pimd: write an prmtop file for PIMD simulation, which contains a much smaller non-bond exclusion list,
atoms from other copy will not be included in this non-bond exclusion list.
440
24.4. Using the new topology/coordinate files with SANDER
Syntax for ’pick’ commands
Currently, the syntax for picking atoms is somewhat limited. Simple Boolean logic is followed, but operations
are carried out in order and parentheses are not allowed.
#prt A B picks the atom range from A to B by atom number
#mon A B picks the residue range from A to B by residue number
#cca A B picks the residue range from A to B by residue number, but dividing the residue between CA and C;
the CO for A is included, and the CO for monomer B is not. See Simmerling and Elber, 1994 for an
example of where this can be useful.
chem prtc A picks all atoms named A, case sensitive
chem mono A picks all residues named A, case sensitive
Completion wildcards are acceptable for names: H* picks H, HA, etc. Note that H*2 will select all atoms starting
with H and ignore the 2.
Boolean logic:
|or atoms in either group are selected
&and atoms must be in both groups to be selected
!= not A != B will pick all atoms in A that are NOT in B
The user should carefully check the output file to ensure that the proper atoms were selected.
Examples:
pick commandatoms selected
pick #mon 4 19 done all atoms in residues 4 through 19
pick #mon 1 50 & chem mono GLY done only GLY in residues 1 to 50
pick chem mono LYS |chem mono GLU done any GLU or LYS residue
pick #mon 1 5 != #prt 1 3 done residues 1 to 5 but not atoms 1 to 3
so, a full command to add a new subspace (LES region) with 4 copies of atoms 15 to 35 is:
spac numc=4 pick #prt 15 35 done
24.4. Using the new topology/coordinate files with SANDER
These topology files are ready to use in Sander with one exception: all of the FF parameters have been scaled
by 1/N for N copies. This is done to provide the energy of the new system as an average of the energies of
the individual copies (note that it is an average energy or force, not the energy or force from an average copy
coordinate). However, one additional correction is required for interactions between pairs of atoms in the same
LES region. Sander will make these corrections for you, and this information is just to explain what is being done.
For example, consider a system where you make 2 copies of a sidechain in a protein. Each charge is scaled by
1/2. For these atoms interacting with the rest of the system, each interaction is scaled by 1/2 and there are 2 such
interactions. For a pair of particles inside the sub-space, however, the interaction is scaled by 1/2*1/2=1/4, and
since the copies do not interact, there are only 2 such interactions and the sum does not correspond to the correct
average. Therefore, the interaction must be scaled up by a factor of N. When the PME technique is requested, this
simple scaling cannot be used since the entire charge set is used in the construction of the PME grid and individual
charges are not used in the reciprocal space calculation. Therefore, the intra-copy energies and forces are corrected
in a separate step for PME calculations. Sander will print out the number of correction interactions that need to
be calculated, and very large amounts of these will make the calculation run more slowly. PME also needs to do a
separate correction calculation for excluded atom pairs (atoms that should not have a nonbonded interaction, such
as those that are connected by a bond). Large LES regions result in large numbers of excluded atoms, and these
441
24. LES
will result in a larger computational penalty for LES compared to non-LES simulations. For both of these reasons,
it is more efficient computationally to use smaller LES regions- but see the discussion above for how region size
affects simulation efficiency. These changes are included in the LES version of Sander (sander.LES). Each particle
is assigned a LES ’type’ (each new set of copies is a new type), and for each pair of types there is a scaling factor
for the nonbond interactions between LES particles of those types. Most of the scaling factors are 1.0, but some
are not - such as the diagonal terms which correspond to interactions inside a given subspace, and also off-diagonal
terms where only some of the copies are in common. An example of this type is the side chain example given
above- each of the 3 backbone copies has 2 sidechains, and while interactions inside the side chains need a factor
of 6, interactions between the side chain and backbone need a factor of 3. This matrix of scaling factors is stored
in the new topology file, along with the type for each atom, and the number of types. The changes made in sander
relate to reading and using these scale factors.
24.5. Using LES with the Generalized Born solvation model
LES simulations can be performed using the GB solvent model, with some limitations. Compared to LES
simulations in explicit water, using GB with LES provides several advantages. The most important is how each of
the copies interacts with the solvent. With explicit water, the water is normally not copied and therefore interacts
in an average way with all LES copies. This has important consequences for solvation of the copies. If the copies
move apart, water cannot overlap any of them and therefore the water cavity will be that defined by the union of
the space occupied by the copies. This has two consequences. First, moving the copies apart requires creation of a
larger solvent cavity and therefore copies have a greater tendency to remain together, reducing the effectiveness of
LES. Second, when the copies do move apart, each copy will not be individually solvated.
These effects arise because the water interacts with all of the copies; for each copy to be solvated independently
of the other copies would require copying the water molecules. This is normally not a good idea, since copying all
of the water would result in very significant computational expense. Copying only water near the solute would be
tractable, but one would need to ensure that the copied waters did not exchange with non-LES bulk waters.
Using GB with LES largely overcomes these problems since each copy can be individually solvated with the
continuum model. Thus when one copy moves, the solvation of the other copies are not affected. This results in a
more reasonable solvation of each copy and also improves the independence of the copies. Of course the resulting
simulations do retain all of the limitations that accompany the GB models.
The current code allows igb values of 1, 5 or 7 when using LES. Surface area calculations are not yet supported
with LES. Only a single LES region is permitted for GB+LES simulations. A new namelist variable was introduced
(RDT) in sander to control the compromise of speed and accuracy for GB+LES simulations. The article referenced
below provides more detail on the function of this variable. RDT is the effective radii deviation threshold. When
using GB+LES, non-LES atoms require multiple effective Born radii for an exact calculation. Using these multiple
radii can significantly increase calculation time required for GB calculations. When the difference between the
multiple radii for a non-LES atom is less than RDT, only a single effective radius will be used. A value of 0.01
has been found to provide a reasonable compromise between speed and accuracy, and is the default value. Before
using this method, it is strongly recommended that the user read the article describing the derivation of the GB+LES
approach.[443]
24.6. Case studies: Examples of application of LES
24.6.1. Enhanced sampling for individual functional groups: Glucose
The first example will deal with enhancing sampling for small parts of a molecule, such as individual
functional groups or protein side chains. In this case we wanted to carry out separate simulations of αand β(not
converting between anomers, only for conversions involving rotations about bonds) glucose, but the 5 hydroxyl
groups and the strong hydrogen bonds between neighboring hydroxyls make conversion between different
rotamers slow relative to affordable simulation times. The eventual goal was to carry out free energy simulations
converting between anomers, but we need to ensure that each window during the Gibbs calculation would be able
to sample all relevant orientations of hydroxyl groups in their proper Boltzmann-weighted populations. We were
442
24.6. Case studies: Examples of application of LES
initially unsure how many different types of structures should be populated and carried out non-LES simulations
starting from different conformations. We found that transitions between different conformations were separated
by several hundred picoseconds, far too long to expect converged populations during each window of the free
energy calculation. We therefore decided to enhance conformational sampling for each hydroxyl group by
making 5 copies of each hydroxyl hydrogen and also 5 copies of the entire hydroxymethyl group. Since the
hydroxyl rotamer for each copy should be relatively independent, we decided to place each group in a different
LES region. This meant that each hydroxyl copy interacted with all copies of the neighboring groups, with a total
of 5*5*5*5*5 or 3125 structural combinations contributing to the LES average energy at each point in time. The
input file is given below.
file rprm name=(parm.solv.top) read
file rcvb name=(glucose.solv.equ.crd) read
file wprm name=(les.prmtop) wovr
file wcrd name=(glucose.les.crd) wovr
action
omas
~ 5 copies of each hydroxyl hydrogen- copying oxygen will make no difference
~ since they will not be able to move significantly apart anyway
spac numc=5 pick chem prtc HO1 done
spac numc=5 pick chem prtc HO2 done
spac numc=5 pick chem prtc HO3 done
spac numc=5 pick chem prtc HO4 done
~ take the entire hydroxy methyl group
spac numc=5 pick #prt 20 24 done
*EOD
This worked quite well, with transitions now occurring every few ps and populations that were essentially inde-
pendent of initial conformation.[444]
24.6.2. Enhanced sampling for a small region: Application of LES to a nucleic acid loop
In this example, we consider a biomolecule (in this case a single RNA strand) for which part of the structure
is reliable and another part is potentially less accurate. This can be the case in a number of different modeling
situations, such as with homologous proteins or when the experimental data is incomplete. In this case two different
structures were available for the same RNA sequence. While both structures were hairpins with a tetraloop, the
loop conformations differed, and one was more accurate. We tested whether MD would be able to show that one
structure was not stable and would convert to the other on an affordable timescale.
Standard MD simulations of several ns were not able to undergo any conversion between these two structures
(the initial structure was always retained). Since the stem portion of the RNA was considered to be accurate, LES
was only applied to the tetraloop region. In this case, both of the ends of the LES region would be attached to the
same locations in space, and there was no concern about copies diffusing too far apart to re-converge to the same
positions after optimization. The issues that need to be addressed once again are the number of copies to use, and
how to place the LES region(s). I usually start with the simplest choices and used 5 LES copies and only a single
LES region consisting of the entire loop. If each half of the loop was copied, then it might become too crowded
with copies near the base-pair hydrogen bonds and conformational changes that required moving a base through
this regions could become even more difficult (see the background section for details). Therefore, one region was
chosen, and the RNA stem, counterions and solvent were not copied. The ADDLES input file is given below.
file rprm name=(prm.top) read
file rcvb name=(rna.crd) read
file wprm name=(les.parm) wovr
file wcrd name=(les.crd) wovr
action
omas
443
24. LES
~ copy the UUCG loop region- residues 5 to 8.
~ pick by atom number, though #mon 5 8 would work the same way
spac numc=5 pick #prt 131 255 done
*EOD
Subsequent LES simulations were able to reproducibly convert from what was known to be the incorrect structure
to the correct one, and stay in the correct structure in simulations that started there. Different numbers of LES
copies as well as slightly changing the size of the LES region (from 4 residues to 6, extending 1 residue beyond
the loop on either side) were not found to affect the results. Fewer copies still converted between structures, but on
a slower timescale, consistent with the barrier heights being reduced roughly proportional to the number of copies
used. See Simmerling, Miller and Kollman, 1998, for further details.
24.6.3. Improving conformational sampling in a small peptide
In this example, we were interested not just in improving sampling of small functional groups or even
individual atoms, but in the entire structure of a peptide. The peptide sequence is AVPA, with ACE and NME
terminal groups. Copying just the side chains might be helpful, but would not dramatically reduce the barriers to
backbone conformational changes, especially in this case with so little conformational variety inherent in the Ala
and Pro residues. We therefore apply LES to all atoms. If we copied the entire peptide in 1 LES regions, the
copies could float apart. While this would not be a disaster, it would make it difficult to bring all of the copies
back together if we were searching for the global energy minimum, as described above. We therefore use more
than one LES region, and need to decide where to place the boundaries between regions. A useful rule of thumb
is that regions should be at least two amino acids in size, so we pick our two regions as Ace-Ala-Val and Pro-Ala-
Nme. If we make five LES copies of each region and each copy does not interact with other copies of the same
regions, each half the peptide will be represented by five potentially different conformations at each point in time.
In addition, since each copy interacts with all copies of the rest of the system, there are 25 different combinations
of the two halves of the peptide that contribute at each point in time. This statistical improvement alone is
valuable, but the corresponding barriers are also reduced by approximately the same factors. When we place the
peptide in a solvent box the solvent interacts in an average way with each of the copies. The input file is given
below, and all of the related files can be found in the test directory for LES.
~ all file names are specified at the beginning, before "action"
~ specify input prmtop
file rprm name=(prmtop) read
~ specify input coordinates, velocities and box (this is a restart file)
file rcvb name=(md.solv.crd) read
~ specify LES prmtop
file wprm name=(LES.prmtop) wovr
~ specify LES coordinates (and velocities and box since they were input)
file wcrd name=(LES.crd) wovr
~ now the action command reads the files and tells addles to
~ process commands
action
~ do not scale masses of copied particles
omas
~ divide the peptide into 2 regions.
~ use the CCA option to place the division between carbonyl and
~ alpha carbon
~ use the "or" to make sure all atoms in the terminal residues
~ are included since the CCA option places the region division at C/CA
~ and we want all of the terminal residue included on each end
~
~ make 5 copies of each half
~ "spac" defines a LES subspace (or region)
444
24.6. Case studies: Examples of application of LES
spac numc=5 pick #cca 1 3 |#mon 1 1 done
spac numc=5 pick #cca 4 6 |#mon 6 6 done
~ the following line is required at the end
*EOD
This example brings up several important questions:
1. Should I make LES copies before or after adding solvent? Since LEaP is used to add solvent, and LEaP
will not be able to load and understand a LES structure, you must run ADDLES after you have solvated the
peptide in LEaP. ADDLES should be the last step before running SANDER.
2. Which structure should be used as input to ADDLES? If you will also be carrying out non-LES simulations,
then you can equilibrate the non-LES simulation and carry out any amount of production simulation desired
before taking the structure and running ADDLES. At the point you may switch to only LES simulations,
or continue both LES and non-LES from the same point (using different versions of SANDER). Typically
I equilibrate my system without LES to ensure that it has initial stability and that everything looks OK,
then switch to LES afterward. This way I separate any potential problems from incorrect LES setup from
those arising from problems with the non-LES setup, such as in initial coordinates, LEaP setup, solvent box
dimensions and equilibration protocols.
3. How can I analyze the resulting LES simulation? This is probably the most difficult part of using LES. With
all of the extra atoms, most programs will have difficulty. For example, a given amino acid with LES will
have multiple phi and psi backbone dihedral angles. There are basically two options: first, you can process
your trajectory such that you obtain a single structure (non-LES). This might be just extracting one of the
copies, or it might be one by taking the average of the LES copies. After that, you can proceed to traditional
analysis but must keep in mind that the average structure may be non-physical and may not represent any
actual structure being sampled by the copies, especially if they move apart significantly. A better way
is to use LES-friendly analysis tools, such as those developed in the group of Carlos Simmerling. The
visualization program MOIL-View (http://morita.chem.sunysb.edu/carlos/moil-view.html) is one example of
these programs, and has many analysis tools that are fully LES compatible. Read the program web page or
manual for more details.
1.7. Unresolved issues with LES in Amber
1. Sander can’t currently maintain groups of particles at different temperatures (important for dynamics, less
so for optimization.)[445,446] Users can set temp0les to maintain all LES atoms at a temperature that is
different from that for the system as a whole, but all LES atoms are then coupled to the same bath.
2. Initial velocity issues as mentioned above- works properly, user must be careful.
3. Analysis programs may not be compatible. See http://morita.chem.sunysb.edu/carlos/moil- view.html for an
LES-friendly analysis and visualization program.
4. Visualization can be difficult, especially with programs that use distance-based algorithms to determine
bonds. See #3 above.
5. Water should not be copied- the fast water routines have not been modified. For most users this won’t matter.
6. Copies should not span different ’molecules’ for pressure coupling and periodic imaging issues. Copies of
an entire ’molecule’ should result in the copies being placed in new, separate molecules- currently this is not
done. This would include copying things such as counterions and entire protein or nucleic acid chains.
7. Copies are placed into the same residue as the original atoms- this can make some residues much larger than
others, and may result in less efficient parallelization with algorithms that assign nonbond workload based
on residue numbers.
445

25. Quantum dynamics
25.1. Path-Integral Molecular Dynamics
25.1.1. General theory
Based on Feynman’s formulation of quantum statistical mechanics in terms of path-integrals, Path-Integral
Molecular Dynamics (PIMD) is a computationally efficient method for calculating equilibrium (e.g., thermo-
dynamic and structural) properties of a quantum many-body system. In the following we will briefly illustrate
the basic principles, and we will derive the fundamental equations underlying its implementation using standard
molecular dynamics methods. The literature should be read for a more rigorous description[215–217].
For the sake of simplicity, we restrict ourselves to a PIMD formulation of the canonical (NVT) ensemble, and
we will consider a single quantum particle of mass m, with momentum pand coordinate x, which moves in a one-
dimensional potential v(x). Generalization to other ensembles and/or to multidimensional many-particle systems
is straightforward.
In the NVT ensemble, the canonical partition function Zis expressed as
Z=∑
i
e−βEi(25.1)
where β=1/kBT, and the corresponding density matrix is defined as
ρ=e−βEi
Z(25.2)
The expectation value of any operator Acan thus be computed as
hAi=Tr (ρA) = 1
ZTr Ae−βH(25.3)
with Hbeing the Hamiltonian for the one-dimensional system:
H=p2
2m+v(x) = T+V(25.4)
In Eq. (25.4)Tand Vare the kinetic and potential operators, respectively. Using the coordinate basis set {|xi},
the canonical partition function can be computed as
Z=Zdxhx|e−βH|xi=Zdxhx|e−β(T+V)|xi(25.5)
In general Tand Vdo not commute, i.e. [T,V]6=0, and consequently e−β(T+V)cannot be calculated directly.
However, using he Trotter formula [447] it is possible to demonstrate that
Z=lim
P→∞Zdxhx|e−βV
2Pe−βA
Pe−βV
2PP
|xi(25.6)
After some algebra and using the completeness of the coordinate basis, the quantum canonical partition function
can be written as
Z=lim
P→∞Zdx1dx2. .. dxPmP
¯
h2βP
2e−∑P
i=1mP
β¯
h2(xi+1−xi)2+β
Pv(xi)xP+1=x1(25.7)
447

25. Quantum dynamics
Defining a "chain" frequency ωP=√P
β¯
hand an effective potential as
Ue f f (x1,...,xP) =
P
∑
i=11
2mω2
P(xi+1−xi)2+β
Pv(xi)xP+1=x1
(25.8)
the canonical partition function is finally expressed as
Z=lim
P→∞Zdx1dx2. .. dxPmP
¯
h2βP
2e−βUe f f (x1,...,xP)(25.9)
In this form, the quantum partition function is isomorphic with a classical configurational partition function for
aP-particle systems, where the Pparticles (generally referred to as "beads") are discrete points along a cyclic
path[448]. Each bead is coupled to its nearest neighbors by harmonic springs with frequency ωP, and is subject
to the external potential v(x). It is possible to make the connection between the quantum partition function and a
fictitious classical P-particle system even more manifest by introducing a set of PGaussian integrals:
Z=lim
P→∞ΛZdp1dp2.. .d pPZdx1dx2...dxPmP
¯
h2βP
2e−β∑P
i=1
p2
i
2µi+Ue f f (x1,...,xP)(25.10)
The new Gaussian variables are regarded as fictitious classical "momenta" and, consequently, the constants µi
have units of mass and are generally referred to as fictitious masses. Since these Gaussian integrals are uncoupled
and can be calculated analytically, the overall constant Λcan be chosen so as to reproduce the correct prefactor.
Therefore, one has complete freedom to choose µi.
>From Eq. (25.5) it follows that the quantum partition function can be evaluated using classical molecular
dynamics based on equations of motion derived from a fictitious classical Hamiltonian of the form
H(p,x) =
P
∑
i=1
p2
i
2µi+Ue f f (x1,...,xP)(25.11)
However, ordinary MD generates a microcanonical distribution of H, i.e., a distribution function of the form
δ(H(p,x)−E), where Eis the conserved energy. This is clearly not the form appearing in the quantum partition
function that requires a canonical distribution of the form eβH. In order to satisfy this condition, the system has to
be coupled to a thermostat which guarantees that the canonical distribution is rigorously obtained.
As shown above, the exact quantum partition function is obtained in the limit of an infinite number of beads
P. In practice this is obviously not possible, and therefore Pmust be chosen large enough that all thermodynamic
properties are converged. Since Pis directly related to the quantum nature of the system under consideration, a
larger number of beads is necessary for systems containing light atoms (e.g., hydrogen and deuterium) and for
simulations at low temperatures.
Two different implementations of PIMD are currently available in Amber. The first one corresponds to the
so-called primitive approximation (PRIMPIMD) [449] which is directly obtained from the formulation provided
above with the fictitious mass of each bead chosen as µi=m/P, where mis the particle mass. In PRIMPIMD,
the canonical distribution is obtained by either using a Langevin thermostat or Nosé-Hoover chains of thermostats
coupled to each degree of freedom of the system according to the algorithm of Ref. [450]. The latter is the rec-
ommended option. The second implementation, which is called Normal Mode Path-Integral Molecular Dynamics
(NMPIMD) [451], makes use of a normal mode transformation that uncouples the harmonic term in Eq. (25.8).
As a consequence the fictitious masses are different. In the current implementation of NMPIMD, the canonical
distribution is obtained by using Nosé-Hoover chains of thermostats coupled to each degree of freedom of the
system. We note here that NMPIMD is preferred over PRIMPIMD because it guarantees a more efficient sampling
of the phase space.
In both PRIMPIMD and NMPIMD, the equations of motion are propagated using the Leapfrog algorithm, and
the quantum energies of the system (total, kinetic and potential energy) are computed using the so-called "virial
estimator"[449,452].
All the force fields available for regular MD in Amber can also be used for PRIMPIMD and NMPIMD simula-
tions. However, we note here that the common empirical force fields may require an additional re-parameterization
448
25.1. Path-Integral Molecular Dynamics
(see Ref. [79] for a more detailed discussion). A simple charge, flexible water model specifically developed in
Ref. [79] for investigating nuclear quantum effects is already implemented in the current version of Amber (see
Section 3.10) and it is recommended for PRIMPIMD and NMPIMD simulations of aqueous systems.
25.1.2. How PIMD works in Amber
Implementation and input/output files
The current implementation of PRIMPIMD and NMPIMD allows the “quantization” of either the whole system
or just a part of it. In both cases the mdin input is the same as for a regular (classical MD) run. However, additional
flags are required, which will be described in Section 25.1.2.
For cases where the whole system is quantized, the most efficient way to perform PRIMPIMD and NMPIMD
simulations is with sander.MPI exploiting the multisander scheme. You must use the same prmtop file as in the
corresponding classical simulation, while Pseparate coordinate files (one for each of the Pbeads) are required.
The number of beads to get converged results for typical systems at ambient conditions vary between 16 and 32.
However, other aspects of quantum behavior may be observed with fewer beads. Therefore, some experimentation
on your system may be required to find the optimal number. In order to run the simulation you also need a
multisander groupfile containing (per line) all the options for each sander job. As output, sander.MPI generates the
same files as a regular (classical MD) run. The only difference is that there are now Pof such files, one for each
bead. Therefore, you will have P mdout files with the bead contributions to the quantum energies, P rst files with
the coordinates of each bead for restart, and Ptrajectory files (mdcrd and mdvel) with the bead coordinates and
velocities saved during the run. It is important to note that for both PRIMPIMD and NMPIMD the velocities do
not correspond to the real-time velocities of the system but are just fictitious velocities needed to solve the integral
in Eq. (25.5). sander.MPI also writes a general pimdout file, which reports the quantum results for the whole
system (i.e., total, kinetic and potential energy, pressure, volume, density...). If Nosé-Hoover chains of thermostats
are employed, an additional file (NHC.dat) is printed with the conserved energy for the extended system. You must
carefully check that the timestep used in the simulation is small enough to guarantee conservation of this quantity.
For cases where only a part of the system is quantized, both PRIMPIMD and NMPIMD are implemented
within the LES scheme (see Chapter 24). Therefore, you must use either sander.LES or sander.LES.MPI, and
prepare the prmtop file in a special way. The input files are generated using addles. Basically, regular topology
and coordinate files are needed, then a control script (usually named addles.in) should be written. The necessary
input files can then be generated by running "addles <addles.in". The following is what a typical addles.in will
look like (lines start with a “~” are comments):
~ designate regular topology file
file rprm name=(input.prmtop) read
~ designate normal coordinate file
file rcrd name=(input.inpcrd) read
~ where to put PIMD topology file
file wprm name=(pimd.prmtop) wovr
~ where to put PIMD coordinate file
file wcrd name=(pimd.inpcrd) wovr
action
~ use original mass(it is required by PIMD)
omas
~ make 4 copies of atom 1-648(should be the whole system)
space numc=4 pick #prt 1 648 done
*EOD
Several things should be emphasized here about writing addles.in for PRIMPIMD and NMPIMD:
1. If copies of the whole system are made, it means that the whole system is quantized. In this case, sander.MPI
offers a more efficient way to perform PRIMPIMD and NMPIMD simulations without using LES (see
above). We note here, that sander.LES (and sander.LES.MPI) should be used when you are interested in
quantizing only a part of your system.
449
25. Quantum dynamics
2. The current implementation requires that the “omas” tag must be turned on to make every atom use original
mass during the simulation.
3. As mentioned above, how many copies to create is a tradeoff between accuracy and efficiency. To get
converged total energies, 16-32 copies may be required; however, other aspects of quantum behavior may be
seen with fewer copies. Be prepared to experiment on your system to see what is required.
As output, sander.LES (and sander.LES.MPI) generates the same files as a regular (classical MD) run. The mdout
file contains the quantum results for the whole system (i.e., total, kinetic and potential energy, pressure, volume,
density...). while the rst file contains the coordinates of all beads for restart. The trajectory files (mdcrd and mdvel)
contain the coordinates and velocities of all beads saved during the run. If Nosé-Hoover chains of thermostats are
employed, an additional file (NHC.dat) is printed with the conserved energy for the extended system. You must
carefully check that the timestep used in the simulation is small enough to guarantee conservation of this quantity.
Input parameters
In order to perform PRIMPIMD and NMPIMD simulations, an additional flag is required in the mdin file, which
distinguishes among the different methodologies based on the path-integral formalism.
ipimd Flag for the different methodologies based on the path-integral formalism. See Sections 25.2.1 and
25.3.1 for the other values.
= 0 defines regular MD (default).
= 1 defines PRIMPIMD.
= 2 defines NMPIMD.
As described above, in order to guarantee a proper canonical sampling of the phase space the quantum system
must be coupled to a thermostat. In the current implementation, two schemes are available: Langevin thermostat
and Nosé-Hoover chains of thermostats coupled to each degree of freedom of the system. As for any regular MD
run, the flag that activates the thermostat is ntt. A Langevin thermostat is switched on using ntt=3, and defining
a collision frequency. To activate the Nosé-Hoover chains of thermostats, you must specify ntt=4 and provide the
number of thermostats (nchain) in each chain. Use of Nosé-Hoover chains of thermostats is rcommended and is the
only option currently available for NMPIMD (ipimd=2). The choice of an appropriate number of chains depends
on the system. Typically, 4 thermostats (nchain=4) are sufficient to guarantee an efficient sampling of the phase
space.
In summary:
ntt Switch for temperature scaling. See Section 17.6.7 for other options.
= 3 defines a Langevin thermostat and also requires the definition of gamma_ln. Available for
PRIMPIMD (ipimd=1) only.
= 4 defines Nosé-Hoover chains of thermostats. Available for PRIMPIMD (ipimd=1) and NMPIMD
(ipimd=2). It also requires the number of thermostats in a chain (nchain).
nchain = 2-8 number of thermostats in each Nosé-Hoover chain of thermostats (default 2, recommended ≥4).
Quantum simulations in the isothermic-isobaric (NPT) ensemble are possible only for NMPIMD (ipimd=2) and
for rectangular periodic boundary conditions (ntb=2) with isotropic position scaling (ntp=1). All the other flags are
identical to those for a classical MD simulation. The current implementation of NMPIMD for the NPT ensemble
is based on the derivation of Ref [453].
Examples
In the following examples of input files for PRIMPIMD and NMPIMD are shown. You are also encouraged to
check the test cases in $AMBERHOME/test/PIMD.
a) PRIMPIMD input for sander.LES. No periodic boundary conditions.
450
25.2. Centroid Molecular Dynamics (CMD)
Test: $AMBERHOME/test/PIMD/part_pimd_water.
ipimd = 1 ! PRIMPIMD
ntb = 0
ntx = 1, irest = 0
cut = 100.
temp0 = 300., tempi = 300., temp0les = -1.
ntt = 3, gamma_ln = 20. ! Langevin thermostat
dt = 0.0001, nstlim = 1000
ntpr = 100, ntwr = 100, ntwx = 100
b) PRIMPIMD input for sander.LES. NVT simulation for water with only the hydrogen atoms being quantized.
Test: $AMBERHOME/test/PIMD/part_pimd_spcfw.
ipimd = 1 ! PRIMPIMD
ntx = 5, irest = 0
temp0 = 300., tempi = 300., temp0les = -1.
dt = 0.0002, nstlim 10
cut = 7.
ntt = 3, gamma_ln = 20. ! Langevin thermostat
ntpr = 1, ntwr = 5, ntwx = 1
c) NMPIMD input for sander.LES. NPT simulation for liquid butane.
Test: $AMBERHOME/test/PIMD/part_nmpimd_ntp.
ipimd = 2 ! NMPIMD
ntb = 2, ntp = 1 ! isotropic position scaling
ntx = 5, irest = 0
cut = 8.
temp0 = 80., tempi = 80., temp0les = -1.
ntt = 4, nchain = 4. ! Nose’-Hoover chains
dt = 0.0002, nstlim = 50
ntpr = 5, ntwr = 5, ntwx = 1
d) NMPIMD input for sander.MPI. NPT simulation for liquid water.
Test: $AMBERHOME/test/PIMD/full_pimd_ntp_water.
ipimd = 2 ! NMPIMD
ntb = 2, ntp = 1 ! isotropic position scaling
ntx = 5, irest = 1
cut = 7.
temp0 = 298.15
ntt = 4, nchain = 4. ! Nose’-Hoover chains
dt = 0.0002, nstlim = 10
ntpr = 1, ntwr = 5, ntwx = 5
25.2. Centroid Molecular Dynamics (CMD)
Two methods based on the path-integral formalism are available to perform approximate quantum dynamical
calculations: Centroid Molecular Dynamics (CMD) [454] and Ring Polymer Molecular Dynamics (RPMD) [455].
The CMD method developed by Voth and coworkers draws upon the prescription of quantum distribution func-
tions, in which the exact quantum expressions are cast into a phase space representation leading to a classical-like
451
25. Quantum dynamics
physical interpretation of the variables of interest. In particular, an approximate quantum dynamics is obtained
by propagating the centroid variables (i.e., positions and velocities of the center of mass of the bead polymer)
according to classical-like equations of motion. The current implementation is the so-called Adiabatic CMD [456]
that makes use of a normal mode representation of path-integrals where the fictitious mass of the zero-frequency
mode (i.e., the centroid of the bead polymer) is given the actual mass of the atom and, contrary to NMPIMD, the
fictitious masses of all the non-zero frequency modes are scaled by an adiabaticity parameter, γ<0. This proce-
dure decouples the centroid motion from that of the other normal modes in the same spirit of the Car-Parrinello
method. Although the centroid variables move following Newton’s equations of motion, Nosé-Hoover chains of
thermostats must be attached to each non-zero frequency normal mode. The user is strongly encouraged to refer to
the relevant literature (Ref. [454] and references therein) for a more rigorous derivation of the CMD method.
The RPMD method developed by Manolopoulos and coworkers is based on primitive PIMD. However, there
are two fundamental differences: 1) each bead is given a fictitious mass equal to the actual mass of the atom (i.e.,
µ=m), 2) the dynamics of the system is strictly determined by the fictitious Hamiltonian of Eq. (25.11), i.e., no
thermostats are employed. Also in this case, the user is strongly encouraged to refer to the relevant literature for a
detailed derivation of this method [455].
Both CMD and RPMD simulations provide an efficient route for the calculation of approximate Kubo trans-
formed correlation functions, which can then be related to the true quantum correlation functions. Importantly,
running several independent trajectories is required for both CMD and RPMD to guarantee a proper canonical av-
erage of the initial conditions and, consequently, to obtain converged results (see Refs. [79] and[457] for examples
of CMD and RPMD simulations, respectively).
All the force fields available for regular MD simulations in Amber can be used for CMD and RPMD. However,
we also note here that the common empirical force fields may require an additional reparameterization (see Ref.
[79] for a more detailed discussion). A simple charge, flexible water model specifically developed in Ref. [79] for
investigating nuclear quantum effects is already implemented in the current version of Amber (see Section 3.10)
and it is recommended for CMD and RPMD simulations of aqueous systems.
25.2.1. Implementation and input/output files
The implementation of CMD and the input/output files are identical to those of NMPIMD (see Section
25.1.2), with few differences. In addition to the NMPIMD output files, two other files are generated for CMD:
CMD_position.dat containing the centroid positions, and CMD_velocity.dat containing the centroid velocities
saved along the trajectory. The format of these files is identical to that of a classical MD simulation (mdcrd
and mdvel), and the frequency with which these information are saved is determined by ntpr. The mdin input is
the same as for a regular (classical MD) run. However, additional flags are required as described below.
In order to perform CMD simulations the following flags are required in the mdin file:
ipimd Flag for the different methodologies based on the path-integral formalism. See Section 25.1.2 for the
other values.
= 3 defines CMD.
adiab_param This defines the so-called adiabaticity parameter (γ) used to make the fictitious masses of the non-
zero frequency normal modes small enough to decouple their motion from that of the centroid. It has
been shown that γ≤1/2P(where Pis the total number of beads) is sufficiently small to get converged
results. As a consequence of this, a smaller timestep is required. During the equilibration run (see
below) you must carefully check that the timestep employed is small enough to guarantee the energy
conservation of the extended system reported in the NHC.dat file (see Section 25.1.2). Default is 1,
but you need to specify this, since default value is not appropriate.
ntt Switch for temperature scaling.
= 4 defines Nosé-Hoover chains of thermostats. It also requires the number of thermostats in a chain
(nchain). For CMD, Nosé-Hoover chains of thermostats must be attached to each non-zero
frequency normal mode.
nchain = 2-8 number of thermostats in each Nosé-Hoover chain of thermostats (default 2, recommended ≥4).
452
25.2. Centroid Molecular Dynamics (CMD)
eq_cmd This flag must be used during the CMD equilibration to generate a canonical distribution of the cen-
troid variables before an actual CMD run. Default is .false.
restart_cmd Flag necessary for restarting a CMD simulation.
In order to run a CMD simulation, you must first generate an equilibrated quantum configuration of your system
using NMPIMD (see Section 25.1.2). A canonical distribution of the centroid variables must then be obtained
from a CMD simulation with the equilib_cmd flag on. After this equilibration, the final configuration is then used
as initial configuration for the actual CMD simulation. For restarting a CMD run the restart_cmd flag in the mdin
file is required.
Importantly, for CMD simulations it is necessary that ntb=1, which is the default value.
25.2.2. Examples
In the following examples of input files for CMD are shown. You are also encouraged to check the test cases in
$AMBERHOME/test/PIMD.
a) CMD for sander.LES. Equilibration of the centroid variables.
Test: $AMBERHOME/test/PIMD/part_cmd_water/equilib.
ipimd = 3 ! CMD
ntx = 5, irest = 0
ntb = 1
temp0 = 298.15, tempi = 298.15, temp0les = -1.
cut = 7.0
ntt = 4, nchain = 4. ! Nose’-Hoover chains
dt = 0.00005, nstlim = 100
eq_cmd = .true. ! equilibration for CMD
adiab_param = 0.5 ! adiabaticity parameter
ntpr = 20, ntwr = 20
b) CMD input for sander.LES. Start of an actual CMD simulation after equilibration.
Test: $AMBERHOME/test/PIMD/part_cmd_water/start.
ipimd = 3 ! CMD
ntx = 5, irest = 1
ntb = 1
temp0 = 298.15, tempi = 298.15, temp0les = -1.
cut = 7.0
ntt = 4, nchain = 4. ! Nose’-Hoover chains
dt = 0.00005, nstlim = 100
eq_cmd = .false. ! actual CMD
adiab_param = 0.5 ! adiabaticity parameter
ntpr = 20, ntwr = 20
c) CMD input for sander.LES. Restart of an actual CMD.
Test: $AMBERHOME/test/PIMD/part_cmd_water/restart.
ipimd = 3 ! CMD
ntx = 5, irest = 1
ntb = 1
temp0 = 298.15, tempi = 298.15, temp0les = -1.
cut = 7.0
453

25. Quantum dynamics
ntt = 4, nchain = 4. ! Nose’-Hoover chains
dt = 0.00005, nstlim = 100
eq_cmd = .false. ! actual CMD
restart_cmd = .true. ! restart
adiab_param = 0.5 ! adiabaticity parameter
ntpr = 20, ntwr = 20
25.3. Ring Polymer Molecular Dynamics (RPMD)
The implementation of RPMD and the necessary input/output files are identical to those of PRIMPIMD (see
Section 25.1.2). The mdin input is the same as for a PRIMPIMD with only few differences described below.
25.3.1. Input parameters
In order to perform RPMD the following flags are required in the mdin file:
ipimd Flag for the different methodologies based on the path-integral formalism. See Section 25.1.2 for the
other values.
= 4 defines RPMD.
ntt Set this to 0, for constant energy dynamics
nscm Set this to 0, to avoid removing translational and rotational center-of-mass motion.
You must first generate an equilibrated quantum configuration of your system using PRIMPIMD (see Section
25.1.2), which is then used as initial configuration for the actual RPMD simulation.
25.3.2. Examples
In the following examples of input files for RPMD are shown. You are also encouraged to check the test cases
in $AMBERHOME/test/PIMD.
a) RPMD input for sander.LES.
Test: $AMBERHOME/test/PIMD/part_rpmd_water.
ipimd = 4 ! RPMD
ntx = 5, irest = 0
ntt = 0
nscm = 0
temp0 = 300., temp0les = -1.
cut = 7.0
dt = 0.0002, nstlim = 10
ntpr = 1, ntwr = 5, ntwx = 1, ntwv = 1
25.4. Linearized semiclassical initial value representation
25.4.1. Experimental observables and thermal correlation functions
Most quantities of interest in the dynamics of complex systems can be expressed in terms of thermal time
autocorrelation functions [458], which are of the form
CAB (t)=1
ZTrˆ
Aβeiˆ
Ht/¯
hˆ
Be−iˆ
Ht/¯
h(25.12)
454

25.4. Linearized semiclassical initial value representation
where ˆ
Aβ
std =e−βˆ
Hˆ
Afor the standard version of the correlation function, or ˆ
Aβ
sym =e−βˆ
H/2ˆ
Ae−βˆ
H/2for the sym-
metrized version [459], or
ˆ
Aβ
Kubo =1
βZβ
0dλe−(β−λ)ˆ
Hˆ
Ae−λˆ
H(25.13)
for the Kubo-transformed version [460]. These three versions are related to one another by the following identities
between their Fourier transforms,
β¯
hω
1−e−β¯
hωIKubo
AB (ω) = Istd
AB (ω) = eβ¯
hω/2Isym
AB (ω)(25.14)
where
IAB (ω) =
∞
Z
−∞
dt e−iωtCAB (t)(25.15)
is the partition function and ˆ
Hthe (time-independent) Hamiltonian of the system, and ˆ
Aand ˆ
Bare operators
relevant to the specific property of interest.
25.4.2. Linearized semiclassical initial value representation
The Semiclassical initial value representation (SC-IVR) approximates the forward (backward) time evolution
operator e−iˆ
Ht/¯
h(eiˆ
Ht/¯
h)by a phase space average over the initial conditions of forward (backward) classical
trajectories [461,462]. By making the approximation that the dominant contribution to the phase space averages
comes from forward and backward trajectories that are infinitesimally close to one another, and then linearizing the
difference between the forward and backward actions (and other quantities in the integrand), Miller and coworkers
[463,464] obtained the LSC-IVR, or classical Wigner model for the correlation function in Eq. (25.12),
CLSC−IV R
AB (t) = Z−1(2π¯
h)−NZdx0Zdp0Aβ
w(x0,p0)Bw(xt,pt)(25.16)
where Aβ
wand Bware the Wigner functions corresponding to these operators,
Ow(x,p) = Zdxhx−∆x/2|ˆ
O|x+∆x/2ieipT∆x/¯
h(25.17)
for any operator ˆ
O. Here Nis the number of degrees of freedom in the system, and (x0,p0)is the set of initial
conditions (i.e., coordinates and momenta) for a classical trajectory, (x(x0,p0),pt(x0,p0)) being the phase point
at time along this trajectory. It should also be noted that there are other approximate routes which lead to the
classical Wigner model for correlation functions (other than simply postulating it). [Please see Section II-A of
Ref. [465] or Section III-A of Ref. [466] for more discussion.] The LSC-IVR can be shown to be exact in the
classical limit (}→0), high temperature limit (β→0), and harmonic limit [467]. The LSC-IVR can treat both
linear and nonlinear operators in a consistent way [468], can be applied to non-equilibrium as well as the above
equilibrium correlation functions, and can also be used to describe electronically non-adiabatic dynamics, i.e.,
processes involving transitions between several potential energy surfaces. These merits of the LSC-IVR make it a
versatile tool to study a variety of quantum mechanical effects in chemical dynamics of large molecular systems.
25.4.3. Local Gausssian approximation
Calculation of the Wigner function for operator ˆ
Bin Eq. (25.16) is usually straight-forward; in fact, is often
a function only of coordinates or only of momenta, in which case its Wigner functions is simply the classical
function itself. Calculating the Wigner function for operator Aβhowever, involves the Boltzmann operator with
the total Hamiltonian of the complete system, so that carrying out the multidimensional Fourier transform to obtain
it is far from trivial. Furthermore, it is necessary to do this in order to obtain the distribution of initial conditions of
momenta for the real time trajectories. To accomplish this task, the local Gaussian approximation (LGA) proposed
by Liu and Miller [465], which can be viewed as an improved version of the local harmonic approximation (LHA),
455

25. Quantum dynamics
[469] and which is able to consistently treat the entire imaginary frequency regime, has been implemented in
Amber. Below we briefly summarize the LGA. As in the standard normal-mode analysis, mass-weighted Hessian
matrix elements are given by
Hkl =1
√mkml
∂2V
∂xk∂xl(25.18)
where represent the mass of the k-th degree of freedom. The eigenvalues of the mass-weighted Hessian matrix
produce normal-mode frequencies {ωk}i.e.,
THT=λ(25.19)
with λa diagonal matrix with the elements n(ωk)2oand T an orthogonal matrix. If is the diagonal ‘mass matrix’
with elements {mk}, then the mass-weighted normal mode coordinates and momenta (X0,P0)are given in terms
of the Cartesian variables (x0,p0)by
X0=TTM1/2x0(25.20)
and
P0=TTM−1/2p0(25.21)
The Fourier transform of Eq. (25.17) then gives the Wigner function of as
Aβ
w(x0,p0)=(2π¯
h)Nhx0|e−βˆ
H|x0i
×
N
∏
k=1"β
2πQ(uk)1/2
exp"−βP0,k2
2Q(uk)##fA(x0,p0)(25.22)
where uk=β¯
hωk,P0,kis the k-th component of the mass-weighted normal-mode momentum in Eq. (25.21) and
the quantum correction factor is given by
Q(u) =
u/2
tanh(u/2)f or real u
=1
Q(ui)=tanh(ui/2)
ui/2f or imaginaryu (u=iui)
(25.23)
In Eq. (25.22),
fA(x0,p0) = Rdx hx0−∆x
2|ˆ
Aβ|x0+∆x
2i
hx0|e−βˆ
H|x0iei∆xT·p0/¯
h
Rd∆xhx0−∆x
2|e−βˆ
H|x0+∆x
2i
hx0|e−βˆ
H|x0iei∆xT·p0/¯
h
(25.24)
is a function depending on the operator ˆ
Aβ. For example, when ˆ
Aβ=e−βˆ
Hˆ
x, one has
fA(x0,p0) = x0+iβ¯
h
2M−1/2TQ(u)−1P0(25.25)
where is the diagonal quantum correction factor matrix with the elements {Qk≡Q(uk)}. Using Eq. (25.24), one
can figure out the quantity fA(x0,p0)for different operators ˆ
Aβ.
The explicit form of LSC-IVR correlation function (Eq. (25.16)) with the LGA is thus given by
CLSC−IV R
AB (t) = 1
ZZdx0hx0|e−βˆ
H|x0iZdP0
N
∏
k=1"β
2πQ(uk)1/2
exp"−βP0,k2
2Q(uk)##
×fA(x0,p0)B(xt,pt)
(25.26)
Please refer to Refs. [465] and [466] for more detail about the LSC-IVR and the LGA.
456

25.4. Linearized semiclassical initial value representation
25.4.4. Input parameters for LSC-IVR in Amber
In order to perform LSC-IVR in Amber, two additional flags should be added in the regular input script file for
classical molecular dynamics.
ilscivr Flag for LSC-IVR
=1 defines LSC-IVR
icorf_lsc Switch for different kinds of correlation functions. It only affects the output files for LSC-IVR.
=1 defines the linear operator ˆ
A=ˆ
xor ˆ
Aβ=e−βˆ
Hˆ
x;
=2 defines the linear operator ˆ
A=ˆ
por ˆ
Aβ=e−βˆ
Hˆ
p
=3 defines any nonlinear operator;
=4 defines Kubo-tranformed operator ˆ
pβ
Kubo =1
βRβ
0dλe−(β−λ)ˆ
Hˆ
pe−λˆ
H
Besides the above two parameters, a file ‘LSCrhoa.dat’ is necessary. Put any integer between 0 and 10000 in the
file. This parameter (nrand) is used for generating the initial random number for LSC-IVR. As the number of
trajectories for LSC-IVR is increased, it will automatically be updated. For example, prepare the input file ‘lsc.in’
for running a LSC-IVR trajectory inin Amber with liquid water (216 water molecules in a cell with the periodic
boundary condition) with the q-SPC/fw model.
&cntrl
ilscivr = 1, icorflsc = 4, ntt = 0, irest = 0, temp0 = 298.15,
dt = 0.0005, nstlim = 2800, ntb = 1, jfastw = 4, ntpr = 1, cut = 7.0,
ntwx = 1 ntwv = 1 ntx = 1
/
&ewald skinnb=2.0d0 /
As one can see, except the first two parameters for LSC-IVR, all other parameters in the input file ‘lsc.in’ are the
same as those in conventional molecular dynamics. Besides ‘lsc.in’, another input file ‘lsc.crd’ for the initial
coordinates of the system should be prepared (i.e., from one of the path integral bead). For instance, the command
to run a parallel job with 2 processors for LSC-IVR in Amber is
mpirun -np 2 sander.MPI -O -i lsc.in -p watqspcfw216.top -c lsc.crd -o lsc.out
Here ‘lsc.out’ is the output file to monitor the trajectory as the one for molecular dynamics. After running the
above command once, the file ‘LSCrhoa.dat’ will be updated. The first number is nrand, which will be increased
by one (nrand =nrand + 1). Followed are the initial coordinates and momenta for the trajectories. If one sets
icorflsc =4, then the function fA(x0,p0)for ˆ
pβ
Kubo will also be written into the file ‘LSC-rhoa.dat’. If icorflsc
=3, then the quantum correction factor and the matrix that diagonalizes the Hesian matrix are recorded in another
file ‘LSCTmat.dat’, which allows fA(x0,p0)B(xt,pt)to be evaluated for any nonlinear operators. 2) Evaluate
correlation functions using LSC-IVR in Amber One may summarize the specific procedure for carrying out LSC-
IVR calculation for quantum correlation functions (i.e., Eq. (13)) as follows:
1. Use path integral molecular dynamics (PIMD) in Amber to simulate the system at equilibrium.
hx0|e−βˆ
H|x0i/Zis evaluated by the PIMD.
2. At specific time steps in the PIMD, randomly select one path integral bead as the initial configuration for the
real time dynamics in LSC-IVR.
3. LSC-IVR in Amber diagonalizes the mass-weighted Hesian matrix of the potential surface to obtain the local
normal mode frequencies and uses the LGA to give the Gaussian distribution for mass-weighted normal
mode momenta N
∏
k=1
(β/2πQ(uk))1/2exph−βP0,k2/(2Q(uk))i
457

25. Quantum dynamics
IllustrationoftheLSC‐IVR
Imaginarytime
Randomly/Sequentially
selectoneofthepath
integralbeadsasthe
initialconfigurationx,
andthengenerate
initialmomentump
PIMDintervalt_imPIMDintervalt_im
Realtime classicaltrajectory
Realtimeclassicaltrajectory
Imaginarytime
Collecttheestimators
fromthistrajectoryforthe
correlationfunctions
Collecttheestimators
fromthistrajectoryforthe
correlationfunctions
Randomly/Sequentially
selectoneofthepath
integralbeadsasthe
initialconfigurationx,
andthengenerate
initialmomentump
Figure 25.1.: Flow chart for LSC-IVR.
which is used to randomly sample initial Cartesian momentum p0=M1/2T P0for the real time trajec-
tory. Notice the parameter nrand in the file ‘LSCrhoa.dat’ is used. LSC-IVR in Amber further runs a
trajectory from the phase space point (x0,p0). As in conventional molecular dynamics, the output files
‘mdcrd’ and ‘mdvel’ record the trajectory (xt(x0,p0),pt(x0,p0)). The parameter nrand is updated in the
file ‘LSCrhoa.dat’, with the initial phase point (x0,p0)the mass, and fA(x0,p0)for ˆ
pβ
Kubo , etc. The file
‘LSCTmat.dat’ may also be created for the quantum correction factor and the matrix .
4. The property
fA(x0,p0)B(xt(x0,p0),pt(x0,p0))
for the corresponding time correlation function can be evaluated for the trajectory with the output files
(mdcrd, mdvel, LSCrhoa.dat and LSCTmat.dat). One can write a short program in order to do so.
5. Repeat steps 2)-4) and sum the property
fA(x0,p0)B(xt(x0,p0),pt(x0,p0))
for all real time classical trajectories until a converged result is obtained. It is worth noting that one can also
sequentially select one path integral bead as the initial configuration in Step 2) each turn. Also in Step 4),
one can simultaneously evaluate different
fA(x0,p0)B(xt(x0,p0),pt(x0,p0))
for different correlation functions.
Here we give an example for the script file to get one real time trajectory in LSC-IVR for the water system
already at equilibrium. (216 water molecules in a cell with the periodic boundary condition, 24 path integral
beads used for the PIMD).
## This is to run PIMD for short time
mpirun -np 24 sander.MPI -ng 24 -groupfile gfpimd > sander.out
458

25.5. Reactive Dynamics
## Copy the configuration of one path integral bead
cd ..
cp -p PIMD/pimdbead1.rst LSC/lsc.crd
## This is to run LSC to get a real time trajectory
cd LSC
mpirun -np 2 sander.MPI -O -i lsc.in -p watqspcfw216.top -c lsc.crd -o lsc.out
## a.out is the executable file that the user writes to calculate
## for correlation functions of his/her own interest
./a.out
Here the file ‘gfpimd’ is like
-O -i pimd.in -p watqspcfw216.top -c pimdbead1.rst -o pimdbead1.out
-r pimdbead1.rst -pimdout pimd.out
-O -i pimd.in -p watqspcfw216.top -c pimdbead2.rst -o pimdbead2.out
-r pimdbead2.rst -pimdout pimd.out
......
-O -i pimd.in -p watqspcfw216.top -c pimdbead24.rst -o pimdbead2.out
-r pimdbead2.rst -pimdout pimd.out
For collecting many LSC-IVR trajectories, one can repeatedly use the commands in the script file with the only
change for sequentially copying a path integral bead for the initial configuration for LSC-IVR, i.e.,
cp -p PIMD/pimdbead*.rst LSC/lsc.crd
Here ‘*’ is replaced by one of the numbers 1-24 each time circularly.
All the force fields available for conventional molecular dynamics in Amber can be used for LSC-IVR. However,
one should also keep in mind that some empirical force fields may require additional reparameterization (such as
q-SPC/fw for SPC/fw) for approximated quantum dynamical methods such as LSC-IVR, CMD and RPMD.
25.5. Reactive Dynamics
25.5.1. Path integral quantum transition state theory
The path integral quantum transition state theory rate [470] is given by
kPI−QTST =1
/2D˙
ξEξ‡ρcξ‡(25.27)
where the centroid density
ρc(ξ) = Rdr(1)dr(2)···dr(P)exph−βΦ(r(1),...,r(P))iδh˜
ξc(r(1),...,r(P))−ξi
Rdr(1)dr(2)···dr(P)exp−βΦ(r(1),...,r(P))hhξ‡−˜
ξc(r(1),...,r(P))i(25.28)
is related to the potential of mean force w(ξ)as
ρc(ξ) = exp[−βw(ξ)]
Rξ‡
−∞dξexp[−βw(ξ)]
(25.29)
In Eq. (25.28), β=1/kBT,Φis the effective potential (see Eqs. 25.8 and 25.49), his the Heaviside step function,
ξ‡is the location of the dividing surface that partitions the reactant and product regions and ˜
ξcis the value of the
reaction coordinate as a function of the centroid coordinates r(c)=1
P
P
∑
s=1
r(s). As Eq. (25.29) suggests, the centroid
density factor can be computed using umbrella sampling approaches to generate a set of biased distributions that
then can be combined into a PMF using the WHAM approach [218–220]. The dynamical frequency factor can be
approximated by the velocity of a free particle along the reaction coordinate direction
459

25. Quantum dynamics
D˙
ξEξ‡=2
πβ 1/2*
3N
∑
i=1
1
mi ∂˜
ξc
∂r(c)
i!2
1/2+ξ‡
(25.30)
where h···iξ‡denotes the conditional average computed at the dividing surface ξ‡. Both factors in the PI-QTST
rate expression can be computed using the EVB/LES-PIMD facility in Amber (see Section 7.4). The value of the
centroid reaction coordinate and the velocity of a free particle along the centroid RC direction are written to the
file evbout. To output ˙
ξ, set the variable out_RCdot = .true. in the EVB input file.
25.5.2. Quantum Instanton
The Quantum Instanton (QI) is a theoretical approach for computing thermal reaction rates in complex molecu-
lar systems, which is related to an older semiclassical (SC) theory of reaction rates that came to be known as the
“instanton” approximation[471]. The SC instanton approximation is based on a SC approximation for the Boltz-
mann operator, exp(−βH), which involves a classical periodic orbit in pure imaginary time (or equivalently in real
time on the upside-down potential energy surface) plus harmonic fluctuations about it[471]. The essential feature
of the QI rate constant [472] is that it is expressed wholly in terms of the quantum Boltzmann operator, which can
be evaluated for complex molecular systems using the path-integral methods described in Sec. 25.1.
In the following we will briefly illustrate the basic principles, and we will derive the fundamentals of the QI
approach. We strongly recommend the user to consult the relevant literature for a more rigorous description[472,
473].
The derivation begins with the following formally exact expression of the quantum mechanical thermal rate
constant[471]:
k(T)Qr(T)≡kQr=1
2π}ZdEe−βEN(E),(25.31)
where Qr(T)is the reactant partition function per unit volume at temperature T,βis the inverse temperature 1/kBT,
and N(E) is the cumulative reaction probability at total energy E[459]:
N(E) = (2π})2
2tr ˆ
FaδE−ˆ
Hˆ
FbδE−ˆ
H.(25.32)
In Eq. 25.32 the flux operators ˆ
Faand ˆ
Fbare defined by
ˆ
Fγ=i
}ˆ
H,hξγ(q),(25.33)
where γ=a,b,hξγis the Heaviside function, and ˆ
His the Hamiltonian of the system. We note that Eqs. 25.32
and 25.33 involve two dividing surfaces ξa(q) = 0 and ξb(q) = 0. The microcanonical density operator δE−ˆ
H
in Eq. 25.32 as well as the integral over the total energy in Eq. 25.31 can be computed using a semiclassical
approximation, which results in the following quantum instanton expression for the rate constant:
k'kQI ≡1
QrCf f (0)√π
2
}
∆H.(25.34)
In Eq. 25.34,Cf f (0)is the zero time value of the flux-flux correlation function generalized to the case of two
separate dividing surfaces,
Cf f (t) = trhe−βˆ
H/2ˆ
Fae−βˆ
H/2eiˆ
Ht/}ˆ
Fbe−iˆ
Ht/}i,(25.35)
and ∆His a specific type of energy variance given by
460

25.5. Reactive Dynamics
∆H2=
tr hˆ
∆ae−βˆ
H/2ˆ
H2ˆ
∆be−βˆ
H/2i−tr hˆ
∆ae−βˆ
H/2ˆ
Hˆ
∆be−βˆ
H/2ˆ
Hi
tr hˆ
∆ae−βˆ
H/2ˆ
∆be−βˆ
H/2i(25.36)
with ˆ
∆aand ˆ
∆bbeing a modified version of the Dirac delta function:
ˆ
∆γ=∆ξγ(ˆ
q)≡δξγ(ˆ
q)|m−1/2Oξγ(ˆ
q)|(25.37)
where γ=a,b. It has been shown that ∆Hcan also be expressed in terms of the “delta-delta” correlation
function[473].
The QI rate constant [Eq. (25.34)] can be rewritten in the form [473]
kQI =Cdd(0)
QrCf f (0)
Cdd(0)
√π
2
¯
h
4H(25.38)
where
Cdd(0;ξa,ξb)
Qr=Rdr(1)dr(2)···dr(P)exph−βΦ(r(1),...,r(P))iδh˜
ξ(r(P))−ξaiδh˜
ξ(r(P/2))−ξbi
Rdr(1)dr(2)···dr(P)exp−βΦ(r(1),...,r(P))hhξ‡−˜
ξ(r(P))ihhξ‡−˜
ξ(r(P/2))i(25.39)
Cf f (0)/Cdd (0) = Dfvr(1),...,r(P)Eξ‡
(P),ξ‡
(P/2)
(25.40)
4H2=1
2Fr(1),...,r(P)2+Gr(1),...,r(P)ξ‡
(P),ξ‡
(P/2)
(25.41)
The conditional average h···iξ‡
(P),ξ‡
(P/2)
is computed from the ensemble sampled with the Pand P/2 slices con-
strained to the dividing surface
h···iξ‡
(P),ξ‡
(P/2)
=Rdr(1)dr(2)···dr(P)exph−βΦ(r(1),...,r(P))iδh˜
ξ(r(P))−ξaiδh˜
ξ(r(P/2))−ξbi×(···)
Rdr(1)dr(2)···dr(P)exp−βΦ(r(1),...,r(P))δh˜
ξ(r(P))−ξaiδh˜
ξ(r(P/2))−ξbi
where the quantities within the average (for the simple case of a single quantized nuclear particle) are defined as
follows:
fvr(1),...,r(P)=miP
2¯
hβ2
∇ξar(P)·r(1)−r(P−1)×∇ξbr(P/2)·r(P/2+1)−r(P/2−1)(25.42)
Fr(1),...,r(P)=−mP
¯
h2β2(P/2
∑
k=1−
P
∑
k=P/2+1)r(k)−r(k−1)2+2
P(P/2−1
∑
k=1−
P−1
∑
k=P/2+1)Vr(k)(25.43)
Gr(1),...,r(P)=2dP
β2−4mP
¯
h2β3
P
∑
k=1r(k)−r(k−1)2(25.44)
All factors needed to calculate the QI rate can be obtained from the EVB/LES-PIMD facility in Amber (see
Section 7.4). For example, the joint distribution function [Eq. (25.39)] is computed using umbrella sampling
along the reaction coordinates of the Pand P/2 slices. The DG EVB input file of the RS malonaldehyde system
may contain the following specifications:
461

25. Quantum dynamics
&evb nevb = 2, nUFF = 1, nbias = 2, ntw_evb = 50,
dia_type = "ab_initio",
xch_type = "dist_gauss",
evb_dyn = "qi_dbonds_pmf",
dia_shift(1)%st = 1, dia_shift(1)%nrg_offset = 0.0,
dia_shift(2)%st = 2, dia_shift(2)%nrg_offset = 0.0,
dbonds_umb(1)%iatom = 8, dbonds_umb(1)%jatom = 9, dbonds_umb(1)%katom = 7,
dbonds_umb(1)%k = 100.0, dbonds_umb(1)%ezero = -.20,
dbonds_umb(2)%iatom = 8, dbonds_umb(2)%jatom = 9, dbonds_umb(2)%katom = 7,
dbonds_umb(2)%k = 100.0, dbonds_umb(2)%ezero = .40,
dist_gauss%stype = "no_dihedrals",
dist_gauss%lin_solve = "diis",
dist_gauss%xfile_type = "gaussian_fchk",
ts_xfile(1) = "malonaldehydeTS_35.fchk",
min_xfile(1) = "malonaldehydeR_35.fchk",
min_xfile(2) = "malonaldehydeP_35.fchk",
dgpt_alpha(1) = 0.72,
dgpt_alpha(2) = 0.72,
dgpt_alpha(3) = 0.72,
UFF(1)%iatom = 7, UFF(1)%jatom = 9
/
where the variable evb_dyn = "qi_dbonds_pmf" requests biased sampling along a difference of distances RC on
the Pand P/2 slices whose umbrella parameters are specified in dbonds_umb(:). Input specifications for the PS
malonaldehyde system is identical to the above, except that the UFF atom pair has been changed to reflect the
product topology (see Section 7.5). A set of 2-dimensional (2D) biased simulations, each enhancing the sampling
near a particular point of the 2D (ξP×ξP/2)configuration space is required to map out the QI joint distribution.
Using the WHAM procedure, the generated biased distributions can be unbiased to form Cdd (0)/Qron the EVB
ground-state surface Vel0. All remaining factors involve conditional averages of fv,Fand G. These quantities are
computed using umbrella sampling with the Pand P/2 slices constrained to the dividing surface ξ‡=0.0 and
are written to the evbout file. The corresponding EVB input file is identical to the above, but with the following
modifications:
.
.
.
evb_dyn = "qi_dbonds_pmf",
evb_dyn = "qi_dbonds_dyn",
.
.
.
dbonds_umb(1)%k = 100.0, dbonds_umb(1)%k = -.20,
dbonds_umb(1)%k = 400.0, dbonds_umb(1)%ezero = 0.0,
.
.
.
dbonds_umb(2)%k = 100.0, dbonds_umb(2)%ezero = .40,
dbonds_umb(2)%k = 400.0, dbonds_umb(2)%ezero = 0.0,
.
.
.
25.6. Isotope effects
25.6.1. Thermodynamic integration with respect to mass
As mentioned in Section 21.1, the standard implementation of thermodynamic integration in Amber assumes
that the potential energy surface (PES) changes, but masses do not. For isotope effects the situation is exactly
462

25.6. Isotope effects
opposite: Within the Born-Oppenheimer approximation, the PES remains unchanged and it is the masses that
change. One is usually interested in the ratio of the partition functions of the system with the heavy isotope (Q(h))
and the light isotope (Q(l)),
Q(h)/Q(l)=e−β∆F,
where the change in free energy ∆Fcan be computed by the thermodynamic integration (TI) with respect to mass
as
∆F=Z1
0hdVeff(λ)/dλidλ.(25.45)
The parameter λinterpolates between the masses of the system with the lighter (λ=0) and the heavier (λ=1)
isotopes,
mi(λ) = (1−λ)m(l)
i+λm(h)
i,(25.46)
and the effective potential Veff is defined as
Veff(λ):=−β−1logQ(λ).(25.47)
The TI consists in running several simulations for different values of λ, computing hdVeff(λ)/dλiin each simula-
tion, and performing the simple integral (Eq. 25.45) in the end.
In classical mechanics, the TI w.r.t. mass would be rather trivial, so we assume that the calculation is quantum-
mechanical and uses PIMD. Let Nbe the number of atoms and Pthe number of imaginary time slices in the
discretized path integral (PI). (P=1 gives classical mechanics, P→∞gives quantum mechanics.) The PI repre-
sentation of Qis
Q'P
2π¯
h2β3NP/2N
∏
i=1
m3P/2
iZdr(1)···Zdr(P)e−βΦ,(25.48)
where Φis given by
Φ=P
2¯
h2β2
N
∑
i=1
mi
P
∑
s=1r(s)
i−r(s+1)
i2+1
P
P
∑
s=1
Vr(s)(25.49)
and r(s)
idenotes the sth slice coordinates of the ith atom.
The tricky part in PI simulations is finding efficient ways to estimate relevant quantities (in the PI jargon, finding
efficient “estimators”) – in our case dVeff(λ)/dλfrom Eq. (25.45). For example, direct differentiation of Eq.
(25.48) gives the thermodynamic-like estimator (TE),[474]
dVeff(λ)
dλ' −
N
∑
i=1
dmi
dλ"3P
2miβ−P
2¯
h2β2
P
∑
s=1r(s)
i−r(s+1)
i2#(TE). (25.50)
The problem with this estimator is that its statistical error grows with P. If one wishes to go to the quantum limit,
one must increase the number of samples enormously. In Ref. [475], this drawback was avoided by subtracting the
centroid coordinate
r(C)
i=1
P
P−1
∑
s=0
r(s)
i
and using mass-scaled coordinates in Eq. (25.48). The resulting virial-like estimator (VE),
dVeff(λ)
dλ' −
N
∑
i=1
dmi/dλ
mi
3
2β+1
2P*P
∑
s=1r(s)
i−r(C)
i·
∂Vr(s)
∂r(s)
i+
(VE), (25.51)
has the advantage that the statistical error is independent of P. Compared to TE, the virial-like estimator requires
the gradient of the potential, but at no additional cost, since the gradient is already needed for the PIMD. Both
types of estimators are implemented in Amber in order to provide an independent comparison, but in general the
virial estimator is preferred.
463

25. Quantum dynamics
Strictly speaking, the preceding derivation was for a system bound in an external potential. In molecular systems
with internal interactions only, the partition function can only be defined per unit volume because the center-of-
mass coordinate is unbound. However, if the sampling is done in Cartesian coordinates as in Amber, the preceding
estimators remain unchanged. This can be justified by considering a finite volume V and taking a limit V→∞.
25.6.2. Amber implementation
The thermodynamic integration w.r.t. mass is run in Amber as any other PIMD simulation with the following
changes.
1. In the mdin file, ITIMASS and CLAMBDA must be set.
ITIMASS =0 No thermodynamic integration w.r.t. mass (default).
ITIMASS =1 Run TI w.r.t. mass using the efficient virial estimator (25.51). This is the preferred value.
ITIMASS =2 Run TI w.r.t. mass using the simple thermodynamic estimator (25.50). This option should
only be used for testing. The virial estimator (option 1) has much smaller statistical error.
CLAMBDA Contains the value of λfor TI (0.0≤λ≤1.0) from Eq. (25.46).
2. In the prmtop (topology) file, a flag TI_MASS with the perturbed masses must be added. In other words,
the current flag MASS includes the masses for the first (unperturbed) isotopic system (m(l)
i), and TI_MASS
includes the masses for the second (perturbed) isotopic system (m(h)
i). Note that unlike the standard TI for
which the force field changes, the TI w.r.t. mass requires only one topology file.
3. The output dVeff/dλfrom Eqs. (25.50) and (25.51) for the TI is printed as “DV/DL” in the mdout file (as
for the standard TI).
Note: Currently, the TI w.r.t. mass can be used with both implementations of the PIMD (that is the full PIMD and
the LES PIMD). There are examples of both in the directory test/ti_mass.
25.6.3. Equilibrium isotope effects
Equilibrium (or thermodynamic) isotope effect (EIE) is the effect of isotopic substitution on the equilibrium
constant Kof a chemical reaction. Denoting the quantities pertaining to the reaction with the lighter (heavier)
isotope by a superscript l(h), the EIE is defined as the ratio of the equilibrium constants
EIE :=K(l)
K(h).(25.52)
Within the Born-Oppenheimer approximation, the potential energy surfaces of isotopic molecules are identical,
and so the EIE is only due to the effect of the isotopic mass on the nuclear motion of the reactants and products.
The EIE can be expressed as the ratio
EIE =Q(l)
p/Q(h)
p
Q(l)
r/Q(h)
r
.(25.53)
where Qrand Qpdenote the reactant and product partition functions, respectively. Equation (25.52) suggests that
the EIE can be found in practice by performing two thermodynamic integrations: for the reactants, Q(l)
r/Q(h)
r, and
for the products, Q(l)
p/Q(h)
p.
25.6.4. Kinetic isotope effects
Similarly, the kinetic isotope effect (KIE) is the effect of isotopic substitution on the rate constant kof a chemical
reaction, and is defined as
KIE :=k(l)
k(h).
464

25.6. Isotope effects
-0.5 00.5
Difference of Bond Lengths [Å]
0
0.5
1
1.5
2
Potential of Mean Force [kcal/mol]
Figure 25.2.: PMFs for proton (curve) and deuterium (Hcurve) transfer in malonaldehyde using DG EVB/LES-
PIMD.
The exact quantum-mechanical expression for the rate constant is
k=Q−1
rtr e−βˆ
Hˆ
Fˆ
P
where ˆ
His the Hamiltonian operator and ˆ
Fˆ
Pis the reactive flux operator. Unfortunately, the exact kcannot
be computed even for fairly small molecules. There exists, however, a very accurate Quantum Instanton (QI)
approximation for the rate constant [472], given by
kQI =1
2√π¯
hCff (0)
Qr∆H.(25.54)
In this expression, Cf f (t)is the flux-flux correlation function and ∆His a specific type of energy variance, defined
in Ref. [472]. A path-integral implementation of the QI approximation to compute KIEs has been developed in
Refs. [474] and [475]. Within this approximation, the KIE is written as a product of several factors,
KIEQI =k(l)
QI
k(h)
QI
=Q(l)
r
Q(h)
r×∆H(h)
∆H(l)×C(l)
dd (0)
C(h)
dd (0)×C(l)
ff (0)/C(l)
dd (0)
C(h)
ff (0)/C(h)
dd (0),(25.55)
where for convenience we have multiplied and divided by so-called delta-delta correlation function Cdd (t). Using
the PIMD implementation in Amber, quantities such as ∆H(h)or C(l)
ff (0)/C(l)
dd (0), can be computed directly in a
constrained PIMD simulation because they are thermodynamic averages (see Section 25.5.2 on the QI evaluation
of the rate constant). The ratio Q(l)
r/Q(h)
rmust be computed by the TI with respect to mass. Finally, the correlation
function Cdd (t)is defined very similarly to the partition function Q, with the exception that it is constrained to two
dividing surfaces for the reaction. Consequently, the ratio C(l)
dd (0)/C(h)
dd (0)must be computed by a TI but with a
constrained PIMD.
25.6.5. Estimating the kinetic isotope effect using EVB/LES-PIMD
The kinetic isotope effect is defined as the ratio of the rate of reaction involving the lighter isotope compared to
the rate involving the heavier isotope, KIE =k(l)/k(h). Within the PI-QTST approximation, the KIE involves the
ratio of dynamical frequency factors and the ratio of centroid densities [see Eqs. (25.27-25.30)]. Each frequency
465

25. Quantum dynamics
0 0.2 0.4 0.6 0.8 1
λ
0
1
2
3
4
-β 〈dVeff / dλ〉
Figure 25.3.: Average value of −βhdVeff/dλisampled in the RS region (Hcurve) and at the dividing surface ξ‡
(curve) as a parameter of λ.
factor can be computed using biased sampling EVB/LES-PIMD, where the umbrella potential constrains the sam-
pling along the dividing surface. The ratio of the centroid densities can be computed by employing biased sampling
(see Sections 7.3 and 7.4) to map out the PMFs for both isotope reactions or by thermodynamic integration with
respect to mass (see Sections 25.6.1 and 25.6.2). The former case involves two separate PMF calculations where
the respective isotope masses are specified in the %FLAG MASS section of the parmtop files. Figure 25.2 compares
the PMFs for the isotopic substitution of the transferring proton to a deuterium. All simulation parameters used in
generating the PMFs are identical, with the exception that the transferring proton mass was changed from 1.008
amu to 2.014 amu in the deuterium parmtop file. The ratio of the centroid densities using Eq. (25.29) provide a
value of 2.52.
Thermodynamic integration with respect to mass is discussed in detail in Sections 25.6.1 and 25.6.2. The key
quantities we need to estimate the ratio of the centroid densities are embodied in the equation [475,476]
ρ(l)
cξ‡
ρ(h)
c(ξ‡)=exp"−βZ1
0dλ dVeff(λ)
dλRS −dVeff(λ)
dλξ‡!# (25.56)
Thus two separate TI by mass simulations are required, one that samples dVeff/dλin the reactant region and
the other which samples along the dividing surface ξ‡. The former case requires ground-state EVB/LES-PIMD
dynamics (i.e., evb_dyn=“groundstate”) on the reactant surface with TI by mass invoked in the mdin file (i.e.,
ievb=1, ipimd=2, ntt=4, nchain=4, itimass=1, clambda=0.2). A set of simulations with clambda ranging from 0
to 1 maps out the derivative along the mass transformation progress variable. Sampling of dVeff/dλalong the divid-
ing surface is invoked in a similar fashion, but with ground-state dynamics replaced by biased sampling constrained
to the dividing surface (i.e., evb_dyn = “dbonds_umb”, dbonds_umb(1)%iatom = 8, dbonds_umb(1)%jatom
= 9, dbonds_umb(1)%katom = 7, dbonds_umb(1)%k = 400.000, dbonds_umb(1)%ezero = 0.0). Here, the di-
viding surface ξ‡is located at 0.0 along the difference of distances RC. Figure 25.3 shows the averages −βh···iRS
and −βh···iξ‡as a parameter of λfor the malonaldehyde system. Using the integration of Eq. (25.56) provides a
centroid density ratio of 2.86.
466
26. mdgx
David S. Cerutti
The mdgx simulations package is a molecular dynamics engine with functionality that mimics some of sander
and pmemd, but featuring simple C code and an atom sorting routine that simplifies the flow of information during
force calculations. With the availability of pmemd and its GPU-compatible variant for efficient, long-timescale
simulations, and the extensive development of thermodynamic integration, free energy calculations, and enhanced
sampling methods that has taken place in sander, the principal purpose of mdgx is to provide a tool for radical
redesign of the basic molecular dynamics algorithms and models. Currently, mdgx supports modest parallel capa-
bilities, but the limiting factor is load-balancing; the molecular dynamics routines are designed for much higher
parallelism. The first application of mdgx was to demonstrate the feasibility of multiple reciprocal space meshes
spanning different regions of the simulation cell at different resolutions.[477] Future applications, discussed in
more detail later in this chapter, pertain to new charge distributions with significant numbers of off-atom “virtual”
force centers.
While it is capable of performing molecular dynamics based on standard prmtop topology, inpcrd starting
coordinates files, and input files in a format very much like the mdin files, it should be emphasized that mdgx is
really a program for experts with knowledge of classical dynamics algorithms. There is currently no minimization
algorithm in place, so mdgx cannot yet be used as a standalone program for converting coordinates from an ex-
periment into a trajectory. However, mdgx does have the capability to perform dynamics in isothermal as well as
isobaric ensembles while incorporating some of the more advanced features of sander and pmemd. With continued
development, it is on a course to become a production molecular dynamics code for general use.
26.1. Input and Output
Input command files for mdgx may be similar to the mdin format used by sander and pmemd. One requirement
of mdgx that is not found in sander is that each of the &namelist segments of the input file must begin with the
identifier of the &namelist on its own line and end with the keyword &end on its own separate line. However,
the &namelist format is not strictly enforced in mdgx, not all sander input variables are available in mdgx, and
some new input variables have been added. All mdgx input variables can also be identified by aliases that may be
lengthier than their sander counterparts but may make the input easier for a human to parse.
All mdgx &namelists and their associated variables may be browsed by running the mdgx program itself; running
the program with no command line arguments will produce basic instructions for usage and a list of command-line
arguments to display each &namelist. Certain directives to mdgx may be supplied as either part of the input file or
on the command line; in particular, the names of the topology, input coordinates, and output files may be specified
in either manner. Also, the random number generator seed and thermodynamic integration coupling parameter λ
may be specified on the command line. However, if the same variable is declared both on the command line and
in the input file, the command-line input will take precedence. This predominance makes it possible to execute
multiple related mdgx runs based on a single input file. Units of input variables follow the sander and pmemd
conventions.
The mdgx program will read standard AMBER prmtop files using its own routines and perform basic tests of the
topology to identify common problems such as omitted disulfide bonds or “D” to “L” chirality flips in the standard
amino acids; any potential problems are reported in the mdout output diagnostics files, but do not immediately lead
the program to halt. In addition to the standard information contained in an AMBER topology file, mdgx is being
developed to also be able to read other sorts of information given certain directives in the input command (mdin)
file. As will be discussed later, mdgx is able to read auxiliary information that modifies the topology specified by
aprmtop file, adding virtual sites or changing the nonbonded parameters of specified atoms. (These changes are
not written back into the original prmtop.)
467

26. mdgx
Output files produced by mdgx follow the AMBER .crd and NetCDF formats for coordinates and velocities.
Forces on all atoms can also be printed over the course of a trajectory. Separate suffixes may be applied to the
mdout output diagnostic information, trajectory files, energy, and restart files, as specified by the user. mdgx also
has the capability to print outputs from a single trajectory into multiple segments if the user specifies a value of
the nfistep variable that is a factor of the sander-related nstlim variable. In such a case, mdgx will print files of
the format [base name]###.[suffix], where [base name] is a base file name supplied by the user, ### is a number
of the segment beginning at zero, and [suffix] is a file extension supplied by the user (for instance, “rst” for restart
files, “out” for mdout output diagnostics). The number of segments is determined by the ratio of nstlim to nfistep;
the former indicates the total number of dynamics steps, the latter the number of steps in each segment. At the
start of dynamics mdgx will check for the existence of complete output diagnostics and restart files (as indicated
by a special three-line ASCII mark) starting at segment 0 and continuing until a missing output diagnostics file
is encountered, even if file overwriting (the sander-related “-O” command-line option) has been specified. (Not
allowing file overwriting will only cause the program to abort if, on a subsequent segment for which complete
output diagnostics and restart files do not exist, some other output such as a trajectory coordinates file does exist.)
The intention of this elaborate scheme is to permit one long run to be broken into many segments without halting
the program, and to provide an internal means of checkpointing a run if the program must be restarted. Because
the changes to the output format are potentially dramatic, the nfistep variable must be set deliberately; any value
that is not a factor of nstlim will result in nfistep being set to zero and outputs will be printed to files named [base
name].[suffix].
The mdgx program also provides its own output format for force diagnostics. In sander, information relating the
bond, angle, torsion, and nonbonded direct and reciprocal space forces is only available by running in “debugging”
mode as specified by the &debugf namelist block. In mdgx, such output is available by setting the sander-related
imin variable to 2; the output is produced in ASCII format with numerous comments to make the results compre-
hensible to a human.
26.2. Installation
mdgx is installed as part of the AmberTools package. The program relies on the FFTW 3.3 and NetCDF libraries
already distributed as part of AmberTools.
26.3. Special Algorithmic Features of mdgx
While it does not currently support the breadth of molecular dynamics algorithms offered by the pmemd or
sander programs, mdgx does have capabilities that set it apart from other simulators in the AMBER software
package.
First, mdgx can perform molecular simulations at constant volume with the “Multi-Level Ewald” implementation
of Particle Mesh Ewald [477] electrostatics. This algorithm breaks the one reciprocal space mesh used in most
Particle:Particle / Particle:Mesh techniques into multiple slabs spanning subdomains of the simulations cell and
a much coarser variant of the global mesh for reuniting the subdomains. The intention of this algorithm is to
provide a means for distributing and mitigating the communications required for solving the system’s long-ranged
electrostatics. mdgx also provides an implementation of standard Smooth Particle Mesh Ewald electrostatics [312],
with the added generality of independent interpolation orders in each of the three mesh dimensions. These features
may be accessed through control variables in the &ewald namelist.
Another feature of mdgx, ported to pmemd in Amber13, is the Monte-Carlo barostat, available by specifying
ntp > 0 and barostat = 2. This remarkably simple barostat makes volume moves, rescales system coordinates to
match the new unit cell dimensions, and uses the Metropolis criterion to compare the energies of the original and
trial configurations:
χacc =minh1,Vnew
Vold Nexp−1
kT Unew −Uold +PVnew −Vold i
In the above formula, the probability of accepting a move χis determined by the product of two factors. The
first factor is the ratio of volumes Vin the trial (new) and initial (old) configurations taken to the power of the
468
26.4. Customizable Virtual Site Support in mdgx
number of particles in the system N. (Note that in the presence of rigid constraints, each rigidly constrained group
of atoms counts as only one particle.) The second factor is a Boltzmann-weighted probability based on the sum of
the potential energy of the system Uand the pressure-volume work that the system does on its surroundings. In
the above formula, the pressure Pand temperature Tare arbitrary parameters of the barostat: specifically, Pis the
external pressure (pres0 in sander input), and Tis set to match the external temperature of the thermostat in use. In
this barostat, the system kinetic energy does not directly play a role in determining the system volume. However,
in a condensed system of real particles the kinetic and potential energies quickly exchange, and even in the case of
an ideal gas the two factors balance out such that the familiar ideal gas law is recovered so long as the temperature
Tgiven to the barostat and the actual temperature of the gas particles match. Currently, this barostat is set up to
rescale the volume isotropically, but in principle anisotropic volume changes and even alterations of the unit cell
angles are feasible.
A principal advantage of the Monte-Carlo barostat is that no computation of the virial is necessary: the baro-
stat can be applied at whatever frequency the user requires, and will maintain the proper system volume so long
as moves are accepted at a frequency much greater than the rate at which the system might spontaneously move
to configurations which change its equilibrium volume under the applied external pressure P. The default of at-
tempting one barostat move by increasing or decreasing the system volume by up to one-tenth of a percent of its
initial volume appears to result in a good acceptance ratio. The default of attempting the moves every 100 steps
of dynamics, about every 100 to 200 femtoseconds, should be sufficient to accommodate most processes of in-
terest and produce sound equilibrium statistics on the timescale of nanoseconds. Because the moves only require
recalculation of the energy (which is done with merely a few additions and multiplications in special cases), the
Monte-Carlo barostat may also have a speed advantage over the methods currently implemented in sander and
pmemd.
26.4. Customizable Virtual Site Support in mdgx
It is not completely feasible to perform molecular dynamics with massless particles. However, for many useful
cases in which the locations of massless particles are determined by the locations of two or more atoms with mass,
it is possible to perform dynamics by using the chain rule to transfer forces from the “virtual sites” to the massive
particles. These constructions, enumerated below, provide a means for breaking out of the “one atom, one site”
paradigm that has dominated classical molecular dynamics, but the prmtop format utilized by the sander and
pmemd programs does not always provide a straightforward means of expressing the relationships between virtual
sites and their parent (or “frame”) atoms and the sander and pmemd programs only support the most widely used
cases of virtual sites (e.g. TIP4P and TIP5P water).
The mdgx program provides a means for adding any number of virtual sites to an existing force field, with
custom charges and even Lennard-Jones properties. The only limitations with the virtual sites are that no new
bonded terms may be added, that the virtual sites carry zero mass, and that each virtual site location be determined
by two or three frame atoms on the same residue which do have mass. The constructions below follow those
outlined in the GROMACS manual; a four-point frame construction devised by the GROMACS team is not yet
implemented, but a “zeroth” frame type is available in mdgx which allows, without changing the prmtop, run-time
modification of existing atomic non-bonded parameters.
In the Fig. 26.1, the &rule namelist variables for specifying each virtual site constructor are superimposed on
atoms, vectors, and angles. In Style 1, the virtual site lies along the line determined by two atoms; v12 denotes the
fraction of the distance between the two atoms at which to place the virtual site. In Style 2, the virtual site lies in
the plane determined by three atoms at a point determined by a combination of the displacements between atoms 1
and 2 and atoms 2 and 3. Virtual sites of Styles 1 and 2are located by linear combinations of the positions of their
frame atoms. In Style 3, the virtual site is located along the line described by frame atom 1 and a point between
frame atoms 2 and 3 (v23 denoting the fraction of this distance), at a fixed distance v1e from frame atom 1. Style 4,
perhaps the most mathematically challenging frame type to define but very useful and intuitively comprehensible,
places a virtual site at a fixed distance v1e from frame atom 1 such that the angle illustrated has the value theta
(specified in radians in the &rule namelist). The virtual site remains in the plane of the frame atoms, and frame
atom 3, which must not be colinear with the other frame atoms, orients the sign of theta. Virtual sites of Style 5 are
defined as sites of Style 2, but projected normal to the plane according to a multiple v12x13 of the cross product of
469

26. mdgx
Figure 26.1.: Frame styles in mdgx.
the vectors between frame atoms 1 and 2 and frame atoms 1 and 3. Note that virtual sites of Styles 1,2, and 5will
stretch with their frames, whereas 3 and 4 will not. The stretching will be minor if the frame atoms are bonded as
shown in the figure. Due to the manner in which virtual sites are positioned in mdgx, frame atoms 2 and 3, and the
virtual site when placed, must lie within half the van-der Waals non-bonded cutoff of frame atom 1. This should
seldom if ever be a problem. A complete list of &rule namelist variables follows in the table.
470

26.4. Customizable Virtual Site Support in mdgx
Name Alias Description
frame? FrameAtom? When ? is 1, 2, or 3, this specifies the frame atoms needed for
virtual site construction
epname ExtraPoint The name of the virtual site
atom AtomName The name of the virtual site (alternate specifications)
style FrameStyle The frame style to use (see descriptions in the preceding
figure); acceptable values are 0 through 5
excl? Exclude? The virtual site is definitively 1:1 bound to frame atom 1 and
thereby inherits all 1:2, 1:3, and 1:4 neighbors of frame atom 1,
but if ? is 2 or 3 then the virtual site will also be considered 1:1
to frame atoms 2 or 3 and inherit their bonded neighbors as
well. This will not affect the 1:2, 1:3, and 1:4 neighbor lists of
the frame atoms themselves.
v12 Vector12
Defined according to frame type; see preceding paragraph and
illustration.
v1e Vector1E
v13 Vector13
theta Theta
v23 Vector23
v12x13 Vector12x13
q Charge Charge of the virtual site
sig Sigma Lennard-Jones σand εparameters of the virtual site
eps Epsilon
residue ResidueName The residue to which extra points will be added. Because it is
specified according to the four-character name, there is some
possibility for ambiguity as terminal residues often have the
same names as residues in the middle of a chain. Therefore, in
order to add a virtual site to an the amino terminus of
N-terminal alanine but skip over alanines within a polypeptide,
the N-terminal alanine would have to be given a new name
within the prmtop.
The purpose of the zeroth frame type is to round out a temporary solution to the problem of testing virtual sites
configurations in Amber; ultimately, the best solution is to incorporate all virtual site constructions into LEaP and
expand the prmtop format to accommodate them. However, for experimentation and validation the mdgx approach
of adding particles to an existing topology is straightforward, faster than creating new topologies starting with
antechamber, and will remain available as part of the program for the foreseeable future. It is possible in mdgx
(noting that the rigid geometry of the massive atoms is the same throughout all TIP water models) to simulate
TIP4P[70] or TIP5P[70] water starting from a prmtop containing TIP3P water, although it is more convenient and
perhaps marginally faster to simulate beginning with a prmtop specifying the more complex water model.
Virtual sites added in this manner follow the neighbor conventions described in Subsection 17.7.4: virtual sites
are counted as “1:1” neighbors of their first parent atoms and then inherit all 1:2 (bond), 1:3 (angle), and 1:4
nonbonded neighbors of the first parent atom. It is also possible to endow virtual sites with neighbors of other
parent atoms, effectively declaring the virtual sites to be 1:1 neighbors of more than one atom. The neighbor list
updates implied by adding virtual sites do not get applied retroactively, however, so multiple frame atoms do not
become 1:1 neighbors of each other. Because of the exclusions implied by different frame constructions, care
should be taken when defining parent atoms. For instance, in the chlorinated ethane derivative below virtual sites
of frame type 1 (v12 = −0.3, with chlorines being frame atom 1 and the bonded carbons being frame atom 2) can
be shown to significantly improve the electrostatic fit to quantum-mechanical MP2 calculations.
471

26. mdgx
In principle, the frame atom 1 may be defined as the carbon, with the chlorine (which is actually closest to
the virtual site) merely defining the direction of the virtual site projection. However, this construction omits
interactions between virtual sites on opposite ends of the molecule, and as a result the torsional conformations
of the molecule are drastically altered (so much so that the hydration free energy in explicit solvent simulations
changes by more than 3 kcal/mol). If the chlorines themselves are made frame atom 1 in each virtual site frame,
the virtual sites become 1:4 neighbors to one another and interact by a slightly screened electrostatic potential.
The effects on the torsional distribution and resulting hydration free energy are then much more modest. This
trichloroethane represents an extreme case, but more subtle examples abound. In general, virtual sites can change
the charge distribution of a molecule to roughly the same degree that refitting an atom-centered charge model
to new quantum data does. Ideally, torsional parameters would be refitted in all cases to accommodate the new
electrostatic model.
26.5. Restrained Electrostatic Potential Fitting in mdgx
Because of the extensive capabilities for adding virtual sites, mdgx also contains an internal means of assigning
charges to them. The Restrained Electrostatic Potential (RESP) methodology is the basis for charge assignment
based on quantum-mechanical electrostatic potential data, but the details differ somewhat from the implementation
in antechamber.
The basic concept of fitting charges to reproduce the electrostatic potential of a molecule, by finding the solution
with least squared error in the presence of restraints, is carried over from the original Kollmann RESP. However,
instead of Langrangian constraints, equivalent charges are unified as single variables in the fit, and penalty functions
are added to the fitting matrix to enforce total charge constraints. Where mdgx excels is in the control it gives
the user over what fitting data will be used. Rather than relying on a quantum-chemistry package to select a
particular surface around a molecule, mdgx will read the electrostatic potential due to that molecule on a regular
grid and select points from that grid based on a solvent-accessible region determined by the actual Lennard-
Jones parameters of the model. Because most solvent models make use of hydrogen atoms with modest or non-
existent steric properties, mdgx also considers points which may not be accessible to the solvent probe but might be
accessible to a hydrogen atom connected to that probe. mdgx will read a prmtop describing the system and also,
if required, a Virtual Sites rule file, so that partial charges may be fitted for any virtual sites that the user wishes to
add. Once fitting is complete, mdgx can return a new Virtual Sites rule file that will apply the fitted charges to the
original prmtop in future simulations.
Fitting is called by its own separate &fit namelist, and triggers a distinct run mode in the sense that the program
will terminate after the fit is complete. The options available in the &fit namelist include:
472

26.5. Restrained Electrostatic Potential Fitting in mdgx
Name Alias Description
phi# QMPhi# Names of additional electrostatic potentials to use in fitting.
The files are read as formatted Gaussian cubegen output,
containing electrostatic potentials sampled on a regular grid
and a list of molecular coordinates which is expected to match
the atoms found in the prmtop.
auxphi# AuxPhi# An auxiliary electrostatic potential to use in fitting, also in
formatted Gaussian cubegen output, corresponding to phi#.
The effect of specifying an auxiliary potential is to have a
single set of charges fit to reproduce the average of the two
potentials. This feature supports development of fixed-charge
force fields if one posits that the correct charges of a
non-polarizable model would sit halfway between the charges
of a fully polarized molecule in some solvent reaction field and
the charges of an unpolarized molecule in the gas phase.
eprules EPRules If specified, mdgx will output all fitted charges in the form of a
Virtual Sites rule file, which can be given as input to
subsequent simulations to modify the original prmtop and
apply the fitted charge model.
conf ConfFile If specified, mdgx will output the first molecular conformation,
complete with any added virtual sites, in PDB format for
inspection. This is useful for understanding exactly what
model is being fitted.
qtot TotalQ The total charge constraint in units of the proton charge; the
sum of all fitted charges is required to equal this value. Default
0.0.
minq# MinimizeQ# Restrain the charges of a group of atoms to zero by the weight
given in minqwt. The groups are specified in ambmask format.
equalq# EqualizeQ# Restrain the charges of a group of atoms to have the same
values. Groups are specified in ambmask format.
473

26. mdgx
Name Alias Description
minqwt MinQWeight Weight used for restraining values of charges to zero; as more
and more fitting data is included (either through a higher
sampling density of the electrostatic potential due to each
molecular conformation or additional molecular
conformations) higher values of minqwt may be needed to keep
the fitted charges small. However, with more data the need to
restrain charges may diminish as well.
phiwt# PhiWeight# The weights assigned to electrostatic potentials specified by
phi#. This modulates the importance of one molecular
configuration, and the electrostatic potential it implies, in the
fit. Default 1.0 for all files phi#.
nfpt FitPoints The number of fitting points to select from each electrostatic
potential grid. The points nearest the molecule, which satisfy
the limits set by the solvent probe and point-to-point distances
as defined below, will be selected for the fit. Default 1000.
psig ProbeSig The Lennard-Jones σparameter of the solvent probe. Default
3.16435 (TIP4P oxygen).
peps ProbeEps The Lennard-Jones εparameter of the solvent probe. Default
0.16275 (TIP4P oxygen).
parm ProbeArm The probe arm; points on the electrostatic potential grid that
would be inaccessible to the solvent probe may still be
included in the fit if they are within the probe arm’s reach.
Default 0.9572Å (TIP oxygen-hydrogen bond distance).
pnrg StericLimit The maximum Lennard-Jones energy of the solvent probe at
which a point will qualify for inclusion in the fit. Default 3.0
kcal/mol.
flim Proximity The minimum proximity of any two points to be included in
the fit. Default 0.4Å.
hbin HistogramBin If hist is specified, mdgx will print a histogram reporting the
number of fitting points falling within any particular distance
of some atom of the molecule. This parameter controls the
discretization of the histogram.
maxmem MaxMemory Because fitting matrices can become very large in some cases
(in particular, those involving multiple systems with correlated
partial charges), mdgx offers this parameter as a safeguard
against creating a matrix that may inadvertently take up too
much memory. Values for this argument may be integers, or
integers followed immediately (no spaces) with terms such as
“GB,” “Mb,” or “kB” (case-insensitive) for giga/mega/kilo
bytes. Default 1GB.
verbose Verbose Unless set to zero by the user, mdgx will print periodic updates
and record milestones from the fitting run in terminal output.
Many options in the &fit namelist may be specified with numbers, denoted by #in the table above. The #
represents any number from 1 to 256, but declining to state a number simply implies the first member of the series.
Skips in the series are forbidden. An example of a &fit namelist is given below. In this particular problem, ECl2
and ECl3 were the names of virtual sites not in the original topology file but specified by a Virtual Sites rule file.
&fit
QMPhi1 Conf12/pcm12.cube,
QMPhi2 Conf13/pcm13.cube,
QMPhi3 Conf14/pcm14.cube,
pnrg 2.0,
474
26.6. Bonded Term Fitting in mdgx
nfpt 15000,
minqwt 175.0,
EqualizeQ1 ’@H1,H2’
EqualizeQ2 ’@Cl2,Cl3’
EqualizeQ3 ’@ECl2,ECl3’
MinimizeQ = ’@E*’
EPRules frag.xpt
ConfFile f6xp.pdb
&end
Virtual site constructions have strong support in mdgx to rapidly translate between an imagined model and a
practical simulation.
26.6. Bonded Term Fitting in mdgx
Having the capabilities to read multiple topologies and coordinate sets, compute energies, and to optimize pa-
rameter sets made a bonded parameter fitting module a natural extension of mdgx. Like the RESP fitting module,
the bond parameter fitting routines can read multiple systems and conformations and determine the best overall
values for harmonic bond, harmonic angle, and torsion Fourier series appearing in multiple contexts. The while
the RESP module is limited to 512 systems and conformations and makes its fitting matrices based on thousands
of data points from each one, there is no practical limit to the number of systems and conformations that the bond
parameter fitting module can muster, although it seeks only to make the total internal energy of each conformation
match a single target value (presumably obtained from quantum mechanics). This duplicates some functionality in
the paramfit program described in Chapter 3, but with the added capability of correlating parameters that appear
in many different molecules. Results are written to several different files: the forcedump file (-d option on the
command line or in the &files namelist) stores fitted parameters in the standard Amber parameter file format (i.e.
parm99.dat), mdout provides extensive analysis of the fit and sampling of each fitted parameter in the data set, and
then creates a complete report of the correlations, system by system, if requested.
Bonded term fitting is called by including the ¶m namelist in an inpue file. If detected, this namelist will
send mdgx into a distinct run mode and then have the program terminate. The options available in the ¶m
namelist include:
475

26. mdgx
Name Alias Description
sys System A fitting data point. This keyword must be followed by three
items: the name of a topology file, the name of a corresponding
coordinate file, and the energy of this system in the stated
conformation.
bonds FitBonds Requests a linear least-squares fit for bond stiffnesses in the
system.
angles FitAngles Requests a linear least-squares fit for angle stiffnesses in the
system.
torsions FitTorsions Requests a linear least-squares fit for torsion stiffnesses in the
system.
fith FitH Request that a specific torsion parameter be included in linear
least-squares fitting.
fitscnb FitLJ14 Requests a linear least-squares fit for Lennard-Jones 1:4
scaling factors.
fitscee FitEE14 Requests a linear least-squares fit for electrostatic 1:4 scaling
factors.
repall ReportAll Flag to activate output of all parameters encountered during the
fitting procedure, including those that were not adjusted by the
fit but nonetheless contributed to the molecular mechanics
energies. Default is 1 (write all parameters to the Amber
parameter file), appropriate for creating a parm##.dat file to
specify a new force field. Set to 0 to create files more akin to
frcmod files.
verbose ShowProgress Alert the user as to the progress of the fitting procedure. Runs
involving thousands of molecular conformations and hundreds
of parameters can generally be completed in a few minutes.
Default is 1 (ON). Set to zero to suppress output.
elimsig ElimOutliers Flag to activate removal of molecular conformations whose
energies are far outside the norm for other conformations of
the same system. Default 0 (do not remove outliers).
ctol ConfTol Tolerance for deviation from the mean energy value, specified
as a function of the standard deviation for all conformations of
the same system. Conformations of a system which exceed this
threshold will be reported if verbose is set to 1, and removed
from consideration if elimsig is set to 1. Default 5.0 sigmas.
eunits EnergyUnits Units of the target energy values. Default Hartrees. Acceptable
values include Hartree/Atomic, kJ/kilojoules, and j/joules.
Case insensitive.
accrep AccReport Accuracy report on the fit. Contains extensive analysis on the
resulting parameters, in MatLab format.
title ParmTitle Parameter file title. This is not a file name, but rathr the title
appearing on the first line of the printed file named by the -d
command line / &files namelist argument.
scnb Vdw14Fac Sets a universal 1:4 scaling factor for van-der Waals
interactions. Use this input to change the scaling on all systems
simultaneously.
scee Elec14Fac Sets a universal 1:4 scaling factor for electrostatic interactions.
Use this input to change the scaling on all systems
simultaneously.
brst BondRest General value for harmonic restraints on bond stiffness
constants.
arst AngleRest General value for harmonic restraints on angle stiffness
constants.
hrst DihedralRest General value for harmonic restraints on torsion stiffness
constants.
476

26.7. Thermodynamic Integration
26.7. Thermodynamic Integration
A rudimentary implementation of thermodynamic integration is available in mdgx. This facility is not fully
developed, but does permit users to test changes in hydration free energy or other consequences of new charge
models, such as those that include virtual sites. The only significant similarity to sander is that there are two
trajectories propagated simultaneously using a mixture of the forces obtained at each endpoint; otherwise the
implementation is very different. In mdgx, both trajectories are propagated by the same processor, so it is feasible
to run TI in serial mode, without a parallel build. A single input file carries all the necessary information for
a thermodynamic integration run, including the names of the topologies describing the initial and final states of
the system and the path for changing between them. A single output file contains all the relevant information
concerning the energies of the system at each endpoint and the derivative of the potential with respect to the
coupling parameter λ.
Parameters specific for thermodynamic integration in mdgx include:
Name Alias Description
icfe RunTI Flag to turn on thermodynamic integration (default 0, set to 1
to activate)
klambda MixOrder The exponent on terms involving the coupling parameter λ
(see Section 21.1; default 1)
clambda MixFactor The value of the coupling parameter λ(default 0.0)
nsynch SynchTI Frequency at which to explicitly synchronize the two
trajectories. In principle, this should never be necessary but to
prevent some corner case from occurring the nsynch is set to
1000 steps by default. A brief report of activity required to
synchronize coordinates appears in the output file every time
this routine is called.
The mdgx program can accept up to two topologies, for the initial and final states of the system. The topologies
are specified by the argument “-p#” on the command line or the arguments “Topology#” or “-p#” in the mdin input
file, where #is blank, 1, or 2. A blank value of #corresponds to 1. Different Virtual Site rules files may be specified
for each topology with the “-xpt#” option on the command line and the “-xpt#” or “EPRules#” options in the mdin
file. Assigning the same topology file to both -p1 and -p2 parameters but assigning a Virtual Sites rule file to one
of them is a way to test the energetic consequences of changing the charge model found in some standard force
field to one that includes new virtual sites.
Thermodynamic integration routines in mdgx can handle topologies of different numbers of atoms. Unique
atoms are each endpoint are considered points with mass but no other properties at the other endpoint. This
functionality is not yet mature, so “experts only!” With the future addition of soft-core repulsive potentials for
smooth growth and removal of atoms, this functionality will become more robust and accessible to end users.
26.8. Future Directions and Goals of the mdgx Project
While it does draw on adaptations of some code found in the sander program, mdgx is not a re-implementation
of a subset of sander’s functionality. Many of the algorithms used by mdgx differ from those used by sander
and pmemd, including the velocity version of the Verlet integrator, the domain decomposition for nonbonded in-
teractions, and an atomic, as opposed to a molecular, virial calculation (if the virial is computed at all). This
independence of the mdgx program may create some difficulties when trying to compare mdgx results from simu-
lations to sander and pmemd, but efforts are being made to unify the input and output conventions of each program.
The simple C implementation in mdgx should be adaptable and expandable, and the nexus of capabilities for read-
ing topologies, computing forces and energies, executing dynamics, and fitting parameters make the program a
useful tool for testing and comparing new algorithms.
With this release, mdgx offers parallel scaling to 8 or more CPUs, for a roughly five- to six-fold speed advantage
over its serial implementation. The current project goal is to scale efficiently to 64 processors, to reach a level
of parallelism that is sufficient for scientific inquiry on modern computational physics problems. The higher
477
26. mdgx
parallelism is intended to come with support for easily expanding the attributes of atoms, to create an excellent
tool for performing new types of simulations.
478
Part V.
Analysis of simulations
479
27. mdout_analyzer.py and ambpdb
mdout_analyzer.py is a simple script designed to help you rapidly parse and analyze the energy components
printed in the output files from sander and pmemd. It requires that the numpy and matplotlib packages be
installed. The scipy Python package is also required when plotting smoothed histograms using kernel density
estimates. You can use it as follows:
mdout_analyzer.py <mdout1> <mdout2> <mdout3> ... <mdoutN>
Where each mdout file is combined into a single data set. A GUI window will open up with buttons for every
energy component parsed from the mdout file followed by a button for each type of graphical analysis you can do
on the data shown below.
A second window has options to control how the graphs will appear. Help is available in the <Help> menu at
the top of the main window. Note, mdout files must be from the same type of simulation (or at least have all of the
same energy components printed inside) in order to be combined.
Right-clicking on each energy button brings up a little window describing what that energy term is.
27.1. ambpdb
NAME ambpdb - convert amber-format coordinate files to pdb format
SYNOPSIS
ambpdb [ -p prmtop-file ][ -tit title ] [ -pqr|-bnd|-atm|-mol2]
[ -aatm ] [-bres ] [-noter] [-ext] [-offset #] [-bin] [-first]
ambpdb is a filter to take a coordinate "restart" file from an AMBER dynamics or minimization run (on STDIN)
and prepare a pdb-format file (on STDOUT). The program assumes that a prmtop file is available, from which it
gets atom and residue names.
OPTIONS
-help Print a usage summary to the screen.
-tit The title, if given, will be output as a REMARK at the top of the file. It should be protected by quotes
or double quotes if it contains spaces or special characters.
-pqr If -pqr is set, output will be in the format needed for the electrostatics programs that need charge and
radius information.
-atm creates files used by Mike Connolly’s surface area/volume programs.
-bnd creates a file that lists the bonds in the molecule, one per line.
-mol2 creates a TRIPOS mol2 file with all of the residues and bond information present in the topology file.
-aatm This switch controls whether the output atom names follow Amber or Brookhaven (PDB) formats.
With the default (when this switch is not set), atom names will be placed into four columns following
the rules used by the Protein Data Base in Version 3.
481
27. mdout_analyzer.py and ambpdb
-bin If -bin is set, an unformatted (binary) "restart" file is read instead of a formatted one (default). Please
note that no detection of the byte ordering happens, so binary files should be read on the machine they
were created on.
-bres If -bres (Brookhaven-residue-names) is not set (the default), Amber-specific atom names (like CYX,
HIE, RG5, etc.) will be kept in the pdb file; otherwise, these will be converted to PDB-standard names
(CYS, HIS, G, in the above example). Note that setting -bres creates a naming ambiguity between
protonated and unprotonated forms of amino acids.
If you plan to re-read the pdb file back into Amber programs, you should use the default behavior; for
programs that demand stricter conformance to Brookhaven standards, set -bres.
-first If -first is set, a pdb file augmented by additional information about hydrogen bonds, salt bridges, and
hydrophobic tethers is generated, which can serve as input to the stand alone version of the FIRST
software by D. J. Jacobs, L. A. Kuhn, and M. F. Thorpe to analyze the rigidity / flexibility of protein
and nucleic acid structures.[478,479] The criteria to include hydrophobic tethers differ for protein and
nucleic acid structures. Note that currently not all modified RNA nucleosides are explicitly considered
and that DNA structures are treated according to a parametrization derived for RNA structures. Details
about the RNA parametrization can be found in ref.[480] .
-noter If -noter is set, the output PDB file not include TER cards between molecules. Otherwise, TER cards
will be added whenever there is not bond between adjacent residues. Note that this means there will be
a TER card between each water molecule, for example, unless -noter is set. The PDB is idiosyncratic
about TER cards: they are generally present between separate protein chains, but generally not present
between cofactors or solvent molecules. This behavior is not mimicked by ambpdb.
-ext Use the “extended” pdb information in the prmtop file to recover the chain IDs and residue numbers
that were present in the original pdb file used to make the prmtop file.
-offset If a number is given here, it will be added to all residue numbers in the output pdb file. This is useful
if you want the first residue (which is always "1" in an Amber prmtop file, to be a larger number, (say
to more closely match a file from Brookhaven, where initial residues may be missing). Note that the
number you provide is one less than what you want the first residue to have.
Residue numbers greater than 9999 will not "fit" into the Brookhaven format; ambpdb actually prints
mod(resno,10000); that is, after 9999, the residue number re-cycles to 0.
FILES Assumes that a prmtop file (with that name, or the one given in the −poption) exists in the current directory;
reads AMBER coordinates from STDIN, and writes pdb-file to STDOUT.
BUGS Inevitably, various niceties of the Brookhaven format are not as well supported as they should be. The
protonate program can be used to fix up hydrogen atom names, but that functionality should really be in-
tegrated here. There is no good solution to the PDB problem of using the same residue name for different
chemical species; depending on how the output file is to be used, the two options supported (setting or not
setting -bres) may or may not suffice. Radii used for the -pqr option are hardwired into the code, requiring
a recompilation if they are to be changed. Atom name output may be incorrect for atoms with two-character
atomic symbols, like calcium or iron. The -offset flag is a very limited start toward more flexible handling
of residue numbers; in the future (we hope!) Amber prmtop files will keep track of the "original" residue
identifiers from input pdb files, so that this information would be available on output.
482
28. cpptraj
For many years, ptraj has been the workhorse for trajectory analysis in Amber. It is able to perform many types
of analyses and can process multiple trajectories. However, one of its limitations is that all coordinates in a given
ptraj run must correspond to a single topology file. This prevents certain types of analysis, for example calculating
the RMSD of a coordinate frame to a reference frame with a different topology.
Cpptraj[481] is a complimentary program to ptraj that can process trajectory files with different topology files in
the same run. Although certain parts of the ptraj code are used in cpptraj, it is overall a completely new code base
written primarily in C++ with an eye towards making future code development and maintenance as easy as possible.
In addition to reading multiple topology files, cpptraj can read multiple reference structures, write multiple output
files (for which specific frames to be written can be specified), write stripped topology files, output multiple data
sets to the same data file (e.g. two dihedral calculations like phi and psi can be written to one file), and has native
support for compressed files along with many other improvements. The code is at least as fast as ptraj, and in
many cases is faster, particularly when processing NetCDF trajectories. In addition, several actions have been
parallelized with OpenMP to take advantage of multi-core machines for even more speedup (see section 28.2.6 on
page 488), and ensembles of trajectories can be processed in parallel with MPI (see section 28.2.7 on page 488).
Currently all ptraj actions and analyses except for certain clustering algorithms are implemented in cpptraj.
Cpptraj has been developed to be almost completely backwards-compatible with ptraj input. In general, if a
command in ptraj has been implemented in cpptraj it should produce similar results, although the output format
may be different. Notable exceptions are the hbond and cluster commands, which have quite different input (see
command syntax for details).
28.1. Running cpptraj
Cpptraj can be run either interactively or in ’batch’ mode, where input is taken from STDIN or one or more input
files. Input to cpptraj is in the form of commands, which can be categorized in to 2 types: immediate and queued.
Immediate commands are executed as soon as they are encountered. Queued commands are initialized when they
are encountered, but are not executed until a run or go command is issued. Actions and analyses are by default
queued commands; however, they can also be run as immediate commands via the crdaction and runanalysis
commands respectively. See 28.5 on page 492 for more details.
28.1.1. Command Line Syntax
cpptraj [-p <Top0>] [-i <Input0>] [-y <trajin>] [-x <trajout>]
[-c <reference>]
[-h | --help] [-V | --version] [--defines] [-debug <#>]
[--interactive] [--log <logfile>] [-tl]
[-ms <mask>] [-mr <mask>] [--mask <mask>] [--resmask <mask>]
-p <Top0> Load <Top0> as a topology file. May be specified more than once.
-i <Input0> Read input from <Input0>. May be specified more than once.
-y <trajin> Read from trajectory file <trajin>; same as input ’trajin <trajin>’.
-x <trajout> Write trajectory file <trajout>; same as input ’trajout <trajout>’.
-c <reference> Read <reference> as reference coordinates; same as input
’reference <reference>’.
-h | –help Print command line help and exit.
483
28. cpptraj
-V | –version Print version and exit.
–defines Print compiler defines and exit.
-debug <#> Set global debug level to <#>; same as input ’debug <#>’.
–interactive Force interactive mode.
–log <logfile> Record commands to <logfile> (interactive mode only). Default is
’cpptraj.log’.
-tl Print length of trajectories specified with ’-y’ to STDOUT. The total number
of frames is written out as ’Frames: <X>’
-ms <mask> Print selected atom numbers to STDOUT. Selected atoms are written
out as ’Selected= 1 2 3 ...’
-mr <mask> : Print selected residue numbers to STDOUT. Selected residues are
written out as ’Selected= 1 2 3 ...’
–mask <mask> Print detailed atom selection to STDOUT.
–resmask <mask> : Print detailed residue selection to STDOUT.
For backwards compatibility with ptraj, the following syntax is also accepted:
cpptraj <Top> <Input>
Note that unlike ptraj, in cpptraj it is not required that a topology file be specified on the command line as long as
one is specified in the input file with the ’parm’ keyword. Multiple topology/input files can be specified by use of
multiple ’-p’ and ’-i’ flags. All topology and coordinate flags will be processed before any input flags.
The syntax of <input file> is similar to that of ptraj. Keywords specifying different commands are given one
per line. Lines beginning with ’#’ are ignored as comments. Lines can also be continued through use of the ’\’
character.
28.1.2. Interactive mode
If run with ’–interactive’, no arguments, or no specified input file:
cpptraj
cpptraj --interactive
cpptraj <parm file>
cpptraj -p <parm file>
this brings up the interactive interface. This interface supports command history (via the up and down arrows)
and tab completion for commands and file names. If no log file name has been given (with ’–log <logfile>’), all
commands used in interactive mode will be logged to a file named ’cpptraj.log’.
28.2. General Concepts
28.2.1. Important Differences from ptraj
The overall flow of cpptraj is similar to ptraj. First the run is set up via commands read in from an input file or
the interactive prompt. Trajectories are then read in one frame at a time. Actions are performed on the coordinates
stored in the frame, after which any output coordinates are written. At the end of the run, any data sets generated
are written.
Some of the most notable differences from ptraj are as follows:
1. Cpptraj has many actions not implemented in ptraj:
a) nastruct: basic nucleic acid structure analysis
484
28.2. General Concepts
b) surf: calculate LCPO surface area.
c) molsurf: calculate Connolly surface area (same as $AMBERHOME/bin/molsurf).
d) jcoupling: calculate J-coupling values from dihedral angles.
e) rotdif: calculate rotational diffusion tensor
f) multidihedral: Calculate multiple dihedral angles.
g) makestructure: Automatically impose torsion values on specified dihedral angles.
h) symmrmsd: Perform symmetry-corrected RMSD calculation.
i) volmap: Grid data as a volumetric map, similar to the ’volmap’ command in VMD.
j) lie: Calculate linear interaction energy.
k) gist: Compute hydration structure and thermodynamics of a selected region.
2. Several actions/analyses in cpptraj are OpenMP parallelized; see section 28.2.6 for more details.
3. Any file read or written by cpptraj can be compressed (with the exception of binary trajectories like NetCD-
F/DCD/TRX). So for example gzipped/bzipped topology files can be read, and data files can be written out
as gzip/bzip2 files. Compression is detected automatically when reading, and is determined by the filename
extension (.gz and .bz2 respectively) on writing.
4. If two actions specify the same data file with the ’out’ keyword, data from both actions will be written to
that data file.
5. Data files can be written in xmgrace format if the filename given has a ’.agr’ extension. Data files can also
be written in a contour map style readable by gnuplot if the filename given has a ’.gnu’ extension.
6. Multiple output trajectories can be specified, and can be written during action processing (as opposed to only
after) via the outtraj command. In addition, output files can be directed to write only specific frames from
the input trajectories.
7. Multiple reference structures can be specified. Specific frames from trajectories may be used as a reference
structure.
8. The rmsd action allows specification of a separate mask for the reference structure. In addition, per-residue
RMSD can be calculated easily.
9. When stripping coordinates with the strip/closest actions, a fully-functional stripped topology file can be
written out.
10. Data files declared in actions using the “out” keyword can have their format altered somewhat (for example,
the precision of the numbers can be changed). In addition, new data files can be created from existing data
sets.
28.2.2. Actions and multiple topologies
Since cpptraj supports multiple topology files, actions are set up every time the topology changes in order to
recalculate things like what atoms are in a mask etc. Actions that are not valid for the current topology are
skipped for that topology. So for example given two topology files with 100 residues, if the first topology file
processed includes a ligand named MOL and the second one does not, the action:
distance :80 :MOL out D_80-to-MOL.dat
will be valid for the first topology but not for the second, so it will be skipped as long as the second topology is
active.
485
28. cpptraj
28.2.3. Atom Mask Selection Syntax
The mask syntax is similar to ptraj. Note that the characters ’:’, ’@’, and ’*’ are reserved for masks and should
not be used in output file or data set names. All masks are case-sensitive. Either names or numbers can be used.
Masks can contain ranges (denoted with ’-’) and comma separated lists. The logical operands ’&’ (and), ’|’ (or),
and ’!’ (not) are also supported.
The syntax for elementary selections is the following:
:{residue numlist} e.g. [:1-10] [:1,3,5] [:1-3,5,7-9]
:{residue namelist} e.g. [:LYS] [:ARG,ALA,GLY]
@{atom numlist} e.g. [@12,17] [@54-85] [@12,54-85,90]
@{atom namelist} e.g. [@CA] [@CA,C,O,N,H]
@%{atom type name} e.g. [@%CT]
@/{atom_element_name} e.g.[@/N]
<mask><distance op><distance> Selection by distance, see below.
Several wildcard characters are supported:
’*’ Zero or more characters.
’=’ Same as ’*’
’?’ One character.
The wildcards can also be used with numbers or other mask characters, e.g. ’:?0’ means
“:10,20,30,40,50,60,70,80,90”, ’:*’ means all residues and ’@*’ means all atoms.
Compound expressions of the following type are allowed:
:{residue numlist | namelist}@{atom namelist | numlist}
and are processed as:
:{residue numlist | namelist} & @{atom namelist | numlist}
e.g. ’:1-10@CA’ is equivalent to “:1-10 & @CA”.
More examples:
:ALA,TRP All alanine and tryptophan residues.
:5,10@CA CA carbon in residues 5 and 10.
:*&!@H= All non-hydrogen atoms (equivalent to "!@H=").
@CA,C,O,N,H All backbone atoms.
!@CA,C,O,N,H All non-backbone atoms (=sidechains for proteins only).
:1-500@O&!(:WAT|:LYS,ARG) All backbone oxygens in residues 1-500 but not in water, lysine or arginine
residues.
486

28.2. General Concepts
Distance-based Masks
There are two very important things to keep in mind when using distance based masks:
1. Distance-based masks that update each frame are currently only supported by the mask action.
2. Selection by distance for everything but the mask action requires defining a reference frame with reference;
distances are then calculated using the specified reference frame only.
The syntax for selection by distance is a mask expression followed by a distance operator: ’<:’, ’>:’, (residue
based), and ’<@’, ’>@’, (atom based). For residue based distance selection, if any atom in that residue matches
the given distance criterion, the entire residue is selected. The ’<’ character means within, and ’>’ means without.
For example, to select all atoms within 2.4 Å distance to any atom selected by ’:11-17’, you would use:
:11-17<@2.4
As another example, to strip all residues in a single frame farther than 3.0 Å (i.e. not within 3.0 Å) from residue 4
using specified reference coordinates:
reference mol.rst7
trajin mol.rst7
strip !(:4<:3.0)
28.2.4. Ranges
For several commands some arguments are ranges (e.g. ’trajout onlyframes <range>’, ’nastruct resrange
<range>’, ’rmsd perres range <range>’); THESE ARE NOT ATOM MASKS. They are simple number ranges
using ’-’ to specify a range and ’,’ to separate different ranges. For example 1-2,4-6,9 specifies 1 to 2, 4 to 6, and
9, i.e. ’1 2 4 5 6 9’.
28.2.5. Parameter/Reference Tagging
Parameter and reference files may be ’tagged’ (i.e. given a nickname); these tags can then be used in place of
the file name itself. A tag in cpptraj is recognized by being bounded by brackets (’[’ and ’]’). This can be
particularly useful when reading in many parameter or reference files. For example, when reading in multiple
reference structures:
trajin Test1.crd
reference 1LE1.NoWater.Xray.rst7 [xray]
reference Test1.crd lastframe [last]
reference Test2.crd 225 [open]
rms Xray ref [xray] :2-12@CA out rmsd.dat
rms Last ref [last] :2-12@CA out rmsd.dat
rms Open ref [open] :2-12@CA out rmsd.dat
This defines three reference structures and gives them tags [xray], [last], and [open]. These reference structures
can then be referred to by their tags instead of their filenames by any action that uses reference structures (in this
case the RMSD action).
Similarly, this can be useful when reading in multiple parameter files:
parm tz2.ff99sb.tip3p.truncoct.parm7 [tz2-water]
parm tz2.ff99sb.mbondi2.parm7 [tz2-nowater]
trajin tz2.run1.explicit.nc parm [tz2-water]
reference tz2.dry.rst7 parm [tz2-nowater] [tz2]
rms ref [tz2] !(:WAT) out rmsd.dat
487
28. cpptraj
This defines two parm files and gives them tags [tz2-water] and [tz2-nowater], then reads in a trajectory associated
with one, and a reference structure associated with the other. Note that in the ’reference’ command there are two
tags; the first goes along with the ’parm’ keyword and specifies what parameter file the reference should use, the
second is the tag given to the reference itself (as in the previous example) and is referred to in the subsequent
RMSD action.
28.2.6. OpenMP Parallelization
Some of the more time-consuming actions in cpptraj have been parallelized with OpenMP to take advantage of
machines with multiple cores. In order to use OpenMP parallelization Amber should be configured with the
’-openmp’ flag. You can easily tell if cpptraj has been compiled with OpenMP as it will print ’OpenMP’ in the
title, and/or by calling ’cpptraj –defines’ and looking for ’-D_OPENMP’. The following actions/analyses have
been OpenMP parallelized:
2drms/rms2d
atomiccorr
checkstructure
closest
cluster (pair-wise distance calculation and sieved frame restore only)
kde
mask (distance-based masks only)
matrix (coordinate covariance matrices only)
radial
rmsavgcorr
secstruct
surf
velocityautocorr
watershell
By default OpenMP cpptraj will use all available cores. Note that if the OMP_NUM_THREADS environment
variable is set it will force cpptraj to use however many cores are specified by the variable.
28.2.7. MPI Parallelization for ’ensemble’
Cpptraj also has a MPI version that is currently used only with ’ensemble’ trajectory input. In order to use thie
version Amber should be configured with the ’-mpi’ flag. You can tell if cpptraj has been compiled with MPI as it
will print ’MPI’ in the title, and/or by calling ’cpptraj –defines’ and looking for ’-DMPI’. Note that currently this
version requires that each thread be assigned to a single member of the ensemble, i.e. the number of threads must
equal the ensemble size.
28.3. Data Sets and Data Files
In cpptraj, Actions and Analyses can generate one or more data sets which are available for further processing.
For example, the distance command creates a data set containing distances vs time. The data set can be named by
the user simply by specifying a non-keyword string as an additional argument. If no name is given, a default one
will be generated based on the action name and data set number. For example:
distance d1-2 :1 :2 out d1-2.dat
will create a data set named “d1-2”. If a name is not specified, e.g.:
distance :1 :2 out d1-2.dat
488

28.3. Data Sets and Data Files
Format Filename Extensions Keyword Valid Dimensions Notes
Standard .dat dat 1D, 2D, 3D
Grace .agr, .xmgr grace 1D
Gnuplot .gnu gnu 1D, 2D Write Only
Xplor .xplor, .grid xplor 3D
OpenDX .dx opendx 3D
Amber REM log .log remlog - Read Only
Amber MDOUT .mdout mdout - Read Only
Evecs .evecs evecs Modes data set only
Table 28.1.: DataFile formats recognized by cpptraj. ’Valid Dimensions’ shows what dimensions the format is
valid for (e.g. you cannot write a 1D data set with OpenDX format).
the data set will be named “Dis_00000”.
Data files are created automatically by most commands, usually via the “out” keyword. Data files can also
be explicitly created with the write/writedata and create commands. Data can also be read in from files via the
readdata command. Cpptraj currently recognizes the formats listed in 28.1, although it cannot write in all formats.
In addition, a data set must be valid for the data file format. For example, 3D data (such as a grid) can be written
to an OpenDX format file but not a Grace format file.
The default file format is called ’Standard’, which simply has data in columns, like ptraj, although multiple data
sets can be directed to the same output file. The format of a file can be changed either by specifying a recognized
keyword (either on the command line itself or later via a ’datafile’ command) or by giving the file an extension
corresponding to te format, so ’filename.agr’ will output in Grace format, and ’filename.gnu’ will output in Gnuplot
contour, and so on. The xmgrace/gnuplot output is particularly nice for the secstruct sumout and rmsd perresout
files. Additional options for data files can be found in 28.4 on the next page.
Any action using the “out” keyword will allow data sets from separate commands to be written into the same
file. For example, the commands:
dihedral phi :1@C :2@N :2@CA :2@C out phipsi.dat
dihedral psi :2@N :2@CA :2@C :3@N out phipsi.dat
will assign the “phi” and “psi” data sets generated from each action to the standard data output file “phipsi.dat”:
#Frame phi psi
28.3.1. Data Set Selection Syntax
Many analysis commands can be used to analyze multiple data sets. The general format for selecting data sets
is:
<name>[<aspect>]:<index>
The ’*’ character can be used as a wild-card for entire names (no partial matches).
•<name>: The data set name, usually specified in the action (e.g. in ’distance d0 @1 @2’ the data set name
is “d0”).
•<aspect>: Optional; this is set for certain data sets internally in order to easily select subsets of data. The
brackets are required. For example, when using ’hbond series’, both solute-solute and solute-solvent
hydrogen bond time series may be generated. To select all solute-solute hydrogen bonds one would use
the aspect “[solutehb]”; to select solute-solvent hydrogen bonds the aspect “[solventhb]” would be used.
Aspects are hard-coded and are listed in the commands that use them.
489
28. cpptraj
•<index>: Optional; for actions that generate many data sets (such as ’rmsd perres’) an index is used. De-
pending on the action, the index may correspond to atom #s, residue #s, etc. A number range (comma and/or
dash separated) may be used.
For example: to select all data sets with aspect “[shear]” named NA_00000:
NA_00000[shear]
To select all data sets with aspect “[stagger]” with any name, indices 1 and 3:
*[stagger]:1,3
28.4. Data File Options
There is a subsection of keywords that can be used to modify data files which have been declared with an ’out’
keyword, create new data files from declared data sets, or when reading in data sets from files. Note that
write-related keywords can be specified to most actions that use the ’out’ keyword directly without using the
datafile command. For example, the ’time’ argument can be passed directly to the output from a distance
command:
distance d0 :1 :2 out d0.agr time 0.001
The data file format can be changed from standard implicitly by using specific filename extensions or keywords. If
the extension is not recognized or no keyword is give the default format is ’Standard’. Data file formats recognized
by cpptraj are shown in 28.1.
time Equivalent to the ptraj argument ’time’ that could be specified with many actions. Multiplies frame numbers
(x-axis) by <step>.
time <step>
xlabel | ylabel | zlabel Set the x-axis label for the specified datafile to <label>. For regular data files this is the
header for the first column of data. If the data is at least 2-dimensional ’datafile ylabel <label>’ will likewise
set the y-axis label.
{xlabel | ylabel | zlabel} <label>
xmin | ymin | zmin Set the starting X coordinate value to <min>. If the data is at least 2-dimensional ’datafile
ymin <min>’ will likewise set the starting Y coordinate value.
{xmin | ymin | zmin} <min>
xstep | ystep | zstep Multiply each frame number by <step> (x coordinates). If the data is at least 2-dimensional
’datafile ystep <step>’ will likewise multiply y coordinates by <step>.
{xstep | ystep | zstep} <step>
prec Change the output format width (and optionally precision) of all sets subsequently added to the data file (i.e.
does not change the precision of any data sets currently in the file).
prec <width>[.<precision>]
490
28.4. Data File Options
28.4.1. Standard Data File Write Options
invert Normally, data is written out with X-values pertaining to frames (i.e. data over all trajectories is printed in
columns). This command flips that behavior so that X-values pertain to data sets (i.e. data over all trajectories
is printed in rows).
noxcol Prevent printing of indices (i.e. the #Frame column in most datafiles) for the specified datafile. Useful e.g.
if one would like a 2D plot such as phi vs psi. For example, given the input:
dihedral phi :1@C :2@N :2@CA :2@C out phipsi.dat
dihedral psi :2@N :2@CA :2@C :3@N out phipsi.dat
datafile phipsi.dat noxcol
Cpptraj will write a 2 column datafile containing only phi and psi, no frame numbers will be written.
noheader Prevent printing of header line (e.g. ’#Frame D1’) at the beginning of data file.
square2d Normally 2D data is written in 3 columns as:
<X> <Y> <Value>
This option prints the values out like a matrix, e.g.:
<1,1> <2,1> <3,1>
<2,1> <2,2> <3,2>
28.4.2. Standard Data File Read Options
Standard data files contain data in columns. Data set legends will be read in if the file has a header line (denoted
by ’#’). Columns labeled ’#Frame’ are automatically considered the ’index’ column and skipped. Data sets are
stored as <name>:<idx> where <name> is the given data set name (the file name if not specified) and <idx> cor-
responds to the column the data was read from starting from 1. Cpptraj assumes the data increases monotonically
and will automatically attempt to determine the dimensions of the data set(s); a warning will be printed if this is
not successful.
index Use column <col> (starting from 1) as index column.
28.4.3. Grace Data File Write Options
For more information on Grace see http://plasma-gate.weizmann.ac.il/Grace/.
invert Normally, data is written out with X-values pertaining to frames (i.e. data over all trajectories is printed in
columns). This command flips that behavior so that X-values pertain to data sets.
28.4.4. Grace Data File Read Options
Cpptraj will read set legends from grace files, and data sets are stored as <name>:<idx> where <name> is the
given data set name (the file name if not specified) and <idx> corresponds to the set number the data was read from
starting from 0.
28.4.5. Gnuplot Data File Write Options
For more information on these options it helps to look at the PM3D options in the Gnuplot manual (see
http://www.gnuplot.info/).
nolabels Do not print axis labels.
usemap pm3d output with 1 extra empty row/col (may improve look).
491
28. cpptraj
pm3d Normal pm3d map output.
nopm3d Turn off pm3d
jpeg Plot will write to a JPEG file when used with gnuplot.
noheader Do not format plot; data output only.
xlabels|ylabels|zlabels
{xlabels | ylabels | zlabels} <labellist>
Set x, y, or z axis labels with comma-separated list, e.g. ’xlabels X1,X2,X3’.
28.4.6. Amber REM Log Read Options
Note that multiple REM logs can be specified in a single readdata command.
crdidx
crdidx <crd indices>
Use comma-separated list of indices as the initial coordinate indices (H-REMD only). For example (4
replicas):
crdidx 4,2,3,1
28.4.7. Amber MDOUT Read Options
Note that multiple MDOUT files can be specified in a single readdata command.
28.4.8. Evecs File Read Options
ibeg Number of the first mode (or principal component) to read from evecs file. Default 1.
ibeg <firstmode>
iend Number of the last mode (or principal component) to read from evecs file. Default is to read all for newer
evecs files (generated by cpptraj version > 12), 50 for older evecs files.
iend <lastmode>
28.5. Coordinates as a Data Set (COORDS Data Sets)
Coordinate I/O tends to be the most time-consuming part of trajectory analysis. In addition, many types of
analyses (for example two-dimensional RMSD and cluster analysis) require using coordinate frames multiple
times. To simplify this, trajectory coordinates may be saved as a separate data set via the loadcrd command or
createcrd action. Any action can then be performed on the COORDS data set with the crdaction command. The
crdout command can be used to write coordinates to an output trajectory (similar to trajout).
Although COORDS data sets store everything internally with single-precision, they can still use a large amount
of memory. Because of this there is a specialized type of COORDS data set called a TRAJ data set (trajectory),
which functions exactly like a COORDS data set except all data is stored on disk. TRAJ data sets can be created
with the loadtraj command.
There are several analyses that can be performed using COORDS data sets, either as part of the normal analysis
list or via the runanalysis command. Note that while these analyses can be run on specified COORDS data sets, if
one is not specified a default COORDS data set will be created, made up of frames from trajin commands.
As an example of where this might be useful is in the calculation of atomic positional fluctuations. Previously
this required two steps: one to generate an average structure, then a second to rms-fit to that average structure
prior to calculating the fluctuations. This can now be done in one pass with the following input:
492
28.5. Coordinates as a Data Set (COORDS Data Sets)
parm topology.parm7
loadcrd mdcrd.nc
# Generate average structure PDB, @CA only
crdaction mdcrd.nc average avg.pdb @CA
# Load average structure PDB as reference
parm avg.pdb
reference avg.pdb parm avg.pdb
# RMS-fit to average structure PDB
crdaction mdcrd.nc rms reference @CA
# Calculate atomic fluctuations for @CA only
crdaction mdcrd.nc atomicfluct out fluct.dat bfactor @CA
28.5.1. crdaction
crdaction <crd set> <actioncmd> [<action args>] [crdframes <start>,<stop>,<offset>]
Perform action <actioncmd> on COORDS data set <crd set>. A subset of frames in the COORDS data set can be
specified with ’crdframes’. For example, to calculate RMSD for a previously created COORDS data set named
crd1 using frames 1 to the last, skipping every 10:
crdaction crd1 rmsd first @CA out rmsd-ca.agr crdframes 1,last,10
28.5.2. crdout
crdout <crd set> <filename> [<trajout args>] [crdframes <start>,<stop>,<offset>]
Write COORDS data set <crd set> to trajectory named <filename>. A subset of frames in the COORDS data set
can be specified with ’crdframes’. For example, to write frames 1 to 10 from a previously created COORDS data
set named “crd1” to separate PDB files:
crdout crd1 crd1.pdb multi crdframes 1,10
28.5.3. createcrd
createcrd [<name>] [ parm <name> | parmindex <#> ]
Create a COORDS data set named <name> for frames from trajin commands that are associated with the specified
topology.
28.5.4. loadcrd
loadcrd <filename> [parm <parm> | parmindex<#>] [<trajin args>] [<name>]
Immediately load trajectory <filename> as a COORDS data set named <name> (default base of <filename>).
28.5.5. loadtraj
loadtraj name <setname> [<filename>]
This command functions in two ways. If <filename> is not provided, all currently loaded input trajectories (from
trajin commands) are added to TRAJ data set named <setname>. Note that if the input trajectory list is cleared
(via ’clear trajin’) this will invalidate the TRAJ data set. In addition, currently all trajectories must have the
same number of atoms. Otherwise add trajectory <filename> to TRAJ data set <setname>.
493
28. cpptraj
28.6. General Commands
Commands in cpptraj can be read in from an input file or from the interactive command prompt. A ’#’
anywhere on a line denotes a comment; anything after ’#’ will be ignored no matter where it occurs. A ’\’ allows
the continuation of one line to another. For example, the input:
# Sample input
trajin mdcrd # This is a trajectory
rms first out rmsd.dat \
:1-10
Translates to:
trajin mdcrd
rms first out rmsd.dat :1-10
If in interactive mode, ’help <command>’ can be used to get the associated keywords as well as an abbreviated
description of the command. Most commands have a corresponding test which also serves as an example of how
to use the command. See $AMBERHOME/AmberTools/test/cpptraj/README for more details.
28.6.1. activeref
activeref <#>
Set which reference structure should be used when setting up distance-based masks for everything but the ’mask’
action. Numbering starts from 0, so ’activeref 0’ selects the first reference structure read in, ’activeref 1’ selects
the second, and so on.
28.6.2. clear
clear [{all | <type>}]
(<type> = actions,trajin,trajout,ref,parm,analysis,datafile,dataset)
Clear list of indicated type, or all lists if ’all’ specified. Note that when clearing actions or analyses, associated
data sets and data files are not cleared and vice versa.
28.6.3. create
create <filename> <datasetname0> [<datasetname1> ...]
Add specified data sets to the data file named <filename>; if the file does not exist, it will be added to the
DataFileList. Data files created in this way are only written at the end of coordinate processing, analyses, or
via the ’writedata’ command.
28.6.4. datafile
datafile <filename> <datafile arg>
Pass <datafile arg> to data file <filename>. See 28.4 on page 490 for more details.
28.6.5. dataset
dataset { legend <legend> <set> |
[type <type>] <set arg1> [<set arg 2> ...] }
Options for ’type noe’:
[bound <lower> bound <upper>] [rexp <expected>] [noe_strong] [noe_medium] [noe_weak]
494
28.6. General Commands
legend <legend> <set> Set the legend for data set <set>.
[type <type>] Set data set type to ’type’ for analysis with statistics. Note
this can also be done with ’type <type>’ for certain commands (distance,
dihedral,pucker etc).
noe NOE distance.
[bound <lower> bound <upper>] Lower and upper bounds for NOE (in
Angstroms); must specify both.
[rexp <expected>] Expected value for NOE (in Angstroms); if not given
’(<lower> + <upper>)’ / 2.0 is used.
[noe_strong] Set lower and upper bounds to 1.8 and 2.9 Å respectively.
[noe_medium] Set lower and upper bounds to 2.9 and 3.5 Å respectively.
[noe_weak] Set lower and upper bounds to 3.5 and 5.0 Å respectively.
pucker Sugar pucker.
alpha Nucleic acid alpha.
beta Nucleic acid beta.
gamma Nucleic acid gamma.
delta Nucleic acid delta.
epsilon Nucleic acid epsilon.
zeta Nucleic acid zeta.
chi Nucleic acid chi.
phi Protein phi.
psi Protein psi.
pchi Protein chi.
omega Protein omega.
Either set the legend for a single data set, or change the mode/type for one or more data sets.
28.6.6. debug | prnlev
debug [<type>] <#>
(<type> = actions,trajin,trajout,ref,parm,analysis,datafile,dataset)
Set the level of debug information to print. In general the higher the <#> the more information that is printed. If
<type> is specified only set the debug level for a specific area of cpptraj.
28.6.7. exit | quit
Exit normally.
28.6.8. gnuplot
gnuplot <args>
Call gnuplot (if it is installed on your system) with the given arguments.
28.6.9. go | run
Begin trajectory processing, followed by analysis and datafile write.
495
28. cpptraj
28.6.10. head | ls | pwd
Function just as their UNIX equivalents do; ’head’ lists the first few lines of a file, ’ls’ lists the contents of a
directory, and ’pwd’ prints the current working directory.
28.6.11. help
help {[<command>] | General | Action | Analysis | Topology | Trajectory}
By itself, list all commands known to cpptraj. If given with a command, print help for that command. Otherwise,
list all commands of a certain category (General, Action, Analysis, Topology, or Trajectory).
28.6.12. list
list <type>
(<type> = actions,trajin,trajout,ref,parm,analysis,datafile,dataset)
List the currently loaded objects of <type>.
28.6.13. noexitonerror
noexitonerror
Normally cpptraj will exit if actions fail to initialize properly. If noexitonerror is specified, cpptraj will attempt to
continue past such errors. This is the default if in interactive mode.
28.6.14. noprogress
noprogress
Do not display read progress during trajectory processing.
28.6.15. precision
precision {<filename> | <dataset arg>} [<width>] [<precision>]
Set the precision for all data sets in data file <filename> or data set(s) specified by <dataset arg> to width.precision,
where width is the column width and precision is the number of digits after the decimal point. Note that the
<precision> argument only applies to floating-point data sets.
For example, if one wanted to set the precision of the output of an Rmsd calculation to 8.3, the input could be:
trajin ../run0.nc
rms first :10-260 out prec.dat
precision prec.dat 8 3
and the output would look like:
#Frame RMSD_00000
1 0.000
2 0.630
496
28.6. General Commands
28.6.16. readdata
readdata <filename> [name <dsname>] [as <fmt>] [<format options>]
name <dsname> Name for read-in data set(s). Default is <filename>.
as <fmt> Force <filename> to be read as a specific format using given format
keyword.
Read data from file <filename> and store as data sets. For more information on formats currently recognized by
cpptraj see 28.1 on page 489. For format-specific options see 28.4. For example, given the file calc.dat:
#Frame R0 D1
1 1.7 2.22
The command ’readdata calc.dat’ would read data into two data sets, calc.dat:2 (legend set to “R0”) and
calc.dat:3 (legend set to “D1”).
28.6.17. readinput
readinput <filename>
Read cpptraj commands from file <filename>.
28.6.18. removedata
removedata <arg>
Remove data set corresponding to <arg>.
28.6.19. rst
rst <mask1> <mask2> [<mask3>] [<mask4>]
r1 <r1> r2 <r2> r3 <r3> r4 <r4> rk2 <rk2> rk3 <rk3>
{[parm <parmfile / tag> | parmindex <#>]}
[{ref <refname> | refindex <#> | reference} [offset <off>] [width <width>]
[out <outfile>] [overwrite]
<mask1> (Required) First atom mask.
<mask2> (Required) Second atom mask. If only two masks assume distance
restraint.
[<mask3>] (Optional) Third atom mask. If 3 atom masks assume angle restraint.
[<mask4>] (Optional) Fourth atom mask. If 4 atom masks assume dihedral
restraint.
rX <rX> Value of RX (X=1-4, default 0.0)
rk2 <rk2> Value of RK2 (force constant to be applied R1 <= R < R2)
rk3 <rk3> Value of RK3 (force constant to be applied R3 <= R < R4)
[parm <parmfile / tag> | parmindex <#>] Topology to be used for atom masks.
[{ref <refname> | refindex <#> | reference} [offset <off>] [width <width>]] Use distance+<off>
between <mask1> and <mask2> in reference as R2 and R3, with R1 = R2 -
<width> and R4 = R3 + <width>.
[out <outfile>] Write restraints to outfile. If not specified, write to STDOUT.
[overwrite] Overwrite <outfile>; if not specified append to <outfile>.
Generate Amber-style distance restraints for use with nmropt=1. This is particularly useful for generating distance
restraints based off of reference coordinates.
497
28. cpptraj
28.6.20. runanalysis
runanalysis [<analysiscmd> [<analysis args>]]
Run given analysis command immediately and write any data generated. If no command is given run any analysis
currently set up. NOTE: When ’runanalysis’ is specified alone, data is not automatically written; to write data
generated with ’runanalysis’ use the ’writedata’ command (this allows multiple analysis runs between output if
desired).
28.6.21. select
select <mask>
Prints the number of selected atoms corresponding to the given mask, as well as the atom numbers with format:
Selected= <#atom1> <#atom2> ...
This does not affect the state in any way, but is intended for use in scripts etc. for testing the results of a mask
expression.
28.6.22. selectds
selectds <dataset arg>
Show the results of a data set selection. Data set selection has the format:
<name>[<aspect>]:<index>
Either the [<aspect>] or the <index> arguments may be omitted. A ’*’ can be used in place of <name> or [<as-
pect>] as a wildcard. The <index> argument can be a single number or a range separated by ’-’ and ’,’.
This command does not affect the state in any way, but is particularly useful in interactive mode for determining
the results of a dataset argument.
28.6.23. write | writedata
write [<filename> <datasetname0> [<datasetname1> ...]]
With no arguments, write all files currently in the data file list. Otherwise, write specified data set(s) to <filename>.
This is like the ’create’ command except a data file is not added to the data file list; it is written immediately.
28.6.24. xmgrace
xmgrace <args>
Call xmgrace (if it is installed on your system) with the given arguments.
28.7. Topology File Commands
These commands control the reading and writing of topology files.
28.7.1. angleinfo | angles | printangles
angleinfo [<parmindex>] [<mask>]
Print angle information of atoms in <mask> for topology <parmindex> (0 by default) with format:
# Angle Kthet degrees atom names (numbers)
Where Angle is the internal angle index, Kthet is the angle force constant, degrees is the angle equilib-
rium value, atom names shows the atoms involved in the angle with format :<residue num>@<atom name>, and
(numbers) shows the atom indices involved in a comma-separated list.
498

28.7. Topology File Commands
Format Keyword Extension Notes
Amber Topology amber .parm7
PDB pdb .pdb Read Only
Mol2 mol2 .mol2 Read Only
CIF cif .cif Read Only
Charmm PSF psf .psf Limited PSF Write
SDF sdf .sdf Read Only
Table 28.2.: Topology formats recognized by cpptraj.
28.7.2. atominfo | atoms | printatoms
atominfo [<parmindex>] [<mask>]
Print information on atoms in <mask> for topology <parmindex> (0 by default) with format:
#Atom Name #Res Name #Mol Type Charge Mass GBradius El
where #Atom is the internal atom index, the first Name column is the atom name, #Res is the atom’s residue number,
the second Name column is residue name, #Mol is the atom’s molecule number, Type is the atom’s type (certain
topologies only), Charge is the atom charge (in units of electron charge), Mass is the atom’s mass (in amu),
GBradius is the generalized Born radius of the atom (Amber topologies only), and El is the 2 character element
string.
28.7.3. bondinfo | bonds | printbonds
bondinfo [<mask>] [<parmindex>]
Print bond information for atoms in <mask> for parm <parmindex> (0, first parm loaded by default) with format:
# Bond Kb Req atom names (numbers)
where Bond is the internal bond index, Kb is the bond force constant, Req is the bond equilibrium value (in
Angstroms), atom names shows both atom names with format :<residue num>@<atom name>, and (numbers)
shows both atom numbers in a comma-separated list.
28.7.4. charge
charge [<parmindex>] <mask>
Print the total charge of atoms in <mask> (in units of electron charge) for topology <parmindex> (0 by default).
28.7.5. dihedralinfo | dihedrals | printdihedrals
dihedralinfo [<parmindex>] [<mask>]
Print dihedral information of atoms in <mask> for topology <parmindex> (0 by default) with format:
#Dihedral pk phase pn atoms
where #Dihedral is the internal dihedral index, pk is the dihedral force constant, phase is the dihedral phase, pn
is the dihedral periodicity, and atoms shows the names of the atoms involved in the angle with format :<residue
num>@<atom name>, followed by the atom indices involved in a comma-separated list. In addition if the dihedral
is an end dihedral, improper dihedral, or both it will be prefaced with an E,I, or Brespectively.
499
28. cpptraj
28.7.6. mass
[<parmindex>] <mask>
Print the total mass of atoms in <mask> (in amu) for topology <parmindex> (0 by default).
28.7.7. molinfo
molinfo [<parmindex>] <mask>
Print molecule information for atoms in <mask> for parm <parmindex> (0, first parm loaded by default) with
format:
#Mol Natom #Res Name [SOLVENT]
where #Mol is the molecule number, Natom is the number of atoms in the molecule, and #Res and Name are the
residue number and residue name of the first residue in the molecule respectively. SOLVENT will be printed if the
molecule is currently considered a solvent molecule.
28.7.8. parm
parm <filename> ([tag]) [nobondsearch | bondsearch <offset>] [pqr]
<filename>: Parameter file to read in; format is auto-detected.
([tag]): Optional tag (bounded in brackets) which can be referred to in place of
the parameter file name in order to simplify references to the parameter
file (see 28.2.5 on page 487 for examples of how to use tags).
[bondsearch <offset>]: Optional; when searching for bonds via geometry search
(default for Topologies without bond information) add <offset> to distances
(default 0.2 Å). Increase this if your system includes unusually long
bonds.
[nobondsearch]: Optional; if specified do not search for bonds via geometry if
Topology does not include bond information. May cause some actions to
fail.
[pqr]: For PDB files only, read charge and radius information from the occupancy
and B-factor columns.
Read in parameter file. The file format will be auto-detected. Current formats recognized by cpptraj are listed in
28.2.
IMPORTANT NOTES FOR PDB FILES
In some PDB files, certain atoms contain the (*) character in their name (e.g. C1* in a nucleic acid backbone).
Since in cpptraj (*) is a reserved character for atom masks all (*) in PDB atom names are replaced with (’) to avoid
issues with the mask parser. So in a structure with an atom named C1*, to select it use the mask “@C1”’.
Sometimes PDB files can contain alternate coordinates for the same atom in a residue, e.g.:
ATOM 806 CA ACYS A 105 6.460 -34.012 -21.801 0.49 32.23
ATOM 807 CB ACYS A 105 6.054 -33.502 -20.415 0.49 35.28
ATOM 808 CA BCYS A 105 6.468 -34.015 -21.815 0.51 32.42
ATOM 809 CB BCYS A 105 6.025 -33.499 -20.452 0.51 35.38
If this is the case cpptraj will print a warning about duplicate atom names but will take no other action. Both
residues are considered ’CYS’ and the mask ’:CYS@CA’ would select both atom 806 and 809.
500
28.7. Topology File Commands
28.7.9. parmbox
parmbox [<parmindex>] [x <xval>] [y <yval>] [z <zval>]
[alpha <a>] [beta <b>] [gamma <g>] [nobox]
[<parmindex>] Index of parm to modify starting from 0; default is 0.
[x <xval>] Box X length.
[y <yval>] Box Y length.
[z <zval>] Box Z length.
[alpha <a>] Box alpha angle.
[beta <b>] Box beta angle.
[gamma <g>] Box gamma angle.
[nobox] Remove box information.
Modify the box information for specified topology. Overwrites any box information if present with specified
values; any that are not specified will remain unchanged. Note that unlike the box action this command affect box
information immediately. This can be useful for e.g. removing box information from a parm when stripping
solvent:
parm mol.water.parm7
parmstrip :WAT
parmbox nobox
parmwrite out strip.mol.nobox.parm7
28.7.10. parminfo
parminfo [<parmindex>]
Print a summary of information contained in the Topology specified by <parmindex> (parmindex 0 i.e. the first
parm if not specified).
28.7.11. parmstrip
parmstrip [<mask>] [<parmindex>]
Strip atoms in <mask> from parm specified by <parmindex> (0, first parm loaded by default). Note that unlike
the strip action, this permanently modifies the parm for all subsequent commands. This command can be used to
e.g. quickly created stripped Amber topology files:
parm mol.water.parm7
parmstrip :WAT
parmwrite out strip.mol.parm7
28.7.12. parmwrite
parmwrite out <filename> [<parmindex>]
Write out parm specified by <parmindex> (0, first parm loaded by default) to <filename> with format <fmt>
(Amber topology if not specified).
501

28. cpptraj
Format Keyword(s) Extension Notes
Amber Trajectory (none needed) .crd
Amber NetCDF netcdf .nc
Amber Restart restart .rst7
Amber NetCDF Restart ncrestart, restartnc .ncrst
Charmm DCD dcd, charmm .dcd
PDB pdb .pdb
Mol2 mol2 .mol2
Scripps Binpos binpos .binpos
Gromacs TRR trr .trr
CIF cif .cif Read Only
SQM sqm .sqm Write Only
SDF sdf .sdf Read Only
LMOD Conflib conflib .conflib Read Only, Detection by extension
Table 28.3.: Input/output trajectory formats recognized by cpptraj.
28.7.13. resinfo
resinfo [<mask>] [<parmindex>]
Print residue information for atoms in <mask> for parm <parmindex> (0, first parm loaded by default) with
format:
#Res Name First Last Natom #Orig
where #Res is the residue number, Name is the residue name, First and Last are the first and last atom numbers
of the residue, Natom is the total number of atoms in the residue, and #Orig is the original residue number (in PDB
files).
28.7.14. solvent
solvent [<parmindex>] { <mask> | none }
Set solvent for the given parm (default 0) based on <mask>, or set nothing as solvent if none is specified.
28.8. Trajectory File Commands
These commands control the reading and writing of trajectory files. In cpptraj, trajectories are always associated
with a parameter file. If a parameter file is not specified, a trajectory file will be associated with the first parameter
file loaded by default. There are three trajectory types in cpptraj: input, output, and reference.
28.8.1. trajin
trajin <filename> {[<start> [<stop> | last] [<offset>]]} | lastframe
[parm <parmfile> | parmindex <#>]
[ remdtraj {remdtrajtemp <Temperature> | remdtrajidx <#>}
[trajnames <file1>,<file2>,...,<fileN>] ]
<filename> Trajectory file to read in.
[<start>] Frame to begin reading at (default 1).
[<stop> | last] Frame to stop reading at; if not specified or ’last’ specified, end
of trajectory.
502
28.8. Trajectory File Commands
[<offset>] Offset for reading in trajectory frames (default 1).
[lastframe] Select only the final frame of the trajectory.
[parm <parmfile>] Topology filename/tag to associate with trajectory (default
first topology).
[parmindex <#>] Index of Topology to associate with trajectory (default 0, first
topology).
[remdtraj] Read <filename> as the first replica in a group of replica
trajectories.
remdtrajtemp <Temperature> | remdtrajidx <#> Use frames at <Temperature> (for
temperature replica trajectories) or index <#> (for Hamiltonian replica
trajectories); multiple dimensions are comma-separated.
[trajnames <file1>,...,<fileN>] Do not automatically search for additional replica
trajectories; use comma-separated list of trajectory names.
Read in trajectory specified by filename. See 28.3 for currently recognized file formats. If just the <start>
argument is given, all frames from <start> to the last frame of the trajectory will be read. To read in a trajectory
with offsets where the last frame # is not known, specify the last keyword instead of a <stop> argument, e.g.
trajin Test1.crd 10 last 2
This will process Test1.crd from frame 10 to the last frame, skipping by 2 frames. To explicitly select only the last
frame, specify the lastframe keyword:
trajin Test1.crd lastframe
Here is an example of loading in multiple trajectories which have difference topology files:
parm top0.parm7
parm top1.parm7
parm top2.parm7 [top2]
parm top3.parm7
trajin Test0.crd
trajin Test1.crd parm top1.parm7
trajin Test2.crd parm [top2]
trajin Test3.crd parmindex 3
Test0.crd is associated with top0.parm7; since no parm was specified it defaulted to the first parm read in. Test1.crd
was associated with top1.parm7 by filename, Test2.crd was associated with top2.parm7 by its tag, and finally
Test3.crd was associated with top3.parm7 by its index (based on the order it was read in).
Replica Trajectory Processing
If the remdtraj keyword is specified the trajectory is treated as belonging to the lowest # replica of a group of
REMD trajectories. The remaining replicas can be either automatically detected by following a naming
convention of <REMDFILENAME>.X, where X is the replica number, or explicitly specified in a
comma-separated list following the trajnames keyword. All trajectories will be processed at the same time, but
only frames with a temperature matching the one specified by remdtrajtemp or remdtrajidx will be processed.
For example, to process replica trajectories rem.001, rem.002, rem.003, and rem.004, grabbing only the frames at
temperature 300.0 (assuming that this is a temperature in the ensemble):
trajin rem.001 remdtraj remdtrajtemp 300
or
trajin rem.001 remdtraj remdtrajtemp 300 trajnames rem.002,rem.003,rem.004
Note that the remdout keyword is deprecated. For this functionality see the ensemble keyword.
503
28. cpptraj
28.8.2. ensemble
ensemble <file0> {[<start>] [<stop> | last] [offset]} | lastframe
[parm <parmfile / tag> | parmindex <#>]
[trajnames <file1>,<file2>,...,<fileN>
[remlog <remlogfile> [nstlim <nstlim> ntwx <ntwx>]]
<file0> Lowest replica filename.
[<start>] Frame to begin reading ensemble at (default 1).
[<stop> | last] Frame to stop reading ensemble at; if not specified or ’last’
specified, end of trajectories.
[<offset>] Offset for reading in trajectory frames (default 1).
[lastframe] Select only the final frame of the trajectories.
[parm <parmfile>] Topology filename/tag to associate with trajectories (default
first topology).
[parmindex <#>] Index of Topology to associate with trajectories (default 0,
first topology).
[trajnames <file1>,...,<fileN>] Do not automatically search for additional replica
trajectories; use comma-separated list of trajectory names.
[remlog <remlogfile>] For H-REMD trajectories only, use specified REMD log file to
sort trajectories by coordinate index (instead of by Hamiltonian).
[nstlim <nstlim> ntwx <ntwx>] If trajectory and REMD log were not written at
the same rate, these are the values for nstlim (steps between each
exchange) and ntwx (steps between trajectory write) used in the REMD
simulation.
Read in and process trajectories as an ensemble. Similar to ’trajin remdtraj’, except instead of processing one
frame at a target temperature, process all frames. This means that action and trajout commands apply to the entire
ensemble; note however that not all actions currently function in ’ensemble’ mode. For example, to read in a
replica ensemble, convert it to temperature trajectories, and calculate a distance at each temperature:
parm ala2.99sb.mbondi2.parm7
ensemble rem.crd.000 trajnames rem.crd.001,rem.crd.002,rem.crd.003
trajout temp.crd
distance d1 out d1.ensemble.dat @1 @21
This will output 4 temperature trajectories named ’temp.crd.X’, where X ranges from 0 to 3 with 0 corresponding
to the lowest temperature, and ’d1.ensemble.dat’ containing 4 columns, each corresponding to a temperature. If
run with MPI, data will be written to separate files named ’d1.ensemble.dat.X’, similar to the output trajectories.
28.8.3. trajout
trajout <filename> [<format>] [append] [nobox]
[parm <parmfile> | parmindex <#>] [onlyframes <range>] [title <title>]
[start <start>] [stop <stop>] [offset <offset>]
[ <Format Options> ]
<filename> Trajectory file to write to.
[<format>] Keyword specifying output format (see Table 28.3). If not specified
format will be determined from extension, otherwise default to Amber
trajectory.
[append] If <filename> exists, frames will be appended to <filename>.
504
28.8. Trajectory File Commands
[nobox] Do not write box coordinates to trajectory.
[parm <parmfile>] Topology filename/tag to associate with trajectory (default
first topology).
[parmindex <#>] Index of Topology to associate with trajectory (default 0, first
topology).
[onlyframes <range>] Write only the specified input frames to <filename>.
[title <title>] Output trajectory title.
[start <start>] Begin output at frame <start> (1 by default).
[stop <stop>] End output at frame <stop> (last frame by default).
[offset <offset>] Skip <offset> frames between each output (1 by default).
File Format Options:
Options for pdb format: [model | multi] [dumpq] [chainid <ID>]
model (Default) Frames will be written to a single PDB file separated by
MODEL/ENDMDL keywords.
multi Each frame will be written to a separate file with the frame # appended to
<filename>.
dumpq PQR format; write charges (in units of e-) and GB radii to occupancy and
B-factor columns respectively.
chainid <ID> Write PDB file with chain ID <ID> (by default PDB files are written
without a chain ID).
Options for Amber format: [remdtraj] [highprecision]
remdtraj Write REMD header to trajectory that includes temperature: ’REMD
<Replica> <Step> <Total_Steps> <Temperature>’. Since cpptraj has no
concept of replica number, 0 is printed for <Replica>. <Step> and
<Total_Steps> are set to the current frame #.
highprecision: (EXPERT USE ONLY) Write with 8.6 precision instead of 8.3. Note
that since the width does not change, the precision of large coords may be
lower than 6.
Options for NetCDF format: [remdtraj]
remdtraj Write replica temperature to trajectory.
Options for Restart/NetCDF Restart format: [remdtraj] [novelocity]
[time0 <initial time>] [dt <timestep>]
remdtraj Write replica temperature to restart.
novelocity Do not include velocity information.
time0 <initial time>, dt <timestep> Restart time will be calculated as ’<initial time>
+ currentSet) *<timestep>’.
Options for mol2 format: [single | multi]
single (Default) Frames will be written to a single Mol2 file separated by
MOLECULE keywords.
multi Each frame will be written to a separate file with the frame # appended to
<filename>.
505
28. cpptraj
Write trajectory specified by filename in specified file format (Amber trajectory if none specified). See 28.3 for
currently recognized output trajectory formats and their associated keyword(s). Note that now the file type can be
determined from the output extension if not specified by a keyword. Multiple output trajectories of any format can
be specified.
Frames will be written to the output trajectory when the parameter file being processed matches the
parameter file the output trajectory was set up with. So given the input:
parm top0.parm7
parm top1.parm7 [top1]
trajin input0.crd
trajin input1.crd parm [top1]
trajout output.crd parm [top1]
only frames read in from input1.crd (which is associated with top1.parm7) will be written to output.crd. The
trajectory input0.crd is associated with top0.parm7; since no output trajectory is associated with top0.parm7 no
frames will be written when processing top0.parm7/input0.crd.
If onlyframes is specified, only input frames matching the specified range will be written out. For example,
given the input:
trajin input.crd 1 10
trajout output.crd onlyframes 2,5-7
only frames 2, 5, 6, and 7 from input.crd will be written to output.crd.
28.8.4. reference
reference <filename> [<frame#>]|lastframe [parm <parmfile> | parmindex <#>]
[average <stop> <offset>] [<mask>] ([tag])
<filename> File to read in as reference; any trajectory recognized by ’trajin’
can be used.
[<frame#>] Frame number of file to use (default 1).
[lastframe] Use last frame of reference.
[parm <parmfile>] Topology filename/tag to associate with reference (default
first topology).
[parmindex <#>] Index of Topology to associate with reference (default 0, first
topology).
[<mask>] Only load atoms corresponding to <mask> from reference.
([tag]) Tag to give this reference file; BRACKETS MUST BE INCLUDED.
Read specified trajectory frame (1 if not specified) as reference coordinates. An optional tag can be given (bounded
in brackets) which can be referred to in place of the reference file name in order to simplify references to the
reference file (see beginning of the File Commands section for examples of how to use tags). If desired, an atom
mask can be used to read in only specified atoms from a reference.
28.9. Actions that Modify Topology/Coordinates
These commands can modify the current topology and/or coordinates for every action that follows them. For
example, given a solvated system with water residues named WAT and the following commands:
rmsd first :WAT out water-rmsd.dat
strip :WAT
rmsd first :WAT out water-rmsd-2.dat
the first ’rms’ command will be valid, but the second ’rms’ command will not since all residues named WAT are
removed from the state by the ’strip’ command.
506
28.9. Actions that Modify Topology/Coordinates
28.9.1. atommap
atommap <target> <reference> [mapout <filename>] [maponly]
[rmsfit [ rmsout <rmsout> ]]
<target> Reference structure whose atoms will be remapped.
<reference> Reference structure that <target> should be mapped to.
mapout <filename> Write atom map to <filename> with format:
TargetAtomNumber TargetAtomName ReferenceAtomNumber ReferenceAtomName
Target atoms that cannot be mapped to a reference atom are denoted “---”.
maponly Write atom map but do not reorder atoms.
rmsfit Any input frames using the same topology as <target> will be RMS fit to
<reference> using whatever atoms could be mapped.
rmsout <rmsout> If rmsfit specified, write resulting RMSDs to <rmsout>.
Attempt to map the atoms of <target> to those of <reference> based on structural similarity. This is useful e.g.
when there are two files containing the same structure but with different atom names or atom ordering. Both
<target> and <reference> need to have been read in with a previous reference command. The state will then be
modified so that any trajectory read in with the same parameter file as <target> will have its atoms mapped (i.e.
reordered) to match those of <reference>. If the number of atoms that can be mapped in <target> are less than
those in <reference>, the reference structure specified by <reference> will be modified to include only mapped
atoms; this is useful if for example the reference structure is protonated with respect to the target. The rmsfit
keyword is useful in cases where the atom mapping will not be complete (e.g. two ligands with the same scaffold
but different substituents).
For example, say you have the same ligand structure in two files, Ref.mol2 and Lig.mol2, but the atom ordering
in each file is different. To map the atoms in Lig.mol2 onto those of Ref.mol2 so that Lig.mol2 has the same
ordering as Ref.mol2:
parm Lig.mol2
reference Lig.mol2
parm Ref.mol2
reference Ref.mol2 parmindex 1
atommap Lig.mol2 Ref.mol2 mapout atommap.dat
trajin Lig.mol2
trajout Lig.reordered.mol2 mol2
28.9.2. autoimage
autoimage [<mask> | anchor <mask> [fixed <mask>] [mobile <mask>]]
[origin] [firstatom] [familiar | triclinic]
[<mask> | anchor <mask>] Molecule to image around; this is the molecule that will
be centered. Default is first molecule.
[fixed <mask>] Molecules that should remain ’fixed’ to the anchor molecule;
default is all non-ion/non-solvent molecules.
[mobile <mask>] Molecules that can be freely imaged; default is all ion/solvent
molecules.
[origin] Center anchor at the origin; if not specified, center at box center.
[firstatom] Image based on molecule first atom; default is to image by molecule
center of mass.
[familiar] Image to familiar truncated-octahedral shape; this is on by default if
the original cell is truncated octahedron.
507
28. cpptraj
[triclinic] Force general triclinic imaging.
Automatically center and image (by molecule) a trajectory with periodic boundaries. For most cases just spec-
ifying ’autoimage’ alone is sufficient. The ’anchor’ molecule (default the first molecule) will be centered; all
’fixed’ molecules will be imaged only if imaging brings them closer to the ’anchor’ molecule; default for ’fixed’
molecules is all non-solvent non-ion molecules. All other molecules (referred to as ’mobile’) will be imaged freely.
In general, the ’anchor’ molecule should be one that has the smallest distance to all ’fixed’ molecules.
28.9.3. center
center [<mask>] [origin] [mass]
[ reference | ref <name> | refindex <#> [<refmask>]]
[<mask>] Center based on atoms in mask; default is all atoms.
[origin] Center to origin (0, 0, 0); default is center to box center (X/2, Y/2,
Z/2).
[mass] Use center of mass instead of geometric center.
[reference | ref <name> | refindex <#> [<refmask]] Center using coordinates in specified
reference structure selected by <refmask> (<mask> if not specified.
Move all atoms so that the center of the atoms in <mask> is centered at the specified location: box center (default),
coordinate origin, or reference coordinates.
For example, to move all coordinates so that the center of mass of residue 1 is at the center of the box:
center :1 mass
28.9.4. closest
closest <# to keep> <mask> [noimage] [first | oxygen] [closestout <filename>]
[outprefix <parmprefix>]
<# to keep> Number of solvent molecules to keep around <mask>
<mask> Waters will be kept according to <mask>.
[noimage] Do not perform imaging; only recommended if trajectory has previously
been imaged.
[first | oxygen] Calculate distances between all atoms in <mask> and the first atom
of solvent only (recommended for standard water models as it will increase
speed of calculation).
[closestout <filename>] Write information on the closest solvent molecules to
<filename>.
[outprefix <prefix>] Write corresponding topology to file with name prefix
<prefix>.
DataSet Aspects:
[Frame] Frame number.
[Mol] Original solvent molecule number.
[Dist] Solvent molecule distance in Å.
[FirstAtm] First atom number of original solvent molecule.
Similar to the strip command, but modify coordinate frame and topology by keeping only the specified number of
closest solvent molecules to the region specified by the given mask. Solvent molecules can be determined
automatically by cpptraj (by default residues named WAT, HOH, or TIP3) or can be specified prior via the solvent
command. The format of the closestout file is:
508
28.9. Actions that Modify Topology/Coordinates
Frame Molecule Distance FirstAtom#
For example, to obtain the 10 closest waters to residues 1-268 by distance to the first atom of the waters, write out
which waters were closest for each frame to a file called “closestmols.dat”, and write out the stripped topology
with prefix “closest” containing only the solute and 10 waters:
closest 10 :1-268 first closestout closestmols.dat outprefix closest
28.9.5. dihedralscan
dihedralscan resrange <range> <dihedral type> [{interval*|random}]
<dihedral type> = {phi psi chip omega alpha beta gamma
delta epsilon zeta nu1 nu2 chin}
Options for ’interval’:
<interval deg> [outtraj <filename> [<outfmt>]]
Options for ’random’:
[rseed <rseed>] [ check [cutoff <cutoff>] [rescutoff <rescutoff>]
[backtrack <backtrack>] [increment <increment>]
[maxfactor <max_factor>] ]
resrange <range> Residue range to search for dihedrals.
<dihedral type> One or more dihedral types to search for.
interval Rotate found dihedrals by <interval>. This is done in an ordered
fashion so that every combination of dihedral rotations is sampled at least
once.
random Rotate each found dihedral randomly.
Options for ’interval:
<interval deg> Amount to rotate dihedral by each step.
[outtraj <filename> [<outfmt>]] Write frame after each rotation to <filename>, with
format specified by <outfmt>.
Options for ’random’:
[rseed <rseed>] Random number seed.
[check] Check randomly rotated structure for clashes.
[cutoff <cutoff>] Atom cutoff for checking for clashes (default 0.8 Å).
[rescutoff <cutoff>] Residue cutoff for checking for clashes (defualt 10.0 Å).
[backtrack <backtrack>] If a clash is encountered at dihedral N and cannot be
resolved, go to dihedral N-<backtrack> to try and resolve the clash
(default 4).
[increment <increment>] If a clash is encountered, first attempt to rotate
dihedral by increment to resolve it; if it cannot be resolved by a full
rotation the calculation will backtrack (default 1).
[maxfactor <max_factor>] The maximum number of total attempted rotations will be
<max_factor> *<total # of dihedrals> (default 2).
Create a trajectory by rotating specified dihedrals in a structure by regular intervals (interval), or create 1 structure
by randomly rotating specified dihedrals (random). When randomly rotating dihedrals steric clashes will be
checked if check is specified; in such cases the algorithm will attempt to resolve the clash as best it can. If
clashes are not being resolved you can increase the number of rotation attempts cpptraj will make by increasing
maxfactor.
509
28. cpptraj
28.9.6. image
image [origin] [center] [triclinic | familiar [com <commask>]] [<mask>]
[ bymol | byres | byatom ] [xoffset <x>] [yoffset <y>] [zoffset <z>]
[origin] Image to coordinate origin (0.0, 0.0, 0.0); default is to image to box
center.
[center] For bymol/byres, image by center of mass; default is to image by first
atom position.
[triclinic] Force imaging with triclinic code. This is the default for
non-orthorhombic cells.
[familiar [com <commask>]] Image to truncated octahedron shape. If ’com
<commask>’ is given, image with respect to the center of mass of atoms in
<commask>.
[<mask>] Image atoms/residues/molecules in mask.
[bymol] Image by molecule (default).
[byres] Image by residue.
[byatom] Image by atom.
[xoffset <x>] Shift atoms by a factor of <x> in the X-direction.
[yoffset <y>] Shift atoms by a factor of <y> in the Y-direction.
[zoffset <z>] Shift atoms by a factor of <z> in the Z-direction.
Note this command is intended for advanced use; for most cases the autoimage command should be sufficient.
For periodic systems only, image molecules/residues/atoms that are outside of the box back into the box.
Currently both orthorhombic and non-orthorhombic boxes are supported. A typical use of image is to move
molecules back into the box after performing center. For example, the following commands move all atoms so
that the center of residue 1 is at the center of the box, then image so that all molecules that are outside the box
after centering are wrapped back inside:
center :1
image
The xoffset etc. keywords can be used to shift the entire unit cell in a certain direction by the given factor, which
can be useful for visualizing trajectories with periodic boundary conditions. For example, to generate a trajectory
that is offset by 1.0 box length in the X direction, one could use:
image xoffset 1.0
trajout traj.offsetx1.nc
28.9.7. makestructure
makestructure <List of Args>
Apply dihedrals to specified residues using arguments found in <List of Args>, where an argument is 1 or more of
the following arg types:
<sstype>:<res range> Apply SS type (phi/psi) to residue range.
<sstype> standard = alpha, left, pp2, hairpin, extended
<sstype> turn = typeI, typeII, typeVIII, typeI’, typeII, typeVIa1, typeVIa2, typeVIb
Turns are applied to 2 residues at a time, so resrange must be divisible by 4.
<custom ss>:<res range>:<phi>:<psi> Apply custom <phi>/<psi> to residue range.
510
28.9. Actions that Modify Topology/Coordinates
<custom turn>:<res range>:<phi1>:<psi1>:<phi2>:<psi2> Apply custom turn <phi>/<psi> pair to residue
range.
<custom dih>:<res range>:<dih type>:<angle> Apply <angle> to dihedrals in range.
<dih type> = phi psi chip omega alpha beta gamma delta epsilon zeta nu1 nu2 chin
<custom dih>:<res range>:<at0>:<at1>:<at2>:<at3>:<angle>[:<offset>] Apply <angle> to dihedral defined by
atoms <at1>, <at2>, <at3>, and <at4>.
Offset -2=<at0><at1> in previous res,
Offset -1=<at0> in previous res,
Offset 0=All <atX> in single res,
Offset 1=<at3> in next res,
Offset 2=<at2><at3> in next res.
ref:<range>:<refname>[:<ref range>] Apply dihedrals from residues <ref_range> in previously loaded reference
structure <refname> to dihedrals in <range>.
28.9.8. principal
principal [<mask>] [dorotation] [mass] [out <filename>]
[<mask>] Mask of atoms used to determine principal axes (default all).
[dorotation] Align coordinates along principal axes.
[mass] Mass-weight the calculation.
[out <filename>] Write resulting eigenvalues/eigenvectors to <filename>.
Determine principal axes of each frame determined by diagonalization of the inertial matrix from the coordinates
of the specified atoms. At least one of dorotation or out must be specified.
28.9.9. rotate
rotate [<mask>] [x <xdeg>] [y <ydeg>] [z <zdeg>]
[<mask>] Rotate atoms in <mask> (default all).
[x <xdeg] Degrees to rotate around the X axis.
[y <xdeg] Degrees to rotate around the Y axis.
[z <xdeg] Degrees to rotate around the Z axis.
Rotate specified atoms around the X, Y, and/or Z axes.
28.9.10. runavg | runningaverage
runavg [window <window_size>]
Note that for backwards compatibility with ptraj “runningaverage” is also accepted.
Replaces the current frame with a running average over a number of frames specified by window
<window_size> (5 if not specified). This means that in order to build up the correct number of frames to calculate
the average, the first <window_size> minus one frames will not be processed by subsequent actions. So for
example given the input:
runavg window 3
rms first out rmsd.dat
the rms command will not take effect until frame 3 since that is the first time 3 frames are available for averaging
(1, 2, and 3). The next frame processed would be an average of frames 2, 3, and 4, etc.
511
28. cpptraj
28.9.11. scale
scale x <sx> y <sy> z <sz> <mask>
Scale the X|Y|Z coordinates of atoms in <mask> by <sx>|<sy>|<sz>.
28.9.12. strip
strip <mask> [outprefix <name>] [nobox]
<mask> Remove atoms specified by mask from the system.
[outprefix <prefix>] Write out stripped topology file with name ’<prefix>.<Original
Topology Name>’.
[nobox] Remove any box information from the stripped topology.
Strip all atoms specified by <mask> from the frame and modify the topology to match for any subsequent Actions.
The outprefix keyword can be used to write stripped topologies; stripped Amber topologies are fully-functional.
Note that stripping a system renumbers all atoms and residues, so for example after this command:
strip :1
residue 1 will be gone, and the former second residue will now be the first, and so on.
For example, to strip all residues named WAT from each topology/coordinate frame:
strip :WAT
The next example uses a distance-based mask to strip atoms in a single frame. Note that with the exception of the
mask command, distance-based masks do not update on a per-frame basis. To strip all residues outside of 6.0 from
any atom in residues 1 to 14 and write out the stripped topology and coordinates, both with no box information:
parm parm7
trajin frame_1000.rst.1
reference frame_1000.rst.1
strip !(:1-14<:6.0) outprefix f1.1 nobox
trajout f1.1.x restart nobox
28.9.13. trans | translate
translate [<mask>] [x <dx>] [y <dy>] [z <dz>]
Translate atoms in <mask> (all atoms if no mask specified) <dx> Å in the X direction, <dy> Å in the Y direction,
and <dz> Å in the Z direction.
28.9.14. unstrip
unstrip
Requests that the original topology and frame be used for all following actions. This has the effect of undoing any
command that modifies the state (such as strip). For example, the following code takes a solvated complex and
uses a combination of strip, unstrip, and outtraj commands to write out separate dry complex, receptor, and ligand
files:
parm Complex.WAT.pdb
trajin Complex.WAT.pdb
# Remove water, write complex
strip :WAT
outtraj Complex.pdb pdb
512
28.10. Action Commands
# Reset to solvated Complex
unstrip
# Remove water and ligand, write receptor
strip :WAT,LIG
outtraj Receptor.pdb pdb
# Reset to solvated Complex
unstrip
# Remove water and receptor, write ligand
strip :WAT
strip !(:LIG)
outtraj Ligand.pdb pdb
28.9.15. unwrap
unwrap [center] [{bymol | byres | byatom}]
[ reference | ref <name> | refindex <#> ] [<mask>]
[center] Unwrap by center of mass; otherwise unwrap by first atom position.
bymol Unwrap by molecule (default).
byres Unwrap by residue.
byatom Unwrap by atom.
[ reference | ref <name> | refindex <#> ] Reference structure to use in unwrapping.
[<mask>] Selection to unwrap.
Under periodic boundary conditions, MD trajectories are not continuous if molecules are wrapped(imaged) into the
central unit cell. Especially, in sander, with iwrap=1, molecular trajectories become discontinuous when a molecule
crosses the boundary of the unit cell. This command, unwrap processes the trajectories to force the masked
molecules continuous by translating the molecules into the neighboring unit cells. It is the opposite function of
image, but this command can also be used to place molecules side by side, for example, two strands of a DNA
duplex. However, this command fails when the masked molecules travel more than half of the box size within a
single frame.
If the optional argument “reference” is specified, then the first frame is unwrapped according to the reference
structure. Otherwise, the first frame is not modified.
As an example, assume that :1-10 is the first strand of a DNA duplex and :11-20 is the other strand of the
duplex. Then the following commands could be used to create system where the two strands are not separated
artificially:
unwrap :1-20
center :1-20 mass origin
image origin center familiar
28.10. Action Commands
Most actions in cpptraj function exactly the way they do in ptraj and are backwards-compatible. Some com-
mands have extra functionality (such as the per-residue rmsd function of the rmsd action, or the ability to write out
stripped topologies for visualization in the strip action), while other actions produce slightly different output (like
the hbond/secstruct actions).
28.10.1. angle
angle [<dataset name>] <mask1> <mask2> <mask3> [out <filename>] [mass]
[<dataset name>] Output data set name.
513

28. cpptraj
<maskX> Three atom masks selecting atom(s) to calculate angle for.
[out <filename>] Output file name.
[mass] Use center of mass of atoms in <maskX> instead of geometric center.
Calculate angle (in degrees) between atoms in <mask1>, <mask2>, and <mask3>.
28.10.2. atomiccorr
atomiccorr [<mask>] out <filename>[cut <cutoff>] [min <min spacing>]
[byatom | byres]
<mask> Atoms to calculate motion vectors for.
out <filename> File to write results to.
cut <cutoff> Only print correlations with absolute value greater than <cutoff>.
min <min spacing> Only calculate correlations for motion vectors spaced <min
spacing> apart.
byatom Default; calculate atomic motion vectors.
byres Calculate motion vectors for entire residues (selected atoms in residues
only).
Calculate average correlations between the motion of atoms in <mask>. For each frame, a motion vector is cal-
culated for each selected atom from its previous position to its current position. For each pair of motion vectors
Va and Vb, the average correlation between those vectors is calculated as the average of the dot product of those
vectors over all Nframes.
AvgCorr(a,b) = ∑Va(i)·Vb(i)
N
28.10.3. atomicfluct
atomicfluct [out <filename>] [<mask>] [byres | byatom | bymask] [bfactor]
[calcadp [adpout <file>]]
[start <start>] [stop <stop>] [offset <offset>]
out <filename> Write data to file named <filename>
[<mask>] Calculate fluctuations for atoms in <mask> (all if not specified).
byres Output the average (mass-weighted) fluctuation by residue.
bymask Output the average (mass-weighted) fluctuation for all atoms in <mask>.
byatom (default) Output the fluctuation by atom.
[bfactor] Calculate atomic positional fluctuations squared and weight by 8
3π2;
this is similar but not necessarily equivalent to the calculation of
crystallographic B-factors.
[calcadp [adpout <file>]] Calculate anisotropic displacement parameters and
optionally output them to <file>.
[<start>] Frame to begin calculation at (default 1).
[<stop>] Frame to end calculation at (default last).
[<offset>] Frames to skip between calculations (default 1).
Compute the atomic positional fluctuations for atoms specified in the <mask>. Note that RMS fitting is not done
implicitly. If you want fluctuations without rotations or translations (for example to the average structure), perform
an RMS fit to the average structure (best) or the first structure (see rmsd) prior to this calculation. The units are
(Å) for RMSF or Å2×8
3π2if bfactor is specified.
So, to write the mass-weighted B-factors for the protein backbone atoms C, CA, and N, by residue use the
command:
514
28.10. Action Commands
atomicfluct out back.apf @C,CA,N byres bfactor
To dump the RMSF or atomic positional fluctuations of the same atoms, use the command:
atomicfluct out backbone-atoms.apf @C,CA,N
28.10.4. average
average <filename> [<mask>] [start <start>] [stop <stop>] [offset <offset>]
[Trajout Args]
<filename> Write averaged coordinates to <filename>.
[<mask>] Average coordinates in <mask> (all atoms if not specified).
[<start>] Frame to begin calculation at (default 1).
[<stop>] Frame to end calculation at (default last).
[<offset>] Frames to skip between calculations (default 1).
[Trajout args] Output trajectory format argument(s) (default Amber Trajectory).
Calculate the average of input coordinates and write out to file named <filename> in any trajectory format cpptraj
recognizes (Amber Trajectory if not specified). If the number of atoms in <mask> are less than the total number
of atoms, the topology will be stripped to match <mask> for output of this command only - the state will not
be modified. Note that since coordinates are being averaged over many frames, resulting structures may appear
distorted. For example, if one averages the coordinates of a freely rotating methyl group the average position of
the hydrogen atoms will be close to the center of rotation.
Any arguments that are valid for the trajout command are can be passed to this command in order to control
the format of the output coordinates. For example, to write out a PDB file containing the averaged coordinates
over all frames:
average test.pdb pdb
To write out a mol2 file containing only the averaged coordinates of residues 1 to 10 for frames 1 to 100:
average test.mol2 mol2 start 1 stop 100 :1-10
28.10.5. avgcoord
This command is deprecated. Use ’vector center’ (optionally with keyword ’magnitude’) instead.
28.10.6. bounds
bounds [<mask>] [out <filename>]
Calculate the max/min coordinates (X,Y,Z) of atoms in <mask> and write to <filename> (STDOUT if not speci-
fied). Useful for determining dimensions for the grid command.
28.10.7. box
box [x <xval>] [y <yval>] [z <zval>] [alpha <a>] [beta <b>] [gamma <g>]
[nobox] [truncoct]
[x <xval>] [y <yval>] [z <zval>] Change box length(s) to specified value(s).
[alpha <a>] [beta <b>] [gamma <g>] Change box angle(s) to specified value(s).
[nobox] Remove any existing box information.
[truncoct] Set box angles to truncated octahedron.
Modify box information during trajectory processing. Note that this will permanently modify the box information
for topology files during trajectory processing as well. It is possible to modify any number of the box parameters
(e.g. only the Z length can be modified if desired while leaving all other parameters intact).
515
28. cpptraj
28.10.8. check | checkstructure
check [<mask>] [reportfile <report>] [noimage] [skipbadframes]
[offset <offset>] [cut <cut>] [nobondcheck] [silent]
[<mask>] Check structure of atoms in <mask> (all if not specified).
[reportfile <report>] Write any problems found to <report> (STDOUT if not
specified).
[noimage] Do not image distances.
[skipbadframes] If errors are encountered for a frame, subsequent
actions/trajectory output will be skipped.
[offset <offset>] Report bond lengths greater than the equilibrium value plus
<offset> (default 1.0 Å)
[cut <cut>] Report atoms closer than <cut> (default 0.8 Å).
[nobondcheck] Check overlaps only.
[silent] Do not print information for bad frames - useful in conjunction with the
skipbadframes option.
Check the structure and report problems related to atomic overlap/unusual bond length. This command can also
be used to skip corrupted frames in a trajectory during processing. For example, if this message is encountered:
Warning: Frame 10 coords 1 & 2 overlap at origin; may be corrupt.
One could use check so that e.g. a subsequent distance command is not processed for bad frames:
check @1,2 skipbadframes silent
distance d1 :1 :10
Usually frame corruption can be detected using only a few atoms, but this may not catch all types of corruption.
The more atoms that are used the better the corruption detection will be, but the slower it will be to process the
command. Typically a good procedure to follow when corruption is suspected is to run check using all important
atoms (e.g. all solute heavy atoms) followed by a trajout command to write all non-corrupt frames.
28.10.9. cluster
Although the ’cluster’ command can still be specified as an action, it is now considered an analysis. See 28.13.1
on page 556.
28.10.10. clusterdihedral
clusterdihedral [phibins <N>] [psibins <M>] [out <outfile>]
[dihedralfile <dfile> | <mask>]
[framefile <framefile>] [clusterinfo <infofile>]
[clustervtime <cvtfile>] [cut <CUT>]
Cluster frames in a trajectory using dihedral angles. To define which dihedral angles will be used for clustering
either an atom mask or an input file specified by the dihedralfile keyword should be used. If dihedral file is used,
each line in the file should contain a dihedral to be binned with format:
ATOM#1 ATOM#2 ATOM#3 ATOM#4 #BINS
where the ATOM arguments are the atom numbers (starting from 1) defining the dihedral and #BINS is the number
of bins to be used (so if #BINS=10 the width of each bin will be 36º). If an atom mask is specified, only protein
backbone dihedrals (Phi and Psi defined using atom names C-N-CA-C and N-CA-C-N) within the mask will be
used, with the bin sizes specified by the phibins and psibins keywords (default for each is 10 bins).
516
28.10. Action Commands
Output will either be written to STDOUT or the file specified by the out keyword. First, information about
which dihedrals were clustered will be printed. Then the number of clusters will be printed, followed by detailed
information of each cluster. The clusters are sorted from most populated to least populated. Each cluster line has
format
Cluster CLUSTERNUM CLUSTERPOP [ dihedral1bin, dihedral2bin ... dihedralNbin ]
followed by a list of frame numbers that belong to that cluster. If a cutoff is specified by cut, only clusters with
population greater than CUT will be printed.
If specified by the clustervtime keyword, the number of clusters for each frame will be printed to <cvtfile>. If
specified by the framefile keyword, a file containing cluster information for each frame will be written with
format
Frame CLUSTERNUM CLUSTERSIZE DIHEDRALBINID
where DIHEDRALBINID is a number that identifies the unique combination of dihedral bins this cluster belongs
to (specifically it is a 3*number-of-dihedral-characters long number composed of the individual dihedral bins).
If specified by the clusterinfo keyword, a file containing information on each dihedral and each cluster will be
printed. This file can be read by SANDER for use with REMD with a structure reservoir (-rremd=3). The file,
which is essentially a simplified version of the main output file, has the following format:
#DIHEDRALS
dihedral1_atom1 dihedral1_atom2 dihedral1_atom3 dihedral1_atom4
...
#CLUSTERS
CLUSTERNUM1 CLUSTERSIZE1 DIHEDRALBINID1
...
28.10.11. contacts
contacts [ first | reference | ref <ref> | refindex <#> ] [byresidue]
[out <filename>] [time <interval>] [distance <cutoff>] [<mask>]
For each atom given in mask, calculate the number of other atoms (contacts) within the distance cutoff. The
default cutoff is 7.0 A. Only atoms in mask are potential interaction partners (e.g., a mask @CA will evaluate only
contacts between CA atoms). The results are dumped to filename if the keyword “out” is specified. Thereby,
the time between snapshots is taken to be interval. In addition to the number of overall contacts, the number of
native contacts is also determined. Native contacts are those that have been found either in the first snapshot of
the trajectory (if the keyword “first” is specified) or in a reference structure (if the keyword “reference” is
specified). Finally, if the keyword “byresidue” is provided, results are output on a per-residue basis for each
snapshot, whereby the number of native contacts is written to filename.native.
28.10.12. createreservoir
createreservoir <filename> ene <energy data set> [bin <cluster bin data set>]
temp0 <temp0> iseed <iseed> [velocity]
[parm <parmfile> | parmindex <#>] [title <title>]
<filename> File name of the reservoir to create.
ene <energy data set> Data set with energies corresponding to frames.
[bin <cluster bin data set>] Data set with bin numbers (for RREMD=3).
temp0 <temp0> Reservoir temperature.
iseed <iseed> Reservoir random number seed.
[velocity] Include velocities in the reservoir.
517
28. cpptraj
[parm <parmfile> | parmindex <#>] Associated topology.
[title <title>] Reservoir title.
Create structure reservoir for use with reservoir REMD simulations using energies in <energy data set>, temper-
ature <temp0> and random seed <iseed> Include velocities if [velocity] is specified. If <cluster bin data set> is
specified from e.g. a previous ’clusterdihedral’ command, the reservoir can be used for non-Boltzmann reservoir
REMD (rremd==3).
28.10.13. density
density out <filename> [delta <resolution>] [x|y|z]
[number|mass|charge|electron] [efile <filename>]
<mask1> ... <maskN>
out Output file for histogram: relative distances vs. densities for each
mask.
delta Resolution, i.e. determines number of slices. (0.25 Å)
x|y|z Coordinate for density calculation. (z)
number|mass|charge|electron Number, mass, partial charge (q) or electron (Ne - q)
density. To convert the electron density to e-/Å3 divide by the (average)
area spanned by the other two dimensions. (number)
efile Optional file with electron numbers Ne for each atom type.
mask1 ... maskN Arbitrary number of masks for atom selection, the output will
contain a column for each mask.
Calculate specified density for system. Defaults are shown in parentheses above. If efile is not supplied the
command assumes that atom types starting with ’H’, ’C’, ’N’, ’O’, ’P’ and ’S’ are the actual elements. The format
of the file is as follows. Comments are lines starting with ’#’ or empty lines. All other lines must contain the atom
type followed by an integer number for the electron number. Entries must be separated by spaces or ’=’. Example
input:
density out number_density.dat number delta 0.25 ":POPC@P1" ":POPC@N" \
":POPC@C2" ":POPC"
density out mass_density.dat mass delta 0.25 ":POPC@P1" ":POPC@N" \
":POPC@C2" ":POPC"
density out charge_density.dat charge delta 0.25 ":POPC@P1" ":POPC@N" \
":POPC@C2" ":POPC"
density out electron_density.dat electron delta 0.25 efile Nelec.in \
":POPC@P1" ":POPC@N" ":POPC@C2" ":POPC" ":TIP3" \
":POPC | :TIP3" "*"
density out ion_density.dat number delta 0.25 ":SOD" ":CLA"
See also $AMBERHOME/AmberTools/test/cpptraj/Test_Density.
28.10.14. diffusion
diffusion [<time_per_frame>] [<prefix>] [<mask>] [average]
[<time_per_frame>] Time in-between each coordinate frame in ps; default is 1.0.
[<filename_root>] File name prefix to use for each output file (see description
below). Default “diffusion”.
[<mask>] Mask of atoms to calculate diffusion for; default all atoms.
518

28.10. Action Commands
[average] Only print average diffusion for atoms in mask; default is to print
average diffusion as well as diffusion for each individual atom.
Compute mean square displacement (MSD) plots (using distance traveled from initial position) for the atoms in
<mask>. Both the diffusion averaged over all atoms in <mask> is calculated, as well as diffusion for individual
atoms (unless average is specified). In order to correctly calculate diffusion molecules should take continuous
paths. This command implicitly corrects for imaging only for orthorhombic unit cells. However, this will fail if a
coordinate moves more than 1/2 the box in a single step. Therefore, it is recommended that the unwrap command
be used prior to the diffusion command to remove any imaging artifacts.
Data is written to the following files as displacement vs time (in ps).
<prefix>_x.xmgr Mean square displacement(s) in the X direction (in Å2).
<prefix>_y.xmgr Mean square displacement(s) in the Y direction (in Å2).
<prefix>_z.xmgr Mean square displacement(s) in the Z direction (in Å2).
<prefix>_r.xmgr Overall mean square displacement(s) (in Å2).
<prefix>_a.xmgr Total distance traveled (in Å).
The diffusion coefficient Dcan be calculated using the Einstein relation:
2nD =lim
t→∞
MSD
t
Where nis the number of dimensions (for <prefix>_r.xmgr n = 3, for <prefix>_x.xmgr n = 1, etc). To calculate
the diffusion coefficient, calculate the slope the plot of MSD versus time (the line is typically obtained via linear
regression). To convert from units of Å2/ps to 1x10-5 cm2/s, multiply by 10.0/6.0. Due to the fact that diffusion is
currently calculated from initial positions only, diffusion calculated for small numbers of atoms will be inherently
stochastic, so the results are most sensible when averaged over many atoms; for example, the diffusion of water
should be calculated using all waters in the system.
28.10.15. dihedral
dihedral [<name>] <mask1> <mask2> <mask3> <mask4> [out <filename>] [mass]
[type {alpha|beta|gamma|delta|epsilon|zeta|chi|c2p|h1p|phi|psi|omega|pchi}]
[range360]
[<name>] Output data set name.
<maskX> Four atom masks selecting atom(s) to calculate dihedral for.
[out <filename>] Output file name.
[mass] Use center of mass of atoms in <maskX>; default is geometric center.
[range360] Output dihedral angle values from 0 to 360 degrees instead of -180 to
180 degrees.
[type <type>] Label dihedral as <type> for use with statistics analysis; note
’chi’ is nucleic acid chi and ’pchi’ is protein chi.
Calculate dihedral angle (in degrees) between the planes defined by atoms in <mask1>, <mask2>, <mask3> and
<mask2>, <mask3>, <mask4>.
519
28. cpptraj
28.10.16. dihedralscan
dihedralscan resrange <range> [{interval | random}] {<types>}
<types>= {phi psi chip omega alpha beta gamma delta epsilon zeta nu1 nu2 chin}
Options for ’interval’:
<interval deg> [outtraj <filename> [<outfmt>]]
Options for ’random’:
[rseed <rseed>] [ check [cutoff <cutoff>] [rescutoff <rescutoff>]
[backtrack <backtrack>] [increment <increment>]
[maxfactor <max_factor>] ]
resrange <range> Residue range in which to look for dihedrals to rotate.
[interval] (Default) Rotate all found dihedrals in each structure by <interval
deg> in systemic fashion.
<interval deg> Interval (in degrees) to rotate each dihedral by each step.
[outtraj <filename> [<outfmt>]] Write rotation each step to trajectory
<filename> with format specfied by keyword <outfmt> (Amber coordinate
trajectory if not specified).
[random] Rotate all found dihedrals in each structure by a random amount.
[rseed <rseed>] Random number generator seed.
[check] If specified, rotated structures will be checked for steric clashes.
[cutoff <cutoff>] Atom-atom distance cutoff in Angstroms for checking
clashes (default 0.8).
[rescutoff <cutoff>] Residue-residue distance cutoff in Angstroms for
checking clashes (default 10.0).
[backtrack <backtrack>] If clashes cannot be resolved by further rotation,
number of residues to go back and try again (default 4).
[increment <increment>] Amount to rotate dihedrals by (in degrees) in an
attempt to resolve clashes (default 1).
[maxfactor <max_factor>] (Default 2) The maximum number of rotations to
attempt per structure will be max_factor *number of dihedrals.
This command can be used to either generate a trajectory in which all specified dihedrals are rotated by a specified
amount, or all specified dihedrals are rotated by a random amount. Note that ’interval’ with outtraj should only
be used with one frame, otherwise the resulting trajectories will be overwritten.
28.10.17. dipole
dipole <filename> {data <dsname> | <nx> <dx> <ny> <dy> <nz> <dz> [gridcenter <cx> <cy> <cz>]}
[box|origin|center <mask>] [negative] [name <gridname>]
<mask1> {origin | box} [max <max_percent>]
Same as grid (see 28.10.23 on page 528 below) except that dipoles of the solvent molecules are binned. The
output file format is for Chris Bayly’s discern delegate program that comes with Midas/Plus. Consult the code in
Action_Dipole.cpp for more information and note that this command is potentially obsolete.
28.10.18. distance
distance [<name>] <mask1> <mask2> [out <filename>] [geom] [noimage] [type noe]
Options for ’type noe’:
[bound <lower> bound <upper>] [rexp <expected>] [noe_strong] [noe_medium] [noe_weak]
520
28.10. Action Commands
[<name>] Output data set name
<maskX> Two atom masks selecting atom(s) to calculate distance between.
[out <filename>] Output filename.
[geom] Use geometric center of atoms in <mask1>/<mask2>; default is to use
center of mass.
[noimage] Do not image distances across periodic boundaries.
[type noe] Mark distance as ’noe’ for use with statistics analysis.
[bound <lower> bound <upper>] Lower and upper bounds for NOE (in Angstroms);
must specify both.
[rexp <expected>] Expected value for NOE (in Angstroms); if not given
’(<lower> + <upper>)’ / 2.0 is used.
[noe_strong] Set lower and upper bounds to 1.8 and 2.9 Å respectively.
[noe_medium] Set lower and upper bounds to 2.9 and 3.5 Å respectively.
[noe_weak] Set lower and upper bounds to 3.5 and 5.0 Å respectively.
Calculate distance between the center of mass of atoms in <mask1> to atoms in <mask2>. If geom is specified use
the geometric center instead. For periodic systems imaging is turned on by default; the noimage keyword disables
imaging.
A distance can be labeled using ’type noe’ for further analysis as an NOE using the ’statistics’ analysis com-
mand.
28.10.19. drmsd (distance RMSD)
drmsd [<dataset name>] [<mask> [<refmask>]] [out <filename>]
[ first | ref <refname> | refindex <#> |
reftraj <trajname> [parm <trajparm> | parmindex <parm#>] ]
[<dataset name>] Output data set name.
[<mask>] Atoms to calculate DRMSD for.
[<refmask>] Mask corresponding to atoms in reference; if not specified, <mask>
is used.
[out <filename>] Output file name.
[first] Use the first trajectory frame processed as reference.
[reference] Use the first previously read in reference structure.
[ref <refname>] Use previously read in reference structure specified by
<refname>.
[refindex <#>] Use previously read in reference structure specified by <#> (based
on order read in).
[reftraj <trajname> [parm <parmname> | parmindex <parm#>] Use frames read in from
<trajname> with associated topology file specified by name <parmname> or
index <parm#>; if topology is not specified the first topology read in is
used. Each frame from <trajname> is used in turn, so that frame 1 is
compared to frame 1 from <trajname>, frame 2 is compared to frame 2 from
<trajname> and so on. If <trajname> runs out of frames before processing
is complete, the last frame of <trajname> continues to be used as the
reference.
521
28. cpptraj
Calculate the distance RMSD (i.e. the RMSD of all pairs of internal distances) between atoms in the frame defined
by <mask> (all if no <mask> specified) to atoms in a reference defined by <refmask> (<mask> if <refmask> not
specified). Both <mask> and <refmask> must specify the same number of atoms, otherwise an error will occur.
Because this method compares pairs of internal distances and not absolute coordinates, it is not sensitive to
translations and rotations the way that a no-fit RMSD calculation is. It can be more time consuming however, as
(N2-N)/2 distances must be calculated and compared for both the target and reference structures.
For example, to get the DRMSD of a residue named LIG to its structure in the first frame read in:
drmsd :LIG first out drmsd.dat
28.10.20. filter
filter <dataset1 arg> min <min1> max <max1>
[<dataset2 arg> min <min2> max <max2> ...]
[out <file> [name <setname>]]
<datasetX arg> Data set name(s) to use for filtering
min <minX> Allow values greater than <min> in dataset X.
max <maxX> Allow values greater than <max> in dataset X.
[out <file>] File containing 1 for frames that were allowed, 0 for frames that
were filtered.
[name <setname>] Filtered data set name containing 1 for allowed frames, 0 for
filtered frames.
For all following actions, only include frames that are between <min> and <max> of data sets in <dataset arg>.
There must be at least one <min> and <max> argument, and there must be as many <min>/<max> arguments as
there are specified data sets. For example, to write only frames in-between an RMSD of 0.7-0.8 Angstroms for a
given input trajectory:
trajin ../tz2.truncoct.nc
rms R1 first :2-11
filter R1 min 0.7 max 0.8 out filter.dat
outtraj maxmin.crd
The output trajectory will only contain frames that meet the RMSD requirement, and the filter.dat file can be used
to see which frames those were that were output.
28.10.21. fixatomorder
fixatomorder [outprefix <name>]
Cpptraj (and most of Amber) expects that atom indices in molecules to increase monotonically. However, oc-
casionally atom indices in molecules can become disordered. This command fixes atom ordering so that all
atoms in molecules are sequential. The outprefix keyword will write out the re-ordered topology with name
<name>.<original name>.
28.10.22. gist (Grid Inhomogeneous Solvation Theory)
gist [doorder] [doeij] [refdens <rdval>]
[gridcntr <xval> <yval> <zval>] [griddim <xval> <yval> <zval>]
[gridspacn <spaceval>] [out <filename>]
522

28.10. Action Commands
Figure 28.1.: Diagram, in 2D, of GIST’s gridded water properties in a binding site.
Grid Inhomogeneous Solvation Theory [482,483] (GIST) is a method for analyzing the structure and thermody-
namics of solvent in the vicinity of a solute molecule. The current implementation works for only water, but the
method can be generalized to other solvents whose molecules are rigid like water, such as chloroform or dimethyl-
sulfoxide (DMSO). GIST post-processes explicit solvent simulation data to create a three-dimensional mapping of
water density and thermodynamic properties within a region of interest, which is defined by a user-specified 3D
rectangular grid. The small grid boxes are referred to as voxels, and each voxel is associated with solvent proper-
ties. (See Fig. 28.1.) The GIST implementation incorporated into AmberTools cpptraj also calculates a number of
other local water properties, as listed below. GIST works for the nonpolarizable water models currently supported
by AMBER. In order to carry out a GIST calculation, you must have a trajectory file generated with explicit water,
as well as the corresponding prmtop file. To generate the most readily interpretable results, it is recommended that
the solute (e.g., a protein) be restrained into essentially one conformation. GIST will then provide information
about the structure and thermodynamics of the solvent for that conformation. For a room-temperature simulation
of a solvent-exposed binding site, and a grid-spacing of 0.5 Å, it is recommended that the simulation be at least
10-20 ns in duration, and it is also a good idea to check for convergence of the GIST properties you are interested
in by loading and then processing successively more frames of your trajectory file. Because GIST assumes that the
solute of interest comprises all molecules in the simulation that are not waters, it is a good idea to remove all coun-
terions and cosolutes with cpptraj’s strip command before running GIST. A sample series of cpptraj commands for
running GIST is provided below.
GIST’s Command Options
Command options with defaults in parentheses:
•doorder (optional): Specifies whether the water order parameter [484] will be calculated for each voxel
(FALSE).
•doeij (optional): Specifies if the triangular matrix representing the water-water interactions between pairs of
voxels (see below) is calculated and written to disk (FALSE).
•refdens (optional): Reference density of bulk water, used in computing g_O,g_H, and the translational
entropy (0.0334 molecules/Å3).
•gridcntr: Coordinates (Å) of the center of the grid (0.0, 0.0, 0.0).
•griddim: Integer number of grid increments along each coordinate axis (40, 40, 40).
•gridspacn: Grid spacing (linear dimension of each voxel) in Angstroms. Values greater than 0.75 Å are not
recommended (0.5 Å).
•out: Name of the main GIST output file (gist-output.dat).
523
28. cpptraj
Although it is not mandatory to supply values of gridcntr, griddim and gridspcn, these parameters should be
carefully chosen, because they determine the region to be analyzed (gridcntr and griddim) and the spatial resolution
and convergence properties of the results (gridspcn). In particular, although smaller grid spacings will give finer
spatial resolution, longer simulation times will be needed to converge the properties in the smaller voxels that
result. A larger grid spacing will allow earlier convergence, but will smooth the spatial distributions and hence can
reduce accuracy.
The reference density of water (rdval) is taken by default to be the experimental number density of pure water
at 300K and 1 atm. However, different water models may yield slightly different bulk densities under these condi-
tions, and the density also depends on T and P. If you know that the bulk density of the water model you are using,
at the T and P of your simulation, deviates significantly from 0.0334 water molecules/Å3, it would be advisable to
supply the actual value with the refdens keyword, instead of allowing GIST to supply the default value.
GIST Output
GIST generates a main output file and a collection of Data Explorer format (.dx) files, which enable visualization
of the various gridded quantities, such as with the program VMD [485]. If the doeij keyword is provided, GIST
also writes out a matrix of water-water interactions between pairs of voxels. In addition, run details are written to
stdout, which can be redirected into a log file.
Note that a number of quantities are written out as both densities and normalized quantities. For example,
the output file includes both the solute-water energy density and the normalized (per water) solute-water energy.
In all cases, the normalized quantity at voxel i,Xi,norm is related to the corresponding density, Xi,dens, by the
relationship Xi,norm =ρiXi,dens, where ρiis the number density of water in the voxel. The normalized quantity
provides information regarding the nature of the water found in the voxel. The density has the property that, if the
grid extended over the entire simulation volume, the total system quantity would be given by Xtot =Vvoxel ∑iXi,dens,
where Vvoxel is the volume of one grid voxel.
The main output file takes the form of a space-delimited-variable file, where each row corresponds to one
voxel of the grid. This file can easily be opened with and manipulated with spreadsheet programs like Excel and
LibreOffice Calc. The columns are as follows.
1. index - A unique, sequential integer assigned to each voxel
2. xcoord - x coordinate of the center of the voxel (Å)
3. ycoord - y coordinate of the center of the voxel (Å)
4. zcoord - z coordinate of the center of the voxel (Å)
5. population - Number of water molecule, ni, found in the voxel over the entire simulation. A water molecule
is deemed to populate a voxel if its oxygen coordinates are inside the voxel. The expectation value of
this quantity increases in proportion to the length of the simulation.
6. g_O - Number density of oxygen centers found in the voxel, in units of the bulk density (rdval). Thus, the
expectation value of g_O for a neat water system is unity.
7. g_H - Number density of hydrogen centers found in the voxel in units of the reference bulk density
(2×rdval). Thus, the expectation value of g_H for a neat water system would be unity.
8. dTStrans-dens - First order translational entropy density (kcal/mole/Å3), referenced to the translational entropy
of bulk water, based on the value rdval.
9. dTStrans-norm - First order translational entropy per water molecule (kcal/mole/molecule), referenced to the
translational entropy of bulk water, based on the value rdval. The quantity dTStrans-norm equals
dTStrans-dens divided by the number density of the voxel.
524

28.10. Action Commands
10. dTSorient-dens - First order orientational entropy density (kcal/mole/Å3), referenced to bulk solvent (see
below).
11. dTSorient-norm - First order orientational entropy per water molecule (kcal/mole/water), referenced to bulk
solvent (see below). This quantity equals dTSorient-dens divided by the number density of the voxel.
12. Esw-dens - Mean solute-water interaction energy density (kcal/mole/Å3). This is the interaction of the sol-
vent in a given voxel with the entire solute. Both Lennard-Jones and electrostatic interactions are
computed without any cutoff, within the minimum image convention but without Ewald summation.
This quantity is referenced to bulk, in the trivial sense that the solute-solvent interaction energy is zero
in bulk.
13. Esw-norm - Mean solute-water interaction energy per water molecule. This equals Esw-dens divided by the
number density of the voxel (kcal/mole/molecule).
14. Eww-dens - Mean water-water interaction energy density, scaled by ½ to prevent double-counting, and not
referenced to the corresponding bulk value of this quantity (see below). This quantity is one half of the
mean interaction energy of the water in a given voxel with all other waters in the system, both on and
off the GIST grid, divided by the volume of the voxel (kcal/mole/Å3). Again, both Lennard-Jones and
electrostatic interactions are computed without any cutoff, within the minimum image convention.
15. Eww-norm - Mean water-water interaction energy, normalized to the mean number of water molecules in the
voxel (kcal/mole/water). See prior column definition for details.
16. Dipole_x-dens - x-component of the mean water dipole moment density (Debye/Å3).
17. Dipole_y-dens - y-component of the mean water dipole moment density (Debye/Å3).
18. Dipole_z-dens - z-component of the mean water dipole moment density (Debye/Å3).
19. Dipole-dens - Magnitude of mean dipole moment (polarization) (Debye/Å3).
20. Neighbor-dens - Mean number of waters neighboring the water molecules found in this voxel multiplied
by the voxel number density. Two waters are considered neighbors if their oxygens are within 3.5
angstroms of each other. For any given frame, the contribution to the average is set to zero if no water
is found in the voxel (units of number/Å3).
21. Neighbor-norm - Mean number of neighboring water molecules, per water molecule found in the voxel (units
of number per water).
22. Order-norm - Average Tetrahedral Order Parameter [484], qtet , for water molecules found in the voxel, nor-
malized by the number of waters in the voxel. The order parameter for water iin a given frame is
given by: qtet (i) = 1−3
8∑3
j=1∑4
k=j+1cos(φi jk +1
3)2where jand kindex the 4 closest water neighbors
to water i, and φi jk is the angle formed by water i,j, and k. If the doorder keyword is not provided
or is set to FALSE, then this calculation will not be done, and the entries in this column will be set to
zero.
DX files are provided for all computed quantities listed above, except that the normalized quantities are not in-
cluded. The filenames are as follows: gist-gO.dx, gist-gH.dx, gist-dTStrans-dens.dx, gist-dTSorient-dens.dx, gist-
Esw-dens.dx, gist-Eww-dens.dx, gist-dipolex-dens.dx, gist-dipoley-dens.dx, gist-dipolez-dens.dx, gist-dipole-
dens.dx, gist-neighbor-dens.dx, gist-neighbor-norm.dx, gist-order-norm.dx. If the doorder keyword is not provided
or is set to FALSE, then the data in gist-order-norm.dx will all be zeroes. Note that the file of voxel water densities,
gist-gO.dx, can be used as input to the program Placevent [486], in order to define spherical hydration sites based
on the density distribution.
Similar dx files with other computed quantities can be generated by reading the gist.out file into a spreadsheet
program, processing the numbers to generate a new column of voxel data of interest, and writing this column to
an ascii text file. Then the Perl script write_dx_file.pl, which should be available on the GIST tutorial web-site,
may be used to read in the column of data and create the corresponding dx file. The input format, and an example,
are as follows:
525

28. cpptraj
./write_dx_file.pl [filename] [x-dimension y-dimension z-dimension]
[x-origin y-origin z-origin] [grid spacing]
./write_dx_file.pl file.dat filename.dat 40 40 40 13.0 13.0 13.0 0.75
If the doeij keyword is provided, GIST also writes a large file, Eww_ij.dat, containing the mean water-water
interaction energies between pairs of voxels, scaled by ½. (See below.) This file has three columns. The first two
columns are voxel indexes, i,j, where j>i, so that no pair appears more than once, and the third column is the
mean interaction energy (kcal/mole) of water in voxels iand j, scaled by ½. If the occupancy of either voxel is
0, such as for voxels covered by solute atoms, then the interaction energy is zero. In order to save space, such
interactions are omitted from the file.
Sample cpptraj input file to run GIST
The following input file, gist.in, causes cpptraj to read a parameter file named topology.top; read in the first
5000 frames of the trajectory file named trajectoryfile.mdcrd; strip out all Na and Cl ions; and carry out a GIST
run which computes order parameters, uses a 41x41x45 grid centered at (25.0, 31.0, 30.0) with a spacing of 0.5
Å, uses the default bulk water density of 0.0334 molecules/Å3, and generates the main output file gist.out.
parm topology.top
trajin trajectoryfile.mdcrd 1 5000
strip @Na
strip @Cl
gist doorder doeij gridcntr 25.0 31.0 30.0 griddim 41 41 45
gridspacn 0.50 out gist.out
go
To execute this run in the background, use
cpptraj<gist.in>gist.log& or cpptraj -i gist.in>gist.log&
Referencing GIST results to unperturbed (bulk) water
Inhomogeneous fluid solvation theory, which is the basis of GIST, is designed to provide information on how wa-
ter structure and thermodynamics around a solute molecule, such as a protein, are changed relative to the structure
and thermodynamics of unperturbed (bulk) water. Accordingly, the quantities reported by GIST are most infor-
mative when the results are referenced to the corresponding bulk water properties. For the orientational entropy,
the reference value is the same regardless of water model or conditions, because the first order orientational distri-
bution of water in the bulk is always uniform. Therefore, the GIST results for orientational entropies are already
referenced to bulk. However, cpptraj reports unreferenced values for those GIST quantities whose reference values
depend upon the water model and the simulation conditions; i.e., the number densities, translational entropies, and
energies. The table below provides useful reference values for these quantities, computed for various water models
at P=1atm, T=300K, using GIST in order to ensure a consistent minimum image treatment of periodic boundary
conditions.
Users running calculations under significantly different conditions, or with different water models, should con-
sider generating their own reference quantities by applying GIST to a simulation of pure water under their condi-
tions of interest. The quantities of interest can then be obtained in their most precise available form by averaging
over voxels, for the pure water simulation. If the quantity of interest is Q, then its average reference value is
Qre f erence =∑niQi
∑ni, where Qiand niare, respectively, GIST’s reported values of the quantity and the population in
voxel i. The densities, ρi, are referenced to the corresponding bulk densities, ρo, as gi=ρi/ρo, while the energy
and entropy terms are referenced by subtracting their bulk values.
526

28.10. Action Commands
Water Model Mean Energy (Eww-norm) (kcal/mol/water) Number Density (Å−3)
TIP3P -9.533 0.0329
TIP4PEW -11.036 0.0332
TIP4P -9.856 0.0332
TIP5P -9.596 0.0329
Tip3PFW -11.369 0.0334
SPCE -11.123 0.0333
SPCFW -11.873 0.0329
Table 28.4.: Water model energy and density.
Interpreting GIST results
GIST provides access to the first order entropies and the first- and second-order energies of inhomogeneous fluid
solvation theory. Non-zero higher-order entropies exist but are not yet computationally accessible. However, for
a pairwise additive force-field, such as those listed in the Table above, the energy is fully described at the second
order provided by GIST.
GIST is a research tool, and its applications (to, for example, protein-ligand binding and protein function) are
still being explored. The following general comments may be helpful to users studying GIST results.
1. The water in voxels near a solute (e.g., a protein) almost always has unfavorable water-water interaction
energies, relative to bulk, simply because the solute displaces water, resulting in fewer proximal water-water inter-
actions.
2. The unfavorable water-water energies mentioned in [482] may be balanced by favorable water-solute inter-
actions. If they are not, as may occur especially for voxels in small, hydrophobic pockets, then the net energy of
the water in the voxel may be unfavorable relative to bulk, in which case a ligand which displaces water from the
voxel into bulk may get a boost in affinity.
3. Because the first order orientational distribution of bulk water is uniform, and a nonuniform distribution
always has lower entropy than a uniform one, the solute can only lower the orientational entropy of water, relative
to bulk. Thus, this term always opposes solvation, and displacing oriented water into the bulk is always favorable
from the standpoint of orientational entropy.
4. Localized water, which corresponds to voxels with high water density, has a low first order translational
entropy, and the translational entropy around a solute is lower than that in bulk, as a nonuniform translational
distribution takes the place of the uniform translational distribution of bulk water.
5. The displacement of highly oriented (low orientational entropy) and localized (low translational entropy)
water into bulk leads to a favorable increase in these entropy terms.
6. However, highly oriented and localized water is often the consequence of strongly favorable polar interactions,
such as hydrogen-bonding, between water and the solute. As a consequence, the net favorability of displacing such
water is frequently a balance between favorable entropic consequences and unfavorable energetic consequences.
7. The water-water energy associated with a given voxel accounts for the interactions of the waters in this voxel
with all other waters in the system, including waters in other voxels. This quantity is multiplied by ½, so that, in a
pure-water system where the GIST grid covers the entire simulation box, the sum over all voxels equals the correct
mean water-water interaction energy. Note that Reference [483] does not include this factor of ½.
8. For a typical GIST application, in which the grid occupies only part of the simulation box, the en-
ergy bookkeeping can become complicated, as discussed in Section II.B.3 (page 044101-6) of Reference [483].
That section also explains how one can compute the water-water energy associated with a region Rdefined
by a set of voxels, ER
WW . The regional water-water energy, on a normalized (per water) basis, is given by
ER
WW =2(∑i∈REi,WW −∑i∈R∑j∈R,j>iEi,j,WW )where i∈Rmeans that voxel iis in region R,Ei,WW is the value
of Eww-norm for voxel i, and Ei,j,WW is the value of the water-water interaction energy between voxels iand j,
taken from the file Eww_ij.dat. The extra factor of 2 in the present formula, relative to that in the paper, results
from application of an extra factor of ½ to the reported water-water interaction energies here.
527
28. cpptraj
28.10.23. grid
grid <filename> {data <dsname> | <nx> <dx> <ny> <dy> <nz> <dz> [gridcenter <cx> <cy> <cz>]}
[box|origin|center <mask>] [negative] [name <gridname>] <mask>
[smoothdensity <value> [invert]] [madura <madura>]
[pdb <pdbout> [max <fraction>]]
data <dsname> Use previously calculated/loaded grid DataSet named <dsname>.
When using this option there is no need to specify grid
bins/spacing/center.
<nx> <dx> <ny> <dy> <nz> <dz> Number of grid bins and spacing in the X/Y/Z
directions.
[gridcenter <cx> <cy> <cz>] Location of grid center, default is origin (0.0, 0.0,
0.0).
[box] Offset each point by location of box center prior to gridding. Cannot be
used with ’gridcenter’.
[origin] No offset (default)
[center <mask>] Offset each point by center of atoms in <mask> prior to
gridding. Cannot be used with ’gridcenter’.
[negative] Grid negative density instead of positive density.
[name <gridname>] Grid DataSet name.
<mask> Atoms to grid.
[smoothdensity <value>] Used to smooth density.
[madura <madura>] Grid values lower than <madura> become flipped in sign,
exposes low density.
[pdb <pdbout> [max <fraction>]] Write a pseudo-PDB of grid points that have density
greater than <fraction> (default 0.80).
Create a grid representing the histogram of atoms in mask1 on the 3D grid that is "nx *x_spacing by ny *y_spacing
by nz *z_spacing angstroms (cubed). By default the grid is centered at the origin unless ’gridcenter’ is specified.
Grid points can be offset by either the box center (using ’box’) or the center of specified atoms (using ’center
<mask>’); if either of these options are used the grid must be centered at the origin. Note that the bounds command
can be very useful for determining grid dimensions.
Note that to provide any meaningful representation of the density, the solute of interest (about which the atomic
densities are binned) should be rms fit, centered and imaged prior to the grid call. If the optional keyword
“negative” is also specified, then these density will be stored as negative numbers. Output can be in the XPLOR
or OpenDX data formats.
28.10.24. hbond
hbond [out <filename>] <mask> [angle <cut>] [dist <cut>] [series]
[donormask <mask> [donorhmask <mask>]] [acceptormask <mask>]
[avgout <filename>] [printatomnum] [nointramol]
[solventdonor <mask>] [solventacceptor <mask>]
[solvout <filename>] [bridgeout <filename>]
[out <filename>] Write # of solute-solute hydrogen bonds (aspect [UU]) vs time to
this file. If searching for solute-solvent hydrogen bonds, write # of
solute-solvent hydrogen bonds (aspect [UV]) and # of bridging solvent
molecules (aspect [Bridge]), as well as the residue # of the bridging
solvent and the solute residues being bridged with format ’<solvent
resnum>(<solute res1>+<solute res2>+...+),...’ (aspect [ID]).
528
28.10. Action Commands
[<mask>] Atoms to search for solute hydrogen bond donors/acceptors.
[angle <acut>] Angle cutoff for hydrogen bonds (default 135°). Can be disabled
by specifying -1.
[dist <dcut>] Distance cutoff for hydrogen bonds (default 3.0 Å).
[series] Save hydrogen bond formed (1.0) or not formed (0.0) per frame for any
detected hydrogen bond. Solute-solute hydrogen bonds are saved with aspect
[solutehb], solute-solvent hydrogen bonds are saved with aspect
[solventhb].
[donormask <dmask>] Use atoms in <dmask> as solute donor heavy atoms. If
’donorhmask’ not specified only atoms bonded to hydrogen will be considered
donors.
[donorhmask <dhmask>] Use atoms in <dmask> as solute donor hydrogen atoms.
Should only be specified if ’donormask’ is. Should be a 1 to 1
correspondence between donormask and donorhmask.
[acceptormask <amask>] Use atoms in <amask> as solute acceptor atoms.
[avgout <filename>] Write solute-solute hydrogen bond averages to <filename>.
[printatomnum] Add atom numbers to the output, in addtion to residue name,
residue number and atom name.
[nointramol] Ignore intramolecular hydrogen bonds.
[solventdonor <sdmask>] Use atoms in <sdmask> as solvent donors. Can specify
ions as well.
[solventacceptor <samask>] Use atoms in <samask> as solvent acceptors. Can
specify ions as well.
[solvout <sfilename>] Write solute-solvent hydrogen bond averages to <sfilename>.
If not specified and ’avgout’ is, solute-solvent hydrogen bonds averages
will be written to that file.
[bridgeout <bfilename>] Write information on detected solvent bridges to
<bfilename>. If not specified, will be written to same place as ’solvout’.
DataSet Aspects:
[UU] Number of solute-solute hydrogen bonds.
[UV] Number of solute-solvent hydrogen bonds.
[Bridge] Number of bridging solvent molecules.
[ID] String identifying bridging solvent residues and the solute residues they
bridge.
[solutehb] (series only) Time series for solute-solute hydrogen bonds; 1 for
present, 0 for not present.
[solventhb] (series only) Time series for solute-solvent hydrogen bonds; 1 for
present, 0 for not present.
Note that data sets are not generated until hydrogen bonds are actually determined (i.e. run is called).
Determine hydrogen bonds in each coordinate frame. Search solute for hydrogen bond donor and acceptor atoms
in the region specified by <mask> (all solute atoms if no mask specified), following the simplistic criterion that
“hydrogen bonds are FON”, i.e., hydrogens bonded to F, O, and N atoms are considered. Hydrogen bonding atoms
can also be specified with the donormask and/or acceptormask keywords:
1. If just <mask> is specified donors and acceptors will be automatically determined from <mask>.
529
28. cpptraj
2. If donormask is specified donors will be determined from <dmask> (only atoms bonded to hydrogen will
be considered valid). Acceptors will be automatically determined from <mask>.
3. If acceptormask is specified acceptors will be determined from <amask>. Donors will be automatically
determined from <mask>.
4. If both acceptormask and donormask are specified only <amask> and <dmask> will be used; no searching
will occur in <mask>.
The number of hydrogen bonds present at each frame will be determined and written to the file specified by out:.
If the series keyword is specified the time series for each hydrogen bond (1 for present, 0 for not present) will also
be saved for subsequent analysis; solute-solute hydrogen bonds will be saved to ’<dataset name>[solutehb]’ and
solute-solvent hydrogen bonds will be saved to ’<dataset name>[solventhb]’.
Hydrogen bonds are considered to have the form:
Acceptor ... Hydrogen-Donor
and are determined via the distance between the heavy atoms and the angle between the acceptor, hydrogen, and
donor atoms. Note that imaging is not employed when calculating distance (since this makes the calculation orders
of magnitude slower); if imaging is required an autoimage command should be performed prior to the hbond
command to ensure atoms that will hydrogen bond are not separated by periodic boundaries.
If avgout is specified the average of each hydrogen bond (sorted by population) formed over the course of the
trajectory is printed to <avgfilename>. The output file has the format:
Acceptor DonorH Donor Frames Frac AvgDist AvgAng
where Acceptor,DonorH, and Donor are the residue and atom name of the atoms involved in the hydrogen bond,
Frames is the number of frames the bond is present, Frac is the fraction of frames the bond is present, AvgDist is
the average distance of the bond, and AvgAng is the average angle of the bond (both averages are over the frames
where the bond is present).
For example, to search for all hydrogen bonds within residues 1-22, writing the number of hydrogen bonds per
frame to “nhb.dat” and information on each hydrogen bond found to “avghb.dat”:
hbond :1-22 out nhb.dat avgout avghb.dat
To search for all hydrogen bonds formed between donors in residue 1 and acceptors in residue 2:
hbond donormask :1 acceptormask :2 out nhb.dat avgout avghb.dat
If masks are specified with the solventdonor and/or solventacceptor keywords, solute-solvent hydrogen bonds
will also be tracked. The number of solute-solvent hydrogen bonds and number of “bridging” solvent molecules
(i.e. solvent that is hydrogen bonded to two or more different solute residues at the same time) will also be printed
to the file specified by out. If solvout is specified the average of each solute-solvent hydrogen bond formed over
the course of the trajectory will be written to <sfilename> in a manner analogous to avgout. Note that for
solute-solvent hydrogen bonds the ’Frames’ column becomes ’Count’ since for any given frame more than 1
solvent molecule can bind to the same place on solvent and vice versa. If bridgeout is specified information on
residues that were bridged by a solvent molecule over the course of the trajectory will be written to <bfilename>
with format:
Bridge Res <N0:RES0> <N1:RES1> ... , <X> frames.
where ’<N0:RES0> ...’ is a list of residues that were bridged (residue # followed by residue name) and <X> is the
number of frames the residues were bridged.
530
28.10. Action Commands
28.10.25. jcoupling
jcoupling <mask> [outfile <filename>] [kfile <param file>] [out <filename>]
[name <dsname>]
<mask> Atom mask in which to search for dihedrals within.
[outfile <filename>] File to write j-coupling values to with fixed format.
[kfile <param file>] File containing Karplus parameters (default is
$AMBERHOME/dat/Karplus.txt).
[out <filename>] File to write data set output to.
[name <dsname>] Data set name.
Note data sets are not generated until run is called.
Calculate J-coupling values for all dihedrals found within <mask> (all atoms if no mask given). In order to use
this function, Karplus parameters for all dihedrals which will be calculated must be loaded. By default cpptraj will
use the data found in $AMBERHOME/dat/Karplus.txt; if this is not found cpptraj will look for the file specified
by the $KARPLUS environment variable.
In the Karplus parameter file each parameter set consists of two lines for each dihedral with the format:
[<Type>]<Name1><Name2><Name3><Name4><A><B><C>[<D>]
<Resname1>[<Resname2>...]
The first line defines the parameter set for a dihedral. <Type> is optional; if not given the form for calculating the
J-coupling will be as described by Chou et al.[487]; if ’C’ the form will be as described by Perez et al.[488]. The
<NameX> parameters define the four atoms involved in the dihedral. Each <NameX> parameter is 5 characters
wide, starting with a plus ’+’, minus ’-’ or space ’ ’ character indicating the atom belongs to the next, previous, or
current residue. The remaining 4 characters are the atom name. The parameters <A>, <B>, <C>, and <D> are
floating point values 6 characters wide describing the Karplus parameters. For the ’C’ form A, B, and C
correspond to C0, C1, and C2; D is unused and should not be specified. The second line is a list of residue names
(4 characters each) to which the dihedral applies. For example:
C HA CA CB HB 5.40 -1.37 3.61
ILE VAL
Describes a dihedral between atoms HA-CA-CB-HB using the Perez et al. form with constants C0=5.40, C1=-1.37,
C2=3.61 applied to ILE and VAL residues.
Output can be in both a fixed format (outfile <filename>) and using cpptraj data set/data file formatting (out
<filename>). The fixed format has each dihedral that is defined from <mask1> printed along with its calculated
J-coupling value for each frame, e.g.:
#Frame 1
1 SER HA CA CB HB2 45.334742 4.024759
1 SER HA CA CB HB3 -69.437134 1.829510
...
First the frame number is printed, then for each dihedral: Residue number, residue name, atom names 1-4 in the
dihedral, the value of the dihedral, the J-coupling value.
In cpptraj format, only the J-coupling value is written.
28.10.26. lessplit
lessplit [out <filename prefix>] [average <avg filename>] <trajout args>
[out <filename prefix>] Write split LES trajectories to <filename prefix>.X, where
X is an integer.
531

28. cpptraj
[average <avg filename>] Write trajectory of averaged LES regions to <avg
filename>.
<trajout args> Arguments for output trajectories.
Split and/or average LES trajectory. At least one of ’out’ or ’average’ must be specified. If both are specified they
share <trajout args>.
28.10.27. lie
lie [<name>] <Ligand mask> [<Surroundings mask>] [out <filename>]
[noelec] [novdw] [cutvdw <cutoff>] [cutelec <cutoff>] [diel <dielc>]
DataSet Aspects:
[EELEC] Electrostatic energy (kcal/mol).
[EVDW] van der Waals energy (kcal/mol).
For each frame, calculate the non-bonded interactions between all atoms in <Ligand mask> with all atoms in
<Surroundings mask>. Electrostatic and van der Waals interactions will be calculated for all atom pairs. A separate
electrostatic and van der Waals cutoff can be applied, the default is 12.0 Angstroms for both. <dielc> is an optional
dielectric constant. Either the electrostatic or van der Waals calculations can be suppressed via the keywords noelec
and novdw, respectively.
The electrostatic interactions are calculated according to a simple shifting function shown below. The data file
will contain two data sets—one for electrostatic interactions and one for van der Waals interactions. Periodic
topologies and trajectories are required (i.e., explicit solvent is necessary). The minimum image convention is
followed.
Eelec =kqiqj
ri j 1−r2
i j
r2
cut !2
28.10.28. lipidorder
order out <filename> [x|y|z] [scd] [unsat <mask>]
[taildist <filename> [delta <resolution>] tailstart <mask>
tailend <mask>] <mask0> ... <maskN>
out Output file for order parameters: Sx, Sy, Sz (each succeeded by the
standard deviation), and two estimates for the deuterium-order parameter
|SCD| = 0.5Sz and |SCD| = -(2Sx + Sy)/3. If scd is set then the order
parameter directly computed from the C-H vectors is output.
x|y|z Reference axis. (z)
unsat Mask for unsaturated bonds. Sz is calculated for vector Cn-Cn+1. This
is only relevant if scd (below) is not set, i.e. order parameters are
calculated from carbon position only.
scd Calculate the deuterium-order parameter |SCD| directly from the C-H vectors
(masks must contain C-H-H triplets, see below). Otherwise the order
parameter is estimated from carbon positions only (masks must contain only
relevant carbons). (false)
taildist Optional output file for end-to-end distances.
delta Optional resolution for taildist. (0.1)
tailstart Mask for the start of the tail. Must be given if taildist.
tailend Mask for the end of the tail. Must be given if taildist.
532
28.10. Action Commands
mask0 ... maskN Masks for each group in the lipid chain.
The order parameters Sx,Sy,Szand |SCD| are calculated. Carbons must be given in bonding order. If scd the
masks must be made up of C-H-H triples, hence hydrogens to double bonds must be enumerated twice while
methyl groups require an additional mask which will also create two entries in the output.
Szis the vector joining carbons Cn−1and Cn+1,Sxthe vector normal to the Cn−1−Cnand Cn−Cn+1plane and
Syis the third axis in the molecular coordinate system. The order parameter is then calculated from Sc =0.5<
3cos(2θ)>−1, where θis the angle to the chosen reference axis. See example input file.
Example input (all atom names according to CHARMM27 force field for POPC).
sn1 chain: order parameters Sx,Sy,Szand |SCD|=0.5×Szand |SCD|=−(2Sx+Sy)/3
order out sn1.dat z taildist e2e_sn1.dat delta 0.1 \
tailstart ":POPC@C32" tailend ":POPC@C316" \
":POPC@C32" ":POPC@C33" ":POPC@C34" ":POPC@C35" \
":POPC@C36" ":POPC@C37" ":POPC@C38" ":POPC@C39" \
":POPC@C310" ":POPC@C311" ":POPC@C312" ":POPC@C313" \
":POPC@C314" ":POPC@C315" ":POPC@C316"
See also $AMBERHOME/AmberTools/test/cpptraj/Test_LipidOrder.
28.10.29. mask
mask <mask> [maskout <filename>] [maskpdb <pdbname>] [maskmol2 <mol2name>]
<mask> Atom mask to process.
[maskout <filename>] Write information on atoms in <mask> to <filename>.
[maskpdb <pdbname>] Write PDB of atoms in <mask> to <pdbname>.X.
[maskmol2 <mol2name>] Write Mol2 of atoms in <mask> to <mol2name>.X.
For each frame determine all atoms that correspond to <mask>. This is most useful when using distance-based
masks, since the atoms in the mask are updated for every frame read in. If maskout is specified information on all
atoms in <mask> will be written to <filename>. If maskpdb is specified a PDB file corresponding to <mask> will
be written out every frame with name “<pdbname>.frame#”.
For example, to write out all atoms within 3.0 Angstroms of residue 195 that are part of residues named WAT
to “Res195WAT.dat”, as well as write out corresponding PDB files:
mask “(:195<:3.0)&:WAT” maskout Res195WAT.dat maskpdb Res195WAT.pdb
28.10.30. molsurf
molsurf [<dataset_name>] [<mask>] [out <filename>]
[probe <probe_rad>] [offset <rad_offset>]
[<dataset name>] Name of surface area data set.
[<mask>] Atoms to calculate surface area of.
[out <filename>] File to write values to.
[probe <probe_rad>] Probe radius (default 1.4 Angstrom).
[offset <rad_offset>] Add <rad_offset> to each atom radius.
Calculate the Connolly surface area[489] of atoms in <mask> (default all atoms if no mask specified) using rou-
tines from molsurf (originally developed by Paul Beroza) using the probe radius specified by probe (1.4 Å if not
specified). This routine currently requires radius information to be present in the topology file.
533
28. cpptraj
28.10.31. multidihedral
multidihedral [<name>] <dihedral types> [resrange <range>] [out <filename>] [range360]
[dihtype <name>:<a0>:<a1>:<a2>:<a3>[:<offset>] ...]
Offset -2=<at0><at1> in previous res, -1=<at0> in previous res,
0=All <atX> in single res,
1=<at3> in next res, 2=<at2><at3> in next res.
<dihedral types> = phi psi chip omega alpha beta gamma delta
epsilon zeta nu1 nu2 chin
[<name>] Output data set name.
<dihedral types> Dihedral types to look for. Note that chip is ’protein chi’,
chin is ’nucleic chi’.
[resrange <range>] Residue range to look for dihedrals in.
[out <filename>] Output file name.
[range360] Wrap torsion values from 0.0 to 360.0 (default is -180.0 to 180.0).
[dihtype <name>:<a0>:<a1>:<a2>:<a3>[:<offset>] Search for a custom dihedral type
called <name> using atom names <a0>, <a1>, <a2>, and <a3>.
Offset: -2=<a0><a1> in previous res, -1=<a0> in previous res, 0=All <aX>
in single res, 1=<a3> in next res, 2=<a2><a3> in next res.
DataSet Aspects:
[<dihedral type>] Aspect corresponds to the dihedral type name (e.g. [phi],
[psi], etc).
Note data sets are not generated until run is called.
Calculate specified dihedral angle types for residues in given range. By default, dihedral angles are identified
based on standard Amber atom names. The resulting data sets will have aspect equal to [<dihedral type>] and
index equal to residue #. To differentiate the chi angle, chip is used for proteins and chin for nucleic acids. For
example, to calculate all phi/psi dihedrals for residues 6 to 9:
multidihedral phi psi resrange 6-9 out PhiPsi_6-9.dat
Dihedrals other than those defined in <dihedral types> can be searched for using dihtype. For example to create
a custom dihedral type called chi1 using atoms N, CA, CB, and CG (all in the same residue), then search for and
calculate the dihedral in all residues:
multidihedral dihtype chi1:N:CA:CB:CG out custom.dat
28.10.32. nastruct
nastruct [<dataset name>] [resrange <range>] [naout <suffix>]
[noheader] [resmap <ResName>:{A,C,G,T,U} ...]
[hbcut <hbcut>] [origincut <origincut>] [altona | cremer]
[ reference | refindex <#> | ref <name> ]
[<dataset name>] Output data set name.
[resrange <range>] Residue range to search for nucleic acids in (default all).
[naout <suffix>] File name suffix for output files; BP.<suffix> for base pair
parameters, BPstep.<suffix> for base pair step parameters, and
Helix.<suffix> for base pair step helical parameters.
[noheader] Do not print header to naout file.
534
28.10. Action Commands
[resmap <ResName>:{A,C,G,T,U}] Attempt to treat residues named <ResName> as if it
were A, C, G, T, or U; useful for residues with modifications or
non-standard residue names. This will only work if enough reference atoms
are present in <ResName>.
[hbcut <hbcut>] Distance cutoff (in Angstroms) for determining hydrogen bonds
between bases (default 3.5).
[origincut <origincut>] Distance cutoff (in Angstroms) between base pair axis
origins for determining which bases are eligible for base-pairing (default
2.5).
[altona] Use method of Altona & Sundaralingam to calculate sugar pucker (default,
see pucker command).
[cremer] Use method of Cremer and Pople to calculate sugar pucker (see pucker
command).
[reference | refindex <#> | ref <name>] Reference structure to use to determine base
pairing; if not specified use first frame.
DataSet Aspects:
[shear] Base pair shear.
[stretch] Base pair stretch.
[stagger] Base pair stagger.
[buckle] Base pair buckle.
[prop] Base pair propeller.
[open] Base pair opening.
[hb] Number of hydrogen bonds between bases in base pair.
[pucker] Base sugar pucker.
[major] Rough estimate of major groove width, calculated between P atoms of each
base.
[minor] Rough estimate of minor groove width, calculated between O4 atoms of
each base.
[shift] Base pair step shift.
[slide] Base pair step slide.
[rise] Base pair step rise.
[title] Base pair step tilt.
[roll] Base pair step roll.
[twist] Base pair step twist.
[xdisp] Helical X displacement.
[ydisp] Helical Y displacement.
[hrise] Helical rise.
[incl] Helical inclination.
[tip] Helical tip.
[htwist] Helical twist.
535
28. cpptraj
Note that data sets are not created until base pairing is determined.
Calculate basic nucleic acid (NA) structure parameters for all residues in the range specified by resrange (or all
NA residues if no range specified). Residue names are recognized with the following priority: standard Amber
residue names DA, DG, DC, DT, RA, RG, RC, and RU; 3 letter residue names ADE, GUA, CYT, THY, and URA;
and finally 1 letter residue names A, G, C, T, and U. Non-standard/modified NA bases can be recognized by using
the resmap keyword. For example, to make cpptraj recognize all 8-oxoguanine residues named ’8OG’ as a
guanine-based residue:
nastruct naout nastruct.dat resrange 274-305 resmap 8OG:G
The resmap keyword can be specified multiple times, but only one mapping per unique residue name is allowed.
Note that resmap may fail if the residue is missing heavy atoms normally present in the specified base type.
Base pairs are determined once from either the first frame or from a reference structure. Base pairing is deter-
mined first by base reference axis origin distance, then by Watson-Crick hydrogen bonding (at least one hydrogen
bond must be present). Base pair parameters will only be written for determined base pairs. Note that currently
only anti-parallel Watson-Crick base-pairs are recognized; future releases will include support for recognizing
more types of base pairs.
The procedure used to calculate NA structural parameters is the same as 3DNA[490], with algorithms adapted
from Babcok et al.[491] and reference frame coordinates from Olson et al.[492]. Given the same base pairs are
determined, cpptraj nastruct gives the exact same numbers as 3DNA.
Calculated NA structure parameters are written to three separate files, the suffix of which is specified by naout.
Base pair parameters (shear, stretch, stagger, buckle, propeller twist, and opening) are written to BP.<suffix>,
along with the number of WC hydrogen bonds detected. Base pair step parameters (shift, slide, rise, tilt, roll, and
twist) are written to BPstep.<suffix>, and helical parameters (X-displacement, Y-displacement, rise, inclination,
tip, and twist) are written to Helix.<suffix>. If noheader is specified a header will not be written to the output
files. Note that although base puckering is calculated, it is not written to an output file by default. You can output
pucker to a file via the create or write/writedata commands after the data has been generated, e.g.:
nastruct NA naout nastruct.dat resrange 1-3,28-30
run
writedata NApucker.dat NA[pucker]
28.10.33. nativecontacts
nativecontacts [<mask1> [<mask2>]] [writecontacts <outfile>] [noimage]
[distance <cut>] [out <filename>] [includesolvent]
[ first | reference | ref <name> | refindex <#> ] [resoffset <n>]
[name <dsname>] [mindist] [maxdist] [byresidue]
[map [mapout <mapfile>]]
<mask1> First mask to calculate contacts for.
[<mask2>] Second (optional) mask to calculate contacts for.
[writecontacts <outfile>] Write determined native contacts to <outfile> (STDOUT if
not specified).
[noimage] Do not image distances.
[distance <cut>] Distance cutoff for determining native contacts in Angstroms.
[out <filename>] File to write number of native contacts and non-native contacts.
[includesolvent] By default solvent molecules are ignored; this will explicitly
include solvent molecules.
[ first | reference | ref <name> | refindex <#> ] Reference structure to use for
determining native contacts.
[name <dsname>] Data set name.
536
28.10. Action Commands
[mindist] If specified, determine the minimum distance.
[maxdist] If specified, determine the maximum distance.
[byresidue] Determine contacts between residues (instead of atoms).
[map [mapout <mapfile>]] Calculate 2D map of contacts (normalized to 1.0),
optionally writing to <mapfile>.
DataSet Aspects:
[native] Number of native contacts.
[nonnative] Number of non-native contacts.
[mindist] Minimum distances.
[maxdist] Maximum distances.
[map] Contacts map (2D).
Calculate number of contacts in <mask1>, or between <mask1> and <mask2> if both are specified. Native contacts
are determined based on the given reference structure (or first frame if not specified) and the specified distance cut-
off (7.0 Ang. default). If [byresidue] is specified contacts between two residues spaced <resoffset> residues apart
are ignored, and the map (if specified) is written per-residue.
28.10.34. outtraj
outtraj <filename> [ trajout args ]
Note that the maxmin functionality of outtraj is now contained within the filter action.
The outtraj command is similar in function to trajout, and takes all of the same arguments. However, instead of
writing a trajectory frame after all actions are complete outtraj writes the trajectory frame at its position in the
action stack. For example, given the input:
trajin mdcrd.crd
trajout output.crd
outtraj BeforeRmsd.crd
rms R1 first :1-20@CA out rmsd.dat
outtraj AfterRmsd.crd
three trajectories will be written: output.crd, BeforeRmsd.crd, and AfterRmsd.crd. The output.crd and After-
Rmsd.crd trajectories will be identical, but the BeforeRmsd.crd trajectory will contain the coordinates of mdcrd.crd
before they are RMS-fit.
28.10.35. pairdist
pairdist out <filename> mask <mask> [delta <resolution>]
Calculate pair distribution function. In the following, defaults are given in parentheses. The out keyword specifies
output file for histogram: distance, P(r), s(P(r)). The mask option specifies atoms for which distances should be
computed. The delta option specifies resolution. (0.1 Å)
28.10.36. pairwise
pairwise [<name>] [<mask>] [out <filename>] [cuteelec <cut>] [cutevdw <cutv>]
[ref <reffilename> | refindex <ref#>] [cutout <cutmol2name>]
[<name>] Data set name; van der Waals energy will get aspect [EVDW] and
electrostatic energy will get aspect [EELEC].
[<mask>] Atoms to calculate energy for.
537
28. cpptraj
[cuteelec <cut>] If comparing to a reference, only report delta EELEC > |<cut>|
(default 1.0 kcal/mol).
[cutevdw <cutv>] If comparing to a reference, only report delta EVDW > |<cutv>|
(default 1.0 kcal/mole).
[ref <reffilename> | refindex <#>] Compare energies to specified reference.
[cutout <cutmol2name>] If comparing to a reference, write out mol2 containing
only atom pairs which satisfy cuteelec and cutevdw.
DataSet Aspects:
[EELEC] Electrostatic energy in (kcal/mol).
[EVDW] van der Waals energy in (kcal/mol).
Calculate pairwise (i.e. non-bonded) energy (in kcal/mol) for atoms in <mask>. This calculation does use an
exclusion list but is not periodic.
28.10.37. pucker
pucker [<name>] <mask1> <mask2> <mask3> <mask4> <mask5> [<mask6>] [geom]
[out <filename>] [altona | cremer] [amplitude] [theta]
[range360] [offset <offset>]
<name> Output data set name.
<maskX> Five (optionally six) atom masks selecting atom(s) to calculate pucker
for.
[geom] Use geometric center of atoms in <maskX> (default is center of mass).
[out <filename>] Output file name.
[altona] Use method of Altona & Sundaralingam (5 masks only).
[cremer] Use method of Cremer and Pople (5 or 6 masks).
[amplitude] Also calculate amplitude.
[theta] (6 masks only) Also calculate theta.
[range360] Wrap pucker values from 0.0 to 360.0 (default is -180.0 to 180.0).
[offset <offset>] Add <offset> to pucker values.
DataSet Aspects:
[Amp] Amplitude (if amplitude was specified).
[Theta] Theta (if theta was specified).
Calculate the pucker (in degrees) for atoms in <mask1>, <mask2>, <mask3>, <mask4>, <mask5> using the method
of Altona & Sundarlingam[493,494] (default, or if altona specified), or the method of Cremer & Pople[495] if
cremer is specified. If <mask6> is specified calculate the pucker (and optionally theta if theta specified) according
to the method of Cremer & Pople. If the amplitude keyword is given, amplitudes will be calculated in addition to
pucker. The results from pucker can be further analyzed with the statistics analysis.
By default, pucker values are wrapped to range from -180 to 180 degrees. If the range360 keyword is specified
values will be wrapped to range from 0 to 360 degrees. Note that the Cremer & Pople convention is offset from
Altona & Sundarlingam convention (with nucleic acids) by +90.0 degrees; the offset keyword will add an offset
to the final value and so can be used to convert between the two. For example, to convert from Cremer to Altona
specify “offset 90”.
To calculate nucleic acid pucker specify C1’ first, followed by C2’, C3’, C4’ and O4’. For example, to
calculate the sugar pucker for nucleic acid residues 1 and 2 using the method of Altona & Sundarlingam, with
final pseudorotation values ranging from 0 to 360:
pucker p1 :1@C1’ :1@C2’ :1@C3’ :1@C4’ :1@O4’ range360 out pucker.dat
pucker p2 :2@C1’ :2@C2’ :2@C3’ :2@C4’ :2@O4’ range360 out pucker.dat
538
28.10. Action Commands
28.10.38. radgyr | rog
radgyr [name>] [<mask>] [out <filename>] [mass] [nomax] [tensor]
[<name>] Data set name.
[<mask>] Atoms to calculate radius of gyration for; default all atoms.
[out <filename>] Write data to <filename>.
[mass] Mass-weight radius of gyration.
[nomax] Do not calculate maximum radius of gyration.
[tensor] Calculate radius of gyration tensor, output format ’XX YY ZZ XY XZ YZ’.
DataSet Aspects:
[Max] Max radius of gyration.
[Tensor] Radius of gyration tensor; format ’XX YY ZZ XY XZ YZ’.
Calculate the radius of gyration of specified atoms. For example, to calculate only the mass-weighted radius of
gyration (not the maximum) of the non-hydrogen atoms of residues 4 to 10 and print the results to “RoG.dat”:
radgyr :4-10&!(@H=) out RoG.dat mass nomax
28.10.39. radial
radial <outfilename> <spacing> <maximum> <solvent mask1>
[<solute mask2>] [noimage] [density <density> | volume]
[center1 | center2 | nointramol] [<name>]
[intrdf <file>] [rawrdf <file>]
<outfilename> File to write RDF to, required.
<spacing> Bin spacing, required.
<maximum> Max bin value, required.
<solvent mask1> Atoms to calculate RDF for, required.
[<solute mask2>] (Optional) If specified calculate RDF of all atoms in <solvent
mask1> to each atom in <solute mask2>.
[noimage] Do not image distances.
[density <density>] Use density value of <density> for normalization (default
0.033456 molecules Å−3).
[volume] Determine density for normalization from average volume of input
frames.
[center1] Calculate RDF from geometric center of atoms in <solvent mask1> to all
atoms in <solute mask2>.
[center2] Calculate RDF from geometric center of atoms in <solute mask2> to all
atoms in <solvent mask1>.
[nointralmol] Ignore intra-molecular distances.
[<name>] Name radial dataset.
[intrdf <file>] Calculate integral of RDF bin values (averaged over # of frames but
otherwise not normalized) and write to <file> (can be same as
<output_filename>).
[rawrdf <file>] Write raw (non-normalized) RDF values to <file>.
DataSet Aspects:
539

28. cpptraj
[int] (intrdf only) Integral of RDF bin values.
[raw] (rawrdf only) Raw (non-normalized) RDF values.
Calculate the radial distribution function (RDF, aka pair correlation function) of atoms in <solvent mask1> (note
that this mask does not need to be solvent, but this nomenclature is used for clarity). If an optional second mask
(<solute mask2>) is given, calculate the RDF of ALL atoms in <solvent mask1> to EACH atom in <solute
mask2>. If desired, the geometric center of atoms in <solvent mask1> or <solute mask2> can be used by
specifying the center1 or center2 keywords respectively, or alternatively intra-molecular distances can be ignored
by specifying the nointramol keyword.
The RDF is calculated from the histogram of the number of particles found as a function of distance R, normal-
ized by the expected number of particles at that distance. The normalization is calculated from:
Density ∗h4π
3(R+dR)3i−4π
3dR3
where dR is equal to the bin spacing. Some care is required by the user in order to normalize the RDF correctly.
The default density value is 0.033456 molecules Å−3, which corresponds to a density of water approximately equal
to 1.0 g mL−1. To convert a standard density in g mL−1, multiply the density by 0.6022
Mr, where Mris the mass of the
molecule in atomic mass units. Alternatively, if the volume keyword is specified the density is determined from
the average volume of the system over all Frames.
Note that correct normalization of the RDF depends on the number of atoms in each mask; if multiple topology
files are being processed that result in changes in the number of atoms in each mask, the normalization will be off.
28.10.40. randomizeions
randomizeions <mask> [around <mask> by <distance>] [overlap <value>]
[noimage] [seed <value>]
This can be used to randomly swap the positions of solvent and single atom ions. The “overlap” specifies the
minimum distance between ions, and the “around” keyword can be used to specify a solute (or set of atoms)
around which the ions can get no closer than the distance specified. The optional keywords “noimage” disable
imaging and “seed” update the random number seed. An example usage is
randomizeions @NA around :1-20 by 5.0 overlap 3.0
The above will swap Na+ions with water getting no closer than 5.0 Å from residues 1 – 20 and no closer than
3.0 Å from any other Na+ion.
28.10.41. rmsd | rms
rmsd [<name>] [<mask> [<refmask>]] [out <filename>] [nofit | norotate] [mass] [ time <interval> ]
[ first | reference | ref <reffilename> | refindex <#> |
reftraj <trajname> [parm <trajparm> | parmindex <parm#>] ]
[ perres perresout <perresfile> [perresavg <avgfile>]
[range <resRange>] [refrange <refRange>]
[perresmask <additional mask>] [perrescenter] [perresinvert] ]
[<name>] Output data set name.
[<mask>] Mask of atoms to calculate RMSD for; if not specified, calculate for
all atoms.
[<refmask>] Reference mask; if not specified, use <mask>.
[out <filename>] Output data file name.
[nofit] Do not perform best-fit RMSD.
540
28.10. Action Commands
[norotate] If calculating best-fit RMSD (default), translate but do not rotate
coordinates.
[mass] Mass-weight the RMSD calculation.
[time <interval>] Instead of using the frame number as the first column, write the
time, starting at zero, in increments of <interval>.
Reference keywords:
first Use the first trajectory frame processed as reference.
reference Use the first previously read in reference structure (refindex 0).
ref <name> Use previously read in reference structure specified by filename/tag.
refindex <#> Use previously read in reference structure specified by <#> (based
on order read in).
reftraj <trajname> Use frames read in from <trajname> as references. Each frame
from <trajname> is used in turn, so that frame 1 is compared to frame 1
from <trajname>, frame 2 is compared to frame 2 from <trajname> and so on.
If <trajname> runs out of frames before processing is complete, the last
frame of <trajname> continues to be used as the reference.
parm <parmname> | parmindex <#> Associate reference trajectory <trajname> with
specified topology; if not specified the first topology is used.
Per-residue RMSD keywords:
perres Activate per-residue no-fit RMSD calculation.
perresout <perresfile> Write per-residue RMSD to <perresfile>.
perresavg <avgfile> Write average per-residue RMSDs to <avgfile>.
range <res range> Calculate per-residue RMSDs for residues in <res range>
(default all solute residues).
refrange <ref range> Calculate per-residue RMSDs to reference residues in <ref
range> (use <res range> if not specified).
perresmask <additional mask> By default residues are selected using the mask ’:X’
where X is residue number; this appends <additional mask> to the mask
expression.
perrescenter Translate residues to a common center of mass prior to calculating
RMSD.
perresinvert Make X-axis residue number instead of frame number.
DataSet Aspects:
[res] (perres only) Per-residue RMSDs; index is residue number.
[Avg] (perres only) Average per-residue RMSD for each residue.
[Stdev] (perres only) Standard deviation of RMSD for each residue.
Note that perres data sets are not generated until run is called.
Calculate the coordinate RMSD of input frames to a reference frame (or reference trajectory). Both <mask> and
<refmask> must specify the same number of atoms, otherwise an error will occur.
For example, say you have a trajectory and you want to calculate RMSD to two separate reference structures.
To calculate the best-fit RMSD of the C, CA, and N atoms of residues 1 to 20 in each frame to the C, CA, and N
atoms of residues 3 to 23 in StructX.crd, and then calculate the no-fit RMSD of residue 7 to residue 7 in another
structure named Struct-begin.rst7, writing both results to Grace-format file “rmsd1.agr”:
reference StructX.crd [structX]
reference md_begin.rst7 [struct0]
rmsd BB :1-20@C,CA,N ref [structX] :3-23@C,CA,N out rmsd1.agr
rmsd Res7 :7 ref [struct0] out rmsd1.agr nofit
541
28. cpptraj
Per-residue RMSD calculation
If the perres keyword is specified, after the initial RMSD calculation the no-fit RMSD of specified residues is
also calculated. So for example:
rmsd :10-260 reference perres perresout PRMS.dat range 190-211 perresmask &!(@H=)
will first perform a best-fit RMSD calculation to the first specified reference structure using residues 10 to 260,
then calculate the no-fit RMSD of residues 190 to 211 (excluding any hydrogen atoms), writing the results to
PRMS.dat. Two additional recommendations for the ’perres’ option: 1) try not including backbone atoms by
using the ’perresmask’ keyword, e.g. "perresmask &!@H,N,CA,HA,C,O", and 2) try using the ’perrescenter’
keyword, which centers each residue prior to the ’nofit’ calculation; this is useful for isolating changes in residue
conformation.
28.10.42. rms2d | 2drms
Although the ’rms2d’ command can still be specified as an action, it is now considered an analysis. See 28.13.4
on page 561.
28.10.43. rmsavgcorr
Although the ’rmsavgcorr’ command can still be specified as an action, it is now considered an analysis.
See 28.13.3 on page 560.
28.10.44. rotdif
rotdif [rseed <rseed>] [nvecs <nvecs>]
[ref <refname> | refindex <refindex> | reference] [<refmask>]
[ncorr <ncorr>] [nmesh <nmesh>] dt <tfac> [ti <ti>] tf <tf>
[itmax <itmax>] [tol <delmin>] [d0 <d0>] [order <olegendre>]
[delqfrac <delqfrac>] [gridsearch] [rvecout <randvecOut>]
[rmout <rmOut>] [deffout <deffOut>] [outfile <outfilename>]
[rvecin <randvecIn>]
Evaluate rotational diffusion properties over a trajectory according to an expanded version of the procedure laid
out by Wong & Case[496]. Briefly, random vectors (can be thought of as analogous to e.g. N-H bond vectors)
are rotated according to rotation matrices obtained from an RMS fit to a reference structure (typically an averaged
structure). For each random vector the time correlation function of the rotated vector is calculated. The time
correlation function can then be used to solve for the effective value of the diffusion constant (deff) for that vector.
Given an effective diffusion constant for each vector, solve for the diffusion tensor D assuming small anisotropy.
Finally, based on D in the small anisotropic limit, a downhill simplex minimizer is used to optimize D with full
anisotropy; (this last step is not described in the original paper.)
Rotation matrices are generated via an RMS fit to the reference structure specified by name (ref) or index
(refindex); reference uses the first reference structure read in. It is recommended that the RMS fit be done to an
average structure (see the average command). Rotation matrices can be written (row-major) to a file specified by
rmout.
The number of random vectors to generate is specified by nvecs; alternatively input vectors (not necessarily
“random”) can be read in from a file specified by rvecin with format:
<VectorNum> <Vx> <Vy> <Vz>
where <VectorNum> is an integer (not used internally), and Vx, Vy, and Vz are the x, y, and z components of the
vector. Random vectors can be written out in the same format to a file specified by rvecout.
The order of Legendre polynomials to use (correlation and tau) is specified by olegendre; currently this must be
1 or 2 (default 2). The maximum length of the correlation function (or lag) is specified by ncorr (in frames). The
542
28.10. Action Commands
default is to use all frames; however it is recommended that ncorr be set to a number less than the total number
of frames since noise tends to increase as ncorr approaches the # of frames. The integration over the correlation
function is from ti (in ns) (0.0 if not specified) to tf (also in ns), with a timestep specified by dt; the final time
should be less than ncorr *dt. The relative size of the mesh used with cubic spline interpolation for integration
is controlled by nmesh (size of the mesh is ncorr points * nmesh); nmesh = 1 means no interpolation, default
is 2. The iterative solver for effective value of the diffusion constant from the correlation functions is controlled
by itmax,tol, and d0, where itmax specifies the number of iterations to perform (default 500), tol specifies the
tolerance (default 1E-6), and d0 specifies the initial guess for the diffusion constant (default 0.03). Effective
diffusion constants for each random vector can be written out to a file specified by deffout.
The random number generator (used in generating random vectors and by the simplex minimizer) is seeded with
the value given by rseed (80531 by default). If the random seed is less than 1 the wallclock time is used. delqfrac
controls the scaling of simplexes when fitting D with full anisotropy (default 0.5).
Results are printed to the file specified by outfile. Details on the Q and D tensors are given, as well as observed
and calculated tau for each random vector. First, results are printed for analysis in the limit of small anisotropy.
Next, results are printed for analysis with full anisotropy. The results of the full anisotropic calculation are first
given using results from the small anisotropic analysis as an initial guess, followed by the final results after mini-
mization using the downhill simplex (amoeba) minimizer.
For example, given a trajectory ’mdcrd.nc’ containing 100 frames, to calculate rotational diffusion using 100
vectors using rotation matrices generated via an RMS fit to ’avgstruct.pdb’, computing the correlation function
for each vector using a max lag of 90 frames, integrating from 0 ns to 0.180 ns with a timestep of 0.002 ns, and
writing out the effective diffusion constants and results to ’deffs.dat’ and ’rotdif.out’ respectively:
reference avgstruct.pdb [avg]
trajin mdcrd.nc 1 100
rotdif nvecs 100 ref [avg] @CA,C,N,O \
ncorr 90 ti 0.0 tf 0.180 dt 0.002 deffout deffs.dat \
itmax 500 tol 0.000001 d0 0.03 order 2 \
outfile rotdif.out
28.10.45. secstruct
secstruct [<dataset name>] [out <filename>] [<mask>] [sumout <sumfilename>]
[ptrajformat] [namen <N name>] [nameh <H name>]
[namec <C name>] [nameo <O name>]
[<dataset name>] Output data set name.
[out <filename>] Output file name.
[<mask>] Atom mask in which residues should be looked for.
[sumout <sumfilename>] Write average secondary structure values for each residue
to <sumfilename>; if not specified <filename>.sum is used.
[ptrajformat] Write secondary structure as a string of characters for each frame,
similar to ptraj output.
[namen <N name>] Backbone amide nitrogen atom name (default ’N’).
[nameh <H name>] Backbone amide hydrogen atom name (default ’H’).
[namec <C name>] Backbone carbonyl carbon atom name (default ’C’).
[nameo <O name>] Backbone carbonyl oxygen atom name (default ’O’).
DataSet Aspects:
[res] (Only if ptrajformat not specified) Residue secondary structure; index
corresponds to residue number.
[avgss] Average secondary structure; index corresponds to SS type (see table
below; no index for “None”).
543

28. cpptraj
Note that when not using ptrajformat, data sets are not generated until run is called.
Calculate secondary structural propensities for residues in <mask> (or all solute residues if no mask given)
using the DSSP method of Kabsch and Sander[497], which assigns secondary structure types for residues based
on backbone amide (N-H) and carbonyl (C=O) atom positions. By default cpptraj assumes these atoms are named
“N”, “H”, “C”, and “O” respectively. If a different naming scheme is used (e.g. amide hydrogens are named
“HN”) the backbone atom names can be customized with the nameX keywords (e.g. ’nameH HN’). Note that it
is expected that some residues will not have all of these atoms (such as proline); in this case cpptraj will print an
informational message but the calculation will proceed normally.
Results will be written to filename specified by out with format:
<#Frame> <ResX SS> <ResX+1 SS> ... <ResN SS>
where <#Frame> is the frame number and <ResX SS> is an integer representing the calculated secondary
structure type for residue X. If the keyword ptrajformat is specified, the output format will instead be:
<#Frame> STRING
where STRING is a string of characters (one for each residue) where each character represents a different structural
type (this format is similar to what ptraj outputs). The various secondary structure types and their corresponding
integer/character are listed below:
Character Integer SS type
0 0 None
b 1 Parallel Beta-sheet
B 2 Anti-parallel Beta-sheet
G 3 3-10 helix
H 4 Alpha helix
I 5 Pi (3-14) helix
T 6 Turn
Average structural propensities over all residues for each frame will be written to the file specified by sumout
(or “<filename>.sum” if sumout is not specified).
The default output of secstruct command in particular is amenable to visualization with gnuplot. To generate a
2D map-style plot of secondary structure vs time, with each residue on the Y axis simply give the output file a
“.gnu” extension. For example, to generate a 2D map of secondary structure vs time, with different colors
representing different secondary structure types for residues 1-22:
secstruct :1-22 out dssp.gnu
The resulting file can be visualized with gnuplot:
gnuplot dssp.gnu
Similarly, the sumout file can be nicely visualized using xmgrace (use “.agr” extension).
secstruct :1-22 out dssp.gnu sumout dssp.agr
xmgrace dssp.agr
28.10.46. surf
surf [<dataset name>] [<mask>] [out <filename>]
Calculate the surface area in Å2of atoms in <mask> (all solute atoms if no mask specified) using the LCPO
algorithm of Weiser et al.[108]. In order for this to work, the topology needs to have bond information and atom
type information. For topologies with no bond information (e.g. PDB files), bond information can be set up by
specifying ’bondsearch’ prior to the ’parm’ command.
544
28.10. Action Commands
Note that even if <mask> does not include all solute atoms, the neighbor list is still calculated for all solute
atoms so the surface area calculated reflects the contribution of atoms in <mask> to the overall surface area, not
the surface area of <mask> as an isolated system. As a result, it may be possible to obtain a negative surface area
if only a small fraction of the solute is selected.
For example, to calculate the overall surface area of all solute atoms, as well as the contribution of residue 1 to
the overall surface area, writing both results to “surf.dat”:
surf out surf.dat
surf :1 out surf.dat
28.10.47. stfcdiffusion
stfcdiffusion mask <mask> [out <file>] [time <time per frame>]
[mask2 <mask>] [lower <distance>] [upper <distance>]
[nwout <file>]) [avout <file>] [distances] [com]
[x|y|z|xy|xz|yz|xyz]
mask Atoms for which MSDs will be computed.
out Output file: time vs. MSD.
time Time step in the trajectory. (1.0 ps)
mask2 Compute MSDs only within the lower and upper limit of mask2. IMPORTANT:
may be very slow!!!
lower Smaller distance from reference point(s). (0.01 Å)
upper Larger distance from reference point(s). (3.5 Å)
nwout Output file containing number of water molecules in the chosen region,
see mask2. (off)
avout Output file containing average distances. (off)
x|y|z|xy|xz|yz|xyz Computation of the mean square displacement in the chosen
dimension. (xyz)
distances Dump un-imaged distances. By default only averages are output. (off)
com Calculate MSD for centre of mass. (off)
Calculate diffusion for selected atoms using code based on the ’diffusion’ routine developed by Hannes Loeffler at
STFC (http://www.stfc.ac.uk/CSE).
28.10.48. symmrmsd
symmrmsd [<name>] [<mask>] [<refmask>] [out <filename>]
[nofit | norotate] [mass] [remap]
[ first | reference | ref <name> | refindex <#> |
reftraj <trajname> [parm <parmname> | parmindex <#>] ]
[<name>] Output data set name.
[<mask>] Mask of atoms to calculate RMSD for; if not specified, calculate for
all atoms.
[<refmask>] Reference mask; if not specified, use <mask>.
[out <filename>] Output data file name.
[nofit] Do not perform best-fit RMSD (not recommended).
[norotate] If calculating best-fit RMSD (default), translate but do not rotate
coordinates.
545
28. cpptraj
[mass] Mass-weight the RMSD calculation.
[remap] Re-arrange atoms according to symmetry. See below for more details.
Reference keywords:
first Use the first trajectory frame processed as reference.
reference Use the first previously read in reference structure (refindex 0).
ref <name> Use previously read in reference structure specified by filename/tag.
refindex <#> Use previously read in reference structure specified by <#> (based
on order read in).
reftraj <trajname> Use frames read in from <trajname> as references. Each frame
from <trajname> is used in turn, so that frame 1 is compared to frame 1
from <trajname>, frame 2 is compared to frame 2 from <trajname> and so on.
If <trajname> runs out of frames before processing is complete, the last
frame of <trajname> continues to be used as the reference.
parm <parmname> | parmindex <#> Associate reference trajectory <trajname> with
specified topology; if not specified the first topology is used.
Perform symmetry-corrected RMSD calculation. This is done by identifying potential symmetric atoms in each
residue, performing an initial best-fit, then determining which configuration of symmetric atoms will give the
lowest RMSD using atomic distance to reference atoms.
Note that when re-mapping, all atoms in the residues of interest should be selected to prevent cases where se-
lected symmetric atoms are swapped but the atoms they are bonded to are not. Also, occasionally larger symmetric
structures (e.g. 6 membered rings) may become distorted due to only part of the residue being corrected for sym-
metry. This appears to happen about 4% of the time but does not overly inflate the RMSD. The ’check’ command
can be used after symmrmsd to look for such distortions.
Warning: the symmetry correction is generally robust enough to account for symmetries in the standard amino
and nucleic acid residues, but has not been extensively tested on residues with more extended types of symmetry.
28.10.49. temperature
temperature [<name>] {frame | [<mask>] [ntc <#>]} [out <filename>]
[<name>] Data set name.
frame Do not calculate temperature; use existing frame temperature.
[<mask>] Atoms to calculate temperature for.
[ntc <#>] Value of SHAKE bond constraint: 1 - none, 2 - bonds to H, 3- all bonds
(equivalent to SANDER/PMEMD).
[out <filename>] File to write values to.
Calculate temperature in frame based on velocity information. If ’frame’ is specified just use frame temperature
(read in from e.g. REMD trajectory).
28.10.50. velocityautocorr
velocityautocorr [<set name>] [<mask>] [usevelocity] [out <filename>]
[maxlag <time>] [tstep <timestep>] [direct] [norm]
[<set name>] Data set name.
[<mask>] Atoms(s) to calculate VAC function for.
[usevelocity] Use velocity information in frame if present. This will only give
sensible results if the velocities are recorded on the order of the
simulation time step.
546
28.10. Action Commands
[out <filename>] Write results to <filename>.
[maxlag <time>] Maximum lag (time, in ps) to calculate VAC function for. Default
is half the total number of frames.
[tstep <timestep>] Time between frames in ps (default 1.0).
[direct] Calculate VAC funtions directly instead of via FFT (will be much
slower).
[norm] Normalize resulting VAC function to 1.0.
Calculate the velocity autocorrelation function averaged over the atoms in <mask>. Pseudo-velocities are calcu-
lated using coordinates and the specified time step. As with all time correlation functions the statistical noise will
increase if the maximum lag is greater than half the total number of frames. In addition to calculating the velocity
autocorrelation function, the self-diffusion coefficient will be reported in the output, calculated from the integral
over the VAC function.
28.10.51. volmap
volmap filename dx dy dz <mask> [xplor] [radscale <factor>]
[ [[buffer <buffer>] [centermask <mask>]] |
[center <x,y,z>] [size <x,y,z>] ]
[peakcut <cutoff>] [peakfile <xyzfile>]
filename The name of the output file with the grid density. By default it is
written in the OpenDX file format
dx, dy, dz The grid spacing (Angstroms) in the X-, Y-, and Z-dimensions,
respectively
<mask> The atom selection from which to calculate the number density.
[xplor] If this keyword is present, the grid file will be written in Xplor
format.
radscale <factor> Factor by which to scale radii (by division). To match the
atomic radius of Oxygen used by the VMD volmap tool, a scaling factor of
1.36 should be used.
buffer <buffer> A buffer distance, in Angstroms, by which the edges of the grid
should clear every atom of the centermask (or default mask if centermask is
omitted) in every direction. The default value is 3. The buffer is
ignored if the center and size are specified (see below)
centermask <mask> The mask around which the grid should be centered (via
geometric center). If this is omitted and the center and size are not
specified, the default <mask> entered (see above) is used in its place.
center <x,y,z> Specify the grid center explicitly. Note, the size argument must
be present in this case
size <x,y,z> Specify the size of the grid in the X-, Y-, and Z-dimensions. Must
be used alongside the center argument.
peakcut <cutoff> The minimum density required to consider a local maximum a
’density peak’ in the outputted peak file.
peakfile <xyzfile> A file in XYZ-format that contains a carbon atom centered at
the grid point of every local density maximum. This file is necessary
input to the spam action command.
Grid data as a volumetric map, similar to the ’volmap’ command in VMD. The density is calculated by treating
each atom as a 3-dimensional Gaussian function whose standard deviation is equal to the van der Waals radius.
The density calculated is the number density averaged over the entire simulation.
547
28. cpptraj
28.10.52. watershell
watershell <solutemask> <filename> [lower <lower cut>] [upper <upper cut>]
[noimage] [<solventmask>]
<solutemask> Atom mask corresponding to solute of interest.
<filename> Output file name.
[lower <lower cut>] Cutoff for the first water shell (default 3.4 Angstroms).
[upper <upper cut>] Cutoff for the second water shell (default 5.0 Angstroms).
[noimage] Do not image distances.
[<solventmask>] Optional atom mask corresponding to solvent.
DataSet Aspects:
[lower] Number of solvent molecules in first solvent shell.
[upper] Number of solvent molecules in second solvent shell.
This option will count the number of waters within a certain distance of the atoms in the <solutemask> in order to
represent the first and second solvation shells. The optional <solventmask> can be used to consider other atoms as
the solvent; the default is “:WAT”.
This action is often used prior to the closest command in order to determine how many waters around a solute
should be retained to maintain the first and/or second water shells.
28.11. Matrix and Vector Actions
28.11.1. matrix
matrix [out <filename>] [start <#>] [stop|end <#>] [offset <#>]
[name <name>] [ byatom | byres [mass] | bymask [mass] ]
[ ired [order <#>] ]
[ {distcovar | idea} <mask1> ]
[ {dist | correl | covar | mwcovar} <mask1> [<mask2>] ]
[out <filename>] If specified, write matrix to <filename>.
[start <#>] [stop|end <#>] [offset <#>] Start, stop, and offset frames to use (as a
subset of all frames read in).
[name <name>] Name of the matrix dataset (for referral in subsequent analysis).
byatom Write results by atom (default). This is the sole option for covar,
mwcovar, and ired.
byres Write results by calculating an average for each residue (mass weighted
if mass is specified).
bymask Write average over <mask1>, and if <mask2> is specified <mask1> x
<mask2> and <mask2> as well (mass weighted if mass is specified).
ired [order <#>] If IRED, no mask is needed; IRED vectors must be specified
previously (see ’vector ired’); order specifies the order of Legendre
polynomials used in calculating the IRED matrix (2 by default).
Calculate matrix of the specified type from input coordinate frames:
dist Distance matrix (default).
correl Correlation matrix (aka dynamic cross correlation).
covar Coordinate covariance matrix.
548
28.11. Matrix and Vector Actions
mwcovar Mass-weighted coordinate covariance matrix.
distcovar Distance covariance matrix.
idea Isotropically Distributed Ensemble Analysis matrix.[498]
ired Isotropic Reorientational Eigenmode Dynamics matrix.[499]
Matrix dimensions will be of the order of N x M for dist,correl,idea, and ired, 3N x 3M for covar and mwcovar,
and N(N-1) x N(N-1) / 4 for distcovar (with N being the number of atoms in mask1 and M being the number of
atoms either in mask1 or mask2). No mask is required for ired; the matrix will be made up of previously defined
IRED vectors (see the vector command). Only one mask can be used with distcovar and idea matrices (i.e. they
can be symmetric only), otherwise one or two masks can be used (for symmetric and full matrices respectively).
If two masks are specified the number of atoms covered by mask1 must be greater than or equal to the number of
atoms covered by mask2, and on output <mask1> corresponds to columns while <mask2> corresponds to rows.
28.11.2. projection
projection evecs <dataset name> [out <outfile>] [beg <beg>] [end <end>]
[<mask>] [start <start>] [stop <stop>] [offset <offset>]
evecs <dataset name> Data set containing eigenvectors (modes).
[out <outfile>] Write projections to <outfile>.
[beg <beg>] First eigenvector/mode to use (default 1).
[end <end>] Final eigenvector/mode to use (default 2).
[<mask>] Mask of atoms to use in projection; MUST CORRESPOND TO HOW
EIGENVECTORS WERE GENERATED.
[start <start>] Frame to start calculating projection.
[stop <stop>] Frame to stop calculating projection.
[offset <offset>] Frames to skip between projection calculations.
DataSet Aspects:
For COVAR/MWCOVAR modes, DataSet indices correspond to mode #.
[X] X component of mode (IDEA modes only).
[Y] Y component of mode (IDEA modes only).
[Z] Z component of mode (IDEA modes only).
[R] Magnitude of mode (IDEA modes only).
Projects snapshots onto eigenvectors obtained by diagonalizing covariance or mass-weighted covariance matrices.
Eigenvectors are taken from previously generated (e.g. with diagmatrix) or previously read-in (e.g. with readdata)
eigenvectors with name <dataset name>. The user has to make sure that the atoms selected by <mask> agree with
the ones used to calculate the modes (i.e., if mask = ’@CA’ was used in the “matrix” command, mask = ’@CA’
needs to be set here as well).
28.11.3. vector
vector [<name>] <Type> [out <filename> [ptrajoutput]] [<mask1>] [<mask2>]
[magnitude] [ired] [trajout <file> [trajfmt <format>] [parmout <file>]]
<Type> = { mask | principal [x|y|z] | dipole | box | center | corrplane
ucellx | ucelly | ucellz }
[<name>] Vector data set name.
549
28. cpptraj
[out <filename>] Write vector data to <filename> with format ’Vx Vy Vz Ox Oy Oz’
where V denotes vector coordinates and ’O’ denotes origin coordinates.
[ptrajoutput] Write vector data in ptraj style (Vx Vy Vz Ox Oy Oz Vx+Ox Vy+Oy
Vz+Oz). This prevents additional formatting of <filename> and is not
compatible with ’magnitude’.
[<mask1>] Atom mask, required for all types except ’box’.
[<mask2>] Second atom mask, only required for type ’mask’.
[magnitude] Store the magnitude of the vector with aspect [Mag].
[ired] Mark this vector for subsequent IRED analysis with commands ’matrix ired’
and ’ired’.
[trajout <file> [trajfmt <format>]] Write a pseudo-trajectory of the vector (2 atoms,
OXYZ=origin, VXYZ=origin+vector) to <file> with format <format>.
[parmout <file>] Write a topology corresponding to the pseudo-trajectory to
<file>.
DataSet Aspects:
[Mag] (magnitude only) Vector magnitude.
NOTE: The corrired and corr keywords are deprecated. The corrired functionality is now part of the analysis
command ’ired’. The corr functionality can now be done with any vectors and “timecorr” analysis.
This command will keep track of a vector value (and its origin) over the trajectory; the data can be referenced
for later use based on the name (which must be unique). The types of vectors that can be calculated are:
mask (Default) Store vector from center of mass of atoms in <mask1> to atoms in <mask2>.
principal [x|y|z] Store one of the principal axis vectors determined by diagonalization of the inertial matrix from
the coordinates of the atoms specified by <mask1>. The eigenvector with the largest eigenvalue is considered
“x” (i.e., the hardest axis to rotate around) and the eigenvector with the smallest eigenvalue is considered
“z”. If none of xor yor zare specified, then the “x” principal axis is stored. The reference point is the
center of mass of atoms in <mask1>.
dipole Store the dipole and center of mass of the atoms specified in <mask1>. The vector is not converted to
appropriate units, nor is the value well-defined if the atoms in the mask are not overall charge neutral.
box (No mask needed) Store the box lengths of the trajectory. The reference point is the origin (0.0, 0.0, 0.0).
center Store the center of mass of atoms in <mask1>. The reference point is the origin (0.0, 0.0, 0.0).
corrplane This defines a vector perpendicular to the (least-squares best) plane through the atoms in <mask1>.
The reference point is the center of mass of atoms in <mask1>.
ucell{x|y|z}: (No mask needed) Store specified unit cell vector.
Auto-correlation or cross-correlation functions can be calculated subsequently for vectors using the analysis com-
mand “timecorr”.
28.12. Data Set Analysis Commands
Similar to ptraj, analysis occurs after all trajectories have been read in and processed and all actions have
completed their ’print’ phase. In general, any data set created by an action with an ’out <datafile>’ command is
available for analysis. A complete list of DataSets available for analysis is shown after trajectory processing or
with the ’list dataset’ command.
Note that the ’analyze’ prefix used in ptraj is no longer necessary but can still be used for backwards compati-
bility. The exception is ’analyze matrix’ in order to differentiate it from the ’matrix’ action; users are encouraged
to use the new command diagmatrix instead.
550
28.12. Data Set Analysis Commands
28.12.1. autocorr
autocorr [name <dsetname>] <dsetarg0> [<dsetarg1> ...] [out <filename>]
[lagmax <lag>] [nocovar] [direct]
<dsetarg0> [dsetarg1> ...] Argument(s) specifying datasets to be used.
[name <dsetname>] Store results in dataset(s) named <dsetname>:X.
[out <filename>] Write results to file named <filename>.
[lagmax] Maximum lag to calculate for. If not specified all frames are used.
[nocovar] Do not calculate covariance.
[direct] Do not use FFTs to calculate correlation; this will be much slower.
This is for integer/double/float datasets only; for vectors see the ’timecorr’ command.
Calculate auto-correlation (actually auto-covariance by default) function for datasets specified by one or more
dataset arguments. The datasets must have the same # of data points.
28.12.2. avg
avg <dset0> [<dset1> ...] [torsion]
<dsetX> Data set(s) to calculate the average for.
[torsion] If the data sets are not already marked periodic (e.g. if read in via
’readdata’), treat them as periodic torsion.
Calculate the average, standard deviation, min, and max of given 1D data sets.
28.12.3. corr | ’analyze correlationcoe’
corr out <outfilename> <dataset1> [<dataset2>]
[lagmax <lag>] [nocovar] [direct]
out <outfilename> Write results to file named <outfilename>. The datasets must
have the same # of data points.
<dataset1> [<dataset2>] Data set(s) to calculate correlation for. If one dataset
or the same dataset is given twice, the auto-correlation will be
calculated, otherwise cross-correlation.
[lagmax] Maximum lag to calculate for. If not specified all frames are used.
[nocovar] Do not calculate covariance.
[direct] Do not use FFTs to calculate correlation; this will be much slower.
DataSet Aspects:
[<dataset1>] (Auto-correlation) The aspect will be the name of each of the input
data set.
[<dataset1>-<dataset2>] (Cross-correlation) The aspect will be the names of each
of the input data sets joined by a dash (’-’).
This is for integer/double/float datasets only; for vectors see the ’timecorr’ command.
Calculate the auto-correlation function for data set named <dataset1> or the cross-correlation function for data
sets named <dataset1> and <dataset2> up to <lagmax> frames (all if lagmax not specified), writing the result to
file specified by out. The two datasets must have the same # of datapoints.
551
28. cpptraj
28.12.4. crank[shaft] | ’analyze crank[shaft]’
crank {angle | distance} <dsetname1> <dsetname2> info <string>
[out <filename>] [results <resultsfile>]
angle Analyze angle data sets.
distance Analyze distance data sets.
<dsetname1> Data set to analyze.
<dsetname2> Data set to analyze.
info <string> Title the analysis <string>.
[out <filename>] Write frame-vs-bin to <filename>.
[results <resultsfile>] Write results to <resultsfile>.
Calculate crankshaft motion between two data sets.
28.12.5. crosscorr
crosscorr [name <dsetname>] <dsetarg0> [<dsetarg1> ...] [out <filename>]
[name <dsetname>] The resulting upper-triangle matrix is stored with name
<dsetname>.
<dsetarg0> [<dsetarg1> ...] Argument(s) specifying datasets to be used.
[out <filename>] Write results to file named <filename>.
Calculate the Pearson product-moment correlation coefficients between all specified datasets.
28.12.6. divergence
divergence ds1 <ds1> ds2 <ds2>
Calculate Kullback-Liebler divergence between specified data sets.
28.12.7. fft
fft <dset0> [<dset1> ...] [out <outfile>] [name <outsetname>] [dt <samp_int>]
<dset0> [<dset1 ...] Argument(s) specifying datasets to be used.
[out <outfile>] Write results to file named <outfile>.
[name <outsetname>] The resulting transform will be stored with name
<outsetname>.
[dt <samp_int>] Set the sampling interval (default is 1.0).
Perform fast Fourier transform (FFT) on specified data set(s). If more than 1 data set, they must all have the same
size.
28.12.8. hist | histogram
hist <dataset_name>[,min,max,step,bins] ...
[free <temperature>] [norm | normint] [gnu] [circular] out <filename>
[amd <amdboost_data>] [name <outputset name>]
[min <min>] [max <max>] [step <step>] [bins <bins>] [nativeout]
552

28.12. Data Set Analysis Commands
<dataset_name>[,min,max,step,bins] Dataset(s) to be histogrammed. Optionally, the
min, max, step, and/or number of bins can be specified for this dimension
after the dataset name separated by commas. It is only necessary to
specify the step or number of bins, an asterisk ’*’ indicates the value
should be calculated from available data.
[free <temperature>] If specified, estimate free energy from bin populations using
Gi=−kBTlnNi
NMax , where KBis Boltzmann’s constant, T is the temperature
specified by <temperature>, Niis the population of bin i and NMax is the
population of the most populated bin. Bins with no population are given an
artificial barrier equivalent to a population of 0.5.
[norm] If specified, normalize bin populations so the sum over all bins equals
1.0.
[nomrint] Normalize bin populations so the integral over them is 1.0.
[gnu] Internal output only; data will be gnuplot-readable, i.e. a space will be
printed after the highest order coordinate cycles.
[circular] Internal output only; data will wrap, i.e. an extra bin will be
printed before min and after max in each direction. Useful for e.g.
dihedral angles.
out <filename> Write results to file named <filename>.
[amd <amdboost_data>] Reweight bins using AMD boost energies in data set
<amdboost_data> (in KT).
[name <outputset name>] Output histogram data set name.
[tra3d <file> [trajfmt <format>]] (3D histograms only) Write a pseudo-trajectory of
the 3 data sets (1 atom) to <file> with format <format>.
[parmout <file>] (3D histograms only) Write a topology corresponding to the
pseudo-trajectory to <file>.
[min <min>] Default minimum to bin if not specified.
[max <max>] Default max to use if not specified.
[step <step>] Default step size to use if not specified.
[bins <bins>] Default bin size to use if not specified.
Create an N-dimensional histrogram, where N is the number of datasets specified. For 1-dimensional histograms
the xmgrace ’.agr’ file format is recommended; for 2-dimensional hisograms the gnuplot ’.gnu’ file format is
recommended; for all other dimensions plot formatting is disabled and the routine uses its own internal output
format; this is also enabled if gnu or circular is specified.
For example, to create a two dimensional histogram of two datasets ’phi’ and ’psi’:
dihedral phi :2@C :3@N :3@CA :3@C
dihedral psi :3@N :3@CA :3@C :4@N
hist phi,-180,180,*,72 psi,-180,180,*,72 out hist.gnu
In this case the number of bins (72) has been specified for each dimension and ’*’ has been given for the step size,
indicating it should be calculated based on min/max/bins. The following ’hist’ command is equivalent:
hist phi psi min -180 max 180 bins 72 out hist.gnu
28.12.9. integrate
integrate <dset0> [<dset1> ...] [out <outfile>] [name <outsetname>]
Integrate specified data set(s) using trapezoid integration.
553
28. cpptraj
28.12.10. kde
kde <dataset> [bandwidth <bw>] [out <file>] [name <dsname>]
[min <min>] [max <max] [step <step>] [bins <bins>] [free]
[kldiv <dsname2> [klout <outfile>]] [amd <amdboost_data>]
[bandwidth <bw>] Bandwidth to use for KDE; if not specified bandwidth will be
estimated using the normal distribution approximation.
[out <file>] Output file name.
[name <dsname>] Output data set name.
[min <min>] Minimum bin.
[max <max>] Maximum bin.
[step <step>] Bin step.
[bins <bins>] Number of bins.
[free] Calculate free energy from bin population.
[kldiv <dsname2> [klout <outfile>]] Calculate Kullback-Liebler divergence over time
of <dataset> distribution to <dsname2> distribution. Output to <outfile>
if klout specified.
[amd <amdboost_data>] Reweight histogram using AMD boost data from data set
<amdboost_data> (in KT).
Histogram 1D data set using a Gaussian kernel density estimator.
28.12.11. lifetime
lifetime [out <filename>] <dsetarg0> [ <dsetarg1> ... ]
[window <windowsize> [name <setname>]] [averageonly]
[cumulative] [cut <cutoff>] [greater | less]
[out <filename>] Write results to file named <filename>. If performing lifetime
analysis 3 files will be written: ’<filename>’, containing lifetimes;
’max.<filename>’, containing max lifetimes; and ’avg.<filename>’,
containing average lifetimes.
<dsetarg0> [<dsetarg1> ...] Argument(s) specifying datasets to be used.
[window <windowsize>] Size of window (in frames) over which to calculate
lifetimes/averages. If not specified lifetime/average will be calculated
over all sets.
[name <setname>] Store results in data sets with name <setname>.
[averageonly] Just calculate averages (no lifetime analysis).
[cumulative] Calculate cumulative lifetimes/averages over windows.
[cut <cutoff>] Cutoff to use when determining if data is ’present’ (default 0.5).
[greater] Data is considered present when above the cutoff (default).
[less] Data is considered present when below the cutoff.
DataSet Aspects:
[max] Maximum lifetimes.
[avg] Average lifetimes.
554
28.12. Data Set Analysis Commands
Perform lifetime analysis or just calculate averages over windows for specified datasets. ’Lifetime’ in this case
means ’whenever present’; data is considered present when above or below a certain cutoff (the default is greater
than 0.5, useful for hbond lifetime analysis). For example, in the case of a hydrogen bond ’series’ dataset, if a
hydrogen bond is present the set is 1, otherwise it is 0. For example, given the dataset {0 1 1 0 1 0 0 0 1 1}, the
overall average is 0.5. However, there are 3 lifetimes of lengths 2, 1, and 2 (1 1, 1, and 1 1). The max lifetime is 2
and the average lifetime is 1.67, i.e. (2 + 1 + 2) / 3 lifetimes = 1.67.
28.12.12. meltcurve
meltcurve <dset0> [<dset1> ...] [out <outfile>] [name <outsetname>] cut <cut>
Calculate melting curve from input data sets (i.e. fraction ’folded’ for each data set) assuming a simple 2-state
transition model, using data below <cut>as ’folded’ and data above <cut> as ’unfolded’.
28.12.13. spline
spline <dset0> [<dset1> ...] [out <outfile>] [meshsize <n> | meshfactor <x>]
[meshmin <mmin>] [meshmax <mmax>]
<dsetX> Data set(s) to perform splining on.
[out <outfile>] Write splined data to <outfile>.
[meshsize<n>] Size of the mesh to use for splining.
[meshfactor <x>] If meshsize is not given, use a mesh of data set size *<x>.
[meshmin <mmin>] Mesh X minimum value.
[meshmax <mmax>] Mesh X maximum value.
Cubic spline the given data sets.
28.12.14. statistics | stat | analyze statistics
stat {<name> | ALL} [shift <value>] [out <filename>] [noeout <filename>]
[ignorenv]
<name> Name of data set to analyze.
ALL analyze all data sets.
shift <value> Subtract <value> from all elements in each data set.
[out <filename>] Write analysis results to <filename> (STDOUT if not specified).
[noeout <filename>] (Type ’noe’ only) Write summary of NOE results to <filename>.
[ignorenv] (Type ’noe’ only) Ignore negative NOE violations (i.e.
shorter-than-expected distances).
Analyze angles, dihedrals, distances, and/or puckers and calculate various properties. More specific analyses can
be obtained by labelling distances/dihedrals/puckers (from e.g. the distance,dihedral,pucker commands or with
the dataset command) with the ’type <label>’ keyword:
dihedral type labels: alpha, beta, gamma, delta, epsilon, zeta, chi, c2p h1p, phi, psi, omega, pchi
distance type labels: noe
pucker type labels: pucker
For each input data set, the average, standard deviation, initial and final values will be reported. The cyclic nature
of dihedral/pucker data sets is taken into consideration when averaging.
555
28. cpptraj
28.12.14.1. Torsion Analysis
A table will be written in ASCII format showing the distribution of torsion values for each data set. More specific
information may be printed based on the set type. Values in the output marked SNB are from those defined by
Schneider, Neidle, and Berman.[500] For more information on nucleic acid torsion as pertains to RNA see further
work by Schneider et al..[501]
For example, to perform in-depth analysis on some nucleic acid dihedral angles:
dihedral g0 out dihedrals.dat :1@O5’ :1@C5’ :1@C4’ :1@C3’ type gamma
dihedral d0 out dihedrals.dat :1@C5’ :1@C4’ :1@C3’ :1@O3’ type delta
dihedral c0 out dihedrals.dat :1@O4’ :1@C1’ :1@N9 :1@C4 type chi
analyze statistics all out stat.dat
28.12.14.2. Distance Analysis
A table will be written in ASCII format showing the distribution of distance values < 6.5. If a distance is labled
as ’type noe’ a compact time series will be printed in ASCII format showing the NOE as strong, medium, or
weak. In addition the <r^-6>^(-1/6) averaged value will be reported, as well as the number of upper/lower bound
violations. If ’noeout’ is specified, a summary of these results will be written with format:
<#NOE> <R6> <Nviolation> <AvgViolation> <Name>
Where <#NOE> is an index, <R6> is the <r^-6>^(-1/6) averaged distance, <Nviolation> is the total number of
bounds violations, <AvgViolation> is the average difference from expected distance Rexp when the distance is
violated (note that if not explicitly set, Rexp is set to the upper bound when the lower bound is 0.0, or the average
of upper and lower bounds otherwise), and <Name> is the data set legend.
28.12.14.3. Pucker Analysis
A table will be written in ASCII format showing the distribution of pucker phases for each data set.
28.13. Coordinate Analysis Commands
These analyses operate specifically on COORDS data sets. If no COORDS data set is specified, a default one
will be automatically created from frames read in by ’trajin’ statements.
28.13.1. cluster
cluster [crdset <crd set>]
Algorithms:
[hieragglo [epsilon <e>] [clusters <n>] [linkage|averagelinkage|complete]]
[dbscan minpoints <n> epsilon <e> [sievetoframe] [kdist <k>]]
Distance options:
{[[rms | srmsd] [<mask>] [mass] [nofit]] | [dme [<mask>]] | [data <dset0>[,<dset1>,...]]}
[sieve <#> [random [sieveseed <#>]]] [loadpairdist] [savepairdist] [pairdist <file>]
Output options:
[out <cnumvtime>] [gracecolor] [summary <summaryfile>] [info <infofile>]
[summaryhalf <halffile>] [splitframe <frame list>]
[cpopvtime <file> [normpop | normframe]] [lifetime]
Coordinate output options:
[ clusterout <trajfileprefix> [clusterfmt <trajformat>] ]
[ singlerepout <trajfilename> [singlerepfmt <trajformat>] ]
[ repout <repprefix> [repfmt <repfmt>] [repframe] ]
556
28.13. Coordinate Analysis Commands
[crdset <crd set>] Name of previously generated COORDS DataSet. If not specified
the default COORDS set will be used.
Algorithms:
hieragglo (Default) Use hierarchical agglomerative (bottom-up) approach.
[epsilon <e>] Finish clustering when minimum distance between clusters is
greater than <e>.
[clusters <n>] Finish clustering when <n> clusters remain.
[linkage] single-linkage; use the shortest distance between members of two
clusters.
[averagelinkage] average-linkage (default); use the average distance between
members of two clusters.
[complete] complete-linkage; use the maximum distance between members of two
clusters.
dbscan Use DBSCAN clustering algorithm of Ester et al.[502]
minpoints <n> Minimum number of points required to form a cluster.
epsilon <e> Distance cutoff between points for forming a cluster.
[sievetoframe] When restoring sieved frames, compare frame to every frame in
a cluster instead of the centroid; slower but more accurate.
[kdist <k>] Generate K-dist plot for help in determining DBSCAN parameters
(see below).
Distance Metric Options:
[rms | srmsd[<mask>]] (Default rms) Distance between frames calculated via
best-fit coordinate RMSD using atoms in <mask>. If srmsd specified use
symmetry-corrected RMSD (see 28.10.48 on page 545).
[mass] Mass-weight the RMSD.
[nofit] Do not fit structures onto each other prior to calculating RMSD.
dme [<mask>] Distance between frames calculated using distance-RMSD (aka DME,
distrmsd) using atoms in <mask>.
[data <dset0>[,<dset1>,...] Distance between frames calculated using specified
DataSet(s).
[sieve <#>] Perform clustering only for every <#> frame. After clustering, all
other frames will be added to clusters based on how close they are to
cluster centroids.
[random] When sieve is specified, select initial frames to cluster randomly.
[sieveseed] Seed for random sieving; if not set the wallclock time will be used.
[pairdist <file>] File to use for loading/saving pairwise distances.
[loadpairdist] Load pairwise distances from <file> (CpptrajPairDist if pairdist
not specified).
[savepairdist] Save pairwise distances from <file> (CpptrajPairDist if pairdist
not specified). NOTE: If sieving was performed only the calculated
distances are saved.
Output Options:
[out <cnumvtime>] Write cluster # vs frame to <cnumvtime>. Algorithms that
calculate noise (e.g. DBSCAN) will assign noise points a value of -1.
557
28. cpptraj
[gracecolor] Instead of cluster # vs frame, write cluster# + 1 (corresponding to
colors used by XMGRACE) vs frame. Cluster #s larger than 15 are given the
same color. Algorithms that calculate noise (e.g. DBSCAN) will assign
noise points a color of 0 (blank).
[summary <summaryfile>] Summarize each cluster with format ’#Cluster Frames Frac
AvgDist Stdev Centroid AvgCDist’:
#Cluster Cluster number starting from 0 (0 is most populated).
Frames # of frames in cluster.
Frac Size of cluster as fraction of total trajectory.
AvgDist Average distance between points in the cluster.
Stdev Standard deviation of points in the cluster.
Centroid Frame # of structure in cluster that has the lowest cumulative
distance to every other point.
AvgCDist Average distance of this cluster to every other cluster.
[info <infofile>] Write ptraj-like cluster information to <infofile>. This file
has format:
#Clustering: <X> clusters <N> frames
#Cluster <I> has average-distance-to-centroid <AVG>
...
#DBI: <DBI>
<Line for cluster 0>
...
#Representative frames: <representative frame list>
Where <X> is the number of clusters, <N> is the number of frames clustered,
<I> ranges from 0 to <X>-1, <AVG> is the average distance of all frames in
that cluster to the centroid, <DBI> is the Davies-Bouldin Index (a measure
of clustering merit; smaller DBI values are better), and <representative
frame list> contains the frame # of the representative frame (i.e. closest
to the centroid) for each cluster. Each cluster has a line made up of
characters (one for each frame) where ’.’ means ’not in cluster’ and ’X’
means ’in cluster’.
[summaryhalf <halffile>] Summarize each cluster based on which of its frames fall
in portions of the trajectory specified by splitframe with format ’#Cluster
Total Frac C# Color NumInX ... FracX ... FirstX’:
#Cluster Cluster number starting from 0 (0 is most populated).
Total # of frames in cluster.
Frac Size of cluster as a fraction of the total trajectory.
C# Grace color number.
Color Text description of the color (based on standard XMGRACE coloring).
NumInX Number of frames in Xth portion of the trajectory.
FracX Fraction of frames in Xth portion of the trajectory.
FirstX Frame in the Xth portion of the trajectory where the cluster is first
observed.
[splitframe <frame>] For summaryhalf, frame or comma-separated list of frames to
split the trajectory at.
[cpopvtime <file> [normpop | normframe]] Write cluster population vs time to <file>;
if normpop specified normalize each cluster to 1.0; if normframe specified
normalize cluster populations by number of frames.
Coordinate Output Options:
558
28.13. Coordinate Analysis Commands
clusterout <trajfileprefix> Write frames in each cluster to files named
<trajfileprefix>.cX, where X is the cluster number.
clusterfmt <trajformat> Format keyword for clusterout (default Amber Trajectory).
singlerepout <trajfilename> Write all representative frames to single trajectory
named <trajfilename>.
singlerepfmt <trajformat> Format keyword for singlerepout (default Amber
Trajectory).
repout <repprefix> Write representative frames to separate files named
<repprefix>.X.<ext>, where X is the cluster number and <ext> is a
format-specific filename extension.
repfmt <trajformat> Format keyword for repout (default Amber Trajectory).
DataSet Aspects:
[Pop] Cluster population vs time; index corresponds to cluster number.
Note cluster population vs time data sets are not generated until the analysis has been run.
Cluster input frames using the specified clustering algorithm and distance metric. In order to speed up clus-
tering of large trajectories, the sieve keyword can be used. In addition, subsequent clustering calculations can be
sped up by writing/reading calculated pair distances between each frame to/from a file specified by pairdist (or
“CpptrajPairDist” if pairdist not specified).
Example: cluster on a specific distance:
distance endToEnd :1 :255
cluster data endToEnd clusters 10 epsilon 3.0 summary summary.dat info info.dat
Example: cluster on the CA atoms of residues 2-10 using average-linkage, stopping when either 3 clusters are
reached or the minimum distance between clusters is 4.0, writing the cluster number vs time to “cnumvtime.dat”
and a summary of each cluster to “avg.summary.dat”:
cluster C1 :2-10 clusters 3 epsilon 4.0 out cnumvtime.dat summary avg.summary.dat
Hints for setting DBSCAN parameters with ’kdist’
It is not always obvious what parameters to set for DBSCAN. You can get a rough idea of what to set ’mindist’
and ’epsilon’ to by generating a so-called "K-dist" plot with the ’kidst <k>’ option. The K-dist plot shows for
each point (X axis) the Kth farthest distance (Y axis), sorted by decreasing distance. You supply the same
distance metric and sieve parameters you want to use for the actual clustering, but nothing else. For example:
cluster C0 dbscan kdist 4 rms :1-4@CA sieve 10 loadpairdist pairdist CpptrajPairDist
The K-dist plot will be named Kdist.<k>.dat (in this case it would be Kdist.4.dat). The K-dist plot usually looks
like a curve with an initially steep slope that gradually decreases. Around where the initial part of the curve starts
to flatten out (indicating an increas in density) is around where epsilon should be set; minpoints is set to whatever
<k> was. It has been suggested that the shape of the K-dist curve doesn’t change too much after Kdist=4, but users
are encouraged to experiment.
The CpptrajPairDist file format
The CpptrajPairDist file is binary; the exact format depends on what version of cpptraj generated the file (since
earlier versions had no concept of ’sieve’). The CpptrajPairDist file starts with a 4 byte header containing the
characters ’C’ ’T’ ’M’ followed by the version number. A quick way to figure out the version is to use the linux
’od’ command to output the first 4 bytes as hexadecimal, e.g.:
559

28. cpptraj
$ od -t x1 -N 4 CpptrajPairDist 0000000 43 54 4d 02
So the CpptrajPairDist file version in the above example is 2.
The next few numbers describe the matrix size and depend on the version.
Version 0: Two 4-byte integers: # of rows and # of elements.
Version 1: Two 8-byte unsigned integers (equivalent to size_t on most systems): # of rows and # of elements.
Version 2: Three 8 byte unsigned integers: original # of rows, actual # of rows, and sieve value.
This is followed by the actual matrix data, stored as a single array of floats (4 bytes). For versions 1 and 2 the
number of elements is explicitly stored. For version 2, to calculate the number of matrix elements you need to
read:
Elements = (actual_rows *(actual_rows - 1)) / 2
The cluster pair-distance matrix is an upper-right triangle matrix without the diagonal (in row-major order), so the
first element is the distance between elements 0 and 1, the second is between elements 0 and 2, etc.
In version 2 files, if the sieve value is greater than 1 that means original_rows > actual_rows and there is an
additional array of characters original_nrows long, with ’T’ if the row is being ignored (i.e. it was sieved out) and
’F’ if the row is active (i.e. is active in the actual pairwise-distance matrix).
The code that cpptraj uses to read in CpptrajPairDist files is in ClusterMatrix::LoadFile() (ClusterMatrix.cpp).
28.13.2. crdfluct
[crdset <crd set>] [<mask>] [out <filename>] [window <size>] [bfactor]
Calculate atomic positional fluctuations for atoms in <mask> over windows of size <size>. If bfactor is specified,
the fluctuations are weighted by 8
3π2(similar but not necessarily equivalent to crystallographic B-factor calcula-
tion). Units are Å, or Å2x8
3π2if bfactor specified.
28.13.3. rmsavgcorr
rmsavgcorr [crdset <crd set>] [<name>] [<mask>] [out <filename>] [mass]
[stop <maxwindow>] [offset <offset>]
{reference <ref file> parm <parmfile> | first}
[crdset <crd set>] COORDS data set to use (if not specified the default COORDS set
will be used).
[<name>] Output data set name.
[<mask>] Atoms to calculate RMS average correlation for.
[out <filename>] Output filename.
[mass] Mass weight the RMSD calculation.
[stop <maxwindow>] Only calculate RMS average correlation up to <maxwindow>.
[offset <offset>] Skip every <offset> windows in calculation.
[first] Use first averaged frame as reference for each window (default).
[reference <ref file> [parm <parmfile>] Use reference file (with specified parm) as
reference for each window.
Calculate correlation of RMSD by calculating the average RMSD of running-averaged coordinates over
increasing window sizes. Output has format:
<WindowSize> <AvgRmsd>
560

28.13. Coordinate Analysis Commands
The first entry has window size of 1, and so is just the average RMSD of the structure to the first frame or the
specified reference. The second entry has a window size of two, so it is the average RMSD of all frames averaged
over two adjacent windows to the average of the first two frames (for first) or the specified reference, and so on.
Average RMSDs will be calculated up to the number of frames minus 1 or the value specified by stop, whichever
is lower. To calculate mass-weighted RMSD specify mass. Note that to reduce memory costs it can be useful to
strip all coordinates not involved in the RMS fit from the system prior to specifying ’rmsavgcorr’. For example, to
calculate the correlation of C-alpha RMSD of residues 2 to 12:
strip !(:2-12@CA)
rmsavgcorr out rmscorr.dat
28.13.4. rms2d | 2drms
rms2d [crdset <crd set>] [<name>] [<mask>] [out <filename>]
[dme | nofit | srmsd] [mass]
[reftraj <traj> [parm <parmname> | parmindex <parm#>] [<refmask>]]
[corr <corrfilename>]
[crdset <crd set>] Name of previously generated COORDS DataSet. If not specified
the default COORDS set will be used.
[<mask>] Mask of atoms to calculate 2D-RMSD for. Default is all atoms.
[out <filename>] Write results to <filename>.
[dme] Calculate distance RMSD instead of coordinate RMSD; this is substantially
slower.
[nofit] Calculate RMSD without fitting.
[srmsd] Calculate symmetry-corrected RMSD (see 28.10.48 on page 545).
[mass] Mass-weight RMSD.
[reftraj <traj>] Calculate 2D RMSD to frames in trajectory <traj> instead.
[parm <parmname> | parmindex <#>] Topology to use for <traj>; only useful in
conjunction with reftraj.
[<refmask>] Mask of atoms in reference; only useful in conjunction with reftraj.
[corr <corrfilename>] Calculate pseudo-auto-correlation Cfor 2D-RMSD as
C(i) = ∑j<N−i
j=0exp(−RMSD(j,j+i))
N−i, where iis the lag, jis the frame #, and Nis
the total number of frames. An exponential is used to weight the RMSD
since 0.0 RMSD is equivalent to correlation of 1.0. This can only be done
if reftraj is not used.
DataSet Aspects:
[Corr] (corr only) Pseudo-auto-correlation.
Note: For backwards compatibility with ptraj the command ’2drms’ will also work.
Calculate the RMSD of each frame in <crd set> (the default COORDS set if none specified) to each other
frame. This creates an upper-triangle matrix named <name> (or a full matrix if reftraj specified). The output of
the rms2d command can be best-viewed using gnuplot; a gnuplot-formatted file can be produced by giving
<filename> a ’.gnu’ extension. For example, to calculate the RMSD of non-hydrogen atoms of each frame in
trajectory “test.nc” to each other frame, writing to a gnuplot-viewable file “test.2drms.gnu”:
trajin test.nc
rms2d !(@H=) rmsout test.2drms.gnu
To calculate the RMSD of atoms named CA of each frame in trajectory “test.nc” to each frame in “ref.nc”
(assuming test.nc and ref.nc are using the default topology file):
trajin test.nc
rms2d @CA rmsout test.2drms.gnu reftraj ref.nc
561
28. cpptraj
28.14. Matrix and Vector Analysis
28.14.1. diagmatrix | analyze matrix
diagmatrix <name> [out <filename>] [thermo [outthermo <filename>]]
[vecs <#>] [name <modesname>] [reduce]
[nmwiz [nmwizvecs <#>] [nmwizfile <filename>]]
<name> Name of symmetric matrix to diagonalize.
[out <filename>] Write results to <filename>.
[thermo [outthermo <filename>]] Mass-weighted covariance (mwcovar) matrix only.
Calculate entropy, heat capacity, and internal energy from the structure of
a molecule (average coordinates, see above) and its vibrational frequencies
using standard statistical mechanical formulas for an ideal gas. Results
are written to <filename> if specified, otherwise results are written to
STDOUT. Note that this implicitly converts calculated eigenvalues to
frequencies.
[vecs <#>] Number of eigenvectors to calculate. Default is 0, which is only
allowed when ’thermo’ is specified.
[name <modesname>] Store resulting modes data set with name <modesname>.
[reduce] Covariance (covar/mwcovar/distcovar) matrices only. For coordinate
covariance (covar/mwcovar) matrices, each eigenvector element is reduced
via Ei = Eix^2 + Eiy^2 + Eiz^2. For distance covariance (distcovar) the
eigenvectors are reduced by taking the sum of the squares of each row. See
Abseher & Nilges, JMB 1998, 279, 911-920 for further details. They may be
used to compare results from PCA in distance space with those from PCA in
cartesian-coordinate space.
[nmwiz [nmwizvecs <#>] [nmwizfile <filename>]] Write modes to .nmd format file for
viewing with NMWiz[503]. See
http://prody.csb.pitt.edu/tutorials/nmwiz_tutorial/ for further details.
’nmwizvecs <#>’ specifies the number of modes to write, starting with the
lowest-frequency mode (default is 20). ’nmwizfile <filename>’ provides the
file name (default is ’out.nmd’).
Calculate eigenvectors and eigenvalues for the specified symmetric matrix. This is followed by Principal Com-
ponent Analysis (in cartesian coordinate space in the case of a covariance matrix or in distance space in the case
of a distance-covariance matrix), or Quasiharmonic Analysis (in the case of a mass-weighted covariance matrix).
Diagonalization of distance, correlation, idea, and ired matrices are also possible. Eigenvalues are given in cm−1
in the case of a mass-weighted covariance matrix and in the units of the matrix elements in all other cases. In the
case of a mass-weighted covariance matrix, the eigenvectors are mass-weighted.
Results may include average coordinates (in the case of covar, mwcovar, correl), average distances (in the case
of distcovar), main diagonal elements (in the case of idea and ired), eigenvalues, and eigenvectors.
28.14.2. ired
ired [relax freq <MHz> [NHdist <distnh>]] [order <order>]
tstep <tstep> tcorr <tcorr> out <filename> [norm] [drct]
modes <modesname> [beg <ibeg> end <iend>]
[relax freq <MHz> [NHdist <distnh>]] Should only be used when ired vectors represent
N-H bonds; calculate correlation times τmfor each eigenmode and relaxation
rates and NOEs for each N-H vector. ’freq <MHz>’ (required) is the Lamor
frequency of the measurement. ’NHdist <distnh>’ specifies the length of
the NH bond in Angstroms (default is 1.02).
562
28.14. Matrix and Vector Analysis
tstep <tstep> Time between snapshots in ps (default 1.0).
tcorr <tcorr> Maximum time to calculate correlation functions for in ps (default
10000.0).
out <filename> Name of file to write output to.
[norm] Normalize all correlation functions, i.e., Cl(t=0) = Pl(t=0) = 1.0.
[drct] Use the direct method to calculate correlations instead of FFT; this will
be much slower.
modes <modesname> Name of previously calculated eigenmodes corresponding to
IRED vectors (either data set or data file name).
[beg <ibeg> end <iend>] If <modesname> is from a file, beginning and end eigenmode
to read.
Peform IRED[499] analysis on previously defined IRED vectors (see vector ired) using eigenmodes calculated
from those vectors with a previous ’diagmatrix’ command. The number of defined IRED vectors should match
the number of eigenmodes calculated. Autocorrelation functions for each mode and the corresponding correlation
time τmwill be written to filename.cmt. Autocorrelation functions for each vector will be written to filename.cjt.
Relaxation rates and NOEs for each N-H vector will be written to <filename> or added to the the end of the standard
output. For the calculation of τmthe normalized correlation functions and only the first third of the analyzed time
steps will be used. For further information on the convergence of correlation functions see [Schneider, Brünger,
Nilges, J. Mol. Biol. 285, 727 (1999)].
28.14.3. modes | analyze modes
modes {fluct|displ|corr|trajout <name> [<parm arg>]} name <modesname>
[beg <beg>] [end <end>] [bose] [factor <factor>]
[out <outfile>] [maskp <mask1> <mask2> [...]]
Options for ’trajout’:
[[trajoutfmt <format>] [trajoutmask <mask>]
[pcmin <pcmin>] [pcmax <pcmax>] [trajmode <mode>]]
Types of Calculations:
fluct rms fluctuations (X, Y, Z, and total) for each atom across specified
normal modes.
displ displacement of cartesian coordinates in the X, Y and Z directions for
each atom across specified normal modes.
corr dipole-dipole correlation functions. Results vector usage: [corr(pair1,
vec1), ..., corr(pair1, vecN), ..., corr(pairM, vec1), ..., corr(pairM,
vecN)
trajout <name> [<parm arg>] Create a pseudo-trajectory named <name> of a given
mode from the average structure. If <parm_arg> is specified (parm <name>,
parmindex <parm#>) use specified topology for output trajectory (default
first topology).
Options:
name <modesname> Previously read-in or generated Modes data set name.
[beg <beg>] [end <end>] If modes taken from datafile, beginning and end modes to
read. Default for beg is 7 (which skips the first 6 zero-frequency modes
in the case of a normal mode analysis); for end it is 50.
[bose] Use quantum (Bose) statistics in populating the modes.
[factor <factor>] multiplicative constant on the amplitude of displacement,
default 1.0.
563
28. cpptraj
[out <outfile>] File to write data results to. If not given results are written
to STDOUT.
[maskp <mask1> <mask2> [...]] If corr, pairs of atom masks (mask1,mask2; each
pair preceded by “maskp” and each mask defining only a single atom) have to
be given that specify the atoms for which the correlation functions are
desired.
[trajoutfmt <format>] Output trajectory format.
[trajoutmask <mask>] Mask of atoms that correspond to Modes.
[pcmin <pcmin>] Lowest principal component projection value to use for output
trajectory.
[pcmax <pcmax>] Highest principal component projection value to use for output
trajectory.
[trajmode <mode>] Mode to generate pseudo-trajectory for.
Analyze previously calculated eigenmodes obtained from principal component analyses (of covariance matrices)
or quasiharmonic analyses (diagmatrix analysis command). Modes are taken from a previously generated data set
(i.e. from diagmatrix) or read in from a data file with readdata. By default, classical (Boltzmann) statistics are
used in populating the modes. A possible series of commands would be “matrix covar |mwcovar ...” to generate
the matrix, “diagmatrix ...” to calculate the modes, and, finally, “modes ...”.
For example, to write a pseudo-trajectory of the first principal component from principal component value of
-100 to 100 for a previously calculated Modes data set corresponding to heavy atoms (no hydrogens) for residues
1 to 36:
parm ../GAAC.nowat.parm7
readdata evecs.dat
runanalysis modes name evecs.dat trajout test.nc trajoutfmt netcdf \
trajoutmask :1-36&!@H= pcmin -100 pcmax 100 tmode 1
28.14.4. multihist
multihist [out <filename>] [name <dsname>] [norm | normint]
[min <min>] [max <max>] [step <step>] [bins <bins>]
<dsetarg0> [ <dsetarg1> ... ]
Histogram each data set separately in 1D.
28.14.5. remlog
remlog {<remlog dataset> | <remlog filename>} [out <filename> [crdidx | repidx]]
[stats [statsout <file>] [printtrips] [reptime <file>]]
<remlog dataset> Previously read-in REM log data.
[out <filename> Write replica/coordinate index versus time to <filename>.
crdidx Print coordinate index vs exchange; output sets contain replica
indices.
repidx Print replica index vs exchange; output sets contain coordinate
indices.
stats [statsout <file>] Calculate round-trip statistics and optionally write to
<file>.
printtrips Print details of each individual round trip to STDOUT.
564
28.14. Matrix and Vector Analysis
reptime <file> Write time spent at each replica to <file>.
Analyze previously read in T-REMD/H-REMD replica log data. Statistics calculated include round-trip time,
which is the time needed for a coordinate set to travel from the lowest replica to the highest and back, and the
number of exchanges each coordinate spent at each replica.
28.14.6. timecorr | analyze timecorr
timecorr vec1 <vecname1> [vec2 <vecname2>] out <filename>
[order <order>] [tstep <tstep>] [tcorr <tcorr>]
[dplr] [norm] [drct] [dplrout <dplrfile>] [ptrajformat]
vec1 <vecname1> [vec2 <vecname2>] Vector(s) on which to operate. By default the
auto-correlation function will be calculated if one vector is specified,
and the cross-correlation function will be calculated if two vectors are
specified.
out <filename> Name of file to write output to.
[order <order>] Order of Legendre polynomials to use; default 2.
[tstep <tstep>] Time between snapshots (default 1.0).
[tcorr <tcorr>] Maximum time to calculate correlation functions for (default
10000.0).
[dplr] Output correlation functions Cl≡<Pl/(r(0)3r(τ)3)>and <1/(r(0)3r(τ)3)>in
addition to the Plcorrelation function.
[norm] Normalize all correlation functions, i.e., Cl(t=0) = Pl(t=0) = 1.0.
[drct] Use the direct method to calculate correlations instead of FFT; this will
be much slower.
[dplrout] (dplr only) Write extra information for each vector related to dplr
option to <dplrfile>.
[ptrajformat] Write output in ptraj style (prevents use of data formatting
options).
DataSet Aspects:
[P] P<order> correlation function.
[C] C<order> correlation function (dplr only).
[R3R3] <1/(r(0)3r(t)3> correlation function (dplr only).
[R] (_TC_DIPOLAR_) Average magnitude (<R>).
[RRIG] (_TC_DIPOLAR_) Sqrt( <R^2> ).
[R3] (_TC_DIPOLAR_) <1/R^3>.
[R6] (_TC_DIPOLAR_) <1/R^6>.
[Name] (_TC_DIPOLAR_) Vector name.
Calculate time auto/cross-correlation functions for vectors using spherical harmonics theory. The norm keyword
will normalize the resulting correlation functions. Note that if dplr is specified, a new global data set named
_TC_DIPOLAR_ will be created, containing extra data for each vector analyzed with a ’timecorr dplr’ command.
565
28. cpptraj
28.14.7. vectormath
vectormath vec1 <vecname1> vec2 <vecname2> [out <filename>] [norm] [name <setname>]
[ dotproduct | dotangle | crossproduct ]
vec1 <vecname1> vec2 <vecname2> Vector(s) on which to operate.
[out <filename>] Name of file to write output to.
[dotproduct] (Default) Calculate the dot-product of the two vectors.
[dotangle] Calculate angle from dot-product between the two vectors; vectors
will be normalized.
[crossproduct] Calculate cross-product of the two vectors.
[norm] Normalize the vectors; this will affect any subsequent calculations with
the vectors. This is turned on automatically if dotangle specified.
Calculate dot product, angle from dot product (degrees), or cross product for specified vectors. Note that norm
normalizes the vectors themselves; the vectors will remain normalized for subsequent calculations or output.
28.15. Matrix/Vector Analysis Examples
Please note that in most cases the trajectory needs to be aligned against a reference structure to obtain meaningful
results. Use the “rms” command for this.
28.15.1. Calculating and analyzing matrices and modes
As a simple example, a distance matrix of all CA atoms is generated and output to distmat.dat.
matrix dist @CA out distmat.dat
In the following, a mass-weighted covariance matrix of all atoms is generated and stored internally with the name
mwcvmat (as well as output). Subsequently, the matrix is analyzed by performing a quasiharmonic analysis,
whereby 5 eigenvectors and eigenvalues are calculated and output to evecs.dat.
matrix mwcovar name mwcvmat out mwcvmat.dat
diagmatrix mwcvmat out evecs.dat vecs 5
Alternatively, the eigenvectors can be stored internally and used for calculating rms fluctuations or displacements
of cartesian coordinates.
diagmatrix mwcvmat name evecs vecs 5
modes fluct out rmsfluct.dat name evecs beg 1 end 3
modes displ out resdispl.dat name evecs beg 1 end 3
Finally, dipole-dipole correlation functions for modes obtained from principle component analysis or
quasiharmonic analysis can be computed.
modes corr out cffromvec.dat name evecs beg 1 end 3 ...
... maskp @1 @2 maskp @3 @4 maskp @5 @6
28.15.2. Projecting snapshots onto modes
After calculating modes, snapshots can be projected onto these in an additional pass through the trajectory.
Here, snapshots are projected onto modes 1 and 2 read from evecs.dat (which have been obtained by the "matrix
mwcovar", "diagmatrix" commands from above).
projection modes evecs.dat out project.dat beg 1 end 2
566
28.15. Matrix/Vector Analysis Examples
28.15.3. Calculating time correlation functions
Vectors between atoms 5 and 6 as well as 7 and 8 are calculated below, for which auto and cross time
correlation functions are obtained.
vector v0 @5 @6
vector v1 @7 @8
timecorr vec1 v0 tstep 1.0 tcorr 100.0 out v0.out order 2
timecorr vec1 v1 tstep 1.0 tcorr 100.0 out v1.out order 2
timecorr vec1 v0 vec2 v1 tstep 1.0 tcorr 100.0 out v0_v1.out order 2
Similarly, a vector perpendicular to the plane through atoms 18, 19, and 20 is obtained and further analyzed.
vector v2 @18,@19,@20 corrplane
timecorr vec1 v3 tstep 1.0 tcorr 100.0 out v2.out order 2
28.15.4. The Cpptraj IRED Approach
In cpptraj, IRED analysis[499] can now be performed in one pass (as opposed to the two passes previously
required in ptraj). First, IRED vectors are defined (in this case for N-H bonds) and an IRED matrix is calculated
and analyzed. The IRED vectors are then projected onto the calculated IRED eigenvectors in the ired analysis
command to calculate the time correlation functions. If the parameter order is specified, order parameters based
on IRED are calculated. By specifying the relax parameter, relaxation rates and NOEs can be obtained for each
N-H vector. Note that the order of the IRED matrix should be the same as the one specified for IRED analysis.
# Define N-H IRED vectors
vector v0 @5 ired @6
vector v1 @7 ired @8
...
vector v5 @15 ired @16
vector v6 @17 ired @18
# Define IRED matrix using all previous IRED vectors
matrix ired name matired order 2
# Diagonalize IRED matrix
diagmatrix matired vecs 6 out ired.vec name ired.vec
# Perform IRED analysis
ired relax NHdist 1.02 freq 500.0 tstep 1.0 tcorr 100.0 out v0.out noefile noe order 2
567
29. MMPBSA.py
Note: Amber now has three(!) scripts to carry out MM-PBSA-like calculations. The one described here (the
“python” version) is more recent, generally simpler to use, and has a more active support community for answering
questions. The amberlite code (described in Chapter 39) is more limited, and focused on protein-ligand interac-
tions; it is a great place for users new to AmberTools to begin. The version described in Chapter 30 (the “perl”
version) continues to be updated, and has some specialized features. Most new users should try the python or
amberlite versions first.
None of these should be considered as a “black-box”, and users should be familiar with Amber before attempting
these sorts of calculations. These scripts automate a series of calculations, and cannot trap all the types of errors
that might occur. You should be sure that you know how to carry out an MM-PBSA calculation “by hand” (i.e.,
without using the scripts); if you don’t understand in detail what is going on, you will have no good reason to trust
the results.
29.1. Introduction
This section describes the use of the python script MMPBSA.py [504] to perform Molecular Mechanics / Pois-
son Boltzmann (or Generalized Born) Surface Area (MM/PB(GB)SA) calculations. This is a post-processing
method in which representative snapshots from an ensemble of conformations are used to calculate the free energy
change between two states (typically a bound and free state of a receptor and ligand). Free energy differences are
calculated by combining the so-called gas phase energy contributions that are independent of the chosen solvent
model as well as solvation free energy components (both polar and non-polar) calculated from an implicit solvent
model for each species. Entropy contributions to the total free energy may be added as a further refinement. The
entropy calculations can be done in either a HCT Generalized Born solvation model [123,132] or in the gas phase
using a mmpbsa_py_nabnmode program written in the nab programming language, or via the quasi-harmonic
approximation in ptraj.
The gas phase free energy contributions are calculated by sander within the Amber program suite or
mmpbsa_py_energy within the AmberTools package according to the force field with which the topology files were
created. The solvation free energy contributions may be further decomposed into an electrostatic and hydrophobic
contribution. The electrostatic portion is calculated using the Poisson Boltzmann (PB) equation, the Generalized
Born method, or the Reference Interaction Site Model (RISM). The PB equation is solved numerically by either the
pbsa program included with AmberTools or by the Adaptive Poisson Boltzmann Solver (APBS) program through
the iAPBS interface[505] with Amber (for more information, see http://www.poissonboltzmann.org/apbs). The
hydrophobic contribution is approximated by the LCPO method [108] implemented within sander or the molsurf
method as implemented in cpptraj.
MM/PB(GB)SA typically employs the approximation that the configurational space explored by the systems are
very similar between the bound and unbound states, so every snapshot for each species is extracted from the same
trajectory file, although MMPBSA.py will accept separate trajectory files for each species. Furthermore, explicit
solvent and ions are stripped from the trajectory file(s) to hasten convergence by preventing solvent-solvent inter-
actions from dominating the energy terms. A more detailed explanation of the theory can be found in Srinivasan,
et. al.[506] You may also wish to refer to reviews summarizing many of the applications of this model,[507,508]
as well as to papers describing some of its applications.[509–513]
Many popular types of MM/PBSA calculations can be performed using just AmberTools, while some of the
more advanced functionality requires the sander program from Amber.
569
29. MMPBSA.py
29.2. Preparing for an MM/PB(GB)SA calculation
MM/PB(GB)SA is often a very useful tool for obtaining relative free energies of binding when comparing
ligands. Perhaps its biggest advantage is that it is very computationally inexpensive compared to other free energy
calculations, such as TI or FEP. Following the advice given below before any MD simulations are run will make
running MMPBSA.py successfully much easier.
29.2.1. Building Topology Files
MMPBSA.py requires at least three, usually four, compatible topology files. If you plan on running MD in
explicit water, you will need a solvated topology file of the entire complex, and you will always need a topology
for the entire complex, one for just the receptor, and a final one for just the ligand. Moreover, they must be
compatible with one another (i.e., each must have the same charges for the same atoms, the same force field must
be used for all three of the required prmtops, and they must have the same PBRadii set, see LEaP for description
of pbradii). Thus, it is strongly advised that all prmtop files are created with the same script. We run through a
typical example here, though leave some of the details to other sections and other tutorials. We will start with a
system that is a large protein binding a small, one-residue ligand. We will assume that a docked structure has
already been obtained as a PDB and that two separate PDBs have been constructed, receptor.pdb and LIG.pdb.
We will also assume that a MOL2 file was created from LIG.pdb, residue name ’LIG’, was built with charges
already derived (either through antechamber or some other method), and an frcmod file for ’LIG’ that contains all
missing parameters have already been created. Furthermore, we will use the FF14SB force field for this example.
A sample script file called, for instance, mmpbsa_leap.in, is shown below
source leaprc.ff14SB
loadAmberParams LIG.frcmod
LIG = loadMol2 LIG.mol2
receptor = loadPDB receptor.pdb
complex = combine {receptor LIG}
set default PBRadii mbondi2
saveAmberParm LIG lig.top lig.crd
saveAmberParm receptor rec.top rec.crd
saveAmberParm complex com.top com.crd
solvateOct complex TIP3PBOX 15.0
saveAmberParm complex com_solvated.top com_solvated.crd
quit
The above script, when executed using the command
tleap -f mmpbsa_leap.in
should produce four prmtop files, lig.top, rec.top, com.top, and com_solvated.top. Topology files created in this
manner will make running MMPBSA.py far easier. This is, of course, the simplest case, but we briefly describe
some other examples. MMPBSA.py will guess the mask for both the receptor and ligand inside the complex
topology file as long as the ligand residues appear continuously in the complex topology file. Therefore, if you’re
adding two ligands, combine them consecutively in the complex (rather than one residue at the beginning and one
at the end, for instance). If you have done this, you should allow MMPBSA.py to guess the masks since it provides
a good error check.
29.2.2. Using ante-MMPBSA.py
ante-MMPBSA.py is a python utility that allows you to create compatible complex, receptor, and ligand
topology files from a solvated topology file, or compatible receptor and ligand topology files from a complex
topology file. The usage statement for ante-MMPBSA.py is
570
29.2. Preparing for an MM/PB(GB)SA calculation
Usage: ante-MMPBSA.py [options]
Options:
-h, --help show this help message and exit
-p PRMTOP, --prmtop=PRMTOP
Input "dry" complex topology or solvated complex
topology
-c COMPLEX, --complex-prmtop=COMPLEX
Complex topology file created by stripping PRMTOP of
solvent
-r RECEPTOR, --receptor-prmtop=RECEPTOR
Receptor topology file created by stripping COMPLEX of
ligand
-l LIGAND, --ligand-prmtop=LIGAND
Ligand topology file created by stripping COMPLEX of
receptor
-s STRIP_MASK, --strip-mask=STRIP_MASK
Amber mask of atoms needed to be stripped from PRMTOP
to make the COMPLEX topology file
-m RECEPTOR_MASK, --receptor-mask=RECEPTOR_MASK
Amber mask of atoms needed to be stripped from COMPLEX
to create RECEPTOR. Cannot specify with -n/--ligand-
mask
-n LIGAND_MASK, --ligand-mask=LIGAND_MASK
Amber mask of atoms needed to be stripped from COMPLEX
to create LIGAND. Cannot specify with -m/--receptor-
mask
--radii=RADIUS_SET PB/GB Radius set to set in the generated topology
files. This is equivalent to "set PBRadii <radius>" in
LEaP. Options are bondi, mbondi2, mbondi3, amber6, and
mbondi and the default is to use the existing radii.
The input prmtop is required. It can either be a solvated, complex topology file or a complex topology file with
no solvent present. If a strip_mask is given, you must also provide a complex topology file, and that complex
topology file will be created by stripping strip_mask from the input prmtop. If you wish to create receptor and
ligand topology files (you must create both or neither), provide BOTH a –receptor-prmtop and a –ligand-prmtop
file name, as well as only ONE of either –receptor-mask or –ligand-mask. Whichever mask you do NOT define
will be defined as the negated mask that you DID provide.
In short, you can use ante-MMPBSA.py to strip solvent from your prmtop for 3 applications.
1. Strip solvent from a solvated topology file and write out a non-solvated topology file.
2. Create ligand and receptor topologies from a complex topology by removing a given ligand or receptor mask.
3. A combination of 1 and 2 in the same command.
29.2.3. Running Molecular Dynamics
Not many details will be given here because MM/PB(GB)SA is a post-processing trajectory analysis technique.
Molecular dynamics are run to generate an ensemble of snapshots upon which to calculate the binding energy. This
technique is most effective when the structures are not correlated, which means that the simulated time between
extracted snapshots should be sufficiently large to avoid such correlation.
There are two techniques that can be employed when running these simulations with respect to MMPBSA.py.
The first is what’s called the “single trajectory protocol” and the second of which is called the “multiple trajectory
protocol”. The first method will extract the snapshots for the complex, receptor, and ligand from the same trajec-
tory. This is a faster method because it requires the simulation of only a single system, but makes the assumption
571
29. MMPBSA.py
that the configurational space explored by the receptor and ligand is unchanged between the bound and unbound
states. The latter method eliminates this assumption at the cost of more simulations. MMPBSA.py requires a
complex trajectory, but will accept a receptor and/or ligand trajectory as well. Any trajectory not given to the script
will be extracted from the complex trajectory.
29.3. Running MMPBSA.py
29.3.1. The input file
The input file was designed to be as syntactically similar to other programs in Amber as possible. The input
file has the same namelist structure as both sander and pmemd. The allowed namelists are &general, &gb, &pb,
&rism, &alanine_scanning, &nmode, and &decomp. The input variables recognized in each namelist are described
below, but those in &general are typically variables that apply to all aspects of the calculation. The &gb namelist
is unique to Generalized Born calculations, &pb is unique to Poisson Boltzmann calculations, &rism is unique to
3D-RISM calculations, &alanine_scanning is unique to alanine scanning calculations, &nmode is unique to the
normal mode calculations used to approximate vibrational entropies, and &decomp is unique to the decomposition
scheme. All of the input variables are described below according to their respective namelists. Integers and floating
point variables should be typed as-is while strings should be put in either single- or double-quotes. All variables
should be set with “variable = value” and separated by commas. See the examples below. Variables will usually
be matched to the minimum number of characters required to uniquely identify that variable within that namelist.
Variables require at least 4 characters to be matched unless that variable name has fewer than 4 characters (in which
case the whole variable name is required). For example, “star” in &general will match “startframe”. However,
“stare” and “sta” will match nothing.
&general namelist variables
debug_printlevel MMPBSA.py prints errors by raising exceptions, and not catching fatal errors. If de-
bug_printlevel is set to 0, then detailed tracebacks (effectively the call stack showing exactly where in the
program the error occurred) is suppressed, so only the error message is printed. If debug_printlevel is set to
1 or higher, all tracebacks are printed, which aids in debugging of issues. Default: 0. (Advanced Option)
endframe The frame from which to stop extracting snapshots from the full, concatenated trajectory comprised of
every trajectory file supplied on the command-line. (Default = 9999999)
entropy Specifies whether or not a quasi-harmonic entropy approximation is made with ptraj. Allowed values are
0: Don’t. 1: Do (Default = 0)
interval The offset from which to choose frames from each trajectory file. For example, an interval of 2 will pull
every 2nd frame beginning at startframe and ending less than or equal to endframe. (Default = 1)
keep_files The variable that specifies which temporary files are kept. All temporary files have the prefix
“_MMPBSA_” prepended to them (unless you change the prefix on the command-line—see subsection
Subsection 29.3.2 for details). Allowed values are 0, 1, and 2.
0: Keep no temporary files
1: Keep all generated trajectory files and mdout files created by sander simulations
2: Keep all temporary files. Temporary files are only deleted if MMPBSA.py completes successfully
(Default = 1) A verbose level of 1 is sufficient to use -rewrite-output and recreate the output file without
rerunning any simulations.
ligand_mask The mask that specifies the ligand residues within the complex prmtop (NOT the solvated prmtop
if there is one). The default guess is generally sufficient and will only fail as stated above. You should
use the default mask assignment if possible because it provides a good error catch. This follows the same
description as the receptor_mask above.
572
29.3. Running MMPBSA.py
netcdf Specifies whether or not to use NetCDF trajectories internally rather than writing temporary ASCII trajec-
tory files. NOTE: NetCDF trajectories can be used as input for MMPBSA.py regardless of what this variable
is set to, but NetCDF trajectories are faster to write and read. For very large trajectories, this could offer
significant speedups, and requires less temporary space. However, this option is incompatible with alanine
scanning. Default value is 0.
0: Do NOT use temporary NetCDF trajectories
1: Use temporary NetCDF trajectories
receptor_mask The mask that specifies the receptor residues within the complex prmtop (NOT the solvated prm-
top if there is one). The default guess is generally sufficient and will only fail if the ligand residues are not
found in succession within the complex prmtop. You should use the default mask assignment if possible
because it provides a good error catch. It uses the “Amber mask” syntax described elsewhere in this manual.
This will be replaced with the default receptor_mask if ligand_mask (below) is not also set.
search_path Advanced option. By default, MMPBSA.py will only search for executables in $AMBERHOME/bin.
To enable it to search for binaries in your full PATH if they can’t be found in $AMBERHOME/bin, set
search_path to 1. Default 0 (do not search through the PATH). This is particularly useful if you are using
an older version of sander that is not in AMBERHOME.
startframe The frame from which to begin extracting snapshots from the full, concatenated trajectory comprised
of every trajectory file placed on the command-line. This is always the first frame read. (Default = 1)
strip_mask The variable that specifies which atoms are stripped from the trajectory file if a solvated_prmtop is
provided on the command-line. See 29.3.2. (Default = “:WAT:CL:CIO:CS:IB:K:LI:MG:NA:RB”)
use_sander Forces MMPBSA.py to use sander for energy calculations, even when mmpbsa_py_energy will suf-
fice (Default 0)
0 - Use mmpbsa_py_energy when possible
1 - Always use sander
full_traj This variable is for calculations performed in parallel to control whether complete trajectories are made of
the complex, receptor, and ligand. In parallel calculations, a different trajectory is made for each processor to
analyze only the selected frames for that processor. A value of 0 will only create the intermediate trajectories
analyzed by each processor, while a value of 1 will additionally combine those trajectories to make a single
trajectory of all frames analyzed across all processors for the complex, receptor, and ligand. (Default = 0)
verbose The variable that specifies how much output is printed in the output file. There are three allowed values:
0, 1, and 2. A value of 0 will simply print difference terms, 1 will print all complex, receptor, and ligand
terms, and 2 will also print bonded terms if one trajectory is used. (Default = 1)
&gb namelist variables
ifqnt Specifies whether a part of the system is treated with quantum mechanics. 1: Use QM/MM, 0: Potential
function is strictly classical (Default = 0). This functionality requires sander
igb Generalized Born method to use (seeSection 4). Allowed values are 1, 2, 5, 7 and 8. (Default = 5) All models
are now available with both mmpbsa_py_energy and sander
qm_residues Comma- or semicolon-delimited list of complex residues to treat with quantum mechanics. All
whitespace is ignored. All residues treated with quantum mechanics in the complex must be treated with
quantum mechanics in the receptor or ligand to obtain meaningful results. If the default masks are used,
then MMPBSA.py will figure out which residues should be treated with QM in the receptor and ligand.
Otherwise, skeleton mdin files will be created and you will have to manually enter qmmask in the ligand and
receptor topology files. There is no default, this must be specified.
qm_theory Which semi-empirical Hamiltonian should be used for the quantum calculation. No default, this must
be specified. See its description in the QM/MM section of the manual for options.
573
29. MMPBSA.py
qmcharge_com The charge of the quantum section for the complex. (Default = 0)
qmcharge_lig The charge of the quantum section of the ligand. (Default = 0)
qmcharge_rec The charge of the quantum section for the receptor. (Default = 0)
qmcut The cutoff for the qm/mm charge interactions. (Default = 9999.0)
saltcon Salt concentration in Molarity. (Default = 0.0)
surfoff Offset to correct (by addition) the value of the non-polar contribution to the solvation free energy term
(Default 0.0)
surften Surface tension value (Default = 0.0072). Units in kcal/mol/2
molsurf When set to 1, use the molsurf algorithm to calculate the surface area for the nonpolar solvation term.
When set to 0, use LCPO (Linear Combination of Pairwise Overlaps). (Default 0)
probe Radius of the probe molecule (supposed to be the size of a solvent molecule), in Angstroms, to use when
determining the molecular surface (only applicable when molsurf is set to 1). Default is 1.4.
msoffset Offset to apply to the individual atomic radii in the system when calculating the molsurf surface. See
the description of the molsurf action command in cpptraj. Default is 0.
&pb namelist variables
cavity_offset Offset value used to correct non-polar free energy contribution (Default = -0.5692) This is not used
for APBS.
cavity_surften Surface tension. (Default = 0.0378 kcal/mol Angstrom2). Unit conversion to kJ done automati-
cally for APBS.
exdi External dielectric constant (Default = 80.0)
fillratio The ratio between the longest dimension of the rectangular finite-difference grid and that of the solute
(Default = 4.0)
indi Internal dielectric constant (Default = 1.0)
inp Nonpolar optimization method (Default = 2)
istrng Ionic strength in Molarity. It is converted to mM for PBSA and kept as M for APBS. (Default = 0.0)
linit Maximum number of iterations of the linear Poisson Boltzmann equation to try (Default = 1000)
prbrad Solvent probe radius in Angstroms. Allowed values are 1.4 and 1.6 (Default = 1.4)
radiopt The option to set up atomic radii according to 0: the prmtop, or 1: pre-computed values (see Amber
manual for more complete description). (Default = 1)
sander_apbs Option to use APBS for PB calculation instead of the built-in PBSA solver. This will work only
through the iAPBS interface[505] built into sander.APBS. Instructions for this can be found online at the
iAPBS/APBS websites. Allowed values are 0: Don’t use APBS, or 1: Use sander.APBS. (Default = 0)
scale Resolution of the Poisson Boltzmann grid. It is equal to the reciprocal of the grid spacing. (Default = 2.0)
A more thorough description of these options can be found in Chapter 5.
574
29.3. Running MMPBSA.py
&alanine_scanning namelist variables
mutant_only Option to perform specified calculations only for the mutants. Allowed values are 0: Do mutant and
original or 1: Do mutant only (Default = 0)
Note that all calculation details are controlled in the other namelists, though for alanine scanning to be performed,
the namelist must be included (blank if desired)
&nmode namelist variables
dielc Distance-dependent dielectric constant (Default = 1.0)
drms Convergence criteria for minimized energy gradient. (Default = 0.001)
maxcyc Maximum number of minimization cycles to use per snapshot in sander. (Default = 10000)
nminterval∗Offset from which to choose frames to perform nmode calculations on (Default = 1)
nmendframe∗Frame number to stop performing nmode calculations on (Default = 1000000)
nmode_igb Value for Generalized Born model to be used in calculations. Options are 0: Vacuum, 1: HCT GB
model [123,132] (Default 1)
nmode_istrng Ionic strength to use in nmode calculations. Units are Molarity. Non-zero values are ignored if
nmode_igb is 0 above. (Default = 0.0)
nmstartframe∗Frame number to begin performing nmode calculations on (Default = 1)
* These variables will choose a subset of the frames chosen from the variables in the &general namelist. Thus, the
“trajectory” from which snapshots will be chosen for nmode calculations will be the collection of snapshots upon
which the other calculations were performed.
&decomp namelist variables
csv_format Print the decomposition output in a Comma-Separated-Variable (CSV) file. CSV files open natively
in most spreadsheets. If set to 1, this variable will cause the data to be written out in a CSV file, and standard
error of the mean will be calculated and included for all data. If set to 0, the standard, ASCII format will be
used for the output file. Default is 1 (CSV-formatted output file)
dec_verbose Set the level of output to print in the decmop_output file.
0 - DELTA energy, total contribution only
1 - DELTA energy, total, sidechain, and backbone contributions
2 - Complex, Receptor, Ligand, and DELTA energies, total contribution only
3 - Complex, Receptor, Ligand, and DELTA energies, total, sidechain, and backbone contributions
Note: If the values 0 or 2 are chosen, only the Total contributions are required, so only those will be printed
to the mdout files to cut down on the size of the mdout files and the time required to parse them. However,
this means that -rewrite-output cannot be used to change the default verbosity to print out sidechain and/or
backbone energies, but it can be used to reduce the amount of information printed to the final output. The
parser will extract as much information from the mdout files as it can, but will complain and quit if it cannot
find everything it’s being asked for.
Default = 0
idecomp Energy decomposition scheme to use:
1 - Per-residue decomp with 1-4 terms added to internal potential terms
2 - Per-residue decomp with 1-4 EEL added to EEL and 1-4 VDW added to VDW potential terms.
3 - Pairwise decomp with 1-4 terms added to internal potential terms
4 - Pairwise decomp with 1-4 EEL added to EEL and 1-4 VDW added to VDW potential terms
(No default. This must be specified!) This functionality requires sander.
575
29. MMPBSA.py
print_res Select residues from the complex prmtop to print. The receptor/ligand residues will be automatically
figured out if the default mask assignments are used. If you specify your own masks, you will need to
modify the mdin files created by MMPBSA.py and rerun MMPBSA.py with the -use-mdins flag. Note that
the DELTAs will not be computed in this case. This variable accepts a sequence of individual residues and/or
ranges. The different fields must be either comma- or semicolon-delimited. For example: print_res = “1,
3-10, 15, 100”, or print_res = “1; 3-10; 15; 100”. Both of these will print residues 1, 3 through 10, 15, and
100 from the complex prmtop and the corresponding residues in either the ligand and/or receptor prmtops.
(Default: print all residues)*
* Please note: Using idecomp=3 or 4 (pairwise) with a very large number of printed residues and a large number
of frames can quickly create very, very large temporary mdout files. Large print selections also demand a large
amount of memory to parse the mdout files and write decomposition output file (~500 MB for just 250 residues,
since that’s 62500 pairs!) It is not unusual for the output file to take a significant amount of time to print if you
have a lot of data. This is most applicable to pairwise decomp, since the amount of data scales as O(N2).
&rism namelist variables*
buffer Minimum distance between solute and edge of solvation box. Specify this with grdspc below. Mutually
exclusive with ng and solvbox. Set buffer < 0 if you wish to use ng and solvbox. (Default = 14 Å)
closure The approximation to the closure relation. Allowed choices are kh (Kovalenko-Hirata), hnc (Hypernetted-
chain), or psen (Partial Series Expansion of order-n) where “n” is a positive integer (e.g., “pse3”). (Default
= ‘kh’)
closureorder (Deprecated) The order at which the PSE-nclosure is truncated if closure is specified as “pse” or
“psen” (no integers). (Default = 1)
grdspc Grid spacing of the solvation box. Specify this with buffer above. Mutually exclusive with ng and solvbox.
(Default = 0.5 Å)
ng Number of grid points to use in the x, y, and z directions. Used only if buffer < 0. Mutually exclusive with
buffer and grdspc above, and paired with solvbox below. No default, this must be set if buffer < 0. Define
like “ng=1000,1000,1000”
polardecomp Decompose the solvation free energy into polar and non-polar contributions. Note that this will
increase computation time by roughly 80%. 0: Don’t decompose solvation free energy. 1: Decompose
solvation free energy. (Default = 0)
rism_verbose Level of output in temporary RISM output files. May be helpful for debugging or following con-
vergence. Allowed values are 0 (just print the final result), 1 (additionally prints the total number of iterations
for each solution), and 2 (additionally prints the residual for each iteration and details of the MDIIS solver).
(Default = 0)
solvbox Length of the solvation box in the x, y, and z dimensions. Used only if buffer < 0. Mutually exclusive
with buffer and grdspc above, and paired with ng above. No default, this must be set if buffer < 0. Define
like “solvbox=20,20,20”
solvcut Cutoff used for solute-solvent interactions. The default is the value of buffer. Therefore, if you set buffer
< 0 and specify ng and solvbox instead, you must set solvcut to a non-zero value or the program will quit in
error. (Default = buffer)
thermo Which thermodynamic equation you want to use to calculate solvation properties. Options are “std”, “gf”,
or “both” (case-INsensitive). “std” uses the standard closure relation, “gf” uses the Gaussian Fluctuation
approximation, and “both” will print out separate sections for both. (Default = “std”). Note that all data are
printed out for each RISM simulation, so no choice is any more computationally demanding than another.
Also, you can change this option and use the -rewrite-output flag to obtain a different printout after-the-fact.
576
29.3. Running MMPBSA.py
tolerance Upper bound of the precision requirement used to determine convergence of the self-consistent solution.
This has a strong effect on the cost of 3D-RISM calculations. (Default = 1e-5).
* 3D-RISM calculations are performed with the rism3d.snglpnt program built with AmberTools, written by
Tyler Luchko. It is the most expensive, yet most statistical mechanically rigorous solvation model available in
MMPBSA.py. See Chapter 6for a more thorough description of options and theory. A list of references can be
found there, too. One advantage of 3D-RISM is that an arbitrary solvent can be chosen; you just need to change
the xvvfile specified on the command line (see 29.3.2).
Sample input files
Sample input file for GB and PB calculation
&general
startframe=5, endframe=100, interval=5,
verbose=2, keep_files=0,
/
&gb
igb=5, saltcon=0.150,
/
&pb
istrng=0.15, fillratio=4.0
/
--------------------------------------------------------
Sample input file for Alanine scanning
&general
verbose=2,
/
&gb
igb=2, saltcon=0.10
/
&alanine_scanning
/
--------------------------------------------------------
Sample input file with nmode analysis
&general
startframe=5, endframe=100, interval=5,
verbose=2, keep_files=2,
/
&gb
igb=5, saltcon=0.150,
/
&nmode
nmstartframe=2, nmendframe=20, nminterval=2,
maxcyc=50000, drms=0.0001,
/
--------------------------------------------------------
Sample input file with decomposition analysis
&general
startframe=5, endframe=100, interval=5,
/
&gb
igb=5, saltcon=0.150,
/
577
29. MMPBSA.py
&decomp
idecomp=2, dec_verbose=3,
print_res=”20, 40-80, 200”
/
--------------------------------------------------------
Sample input file for QM/MMGBSA
&general
startframe=5, endframe=100, interval=5,
ifqnt=1, qmcharge=0, qm_residues=”100-105, 200”
qm_theory=”PM3”
/
&gb
igb=5, saltcon=0.100,
/
--------------------------------------------------------
Sample input file for MM/3D-RISM
&general
startframe=5, endframe=100, interval=5,
/
&rism
polardecomp=1, thermo=’gf’
/
A few important notes about input files. Comments are allowed by placing a # at the beginning of the line (whites-
pace is ignored). Variable initialization may span multiple lines. In-line comments (i.e., putting a # for a comment
after a variable is initialized in the same line) is not allowed and will result in an input error. Variable declarations
must be comma-delimited, though all whitespace is ignored. Finally, all lines between namelists are ignored, so
comments may be put before each namelist without using #.
29.3.2. Calling MMPBSA.py from the command-line
MMPBSA.py is invoked through the command line as follows:
Usage: MMPBSA.py [Options]
Options:
--help, -h, --h, -H
show this help message and exit
-O
Overwrite existing output files
-i input_file
MM/PBSA input file
-o output_file
Final MM/PBSA statistics file. Default
FINAL_RESULTS_MMPBSA.dat
-sp solvated_prmtop
Solvated complex topology file
-cp complex_prmtop
Complex topology file. Default “complex_prmtop”
-rp receptor_prmtop
Receptor topology file
-lp ligand_prmtop
Ligand topology file
-y mdcrd1,mdcrd2,...,mdcrdN
Input trajectories to analyze. Default mdcrd
578
29.3. Running MMPBSA.py
-do decompout
Decomposition statistics summary file. Default
FINAL_DECOMP_MMPBSA.dat
-eo energyout
CSV-format output of all energy terms for every frame in
every calculation. File name forced to end in .csv
-deo dec_energies
CSV-format output of all decomposition energy terms for
every frame. File name forced to end in .csv
-yr receptor_mdcrd1,receptor_mdcrd2,...,receptor_mdcrdN
Receptor trajectory file for multiple trajectory approach
-yl ligand_mdcrd1,ligand_mdcrd2,...,ligand_mdcrdN
Ligand trajectory file for multiple trajectory approach
-mc mutant_complex_prmtop
Alanine scanning mutant complex topology file
-ml mutant_ligand_prmtop
Alanine scanning mutant ligand topology file
-mr mutant_receptor_prmtop
Alanine scanning mutant receptor topology file
-slp solvated_ligand_prmtop
Solvated ligand topology file
-srp solvated_receptor_prmtop
Solvated receptor topology file
-xvvfile xvvfile
XVV file for 3D-RISM. Default
$AMBERHOME/dat/mmpbsa/spc.xvv
-prefix prefix
Beginning of every intermediate file name generated
-make-mdins
Create the Input files for each calculation and quit
-use-mdins
Use existing input files for each calculation
-rewrite-output
Don’t rerun any calculations, just parse existing output
files
--clean
Clean temporary files from previous run
-make-mdins and -use-mdins are intended to give added flexibility to user input. If the MM/PBSA input file does
not expose a variable you require, you may use the -make-mdins flag to generate the MDIN files and then quit.
Then, edit those MDIN files, changing the variables you need to, then running MMPBSA.py with -use-mdins to
use those modified files.
--clean will remove all temporary files created by MMPBSA.py in a previous calculation.
--version will display the program version and exit.
29.3.3. Running MMPBSA.py
29.3.3.1. Serial version
This version is installed with Amber during the serial install of AmberTools. AMBERHOME must be set, or it will
quit on error. If any changes are made to the modules, MMPBSA.py must be remade so the updated modules are
found by MMPBSA.py. An example command-line call is shown below:
MMPBSA.py -O -i mmpbsa.in -cp com.top -rp rec.top -lp lig.top -y traj.crd
579
29. MMPBSA.py
The tests, found in ${AMBERHOME}/test/mmpbsa_py provide good examples for running MMPBSA.py calcula-
tions.
29.3.3.2. Parallel (MPI) version
This version is installed with Amber during the parallel install. The python package mpi4py is included with
the MMPBSA.py source code and must be successfully installed in order to run the MPI version of MMPBSA.py.
It is run in the same way that the serial version is above, except MPI directions must be given on the command
line as well. Note, if mpi4py does not install correctly, you must install it yourself in order to use
MMPBSA.py.MPI. One note: at a certain level, running RISM in parallel may actually hurt performance, since
previous solutions are used as an initial guess for the next frame, hastening convergence. Running in parallel loses
this advantage. Also, due to the overhead involved in which each thread is required to load every topology file
when calculating energies, parallel scaling will begin to fall off as the number of threads reaches the number of
frames. A usage example is shown below:
mpirun -np 2 MMPBSA.py.MPI -O -i mmpbsa.in -cp com.top -rp rec.top \
-lp lig.top -y traj.crd
29.3.4. Types of calculations you can do
There are many different options for running MMPBSA.py. Among the types of calculations you can do are:
1. Normal binding free energies, with either PB or GB implicit solvent models. Each can be done with either
1, 2, or 3 different trajectories, but the complex, receptor, and ligand topology files must all be defined. The
complex mdcrd must always be provided. Whichever trajectories of the receptor and/or ligand that are NOT
specified will be extracted from the complex trajectory. This allows a 1-, 2-, or 3-trajectory analysis. All PB
calculations and GB models can be performed with just AmberTools via the mmpbsa_py_energy program
installed with MMPBSA.py.
2. Stability calculations with any calculation type. If you only specify the complex prmtop (and leave receptor
and ligand prmtop options blank), then a “stability” calculation will be performed, and you will get statistics
based on only a single system. Any additional receptor or ligand information given will be ignored, but note
that if receptor and/or ligand topologies are given, it will no longer be considered a stability calculation. The
previous statement refers principally to mutated receptor/ligand files or extra ligand/receptor trajectory files.
3. Alanine scanning with either PB or GB implicit solvent models. All trajectories will be mutated to match
the mutated topology files, and whichever calculations that would be carried out for the normal systems are
also carried out for the mutated systems. Note that only 1 mutation is allowed per simulation, and it must
be to an alanine. If mutant_only is not set to 1, differences resulting from the mutations are calculated. This
option is incompatible with intermediate NetCDF trajectories (see the netcdf = 1 option above). This has the
same program requirements as option 1 above.
4. Entropy corrections. An entropy term can be added to the free energies calculated above using either the
quasi-harmonic approximation or the normal mode approximation. Calculations will be done for the nor-
mal and mutated systems (alanine scanning) as requested. Normal mode calculations are done with the
mmpbsa_py_nabnmode program included with AmberTools.
5. Decomposition schemes. The energy terms will be decomposed according to the decomposition scheme
outlined in the idecomp variable description. This should work with all of the above, though entropy terms
cannot be decomposed. APBS energies cannot be decomposed, either. Neither can PBSA surface area terms.
This functionality requires sander from the Amber 11 (or later) package.
6. QM/MMGBSA. This is a binding free energy (or stability calculation) using the Generalized Born solvent
model allowing you to treat part of your system with a quantum mechanical Hamiltonian. See “Advanced
Options” for tips about optimizing this option. This functionality requires sander from the Amber package.
580
29.3. Running MMPBSA.py
7. MM/3D-RISM. This is a binding free energy (or stability calculation) using the 3D-RISM solvation model.
This functionality is performed with rism3d.snglpnt built with AmberTools.
29.3.5. The Output File
The header of the output file will contain information about the calculation. It will show a copy of the input
file as well as the names of all files that were used in the calculation (topology files and coordinate file(s)). If the
masks were not specified, it prints its best guess so that you can verify its accuracy, along with the residue name of
the ligand (if it is only a single residue).
The energy and entropy contributions are broken up into their components as they are in sander and nmode or
ptraj. The contributions are further broken into Ggas and Gsolv. The polar and non-polar contributions are EGB (or
EPB) and ESURF (or ECAVITY / ENPOLAR), respectively for GB (or PB) calculations.
By default, bonded terms are not printed for any one-trajectory simulation. They are computed and their dif-
ferences calculated, however. They are not shown (nor included in the total) unless specifically asked for because
they should cancel completely. A single trajectory does not produce any differences between bond lengths, angles,
or dihedrals between the complex and receptor/ligand structures. Thus, when subtracted they cancel completely.
This includes the BOND, ANGLE, DIHED, and 1-4 interactions. If inconsistencies are found, these values are
displayed and inconsistency warnings are printed. When this occurs the results are generally useless. Of course
this does not hold for the multiple trajectory protocol, and so all energy components are printed in this case.
Finally, all warnings generated during the calculation that do not result in fatal errors are printed after calculation
details but before any results.
29.3.6. Temporary Files
MMPBSA.py creates working files during the execution of the script beginning with the prefix _MMPBSA_.
The variable “keep_files” controls how many of these files are kept after the script finishes successfully. If the
script quits in error, all files will be kept. You can clean all temporary files from a directory by running MMPBSA
–clean described above.
If MMPBSA.py does not finish successfully, several of these files may be helpful in diagnosing the problem.
For that reason, every temporary file is described below. Note that not every temporary file is generated in every
simulation. At the end of each description, the lowest value of “keep_files” that will retain this file will be shown
in parentheses.
_MMPBSA_gb.mdin Input file that controls the GB calculation done in sander. (2)
_MMPBSA_pb.mdin Input file that controls the PB calculation done in sander. (2)
_MMPBSA_gb_decomp_com.mdin Input file that controls the GB decomp calculation for the complex done in
sander. (2)
_MMPBSA_gb_decomp_rec.mdin Input file that controls the GB decomp calculation for the receptor done in
sander. (2)
_MMPBSA_gb_decomp_lig.mdin Input file that controls the GB decomp calculation for the ligand done in
sander. (2)
_MMPBSA_pb_decomp_com.mdin Input file that controls the PB decomp calculation for the complex done in
sander. (2)
_MMPBSA_pb_decomp_rec.mdin Input file that controls the PB decomp calculation for the receptor done in
sander. (2)
_MMPBSA_pb_decomp_lig.mdin Input file that controls the PB decomp calculation for the ligand done in sander.
(2)
_MMPBSA_gb_qmmm_com.mdin Input file that controls the GB QM/MM calculation for the complex done in
sander. (2)
581
29. MMPBSA.py
_MMPBSA_gb_qmmm_rec.mdin Input file that controls the GB QM/MM calculation for the receptor done in
sander. (2)
_MMPBSA_gb_qmmm_lig.mdin Input file that controls the GB QM/MM calculation for the ligand done in
sander. (2)
_MMPBSA_complex.mdcrd.# Trajectory file(s) that contains only those complex snapshots that will be processed
by MMPBSA.py. (1)
_MMPBSA_ligand.mdcrd.# Trajectory file(s) that contains only those ligand snapshots that will be processed by
MMPBSA.py. (1)
_MMPBSA_receptor.mdcrd.# Trajectory file(s) that contains only those receptor snapshots that will be processed
by MMPBSA.py. (1)
_MMPBSA_complex_nc.# Same as _MMPBSA_complex.mdcrd.#, except in the NetCDF format. (1)
_MMPBSA_receptor_nc.# Same as _MMPBSA_receptor.mdcrd.#, except in the NetCDF format. (1)
_MMPBSA_ligand_nc.# Same as _MMPBSA_ligand.mdcrd.#, except in the NetCDF format. (1)
_MMPBSA_dummycomplex.inpcrd Dummy inpcrd file generated by _MMPBSA_complexinpcrd.in for use with
imin=5 functionality in sander. (1)
_MMPBSA_dummyreceptor.inpcrd Same as above, but for the receptor. (1)
_MMPBSA_dummyligand.inpcrd Same as above, but for the ligand. (1)
_MMPBSA_complex.pdb Dummy PDB file of the complex required to set molecule up in nab programs
_MMPBSA_receptor.pdb Dummy PDB file of the receptor required to set molecule up in nab programs
_MMPBSA_ligand.pdb Dummy PDB file of the ligand required to set molecule up in nab programs
_MMPBSA_complex_nm.mdcrd.# Trajectory file(s) for each thread with snapshots used for normal mode calcu-
lations on the complex. (1)
_MMPBSA_receptor_nm.mdcrd.# Trajectory file for each thread with snapshots used for normal mode calcula-
tions on the receptor. (1)
_MMPBSA_ligand_nm.mdcrd.# Trajectory file for each thread with snapshots used for normal mode calculations
on the ligand. (1)
_MMPBSA_ptrajentropy.in Input file that calculates the entropy via the quasi-harmonic approximation. This file
is processed by ptraj. (2)
_MMPBSA_avgcomplex.pdb PDB file containing the average positions of all complex conformations processed
by _MMPBSA_cenptraj.in. It is used as the reference for the _MMPBSA_ptrajentropy.in file above.
(1)
_MMPBSA_complex_entropy.out File into which the entropy results from _MMPBSA_ptrajentropy.in analysis
on the complex are dumped. (1)
_MMPBSA_receptor_entropy.out Same as above, but for the receptor. (1)
_MMPBSA_ligand_entropy.out Same as above, but for the ligand. (1)
_MMPBSA_ptraj_entropy.out Output from running ptraj using _MMPBSA_ptrajentropy.in. (1)
_MMPBSA_complex_gb.mdout.# sander output file containing energy components of all complex snapshots
done in GB. (1)
582
29.3. Running MMPBSA.py
_MMPBSA_receptor_gb.mdout.# sander output file containing energy components of all receptor snapshots done
in GB. (1)
_MMPBSA_ligand_gb.mdout.# sander output file containing energy components of all ligand snapshots done in
GB. (1)
_MMPBSA_complex_pb.mdout.# sander output file containing energy components of all complex snapshots
done in PB. (1)
_MMPBSA_receptor_pb.mdout.# sander output file containing energy components of all receptor snapshots done
in PB. (1)
_MMPBSA_ligand_pb.mdout.# sander output file containing energy components of all ligand snapshots done in
PB. (1)
_MMPBSA_complex_rism.out.# rism3d.snglpnt output file containing energy components of all complex snap-
shots done with 3D-RISM (1)
_MMPBSA_receptor_rism.out.# rism3d.snglpnt output file containing energy components of all receptor snap-
shots done with 3D-RISM (1)
_MMPBSA_ligand_rism.out.# rism3d.snglpnt output file containing energy components of all ligand snapshots
done with 3D-RISM (1)
_MMPBSA_pbsanderoutput.junk.# File containing the information dumped by sander.APBS to STDOUT. (1)
_MMPBSA_ligand_nm.out.# Output file from mmpbsa_py_nabnmode that contains the entropy data for the ligand
for all snapshots. (1)
_MMPBSA_receptor_nm.out.# Output file from mmpbsa_py_nabnmode that contains the entropy data for the
receptor for all snapshots. (1)
_MMPBSA_complex_nm.out.# Output file from mmpbsa_py_nabnmode that contains the entropy data for the
complex for all snapshots. (1)
_MMPBSA_mutant_... These files are analogs of the files that only start with _MMPBSA_ described above, but
instead refer to the mutant system of alanine scanning calculations.
_MMPBSA_*out.# These files are thread-specific files. For serial simulations, only #=0 files are created. For
parallel, #=0 through NUM_PROC - 1 are created.
29.3.7. Advanced Options
The default values for the various parameters as well as the inclusion of some variables over others in the
general MMPBSA.py input file were chosen to cover the majority of all MM/PB(GB)SA calculations that would
be attempted while maintaining maximum simplicity. However, there are situations in which MMPBSA.py may
appear to be restrictive and ill-equipped to address. Attempts were made to maintain the simplicity described above
while easily providing users with the ability to modify most aspects of the calculation easily and without editing
the source code.
-make-mdins This flag will create all of the mdin and input files used by sander and nmode so that additional
control can be granted to the user beyond the variables detailed in the input file section above. The files
created are _MMPBSA_gb.mdin which controls GB calculation; _MMPBSA_pb.mdin which controls the
PB calculation; _MMPBSA_sander_nm_min.mdin which controls the sander minimization of snapshots to
be prepared for nmode calculations; and _MMPBSA_nmode.in which controls the nmode calculation. If
no input file is specified, all files above are created with default values, and _MMPBSA_pb.mdin is created
for AmberTools’s pbsa. If you wish to create a file for sander.APBS, you must include an input file with
“sander_apbs=1” specified to generate the desired input file. Note that if an input file is specified, only those
mdin files pertinent to the calculation described therein will be created!
583
29. MMPBSA.py
-use-mdins This flag will prevent MMPBSA.py from creating the input files that control the vari-
ous calculations (_MMPBSA_gb.mdin, _MMPBSA_pb.mdin, _MMPBSA_sander_nm_min.mdin, and
_MMPBSA_nmode.in). It will instead attempt to use existing input files (though they must have those
names above!) in their place. In this way, the user has full control over the calculations performed, however
care must be taken. The mdin files created by MMPBSA.py have been tested and are (generally) known to
be consistent. Modifying certain variables (such as imin=5) may prevent the script from working, so this
should only be done with care. It is recommended that users start with the existing mdin files (generated by
the -make-mdins flag above), and add and/or modify parameters from there.
strip_mask This input variable allows users to control which atoms are stripped from the trajectory files associated
with solvated_prmtop. In general, counterions and water molecules are stripped, and the complex is centered
and imaged (so that if iwrap caused the ligand to “jump” to the other side of the periodic box, it is replaced
inside the active site). If there is a specific metal ion that you wish to include in the calculation, you can
prevent ptraj from stripping this ion by NOT specifying it in strip_mask. Note that strip_mask does nothing
if no solvated_prmtop is provided.
QM/MMGBSA There are a lot of options for QM/MM calculations in sander, but not all of those options were
made available via options in the MMPBSA.py input file. In order to take advantage of these other options,
you’ll have to make use of the -make-mdins and -use-mdins flags as detailed above and change the resulting
_MMPBSA_gb_qmmm_com/rec/lig.mdin files to fit your desired calculation. Additionally, MMPBSA.py
suffers all shortcomings of sander, one of those being that PB and QM/MM are incompatible. Therefore,
only QM/MMGBSA is a valid option right now.
29.4. Python API
The aim of the MMPBSA.py API is to provide you with direct access to the raw data produced during a
MMPBSA.py calculation. By default, MMPBSA.py calculates an average, standard deviation, and standard er-
ror of the mean for all of the generated data sets, but does not support custom analyses. The API reads an
_MMPBSA_info file, from which it will determine what kind of calculation you performed, then automatically
parse the output files and load the data into arrays.
The keep_files variable in the &general section must be set to 1 or 2 in order to keep enough files for the API
to work. It currently does NOT load decomposition data into available data structures. The topology files you used
in the MMPBSA.py calculation must also be available in the location specified in the _MMPBSA_info file.
Using the API
The main class in the API is mmpbsa_data in the API module of the MMPBSA_mods package. By default, the
MMPBSA_mods package is installed to $AMBERHOME/bin during installation. To have access to that package in a
Python script or shell, $AMBERHOME/bin must be searched for packages and modules. This can be done in one
of two ways:
1. Adding $AMBERHOME/bin to PYTHONPATH
(e.g., export PYTHONPATH=$PYTHONPATH:$AMBERHOME/bin)
2. Adding $AMBERHOME/bin to sys.path inside a Python interpreter or script prior to importing anything from
MMPBSA_mods, as demonstrated below
import os
import sys
sys.path.append(os.path.join(os.getenv(’AMBERHOME’), ’bin’))
The function load_mmpbsa_info takes the name of an MMPBSA.py info file (typically _MMPBSA_info) and
returns a populated mmpbsa_data instance with all of the parsed data. An example code snippet that creates a
mmpbsa_data instance from the information in _MMPBSA_info is shown below.
584

29.4. Python API
Table 29.1.: List and description of calc_key dict keys that may be present in instances of the mmpbsa_data class.
Dictionary Key (calc_key) Calculation Type
’gb’ Generalized Born Results
’pb’ Poisson-Boltzmann Results
’rism gf’ Gaussian Fluctuation 3D-RISM Results
’rism std’ Standard 3D-RISM Results
’nmode’ Normal Mode Analysis Results
’qh’ Quasi-harmonic Approximation Results
Table 29.2.: List and description of system_component keys that may be present in instances of the mmpbsa_data
class.
Dictionary Key (system_component) Description
’complex’ Data sets for the complex. (Stability & Binding)
’receptor’ Data sets for the receptor. (Binding only)
’ligand’ Data sets for the ligand. (Binding only)
from MMPBSA_mods import API as MMPBSA_API
data = MMPBSA_API.load_mmpbsa_info(’_MMPBSA_info’)
Properties of mmpbsa_data
The mmpbsa_data class is a nested dictionary structure (mmpbsa_data is actually derived from dict). The
various attributes of mmpbsa_data are described below followed by the defined operators.
Attributes
If the numpy package is installed and available, all data arrays will be numpy.ndarray instances. Otherwise, all
data arrays will be array.array instances with the ’d’ data type specifier (for a double precision float). The data
is organized in an mmpbsa_data instance in the following manner:
mmpbsa_data_instance[calc_key][system_component][energy_term]
In this example, calc_key is a dict key that is paired to another dict (mmpbsa_data_instance is the first-level
dict, in this case). The keys of these second-level dict instances (system_component) pair to another dict.
The keys of these inner-most (third-level) dict instances are paired with the data arrays for that energy term. The
various dictionary keys are listed below for each level. If alanine scanning was performed, the
mmpbsa_data_instance also has a “mutant” attribute that contains the same dictionary structure as
mmpbsa_data does for the normal system. The only difference is that the data is accessed as follows:
mmpbsa_data_instance.mutant[calc_key][system_component][energy_term]
Note, all keys are case-sensitive, and if a space appears in the key, it must be present in your program. Also, if
polar/non-polar decomposition is not performed for 3D-RISM, then the ’POLAR SOLV’ and ’APOLAR SOLV’ keys
are replaced with the single key ’ERISM’
Defined operators
In-place addition: It extends all of the arrays that are common to both mmpbsa_data instances. This is useful if,
for instance, you run two MMPBSA.py calculations, and you use -prefix <new_prefix> for the second
simulation. Assuming that <new_prefix> is _MMPBSA2_ for the second MMPBSA.py calculation, the following
pseudo-code will generate an mmpbsa_data instance with all of the data in concatenated arrays. The pseudo-code
assumes MMPBSA_mods.API was imported as demonstrated in Subsection 29.4.
585

29. MMPBSA.py
Table 29.3.: List and description of energy_term keys that may be present in instances of the mmpbsa_data class.
The allowed values of energy_term depend on the value of calc_key above in Table 29.1. The
energy_term keys are listed for each calc_key enumerated above, accompanied by a description.
The RISM keys are the same for both ’rism gf’ and ’rism std’ although the value of ’POLAR
SOLV’ and ’APOLAR SOLV’ will differ depending on the method chosen. Those keys marked with *
are specific to the CHARMM force field used through chamber. Those arrays are all 0 for normal
Amber topology files.
Description ’gb’ ’pb’ RISM
Bond energy ’BOND’ ’BOND’ ’BOND’
Angle energy ’ANGLE’ ’ANGLE’ ’ANGLE’
Dihedral Energy ’DIHED’ ’DIHED’ ’DIHED’
Urey-Bradley* ’UB’ ’UB’ —
Improper Dihedrals* ’IMP’ ’IMP’ —
Correction Map* ’CMAP’ ’CMAP’ —
1-4 van der Waals energy ’1-4 VDW’ ’1-4 VDW’ ’1-4 VDW’
1-4 Electrostatic energy ’1-4 EEL’ ’1-4 EEL’ ’1-4 EEL’
van der Waals energy ’VDWAALS’ ’VDWAALS’ ’VDWAALS’
Electrostatic energy ’EEL’ ’EEL’ ’EEL’
Polar solvation energy ’EGB’ ’EPB’ ’POLAR SOLV’
Non-polar solvation energy ’ESURF’ ’ENPOLAR’ ’APOLAR SOLV’
Total solvation free energy ’G solv’ ’G solv’ ’G solv’
Total gas phase free energy ’G gas’ ’G gas’ ’G gas’
Total energy ’TOTAL’ ’TOTAL’ ’TOTAL’
Table 29.4.: Same as Table 29.3 for the entropy data.
Description ’nmode’ ’qh’
Translational entropy ’Translational’ ’Translational’
Rotational entropy ’Rotational’ ’Rotational’
Vibrational entropy ’Vibrational’ ’Vibrational’
Total entropy ’Total’ ’Total’
586
29.4. Python API
data = MMPBSA_API.load_mmpbsa_info(’_MMPBSA_info’)
data += MMPBSA_API.load_mmpbsa_info(’_MMPBSA2_info’)
Example API Usage
In many cases, the autocorrelation function of the energy can aid in the analysis of MM/PBSA data, since it
provides a way of determining the statistical independence of your data points. For example, 1000 correlated
snapshots provide less information, and therefore less statistical certainty, than 1000 uncorrelated snapshots. The
standard error of the mean calculation performed by MMPBSA.py assumes a completely uncorrelated set of snap-
shots, which means that it is a lower bound of the true standard error of the mean, and a plot of the autocorrelation
function may help determine the actual value.
The example program below will calculate the autocorrelation function of the total energy (complex only for
both the normal and alanine mutant systems) from a GB calculation and plot the resulting code using
matplotlib.
import os
import sys
# append AMBERHOME/bin to sys.path
sys.path.append(os.path.join(os.getenv(’AMBERHOME’), ’bin’))
# Now import the MMPBSA API
from MMPBSA_mods import API as MMPBSA_API
import matplotlib.pyplot as plt
import numpy as np
data = MMPBSA_API.load_mmpbsa_info(’_MMPBSA_info’)
total = data[’gb’][’complex’][’TOTAL’].copy()
data = MMPBSA_API.load_mmpbsa_info(’_MMPBSA_info’)
total_mut = data.mutant[’gb’][’complex’][’TOTAL’].copy()
# Create a second copy of the data set. The np.correlate function does not
# normalize the correlation function, so we modify total and total2 to get
# that effect
total -= total.mean()
total /= total.std()
total2 = total.copy() / len(total)
acor = np.correlate(total, total2, ’full’)
total_mut -= total_mut.mean()
total_mut /= total_mut.std()
total2_mut = total_mut.copy() / len(total_mut)
acor_mut = np.correlate(total_mut, total2_mut, ’full’)
# Now generate the ’lag’ axis
xdata = np.arange(0, len(total))
# The acor data set is symmetric about the origin, so only accept the
# positive lag times. Graph the result
plt.plot(xdata, acor[len(acor)//2:], xdata, acor_mut[len(acor)//2:])
plt.show()
587
29. MMPBSA.py
Decomposition Data
When performing decomposition analysis, the various decomp data is stored in a separate tree of dicts refer-
enced with the ‘decomp’ key. The key sequence is similar to the sequence for the ‘normal’ data described above,
where decomp is followed by the solvent model (GB or PB), followed by the species (complex, receptor, or ligand),
followed by the decomposition components (total, backbone, or sidechain), followed by the residue number (or
residue pair for pairwise decomposition), finally followed by the contribution (internal, van der Waals, electrostat-
ics, etc.) The available keys are shown in Figure 29.1 on page 589 (and each key is described afterwards).
Decomp Key Descriptions
gb All Generalized Born results
pb All Poisson-Boltzmann results
complex All results from the complex trajectory
receptor All results from the receptor trajectory
ligand All results from the ligand trajectory
TDC All results from the total decomposition
SDC All results from the sidechain decomposition
BDC All results from the backbone decomposition
#All data from residue number “#” in per-residue decomposition (same residue numbering scheme as in each
respective topology file)
#-## All interaction energies between residues “#” and “##” (same residue numbering scheme as in each respective
topology file)
int Internal energy contributions (see the idecomp variable description above)
vdw van der Waals energy contributions
eel Electrostatic energy contributions
pol Polar solvation free energy contributions
sas Non-polar solvation free energy contributions
tot Total free energy contributions (sum of previous 5).
588

29.4. Python API
Figure 29.1.: Tree of dict keys following the ‘decomp’ key in a mmpbsa_data instance.
589
30. MM_PBSA
(Note: The recommended version of MM/PBSA to use is MMPBSA.py, described in Chapter 29.)
The MM_PBSA approach represents the postprocessing method to evaluate free energies of binding or to cal-
culate absolute free energies of molecules in solution. The sets of structures are usually collected with molecular
dynamics or Monte Carlo methods. However, the collections of structures should be stored in the format of an
Amber trajectory file. The MM_PBSA/GBSA method combines the molecular mechanical energies with the con-
tinuum solvent approaches. The molecular mechanical energies are determined with the sander program from
Amber and represent the internal energy (bond, angle and dihedral), and van der Waals and electrostatic interac-
tions. An infinite cutoff for all interactions is used. The electrostatic contribution to the solvation free energy is
calculated with a numerical solver for the Poisson-Boltzmann (PB) method, for example, as implemented in the
pbsa program[140] or by generalized Born (GB) methods implemented in sander. Previous MM_PBSA applica-
tions were mostly performed with a numerical PB solver in the widely used DelPhi program,[143] which has been
shown by Amber developers to be numerically consistent with the pbsa program. The nonpolar contribution to the
solvation free energy has been determined with solvent-accessible-surface-area-dependent terms.[137] The surface
area is computed with Paul Beroza’s molsurf program, which is based on analytical ideas primarily developed by
Mike Connolly.[489] An alternative method for nonpolar solvation energy is also included here. [148] The new
method separates nonpolar contribution into two terms: the attractive (dispersion) and repulsive (cavity) inter-
actions. Doing so significantly improves the correlation between the cavity free energies and solvent accessible
surface areas for branched and cyclic organic molecules.[149] This is in contrast to the commonly used strategy
that correlates total nonpolar solvation energies with solvent accessible surface areas, which only correlates well
for linear aliphatic molecules.[137] In the new method, the attractive interaction is computed by a numerical in-
tegration over the solvent accessible surface area that accounts for solute solvent attractive interactions with an
infinite cutoff.[150] Finally, estimates of conformational entropies can be made with the nmode or NAB module
from Amber.
Although the basic ideas here have many precedents, the first application of this model in its present form was to
the A- and B-forms of RNA and DNA, where many details of the basic method are given.[506] You may also wish
to refer to reviews summarizing many of the applications of this model,[507,508] as well as to papers describing
more recent applications.[509–513]
The initial MM_PBSA scripts were written by Irina Massova. These were later modified and mostly turned into
Perl scripts by Holger Gohlke, who also added GB/SA (generalized Born/surface area) options, and techniques to
decompose energies into pairwise contributions from groups (where possible).
30.1. General instructions
The general procedure is to edit the mm_pbsa.in file (see below), and then to run the code as follows:
mm_pbsa.pl mm_pbsa.in >mm_pbsa.log
The mm_pbsa.in file refers to "receptor", "ligand" and "complex", but the chemical nature of these is up to the user,
and these could equally well be referred to as "A", "B", and "AB". The procedure can also be used to estimate the
free energy of a single species, and this is usually considered to be the "receptor".
The user also needs to prepare prmtop files for receptor, ligand, and complex using LEaP; if you are just doing
"stability" calculations, only one of the prmtop files is required. Note that the prmtop files usually should only
include the solutes, i.e., solvent molecules and counter ions should not be present. A sample LEaP command
file for how to prepare prmtop files for solvated systems for the initial molecular dynamics runs and prmtop files
for the systems in vacuum for the subsequent MM_PBSA calculations can be found in the $AMBERHOME/sr-
c/mm_pbsa/Examples directory.
591
30. MM_PBSA
The output files are labeled ".out", and the most useful summaries are in the "statistics.out" files. These give
averages and standard deviations for various quantities, using the following labeling scheme:
*** Abbreviations for mm_pbsa output ***
ELE - non-bonded electrostatic energy + 1,4-electrostatic energy
VDW - non-bonded van der Waals energy + 1,4-van der Waals energy
INT - bond, angle, dihedral energies
GAS - ELE + VDW + INT
PBSUR - hydrophobic contrib. to solv. free energy for PB calculations
PBCAL - reaction field energy calculated by PB
PBSOL - PBSUR + PBCAL
PBELE - PBCAL + ELE
PBTOT - PBSOL + GAS
GBSUR - hydrophobic contrib. to solv. free energy for GB calculations
GB - reaction field energy calculated by GB
GBSOL - GBSUR + GB
GBELE - GB + ELE
GBTOT - GBSOL + GAS
TSTRA - translational entropy (as calculated by nmode) times temperature
TSROT - rotational entropy (as calculated by nmode) times temperature
TSVIB - vibrational entropy (as calculated by nmode) times temperature
*** Prefixes in front of abbreviations for energy decomposition ***
"T" - energy part due to _T_otal residue
"S" - energy part due to _S_idechain atoms
"B" - energy part due to _B_ackbone atoms
The $AMBERHOME/src/mm_pbsa/Examples directory shows examples of running a "Stability" calculation (i.e.,
estimating the free energy of one species), a "Binding" calculation (estimating ∆Gfor A + B →AB), an "Nmode"
calculation (to estimate entropies), and examples of how total energies (either by residue, or pair-wise by residue)
and vibrational entropies (by residue only) can be decomposed. You should study the inputs and outputs in these
directories to see how the program is typically used.
30.2. Input explanations
Below is a description of the input parameters for MM-PB/SA. A sample file can be found at $AMBER-
HOME/src/mm_pbsa/Examples/mm_pbsa.in. Further template files for variants of the implicit solvent mod-
els can be found in $AMBERHOME/src/mm_pbsa/Examples/ TEMPLATE_INPUT_SCRIPTS. There, the file
SURFTEN_SURFOFF_Recommendations.pdf describes in detail recommended combinations of parameters for
the implicit solvent models. The input file is structured into sections for different purposes. The parameters in the
general section control which kind of operations are executed. Additional parameters for the chosen operations
have to be defined in the later sections.
30.2.1. General
VERBOSE If set to 1, input and output files are not removed. This is useful for debugging purposes.
PARALLEL If set to values > 1, energy calculations for snapshots are done in parallel, using PARALLEL number
of threads.
specifying snapshot location and naming
PREFIX To the prefix of the snapshots, "{_com, _rec, _lig}.crd.Number" is added during generation of snap-
shots as well as during mm_pbsa calculations.
PATH Specifies the location where to store or get snapshots.
592
30.2. Input explanations
selecting subsets of snapshots
START Specifies the first snapshot to be used in energy calculations (optional, default is 1).
STOP Specifies the last snapshot to be used in energy calculations (optional, default is 10e10).
OFFSET Specifies the offset between snapshots in energy calculations (optional, default is 1). This may be
interesting for entropy calculations via nmode or NAB to cut down on the number of snapshots to save
computational time.
calculation of energy differences or absolute energies
COMPLEX Set to 1 if free energy difference is calculated.
RECEPTOR Set to 1 if either (absolute) free energy or free energy difference are calculated.
LIGAND Set to 1 if free energy difference is calculated.
selection of parameter and topology files
COMPT Parmtop file for the complex (not necessary for option GC).
RECPT Parmtop file for the receptor (not necessary for option GC).
LIGPT Parmtop file for the ligand (not necessary for option GC).
specification of operations/calculations
GC Snapshots are generated from trajectories (see below).
AS Residues are mutated during generation of snapshots from trajectories.
DC Decompose the free energies into individual contributions (only works with MM, nmode, GB, and PB
with the pbsa program of Amber).
MM Calculation of gas phase energies using sander.
GB Calculation of desolvation free energies using the GB models in sander (see below).
PB Calculation of desolvation free energies using delphi (see below). Calculation of nonpolar solvation
free energies according to the NPOPT option in pbsa (see below).
MS Calculation of nonpolar contributions to desolvation using molsurf (see below). If MS = 0 and GB
= 1, nonpolar contributions are calculated with the LCPO method in sander. If MS = 0 and PB = 1,
nonpolar contributions are calculated according the NPOPT option in pbsa (see below).
NM Calculation of entropies with nmode or NAB.
30.2.2. Energy Decomposition Parameters
Energy decomposition is performed for gasphase energies, desolvation free energies calculated with GB or PB
(using the pbsa program of Amber), nonpolar contributions to desolvation using the ICOSA method, and vibra-
tional enrtopies using nmode. For amino acids and nucleotides, decomposition is also performed with respect to
backbone and sidechain atoms. When doing a pairwise decomposition of the PB reaction field energy, one should
note that for each included residue the PB equation has to be solved once per snapshot. Also a further decomposi-
tion into backbone and sidechain contributions has not been implemented for a pairwise PB decomposition.
593
30. MM_PBSA
specification of decomposition modus
DCTYPE Values of 1 or 2 yield a decomposition on a per-residue basis.
Values of 3 or 4 yield a decomposition on a pairwise basis. So far the number of pairs must not exceed
the number of residues in the molecule considered.
Values 1 or 3 add 1-4 interactions to bond contributions.
Values 2 or 4 add 1-4 interactions to either electrostatic or vdW contributions.
residue assignment
COMREC Residues belonging to the receptor molecule IN THE COMPLEX.
COMLIG Residues belonging to the ligand molecule IN THE COMPLEX.
RECRES Residues in the receptor molecule.
LIGRES Residues in the ligand molecule.
{REC,LIG}MAP Residues in the complex which are equivalent to the residues in the receptor molecule or the
ligand molecule.
output filter
{COM,REC,LIG}PRI Residues considered for output.
30.2.3. Poisson-Boltzmann Parameters
The following parameters are passed to the PB solver. Additional input parameters may also be added here. See
the sander PB documentation for more options.
PROC Determines which method is used for solving the PB equation. By default (PROC = 2) the pbsa
program of the Amber suite is used.
REFE Determines which reference state is taken for the PB calculation. By default (REFE = 0) reaction field
energy is calculated with EXDI/INDI. Here, INDI must agree with DIELC from the MM section.
INDI Dielectric constant for the solute.
EXDI Dielectric constant for the surrounding solvent.
ISTRNG Ionic strength (in mM) for the Poisson-Boltzmann solvent.
PRBRAD Solvent probe radius in Angstrom:
1.4 with the radii in the prmtop files (default);
1.6 with the radii optimized by Tan and Luo (in preparation).
See RADIOPT on how to choose a cavity radii set.
RADIOPT Option to set up radii for PB calc:
0uses the radii from the prmtop file (default);
1uses the radii optimized by Tan and Luo (in preparation) with respect to the reaction field energies
computed in the TIP3P explicit solvents. Note that these optimized radii are based on Amber
atom types (upper case) and charges. Radii from the ~.prmtop files are used if the atom types are
defined by antechamber (lower case).
SCALE Lattice spacing in number of grids per Angstrom.
LINIT Number of iterations with the linear PB equation.
594
30.2. Input explanations
hybrid solvation model
IVCAP If set to 1, a solvent sphere (specified by CUTCAP, XCAP, YCAP, and ZCAP) is excised from a box
of water.
If set to 5, a solvent shell is excised, specified by CUTCAP (the thickness of the shell in A). The
electrostatic part of the solvation free energy is estimated from a linear response approximation using
the explicit water plus a reaction field contribution from outside the sphere (i.e., a hybrid solvation
approach is pursued).
In addition, the nonpolar contribution is estimated from a sum of (attractive) dispersion interactions
calculated between the solute and the solvent molecules plus a (repulsive) cavity contribution. For the
latter, the surface calculation must be done with MS = 1 and the PROBE should be set to 1.4 to get the
solvent excluded surface.
CUTCAP Radius of the water sphere or thickness of the water shell. Note that the sphere must enclose the whole
solute.
XCAP/YCAP/ZCAP Location of the center of the water sphere.
nonpolar solvation
Parameters for nonpolar solvation energies if MS = 0
INP Option for modeling nonpolar solvation free energy. See sander PB documentation for more informa-
tion on the implementations by Tan and Luo (in preparation).
1: uses the solvent-accessible-surface area to correlate total nonpolar solvation free energy: Gnp =
SURFTEN * SASA + SURFOFF. Default.
2: uses the solvent-accessible-surface area to correlate the repulsive (cavity) term only, and uses a
surface-integration approach to compute the attractive (dispersion) term: Gnp = Gdisp + Gcavity
= Gdisp + SURFTEN * SASA + SURFOFF. When this option is used, RADIOPT has to be
set to 1, i.e. the radii set optimized by Tan and Luo to mimic Gnp in TIP3P explicit solvents.
Otherwise, there is no guarantee that Gnp matches that in explicit solvents.
SURFTEN/SURFOFF
Values used to compute the nonpolar solvation free energy Gnp acccording to INP. If INP = 1 and
RADIOPT = 0 (default, see above), use SURFTEN/SURFOFF parameters that fit with the radii from
the prmtop file, e.g., use SURFTEN: 0.00542; SURFOFF: 0.92 for PARSE radii. If INP = 2 and
RADIOPT = 1, these two lines can be removed, i.e., use the default values set in pbsa for this nonpolar
solvation model. Otherwise, set these to the following: SURFTEN: 0.04356; OFFSET: -1.008
Parameters for nonpolar solvation energies if MS = 1
SURFTEN/SURFOFF Values used to compute the nonpolar contribution Gnp to the desolvation according to
either
(I) Gnp = SURFTEN * SASA + SURFOFF (if IVCAP = 0) or
(II) Gnp = Gdisp + Gcavity = Gdisp + SURFTEN * SASA + SURFOFF (if IVCAP > 0).
In the case of (I), use parameters that fit with the radii from the reaction field calculation. E.g., use
SURFTEN: 0.00542, SURFOFF: 0.92 for PARSE radii or use SURFTEN: 0.005, SURFOFF: 0.86
for Tan & Luo radii. In the case of (II), use SURFTEN: 0.069; SURFOFF: 0.00 for calculating the
Gcavity contribution.
30.2.4. Molecular Mechanics Parameters
The following parameters are passed to sander. For further details see the sander documentation.
DIELC Dielectric constant for electrostatic interactions. Note: This is not related to GB calculations.
595
30. MM_PBSA
30.2.5. Generalized Born Parameters
IGB Switches between Tsui’s GB (1) and Onufriev’s GB (2, 5).
GBSA Switches between LCPO (1) and ICOSA (2) method for SASA calculation. Decomposition only
works with ICOSA.
SALTCON Concentration (in M) of 1-1 mobile counterions in solution.
EXTDIEL Dielectric constant for the solvent.
INTDIEL Dielectric constant for the solute.
SURFTEN/SURFOFF Values used to compute the nonpolar contribution Gnp to the desolvation free energy ac-
cording to Gnp = SURFTEN * SASA + SURFOFF.
30.2.6. Molsurf Parameters
PROBE Radius of the probe sphere used to calculate the SAS. In general, since Bondi radii are already aug-
mented by 1.4A, PROBE should be 0.0 In IVCAP = 1 or 5, the solvent excluded surface is required
for calculating the cavity contribution. Bondi radii are not augmented in this case and PROBE should
be 1.4.
30.2.7. NMODE Parameters
The following parameters are passed either to NAB (for minimization and entropy calculation using gasphase
statistical mechanics) or to sander (for minimization) and nmode (for entropy calculation using gasphase statistical
mechanics). For further details see documentation.
PROC Determines which method is used for the calculations: By default, PROC = 1, the NAB implemen-
tation of nmode is used. This allows using either a GB model or a distance-dependent dielectric for
electrostatic energies. No entropy decomposition is possible, however. If PROC = 2, the "original"
nmode implementation is used. Here, only a distance-dependent dielectric is avaliable for electrostatic
energies. Entropy decomposition is possible here, too.
MAXCYC Maximum number of cycles of minimization.
DRMS Convergence criterion for the energy gradient.
IGB Switches between no GB (i.e., vacuum electrostatics) (0) or Tsui’s GB (1).
SALTCON Concentration (in M) of 1-1 mobile counterions in solution.
EXTDIEL Dielectricity constant for the solvent.
SURFTEN Value used to compute the nonpolar contribution Gnp to the desolvation according to Gnp =
SURFTEN * SASA.
DIELC (Distance-dependent) dielectric constant.
30.2.8. Parameters for Snapshot Generation
BOX "YES": means that periodic boundary conditions were used during MD simulation and that box infor-
mation has been printed in the trajectory files; "NO": means opposite.
NTOTAL Total number of atoms per snapshot printed in the trajectory file (including water, ions, ...).
NSTART Start structure extraction from NSTART snapshot.
596
30.2. Input explanations
NSTOP Stop structure extraction at NSTOP snapshot.
NFREQ Every NFREQ structure will be extracted from the trajectory.
NUMBER_LIG_GROUPS Number of subsequent LSTART/LSTOP combinations to extract atoms belonging to
the ligand.
LSTART Number of first ligand atom in the trajectory entry.
LSTOP Number of last ligand atom in the trajectory entry.
NUMBER_REC_GROUPS Number of subsequent RSTART/RSTOP combinations to extract atoms belonging to
the receptor.
RSTART Number of first receptor atom in the trajectory entry.
RSTOP Number of last receptor atom in the trajectory entry.
Note: If only one molecular species is extracted, use only the receptor parameters (NUMBER_REC_GROUPS,
RSTART, RSTOP).
30.2.9. Parameters for Alanine Scanning
The following parameters are additionally passed to make_crd_hg in conjunction with the ones from the snap-
shot generation section if "alanine scanning" is requested. The description of the parameters is taken from Irina
Massova.
NUMBER_MUTANT_GROUPS Total number of mutated residues. For each mutated residue, the following four
parameters must be given subsequently.
MUTANT_ATOM1 If residue is mutated to Ala then this is: a pointer on the CG atom of the mutated residue for
all residues except Thr, Ile and Val; a pointer to CG2 if Thr, Ile or Val residue is mutated to Ala; or
a pointer to OG if Ser residue is mutated to Ala. If residue is mutated to Gly then this is a pointer on
CB.
MUTANT_ATOM2 If residue is mutated to Ala then this is: zero for all mutated residues except Thr, Val, and Ile;
a pointer on OG1 if Thr residue is mutated to Ala; or a pointer on CG1 if Val or Ile residue is mutated
to Ala. If residue is mutated to Gly then this should be always zero.
MUTANT_KEEP A pointer on the C atom (carbonyl atom) for the mutated residue.
MUTANT_REFERENCE If residue is mutated to Ala then this is a pointer on CB atom for the mutated residue.
If residue is mutated to Gly then this is a pointer on CA atom for the mutated residue.
Note: The method will not work for a smaller residue mutation to a bigger for example Gly -> Ala mutation. Note:
Maximum number of the simultaneously mutated residues is 40.
30.2.10. Trajectory Specification
The specified trajectories are used to extract snapshots with "make_crd_hg"
TRAJECTORY Each trajectory file name must be preceeded by the TRAJECTORY card. Subsequent trajectories
are considered together. Trajectories may be in ascii as well as in .gz format. To be able to identify
the title line, it must be identical in all files.
597
30. MM_PBSA
30.3. Auxiliary programs used by MM_PBSA
Several programs can be used to compute numerical solutions to the Poisson-Boltzmann equation. The default
is a pbsa implementation in sander. Please see sander PB pages in Section 6.2 for detailed description. Other
programs for computing numerical Poisson-Boltzmann results are also available, such as Delphi,MEAD, and
UHBD. These could be merged into the Perl scripts developed here with a little work. See:
• http://honiglab.cpmc.columbia.edu/ (for DELPHI)
• http://www.scripps.edu/bashford (for MEAD)
• http://adrik.bchs.uh.edu/uhbd.html (for UHBD)
30.4. APBS as an alternate PB solver in Sander
APBS is a robust, numerical Poisson-Boltzmann solver with many features (for more details see
http://apbs.sourceforge.net/). APBS can be used as an alternative PB solver in sander when compiled with sander
using iAPBS.[505] sander.APBS can be then used for implicit solvent MD simulations, calculation of solvation
energies and electrostatic properties and to generate electrostatic potential maps for visualization. It can also be
used in the MM_PBSA approach to estimate solvation and apolar (GAMMA * SASA) energy contributions to free
energies of binding.
Please see APBS documentation (http://apbs.sourceforge.net/doc/user-guide/index.html) for definition of APBS
input parameters and iAPBS documentation (http://mccammon.ucsd.edu/iapbs/) on how to build sander.APBS and
how to use it.
To use mm_pbsa.pl script with sander.APBS the following is necessary:
• - sander.APBS must be installed in $AMBERHOME/bin directory.
• - @GENERAL and @PB sections in input file need to be modified.
• - PQR files for ligand, receptor and complex need to be prepared if an
• alternate charge/radius scheme is used (which is recommended).
Input file description
The mm_pbsa.in input file which is included in the Amber distribution can be used with the following modifi-
cations:
(1) Turn on PB and turn off GB and MS calculations in the @GENERAL section of the input file:
@GENERAL
MM 1
GB 0
PB 1
MS 0
(2) Input file @PB section:
#
@PB
#
#
# PROC = 3 uses sander.APBS as the PB solver
# REFE - REFE = 0 is always used with sander.APBS
# INDI and EXDI are solute and solvent dielectric constants
# SCALE - grid spacing in number of grid points per A
598
30.4. APBS as an alternate PB solver in Sander
# LINIT - no effect
# PRBRAD - solvent probe radius in A
# ISTRNG - ionic strength in mM
#
# RADIOPT - option to set up radii and charges for PB calculation:
# 0: uses the radii from prmtop files
# 2: reads in PQR files with radii/charges information from
# lig.pqr, rec.pqr and com.pqr PQR files
#
# APBS options:
# BCFL, SRFM, CHGM, SWIN, GAMMA - see APBS and iAPBS documentation for details
# GAMMA is surface tension for apolar energies (in kJ/mol/A**2),
# defaults to 0.105 (Please note the units!)
#
PROC 3
REFE 0
INDI 1.0
EXDI 80.0
SCALE 2
LINIT 1000
PRBRAD 1.4
ISTRNG 0.0
#
RADIOPT 0
#
BCFL 2
SRFM 1
CHGM 1
SWIN 0.3
GAMMA 0.105
#
PQR files
With RADIOPT=2 three PQR files are required: lig.pqr, rec.pqr and com.pqr with charge/radius information for
the ligand, receptor and complex, respectively. This is the recommended option to get better estimates of solvation
energies.
The PQR files can be created with pdb2pqr utility:
pdb2pqr.py --assign-only --ff=amber com.pdb com.pqr
pdb2pqr.py --assign-only --ff=amber rec.pdb rec.pqr
pdb2pqr.py --assign-only --ff=amber lig.pdb lig.pqr
where –ff=amber is the requested force field charge/radius parameters. Several options are available (Amber,
CHARMM, PARSE, etc.) and also a user defined charge/radius scheme is supported (with –ff=myff option).
pdb2pqr.py can be obtained from http://pdb2pqr.sourceforge.net/. PDB2PQR service is also available on the
web at http://nbcr.net/pdb2pqr/. The PDB files (com.pdb, rec.pdb and lig.pdb) can be generated using ambpdb
utility.
599

31. FEW
The Free Energy Workflow (FEW) is a tool for automated calculation of the binding free energy of a set of
ligands binding to the same receptor using modules provided in the AMBER suite of programs. Prerequisite for
calculations with FEW is the existence of 3D complex structures of a receptor and ligands. Generally, the more
accurate the complex structures are the more accurate results can be expected.
FEW provides functions for setup of three types of binding free energy calculations: implicit solvent calculations
by the MM-PBSA or MM-GBSA methods, linear interaction energy analyses (LIE), and thermodynamic integra-
tion (TI) calculations. These three binding free energy calculation approaches are available via three program
modules provided in FEW:
• WAMM: Workflow for automated MM-PBSA & MM-GBSA
• LIEW: Linear interaction energy workflow
• TIW: Thermodynamic integration workflow
31.1. Installation
The program FEW consists of the main Perl script “FEW.pl” and a set of Perl modules stored in the folder “libs”
provided in the main FEW directory.
A perl installation (version 5.10 or newer) needs to be available on the system where FEW shall be executed. For
running the program some additional Perl modules are needed (Table 31.1), which are provided under the terms of
the respective license in the folder “additional_libs”. Please ensure that the “additional_libs” folder is located in
the same directory in which the FEW.pl script resides.
FEW can be used with AMBER14 and AmberTools14. To enable access of the program FEW to AmberTools,
the tools need to be executable on the system by just calling their names, e.g., “antechamber” should invoke the
antechamber program. The following tools and programs are used by FEW directly: ambpdb,tleap,antechamber,
cpptraj,parmchk,mm_pbsa.pl and Babel [514] (in case SDF-input files are provided). In addition, the AMBER
programs sander and/or PMEMD are required, and if charges shall be calculated by the RESP procedure also
access to the program Gaussian03 is needed. The later programs can be installed on a different system or a
compute cluster.
Table 31.1.: Perl modules from CPAN used by FEW.
Module name1)Functionality
PerlMol Read and manage atom information
FreezeThaw Interconversion between Perl structures and strings
File::ReadBackwards Read file line by line from end of file
Statistics::Normality
Modules for statistical analysis
Statistics::PointEstimation
Statistics::Descriptive
Statistics::Smoother
Statistics::Distributions
1)Modules are provided with FEW under the terms of the respective license.
601

31. FEW
Basic program call
perl FEW.pl <procedure> <command-file>
Table 31.2.: Overview of procedures and corresponding modules available in FEW.
Procedure name Program module used Key phrase in command file1)
MMPBSA or MMGBSAA2) WAMM @WAMM
LIE LIEW @LIEW
TI TIW @TIW
1)Expression that needs to be provided in the first line of the command file to ensure that the requested procedure and the
provided command file match.
2)Either MMPBSA or MMGBSA can be specified.
Figure 31.1.: Overview of program modules and functionality provided in FEW. All three free energy calculation
workflows available in FEW have a MD setup step in common.
The procedures that can be chosen are listed in Table 31.2, and an overview of the functionality provided in the
individual free energy calculation modules is shown in Figure 31.1. Example command files can be found in the
folder examples/command_files. Please ensure that in each command file the program module that shall be used
for calculation is specified via a key phrase in the first line (Table 31.2).
In addition, template files, e.g., input files with parameters for MD simulations, are available under
examples/input_info. It is strongly recommended that non-experts use these template files for analysis and make
only those system and/or computing resource specific modifications that are requested below.
A complete example analysis corresponding to the show case example presented in ref. [515] including all
input files for setup and the final result files with the computed binding free energies can be obtained from
http://cpclab.uni-duesseldorf.de/software. The current version of FEW uses per default the ff12SB force
field of AMBER. Earlier FEW versions, as the one used for the generation of the case study data, employed the
ff99SB force field. For backwards compatibility with previous FEW versions set the flag backwards to 1.
602
31.2. Overview of workflow steps and minimal input
31.2. Overview of workflow steps and minimal input
A detailed description of FEW and its functionality is provided in ref. [515]. We strongly encourage the user to
run the FEW tutorial first that is available at http://ambermd.org/tutorials.
For the setup of free energy calculations with FEW a 3D receptor structure in PDB format and 3D lig-
and structures with coordinates of the ligand bound position in mol2 format are required (see section 31.3.1).
FEW provides besides the general setup functionality a lot of additional system / computing architecture spe-
cific and expert options that can be requested by setting parameters / flags in the command file. All avail-
able options are described in the following sections, where essential parameters are marked in bold, while op-
tional additional parameters are shown in normal writing. For a typical system it is usually sufficient to define
the essential flags. Example files containing only those flags that are commonly needed can be found under
examples/command_files/minimalistic_files. Please use these files only if your ligands are available as single
structure mol2 files and if the receptor contains only standard residues defined in the ff12SB force field.
The setup of free energy calculations with FEW is conducted in a multi-step procedure, i.e., FEW is called
several times using a command file with the parameters for the respective setup step. The Table 31.3 shows the
minimum number of FEW calls required for preparation and analysis of the individual free energy calculations.
The individual setup steps can be further devided into individual tasks, such that each setup task can be tracked
and checked. The later is generally recommended if any problems are encountered in the setup procedure. In this
case it should also be thoroughly checked, whether additional parameters might need to be specified for the the
specific system. Example command files of the individual setup steps of the different setup procedues containing
all available parameters can be found in the procedure specific folders under examples/command_files.
603

31. FEW
Table 31.3.: Overview of steps required for setup, execution, and analysis of MM-PB(GB)SA, LIE, and TI calcula-
tions with FEW 1).
Call 2)MM-PB(GB)SA (Section 31.4)LIE (Section 31.5)
MD simulations (Section 31.3)
RESP charges AM1-BCC charges
X Preparation of Gaussian input files (31.3.2)Charge calculation & setup of MD simulations
(31.3.2)
Calculation of ESP with Gaussian
X Charge calculation & setup of MD simulations (31.3.2)
Running MD simulations
Free energy calculations
X Setup of MM-PB(GB)SA calculations (31.4) Setup of LIE analysis (31.5)
Running MM-PB(GB)SA calculations Running LIE calculations
Preparation of MM-PB(GB)SA results for analysis (31.4) Preparation of LIE results for analysis (31.5)
Call 2)TI (Section 31.6)
MD simulations 3)(Section 31.3)User structure preparation 3)(Section 31.3)
RESP charges AM1-BCC charges RESP charges AM1-BCC charges
XPreparation of Gaussian
input files (31.3.2)
Charge calculation &
setup of MD simulation
(31.3.2)
Preparation of Gaussian
input files (31.3.2)
Charge calculation &
setup of input structures
(31.3.2)
Calculation of ESP with
Gaussian
Calculation of ESP with
Gaussian
X
Charge calculation &
setup of MD
simulations (31.3.2)
Charge calculation &
setup of input structures
(31.3.2)
Running MD simulations
Free energy calculations
X1. Generation of atom matching list & setup of coordinate and topology files (31.6)
X2.A Setup of TI equilibration simulations (31.6)
Running TI equilibration simulations
X2.B Setup of TI production simulations (31.6)
Running TI production simulations
X3. Calculation of ΔΔG (31.6)
1)Setup procedures available in FEW are marked in bold, calculations conducted externally without
using FEW are indicated in italics, and setup steps perfomed with FEW are shown in normal writing.
2)An X indicates when the user needs to invoke FEW.
3)TI simulations can be prepared based on either structures pre-equilibrated using the common MD setup functionality
of FEW or structures provided by the user and prepared with FEW.
604

31.3. Common setup of molecular dynamics simulations
31.3. Common setup of molecular dynamics simulations
The setup of molecular dynamics (MD) simulations with FEW can be used in connection with all three available
free energy calculation procedures (cf. Figure 31.1).
2
Ligand structure Receptor structure
Structure separation
Charge calculation
RESP charges AM1-BCC charges
Preparation of files
for ESP calculation
A)
ESP calculation with
Gaussian
B)
Preparation of library
file with charges
C)
Calculation of charges
using antechamber and
preparation of library file
with charges
Preparation of LEaP input files
Setup of MD equilibration & production
1
3Generation of coordinate and topology files
Figure 31.2.: Graphical illustration of the steps conducted for setup of MD simulations. Steps that can be executed
independently by separate calls of FEW.pl are indicated by numbers. However, the individual steps
can be combined, so that the whole MD simulation setup can be conducted in 1 or 2 steps for the
AM1-BCC and RESP charge option, respectively (see 31.3).
MM-PB/GBSA and LIE calculations require the existence of MD trajectories from which snapshots can be
extracted, so that a MD setup is needed. For TI calculations it is recommended to use structures pre-equilibrated
with the common MD setup functionality of FEW as input structures. Expert users may also provide structures
directly, i.e. without using the MD equilibration preparation functionality of FEW. In the later case the structures
for TI input must be prepocessed using the structure preparation workflow available in the MD setup procedure
(see Section 31.3.2). As the MD setup functionality requires the same input for all three procedures, it is discussed
here separately from the procedure specific features. The setup of MD simulations is conducted in 3 consecutive
steps (see Figure 31.2), which can be initiated by a minimum of 1 or 2 FEW calls in the case of a setup of MD
simulations with AM1-BCC charges or RESP charges for the ligands, respectively (cf. Table 31.3).
31.3.1. Input structures
Ligand structures: 3D coordinates of ligand structures in the bound position and with the correct protonation
state need to be provided in one of the following formats:
• A) SDF file containing multiple ligand structures (requires the program Babel [514])
• B) mol2 file with multiple ligand structures
• C) mol2 files with one structure per file
605
31. FEW
In the case of A) and B) a structure separation needs to be requested using the flag structure_separation in the
command file. This will result in a set of structures in format C), which is required for MD setup and all further
calculations. Ligands must consist of no more than one residue, and mol2 files must obey the formatting rules
defined by TRIPOS (see http://www.tripos.com/data/support/mol2.pdf). In addition to the information obligatory
according to these rules for the entries in the ATOM section of mol2 files, FEW requires the substructure ID and
the substructure name, i.e., the residue ID and name. As residue names will be shortend to three characters, it
is recommended to use ligand residue names that consist of three characters only. Residue names can consist of
letters and numbers, but should not start with a number nor contain special characters.
Receptor structure: A structure of the receptor in PDB format with all atoms that shall be considered in the
calculation, i.e., including protons, is required. This structure can contain crystal water and / or non-standard
residues. The residues of the receptor need to be consecutively numbered starting from residue number 1. To
ensure that the atom names of the PDB structure can be recognized by LEaP, it is recommended to load the
prepared PDB file first into LEaP and then re-save it. By this the residues are also automatically re-numbered
according to the requirements of FEW. If there are different chains or missing residues in the receptor structure,
those parts of the structure that are not directly connected need to be separated by a TER card in the PDB file
(see http://deposit.rcsb.org/adit/docs/pdb_atom_format.html). The residue name of all atoms that belong to water
molecules must be either “WAT” or “HOH”.
31.3.2. Flags for MD setup
The following flags are available for MD setup. Flags and corresponding options are given. Essential flags are
marked in bold and optional ones are shown in normal writing. Statements in “<” and “>” brackets denote place
holders. For example input files see examples/command_files/commonMDsetup.
MD simulations are setup with a cubic water box extending at least 11 ˙
A in each direction from the solute. Trun-
cated octahedrons are currently not supported. The normal file extensions of MD input and output files are short-
ened: *.inpcrd to *.crd and *.prmtop to *.top. An overview of the folder structure created upon MD setup is shown
in Figure 31.3.
Specification of input / output directories and formats:
lig_struct_path <path> Path to folder containing the ligand structures. For ligands provided in format
C) a folder containing exclusively all ligand structures that shall be regarded
needs to be manually created and specified under lig_struct_path. If ligand
structures are provided in input format A) or B) and a separation is requested
a folder called structs containing the separated structures is created in the
basic output directory. This folder needs to be specified in all subsequent
setup steps.
output_path <path> Path to main output directory in which all new folders will be generated.
rec_structure <structure> Full path and name of receptor structure file in PDB format.
lig_format_sdf 0 | 1 Set to 1, if multi-ligand file in sdf-format is provided; format A).
lig_format_mol2 0 | 1 Set to 1, if ligand structure files are provided in format B) or C).
water_in_rec 0 | 1 Optional: 1: Crystal water present in receptor structure. Water molecules
need to be provided after the solute and should carry the residue name “WAT”
or “HOH”. 0: PDB structure of the receptor contains only the solute and no
crystal water molecules.
606
31.3. Common setup of molecular dynamics simulations
multi_structure_lig_file <name> Only relevant for ligands in input formats A) or B): Basic name of ligand input
file if multi-structure file is provided in input formats A) or B). File extension
can be omitted.
bound_rec_structure <structure> Optional: Absolute path and name of the receptor PDB structure in the bound
state, in case two different receptor structures shall be used for setup of com-
plex and receptor in the 3-trajectory approach.
Structure separation
structure_separation 0 | 1 Only relevant if ligands are in input formats A) or B): Set to 1 in case of ligand
input format A) or B). If set to 1, structure separation is conducted, and the result-
ing single structure files are stored in mol2 format in a folder called structs under
<output_path>. Default = 0.
Generation of files for setup of system with LEaP
prepare_leap_input 0 | 1 The parameters in this section will only be regarded if this flag is set to 1. If the
flag is switched on, the files needed for the preparation of the system with LEaP
are generated.
non_neutral_ligands 0 | 1 Set to 1, if the total charge of at least one ligand molecule is not equal to zero. In
this case the total charge of each non-neutral ligand molecule needs to be defined
in a separate file lig_charge_file.
lig_charge_file <file> If the total charge of at least one ligand molecule is not equal to zero, spec-
ify the full path and name of a file in which the names, the total charge, and
the multiplicity of the non-neutral ligands is stored in tab-separated format; see
examples/input_info/charge.txt.
am1_lig_charges 0 | 1 Set to 1 if ligand charges shall be calculated according to the AM1-BCC method
[285,286]. Please note: Only one charge calculation method can be used at a
time.
resp_lig_charges 0 | 1 Set to 1 if ligand charges shall be calculated according to the “Restraint electro-
static potential fit” (RESP) method [516]. Please note: Only one charge calcula-
tion method can be used at a time.
resp_setup_step1 0 | 1 Request step one of the RESP charge calculation. The RESP charges are calcu-
lated in two steps. First, the files needed for ligand structure optimization and the
calculation of the electrostatic potential with the program Gaussian are generated.
If this step is carried out, a folder called “gauss” containing all input files for the
Gaussian calculation is generated in the <output_path> directory. This folder can
be copied to a compute cluster, where the program Gaussian is available. It is then
possible to run the Gaussian jobs for all ligands at the same time.
resp_setup_step2 0 | 1 Request step two of the RESP charge calculation, in which the atomic charges are
calculated based on the ESP computed with Gaussian. If this flag is set to 1, the
Gaussian output files need to be available in the folder <output_path>/gauss.
gauss_batch_file 0 | 1 Optional: Request setup of batch scripts for Gaussian jobs. Default = 0.
gauss_batch_template <file> In case resp_lig_charges=1,resp_setup_step1=1, and gauss_batch_file=1,
then the full path and name of the template file for the generation of the
Gaussian batch-script needs to be specified here. Example template file:
examples/input_info/gaussian.pbs. Please adapt the file according to the needs
of your queuing system, but keep the variables and the format in the section “Fix
variables” and ensure that the line for job naming ends with “-N”.
607
31. FEW
gauss_batch_path <path> If the basis working directory for the Gaussian calculations differs from the
<output_path> directory the new basis directory can be specified here. For ex-
ample, this might be the case if the calculations shall be run on a compute cluster.
average_charges <file> Optional: If the charges of two enantiomers shall be averaged, such that the two
molecules obtain the same atomic charges, a file in which the enantiomer pairs
are defined needs to be specified here. Prerequisite: The atom order and naming
in the input mol2-files of the ligand isomers is identical. An example file can be
found under examples/input_info/isomer_pairs.txt
calc_charges 0 | 1 Optional: This flag determines whether charges are calculated. If set to 0, only
LEaP input files that do not require charge calculation are generated. Default = 1.
Setup of MD simulations
setup_MDsimulations 0 | 1 Request generation of input files for MD simulations by setting this
flag to 1. All other flags in this section are only taken into account if
setup_MDsimulations=1.
traj_setup_method 1 | 3 Specify whether simulations shall be setup according to the 1-trajectory or
the 3-trajectory protocol for MM-PBSA or MM-GBSA. For LIE analyses,
only the 3-trajectory setup, i.e., separate simulations for the ligand bound
to the complex and for the ligand free in solution, works. For the TI ap-
proach preparation of an equilibration according to the 3-trajectory setup
can be performed.
MD_am1 0 | 1 Set to 1 if MD simulation setup shall be conducted using previously cal-
culated AM1-BCC charges.
MD_resp 0 | 1 Set to 1 if setup of MD simulations shall be carried out using previously
calculated RESP charges.
SSbond_file <file> If your receptor contains disulfide bridges the S-S bond connectivities need
to be defined in a separate file. The full path and name of the file containing
the disulfide bridge definitions should be provided here. In this file the
numbers of those residues involved in S-S bonds should be specified in
tab-separated format. Please note, all cysteine residues involved in S-S
bonds should be named CYX in the provided receptor PDB structure. For
an example S-S connectivity file see examples/input_info/SSbridges.txt
total_MDequil_time <time> Total equilibration time in [ps]. The simulation time requested in all tem-
plate files provided for equilibration needs to sum up to the time provided
here. In case the files provided in the example MDequil_template_folder
are used this keyword does not need to be specified. Default = 400 ps.
MDequil_batch_template <file> Absolute path and name of the batch template file for the equilibration.
This file should contain calls for all equilibration steps. For an example
template file see examples/input_info/equi.pbs. Please adapt this file ac-
cording to your needs, but keep the variables and the format in the section
“Fix variables” and ensure that the line for job naming ends with “-N”.
total_MDprod_time <time> Total simulation time of MD production in [ns].
608
31.3. Common setup of molecular dynamics simulations
MD_prod_batch_template <file> Absolute path and name of the batch template file for MD production.
For an example template file see examples/input_info/prod.pbs. Please
adapt this file according to the needs of your queuing system, but do not
change anything from the section “Fix variables” up to the section “Re-
queue” and ensure that the line for job naming ends with “-N”.
no_of_rec_residues <no.> Actual number of residues in the receptor structure when all residues in the
receptor are consecutively numbered starting from 1. Structurally bound
ions should be treated as part of the receptor.
restart_file_for_MDprod <file> Basename of restart file from equilibration that shall be used as initial file
for MD production.
additional_library <library file> Absolute path and name of additional library file. If your receptor structure
contains non-standard residues or ions, an AMBER library file for these
residues / ions needs to be provided here.
additional_frcmod <file> Absolute path and name of additional parameter file. If your receptor
structure contains residues or ions for which no parameters are available
in the ff12SB force field, a parameter file in which the missing parameters
are defined needs to be provided here.
MD_batch_path <path> If the simulations need to be conducted on another system / machine than
the one used for setup, the <output_path> during the simulations may dif-
fer from the one used for setup. If this is the case, please specify here the
basis directory for the MD simulations. If no path is defined, it is assumed
that the path is equal to <output_path>.
MDequil_template_folder <folder> Absolute path to the folder containing the template files for equilibration.
All files provided in this folder will be considered for equilibration setup.
Example equilibration files that will be used per default can be found un-
der examples/input_info/equi. If you change the template files or create
additional files, please keep the format for the definition of the residues
that shall be restraint.
MDprod_template <file> Please specify the absolute path and name of the template file for pro-
duction run. In this file all the flags you would like to use in your
MD simulation should be set according to the sander |PMEMD defini-
tions. The assignment should have the form flag = <value>, and indi-
vidual flags should be separated by commas. For an example file see
examples/input_info/MD_prod.in. Per default this file will be used as
template if no template file is specified.
609

31. FEW
output_path
folder 1
structs Foldercontainingtheligandstructuresinmol2Ͳformat.Allstructures
providedinthisfolderareautomaticallyregardedinthecalculationsetup.
2
<Ligandname>
<Li d
>
gauss InputandoutputfilesofESPcalculation
withtheprogramGaussian
2
…
<Li
gan
d
name
>
<Ligandname>
<Li
g
andname>
leap Libraryandparameterfiles&PDBfiles
preparedforcomplex,receptorandligand
…
g
3
<Ligandname>
<Ligandname>
MD_<chargemethod> cryst
equi
Structurerelated
information
Equilibration
f l
…
equi
prod
input
f
i
l
es
MDproduction
inputfiles
Figure 31.3.: Directory structure and files created during the common MD setup step of FEW.
31.4. Workflow for automated MM-PBSA & MM-GBSA calculations
(WAMM)
The module WAMM allows to calculate binding free energies of ligands according to four flavors of the
Molecular Mechanics Poisson-Boltzmann Surface Area (MM-PBSA) approach and three types of the Molecular
Mechanics Generalized Born Surface Area (MM-GBSA) approach. All energies are calculated based on confor-
mational ensembles generated by MD simulations that have been conducted using the common MD setup func-
tionality of FEW (Section 31.3). An overview of the available binding free energy calculation options is given
in Table 31.4. All binding free energy calculation methods except method PB2 can be applied to the 1- and the
3-trajectory approach. PB2 can only be used in conjunction with the 3-trajectory approach. Residue-wise and
pair-wise decomposition of the effective energy (decomposition keyword) is currently only possible with PB=4 &
GB=1. The solvent accessible surface area is calculated according to the ICOSA method in this case.
The availability of trajectories from MD productions for the complex (1-trajectory approach) or for complex,
receptor, and ligand (3-trajectory approach) is prerequisite for the setup of free energy calculations according to the
MM-PBSA / MM-GBSA method. These trajectories should be prepared with the MD setup functionality of FEW
(cf. section 31.3). Example files for WAMM analysis setup can be found in examples/command_files/MMPBSA.
Besides the common section for input / output directories and format definitions, the WAMM module considers
several specific flags (see below). An overview of the folder structure created by the MM-PB(GB)SA workfow is
shown in Figure 31.4.
610

31.4. Workflow for automated MM-PBSA & MM-GBSA calculations (WAMM)
Table 31.4.: Overview of flavors of MM-PBSA and MM-GBSA calculation procedures available in the WAMM
module.
Alias Radii 1)Calculation of polar
solvation energy
Method for calculation of the non-polar
solvation energy
SASA2)Enonpolar3)γ4)b5)
GB1 mbondi[134]GB HTC
[123,132,134]LCPO [108]γSASA + b 0.00720 0.0000
GB2 mbondi2 [120]GBOBCmodel I [120]LCPO [108]γSASA + b 0.00500 0.0000
GB5 mbondi2 [120]GBOBCmodel II [120]LCPO [108]γSASA + b 0.00500 0.0000
PB1 Tan&Luo +
mbondi6)[134,162]PBSA7)PBSA8)[148]γSASA + b
+ Edispersion.0.03780 - 0.5692
PB2 Tan&Luo +
mbondi6)[134,162]
Hybrid
PBSA9)[517]
Molsurf [489]
+ PBSA
γMSA + b
+ EvdW 10)0.06900 0.0000
PB3 Parse [137]PBSA7)Molsurf [489]γSASA + b 0.00542 0.9200
PB4 mbondi [134]PBSA7)Molsurf [489]γSASA + b 0.00720 0.0000
dec 11)mbondi [134]PBSA7)+
GBHTC [123,132,134]ICOSA 12)γSASA + b 0.00720 0.0000
1)Radii used for the calculation of the polar solvation free energy.
2)Program or method used for the calculation of the solvent accessible surface area
3)Equation used for the calculation of the nonpolar part of the solvation free energy
4)Surface tension (SURFTEN) term in MM-PBSA / MM-GBSA calculations
5)Offset (SURFOFF) term in MM-PBSA / MM-GBSA calculations
6)Tan&Luo radii for the protein and mbondi radii for the ligand (per default). Radii optimized according to Tan&Luo [162] can be
provided in the topology file and will then be regarded in the calculation setup.
7)Calculations are conducted with the PBSA module using the “Modified Incomplete Choleski Conjugate Gradient”
Poisson-Boltzmann solver.
8)Edispersion is calculated by a numerical determination of the solvent accessible surface area.
9)Hybrid solvent MM-PBSA calculation according to Metz & Gohlke 2006. Please refer to the respective mm_pbsa.pl execution
example provided in AMBER14 for a detailed explanation of the results and their correct interpretation.
10)The nonpolar solvation free energy is calculated as the sum of the cavity free energy γMSA + b (where MSA = molecular surface
area) and the van der Waals interaction energy between solute and solvent atoms.
11)Decomposition of effective binding free energies requested by the decomposition option.
12)SASA is calculated by a recursive approximation of a sphere around an atom, starting from an icosahedron.
Specification of input / output directories and formats
lig_struct_path <path> Path to folder containing the ligand structures. All ligand structures should now be
available in mol2 format, since the conversion should have been carried out in the MD
simulation preparation step.
output_path <path> Path to the basic output directory. This path should be identical to the <output_path>
specified in the common MD setup step.
water_in_rec 0 | 1 Set to 1 if crystal water molecules were present in the receptor structure used for MD
simulation setup.
General parameters for MM-PBSA / MM-GBSA calculation setup
mmpbsa_calc 0 | 1 Request setup of files for MM-PBSA or MM-GBSA calculations.
611

31. FEW
1_or_3_traj 1 | 3 Specification of the method that shall be used for calculation setup. 1-trajectory
approach: Requires complex trajectories prepared using traj_setup_method=1
in the MD setup step. 3-trajectory approach: Requires trajectories of ligand,
receptor, and complex prepared with traj_setup_method=3 in the MD setup step.
charge_method am1 | resp Charge method that shall be used for the calculations. MD trajectories in which
the corresponding charge method was employed for the ligand need to be avail-
able. See section 31.3 on how to setup the MD simulations.
additional_library <file> Optional: Absolute path and name of additional library file. Such a library file is
only required if the receptor structure contains non-standard residues.
additional_frcmod <file> Optional: Absolute path and name of additional parameter file. Such a file is
only needed, if not all parameters required to describe the receptor are available
in the ff12SB force field.
mmpbsa_pl <file> Absolute path and name of mm_pbsa.pl executable that shall be used for the
calculations. Also a path relative to the AMBERHOME directory can be speci-
fied. Note that in the latter case the AMBERHOME variable needs to be set in
the mmpbsa_batch_template batch template script. Per default it is assumed that
mm_pbsa.pl can be called by $AMBERHOME/bin/mm_pbsa.pl
Snapshot extraction
extract_snapshots 0 | 1 Request coordinate extraction.
first_snapshot <number> Number of the first structure that shall be extracted. Please consider that <num-
ber> is equivalent to the sum of the number of the structure in the corresponding
trajectory and the number of structures present in all trajectories read in before.
last_snapshot <number> Number of last structure that shall be extracted. Please consider that <number>
is equivalent to the sum of the number of the structure in the corresponding
trajectory and the number of structures present in all trajectories read in before.
offset_snapshots <number> Frequency of snapshot extraction. Every <number>th structure will be extracted
from the trajectory.
trajectory_files all | <file> Trajectory that shall be considered in snapshot extraction. For a consistent num-
bering and addressing of the snapshots request consideration of all trajectories
by specifying all. The interval from which snapshots shall be extracted can be
defined via the flags first_snapshot,last_snapshot, and offset_snapshots.
If individual trajectories shall be used, specify each trajectory file in a separate
line starting with the flag trajectory_files. Default = all.
snap_extract_template <file> Optional: Absolute path and name of input-file for mm_pbsa.pl that shall be
used for coordinate extraction. If no file is specified, it is assumed that the
default file examples/input_info/extract_snaps.in shall be used.
image_trajectories 1 | 0 If set to 1, snapshots of the specified trajectories will be imaged to the origin
before coordinate extraction. It is strongly recommended to use this option for
all MM-PBSA / MM-GBSA calculations. Attention: Imaging may require a
large amount of additional disc space. Default = 1.
612
31.4. Workflow for automated MM-PBSA & MM-GBSA calculations (WAMM)
MM-PBSA / MM-GBSA Analysis
PB 0|1|2|3|4 Type of Poisson-Boltzmann calculation (cf. Table 31.4 for an overview of
the available calculation options). Please consider that only PB and GB
methods requiring the same radii can be run together, i.e. PB=4 and GB=1.
All other PB methods can only be run with GB=0.
GB 0|1|2|5 Type of generalized Born calculation (cf. Table 31.4 for an overview of
the available calculation options).
decomposition 0 | 1 | 2 | 3 | 4 If larger than 0 energy decomposition of the specified type is performed
(cf. idecomp in Chapter 17 for decomposition options). Decomposition
only works with PB=4 and GB=1.
no_of_rec_residues <number> Actual number of residues in the receptor structure.
total_no_of_intervals <number> Total number of intervals that shall be analyzed. Please note that specify-
ing more than one interval is only reasonable, if different offsets between
structures shall be considered. Otherwise the energies for subsets of the an-
alyzed snapshots can be calculated using the mm_pbsa_statistics.pl script
provided in AMBER. Default = 1.
first_PB_snapshot <number> Number of the first structure to be considered in the analysis.
last_PB_snapshot <number> Number of the last structure to be considered in the analysis.
offset_PB_snapshots <number> Offset between structures that shall be considered in the MM-PBSA / MM-
GBSA analysis. Every <number>th snapshot will be taken into account.
mmpbsa_batch_template <file> Absolute path and name of batch template file for the MM-PBSA / MM-
GBSA calculations. Example file: examples/input_info/MMPBSA.pbs.
Please adjust the template according to your computing environment, but
keep everything from the section “Prepare calculation” onward and ensure
that the line for job naming ends with “-N”. The files generated during
the calculation will be temporarily stored in the /tmp folder of the machine
used for the calculation. Thus, not more than one node should be used per
calculation.
mmpbsa_batch_path <path> Optional: If the calculations shall be conducted using a different path than
the one used for setup, this path can be specified here. In case no path is
given the <output_path> will be used.
mmpbsa_sander_exe <file> Optional: Absolute path and name of sander executable that shall be used
instead of the default executable in $AMBERHOME/bin
parallel_mmpbsa_calc <number> Number of processors to use in parallel run. This flag sets the PARALLEL
flag in the mmpbsa.in file, i.e. <number> of threads will be run. Default =
1 (serial).
mmpbsa_template <file> Optional: Absoulte path and name of the input file for mm_pbsa.pl that
shall be used for the MM-PBSA / MM-GBSA calculations. If no file is
specified, the default file located under examples/input_info/mmpbsa.in
is taken. The default file can be modified by expert users, but only the
following parameters may be changed: VERBOSE, DIELC, INDI, EXDI,
SCALE, LINIT, ISTRNG, SALTCON, INTDIEL, and/or EXTDIEL.
613

31. FEW
output_path
folder
calc
<r|a>
<
x>t
<Ligand name
>
x
<Ligandname>
calc
_<r|a>
_
<
x>t
<Ligand
name
>
…
x
qsub_s_<start>_<end>_<offset>_pb<no.>_gb<no.>.sh
ScriptforsubmissionofMMͲPBSA/MMͲGBSAjobs
xsnapshots FolderwithsnapshotsextractedfromMDtrajectories
topo
s <start> <end> <offset>
PB<no > GB<no >
Inputand
FoldercontainingtopologyfilesforMMͲPBSA&MMͲGBSA
…
s
_
<start>
_
<end>
_
<offset>
PB<no
.
>
_
GB<no
.
>
outputfiles
ofMMͲPBSA
and/or
MMͲGBSA
l l
PB<no.>_GB<no.>
s_<start>_<end>_<offset>
…
ca
l
cu
l
ations.
…
Figure 31.4.: Folder structure and files created during setup of MM-PB/GBSA calculations.
Postprocessing:
If MM-PBSA or MM-GBSA calculations without decomposition were conducted for several ligands, the bind-
ing free energies and important energetic contributions can be extracted from the <ligand>_statistics.out files
created by mm_pbsa.pl using the script .../FEW/micellaneous/extract_WAMMenergies.pl.
Usage:
perl extract_WAMMenergies.pl <structure file> <path> pb<no.>_gb<no.> <Start>_<Stop>_<Offset>
structure file Text file containing names of ligands for which energies shall be extracted; one
name per line.
path Path to directory containing MM-PBSA or MM-GBSA results, e.g.,
/home/<user>/work_dir/calc_r_1t.
pb<no.>_gb<no.> FEW internal number of type of MM-PBSA / MM-GBSA calculation; see Ta-
ble 31.4. The script can be used for all types of implicit solvent calculations
available in FEW, except the hybrid model (PB2) and decomposition (dec).
<Start>_<Stop>_<Offset> Snapshots taken into account in the MM-PBSA / MM-GBSA calculations; see
flags first_PB_snapshot,last_PB_snapshot, and offset_PB_snapshots in the
“MM-PBSA / MM-GBSA Analysis” section above.
A file called pb<no.>_gb<no.>.txt will be created in the current working directory. In this file the electrostic (ELE),
van der Waals (VDW), nonpolar solvation (NP_SOLV), and polar solvation (P_SOLV) energy contributions to
binding as well as the total binding free energy (ETOT) are listed for each ligand.
614
31.5. Linear interaction energy workflow (LIEW)
31.5. Linear interaction energy workflow (LIEW)
The LIE workflow enables energy calculations according to the linear interaction energy approach introduced
by Åquist et al. [518] and was applied in numerous ligand binding affinity studies [519–521]. In this approach the
changes upon complex formation in the electrostatic and the van der Waals interaction energy between a ligand
and its surrounding environment are calculated based on MD simulations of the receptor bound ligand and of the
ligand in solution. The binding free energy is estimated by combining differences in the electrostatic and van der
Waals interaction energies in a linear equation with the coefficients αand βand possibly a constant term γ.
4ELIE =βEele
bound −Eele
f ree+αEvdW
bound −EvdW
f ree +γ
Commonly βis set to 0.5. However, several alternative strategies for selecting the coefficients and γexist
[519,522,523]. Furthermore it has been proposed to consider the difference in solvent accessible surface area
between the bound and the free state of the ligand in the calculation of the binding free energy [524,525].
4ELIE =βEele
bound −Eele
f ree+αEvdW
bound −EvdW
f ree +γ(SASAbound −SASAf ree)
With the LIE workflow it is possible to setup the required MD simulations and to calculate the electrostatic and
van der Waals interaction energy contributions as well as the solvent accessible surface area based on snapshots
from the MD simulations by an automated procedure. This enables a fast calculation of the energy components
needed for a LIE analysis, making energetic calculations for multiple ligands feasible. The computed energies can
be used to construct a LIE model employing a (multiple) linear regression analysis.
The MD simulations can be conducted with sander or PMEMD of Amber version 14. Electrostatic and van der
Waals interaction energies of the ligand based on snapshots from the MD simulations are calculated with sander.
MD simulations for LIE analysis can be prepared using the common MD setup functionality of FEW described
in section 31.3. Only MD setups according to the 3-trajectory approach are possible when the LIE procedure is
requested. The receptor part of the 3-trajectory approach will automatically be neglected such that only files for
the two simulations required for LIE analysis are generated. Thus, internally a 2-trajectory approach is prepared.
The availability of output/trajectory-files of simulations of the receptor bound ligand and of the ligand free in
solution in the folders created by the MD setup procedure of FEW is a prerequisite for the energetic calculations.
As for all FEW setup procedures, the command file for the energetic calculations according to the LIE approach
needs to contain the flags specifying the input and output directories and formats (see section 31.3 “Common
setup of molecular dynamics simulations” for a detailed explanation) as well as procedure specific flags. Example
command files for LIE calculation setup are provided in examples/command_files/LIE. An overview of the folder
structure created by the LIE workflow is shown in Figure 31.5.
Specification of input / output directories and formats
lig_struct_path <path> Path to folder containing the ligand structures. All ligand structures should be
available as single structure mol2 files, because the format conversion should have
been carried out in the preparatory step.
output_path <path> Path to the basis output directory. This path needs to be identical to the
<output_path> specified in the common MD setup step.
water_in_rec 0 | 1 Set to 1 if crystal water molecules were present in the receptor structure used for
MD simulation setup.
615
31. FEW
General parameters for LIE calculations
lie_calc 0 | 1 Request setup of LIE calculations.
charge_method am1 | resp Charge method that shall be considered for LIE analyses. Trajectories of MD sim-
ulations with corresponding atomic charges for the ligand need to be available. The
generation of the files required for these simulations is described in section 31.3.
no_of_rec_residues <number> Actual number of residues in the receptor structure.
additional_library <file> Optional: Absolute path and name of additional library file. Such a library file is
only required if the receptor structure contains non-standard residues.
additional_frcmod <file> Optional: Absolute path and name of additional parameter file. Such a parameter
file is only required if not all parameters that are needed to describe the receptor are
available in the ff12SB force field.
lie_executable <executable> Optional: Absolute path and name of the LIE.pl program for calculation of interac-
tion energies according to the LIE approach, which is distributed with FEW. If no
executable is specified, it is assumed that the LIE program can be found under the
default path and name at $AMBERHOME/AmberTools/src/FEW/miscellaneous/LIE.pl
lie_batch_template <file> Absolute path and name of batch file for LIE analysis. An example file can be
found under exmaples/input_info/lie.pbs. Please adapt the batch file according
to the requirements of your queuing system, but do not change anything from the
“Prepare calculation” section onward and ensure that the line for job naming ends
with “-N”.
lie_batch_path <path> Optional: Path that shall be used instead of the <output_path> for the setup of
batch file. This information is only required if the LIE analysis shall be run under
a different path than the setup.
Snapshot extraction
snaps_per_trajectory <number> Number of snapshots per trajectory. If more than one trajectory file is pro-
vided, all trajectory files need to contain the same number of snapshots.
image_trajectories 1 | 0 If set to 1, the structures will be imaged to the origin before coordinates are
extracted. This is strongly recommended. However, please regard that imaging
may consume a large amount of disc space, since new trajectories with imaged
structures are created. Default=1.
trajectory_files all | <file> Trajectory files that shall be regarded. For a consistent numbering of the snap-
shots it is strongly recommended to consider all trajectories that have been
generated by specifying all. Subsets of snapshots that shall be considered in
the energy calculation can be selected by the parameters first_lie_snapshot,
last_lie_snapshot, and offset_lie_snapshots. Individual trajectory files can
be selected by specifying their file name (without the path). Each file that shall
be considered must be specified in a separate line starting with the keyword
trajectory_files. Default = all.
LIE Analysis
first_lie_snapshot <number> No. of first snapshot that shall be regarded in the energy calculation.
last_lie_snapshot <number> No. of last snapshot that shall be regarded in the energy calculation.
616

31.5. Linear interaction energy workflow (LIEW)
offset_lie_snapshots <number> Offset between snapshots that shall be regarded in the energy calculation.
Every <number>th snapshot will be considered.
calc_sasa 0 | 1 Request calculation of solvent accessible surface area. Default = 0.
sander_executable <executable> Optional: Absolute path and name of sander executable that shall be used
for the energy calculation if not the default application under $AMBER-
HOME/bin shall be employed.
parallel_lie_call <call> The calculations can be conducted using a parallel version of sander. If
you would like to start a parallel job, please specify the call required for
starting a parallel execution of sander on your system here, e.g.: mpirun
-np 2. Prerequisite for parallel execution: Parallel version of sander avail-
able.
delete_lie_trajectories 0 | 1 As storing the coordinates of the structures in a form specifically required
for LIE analyzes can consume a large amount of disc space, it can be ad-
vantageous to only temporarily create them. If delete_lie_trajectories
is set to 1, the trajectories for LIE analyzes are deleted directly after the
energy calculations.
output_path
folder lie_<chargemethod> <Ligandname> x
<Ligandname>
…
qsub LIE sh
Script for submission of LIE jobs
qsub
_
LIE
.
sh
Script
for
submission
of
LIE
jobs
xcom topo
Top ologies
energy calc in
s_tot
s_lig
Top ologies
Snapshots
Outputfrom
energy calculation
energy
_
calc
.
in
Automaticallycreatedcommand
fileforenergycalculations
com_<vdW|ele>_<F>_<L>_<O>.txt
s_res
topo
energy
calculation
vdWorelectrostaticenergyper
complexsnapshot
lig_<vdW|ele>_<F>_<L>_<O>.txt
vdW or electrostatic energy per
s_com
ener_tot
ener_lig
s_tot
s_lig
vdW
or
electrostatic
energy
per
ligandsnapshot
LIE_s<F>_<L>_<O>.dat
Filecontainin
g
finalresults
ener_res s_wat
ener_tot
g
lig
ener_lig
ener_wat
Figure 31.5.: Folder structure and files created during the setup of LIE calculations. For reasons of clarity
first_lie_snapshot,last_lie_snapshot, and offset_lie_snapshots were replaced by aliases F,
L, and O.
617
31. FEW
Postprocessing:
If LIE analyzes were conducted for several ligands, the differences in electrostatic and vdW in-
teraction energies can be extracted from the LIE_s<first>_<last>_<offset>.txt files using the script
$AMBERHOME/AmberTools/src/FEW/miscellaneous/extract_LIEenergies.pl.
Usage:
perl extract_LIEenergies.pl <structure file> <path> <name of LIE output file>
structure file Text file containing the names of the ligands that shall be considered (one ligand
per line) and experimentally measured IC50 or Kior binding free energies in
tab-separated format.
Example:
#Ligands dG
Lig_5 -0.5394
Lig_17 -1.3409
path Path to directory containing the LIE results, e.g.
/home/<user>/work_dir/lie_am1.
name of LIE output file Name of the final result file of the LIE calculations, i.e.
LIE_<first>_<last>_<offset>.txt, where <first>, <last>, and
<offset> are equivalent to the values selected for the corresponding
<X>_lie_snapshot(s) keywords described above.
A file called LIE_results.txt will be created in the current working directory. In this file, besides the ligand name
and the binding affinity value provided in the <structure file>, the differences in electrostatic (ELE) and van der
Waals (VDW) interaction energies and the difference in solvent accessible surface area between the bound and the
free state are listed. The file can be used directly to derive a linear model by a (multiple) linear regression analysis.
618

31.6. Thermodynamic integration workflow (TIW)
31.6. Thermodynamic integration workflow (TIW)
The TI workflow enables a fast setup of transformation simulations between two ligands for the determination
of the difference in free energy of binding according to the thermodynamic integration approach. Transformation
simulations are prepared employing the one step, soft core option provided in AMBER. For a detailed description
of the method see Section 21.1. Prerequisite for conducting the TI calculation setup with FEW is a parallel
installation of the program sander of AMBER (version 14).
Transformation simulations can either be started from provided structures or from structures that have been
pre-equilibrated with FEW. Equilibrated structures of complex and ligand can be prepared using the common
MD setup functionality of FEW. See section 31.3 for details on how to prepare the files for minimization and
equilibration. Alternatively, the TI setup can be requested based on coordinate and topology files generated from a
crystal structure or from other sources. This option can be valuable in cases where high resolution crystal structures
are avaible for the receptor bound state of both the initial (V0) and the final (V1) ligand and these show only
marginal differences with respect to the receptor structure. In case user provided structures shall be used directly
it is necessary to run the common MD setup procedure without providing the flag MDequil_template_folder, in
order to prepare the files required for the TI calculations. Figure 31.6 illustrates the two setup options and the
corresponding workflows.
Ligand structure Receptor structure
Structure separation
Charge calculation
Preparation of LEAP input files
Setup of MD (3-trajectory approach)
AB
Preparation of coordinate and topology files
Creation of input files for equilibration
Running equilibration
Setup of TI calculations
Final coordinates of equilibration
Coordinate files
prepared for ligand
and complex
Figure 31.6.: TI workflow options: TI based on (A) a structure equilibrated using the MD setup functionality of
FEW or (B) a user provided structure, e.g., a crystal structure.
The TI simulations are separated into a TI equilibration and a TI production phase. Input files for the latter
can only be prepared when the equilibration simulations have been completed. In the equilibration phase the
transformation simulations are conducted sequentially for all λvalues in ascending order (Figure 31.7), i.e., the
final coordinate file of the equilibration at the smallest λvalue serves as input file for the next larger λvalue, and
so on. Thus, only one batch-job for the equilibration needs to be submitted per system.
619

31. FEW
1)Structurepreparation:
Coordinateandtopologyfilesofmol2filesofligandswith
ligandandcomplexinstateV0 chargesforstatesV0andV1
Re‐orderingofatomsshifting
softcoretotheendofthefile
Generationofcomplexandligand
PDBfilesofstatesV0andV1
LibraryfilesforstatesV0andV1
Coordinateandtopologyfiles
forstatesV0andV1
2A)Sequentialequilibrationwithdifferent-‘s:
-=0.21.4nsequilibrationFinalcoordinatefile
-=0.41.4nsequilibrationFinalcoordinatefile
-=0.61.4nsequilibrationFinalcoordinatefile
-=0.81.4nsequilibrationFinalcoordinatefile
2B)Parallelproductionsimulationswithdifferent
-
‘s:
-=0.2(Startstructure:Finalstructurefrom-=0.2equilibration)
-
=
0.4
(Start structure: Final structure from
-
=
0.4 equilibration)
-
0.4
(Start
structure:
Final
structure
from
-
0.4
equilibration)
-=0.6(Startstructure:Finalstructurefrom-=0.6equilibration)
-=0.8(Startstructure:Finalstructurefrom-=0.8equilibration)
Figure 31.7.: Internal TI workflow of FEW consisting of structure preparation, equilibration simulations, and pro-
duction simulations.
Production simulations are started from equilibrated structures, i.e., from coordinate files obtained in the equi-
libration phase. Prior to the setup of the production simulations it is checked whether the systems are thoroughly
equilibrated employing a reverse cummulative averaging procedure [526]. The production simulations, which are
prepared when the equilibration check is complete, can be conducted in parallel for all λvalues. For each λvalue
a separate batch script is generated. Production simulations are run either until a convergence measure, calcu-
lated after each production step, falls below a specified limit or the total runtime defined in the command file is
reached. Two alternative convergence criteria are available: (I) The difference between the current standard error
in dV/dλ, determined according to [362], and the one calculated in the previous step. (II) The precision of dV/dλ,
i.e., the expected deviation of the true mean from the sample mean determined based on a student’s distribution at
a confidence level of 95%. How often the convergence is checked depends on the simulation time specified in the
provided template file for TI production. A convergence analysis is performed after each production run, and if the
termination criterion is not reached, the next round of TI production is started. Since the calculation of the conver-
gence measures requires the determination of the autocorrelation time in dV/dλ, the number of dV/dλvalues that
are written to the sander output file should be 10 times larger than the autocorrelation time. As the autocorrelation
time is typically in the range of 1 ps [362], it is recommended to request writing of at least 20 dV/dλvalues in
the template production file when a recording interval of 1 ps is used. If the number of dV/dλvalues is not larger
than 10 times the autocorrelation time, the simulation procedure is terminated after the first production step. The
convergence analysis is handled by the batch script and does not require user intervention.
When the transformation simulations have been completed (cf. Figure 31.8 for created folder structure), the TIW
module of FEW can be used to calculate the difference in free energy of binding between the two studied ligands.
The free energy difference 4Gis calculated by numerical integration over the average dV/dλvalues obtained from
the simulations at the individual λ’s, employing the trapezoidal rule. The user can choose whether the commonly
applied linear interpolation to λ=0 and λ=1 shall be conducted (eq. E1) or the boundary area of the dV/dλcurve
shall be neglected (eq. E2).
620
31.6. Thermodynamic integration workflow (TIW)
4G=R1
0hdV(λ)/dλidλ(E1)
4G=∑hdV(λ)/dλi4λ(E2)
Finally the difference in free energy of binding 44Gis calculated by subtracting 4Gligand calculated based on the
transformation of the ligand free in solution from 4Gcomplex derived from the transformation within the complex (eq.
E3).
44G=4Gcomplex −4Gligand (E3)
The existence of files created according to the MD setup for the 3-trajectory approach with FEW is a prereq-
uisite for the execution of the TI workflow. Example command files for TI calculation setup are provided in
examples/command_files/TI.
Specification of input / output directories and formats
lig_struct_path <path> Path to folder containing the ligand structures. All ligand structures should now
be available as single structure mol2 files because the conversion should have been
carried out in the preparatory step.
output_path <path> Path to the basis output directory. This path needs to be identical to the
<output_path> specified in the common MD setup step.
TI simulations
Parameters that have to be specified and need to be identical in all subsequent TI setup runs for one system:
ti_simulation_setup 0 | 1 Request setup of files for TI simulation.
charge_method am1 | resp Charge method that shall be used for the calculations. MD setup files or equi-
librated structures generated with the corresponding charge method need to be
available. See section 31.3 on how to generate these files.
lig_name_v0_struct <name> Name of ligand in start state (V0). The name needs to be identical to the name
used for the corresponding structure in the MD setup step, i.e. basename of
mol2 file.
lig_name_v1_struct <name> Name of ligand in end state (V1). The name needs to be identical to the name
used for the corresponding structure in the MD setup step, i.e. basename of
mol2 file.
lig_alias_v0 <alias> Alias that shall be used for the ligand in the start state (V0). The alias serves,
e.g., as ligand residue name and identifier for the TI simulation files and must
consist of 3 characters.
lig_alias_v1 <alias> Alias that shall be used for the ligand in the end state (V1). The alias serves,
e.g., as ligand residue name and identifier for the TI simulation files and must
consist of 3 characters.
softcore_mask_v0 <mask> Soft core mask for state V0 to be used for AMBER "scmask" definition.
Format: <V0_alias>@<atom>,<atom>,. . . For details about the format see
Section 21.1.
softcore_mask_v1 <mask> Soft core mask for V1 to be used for AMBER "scmask" definition.
Format: <V1_alias>@<atom>,<atom>,. . . For details about the format see
Section 21.1.
621

31. FEW
The following three steps are done by three consecutive calls of FEW according to Figure 31.3.
1. Creation of coordinate and topology files
prepare_match_list 0 | 1 Request setup of match list with atom correspondence information for none soft-
core part of states V0 and V1. The list contains the atom names of corresponding
atoms in the two states, in tab-separated format. In case the automatic matching
fails, the list can also be created manually.
prepare_inpcrd_prmtop 0 | 1 Request setup of coordinate and topology files. The steps needed for preparation
of coordinate and topology files for start and end states are only carried out if
this flag is set to 1.
lig_inpcrd_v0 <file> Coordinate file of solvated ligand start structure in coordinate or restart (inpcrd,
restrt) format. Either the end structure of an equilibration simulation or a crystal /
model structure can be provided. Please regard that in the later case the structure
will be directly subjected to an equilibration MD, without previous minimization,
heating and density adjustment. A significant longer equilibration run will be
necessary in this case. Attention: The coordinate file must have been prepared
with the common MD setup functionality of FEW.
com_inpcrd_v0 <file> Coordinate file of the solvated complex start structure either in coordinate or
restart format (cf. lig_inpcrd_v0 flag).
lig_prmtop_v0 <file> Topology file of the solvated ligand corresponding to the coordinate file specified
under lig_inpcrd_v0.
com_prmtop_v0 <file> Topology file of the solvated complex corresponding to the coordinate file spec-
ified under com_inpcrd_v0.
match_list_file <file> Absolute path and name of a file containing atom correspondence in-
formation between states V0 and V1. An example match-file can be
found in examples/input_info/match_list.txt. This information must only
be provided if the automated generation of the atom correspondence list
(prepare_match_list=1) was not successful and the list was created manually.
SSbond_file <file> Absolute path and name of file containing disulfide bridge definitions for the
receptor. For an example file see examples/input_info/SSbridges.txt
chain_termini <no.>,<no.>, .... Numbers of terminal residues of chains in receptor structure, e.g., if a chain
ends at residue 234 and a new chain starts with residue 235, the number 234
needs to be specified as <no.>.
create_sybyl_mol2 0 | 1 Optional: Request generation of mol2 ligand files for V0 and V1 with sybyl atom
types. As most molecule visualization programs support this format, the created
files allow an easy comparison of atom names of start and end structures to check
the correctness of the atom matching step.
additional_library <file> Optional: Absolute path and name of additional library file containing informa-
tion about non-standard residues or ions.
additional_frcmod <file> Optional: Absolute path and name of additional parameter file. Such a file is only
required if parameters necessary for the description of the receptor are missing
in the ff12SB force field.
622
31.6. Thermodynamic integration workflow (TIW)
2. General parameters for preparation of TI transformation simulations
ti_batch_path <path> Optional: If the simulations shall be run under a different path than the setup, a new
<output_path> for the batch file generation can be specified.
ti_prod_template <file> Optional: Template file for TI production simulations. Per default the example file
under examples/input_info/MD_prod_TI.in will be used as a template. Please adapt
the file according to your needs but keep the format of the lines containing the flags “t”,
“scmask”, and “clambda”. If decomposition is requested, please also use the format
shown in the example file for the specification of “RES” and “LRES”.
no_shake 0 | 1 Optional: Request calculation without AMBER shake option. In this case ensure
that shake is also switched off in the ti_prod_template file. For an example file see
examples/input_info/MD_prod_noShake_TI.in. It is recommended to conduct trans-
formations not involving exchanges of atoms in rings or exchanges of single hydrogen
atoms with shake (no_shake=0) on hydrogens (ntc=2,ntf=2) to be able to increase the
integration step size to 2 fs. Default = 0.
A) Setup of scripts for TI equilibration
ti_equil 0 | 1 Request setup of files for TI equilibration.
ti_equil_batch_template <file> Template batch file for the submission of the equilibration phase
job to a queuing system. An example file can be found under
examples/input_info/equi_TI.pbs. Please adapt the file according to the
needs of your queuing system, but keep everything from the section enti-
tled “Fix variables” up to the section “Re-queue” and ensure that the line
for job naming ends with “-N”.
ti_equil_lambda <no.>,<no.>,... λvalues for which TI equilibration calculations shall be prepared in as-
cending order. Please specify only the decimal digits, e.g. 1 for lambda
0.1, 05 for lambda 0.05. λvalues can be in the range 0.01 – 0.99, i.e., 01 –
99 in the FEW internal nomenclature. For equilibration only equi-distant
λvalues can be used, i.e., 4λneeds to be equal for all successive λ’s.
ti_equil_template <file> Template file for equilibration part of the equilibration phase. For an ex-
ample file see examples/input_info/equi_TI.in. The equilibration part
is followed by a 1 ns free MD simulation for finishing equilibration of
the system. For setup of this later part the template file specified under
ti_prod_template will be used.
B) Setup scripts for TI production simulations
ti_production 0 | 1 Request setup of scripts for TI production simulations. Please note that this
option requires the presence of the results of the TI equilibration calculations
in the corresponding “equi” folder.
ti_prod_lambda <no.>,<no.>,... λvalues for which TI production calculations shall be prepared in ascending
order. Please specify only the decimal digits, e.g., 1 for lambda 0.1, 05 for
lambda 0.05. λvalues can be in the range 0.01 - 0.99, i.e. 01 - 99 in the FEW
internal nomenclature.
total_ti_prod_time <time> Total simulation time per λvalue in [ns]. The number of cyclic runs required
will be calculated based on the definitions in the ti_prod_template. Please
ensure that the MD total simulation time is a multitude of the MD simulation
623
31. FEW
time specified in the production template file. The requested total simulation
time will only be reached, if the error limit for simulation termination is not
reached before.
ti_prod_batch_template <file> Template batch file for the submission of the production phase
job to a queuing system. An example file can be found under
examples/input_info/prod_TI.pbs. Please adapt the file according to your
queuing system, but keep everything from the section entitled “Fix variables”
up to the section “Re-queue” and ensure that the line for job naming ends
with “-N”.
converge_check_script <file> Optional: Absolute path and name of Perl-script used for convergence check-
ing after each production step. If the location of the script is not provided
it will be assumed that the script is located under the default location at
.../FEW/miscellaneous/convergenceCheck.pl
converge_check_method 1|2 Optional: Method that shall be used for convergence analysis. 1: Difference
in standard error of dV/dλbetween consecutive production runs; 2: Precision
of dV/dλdetermined employing student’s distribution. For a detailed expla-
nation refer to the introduction section of the TI calculation module (Section
31.6). Default = 1.
converge_error_limit <limit> Optional: Error limit that shall be used as termination criterion for the TI
production simulations. Default: 0.01 kcal/mol (method 1); 0.2 kcal/mol
(method 2). As long as the convergence measure is larger than this limit and
the total simulation time has not been reached, the simulation will go on.
3. Calculation of the difference in free energy of binding
ΔΔGbinding can be calculated using a command file containing the following parameters (in addition to the
section specifying input / output directories and formats).
ti_ddG 0 | 1 Request calculation of the difference in free energy of binding between start
(V0) and end (V1) ligands.
charge_method am1 | resp Charge method (see above).
lig_name_v0_struct <name> Name of ligand in the start state (V0). The name needs to be identical to the
name used in the setup of the simulations (see above).
lig_name_v1_struct <name> Name of ligand in the end state (V1). The name needs to be identical to the
name used in the setup of the simulations (see above).
lig_alias_v0 <alias> Alias that shall be used for the ligand in the start state (V0). The alias must be
identical with the alias used for the setup of the TI simulations (see above).
lig_alias_v1 <alias> Alias that shall be used for the ligand in the end state (V1). The alias must be
identical with the alias used for the setup of the TI simulations (see above).
dVdL_calc_source <no.>-<no.> Range of files from the production phase of the TI simulations that shall
be considered in the calculation of the difference in free energy of bind-
ing. If set to “0”, all recorded files will be considered. If only files in a
certain range shall be regarded, specify the range, e.g., the range “3-5” will
result in considering of the files xxx_prod03_v1.out, xxx_prod04_v1.out and
xxx_prod05_v1.out from the production run of the TI simulations. In case
all files from a certain time point onward shall be regarded, provide a range
that ends with zero, e.g. “4-0”.
624

31.6. Thermodynamic integration workflow (TIW)
ddG_calc_method 0 | 1 Method that shall be used for the calculation of ∆∆Gbinding. If “1” is specified,
the common procedure with linear interpolation to λ=0 and λ=1 is used. In
case of “2”, no linear interpolation is conducted. The later calculation method
can only be used, if the production simulations were run with equi-distant λ
values, i.e., 4λwas of the same size for all successive λ’s.
output_path
folder
TI <charge method>
<Ligand name V0> <Ligand name V1>
x
TI
_
<charge
method>
<Ligand
name
V0>
_
<Ligand
name
V1>
…
x
Foldercontainsallfilesusedandcreated
duringthegenerationofthecoordinate
and topology files for TI input
setup
x1
and
topology
files
for
TI
input
FilesrequiredforrunningtheTI
equilibrationMD
equi
2A
FilesrequiredforrunningtheTI
production simulations
prod
2B
production
simulations
3
TI results
Outputfilesfromthecalculationofthe
diff i f f bi di
TI
_
results
diff
erence
i
n
f
reeenergyo
f
bi
n
di
ng
Figure 31.8.: Folder structure and files generated during TI calculation setup with FEW. Numbering according to
steps shown in Figure 31.7.
Miscellaneous:
Script for the identification of “optimal” transformations
If several ligands shall be studied by thermodynamic integration the shortest path algorithm of Kruskal [527] can
be used to determine the ”optimal” transformations between the ligands, i.e. those that require overall the smallest
structural changes. In this way, relative binding free energies can be computed between those ligand pairs that
show overall the highest similarity. A script called identify_transformations.pl provided in the miscellaneous
folder of FEW can be used to identify the ”optimal” transformations. This script employs Kruskal’s algorithm to
determine those transformations that lead to the smallest overall score based on a matrix of similarity scores. Such
matrix of similarity scores can for example be obtained by a pairwise ligand comparison employing the Tanimoto-
Combo score of ROCS [528,529]. The script uses the Perl module Graph::Kruskal, which needs to be downloaded
from CPAN (http://www.cpan.org/modules/index.html) and installed as part of the local Perl installation before the
script identify_transformations.pl can be used.
Usage:
perl identify_transformations.pl <number of structures> <score matrix file>
number of structures Integer number specifying the number of structures that shall be regarded in the
search for “optimal” transformations.
625
31. FEW
score matrix file Absolute path and name of file containing the score matrix based on which the
“optimal” transformations are determined. This matrix file should be in tab-
separated text format. The similarity matrix needs to comprise N × N score
values, where N is the number of ligands that shall be regarded. It is assumed
that smaller scores correspond to a higher similarity between ligands. The first
line and the first column should contain the names of the ligands.
Example - section of score matrix file:
L01 L02 L03 L04 ...
L01 0 217 284 199 ...
L02 217 0 285 427 ...
L03 284 285 0 118 ...
L04 199 427 118 0 ...
... ... ... ... ...
626

32. XtalAnalyze
XtalAnalyze is a collective name for a set of scripts that facilite analysis of crystal trajectories. The analysis of
crystal trajectories presents unique challenges because the system is composed of multiple independent copies of
the molecule related by crystal symmetry in an unrestrained crystal lattice. XtalAnalyze allows the user to obtain
basic statistics such as RMSD and B-factors for the unique asymmetric unit using data from the entire supercell.
Other components include a quick plotting utility, a tool to calculate average electron density from the simulation
and a set of smaller utilities for various tasks commonly encountered when working with crystal simulations.
32.1. XtalAnalyze.sh
XtalAnalyze.sh performs basic analysis of crystal trajectories. Generally, it fits each frame of the trajectory to
the original experimental crystal supercell by center of mass fitting, decomposes the trajectory into the individual
asymmetric units and applies the corresponding space group’s crystal symmetry and translation operations in
reverse to bring the coordinates of each unit back into the space of the original asymmetric unit (asu) from which
the supercell was first created. Calculation of various statistics such as lattice and asu RMSD, reverse symmetry and
rmsd B-factors and average coordinates are then performed. In addition, the individual asymmetric unit trajectories
are retained allowing for more specialized analysis by the user of select parts of the supercell trajectory. For a
more detailed discussion of the methods employed and in particular of the meaning of terms such as ’lattice and
asu RMSD’, ’revsym B-factors’, see Ref. [530]. To run XtalAnalyze.sh the user should have Python 2.7, Numpy
(http://www.numpy.org/) and ScientificPython (http://dirac.cnrs-orleans.fr/plone/software/scientificpython/).
XtalAnalyze.sh is a wrapper for cpptraj and python scripts found in $AMBERHOME/AmberTools/src/xtalu-
til/Analysis. To run it, the user should copy XtalAnalyze.sh and ReadAmberFiles.py into a working directory
of their choosing. They should then open XtalAnalyze.sh in a text editor and modify the variables found in the
header under the “USER: SET VARIABLES” heading.
#======================================================================#
# #
# USER: SET VARIABLES #
#======================================================================#
#paths may be absolute or relative to working directory
SC_PRMTOP=topology_file.prmtop
SC_TRAJECTORY=trajectory_file.nc
SC_REFERENCE=restart_file.rst7
PDB_FILE=pdb_file.pdb
SC_PROP="3 2 2"
ASU_NRESIDUES=139
Timestep=0.1
# Amber masks for b-factor and rmsd calculations. These can be modified
# according to the user’s needs.
BM1=":1-129@CA"
BM2=":1-129&!(@H=,CA,C,O,N)"
RM1=":1-129&!(@H=)"
RM2=":1-129@CA,C,N"
SC_PRMTOP - the topology file used for the crystal simulation
SC_TRAJECTORY - simulation trajectory file in NetCDF format; the user may first wish to remove waters,
solvent ions, etc. to speed up calculations
627
32. XtalAnalyze
SC_REFERENCE - original coordinates of the supercell built from the experimental asymmetric unit (usually
using UnitCell and PropPDB) in Amber restart format. This is the supercell coordinates previous to
any minimization or dynamics. All of the asymmetric units in this file should be identical copies of
each other, and the coordinates of the original asymmetric unit must be exactly the same as in the
experimental PDB file. The box-size (last line of the file) must correspond to the supercell not the
crystal unit cell.
PDB_FILE - PDB file of the asymmetric unit which MUST contain SMTRY and CRYST1 records
SC_PROP - three integers in quotes corresponding to the x, y and z propagations used to build the supercell
ASU_NRESIDUES - number of residues in the asymmetric unit
Timestep - timestep between frames (in units of user’s choosing). This is used for the RMSD output.
BM1 - individual atomic B-factors will be calculated for each atom in this mask. (See Section 19.1 for
Amber mask format.) Usually this is done for the C-alpha atoms in a protein crystal but can be set to
any selection of the user’s choosing.
BM2 - average per residue B-factors will be calcualted for all the atoms in this mask. Usually this is used
for to calculate the average side-chain B-factor of each residue but can be set to any selection of the
user’s choosing.
RM1,RM2 - XtalAnalyze will calculate two sets of RMSDs according to the two masks provided. Usually this is
done for the set of all heavy (non-hydrogen) atoms and for only the backbone atoms, but the masks
can be modified to any selection of the user’s choosing.
Once the correct values are set, save the file and run it from command line:
[]$ chmod +x XtalAnalyze.sh
[]$ ./XtalAnalyze.sh
Most important output produced by XtalAnalyze.sh is:
$WD- the working directory from which XtalAnalyze was run
$WD/asu.prmtop;$WD/asu.pdb;$WD/asu.rst7 topology, restart and pdb filesfiles corresponding to single asym-
metric unit with experimental coordinates
$WD/volume.dat,$WD/volume.txt volume of supercell at each frame and percent of experimental volume; sum-
mary of basic volume statistics
$WD/RMSDUC.dat matrix of rmsd of each asu average structure to each other asu
$WD/revsym/AvgCoord*rst7 ’asu’ and ’lattice’-fit average structure
$WD/revsym/AvgCoord*dat RMSD of the average structures to experimental
$WD/revsym/bfac*dat ’revsym’(=lat) and ’rmsd’(=asu) B-factors for BM1(=calpha) and BM2(=sdch) selections
$WD/revsym/RevSym_%d_%d.nc individual asu trajectories after applying crystal symmetry and translation in
reverse
$WD/revsym/rmsd*table.dat lattice and asu RMSD’s for RM1(=heavy) and RM2(=backbone) atom selections.
Contains the mean RMSD and standard deviation over all asymmetric units (first two columns) fol-
lowed by one column for the RMSD of each individual asymmetric unit
$WD/splittrajectories/ this directory contains trajectories of each individual asymmetric unit before applying sym-
metry/translation operations in reverse as well as average structures and B-factors for each asymmetric
unit individually as well as an RMSD matrix comparing all asymmetric units to one another
628

32.2. XtalPlot.sh
32.2. XtalPlot.sh
XtalPlot.sh creates plots of the data output by XtalAnalyze.sh. It is also used by copying into a directory
of the user’s choosing, modifying the variables under “USER: SET VARIABLES”, and excuting via command
line. XtalPlot.sh requires that the user have Python 2.7 with Matplotlib (http://matplotlib.org) and Numpy
(http://www.numpy.org/). The variables to set are the following:
#======================================================================#
# #
# USER: SET VARIABLES #
#======================================================================#
PLOT_PFX="4lzt" # filename prefix (for plots, etc.)
BFAC_CRYST_CALPHA=calpha.bfactors # experimental Bfacs
BFAC_CRYST_SDCH=residue.bfactors
SC_REFERENCE=4lztSc_centonpdb_nowat.rst7 #same as XtalAnalyze.sh
PDB_FILE=4lzt.pdb #same as XtalAnalyze.sh
SC_PROP="3 2 2" #same as XtalAnalyze.sh
ROWS=4 #number of panel rows to use on individual asu plots
COLS=3 #number of panel cols to use on individual asu plots
SC_REFERENCE,PDB_FILE,SC_PROP - same as for XtalAnalyze.sh (see above)
PLOT_PFX - in quotes, a string used in the titles of plots. Usually the PDB code or other identifier familiar to the
user.
ROWS,COLS - the number of rows and columns to use for single-page,multi-panel plots of individual asymmetric
unit statistics (for example, if the simulated supercell has 12 asymmetric units, a good choice would
be ROWS=3 COLS=4).
BFAC_CRYST_CALPHA,BFAC_CRYST_SDCH - text files containing the experimental BM1 and BM2 B-
factors. These will be plotted for comparison with the simulation calculated B-factors. The files
should be in plain text format with the B-factors, one for each atom in the BM1 mask or each residue
in the BM2 mask per line in the SECOND column. Contents of other columns are disregarded. Ex-
ample:
1 11.32 CA 1
2 8.52 CA 2
3 7.86 CA 3
4 8.74 CA 4
5 9.46 CA 5
6 8.44 CA 6
...
These files can be created using the script GetBfactors.py in
$AMBERHOME/AmberTools/src/xtalutil/Analysis/ which is run on the command line like this:
[]$ ./GetBfactors.py [original.pdb] [amber.pdb] [nres]
where original.pdb is the experimental pdb file of the asymmetric unit with B-factors, amber.pdb is the pdb file
of the asymmetric unit with Amber atom order (usually asu.pdb produced by XtalAnalyze.sh) and nres is the
number of residues in the asymmteric unit. Running GetBfactors.py will produce the text files calpha.bfactors
and sdch.bfactors which can be used for the BFAC_CRYST_CALPHA and BFAC_CRYST_SDCH settings above.
See the header of the script for a more detailed explanation. Note that due to the complexities of the PDB format
the user should always inspect the output and make sure that the B-factors in the output file do in fact correspond
to the atoms in asu.pdb.
XtalPlot.sh creates a new directory named plots and places all newly created plots, in pdf format, in it.
629
32. XtalAnalyze
32.3. md2map.sh
md2map.sh is a bash script written by James Holton that uses CCP4 programs (http://www.ccp4.ac.uk/) to
calculate the average electron density from a crystal simulation. md2map thus requires the user to have CCP4
installed. It works by calculating the electron density from each simulation trajectory frame (in PDB format), then
summing all the electron densities and averaging. Like the other scripts in XtalAnalyze, md2map.sh is run by
copying the script into a working directory of the user’s choosing, modyfing a set of variables in the header of the
script and executing on the command line. Running md2map.sh usually consists of three steps.
1. Prepare the simulation trajectory to obtain the average electron density map. This trajectory of the supercell
should be mass-centered. Usually one can use the fit.nc trajectory produced by a run of XtalAnalyze.sh.
2. Prepare a set of PDB format files, one for each frame to be used in calculating the average electron density.
For this the MakePdb4Map.py script in the Analysis directory can be used. Copy this script into your working
directory and set the following variables in the header before executing:
SC_TRAJ - the trajectory from Step 1 above
SC_TOPO - the corresponding topology
PDB_FILE - original PDB file of the asymmetric unit which must have the CRYST1 record
frames - the total number of frames to use
startframe - the first frame to use
offsetframe - the number of frames to skip between used frames. To use every frame of the trajectory, set
this to 1.
MakePdb4Map.py creates a new directory named PDBData containing the PDB format files for each of the
frames to be used in calculating the average electron density.
3. Copy md2map.sh into the working directory, set variables in the header and execute. The variables to set
are:
sim_pdb_dir - directory where the PDB format files of all the trajectory frames to be used in the calculation
are located; usually this is the PDBData directory produced in Step 2 above.
cell - lengths and angles of the experimental unit cell obtained from CRYST1 record in the original
pdb file (separated by spaces, in parentheses)
MD_mult - the propagations used to create the simulation supercell (in parentheses, separated by spaces)
SG - the space group symbol used by CCP4 (eg. “P1”, “P212121”, “P31”,etc).
GRID - grid mesh to use for creating the electron density map. Corresponds to the grid command
in SFALL (http://www.ccp4.ac.uk/html/sfall.html#grid). Usually, a grid size corresponding to
a grid spacing of 0.3-05 Åis works best. Note that the crystal space group may place special
restrictions on the the grid sizes that can be used. For more information consult the SFALL
documentation cited above.
B - the B-factor applied to avoid a singularity when dealing with single point atoms. Usually the
default of 15 is used. For more information see Janowski et al.[530].
reso - resolution limit for calculating the structure factors in the output mtz file. Usually this is set
to something slightly higher than the experimental map so that the full set of structure factors
corresponding to the experimental data set can later be obtained using filter_mtz.py.
align - An alternative method to aligning the supercell snapshots by center of mass is to align by con-
voluting the simulation electron density with the experimental model electron density, finding
the largest peak, and using that peak’s location as the required translation to align the simula-
tion map to the experimental. This option is provided for exprimental use or if for some reason
the user does not have a center of mass aligned trajectory. To use this method set align to 1.
Otherwise leave 0.
630
32.3. md2map.sh
exp_pdb - experimental asymmetric unit model (usually asu.pdb produced by XtalAnalyze.sh). Only
used if align=1.
Running md2map.sh will produce md_avg.map (CCP4 format map file of the average electron density),
md_avg.mtz (mtz format file from the structure factors and phases of the average electron density map) and a
maps directory containing an electron density map of each frame from PDBData.
631
Part VI.
NAB and AmberLite
633
33. NAB: Introduction
Nucleic acid builder (nab) is a high-level language that facilitates manipulations of macromolecules and their
fragments. nab uses a C-like syntax for variables, expressions and control structures (if,for,while) and has exten-
sions for operating on molecules (new types and a large number of builtins for providing the necessary operations).
We expect nab to be useful in model building and coordinate manipulation of proteins and nucleic acids, rang-
ing in size from fairly small systems to the largest systems for which an atomic level of description makes good
computational sense. As a programming language, it is not a solution or program in itself, but rather provides
an environment that eases many of the bookkeeping tasks involved in writing programs that manipulate three-
dimensional structural models.
The current implementation incorporates the following main features:
1. Objects such as points, atoms, residues, strands and molecules can be referenced and manipulated as named
objects. The internal manipulations involved in operations like merging several strands into a single molecule
are carried out automatically; in most cases the programmer need not be concerned about the internal data
structures involved.
2. Rigid body transformations of molecules or parts of molecules can be specified with a fairly high-level
set of routines. This functionality includes rotations and translations about particular axis systems, least-
squares atomic superposition, and manipulations of coordinate frames that can be attached to particular
atomic fragments.
3. Additional coordinate manipulation is achieved by a tight interface to distance geometry methods. This
allows allows relationships that can be defined in terms of internal distance constraints to be realized in
three-dimensional structural models. nab includes subroutines to manipulate distance bounds in a convenient
fashion, in order to carry out tasks such as working with fragments within a molecule or establishing bounds
based on model structures.
4. Force field calculations (e.g.molecular dynamics and minimization) can be carried out with an implementa-
tion of the AMBER force field. This works in both three and four dimensions, but periodic simulations are
not (yet) supported. However, the generalized Born models implemented in Amber are also implemented
here, which allows many interesting simulations to be carried out without requiring periodic boundary con-
ditions. The force field can be used to carry out minimization, molecular dynamics, or normal mode calcu-
lations. Conformational searching and docking can be carried out using a "low-mode" (LMOD) procedure
that performs sampling exploring the potential energy surface along low-frequency vibrational directions.
5. nab also implements a form of regular expressions that we call atom regular expressions, which provide a
uniform and convenient method for working on parts of molecules.
6. Many of the general programming features of the awk language have been incorporated in nab. These
include regular expression pattern matching, hashedarrays (i.e., arrays with strings as indices), the splitting
of strings into fields, and simplified string manipulations.
7. There are built-in procedures for linking nab routines to other routines written in C or Fortran, including
access to most library routines normally available in system math libraries.
Our hope is that nab will serve to formalize the step-by-step process that is used to build complex model structures,
and will facilitate the management and use of higher level symbolic constraints. Writing a program to create a
structure forces more of the model’s assumptions to be explicit in the program itself. And an nab description can
serve as a way to show a model’s salient features, much like helical parameters are used to characterize duplexes.
635
33. NAB: Introduction
This chapters introduces the language through a series of sample programs, and illustrate the programming
interfaces provided. The examples are chosen not only to show the syntax of the language, but also to illustrate
potential approaches to the construction of some unusual nucleic acids, including DNA double- and triple-helices,
RNA pseudoknots, four-arm junctions, and DNA-protein interactions. Subsequent chapters give a more formal
and careful description of the requirements of the language itself.
The basic literature reference for the code is T. Macke and D.A. Case. Modeling unusual nucleic acid structures.
In Molecular Modeling of Nucleic Acids, N.B. Leontes and J. SantaLucia, Jr., eds. (Washington, DC: American
Chemical Society, 1998), pp. 379-393. Users are requested to include this citation in papers that make use of NAB.
The authors thank Jarrod Smith, Garry Gippert, Paul Beroza, Walter Chazin, Doree Sitkoff and Vickie Tsui for
advice and encouragement. Special thanks to Neill White (who helped in updating documentation, in preparing
the distance geometry database, and in testing and porting portions of the code), and to Will Briggs (who wrote the
fiber-diffraction routines). Thanks also to Chris Putnam and M.L. Dodson for bug reports.
33.1. Background
Using a computer language to model polynucleotides follows logically from the fundamental nature of nucleic
acids, which can be described as “conflicted” or “contradictory” molecules. Each repeating unit contains seven
rotatable bonds (creating a very flexible backbone), but also contains a rigid, planar base which can participate in a
limited number of regular interactions, such as base pairing and stacking. The result of these opposing tendencies
is a family of molecules that have the potential to adopt a virtually unlimited number of conformations, yet have
very strong preferences for regular helical structures and for certain types of loops.
The controlled flexibility of nucleic acids makes them difficult to model. On one hand, the limited range of
regular interactions for the bases permits the use of simplified and more abstract geometric representations. The
most common of these is the replacement of each base by a plane, reducing the representation of a molecule to
the set of transformations that relate the planes to each other. On the other hand, the flexible backbone makes it
likely that there are entire families of nucleic acid structures that satisfy the constraints of any particular modeling
problem. Families of structures must be created and compared to the model’s constraints. From this we can see
that modeling nucleic acids involves not just chemical knowledge but also three processes-abstraction, iteration
and testing-that are the basis of programming.
Molecular computation languages are not a new idea. Here we briefly describe some past approaches to nucleic
acid modeling, to provide a context for nab.
33.1.1. Conformation build-up procedures
MC-SYM[531–533] is a high level molecular description language used to describe single stranded RNA
molecules in terms of functional constraints. It then uses those constraints to generate structures that are con-
sistent with that description. MC-SYM structures are created from a small library of conformers for each of the
four nucleotides, along with transformation matrices for each base. Building up conformers from these starting
blocks can quickly generate a very large tree of structures. The key to MC-SYM’s success is its ability to prune
this tree, and the user has considerable flexibility in designing this pruning process.
In a related approach, Erie et al.[534] used a Monte-Carlo build-up procedure based on sets of low energy
dinucleotide conformers to construct longer low energy single stranded sequences that would be suitable for in-
corporation into larger structures. Sets of low energy dinucleotide conformers were created by selecting one value
from each of the sterically allowed ranges for the six backbone torsion angles and χ. Instead of an exhaustive
build- up search over a small set of conformers, this method samples a much larger region of conformational
space by randomly combining members of a larger set of initial conformers. Unlike strict build-up procedures,
any member of the initial set is allowed to follow any other member, even if their corresponding torsion angles do
not exactly match, a concession to the extreme flexibility of the nucleic acid backbone. A key feature determined
the probabilities of the initial conformers so that the probability of each created structure accurately reflected its
energy.
Tung and Carter[535,536] have used a reduced coordinate system in the NAMOT (nucleic acid modeling tool)
program to rotation matrices that build up nucleic acids from simplified descriptions. Special procedures allow
636
33.2. Methods for structure creation
base-pairs to be preserved during deformations. This procedure allows simple algorithmic descriptions to be
constructed for non-regular structures like intercalation sites, hairpins, pseudoknots and bent helices.
33.1.2. Base-first strategies
An alternative approach that works well for some problems is the "base-first" strategy, which lays out the bases
in desired locations, and attempts to find conformations of the sugar-phosphate backbone to connect them. Rigid-
body transformations often provide a good way to place the bases. One solution to the backbone problem would
be to determine the relationship between the helicoidal parameters of the bases and the associated backbone/sugar
torsions. Work along these lines suggests that the relationship is complicated and non-linear.[537] However, con-
siderable simplification can be achieved if instead of using the complete relationship between all the helicoidal
parameters and the entire backbone, the problem is limited to describing the relationship between the helicoidal
parameters and the backbone/sugar torsion angles of single nucleotides and then using this information to drive a
constraint minimizer that tries to connect adjacent nucleotides. This is the approach used in JUMNA,[538] which
decomposes the problem of building a model nucleic acid structure into the constraint satisfaction problem of
connecting adjacent flexible nucleotides. The sequence is decomposed into 3’-nucleotide monophosphates. Each
nucleotide has as independent variables its six helicoidal parameters, its glycosidic torsion angle, three sugar an-
gles, two sugar torsions and two backbone torsions. JUMNA seeks to adjust these independent variables to satisfy
the constraints involving sugar ring and backbone closure.
Even constructing the base locations can be a non-trivial modeling task, especially for non-standard structures.
Recognizing that coordinate frames should be chosen to provide a simple description of the transformations to be
used, Gabarro-Arpa et al.[539] devised “Object Command Language” (OCL), a small computer language that is
used to associate parts of molecules called objects, with arbitrary coordinate frames defined by sets of their atoms
or numerical points. OCL can “link” objects, allowing other objects’ positions and orientations to be described in
the frame of some reference object. Information describing these frames and links is written out and used by the
program MORCAD[540] which does the actual object transformations.
OCL contains several elements of a molecular modeling language. Users can create and operate on sets of
atoms called objects. Objects are built by naming their component atoms and to simplify creation of larger objects,
expressions, IF statements, an iterated FOR loop and limited I/O are provided. Another nice feature is the equiva-
lence between a literal 3-D point and the position represented by an atom’s name. OCL includes numerous built-in
functions on 3-vectors like the dot and cross products as well as specialized molecular modeling functions like
creating a vector that is normal to an object. However, OCL is limited because these language elements can only
be assembled into functions that define coordinate frames for molecules that will be operated on by MORCAD.
Functions producing values of other data types and stand-alone OCL programs are not possible.
33.2. Methods for structure creation
As a structure-generating tool, nab provides three methods for building models. They are rigid-body transforma-
tions, metric matrix distance geometry, and molecular mechanics. The first two methods are good initial methods,
but almost always create structures with some distortion that must be removed. On the other hand, molecular
mechanics is a poor initial method but very good at refinement. Thus the three methods work well together.
33.2.1. Rigid-body transformations
Rigid-body transformations create model structures by applying coordinate transformations to members of a
set of standard residues to move them to new positions and orientations where they are incorporated into the
growing model structure. The method is especially suited to helical nucleic acid molecules with their highly
regular structures. It is less satisfactory for more irregular structures where internal rearrangement is required to
remove bad covalent or non-bonded geometry, or where it may not be obvious how to place the bases. Details are
given in Chap. 35.
nab uses the matrix type to hold a 4×4 transformation matrix. Transformations are applied to residues and
molecules to move them into new orientations or positions. nab does not require that transformations applied to
637
33. NAB: Introduction
parts of residues or molecules be chemically valid. It simply transforms the coordinates of the selected atoms
leaving it to the user to correct (or ignore) any chemically incorrect geometry caused by the transformation.
Every nab molecule includes a frame, or “handle” that can be used to position two molecules in a generalization
of superimposition. Traditionally, when a molecule is superimposed on a reference molecule, the user first forms a
correspondence between a set of atoms in the first molecule and another set of atoms in the reference molecule. The
superimposition algorithm then determines the transformation that will minimize the rmsd between corresponding
atoms. Because superimposition is based on actual atom positions, it requires that the two molecules have a
common substructure, and it can only place one molecule on top of another and not at an arbitrary point in space.
The nab frame is a way around these limitations. A frame is composed of three orthonormal vectors originally
aligned along the axes of a right handed coordinate frame centered on the origin. nab provides two builtin functions
setframe() and setframep() that are used to reposition this frame based on vectors defined by atom expressions or
arbitrary 3-D points, respectively. To position two molecules via their frames, the user moves the frames so that
when they are superimposed via the nab builtin alignframe(), the two molecules have the desired orientation. This
is a generalization of the methods described above for OCL.
33.2.2. Distance geometry
nab’s second initial structure-creation method is metric matrix distance geometry,[541,542]which can be a very
powerful method of creating initial structures. It has two main strengths. First, since it uses internal coordinates,
the initial position of atoms about which nothing is known may be left unspecified. This has the effect that
distance geometry models use only the information the modeler considers valid. No assumptions are required
concerning the positions of unspecified atoms. The second advantage is that much structural information is in
the form of distances. These include constraints from NMR or fluorescence energy transfer experiments, implied
propinquities from chemical probing and footprinting, and tertiary interactions inferred from sequence analysis.
Distance geometry provides a way to formally incorporate this information, or other assumptions, into the model-
building process. Details are given in Chap. 36.
Distance geometry converts a molecule represented as a set of interatomic distances into a 3-D structure. nab
has several builtin functions that are used together to provide metric matrix distance geometry. A bounds object
contains the molecule’s interatomic distance bounds matrix and a list of its chiral centers and their volumes. The
function newbounds() creates a bounds object containing a distance bounds matrix containing initial upper and
lower bounds for every pair of atoms, and a list of the molecule’s chiral centers and their volumes. Distance
bounds for pairs of atoms involving only a single residue are derived from that residue’s coordinates. The 1,2 and
1,3 distance bounds are set to the actual distance between the atoms. The 1,4 distance lower bound is set to the
larger of the sum of the two atoms van der Waals radii or their syn (torsion angle = 0o) distance, and the upper
bound is set to their anti (torsion angle = 180o) distance. newbounds() also initializes the list of the molecule’s
chiral centers. Each chiral center is an ordered list of four atoms and the volume of the tetrahedron those four
atoms enclose. Each entry in a nab residue library contains a list of the chiral centers composed entirely of atoms
in that residue.
Once a bounds object has been initialized, the modeler can use functions to tighten, loosen or set other distance
bounds and chiralities that correspond to experimental measurements or parts of the model’s hypothesis. The func-
tions andbounds() and orbounds() allow logical manipulation of bounds. setbounds_from_db() Allows distance
information from a model structure or a database to be incorporated into a part of the current molecule’s bounds
object, facilitating transfer of information between partially-built structures.
These primitive functions can be incorporated into higher-level routines. For example the functions stack() and
watsoncrick() set the bounds between the two specified bases to what they would be if they were stacked in a strand
or base-paired in a standard Watson/Crick duplex, with ranges of allowed distances derived from an analysis of
structures in the Nucleic Acid Database.
After all experimental and model constraints have been entered into the bounds object, the function tsmooth()
applies “triangle smoothing” to pull in the large upper bounds, since the maximum distance between two atoms can
not exceed the sum of the upper bounds of the shortest path between them. Random pairwise metrization[543] can
also be used to help ensure consistency of the bounds and to improve the sampling of conformational space. The
function embed() finally takes the smoothed bounds and converts them into a 3-D object. The newly embedded
coordinates are subject to conjugate gradient refinement against the distance and chirality information contained
638
33.3. Compiling nab Programs
in bounds. The call to embed() is usually placed in a loop to explore the diversity of the structures the bounds
represent.
33.2.3. Molecular mechanics
The final structure creation method that nab offers is molecular mechanics. This includes both energy mini-
mization and molecular dynamics - simulated annealing. Since this method requires a good estimate of the initial
position of every atom in a structure, it is not suitable for creating initial structures. However, given a reasonable
initial structure, it can be used to remove bad initial geometry and to explore the conformational space around the
initial structure. This makes it a good method for refining structures created either by rigid body transformations or
distance geometry. nab has its own 3-D/4-D molecular mechanics package that implements several AMBER force
fields and reads AMBER parameter and topology files. Solvation effects can also be modelled with generalized
Born continuum models. Details are given in Chap. 37.
Our hope is that nab will serve to formalize the step-by-step process that is used to build complex model struc-
tures. It will facilitate the management and use of higher level symbolic constraints. Writing a program to create a
structure forces one to make explicit more of the model’s assumptions in the program itself. And an nab description
can serve as a way to exhibit a model’s salient features, much like helical parameters are used to characterize du-
plexes. So far, nab has been used to construct models for synthetic Holliday junctions,[544] calcyclin dimers,[545]
HMG-protein/DNA complexes,[546] active sites of Rieske iron-sulfur proteins,[547] and supercoiled DNA.[548]
The Examples chapter below provides a number of other sample applications.
33.3. Compiling nab Programs
Compiling nab programs is very similar to compiling other high-level language programs, such as C and
Fortran. The command line syntax is
nab [-O] [-c] [-v] [-noassert] [-nodebug] [-o file] [-Dstring] file(s)
where
-O optimizes the object code
-c suppresses the linking stage with ld and produces a .o file
-v verbosely reports on the compile process
-noassert causes the compiler to ignore assert statements
-nodebug causes the compiler to ignore debug statements
-o file names the output file (deafult is “a.out” on most operating systems)
-Dstring defines string to the C preprocessor
Linking Fortran and C object code with nab is accomplished simply by including the source files on the command
line with the nab file. For instance, if a nab program bar.nab uses a C function defined in the file foo.c, compiling
and linking nab code would be accomplished by
nab -o bar bar.nab foo.c
The result is an executable bar file. To run the program, type:
./bar <command line options needed go here>
33.4. Parallel Execution
The generalized Born energy routines (for both first and second derivatives) include directives that will allow
for parallel execution on machines that support this option. Once you have some level of comfort and experience
with the single-CPU version, you can enable parallel execution by supplying one of several parallelization options
(-openmp, -mpi or -scalapack) to configure, by re-building the NAB compiler and by recompiling your NAB
program.
639

33. NAB: Introduction
The -openmp option enables parallel execution under OpenMP on shared- memory machines. To enable
OpenMP execution, add the -openmp option to configure, re-build the NAB compiler and re-compile your NAB
program. Then, if you set the OMP_NUM_THREADS environment variable to the number of threads that you
wish to perform parallel execution, the Born energy computation will execute in parallel.
The -mpi option enables parallel execution under MPI on either clusters or shared-memory machines. To enable
MPI execution, add the -mpi option to configure and re-build the NAB compiler. You will not need to modify your
NAB programs; just execute them with an mpirun command.
The -scalapack option enables parallel execution under MPI on either clusters or shared-memory machines,
and in addition uses the Scalable LAPACK (ScaLAPACK) library for parallel linear algebra computation that is
required to calculate the second derivatives of the generalized Born energy, to perform Newton-Raphson minimiza-
tion or to perform normal mode analysis. For computations that do not involve linear algebra (such as conjugate
gradients minimization or molecular dynamics) the -scalapack option functions in the same manner as the -mpi
option. Do not use the -mpi and -scalapack options simultaneously. Use the -scalapack option only when ScaLA-
PACK has been installed on your cluster or shared-memory machine.
In order that the -mpi or -scalapack options result in a correct build of the NAB compiler, the configure script
must specify linking of the MPI library, or ScaLAPACK and BLACS libraries, as part of that build. These libraries
are specified for Sun machines in the solaris_cc section of the configure script. If you want to use MPI or ScaLA-
PACK on a machine other than a Sun machine, you will need to modify the configure script to link these libraries
in a manner analogous to what occurs in the solaris_cc section of the script.
There are three options to specify the manner in which NAB supports linear algebra computation. The -
scalapack option discussed above specifies ScaLAPACK. The -perflib option specifies Sun TM Performance Li-
brary TM , a multi-threaded implementation of LAPACK. If neither -scalapack nor -perflib is specified, then linear
algebra computation will be performed by a single CPU using LAPACK. In this last case, the Intel MKL library
will be used if the MKL_HOME environment variable is set at configure time. Absent that, if a GOTO environment
variable is found, the GotoBLAS libraries will be used.
The parallel execution capability of NAB was developed primarily on Sun machines, and has also been tested
on the SGI Altix platform. But it has been much less widely-used than have other parts of NAB, so you should
certainly run some tests with your system to ensure that single-CPU and parallel runs give the same results.
The $AMBERHOME/benchmarks/nab directory has a series of timing benchmarks that can be helpful in assess-
ing performance. See the README file there for more information.
33.5. First Examples
This section introduces nab via three simple examples. All nab programs in this user manual are set in Courier,
a typewriter style font. The line numbers at the beginning of each line are not parts of the programs but have been
added to make it easier to refer to specific program sections.
33.5.1. B-form DNA duplex
One of the goals of nab was that simple models should require simple programs. Here is an nab program that
creates a model of a B-form DNA duplex and saves it as a PDB file.
1// Program 1 - Average B-form DNA duplex
2molecule m;
3
4m = bdna( "gcgttaacgc" );
5putpdb( "gcg10.pdb", m );
Line 2 is a declaration used to tell the nab compiler that the name mis a molecule variable, something nab
programs use to hold structures. Line 4 creates the actual model using the predefined function bdna(). This
function’s argument is a literal string which represents the sequence of the duplex that is to be created. Here’s how
bdna() converts this string into a molecule. Each letter stands for one of the four standard bases: afor adenine,
cfor cytosine, gfor guanine and tfor thymine. In a standard DNA duplex every adenine is paired with thymine
640

33.5. First Examples
and every cytosine with guanine in an antiparallel double helix. Thus only one strand of the double helix has
to be specified. As bdna() reads the string from left to right, it creates one strand from 5’ to 3’ (5’-gcgttaacgc
-3’), automatically creating the other antiparallel strand using Watson/Crick pairing. It uses a uniform helical step
of 3.38 Å rise and 36.0o twist. Naturally, nab has other ways to create helical molecules with arbitrary helical
parameters and even mismatched base pairs, but if you need some “average” DNA, you should be able to get it
without having to specify every detail. The last line uses the nab builtin putpdb() to write the newly created duplex
to the file gcg10.pdb.
Program 1 is about the smallest nab program that does any real work. Even so, it contains several elements
common to almost all nab programs. The two consecutive forward slashes in line 1 introduce a comment which
tells the nab compiler to ignore all characters between them and the end of the line. This particular comment
begins in column 1, but that is not required as comments may begin in any column. Line 3 is blank. It serves no
purpose other than to visually separate the declaration part from the action part. nab input is free format. Runs
of white space characters—spaces, tabs, blank lines and page breaks—act like a single space which is required
only to separate reserved words like molecule from identifiers like m. Thus white space can be used to increase
readability.
33.5.2. Superimpose two molecules
Here is another simple nab program. It reads two DNA molecules and superimposes them using a rotation
matrix made from a correspondence between their C1’ atoms.
1// Program 2 - Superimpose two DNA duplexes
2molecule m, mr;
3float r;
4
5m = getpdb( "test.pdb" );
6mr = getpdb( "gcg10.pdb" );
7superimpose( m, "::C1’", mr, "::C1’" );
8putpdb( "test.sup.pdb", m );
9rmsd( m, "::C1’", mr, "::C1’", r );
10 printf( "rmsd = %8.3fn", r );
This program uses three variables—two molecules, mand mr and one float, r. An nab declaration can include any
number of variables of the same type, but variables of different types must be in separate declarations. The builtin
function getpdb() reads two molecules in PDB format from the files test.pdb and gcg10.pdb into the variables m
and mr. The superimposition is done with the builtin function superimpose(). The arguments to superimpose() are
two molecules and two “atom expressions”. nab uses atom expressions as a compact way of specifying sets of
atoms. Atom expressions and atom names are discussed in more detail below but for now an atom expression is a
pattern that selects one or more of the atoms in a molecule. In this example, they select all atoms with names C1’.
superimpose() uses the two atom expressions to associate the corresponding C1’ carbons in the two molecules.
It uses these correspondences to create a rotation matrix that when applied to mwill minimize the root mean
square deviation between the pairs. It applies this matrix to m, “moving” it on to mr. The transformed molecule
mis written out to the file test.sup.pdb in PDB format using the builtin function putpdb(). Finally the builtin
function rmsd() is used to compute the actual root mean square deviation between corresponding atoms in the two
superimposed molecules. It returns the result in r, which is written out using the C-like I/O function printf().rmsd()
also uses two atom expressions to select the corresponding pairs. In this example, they are the same pairs that
were used in the superimposition, but any set of pairs would have been acceptable. An example of how this might
be used would be to use different subsets of corresponding atoms to compute trial superimpositions and then use
rmsd() over all atoms of both molecules to determine which subset did the best job.
33.5.3. Place residues in a standard orientation
This is the last of the introductory examples. It places nucleic acid monomers in an orientation that is useful for
building Watson/Crick base pairs. It uses several atom expressions to create a frame or handle attached to an nab
641

33. NAB: Introduction
X
Y
ADE N1
N3
C4
C5 X
Y
THY
N1
N3
H3
C5
C6
Figure 33.1.: ADE and THY after execution of Program 3.
molecule that permits easy movement along important “molecular directions”. In a standard Watson/Crick base
pair the C4 and N1 atoms of the purine base and the H3,N3 and C6 atoms of the pyrimidine base are colinear. Such
a line is obviously an important molecular direction and would make a good coordinate axis. Program 3 aligns
these monomers so that this hydrogen bond is along the Y-axis.
1// Program 3 - orient nucleic acid monomers
2molecule m;
3
4m = getpdb( "ADE.pdb" );
5setframe( 2, m, // also for GUA
6"::C4",
7"::C5", "::N3",
8"::C4", "::N1" );
9alignframe( m, NULL );
10 1putpdb( "ADE.std.pdb", m );
11
12 m = getpdb( "THY.pdb" );
13 setframe( 2, m, // also for CYT & URA
14 "::C6",
15 "::C5", "::N1",
16 "::C6", "::N3" );
17 alignframe( m, NULL );
18 putpdb( "THY.std.pdb", m );
This program uses only one variable, the molecule m. Execution begins on line 4 where the builtin getpdb() is
used to read in the coordinates of an adenine (created elsewhere) from the file ADE.pdb. The nab builtin setframe()
creates a coordinate frame for this molecule using vectors defined by some of its atoms as shown in Figure 33.1.
The first atom expression (line 6) sets the origin of this coordinate frame to be the coordinates of the C4 atom. The
two atom expressions on line 7 set the X direction from the coordinates of the C5 to the coordinates of the N3. The
last two atom expressions set the Y direction from the C4 to the N1. The Z-axis is created by the cross product
X×Y. Frames are thus like sets of local coordinates that can be attached to molecules and used to facilitate defining
transformations; a more complete discussion is given in the section Frames below.
nab requires that the coordinate axes of all frames be orthogonal, and while the X and Y axes as specified here
are close, they are not quite exact. setframe() uses its first parameter to specify which of the original two axes is
to be used as a formal axis. If this parameter is 1, then the specified X axis becomes the formal X axis and Y
is recreated from Z×X; if the value is 2, then the specified Y axis becomes the formal Y axis and X is recreated
642

33.6. Molecules, Residues and Atoms
from Y×Z. In this example the specified Y axis is used and X is recreated. The builtin alignframe() transforms the
molecule so that the X, Y and Z axes of the newly created coordinate frame point along the standard X, Y and Z
directions and that the origin is at (0,0,0). The transformed molecule is written to the file ADE.std.pdb. A similar
procedure is performed on a thymine residue with the result that the hydrogen bond between the H3 of thymine
and the N1 of adenine in a Watson Crick pair is now along the Y axis of these two residues.
33.6. Molecules, Residues and Atoms
We now turn to a discussion of ways of describing and manipulating molecules. In addition to the general-
purpose variable types like float,int and string,nab has three types for working with molecules: molecule,residue
and atom. Like their chemical counterparts, nab molecules are composed of residues which are in turn composed
of atoms. The residues in an nab molecule are organized into one or more named, ordered lists called strands.
Residues in a strand are usually bonded so that the “exiting” atom of residue iis connected to the “entering” atom
of residue i+1. The residues in a strand need not be bonded; however, only residues in the same strand can be
bonded.
Each of the three molecular types has a complex internal structure, only some of which is directly accessible
at the nab level. Simple elements of these types, like the number of atoms in a molecule or the X coordinate of
an atom are accessed via attributes—a suffix attached to a molecule, residue or atom variable. Attributes behave
almost like int,float and string variables; the only exception being that some attributes are read only with values
that can t be changed. More complex operations on these types such as adding a residue to a molecule or merging
two strands into one are handled with builtin functions. A complete list of nab builtin functions and molecule
attributes can be found in the nab Language Reference.
33.7. Creating Molecules
The following functions are used to create molecules. Only an overview is given here; more details are in
chapter 3.
molecule newmolecule();
int addstrand( molecule m, string str );
residue getresidue( string rname, string rlib );
residue transformres( matrix mat, residue res, string aex );
int addresidue( molecule m, string str, residue res );
int connectres( molecule m, string str,
int rn1, string atm1, int rn2, string atm2 );
int mergestr( molecule m1, string str1, string end1,
molecule m2, string str2, string end2 );
The general strategy for creating molecules with nab is to create a new (empty) molecule then build it one residue
at a time. Each residue is fetched from a residue library, transformed to properly position it and added to a growing
strand. A template showing this strategy is shown below. mat,mand res are respectively a matrix,molecule and
residue variable declared elsewhere. Words in italics indicate general instances of things that would be filled in
according to actual application.
1...
2m = newmolecule();
3addstrand( m, \fIstr-1\fC );
4...
5for( ... ){
6...
7res = getresidue( \fIres-name\fC, \fIres-lib\fC );
8res = transformres( mat, res, NULL );
9addresidue( m, \fIstr-name\fC, res );
10 ...
643

33. NAB: Introduction
11 }
12 ...
In line 2, the function newmolecule() creates a molecule and stores it in m. The new molecule is empty—no
strands, residues or atoms. Next addstrand() is used to add a strand named str-1. Strand names may be up to 255
characters in length and can include any characters except white space. Each strand in a molecule must have a
unique name. There is no limit on the number of strands a molecule may have.
The actual structure would be created in the loop on lines 5-11. Each time around the loop, the function ge-
tresidue() is used to extract the next residue with the name res-name from some residue library res-lib and stores
it in the residue variable res. Next the function transformres() applies a transformation matrix, held in the matrix
variable mat to the residue in res, which places it in the orientation and position it will have in the new molecule.
Finally, the function addresidue() appends the transformed residue to the end of the chain of residues in the strand
str-name of the new molecule.
Residues in each strand are numbered from 1 to N, where Nis the number of residues in that strand. The
residue order is the order in which they were inserted with addresidue(). While nab does not require it, nucleic
acid chains are usually numbered from 5’ to 3’ and proteins chains from the N-terminus to the C-terminus. The
residues in nucleic acid strands and protein chains are usually bonded with the outgoing end of residue ibonded to
the incoming end of residue i+1. However, as this is not always the case, nab requires the user to explicitly make
all interresidue bonds with the builtin connectres().
connectres() makes bonds between two atoms in different residues of the same strand of a molecule. Only
residues in the same strand can be bonded. connectres() takes six arguments. They are a molecule, the name of
the strand containing the residues to be bonded, and two pairs each of a residue number and the name of an atom
in that residue. As an example, this call to connectres(),
connectres( m, "sense", i, "O3’", i+1, "P" );
connects an atom named "O3’" in residue ito an atom named "P" in residue i+1, creating the phosphate bond that
joins two nucleic acid monomers.
The function mergestr() is used to either move or copy the residues in one strand into another strand. Details are
provided in chapter 3.
33.8. Residues and Residue Libraries
nab programs build molecules from residues that are parts of residue libraries, which are exactly those distributed
with the Amber molecular mechanics programs (see http://ambermd.org/).
nab provides several functions for working with residues. All return a valid residue on success and NULL on
failure. The function getres() is written in nab and it source is shown below. transformres() which applies a
coordinate transformation to a residue and is discussed under the section Matrices and Transformations.
residue getresidue( string resname, string reslib );
residue getres( string resname, string reslib );
residue transformres( matrix mat, residue res, string aexp );
getresidue() extracts the residue with name resname from the residue library reslib.reslib is the name of a file that
either contains the residue information or contains names of other files that contain it. reslib is assumed to be in
the directory $NABHOME/reslib unless it begins with a slash (/)
A common task of many nab programs is the translation of a string of characters into a structure where each
letter in the string represents a residue. Generally, some mapping of one or two character names into actual residue
names is required. nab supplies the function getres() that maps the single character names a,c,g,tand uand their
5’ and 3’ terminal analogues into the residues ADE,CYT,GUA,THY and URA. Here is its source:
1// getres() - map 1 letter names into 3 letter names
2residue getres( string rname, string rlib )
3{
4residue res;
644

33.8. Residues and Residue Libraries
5string map1to3[ hashed ]; // convert residue names
6
7map1to3["A"] = "ADE"; map1to3["C"] = "CYT";
8map1to3["G"] = "GUA"; map1to3["T"] = "THY";
9map1to3["U"] = "URA";
10
11 map1to3["a"] = "ADE"; map1to3["c"] = "CYT";
12 map1to3["g"] = "GUA"; map1to3["t"] = "THY";
13 map1to3["u"] = "URA";
14
15 if( r in map1to3 ) {
16 res = getresidue( map1to3[ r ], rlib );
17 }else{
18 fprintf( stderr, "undefined residue %s\\n", r );
19 exit( 1 );
20 }
21 return( res );
22 };
getres() is the first of several nab functions that are discussed in this User Manual. The following explanation
will cover not just getres() but will serve as an introduction to user defined nab functions in general.
An nab function is a named group of declarations and statements that is executed as a unit by using the function’s
name in an expression. nab functions can have special variables called parameters that allow the same function to
operate on different data. A function definition begins with a header that describes the function, followed by the
function body which is a list of statements and declarations enclosed in braces ({}) and ends with a semicolon. The
header to getres() is on line 2 and the body is on lines 3 to 22.
Every nab function header begins with the reserved word that specifies its type, followed by the function’s
name followed by its parameters (if any) enclosed in parentheses. The parentheses are always required, even if
the function does not have parameters. nab functions may return a single value of any of the 10 nab types. nab
functions can not return arrays. In symbolic terms every nab function header uses this template:
type name(parameters? )
The parameters (if present) to an nab function are a comma separated list of type variable pairs:
type1 variable1,type2 variable2, ...
An nab function may have any number of parameters, including none. Parameters may of any of the 10 nab
types, but unlike function values, parameters can be arrays, including hashed arrays. The function getres() has two
parameters, the two string variables resname and reslib.
Parameters to nab functions are “called by reference” which means that they contain the actual data—not copies
of it—that the function was called with. When an nab function parameter is assigned, the actual data in the calling
function is changed. The only exception is when an expression is passed as a parameter to an nab function. In this
case, the nab compiler evaluates the expression into a temporary (and invisible to the nab programmer) variable
and then operates on its contents.
Immediately following the function header is the function body. It is a list of declarations followed by a list of
statements enclosed in braces. The list of declarations, the list of statements or both may be empty. getres() has
several statements, and a single declaration, the variable res. This variable is a local variables. Local variables are
defined only when the function is active. If a local variable has the same name as variable defined outside of a it
the local variable hides the global one. Local variables can not be parameters.
The statement part of getres() begins on line 6. It consists of several if statements organized into a decision
tree. The action of this tree is to translate one of the strings A, , , T, etc., or their lower case equivalents into the
corresponding three letter standard nucleic acid residue name and then extract that residue from reslib using the
low level residue library function getresidue(). The value returned by getresidue() is stored in the local variable
res, except when the input string is not one of those listed above. In that case, getres() writes a message to stderr
indicating that it can not translate the input string and sets res to the value NULL.nab uses NULL to represent
645

33. NAB: Introduction
non-existent values of the types string,file,atom,residue,molecule and bounds. A value of NULL generally means
that a variable is uninitialized or that an error occurred in creating it.
A function returns a value by executing a return statement, which is the reserved word return followed by an
expression. The return statement evaluates the expression, sets the function value to it and returns control to the
point just after the call. The expression is optional but if present the type of the expression must be the same as the
type of the function or both must be numeric (int,float). If the expression is missing, the function still returns, but
its value is undefined. getres() includes one return statements on line 20. A function also returns with an undefined
value when it "runs off the bottom", i.e., executes the last statement before the closing brace and that statement is
not a return.
33.9. Atom Names and Atom Expressions
Every atom in an nab molecule has a name. This name is composed of the strand name, the residue number
and the atom name. As both PDB and off formats require that all atoms in a residue have distinct names, the
combination of strand name, residue number and atom name is unique for each atom in a single molecule. Atoms
in different molecules, however, may have the same name.
Many nab builtins require the user to specify exactly which atoms are to be covered by the operation. nab does
this with special strings called atom expressions. An atom expression is a pattern that matches one or more atom
names in the specified molecule or residue. An atom expression consists of three parts—a strand part, a residue
part and an atom part. The parts are separated by colons (:). Not all three parts are required. An atom expression
with no colons consists of only a strand part; it selects all atoms in the selected strands. An atom expression with
one colon consists of a strand part and a residue part; it selects all atoms in the selected residues in the selected
strands. An empty part selects all strands, residues or atoms depending on which parts are empty.
nab patterns specify the entire string to be matched. For example, the atom pattern Cmatches only atoms named
C, and not those named CA,HC, etc. To match any name that begins with C, use C*, to match any name ending
with C, use *C and to match a Cin any position use *C*. An atom expression is first parsed into its parts. The strand
part is evaluated selecting one or more strands in a molecule. Next the residue part is evaluated. Only residues in
selected strands can be selected. Finally the atom part is evaluated and only atoms in selected residues are selected.
Here are some typical atom expressions and the atoms they match.
:ADE: Select all atoms in any residue named ADE. All three parts are
present but both the strand and atom parts are empty. The atom
expression :ADE selects the same set of atoms.
::C,CA,N select all atoms with names C,CA or Nin all residues in all
strands—typically the peptide backbone.
A:1-10,13,URA:C1’ Select atoms named C1’ (the glycosyl-carbons) in residues 1 to
10 and 13 and in any residues named URA in the strand named
A.
::C*[^’] Select all non-sugar carbons. The [^’] is an example of a
negated character class. It matches any character in the last
position except ’.
::P,O?P,C[3-5]?,O[35]? The nucleic acid backbone. This Pselects phosphorous atoms.
The O?P matches phosphate oxygens that have various second
letters O1P,O2P or OAP or OBP. The C[3-5]? matches the
backbone carbons, C3’,C4’,C5’ or C3*,C4*,C5*. And the
O[35]? matches the backbone oxygens O3’,O5’ or O3*,O5*.
:: or :Select all atoms in the molecule.
An important property of nab atom expressions is that the order in which the strands, residues, and atoms are
listed is unimportant. That is, the atom expression "2,1:5,2,3:N1,C1’" is the exact same atom expression as
"1,2:3,2,5:C1’,N1". All atom expressions are reordered, internal to nab, in increasing atom number. So, in the
above example, the selected atoms will be selected in the following sequence:
646

33.10. Looping over atoms in molecules
1:2:N1, 1:2:C1’, 1:3:N1, 1:3:C1’, 1:5:N1, 1:5:C1’, 2:2:N1, 2:2:C1’,
2:3:N1, 2:3:C1’, 2:5:N1, 2:5:C1’
The order in which atoms are selected internal to a specific residue are the order in which they appear in a nab
PDB file. As seen in the above example, N1 appears before C1’ in all nab nucleic acid residues and PDB files.
33.10. Looping over atoms in molecules
Another thing that many nab programs have to do is visit every atom of a molecule. nab provides a special
form of its for-loop for accomplishing this task. These loops have this form:
for( ain m)stmt;
aand mrepresent an atom and a molecule variable. The action of the loop is to set ato each atom in min this
order. The first atom is the first atom of the first residue of the first strand. This is followed by the rest of the atoms
of this residue, followed by the atoms of the second residue, etc until all the atoms in the first strand have been
visited. The process is then repeated on the second and subsequent strands in muntil ahas been set to every atom
in m. The order of the strands in a molecule is the order in which they were created with addstrand(), the order
of the residues in a strand is the order in which they were added with addresidue() and the order of the atoms in a
residue is the order in which they are listed in the residue library entry that the residue is based on.
The following program uses two nested for-in loops to compute all the proton-proton distances in a molecule.
Distances less than cutoff are written to stdout. The program uses the second argument on the command to hold
the cutoff value. The program also uses the =∼operator to compare a character string , in this case an atom name
to pattern, specified as a regular expression.
1// Program 4 - compute H-H distances <= cutoff
2molecule m;
3atom ai, aj;
4float d, cutoff;
5
6cutoff = atof( argv[ 2 ] );
7m = getpdb( "gcg10.pdb" );
8
9for( ai in m ){
10 if( ai.atomname !~ "H" )continue;
11 for( aj in m ){
12 if( aj.tatomnum <= ai.tatomnum )continue;
13 if( aj.atomname !~ "H" )continue;
14 if(( d=distp(ai.pos,aj.pos))<=cutoff){
15 printf(
16 "%3d %-4s %-4s %3d %-4s %-4s %8.3f\\n",
17 ai.tresnum, ai.resname, ai.atomname,
18 aj.tresnum, aj.resname, aj.atomname,
19 d );
20 }
21 }
22 }
The molecule is read into musing getpdb(). Two atom variables ai and aj are used to hold the pairs of atoms.
The outer loop in lines 9-22 sets ai to each atom in min the order discussed above. Since this program is only
interested in proton-proton distances, if ai is not a proton, all calculations involving that atom can be skipped. The
if in line 10 tests to see if ai is a proton. It does so by testing to see if ai’s name, available via the atomname attribute
doesn’t match the regular expression "H". If it doesn’t match then the program executes the continue statement also
on line 10, which has the effect of advancing the outer loop to its next atom.
>From the section on attributes, ai.atomname behaves like a character string. It can be compared against other
character strings or tested to see if it matches a pattern or regular expression. The two operators, =∼and !∼stand
647
33. NAB: Introduction
for match and doesn’t-match They also inform the nab compiler that the string on their right hand sides is to be
treated like a regular expression. In this case, the regular expression "H" matches any name that contains the letter
H, or any proton which is just what is required.
If ai is a proton, then the inner loop from 11-21 is executed. This sets aj to each atom in the same order as the
loop in 9. Since distance is reflexive (dist i,j = dist j,i), and the distance between an atom and itself is 0, the inner
loop uses the if on line 12 to skip the calculation on aj unless it follows ai in the molecule’s atom order. Next the if
on line 13 checks to see if aj is a proton, skipping to the next atom if it is not. Finally, the if on line 14 computes
the distance between the two protons ai and aj and if it is <=cutoff writes the information out using the C-like I/O
function printf().
33.11. Points, Transformations and Frames
nab provides three kinds of geometric objects. They are the types point and matrix and the frame component of
amolecule.
33.11.1. Points and Vectors
The nab type point is an object that holds three float values. These values can represent the X, Y and Z co-
ordinates of a point or the components of 3-vector. The individual elements of a point variable are accessed via
attributes or suffixes added to the variable name. The three point attributes are "x","y" and "z". Many nab builtin
functions use, return or create point values. Details of operations on points are given in chapter 3.
33.11.2. Matrices and Transformations
nab uses the matrix type to hold a 4×4 transformation matrix. Transformations are applied to residues and
molecules to move them into new orientations and/or positions. Unlike a general coordinate transformation, nab
transformations can not alter the scale (size) of an object. However, transformations can be applied to a subset of
the atoms of a residue or molecule changing its shape. For example, nab would use a transformation to rotate a
group of atoms about a bond. nab does not require that transformations applied to parts of residues or molecules
be chemically valid. It simply transforms the coordinates of the selected atoms leaving it to the user to correct (or
ignore) any chemically incorrect geometry caused by the transformation. nab uses the following builtin functions
to create and use transformations.
matrix newtransform( float dx, float dy, float dz,
float rx, float ry, float rz );
matrix rot4( molecule m, string tail, string head, float angle );
matrix rot4p( point tail, point head, float angle );
matrix trans4( molecule m, string tail, string head, float distance );
matrix trans4p( point tail, point head, float distance );
residue transformres( matrix mat, residue r, string aex );
int transformmol( matrix mat, molecule m, string aex );
nab provides three ways to create a new transformation matrix. The function newtransform() creates a transforma-
tion matrix from 3 translations and 3 rotations. It is intended to position objects with respect to the standard X, Y,
and Z axes located at (0,0,0). Here is how it works. Imagine two coordinate systems, X, Y, Z and X’, Y’, Z’ that are
initially superimposed. newtransform() first rotates the the primed coordinate system about Z by rz degrees, then
about Y by ry degrees, then about X by rx degrees. Finally the reoriented primed coordinate system is translated
to the point (dx,dy,dz) in the unprimed system. The functions rot4() and rot4p() create a transformation matrix
that effects a clockwise rotation by an angle (in degrees) about an axis defined by two points. The points can be
specified implicitly by atom expressions applied to a molecule in rot4() or explicitly as points in rot4p(). If an atom
expression in rot4() selects more that one atom, the average coordinate of all selected atoms is used as the point’s
value. (Note that a positive rotation angle here is defined to be clockwise, which is in accord with the IUPAC
rules for defining torsional angles in molecules, but is opposite to the convention found in many other branches of
648
33.12. Creating Watson Crick duplexes
mathematics.) Similarly, the functions trans4() and trans4p() create a transformation that effects a translation by a
distance along the axis defined by two points. A positive translation is from tail to head.
transformres() applies a transformation to those atoms of res that match the atom expression aex. It returns a
copy of the input residue with the changed coordinates. The input residue is unchanged. It returns NULL if the
new residue could not be created. transformmol() applies a transformation to those atoms of mol that match aex
. Unlike transformres(),transformmol() changes the coordinates of the input molecule. It returns the number of
atoms selected by aex. In both functions, the special atom expression NULL selects all atoms in the input residue
or molecule.
33.11.3. Frames
Every nab molecule includes a frame, a handle that allows arbitrary and precise movement of the molecule.
This frame is set with the nab builtins setframe() and setframep(). It is initially set to the standard X, Y and Z
directions centered at (0,0,0). setframe() creates a coordinate frame from atom expressions that specify the the
origin, the X direction and the Y direction. If any atom expression selects more that one atom, the average of the
selected atoms’ coordinates is used. Z is created from X×Y. Since the initial X and Y directions are unlikely to be
orthogonal, the use parameter specifies which of the input X and Y directions is to become the formal X or Y
direction. If use is 1, X is chosen and Y is recreated from Z×X. If use is 2, then Y is chosen and X is recreated
from Y×Z. setframep() is identical except that the five points defining the frame are explicitly provided.
int setframe( int use, molecule mol, string origin,
string xtail, string xhead,
string ytail, string yhead );
int setframep( int use, molecule mol, point origin,
point xtail, point xhead,
point ytail, point yhead );
int alignframe( molecule mol, molecule mref );
alignframe() is similar to superimpose(), but works on the molecules’ frames rather than selected sets of their
atoms. It transforms mol to superimpose its frame on the frame of mref. If mref is NULL,alignframe() superimposes
the frame of mol on the standard X, Y and Z coordinate system centered at (0,0,0).
Here’s how frames and transformations work together to permit precise motion between two molecules. Cor-
responding frames are defined for two molecules. These frames are based on molecular directions. alignframe()
is first used to align the frame of one molecule along with the standard X, Y and Z directions. The molecule is
then moved and reoriented via transformations. Because its initial frame was along these molecular directions, the
transformations are likely to be along or about the axes. Finally alignframe() is used to realign the transformed
molecule on the frame of the fixed molecule.
One use of this method would be the rough placement of a drug into a groove on a DNA molecule to create a
starting structure for restrained molecular dynamics. setframe() is used to define a frame for the DNA along the
appropriate groove, with its origin at the center of the binding site. A similar frame is defined for the drug. align-
frame() first aligns the drug on the standard coordinate system whose axes are now important directions between
the DNA and the drug. The drug is transformed and alignframe() realigns the transformed drug on the DNA’s
frame.
33.12. Creating Watson Crick duplexes
Watson/Crick duplexes are fundamental components of almost all nucleic acid structures and nab provides
several functions for use in creating them. They are
residue getres( string resname, string reslib );
molecule bdna( string seq );
molecule fd_helix( string helix_type, string seq, string acid_type );
string wc_complement( string seq, string reslib, string natype );
molecule wc_basepair( residue sres, residue ares );
649

33. NAB: Introduction
molecule wc_helix( string seq, string rlib, string natype,
string aseq, string arlib, string anatype, float xoff,
float incl, float twist, float rise, string opts );
All of these functions are written in nab allowing the user to modify or extend them as needed without having to
modify the nab compiler.
Note: If you just want to create a regular helical structure with a given sequence, use the "fiber-diffraction"
routine fd_helix(), which is discussed in Section 34.13. The methods discussed next are more general, and can be
extended to more complicated problems, but they are also much harder to follow and understand. The construction
of "unusual" nucleic acids was the original focus of NAB; if you are using NAB for some other purpose (such as
running Amber force field calculations) you should probably skip to Chapter 37 at this point.
33.12.1. bdna() and fd_helix()
The function bdna() which was used in the first example converts a string into a Watson/Crick DNA duplex
using average DNA helical parameters.
1// bdna() - create average B-form duplex
2molecule bdna( string seq )
3{
4molecule m;
5string cseq;
6cseq = wc_complement( seq, "", "dna" );
7m = wc_helix( seq, "", "dna",
8cseq, "", "dna",
92.25, -4.96, 36.0, 3.38, "s5a5s3a3" );
10 return( m );
11 };
bdna() calls wc_helix() to create the molecule. However, wc_helix() requires both strands of the duplex so bdna()
calls wc_complement() to create a string that represents the Watson/Crick complement of the sequence contained
in its parameter seq. The string "s5a5s3a3" replaces both the sense and anti 5’ terminal phosphates with hydrogens
and adds hydrogens to both the sense and anti 3’ terminal O3’ oxygens. The finished molecule in mis returned as
the function’s value. If any errors had occurred in creating m, it would have the value NULL, indicating that bdna()
failed.
Note that the simple method used in bdna() for constructing the helix is not very generic, since it assumes that
the internal geometry of the residues in the (default) library are appropriate for this sort of helix. This is in fact the
case for B-DNA, but this method cannot be trivially generalized to other forms of helices. One could create initial
models of other helical forms in the way described above, and fix up the internal geometry by subsequent energy
minimization. An alternative is to directly use fiber-diffraction models for other types of helices. The fd_helix()
routine does this, reading a database of experimental coordinates from fiber diffraction data, and constructing a
helix of the appropriate form, with the helix axis along z. More details are given in Section 34.13.
33.12.2. wc_complement()
The function wc_complement() takes three strings. The first is a sequence using the standard one letter code,
the second is the name of an nab residue library, and the third is the nucleic acid type (RNA or DNA). It returns
a string that contains the Watson/Crick complement of the input sequence in the same one letter code. The input
string and the returned complement string have opposite directions. If the left end of the input string is the 5’ base
then the left end of the returned string will be the 3’ base. The actual direction of the two strings depends on their
use.
1// wc_complement() - create a string that is the W/C
2// complement of the string seq
3string wc_complement( string seq, string rlib, string rlt )
4// (note that rlib is unused: included only for backwards compatibility
650

33.12. Creating Watson Crick duplexes
5{
6string acbase, base, wcbase, wcseq;
7int i, len;
8
9if( rlt == "dna" ) acbase = "t";
10 else if( rlt == "rna" ) acbase = "u";
11 else{
12 fprintf( stderr,
13 "wc_complement: rlt (%s) is not dna/rna, no W/C comp.", rlt );
14 return( NULL );
15 }
16 len = length( seq );
17 wcseq = NULL;
18 for(i=1;i<=len;i=i+1){
19 base = substr( seq, i, 1 );
20 if( base == "a" || base == "A" ) wcbase = acbase;
21 else if( base == "c" || base == "C" ) wcbase = "g";
22 else if( base == "g" || base == "G" ) wcbase = "c";
23 else if( base == "t" || base == "T" ) wcbase = "a";
24 else if( base == "u" || base == "U" ) wcbase = "a";
25 else{
26 fprintf( stderr, "wc_complement: unknown base %sn", base );
27 return( NULL );
28 }
29 wcseq = wcseq + wcbase;
30 }
31 return( wcseq );
32 }
wc_complement() begins its work in line 9, where the nucleic acid type, as indicated by rlt as DNA or RNA is
used to determine the correct complement for an a. The complementary sequence is created in the for loop that
begins in line 18 and extends to line 30. The nab builtin substr() is used to extract single characters from the
input sequence beginning with with position 1 and working from left to right until entire input sequence has been
converted. The if-tree from lines 20 to 28 is used to set the character complementary to the current character, using
the previously determined acbase if the input character is an aor A. Any character other than the expected a,c,g,t,
u(or A,C,G,T,U) is an error causing wc_complement() to print an error message and return NULL, indicating that
it failed. Line 29 shows how nab uses the infix +to concatenate character strings. When the entire string has been
complemented, the for loop terminates and the complementary sequence now in wcseq is returned as the function
value. Note that if the input sequence is empty, wc_complement() returns NULL, indicating failure.
33.12.3. wc_helix() Overview
wc_helix() generates a uniform helical duplex from a sequence, its complement, two residue libraries and four
helical parameters: x-offset, inclination, twist and rise. By using two residue libraries, wc_helix() can generate
RNA/DNA heteroduplexes. wc_helix() returns an nab molecule containing two strands. The string seq becomes
the "sense" strand and the string aseq becomes the "anti" strand. seq and aseq are required to be complementary
although this is not checked. wc_helix() creates the molecule one base pair at a time. seq is read from left to
right, aseq is read from right to left and corresponding letters are extracted and converted to residues by getres().
These residues are in turn combined into an idealized Watson/Crick base pair by wc_basepair(). An AT created by
wc_basepair() is shown in Figure 2.
A Watson/Crick duplex can be modeled as a set of planes stacked in a helix. The numbers that describe the
relationships between the planes and between the planes and the helical axis are called helical parameters. Planes
can be defined for each base or base pair. Six numbers (three displacements and three angles) can be defined for
every pair of planes; however, helical parameters for nucleic acid bases are restricted to the six numbers describing
the the relationship between the two bases in a base pair and the six numbers describing the relationship between
651

33. NAB: Introduction
X
Y
ADE THY
Y’
C1’ C1’N3
C5
Figure 33.2.: ADE.THY from wc_basepair().
adjacent base pairs. A complete description of helical parameters can be found in Dickerson.[549]
wc_helix() uses only four of the 12 helical parameters. It builds its helices from idealized Watson/Crick pairs.
These pairs are planar so the three intra base angles are 0. In addition the displacements are displacements from the
idealized Watson/Crick geometry and are also 0. The Aand the Tin Figure 2 are in plane of the page. wc_helix()
uses four of the six parameters that relate a base pair to the helical axis. The helices created by wc_helix() have
a single axis (the Z axis, not shown) which is at the intersection of the X and Y axes of Figure 2. Now imagine
keeping the axes fixed in the plane of the paper and moving the base pair. X-offset is the displacement along the X
axis between the Y axis and the line marked Y’. A positive X-offset is toward the arrow on the X-axis. Inclination
is the rotation of the base pair about the X axis. A rotation that moves the A above the plane of page and the T
below is positive. Twist involves a rotation of the base pair about the Z-axis. A counterclockwise twist is positive.
Finally, rise is a displacement along the Z-axis. A positive rise is out of the page toward the reader.
33.12.4. wc_basepair()
The function wc_basepair() takes two residues and assembles them into a two stranded nab molecule containing
one base pair. Residue sres is placed in the "sense" strand and residue ares is placed in the "anti" strand. The work
begins in line 14 where newmolecule() is used to create an empty molecule stored in m. Two strands, sense and
anti are added using addstrand(). In addition, two more molecules are created, m_sense for the sense residue and
m_anti for the anti residue. The if-trees in lines 26-61 and 63-83 are used to select residue dependent atoms that will
be used to move the base pairs into a convenient orientation for helix generation. The purine:C4 and pyrimidine:C6
distance which is residue dependent is also set. In line 62, addresidue() adds sres to the strand sense of m_sense.
In line 84, addresidue() adds ares to the strand anti of m_anti. Lines 86 and 87 align the molecules containing
the sense residue and anti residue so that sres and ares are on top of each other. Line 88 creates a transformation
matrix that rotates m_anti ( containing ares ) 180o about the X-axis. After applying this transformation, the two
bases are still occupying the same space but ares is now antiparallel to sres. Line 90 creates a transformation
matrix that displaces m_anti and ares along the Y-axis by sep. The properly positioned molecules containing sres
and ares are merged into a single molecule, m,completing the base pair. Lines 97-98 move this base pair to a more
convenient orientation for helix generation. Initially the base as shown in Figure 33.2 is in the plane of page with
origin on the C4 of the A. The calls to setframe() and alignframe() move the base pair so that the origin is at the
intersection of the lines marked X and Y’.
1// wc_basepair() - create Watson/Crick base pair
2#define AT_SEP 8.29
3#define CG_SEP 8.27
652

33.12. Creating Watson Crick duplexes
4
5molecule wc_basepair( residue sres, residue ares )
6{
7molecule m, m_sense, m_anti;
8float sep;
9string srname, arname;
10 string xtail, xhead;
11 string ytail, yhead;
12 matrix mat;
13
14 m = newmolecule();
15 m_sense = newmolecule();
16 m_anti = newmolecule();
17 addstrand( m, "sense" );
18 addstrand( m, "anti" );
19 addstrand( m_sense, "sense" );
20 addstrand( m_anti, "anti" );
21
22 srname = getresname( sres );
23 arname = getresname( ares );
24 ytail = "sense::C1’";
25 yhead = "anti::C1’";
26 if( ( srname == "ADE" ) || ( srname == "DA" ) ||
27 ( srname == "RA" ) || ( srname =~ "[DR]A[35]" ) ){
28 sep = AT_SEP;
29 xtail = "sense::C5";
30 xhead = "sense::N3";
31 setframe( 2, m_sense,
32 "::C4", "::C5", "::N3", "::C4", "::N1" );
33 }else if( ( srname == "CYT" ) || ( srname =~ "[DR]C[35]*" ) ){
34 sep = CG_SEP;
35 xtail = "sense::C6";
36 xhead = "sense::N1";
37 setframe( 2, m_sense,
38 "::C6", "::C5", "::N1", "::C6", "::N3" );
39 }else if( ( srname == "GUA" ) || ( srname =~ "[DR]G[35]*" ) ){
40 sep = CG_SEP;
41 xtail = "sense::C5";
42 xhead = "sense::N3";
43 setframe( 2, m_sense,
44 "::C4", "::C5", "::N3", "::C4", "::N1" );
45 }else if( ( srname == "THY" ) || ( srname =~ "DT[35]*" ) ){
46 sep = AT_SEP;
47 xtail = "sense::C6";
48 xhead = "sense::N1";
49 setframe( 2, m_sense,
50 "::C6", "::C5", "::N1", "::C6", "::N3" );
51 }else if( ( srname == "URA" ) || ( srname =~ "RU[35]*" ) ){
52 sep = AT_SEP;
53 xtail = "sense::C6";
54 xhead = "sense::N1";
55 setframe( 2, m_sense,
56 "::C6", "::C5", "::N1", "::C6", "::N3" );
57 }else{
58 fprintf( stderr,
59 "wc_basepair : unknown sres %s\\n",srname );
60 exit( 1 );
653

33. NAB: Introduction
61 }
62 addresidue( m_sense, "sense", sres );
63 if( ( arname == "ADE" ) || ( arname == "DA" ) ||
64 ( arname == "RA" ) || ( arname =~ "[DR]A[35]" ) ){
65 setframe( 2, m_anti,
66 "::C4", "::C5", "::N3", "::C4", "::N1" );
67 }else if( ( arname == "CYT" ) || ( arname =~ "[DR]C[35]*" ) ){
68 setframe( 2, m_anti,
69 "::C6", "::C5", "::N1", "::C6", "::N3" );
70 }else if( ( arname == "GUA" ) || ( arname =~ "[DR]G[35]*" ) ){
71 setframe( 2, m_anti,
72 "::C4", "::C5", "::N3", "::C4", "::N1" );
73 }else if( ( arname == "THY" ) || ( arname =~ "DT[35]*" ) ){
74 setframe( 2, m_anti,
75 "::C6", "::C5", "::N1", "::C6", "::N3" );
76 }else if( ( arname == "URA" ) || ( arname =~ "RU[35]*" ) ){
77 setframe( 2, m_anti,
78 "::C6", "::C5", "::N1", "::C6", "::N3" );
79 }else{
80 fprintf( stderr,
81 "wc_basepair : unknown ares %s\\n",arname );
82 exit( 1 );
83 }
84 addresidue( m_anti, "anti", ares );
85
86 alignframe( m_sense, NULL );
87 alignframe( m_anti, NULL );
88 mat = newtransform( 0., 0., 0., 180., 0., 0. );
89 transformmol( mat, m_anti, NULL );
90 mat = newtransform( 0., sep, 0., 0., 0., 0. );
91 transformmol( mat, m_anti, NULL );
92 mergestr( m, "sense", "last", m_sense, "sense", "first" );
93 mergestr( m, "anti", "last", m_anti, "anti", "first" );
94
95 freemolecule( m_sense ); freemolecule( m_anti );
96
97 setframe( 2, m, "::C1’", xtail, xhead, ytail, yhead );
98 alignframe( m, NULL );
99 return( m );
100 };
33.12.5. wc_helix() Implementation
The function wc_helix() assembles base pairs from wc_basepair() into a helical duplex. It is a fairly complicated
function that uses several transformations and shows how mergestr() is used to combine smaller molecules into a
larger one. In addition to creating complete duplexes, wc_helix() can also create molecules that contain only one
strand of a duplex. Using the special value NULL for either seq or aseq creates a duplex that omits the residues for
the NULL sequence. The molecule still contains two strands, sense and anti, but the strand corresponding to the
NULL sequence has zero residues. wc_helix() first determines which strands are required, then creates the first base
pair, then creates the subsequent base pairs and assembles them into a helix and finally packages the requested
strands into the returned molecule.
Lines 20-34 test the input sequences to see which strands are required. The variables has_s and has_a are flags
where a value of 1indicates that seq and/or aseq was requested. If an input sequence is NULL,wc_complement()
is used to create it and the appropriate flag is set to 0. The nab builtin setreslibkind() is used to set the nucleic acid
type so that the proper residue ( DNA or RNA ) is extracted from the residue library.
654

33.12. Creating Watson Crick duplexes
The first base pair is created in lines 42-63. The two letters corresponding the 5’ base of seq and the 3’ base
of aseq are extracted using the nab builtin substr(), converted to residues using getresidue() and assembled into a
base pair by wc_basepair(). This base pair is oriented as in Figure 2 with the origin at the intersection of the lines
X and Y’. Two transformations are created, xomat for the x-offset and inmat for the inclination and applied to this
pair.
Base pairs 2 to slen-1 are created in the for loop in lines 66-87. substr() is used to extract the appropriate
letters from seq and aseq which are converted into another base pair by getresidue() and wc_basepair(). Four
transformations are applied to these base pairs - two to set the x-offset and the inclination and two more to set
the twist and the rise. Next m2, the molecule containing the newly created properly positioned base pair must be
bonded to the previously created molecule in m1. Since nab only permits bonds between residues in the same
strand, mergestr() must be used to combine the corresponding strands in the two molecules before connectres()
can create the bonds.
Because the two strands in a Watson/Crick duplex are antiparallel, adding a base pair to one end requires that
one residue be added after the last residue of one strand and that the other residue added before the first residue
of the other strand. In wc_helix() the sense strand is extended after its last residue and the anti strand is extended
before its first residue. The call to mergestr() in line 79 extends the sense strand of m1 with the the residue of
the sense strand of m2. The residue of m2 is added after the "last" residue of of the sense strand of m1. The
final argument "first" indicates that the residue of m2 are copied in their original order m1:sense:last is followed by
m2:sense:first. After the strands have been merged, connectres() makes a bond between the O3’ of the next to last
residue (i-1) and the Pof the last residue (i). The next call to mergestr() works similarly for the residues in the anti
strands. The residue in the anti strand of m2 are copied into the the anti strand of m1 before the first residue of the
anti strand of m1 m2:anti:last precedes m1:anti:first . After merging connectres() creates a bond between the O3’
of the new first residue and the Pof the second residue.
Lines 121-130 create the returned molecule m3. If the flag has_s is 1,mergestr() copies the entire sense strand
of m1 into the empty sense strand of m3. If the flag has_a is 1, the anti strand is also copied.
1// wc_helix() - create Watson/Crick duplex
2string wc_complement();
3molecule wc_basepair();
4molecule wc_helix(
5string seq, string sreslib, string snatype,
6string aseq, string areslib, string anatype,
7float xoff, float incl, float twist, float rise,
8string opts )
9{
10 molecule m1, m2, m3;
11 matrix xomat, inmat, mat;
12 string arname, srname;
13 string sreslib_use, areslib_use;
14 string loup[ hashed ];
15 residue sres, ares;
16 int has_s, has_a;
17 int i, slen;
18 float ttwist, trise;
19
20 has_s = 1; has_a = 1;
21 if( sreslib == "" ) sreslib_use = "all_nucleic94.lib";
22 else sreslib_use = sreslib;
23 if( areslib == "" ) areslib_use = "all_nucleic94.lib";
24 else areslib_use = areslib;
25
26 if( seq == NULL && aseq == NULL ){
27 fprintf( stderr, "wc_helix: no sequence\\n" );
28 return( NULL );
29 }else if( seq == NULL ){
30 seq = wc_complement( aseq, areslib_use, snatype );
655

33. NAB: Introduction
31 has_s = 0;
32 }else if( aseq == NULL ){
33 aseq = wc_complement( seq, sreslib_use, anatype );
34 has_a = 0;
35 }
36
37 slen = length( seq );
38 loup["g"] = "G"; loup["a"] = "A";
39 loup["t"] = "T"; loup["c"] = "C";
40
41 // handle the first base pair:
42 setreslibkind( sreslib_use, snatype );
43 srname = "D" + loup[ substr( seq, 1, 1 ) ];
44 if( opts =~ "s5" )
45 sres = getresidue( srname + "5", sreslib_use );
46 else if( opts =~ "s3" && slen == 1 )
47 sres = getresidue( srname + "3", sreslib_use );
48 else sres = getresidue( srname, sreslib_use );
49
50 setreslibkind( areslib_use, anatype );
51 arname = "D" + loup[ substr( aseq, 1, 1 ) ];
52 if( opts =~ "a3" )
53 ares = getresidue( arname + "3", areslib_use );
54 else if( opts =~ "a5" && slen == 1 )
55 ares = getresidue( arname + "5", areslib_use );
56 else ares = getresidue( arname, areslib_use );
57 m1 = wc_basepair( sres, ares );
58 freeresidue( sres ); freeresidue( ares );
59 xomat = newtransform(xoff, 0., 0., 0., 0., 0. );
60 transformmol( xomat, m1, NULL );
61 inmat = newtransform( 0., 0., 0., incl, 0., 0.);
62 transformmol( inmat, m1, NULL );
63
64 // add in the main portion of the helix:
65 trise = rise; ttwist = twist;
66 for( i = 2; i <= slen-1; i = i + 1 ){
67 srname = "D" + loup[ substr( seq, i, 1 ) ];
68 setreslibkind( sreslib, snatype );
69 sres = getresidue( srname, sreslib_use );
70 arname = "D" + loup[ substr( aseq, i, 1 ) ];
71 setreslibkind( areslib, anatype );
72 ares = getresidue( arname, areslib_use );
73 m2 = wc_basepair( sres, ares );
74 freeresidue( sres ); freeresidue( ares );
75 transformmol( xomat, m2, NULL );
76 transformmol( inmat, m2, NULL );
77 mat = newtransform( 0., 0., trise, 0., 0., ttwist );
78 transformmol( mat, m2, NULL );
79 mergestr( m1, "sense", "last", m2, "sense", "first" );
80 connectres( m1, "sense", i-1, "O3’", i, "P" );
81 mergestr( m1, "anti", "first", m2, "anti", "last" );
82 connectres( m1, "anti", 1, "O3’", 2, "P" );
83 trise = trise + rise;
84 ttwist = ttwist + twist;
85 freemolecule( m2 );
86 }
87
656

33.12. Creating Watson Crick duplexes
88
89 i = slen; // add in final residue pair:
90
91 if( i > 1 ){
92 srname = substr( seq, i, 1 );
93 srname = "D" + loup[ substr( seq, i, 1 ) ];
94 setreslibkind( sreslib, snatype );
95 if( opts =~ "s3" )
96 sres = getres( srname + "3", sreslib_use );
97 else
98 sres = getres( srname, sreslib_use );
99 arname = "D" + loup[ substr( aseq, i, 1 ) ];
100 setreslibkind( areslib, anatype );
101 if( opts =~ "a5" )
102 ares = getres( arname + "5", areslib_use );
103 else
104 ares = getres( arname, areslib_use );
105
106 m2 = wc_basepair( sres, ares );
107 freeresidue( sres ); freeresidue( ares );
108 transformmol( xomat, m2, NULL );
109 transformmol( inmat, m2, NULL );
110 mat = newtransform( 0., 0., trise, 0., 0., ttwist );
111 transformmol( mat, m2, NULL );
112 mergestr( m1, "sense", "last", m2, "sense", "first" );
113 connectres( m1, "sense", i-1, "O3’", i, "P" );
114 mergestr( m1, "anti", "first", m2, "anti", "last" );
115 connectres( m1, "anti", 1, "O3’", 2, "P" );
116 trise = trise + rise;
117 ttwist = ttwist + twist;
118 freemolecule( m2 );
119 }
120
121 m3 = newmolecule();
122 addstrand( m3, "sense" );
123 addstrand( m3, "anti" );
124 if( has_s )
125 mergestr( m3, "sense", "last", m1, "sense", "first" );
126 if( has_a )
127 mergestr( m3, "anti", "last", m1, "anti", "first" );
128 freemolecule( m1 );
129
130 return( m3 );
131 };
657

34. NAB: Language Reference
nab is a computer language used to create, modify and describe models of macromolecules, especially those of
unusual nucleic acids. The following sections provide a complete description of the nab language. The discussion
begins with its lexical elements, continues with sections on expressions, statements and user defined functions and
concludes with an explanation of each of nab’s builtin functions. Two appendices contain a more detailed and
formal description of the lexical and syntactic elements of the language including the actual lex and yacc input
used to create the compiler. Two other appendices describe nab’s internal data structures and the C code generated
to support some of nab’s higher level operations.
34.1. Language Elements
An nab program is composed of several basic lexical elements: identifiers, reserved words, literals, operators
and special characters. These are discussed in the following sections.
34.1.1. Identifiers
An identifier is a sequence of letters, digits and underscores beginning with a letter. Upper and lower case
letters are distinct. Identifiers are limited to 255 characters in length. The underscore (_) is a letter. Identifiers
beginning with underscore must be used carefully as they may conflict with operating system names and nab
created temporaries. Here are some nab identifiers.
mol i3 twist TWIST Watson_Crick_Base_Pair
34.1.2. Reserved Words
Certain identifiers are reserved words, special symbols used by nab to denote control flow and program structure.
Here are the nab reserved words:
allocate assert atom bounds break
continue deallocate debug delete dynamic
else file for float hashed
if in int matrix molecule
point residue return string while
34.1.3. Literals
Literals are self defining terms used to introduce constant values into expressions. nab provides three types of
literals: integers, floats and character strings. Integer literals are sequences of one or more decimal digits. Float
literals are sequences of decimal digits that include a decimal point and/or are followed by an exponent. An
exponent is the letter eor Efollowed by an optional +or -followed by one to three decimal digits. The exponent
is interpreted as “times 10 to the power of exp” where exp is the number following the eor E. All numeric literals
are base 10. Here are some integer and float literals:
1 3.14159 5 .234 3.0e7 1E-7
String literals are sequences of characters enclosed in double quotes ("). A double quote is placed into a string
literal by preceding it with a backslash (\). A backslash is inserted into a string by preceding it with a backslash.
Strings of zero length are permitted.
659

34. NAB: Language Reference
"" "a string" "string with a \"" "string with a \\"
Non-printing characters are inserted into strings via escape sequences: one to three characters following a back-
slash. Here are the nab string escapes and their meanings:
\a Bell (a for audible alarm)
\b Back space
\f Form feed (new page)
\n New line
\r Carriage return
\t Horizontal tab
\v Vertical tab
\” Literal double quote
\\ Literal backspace
\ooo Octal character
\xhh Hex character (hh is 1 or 2 hex digits
Here are some strings with escapes:
"Molecule\tResidue\tAtom\n"
"\252Real quotes\272"
The second string has octal values, \252, the left double quote, and \272, the right double quote.
34.1.4. Operators
nab uses several additional 1 or 2 character symbols as operators. Operators combine literals and identifiers into
expressions.
Operator Meaning Precedence Associates
( ) expression grouping 9
[ ] array indexing 9
. select attribute 8
unary −negation 8 right to left
! not 8
^ cross product 6 left to right
@ dot product 6
* multiplication 6 left to right
/ division 6 left to right
% modulus 6 left to right
+ addition, concatenation 5 left to right
binary −subtraction 5 left to right
< less than 4
<= less than or equal to 4
== equal 4
!= not equal 4
>= greater than or equal to 4
> greater than 4
=~ match 4
!~ doesn’t match 4
in hashed array member 4
or atom in molecule
&& and 3
|| or 2
= assignment 1 right to left
660
34.2. Higher-level constructs
34.1.5. Special Characters
nab uses braces ({}) to group statements into compound statements and statements and declarations into function
bodies. The semicolon (;) is used to terminate statements. The comma (,) separates items in parameter lists and
declarations. The sharp (#) used in column 1 designates a preprocessor directive, which invokes the standard C
preprocessor to provide constants, macros and file inclusion. A #in any other column, except in a comment or a
literal string is an error. Two consecutive forward slashes (//) indicate that the rest of the line is a comment which is
ignored. All other characters except white space (spaces, tabs, newlines and formfeeds) are illegal except in literal
strings and comments.
34.2. Higher-level constructs
34.2.1. Variables
A variable is a name given to a part of memory that is used to hold data. Every nab variable has type which
determines how the computer interprets the variable’s contents. nab provides 10 data types. They are the numeric
types int and float which are translated into the underlying C compiler’s int and double respectively.*
The string type is used to hold null (zero byte) terminated (C) character strings. The file type is used to access
files (equivalent to C’s FILE *). There are three types—atom,residue and molecule for creating and working with
molecules. The point type holds three float values which can represent the X, Y and Z coordinates of a point or the
components of a 3-vector. The matrix type holds 16 float values in a 4×4 matrix and the bounds type is used to
hold distance bounds and other information for use in distance geometry calculations.
nab string variables are mapped into C char * variables which are allocated as needed and freed when possible.
However, all of this is invisible at the nab level where strings are atomic objects. The atom,residue,molecule and
bounds types become pointers to the appropriate C structs. point and matrix are implemented as float [3] and float
[4][4] respectively. Again the nab compiler automatically generates all the C code required to makes these types
appear as atomic objects.
Every nab variable must be declared. All declarations for functions or variables in the main block must precede
the first executable statement of that block. Also all declarations in a user defined nab function must precede the
first executable statement of that function. An nab variable declaration begins with the reserved word that
specifies the variable’s type followed by a comma separated list of identifiers which become variables of that type.
Each declaration ends with a semicolon.
int i, j, j;
matrix mat;
point origin;
Six nab types—string,file,atom,residue,molecule and bounds use the predefined identifier NULL to indicate a
non-existent object of these types. nab builtin functions returning objects of these types return NULL to indicate
that the object could not be created. nab considers a NULL value to be false. The empty nab string "" is not equal
to NULL.
34.2.2. Attributes
Four nab types—atom,residue,molecule and point—have attributes which are elements of their internal
structure directly accessible at the nab level. Attributes are accessed via the select operator (.) which takes a
variable as its left hand operand and an attribute name (an identifier) as its right. The general form is
var.attr
Most attributes behave exactly like ordinary variables of the same type. However, some attributes are read only.
They are not permitted to appear as the left hand side of an assignment. When a read only attribute is passed to an
nab function, it is copied into temporary variable which in turn is passed to the function. Read only attributes are
not permitted to appear as destination variables in scanf() parameter lists. Attribute names are kept separate from
661

34. NAB: Language Reference
variable and function names and since attributes can only appear to the right of select there is no conflict between
variable and attribute names. For example, if xis a point, then
x // the point variable x
x.x // x coordinate of x
.x // Error!
Here is the complete list of nab attributes.
Atom attributes Type Write? Meaning
atomname string yes Ordinarily taken from columns 13-16 of an input pdb
file, or from a residue library. Spaces are removed.
atomnum int no The number of the atom starting at 1for each strand
in the molecule.
tatomnum int no The total number of the atom starting at 1. Unlike
atomnum,tatomnum does not restart at 1for each
strand.
fullname string no The fully qualified atom name, having the form
strandnum:resnum:atomname.
resid string yes The resid of the residue containing this atom; see the
Residue attributes table.
resname string yes The name of the residue containing this atom.
resnum int no The number of the residue containing the atom.
resnum starts at 1for each strand.
tresnum int no The total number of the residue containing this atom
starting at 1. Unlike resnum,tresnum does not restart
at 1for each strand.
strandname string yes The name of the strand containing this atom.
strandnum int no The number of the strand containing this atom.
pos point yes point variable giving the atom’s position.
x,y,z float yes The Cartesian coordinates of this atom
charge float yes Atomic charge
radius float yes Dielectric radius
int1 int yes User-definable integer
float1 float yes User-definable float
Residue attributes Type Write? Meaning
resid string yes A 6-character string, ordinarily taken from columns
22-27 of a PDB file. It can be re-set to something
else, but should always be either empty or exactly 6
characters long, since this string is used (if it is not
empty) by putpdb.
resname string yes Three-character identifier
resnum int no The number of the residue. resnum starts at 1for
each strand.
tresnum int no The total number of the residue, starting at 1. Unlike
resnum,tresnum does not restart at 1for each strand.
strandname string yes The name of the strand containing this residue.
strandnum int no The number of the strand containing this residue.
Molecule attributes Type Write? Meaning
natoms int no The total number of atoms in the molecule.
nresidues int no The total number of residues in the molecule.
nstrands int no The total number of strands in the molecule.
662
34.2. Higher-level constructs
34.2.3. Arrays
nab supports two kinds of arrays—ordinary arrays where the selector is a comma separated list of integer
expressions and associative or “hashed” arrays where the selector is a character string. The set of character strings
that is associated with data in a hashed array is called its keys. Array elements may be of any nab type. All the
dimensions of an ordinary array are indexed from 1to Nd , where Nd is the size of the d th dimension. Non
parameter array declarations are similar to scalar declarations except the variable name is followed by either a
comma separated list of integer constants surrounded by square brackets ([]) for ordinary arrays or the reserved
word hashed in square brackets for associative arrays. Associative arrays have no predefined size.
float energy[ 20 ], surface[ 13,13 ];
int attr[ dynamic, dynamic ];
molecule structs[ hashed ];
The syntax for multi-dimensional arrays like that for Fortran, not C. The nab2c compiler linearizes all index
references, and the underlying C code sees only single-dimension arrays. Arrays are stored in "column-order", so
that the most-rapidly varying index is the first index, as in Fortran. Multi-dimensional int or float arrays created in
nab can generally be passed to Fortran routines expecting the analogous construct.
Dynamic arrays are not allocated space upon program startup, but are created and freed by the allocate and
deallocate statements:
allocate attr[ i, j ];
....
deallocate attr;
Here iand jmust be integer expressions that may be evaluated at run-time. It is an error (generally fatal) to refer to
the contents of such an array before it has been allocated or after it has been deallocated.
34.2.4. Expressions
Expressions use operators to combine variables, constants and function values into new values. nab uses standard
algebraic notation (a+b*c, etc) for expressions. Operators with higher precedence are evaluated first. Parentheses
are used to alter the evaluation order. The complete list of nab operators with precedence levels and associativity
is listed under Operators.
nab permits mixed mode arithmetic in that int and float data may be freely combined in expressions as long as
the operation(s) are defined. The only exceptions are that the modulus operator (%) does not accept float
operands, and that subscripts to ordinary arrays must be integer valued. In all other cases except parameter
passing and assignment, when an int and float are combined by an operator, the int is converted to float then the
operation is executed. In the case of parameter passing, nab requires (but does not check) that actual parameters
passed to functions have the same type as the corresponding formal parameters. As for assignment (=) the right
hand side is converted to the type of the left hand side (as long as both are numeric) and then assigned. nab treats
assignment like any other binary operator which permits multiple assignments (a=b=c) as well as “embedded”
assignments like:
if( mol = newmolecule() ) ...
nab relational operators are strictly binary. Any two objects can be compared provided that both are numeric, both
are string or both are the same type. Comparisons for objects other than int,float and string are limited to tests for
equality. Comparisons between file,atom,residue,molecule and bounds objects test for “pointer” equality,
meaning that if the pointers are the same, the objects are same and thus equal, but if the pointers are different, no
inference about the actual objects can be made. The most common comparison on objects of these types is against
NULL to see if the object was correctly created. Note that as nab considers NULL to be false the following
expressions are equivalent.
if( var == NULL )... is the same as if( !var )...
if( var != NULL )... is the same as if( var )...
663

34. NAB: Language Reference
The Boolean operators && and || evaluate only enough of an expression to determine its truth value. nab considers
the value 0to be false and any non-zero value to be true. nab supports direct assignment and concatenation of
string values. The infix +is used for string concatenation.
nab provides several infix vector operations for point values. They can be assigned and point valued functions
are permitted. Two point values can be added or subtracted. A point can be multiplied or divided by a float or an
int. The unary minus can be applied to a point which has the same effect as multiplying it by -1. Finally, the at sign
(@) is used to form the dot product of two points and the circumflex ( ˆ) is used to form their cross product.
34.2.5. Regular expressions
The =∼and !∼operators (match and not match) have strings on the left-hand-sides and regular expression
strings on their right-hand-sides. These regular expressions are interpreted according to standard conventions
drawn from the UNIX libraries.
34.2.6. Atom Expressions
An atom expression is a character string that contains one or more patterns that match a set of atom names in
a molecule. Atom expressions contain three substrings separated by colons (:). They represent the strand, residue
and atom parts of the atom expression. Each subexpression consists of a comma (,) separated list of patterns, or
for the residue part, patterns and/or number ranges. Several atom expressions may be placed in a single character
string by separating them with the vertical bar (|).
Patterns in atom expressions are similar to Unix shell expressions. Each pattern is a sequence of 1 or more
single character patterns and/or stars (*). The star matches zero or more occurrences of any single character. Each
part of an atom expression is composed of a comma separated list of limited regular expressions, or in the case of
the residue part, limited regular expressions and/or ranges. A range is a number or a pair of numbers separated
by a dash. A regular expression is a sequence of ordinary characters and “metacharacters”. Ordinary characters
represent themselves, while the metacharacters are operators used to construct more complicated patterns from the
ordinary characters. All characters except ?,*,[,],-,,(comma), :and |are ordinary characters. Regular expressions
and the strings they match follow these rules.
aexpr matches
x An ordinary character matches itself.
? A question mark matches any single character.
* A star matches any run of zero of more characters. The pattern *
matches anything.
[xyz] A character class. It matches a single occurrence of any character
between the [ and the ].
[^xyz] A “negated” character class. It matches a single occurrence of any
character not between the ˆ and the ]. Character ranges, f-l , are
permitted in both types of character class. This is a shorthand for all
characters beginning with f up to and including l. Useful ranges are 0-9
for all the digits and a-zA-Z for all the letters.
- The dash is used to delimit ranges in characters classes and to separate
numbers in residue ranges.
$The dollar sign is used in a residue range to represent the “last” residue
without having to know its number.
, The comma separates regular expressions and/or ranges in an atom
expression part.
: The colon separates the parts of an atom expression.
| The vertical bar separates atom expressions in the same character string.
\ The backslash is used as an escape. Any character including
metacharacters following a backslash matches itself.
664

34.2. Higher-level constructs
Atom expressions match the entire name. The pattern C, matches only C, not CA,HC, etc. To match any name
that begins with Cuse C*; to match any name that ends with C, use *C; to match any name containing a C, use *C*.
A table of examples was given in chapter 2.
34.2.7. Format Expressions
A format expression is a special character string that is used to direct the conversion between the computer’s
internal data representations and their character equivalents. nab uses the underlying C compiler’s printf()/scanf()
system to provide formatted I/O. This section provides a short introduction to this system. For the complete
description, consult any standard C reference. Note that since nab supports fewer types than its underlying C
compiler, formatted I/O options pertaining to the data subtypes (h,l,L) are not applicable to nab format expressions.
An input format string is a mixture of ordinary characters, spaces and format descriptors. An output format string
is mixture of ordinary characters including spaces and format descriptors. Each format descriptor begins with a
percent sign (%) followed by several optional characters describing the format and ends with single character that
specifies the type of the data to be converted. Here are the most common format descriptors. The ... represent
optional characters described below.
%...c convert a character
%...d convert and integer
%...lf convert a float
%...s convert a string
%% convert a literal %
Input and output format descriptors and format expressions resemble each other and in many cases the same
format expression can be used for both input and output. However, the two types of format descriptors have
different options and their actions are sufficiently distinct to consider in some detail. Generally, C based formatted
output is more useful than C based formatted input.
When an input format expression is executed, it is scanned at most once from left to right. If the current format
expression character is an ordinary character (anything but space or %), it must match the current character in the
input stream. If they match then both the current character of the format expression and current character of the
stream are advanced one character to the right. If they don’t match, the scan ends. If the current format expression
character is a space or a run of spaces and if the current input stream is one or more “white space” characters
(space, tab, newline), then both the format and input stream are advanced to the next non-white space character.
If the input format is one or more spaces but the current character of the input stream is non-blank, then only the
format expression is advanced to the next non-blank character. If the current format character is a percent sign,
the format descriptor is used to convert the next “field” in the input stream. A field is a sequence of non-blank
characters surrounded by white space or the beginning or end of the stream. This means that a format descriptor
will skip white space including newlines to find non blank characters to convert, even if it is the first element of the
format expression. This implicit scanning is what limits the ability of C based formatted input to read fixed format
data that contains any spaces.
Note that lf is used to input a NAB float variable, rather than the fargument that would be used in C. This is
because float in NAB is converted to double in the output C code (see defreal.h if you want to change this behavior.)
Ideally, the NAB compiler should parse the format string, and make the appropriate substitutions, but this is not
(yet) done: NAB translates the format string directly into the C code, so that the NAB code must also generally
use lf as a format descriptor for floating point values.
nab input format descriptors have two options, a field width, and an assignment suppression indicator. The
field width is an integer which specifies how much of current field and not the input stream is to be converted.
Conversion begins with the first character of the field and stops when the correct number of characters have been
converted or white space is encountered. A star (*) option indicates that the field is to be converted, but the result
of the conversion is not stored. This can be used to skip unwanted items in a data stream. The order of the two
options does not matter.
The execution of an output format expression is somewhat different. It is scanned once from left to right. If the
current character is not a percent sign, it placed on the output stream. Thus spaces have no special significance in
665

34. NAB: Language Reference
formatted output. When the scan encounters a percent sign it replaces the entire format descriptor with the properly
formatted value of the corresponding output expression.
Each output format descriptor has four optional attributes—width, alignment, padding and precision. The width
is the minimum number of characters the data is to occupy for output. Padding controls how the field will be filled
if the number of characters required for the data is less than the field width. Alignment specifies whether the data
is to start in the first character of the field (left aligned) or end in the last (right aligned). Finally precision, which
applies only to string and float conversions controls how much of the string is be converted or how many digits
should follow the decimal point.
Output field attributes are specified by optional characters between the initial percent sign and the final data type
character. Alignment is first, with left alignment specified by a minus sign (-). Any other character after the percent
sign indicates right alignment. Padding is specified next. Padding depends on both the alignment and the type of
the data being converted. Character conversions (%c) are always filled with spaces, regardless of their alignment.
Left aligned conversions are also always filled with spaces. However, right aligned string and numeric conversions
can use a 0to indicate that left fill should be zeroes instead of spaces. In addition numeric conversions can also
specify an optional + to indicate that non-negative numbers should be preceded by a plus sign. The default action
for numeric conversions is that negative numbers are preceded by a minus, and other numbers have no sign. If both
0and +are specified, their order does not matter.
Output field width and precision are last and are specified by one or two integers or stars (*) separated by a
period (.). The first number (or star) is the field width, the second is its precision. If the precision is not specified,
a default precision is chosen based on the conversion type. For floats (%f), it is six decimal places and for strings
it is the entire string. Precision is not applicable to character or integer conversions and is ignored if specified.
Precision may be specified without the field width by use of single integer (or star) preceded by a period. Again,
the action is conversion type dependent. For strings (%s), the action is to print the first Ncharacters of the string
or the entire string, whichever is shorter. For floats (%f), it will print Ndecimal places but will extend the field to
whatever size if required to print the whole number part of the float. The use of the star (*) as an output width or
precision indicates that the width or precision is specified as the next argument in the conversion list which allows
for runtime widths and precisions.
Ouput format options
Alignment
- left justified
default right justified
Padding
0 %d, %f,%s only, left fill with zeros, right fill with spaces.
+%d,%f only, precede non-negative numbers with a +.
default left and right fill with spaces.
Width & precision
Wminimum field width of W.Wis either an integer or a *where the star
indicates that the width is the next argument in the parameter list.
W.P minimum field width of W, with a precision of P.W,Pare integers or
stars, where stars indicate that they are to be set from the appropriate
arguments in the parameter list. Precision is ignored for %c and %d.
.P %s, print the first Pcharacters of the string or the entire string
whichever is shorter. %f, print Pdecimal places in a field wide enough
to hold the integer and fractional parts of the number. %c and %d, use
whatever width is required. Again Pis either an integer or a star where
the star indicates that it is to be taken from the next expression in the
parameter list.
default %c,%d,%s, use whatever width is required to exactly hold the data. %f,
use a precision of 6 and whatever width is required to hold the data.
666
34.3. Statements
34.3. Statements
nab statements describe the action the nab program is to perform. The expression statement evaluates expres-
sions. The if statement provides a two way branch. The while and for statements provide loops. The break statement
is used to “short circuit” or exit these loops. The continue statement advances a for loop to its next iteration. The
return statement assigns a function’s value and returns control to the caller. Finally a list of statements can be
enclosed in braces ({}) to create a compound statement.
34.3.1. Expression Statement
An expression statement is an expression followed by a semicolon. It evaluates the expression. Many
expression statements include an assignment operator and its evaluation will update the values of those variables
on the left hand side of the assignment operator. These kinds of expression statements are usually called
“assignment statements” in other languages. Other expression statements consist of a single function call with its
result ignored. These statements take the place of “call statements” in other languages. Note that an expression
statement can contain any expression, even ones that have no lasting effect.
mref = getpdb( "5p21.pdb" ); // "assignment" stmt
m = getpdb( "6q21.pdb" );
superimpose( m,"::CA",mref,"::CA" ); // "call" stmt
0; // expression stmt.
34.3.2. Delete Statement
nab provides the delete statement to remove elements of hashed arrays. The syntax is
delete h_array[str ];
where h_array is a hashed array and str is a string valued expression. If the specified element is in h_array it is
removed; if not, the statement has no effect.
34.3.3. If Statement
The if statement is used to choose between two options based on the value of the if expression. There are two
kinds of if statements—the simple if and the if-else. The simple if contains an expression and a statement. If the
expression is true (any non-zero value), the statement is executed. If the expression is false (0), the statement is
skipped.
if( expr )true_stmt;
The if-else statement places two statements under control of the if. One is executed if the expression is true, the
other if it is false.
if( expr )
true_stmt;
else
false_stmt;
34.3.4. While Statement
The while statement is used to execute the statement under its control as long as the the while expression is true
(non-zero). A compound statement is required to place more than one statement under the while statement’s
control.
667
34. NAB: Language Reference
while( expr )stmt;
while( expr ) {
stmt_1;
stmt_2;
...
stmt_N ;
}
34.3.5. For Statement
The for statement is a loop statement that allows the user to include initialization and an increment as well as a
loop condition in the loop header. The single statement under the control of the for statement is executed as long
as the condition is true (non-zero). A compound statement is required to place more than one statement under
control of a for. The general form of the for statement is
for( expr_1;expr_2;expr_3 )stmt;
which behaves like
expr_1;
while( expr_2 ) {
stmt;
expr_3;
}
expr_3 is generally an expression that computes the next value of the loop index. Any or all of expr_1,expr_2 or
expr_3 can be omitted. An omitted expr_2 is considered to be true, thus giving rise to an “infinite” loop. Here are
some for loops.
for( i = 1; i <=10;i=i+1)
printf( "%3d\n", i ); // print 1 to 10
for( ; ; ) // "infinite" loop
{
getcmd( cmd ); // Exit better be in
docmd( cmd ); // getcmd() or docmd().
}
nab also includes a special kind of for statement that is used to range over all the entries of a hashed array or all
the atoms of a molecule. The forms are
// hashed version
for( str in h_array ) ~stmt;
// molecule version
for( ain mol ) ~stmt;
In the first code fragment, str is string and h_array is a hashed array. This loop sets str to each key or string
associated with data in h_array. Keys are returned in increasing lexical order. In the second code fragment ais an
atom and mol is a molecule. This loop sets ato each atom in mol. The first atom is the first atom in the first residue
of the first strand. Once all the atoms in this residue have been visited, it moves to the first atom of the next residue
in the first strand. Once all atoms in all residues in the first strand have been visited, the process is repeated on the
second and subsequent strands in mol until all atoms have been visited. The order of the strands of molecule is the
order in which they were created using addstrand(). Residues in each strand are numbered from 1 to N. The order
of the atoms in a residue is the order in which the atoms were listed in the reslib entry or pdbfile that that residue
derives from.
668
34.4. Structures
34.3.6. Break Statement
Execution of a break statement exits the immediately enclosing for or while loop. By placing the break under
control of an if conditional exits can be created. break statements are only permitted inside while or for loops.
for( expr_1;expr_2;expr_3 ) {
...
if( expr ) break; // "break" out of loop
...
}
34.3.7. Continue Statement
Execution of a continue statement causes the immediately enclosing for loop to skip to its next value. If the next
value causes the loop control expression to be false, the loop is exited. continue statements are permitted only
inside while and for loops.
for( expr_1;expr_2;expr_3 ) {
... if( expr ) continue; // "continue" with next value
...
}
34.3.8. Return Statement
The return statement has two uses. It terminates execution of the current function returning control to the point
immediately following the call and when followed by an optional expression, returns the value of the expression
as the value of the function. A function’s execution also ends when it “runs off the bottom”. When a function
executes the last statement of its definition, it returns even if that statement is not a return. The value of the
function in such cases is undefined.
return expr; // return the value expr
return; // return, function value undefined.
34.3.9. Compound Statement
A compound statement is a list of statements enclosed in braces. Compound statements are required when a loop
or an if has to control more than one statement. They are also required to associate an else with an if other than the
nearest unpaired one. Compound statements may include other compound statements. Unlike C, nab compound
statements are not blocks and may not include declarations.
34.4. Structures
A struct is collection of data elements, where the elements are accessed via their names. Unlike arrays which
require all elements of an array to have the same type, elements of a structure can have different types. Users
define a struct via the reserved word ‘struct’. Here’s a simple example, a struct that could be used to hold a
complex number.
struct cmplx_t { float r, i; } c;
This declares a nab variable, ‘c’, of user defined type ‘struct cmplx_t’. The variable, c, has two float valued
elements, ‘c.r’, ‘c.i’ which can be used like any other nab float variables:
c.r = -2.0; ... 5*c.i ... printf( "c.r,i = %8.3f, %8.3f\n", c.r, c.i );
Now, let’s look more closely at that struct declaration.
669
34. NAB: Language Reference
struct cmplx_t { float r, i; } c;
As mentioned before, every nab struct begins with the reserved word struct. This must be followed by an identifier
called the structure tag, which in this example is ‘cmplx_t’. Unlike C/C++, a nab struct can not be anonymous.
Following the structure tag is a list of the struct’s element declarations surrounded by a left and right curly
bracket. Element declarations are just like ordinary nab variable declarations: they begin with the type, followed by
a comma separated list of variables and end with a semicolon. nab structures must contain at least one declaration
containing at least one variable. Also, nab struct elements are currently restricted to scalar values of the basic nab
types, so nab structs can not contain arrays or other structs. Note that in our example, both elements are in one
declaration, but two declarations would have worked as well.
The whole assembly ‘struct ... }’ serves to define a new type which can be used like any other nab type to
declare variables of that type, in this example, a single scalar variable, ‘c’. And finally, like all other nab variable
declarations, this one also ends with a semicolon.
Although nab structs can not contain arrays, nab allows users to create arrays, including dynamic and hashed
arrays of structs. For example
struct cmplx_t { float r, i; } a[ 10 ], da[ dynamic ], ha[ hashed ];
declares an ordinary, dynamic and hashed array of struct cmplx_t.
Up til now, we’ve only looked at complete struct declaration. Our example
struct cmplx_t { float r, i; } c;
contains all the parts of a struct declaration. However there are two other forms of struct declarations. The first
one is to define a type, as opposed to declaring variables:
struct cmplx_t { float r, i; };
defines a new type ‘struct cmplx_t’ but does not declare any variables of this type. This is quite useful in that the
type can be placed in a header file allowing it to be shared among parts of a larger program.
The othe form of a struct declaration is this short form:
struct cmplx_t cv1, cv2;
This form can only be used once the type has been defined, either via a type declaration (ie not variable) or a
complete type + variable declaration. In fact, once a struct type has been defined, all subsequent declarations of
variables of that type, including parameters, must use the short form.
struct cmplx_t { float r, i; }; // define type type ‘struct cmplx_t’
struct cmplx_t c, ctab[ 10 ]; // define some vars
int f( int s, struct cmplx_t ct[1] ) // func taking array of
// struct cmplx_t { ... };
34.5. Functions
A function is a named group of declarations and statements that is executed as a unit by using the function’s
name in an expression. Functions may include special variables called parameters that enable the same function to
work on different data. All nab functions return a value which can be ignored in the calling expression. Expression
statements consisting of a single function call where the return value is ignored resemble procedure call statements
in other languages.
All parameters to user defined nab functions are passed by reference. This means that each nab parameter
operates on the actual data that was passed to the function during the call. Changes made to parameters during the
execution of the function will persist after the function returns. The only exception to this is if an expression is
passed in as a parameter to a user defined nab function. It this case, nab evaluates the expression, stores its value
in a compiler created temporary variable and uses that temporary variable as the actual parameter. For example if
a user were to pass in the constant 1 to an nab function which in turned used it and then assigned it the value 6, the
6 would be stored in the temporary location and the external 1 would be unchanged.
670

34.6. Points and Vectors
34.5.1. Function Definitions
An nab function definition begins with a header that describes the function value type, the function name and
the parameters if any. If a function does not have parameters, an empty parameter list is still required. Following
the header is a list of declarations and statements enclosed in braces. The function’s declarations must precede all
of its statements. A function can include zero or more declarations and/or zero or more statements. The empty
function—no declarations and no statements is legal.
The function header begins with the reserved word specifying the type of the function. All nab functions must
be typed. An nab function can return a single value of any nab type. nab functions can not return nab arrays.
Following the type is an identifier which is the name of the function. Each parameter declaration begins with the
parameter type followed by its name. Parameter declarations are enclosed in parentheses and separated by
commas. If a function has no parameters, there is nothing between the parentheses. Here is the general form of a
function definition:
ftype fname(ptype1 parm1, ... )
{
decls
stmts
};
34.5.2. Function Declarations
nab requires that every function be declared or made known to the compiler before it is used. Unfortunately
this is not possible if functions used in one source file are defined in other source files or if two functions are
mutually recursive. To solve these problem, nab permits functions to be declared as well as defined. A function
declaration resembles the header of a function definition. However, in place of the function body, the declaration
ends with a semicolon or a semicolon preceded by either the word cor the word fortran indicating the external
function is written in C or Fortran instead of nab.
ftype fname(ptype1 parm1, ... ) flang;
34.6. Points and Vectors
The nab type point is an object that holds three float values. These values can represent the X, Y and Z co-
ordinates of a point or the components of 3-vector. The individual elements of a point variable are accessed via
attributes or suffixes added to the variable name. The three point attributes are "x","y" and "z". Many nab builtin
functions use, return or create point values. When used in this context, the three attributes represent the point’s X,
Y and Z coordinates. nab allows users to combine point values with numbers in expressions using conventional
algebraic or infix notation. nab does not support operations between numbers and points where the number must
be converted into a vector to perform the operation. For example, if pis a point then the expression p + 1. is an
error, as nab does not know how to expand the scalar 1. into a 3-vector. The following table contains nab point and
vector operations. p,qare point variables; sa numeric expression.
Operator Example Precedence Explanation
Unary - -p 8 Vector negation, same as -1 * p.
^pˆ q 7 Compute the cross or vector product of p,q.
@p@q 6 Compute the scalar or dot product of p,q.
*s* p 6 Multiply pby s, same as p * s.
/p / s6 Divide pby s,s/pnot allowed.
+p+q 5 Vector addition
Binary - p - q 5 Vector subtraction
== p == q 4 Test if pand qequal.
!= p != q 4 Test if pand qare different.
=p=q 1 Set the value of pto q.
671
34. NAB: Language Reference
34.7. String Functions
nab provides the following awk-like string functions. Unlike awk, the nab functions do not have optional
parameters or builtin variables that control the actions or receive results from these functions. nab strings are
indexed from 1to Nwhere Nis the number of characters in the string.
int length( string s );
int index( string s, string t );
int match( string s, string r, int rlength );
string substr( string s, int pos, int len );
int split( string s, string fields[], string fsep );
int sub( string r, string s, string t );
int gsub( string r, string s, string t );
length() returns the length of the string s. Both "" and NULL have length 0.index() returns the position of the
left most occurrence of tin s. If tis not in s,index() returns 0.match returns the position of the longest leftmost
substring of sthat matches the regular expression r. The length of this substring is returned in rlength. If no
substring of smatches r,match() returns 0and rlength is set to 0.substr() extracts the substring of length len from
sbeginning at position pos. If len is greater than the rest of the string beginning at pos, return the substring from
pos to Nwhere Nis the length of the string. If pos is <1or >N, return "".
split() partitions sinto fields separated by fsep. These field strings are returned in the array fields. The number of
fields is returned as the function value. The array fields must be allocated before split() is called and must be large
enough to hold all the field strings. The action of split() depends on the value of fsep. If fsep is a string containing
one or more blanks, the fields of sare considered to be separated by runs of white space. Also, leading and trailing
white space in sdo not indicate an empty initial or final field. However, if fsep contains any value but blank, then
fields are considered to be delimited by single characters from fsep and initial and/or trailing fsep characters do
represent initial and/or trailing fields with values of "".NULL and the empty string "" have 0fields. If both sand
fsep are composed of only white space then salso has 0fields. If fsep is not white space and sconsists of nothing
but characters from fsep,swill have N+ 1 fields of "" where Nis the number of characters of s.
sub() replaces the leftmost, longest substring of the target string tthat matches the regular expression rwith the
substitution string s.gsub() replaces all non-overlapping substrings of tthat match the regular expression rwith
the string s. Each function returns the number of substitutions made. Unlike awk, the regular expression ris a
string variable, with no surrounding ’/’ characters. For example:
int nmatch;
string regexp, substitute, target;
target = “water, water, everywhere”;
regexp = “at”;
substitute = “ith”;
nmatch = gsub( regexp, substitute, target);
After this, target will contain “wither, wither, everywhere”, and nmatch will be 2.
The special substitute character ’&’ stands for the precise substring matched by the regular expression. Hence
target = “daabaaa”;
sub( “a+”, “c&c”, target);
will yield “dcaacbaaa”. Note what “leftmost, longest substring” means here: “lefmost” takes precedence over
“longest”.
34.8. Math Functions
nab provides the builtin mathematical functions shown in Table 34.1. Since nab is intended for chemical struc-
ture calculations which always measure angles in degrees, the argument to the trig functions—cos(),sin() and
tan()— and the return value of the inverse trig functions—acos(),asin(),atan() and atan2()—are in degrees instead
672
34.9. System Functions
of radians as they are in other languages. Note that the pseudo-random number functions have a different calling
sequence than in earlier versions of NAB; you may have to edit and re-compile earlier programs that used those
routines.
34.9. System Functions
int exit( int i );
int system( string cmd );
The function exit() terminates the calling nab program with return status i.system() invokes a subshell to execute
cmd. The subshell is always /bin/sh. The return value of system() is the return value of the subshell and not the
command it executed.
34.10. I/O Functions
nab uses the C I/O model. Instead of special I/O statements, nab I/O is done via calls to special builtin functions.
These function calls have the same syntax as ordinary function calls but some of them have different semantics,
in that they accept both a variable number of parameters and the parameters can be various types. nab uses the
underlying C compiler’s printf()/scanf() system to perform I/O on int,float and string objects. I/O on point is via
their float x,yand zattributes. molecule I/O is covered in the next section, while bounds can be written using
dumpbounds(). Transformation matrices can be written using dumpmatrix(), but there is currently no builtin for
reading them. The value of an nab file object may be written by treating as an integer. Input to file variables is not
defined.
34.10.1. Ordinary I/O Functions
nab provides these functions for stream or FILE * I/O of int,float and string objects.
int fclose( file f );
file fopen( string fname, string mode );
int unlink( string fname );
int printf( string fmt, ... );
int fprintf( file f, string fmt, ... );
string sprintf( string fmt, ... );
int scanf( string fmt, ... );
int fscanf( file f, string fmt, ... );
int sscanf( string str, string fmt, ... );
string getline( file f );
fclose() closes (disconnects) the file represented by f. It returns 0on success and -1 on failure. All open nab files
are automatically closed when the program terminates. However, since the number of open files is limited, it is a
good idea to close open files when they are no longer needed. The system call unlink removes (deletes) the file.
fopen() attempts to open (prepare for use) the file named fname with mode mode. It returns a valid nab file on
success, and NULL on failure. Code should thus check for a return value of NULL, and do the appropriate thing.
(An alternative, safe_fopen() sends an error message to stderr and exits on failure; this is sometimes a convenient
alternative to fopen() itself, fitting with a general bias of nab system functions to exit on failure, rather than to
return error codes that must always be processed.) Here are the most common values for mode and their meanings.
For other values, consult any standard C reference.
673

34. NAB: Language Reference
Inverse Trig Functions.
float acos( float x ); Return cos−1(x)in degrees.
float asin( float x ); Return sin−1(x)in degrees.
float atan( float x ); Return tan−1(x)in degrees.
float atan2( float x ); Return tan -1 ( y / x ) in degrees. By keeping x and y
separate, 90o can be returned without encountering a
zero divide. Also, atan2 will return an angle in the
full range [-180o, 180o].
Trig Functions
float cos( float x ); Return cos( x ), where x is in degrees.
float sin( float x ); Return sin( x ), where x is in degrees.
float tan( float x ); Return tan( x ), where x is in degrees.
Conversion Functions.
float atof( string str ); Interpret the next run of non blank characters in str as
afloat and return its value. Return 0on error.
int atoi( string str ); Interpret the next run of non blank characters in str as
an int and return its value. Return 0on error.
Other Functions.
float rand2(); Return a pseudo-random number in (0,1).
float gauss( float mean, float sd ); Return a pseudo-random number taken from a
Gaussian distribution with the given mean and
standard deviation. The rand2() and gauss() routines
share a common seed.
int setseed( int seed ); Reset the pseudo-random number sequence with the
new seed, which must be a negative integer.
int rseed( ); Use the system time() command to set the random
number sequence with a reasonably random seed.
Returns the seed it used; this could be used in a later
call to setseed() to regenerate the same sequence of
pseudo-random values.
float ceil( float x ); Return dxe.
float exp( float x ); Return ex.
float cosh( float x ); Return the hyperbolic cosine of x.
float fabs( float x ); Return |x|.
float floor( float x ); Return bxc.
float fmod( float x, float y ); Return r, the remainder of x with respect to y; the
signs of r and y are the same.
float log( float x ); Return the natural logarithm of x.
float log10( float x ); Return the base 10 logarithm of x.
float pow( float x, float y ); Return xy,x>0.
float sinh( float x ); Return the hyperbolic sine of x.
float tanh( float x ); Return the hyperbolic tangent of x.
float sqrt( float x ); Return positive square root of x, x >= 0.
Table 34.1.: NAB built-in mathematical functions
674

34.10. I/O Functions
fopen() mode values
“r” Open for reading. The file fname must exist and be readable by
the user.
“w” Open for writing. If the file exists and is writable by the user,
truncate it to zero length. If the file does not exist, and if the
directory in which it will exist is writable by the user, then
create it.
“a” Open for appending. The file must exist and be writable by the
user.
The three functions printf(),fprintf() and sprintf() are for formatted (ASCII) output to stdout, the file fand a string.
Strictly speaking, sprintf() does not perform output, but is discussed here because it acts as if “writes” to a string.
Each of these functions uses the format string fmt to direct the conversion of the expressions that follow it in the
parameter list. Format strings and expressions are discussed Format Expressions. The first format descriptor of
fmt is used to convert the first expression after fmt, the second descriptor, the next expression etc. If there are more
expressions than format descriptors, the extra expressions are not converted. If there are fewer expressions than
format descriptors, the program will likely die when the function tries to covert non-existent data.
The three functions scanf(),fscanf() and sscanf() are for formatted (ASCII) input from stdin, the file fand the
string str. Again, sscanf() does not perform input but the function behaves like it is “reading” from str. The action
of these functions is similar to their output counterparts in that the format expression in fmt is used to direct the
conversion of characters in the input and store the results in the variables specified by the parameters following
fmt. Format descriptors in fmt correspond to variables following fmt, with the first descriptor corresponding to the
first variable, etc. If there are fewer descriptors than variables, then extra variables are not assigned; if there are
more descriptors than variables, the program will most likely die due to a reference to a non-existent address.
There are two very important differences between nab formatted I/O and C formatted I/O. In C, formatted input
is assigned through pointers to the variables (&var). In nab formatted I/O, the compiler automatically supplies the
addresses of the variables to be assigned The second difference is when a string object receives data during an nab
formatted I/O. nab strings are allocated when needed. However, in the case of any kind of scanf() to a string or
the implied (and hidden) writing to a string with sprintf(), the number of characters to be written to the string is
unknown until the string has been written. nab automatically allocates strings of length 256 to hold such data with
the idea that 256 is usually big enough. However, there will be cases where it is not big enough and this will cause
the program to die or behave strangely as it will overwrite other data.
Also note that the default precision for floats in nab is double precision (see $NABHOME/src/defreal.h, since
this could be changed, or may be different on your system.) Formats for floats for the scanf functions then need to
be "%lf" rather than "%f".
The getline() function returns a string that has the next line from file f. The end-of-line character has been
stripped off.
34.10.2. matrix I/O
NAB uses 4x4 matrices to represent coordinate transformations:
r r r 0
r r r 0
r r r 0
dx dy dz 1
The r’s are a 3x3 rotation matrix, and the d’s are the translations along the X,Y and Z axes.
NAB coordinates are row vectors which are transformed by appending a 1 to each point (x,y,z) -> (x,y,z,1), post
multiplying by the transformation matrix, and then discarding the final 1 in the new point.
Two builtins are provided for reading/writing transformation matrices.
matrix getmatrix(string filename);
675
34. NAB: Language Reference
Read the matrix from the file with name filename. Use "-" to read a matrix from stdin. A matrix is 4 lines of 4
numbers. A line of less than 4 numbers is an error, but anything after the 4th number is ignored. Lines beginning
with a ’#’ are comments. Lines after the 4th data line are not read. Return a matrix with all zeroes on error, which
can be tested:
mat = getmatrix("bad.mat");
if(!mat){ fprintf(stderr, "error reading matrix\n"); ... }
Keep in mind that nab transformations are intended for use on molecular coordinates, and that transformations
like scaling and shearing [which can not be created with nab directly but can now be introduced via getmatrix()]
may lead to incorrect on non-sensical results.
int putmatrix(string filename, matrix mat);
Write matrix mat to to file with name filename. Use "-" to write a matrix to stdout. There is currently no way to
write matrix to stderr. A matrix is writen as 4 lines of 4 numbers. Return 0 on success and 1 on failure.
34.11. Molecule Creation Functions
The nab molecule type has a complex and dynamic internal structure organized in a three level hierarchy. A
molecule contains zero or more named strands. Strand names are strings of any characters except white space and
can not exceed 255 characters in length. Each strand in a molecule must have a unique name. Strands in different
molecules may have the same name. A strand contains zero or more residues. Residues in each strand are
numbered from 1. There is no upper limit on the number of residues a strand may contain. Residues have names,
which need not be unique. However, the combination of strand-name:res-num is unique for every residue in a
molecule. Finally residues contain one or more atoms. Each atom name in a residue should be distinct, although
this is neither required nor checked by nab.nab uses the following functions to create and modify molecules.
molecule newmolecule();
molecule copymolecule( molecule mol );
int freemolecule( molecule mol );
int freeresidue( residue r );
int addstrand( molecule mol, string sname );
int addresidue( molecule mol, string sname, residue res );
int connectres( molecule mol, string sname, int res1, string aname1,
int res2, string aname2 );
int mergestr( molecule mol1, string str1, string end1, molecule mol2, string str2, string end2 );
newmolecule() creates an “empty” molecule—one with no strands, residues or atoms. It returns NULL if it can
not create it. copymolecule() makes a copy of an existing molecule and returns a NULL on failure. freemolecule()
and freeresidue() are used to deallocate memory set aside for a molecule or residue. In most programs, these
functions are usually not necessary, but should be used when a large number of molecules are being copied. Once
a molecule has been created, addstrand() is used to add one or more named strands. Strands can be added at any to
a molecule. There is no limit on the number of strands in a molecule. Strands can be added to molecules created
by getpdb() or other functions as long as the strand names are unique. addstrand() returns 0on success and 1on
failure. Finally addresidue() is used to add residues to a strand. The first residue is numbered 1and subsequent
residues are numbered 2,3, etc. addresidue() also returns 0on success and 1on failure.
nab requires that users explicitly make all inter-residue bonds. connectres() makes a bond between two atoms
of different residues of the strand with name sname. It returns 0on success and 1on failure. Atoms in different
strands can not be bonded. The bonding between atoms in a residue is set by the residue library entry and can not
be changed at runtime at the nab level.
The last function mergestr() is used to merge two strands of the same molecule or copy a strand of the second
molecule into a strand of the first. The residues of a strand are ordered from 1to N, where Nis the number of
residues in that strand. nab imposes no chemical ordering on the residues in a strand. However, since the strands
are generally ordered, there are four ways to combine the two strands. mergestr() uses the two values "first" and
676

34.12. Creating Biopoloymers
"last" to stand for residues 1 and N. The four combinations and their meanings are shown in the next table. In the
table, str1 has Nresidues and str2 has Mresidues.
end1 end2 Action
first first The residues of str2 are reversed and then inserted before those
of str1: M , ..., 2, 1 : 1 , 2 , ..., N
first last The residues of str2 are inserted before those of str1: 1 , 2, ...,
M:1,2,...,N
last first The residues of str2 are inserted after those of str1: 1 , 2 , ..., N
:1,2,...,M
last last The residues of str2 are reversed and then inserted after those
of str1:1,2,...,N:M,...,2,1
34.12. Creating Biopoloymers
molecule linkprot( string strandname, string seq, string reslib );
molecule link_na( string strandname, string seq, string reslib, string natype,
string opts );
Although many nab functions don’t care what kind of molecule they operate on, many operations require molecules
that are compatible with the Amber force field libraries (see Chapter 6). The best and most general way to do this
is to use tleap commands, described in Chapter 8). The linkprot() and link_na() routines given here are limited
commands that may sometimes be useful, and are included for backwards compatibility with earlier versions of
NAB.
linkprot() takes a strand identifier and a sequence, and returns a molecule with this sequence. The molecule has
an extended structure, so that the φ,ψand ωangles are all 180o . The reslib input determines which residue library
is used; if it is an empty string, the AMBER 94 all-atom library is used, with charged end groups at the N and C
termini. All nab residue libraries are denoted by the suffix .rlb and LEaP residue libraries are denoted by the suffix
.lib. If reslib is set to "nneut", "cneut" or "neut", then neutral groups will be used at the N-terminus, the C-terminus,
or both, respectively.
The seq string should give the amino acids using the one-letter code with upper-case letters. Some non-standard
names are: "H" for histidine with the proton on the δposition; "h" for histidine with the proton at the εposition;
"3" for protonated histidine; "n" for an acetyl blocking group; "c" for an HNMe blocking group, "a" for an NH 2
group, and "w" for a water molecule. If the sequence contains one or more "|" characters, the molecule will consist
of separate polypeptide strands broken at these positions.
The link_na() routine works much the same way for DNA and RNA, using an input residue library to build a
single-strand with correct local geometry but arbitrary torsion angles connecting one residue to the next. natype is
used to specify either DNA or RNA. If the opts string contains a "5", the 5’ residue will be "capped" (a hydrogen
will be attached to the O5’ atom); if this string contains a "3" the O3’ atom will be capped.
The newer (and generally recommended) way to generate biomolecules uses the getpdb_prm() function de-
scribed in Chapter 37.
34.13. Fiber Diffraction Duplexes in NAB
The primary function in NAB for creating Watson-Crick duplexes based on fibre-diffraction data is fd_helix:
molecule fd_helix( string helix_type, string seq, string acid_type );
fd_helix() takes as its arguments three strings - the helix type of the duplex, the sequence of one strand of the
duplex, and the acid type (which is "dna" or "rna"). Available helix types are as follows:
677

34. NAB: Language Reference
Helix type options for fd_helix()
arna Right Handed A-RNA (Arnott)
aprna Right Handed A’-RNA (Arnott)
lbdna Right Handed B-DNA (Langridge)
abdna Right Handed B-DNA (Arnott)
sbdna Left Handed B-DNA (Sasisekharan)
adna Right Handed A-DNA (Arnott)
The molecule returns contains a Watson-Crick double-stranded helix, with the helix axis along z. For a further
explanation of the fd_helix code, please see the code comments in the source file fd_helix.nab.
References for the fibre-diffraction data:
1. Structures of synthetic polynucleotides in the A-RNA and A’-RNA conformations. X-ray diffraction anal-
yses of the molecule conformations of (polyadenylic acid) and (polyinosinic acid).(polycytidylic acid).
Arnott, S.; Hukins, D.W.L.; Dover, S.D.; Fuller, W.; Hodgson, A.R. J.Mol. Biol. (1973), 81(2), 107-22.
2. Left-handed DNA helices. Arnott, S; Chandrasekaran, R; Birdsall, D.L.; Leslie, A.G.W.; Ratliff, R.L. Nature
(1980), 283(5749), 743-5.
3. Stereochemistry of nucleic acids and polynucleotides. Lakshimanarayanan, A.V.; Sasisekharan, V. Biochim.
Biophys. Acta 204, 49-53.
4. Fuller, W., Wilkins, M.H.F., Wilson, H.R., Hamilton, L.D. and Arnott, S. (1965). J. Mol. Biol. 12, 60.
5. Arnott, S.; Campbell Smith, P.J.; Chandraseharan, R. in Handbook of Biochemistry and Molecular Biology,
3rd Edition. Nucleic Acids–Volume II, Fasman, G.P., ed. (Cleveland: CRC Press, 1976), pp. 411-422.
34.14. Reduced Representation DNA Modeling Functions
nab provides several functions for creating the reduced representation models of DNA described by R. Tan and
S. Harvey.[550] This model uses only 3 pseudo-atoms to represent a base pair. The pseudo atom named CE
represents the helix axis, the atom named SI represents the position of the sugar-phosphate backbone on the sense
strand and the atom named MA points into the major groove. The plane described by these three atoms ( and a
corresponding virtual atom that represents the anti sugar-phosphate backbone ) represents quite nicely an all atom
watson-crick base pair plane.
molecule dna3( int nbases, float roll, float tilt, float twist, float rise );
molecule dna3_to_allatom( molecule m_dna3, string seq, string aseq, string reslib, string natype );
molecule allatom_to_dna3( molecule m_allatom, string sense, string anti );
The function dna3() creates a reduced representation DNA structure. dna3() takes as parameters the number of
bases nbases, and four helical parameters roll,tilt,twist, and rise.
dna3_to_allatom() makes an all-atom dna model from a dna3 molecule as input. The molecule m_dna3 is a dna3
molecule, and the strings seq and aseq are the sense and anti sequences of the all-atom helix to be constructed.
Obviously, the number of bases in the all-atom model should be the same as in the dna3 model. If the string aseq
is left blank ( "" ), the sequence generated is the wc_complement() of the sense sequence. reslib names the residue
library from which the all-atom model is to be constructed. If left blank, this will default to all_nucleic94.lib The
last parameter is either "dna" or "rna" and defaults to dna if left blank.
The allatom_to_dna3() function creates a dna3 model from a double stranded all-atom helix. The function takes
as parameters the input all-atom molecule m_allatom, the name of the sense strand in the all-atom molecule, sense
and the name of the anti strand, anti.
678
34.15. Molecule I/O Functions
34.15. Molecule I/O Functions
nab provides several functions for reading and writing molecule and residue objects.
residue getresidue( string rname, string rlib );
molecule getpdb( string fname [, string options ] );
molecule getcif( string fname, string blockId );
int putpdb( string fname, molecule mol [, string options ] );
int putcif( string fname, molecule mol );
int putbnd( string fname, molecule mol );
int putdist( string fname, molecule mol );
The function getresidue() returns a copy of the residue with name rname from the residue library named rlib. If it
can not do so it returns the value NULL.
The function getpdb() converts the contents of the PDB file with name fname into an nab molecule.getpdb()
creates bonds between any two atoms in the same residue if their distance is less than: 1.20 Å if either atom is a
hydrogen, 2.20 Å if either atom is a sulfur, and 1.85 Å otherwise. Atoms in different residues are never bonded by
getpdb().
getpdb() creates a new strand each time the chain id changes or if the chain id remains the same and a TER card
is encountered. The strand name is the chain id if it is not blank and "N", where Nis the number of that strand in
the molecule beginning with 1. For example, a PDB file containing chain with no chain ID, followed by chain A,
followed by another blank chain would have three strands with names "1","A" and "3".getpdb() returns a molecule
on success and NULL on failure.
The optional final argument to getpdb can be used for a variety of purposes, which are outlined in the table
below.
The (experimental!) function getcif is like getpdb, but reads an mmCIF (macro-molecular crystallographic
information file) formatted file, and extracts "atom-site" information from data block blockID. You will need to
compile and install the cifparse library in order to use this.
The next group of builtins write various parts of the molecule mol to the file fname. All return 0on success and
1on failure. If fname exists and is writable, it is overwritten without warning. putpdb() writes the molecule mol
into the PDB file fname. If the "resid" of a residue has been set (either by using getpdb to create the molecule, or
by an explicit operation in an nab routine) then columns 22-27 of the output pdb file will use it; otherwise, nab
will assign a chain-id and residue number and use those. In this latter case, a molecule with a single strand will
have a blank chain-id; if there is more than one strand, each strand is written as a separate chain with chain id "A"
assigned to the first strand in mol,"B" to the second, etc. Options for putpdb are given in Table 34.2.
putbnd() writes the bonds of mol into fname. Each bond is a pair of integers on a line. The integers refer to
atom records in the corresponding PDB-style file. putdist() writes the interatomic distances between all atoms of
mol ai,ajwhere i<j, in this seven column format.
rnum1 rname1 aname1 rnum2 rname2 aname2 distance
34.16. Other Molecular Functions
matrix superimpose( molecule mol, string aex1, molecule r_mol, string aex2 );
int rmsd( molecule mol, string aex1, molecule r_mol, string aex2, float r );
float angle( molecule mol, string aex1, string aex2, string aex3 );
float anglep( point pt1, point pt2, point pt3 );
float torsion( molecule mol, string aex1, string aex2, string aex3, string aex4 );
float torsionp( point pt1, point pt2, point pt3, point pt4 );
float dist( molecule mol, string aex1, string aex2 );
float distp( point pt1, point pt2 );
int countmolatoms( molecule mol, string aex );
int sugarpuckeranal( molecule mol, int strandnum, int startres, int endres );
679

34. NAB: Language Reference
keyword meaning
-pqr Put (or get) charges and radii into the columns following the xyz
coordinates.
-nobocc Do not put occupancy and b-factor into the columns following the xyz
coordinates. This is implied if -pqr is present, but may also be used to
save space in the output file, or for compatibility with programs that do
not work well if such data is present.
-brook Convert atom and residue names to the conventions used in Brookhaven
PDB (version 2) files. This often gives greater compatibility with other
software that may expect these conventions to hold, but the conversion
may not be what is desired in many cases. Also, put the first character of
the atom name in column 78, a preliminary effort at identifying it as in
the most recent PDB format. If the -brook flag is not present, no
conversion of atom and residue names is made, and no id is in column
78.
-wwpdb Same as the -brook option, except use the “wwPDB” (aka version 3)
residue and atom naming scheme.
-nocid For getpdb, ignore the input chain id’s (column 22 of PDB-format files),
and generate strand names as consecutive integers. For putpdb, do not
put the chain-id in the output (i.e., if this flag is present, the chain-id
column will be blank). This can be useful when many water molecules
are present.
-allcid If set, create a chain ID for every strand in the molecule being written.
Use the strand’s name if it is an upper case letter, else use the next free
upper case letter. Use a blank if no more upper case letters are available.
Default is false.
-tr Do not start numbering residues over again when a new chain is
encountered, i.e., the residue numbers are consecutive across chains, as
required by some force-field programs like Amber.
Table 34.2.: Options for getpdb and putpdb.
680
34.17. Debugging Functions
int helixanal( molecule mol );
int plane( molecule mol, string aex, float A, float B, float C );
float molsurf( molecule mol, string aex, float probe_rad );
superimpose() transforms molecule mol so that the root mean square deviation between corresponding atoms in
mol and r_mol is minimized. The corresponding atoms are those selected by the atom expressions aex1 applied to
mol and aex2 applied to r_mol. The atom expressions must select the same number of atoms in each molecule. No
checking is done to insure that the atoms selected by the two atom expressions actually correspond. superimpose()
returns the transformation matrix it found. rmsd() computes the root mean square deviation between the pairs of
corresponding atoms selected by applying aex1 to mol and aex2 to r_mol and returns the value in r. The two atom
expressions must select the same number of atoms. Again, it is the user’s responsibility to insure the two atom
expressions select corresponding atoms. rmsd() returns 0on success and 1on failure.
angle() and anglep() compute the angle in degrees between three points. angle() uses atoms expressions to
determine the average coordinates of the sets. anglep() takes as an argument three explicit points. Similarly,
torsion() and torsionp() compute a torsion angle in degrees defined by four points. torsion() uses atom expressions
to specify the points. These atom expression match sets of atoms in mol. The points are defined by the average
coordinates of the sets. torsionp() uses four explicit points. Both functions return 0if the torsion angle is not
defined.
dist() and distp() compute the distance in angstroms between two explicit atoms. dist() uses atom expressions to
determine which atoms to include in the calculation. An atom expression which selects more than one atom results
in the distance being calculated from the average coordinate of the selected atoms. distp() returns the distance
between two explicit points. The function countmolatoms() returns the number of atoms selected by aex in mol.
sugarpuckeranal() is a function that reports the various torsion angles in a nucleic acid structure. helixanal() is
an interactive helix analysis function based on the methods described by Babcock et al..[491]
The plane() routine takes an atom expression aex and calculates the least-squares plane and returns the answer
in the form z = Ax + By + C. It returns the number of atoms used to calculate the plane.
The molsurf() routine is an NAB adaptation of Paul Beroza’s program of the same name. It takes coordinates
and radii of atoms matching the atom expression aex in the input molecule, and returns the molecular surface area
(the area of the solvent-excluded surface), in square angstroms. To compute the solvent-accessible area, add the
probe radius to each atom’s radius (using a for( a in m ) loop), and call molsurf with a zero value for probe_rad.
34.17. Debugging Functions
nab provides the following builtin functions that allow the user to write the contents of various nab objects to
an ASCII file. The file must be opened for writing before any of these functions are called.
int dumpmatrix( file, matrix mat );
int dumpbounds( file f, bounds b, int binary );
float dumpboundsviolations( file f, bounds b, int cutoff );
int dumpmolecule( file f, molecule mol, int dres, int datom, int dbond );
int dumpresidue( file f, residue res, int datom, int dbond );
int dumpatom( file f, residue res, int anum, int dbond );
int assert( condition );
int debug( expression(s) );
dumpmatrix() writes the 16 float values of mat to the file f. The matrix is written as four rows of four numbers.
dumpbounds() writes the distance bounds information contained in bto the file fusing this eight column format:
atom-number1 atom-number2 lower upper
If binary is set to a non-zero value, equivalent information is written in binary format, which can save disk-space,
and is much faster to read back in on subsequent runs.
dumpboundsviolations() writes all the bounds violations in the bounds object that are more than cutoff, and re-
turns the bounds violation energy. dumpmolecule() writes the contents of mol to the file f. If dres is 1, then detailed
681
34. NAB: Language Reference
residue information will also be written. If datom or dbond is 1, then detailed atom and/or bond information will
be written. dumpresidue() writes the contents of residue res to the file f. Again if datom or dbond is 1, detailed
information about that residue’s atoms and bonds will be written. Finally dumpatom() writes the contents of the
atom anum of residue res to the file f. If dbond is 1, bonding information about that atom is also written.
The assert() statement will evaluate the condition expression, and terminate (with an error message) if the
expression is not true. Unlike the corresponding "C" language construct (which is a macro), code is generated at
compile time to indicate both the file and line number where the assertion failed, and to parse the condition
expression and print the values of subexpressions inside it. Hence, for a code fragment like:
i=20; MAX=17;
assert( i <MAX );
the error message will provide the assertion that failed, its location in the code, and the current values of "i" and
"MAX". If the -noassert flag is set at compile time, assert statements in the code are ignored.
The debug() statement will evaluate and print a comma-separated expression list along with the source file(s)
and line number(s). Continuing the above example, the statement
debug( i, MAX );
would print the values of "i" and "MAX" to stdout, and continue execution. If the -nodebug flag is set at compile
time, debug statements in the code are ignored.
34.18. Time and date routines
NAB incorporates a few interfaces to time and date routines:
string date();
string timeofday();
string ftime( string fmt );
The date() routine returns a string in the format "03/08/1999", and the timeofday() routine returns the current time as
"13:45:00". If you need access to more sophisticated time and date functions, the ftime() routine is just a wrapper
for the standard C routine strftime, where the format string is used to determine what is output; see standard C
documentation for how this works.
34.19. Computational resource consumption functions
NAB has a small number of functions to provide information about computational resources used during the
run:
int mme_timer();
int mme_rism_max_memory();
mme_timer() provides tables of execution times for mme functions executed. It does not provide a complete
summary nor does it include functions not in the mme family. It is, however, useful for identifying the most
expensive routines. mme_rism_max_memory() reports the maximum amount of memory allocated during a 3D-
RISM calculation.
682
35. NAB: Rigid-Body Transformations
This chapter describes NAB functions to create and manipulate molecules through a variety of rigid-body trans-
formations. This capability, when combined with distance geometry (described in the next chapter) offers a pow-
erful approach to many problems in initial structure generation.
35.1. Transformation Matrix Functions
nab uses 4×4 matrices to hold coordinate transformations. nab provides these functions to create
transformation matrices.
matrix newtransform( float dx, float dy, float dz, float rx, float ry, float rz );
matrix rot4( molecule mol, string aex1, string aex2, float ang );
matrix rot4p( point p1, point p2, float angle );
newtransform() creates a 4×4 matrix that will rotate an object by rz degrees about the Z axis, ry degrees about the
Y axis, rx degrees about the X axis and then translate the rotated object by dx,dy,dz along the X, Y and Z axes. All
rotations and transformations are with respect the standard X, Y and Z axes centered at (0,0,0). rot4() and rot4p()
create transformation matrices that rotate an object about an arbitrary axis. The rotation amount is in degrees.
rot4() uses two atom expressions to define an axis that goes from aex1 to aex2. If an atom expression matches
more that one atom in mol, the average of the coordinates of the matched atoms are used. If an atom expression
matches no atoms in mol, the zero matrix is returned. rot4p() uses explicit points instead of atom expressions to
specify the axis. If p1 and p2 are the same, the zero matrix is returned.
35.2. Frame Functions
Every nab molecule has a “frame” which is three orthonormal vectors and their origin. The frame acts like a
handle attached to the molecule allowing control over its movement. Two frames attached to different molecules
allow for precise positioning of one molecule with respect to the other. These functions are used in frame creation
and manipulation. All return 0on success and 1on failure.
int setframe( int use, molecule mol, string org, string xtail, string xhead,
string ytail, string yhead );
int setframep( int use, molecule mol, point org, point xtail, point xhead,
point ytail, point yhead );
int alignframe( molecule mol, molecule r_mol );
setframe() and setframep() create coordinate frames for molecule mol from an origin and two independent vectors.
In setframe(), the origin and two vectors are specified by atom expressions. These atom expressions match sets of
atoms in mol. The average coordinates of the selected sets are used to define the origin (org), an X-axis (xtail to
xhead) and a Y-axis (ytail to yhead). The Z-axis is created as X×Y. Since it is unlikely that the original X and Y
axes are orthogonal, the parameter use specifies which of them is to be a real axis. If use == 1, then the specified
X-axis is the real X-axis and Y is recreated from Z×X. If use == 2, then the specified Y-axis is the real Y-axis and
X is recreated from Y×Z. setframep() works exactly the same way except the vectors and origin are specified as
explicit points.
alignframe() transforms mol to superimpose its frame on the frame of r_mol. If r_mol is NULL,alignframe()
transforms mol to superimpose its frame on the standard X,Y,Z directions centered at (0,0,0).
683
35. NAB: Rigid-Body Transformations
35.3. Functions for working with Atomic Coordinates
nab provides several functions for getting and setting user defined sets of molecular coordinates.
int setpoint( molecule mol, string aex, point pt );
int setxyz_from_mol( molecule mol, string aex, point pts[] );
int setxyzw_from_mol( molecule mol, string aex, float xyzw[] );
int setmol_from_xyz( molecule mol, string aex, point pts[] );
int setmol_from_xyzw( molecule mol, string aex, float xyzw[] );
int transformmol( matrix mat, molecule mol, string aex );
residue transformres( matrix mat, residue res, string aex );
setpoint() sets pt to the average value of the coordinates of all atoms selected by the atom expression aex. If
no atoms were selected it returns 1, otherwise it returns a 0.setxyz_from_mol() copies the coordinates of all
atoms selected by the atom expression aex to the point array pt. It returns the number of atoms selected. set-
mol_from_xyz() replaces the coordinates of the selected atoms from the values in pt. It returns the number of
replaced coordinates. The routines setxyzw_from_mol and setmol_from_xyzw work in the same way, except that
they use four-dimensional coordinates rather than three-dimensional sets.
transformmol() applies the transformation matrix mat to those atoms of mol that were selected by the atom
expression aex. It returns the number of atoms selected. transformres() applies the transformation matrix mat
to those atoms of res that were selected by the atom expression aex and returns a transformed copy of the input
residue. It returns NULL if the operation failed.
35.4. Symmetry Functions
Here we describe a set of NAB routines that provide an interface for rigid-body transformations based on crys-
tallographic, point-group, or other symmetries. These are primarily higher-level ways to creating and manipulating
sets of transformation matrices corresponding to common types of symmetry operations.
35.4.1. Matrix Creation Functions
int MAT_cube( point pts[3], matrix mats[24] )
int MAT_ico( point pts[3], matrix mats[60] )
int MAT_octa( point pts[3], matrix mats[24] )
int MAT_tetra( point pts[3], matrix mats[12] )
int MAT_dihedral( point pts[3], int nfold, matrix mats[1] )
int MAT_cyclic( point pts[2], float ang, int cnt, matrix mats[1] )
int MAT_helix( point pts[2], float ang, float dst, int cnt, matrix mats[1] )
int MAT_orient( point pts[4], float angs[3], matrix mats[1] )
int MAT_rotate( point pts[2], float ang, matrix mats[1] )
int MAT_translate( point pts[2], float dst, matrix mats[1] )
These two groups of functions produce arrays of matrices that can be applied to objects to generate point group
symmetries (first group) or useful transformations (second group). The operations are defined with respect to a
center and a set of axes specified by the points in the array pts[]. Every function requires a center and one axis
which are pts[1] and the vector pts[1]→pts[2]. The other two points (if required) define two additional directions:
pts[1]→pts[3] and pts[1]→pts[4]. How these directions are used depends on the function.
The point groups generated by the functions MAT_cube(),MAT_ico(),MAT_octa() and MAT_tetra() have three
internal 2-fold axes. While these 2-fold are orthogonal, the 2 directions specified by the three points in pts[] need
only be independent (not parallel). The 2-fold axes are constructed in this fashion. Axis-1 is along the direction
pts[1]→pts[2]. Axis-3 is along the vector pts[1]→pts[2] ×pts[1]→pts[3] and axis-2 is recreated along the vector
axis-3 ×axis-1. Each of these four functions creates a fixed number of matrices.
Dihedral symmetry is generated by an N-fold rotation about an axis followed by a 2-fold rotation about a second
axis orthogonal to the first axis. MAT_dihedral() produces matrices that generate this symmetry. The N-fold axis
684
35.4. Symmetry Functions
is pts[0]→pts[1] and the second axis is created by the same orthogonalization process described above. Unlike
the previous point group functions the number of matrices created by MAT_dihedral() is not fixed but is equal to
2×n f old.
MAT_cyclic() creates cnt matrices that produce uniform rotations about the axis pts[1]→pts[2]. The rotations are
in multiples of the angle ang beginning with o, and increasing by ang until cnt matrices have been created. cnt is
required to be >0, but ang can be 0, in which case MAT_cyclic returns cnt copies of the identity matrix.
MAT_helix() creates cnt matrices that produce a uniform helical twist about the axis pts[1]→pts[2]. The rotations
are in multiples of ang and the translations in multiples of dst.cnt must be >0, but either ang or dst or both may
be zero. If ang is not 0, but dst is, MAT_helix() produces a uniform plane rotation and is equivalent to MAT_cyclic().
An ang of 0 and a non-zero dst produces matrices that generate a uniform translation along the axis. If both ang
and dst are 0, the MAT_helix() creates cnt copies of the identity matrix.
The three functions MAT_orient(),MAT_rotate() and MAT_translate() are not really symmetry operations but are
auxiliary operations that are useful for positioning the objects which are to be operated on by the true symmetry
operators. Two of these functions MAT_rotate() and MAT_translate() produce a single matrix that either rotates or
translates an object along the axis pts[1]→pts[2]. A zero ang or dst is acceptable in which case the function creates
an identity matrix. Except for a different user interface these two functions are equivalent to the nab builtins rot4p()
and tran4p().
MAT_orient() creates a matrix that rotates a object about the three axes pts[1]→pts[2],pts[1]→pts[3] and
pts[1]→pts[4]. The rotations are specified by the values of the array angs[], with ang[1] the rotation about axis-1
etc. The rotations are applied in the order axis-3, axis-2, axis-1. The axes remained fixed throughout the operation
and zero angle values are acceptable. If all three angles are zero, MAT_orient() creates an identity matrix.
35.4.2. Matrix I/O Functions
int MAT_fprint( file f, int nmats, matrix mats[1] )
int MAT_sprint( string str, int nmats, matrix mats[1] )
int MAT_fscan( file f, int smats, matrix mats[1] )
int MAT_sscan( string str, int smats, matrix mats[1] )
string MAT_getsyminfo()
This group of functions is used to read and write nab matrix variables. The two functions MAT_fprint() and
MAT_sprint() write the the matrix to the file for the string str. The number of matrices is specified by the pa-
rameter nmats and the matrices are passed in the array mats[].
The two functions MAT_fscan() and MAT_sscan() read matrices from the file for the string str into the array
mats[]. The parameter smats is the size of the matrix array and if the source file or string contains more than smats
only the first smats will be returned. These two functions return the number of matrices read unless there the
number of matrices is greater than smat or the last matrix was incomplete in which case they return -1.
In order to understand the last function in this group, MAT_getsyminfo(), it is necessary to discuss both the
internal structure the nab matrix type and one of its most important uses. The nab matrix type is used to hold
transformation matrices. Although these are atomic objects at the nab level, they are actually 4×4 matrices where
the first three elements of the fourth row are the X Y and Z components of the translation part of the transformation.
The matrix print functions write each matrix as four lines of four numbers separated by a single space. Similarly
the matrix read functions expect each matrix to be represented as four lines of four white space (any number of tabs
and spaces) separated numbers. The print functions use %13.6e for each number in order to produce output with
aligned columns, but the scan functions only require that each matrix be contained in four lines of four numbers
each.
Most nab programs use matrix variables as intermediates in creating structures. The structures are then saved
and the matrices disappear when the program exits. Recently nab was used to create a set of routines called
a “symmetry server”. This is a set of nab programs that work together to create matrix streams that are used
to assemble composite objects. In order to make it most general, the symmetry server produces only matrices
leaving it to the user to apply them. Since these programs will be used to create hierarchies of symmetries or
transformations we decided that the external representation (files or strings) of matrices would consist of two kinds
685

35. NAB: Rigid-Body Transformations
of information — required lines of row values and optional lines beginning with the character #some of which are
used to contain information that describes how these matrices were created.
MAT_getsyminfo() is used to extract this symmetry information from either a matrix file or a string that holds the
contents of a matrix file. Each time the user calls MAT_fscan() or MAT_sscan(), any symmetry information present
in the source file or string is saved in private buffer. The previous contents of this buffer are overwritten and lost.
MAT_getsyminfo() returns the contents of this buffer. If the buffer is empty, indicating no symmetry information
was present in either the source file or string, MAT_getsyminfo() returns NULL.
35.5. Symmetry server programs
This section describes a set of nab programs that are used together to create composite objects described by
a hierarchical nest of transformations. There are four programs for creating and operating on transformation
matrices: matgen,matmerge,matmul and matextract, a program, transform, for transforming PDB or point files,
and two programs, tss_init and tss_next for searching spaces defined by transformation hierarchies. In addition
to these programs, all of this functionality is available directly at the nab level via the MAT_ and tss_ builtins
described above.
35.5.1. matgen
The program matgen creates matrices that correspond to a symmetry or transformation operation. It has one
required argument, the name of a file containing a description of this operation. The created matrices are written
to stdout. A single matgen may be used by itself or two or more matgen programs may be connected in a pipeline
producing nested symmetries.
matgen -create sydef-1 |matgen symdef-2 |... |matgen symdef-N
Because a matgen can be in the middle of a pipeline, it automatically looks for an stream of matrices on stdin. This
means the first matgen in a pipeline will wait for an EOF (generally Ctl-D) from the terminal unless connected
to an empty file or equivalent. In order to avoid the nuisance of having to create an empty matrix stream the first
matgen in a pipeline should use the -create flag which tells matgen to ignore stdin.
If input matrices are read, each input matrix left multiplies the first generated matrix, then the second etc. The
table below shows the effect of a matgen performing a 2-fold rotation on an input stream of three matrices.
Input: IM1,IM2,IM3
Operation: 2-fold rotation: R1,R2
Output: IM1×R1,IM2×R1,IM3×R1,IM1×R2,IM2×R2,IM3×R2
35.5.2. Symmetry Definition Files
Transformations are specified in text files containing several lines of keyword/value pairs. These lines define
the operation, its associated axes and other parameters such as angles, a distance or count. Most keywords have
a default value, although the operation, center and axes are always required. Keyword lines may be in any order.
Blank lines and most lines starting with a sharp (#) are ignored. Lines beginning with #S{,#S+ and #S} are structure
comments that describe how the matrices were created. These lines are required to search the space defined by
the transformation hierarchy and their meaning and use is covered in the section on “Searching Transformation
Spaces”. A complete list of keywords, their acceptable values and defaults is shown below.
686

35.5. Symmetry server programs
Keyword Default Value Possible Values
symmetry None cube,cyclic,dihedral,dodeca,helix,ico,octa,tetra.
transform None orient,rotate,translate.
name mPid Any string of nonblank characters.
noid false true,false.
axestype relative absolute,relative.
center None Any three numbers separated by tabs or spaces.
axis, axis1 None
axis2 None
axis3 None
angle,angle1 0 Any number.
angle2 0
angle3 0
dist 0
count 1 Any integer.
axis and axis1 are synonyms as are angle and angle1.
The symmetry and transform keywords specify the operation. One or the other but not both must be specified.
The name keyword names a particular symmetry operation. The default name is mimmediately followed by
the process ID, eg m2286.name is used by the transformation space search routines tss_init and tss_next and is
described later in the section “Searching Transformation Spaces”.
The noid keyword with value true suppresses generation of the identity matrix in symmetry operations. For
example, the keywords below
symmetry cyclic
noid false
center 0 0 0
axis 0 0 1
count 3
produce three matrices which perform rotations of 0o, 120o and 240o about the Z-axis. If noid is true, only the
two non-identity matrices are created. This option is useful in building objects with two or three orthogonal 2-fold
axes and is discussed further in the example “Icosahedron from Rotations”. The default value of noid is false.
The axestype,center and axis* keywords defined the symmetry axes. The center and axis* keywords each
require a point value which is three numbers separated by tabs or spaces. Numbers may integer or real and in fixed
or exponential format. Internally all numbers are converted to nab type float which is actually double precision.
No space is permitted between the minus sign of a negative number and the digits.
The interpretation of these points depends on the value of the keyword axestype. If it is absolute then the axes
are defined as the vectors center→axis1,center→axis2 and center→axis3. If it relative, then the axes are vectors
whose directions are O→axis1,O→axis2 and O→axis3 with their origins at center. If the value of center is 0,0,0,
then absolute and relative are equivalent. The default value axestype is relative;center and the axis* do not have
defaults.
The angle keywords specify the rotation about the axes. angle1 is associated with axis1 etc. Note that angle and
angle1 are synonyms. The angle is in degrees, with positive being in the counterclockwise direction as you sight
from the axis point to the center point. Either an integer or real value is acceptable. No space is permitted between
the minus sign of a negative number and its digits. All angle* keywords have a default value of 0.
The dist keyword specifies the translation along an axis. The positive direction is from center to axis. Either
integer or real value is acceptable. No space is permitted between the minus sign of a negative number and its
digits. The default value of dist is 0.
The count keyword is used in three related ways. For the cyclic value of the symmetry it specifies ount matrices,
each representing a rotation of 360/count. It also specifies the same rotations about the non 2-fold axis of dihedral
symmetry. For helix symmetry, it indicates that count matrices should be created, each with a rotation of angle. In
all cases the default value is 1.
This table shows which keywords are used and/or required for each type of operation.
687

35. NAB: Rigid-Body Transformations
symmetry name noid axestype center axes angles dist count
cube mPid false relative Required 1,2 - - -
cyclic mPid false relative Required 1 - - D=1
dihedral mPid false relative Required 1,2 - - D=1
dodeca mPid false relative Required 1,2 - - -
helix mPid false relative Required 1 1,D=0 D=0 D=1
ico mPid false relative Required 1,2 - - -
octa mPid false relative Required 1,2 - - -
tetra mPid false relative Required 1,2 - - -
transform name noid axestype center axes angles dist count
orient mPid -relative Required All All,D=0 - -
rotate mPid -relative Required 1 1,D=0 - -
translate mPid -relative Required 1 - D=0 -
35.5.3. matmerge
The matmerge program combines 2-4 files of matrices into a single stream of matrices written to stdout. Input
matrices are in files whose names are given on as arguments on the matmerge command line. For example, the
command line below
matmerge A.mat B.mat C.mat
copies the matrices from A.mat to stdout, followed by those of B.mat and finally those of C.mat. Thus matmerge
is similar to the Unix cat command. The difference is that while they are called matrix files, they can contain
special comments that describe how the matrices they contain were created. When matrix files are merged, these
comments must be collected and grouped so that they are kept together in any further matrix processing.
35.5.4. matmul
The matmul program takes two files of matrices, and creates a new stream of matrices formed by the pair wise
product of the matrices in the input streams. The new matrices are written to stdout. If the number of matrices in
the two input files differ, the last matrix of the shorter file is replicated and applied to all remaining matrices of the
longer file. For example, if the file 3.mat has three matrices and the file 5.mat has five, then the command “matmul
3.mat 5.mat” would result in the third matrix of 3.mat multiplying the third, forth and fifth matrices of 5.mat.
35.5.5. matextract
The matextract is used to extract matrices from the matrix stream presented on stdin and writes them to stdout.
Matrices are numbered from 1 to N, where N is the number of matrices in the input stream. The matrices are
selected by giving their numbers as the arguments to the matextract command. Each argument is comma or space
separated list of one or more ranges, where a range is either a number or two numbers separated by a dash (-). A
range beginning with -starts with the first matrix and a range ending with -ends with the last matrix. The range -
selects all matrices. Here are some examples.
Command Action
matextract 2 Extract matrix number 2.
matextract 2,5 Extract matrices number 2 and 5.
matextract 2 5 Extract matrices number 2 and 5.
matextract 2-5 Extract matrices number 2 up to and including 5.
matextract -5 Extract matrices 1 to 5.
matextract 2- Extract all matrices beginning with number 2.
matextract - Extract all matrices.
matextract 2-4,7 13 15,19- Extract matrices 2 to 4, 7, 13, 15 and all matrices numbered 19
or higher.
688

35.5. Symmetry server programs
35.5.6. transform
The transform program applies matrices to an object creating a composite object. The matrices are read from
stdin and the new object is written to stdout.transform takes one argument, the name of the file holding the object
to be transformed. transform is limited to two types of objects, a molecule in PDB format, or a set of points in a
text file, three space/tab separated numbers/line. The name of object file is preceded by a flag specifying its type.
Command Action
transform -pdb X.pdb Transform a PDB format file.
transform -point X.pts Transform a set of points.
689
36. NAB: Distance Geometry
The second main element in NAB for the generation of initial structures is distance geometry. The next subsec-
tion gives a brief overview of the basic theory, and is followed by sections giving details about the implementation
in NAB.
36.1. Metric Matrix Distance Geometry
A popular method for constructing initial structures that satisfy distance constraints is based on a metric matrix
or "distance geometry" approach.[541,551] If we consider describing a macromolecule in terms of the distances
between atoms, it is clear that there are many constraints that these distances must satisfy, since for Natoms there
are N(N−1)/2distances but only 3Ncoordinates. General considerations for the conditions required to "embed"
a set of interatomic distances into a realizable three-dimensional object forms the subject of distance geometry.
The basic approach starts from the metric matrix that contains the scalar products of the vectors xithat give the
positions of the atoms:
gi j ≡xi·xj(36.1)
These matrix elements can be expressed in terms of the distances di j:
gi j =2(d2
i0+d2
j0−d2
i j)(36.2)
If the origin ("0") is chosen at the centroid of the atoms, then it can be shown that distances from this point can
be computed from the interatomic distances alone. A fundamental theorem of distance geometry states that a set
of distances can correspond to a three-dimensional object only if the metric matrix gis rank three, i.e., if it has
three positive and N-3 zero eigenvalues. This is not a trivial theorem, but it may be made plausible by thinking
of the eigenanalysis as a principal component analysis: all of the distance properties of the molecule should be
describable in terms of three "components," which would be the x,yand zcoordinates. If we denote the eigenvector
matrix as wand the eigenvalues λ, the metric matrix can be written in two ways:
gi j =
3
∑
k=1
xikxjk =
3
∑
k=1
wikwjkλk(36.3)
The first equality follows from the definition of the metric tensor, Eq. (1); the upper limit of three in the second
summation reflects the fact that a rank three matrix has only three non-zero eigenvalues. Eq. (3) then provides an
expression for the coordinates xiin terms of the eigenvalues and eigenvectors of the metric matrix:
xik =λ1/2
kwik (36.4)
If the input distances are not exact, then in general the metric matrix will have more than three non-zero eigenval-
ues, but an approximate scheme can be made by using Eq. (4) with the three largest eigenvalues. Since information
is lost by discarding the remaining eigenvectors, the resulting distances will not agree with the input distances, but
will approximate them in a certain optimal fashion. A further "refinement" of these structures in three-dimensional
space can then be used to improve agreement with the input distances.
In practice, even approximate distances are not known for most atom pairs; rather, one can set upper and lower
bounds on acceptable distances, based on the covalent structure of the protein and on the observed NOE cross
peaks. Then particular instances can be generated by choosing (often randomly) distances between the upper and
lower bounds, and embedding the resulting metric matrix.
691
36. NAB: Distance Geometry
Considerable attention has been paid recently to improving the performance of distance geometry by examining
the ways in which the bounds are "smoothed" and by which distances are selected between the bounds.[552,553]
The use of triangle bound inequalities to improve consistency among the bounds has been used for many years,
and NAB implements the "random pairwise metrization" algorithm developed by Jay Ponder.[543] Methods like
these are important especially for underconstrained problems, where a goal is to generate a reasonably random
distribution of acceptable structures, and the difference between individual members of the ensemble may be quite
large.
An alternative procedure, which we call "random embedding", implements the procedure of deGroot et al. for
satisfying distance constraints.[554] This does not use the embedding idea discussed above, but rather randomly
corrects individual distances, ignoring all couplings between distances. Doing this a great many times turns out to
actually find fairly good structures in many cases, although the properties of the ensembles generated for under-
constrained problems are not well understood. A similar idea has been developed by Agrafiotis,[555] and we have
adopted a version of his "learning parameter" strategy into our implementation.
Although results undoubtedly depend upon the nature of the problem and the constraints, in many (most?) cases,
randomized embedding will be both faster and better than the metric matrix strategy. Given its speed, randomized
embedding should generally be tried first.
36.2. Creating and manipulating bounds, embedding structures
A variety of metric-matrix distance geometry routines are included as builtins in nab.
bounds newbounds( molecule mol, string opts );
int andbounds( bounds b, molecule mol, string aex1, string aex2,
float lb, float ub );
int orbounds( bounds b, molecule mol, string aex1, string aex2,
float lb, float ub );
int setbounds( bounds b, molecule mol, string aex1, string aex2,
float lb, float ub );
int showbounds( bounds b, molecule mol, string aex1, string aex2 );
int useboundsfrom( bounds b, molecule mol1, string aex1, molecule mol2,
string aex2, float deviation );
int setboundsfromdb( bounds b, molecule mol, string aex1, string aex2,
string dbase, float mul );
int setchivol( bounds b, molecule mol, string aex1, string aex2, string aex3, string aex4, float vol );
int setchiplane( bounds b, molecule mol, string aex );
float getchivol( molecule mol, string aex1, string aex2, string aex3, string aex4 );
float getchivolp( point p1, point p2, point p3, point p4 );
int tsmooth( bounds b, float delta );
int geodesics( bounds b );
int dg_options( bounds b, string opts );
int embed( bounds b, float xyz[] );
The call to newbounds() is necessary to establish a bounds matrix for further work. This routine sets lower
bounds to van der Waals limits, along with bounds derived from the input geometry for atoms bonded to each
other, and for atoms bonded to a common atoms (i.e., so-called 1-2 and 1-3 interactions.) Upper and lower
bounds for 1-4 interactions are set to the maximum and minimum possibilities (the max ( syn , "van der Waals
limits" ) and anti distances). newbounds() has a string as its last parameter. This string is used to pass in options
that control the details of how those routines execute. The string can be NULL,"" or contain one or more options
surrounded by white space. The formats of an option are
-name=value
-name to select the default value if it exists.
The options to newbounds() are listed in Table 36.1.
692

36.2. Creating and manipulating bounds, embedding structures
Option type Default Action
-rbm string None The value of the option is the name of a file containing the
bounds matrix for this molecule. This file would ordinarily be
made by the dump-bounds command.
-binary If this flag is present, bounds read in with the -rbm will expect
a binary file created by the dumpbounds command.
-nocov If this flag is present, no covalent (bonding) information will
be used in constructing the bounds matrix.
-nchi int 4 The option containing the keyword nchi allocates nextra chiral
atoms for each residue of this molecule. This allows for
additional chirality information to be provided by the user. The
default is 4 extra chiral atoms per residue.
Table 36.1.: Options to newbounds.
The next five routines use atom expressions aex1 and aex2 to select two sets of atoms. Each of these four
routines returns the number of bounds set or changed. For each pair of atoms (a1 in aex1 and a2 in aex2)
andbounds() sets the lower bound to max ( current_lb, lb ) and the upper bound to the min ( current_ub, ub ). If
ub <current_lb or if lb >current_ub, the bounds for that pair are unchanged. The routine orbounds() works in a
similar fashion, except that it uses the less restrictive of the two sets of bounds, rather than the more restrictive
one. The setbounds() call updates the bounds, overwriting whatever was there. showbounds() prints all the
bounds between the atoms selected in the first atom expression and those selected in the second atom expression.
The useboundsfrom() routine sets the the bounds between all the selected atoms in mol1 according to the
geometry of a reference molecule, mol2. The bounds are set between every pair of atoms selected in the first atom
expression, aex1 to the distance between the corresponding pair of atoms selected by aex2 in the reference
molecule. In addition, a slack term, deviation, is used to allow some variance from the reference geometry by
decreasing the lower bound and increasing the upper bound between every pair of atoms selected. The amount of
increase or decrease depends on the distance between the two atoms. Thus, a deviation of 0.25 will result in the
lower bound set between two atoms to be 75% of the actual distance separating the corresponding two atoms
selected in the reference molecule. Similarly, the upper bound between two atoms will be set to 125% of the
actual distance separating the corresponding two atoms selected in the reference molecule. For instance, the call
useboundsfrom(b, mol1, "1:2:C1’,N1", mref, "3:4:C1’,N1", 0.10 );
sets the lower bound between the C1’ and N1 atoms in strand 1, residue 2 of molecule mol1 to 90% of the
distance between the corresponding pair of atoms in strand 3, residue 4 of the reference molecule, mref. Similarly,
the upper bound between the C1’ and N1 atoms selected in mol1 is set to 110% of the distance between the
corresponding pair of atoms in mref. A deviation of 0.0 sets the upper and lower bounds between every pair of
atoms selected to be the actual distance between the corresponding reference atoms. If aex1 selects the same
atoms as aex2, the bounds between those atoms selected will be constrained to the current geometry. Thus the
call,
useboundsfrom(b, mol1, "1:1:", mol1, "1:1", 0.0 );
essentially constrains the current geometry of all the atoms in strand 1, residue 1, by setting the upper and lower
bounds to the actual distances separating each atom pair. useboundsfrom() only checks the number of atoms
selected by aex1 and compares it to the number of atoms selected by aex2. If the number of atoms selected by
both atom expressions are not equal, an error message is output. Note, however, that there is no checking on the
atom types selected by either atom expression. Hence, it is important to understand the method in which nab atom
expressions are evaluated. For more information, refer to Section 2.6, “Atom Names and Atom Expressions”.
The useboundsfrom() function can also be used with distance geometry "templates", as discussed in the next
subsection.
The routine setchivol() uses four atom expressions to select exactly four different atoms and sets the volume of
the chiral (ordered) tetrahedron they describe to vol. Setting vol to 0forces the four atoms to be planar. setchivol()
693

36. NAB: Distance Geometry
returns 0on success and 1on failure. setchivol() does not affect any distance bounds in band may precede or
follow triangle smoothing.
Similar to setchivol(),setchiplane() enforces planarity across four or more atoms by setting the chiral volume
to 0for every quartet of atoms selected by aex.setchiplane() returns the number of quartets constrained. Note:
If the number of chiral constraints set is larger than the default number of chiral objects allocated in the call to
newbounds(), a chiral table overflow will result. Thus, it may be necessary to allocate space for additional chiral
objects by specifying a larger number for the option nchi in the call to newbounds().
getchivol() takes as an argument four atom expressions and returns the chiral volume of the tetrahedron described
by those atoms. If more than one atom is selected for a particular point, the atomic coordinate is calculated from
the average of the atoms selected. Similarly, getchivolp() takes as an argument four parameters of type point and
returns the chiral volume of the tetrahedron described by those points.
After bounds and chirality have been set in this way, the general approach would be to call tsmooth() to carry
out triangle inequality smoothing, followed by embed() to create a three-dimensional object. This might then be
refined against the distance bounds by a conjugate-gradient minimization routine. The tsmooth() routine takes two
arguments: a bounds object, and a tolerance parameter delta, which is the amount by which an upper bound may
exceed a lower bound without triggering a triangle error. For most circumstances, delta would be chosen as a small
number, like 0.0005, to allow for modest round-off. In some circumstances, however, delta could be larger, to
allow some significant inconsistencies in the bounds (in the hopes that the problems would be fixed in subsequent
refinement steps.) If the tsmooth() routine detects a violation, it will (arbitrarily) adjust the upper bound to equal
the lower bound. Ideally, one should fix the bounds inconsistencies before proceeding, but in some cases this fix
will allow the refinements to proceed even when the underlying cause of the inconsistency is not corrected.
For larger systems, the tsmooth() routine becomes quite time-consuming as it scales O(ˆ3). In this case, a more
efficient triangle smoothing routine, geodesics() is used. geodesics() smoothes the bounds matrix via the triangle
inequality using a sparse matrix version of a shortest path algorithm.
The embed routine takes a bounds object as input, and returns a four-dimensional array of coordinates; (values
of the 4-th coordinate may be nearly zero, depending on the value of k4d, see below.) Options for how the embed
is done are passed in through the dg_options routine, whose option string has name=value pairs, separated by
commas or whitespace. Allowed options are listed in the following table.
keyword default meaning
ddm none Dump distance matrix to this file.
rdm none Instead of creating a distance matrix, read it from this file.
dmm none Dump the metric matrix to this file.
rmm none Instead of creating a metric matrix, read it from this file.
gdist 0 If set to non-zero value, use a Gaussian distribution for
selecting distances; this will have a mean at the center of the
allowed range, and a standard deviation equal to 1/4 of the
range. If gdist=0, select distances from a uniform distribution
in the allowed range.
randpair 0 Use random pair-wise metrization for this percentage of the
distances, i.e., randpair=10. would metrize 10% of the distance
pairs.
eamax 10 Maximum number of embed attempts before bailing out.
seed -1 Initial seed for the random number generator.
pembed 0 If set to a non-zero value, use the "proximity embedding"
scheme of de Groot et al., [26] and Agrafiotis [27], rather than
metric matrix embedding.
shuffle 1 Set to 1 to randomize coordinates inside a box of dimension
rbox at the beginning of the pembed scheme; if 0, use whatever
coordinates are fed to the routine.
rbox 20.0 Size, in angstroms, of each side of the cubic into which the
coordinates are randomly created in the proximity-embed
procedure, if shuffle is set.
694

36.2. Creating and manipulating bounds, embedding structures
keyword default meaning
riter 1000 Maximum number of cycles for random-embed procedure.
Each cycle selects 1000 pairs for adjustment.
slearn 1.0 Starting value for the learning parameter in proximity
embedding; see [27] for details.
kchi 1.0 Force constant for enforcement of chirality constraints.
k4d 1.0 Force constant for squeezing out the fourth dimensional
coordinate. If this is non-zero, a penalty function will be added
to the bounds-violation energy, which is equal to 0.5 * k4d * w
* w, where wis the value of the fourth dimensional coordinate.
sqviol 0 If set to non-zero value, use parabolas for the violation energy
when upper or lower bounds are violated; otherwise use
functions based on those in the dgeom program. See the code
in embed.c for details.
lbpen 3.5 Weighting factor for lower-bounds violations, relative to
upper-bounds violations. The default penalizes lower bounds
3.5 times as much as the equivalent upper-bounds violations,
which is frequently appropriate distance geometry calculations
on molecules.
ntpr 10 Frequency at which the bounds matrix violations will be
printed in subsequent refinements.
pencut -1.0 If pencut >= 0.0, individual distance and chirality violations
greater than pencut will be printed out (along with the total
energy) every ntpr steps.
Typical calling sequences. The following segment shows some ways in which these routines can be put together
to do some simple embeds:
1molecule m;
2bounds b;
3float fret, xyz[ 10000 ];
4int ier;
5
6m = getpdb( argv[2] );
7b = newbounds( m, "" );
8tsmooth( b, 0.0005 );
9
10 dg_options( b, "gdist=1, ntpr=50, k4d=2.0, randpair=10." );
11 embed( b, xyz );
12 ier = conjgrad( xyz, 4*m.natoms, fret, db_viol, 0.1, 10., 200 );
13 printf( "conjgrad returns %d\\n", ier );
14
15 setmol_from_xyzw( m, NULL, xyz );
16 putpdb( "new.pdb", m );
In lines 6-8, the molecule is created by reading in a pdb file, then bounds are created and smoothed for it. The
embed options (established in line 10) include 10% random pairwise metrization, use of Gaussian distance selec-
tion, squeezing out the 4-th dimension with a force constant of 2.0, and printing every 50 steps. The coordinates
developed in the embed step (line 11) are passed to a conjugate gradient minimizer (see the description below),
which will minimize for 200 steps, using the bounds-violation routine db_viol as the target function. Finally, in
lines 15-16, the setmol_from_xyzw routine is used to put the coordinates from the xyz array back into the molecule,
and a new pdb file is written.
More complex and representative examples of distance geometry are given in the Examples chapter below.
695

36. NAB: Distance Geometry
aa.I.pdb aa.II.pdb aa.V.pdb aa.Va.pdb ac.XXV.pdb ac.XXVI.pdb
ag.IX.pdb ag.VIII.pdb ag.X.pdb ag.IX.pdb
ca.XXV.pdb
at.XX.pdb at.XXI.pdb
at.XXIII.pdb at.XXIV.pdb au.XX.pdb au.XXI.pdbau.XXIII.pdb au.XXIV.pdb
(Watson-Crick) (Reversed Watson-Crick)
(Hoogsteen) (Reversed Hoogsteen) (Watson-Crick) (Reversed Watson-Crick) (Hoogsteen) (Reversed Hoogsteen)
ca.XXVI.pdb cc.XIV.pdb cc.XV.pdb cg.XIX.pdb cg.XXII.pdb
ct.XVII.pdb ct.XVIII.pdb
(Watson-Crick) (Reversed Watson-Crick)
cu.XVII.pdb cu.XVIII.pdb ga.IX.pdb ga.VIII.pdb
ga.X.pdb ga.XI.pdb gc.XIX.pdb gc.XXII.pdb gg.III.pdbgg.IV.pdb
(Watson-Crick) (Reversed Watson-Crick)
Figure 36.1.: Basepair templates for use with useboundsfrom(), (aa-gg)
36.3. Distance geometry templates
The useboundsfrom() function can be used with structures supplied by the user, or by canonical structures
supplied with the nab distribution called "templates". These templates include stacking schemes for all standard
residues in a A-DNA, B-DNA, C-DNA, D-DNA, T-DNA, Z-DNA, A-RNA, or A’-RNA stack. Also included are
the 28 possible basepairing schemes as described in Saenger.[556] The templates are in PDB format and are located
in $NABHOME/dgdb/basepairs/ and $NABHOME/dgdb/stacking/.
A typical use of these templates would be to set the bounds between two residues to some percentage of the
idealized distance described by the template. In this case, the template would be the reference molecule ( the
second molecule passed to the function ). A typical call might be:
useboundsfrom(b, m, "1:2,3:??,H?",
getpdb( PATH + "gc.bdna.pdb" ), "::??,H?", 0.1 );
where PATH is $AMBERHOME/dat/dgdb/stacking/. This call sets the bounds of all the base atoms in residues 2 (
GUA ) and 3 ( CYT ) of strand 1 to be within 10% of the distances found in the template.
The basepair templates are named so that the first field of the template name is the one-character initials of the
two individual residues and the next field is the Roman numeral corresponding to same bonding scheme described
by Sanger, p. 120. Note: since no specific sugar or backbone conformation is assumed in the templates, the
non-base atoms should not be referenced. The base atoms of the templates are show in figures 36.1 and 36.2.
The stacking templates are named in the same manner as the basepair templates. The first two letters of the
template name are the one-character initials of the two residues involved in the stacking scheme ( 5’ residue, then
3’ residue ) and the second field is the actual helical pattern ( note: a-rna represents the helical parameters of a’rna
). The stacking shemes can be found in the $AMBERHOME/dat/dgdb/stacking directory.
696

36.3. Distance geometry templates
gg.VI.pdb gg.VII.pdbgg.VIIa.pdb gg.VIa.pdb gt.XXVII.pdb gt.XXVIII.pdb
gu.XXVII.pdb gu.XXVIII.pdb ta.XX.pdb ta.XXI.pdb ta.XXIII.pdbta.XXIV.pdb
tc.XVII.pdb tc.XVIII.pdb tg.XXVII.pdbtg.XXVIII.pdb tt.XII.pdbtt.XIII.pdb
tt.XVI.pdb tt.XVIa.pdb tu.XII.pdb tu.XIII.pdb tu.XVI.pdbua.XX.pdb
ua.XXI.pdb ua.XXIII.pdb ua.XXIV.pdb uc.XVII.pdb uc.XVIII.pdbug.XXVII.pdb
ug.XXVIII.pdb ut.XII.pdb ut.XIII.pdb ut.XVI.pdb uu.XII.pdb uu.XIII.pdb
uu.XVI.pdb uu.XVIa.pdb
(Watson-Crick)
(Watson-Crick)
(Reversed Watson-Crick)
(Reversed Watson-Crick) (Reversed Hoogsteen)
(Reversed Hoogsteen)
(Hoogsteen)
(Hoogsteen)
Figure 36.2.: Basepair templates for use with useboundsfrom(), (gg-uu)
697
36. NAB: Distance Geometry
36.4. Bounds databases
In addition to canonical templates, it is also possible to specify bounds information from a database of known
molecular structures. This provides the option to use data obtained from actual structures, rather than from an
idealized, canonical conformation.
The function setboundsfromdb() sets the bounds of all pairs of atoms between the two residues selected by
aex1 and aex2 to a statistically averaged distance calculated from known structures plus or minus a multiple of
the standard deviation. The statistical information is kept in database files. Currently, there are three types of
database files - Those containing bounds information between Watson-Crick basepairs, those containing bounds
information between helically stacked residues, and those containing intra-residue bounds information for residues
in any conformation. The standard deviation is multiplied by the parameter mul and subtracted from the average
distance to determine the lower bound and similarly added to the average distance to determine the upper bound
of all base-base atom distances. Base-backbone bounds, that is, bounds between pairs of atoms in which one atom
is a base atom and the other atom is a backbone atom, are set to be looser than base-base atoms. Specifically,
the lower bound between a base-backbone atom pair is set to the smallest measured distance of all the structures
considered in creating the database. Similarly, the upper bound between a base-backbone atom pair is set to the
largest measured distance of all the structures considered. Base-base, and base-sugar bounds are set in a similar
manner. This was done to avoid imposing false constraints on the atomic bounds, since Watson-Crick basepairing
and stacking does not preclude any specific backbone and sugar conformation. setboundsfromdb() first searches
the current directory for dbase before checking the default database location, $AMBERHOME/dat/dgdb.
Each entry in the database file has six fields: The atoms whose bounds are to be set, the number of separate
structures sampled in constructing these statistics, the average distance between the two atoms, the standard
deviation, the minimum measured distance, and the maximum measured distance. For example, the database
bdna.basepair.db has the following sample entries:
A:C2-T:C1’ 424 6.167 0.198 5.687 6.673
A:C2-T:C2 424 3.986 0.175 3.554 4.505
A:C2-T:C2’ 424 7.255 0.304 5.967 7.944
A:C2-T:C3’ 424 8.349 0.216 7.456 8.897
A:C2-T:C4 424 4.680 0.182 4.122 5.138
A:C2-T:C4’ 424 8.222 0.248 7.493 8.800
A:C2-T:C5 424 5.924 0.168 5.414 6.413
A:C2-T:C5’ 424 9.385 0.306 8.273 10.104
A:C2-T:C6 424 6.161 0.163 5.689 6.679
A:C2-T:C7 424 7.205 0.184 6.547 7.658
The first column identifies the atoms from the adenosine C2 atom to various thymidine atoms in a Watson-Crick
basepair. The second column indicates that 424 structures were sampled in determining the next four columns: the
average distance, the standard deviation, and the minimum and maximum distances.
The databases were constructing using the coordinates from all the known nucleic acid structures from the
Nucleic Acid Database (NDB - http://www.ndbserver.ebi.ac.uk:5700/NDB/. If one wishes to remake the databases,
the coordinates of all the NDB structures should be downloaded and kept in the $NABHOME/coords directory. The
databases are made by issuing the command $AMBERHOME/dat/dgdb/make_databases dblist where dblist is a
list of nucleic acid types (i.e., bdna, arna, etc. ). If one wants to add new structures to the structure repository at
$NABHOME/coords, it is necessary to make sure that the first two letters of the pdb file identify the nucleic acid
type. That is, all bdna pdb files must begin with bd.
The nab functions used to create the databases are located in $AMBERHOME/dat/dgdb/functions. The stacking
databases were constructed as follows: If two residues stacked 5’ to 3’ in a helix have fewer than ten inter-residue
atom distances closer than 2.0 Å or larger than 9.0 Å, and if the normals between the base planes are less than
20.0o, the residues were considered stacked. The base plane is calculated as the normal to the N1-C4 and midpoint
of the C2-N3 and N1-C4 vectors. The first atom expression given to setboundsfromdb() specifies the 5’ residue
and the second atom expression specifies the 3’ residue. The source for this function is getstackdist.nab.
Similarly, the basepair databases were constructed by measuring the heavy atom distances of corresponding
residues in a helix to check for hydrogen bonding. Specifically, if an A-U basepair has an N1-N3 distance of
698
36.4. Bounds databases
between 2.3 and 3.2 Å and a N6-O4 distance of between 2.3 and 3.3 Å, then the A-U basepair is considered a
Waton-Crick basepair and is used in the database. A C-G basepair is considered Watson-Crick paired if the N3-N1
distance is between 2.3 and 3.3 Å, the N4-O6 distance is between 2.3 and 3.2 Å, and the O2-N2 distance is between
2.3 and 3.2 Å.
The nucleotide databases contain all the distance information between atoms in the same residue. No residues
in the coordinates directory are excluded from this database. The intent was to allow the residues of this database
to assume all possible conformations and ensure that a nucleotide residue would not be biased to a particular
conformation.
For the basepair and stacking databases, setting the parameter mul to 1.0 results in lower bounds being set from
the average database distance minus one standard deviation, and upper bounds as the average database distance
plus one standard deviation, between base-base atoms. Base-backbone and base-sugar upper and lower bounds are
set to the maximum and minimum measured database values, respectively. Note, however, that a stacking multiple
of 0.0 may not correspond to consistent bounds. A stacking multiple of 0.0 will probably have conflicting bounds
information as the bounds information is derived from many different structures.
The database types are named nucleic_acid_type.database_type.db, and can be found in the
$AMBERHOME/dat/dgdb directory.
699
37. NAB: Molecular mechanics and dynamics
The initial models created by rigid-body transformations or distance geometry are often in need of further
refinement, and molecular mechanics and dynamics can often be useful here. nab has facilities to allow molecular
mechanics and molecular dynamics calculations to be carried out. At present, this uses the AMBER program
LEaP to set up the parameters and topology; the force field calculations and manipulations like minimization and
dynamics are done by routines in the nab suite. A version of LEaP is included in the NAB distribution, and is
accessed by the leap() discussed below. A later chapter gives a more detailed description.
37.1. Basic molecular mechanics routines
molecule getpdb_prm( string pdbfile, string leaprc, string leap_cmd2, int savef );
int readparm( molecule m, string parmfile );
int mme_init( molecule mol, string aexp, string aexp2, point xyz_ref[], file f );
int mm_options( string opts );
float mme( point xyz[], point grad[], int iter );
float mme_rattle( point xyz[], point grad[], int iter );
int conjgrad( float x[], int n, float fret, float func(), float rmsgrad,
float dfpred, int maxiter );
int md( int n, int maxstep, point xyz[], point f[], float v[], float func );
int getxv( string filename, int natom, float start_time, float x[], float v[] );
int putxv( string filename, string title, int natom, float start_time,
float x[], float v[] );
void mm_set_checkpoint( string filename );
The getpdb_prm() is a lot like getpdb() itself, except that it creates a molecule (and the associated force field
parameters) that can be used in subsequent molecular mechanics calculations. It is often adequate to convert an
input PDB file into a NAB molecule. (If this routine fails, you may be able to fix things up by editing your input
pdb file, and/or by modifying the leaprc or leap_cmd2 strings; if this doesn’t work you will have to run tleap by
hand, create a prmtop file, and use readparm() to input it.)
The leaprc string is passed to LEaP, and identifies which parameter and force field libraries to load. Sample
leaprc files are in $AMBERHOME/dat/leap/cmd, and there is no default. The leap_cmd2 string is interpreted after
the molecule has been read in to a unit called "X". Typically, leap_cmd2 would modify the molecule, say by
adding or removing bonds, etc. The final parameter, savef will save the intermediate files if non-zero; otherwise,
all intermediate files created will be removed. getpdb_prm() returns a molecule whose force field parameters are
already populated, and hence is ready for further force-field manipulation.
readparm reads an AMBER parameter-topology file, created by tleap or with other AMBER programs, and sets
up a data structure which we call a "parmstruct". This is part of the molecule, but is not directly accessible (yet)
to nab programs. You would use this command as an alternative to getpdb_prm(). You need to be sure that the
molecule used in the readparm() call has been created by calling getpdb() with a PDB file that has been created by
tleap itself (i.e., that has exactly the Amber atoms in the correct order). As noted above, the readparm() routine is
primarily intended for cases where getpdb_prm() fails (i.e., when you need to run tleap by hand).
setxyz_from_mol() copies the atomic coordinates of mol to the array xyz.setmol_from_xyz() replaces the atomic
coordinates of mol with the contents of xyz. Both return the number of atoms copied with a 0indicating an error
occurred.
The getxv() and putxv() routines read and write non-periodic Amber-style restart files. Velocities are read if
present.
701

37. NAB: Molecular mechanics and dynamics
The getxyz() and putxyz() routines are used in conjunction with the mm_set_checkpoint() routine to write check-
point or restart files. The coordinates are written at higher precision than to an AMBER restart file, i.e., with
sufficiently high precision to restart even a Newton-Raphson minimization where the error in coordinates may be
on the order of10−12 . The checkpoint files are written at iteration intervals that are specified by the nchk or nchk2
parameters to the mm_options() routine (see below). The checkpoint file names are determined by the filename
string that is passed to mm_set_checkpoint(). If filename contains one or more %d format specifiers, then the file
name will be a modification of filename wherein the leftmost %d of filename is replaced by the iteration count. If
filename contains no %d format specifier, then the file name will be filename with the iteration count appended on
the right.
The mme_init() function must be called after mm_options() and before calls to mme(). It sets up parameters
for future force field evaluations, and takes as input an nab molecule. The string aexp is an atom expression that
indicates which atoms are to be allowed to move in minimization or dynamics: atoms that do not match aexp will
have their positions in the gradient vector set to zero. A NULL atom expression will allow all atoms to move. The
second string, aexp2 identifies atoms whose positions are to be restrained to the positions in the array xyz_ref. The
strength of this restraint will be given by the wcons variable set in mm_options(). A NULL value for aexp2 will
cause all atoms to be constrained. The last parameter to mme_init() is a file pointer for the output trajectory file.
This should be NULL if no output file is desired. NAB writes trajectories in the binpos format, which can be read
by ptraj, and either analyzed, or converted to another format.
mm_options() is used to set parameters, and must be called before mme_init(); if you change options through
a call to mm_options() without a subsequent call to mme_init() you may get incorrect calculations with no error
messages. Beware. The opts string contains keyword/value pairs of the form keyword=value separated by white
space or commas. Allowed values are shown in the following table.
keyword default meaning
ntpr 10 Frequency of printing of the energy and its components.
e_debug 0 If non-zero printout additional components of the energy.
gb_debug 0 If non-zero printout information about Born first derivatives.
gb2_debug 0 If non-zero printout information about Born second derivatives.
nchk 10000 Frequency of writing checkpoint file during first derivative
calculation, i.e., in the mme() routine.
nchk2 10000 Frequency of writing checkpoint file during second derivative
calculation, i.e., in the mme2() routine.
nsnb 25 Frequency at which the non-bonded list is updated.
nscm 0 If > 0, remove translational and rotational center-of-mass
(COM) motion after every nscm steps. For Langevin dynamics
(gamma_ln>0) without HCP (hcp=0), the position of the COM
is reset to zero every nscm steps, but the velocities are not
affected. With HCP (hcp>0) COM translation and rotation are
also removed, with or without Langevin dynamics.
It is strongly recommended that this option be used whenever
HCP is used.
cut 8.0 Non-bonded cutoff, in angstroms. This parameter is ignored if
hcp > 0.
wcons 0.0 Restraint weight for keeping atoms close to their positions in
xyz_ref (see mme_init).
dim 3 Number of spatial dimensions; supported values are 3 and 4.
k4d 1.0 Force constant for squeezing out the fourth dimensional
coordinate, if dim=4. If this is non-zero, a penalty function will
be added to the bounds-violation energy, which is equal to 0.5
*k4d*w*w, where wis the value of the fourth dimensional
coordinate.
dt 0.001 Time step, ps.
702

37.1. Basic molecular mechanics routines
keyword default meaning
t0.0 Initial time, ps.
rattle 0 If set to 1, bond lengths will be constrained to their equilibrium
values, for dynamics; if set to 2, bonds to hydrogens will be
constrained; default is not to include such constraints. Note: if
you want to use rattle (effectively "shake") for minimization,
you do not need to set this parameter; rather, pass the
mme_rattle() function to conjgrad().
tautp 999999. Temperature coupling parameter, in ps. The time constant
determines the strength of the weak-coupling ("Berendsen")
temperature bath.[296] Set tautp to a very large value (e.g.
9999999.) in order to turn off coupling and revert to
Newtonian dynamics. This variable only has an effect if
gamma_ln remains at its default value of zero; if gamma_ln is
not zero, Langevin dynamics is assumed, as discussed below.
gamma_ln 0.0 Collision frequency for Langevin dynamics, inps−1. Values in
the range 2-5ps−1often give acceptable temperature control,
while allowing transitions to take place.[303] Values near
50ps−1correspond to the collision frequency for liquid water,
and may be useful if rough physical time scales for motion are
desired. The so-called BBK integrator is used here.[557]
temp0 300.0 Target temperature, K.
vlimit 20.0 Maximum absolute value of any component of the velocity
vector.
ntpr_md 10 Printing frequency for dynamics information to stdout.
ntwx 0 Frequency for dumping coordinates to traj_file.
zerov 0 If non-zero, then the initial velocities will be set to zero.
tempi 0.0 If zerov=0 and tempi>0, then the initial velocities will be
randomly chosen for this temperature. If both zerov and tempi
are zero, the velocities passed into the md() function will be
used as the initial velocities; this combination is useful to
continue an existing trajectory.
genmass 10.0 The general mass to use for MD if individual masses are not
read from a prmtop file; value in amu.
diel C Code for the dielectric model. "C" gives a dielectric constant
of 1; "R" makes the dielectric constant equal to distance in
angstroms; "RL" uses the sigmoidal function of Ramstein &
Lavery, PNAS 85, 7231 (1988); "RL94" is the same thing, but
speeded up assuming one is using the Cornell et al force field;
"R94" is a distance-dependent dielectric, again with speedups
that assume the Cornell et al. force field.
dielc 1.0 This is the dielectric constant used for non-GB simulations. It
is implemented in routine mme_init() by scaling all of the
charges by sqrt(dielc). This means that you need to set this (if
desired) in mm_options() before calling mme_init().
703

37. NAB: Molecular mechanics and dynamics
keyword default meaning
gb 0 If set to 0 then GB is off. Setting gb=1 turns on the Hawkins,
Cramer, Truhlar (HCT) form of pairwise generalized Born
model for solvation. See ref [134] for details of the
implementation; this is equivalent to the igb=1 option in
sander and pmemd. Set diel to "C" if you use this option.
Setting gb=2 turns on the Onufriev, Bashford, Case (OBC)
variant of GB,[115,120] with α=0.8, β=0.0 and γ=2.909. This
is equivalent to the igb=2 option in sander and pmemd. Setting
gb=5 just changes the values of α,βand γto 1.0, 0.8, and
4.85, respectively, corresponding to the igb=5 option in
sander. Setting gb=7 turns on the GB Neck variant of
GB,[136] corresponding to the igb=7 option in sander and
pmemd. Setting gb=8 turns on the updated GB Neck variant of
GB, corresponding to the igb=8 option in sander and pmemd.
rgbmax 999.0 A maximum value for considering pairs of atoms to contribute
to the calculation of the effective Born radii. The default value
means that there is effectively no cutoff. Calculations will be
sped up by using smaller values, say around 15. Å or so. This
parameter is ignored if hcp > 0.
gbsa 0 If set to 1, add a surface-area dependent energy equal to
surfen*SASA, where surften is discussed below, and SASA is
an approximate surface area term. NAB uses the "LCPO"
approximation developed by Weiser, Shenkin, and Still.[108]
surften 0.005 Surface tension (see gbsa, above) in kcal/mol/Å2.
epsext 78.5 Exterior dielectric for generalized Born; interior dielectric is
always 1.
kappa 0.0 Inverse of the Debye-Hueckel length, if gb is turned on, in
Å−1. This parameter is related to the ionic strength as
κ= [8πβI/ε]1/2, where Iis the ionic strength (same as the salt
concentration for a 1-1 salt). For T=298.15 and ε=78.5,
κ= (0.10806I)1/2, where Iis in [M].
ipb 0 Switch to compute electrostatic solvation free energy. If set to
0 then PBSA is off. This is equivalent to the ipb option in pbsa.
Possible values: 0,1,2, and 4. See PBSA chapter for more
information.
inp 2 Option to select different methods to compute non-polar
solvation free energy. This is equivalent to the inp option in
pbsa. Possible values: 0,1, and 2. See PBSA chapter for more
information.
epsin 1.0 Sets the dielectric constant of the solute region. The solute
region is defined to be the solvent excluded volume.
epsout 80.0 Sets the implicit solvent dielectric constant. The solvent region
is defined to be the space not occupied the solute region. Thus,
only two dielectric regions are allowed in the current release.
smoothopt 1 Instructs PB how to set up dielectric values for finite-difference
grid edges that are located across the solute/solvent dielectric
boundary.
istrng 0.0 Sets the ionic strength (in mM) for the PB equation.
radiopt 1 Option to set up atomic radii. This is equivalent to the radiopt
option in pbsa. Possible values: 0, and 1. See PBSA chapter
for more information.
704

37.1. Basic molecular mechanics routines
keyword default meaning
dprob 1.4 Solvent probe radius for molecular surface used to define the
dielectric boundary between solute and solvent. If set 0.0, it
would be later assigned to the value of sprob.
iprob 2.0 Mobile ion probe radius for ion accessible surface used to
define the Stern layer.
npbopt 0 Option to select the linear or the full nonlinear PB equation.
=0Linear PB equation is solved.
=1Nonlinear PB equation is solved.
solvopt 1 Option to select iterative solvers. This is equivalent to the
solvopt option in pbsa. Possible values: 1,2,3,4,5, and 6. See
PBSA chapter for more information.
accept 0.001 Sets the iteration convergence criterion (relative to the initial
residue).
maxitn 100 Sets the maximum number of iterations for the finite difference
solvers, default to 100.
fillratio 2.0 The ratio between the longest dimension of the rectangular
finite-difference grid and that of the solute.
space 0.5 Sets the grid spacing for the finite difference solver.
nfocus 2 Set how many successive FD calculations will be used to
perform an electrostatic focussing calculation on a molecule.
Possible values: 1and 2.
fscale 8 Set the ratio between the coarse and fine grid spacings in an
electrostatic focussing calculation.
bcopt 5 Boundary condition options. This is equivalent to the bcopt
option in pbsa. Possible values: 1,5,6, and 10. See PBSA
chapter for more information.
eneopt 2 Option to compute total electrostatic energy and forces. This is
equivalent to the eneopt option in pbsa. Possible values: 1, and
2. See PBSA chapter for more information.
dbfopt n/a This keyword is phased out in this release.
frcopt 0 Option to compute and output electrostatic forces to a file
named force.dat in the working directory. This is equivalent to
the frcopt option in pbsa. Possible values: 0,1,2, and 3. See
PBSA chapter for more information.
cutnb 0.0 Atom-based cutoff distance for van der Waals interactions, and
pairwise Coulombic interactions when ENEOPT = 2. When
ENEOPT = 1, this is the cutoff distance used for van der Waals
interactions only.
sprob 0.557 Solvent probe radius for solvent accessible surface area
(SASA) used to compute the dispersion term.
npbverb 0 This turns on verbose mode in PB when set to 1.
arcres 0.25 gives the resolution (in the unit of Å) of dots used to represent
solvent accessible arcs.
maxarcdot 1500 1500 actually means automatically determine number of arc
dots required for solvent accessible surface, might grow too
large to fit machines with less available memory. Please assign
it to 4000~7000 and see if it fits into your computers.
npbgrid 1 How many step do pbsa wait to re-calculate the geometry in a
simulation, npbgrid = 1 is required to do trajectory evaluation.
npbgrid is recommended to be 100 if “conjgrad” is used.
705

37. NAB: Molecular mechanics and dynamics
keyword default meaning
irism 0 Use 3D-RISM.
= 0 Off.
= 1 On.
xvvfile n/a .xvv file which describes bulk solvent properties. Required for
3D-RISM calculations. Produced by rism1d.
guvfile n/a Root name for solute-solvent 3D pair distribution function,
GUV (R). This will produce one file for each solvent atom type
for each frame requested.
huvfile n/a Rootname for solute-solvent 3D total correlation function,
HUV(R). This will produce one file for each solvent atom type
for each frame requested.
cuvfile n/a Rootname for solute-solvent 3D total correlation function,
CUV(R). This will produce one file for each solvent atom type
for each frame requested.
quvfile n/a Rootname for solvent 3D charge density distribution [e/Å].
This will produce one file with contributions from each solvent
atom type for each frame requested.
chgdist n/a Rootname for solvent 3D charge distribution [e]. This will
produce one file with contributions from each solvent atom
type for each frame requested.
uuvfile n/a Rootname for solute-solvent 3D potential energy, UUV(R).
This will produce one file for each solvent atom type for each
frame requested.
asympfile n/a Rootname for solute-solvent 3D long range real-space
asymptotics for Cand H. This will produce one file for Cand
Hfor each frame requested.
volfmt dx Output format for volumetric data.
= dx DX format.
= xyzv XYZV format.
closure KH Comma separate list of closure approximations.
= HNC Hyper-netted chain equation (HNC).
= KH Kovalenko-Hirata (KH).
= PSEn Partial series expansion of order nwhere “n” is a
positive integer.
If more than one closure is provided, the 3D-RISM solver will
use the closures in order to obtain a solution for the last closure
in the list when no previous solutions are available. The
solution for the last closure in the list is used for all output.
closureorder 1 (Deprecated) Order for PSE-n closure if closure is specified as
“PSE” or “PSEN” (no integers).
solvcut buffer Cut-off distance for solvent-solute potential and force
calculations. solvcut must be explicitly set if buffer<0. For
minimization it is recommended to not use a cut-off (e.g.
solvcut=9999).
706

37.1. Basic molecular mechanics routines
keyword default meaning
buffer 14 Minimum distance in Å between the solute and the edge of the
solvent box.
< 0 Use fixed box size (ng3 and solvbox).
>= 0 Buffer distance.
grdspc 0.5 Linear grid spacing in x-, y- and z-dimensions [Å]. May be
specified as single number if all dimensions have the same
value. E.g., ‘grdspc=0.5’ is equivalent to ‘grdspc=0.5,0.5,0.5’.
ng n/a Sets the number of grid points for a fixed size solvation box.
May be specified as single integer if all dimensions have the
same value. E.g., ‘ng=64’ is equivalent to ‘ng=64,64,64’.
solvbox n/a Sets the size in Å of the fixed size solvation box. May be
specified as single number if all dimensions have the same
value. E.g., ‘solvbox=32.0’ is equivalent to
‘solvbox=32.0,32.0,32.0’.
tolerance 1e-5 A list of maximum residual values for solution convergence.
When used in combination with a list of closures it is possible
to define different tolerances for each of the closures. This can
be useful for difficult to converge calculations (see §6.2.4). For
the sake of efficiency, it is best to use as high a tolerance as
possible for all but the last closure. For minimization a
tolerance of 1e-11 or lower is recommended. Three formats of
list are possible.
one tolerance All closures but the last use a tolerance of 1.
The last tolerance in the list is used by the last
closure. In practice this, is the most efficient.
two tolerances All closures but the last use the first tolerance
in the list. The last tolerance in the list is used by
the last closure.
ntolerances Tolerances from the list are assigned to the
closure list in order.
mdiis_del 0.7 “Step size” in MDIIS.
mdiis_nvec 5 Number of vectors used by the MDIIS method. Higher values
for this parameter can greatly increase memory requirements
but may also accelerate convergence.
mdiis_method 2 Specify implementation of the MDIIS routine.
= 0 Original reference implementation.
= 1 BLAS optimized.
= 2 BLAS and memory optimized.
maxstep 10000 Maximum number of iterations allowed to converge on a
solution.
707

37. NAB: Molecular mechanics and dynamics
keyword default meaning
npropagate 5 Number of previous solutions propagated forward to create an
initial guess for this solute atom configuration.
= 0 Do not use any previous solutions
= 1..5 Values greater than 0 but less than 4 or 5 will use less
system memory but may introduce artifacts to the
solution (e.g., energy drift).
centering 1 Controls how the solute is centered/re-centered in the solvent
box. (See Subsection 6.5.1.)
= -4 Center-of-geometry with grid-point rounding. Center on
first step only.
= -3 Center-of-mass with grid-point rounding. Center on first
step only.
= -2 Center-of-geometry. Center on first step only.
= -1 Center-of-mass. Center on first step only.
= 0 No centering. Dangerous.
= 1 Center-of-mass. Center on every step. Recommended for
molecular dynamics.
= 2 Center-of-geometry. Center on every step. Recommended
for minimization.
= 3 Center-of-mass with grid-point rounding.
= 4 Center-of-geometry with grid-point rounding.
zerofrc 1 Redistribute solvent forces across the solute such that the net
solvation force on the solute is zero.
= 0 Unmodified forces.
= 1 Zero net force.
apply_rism_force 1 Calculate and use solvation forces from 3D-RISM. Not
calculating these forces can save computation time and is
useful for trajectory post-processing.
= 0 Do not calculate forces.
= 1 Calculate forces.
ntwrism 0 Indicates that solvent density grid should be written to file
every ntwrism iterations.
= 0 No files written.
>= 1 Output every ntwrism time steps.
708

37.1. Basic molecular mechanics routines
keyword default meaning
ntprism 0 Indicates that 3D-RISM thermodynamic output should be
written to file every ntprism iterations.
= 0 No files written.
>= 1 Output every ntwrism time steps.
polardecomp 0 Decompose the solvation free energy into polar and non-polar
contributions. This is only useful if ntprism6=0 and adds about
80% to the total calculation time.
= 0 No decomposition.
= 1 Decomposition is performed.
verbose 0 Indicates level of diagnostic detail about the calculation written
to the log file.
= 0 No output.
= 1 Print the number of iterations required to converge.
= 2 Print details for each iteration and information about what
FCE is doing every progress iterations.
progress 1 Display progress of the 3D-RISM solution every progress
iterations. 0 indicates this information will not be displayed.
Only used if verbose >1.
static_arrays 1 If set to 1, do not allocate dynamic arrays for each call to the
mme() and mme2() functions. The default value of 1 reduces
computation time by avoiding array allocation.
blocksize 8 The granularity with which loop iterations are assigned to
OpenMP threads or MPI processes. For MPI, a blocksize as
small as 1 results in better load balancing during parallel
execution. For OpenMP, blocksize should not be smaller than
the number of floating-point numbers that fit into one cache
line in order to avoid performance degradation through ’false
sharing’. For ScaLAPACK, the optimum blocksize is not know,
although a value of 1 is probably too small.
hcp 0 Use the Hierarchical Charge Partitioning (HCP) method. 1 =
1-charge approximation; 2 = 2-charge approximation. See
Section 37.6 for detailed instructions on using the HCP.
It is strongly recommended that the NSCM option above be
used whenever HCP is used.
hcp_h1 15 HCP level 1 threshold distance. The recommended level 1
threshold distance for amino acids is 15 A. For structures with
nucleic acids the recommended level 1 threshold distance is 21
A.
The mme() function takes a coordinate set and returns the energy in the function value and the gradient of
the energy in grad. The input parameter iter is used to control printing (see the ntpr variable) and non-bonded
updates (see nsnb). The mme_rattle() function has the same interface, but constrains the bond lengths and returns
a corrected gradient. If you want to minimize with constrained bond lengths, pass mme_rattle and not mme to the
conjgrad routine.
709

37. NAB: Molecular mechanics and dynamics
The conjgrad() function will carry out conjugate gradient minimization of the function func that depends upon n
parameters, whose initial values are in the xarray. The function func must be of the form func( x[], g[], iter ), where x
contains the input values, and the function value is returned through the function call, and its gradient with respect
to xthrough the garray. The iteration number is passed through iter, which func can use for whatever purpose it
wants; a typical use would just be to determine when to print results. The input parameter dfpred is the expected
drop in the function value on the first iteration; generally only a rough estimate is needed. The minimization will
proceed until maxiter steps have been performed, or until the root-mean-square of the components of the gradient is
less than rmsgrad. The value of the function at the end of the minimization is returned in the variable fret.conjgrad
can return a variety of exit codes:
Return codes for conjgrad routine
>0 minimization converged; gives number of final
iteration
-1 bad line search; probably an error in the relation of
the function to its gradient (perhaps from round-off if
you push too hard on the minimization).
-2 search direction was uphill
-3 exceeded the maximum number of iterations
-4 could not further reduce function value
Finally, the md function will run maxstep steps of molecular dynamics, using func as the force field (this would
typically be set to a function like mme.) The number of dynamical variables is given as input parameter n: this
would be 3 times the number of atoms for ordinary cases, but might be different for other force fields or functions.
The arrays x[], f[] and v[] hold the coordinates, gradient of the potential, and velocities, respectively, and are updated
as the simulation progresses. The method of temperature regulation (if any) is specified by the variables tautp and
gamma_ln that are set in mm_options().
Note: In versions of NAB up to 4.5.2, there was an additional input variable to md() called minv that reserved
space for the inverse of the masses of the particles; this has now been removed. This change is not backwards
compatible: you must modify existing NAB scripts that call md() to remove this variable.
37.2. NetCDF read/write routines
NAB has several routines for reading/writing Amber NetCDF trajectory and restart files. All of the routines
except netcdfGetNextFrame() return a 1 on error, 0 on success. The netcdfGetNextFrame() routine returns 0 on
error, 1 on success to make it easier to use in loops. For an example of how to use NetCDF files in NAB see the
NAB script in ’$AMBERHOME/AmberTools/test/nab/tnetcdf.nab’.
37.2.1. struct AmberNetcdf
An AmberNetcdf struct must be used to interface with the netcdf commands in NAB (except netcdfWriteR-
estart()). It contains many fields, but the following are the ones commonly needed by users:
temp0 Temperature of current frame (if temperature is present).
restartTime Simulation time if NetCDF restart.
isNCrestart 0 if trajectory, 1 if restart.
ncframe Number of frames in the file.
currentFrame Current frame number.
ncatom Number of atoms.
ncatom3 Number of coordinates (ncatom * 3).
710
37.2. NetCDF read/write routines
velocityVID If not -1, velocity information is present.
TempVID If not -1, temperature information is present.
In order to use it, you must include nab_netcdf.h and declare it as a struct, e.g.:
#include “nab_netcdf.h”
struct AmberNetcdf NC;
37.2.2. netcdfClose
int netcdfClose(struct AmberNetcdf NC)
Close NetCDF file associated with NC.
37.2.3. netcdfCreate
int netcdfCreate(struct AmberNetcdf NC, string filename, int natom, int isBox)
NC AmberNetcdf struct to set up.
filename Name of file to create.
natom Number of atoms in file.
isBox 0 = No box coordinates, 1 = Has box coordinates.
Create NetCDF trajectory file and associate with struct NC. For writing NetCDF restarts, use netcdfWriteRestart().
37.2.4. netcdfDebug
int netcdfDebug(struct AmberNetcdf NC)
Print debug information for NetCDF file associated with NC.
37.2.5. netcdfGetFrame
int netcdfGetFrame(struct AmberNetcdf NC, int set, float X[], float box[])
NC AmberNetcdf struct, previously set up and opened.
set Frame number to read.
XArray to store coordinates (dimension NC.ncatom3).
box Array of dimension 6 to store box coordinates if present (X Y Z ALPHA BETA
GAMMA); can be NULL.
Get coordinates at frame set (starting from 0).
37.2.6. netcdfGetNextFrame
int netcdfGetNextFrame(struct AmberNetcdf NC, float X[], float box[])
NC AmberNetcdf struct, previously set up and opened.
XArray to store coordinates (dimension NC.ncatom3).
box Array of size 6 to store box coordinates if present (X Y Z ALPHA BETA
GAMMA); can be NULL.
Get the coordinates at frame NC.currentFrame and increment NC.currentFrame by one. Unlike the other netcdf
routines, this returns 1 on success and 0 on error to make it easy to use in loops.
711
37. NAB: Molecular mechanics and dynamics
37.2.7. netcdfGetVelocity
int netcdfGetVelocity(struct AmberNetcdf NC, int set, float V[])
NC AmberNetcdf struct, previously set up and opened.
set Frame number to read.
VArray to store velocities (dimension NC.ncatom3).
Get velocities at frame set (starting from 0).
37.2.8. netcdfInfo
int netcdfInfo(struct AmberNetcdf NC)
Print information for NC, including file type, presence of velocity/box/temperature info, and number of atoms,
coordinates, and frames present.
37.2.9. netcdfLoad
int netcdfLoad(struct AmberNetcdf NC, string filename)
NC AmberNetcdf struct to set up.
filename Name of NetCDF file to load.
Load NetCDF file filename and set up the AmberNetcdf structure NC for reading. The file type is automatically
detected.
37.2.10. netcdfWriteFrame
int netcdfWriteFrame(struct AmberNetcdf NC, int set, float X[], float box[])
NC AmberNetcdf struct, previously set up and opened.
set Frame number to write.
XArray of coordinates to write (dimension NC.ncatom3).
box Array of size 6 of box coordinates to write (X Y Z ALPHA BETA GAMMA); can
be NULL.
Write to NetCDF trajectory at frame set (starting from 0). NOTE: This routine is for writing NetCDF trajectories
only; to write NetCDF restarts use netcdfWriteRestart().
37.2.11. netcdfWriteNextFrame
int netcdfWriteNextFrame(struct AmberNetcdf NC, float X[], float box[])
NC AmberNetcdf struct, previously set up and opened.
XArray of coordinates to write (dimension NC.ncatom3).
box Array of size 6 of box coordinates to write (X Y Z ALPHA BETA GAMMA); can
be NULL.
Write coordinates to frame NC.currentFrame and increment NC.currentFrame by one. NOTE: This routine is
for writing NetCDF trajectories only; to write NetCDF restarts use netcdfWriteRestart().
712

37.3. Typical calling sequences
37.2.12. netcdfWriteRestart
int netcdfWriteRestart(string filename, int natom, float X[], float V[],
float box[], float time, float temperature)
filename Name of NetCDF restart file to create.
natom Number of atoms in netcdf restart file.
XArray of coordinates to write (dimension natom*3).
VArray of velocities to write (dimension natom*3); can be NULL.
box Array of size 6 of box coordinates to write (X Y Z ALPHA BETA GAMMA); can
be NULL.
time Restart time in ps.
temperature Restart temperature; if < 0 no temperature will be written.
37.3. Typical calling sequences
The following segment shows some ways in which these routines can be put together to do some molecular
mechanics and dynamics:
1// carry out molecular mechanics minimization and some simple dynamics
2molecule m, mi;
3int ier;
4float m_xyz[ dynamic ], f_xyz[ dynamic ], v[ dynamic ];
5float dgrad, fret, dummy[2];
6
7mi = bdna( "gcgc" );
8putpdb( "temp.pdb", mi );
9m = getpdb_prm( "temp.pdb", "leaprc.ff99SB", "", 0 );
10
11 allocate m_xyz[ 3*m.natoms ]; allocate f_xyz[ 3*m.natoms ];
12 allocate v[ 3*m.natoms ];
13 setxyz_from_mol( m, NULL, m_xyz );
14
15 mm_options( "cut=25.0, ntpr=10, nsnb=999, gamma_ln=5.0" );
16 mme_init( m, NULL, "::ZZZ", dummy, NULL );
17 fret = mme( m_xyz, f_xyz, 1 );
18 printf( "Initial energy is %8.3f\n", fret );
19
20 dgrad = 0.1;
21 ier = conjgrad( m_xyz, 3*m.natoms, fret, mme, dgrad, 10.0, 100 );
22 setmol_from_xyz( m, NULL, m_xyz );
23 putpdb( "gcgc.min.pdb", m );
24
25 mm_options( "tautp=0.4, temp0=100.0, ntpr_md=10, tempi=50." );
26 md( 3*m.natoms, 1000, m_xyz, f_xyz, v, mme );
27 setmol_from_xyz( m, NULL, m_xyz );
28 putpdb( "gcgc.md.pdb", m );
Line 7 creates an nab molecule; any nab creation method could be used here. Then a temporary pdb file is
created, and this is used to generate a NAB molecule that can be used for force-field calculations (line 9). Lines
11-13 allocate some memory, and fill the coordinate array with the molecular position. Lines 15-17 initialize the
force field routine, and call it once to get the initial energy. The atom expression "::ZZZ" will match no atoms,
so that there will be no restraints on the atoms; hence the fourth argument to mme_init can just be a place-holder,
since there are no reference positions for this example. Minimization takes place at line 21, which will call mme
713
37. NAB: Molecular mechanics and dynamics
repeatedly, and which also arranges for its own printout of results. Finally, in lines 25-28, a short (1000-step)
molecular dynamics run is made. Note the the initialization routine mme_init must be called before calling the
evaluation routines mme or md.
Elaboration of the the above scheme is generally straightforward. For example, a simulated annealing run in
which the target temperature is slowly reduced to zero could be written as successive calls to mm_options (setting
the temp0 parameter) and md (to run a certain number of steps with the new target temperature.) Note also that
routines other than mme could be sent to conjgrad and md: any routine that takes the same three arguments and
returns a float function value could be used. In particular, the routines db_viol (to get violations of distance bounds
from a bounds matrix) or mme4 (to compute molecular mechanics energies in four spatial dimensions) could be
used here. Or, you can write your own nab routine to do this as well. For some examples, see the gbrna,gbrna_long
and rattle_md programs in the $AMBERHOME/AmberTools/test/nab directory.
37.4. Second derivatives and normal modes
Russ Brown has contributed new codes that compute analytically the second derivatives of the Amber
functions, including the generalized Born terms. This capability resides in the three functions described here.
int newton( float x[], int n, float fret, float func1(), float func2(), float rms,
float nradd, int maxiter );
float nmode( float x[], int n, float func(), int eigp, int ntrun, float eta, float hrmax, int ioseen );
These routines construct and manipulate a Hessian (second derivative matrix), allowing one (for now) to carry
out Newton-Raphson minimization and normal mode calculations. The mme2() routine takes as input a 3*natom
vector of coordinates x[], and returns a gradient vector g[], a Hessian matrix, stored columnwise in a 3*natom x
3*natom vector h[], and the masses of the system, in a vector m[] of length natom. The iteration variable iter is just
used to control printing. At present, these routines only work for gb = 0 or 1.
Users cannot call mme2() directly, but will pass this as an argument to one of the next two routines.
The newton() routine takes a input coordinates x[] and a size parameter n(must be set to 3*natom). It performs
Newton-Raphson optimization until the root-mean-square of the gradient vector is less than rms, or until maxiter
steps have been taken. For now, the input function func1() must be mme() and func2() must be mme2(). The value
nradd will be added to the diagonal of the Hessian before the step equations are solved; this is generally set to zero,
but can be set something else under particular circumstances, which we do not discuss here.[558]
Generally, you only want to try Newton-Raphson minimization (which can be very expensive) after you have
optimized structures with conjgrad() to an rms gradient of 10 -3 or so. In most cases, it should only take a small
number of iterations then to go down to an rms gradient of about 10 -12 or so, which is somewhere near the
precision limit.
Once a good minimum has been found, you can use the nmode() function to compute normal/Langevin modes
and thermochemical parameters. The first three arguments are the same as for newton(), the next two integers
give the number of eigenvectors to compute and the type of run, respectively. The last three arguments (only
used for Langevin modes) are the viscosity in centipoise, the value for the hydrodynamic radius, and the type
of hydrodynamic interactions. Several techniques are available for diagonalizing the Hessian depending on the
number of modes required and the amount of memory available.
In all cases the modes are written to an Amber-compatible "vecs" file for normal modes or "lmodevecs" file for
Langevin modes. There are currently no nab routines that use this format. The Langevin modes will also generate
an output file called "lmode" that can be read by the Amber module lmanal.
ntrun
0: The dsyev routine is used to diagonalize the Hessian
1: The dsyevd routine is used to diagonalize the Hessian
2: The ARPACK package (shift invert technique) is used to obtain a small number of eigenvalues
3: The Langevin modes are computed with the viscosity and hydrodynamic radius provided
714

37.5. Low-MODe (LMOD) optimization methods
hrmax Hydrodynamic radius for the atom with largest area exposed to solvent. If a file named "expfile" is
provided then the relative exposed areas are read from this file. If "expfile" is not present all atoms
are assigned a hydrodynamic radius of hrmax or 0.2 for the hydrogen atoms. The "expfile" can be
generated with the ms (molecular surface) program.
ioseen
0: Stokes Law is used for the hydrodynamic interaction
1: Oseen interaction included
2: Rotne-Prager correction included
Here is a typical calling sequence:
1molecule m;
2float x[4000], fret;
3
4m = getpdb_prm( "mymolecule.pdb", "leaprc.ff99SB", "", 0 );
5mm_options( "cut=999., ntpr=50, nsnb=99999, diel=C, gb=1, dielc=1.0" );
6mme_init( m, NULL, "::Z", x, NULL);
7setxyz_from_mol( m, NULL, x );
8
9// conjugate gradient minimization
10 conjgrad(x, 3*m.natoms, fret, mme, 0.1, 0.001, 2000 );
11
12 // Newton-Raphson minimization\fP
13 mm_options( "ntpr=1" );
14 newton( x, 3*m.natoms, fret, mme, mme2, 0.00000001, 0.0, 6 );
15
16 // get the normal modes:
17 nmode( x, 3*m.natoms, mme2, 0, 0, 0.0, 0.0, 0);
37.5. Low-MODe (LMOD) optimization methods
István Kolossváry has contributed new functions, which implement the LMOD methods for minimization, con-
formational searching, and flexible docking.[348–351] The centerpiece of LMOD is a conformational search al-
gorithm based on eigenvector following of low-frequency vibrational modes. It has been applied to a spectrum
of computational chemistry domains including protein loop optimization and flexible active site docking. The
search method is implemented without explicit computation of a Hessian matrix and utilizes the Arnoldi pack-
age (ARPACK, http://www.caam.rice.edu/software/ARPACK/) for computing the low-frequency modes. LMOD
optimization can be thought of as an advanced minimization method. LMOD can not only energy minimize a
molecular structure in the local sense, but can generate a series of very low energy conformations. The LMOD
capability resides in a single, top-level calling function lmod(), which uses fast local minimization techniques,
collectively termed XMIN that can also be accessed directly through the function xmin().
37.5.1. LMOD conformational searching
The LMOD conformational search procedure is based on gentle, but very effective structural perturbations
applied to molecular systems in order to explore their conformational space. LMOD perturbations are derived from
low- frequency vibrational modes representing large-amplitude, concerted atomic movements. Unlike essential
dynamics where such low modes are derived from long molecular dynamics simulations, LMOD calculates the
modes directly and utilizes them to improve Monte Carlo sampling.
LMOD has been developed primarily for macromolecules, with its main focus on protein loop optimization.
However, it can be applied to any kind of molecular systems, including complexes and flexible docking where it has
found widespread use. The LMOD procedure starts with an initial molecular model, which is energy minimized.
715
37. NAB: Molecular mechanics and dynamics
The minimized structure is then subjected to an ARPACK calculation to find a user-specified number of low-
mode eigenvectors of the Hessian matrix. The Hessian matrix is never computed; ARPACK makes only implicit
reference to it through its product with a series of vectors. Hv, where v is an arbitrary unit vector, is calculated via
a finite-difference formula as follows,
Hv = [∇(xmin +h)−∇(xmin)]/h(37.1)
where xmin is the coordinate vector at the energy minimized conformation and hdenotes machine precision. The
computational cost of Eq. 1 requires a single gradient calculation at the energy minimum point and one additional
gradient calculation for each new vector. Note that 5xis never 0, because minimization is stopped at a finite
gradient RMS, which is typically set to 0.1-1.0 kcal/mol-Å in most calculations.
The low-mode eigenvectors of the Hessian matrix are stored and can be re-used throughout the LMOD search.
Note that although ARPACK is very fast in relative terms, a single ARPACK calculation may take up to a few hours
on an absolute CPU time scale with a large protein structure. Therefore, it would be impractical to recalculate
the low-mode eigenvectors for each new structure. Visual inspection of the low-frequency vibrational modes of
different, randomly generated conformations of protein molecules showed very similar, collective motions clearly
suggesting that low-modes of one particular conformation were transferable to other conformations for LMOD
use. This important finding implies that the time limiting factor in LMOD optimization, even for relatively small
molecules, is energy minimization, not the eigenvector calculation. This is the reason for employing XMIN for
local minimization instead of NAB’s standard minimization techniques.
37.5.2. LMOD Procedure
Given the energy-minimized structure of an initial protein model, protein- ligand complex, or any other molec-
ular system and its low-mode Hessian eigenvectors, LMOD proceeds as follows. For each of the first n low-modes
repeat steps 1-3 until convergence:
1. Perturb the energy-minimized starting structure by moving along the ith (i =1-n) Hessian eigenvector in ei-
ther of the two opposite directions to a certain distance. The 3N-dimensional (N is equal to the number of
atoms) travel distance along the eigenvector is scaled to move the fastest moving atom of the selected mode
in 3-dimensional space to a randomly chosen distance between a user-specified minimum and maximum
value.
Note: A single LMOD move inherently involves excessive bond stretching and bond angle bending in Carte-
sian space. Therefore the primarily torsional trajectory drawn by the low-modes of vibration on the PES is
severely contaminated by this naive, linear approximation and, therefore, the actual Cartesian LMOD tra-
jectory often misses its target by climbing walls rather than crossing over into neighboring valleys at not
too high altitudes. The current implementation of LMOD employs a so-called ZIG-ZAG algorithm, which
consists of a series of alternating short LMOD moves along the low-mode eigenvector (ZIG) followed by a
few steps of minimization (ZAG), which has been found to relax excessive stretches and bends more than
reversing the torsional move. Therefore, it is expected that such a ZIG- ZAG trajectory will eventually be
dominated by concerted torsional movements and will carry the molecule over the energy barrier in a way
that is not too different from finding a saddle point and crossing over into the next valley like passing through
a mountain pass.
Barrier crossing check: The LMOD algorithm checks barrier crossing by evaluating the following criterion:
IF the current endpoint of the zigzag trajectory is lower than the energy of the starting structure, OR, the
endpoint is at least lower than it was in the previous ZIG-ZAG iteration step AND the molecule has also
moved farther away from the starting structure in terms of all-atom superposition RMS than at the previous
position THEN it is assumed that the LMOD ZIG-ZAG trajectory has crossed an energy barrier.
2. Energy-minimize the perturbed structure at the endpoint of the ZIG- ZAG trajectory.
3. Save the new minimum-energy structure and return to step 1. Note that LMOD saves only low-energy
structures within a user-specified energy window above the then current global minimum of the ongoing
search.
716

37.5. Low-MODe (LMOD) optimization methods
Parameter list for xmin()
keyword default meaning
func N/A The name of the function that computes the function value and gradient
of the objective function to be minimized. func() must have the
following argument list: float func( float x[], float g[], int
i)where x[] is the vector of the iterate, g[] is the gradient and iis
currently ignored except when func =mme where iis handled
internally.
natm N/A Number of atoms. NOTE: if func is other than mme,natm is used to
pass the total number of variables of the objective function to be
minimized. However, natm retains its original meaning in case func is a
user-defined energy function for 3-dimensional (molecular) structure
optimization. Make sure that the meaning of natm is compatible with
the setting of mol_struct_opt below.
x[] N/A Coordinate vector. User has to allocate memory in calling program and
fill x[] with initial coordinates using, e.g., the setxyz_from_mol function
(see sample program below). Array size = 3*natm.
g[] N/A Gradient vector. User has to allocate memory in calling program. Array
size = 3*natm.
ene N/A On output, ene stores the minimized energy.
grms_out N/A On output, grms_out stores the gradient RMS achieved by XMIN.
Table 37.2.: Arguments for xmin().
After exploring the modes of a single structure, LMOD goes on to the next starting structure, which is selected
from the set of previously found low- energy structures. The selection is based on either the Metropolis criterion,
or simply the than lowest energy structure is used. LMOD terminates when the user-defined number of steps has
been completed or when the user-defined number of low-energy conformations has been collected.
Note that for flexible docking calculations LMOD applies explicit translations and rotations of the ligand(s) on
top of the low-mode perturbations.
37.5.3. XMIN
float xmin( float func(), int natm, float x[], float g[],
float ene, float grms_out, struct xmod_opt xo);
At a glance: The xmin() function minimizes the energy of a molecular structure with initial coordinates given
in the x[] array. On output, xmin() returns the minimized energy as the function value and the coordinates in x[]
will be updated to the minimum-energy conformation. The arguments to xmin() are described in Table 37.2; the
parameters in the xmin_opt structure are described in Table 37.3; these should be preceded by “xo.”, since they
are members of an xmod_opt struct with that name; see the sample program below to see how this works.
There are three types of minimizers that can be used, specified by the method parameter:
method
1: PRCG Polak-Ribiere conjugate gradient method, similar to the conjgrad() function [352].
2: L-BFGS Limited-memory Broyden-Fletcher-Goldfarb-Shanno quasi-Newton algorithm [353]. L-
BFGS is 2-3 times faster than PRCG mainly, because it requires significantly fewer line search
steps than PRCG.
3: lbfgs-TNCG L-BFGS preconditioned truncated Newton conjugate gradient algorithm [352,354].
Sophisticated technique that can minimize molecular structures to lower energy and gradient than
PRCG and L-BFGS and requires an order of magnitude fewer minimization steps, but L-BFGS
can sometimes be faster in terms of total CPU time.
717

37. NAB: Molecular mechanics and dynamics
Parameter list for xmin_opt
keyword default meaning
mol_struct_opt 1 1= 3-dimensional molecular structure optimization. Any other value
means general function optimization.
maxiter 1000 Maximum number of iteration steps allowed for XMIN. A value of zero
means single point energy calculation, no minimization.
grms_tol 0.05 Gradient RMS threshold below which XMIN should minimize the input
structure.
method 3 Minimization algorithm. See text for description.
numdiff 1 Finite difference method used in TNCG for approximating the product
of the Hessian matrix and some vector in the conjugate gradient
iteration (the same approximation is used in LMOD, see Eq. 37.1 in
section 37.5.1). 1= Forward difference. 2=Central difference.
m_lbfgs 3 Size of the L-BFGS memory used in either L-BFGS minimization or
L-BFGS preconditioning for TNCG. The value zero turns off
preconditioning. It usually makes little sense to set the value >10.
print_level 0 Amount of debugging printout. 0= No output. 1= Minimization details.
2= Minimization (including conjugate gradient iteration in case of
TNCG) and line search details.
iter N/A Output parameter. The total number of iteration steps completed by
XMIN.
xmin_time N/A Output parameter. CPU time in seconds used by XMIN.
ls_method 2 1= modified Armijo [559](not recommended, primarily used for
testing).
2= Wolfe (after J. J. More’ and D. J. Thuente).
ls_maxiter 20 Maximum number of line search steps per single minimization step.
ls_maxatmov 0.5 Maximum (co-ordinate) movement per degree of freedom allowed in
line search, range > 0.
beta_armijo 0.5 Armijo beta parameter, range (0, 1). Only change it if you know what
you are doing.
c_armijo 0.4 Armijo c parameter, range (0, 0.5). Only change it if you know what you
are doing.
mu_armijo 1.0 Armijo mu parameter, range [0, 2). Only change it if you know what you
are doing.
ftol_wolfe 0.0001 Wolfe ftol parameter, range (0, 0.5). Only change it if you know what
you are doing.
gtol_wolfe 0.9 Wolfe gtol parameter, range (ftol_wolfe, 1). Only change it if you know
what you are doing.
ls_iter N/A Output parameter. The total number of line search steps completed by
XMIN.
error_flag N/A Output parameter. A non-zero value indicates an error. In case of an
error XMIN will always print a descriptive error message.
Table 37.3.: Options for xmin_opt.
718

37.5. Low-MODe (LMOD) optimization methods
4: Debugging option; printing analytical and numerical derivatives for comparison. Almost all fail-
ures with xmin can be attributed to inaccurate analytical derivatives, e.g., when SCF hasn’t con-
verged with a quantum based Hamiltonian.
NOTE: The xmin routine can be utilized for minimizing arbitrary, user-defined objective functions. The function
must be defined in a user NAB program or in any other user library that is linked in. The name of the function is
passed to xmin() via the func argument.
37.5.4. Sample XMIN program
The following sample program, which is based on the test program txmin.nab, reads a molecular structure from
a PDB file, minimizes it, and saves the minimized structure in another PDB file.
1// XMIN reverse communication external minimization package.
2// Written by Istvan Kolossvary.
3
4#include "xmin_opt.h"
5
6// M A I N P R O G R A M to carry out XMIN minimization on a molecule:
7
8struct xmin_opt xo;
9
10 molecule mol;
11 int natm;
12 float xyz[ dynamic ], grad[ dynamic ];
13 float energy, grms;
14 point dummy;
15
16 xmin_opt_init( xo ); // set up defaults (shown here)
17
18 // xo.mol_struct_opt = 1;
19 // xo.maxiter = 1000;
20 // xo.grms_tol = 0.05;
21 // xo.method = 3;
22 // xo.numdiff = 1;
23 // xo.m_lbfgs = 3;
24 // xo.ls_method = 2;
25 // xo.ls_maxiter = 20;
26 // xo.maxatmov = 0.5;
27 // xo.beta_armijo = 0.5;
28 // xo.c_armijo = 0.4;
29 // xo.mu_armijo = 1.0;
30 // xo.ftol_wolfe = 0.0001;
31 // xo.gtol_wolfe = 0.9;
32 // xo.print_level = 0;
33
34 xo.maxiter = 10; // non-defaults are here
35 xo.grms_tol = 0.001;
36 xo.method = 3;
37 xo.ls_maxatmov = 0.15;
38 xo.print_level = 2;
39
40 mol = getpdb( "gbrna.pdb" );
41 readparm( mol, "gbrna.prmtop" );
42 natm = mol.natoms;
43 allocate xyz[ 3*natm ]; allocate grad[ 3*natm ];
44 setxyz_from_mol( mol, NULL, xyz );
719

37. NAB: Molecular mechanics and dynamics
45
46 mm_options( "ntpr=1, gb=1, kappa=0.10395, rgbmax=99., cut=99.0, diel=C ");
47 mme_init( mol, NULL, "::ZZZ", dummy, NULL );
48
49 energy = mme( xyz, grad, 0 );
50 energy = xmin( mme, natm, xyz, grad, energy, grms, xo );
51
52 //END MAIN
The corresponding screen output should look similar to this. Note that this is fairly technical, debugging infor-
mation; normally print_level is set to zero.
Reading parm file (gbrna.prmtop)
title:
PDB 5DNB, Dickerson decamer
old prmtop format => using old algorithm for GB parms
mm_options: ntpr=99
mm_options: gb=1
mm_options: kappa=0.10395
mm_options: rgbmax=99.
mm_options: cut=99.0
mm_options: diel=C
iter Total bad vdW elect. cons. genBorn frms
ff: 0 -4107.50 906.22 -192.79 -137.96 0.00 -4682.97 1.93e+01
________________________________________________________________
MIN: It= 0 E= -4107.50 ( 19.289)
CG: It= 3 ( 0.310) :-)
LS: step= 0.94735 it= 1 info= 1
MIN: It= 1 E= -4423.34 ( 5.719)
CG: It= 4 ( 0.499) :-)
LS: step= 0.91413 it= 1 info= 1
MIN: It= 2 E= -4499.43 ( 2.674)
CG: It= 9 ( 0.498) :-)
LS: step= 0.86829 it= 1 info= 1
MIN: It= 3 E= -4531.20 ( 1.543)
CG: It= 8 ( 0.499) :-)
LS: step= 0.95556 it= 1 info= 1
MIN: It= 4 E= -4547.59 ( 1.111)
CG: It= 9 ( 0.491) :-)
LS: step= 0.77247 it= 1 info= 1
MIN: It= 5 E= -4556.35 ( 1.068)
CG: It= 8 ( 0.361) :-)
LS: step= 0.75150 it= 1 info= 1
MIN: It= 6 E= -4562.95 ( 1.042)
CG: It= 8 ( 0.273) :-)
LS: step= 0.79565 it= 1 info= 1
MIN: It= 7 E= -4568.59 ( 0.997)
CG: It= 5 ( 0.401) :-)
LS: step= 0.86051 it= 1 info= 1
MIN: It= 8 E= -4572.93 ( 0.786)
CG: It= 4 ( 0.335) :-)
LS: step= 0.88096 it= 1 info= 1
MIN: It= 9 E= -4575.25 ( 0.551)
CG: It= 64 ( 0.475) :-)
LS: step= 0.95860 it= 1 info= 1
720

37.5. Low-MODe (LMOD) optimization methods
MIN: It= 10 E= -4579.19 ( 0.515)
----------------------------------------------------------------
FIN: :-) E= -4579.19 ( 0.515)
The first few lines are typical NAB output from mm_init() and mme(). The output below the horizontal line
comes from XMIN. The MIN/CG/LS blocks contain the following pieces of information. The MIN: line shows
the current iteration count, energy and gradient RMS (in parentheses). The CG: line shows the CG iteration count
and the residual in parentheses. The happy face :-) means convergence whereas :-( indicates that CG iteration
encountered negative curvature and had to abort. The latter situation is not a serious problem, minimization can
continue. This is just a safeguard against uphill moves. The LS: line shows line search information. "step" is the
relative step with respect to the initial guess of the line search step. "it" tells the number of line search steps taken
and "info" is an error code. "info" = 1 means that line searching converged with respect to sufficient decrease and
curvature criteria whereas a non- zero value indicates an error condition. Again, an error in line searching doesn’t
mean that minimization necessarily failed, it just cannot proceed any further because of some numerical dead end.
The FIN: line shows the final result with a happy face :-) if either the grms_tol criterion has been met or when the
number of iteration steps reached the maxiter value.
37.5.5. LMOD
float lmod( int natm, float x[], float g[], float ene, float conflib[],
float lmod_traj[], int lig_start[], int lig_end[], int lig_cent[],
float tr_min[], float tr_max[], float rot_min[], float rot_max[],
struct xmin_opt, struct xmin_opt, struct lmod_opt);
At a glance: The lmod() function is similar to xmin() in that it optimizes the energy of a molecular structure
with initial coordinates given in the x[] array. However, the optimization goes beyond local minimization, it
is a sophisticated conformational search procedure. On output, lmod() returns the global minimum energy of
the LMOD conformational search as the function value and the coordinates in x[] will be updated to the global
minimum-energy conformation. Moreover, a set of the best low-energy conformations is also returned in the array
conflib[]. Coordinates, energy, and gradient are in NAB units. The parameters are given in the table below; items
above the line are passed as parameters; the rest of the parameters are all preceded by “lo.”, because they are
members of an lmod_opt struct with that name; see the sample program below to see how this works.
Also note that xmin()’s xmin_opt struct is passed to lmod() as well. lmod() changes the default values of some
of the “xo.” parameters via the call to lmod_opt_int() relative to a call to xmin_opt_init(), which means that
in a more complex NAB program with multiple calls to xmin() and lmod(); make sure to always initialize and
set user parameters for each and every XMIN and LMOD search via, respectively calling xmin_opt_init() and
lmod_opt_init() just before the calls to xmin() and lmod().
keyword default meaning
natm Number of atoms.
x[] Coordinate vector. User has to allocate memory in calling
program and fill x[] with initial coordinates using, e.g., the
setxyz_from_mol function (see sample program below). Array
size = 3*natm.
g[] Gradient vector. User has to allocate memory in calling
program. Array size = 3*natm.
ene On output, ene stores the global minimum energy.
conflib[] User allocated storage array where LMOD stores low-energy
conformations. Array size = 3*natm*nconf.
lmod_traj[] User allocated storage array where LMOD stores snapshots of
the pseudo trajectory drawn by LMOD on the potential energy
surface. Array size = 3*natom * (nconf + 1).
721

37. NAB: Molecular mechanics and dynamics
keyword default meaning
lig_start[] N/A The serial number(s) of the first/last atom(s) of the ligand(s).
The number(s) should correspond to the numbering in the NAB
input files. Note that the ligand(s) can be anywhere in the atom
list, however, a single ligand must have continuous numbering
between the corresponding lig_start and lig_end values. The
arrays should be allocated in the calling program. Array size =
nlig, but in case nlig=0 there is no need for allocating memory.
lig_end[] N/A See above.
lig_cent[] N/A Similar array in all respects to lig_start/end, but the serial
number(s) define the center of rotation. The value zero means
that the center of rotation will be the geometric center of
gravity of the ligand.
tr_min[] N/A The range of random translation/rotation applied to individual
ligand(s). Rotation is carried out about the origin defined by
the corresponding lig_cent value(s). The angle is given in +/-
degrees and the distance in angstroms. The particular angles
and distances are randomly chosen from their respective
ranges. The arrays should be allocated in the calling program.
Array size = nlig, but in case nlig=0 there is no need to
allocate memory.
tr_max[] See tr_min[], above.
rot_min[] See tr_min[], above.
rot_max[] See tr_min[], above.
niter 10 The number of LMOD iterations. Note that a single LMOD
iteration involves a number of different computations (see
section 37.5.2.). A value of zero results in a single local
minimization; like a call to xmin.
nmod 5 The total number of low-frequency modes computed by
LMOD every time such computation is requested.
minim_grms 0.1 The gradient RMS convergence criterion of structure
minimization.
kmod 3 The definite number of randomly selected low-modes used to
drive LMOD moves at each LMOD iteration step.
nrotran_dof 6 The number of rotational and translational degrees of freedom.
This is related to the number of frozen or tethered atoms in the
system: 0 atoms dof=6, 1 atom dof=3, 2 atoms dof=1, >=3
atoms dof=0. Default is 6, no frozen or tethered atoms. See
section 37.5.7, note (5).
nconf 10 The maximum number of low-energy conformations stored in
conflib[]. Note that the calling program is responsible for
allocating memory for conflib[].
energy_window 50.0 The energy window for conformation storage; the energy of a
stored structure will be in the interval [global_min, global_min
+ energy_window].
eig_recalc 5 The frequency, measured in LMOD iterations, of the
recalculation of eigenvectors.
ndim_arnoldi 0 The dimension of the ARPACK Arnoldi factorization. The
default, zero, specifies the whole space, that is, three times the
number of atoms. See note below.
722

37.5. Low-MODe (LMOD) optimization methods
keyword default meaning
lmod_restart 10 The frequency, in LMOD iterations, of updating the conflib
storage, that is, discarding structures outside the energy
window, and restarting LMOD with a randomly chosen
structure from the low-energy pool defined by n_best_struct
below. A value >maxiter will prevent LMOD from doing any
restarts.
n_best_struct 10 Number of the lowest-energy structures found so far at a
particular LMOD restart point. The structure to be used for the
restart will be chosen randomly from this pool. n_best_struct =
1 allows the user to explore the neighborhood of the then
current global minimum.
mc_option 1 The Monte Carlo method.
1= Metropolis Monte Carlo (see rtemp below).
2= "Total_Quench", which means that the LMOD trajectory
always proceeds towards the lowest lying neighbor of a
particular energy well found after exhaustive search along all
of the randomly selected kmod low-modes.
3= "Quick_Quench", which means that the LMOD trajectory
proceeds towards the first neighbor found, which is lower in
energy than the current point on the path, without exploring the
remaining modes.
rtemp 1.5 The value of RT in NAB energy units. This is utilized in the
Metropolis criterion.
lmod_step_size_min 2.0 The minimum length of a single LMOD ZIG move in Å. See
section 37.5.2.
lmod_step_size_max 5.0 The maximum length of a single LMOD ZIG move in Å. See
section 37.5.2.
nof_lmod_steps 0 The number of LMOD ZIG-ZAG moves. The default, zero,
means that the number of ZIG-ZAG moves is not pre-defined,
instead LMOD will attempt to cross the barrier in as many
ZIG-ZAG moves as it is necessary. The criterion of crossing an
energy barrier is stated above in section 37.5.2.
nof_lmod_steps >0 means that multiple barriers may be
crossed and LMOD can carry the molecule to a large distance
on the potential energy surface without severely distorting the
geometry.
lmod_relax_grms 1.0 The gradient RMS convergence criterion of structure
relaxation, see ZAG move in section 37.5.2.
nlig 0 Number of ligands considered for flexible docking. The
default, zero, means no docking.
apply_rigdock 2 The frequency, measured in LMOD iterations, of the
application of rigid-body rotational and translational motions
to the ligand(s). At each apply_rigdock-th LMOD iteration
nof_pose_to-try rotations and translations are applied to the
ligand(s).
nof_poses_to_try 10 The number of rigid-body rotational and translational motions
applied to the ligand(s). Such applications occur at each
apply_rigdock-th LMOD iteration. In case nof_pose_to_try >
1, it is always the lowest energy pose that is kept, all other
poses are discarded.
random_seed 314159 The seed of the random number generator. A value of zero
requests hardware seeding based on the system clock.
723

37. NAB: Molecular mechanics and dynamics
keyword default meaning
print_level 0 Amount of debugging printout. 0= No output. 1= Basic output.
2= Detailed output. 3= Copious debugging output including
ARPACK details.
lmod_time N/A CPU time in seconds used by LMOD itself.
aux_time N/A CPU time in seconds used by auxiliary routines.
error_flag N/A A non-zero value indicates an error. In case of an error LMOD
will always print a descriptive error message.
Notes on the ndim_arnoldi parameter: Basically, the ARPACK package used for the eigenvector calculations
solves multiple "small" eigenvalue problems instead of a single "large" problem, which is the diagonalization of
the three times the number of atoms by three times the number of atoms Hessian matrix. This parameter is the user
specified dimension of the "small" problem. The allowed range is nmod + 1 <= ndim_arnoldi <= 3*natm. The
default means that the "small" problem and the "large" problem are identical. This is the preferred, i.e., fastest,
calculation for small to medium size systems, because ARPACK is guaranteed to converge in a single iteration.
The ARPACK calculation scales with three times the number of atoms times the Arnoldi dimension squared and,
therefore, for larger molecules there is an optimal ndim_arnoldi much less than three times the number of atoms
that converges much faster in multiple iterations (possibly thousands or tens of thousands of iterations). The key
to good performance is to select ndim_arnoldi such that all the ARPACK storage fits in memory. For proteins,
ndim_arnoldi =1000 is generally a good value, but often a very small ∼50-100 Arnoldi dimension provides the
fastest net computational cost with very many iterations.
37.5.6. Sample LMOD program
The following sample program, which is based on the test program tlmod.nab, reads a molecular structure from
a PDB file, runs a short LMOD search, and saves the low-energy conformations in PDB files.
1// LMOD reverse communication external minimization package.
2// Written by Istvan Kolossvary.
3
4#include "xmin_opt.h"
5#include "lmod_opt.h"
6
7// M A I N P R O G R A M to carry out LMOD simulation on a molecule/complex:
8
9struct xmin_opt xo;
10 struct lmod_opt lo;
11
12 molecule mol;
13 int natm;
14 float energy;
15 int lig_start[ dynamic ], lig_end[ dynamic ], lig_cent[ dynamic ];
16 float xyz[ dynamic ], grad[ dynamic ], conflib[ dynamic ], lmod_trajectory[ dynamic ];
17 float tr_min[ dynamic ], tr_max[ dynamic ], rot_min[ dynamic ], rot_max[ dynamic ];
18 float glob_min_energy;
19 point dummy;
20
21 lmod_opt_init( lo, xo ); // set up defaults
22
23 lo.niter = 3; // non-default options are here
24 lo.mc_option = 2;
25 lo.nof_lmod_steps = 5;
26 lo.random_seed = 99;
27 lo.print_level = 2;
28
724

37.5. Low-MODe (LMOD) optimization methods
29 xo.ls_maxatmov = 0.15;
30
31 mol = getpdb( "trpcage.pdb" );
32 readparm( mol, "trpcage.top" );
33 natm = mol.natoms;
34
35 allocate xyz[ 3*natm ]; allocate grad[ 3*natm ];
36 allocate conflib[ lo.nconf *3*natm ];
37 allocate lmod_trajectory[ (lo.niter+1) *3*natm ];
38 setxyz_from_mol( mol, NULL, xyz );
39
40 mm_options( "ntpr=5000, gb=0, cut=999.0, nsnb=9999, diel=R ");
41 mme_init( mol, NULL, "::ZZZ", dummy, NULL );
42
43 mme( xyz, grad, 1 );
44 glob_min_energy = lmod( natm, xyz, grad, energy,
45 conflib, lmod_trajectory, lig_start, lig_end, lig_cent,
46 tr_min, tr_max, rot_min, rot_max, xo, lo );
47
48 printf( "\nGlob. min. E = %12.3lf kcal/mol\n", glob_min_energy );
49
50
51 //END MAIN
The corresponding screen output should look similar to this.
Reading parm file (trpcage.top)
title:
mm_options: ntpr=5000
mm_options: gb=0
mm_options: cut=999.0
mm_options: nsnb=9999
mm_options: diel=R
________________________________________________________________
Low-Mode Simulation
---------------------------------------------------------------------------
1 E = -118.117 ( 0.054) Rg = 5.440
1 / 6 E = -89.2057 ( 0.090) Rg = 2.625 rmsd= 8.240 p= 0.0000
1 / 8 E = -51.682 ( 0.097) Rg = 5.399 rmsd= 8.217 p= 0.0000
3 /12 E = -120.978 ( 0.091) Rg = 3.410 rmsd= 7.248 p= 1.0000
3 /10 E = -106.292 ( 0.099) Rg = 5.916 rmsd= 4.829 p= 0.0004
4 / 6 E = -106.788 ( 0.095) Rg = 4.802 rmsd= 3.391 p= 0.0005
4 / 3 E = -111.501 ( 0.097) Rg = 5.238 rmsd= 2.553 p= 0.0121
---------------------------------------------------------------------------
2 E = -120.978 ( 0.091) Rg = 3.410
1 / 4 E = -137.867 ( 0.097) Rg = 2.842 rmsd= 5.581 p= 1.0000
1 / 9 E = -130.025 ( 0.100) Rg = 4.282 rmsd= 5.342 p= 1.0000
4 / 3 E = -123.559 ( 0.089) Rg = 3.451 rmsd= 1.285 p= 1.0000
4 / 4 E = -107.253 ( 0.095) Rg = 3.437 rmsd= 2.680 p= 0.0001
5 / 5 E = -113.119 ( 0.096) Rg = 3.136 rmsd= 2.074 p= 0.0053
5 / 4 E = -134.1 ( 0.091) Rg = 3.141 rmsd= 2.820 p= 1.0000
---------------------------------------------------------------------------
3 E = -130.025 ( 0.100) Rg = 4.282
1 / 8 E = -150.556 ( 0.093) Rg = 3.347 rmsd= 5.287 p= 1.0000
1 / 4 E = -123.738 ( 0.079) Rg = 4.218 rmsd= 1.487 p= 0.0151
2 / 8 E = -118.254 ( 0.095) Rg = 3.093 rmsd= 5.296 p= 0.0004
2 / 7 E = -115.027 ( 0.090) Rg = 4.871 rmsd= 4.234 p= 0.0000
725

37. NAB: Molecular mechanics and dynamics
4 / 7 E = -128.905 ( 0.099) Rg = 4.171 rmsd= 2.113 p= 0.4739
4 /11 E = -133.85 ( 0.099) Rg = 3.290 rmsd= 4.464 p= 1.0000
__________________________________________________
Full list:
1 E = -150.556 / 1 Rg = 3.347
2 E = -137.867 / 1 Rg = 2.842
3 E = -134.1 / 1 Rg = 3.141
4 E = -133.85 / 1 Rg = 3.290
5 E = -130.025 / 1 Rg = 4.282
6 E = -128.905 / 1 Rg = 4.171
7 E = -123.738 / 1 Rg = 4.218
8 E = -123.559 / 1 Rg = 3.451
9 E = -120.978 / 1 Rg = 3.410
10 E = -118.254 / 1 Rg = 3.093
Glob. min. E = -150.556 kcal/mol
The first few lines come from mm_init() and mme(). The screen output below the horizontal line originates from
LMOD. Each LMOD-iteration is represented by a multi-line block of data numbered in the upper left corner by
the iteration count. Within each block, the first line displays the energy and, in parentheses, the gradient RMS as
well as the radius of gyration (assigning unit mass to each atom), of the current structure along the LMOD pseudo
simulation-path. The successive lines within the block provide information about the LMOD ZIG-ZAG moves
(see section 37.5.2). The number of lines is equal to 2 times kmod (2x3 in this example). Each selected mode is
explored in both directions, shown in two separate lines. The leftmost number is the serial number of the mode
(randomly selected from the set of nmod modes) and the number after the slash character gives the number of
ZIG-ZAG moves taken. This is followed by, respectively, the minimized energy and gradient RMS, the radius of
gyration, the RMSD distance from the base structure, and the Boltzmann probability with respect to the energy
of the base structure and rtemp, of the minimized structure at the end of the ZIG-ZAG path. Note that exploring
the same mode along both directions can result in two quite different structures. Also note that the number of
ZIG-ZAG moves required to cross the energy barrier (see section 37.5.2) in different directions can vary quite a
bit, too. Occasionally, an exclamation mark next to the energy (!E = ...) denotes a structure that could not be fully
minimized.
After finishing all the computation within a block, the corresponding LMOD step is completed by selecting
one of the ZIG-ZAG endpoint structures as the base structure of the next LMOD iteration. The selection is based
on the mc_option and the Boltzmann probability. The LMOD pseudo simulation-path is defined by the series
of these mc_option-selected structures and it is stored in lmod_traj[]. Note that the sample program saves these
structures in a multi- PDB disk file called lmod_trajectory.pdb. The final section of the screen output lists the nconf
lowest energy structures found during the LMOD search. Note that some of the lowest energy structures are not
necessarily included in the lmod_traj[] list, as it depends on the mc_option selection. The list displays the energy,
the number of times a particular conformation was found (increasing numbers are somewhat indicative of a more
complete search), and the radius of gyration. The glob. min. energy is printed from the sample NAB program,
not from LMOD. The sample program in $AMBERHOME/AmberTools/examples/nab/lmod_dock shows how one
could write the top ten low-energy structures in separate, numbered PDB files.
As a final note, it is instructive to be aware of a simple safeguard that LMOD applies . A copy of the conflib[]
array is saved periodically in a binary disk file called conflib.dat. Since LMOD searches might run for a long time,
in case of a crash low-energy structures can be recovered from this file. The format of conflib.dat is as follows.
Each conformation is represented by 3 numbers (double energy, double radius of gyration, and int number of times
found), followed by the double (x, y, z) coordinates of the atoms.
37.5.7. Tricks of the trade of running LMOD searches
1. The AMBER atom types HO, HW, and ho all have zero van der Waals parameters in all of the AMBER
(and some other) force fields. Corresponding Aij and Bij coefficients in the PRMTOP file are set to zero.
This means there is no repulsive wall to prevent two oppositely charged atoms, one being of type HO,
726
37.6. Using the Hierarchical Charge Partitioning (HCP) method
HW or ho, to fuse as a result of the ever decreasing electrostatic energy as they come closer and closer to
each other. This potential problem is rarely manifest in molecular dynamics simulations, but it presents
a nuisance when running LMOD searches. The problem is local minimization, especially "aggressive"
TNCG minimization (XMIN xo.method=3) that can easily result in atom fusion. Therefore, before running
an LMOD simulation, the PRMTOP file (let’s call it prmtop.in) must be processed by running the script
"lmodprmtop prmtop.in prmtop.out". This script will replace all the repulsive Aij coefficients set to zero
in prmtop.in with a high value of 1e03 in prmtop.out in order to re-create the van der Waals wall. It is
understood that this procedure is parameter fudging; however, note that the primary goal of using LMOD
is the quick generation of approximate, low-energy structures that can be further refined by high-accuracy
MD.
2. LMOD requires that the potential energy surface is continuous everywhere to a great degree. Therefore,
always use a distance dependent dielectric constant in mm_options when running searches in vacuo, or use
GB solvation (note that GB calculations will be slow), and always apply a large cut-off. It does make sense to
run quick and dirty LMOD searches in vacuo to generate low-energy starting structures for MD runs. Note
that the most likely symptom of discontinuities causing a problem is when your NAB program utilizing
LMOD is grabbing CPU time, but the LMOD search does not seem to progress. This is the result of NaN’s
that often can be seen when print_level is set to >0.
3. LMOD is NOT INTENDED to be used with explicit water models and periodic boundary conditions. Al-
though explicit-water solvation representation is not recommended, LMOD docking can be readily used with
crystallographic water molecules as ligands.
4. Conformations in the conflib and lmod_trajectory files can have very different orientations. One trick to
keep them in a common orientation is to restrain the position of, e.g., a single benzene ring. This will ensure
that the molecule cannot be translated or rotated as a whole. However, when applying this trick you should
set nrotran_dof = 0.
5. A subset of the atoms of a molecular system can be frozen or tethered/restrained in NAB by two different
methods. Atoms can either be frozen by using the first atom expression argument in mme_init() or restrained
by using the second atom expression argument and the reference coordinate array in mme_init() along with
the wcons option in mm_options. LMOD searches, especially docking calculations can be run much faster
if parts of the molecular system can be frozen, because the effective degrees of freedom is determined by
the size of the flexible part of the system. Application of frozen atoms means that a much smaller number
of moving atoms are moving in the fixed, external potential of the frozen atoms. The tethered atom model
is expected to give similar results to the frozen atom model, but note that the number of degrees of freedom
and, therefore, the computational cost of a tethered calculation is comparable to that of a fully unrestrained
system. However, the eigenvector calculations are likely to converge faster with the tethered systems.
37.6. Using the Hierarchical Charge Partitioning (HCP) method
The HCP is an N log N approximation for computing long range electrostatic interactions [560,561]. This
method uses the natural organization of biomolecular structures to partition the structure into multiple hierarchical
levels of components - atoms, groups, chains, and complexes. The charge distribution for each of these compo-
nents is approximated by 1 (hcp=1) or 2 (hcp=2) charges. The approximate charges are then used for computing
electrostatic interactions with distant components while the full set of atomic charges are used for nearby compo-
nents (Figure 17.1). The HCP can be used for gas phase (dielec=C), distant dependent dielectric (dielec=R/RL),
and generalized Born (gb=1-5) simulations with or without Langevin dynamics (gamma_ln>0). The speedup from
using the HCP for MD can be up to 3 orders of magnitude, depending on structure size.
37.6.1. Level 1 HCP approximation
The HCP option can now be used with one level of approximation (groups) using the NAB molecular dynamics
scripts described in Section 37.3 above. No additional manipulation of the input structure files is required for one
727

37. NAB: Molecular mechanics and dynamics
Figure 37.1.: The HCP threshold distance. For the level 1 approximation shown here, groups within the threshold
distance are treated exactly using atomic charges, while groups beyond the threshold distance are
approximated by a small number of charges, e.g. 1 charge for hcp=1 shown here.
++
+
+
+
+
+
+
+
+
+
+ +
+
+
+
++
= Point of interest
= Threshold distance
= Geometric center of groups
= Groups treated exactly
= Groups treated approximately
+
+
level of approximation. For an example see AmberTools/examples/hcp/2trx.nab. The level 1 approximation is
recommended for single domain and small (< 10,000 atoms) multi-domain structures. Speedups of 2x-10x can be
realized using the level 1 approximation, depending on structure size.
37.6.2. Level 2 and 3 HCP approximation
For larger multi-domain structures higher levels of approximations (chains and complexes) can be used to
achieve up to 3 orders of magnitude speedups, depending on structure size. The following additional steps are
required to include information about these higher level components in the prmtop file. For an example see Am-
berTools/examples/hcp/1kx5.nab.
1. Ensure the pdb file identifies the higher level structures: Chains (level 2) separated by TER, and Complexes
(level 3) separated by REMARK END-OF-COMPLEX:
...
ATOM ...
TER (end of chain)
ATOM ...
...
ATOM ...
TER (end of chain)
REMARK END-OF-COMPLEX
ATOM ...
2. Execute hcp_getpdb to generate prmtop entries for HCP: hcp_getpdb pdb-filename > hcp-prmtop
3. Concatenate the HCP prmtop entries to the end of the standard prmtop file generated by Leap: cat prmtop-file
hcp-prmtop > new-prmtop
4. Use this new prmtop file in the NAB molecular dynamics scripts instead of the prmtop file generated by
Leap
728
38. NAB: Sample programs
This chapter provides a variety of examples that use the basic NAB functionality described in earlier chapters to
solve interesting molecular manipulation problems. Our hope is that the ideas and approaches illustrated here will
facilitate construction of similar programs to solve other problems.
38.1. Duplex Creation Functions
nab provides a variety of functions for creating Watson/Crick duplexes. A short description of four of them is
given in this section. All four of these functions are written in nab and the details of their implementation is
covered in the section Creating Watson/Crick Duplexes of the User Manual. You should also look at the
function fd_helix() to see how to create duplex helices that correspond to fibre-diffraction models. As with the
PERL language, "there is more than one way to do it."
molecule bdna( string seq );
string wc_complement( string seq, string rlib, string rlt );
molecule wc_helix( string seq, string rlib, string natype, string cseq, string crlib,
string cnatype, float xoffset, float incl, float twist, float rise, string options );
molecule dg_helix( string seq, string rlib, string natype,
string cseq, string crlib, string cnatype, float xoffset, float incl, float twist, float rise,
string options );
molecule wc_basepair( residue res, residue cres );
bdna() converts the character string seq containing one or more A,C,Gor Ts (or their lower case equivalents)
into a uniform ideal Watson/Crick B-form DNA duplex. Each basepair has an X-offset of 2.25 Å, an inclination
of -4.96 Å and a helical step of 3.38 Å rise and 36.0o twist. The first character of seq is the 5’ base of the strand
"sense" of the molecule returned by bdna(). The other strand is called "anti". The phosphates of the two 5’ bases
have been replaced by hydrogens and and hydrogens have been added to the two O3’ atoms of the three prime
bases. bdna() returns NULL if it can not create the molecule.
wc_complement() returns a string that is the Watson/Crick complement of its argument seq. Each C,G,T(U) in
seq is replaced by G,Cand A. The replacements for Adepends if rlt is DNA or RNA. If it is DNA, Ais replaced
by T. If it is RNA Ais replaced by U.wc_complement() considers lower case and upper case letters to be the same
and always returns upper case letters. wc_complement() returns NULL on error. Note that the while the orientations
of the argument string and the returned string are opposite, their absolute orientations are undefined until they are
used to create a molecule.
wc_helix() creates a uniform duplex from its arguments. The two strands of the returned molecule are called
"sense" and "anti". The two sequences, seq and cseq must specify Watson/Crick base pairs. Note the that must
be specified as lower-case strings, such as "ggact". The nucleic acid type ( DNA or RNA ) of the sense strand
is specified by natype and of the complementary strand cseq by cnatype. Two residue libraries—rlib and crlib—
permit creation of DNA:RNA heteroduplexes. If either seq or cseq (but not both) is NULL only the specified
strand of what would have been a uniform duplex is created. The options string contains some combination of the
strings "s5", "s3", "a5" and "a3"; these indicate which (if any) of the ends of the helices should be "capped" with
hydrogens attached to the O5’ atom (in place of a phosphate) if "s5" or "a5" is specified, and a proton added to the
O3’ position if "s3" or "a3" is specified. A blank string indicates no capping, which would be appropriate if this
section of helix were to be inserted into a larger molecule. The string "s5a5s3a3" would cap the 5’ and 3’ ends of
both the "sense" and "anti" strands, leading to a chemically complete molecule. wc_helix() returns NULL on error.
dg_helix() is the functional equivalent of wc_helix() but with the backbone geometry minimized via a distance
constraint error function. dg_helix() takes the same arguments as wc_helix().
729
38. NAB: Sample programs
wc_basepair() assembles two nucleic acid residues (assumed to be in a standard orientation) into a two stranded
molecule containing one Watson/Crick base pair. The two strands of the new molecule are "sense" and "anti". It
returns NULL on error.
38.2. nab and Distance Geometry
Distance geometry is a method which converts a molecule represented as a set of interatomic distances and
related information into a 3-D structure. nab has several builtin functions that are used together to provide metric
matrix distance geometry. nab also provides the bounds type for holding a molecule’s distance geometry informa-
tion. A bounds object contains the molecule’s interatomic distance bounds matrix and a list of its chiral centers
and their volumes. nab uses chiral centers with a volume of 0to enforce planarity.
Distance geometry has several advantages. It is unique in its power to create structures from very incomplete
descriptions. It easily incorporates “low resolution structural data” such as that derived from chemical probing
since these kinds of experiments generally return only distance bounds. And it also provides an elegant method by
which structures may be described functionally.
The nab distance geometry package is described more fully in the section NAB Language Reference. Gener-
ally, the function newbounds() creates and returns a bounds object corresponding to the molecule mol. This object
contains two things—a distance bounds matrix containing initial upper and lower bounds for every pair of atoms in
mol and a initial list of the molecules chiral centers and their volumes. Once a bounds object has been initialized,
the modeller uses functions from the middle of the distance geometry function list to tighten, loosen or set other
distance bounds and chiralities that correspond to experimental measurements or parts of the model’s hypothesis.
The four functions andbounds(),orbounds(),setbounds and useboundsfrom() work in similar fashion. Each uses
two atom expressions to select pairs of atoms from mol. In andbounds(), the current distance bounds of each pair
are compared against lb and ub and are replaced by lb,ub if they represent tighter bounds. orbounds() replaces the
current bounds of each selected pair, if lb,ub represent looser bounds. setbounds() sets the bounds of all selected
pairs to lb,ub.useboundsfrom() sets the bounds between each atom selected in the first expression to a percentage
of the distance between the atoms selected in the second atom expression. If the two atom expressions select the
same atoms from the same molecule, the bounds between all the atoms selected will be constrained to the current
geometry. setchivol() takes four atom expressions that must select exactly four atoms and sets the volume of the
tetrahedron enclosed by those atoms to vol. Setting vol to 0forces those atoms to be planar. getchivol() returns the
chiral volume of the tetrahedron described by the four points.
After all experimental and model constraints have been entered into the bounds object, the function tsmooth()
applies a process called “triangle smoothing” to them. This tests each triple of distance bounds to see if they can
form a triangle. If they can not form a triangle then the distance bounds do not even represent a Euclidean object
let alone a 3-D one. If this occurs, tsmooth() quits and returns a 1indicating failure. If all triples can form triangles,
tsmooth() returns a 0. Triangle smoothing pulls in the large upper bounds. After all, the maximum distance between
two atoms can not exceed the sum of the upper bounds of the shortest path between them. Triangle smoothing can
also increase lower bounds, but this process is much less effective as it requires one or more large lower bounds to
begin with.
The function embed() takes the smoothed bounds and converts them into a 3-D object. This process is called
“embedding”. It does this by choosing a random distance for each pair of atoms within the bounds of that pair.
Sometimes the bounds simply do not represent a 3-D object and embed() fails, returning the value 1. This is rare
and usually indicates the that the distance bounds matrix part of the bounds object contains errors. If the distance
set does embed, conjgrad() can subject newly embedded coordinates to conjugate gradient refinement against the
distance and chirality information contained in bounds. The refined coordinates can replace the current coordinates
of the molecule in mol.embed() returns a 0on success and conjgrad() returns an exit code explained further in
the Language Reference section of this manual. The call to embed() is usually placed in a loop with each new
structure saved after each call to see the diversity of the structures the bounds represent.
In addition to the explicit bounds manipulation functions, nab provides an implicit way of setting bounds be-
tween interacting residues. The function setboundsfromdb() is for use in creating distance and chirality bounds for
nucleic acids. setboundsfromdb() takes as an argument two atom expressions selecting two residues, the name of
a database containing bounds information, and a number which dictates the tightness of the bounds. For instance,
730

38.2. nab and Distance Geometry
if the database bdna.stack.db is specified, setboundsfromdb() sets the bounds between the two residues to what
they would be if they were stacked in strand in a typical Watson-Crick B-form duplex. Similarly, if the database
arna.basepair.db is specified, setboundsfromdb() sets the bounds between the two residues to what they would be
if the two residues form a typical Watson-Crick basepair in an A-form helix.
38.2.1. Refine DNA Backbone Geometry
As mentioned previously, wc_helix() performs rigid body transformations on residues and does not correct for
poor backbone geometry. Using distance geometry, several techniques are available to correct the backbone geom-
etry. In program 7, an 8-basepair dna sequence is created using wc_helix(). A new bounds object is created on line
14, which automatically sets all the 1-2, 1-3, and 1-4 distance bounds information according the geometry of the
model. Since this molecule was created using wc_helix(), the O3’-P distance between adjacent stacked residues is
often not the optimal 1.595 ˚, and hence, the 1-2, 1-3, and 1-4, distance bounds set by newbounds() are incorrect.
We want to preserve the position of the nucleotide bases, however, since this is the helix whose backbone we
wish to minimize. Hence the call to useboundsfrom() on line 17 which sets the bounds from every atom in each
nucleotide base to the actual distance to every other atom in every other nucleotide base. In general, the likelihood
of a distance geometry refinement to satisfy a given bounds criteria is proportional to the number of ( consistent )
bounds set supporting that criteria. In other words, the more bounds that are set supporting a given conformation,
the greater the chance that conformation will resolve after the refinement. An example of this concept is the use of
useboundsfrom() in line 17, which works to preserve our rigid helix conformation of all the nucleotide base atoms.
We can correct the backbone geometry by overwriting the erroneous bounds with more appropriate bounds. In
lines 19-29, all the 1-2, 1-3, and 1-4 bounds involving the O3’-P connection between strand 1 residues are set to
that which would be appropriate for an idealized phosphate linkage. Similarly, in lines 31-41, all the 1-2, 1-3, and
1-4 bounds involving the O3’-P connection among strand 2 residues are set to an idealized conformation. This
technique is effective since all the 1-2, 1-3, and 1-4 distance bounds created by newbounds() include those of
the idealized nucleotides in the nucleic acid libraries dna.amber94.rlb,rna.amber94.rlb,etc. contained in reslib.
Hence, by setting these bounds and refining against the distance energy function, we are spreading the ’error’ across
the backbone, where the ’error’ is the departure from the idealized sugar conformation and idealized phosphate
linkage.
On line 43, we smooth the bounds matrix, and on line 44 we give a substantial penalty for deviating from a 3-D
refinement by setting k4d=4.0. Notice that there is no need to embed the molecule in this program, as the actual
coordinates are sufficient for any refinement.
1// Program 7 - refine backbone geometry using distance function
2molecule m;
3bounds b;
4string seq, cseq;
5int i;
6float xyz[ dynamic ], fret;
7
8seq = "acgtacgt";
9cseq = wc_complement( "acgtacgt", "", "dna" );
10
11 m = wc_helix( seq, "", "dna", cseq, "",
12 "dna", 2.25, -4.96, 36.0, 3.38, "" );
13
14 b = newbounds(m, "");
15 allocate xyz[ 4*m.natoms ];
16
17 useboundsfrom(b, m, "::??,H?[^T’]", m, "::??,H?[^T’]", 0.0 );
18 for ( i = 1; i < m.nresidues/2 ; i = i + 1 ){
19 setbounds(b,m, sprintf("1:%d:O3’",i),
20 sprintf("1:%d:P",i+1), 1.595,1.595);
21 setbounds(b,m, sprintf("1:%d:O3’",i),
22 sprintf("1:%d:O5’",i+1), 2.469,2.469);
731

38. NAB: Sample programs
23 setbounds(b,m, sprintf("1:%d:C3’",i),
24 sprintf("1:%d:P",i+1), 2.609,2.609);
25 setbounds(b,m, sprintf("1:%d:O3’",i),
26 sprintf("1:%d:O1P",i+1), 2.513,2.513);
27 setbounds(b,m, sprintf("1:%d:O3’",i),
28 sprintf("1:%d:O2P",i+1), 2.515,2.515);
29 setbounds(b,m, sprintf("1:%d:C4’",i),
30 sprintf("1:%d:P",i+1), 3.550,4.107);
31 setbounds(b,m, sprintf("1:%d:C2’",i),
32 sprintf("1:%d:P",i+1), 3.550,4.071);
33 setbounds(b,m, sprintf("1:%d:C3’",i),
34 sprintf("1:%d:O1P",i+1), 3.050,3.935);
35 setbounds(b,m, sprintf("1:%d:C3’",i),
36 sprintf("1:%d:O2P",i+1), 3.050,4.004);
37 setbounds(b,m, sprintf("1:%d:C3’",i),
38 sprintf("1:%d:O5’",i+1), 3.050,3.859);
39 setbounds(b,m, sprintf("1:%d:O3’",i),
40 sprintf("1:%d:C5’",i+1), 3.050,3.943);
41
42 setbounds(b,m, sprintf("2:%d:P",i+1),
43 sprintf("2:%d:O3’",i), 1.595,1.595);
44 setbounds(b,m, sprintf("2:%d:O5’",i+1),
45 sprintf("2:%d:O3’",i), 2.469,2.469);
46 setbounds(b,m, sprintf("2:%d:P",i+1),
47 sprintf("2:%d:C3’",i), 2.609,2.609);
48 setbounds(b,m, sprintf("2:%d:O1P",i+1),
49 sprintf("2:%d:O3’",i), 2.513,2.513);
50 setbounds(b,m, sprintf("2:%d:O2P",i+1),
51 sprintf("2:%d:O3’",i), 2.515,2.515);
52 setbounds(b,m, sprintf("2:%d:P",i+1),
53 sprintf("2:%d:C4’",i), 3.550,4.107);
54 setbounds(b,m, sprintf("2:%d:P",i+1),
55 sprintf("2:%d:C2’",i), 3.550,4.071);
56 setbounds(b,m, sprintf("2:%d:O1P",i+1),
57 sprintf("2:%d:C3’",i), 3.050,3.935);
58 setbounds(b,m, sprintf("2:%d:O2P",i+1),
59 sprintf("2:%d:C3’",i), 3.050,4.004);
60 setbounds(b,m, sprintf("2:%d:O5’",i+1),
61 sprintf("2:%d:C3’",i), 3.050,3.859);
62 setbounds(b,m, sprintf("2:%d:C5’",i+1),
63 sprintf("2:%d:O3’",i), 3.050,3.943);
64 }
65 tsmooth( b, 0.0005 );
66 dg_options(b, "seed=33333, gdist=0, ntpr=100, k4d=4.0" );
67 setxyzw_from_mol( m, NULL, xyz );
68 conjgrad( xyz, 4*m.natoms, fret, db_viol, 0.1, 10., 500 );
69 setmol_from_xyzw( m, NULL, xyz );
70 putpdb( "acgtacgt.pdb", m );
The approach of Program 7 is effective but has a disadvantage in that it does not scale linearly with the number
of atoms in the molecule. In particular, tsmooth() and conjgrad() require extensive CPU cycles for large numbers
of residues. For this reason, the function dg_helix() was created. dg_helix() takes uses the same method of Program
7, but employs a 3-basepair helix template which traverses the new helix as it is being constructed. In this way,
the helix is built in a piecewise manner and the maximum number of residues considered in each refinement is less
than or equal to six. This is the preferred method of helix construction for large, idealized canonical duplexes.
732

38.2. nab and Distance Geometry
5’- -3’
5’- -3’
Figure 38.1.: Single-stranded RNA (top) folded into a pseudoknot (bottom). The black and dark grey base pairs
can be stacked.
38.2.2. RNA Pseudoknots
In addition to the standard helix generating functions, nab provides extensive support for generating initial
structures from low structural information. As an example, we will describe the construction of a model of an RNA
pseudoknot based on a small number of secondary and tertiary structure descriptions. Shen and Tinoco (J. Mol.
Biol. 247, 963-978, 1995) used the molecular mechanics program X-PLOR to determine the three dimensional
structure of a 34 nucleotide RNA sequence that folds into a pseudoknot. This pseudoknot promotes frame shifting
in Mouse Mammary Tumor Virus. A pseudoknot is a single stranded nucleic acid molecule that contains two
improperly nested hairpin loops as shown in Figure 38.1. NMR distance and angle constraints were converted
into a three dimensional structure using a two stage restrained molecular dynamics protocol. Here we show how a
three-dimensional model can be constructed using just a few key features derived from the NMR investigation.
1// Program 8 - create a pseudoknot using distance geometry
2molecule m;
3float xyz[ dynamic ],f[ dynamic ],v[ dynamic ];
4bounds b;
5int i, seqlen;
6float fret;
7string seq, opt;
8
9seq = "GCGGAAACGCCGCGUAAGCG";
10
11 seqlen = length(seq);
12
13 m = link_na("1", seq, "", "RNA", "35");
14
15 allocate xyz[ 4*m.natoms ];
16 allocate f[ 4*m.natoms ];
17 allocate v[ 4*m.natoms ];
18
19 b = newbounds(m, "");
20
21 for(i=1;i<=seqlen;i=i+1){
22 useboundsfrom(b, m, sprintf("1:%d:??,H?[^’T]", i), m,
23 sprintf("1:%d:??,H?[^’T]", i), 0.0 );
24 }
25
26 setboundsfromdb(b, m, "1:1:", "1:2:", "arna.stack.db", 1.0);
27 setboundsfromdb(b, m, "1:2:", "1:3:", "arna.stack.db", 1.0);
28 setboundsfromdb(b, m, "1:3:", "1:18:", "arna.stack.db", 1.0);
29 setboundsfromdb(b, m, "1:18:", "1:19:", "arna.stack.db", 1.0);
30 setboundsfromdb(b, m, "1:19:", "1:20:", "arna.stack.db", 1.0);
31
32 setboundsfromdb(b, m, "1:8:", "1:9:", "arna.stack.db", 1.0);
733

38. NAB: Sample programs
33 setboundsfromdb(b, m, "1:9:", "1:10:", "arna.stack.db", 1.0);
34 setboundsfromdb(b, m, "1:10:", "1:11:", "arna.stack.db", 1.0);
35 setboundsfromdb(b, m, "1:11:", "1:12:", "arna.stack.db", 1.0);
36 setboundsfromdb(b, m, "1:12:", "1:13:", "arna.stack.db", 1.0);
37
38 setboundsfromdb(b, m, "1:1:", "1:13:", "arna.basepair.db", 1.0);
39 setboundsfromdb(b, m, "1:2:", "1:12:", "arna.basepair.db", 1.0);
40 setboundsfromdb(b, m, "1:3:", "1:11:", "arna.basepair.db", 1.0);
41
42 setboundsfromdb(b, m, "1:8:", "1:20:", "arna.basepair.db", 1.0);
43 setboundsfromdb(b, m, "1:9:", "1:19:", "arna.basepair.db", 1.0);
44 setboundsfromdb(b, m, "1:10:", "1:18:", "arna.basepair.db", 1.0);
45
46 tsmooth(b, 0.0005);
47
48 opt = "seed=571, gdist=0, ntpr=50, k4d=2.0, randpair=5., sqviol=1";
49 dg_options( b, opt );
50 embed(b, xyz );
51
52 conjgrad( xyz, 4*m.natoms, fret, db_viol, 0.1, 10., 500 );
53
54 setmol_from_xyzw( m, NULL, xyz );
55 putpdb( "rna_pseudoknot.pdb", m );
Program 8 uses distance geometry followed by minimization and simulated annealing to create a model of a
pseudoknot. Distance geometry code begins in line 20 with the call to newbounds() and ends on line 53 with the
call to embed(). The structure created with distance geometry is further refined with molecular dynamics in lines
58-74. Note that very little structural information is given - only connectivity and general base-base interactions.
The stacking and base-pair interactions here are derived from NMR evidence, but in other cases might arise from
other sorts of experiments, or as a model hypothesis to be tested.
The 20-base RNA sequence is defined on line 9. The molecule itself is created with the link_na() function call
which creates an extended conformation of the RNA sequence and caps the 5’ and 3’ ends. Lines 15-17 define
arrays that will be used in the simulated annealing of the structure. The bounds object is created in line 19 which
automatically sets the 1-2, 1-3, and 1-4 distance bounds in the molecule. The loop in lines 21-24 sets the bounds
of each atom in each residue base to the actual distance to every other atom in the same base. This has the effect of
enforcing the planarity of the base by treating the base somewhat like a rigid body. In lines 26-44, bounds are set
according to information stored in a database. The setboundsfromdb() call sets the bounds from all the atoms in the
two specified residues to a 1.0 multiple of the standard deviation of the bounds distances in the specified database.
Specifically, line 26 sets the bounds between the base atoms of the first and second residues of strand 1 to be within
one standard deviation of a typical aRNA stacked pair. Similarly, line 38 sets the bounds between residues 1 and
13 to be that of typical Watson-Crick basepairs. For a description of the setboundsfromdb() function, see Chapter
1.
Line 46 smooths the bounds matrix, by attempting to adjust any sets of bounds that violate the triangle equality.
Lines 48-49 initialize some distance geometry variables by setting the random number generator seed, declaring
the type of distance distribution, how often to print the energy refinement process, declaring the penalty for using
a 4th dimension in refinement, and which atoms to use to form the initial metric matrix. The coordinates are
calculated and embedded into a 3D coordinate array, xyz by the embed() function call on line 50.
The coordinates xyz are subject to conjugate gradient refinements in line 52. Line 54 replaces the old molecular
coordinates with the new refined ones, and lastly, on line 55, the molecule is saved as "rna_pseudoknot.pdb".
The resulting structure of Program 8 is shown in Figure 38.2. This structure had an final total energy of 46
units. The helical region, shown as polytubes, shows stacking and wc-pairing interactions and a well-defined right-
handed helical twist. Of course, good modeling of a "real" pseudoknot would require putting in more constraints,
but this example should illustrate how to get started on problems like this.
734

38.2. nab and Distance Geometry
Figure 38.2.: Folded RNA pseudoknot.
38.2.3. NMR refinement for a protein
Distance geometry techniques are often used to create starting structures in NMR refinement. Here, in addition
to the covalent connections, one makes use of a set of distance and torsional restraints derived from NMR data.
While NAB is not (yet?) a fully-functional NMR refinement package, it has enough capabilities to illustrate the
basic ideas, and could be the starting point for a flexible procedure. Here we give an illustration of how the rough
structure of a protein can be determined using distance geometry and NMR distance constraints; the structures
obtained here would then be candidates for further refinement in programs like X-plor or Amber.
The program below illustrates a general procedure for a primarily helical DNA binding domain. Lines 15-22
just construct the sequence in an extended conformation, such that bond lengths and angles are correct, but none
of the torsions are correct. The bond lengths and angles are used by newbounds() to construct the "covalent" part
of the bounds matrix.
1// Program 8a. General driver routine to do distance geometry \fC
2// on proteins, with DYANA-like distance restraints.\fC
3
4#define MAXCOORDS 12000
5
6molecule m;
7atom a;
8bounds b;
9int ier,i, numstrand, ires,jres;
10 float fret, rms, ub;
11 float xyz[ MAXCOORDS ], f[ MAXCOORDS ], v[ MAXCOORDS ];
12 file boundsf;
13 string iresname,jresname,iat,jat,aex1,aex2,aex3,aex4,line,dgopts,seq;
14
15 // sequence of the mrf2 protein:
16 seq = "RADEQAFLVALYKYMKERKTPIERIPYLGFKQINLWTMFQAAQKLGGYETITARRQWKHIY"
17 + "DELGGNPGSTSAATCTRRHYERLILPYERFIKGEEDKPLPPIKPRK";
735

38. NAB: Sample programs
18
19 // build this sequence in an extended conformation, and construct a bounds
20 // matrix just based on the covalent structure:
21 m = linkprot( "A", seq, "" );
22 b = newbounds( m, "" );
23
24 // read in constraints, updating the bounds matrix using "andbounds":
25
26 // distance constraints are basically those from Y.-C. Chen, R.H. Whitson
27 // Q. Liu, K. Itakura and Y. Chen, "A novel DNA-binding motif shares
28 // structural homology to DNA replication and repair nucleases and
29 // polymerases," Nature Sturct. Biol. 5:959-964 (1998).
30
31 boundsf = fopen( "mrf2.7col", "r" );
32 while( line = getline( boundsf ) ){
33 sscanf( line, "%d %s %s %d %s %s %lf", ires, iresname, iat,
34 jres, jresname, jat, ub );
35
36 // translations for DYANA-style pseudoatoms:
37 if( iat == "HN" ){ iat = "H"; }
38 if( jat == "HN" ){ jat = "H"; }
39
40 if( iat == "QA" ){ iat = "CA"; ub += 1.0; }
41 if( jat == "QA" ){ jat = "CA"; ub += 1.0; }
42 if( iat == "QB" ){ iat = "CB"; ub += 1.0; }
43 if( jat == "QB" ){ jat = "CB"; ub += 1.0; }
44 if( iat == "QG" ){ iat = "CG"; ub += 1.0; }
45 if( jat == "QG" ){ jat = "CG"; ub += 1.0; }
46 if( iat == "QD" ){ iat = "CD"; ub += 1.0; }
47 if( jat == "QD" ){ jat = "CD"; ub += 1.0; }
48 if( iat == "QE" ){ iat = "CE"; ub += 1.0; }
49 if( jat == "QE" ){ jat = "CE"; ub += 1.0; }
50 if( iat == "QQG" ){ iat = "CB"; ub += 1.8; }
51 if( jat == "QQG" ){ jat = "CB"; ub += 1.8; }
52 if( iat == "QQD" ){ iat = "CG"; ub += 1.8; }
53 if( jat == "QQD" ){ jat = "CG"; ub += 1.8; }
54 if( iat == "QG1" ){ iat = "CG1"; ub += 1.0; }
55 if( jat == "QG1" ){ jat = "CG1"; ub += 1.0; }
56 if( iat == "QG2" ){ iat = "CG2"; ub += 1.0; }
57 if( jat == "QG2" ){ jat = "CG2"; ub += 1.0; }
58 if( iat == "QD1" ){ iat = "CD1"; ub += 1.0; }
59 if( jat == "QD1" ){ jat = "CD1"; ub += 1.0; }
60 if( iat == "QD2" ){ iat = "ND2"; ub += 1.0; }
61 if( jat == "QD2" ){ jat = "ND2"; ub += 1.0; }
62 if( iat == "QE2" ){ iat = "NE2"; ub += 1.0; }
63 if( jat == "QE2" ){ jat = "NE2"; ub += 1.0; }
64
65 aex1 = ":" + sprintf( "%d", ires) + ":" + iat;
66 aex2 = ":" + sprintf( "%d", jres) + ":" + jat;
67 andbounds( b, m, aex1, aex2, 0.0, ub );
68 }
69 fclose( boundsf );
70
71 // add in helical chirality constraints to force right-handed helices:
72 // (hardwire in locations 1-16, 36-43, 88-92)
73 for( i=1; i<=12; i++){
74 aex1 = ":" + sprintf( "%d", i ) + ":CA";
736

38.2. nab and Distance Geometry
75 aex2 = ":" + sprintf( "%d", i+1 ) + ":CA";
76 aex3 = ":" + sprintf( "%d", i+2 ) + ":CA";
77 aex4 = ":" + sprintf( "%d", i+3 ) + ":CA";
78 setchivol( b, m, aex1, aex2, aex3, aex4, 7.0 );
79 }
80 for( i=36; i<=39; i++){
81 aex1 = ":" + sprintf( "%d", i ) + ":CA";
82 aex2 = ":" + sprintf( "%d", i+1 ) + ":CA";
83 aex3 = ":" + sprintf( "%d", i+2 ) + ":CA";
84 aex4 = ":" + sprintf( "%d", i+3 ) + ":CA";
85 setchivol( b, m, aex1, aex2, aex3, aex4, 7.0 );
86 }
87 for( i=88; i<=89; i++){
88 aex1 = ":" + sprintf( "%d", i ) + ":CA";
89 aex2 = ":" + sprintf( "%d", i+1 ) + ":CA";
90 aex3 = ":" + sprintf( "%d", i+2 ) + ":CA";
91 aex4 = ":" + sprintf( "%d", i+3 ) + ":CA";
92 setchivol( b, m, aex1, aex2, aex3, aex4, 7.0 );
93 }
94
95 // set up some options for the distance geometry calculation
96 // here use the random embed method:
97 dgopts = "ntpr=10000,rembed=1,rbox=300.,riter=250000,seed=8511135";
98 dg_options( b, dgopts );
99
100 // do triangle-smoothing on the bounds matrix, then embed:
101 geodesics( b ); embed( b, xyz );
102
103 // now do conjugate-gradient minimization on the resulting structures:
104
105 // first, weight the chirality constraints heavily:
106 dg_options( b, "ntpr=20, k4d=5.0, sqviol=0, kchi=50." );
107 conjgrad( xyz, 4*m.natoms, fret, db_viol, 0.02, 1000., 300 );
108
109 // next, squeeze out the fourth dimension, and increase penalties for
110 // distance violations:
111 dg_options( b, "k4d=10.0, sqviol=1, kchi=50." );
112 conjgrad( xyz, 4*m.natoms, fret, db_viol, 0.02, 100., 400 );
113
114 // transfer the coordinates from the "xyz" array to the molecule
115 // itself, and print out the violations:
116 setmol_from_xyzw( m, NULL, xyz );
117 dumpboundsviolations( stdout, b, 0.5 );
118
119 // do a final short molecular-mechanics "clean-up":
120 putpdb( m, "temp.pdb" );
121 m = getpdb_prm( "temp.pdb", "leaprc.ff99SB", "", 0 );
122 setxyz_from_mol( m, NULL, xyz );
123
124 mm_options( "cut=10.0" );
125 mme_init( m, NULL, "::ZZZ", xyz, NULL );
126 conjgrad( xyz, 3*m.natoms, fret, mme, 0.02, 100., 200 );
127 setmol_from_xyz( m, NULL, xyz );
128 putpdb( argv[3] + ".mm.pdb", m );
Once the covalent bounds are created, the the bounds matrix is modified by constraints constructed from an
NMR analysis program. This particular example uses the format of the DYANA program, but NAB could be
737
38. NAB: Sample programs
easily modified to read in other formats as well. Here are a few lines from the mrf2.7col file:
1 ARG+ QB 2 ALA QB 7.0
4 GLU- HA 93 LYS+ QB 7.0
5 GLN QB 8 LEU QQD 9.9
5 GLN HA 9 VAL QQG 6.4
85 ILE HA 92 ILE QD1 6.0
5 GLN HN 1 ARG+ O 2.0
5 GLN N 1 ARG+ O 3.0
6 ALA HN 2 ALA O 2.0
6 ALA N 2 ALA O 3.0
The format should be self-explanatory, with the final number giving the upper bound. Code in lines 31-69 reads
these in, and translates pseudo-atom codes like "QQD" into atom names. Lines 71-93 add in chirality constraints to
ensure right-handed alpha-helices: distance constraints alone do not distinguish chirality, so additions like this are
often necessary. The "actual" distance geometry steps take place in line 101, first by triangle-smoothing the bounds,
then by embedding them into a three-dimensional object. The structures at this point are actually generally quite
bad, so "real-space" refinement is carried out in lines 103-112, and a final short molecular mechanics minimization
in lines 119-126.
It is important to realize that many of the structures for the above scheme will get "stuck", and not lead to good
structures for the complex. Helical proteins are especially difficult for this sort of distance geometry, since helices
(or even parts of helices) start out left-handed, and it is not always possible to easily convert these to right-handed
structures. For this particular example, (using different values for the seed in line 97), we find that about 30-40%
of the structures are "acceptable", in the sense that further refinement in Amber yields good structures.
38.3. Building Larger Structures
While the DNA duplex is locally rather stiff, many DNA molecules are sufficiently long that they can be bent
into a wide variety of both open and closed curves. Some examples would be simple closed circles, supercoiled
closed circles that have relaxed into circles with twists and the nucleosome core fragment where the duplex itself
is wound into a short helix. This section shows how nab can be used to “wrap” DNA around a curve. Three
examples are provided: the first produces closed circles with or without supercoiling, the second creates a simple
model of the nucleosome core fragment and the third shows how to wind a duplex around a more arbitrary open
curve specified as a set of points. The examples are fairly general but do require that the curves be relatively
smooth so that the deformation from a linear duplex at each step is small.
Before discussing the examples and the general approach they use, it will be helpful to define some terminology.
The helical axis of a base pair is the helical axis defined by an ideal B-DNA duplex that contains that base pair.
The base pair plane is the mean plane of both bases. The origin of a base pair is at the intersection the base pair’s
helical axis and its mean plane. Finally the rise is the distance between the origins of adjacent base pairs.
The overall strategy for wrapping DNA around a curve is to create the curve, find the points on the curve that
contain the base pair origins, place the base pairs at these points, oriented so that their helical axes are tangent to
the curve and finally rotate the base pairs so that they have the correct helical twist. In all the examples below, the
points are chosen so that the rise is constant. This is by no means an absolute requirement, but it does simplify
the calculations needed to locate base pairs, and is generally true for the gently bending curves these examples are
designed for. In examples 1 and 2, the curve is simple, either a circle or a helix, so the points that locate the base
pairs are computed directly. In addition, the bases are rotated about their original helical axes so that they have the
correct helical orientation before being placed on the curve.
However, this method is inadequate for the more complicated curves that can be handled by example 3. Here
each base is placed on the curve so that its helical axis is aligned correctly, but its helical orientation with respect
to the previous base is arbitrary. It is then rotated about its helical axis so that it has the correct twist with respect
to the previous base.
738

38.3. Building Larger Structures
38.3.1. Closed Circular DNA
This section describes how to use nab to make closed circular duplex DNA with a uniform rise of 3.38 Å. Since
the distance between adjacent base pairs is fixed, the radius of the circle that forms the axis of the duplex depends
only on the number of base pairs and is given by this rule:
rad=rise/(2sin(180/nbp))
where nbp is the number of base pairs. To see why this is so, consider the triangle below formed by the center
of the circle and the centers of two adjacent base pairs. The two long sides are radii of the circle and the third side
is the rise. Since the the base pairs are uniformly distributed about the circle the angle between the two radii is
360/nbp. Now consider the right triangle in the top half of the original triangle. The angle at the center is 180/nbp,
the opposite side is rise/2 and rad follows from the definition of sin.
rise/2
180/nbp
rad
C
base i+1
base i
In addition to the radius, the helical twist which is a function of the amount of supercoiling must also be com-
puted. In a closed circular DNA molecule, the last base of the duplex must be oriented in such a way that a single
helical step will superimpose it on the first base. In circles based on ideal B-DNA, with 10 bases/turn, this requires
that the number of base pairs in the duplex be a multiple of 10. Supercoiling adds or subtracts one or more whole
turns. The amount of supercoiling is specified by the ∆linkingnumber which is the number of extra turns to add or
subtract. If the original circle had nbp/10 turns, the supercoiled circle will have nbp/10 +∆lk turns. As each turn
represents 360o of twist and there are nbp base pairs, the twist between base pairs is
(nbp/10+∆lk)×360/nbp
At this point, we are ready to create models of circular DNA. Bases are added to model in three stages. Each
base pair is created using the nab builtin wc_helix(). It is originally in the XY plane with its center at the origin.
This makes it convenient to create the DNA circle in the XZ plane. After the base pair has been created, it is
rotated around its own helical axis to give it the proper twist, translated along the global X axis to the point where
its center intersects the circle and finally rotated about the Y axis to move it to its final location. Since the first
base pair would be both twisted about Z and rotated about Y 0o, those steps are skipped for base one. A detailed
description follows the code.
1// Program 9 - Create closed circular DNA.
2#define RISE 3.38
3
4int b, nbp, dlk;
5float rad, twist, ttw;
6molecule m, m1;
7matrix matdx, mattw, matry;
8string sbase, abase;
9int getbase();
10
11 if( argc != 3 ){
12 fprintf( stderr, "usage: %s nbp dlk\\n", argv[ 1 ] );
739

38. NAB: Sample programs
13 exit( 1 );
14 }
15
16 nbp = atoi( argv[ 2 ] );
17 if( !nbp || nbp % 10 ){
18 fprintf( stderr,
19 "%s: Num. of base pairs must be multiple of 10\\n",
20 argv[ 1 ] );
21 exit( 1 );
22 }
23
24 dlk = atoi( argv[ 3 ] );
25
26 twist = ( nbp / 10 + dlk ) *360.0 / nbp;
27 rad = 0.5 *RISE / sin( 180.0 / nbp );
28
29 matdx = newtransform( rad, 0.0, 0.0, 0.0, 0.0, 0.0 );
30
31 m = newmolecule();
32 addstrand( m, "A" );
33 addstrand( m, "B" );
34 ttw = 0.0;
35 for(b=1;b<=nbp;b=b+1){
36
37 getbase( b, sbase, abase );
38
39 m1 = wc_helix(
40 sbase, "", "dna", abase, "",
41 "dna", 2.25, -4.96, 0.0, 0.0 );
42
43 if( b > 1 ){
44 mattw = newtransform( 0.,0.,0.,0.,0.,ttw );
45 transformmol( mattw, m1, NULL );
46 }
47
48 transformmol( matdx, m1, NULL );
49
50 if( b > 1 ){
51 matry = newtransform(
52 0.,0.,0.,0.,-360.*(b-1)/nbp,0. );
53 transformmol( matry, m1, NULL );
54 }
55
56 mergestr( m, "A", "last", m1, "sense", "first" );
57 mergestr( m, "B", "first", m1, "anti", "last" );
58 if( b > 1 ){
59 connectres( m, "A", b - 1, "O3’", b, "P" );
60 connectres( m, "B", 1, "O3’", 2, "P" );
61 }
62
63 ttw = ttw + twist;
64 if( ttw >= 360.0 )
65 ttw = ttw - 360.0;
66 }
67
68 connectres( m, "A", nbp, "O3’", 1, "P" );
69 connectres( m, "B", nbp, "O3’", 1, "P" );
740

38.3. Building Larger Structures
70
71 putpdb( "circ.pdb", m );
72 putbnd( "circ.bnd", m );
The code requires two integer arguments which specify the number of base pairs and the∆linkingnumberor
the amount of supercoiling. Lines 11-24 process the arguments making sure that they conform to the model’s
assumptions. In lines 11-14, the code checks that there are exactly three arguments (the nab program’s name is
argument one), and exits with a error message if the number of arguments is different. Next lines 16-22 set the
number of base pairs (nbp) and test to make certain it is a nonzero multiple of 10, again exiting with an error
message if it is not. Finally the ∆linkingnumber(dlk) is set in line 24. The helical twist and circle radius are
computed in lines 26 and 27 in accordance with the formulas developed above. Line 29 creates a transformation
matrix, matdx, that is used to move each base from the global origin along the X-axis to the point where its center
intersects the circle.
The circular DNA is built in the molecule variable m, which is initialized and given two strands, "A" and "B"
in lines 30-32. The variable ttw in line 34 holds the total twist applied to each base pair The molecule is created
in the loop from lines 35-66. The base pair number (b) is converted to the appropriate strings specifying the two
nucleotides in this pair. This is done by the function getbase(). This source of this function must be provided by
the user who is creating the circles as only he or she will know the actual DNA sequence of the circle. Once the two
bases are specified they are passed to the nab builtin wc_helix() which returns a single base pair in the XY plane
with its center at the origin. The helical axis of this base pair is on the Z-axis with the 5’-3’ direction oriented in
the positive Z-direction.
One or three transformations is required to position this base in its correct place in the circle. It must be rotated
about the Z-axis (its helical axis) so that it is one additional unit of twist beyond the previous base. This twist
is done in lines 43-46. Since the first base needs 0o twist, this step is skipped for it. In line 48, the base pair is
moved in the positive direction along the X-axis to place the base pair’s origin on the circle. Finally, the base pair
is rotated about the Y-axis in lines 50-54 to bring it to its proper position on the circle. Again, since this rotation is
0o for base 1, this step is also skipped for the first base.
In lines 56-57, the newly positioned base pair in m1 is added to the growing molecule in m. Note that since the
two strands of DNA are antiparallel, the "sense" strand of m1 is added after the last base of the "A" strand of mand
the "anti" strand of m1 is added before the first base of the "B" strand of m. For all but the first base, the newly added
residues are bonded to the residues they follow (or precede). This is done by the two calls to connectres() in lines
59-60. Again, due to the antiparallel nature of DNA, the new residue in the "A" strand is residue b, but is residue 1
in the "B" strand. In line 63-65, the total twist (ttw) is updated and adjusted to keep in in the range [0,360). After
all base pairs have been added the loop exits.
After the loop exit, since this is a closed circular molecule the first and last bases of each strand must be bonded
and this is done with the two calls to connectres() in lines 67-68. The last step is to save the molecule’s coordinates
and connectivity in lines 71-72. The nab builtin putpdb() writes the coordinate information in PDB format to the
file "circ.pdb" and the nab builtin putbnd() saves the bonding as pairs of integers, one pair/line in the file "circ.bnd",
where each integer in a pair refers to an ATOM record in the previously written PDB file.
38.3.2. Nucleosome Model
While the DNA duplex is locally rather stiff, many DNA molecules are sufficiently long that they can be bent
into a wide variety of both open and closed curves. Some examples would be simple closed circles, supercoiled
closed circles that have relaxed into circles with twists, and the nucleosome core fragment, where the duplex itself
is wound into a short helix.
The overall strategy for wrapping DNA around a curve is to create the curve, find the points on the curve that
contain the base pair origins, place the base pairs at these points, oriented so that their helical axes are tangent to
the curve, and finally rotate the base pairs so that they have the correct helical twist. In the example below, the
simplifying assumption is made that the rise is constant at 3.38 Å.
The nucleosome core fragment is composed of duplex DNA wound in a left handed helix around a central
protein core. A typical core fragment has about 145 base pairs of duplex DNA forming about 1.75 superhelical
turns. Measurements of the overall dimensions of the core fragment indicate that there is very little space between
741

38. NAB: Sample programs
adjacent wraps of the duplex. A side view of a schematic of core particle is shown below.
θ ≈ 5°
60 A
110 A
Computing the points at which to place the base pairs on a helix requires us to spiral an inelastic wire (represent-
ing the helical axis of the bent duplex) around a cylinder (representing the protein core). The system is described
by four numbers of which only three are independent. They are the number of base pairs n, the number of turns its
makes around the protein core t, the “winding” angle θ(which controls how quickly the the helix advances along
the axis of the core) and the helix radius r. Both the the number of base pairs and the number of turns around the
core can be measured. The leaves two choices for the third parameter. Since the relationship of the winding angle
to the overall particle geometry seems more clear than that of the radius, this code lets the user specify the number
of turns, the number of base pairs and the winding angle, then computes the helical radius and the displacement
along the helix axis for each base pair:
d=3.38sin(θ);φ=360t/(n−1)(38.1)
r=3.38(n−1)cos(θ)
2πt(38.2)
where dand φare the displacement along and rotation about the protein core axis for each base pair.
These relationships are easily derived. Let the nucleosome core particle be oriented so that its helical axis is
along the global Y-axis and the lower cap of the protein core is in the XZ plane. Consider the circle that is the
projection of the helical axis of the DNA duplex onto the XZ plane. As the duplex spirals along the core particle
it will go around the circle ttimes, for a total rotation of 360to. The duplex contains (n−1)steps, resulting in
360t/(n−1)o of rotation between successive base pairs.
1// Program 10. Create simple nucleosome model.
2#define PI 3.141593
3#define RISE 3.38
4#define TWIST 36.0
5int b, nbp; int getbase();
6float nt, theta, phi, rad, dy, ttw, len, plen, side;
7molecule m, m1;
8matrix matdx, matrx, maty, matry, mattw;
9string sbase, abase;
10
11 nt = atof( argv[ 2 ] ); // number of turns
12 nbp = atoi( argv[ 3 ] ); // number of base pairs
13 theta = atof( argv[ 4 ] ); // winding angle
14
15 dy = RISE *sin( theta );
16 phi = 360.0 *nt / ( nbp-1 );
17 rad = (( nbp-1 )*RISE*cos( theta ))/( 2*PI*nt );
18
19 matdx = newtransform( rad, 0.0, 0.0, 0.0, 0.0, 0.0 );
742

38.3. Building Larger Structures
20 matrx = newtransform( 0.0, 0.0, 0.0, -theta, 0.0, 0.0 );
21
22 m = newmolecule();
23 addstrand( m, "A" ); addstrand( m, "B" );
24 ttw = 0.0;
25 for(b=1;b<=nbp;b=b+1){
26 getbase( b, sbase, abase );
27 m1 = wc_helix( sbase, "", "dna", abase, "", "dna",
28 2.25, -4.96, 0.0, 0.0 );
29 mattw = newtransform( 0., 0., 0., 0., 0., ttw );
30 transformmol( mattw, m1, NULL );
31 transformmol( matrx, m1, NULL );
32 transformmol( matdx, m1, NULL );
33 maty = newtransform( 0.,dy*(b-1),0., 0.,-phi*(b-1),0.);
34 transformmol( maty, m1, NULL );
35
36 mergestr( m, "A", "last", m1, "sense", "first" );
37 mergestr( m, "B", "first", m1, "anti", "last" );
38 if( b > 1 ){
39 connectres( m, "A", b - 1, "O3’", b, "P" );
40 connectres( m, "B", 1, "O3’", 2, "P" );
41 }
42 ttw += TWIST; if( ttw >= 360.0 ) ttw -= 360.0;
43 }
44 putpdb( "nuc.pdb", m );
Finding the radius of the superhelix is a little tricky. In general a single turn of the helix will not contain an
integral number of base pairs. For example, using typical numbers of 1.75 turns and 145 base pairs requires 82.9
base pairs to make one turn. An approximate solution can be found by considering the ideal superhelix that the
DNA duplex is wrapped around. Let Lbe the arc length of this helix. Then Lcos(θ)is the arc length of its
projection into the XZ plane. Since this projection is an overwound circle, Lis also equal to 2πrt, where tis the
number of turns and ris the unknown radius. Now Lis not known but is approximately 3.38(n−1). Substituting
and solving for rgives Eq. 38.2.
The resulting nab code is shown in Program 2. This code requires three arguments—the number of turns, the
number of base pairs and the winding angle. In lines 15-17, the helical rise (dy), twist (phi) and radius (rad) are
computed according to the formulas developed above.
Two constant transformation matrices, matdx and matrx are created in lines 19-20. matdx is used to move the
newly created base pair along the X-axis to the circle that is the helix’s projection onto the XZ plane. matrx is used
to rotate the new base pair about the X-axis so it will be tangent to the local helix of spirally wound duplex. The
model of the nucleosome will be built in the molecule mwhich is created and given two strands "A" and "B" in line
23. The variable ttw will hold the total local helical twist for each base pair.
The molecule is created in the loop in lines 25-43. The user specified function getbase() takes the number of the
current base pair (b) and returns two strings that specify the actual nucleotides to use at this position. These two
strings are converted into a single base pair using the nab builtin wc_helix(). The new base pair is in the XY plane
with its origin at the global origin and its helical axis along Z oriented so that the 5’-3’ direction is positive.
Each base pair must be rotated about its Z-axis so that when it is added to the global helix it has the correct
amount of helical twist with respect to the previous base. This rotation is performed in lines 29-30. Once the base
pair has the correct helical twist it must rotated about the X-axis so that its local origin will be tangent to the global
helical axes (line 31).
The properly-oriented base is next moved into place on the global helix in two stages in lines 32-34. It is first
moved along the X-axis (line 32) so it intersects the circle in the XZ plane that is projection of the duplex’s helical
axis. Then it is simultaneously rotated about and displaced along the global Y-axis to move it to final place in the
nucleosome. Since both these movements are with respect to the same axis, they can be combined into a single
transformation.
The newly positioned base pair in m1 is added to the growing molecule in musing two calls to the nab builtin
743
38. NAB: Sample programs
mergestr(). Note that since the two strands of a DNA duplex are antiparallel, the base of the "sense" strand of
molecule m1 is added after the last base of the "A" strand of molecule mand the base of the "anti" strand of
molecule m1 is before the first base of the "B" strand of molecule m. For all base pairs except the first one, the new
base pair must be bonded to its predecessor. Finally, the total twist (ttw) is updated and adjusted to remain in the
interval [0,360) in line 42. After all base pairs have been created, the loop exits, and the molecule is written out.
The coordinates are saved in PDB format using the nab builtin putpdb().
38.4. Wrapping DNA Around a Path
This last code develops two nab programs that are used together to wrap B-DNA around a more general open
curve specified as a cubic spline through a set of points. The first program takes the initial set of points defining
the curve and interpolates them to produce a new set of points with one point at the location of each base pair. The
new set of points always includes the first point of the original set but may or may not include the last point. These
new points are read by the second program which actually bends the DNA.
The overall strategy used in this example is slightly different from the one used in both the circular DNA and
nucleosome codes. In those codes it was possible to directly compute both the orientation and position of each
base pair. This is not possible in this case. Here only the location of the base pair’s origin can be computed
directly. When the base pair is placed at that point its helical axis will be tangent to the curve and point in the right
direction, but its rotation about this axis will be arbitrary. It will have to be rotated about its new helical axis to
give the proper amount of helical twist to stack it properly on the previous base. Now if the helical twist of a base
pair is determined with respect to the previous base pair, either the first base pair is left in an arbitrary orientation,
or some other way must be devised to define the helical of it. Since this orientation will depend both on the curve
and its ultimate use, this code leaves this task to the user with the result that the helical orientation of the first base
pair is undefined.
38.4.1. Interpolating the Curve
This section describes the code that finds the base pair origins along the curve. This program takes an ordered
set of points
p1 ,p2 ,...,pn
and interpolates it to produce a new set of points
np 1 ,np 2 ,...,np m
such that the distance between each npiand npi+1is constant, in this case equal to 3.38 which is the rise of an
ideal B-DNA duplex. The interpolation begins by setting np1to p1and continues through the piuntil a new point
npmhas been found that is within the constant distance to pnwithout having gone beyond it.
The interpolation is done via spline() [45] and splint(), two routines that perform a cubic spline interpolation on
a tabulated function
yi=f(xi)
In order for spline()/splint() to work on this problem, two things must be done. These functions work on a table
of (xi,yi)pairs, of which we have only the yi. However, since the only requirement imposed on the xiis that they
be monotonically increasing we can simply use the sequence 1 , 2 , ... , n for the xi, producing the producing the
table (i,yi). The second difficulty is that spline()/splint() interpolate along a one dimensional curve but we need an
interpolation along a three dimensional curve. This is solved by creating three different splines, one for each of the
three dimensions.
spline()/splint() perform the interpolation in two steps. The function spline() is called first with the original table
and computes the value of the second derivative at each point. In order to do this, the values of the second derivative
at two points must be specified. In this code these points are the first and last points of the table, and the values
744

38.4. Wrapping DNA Around a Path
chosen are 0 (signified by the unlikely value of 1e30 in the calls to spline()). After the second derivatives have been
computed, the interpolated values are computed using one or more calls to splint().
What is unusual about this interpolation is that the points at which the interpolation is to be performed are
unknown. Instead, these points are chosen so that the distance between each point and its successor is the constant
value RISE, set here to 3.38 which is the rise of an ideal B-DNA duplex. Thus, we have to search for the points
and most of the code is devoted to doing this search. The details follow the listing.
1// Program 11 - Build DNA along a curve
2#define RISE 3.38
3
4#define EPS 1e-3
5#define APPROX(a,b) (fabs((a)-(b))<=EPS)
6#define MAXI 20
7
8#define MAXPTS 150
9int npts;
10 float a[ MAXPTS ];
11 float x[ MAXPTS ], y[ MAXPTS ], z[ MAXPTS ];
12 float x2[ MAXPTS ], y2[ MAXPTS ], z2[ MAXPTS ];
13 float tmp[ MAXPTS ];
14
15 string line;
16
17 int i, li, ni;
18 float dx, dy, dz;
19 float la, lx, ly, lz, na, nx, ny, nz;
20 float d, tfrac, frac;
21
22 int spline();
23 int splint();
24
25 for( npts = 0; line = getline( stdin ); ){
26 npts = npts + 1;
27 a[ npts ] = npts;
28 sscanf( line, "%lf %lf %lf",
29 x[ npts ], y[ npts ], z[ npts ] );
30 }
31
32 spline( a, x, npts, 1e30, 1e30, x2, tmp );
33 spline( a, y, npts, 1e30, 1e30, y2, tmp );
34 spline( a, z, npts, 1e30, 1e30, z2, tmp );
35
36 li = 1; la = 1.0; lx = x[1]; ly = y[1]; lz = z[1];
37 printf( "%8.3f %8.3f %8.3f\\n", lx, ly, lz );
38
39 while( li < npts ){
40 ni = li + 1;
41 na = a[ ni ];
42 nx=x[ni];ny=y[ni];nz=z[ni];
43 dx=nx-lx;dy=ny-ly;dz=nz-lz;
44 d = sqrt( dx*dx + dy*dy + dz*dz );
45 if( d > RISE ){
46 tfrac = frac = .5;
47 for(i=1;i<=MAXI;i=i+1){
48 na = la + tfrac *( a[ni] - la );
49 splint( a, x, x2, npts, na, nx );
50 splint( a, y, y2, npts, na, ny );
745

38. NAB: Sample programs
51 splint( a, z, z2, npts, na, nz );
52 dx=nx-lx;dy=ny-ly;dz=nz-lz;
53 d = sqrt( dx*dx + dy*dy + dz*dz );
54 frac = 0.5 *frac;
55 if( APPROX( d, RISE ) )
56 break;
57 else if( d > RISE )
58 tfrac = tfrac - frac;
59 else if( d < RISE )
60 tfrac = tfrac + frac;
61 }
62 printf( "%8.3f %8.3f %8.3f\n", nx, ny, nz );
63 }else if( d < RISE ){
64 li = ni;
65 continue;
66 }else if( d == RISE ){
67 printf( "%8.3f %8.3f %8.3f\n", nx, ny, nz );
68 li = ni;
69 }
70 la = na;
71 lx = nx; ly = ny; lz = nz;
72 }
Execution begins in line 25 where the points are read from stdin one point or three numbers/line and stored in
the three arrays x,yand z. The independent variable for each spline, stored in the array ais created at this time
holding the numbers 1to npts. The second derivatives for the three splines, one each for interpolation along the
X, Y and Z directions are computed in lines 32-34. Each call to spline() has two arguments set to 1e30 which
indicates that the second derivative values should be 0 at the first and last points of the table. The first point of the
interpolated set is set to the first point of the original set and written to stdout in lines 36-37.
The search that finds the new points is lines 39-72. To see how it works consider the figure below. The dots
marked p1,p2,...,pncorrespond to the original points that define the spline. The circles marked np1,np2,np3
represent the new points at which base pairs will be placed. The curve is a function of the parameter a, which as it
ranges from 1 to npts sweeps out the curve from (x1,y1,z1)to (xnpts,ynpts,znpts). Since the original points will in
general not be the correct distance apart we have to find new points by interpolating between the original points.
p1
p2
p3
pn
np1
p1
p2
p3
pn
np1
np2
p1
p2
p3
pn
np1
np2
np3
The search works by first finding a point of the original table that is at least RISE distance from the last point
found. If the last point of the original table is not far enough from the last point found, the search loop exits and
the program ends. However, if the search does find a point in the original table that is at least RISE distance from
the last point found, it starts an interpolation loop in lines 47-61 to zero on the best value of athat will produce a
new point that is the correct distance from the previous point. After this point is found, the new point becomes the
last point and the loop is repeated until the original table is exhausted.
The main search loop uses li to hold the index of the point in the original table that is closest to, but does not
pass, the last point found. The loop begins its search for the next point by assuming it will be before the next point
in the original table (lines 40-42). It computes the distance between this point (nx,ny,nz) and the last point (lx,ly,lz)
in lines 43-44 and then takes one of three actions depending it the distance is greater than RISE (lines 46-62), less
than RISE (lines 64-65) or equal to RISE (lines 67-68).
If this distance is greater than RISE, then the desired point is between the last point found which is the point
generated by la and the point corresponding to a[ni]. Lines 46-61 perform a bisection of the interval (la,a[ni]], a
process that splits this interval in half, determines which half contains the desired point, then splits that half and
746

38.4. Wrapping DNA Around a Path
continues in this fashion until the either the distance between the last and new points is close enough as determined
by the macro APPROX() or MAXI subdivisions have been at made, in which case the new point is taken to be
the point computed after the last subdivision. After the bisection the new point is written to stdout (line 62) and
execution skips to line 70-71 where the new values na and (nx,ny,nz) become the last values la and (lx,ly,lz) and
then back to the top of the loop to continue the interpolation. The macro APPROX() defined in line 4, tests to see
if the absolute value of the difference between the current distance and RISE is less than EPS, defined in line 3 as
10−3. This more complicated test is used instead of simply testing for equality because floating point arithmetic is
inexact, which means that while it will get close to the target distance, it may never actually reach it.
If the distance between the last and candidate points is less than RISE, the desired point lies beyond the point at
a[ni]. In this case the action is lines 64-65 is performed which advances the candidate point to li+2 then goes back
to the top of the loop (line 38) and tests to see that this index is still in the table and if so, repeats the entire process
using the point corresponding to a[li+2]. If the points are close together, this step may be taken more than once to
look for the next candidate at a[li+2],a[li+3], etc. Eventually, it will find a point that is RISE beyond the last point at
which case it interpolates or it runs out points, indicating that the next point lies beyond the last point in the table.
If this happens, the last point found, becomes the last point of the new set and the process ends.
The last case is if the distance between the last point found and the point at a[ni] is exactly equal to RISE. If it
is, the point at a[ni] becomes the new point and li is updated to ni. (lines 67-68). Then lines 70-71 are executed to
update la and (lx,ly,lz) and then back to the top of the loop to continue the process.
38.4.2. Driver Code
This section describes the main routine or driver of the second program which is the actual DNA bender. This
routine reads in the points, then calls putdna() (described in the next section) to place base pairs at each point.
The points are either read from stdin or from the file whose name is the second command line argument. The
source of the points is determined in lines 8-18, being stdin if the command line contained a single arguments or
in the second argument if it was present. If the argument count was greater than two, the program prints an error
message and exits. The points are read in the loop in lines 20-26. Any line with a #in column 1 is a comment
and is ignored. All other lines are assumed to contain three numbers which are extracted from the string, line and
stored in the point array pts by the nab builtin sscanf() (lines 23-24). The number of points is kept in npts. Once
all points have been read, the loop exits and the point file is closed if it is not stdin. Finally, the points are passed
to the function putdna() which will place a base pair at each point and save the coordinates and connectivity of the
resulting molecule in the pair of files dna.path.pdb and dna.path.bnd.
1// Program 12 - DNA bender main program
2string line;
3file pf;
4int npts;
5point pts[ 5000 ];
6int putdna();
7
8if( argc == 1 )
9pf = stdin;
10 else if( argc > 2 ){
11 fprintf( stderr, "usage: %s [ path-file ]\\n",
12 argv[ 1 ], argv[ 2 ] );
13 exit( 1 );
14 }else if( !( pf = fopen( argv[ 2 ], "r" ) ) ){
15 fprintf( stderr, "%s: can’t open %s\\n",
16 argv[ 1 ], argv[ 2 ] );
17 exit( 1 );
18 }
19
20 for( npts = 0; line = getline( pf ); ){
21 if( substr( line, 1, 1 ) != "#" ){
22 npts = npts + 1;
747

38. NAB: Sample programs
23 sscanf( line, "%lf %lf %lf",
24 pts[ npts ].x, pts[ npts ].y, pts[ npts ].z );
25 }
26 }
27
28 if( pf != stdin )
29 fclose( pf );
30
31 putdna( "dna.path", pts, npts );
38.4.3. Wrap DNA
Every nab molecule contains a frame, a movable handle that can be used to position the molecule. A frame
consists of three orthogonal unit vectors and an origin that can be placed in an arbitrary position and orientation
with respect to its associated molecule. When the molecule is created its frame is initialized to the unit vectors
along the global X, Y and Z axes with the origin at (0,0,0).
nab provides three operations on frames. They can be defined by atom expressions or absolute points (setframe()
and setframep()), one frame can be aligned or superimposed on another (alignframe()) and a frame can be placed at
a point on an axis (axis2frame()). A frame is defined by specifying its origin, two points that define its X direction
and two points that define its Y direction. The Z direction is X×Y. Since it is convenient to not require the original
X and Y be orthogonal, both frame creation builtins allow the user to specify which of the original X or Y directions
is to be the true X or Y direction. If X is chosen then Y is recreated from Z×X; if Y is chosen then X is recreated
from Y×Z.
When the frame of one molecule is aligned on the frame of another, the frame of the first molecule is transformed
to superimpose it on the frame of the second. At the same time the coordinates of the first molecule are also
transformed to maintain their original position and orientation with respect to their own frame. In this way frames
provide a way to precisely position one molecule with respect to another. The frame of a molecule can also be
positioned on an axis defined by two points. This is done by placing the frame’s origin at the first point of the
axis and aligning the frame’s Z-axis to point from the first point of the axis to the second. After this is done, the
orientation of the frame’s X and Y vectors about this axis is undefined.
Frames have two other properties that need to be discussed. Although the builtin alignframe() is normally used to
position two molecules by superimposing their frames, if the second molecule (represented by the second argument
to alignframe()) has the special value NULL, the first molecule is positioned so that its frame is superimposed on the
global X, Y and Z axes with its origin at (0,0,0). The second property is that when nab applies a transformation to
a molecule (or just a subset of its atoms), only the atomic coordinates are transformed. The frame’s origin and its
orthogonal unit vectors remain untouched. While this may at first glance seem odd, it makes possible the following
three stage process of setting the molecule’s frame, aligning that frame on the global frame, then transforming the
molecule with respect to the global axes and origin which provides a convenient way to position and orient a
molecule’s frame at arbitrary points in space. With all this in mind, here is the source to putdna() which bends a
B-DNA duplex about an open space curve.
1// Program 13 - place base pairs on a curve.
2point s_ax[ 4 ];
3int getbase();
4
5int putdna( string mname, point pts[ 1 ], int npts )
6{
7int p;
8float tw;
9residue r;
10 molecule m, m_path, m_ax, m_bp;
11 point p1, p2, p3, p4;
12 string sbase, abase;
13 string aex;
748

38.4. Wrapping DNA Around a Path
14 matrix mat;
15
16 m_ax = newmolecule();
17 addstrand( m_ax, "A" );
18 r = getresidue( "AXS", "axes.rlb" );
19 addresidue( m_ax, "A", r );
20 setxyz_from_mol( m_ax, NULL, s_ax );
21
22 m_path = newmolecule();
23 addstrand( m_path, "A" );
24
25 m = newmolecule();
26 addstrand( m, "A" );
27 addstrand( m, "B" );
28
29 for(p=1;p<npts;p=p+1){
30 setmol_from_xyz( m_ax, NULL, s_ax );
31 setframe( 1, m_ax,
32 "::ORG", "::ORG", "::SXT", "::ORG", "::CYT" );
33 axis2frame( m_path, pts[ p ], pts[ p + 1 ] );
34 alignframe( m_ax, m_path );
35 mergestr( m_path, "A", "last", m_ax, "A", "first" );
36 if( p > 1 ){
37 setpoint( m_path, sprintf( "A:%d:CYT",p-1 ), p1 );
38 setpoint( m_path, sprintf( "A:%d:ORG",p-1 ), p2 );
39 setpoint( m_path, sprintf( "A:%d:ORG",p ), p3 );
40 setpoint( m_path, sprintf( "A:%d:CYT",p ), p4 );
41 tw = 36.0 - torsionp( p1, p2, p3, p4 );
42 mat = rot4p( p2, p3, tw );
43 aex = sprintf( ":%d:", p );
44 transformmol( mat, m_path, aex );
45 setpoint( m_path, sprintf( "A:%d:ORG",p ), p1 );
46 setpoint( m_path, sprintf( "A:%d:SXT",p ), p2 );
47 setpoint( m_path, sprintf( "A:%d:CYT",p ), p3 );
48 setframep( 1, m_path, p1, p1, p2, p1, p3 );
49 }
50
51 getbase( p, sbase, abase );
52 m_bp = wc_helix( sbase, "", "dna",
53 abase, "", "dna",
54 2.25, -5.0, 0.0, 0.0 );
55 alignframe( m_bp, m_path );
56 mergestr( m, "A", "last", m_bp, "sense", "first" );
57 mergestr( m, "B", "first", m_bp, "anti", "last" );
58 if( p > 1 ){
59 connectres( m, "A", p - 1, "O3’", p, "P" );
60 connectres( m, "B", 1, "P", 1, "O3’" );
61 }
62 }
63
64 putpdb( mname + ".pdb", m );
65 putbnd( mname + ".bnd", m );
66 };
putdna() takes three arguments—name, a string that will be used to name the PDB and bond files that hold the
bent duplex, pts an array of points containing the origin of each base pair and npts the number of points in the
array. putdna() uses four molecules. m_ax holds a small artificial molecule containing four atoms that is a proxy
749
38. NAB: Sample programs
for the some of the frame’s used placing the base pairs. The molecule m_path will eventually hold one copy of
m_ax for each point in the input array. The molecule m_bp holds each base pair after it is created by wc_helix()
and mwill eventually hold the bent dna. Once again the function getbase() (to be defined by the user) provides the
mapping between the current point (p) and the nucleotides required in the base pair at that point.
Execution of putdna() begins in line 16 with the creation of m_ax. This molecule is given one strand "A", into
which is added one copy of the special residue AXS from the standard nab residue library "axes.rlb" (lines 17-19).
This residue contains four atoms named ORG,SXT,CYT and NZT. These atoms are placed so that ORG is at
(0,0,0) and SXT,CYT and NZT are 1o along the X, Y and Z axes respectively. Thus the residue AXS has the exact
geometry as the molecules initial frame—three unit vectors along the standard axes centered on the origin. The
initial coordinates of m_ax are saved in the point array s_ax. The molecules m_path and mare created in lines
22-23 and 25-27 respectively.
The actual DNA bending occurs in the loop in lines 29-62. Each base pair is added in a two stage process that
uses m_ax to properly orient the frame of m_path, so that when the frame of new the base pair in m_bp is aligned
on the frame of m_path, the new base pair will be correctly positioned on the curve.
Setting up the frame is done is lines 30-49. The process begins by restoring the original coordinates of m_ax
(line 30), so that the the atom ORG is at (0,0,0) and SXT,CYT and NZT are each 1o along the global X, Y and Z
axes. These atoms are then used to redefine the frame of m_ax (line 32-33) so that it is equal to the three standard
unit vectors at the global origin. Next the frame of m_path is aligned so that its origin is at pts[p] and its Z-axis
points from pts[p] to pts[p+1] (line 34). The call to alignframe() in line 34 transforms m_ax to align its frame on the
frame of m_path, which has the effect of moving m_ax so that the atom ORG is at pts[p] and the ORG—NZT vector
points towards pts[p+1]. A copy of the newly positioned m_ax is merged into m_path in line 35. The result of this
process is that each time around the loop, m_path gets a new residue that resembles a coordinate frame located at
the point the new base pair is to be added.
When nab sets a frame from an axis, the orientation of its X and Y vectors is arbitrary. While this does not
matter for the first base pair for which any orientation is acceptable, it does matter for the second and subsequent
base pairs which must be rotated about their Z axis so that they have the proper helical twist with respect to the
previous base pair. This rotation is done by the code in lines 37-48. It does this by considering the torsion angle
formed by the fours atoms—CYT and ORG of the previous AXS residue and ORG and CYT of the current AXS
residue. The coordinates of these points are determined in lines 37-40. Since this torsion angle is a marker for
the helical twist between pairs of the bent duplex, it must be 36.0o. The amount of rotation required to give it
the correct twist is computed in line 41. A transformation matrix that will rotate the new AXS residue about the
ORG—ORG axis by this amount is created in line 42, the atom expression that names the AXS residue is created
in line 43 and the residue rotated in line 44. Once the new residue is given the correct twist the frame m_path is
moved to the new residue in lines 45-48.
The base pair is added in lines 51-60. The user defined function getbase() converts the point number (p) into the
names of the nucleotides needed for this base pair which is created by the nab builtin wc_helix(). It is then placed
on the curve in the correct orientation by aligning its frame on the frame of m_path that we have just created (line
55). The new pair is merged into mand bonded with the previous base pair if it exists. After the loop exits, the
bend DNA duplex coordinates are saved as a PDB file and the connectivity as a bnd file in the calls to putpdb() and
putbnd() in lines 64-65, whereupon putdna() returns to the caller.
38.5. Other examples
There are several additional pedagogical (and useful!) examples in $AMBERHOME/examples. These can be
consulted to gain ideas of how some useful molecular manipulation programs can be constructed.
• The peptides example was created by Paul Beroza to construct peptides with given backbone torsion angles.
The idea is to call linkprot to create a peptide in an extended conformation, then to set frames and do rotations
to construct the proper torsions. This can be used as just a stand-alone program to perform this task, or as a
source for ideas for constructing similar functionality in other nab programs.
• The suppose example was created by Jarrod Smith to provide a driver to carry out rms-superpositions. It has
a man page that shows how to use it.
750
39. amberlite: Some AmberTools-Based Utilities
Romain M. Wolf
Novartis Institutes for Biomedical Research, NIBR, Basle, Switzerland
AMBER "Lite" is a small set of utilities making use of the free AMBER Tools package (currently for version
1.4 or higher). The main focus is on the preparation of files for MM(GB)(PB)/SA-type simulations. The utilities
can be used as delivered or they can serve as a starting point for further development. Examples are included to
illustrate the concepts or to test the correct functioning of the installation. The text also contains a (very) condensed
introduction to some AMBER file preparation concepts.
The AMBER Lite package (© Novartis Institutes for Biomedical Research, Basel, Switzerland) is free software
under the GNU General Public License (GPL), as are the parts on which the package builds, namely the Amber
tools ptraj,leap,antechamber,sqm,pbsa and the NAB package.
Users are free to modify the tools according to their needs. Strange or obviously wrong behavior should be
communicated to the author (at romain.wolf@novartis.com or romain.wolf@gmail.com). Feedback (positive or
negative) is welcome although I cannot guarantee continuous support. I will do my best to answer questions,
correct bugs, or add features if they seem useful and if my time allows it.
39.1. Introduction
For many standard simulation tasks, only a limited number of tools within the AMBER package are required.
Furthermore, the full set of routines can be confusing for new or casual users. The constantly enhanced and
updated AMBER tutorials certainly offer an excellent entry point. The set of tools described hereafter should
present another initiation, based entirely on the freely available portions of AMBER code. The emphasis in the
AMBER Lite tools is on the MM(GB)(PB)/SA approach to compute (relative) free energies of interaction between
ligands and receptors, a major task in structure-based drug discovery. The tools are simple enough to be understood,
modified, and enhanced.
One section (Appendix 11.1) is dedicated to the preparation of PDB files prior to use them with AMBER. In my
own experience, this is a critical part in setting up simulations. Scanning through the AMBER Mail Reflector, I
find many reported problems and questions which originate from "bad" or badly prepared PDB starting files.
Another section (Appendix 19) gives a brief introduction on AMBER "masks" and NAB "atom expressions",
used to select parts of molecular structures. Users should also read in detail the corresponding information in
original AMBER documentations. Wrong partial selections are tricky because they may often go unnoticed, i.e.,
everything seems to run OK but the results are totally flawed.
39.1.1. Python Scripts
The following Python scripts are currently included:
pytleap prepares AMBER parameter-topology (PRM) files, AMBER coordinates (CRD) files and corresponding
PDB files for proteins, organic ligands (or peptides), and receptor/ligand complexes, using as input PDB
files (for proteins and peptides) or SDF files for organic molecules. It is basically a wrapper around tleap
and antechamber.
pymdpbsa is a full analysis tool for MD(GB,PB)/SA computations, given an MD trajectory (or a single PDB file)
of a receptor-ligand complex and the individual PRM files for the complex, the receptor, and the ligand.
751
39. amberlite: Some AmberTools-Based Utilities
The Python scripts take command line options many of which assume default values. If the default values apply,
these options can be omitted. Most options are of the form --option value where value can be a filename,
an integer, a float, or a special string (to be included in quotes). Typing just the executable name or followed by
--help lists the options and exits.
Common errors, like e.g. missing files, are captured by the scripts which also always check that the AMBER-
HOME environment variable is set and that all required binary executables are available and in the execution path.
The pymdpbsa script creates a temporary subdirectory of the current working directory. Computations are
executed in this temporary folder and all output is stored there also. When finished, the resulting data are copied
back to the starting directory. By default, the temporary directory is not removed. The user can explicitly request its
automatic removal via the --clean option. Alternatively, it can be removed manually later. Temporary directories
have names which make them easy to identify and all have the extension .tmpdir (see details later).
39.1.2. NAB Applications
The NAB applications are written in NAB language, which is "C" with numerous additional functions specific
to computational chemistry problems. NAB works as a pre-compiler, generating C-code from the NAB source
which is then processed through the default C-compiler. NAB functionality has much in common with the "big"
AMBER modules, but there are also some notable differences:
The NAB applications cannot handle explicit solvent and periodic boundaries but work only with implicit solva-
tion models. The possibilities to use restraints on atoms are also more limited and use a notation different from the
AMBER ’mask’ scheme (explained later). Otherwise, they deliver results which are fully compatible with original
AMBER simulations under identical conditions.
The NAB applications presented here use the same parameter-topology files as AMBER modules like, e.g.,
sander, but they read coordinates (initial atom positions) from PDB files and not from AMBER-specific coordinate
(CRD) files. The only output format for MD trajectories is the "binpos" format which can be read by various other
packages or can also be converted to other formats via the ptraj utility included in AMBER Tools.
The following NAB-based tools are currently included:
ffgbsa returns the AMBER energy (MM + GB polar solvation + "non-polar" solvent-accessible surface term) of
a system, given its PRM and PDB file.
minab is a crude conjugate-gradient minimizer using PRM and PDB files as input and generating a PDB file with
the refined coordinates.
mdnab is a molecular dynamics routine with a minimum of user-specified options which takes PRM and PDB
files as input and writes out the MD trajectory in the "binpos" format.
These NAB applications are single-line commands taking a number of arguments (which makes it easy to incor-
porate them into other scripts). In contrast to the Python scripts, they do not use the (more) convenient --option
scheme, but require the command line arguments in the correct order. Entering just the name of the application
without arguments lists a help which shows and explains the arguments to be used.
There is no extensive exception handling in the NAB applications. User errors are punished by simple crashes
of the applications!
Users who want to modify NAB applications must edit the source, re-compile it into a NAB binary (using the
command nab source.nab -o binary_name), and then copy the binary into a directory of their executable path.
39.2. Coordinates and Parameter-Topology Files
Simulations with AMBER modules require defined data and control files. The error-free generation of these
files is often a discouraging hurdle for beginners or users who do not use AMBER regularly.
At least two data file types are required: a coordinates (CRD) file for AMBER modules (or PDB files for NAB
applications) with atom positions and a parameter-topology (PRM) file containing all force field data required
for the system. The two file types must have the same number of atoms and all atoms in the same sequential
order. Not respecting this fundamental rule leads to severe flaws. The separation of coordinates and topology
752
39.2. Coordinates and Parameter-Topology Files
has the advantage that the same topology file can be used for various different starting coordinates. However, any
change in the coordinate file that alters also the number of atoms or even their sequential order is not allowed.
This is a frequent source of error and re-using PRM files created some time in the past under not well documented
conditions is strongly discouraged.
The current tool delivered with AMBER to prepare coordinate (CRD or PDB) and parameter-topology (PRM)
files is called leap (tleap for the terminal variant and xleap for the graphics variant).
Since leap is not particularly user-friendly, a Python script pytleap (see section 39.3) has been prepared which
runs the terminal version of leap in the background and does not require a direct interaction with leap itself, at
least for simple tasks like preparing a protein or a receptor-ligand complex for simulations with implicit solvent.
For small organic molecules, pytleap first invokes antechamber [562] before passing them through leap, allow-
ing the usage of the gaff force field[282] for organics without directly interfering with antechamber itself.
Chapter11 gives a short outline of the most important preparation steps required on the raw data (mostly PDB
files) before using any AMBER-related tools. Those recipes may not be the most elegant ones but they work in
most cases and help avoid common problems.
753

39. amberlite: Some AmberTools-Based Utilities
39.3. pytleap: Creating Coordinates and Parameter-
Topology Files
pytleap calls the tleap and/or antechamber utilities in the background. It is invoked by a single command line
with a set of options and eventually creates the files required for an AMBER simulation, starting from a PDB
file (protein) and/or an SDF file (ligand). The script is especially useful to set up receptor-ligand complexes for
simulations using MM(GB)(PB)/SA and related techniques, but can also be used for isolated proteins or ligands.
Proteins (or peptides) are read as PDB files in pytleap. Other formats are not supported. Be sure to have a
"clean" PDB file as described in Chapter 11.
The SDF format for small organic ligands is chosen for reasons of compatibility. SDF files can be written by
most standard molecular modeling packages and contain the information required by the antechamber package to
generate the files for AMBER simulations. The format is simple and includes the connectivity with bond orders.
Note that the SDF file of the ligand must have all hydrogens included. Also, the formal charge on the ligand (if
any) is not read from the SDF file but must be explicitly specified (see later). For charge calculations, we use the
sqm semi-empirical QM routine from AMBER Tools instead of MOPAC. After some tests, we have opted for less
severe gradient requests then those used by default in antechamber to speed up the partial charges generation for
ligands: grms_tol is set to 0.05. We include the peptide bond correction by setting peptide_corr=1.
To generate AMBER files for a protein-ligand complex, prepare the protein in PDB and the low-molecular-
weight ligand in SDF, i.e., save both components in distinct files (and make sure that the protein PDB file does not
contain the ligand anymore). In the case of protein-peptide (or protein-protein) complexes, you must also separate
the two entities, in this case into distinct PDB files, since individual parameter-topology files have to be generated
for the complex and for each component separately if MM(GB)(PB)SA computations are envisaged later.
Obviously, the geometry of the entire complex must be reflected in the coordinates of the respective files.
pytleap will only combine the protein and the ligand into a single structure, assuming that the ligand fits the target
in a desired way. It will of course not "dock"!
39.3.1. Running pytleap
Note: Since pytleap and the modules called by it read or write temporary files with defined names, it is wise to
run one single instance of pytleap in a directory. Not respecting this rule will lead to confusion and errors!
Typing pytleap without any arguments (or followed by --help) results in the following output:
--------------------------------------------
pytleap version 1.2 (December 2010)
--------------------------------------------
Usage: pytleap [options]
Options:
-h, --help show this help message and exit
--prot=FILE protein PDB file (no default)
--pep=FILE peptide PDB file (no default)
--lig=FILE ligand MDL (SDF) file (no default)
--cplx=FILE name for complex files (no default)
--ppi=FILE name for protein-peptide complex files (no default)
--chrg=INTEGER formal charge on ligand (default: 0)
--rad=STRING radius type for GB (default: mbondi)
--disul=FILE file with S-S definitions in protein (no default)
--sspep=FILE file with S-S definitions in peptide (no default)
--pfrc=STRING protein (peptide) force field (default: ff03.r1)
--lfrc=STRING ligand force field (default: gaff)
--ctrl=FILE leap command file name (default: leap.cmd)
The command line options are presented here below:
754

39.3. pytleap: Creating Coordinates and Parameter- Topology Files
--prot filename uses the PDB file filename as the protein structure. The PDB file must be "clean", according
to the rules outlined in the Appendix 11.1. The leap module adds hydrogens with correct names (and also
missing heavy atoms, if any), attributes the correct partial charges and AMBER atom types,1and eventually
writes out the files for the protein as mentioned in section 39.3.2.
--pep filename reads a (clean) PDB file filename as the peptide structure. There is no difference to the --prot
option except that a second (separate) peptide (or protein) can be read in and combined later with the structure
read via --prot to a protein-peptide (or protein-protein) complex (see --ppi below).
--lig filename uses the SDF file filename as the ligand structure. The ligand file must include all hydrogens.
The structure is processed through antechamber that generates various files required by tleap to build the
PRM file for the ligand. Inside antechamber, the ligand becomes a molecule (residue) with the name "LIG".
This name is then taken over by leap and appears as such in the resulting PRM and PDB files. The name
"LIG" is the default name for a ligand in the pymdpbsa (section 39.7). See also option --chrg when using
the --lig option. Note: We assume here that a ligand is a single-residue low-molecular-weight organic
molecule.
--cplx filename (no extension!) will generate the AMBER files PRM, CRD and a PDB file of the complex of
the protein and the ligand read in with the --prot and --lig options. When generating AMBER files for
the complex, the files for the individual protein and ligand are always generated also. They are useful when
running MM(GB)(PB)/SA computations later (section 39.7). This option only makes sense when both the
--prot and --lig options are also chosen.
--ppi filename works the same as --cplx, except that it generates a complex between two units supposed to be
clean proteins (peptides), not requiring any intervention of antechamber. Furthermore, --cplx and --ppi
cannot be used in the same run, i.e., we can only deal with either a protein/organic-ligand complex or a
protein/protein (or protein/peptide) complex.
--chrg integer must be used if an organic ligand read from an SDF file is formally charged (even if the charge
is also given in the SDF file). For neutral ligands, this option can be omitted. For charged ligands however, it
is required! Enter it as an integer reflecting the correct total charge of the ligand. The computation of partial
charges via the AM1-BCC method[285,286] will fail if the formal charge on the ligand does not make sense
with the chemical structure including all hydrogens and pytleap will quit.
--rad radius_type is used to choose the atomic radii for Generalized-Born. The default radius type is the
"modified Bondi" option to be used with the GB option gb set to 1. For gb = 2 or 5, Table 4.1 suggests the
radius type mbondi2. For gb = 7, use the radius type bondi and for gb = 8, use the radius type mbondi3.
--disul and --sspep filename are used to generate disulfide bonds. Disulfide bridges must be prepared in the
original PDB file by renaming the involved cysteine residues from CYS to CYX (see 11.2). The filename
in this option must relate to a file that contains pairwise integer numbers of cysteine residue names to be
connected (one pair per line!). These numbers must correspond to the ones in the original PDB file!2See
the example in section 39.8.1. We consider that this explicit formation of disulfide bonds is to be preferred
over "automatic" S-S bond formation, be it by using Sγdistances or by relying on CONECT records in PDB
files. NOTE: --disul applies to the file read in via --prot while --sspep is applied to the molecule
read in via –pep. If both proteins (peptides) have disulfide bonds, you must use separate definition files for
the respective S-S links!
--sspep:see above.
--pfrc filename specifies the force field parameter set for the protein. Since AMBER can use different force
fields, this option allows to choose among them. The selection actually does not call the parameter file
1Charges and atom types will correspond the chosen force field parameter set and the libraries going with them.
2In ’weird’ PDB files where insertions and deletions get special names, trying to keep a ’standard’ numbering of residues for the main protein
of a family, much can go wrong. In these cases, it is best to renumber the residues sequentially in the PDB file before referring to residue
numbers.
755

39. amberlite: Some AmberTools-Based Utilities
itself but a leap command file that initializes it. These special leap files all have a name leaprc.xxxx and are
retrieved when the AMBERHOME environment variable is set correctly. You must only specify the xxxx part
of the name! Thus, ff99 selects the parm99 parameter set, while the default ff03.r1 selects the latest
parm03 force field with the correct charges for N- and C-terminal residues also. Make sure to have this file
(with the full name leaprc.ff03.r1 included in the directory where all default leap command files are kept.3
--lfrc filename selects the force field for the ligand. At this point, the default gaff force field is the only reason-
able choice in most cases and you can omit this (default) option.
--ctrl filename can be used to change the default name of the leap command file generated by pytleap (default
leap.cmd). In general, this is not necessary, except if you would like to keep this particular file and protect
it from being overwritten by the default name the next time you use pytleap in the same directory.
NOTE: This version of pytleap does not offer the possibility to add solvent and counter-ions. It would be straight-
forward to add these options to the script if you are familiar with leap. Alternatively, you could use the leap.cmd
(or alike) created by pytleap, edit it with a standard editor to add specific leap commands, and then resource it
through tleap (e.g., with tleap -f leap.cmd).
39.3.2. Output from pytleap
Output from pytleap varies with the chosen command line options (see 39.3.1). Coordinate (CRD) files,
parameter-topology (PRM) files and a corresponding PDB file are always generated. Hydrogen names in the
output PDB files are "wrapped", making these files readable also by elder software packages which require this
format. Note that the actual atom names in the PRM file are unwrapped. This has no consequence on computations.
However, special residue names like HIE, HID, HIP, CYX, etc., are kept and may lead to flawed representations
of the PDB files in software packages which do not recognize these residue names. The ambpdb routine included
with AMBER Tools can be used to regenerate "standard" residue names if you need them.
Files generated by pytleap have a ’.leap.’ string in their name to identify them as "created by leap". You
should always use the corresponding *.leap.* files (or copies of them) for simulations! This guarantees that
the CRD, PDB, and PRM files are compatible, having the same number and sequence of atoms.
In addition, a file leap.cmd is left over. This is the file that was generated by pytleap and run through leap.
The file leap.out is the output from leap, with the messages that would have been generated by running leap
interactively. Finally, the leap.log file is the standard log from leap.
A special SYBYL MOL2 file is created when running pytleap on a ligand (i.e., a low-molecular-weight organic
compound which is processed through antechamber). This file has the format of a generic MOL2 file, apart
from the fact that atom types are not SYBYL but gaff atom types. The name of this file is filename.ac.mol2,
with .ac. marking it as a file generated by antechamber.4The partial charges are those from the AM1-BCC
method.[285,286]
Some additional files may be left over when antechamber is invoked. One important file is the *.leap.frcmod
file containing additional parameters which are not in the original gaff parameter file. They are generated based on
equivalences, "guessing", or empirical rules described the gaff paper.[282] The frcmod file can also be used as a
quality check for the ligand parameters. Large frcmod files with many "guessed" parameters (especially for torsion
angles) should be considered carefully.
Finally, the input and output files of the semi-empirical tool sqm are left. The ouput file (sqm.out) might be
useful for debugging if the partial charges seem totally inadequate despite the correct usage of the --chrg option
(if required).
3The full path to this place is $AMBERHOME/dat/leap/cmd.
4Opening this MOL2 file in a standard software that can read MOL2 files may lead to strange results because the gaff atom types do not reflect
chemical elements as standard SYBYL MOL2 files with TRIPOS force field atom types.
756

39.4. Energy Checking Tool: ffgbsa
39.3.3. Error Checking
If you have experience with the leap application, look at the leap.cmd file that was created via pytleap. All the
options that you have chosen should be represented as correct leap command lines. Furthermore, the leap.output
and leap.log files should not show any errors, at best some warnings. If in doubt that the parameter-topology
files have been correctly generated, look at these warnings and decide if they are benign. Eventually, the NAB
application ffgbsa described below (section 39.4) can be used to run a single AMBER energy evaluation on the
system. If the results returned by ffgbsa look very strange for a supposedly reasonable structure, you probably have
a serious issue with your set of CRD, PDB, and PRM files.
39.4. Energy Checking Tool: ffgbsa
The NAB routine ffgbsa is an energy function called by the pymdpbsa application presented later (section
39.7). It can also be used as a standalone routine to check the AMBER energy of a molecular system and to test
the correct working of a PDB/PRM file combination. It is invoked as:
ffgbsa pdb prm gbflag saflag
The order in the command line input is compulsory! pdb is the PDB file of the system and prm the related PRM
file. gbflag is a flag to switch on one of the Generalized-Born (GB) options in AMBER and can be 1, 2, 5, 7 or
8. These values correspond to the "igb=" options in AMBER commands and stand for different implementations
of the GB scheme. Other values switch off GB and a simple distance-dependent dielectric function ε=ri j is used.
Note that different GB or PB selections may require a different choice for atom radii via LeaP or ParmEd; see
Table 4.1.
When saflag = 1, the solvent-accessible surface area (SASA) is also computed (via the molsurf routine in-
cluded with NAB) and returned in Å2, together with a SASA energy term which is simply SASA ∗0.0072 in this
case. The default cutoff for non-bonded interactions is 100 Å , i.e., virtually no cutoff for most systems. An
example for the usage of ffgbsa is given in section 39.8.2.
Remarks regarding the usage of molsurf:
The correct way to evaluate the SASA is to augment the radii of all atoms by the probe radius (usually 1.4 Å) and
then run molsurf with a probe of radius of zero. This is also the implementation in ffgbsa here. The atom radii
values are given in the following table:
Table 39.1.: Atom Radii Used in molsurf
atom radius (Å) atom radius (Å)
C 1.70 H 1.20
N 1.55 O 1.50
S 1.80 P 1.80
F 1.47 Cl 1.75
Br 1.85 I 1.98
any other 1.50
Note: In some rare cases molsurf fails to give back a valid surface area. Scripts calling ffgbsa must be prepared
to capture this. The pymdpbsa procedure described later catches such instances and excludes value sets in which
the error occurs from the statistical analysis (cf. end of section 39.7.5.1).
39.5. Energy Minimizer: minab
The main purpose of this (very) simple minimizer is to refine a system prior to MD runs, mainly to remove
potential hotspots which might destabilize the MD initiation. Using it for other purposes is at the discretion of the
user.
757

39. amberlite: Some AmberTools-Based Utilities
The NAB routine minab uses the conjugate gradient minimizer of NAB to refine the energy of a system. To
circumvent cutoff problems,5the cutoff for non-bonded interactions (vdW and Coulomb) is set to 100 Å and that
for GB is fixed to 15 Å. The non-bonded list is not updated at all. The default for the gradient rms is set to 0.1.
For large systems, this is far from efficient. However, as stated above, the main purpose of this routine is to get
rid of hotspots prior to running MD and in general, a few hundred iterations are sufficient to guarantee a decent
structure for MD, especially when the MD starts with a heat-up phase as used in the mdnab application described
in section 39.6.
The minab routine is invoked by:
minab pdb prm pdbout gbflag niter [’restraints’ resforce]
Just typing minab without arguments gives a help screen. The explanation for the arguments follows:
•pdb and prm are the PDB and corresponding PRM file of the system;
•pdbout becomes the PDB file of the refined system;
•gbflag is the GB flag which can be 1, 2, 5, 7, or 8 while any other value switches to distance-dependent
dielectrics (as in section 39.4);
•niter is the maximum number of iterations;
and for the optional arguments:
•restraints specifies residues or atoms to be tethered in their motion (NAB atom expression between
quotes);
•resforce is a float specifying the restraint potential in kcal·mol−1·Å−2.
The restraints entry must be an atom expression according to the NAB rules outlined in 19.2. If for example
all Cαatoms should be restrained, this entry would be ’::CA’. If the restraint mask is given, the restraint
potential resforce must also be specified.
Since minab is a simple command-line tool, it can be called by other routines or scripts where a rough energy
refinement is desired. The output (by default to the screen) can be captured for later analysis into a file via a simple
redirect (">").
39.6. Molecular Dynamics "Lite": mdnab
The NAB application mdnab has been written for simple molecular dynamics with a minimum number of
settings required by the user. Its main purpose is to run moderately short trajectories to be used e.g. for
MM(GB)(PB)/SA applications.
Most settings are hardcoded and can only be changed by editing and re-compiling the source mdnab.nab.
The following (non-mutable) defaults are used:
The cutoff for non-bonded interactions and GB is always 12 Å. An update of the nonbonded list occurs every
25 steps. The integration step is 2 femtoseconds (using "rattle" to allow this fairly large step). The temperature
is controlled via Langevin dynamics with a friction factor ("gamma_ln") of 2 for the production phase. The
production temperature is fixed at 300 K. And mdnab always saves one frame per picosecond, independent of
the length of the trajectory.
5The current cutoff scheme for non-bonded interactions in AMBER modules and NAB does not use a switching function to smooth the cutoff.
This can lead to problems every time the non-bonded list is updated. Thus a fairly short cutoff distance with frequent list updates usually
ends in line search problems before the required number of iterations or the requested rms of the components of the gradient is reached.
758

39.7. MM(GB)(PB)/SA Analysis Tool: pymdpbsa
A heating and equilibration phase is automatically invoked prior to the actual production trajectory recording:
100 steps from 50 to 100 K, 300 steps from 100 to 150 K, 600 steps from 150 to 200 K, 1000 steps from 200 to
250 K, 3000 steps from 250 to 300 K, and an additional 10000 steps at 300 K.6
mdnab is started by
mdnab pdb prm traj gbflag picosecs [’restraints’ resforce]
The command mdnab without arguments lists the possible arguments, the sequence of which is compulsory. The
command line arguments are similar to those in minab:
•pdb and prm are the PDB and corresponding PRM file of the system;
•traj is the name for the production phase trajectory which will be saved in the binary "binpos" format (the
extension .binpos is automatically attached);7
•gbflag is the GB flag which can be 1, 2, 5, 7, or 8 (as in section 39.4), or anything else to switch off GB
and use a distance-dependent dielectric function ε=ri j;
•picosecs is the total number of picoseconds to run the production phase;
with the optional arguments:
•restraints specifies atoms to be tethered in their motion (given as a NAB atom expression between quotes,
see section 19.2);
•resforce is the restraint potential in kcal·mol−1·Å−2which has to be given if a restraint expression is
specified.
While the trajectory is saved to the specified file name (the traj command line argument), the full output goes to
the screen. To capture the output for later inspection, use the UNIX "redirect" (>) to a file and end the command
line with a & (making mdnab a background job).
Note that only the production phase of the trajectory is recorded into the traj file. The heat-up phases are
only documented in the general output (to the screen or to a text file, if redirected).
39.7. MM(GB)(PB)/SA Analysis Tool: pymdpbsa
39.7.1. Brief Overview on MM(GB)(PB)/SA Concepts
The original MM(GB)(PB)/SA procedure was developed in the late 1990’s and the user should refer to some
original papers on this subject.[506,507,563,564] The goal was to develop a relatively fast molecular-mechanics
(-dynamics) based method to evaluate free energies of interactions. MM stands for Molecular Mechanics, PB for
Poisson-Boltzmann, and SA for Surface Area. You may also wish to refer to reviews summarizing many of the
applications of this model,[507,508] as well as to papers describing some of its applications.[509–513]
The free energy for each species (ligand, receptor, or complex) is decomposed into a gas-phase energy ("en-
thalpy"), a solvation free energy and an entropy term, as shown in equation 39.1.
G=Egas +Gsolv −T·S(39.1)
=Ebat +EvdW +Ecoul +Gsolv,polar +Gsolv,nonpolar −T·S(39.2)
6Since these last 10000 steps at 300 K are run under identical conditions as subsequent the production phase, the user can simply extend the
"equilibration" by discarding all frames from the production phase up to the point where the trajectory can be considered "stable" (noting
that "stable" or "steady-state" are not well-defined terms anyway).
7This format can be read by various software packages like VMD, but can also be translated into other formats using the AMBER utility ptraj.
759
39. amberlite: Some AmberTools-Based Utilities
where Ebat is the sum of bond, angle, and torsion terms in the force field, EvdW and Ecoul are the van der Waals
and Coulomb energy terms, Gsolv,polar is the polar contribution to the solvation free energy and Gsolv,nonpolar is the
nonpolar solvation free energy.
The sum Ebat +EvdW +Ecoul is the complete gas phase force field energy, the molecular mechanics ("MM") part.
The polar solvation free energy Gsolv,polar can be evaluated via implicit solvation models like Poisson-Boltzmann
(PB) or Generalized-Born (GB). The nonpolar contribution Gsolv,nonpolar is usually computed by a simple linear
relation for a "cavity" term
Gsolv,nonpolar =γ·SASA +const.(39.3)
where SASA is the solvent-accessible surface and γhas the dimension of surface-tension. Similarly, one could
also use the volume enclosed by the SASA (SAV)
Gsolv,nonpolar =p·SAV +const.(39.4)
with phaving the dimensions of pressure.
In a more sophisticated approach, Gsolv,nonpolar can be spThese values correspond to the "igb=" options in
AMBER commands and stand for different implementations of the GB scheme.lit into a repulsive ("cavity") and
an attractive ("dispersion") term, as described in detail in the 2007 paper of Ray Luo and coworkers.[148]
The vibrational entropy can be evaluated, for example, via normal mode analysis. It has become common
practice in recent work to exclude the entropy terms from MM(GB)(PB)/SA computations. This is acceptable
when only relative free energies are computed to compare similar ligands in similar receptors. Furthermore, the
entropy computation is the fuzziest part of the procedure and contributes to the largest fluctuations in the overall
free energy when evaluating it over a number of MD frames.
The free energy of interaction in the complex can then be evaluated as:
∆Gint =Gcomplex −Greceptor −Gligand (39.5)
In the early work, separate dynamics trajectories were recorded for all three species in explicit solvent. The
solvent was then discarded, the free energy was evaluated according to the procedure above for a number of frames
for each species. Eventually, ∆Gwas calculated by
∆Gint =hGcomplexitra j −hGreceptoritra j −hGliganditra j (39.6)
where hGiitra j is the average value for species iover all selected frames recorded during the production phase
of the MD trajectory.
In the meantime, the method has been implemented and used in many variants, all of which have their advantages
and disadvantages. The method presented hereafter is among the simplest and cheapest in terms of CPU power. It
is based on a single trajectory of the complex alone. Each recorded frame is then split into receptor and ligand and
equation 39.5 is applied to compute the interaction energy of the frame. The final interaction energy is then the
average over the ∆Gvalues of the selected frames. Also, the entropy is not evaluated at all.
39.7.2. Pitfalls and Error Sources
While the basic concepts are simple, there are many pitfalls. The initial idea was to compute values for the free
energy of binding close to experimentally observed ones, without further tuning of parameters. However, since the
computations of energy terms are based on force field parameters (internal energy, van der Waals interactions, and
vibrational entropy via normal-mode analysis) and on concepts like atomic radii and partial charges (electrostatics
and polar solvation terms), discussions on the quality of parameters are inevitable.
An issue not discussed in enough detail in many papers reporting MM(GB)(PB)/SA (and variants) is the quality
of the MD trajectory. Unstable trajectories with unreasonably strong fluctuations or important transitions (confor-
mational changes, ligand pose variations, etc.) will always yield questionable results. If such transitions happen,
they must be checked carefully before the results are used for MM(GB)(PB)/SA.
In the "one-trajectory" approach implemented here, there is an additional pitfall. Since both the receptor and
the ligand are only considered in the bound state, strain energy from distortions in the complex is not evaluated.
760

39.7. MM(GB)(PB)/SA Analysis Tool: pymdpbsa
This may not be an issue for the receptor if there are no strong induced-fit effects. For the ligand however, this can
amount to a perceivable difference if the bound state adopts a conformation which is definitely higher than for the
unbound ligand in solution. Such "errors" may partially cancel when series of similar ligands are compared in the
same receptor. But it obviously adds to the fuzziness of the results. When in doubt, a trajectory of the ligand alone
(under identical conditions as for the complex) should be recorded to assess the average energy of the ligand in the
unbound state.
39.7.3. Some Technical Remarks on pymdpbsa
pymdpbsa uses ffgbsa (see section 39.4) or the stand-alone Poisson-Boltzmann solver pbsa to evaluate energies.
The tool ptraj is called to decompose the MD trajectory into individual frames for the complex, the ligand, and the
receptor.
Because various temporary files are generated during execution, pymdpbsa automatically creates a sub-
directory in which all calculations are run. This subdirectory (extension .tmpdir) contains all temporary files
and also the final results, copies of which are transferred to the starting working directory upon completion. By
default, the temporary directory is not removed automatically.
The following files are necessary to run pymdpbsa on a receptor-ligand complex:
• a molecular dynamics trajectory file of the complex (any format that can be read by ptraj, including Z-
compressed ones and binary binpos files like those created by mdnab, see section 39.6);
• three AMBER parameter-topology PRM files, one for the complex, one for the ligand alone, and one for the
receptor alone (as created by pytleap, see section 39.3);
39.7.4. Running pymdpbsa
Invoking pymdpbsa without any arguments (or with --help) will list all possible options.
---------------------------------------------------------
pymdpbsa version 0.7 (May 2011)
---------------------------------------------------------
Usage: pymdpbsa [options]
Options:
-h, --help show this help message and exit
--proj=NAME global project name
--traj=FILE MD trajectory file (default: traj.binpos)
--cprm=FILE complex prmtop file (default: com.prm)
--lprm=FILE ligand only prmtop file (default: lig.prm)
--rprm=FILE receptor only prmtop file (default: rec.prm)
--lig=STRING residue name of ligand (default: LIG)
--start=INT first MD frame to be used (default: 1)
--stop=INT last MD frame to be used (default: 1)
--step=INT use every [step] MD frame (default: 1)
--solv=INT 0 for no solvation term (eps=r)
1, 2,5, 7 or 8 for GBSA
3 for PBSA
4 for PBSA/dispersion (default: 1)
--clean clean up temporary files (default: no clean)
You only need to specify options that are different from the default. Thus, you can avoid entering a lot of
options by simply selecting file names like com.prm,rec.prm, and lig.prm for the PRM files, calling the trajectory
file traj.binpos, and by giving the ligand the residue name LIG in your original structure file (the default if pytleap
in section 39.3 was used).
--proj has to be followed by a the global name of the project and all output files will incorporate this string.
The name of the temporary directory created will also start with the project name (followed by sequence
761

39. amberlite: Some AmberTools-Based Utilities
of random characters and the extension ’.tmpdir’). When this options is omitted, the project name becomes
None (not really useful for later identification).
--traj is followed by the filename of the trajectory. As already mentioned, the trajectory file can be any format
which can be processed by the AMBER tool ptraj. If the trajectory file name is traj.binpos, this option can
be omitted.
--cprm,--lprm,--rprm are used to feed in the names for the PRM files of the complex, the ligand, and the
empty receptor. None of these PRM files is generated by pymdpbsa. They must be specified by the user. If
the pytleap utility (see section 39.3) has been used on a complex, these three files should have been created.
If you want to use default names, rename these files to com.prm,rec.prm, and lig.prm.
--lig is used to specify the name of the ligand. This is the (up to 4 characters long) "residue" name the ligand
would have in a PDB file. If the complex has been prepared via pytleap, the ligand name will probably be
LIG (i.e., the default). Note that the ligand is supposed to be one single residue in that case. Alternatively,
the ligand can also be specified by its residue number. Thus if the ligand is residue 281 in the PDB file of the
complex, you may specify --lig 281. This also allows to have multi-residue ligands like in protein-peptide
(protein-protein) complexes. If e.g. the ligand covers residues 134 to 156 in the overall PDB file of the
complex, you can specify --lig ’134-156’.8
--start,--stop, and --step set the first and last frame of the MD trajectory to be used for evaluating the energy,
and the step size (e.g., --step 5 means every fifth frame). By default, these values are all 1, i.e., only the
first frame is used. Thus, the free energy of interaction for a single PDB file can be computed by specifying
as ’trajectory’ (with --traj) the name of the PDB file and neglecting the start/stop/step options.
--solv followed by an integer chooses the solvation option. The default is ’--solv 1’. For values other than
1, 2, 3, 5, 7, and 8, the returned electrostatic energy term is evaluated with a distant-dependent dielectric
function ε=ri j with no additional polar solvation correction. For values 1, 2, 5, 7, or 8, the corresponding
GB variant (igb in AMBER) is used with a nonpolar contribution of 0.0072 * SASA (where the solvent-
accessible surface SASA is computed via molsurf ); for solv = 3, GB is replaced by PB and the non-
polar solvation energy term is 0.005 * SASA + 0.86; for solv = 4, the polar solvation free energy part is
computed with PB, the nonpolar portion is evaluated by a "cavity" term and a "dispersion term";[148] the
detailed settings for this approach are identical to those suggested in the original pbsa documentation; note
that the ’--solv 4’ option is experimental at this stage and not widely tested, ...use with care.
--clean removes the temporary directory, including all PDB or CRD files for the various MD frames. By default,
these files are kept. You might choose to keep the files for debugging purposes in initial runs or for some
graphics of overlays (since proteins are automatically RMS-fitted to the Cαduring the ptraj extraction). In
any case, the relevant data are saved to the working directory, even when the --clean option is used.
39.7.5. Details on Internal Workings and Output of pymdpbsa
The internal workings and the output of pymdpbsa vary depending on the --solv options. In all cases, the ptraj
tool is called to split the trajectory into individual frames. Since each interaction energy evaluation requires three
files (complex, receptor, ligand), the splitting of a trajectory with N frames results in 3·N files.9
39.7.5.1. Distance-Dependent Dielectrics or Generalized Born
For --solv = 0, 1, 2,5,7, or 8, the ffgbsa routine is called to evaluate energy terms. Note: options 7 and 8 are new
ones (so use with care) and require the bondi radii (set with the –rad option in pytleap). Since ffgbsa requires
PDB files as coordinate input, the trajectory is split into individual PDB files. These files are named according to
8Using quotes to include more complex atom masks is a safe way to circumvent problems with the shell interpretation.
9The splitting into ligand and receptor is performed by separate ptraj calls. Depending on the part to be written out, the ptraj command
"strip" followed by an AMBER mask is used to remove the rest of the structure. Thus for example, if the ligand is a residue called LIG,
the ligand alone is obtained with the strip mask "’:*&!:LIG’" meaning "strip off all residues but not the residue named LIG".
762

39.7. MM(GB)(PB)/SA Analysis Tool: pymdpbsa
the project, the part of the structure (C for whole complex, R for receptor alone, L for ligand alone), and the frame
number.
Thus a file TEST.R.pdb.45 would be the PDB file of the empty receptor corresponding to frame 45 of the
trajectory of the project named TEST.
Each run creates four tables with energy values returned by ffgbsa: one for the ligand, one for the receptor, one
for the complex, and one for the interaction energies. The tables inherit the name of the project, followed by L,
or R, or C, or D, (ligand, receptor, complex, and energy difference) and the extension ".nrg". These tables are
simple text files and can be used as input for plotting routines, e.g., to check possible drifts or strong fluctuations.
An excerpt of a *.D.nrg output is shown next:
10 -56.84 0.00 -55.30 -61.67 67.98 -7.85
20 -58.67 -0.00 -52.84 -68.51 70.51 -7.83
...
...
90 -57.21 0.00 -56.83 -52.23 59.57 -7.72
100 -59.20 0.00 -57.10 -41.51 47.27 -7.86
The first column is the frame number, followed by the total energy, the internal force field term (stretch, bend, and
torsion terms), the van der Waals term, the Coulomb term, the Generalized-Born term, and the solvent-accessible
surface term. Note that the internal force field term must be zero (within the limits of precision) in the *.D.nrg
tables because we use a single trajectory and do not account for distortions in the receptor or the ligand. The
corresponding columns in the respective C, R, and L tables will not be zero. In the special case --solv 0, the GB
column has also zero values only.
The final evaluation summary is stored in a file with the project name and the extension ".sum". The summary
shows averages and corresponding standard deviations and mean errors for all energy terms. All values are given
in kcal·mol−1. The header lines show additional information useful for later documentation. An example is shown
below:
=======================================================================
Summary Statistics for Project SOLV5
Frames : 10 to 100 (every 10)
Solvation : GB (--solv=5)
Trajectory File : traj.binpos
Complex parmtop File : com.prm
Receptor parmtop File : rec.prm
Ligand parmtop File : lig.prm
=======================================================================
-----Ligand Energies---------------------------------------------------
Etot = -169.82 ( 3.62, 1.14) Ebat = 64.78 ( 4.69, 1.48)
Evdw = 20.51 ( 2.25, 0.71) Ecoul = -192.35 ( 1.61, 0.51)
EGB = -68.33 ( 1.51, 0.48) Esasa = 5.56 ( 0.06, 0.02)
-----Receptor Energies-------------------------------------------------
Etot = -4045.29 ( 31.63, 10.00) Ebat = 4157.74 ( 37.50, 11.86)
Evdw = -756.47 ( 15.16, 4.79) Ecoul = -4863.38 ( 94.96, 30.03)
EGB = -2681.64 ( 91.98, 29.09) Esasa = 98.45 ( 0.54, 0.17)
-----Complex Energies--------------------------------------------------
Etot = -4276.73 ( 34.61, 10.94) Ebat = 4222.53 ( 39.39, 12.46)
Evdw = -791.58 ( 14.82, 4.69) Ecoul = -5110.62 (102.32, 32.36)
EGB = -2693.26 ( 97.49, 30.83) Esasa = 96.20 ( 0.56, 0.18)
-----Interaction Energy Components-------------------------------------
Etot = -61.62 ( 2.90, 0.92) Ebat = -0.00 ( 0.01, 0.00)
Evdw = -55.62 ( 1.43, 0.45) Ecoul = -54.89 ( 12.81, 4.05)
EGB = 56.70 ( 11.87, 3.75) Esasa = -7.81 ( 0.09, 0.03)
=======================================================================
For --solv = 0, 1, 2, 5, 7, or 8, the solvent-accessible surface is computed via the NAB subroutine molsurf in
ffgbsa. The surface returned by ffgbsa is multiplied by a surface tension of 0.0072 to yield the "nonpolar" free
763

39. amberlite: Some AmberTools-Based Utilities
energy component in kcal/mol. For details about the calls to molsurf, see section 39.4.
As mentioned before, the molsurf routine is generally robust, but has shown problems in some rare cases. Since
the pymdpbsa script requires the output from molsurf (called via ffgbsa), we have built in a catch for these rare
cases. If molsurf should fail, the returned surface value is set to zero for that frame and pymdpbsa emits a warning.
In later statistical evaluations, frames with this problem are excluded from the evaluation, i.e., average values and
standard deviations relate to "healthy" frames only.
39.7.5.2. Poisson-Boltzmann
For --solv = 3 or 4, the pbsa routine is called. This is done by generating a temporary input (control) file for
pbsa called pbsasfe.in. The output of pbsa goes to pbsasfe.out. Both files are left over after the run and can
be used to verify that everything went correctly.
Since pbsa requires CRD files, the trajectory is split into AMBER restart files rather then PDB files. The name
giving is the same as for the PDB files (see 39.7.5.1) except that the "pdb" part in filenames is changed to "crd".
The script eventually calls pbsa by:
pbsa -O -i pbsasfe.in -o pbsasfe.out -p prmfile -c crdfile
The generated output tables are named as for the non-PB settings in section 39.7.5.1. However, the content of
the tables varies slightly:
10 5.85 -55.31 -61.69 92.17 -40.36 71.02
20 2.61 -52.83 -68.54 92.79 -38.97 70.16
...
...
90 -1.51 -56.83 -52.21 78.21 -40.25 69.57
100 0.35 -57.10 -41.55 67.08 -39.25 71.16
The first column is the frame number, followed by the total energy, the van der Waals term, the Coulomb term,
the Poisson-Boltzmann term, the solvent-accessible surface ("cavity") term, and the "dispersion term" (which is
zero if the option --solv=3 was used).
The final evaluation summary is stored in a file with the project name and the extension ".sum". This file is
similar to that shown in section 39.7.5.1 except that some specific terms vary. An example is shown here:
=======================================================================
Summary MDPBSA Statistics for Project SOLV4
Solvation : PB+SAV+DISP (--solv=4)
Frames : 10 to 100 (every 10)
Trajectory File : traj.binpos
Complex parmtop File : com.prm
Receptor parmtop File : rec.prm
Ligand parmtop File : lig.prm
=======================================================================
-----Ligand Energies---------------------------------------------------
Etot = 32.16 ( 2.27, 0.72) Evdw = -4.64 ( 1.92, 0.61)
Ecoul = 106.04 ( 1.70, 0.54) Epb = -72.46 ( 1.37, 0.43)
Ecav = 53.22 ( 0.36, 0.11) Edisp = -49.99 ( 0.43, 0.14)
-----Receptor Energies-------------------------------------------------
Etot = -17754.52 ( 38.42, 12.15) Evdw = -1662.84 ( 8.07, 2.55)
Ecoul = -14139.19 (122.39, 38.70) Epb = -2662.75 ( 90.70, 28.68)
Ecav = 1848.33 ( 6.20, 1.96) Edisp = -1138.08 ( 5.39, 1.70)
-----Complex Energies--------------------------------------------------
Etot = -17719.32 ( 40.29, 12.74) Evdw = -1723.10 ( 8.18, 2.59)
Ecoul = -14088.04 (126.86, 40.12) Epb = -2652.15 ( 94.66, 29.93)
Ecav = 1862.08 ( 6.73, 2.13) Edisp = -1118.11 ( 5.69, 1.80)
-----Interaction Energy Components-------------------------------------
Etot = 3.04 ( 4.12, 1.30) Evdw = -55.62 ( 1.43, 0.45)
Ecoul = -54.90 ( 12.81, 4.05) Epb = 83.06 ( 12.49, 3.95)
Ecav = -39.47 ( 0.88, 0.28) Edisp = 69.96 ( 0.84, 0.27)
764

39.7. MM(GB)(PB)/SA Analysis Tool: pymdpbsa
=======================================================================
39.7.6. Using pymdpbsa for Single-Point Interaction Energy
Since ptraj can read a single coordinate set (frame) as a "trajectory", pymdpbsa can also be used to generate
the free energy of interaction for an isolated PDB or CRD file of a receptor-ligand complex. Just specify for the
"trajectory" (--traj) the name of the single PDB or CRD file and leave the --start,--step and --stop options
to their default of 1. Any of the --solv options can be used.
Obviously, the PRM files for the complex, the receptor, and the ligand, must be available also and must be
specified if their names are different from the default.
In the single-point case, the output looks the same as for the multiple-frame evaluations. The tables have only
one line (record) and the statistical data like standard deviation or standard error in the .sum file are all zero of
course.
39.7.7. Remark Concerning Poisson-Boltzmann Options --solv 3 and --solv 4
The PB option has more adjustable parameters than the GB variants. The --solv 3 option uses the following
settings for calling pbsa:
&cntrl
ntx=1, imin=1, igb=10, inp=1,
/
&pb
epsout=80.0, epsin=1.0, space=0.5, bcopt=6, dprob=1.4,
cutnb=0, eneopt=2,
accept=0.001, sprob=1.6, radiopt=0, fillratio=4,
maxitn=1000, arcres=0.0625,
cavity_surften=0.005, cavity_offset=0.86
/
This command sequence is generated in pymdpbsa in the function pbsacontrol_solv3. Users who want to try
different settings can change this code section of pymdpbsa to their gusto. Read the original pbsa documentation
before doing so, however.
The --solv 4 option to compute interaction energies is highly experimental. Users should read the original
paper of Ray Luo et coworkers[148] before using this option. The command sequence generated by pymdpbsa is
found in the source code in the function pbsacontrol_solv4:
&cntrl
ntx=1, imin=1, igb=10, inp=2
/
&pb
npbverb=0, istrng=0.0, epsout=80.0, epsin=1.0,
radiopt=1, dprob=1.6,
space=0.5, nbuffer=0, fillratio=4.0,
accept=0.001, arcres=0.25,
cutnb=0, eneopt=2,
decompopt=2, use_rmin=1, sprob=0.557, vprob=1.300,
rhow_effect=1.129, use_sav=1,
cavity_surften=0.0378, cavity_offset=-0.5692
/
765

39. amberlite: Some AmberTools-Based Utilities
Figure 39.1.: The 3 S-S links in 1crn.pdb
39.8. Examples and Test Cases
39.8.1. Example 1: Generating AMBER Files for Crambin with Disulfide Bonds
In crambin (1CRN.pdb,...amberlite/examples/CRN), there are 3 disulfide bonds connecting CYS3 to
CYS40, CYS2 to CYS32, and CYS16 to CYS26. In the PDB file, these residues must all be changed from
CYS to CYX. Then a text file (e.g. sslinks) should be created that looks like this:
3 40
2 32
16 26
In the CRN examples subfolder, the file 1crnx.pdb is the modified 1CRN.pdb file with the six cysteines above
changed to CYX in their residue name. Also, everything has been removed except the ATOM records. Since we
create explicitly the disulfide bonds via the bond command in leap, the connectivity records have been discarded
also.
The correct command should be (assuming defaults for most settings):
pytleap --prot 1crnx.pdb --disul sslinks
where sslinks specifies the text file containing the numbers of the residues to be S-S linked (one pair per line). Now
the disulfide bonds are recognized and registered in the PRM file, i.e., all bonded interactions for −CH2−S−S−
CH2−are correctly computed.
The file leap.cmd generated by pytleap shows the bonding between the corresponding SG atoms in the three
disulfide linkages on lines 2 to 5:
set default pbradii mbondi
prot = loadpdb 1crnx.pdb
bond prot.3.SG prot.40.SG
bond prot.4.SG prot.32.SG
bond prot.16.SG prot.26.SG
saveamberparm prot 1crnx.leap.prm 1crnx.leap.crd
savepdb prot 1crnx.leap.pdb
quit
39.8.2. Example 2: Energy Minimization of the Crambin Structure
39.8.2.1. Starting Energy
We can use the files 1crnx.leap.prm and 1crnx.leap.pdb which were created in section 39.8.1 to evaluate the
AMBER energy terms in the unrefined crambin structure with the Generalized-Born option 1 and the SASA
(nonpolar) energy:
766

39.8. Examples and Test Cases
ffgbsa 1crnx.leap.pdb 1crnx.leap.prm 1 1
The result is:
Reading parm file (1crnx.leap.prm)
title:
mm_options: cut=100
mm_options: rgbmax=100
mm_options: diel=C
mm_options: gb=1
iter Total bad vdW elect nonpolar genBorn frms
ff: 0 -813.56 611.05 -92.09 -980.60 0.00 -351.91 1.52e+01
sasa: 3079.71
Esasa = 0.0072 *sasa = 22.17
In this output, the line starting with "ff:" lists the total energy of the system and the components (bad = bond-
angle-dihedral combined energy, i.e., the sum of the bonded terms). The line starting with "sasa:" gives the
solvent-accessible surface in Å2. The final line is the result from SASA multiplied by a surface tension of 0.0072.
All energies are in kcal·mol−1.10
This procedure is a good (although rough) health check of the PRM/PDB (and corresponding PRM/CRD) file
pairs prior to using them in longer simulations. If the starting structure file is considered of good quality (no major
steric bumps) but some of the values reported by ffgbsa look weird, there might be a serious error in the PRM file.
If the coordinate file and the parameter-topology file are incompatible, e.g., different number of atoms or different
order of atoms, ffgbsa will give very strange results in most cases (or fail completely).
39.8.2.2. Energy Minimization with minab
The structure refinement via conjugate gradient minimization can be carried out by the command (all on one
line):
minab 1crnx.leap.pdb 1crnx.leap.prm crambin.min.pdb 1 1000
>crambin.min.out &
We use the GB option 1 and request a maximum of 1000 steps. No restraints are applied. The refined coordinates
go to the PDB file crambin.min.pdb. The output of minab is redirected to the text file crambin.min.out. The final
’&’ puts the process into the background. The minimization can be followed interactively by the command tail
-f crambin.min.out
The last lines of the output are:
------------------------------
initial energy: -814.840 kcal/mol
final energy: -1093.158 kcal/mol
minimizer finished after 619 iterations
refined coordinates written to crambin.min.pdb
------------------------------
Figure 39.2 shows the initial (green) and refined (orange) structure of crambin. The disulfide bonds in the refined
structure are shown in CPK mode to emphasize that the S-S links have been correctly assigned. If this were not
the case, the respective sulfur atoms would drift apart because of non-bonded interactions.
39.8.3. Example 3: Preparation of a Complex between P38 MAP Kinase and Ligand
39.8.3.1. Cleaning Up PDB Entry 1OUK.pdb for Usage with AMBER
In the ...amberlite/examples/P38 directory, the PDB file 1OUK.pdb (P38 MAP kinase with inhibitor) is
included in its original version. The structure (see Figure 39.3) contains a ligand (red), a sulfate ion (yellow),
10Note that the "nonpolar" term in the main energy components line is 0.00 because we compute this term separately. The "nonpolar" term in
NAB applications can also include other terms (e.g., restraints) and is sometimes misleading.
767

39. amberlite: Some AmberTools-Based Utilities
Figure 39.2.: Starting (green) and refined (orange) coordinates of 1CRN. Disulfide bonds in the refined structure
are shown in CPK mode.
Figure 39.3.: Left side: original structure 1OUK.pdb with ligand (red), sulfate (yellow) and water molecules
(blue); right side: final structure p38.pdb with the N- and C-terminal caps.
768

39.8. Examples and Test Cases
Figure 39.4.: The final complex structure com.leap.pdb: The ACE cap becomes residue 1, the NME cap is residue
216, and the ligand is residue LIG 217
and a number of water molecules (blue). The file p38.pdb (also included in ...amberlite/examples/P38) was
created from this PDB file by cutting off a large part of the protein and deleting everything except the heavy atoms.
The resulting "nonnatural" N- and C-terminal were then completed by ACE and NME caps, respectively.11 The
resulting PDB file is "clean" for leap and passes without errors. The ligand was processed separately into SDF
format (file lig.sdf in ...amberlite/examples/P38) including all hydrogens and bond orders. This file is
ready to be processed via antechamber before re-complexing it with the protein (see later).
39.8.3.2. Generating AMBER Files for a P38/Ligand Complex
We re-use as a receptor the reduced and corrected PDB file from section 39.8.3.1,p38.pdb. For the ligand, we
use the lig.sdf file, containing the ligand with its heavy-atoms coordinates from the original pdb file 1OUK.pdb
and hydrogen atoms added via any other software that can handle this kind of problem. Note that the ligand has a
formal charge of +1.
The following command line will create the PRM, CRD, and PDB files for the empty receptor, the ligand, and
the complex; partial charges on the ligand will be computed via the AM1-BCC method;[285,286] the complex
will be named com:
pytleap --prot p38.pdb --lig lig.sdf --chrg 1--cplx com
The longest part in the execution time is the processing of the ligand via the sqm tool to get the AMB1-BCC
charges. During execution, various temporary files appear in the working directory. They result from the different
modules called in antechamber. Most are removed when antechamber has finished.
The resulting AMBER files are called *.leap.prm,*.leap.crd, and *.leap.pdb, respectively. One set of
11This can be done by any modeling software which allows building, but make sure that the final atom and residue names in the cap residues
are those described in section 11.2.
769

39. amberlite: Some AmberTools-Based Utilities
files is generated for the ligand (lig), the receptor (p38), and the complex (com).12
Among the various other files left over, lig.leap.frcmod might be the most relevant to inspect since it contains
parameters which were used in addition to those explicitly present in the gaff parameter set.
The file lig.ac.mol2 is the MOL2 for the ligand containing the gaff atom types and the AM1-BCC partial
charges. This file can be read by a variety of software packages but the atom elements will not be recognized
because atom types are not original TRIPOS atom types, indicating the chemical element.
In the resulting complex, the ligand has the residue name LIG and the residue number 217. The N- and C-
terminal caps ACE and NME get residue numbers 1 and 216.
39.8.4. Example 4: Interaction Energy between P38 and Ligand in the Unrefined
(Original) Complex
We use the files generated in example 3 (section 39.8.3.2). In order to make use of the default settings in the
command line options, we copy the respective files to the default names proposed by pymdpbsa: Make copies (or
symbolic links) of com.leap.prm,p38.leap.prm, and lig.leap.prm to com.prm,rec.prm, and lig.prm. Also, make a
copy (or symbolic link) of com.leap.pdb to com.pdb.
Now the command
pymdpbsa --proj RAWPDB --traj com.pdb
computes the interaction energy. As "trajectory" (--traj) we specify the single complex PDB file com.pdb. We
call the project "RAWPDB" and leave all other input options at their default, i.e., we also use the default GB option
1.
A subdirectory RAWPDB_xxxxxx.tmpdir is generated, where xxxxxx is a random sequence of characters. This
temporary directory can be removed since the relevant output files are copied to the directory in which pymdpbsa
was started. We could also have used the additional command line option --clean to remove the temporary
directory automatically.
The output of interest is the summary file RAWPDB.sum (see also 39.7.5.1 and 39.7.5.2):
=======================================================================
Summary Statistics for Project RAWPDB
Frames : 1 to 1 (every 1)
Solvation : GB (--solv=1)
Trajectory File : com.pdb
Complex parmtop File : com.prm
Receptor parmtop File : rec.prm
Ligand parmtop File : lig.prm
=======================================================================
-----Ligand Energies---------------------------------------------------
Etot = -127.64 ( 0.00, 0.00) Ebat = 117.53 ( 0.00, 0.00)
Evdw = 3.79 ( 0.00, 0.00) Ecoul = -183.01 ( 0.00, 0.00)
EGB = -71.71 ( 0.00, 0.00) Esasa = 5.76 ( 0.00, 0.00)
-----Receptor Energies-------------------------------------------------
Etot = -4072.40 ( 0.00, 0.00) Ebat = 2653.90 ( 0.00, 0.00)
Evdw = 657.95 ( 0.00, 0.00) Ecoul = -4409.58 ( 0.00, 0.00)
EGB = -3068.98 ( 0.00, 0.00) Esasa = 94.31 ( 0.00, 0.00)
-----Complex Energies--------------------------------------------------
Etot = -4250.68 ( 0.00, 0.00) Ebat = 2771.43 ( 0.00, 0.00)
Evdw = 608.82 ( 0.00, 0.00) Ecoul = -4636.90 ( 0.00, 0.00)
EGB = -3086.27 ( 0.00, 0.00) Esasa = 92.24 ( 0.00, 0.00)
-----Interaction Energy Components-------------------------------------
Etot = -50.64 ( 0.00, 0.00) Ebat = 0.00 ( 0.00, 0.00)
Evdw = -52.92 ( 0.00, 0.00) Ecoul = -44.31 ( 0.00, 0.00)
EGB = 54.42 ( 0.00, 0.00) Esasa = -7.83 ( 0.00, 0.00)
12Note that we use the *.leap.*name giving to underline that these files have been generated via leap. This is useful to avoid confusion,
especially for the PDB or CRD files which must correspond to the respective PRM files.
770

39.8. Examples and Test Cases
=======================================================================
39.8.5. Example 5: Minimization of P38 Complex with minab and Resulting Interaction
Energy
We minimize the P38/ligand complex prepared in section 39.8.3. We use the (renamed) PDB file com.pdb, the
corresponding PRM file com.prm, gb = 1 and a maximum of 500 iterations. We tether Cαatoms with a force
constant of 1.0 kcal·mol−1·Å−2. The refined coordinates are written to com.min.pdb. We redirect the output to a
file minab.out.
For the command line
minab com.pdb com.prm com.min.pdb 1 500 ’::CA’ 1.0 >minab.out &
the output file minab.out would be:
Reading parm file (com.prm)
title:
mm_options: cut=100.000000
mm_options: nsnb=501
mm_options: diel=C
mm_options: gb=1
mm_options: rgbmax=15.000000
mm_options: wcons=1.000000
mm_options: ntpr=10
constrained 214 atoms using expression ::CA
constrained 214 atoms from input array
iter Total bad vdW elect nonpolar genBorn frms
ff: 0 -4378.52 2771.43 608.82 -4636.90 0.00 -3121.87 3.31e+01
ff: 10 -5630.74 2669.08 -446.65 -4721.49 0.11 -3131.79 4.86e+00
{...more like this cut from this demo output...}
ff: 490 -6861.80 2521.23 -1205.14 -5170.41 16.59 -3024.07 1.67e-01
ff: 500 -6862.46 2521.87 -1205.86 -5170.56 16.23 -3024.15 1.41e-01
------------------------------
initial energy: -4378.522 kcal/mol
final energy: -6862.463 kcal/mol
minimizer stopped because number of iterations was exceeded
refined coordinates written to com.min.pdb
------------------------------
The minimization did not reach the requested default rms of the components of the gradient of 0.1, but stopped
after the required 500 iterations.
The final line reminds that the refined structure has been saved into the PDB file com.min.pdb. Note that
the energy term listed here under "nonpolar" is actually the energy stemming from the restraints, in this example
tethering all Cαatoms.
We can now repeat the interaction energy computation on the refined complex, using the same settings as for
the raw PDB file in section 39.8.4:
pymdpbsa --proj REFINEDPDB --traj com.min.pdb
with --traj now specifying the refined PDB file com.min.pdb. The resulting summary REFINEDPDB.sum is:
=======================================================================
Summary Statistics for Project MINPDB
Frames : 1 to 1 (every 1)
771

39. amberlite: Some AmberTools-Based Utilities
Solvation : GB (--solv=1)
Trajectory File : com.min.pdb
Complex parmtop File : com.prm
Receptor parmtop File : rec.prm
Ligand parmtop File : lig.prm
=======================================================================
-----Ligand Energies---------------------------------------------------
Etot = -210.13 ( 0.00, 0.00) Ebat = 34.74 ( 0.00, 0.00)
Evdw = 15.06 ( 0.00, 0.00) Ecoul = -195.36 ( 0.00, 0.00)
EGB = -70.16 ( 0.00, 0.00) Esasa = 5.61 ( 0.00, 0.00)
-----Receptor Energies-------------------------------------------------
Etot = -6470.57 ( 0.00, 0.00) Ebat = 2487.56 ( 0.00, 0.00)
Evdw = -1160.97 ( 0.00, 0.00) Ecoul = -4904.64 ( 0.00, 0.00)
EGB = -2988.22 ( 0.00, 0.00) Esasa = 95.70 ( 0.00, 0.00)
-----Complex Energies--------------------------------------------------
Etot = -6750.93 ( 0.00, 0.00) Ebat = 2522.30 ( 0.00, 0.00)
Evdw = -1205.93 ( 0.00, 0.00) Ecoul = -5170.51 ( 0.00, 0.00)
EGB = -2990.31 ( 0.00, 0.00) Esasa = 93.52 ( 0.00, 0.00)
-----Interaction Energy Components-------------------------------------
Etot = -70.25 ( 0.00, 0.00) Ebat = 0.00 ( 0.00, 0.00)
Evdw = -60.02 ( 0.00, 0.00) Ecoul = -70.51 ( 0.00, 0.00)
EGB = 68.07 ( 0.00, 0.00) Esasa = -7.79 ( 0.00, 0.00)
=======================================================================
39.8.6. Example 6: Generate MD Trajectory for the P38-Ligand Complex with mdnab
We use mdnab to run a 100 picoseconds MD trajectory of P38 complex, using as starting geometry the refined
complex com.min.pdb from the previous section:
mdnab com.min.pdb com.prm com 1 100 ’::CA’ 1.0 >md.out &
The trajectory will go to the file com.binpos, specified as the third command line argument (the extension
".binpos" is appended automatically). We tether the Cαatoms with the same force as for the minimization
in 39.8.5 through the last two arguments ’::CA’ and 1.0. The GB option ’1’ is used (fourth argument for the
mdnab command).
The file md.out will start with:
Reading parm file (com.prm)
title:
mm_options: cut=12.000000
mm_options: nsnb=25
mm_options: diel=C
mm_options: gb=1
mm_options: rgbmax=12.000000
mm_options: rattle=1
mm_options: dt=0.002000
mm_options: ntpr=101
mm_options: ntpr_md=10
mm_options: ntwx=0
mm_options: zerov=0
mm_options: tempi=50.000000
mm_options: temp0=100.000000
mm_options: gamma_ln=20.000000
mm_options: wcons=1.000000
constrained 214 atoms using expression ::CA
772

39.8. Examples and Test Cases
The last two lines shown above indicate that all Cαatoms (214 in this case) have indeed been tethered with
a force constant wcons=1.000000. It is important to verify this line to make sure that the atom selection on the
command line (in this case ’::CA’) had the desired effect, especially if more complex expressions are used.
The output file md.out then continues through the heat-up and equilibration stages. Then the time is reset to
zero and the production phase begins. The final lines in the example above are:
...
...
md: 49500 99.000 2137.72 -4563.14 -2425.42 302.35
md: 50000 100.000 2084.67 -4519.03 -2434.36 294.84
trajectory with 100 picoseconds was written to com.binpos...
confirming that 50000 steps (i.e. 100 picoseconds with a stepsize of 2 femtoseconds) have been recorded and
written to the trajectory file com.binpos.
39.8.7. Example 7: Running pymdpbsa on the P38/Ligand Complex Trajectory
If we have previously renamed all PRM files to the expected defaults, since the ligand is called "LIG" by default
in pytleap, and since we want the default GB 1 option, we only enter the project name P38. We use every tenth
frame from the total 100-frames production phase of the trajectory, so that --start 10,--stop 100, and --step
10 are used.
The command line is:
pymdpbsa --proj P38 --traj com.binpos --start 10 --stop 100 --step10&
The summary of the results goes into the file P38.sum and is shown below.
=======================================================================
Summary Statistics for Project P38
Frames : 10 to 100 (every 10)
Solvation : GB (--solv=1)
Trajectory File : com.binpos
Complex parmtop File : com.prm
Receptor parmtop File : rec.prm
Ligand parmtop File : lig.prm
=======================================================================
-----Ligand Energies---------------------------------------------------
Etot = -171.86 ( 3.80, 1.20) Ebat = 65.11 ( 3.96, 1.25)
Evdw = 19.74 ( 2.06, 0.65) Ecoul = -191.30 ( 2.13, 0.67)
EGB = -71.04 ( 0.68, 0.22) Esasa = 5.62 ( 0.05, 0.01)
-----Receptor Energies-------------------------------------------------
Etot = -4246.59 ( 39.66, 12.54) Ebat = 4156.11 ( 34.62, 10.95)
Evdw = -772.67 ( 20.92, 6.61) Ecoul = -4921.45 ( 38.73, 12.25)
EGB = -2804.11 ( 27.70, 8.76) Esasa = 95.53 ( 0.57, 0.18)
-----Complex Energies--------------------------------------------------
Etot = -4478.81 ( 40.64, 12.85) Ebat = 4221.22 ( 36.59, 11.57)
Evdw = -806.44 ( 22.34, 7.07) Ecoul = -5161.88 ( 42.37, 13.40)
EGB = -2825.07 ( 30.74, 9.72) Esasa = 93.36 ( 0.60, 0.19)
-----Interaction Energy Components-------------------------------------
Etot = -60.36 ( 3.30, 1.04) Ebat = -0.00 ( 0.01, 0.00)
Evdw = -53.51 ( 3.65, 1.15) Ecoul = -49.14 ( 12.02, 3.80)
EGB = 50.08 ( 10.21, 3.23) Esasa = -7.80 ( 0.12, 0.04)
=======================================================================
The numbers in parentheses after the actual energy values are the standard deviation and the standard error of
the mean (SEM). Note that the energy term Ebat (the sum of the bond, angle, and torsion terms) for the interaction
energy is zero (or almost so, because of rounding errors). This is the obvious consequence of the single-trajectory
773
39. amberlite: Some AmberTools-Based Utilities
approach because we neglect any strain in the ligand or the receptor. The strain would have to be evaluated by
running three distinct trajectories (i.e., also for the free ligand and the empty receptor).
A directory P38_xxxxxx.tmpdir has been created which contains all files used for the computation, including
the individual structures of each frame. You can savely remove this directory if you are only interested in the actual
results, i.e., the summary file *.sum and the *.X.nrg tables, where Xcan be C (for complex), R (for receptor), L
(for ligand), and D (for the actual ∆Eand ∆Gvalues).
774
Bibliography
[1] Pearlman, D.A.; Case, D.A.; Caldwell, J.W.; Ross, W.S.; Cheatham, T.E. III; DeBolt, S.; Ferguson, D.;
Seibel, G.; Kollman, P. AMBER, a package of computer programs for applying molecular mechanics, nor-
mal mode analysis, molecular dynamics and free energy calculations to simulate the structural and energetic
properties of molecules. Comp. Phys. Commun.,1995,91, 1–41.
[2] Case, D.A.; Cheatham, T.; Darden, T.; Gohlke, H.; Luo, R.; Merz, K.M. Jr.; Onufriev, A.; Simmerling,
C.; Wang, B.; Woods, R. The Amber biomolecular simulation programs. J. Computat. Chem.,2005,26,
1668–1688.
[3] Ponder, J.W.; Case, D.A. Force fields for protein simulations. Adv. Prot. Chem.,2003,66, 27–85.
[4] Cheatham, T.E.; Case, D.A. Twenty-five years of nucleic acid simulations. Biopolymers,2013,99, 969–977.
[5] Harvey, S.; McCammon, J.A. Dynamics of Proteins and Nucleic Acids. Cambridge University Press,
Cambridge, 1987.
[6] Leach, A.R. Molecular Modelling. Principles and Applications, Second Edition. Prentice-Hall, Harlow,
England, 2001.
[7] Cramer, C.J. Essentials of Computational Chemistry: Theories and Models. John Wiley & Sons, New York,
2002.
[8] Allen, M.P.; Tildesley, D.J. Computer Simulation of Liquids. Clarendon Press, Oxford, 1987.
[9] Frenkel, D.; Smit, B. Understanding Molecular Simulation: From Algorithms to Applications. Second
edition. Academic Press, San Diego, 2002.
[10] Tuckerman, M.E. Statistical Mechanics: Theory and Molecular Simulation. Oxford University Press,
Oxford, 2010.
[11] van Gunsteren, W.F.; Weiner, P.K.; Wilkinson, A.J. eds. Computer Simulations of Biomolecular Systems,
Vol. 3. ESCOM Science Publishers, Leiden, 1997.
[12] Pratt, L.R.; Hummer, G. eds. Simulation and Theory of Electrostatic Interactions in Solution. American
Institute of Physics, Melville, NY, 1999.
[13] Becker, O.; MacKerell, A.D.; Roux, B.; Watanabe, M. eds. Computational Biochemistry and Biophysics.
Marcel Dekker, New York, 2001.
[14] Chipot, C.; Pohorille, A. eds. Free energy calculations. Theory and Applications in Chemistry and Biology.
Springer, Berlin, 2007.
[15] Griebel, M.; Knapek, S.; Zumbusch, G. Numerical Simulation in Molecular Dynamics. Numerical Algo-
rithms, Parallelization, Applications. Springer-Verlag, Berlin, 2010.
[16] Skjevik, Åge A.; Madej, Benjamin D.; Walker, R.C.; Teigen, K. Lipid11: A modular framework for lipid
simulations using amber. J. Phys. Chem. B,2012,116(36), 11124–11136.
[17] Dickson, C.J.; Madej, B.D.; Skjevik, A.A.; Betz, R.M.; Teigen, K.; Gould, I.R.; Walker, R.C. Lipid14: The
Amber Lipid Force Field. J. Chem. Theory Comput.,2014,10, 865–879.
775
BIBLIOGRAPHY
[18] Hornak, V.; Abel, R.; Okur, A.; Strockbine, B.; Roitberg, A.; Simmerling, C. Comparison of multiple Amber
force fields and development of improved protein backbone parameters. Proteins,2006,65, 712–725.
[19] Graf, J.; Nguyen, P.H.; Stock, G.; Schwalbe, H. Structure and Dynamics of the Homologous Series of
Alanine Peptides: A Joint Molecular Dynamics/NMR Study. J. Am. Chem. Soc.,2007,129, 1179–1189.
[20] Wickstrom, L.; Okur, A.; Simmerling, C. Evaluating the performance of the ff99SB force field based on
NMR scalar coupling data. Biophys. J.,2009,97, 853–856.
[21] Nguyen, Hai; Roe, Daniel R.; Simmerling, Carlos. Improved Generalized Born Solvent Model Parameters
for Protein Simulations. J. Chem. Theory Comput.,2013,9(4), 2020–2034.
[22] Cheatham, T.E. III; Young, M.A. Molecular dynamics simulation of nucleic acids: Successes, limitations
and promise. Biopolymers,2001,56, 232–256.
[23] Cheatham, T.E. III. Simulation and modeling of nucleic acid structure, dynamics and interactions. Curr.
Opin. Struct. Biol.,2004,14, 360–367.
[24] Varnai, P.; Djuranovic, D.; Lavery, R.; Hartmann, B. alpha/gamma Transitions in the B-DNA backbone.
Nucl. Acids Res.,2002,30, 5398–5406.
[25] Spackova, N.; Cheatham, T.E.; Ryjacek, F.; Lankas, F.; vanMeervelt, L.; Hobza, P.; Sponer, J. Molecular
Dynamics Simulations and Thermodynamics Analysis of DNA-Drug Complexes. Minor Groove Binding
between 4’,6-Diamidino-2-phenylindole and DNA Duplexes in Solution. J. Am. Chem. Soc.,2003,125,
1759–1769.
[26] Perez, A.; Marchan, I.; Svozil, D.; Sponer, J.; Cheatham, T.E.; Laughton, C.A.; Orozco, M. Refinement
of the AMBER Force Field for Nucleic Acids: Improving the Description of alpha/gamma Conformers.
Biophys. J.,2007,92, 3817–3829.
[27] Svozil, D.; Sponer, J.E.; Marchan, I.; Perez, A.; Cheatham, T.E.; Forti, F.; Luque, F.J.; Orozco, M.; Sponer,
J. Geometrical and electronic structure variability of the sugar-phosphate backbone in nucleic acids. J. Phys.
Chem. B,2008,112, 8188–8197.
[28] Banáš, P.; Hollas, D.; Zgarbová, M.; Jurecka, P.; Orozco, M.; Cheatham, T.E. III; Šponer, J.; Otyepka,
M. Performance of molecular mechanics force fields for RNA simulations: Stability of UUCG and GNRA
hairpins. J. Chem. Theory. Comput.,2010,6, 3836–3849.
[29] Zgarbova, M.; Otyepka, M.; Sponer, J.; Mladek, A.; Banas, P.; Cheatham, T.E.; Jurecka, P. Refinement
of the Cornell et al. Nucleic Acids Force Field Based on Reference Quantum Chemical Calculations of
Glycosidic Torsion Profiles. J. Chem. Theory Comput.,2011,7, 2886–2902.
[30] Yildirim, I.; Stern, H.A.; Kennedy, S.D.; Tubbs, J.D.; Turner, D.H. Reparameterization of RNA chi Torsion
Parameters for the AMBER Force Field and Comparison to NMR Spectra for Cytidine and Uridine . J.
Chem. Theory Comput.,2010,6, 1520–1531.
[31] Yildirim, I.; Stern, H.A.; Tubbs, J.D.; Kennedy, S.D.; Turner, D.H. Benchmarking AMBER Force Fields for
RNA: Comparisons to NMR Spectra for Single-Stranded r(GACC) Are Improved by Revised chi Torsions.
J. Phys. Chem. B,2011,115, 9261–9270.
[32] Yildirim, I.; Kennedy, S.D.; Stern, H.A.; Hart, J.M.; Kierzek, R.; Turner, D.H. Revision of AMBER
Torsional Parameters for RNA Improves Free Energy Predictions for Tetramer Duplexes with GC and iGiC
Base Pairs. J. Chem. Theory Comput.,2012,8, 172–181.
[33] Krepl, M.; Zgarbova, M.; Stadlbauer, P.; Otyepka, M.; Banas, P.; Koca, J.; Cheatham, T.E. III; Sponer, J.
Reference simulations of noncanonical nucleic acids with different chi variants of the AMBER force field:
Quadruplex DNA, quadruplex RNA, and Z-DNA. J. Chem. Theory Comp.,2012,8, 2506–2520.
776
BIBLIOGRAPHY
[34] Zgarbová, Marie; Luque, F. Javier; Šponer, Jiˇ
ri; III, Thomas E. Cheatham; Otyepka, Michal; Jureˇ
cka, Petr.
Toward improved description of dna backbone: Revisiting epsilon and zeta torsion force field parameters.
J. Chem. Theory Comput.,2013,9(5), 2339–2354.
[35] Steinbrecher, T.; Latzer, J.; Case, D.A. Revised AMBER Parameters for Bioorganic Phosphates. J. Chem.
Theory Comput.,2012,8, 4405–4412.
[36] Aduri, R.; Psciuk, B.T.; Saro, P.; Taniga, H.; Schlegel, H.B.; SantaLucia, J. Jr. AMBER force field pa-
rameters for the naturally occurring modified nucleosides in RNA. J. Chem. Theory Comput.,2007,3,
1465–1475.
[37] Cerutti, D.S.; Swope, W.C.; Rice, J.E.; Case, D.A. Derivation of fixed partial charges for amino acids
accommodating a specific water model and implicit polarization. J. Phys. Chem. B,2013,Submitted.
[38] Cornell, W.D.; Cieplak, P.; Bayly, C.I.; Gould, I.R.; Merz, K.M. Jr.; Ferguson, D.M.; Spellmeyer, D.C.; Fox,
T.; Caldwell, J.W.; Kollman, P.A. A second generation force field for the simulation of proteins, nucleic
acids, and organic molecules. J. Am. Chem. Soc.,1995,117, 5179–5197.
[39] Duan, Y.; Wu, C.; Chowdhury, S.; Lee, M.C.; Xiong, G.; Zhang, W.; Yang, R.; Cieplak, P.; Luo, R.; Lee,
T. A point-charge force field for molecular mechanics simulations of proteins based on condensed-phase
quantum mechanical calculations. J. Comput. Chem.,2003,24, 1999–2012.
[40] Lee, M.C.; Duan, Y. Distinguish protein decoys by using a scoring function based on a new Amber force
field, short molecular dynamics simulations, and the generalized Born solvent model. Proteins,2004,55,
620–634.
[41] Yang, L.; Tan, C.; Hsieh, M.-J.; Wang, J.; Duan, Y.; Cieplak, P.; Caldwell, J.; Kollman, P.A.; Luo, R.
New-generation Amber united-atom force field. J. Phys. Chem. B,2006,110, 13166–13176.
[42] Wollacott, A.M.; Merz, K.M. Jr. Development of a parameterized force field to reproduce semiempirical
geometries. J. Chem. Theory Comput.,2006,2, 1070–1077.
[43] Kirschner, K.N.; Yongye, A.B.; Tschampel, S.M.; González-Outeiriño, J.; Daniels, C.R.; Foley, B.L.;
Woods, R.J. GLYCAM06: A generalizable biomolecular force field. Carbohydrates. J. Comput. Chem.,
2008,29, 622–655.
[44] Tessier, M.B.; DeMarco, M.L.; Yongye, A.B.; Woods, R.J. Extension of the GLYCAM06 biomolecular
force field to lipids, lipid bilayers and glycolipids. Mol. Simul.,2008,34, 349–363.
[45] DeMarco, M.L.; Woods, R.J. Atomic-resolution conformational analysis of the G(M3) ganglioside in a lipid
bilayer and its implications for ganglioside-protein recognition at membrane surfaces. Glycobiology,2009,
19, 344–355.
[46] DeMarco, M.L.; Woods, R.J.; Prestegard, J.H.; Tian, F. Presentation of Membrane-Anchored Glycosph-
ingolipids Determined from Molecular Dynamics Simulations and NMR Paramagnetic Relaxation Rate
Enhancement. J. Am. Chem. Soc.,2010,132, 1334–1338.
[47] Kadirvelraj, R.; Grant, O.C.; Goldstein, I.J.; Winter, H.C.; Tateno, H.; Fadda, E.; Woods, R.J. Structure and
binding analysis of Polyporus squamosus lectin in complex with the Neu5Acα2-6Galβ1-4GlcNAc human-
type influenza receptor. Glycobiology,2011,21, 973–984.
[48] DeMarco, M.L.; Woods, R.J. From agonist to antagonist: Structure and dynamics of innate immune gly-
coprotein MD-2 upon recognition of variably acylated bacterial endotoxins. Mol. Immunol.,2011,49,
124–133.
[49] Foley, B.L.; Tessier, M.B.; Woods, R.J. Carbohydrate force fields. WIREs Comput. Mol. Sci.,2012,2,
652–697.
777
BIBLIOGRAPHY
[50] Ficko-Blean, E.; Stuart, C.P.; Suits, M.D.; Cid, M.; Tessier, M.; Woods, R.J.; Boraston, A.B. Carbohy-
drate Recognition by an Architecturally Complex α-N-Acetylglucosaminidase from Clostridium perfrin-
gens. PLoS ONE,2012,7, e33524.
[51] Kirschner, K.N.; Woods, R.J. Solvent interactions determine carbohydrate conformation. Proc. Natl. Acad.
Sci. USA,2001,98, 10541–10545.
[52] Woods, R.J. Restrained electrostatic potential charges for condensed phase simulations of carbohydrates. J.
Mol. Struct (Theochem),2000,527, 149–156.
[53] Woods, R.J. Derivation of net atomic charges from molecular electrstatic potentials. J. Comput. Chem.,
1990,11, 29–310.
[54] Basma, M.; Sundara, S.; Calgan, D.; Venali, T.; Woods, R.J. Solvated ensemble averaging in the calculation
of partial atomic charges. J. Comput. Chem.,2001,22, 1125–1137.
[55] Tschampel, S.M.; Kennerty, M.R.; Woods, R.J. TIP5P-consistent treatment of electrostatics for biomolecu-
lar simulations. J. Chem. Theory Comput.,2007,3, 1721–1733.
[56] DeMarco, M. L.; Woods, R. J. Bridging computational biology and glycobiology: A game of snakes and
ladders. Glycobiology,2008,18(6), 426–440.
[57] Feller, S.E. Molecular dynamics simulations of lipid bilayers. Curr. Opin. Colloid Interface Sci.,2000,5,
217–223.
[58] Saiz, L.; Klein, M.L. Computer Simulation Studies of Model Biological Membranes. Acc. Chem. Res.,
2002,35, 482–489.
[59] Lomize, A.; Pogozheva, I.; Lomize, M.; Mosberg, H. The role of hydrophobic interactions in positioning of
peripheral proteins in membranes. BMC Struct. Biol.,2007,7, 44.
[60] Lundstrom, M. L K. H.; Chiu. G Protein-Coupled Receptors in Drug Discovery. Taylor & Francis, London,
2005.
[61] Crowley, M.F.; Williamson, M.J.; Walker, R.C. CHAMBER: Comprehensive support for CHARMM force
fields within the AMBER software. Int. J. Quant. Chem.,2009,109, 3767–3772.
[62] Dickson, C.J.; Rosso, L.; Betz, R.M.; Walker, R.C.; Gould, I.R. GAFFlipid: a General Amber Force Field
for the accurate molecular dynamics simulation of phospholipid. Soft Matter,2012,8, 9617.
[63] Åqvist, J. Ion-water interaction potentials derived from free energy perturbation simulations. J. Phys. Chem.,
1990,94, 8021–8024.
[64] Dang, L. Mechanism and thermodynamics of ion selectivity in aqueous solutions of 18-crown-6 ether: A
molecular dynamics study. J. Am. Chem. Soc.,1995,117, 6954–6960.
[65] Auffinger, P.; Cheatham, T.E. III; Vaiana, A.C. Spontaneous formation of KCl aggregates in biomolecular
simulations: a force field issue? J. Chem. Theory Comput.,2007,3, 1851–1859.
[66] Joung, S.; Cheatham, T.E. III. Determination of alkali and halide monovalent ion parameters for use in
explicitly solvated biomolecular simulations. J. Phys. Chem. B,2008,112, 9020–9041.
[67] Joung, I.S.; Cheatham, T.E. III. Molecular dynamics simulations of the dynamic and energetic properties
of alkali and halide ions using water-model-specific ion parameters. J. Phys. Chem. B,2009,113, 13279–
13290.
[68] Li, P.; Roberts, B.P.; Chakravorty, D.K.; Merz, K.M. Rational Design of Particle Mesh Ewald Compatible
Lennard-Jones Parameters for +2 Metal Cations in Explicit Solvent. J. Chem. Theory Comput.,2013,9,
2733–2748.
778
BIBLIOGRAPHY
[69] Li, P.; Merz, K.M. Taking into Account the Ion-Induced Dipole Interaction in the Nonbonded Model of
Ions. J. Chem. Theory Comput.,2014,10, 289–297.
[70] Jorgensen, W.L.; Chandrasekhar, J.; Madura, J.; Klein, M.L. Comparison of simple potential functions for
simulating liquid water. J. Chem. Phys.,1983,79, 926–935.
[71] Price, D.J.; Brooks, C.L. A modified TIP3P water potential for simulation with Ewald summation. J. Chem.
Phys.,2004,121, 10096–10103.
[72] Jorgensen, W.L.; Madura, J.D. Temperature and size dependence for Monte Carlo simulations of TIP4P
water. Mol. Phys.,1985,56, 1381–1392.
[73] Horn, H.W.; Swope, W.C.; Pitera, J.W.; Madura, J.D.; Dick, T.J.; Hura, G.L.; Head-Gordon, T. Development
of an improved four-site water model for biomolecular simulations: TIP4P-Ew. J. Chem. Phys.,2004,120,
9665–9678.
[74] Horn, H.W.; Swope, W.C.; Pitera, J.W. Characterization of the TIP4P-Ew water model: Vapor pressure and
boiling point. J. Chem. Phys.,2005,123, 194504.
[75] Mahoney, M.W.; Jorgensen, W.L. A five-site model for liquid water and the reproduction of the density
anomaly by rigid, nonpolarizable potential functions. J. Chem. Phys.,2000,112, 8910–8922.
[76] Caldwell, J.W.; Kollman, P.A. Structure and properties of neat liquids using nonadditive molecular dynam-
ics: Water, methanol and N-methylacetamide. J. Phys. Chem.,1995,99, 6208–6219.
[77] Berendsen, H.J.C.; Grigera, J.R.; Straatsma, T.P. The missing term in effective pair potentials. J. Phys.
Chem.,1987,91, 6269–6271.
[78] Wu, Y.; Tepper, H.L.; Voth, G.A. Flexible simple point-charge water model with improved liquid-state
properties. J. Chem. Phys.,2006,124, 024503.
[79] Paesani, F.; Zhang, W.; Case, D.A.; Cheatham, T.E.; Voth, G.A. An accurate and simple quantum model for
liquid water. J. Chem. Phys.,2006,125, 184507.
[80] Cieplak, P.; Caldwell, J.; Kollman, P. Molecular mechanical models for organic and biological systems go-
ing beyond the atom centered two body additive approximation: Aqueous solution free energies of methanol
and N-methyl acetamide, nucleic acid base, and amide hydrogen bonding and chloroform/water partition co-
efficients of the nucleic acid bases. J. Comput. Chem.,2001,22, 1048–1057.
[81] Izadi, S.; Anandakrishnan, R.; Onufriev, A. V. in preparation,2014.
[82] Anandakrishnan, R.; Baker, C.; Izadi, S.; Onufriev, A. V. Point charges optimally placed to represent the
multipole expansion of charge distributions. PloS one,2013,8(7), e67715.
[83] Niu, Shuqiang; Tan, Ming L.; Ichiye, Toshiko. The large quadrupole of water molecules. J. Chem. Phys.,
2011,134(13), 134501+.
[84] Mukhopadhyay, A.; Fenley, A. T.; Tolokh, I. S.; Onufriev, A. V. Charge hydration asymmetry: the basic
principle and how to use it to test and improve water models. J. Phys. Chem. B,2012,116(32), 9776–9783.
[85] Kell, G. S. Precise representation of volume properties of water at one atmosphere. J. Chem. Eng. Data,
1967,12(1), 66–69.
[86] Mills, R. Self-diffusion in normal and heavy water in the range 1-45. deg. The Journal of Physical Chem-
istry,1973,77(5), 685–688.
[87] Fernandez, D. P.; Goodwin, A. R. H.; Lemmon, Eric W.; Levelt Sengers, J. M. H.; Williams, R. C. A
formulation for the static permittivity of water and steam at temperatures from 238 k to 873 k at pressures
up to 1200 mpa, including derivatives and debye huckel coefficients. Journal of Physical and Chemical
Reference Data,1997,26(4), 1125–1166.
779
BIBLIOGRAPHY
[88] Wagner, W.; Pruss, A. The iapws formulation 1995 for the thermodynamic properties of ordinary water
substance for general and scientific use. J. Phys. Chem. Ref. Data,2002,31(2), 387–535.
[89] Skinner, Lawrie B.; Huang, Congcong; Schlesinger, Daniel; Pettersson, Lars G. M.; Nilsson, Anders; Ben-
more, Chris J. Benchmark oxygen-oxygen pair-distribution function of ambient water from x-ray diffraction
measurements with a wide q-range. J. Chem. Phys.,2013,138(7), 074506+.
[90] MacKerell Jr., A.D.; Bashford, D.; Bellott, M.; Dunbrack, R.L.; Evanseck, J.D.; Field, M.J.; Fischer, S.;
Gao, J.; Guo, H.; Ha, S.; Joseph-McCarthy, D.; Kuchnir, L.; Kuczera, K.; Lau, F.T.K.; Mattos, C.; Michnick,
S.; Ngo, T.; Nguyen, D.T.; Prodhom, B.; Reiher, W.E.; Roux, B.; Schlenkrich, M.; Smith, J.C.; Stote, R.;
Straub, J.; Watanabe, M.; Wiorkiewicz-Kuczera, J.; Yin, D.; Karplus, M. All-Atom Empirical Potential for
Molecular Modeling and Dynamics Studies of Proteins. J. Phys. Chem. B,1998,102, 3586–3616.
[91] MacKerell Jr., A.D.; Banavali, N.; Foloppe, N. Development and current status of the CHARMM force field
for nucleic acids. Biopolymers,2000,56, 257–265.
[92] MacKerell, A.D. Jr.; Feig, M.; Brooks III, C.L. Improved Treatment of the Protein Backbone in Empirical
Force Fields. J. Am. Chem. Soc.,2004,126, 698–699.
[93] MacKerell, A.D. Jr.; Feig, M.; Brooks III, C.L. Extending the treatment of backbone energetics in protein
force fields: Limitations of gas-phase quantum mechanics in reproducing protein conformational distribu-
tions in molecular dynamics simulations. J. Computat. Chem.,2004,25, 1400–1415.
[94] Weiner, S.J.; Kollman, P.A.; Case, D.A.; Singh, U.C.; Ghio, C.; Alagona, G.; Profeta, S. Jr.; Weiner, P. A
new force field for molecular mechanical simulation of nucleic acids and proteins. J. Am. Chem. Soc.,1984,
106, 765–784.
[95] Weiner, S.J.; Kollman, P.A.; Nguyen, D.T.; Case, D.A. An all-atom force field for simulations of proteins
and nucleic acids. J. Comput. Chem.,1986,7, 230–252.
[96] Singh, U.C.; Weiner, S.J.; Kollman, P.A. Molecular dynamics simulations of d(C-G-C-G-A).d(T-C-G-C-G)
with and without "hydrated" counterions. Proc. Nat. Acad. Sci.,1985,82, 755–759.
[97] Kollman, P.A.; Dixon, R.; Cornell, W.; Fox, T.; Chipot, C.; Pohorille, A. in Computer Simulation of
Biomolecular Systems, Vol. 3, Wilkinson, A.; Weiner, P.; van Gunsteren, W.F., Eds., pp 83–96. Elsevier,
1997.
[98] Beachy, M.D.; Friesner, R.A. Accurate ab intio quantum chemical determination of the relative energies of
peptide conformations and assessment of empirical force fields. J. Am. Chem. Soc.,1997,119, 5908–5920.
[99] Wang, L.; Duan, Y.; Shortle, R.; Imperiali, B.; Kollman, P.A. Study of the stability and unfolding mechanism
of BBA1 by molecular dynamics simulations at different temperatures. Prot. Sci.,1999,8, 1292–1304.
[100] Higo, J.; Ito, N.; Kuroda, M.; Ono, S.; Nakajima, N.; Nakamura, H. Energy landscape of a peptide consisting
of α-helix, 310 helix, β-turn, β-hairpin and other disordered conformations. Prot. Sci.,2001,10, 1160–1171.
[101] Cheatham, T.E. III; Cieplak, P.; Kollman, P.A. A modified version of the Cornell et al. force field with
improved sugar pucker phases and helical repeat. J. Biomol. Struct. Dyn.,1999,16, 845–862.
[102] Wang, J.; Cieplak, P.; Kollman, P.A. How well does a restrained electrostatic potential (RESP) model
perform in calculating conformational energies of organic and biological molecules? J. Comput. Chem.,
2000,21, 1049–1074.
[103] Cieplak, P.; Cornell, W.D.; Bayly, C.; Kollman, P.A. Application of the multimolecule and multiconfor-
mational RESP methodology to biopolymers: Charge derivation for DNA, RNA and proteins. J. Comput.
Chem.,1995,16, 1357–1377.
[104] Cieplak, P.; Dupradeau, F.-Y.; Duan, Y.; Wang, J. Polarization effects in molecular mechanical force fields.
J. Phys.: Condens. Matter,2009,21, 333102.
780
BIBLIOGRAPHY
[105] Wang, Z.-X.; Zhang, W.; Wu, C.; Lei, H.; Cieplak, P.; Duan, Y. Strike a Balance: Optimization of backbone
torsion parameters of AMBER polarizable force field for simulations of proteins and peptides. J. Comput.
Chem.,2006,27, 781–790.
[106] Dixon, R.W.; Kollman, P.A. Advancing beyond the atom-centered model in additive and nonadditive molec-
ular mechanics. J. Comput. Chem.,1997,18, 1632–1646.
[107] Meng, E.; Cieplak, P.; Caldwell, J.W.; Kollman, P.A. Accurate solvation free energies of acetate and
methylammonium ions calculated with a polarizable water model. J. Am. Chem. Soc.,1994,116, 12061–
12062.
[108] Weiser, J.; Shenkin, P.S.; Still, W.C. Approximate Atomic Surfaces from Linear Combinations of Pairwise
Overlaps (LCPO). J. Computat. Chem.,1999,20, 217–230.
[109] Still, W.C.; Tempczyk, A.; Hawley, R.C.; Hendrickson, T. Semianalytical treatment of solvation for molec-
ular mechanics and dynamics. J. Am. Chem. Soc.,1990,112, 6127–6129.
[110] Schaefer, M.; Karplus, M. A comprehensive analytical treatment of continuum electrostatics. J. Phys.
Chem.,1996,100, 1578–1599.
[111] Edinger, S.R.; Cortis, C.; Shenkin, P.S.; Friesner, R.A. Solvation free energies of peptides: Comparison
of approximate continuum solvation models with accurate solution of the Poisson-Boltzmann equation. J.
Phys. Chem. B,1997,101, 1190–1197.
[112] Jayaram, B.; Sprous, D.; Beveridge, D.L. Solvation free energy of biomacromolecules: Parameters for a
modified generalized Born model consistent with the AMBER force field. J. Phys. Chem. B,1998,102,
9571–9576.
[113] Cramer, C.J.; Truhlar, D.G. Implicit solvation models: Equilibria, structure, spectra, and dynamics. Chem.
Rev.,1999,99, 2161–2200.
[114] Bashford, D.; Case, D.A. Generalized Born models of macromolecular solvation effects. Annu. Rev. Phys.
Chem.,2000,51, 129–152.
[115] Onufriev, A.; Bashford, D.; Case, D.A. Modification of the generalized Born model suitable for macro-
molecules. J. Phys. Chem. B,2000,104, 3712–3720.
[116] Lee, M.S.; Salsbury, F.R. Jr.; Brooks, C.L. III. Novel generalized Born methods. J. Chem. Phys.,2002,116,
10606–10614.
[117] Dominy, B.N.; Brooks, C.L. III. Development of a generalized Born model parameterization for proteins
and nucleic acids. J. Phys. Chem. B,1999,103, 3765–3773.
[118] Tsui, V.; Case, D.A. Molecular dynamics simulations of nucleic acids using a generalized Born solvation
model. J. Am. Chem. Soc.,2000,122, 2489–2498.
[119] Calimet, N.; Schaefer, M.; Simonson, T. Protein molecular dynamics with the generalized Born/ACE
solvent model. Proteins,2001,45, 144–158.
[120] Onufriev, A.; Bashford, D.; Case, D.A. Exploring protein native states and large-scale conformational
changes with a modified generalized Born model. Proteins,2004,55, 383–394.
[121] Srinivasan, J.; Trevathan, M.W.; Beroza, P.; Case, D.A. Application of a pairwise generalized Born model
to proteins and nucleic acids: inclusion of salt effects. Theor. Chem. Acc.,1999,101, 426–434.
[122] Onufriev, A.; Case, D.A.; Bashford, D. Effective Born radii in the generalized Born approximation: The
importance of being perfect. J. Comput. Chem.,2002,23, 1297–1304.
781
BIBLIOGRAPHY
[123] Hawkins, G.D.; Cramer, C.J.; Truhlar, D.G. Parametrized models of aqueous free energies of solvation
based on pairwise descreening of solute atomic charges from a dielectric medium. J. Phys. Chem.,1996,
100, 19824–19839.
[124] Richards, F.M. Areas, volumes, packing, and protein structure. Ann. Rev. Biophys. Bioeng.,1977,6, 151–
176.
[125] Schaefer, M.; Froemmel, C. A precise analytical method for calculating the electrostatic energy of macro-
molecules in aqueous solution. J. Mol. Biol.,1990,216, 1045–1066.
[126] Feig, M.; Onufriev, A.; Lee, M.; Im, W.; Case, D.A.; Brooks, C.L. III. Performance comparison of the
generalized Born and Poisson methods in the calculation of the electrostatic solvation energies for protein
structures. J. Comput. Chem.,2004,25, 265–284.
[127] Geney, R.; Layten, M.; Gomperts, R.; Simmerling, C. Investigation of salt bridge stability in a generalized
Born solvent model. J. Chem. Theory Comput.,2006,2, 115–127.
[128] Okur, A.; Wickstrom, L.; Simmerling, C. Evaluation of salt bridge structure and energetics in peptides using
explicit, implicit and hybrid solvation models. J. Chem. Theory Comput.,2008,4, 488–498.
[129] Okur, A.; Wickstrom, L.; Layten, M.; Geney, R.; Song, K.; Hornak, V.; Simmerling, C. Improved efficiency
of replica exchange simulations through use of a hybrid explicit/implicit solvation model. J. Chem. Theory
Comput.,2006,2, 420–433.
[130] Roe, D.R.; Okur, A.; Wickstrom, L.; Hornak, V.; Simmerling, C. Secondary Structure Bias in Generalized
Born Solvent Models: Comparison of Conformational Ensembles and Free Energy of Solvent Polarization
from Explicit and Implicit Solvation. J. Phys. Chem. B,2007,111, 1846–1857.
[131] Gaillard, T.; Case, D.A. Evaluation of DNA Force Fields in Implicit Solvation. J. Chem. Theory Comput.,
2011,7, 3181–3198.
[132] Hawkins, G.D.; Cramer, C.J.; Truhlar, D.G. Pairwise solute descreening of solute charges from a dielectric
medium. Chem. Phys. Lett.,1995,246, 122–129.
[133] Schaefer, M.; Van Vlijmen, H.W.T.; Karplus, M. Electrostatic contributions to molecular free energies in
solution. Adv. Protein Chem.,1998,51, 1–57.
[134] Tsui, V.; Case, D.A. Theory and applications of the generalized Born solvation model in macromolecular
simulations. Biopolymers (Nucl. Acid. Sci.),2001,56, 275–291.
[135] Sosa, C.P.; Hewitt, T.; Lee, M.S.; Case, D.A. Vectorization of the generalized Born model for molecular
dynamics on shared-memory computers. J. Mol. Struct. (Theochem),2001,549, 193–201.
[136] Mongan, J.; Simmerling, C.; A. McCammon, J.; A. Case, D.; Onufriev, A. Generalized Born with a simple,
robust molecular volume correction. J. Chem. Theory Comput.,2007,3, 156–169.
[137] Sitkoff, D.; Sharp, K.A.; Honig, B. Accurate calculation of hydration free energies using macroscopic
solvent models. J. Phys. Chem.,1994,98, 1978–1988.
[138] Sigalov, G.; Scheffel, P.; Onufriev, A. Incorporating variable environments into the generalized Born model.
J. Chem. Phys.,2005,122, 094511.
[139] Sigalov, G.; Fenley, A.; Onufriev, A. Analytical electrostatics for biomolecules: Beyond the generalized
Born approximation . J. Chem. Phys.,2006,124, 124902.
[140] Luo, R.; David, L.; Gilson, M.K. Accelerated Poisson-Boltzmann calculations for static and dynamic
systems. J. Comput. Chem.,2002,23, 1244–1253.
[141] Wang, Jun; Luo, Ray. Assessment of Linear Finite-Difference Poisson-Boltzmann solvers. J. Comput.
Chem.,2010,31(8), 1689–1698.
782
BIBLIOGRAPHY
[142] Cai, Q.; Hsieh, M.-J.; Wang, J.; Luo, R. Performance of Nonlinear Finite-Difference Poisson-Boltzmann
Solvers. J. Chem. Theory Comput.,2010,6, 203–211.
[143] Honig, B.; Nicholls, A. Classical electrostatics in biology and chemistry. Science,1995,268, 1144–1149.
[144] Lu, Q.; Luo, R. A Poisson-Boltzmann dynamics method with nonperiodic boundary condition. J. Chem.
Phys.,2003,119, 11035–11047.
[145] Gilson, M.K.; Sharp, K.A.; Honig, B.H. Calculating the electrostatic potential of molecules in solution:
method. J. Comput. Chem.,1988,9, 327–35.
[146] Warwicker, J.; Watson, H.C. Calculation of the electric potential in the active site cleft due to. J. Mol. Biol.,
1982,157, 671–679.
[147] Klapper, I.; Hagstrom, R.; Fine, R.; Sharp, K.; Honig, B. Focussing of electric fields in the active stie of Cu,
Zn superoxide dismutase. Proteins,1986,1, 47–59.
[148] Tan, C. H.; Tan, Y. H.; Luo, R. Implicit nonpolar solvent models. J. Phys. Chem. B,2007,111, 12263–
12274.
[149] Gallicchio, E.; Kubo, M.M.; Levy, R.M. Enthalpy-entropy and cavity decomposition of alkane hydration
free energies: Numerical results and implications for theories of hydrophobic solvation. J. Phys. Chem.,
2000,104, 6271–6285.
[150] Floris, F.; Tomasi, J. Evaluation of the dispersion contribution to the solvation energy. A simple computa-
tional model in the continuum approximation. J. Comput. Chem.,1989,10, 616–627.
[151] Davis, M.E.; McCammon, J.A. Solving the finite-difference linearized Poisson-Boltzmann equation – a
comparison of relaxation and conjugate gradient methods. J. Comput. Chem.,1989,10, 386–391.
[152] Nicholls, A.; Honig, B. A rapid finite difference algorithm, utilizing successive over-relaxation to solve the
Poisson-Boltzmann equation. J. Comput. Chem.,1991,12, 435–445.
[153] Bashford, D. An object-oriented programming suite for electrostatic effects in biological molecules. Lect.
Notes Comput. Sci.,1997,1343, 233–240.
[154] Wang, J.; Cai, Q.; Li, Z.; Zhao, H.; Luo, R. Achieving Energy Conservation in Poisson-Boltzmann Molec-
ular Dynamics: Accuracy and Precision with Finite-difference Algorithms. Chem. Phys. Lett.,2009,468,
112.
[155] Li, Z.; K., Ito. The Immbersed Interface Method: numberical sollutions of PDEs involving interfaces and
irregular domains. SIAM Frontiers in Applied Mathematics, Philadelphia, 2006.
[156] Luty, B.A.; Davis, M.E.; McCammon, J.A. Electrostatic energy calculations by a finite-difference method:
Rapid calculation of charge-solvent interaction energies. J. Comput. Chem.,1992,13, 768–771.
[157] Cai, Q.; Wang, J.; Zhao, H.; Luo, R. On removal of charge singularity in Poisson-Boltzmann equation. J.
Chem. Phys.,2009,130, 145101.
[158] Cai, Q.; Ye, X.; Wang, J.; Luo, R. Dielectric boundary force in numerical Poisson-Boltzmann methods:
Theory and numerical strategies. Chem. Phys. Lett.,2011,514, 368–373.
[159] Davis, M.E.; McCammon, J.A. Dielectric boundary smoothing in finite difference solutions of the Poisson
equation: An approach to improve accuracy and convergence. J. Comput. Chem.,1991,12, 909–912.
[160] Wang, J.; Cai, Q.; Xiang, Y.; Luo, R. Reducing Grid Dependence in Finite-Difference Poisson-Boltzmann
Calculations. J. Chem. Theory Comput.,2012,8, 2741–2751.
[161] Davis, M.E.; McCammon, J.A. Electrostatics in biomolecular structure and dynamics. Chem. Rev.,1990,
90, 509–521.
783
BIBLIOGRAPHY
[162] Tan, C. H.; Yang, L. J.; Luo, R. How well does Poisson-Boltzmann implicit solvent agree with explicit
solvent? A quantitative analysis. J. Phys. Chem. B,2006,110, 18680–18687.
[163] Ye, X.; Wang, J.; Luo, R. A Revised Density Function for Molecular Surface Calculation in Continuum
Solvent Models. J. Chem. Theory Comput.,2010,6, 1157–1169.
[164] Cai, Q.; Ye, X.; Wang, J.; Luo, R. On-the-Fly Numerical Surface Integration for Finite-Difference Poisson-
Boltzmann Methods. J. Chem. Theory Comput.,2011,7, 3608–3619.
[165] Cai, Q.; Ye, X.; Luo, R. Dielectric Pressure in Continuum Electrostatic Solvation of Biomolecules. Phys.
Chem. Chem. Phys.,2012,14, 15917–15925.
[166] Hsieh, M.-J.; Luo, R. Exploring a coarse-grained distributive strategy for finite-difference poisson-
boltzmann calculations. Journal of Molecular Modeling,2011.
[167] Gilson, M.K.; Davis, M.E; Luty, B.A.; McCammon, J.A. Computation of electrostatic forces on solvated
molecules using the Poisson-Boltzmann equation. J Phys Chem,1993,97(14), 3591–3600.
[168] Luchko, T.; Gusarov, S.; Roe, D. R.; Simmerling, C.; Case, D. A.; Tuszynski, J.; Kovalenko, A. Three-
dimensional molecular theory of solvation coupled with molecular dynamics in Amber. J. Chem. Theory
Comput.,2010,6, 607–624.
[169] Chandler, D.; Andersen, H. C. Optimized cluster expansions for classical fluids. ii. theory of molecular
liquids. J. Chem. Phys.,1972,57(5), 1930–1937.
[170] Hirata, F.; Rossky, P. J. An extended RISM equation for molecular polar fluids. Chem. Phys. Lett.,1981, pp
329–334.
[171] Hirata, F.; Pettitt, B. M.; Rossky, P. J. Application of an extended rism equation to dipolar and quadrupolar
fluids. J. Chem. Phys.,1982,77(1), 509–520.
[172] Hirata, F.; Rossky, P. J.; Pettitt, B. M. The interionic potential of mean force in a molecular polar solvent
from an extended rism equation. J. Chem. Phys.,1983,78(6), 4133–4144.
[173] Chandler, D.; McCoy, J.; Singer, S. Density functional theory of nonuniform polyatomic systems. i. general
formulation. J. Chem. Phys.,1986,85(10), 5971–5976.
[174] Chandler, D.; McCoy, J.; Singer, S. Density functional theory of nonuniform polyatomic systems. ii. rational
closures for integral equations. J. Chem. Phys.,1986,85(10), 5977–5982.
[175] Beglov, D.; Roux, B. Numerical solution of the hypernetted chain equation for a solute of arbitrary geometry
in three dimensions. J. Chem. Phys.,1995,103(1), 360–364.
[176] Beglov, D.; Roux, B. An integral equation to describe the solvation of polar molecules in liquid water. J.
Phys. Chem. B,1997,101(39), 7821–7826.
[177] Kovalenko, A.; Hirata, F. Three-dimensional density profiles of water in contact with a solute of arbitrary
shape: a RISM approach. Chem. Phys. Lett.,1998,290(1-3), 237–244.
[178] Kovalenko, A.; Hirata, F. Self-consistent description of a metal–water interface by the Kohn–Sham density
functional theory and the three-dimensional reference interaction site model. J. Chem. Phys.,1999,110(20),
10095–10112.
[179] Kovalenko, A. In Hirata [686], chapter 4.
[180] Kovalenko, A.; Hirata, F. Potentials of mean force of simple ions in ambient aqueous solution. i: Three-
dimensional reference interaction site model approach. J. Chem. Phys.,2000,112, 10391–10402.
784
BIBLIOGRAPHY
[181] Kovalenko, A.; Hirata, F. Potentials of mean force of simple ions in ambient aqueous solution. ii: Solva-
tion structure from the three-dimensional reference interaction site model approach, and comparison with
simulations. J. Chem. Phys.,2000,112, 10403–10417.
[182] Hansen, J.-P.; McDonald, I. R. Theory of simple liquids. Academic Press, London, 1990.
[183] Hirata, F. In Molecular Theory of Solvation [686], chapter 1.
[184] Perkyns, J. S.; Pettitt, B. M. A site-site theory for finite concentration saline solutions. J. Chem. Phys.,
1992,97(10), 7656–7666.
[185] Kovalenko, A.; Ten-No, S.; Hirata, F. Solution of three-dimensional reference interaction site model and
hypernetted chain equations for simple point charge water by modified method of direct inversion in iterative
subspace. J. Comput. Chem,1999,20(9), 928–936.
[186] Kaminski, J. W.; Gusarov, S.; Wesolowski, T. A.; Kovalenko, Andiry. Modeling solvatochromic shifts using
the orbital-free embedding potential at statistically mechanically averaged solvent density. J. Phys. Chem.
A,2010,114(20), 6082–6096.
[187] Frigo, M.; Johnson, S. G. FFTW: An adaptive software architecture for the FFT. in Proc. 1998 IEEE Intl.
Conf. Acoustics Speech and Signal Processing, volume 3, pp 1381–1384. IEEE, 1998.
[188] Frigo, M. A fast Fourier transform compiler. in Proc. 1999 ACM SIGPLAN Conf. on Programming Lan-
guage Design and Implementation, volume 34, pp 169–180. ACM, May 1999.
[189] Singer, S. J.; Chandler, D. Free energy functions in the extended RISM approximation. Mol. Phys.,1985,
55, 621–625.
[190] Pettitt, B. M.; Rossky, P. J. Alkali halides in water: Ion-solvent correlations and ion-ion potentials of mean
force at infinite dilution. J. Chem. Phys.,1986,15, 5836–5844.
[191] Kast, Stefan M. Free energies from integral equation theories: Enforcing path independence. Phys. Rev. E,
2003,67, 041203.
[192] Schmeer, G.; Maurer, A. Development of thermodynamic properties of electrolyte solutions with the help
of RISM-calculations at the Born-Oppenheimer level. Phys. Chem. Chem. Phys.,2010,12, 2407–2417.
[193] Gusarov, S.; Ziegler, T.; Kovalenko, A. Self-consistent combination of the three-dimensional RISM theory
of molecular solvation with analytical gradients and the amsterdam density functional package. J. Phys.
Chem. A,2006,110(18), 6083–6090.
[194] Miyata, T.; Hirata, F. Combination of molecular dynamics method and 3D-RISM theory for conformational
sampling of large flexible molecules in solution. J. Comput. Chem., Oct 2007, 29, 871–882.
[195] Kast, Stefan M.; Kloss, Thomas. Closed-form expressions of the chemical potential for integral equation
closures with certain bridge functions. J. Chem. Phys.,2008,129, 236101.
[196] Chandler, David; Singh, Yashwant; Richardson, Diane M. Excess electrons in simple fluids. I. General
equilibrium theory for classical hard sphere solvents. J. Chem. Phys.,1984,81(4), 1975–1982.
[197] Ichiye, Toshiko; Chandler, David. Hypernetted chain closure reference interaction site method theory of
structure and thermodynamics for alkanes in water. J. Phys. Chem.,1988,92(18), 5257–5261.
[198] Lee, Pil H.; Maggiora, Gerald M. Solvation thermodynamics of polar molecules in aqueous solution by the
XRISM method. J. Phys. Chem.,1993,97(39), 10175–10185.
[199] Genheden, S.; Luchko, T.; Gusarov, S.; Kovalenko, A.; Ryde, U. An MM/3D-RISM approach for ligand-
binding affinities. J. Phys. Chem.,2010. Accepted.
785
BIBLIOGRAPHY
[200] Yu, Hsiang-Ai; Roux, Benoit; Karplus, Martin. Solvation thermodynamics: An approach from analytic
temperature derivatives. J. Chem. Phys.,1990,92(8), 5020–5033.
[201] Yamazaki, Takeshi; Blinov, Nikolay; Wishart, David; Kovalenko, Andriy. Hydration effects on the HET-s
prion and amyloid-β2 fibrillous aggregates, studied with three-dimensional molecular theory of solvation.
Biophys. J.,2008,95, 4540–4548.
[202] Yamazaki, T.; Kovalenko, A.; Murashov, V.V.; Patey, G.N. Ion solvation in a water-urea mixture. J. Phys.
Chem. B,2010,114(1), 613–619.
[203] Yu, H.-A.; Karplus, M. A thermodynamic analysis of solvation. J. Chem. Phys.,1988,89, 2366–2379.
[204] Tuckerman, M.E.; Berne, B.J.; Martyna, G.J. Molecular dynamics algorithm for multiple time scales:
Systems with long range forces. J. Chem. Phys.,1991,94, 6811–6815.
[205] Tuckerman, M.; Berne, B.J.; Martyna, G.J. Reversible multiple time scale molecular dynamics. J. Chem.
Phys.,1992,97(3), 1990–2001.
[206] Grubmuumlller, H.; Heller, H.; Windemuth, A.; Schulten, K. Generalized Verlet algorithm for efficient
molecular dynamics simulations with long-range interactions. Mol. Simulat.,1991,6, 121–142.
[207] Schlick, T. Molecular modeling and simulation: an interdisciplinary guide. Springer-Verlag New York,
Inc., Secaucus, NJ, USA, 2002.
[208] Warshel, A. Computer Modeling of Chemical Reactions in Enzymes and Solutions. John Wiley and Sons,
New York, 1991.
[209] Billeter, S.R.; Webb, S.P.; Iordanov, T.; Agarwal, P.K.; Hammes-Schiffer, S. Hybrid approach for including
electronic and nuclear quantum effects in molecular dynamics simulations of hydrogen transfer reactions in
enzymes. J. Chem. Phys.,2001,114, 6925.
[210] Schlegel, H.B.; Sonnenberg, J.L. Empirical valence-bond models for reactive potential energy surfaces
using distributed Gaussians. J. Chem. Theory Comput.,2006,2, 905.
[211] Sonnenberg, J.L.; Schlegel, H.B. Empirical valence bond models for reactive potential energy surfaces. II.
Intramolecular proton transfer in pyridone and the Claisen reaction of allyl vinyl ether. Mol. Phys.,2007,
105, 2719.
[212] Saad, Y.; Schultz, M.H. GMRES: A generalized minimal residual algorithm for solving nonsymmetric
linear systems. SIAM J. Sci. Stat. Comput.,1986,7, 856.
[213] Pulay, P. Convergence acceleration of iterative sequencies. The case of SCF iteration. Chem. Phys. Lett.,
1980,73, 393.
[214] Pulay, P. Improved SCF convergence acceleration. J. Comput. Chem.,1982,3, 556.
[215] Feynman, R.P.; Hibbs, A.R. Quantum Mechanics and Path Integrals. McGraw-Hill, New York, 1965.
[216] Feynman, R.P. Statistcal Mechanics. Benjamin, Reading, MA, 1972.
[217] Kleinert, H. Path Integrals in Quantum Mechanics, Statistics, and Polymer Physics. World Scientific,
Singapore, 1995.
[218] Kumar, S.; Bouzida, D.; Swendsen, R.H.; Kollman, P.A.; Rosenberg, J.M. The weighted histogram analysis
method for free-energy calculations on biomolecules. I. The method. J. Comput. Chem.,1992,13, 1011–
1021.
[219] Kumar, S.; Rosenberg, J.M.; Bouzida, D.; Swendsen, R.H.; Kollman, P.A. Multidimensional free-energy
calculations using the weighted histogram analysis method. J. Comput. Chem.,1995,16, 1339–1350.
786
BIBLIOGRAPHY
[220] Roux, B. The calculation of the potential of mean force using computer simulations. Comput. Phys. Comm.,
1995,91, 275–282.
[221] Frisch, M. J.; Trucks, G. W.; Schlegel, H. B.; Scuseria, G. E.; Robb, M. A.; Cheeseman, J. R.; Scalmani, G.;
Barone, V.; Mennucci, B.; Petersson, G. A.; Nakatsuji, H.; Caricato, M.; Li, X.; Hratchian, H. P.; Izmaylov,
A. F.; Bloino, J.; Zheng, G.; Sonnenberg, J. L.; Hada, M.; Ehara, M.; Toyota, K.; Fukuda, R.; Hasegawa,
J.; Ishida, M.; Nakajima, T.; Honda, Y.; Kitao, O.; Nakai, H.; Vreven, T.; Montgomery, J. A. Jr.; Peralta,
J. E.; Ogliaro, F.; Bearpark, M.; Heyd, J. J.; Brothers, E.; Kudin, K. N.; Staroverov, V. N.; Kobayashi, R.;
Normand, J.; Raghavachari, K.; Rendell, A.; Burant, J. C.; Iyengar, S. S.; Tomasi, J.; Cossi, M.; Rega,
N.; Millam, J. M.; Klene, M.; Knox, J. E.; Cross, J. B.; Bakken, V.; Adamo, C.; Jaramillo, J.; Gomperts,
R.; Stratmann, R. E.; Yazyev, O.; Austin, A. J.; Cammi, R.; Pomelli, C.; Ochterski, J. W.; Martin, R. L.;
Morokuma, K.; Zakrzewski, V. G.; Voth, G. A.; Salvador, P.; Dannenberg, J. J.; Dapprich, S.; Daniels, A. D.;
Farkas, Ö.; Foresman, J. B.; Ortiz, J. V.; Cioslowski, J.; Fox, D. J. Gaussian 09 Revision A.1. Gaussian Inc.
Wallingford CT 2009.
[222] Rappe, A.K.; Casewit, C.J.; Colwell, K.S.; Goddard III, W.A.; Skiff, W.M. UFF, a Full Periodic Table
Force Field for Molecular Mechanics and Molecular Dynamics Simulations. J. Am. Chem. Soc.,1992,114,
10024–10035.
[223] Walker, R.C.; Crowley, M.F.; Case, D.A. The implementation of a fast and accurate QM/MM potential
method in Amber. J. Comput. Chem.,2008,29, 1019–1031.
[224] Seabra, G.M.; Walker, R.C.; Elstner, M.; Case, D.A.; Roitberg, A.E. Implementation of the SCC-DFTB
Method for Hybrid QM/MM Simulations within the Amber Molecular Dynamics Package. J. Phys. Chem.
A.,2007,20, 5655–5664.
[225] Elstner, M.; Porezag, D.; Jungnickel, G.; Elsner, J.; Haugk, M.; Frauenheim, T.; Suhai, S.; Seifert, G. Self-
consistent charge density functional tight-binding method for simulation of complex material properties.
Phys. Rev. B,1998,58, 7260.
[226] Kruger, T.; Elstner, M.; Schiffels, P.; Frauenheim, T. Validation of the density-functional based tight-binding
approximation. J. Chem. Phys.,2005,122, 114110.
[227] Giese, Timothy J.; York, Darrin M. Charge-dependent model for many-body polarization, exchange, and
dispersion interactions in hybrid quantum mechanical/molecular mechanical calculations. J. Chem. Phys.,
2007,127(19), 194101–194111.
[228] Stewart, J.J.P. Optimization of parameters for semiempirical methods I. Method. J. Comput. Chem.,1989,
10, 209–220.
[229] Dewar, M.J.S.; Zoebisch, E.G.; Healy, E.F.; Stewart, J.J.P. AM1: A new general purpose quantum mechan-
ical molecular model. J. Am. Chem. Soc.,1985,107, 3902–3909.
[230] Rocha, G.B.; Freire, R.O.; Simas, A.M.; Stewart, J.J.P. RM1: A Reparameterization of AM1 for H, C, N,
O, P, S, F, Cl, Br and I. J. Comp. Chem.,2006,27, 1101–1111.
[231] Dewar, M.J.S.; Thiel, W. Ground states of molecules. 38. The MNDO method, approximations and param-
eters. J. Am. Chem. Soc.,1977,99, 4899–4907.
[232] Repasky, M.P.; Chandrasekhar, J.; Jorgensen, W.L. PDDG/PM3 and PDDG/MNDO: Improved semiempir-
ical methods. J. Comput. Chem.,2002,23, 1601–1622.
[233] McNamara, J.P.; Muslim, A.M.; Abdel-Aal, H.; Wang, H.; Mohr, M.; Hillier, I.H.; Bryce, R.A. Towards a
quantum mechanical force field for carbohydrates: A reparameterized semiempirical MO approach. Chem.
Phys. Lett.,2004,394, 429–436.
[234] Bernal-Uruchurtu, M. I.; Ruiz-López, M. F. Basic ideas for the correction of semiempirical methods de-
scribing H-bonded systems. Chem. Phys. Lett.,2000,330, 118–124.
787
BIBLIOGRAPHY
[235] Arillo-Flores, O. I.; Ruiz-López, M. F.; Bernal-Uruchurtu, M. I. Can semi-empirical models describe HCl
dissociation in water? Theoret. Chem. Acc.,2007,118, 425–435.
[236] Thiel, Walter; Voityuk, Alexander A. Extension of the MNDO formalism to d orbitals: Integral approxima-
tions and preliminary numerical results. Theoret. Chim. Acta,1992,81, 391–404.
[237] Thiel, Walter; Voityuk, Alexander A. Extension of the MNDO formalism to d orbitals: Integral approxima-
tions and preliminary numerical results. Theoret. Chim. Acta,1996,93, 315.
[238] Thiel, Walter; Voityuk, Alexander A. Erratum: Extension of MNDO to d orbitals: Parameters and results
for the second-row elements and for the zinc group. J. Phys. Chem.,1996,100, 616–626.
[239] Imhof, Petra; Noé, Frank; Fischer, Stefan; Smith, Jeremy C. AM1/d Parameters for Magnesium in Metal-
loenzymes. J. Chem. Theory Comput.,2006,2, 1050–1056.
[240] Nam, Kwangho; Cui, Qiang; Gao, Jiali; York, Darrin M. Specific Reaction Parametrization of the AM1/d
Hamiltonian for Phosphoryl Transfer Reactions: H, O, and P Atoms. J. Chem. Theory Comput.,2007,3,
486–504.
[241] Stewart, J.J.P. Optimization of parameters for semiempirical methods V: Modification of NDDO approxi-
mations and application to 70 elements. J. Mol. Mod.,2007,13, 1173–1213.
[242] Porezag, D.; Frauenheim, T.; Kohler, T.; Seifert, G.; Kaschner, R. Construction of tight-binding-like poten-
tials on the basis of density-functional-theory: Applications to carbon. Phys. Rev. B,1995,51, 12947.
[243] Seifert, G.; Porezag, D.; Frauenheim, T. Calculations of molecules, clusters and solids with a simplified
LCAO-DFT-LDA scheme. Int. J. Quantum Chem.,1996,58, 185.
[244] Elstner, M.; Hobza, P.; Frauenheim, T.; Suhai, S.; Kaxiras, E. Hydrogen bonding and stacking interactions
of nucleic acid base pairs: a density-functional-theory based treatment. J. Chem. Phys.,2001,114, 5149.
[245] Kalinowski, J.A.; Lesyng, B.; Thompson, J.D.; Cramer, C.J.; Truhlar, D.G. Class IV charge model for the
self-consistent charge density-functional tight-binding method. J. Phys. Chem. A,2004,108, 2545–2549.
[246] Yang, Y.; Yu, H.; York, D.M.; Cui, Q.; Elstner, M. Extension of the self-consistent charge density-functional
tight-binding method: Third-order expansion of the density functional theory total energy and introduction
of a modified effective Coulomb interaction. J. Phys. Chem. A,2007,111, 10861–10873.
[247] Korth, Martin. Third-generation hydrogen-bonding corrections for semiempirical qm methods and force
fields. J. Chem. Theory Comput.,2010,6, 3808.
[248] Jurecka, Petr; Cerný, Jirí; Hobza, Pavel; Salahub, Dennis R. Density functional theory augmented with an
empirical dispersion term. Interaction energies and geometries of 80 noncovalent complexes compared with
ab initio quantum mechanics calculations. J. Comp. Chem.,2007,28, 555–569.
[249] Bondi, A. van der Waals volumes and radii. J. Phys. Chem.,1964,68, 441–451.
[250] Korth, Martin; Pitonak, Michal; Rezac, Jan; Hobza, Pavel. A transferable h-bonding correction for semiem-
pirical quantum-chemical methods. J. Chem. Theory Comput.,2010,6, 344–352.
[251] Pellegrini, E.; J. Field, M. A generalized-Born solvation model for macromolecular hybrid-potential calcu-
lations. J. Phys. Chem. A.,2002,106, 1316–1326.
[252] Nam, K.; Gao, J.; York, D. An efficient linear-scaling Ewald method for long-range electrostatic interactions
in combined QM/MM calculations. J. Chem. Theory Comput.,2005,1, 2–13.
[253] Wang, Q.T.; Bryce, R.A. Improved hydrogen bonding at the NDDO-type semiempirical quantum mechani-
cal/molecular mechanical interface. J. Chem. Theory Comput.,2009,5, 2206–2211.
788
BIBLIOGRAPHY
[254] Götz, Andreas W.; Clark, Matthew A.; Walker, Ross C. An extensible interface for QM/MM molecular
dynamics simulations with AMBER. J. Comput. Chem.,2014,35, 95–108.
[255] te Velde, G.; Bickelhaupt, F. M.; Baerends, E. J.; Guerra, C. Fonseca; van Gisbergen, S. J. A.; Snijders,
J. G.; Ziegler, T. Chemistry with ADF. J. Comp. Chem.,2001,22, 931–967.
[256] ADF2011, SCM, Theoretical Chemistry, Vrije Universiteit, Amsterdam, The Netherlands,
http://www.scm.com, accessed 02/29/2012.
[257] Schmidt, Michael W.; Baldridge, Kim K.; Boatz, Jerry A.; Elbert, Steven T.; Gordon, Mark S.; Jensen,
Jan H.; Koseki, Shiro; Matsunaga, Nikita; Nguyen, Kiet A.; Su, Shujun; Windus, Theresa L.; Dupuis,
Michel; Montgomery, John A. Jr. General atomic and molecular electronic structure system. J. Comp.
Chem.,1993,14, 1347–1363.
[258] Gordon, M. S.; Schmidt, M. W. in Theory and Applications of Computational Chemistry, the first forty
years, Dykstra, C. E.; Frenking, G.; Kim, K. S.; Scuseria, G. E., Eds., chapter 41, pp 1167–1189. Elsevier,
Asterdam, 2005.
[259] Valiev, M.; Bylaska, E. J.; Govind, N.; Kowalski, K.; Straatsma, T. P.; van Dam, H. J. J.; Wang, D.;
Niepolcha, J.; Apra, E.; Windus, T. L.; de Jong, W. A. Nwchem: a comprehensive and scalable open-source
solution for large scale molecular simulations. Comput. Phys. Commun.,2010,181, 1477.
[260] Neese, F. ORCA - an ab initio, Density Functional and Semiempirical program package, Version 2.8.0,
University of Bonn, 2010.
[261] Ufimtsev, Ivan S.; Martinez, Todd J. Quantum chemistry on graphical processing units. 3. Analytical energy
gradients, geometry optimization, and first principles molecular dynamics. J. Chem. Theory Comput.,2009,
5, 2619–2628.
[262] Torras, J.; He, Y.; Cao, C.; Muralidharan, K.; Deumens, E.; Cheng, H.; Trickey, S. PUPIL: A systematic
approach to software integration in multi-scale simulations. Comput. Phys. Comm.,2007,177, 265–279.
[263] Torras, J.; Seabra, G.; Deumens, E.; Trickey, S.B.; Roitberg, A.E. A versatile AMBER-Gaussian QM/MM
interface through PUPIL. J. Comput. Chem.,2008,29, 1564–1573.
[264] Bulo, Rosa E.; Michel, Carine; Fleurat-Lessard, Paul; Sautet, Philippe. Multiscale modeling of chemistry
in water: Are we there yet? J. Chem. Theory Comput.,2013,9, 5567–5577.
[265] Bulo, Rosa E.; Ensing, Bernd; Sikkema, Jetze; Visscher, Lucas. Toward a practical method for adaptive
qm/mm simulations. J. Chem. Theory Comput.,2009,9, 2212–2221.
[266] Park, Kyoyeon; Götz, Andreas W.; Walker, Ross C.; Paesani, Francesco. Application of adaptive qm/mm
methods to molecular dynamics simulations of aqueous systems. J. Chem. Theory Comput.,2012,8, 2868–
2877.
[267] Bernstein, N.; Várnai, C.; Solt, I.; Winfield, S. A.; Payne, M. C.; Simon, I.; Fuxreiter, M.; Csányi, G.
Phys. Chem. Chem. Phys.,2011,14, 646–656.
[268] Várnai, Csilla; Bernstein, Noam; Mones, Letif; Csányi, Gábor. Tests of an adaptive qm/mm calculation on
free energy profiles of chemical reactions in solution. J. Phys. Chem. B,2013,117(40), 12202–12211.
[269] Csányi, Gabor; Albaret, T; Moras, G; Payne, M C; Vita, A De. Multiscale hybrid simulation methods for
material systems. Journal of Physics: Condensed Matter,2005,17(27), R691.
[270] Bernstein, N.; Kermode, J. R.; Csányi, G. Hybrid atomistic simulation methods for materials systems.
Rep. Prog. Phys.,2009,72, 026501.
[271] Jones, Andrew; Leimkuhler, Ben. Adaptive stochastic methods for sampling driven molecular systems.
J. Chem. Phys.,2011,135(8), 084125–084125–11.
789
BIBLIOGRAPHY
[272] Kerdcharoen, T; Rode, Bernd Michael. A QM/MM simulation method applied to the solution of Li+ in
liquid ammonia. Chem. Phys.,1996,211(1-3), 313–323.
[273] Dixon, S.L.; Merz, K.M. Jr. Semiempirical molecular orbital calculations with linear system size scaling. J.
Chem. Phys.,1996,104, 6643–6649.
[274] Dixon, S.L.; Merz, K.M. Jr. Fast, accurate semiempirical molecular orbital calculations for macromolecules.
J. Chem. Phys.,1997,107, 879–893.
[275] Monard, G.; Bernal-Uruchurtu, M. I.; Van Der Vaart, A.; Merz, K. M. Jr.; Ruiz-López, M. F. Simulation
of liquid water using semiempirical Hamiltonians and the divide and conquer approach. J. Phys. Chem. A,
2005,109, 3425–3432.
[276] Marion, A.; Monard, G.; Ruiz-López, M. F.; Ingrosso, F. Water interactions with hydrophobic groups:
assessment and recalibration of semiempirical molecular orbital methods. submitted.
[277] Bernal-Uruchurtu, M. I.; Martins-costa, M. T. C.; Millot, C.; Ruiz-López, M. F. Improving Description of
Hydrogen Bonds at the Semiempirical Level : Water - Water Interactions as Test Case. J. Comput. Chem.,
2000,21, 572–581.
[278] Harb, W.; Bernal-Uruchurtu, M. I.; Ruiz-López, M. F. An improved semiempirical method for hydrated
systems. Theor. Chem. Acc.,2004,112, 204–216.
[279] Thiriot, E.; Monard, G. Combining a genetic algorithm with a linear scaling semiempirical method for
protein-ligand docking. J. Mol. Struct. Theochem,2009,898, 31–41.
[280] Ludwig, O.; Schinke, H.; Brandt, W. Reparametrisation of Force Constants in MOPAC 6.0/7.0 for Better
Description of the Activation Barrier of Peptide Bond Rotations. J. Molec. Model.,1996,2, 341–350.
[281] Bergonzo, Christina; Henriksen, Niel M.; Roe, Daniel R.; Swails, Jason M.; Roitberg, Adrian E.;
Cheatham III, Thomas E. Multidimensional Replica Exchange Molecular Dynamics Yields a Converged
Ensemble of an RNA Tetranucleotide. J. Chem. Theory Comput.,2013,10(1), 492–499.
[282] Wang, J.; Wolf, R.M.; Caldwell, J.W.; Kollamn, P.A.; Case, D.A. Development and testing of a general
Amber force field. J. Comput. Chem.,2004,25, 1157–1174.
[283] Wang, B.; Merz, K.M. Jr. A fast QM/MM (quantum mechanical/molecular mechanical) approach to calcu-
late nuclear magnetic resonance chemical shifts for macromolecules. J. Chem. Theory Comput.,2006,2,
209–215.
[284] Peters, M.B.; Yang, Y.; Wang, B.; Fusti-Molnar, L.; Weaver, M.N.; Merz, K.M. Structural Survey of Zinc-
Containing Proteins and Development of the Zinc AMBER Force Field (ZAFF). J. Chem. Theor. Comput.,
2010,6, 2935–2947.
[285] Jakalian, A.; Bush, B.L.; Jack, D.B.; Bayly, C.I. Fast, efficient generation of high-quality atomic charges.
AM1-BCC model: I. Method. J. Comput. Chem.,2000,21, 132–146.
[286] Jakalian, A.; Jack, D.B.; Bayly, C.I. Fast, efficient generation of high-quality atomic charges. AM1-BCC
model: II. Parameterization and Validation. J. Comput. Chem.,2002,23, 1623–1641.
[287] Wang, J.; Kollman, P.A. Automatic parameterization of force field by systematic search and genetic algo-
rithms. J. Comput. Chem.,2001,22, 1219–1228.
[288] Graves, A.P.; Shivakumar, D.M.; Boyce, S.E.; Jacobson, M.P.; Case, D.A.; Shoichet, B.K. Rescoring
docking hit lists for model cavity sites: Predictions and experimental testing. J. Mol. Biol.,2008,377,
914–934.
[289] Jojart, B.; Martinek, T.A. Performance of the general amber force field in modeling aqueous POPC mem-
brane bilayers. J. Comput. Chem.,2007,28, 2051–2058.
790
BIBLIOGRAPHY
[290] Rosso, L.; Gould, I.R. Structure and dynamics of phospholipid bilayers using recently developed general
all-atom force fields. J. Comput. Chem.,2008,29, 24–37.
[291] Wang, J.; Hou, T. Application of Molecular Dynamics Simulations in Molecular Property Prediction. 1.
Density and Heat of Vaporization. J. Chem. Theory Comput.,2011,7, 2151–2165.
[292] Mobley, David L.; Bayly, Christopher I.; Cooper, Matthew D.; Shirts, Michael R.; Dill, Ken A. Small
Molecule Hydration Free Energies in Explicit Solvent: An Extensive Test of Fixed-Charge Atomistic Sim-
ulations. J. Chem. Theory Comput.,2009,5, 350–358.
[293] Kopitz, H.; Zivkovic, A.; Engels, J.W.; Gohlke, H. Determinants of the unexpected stability of RNA
fluorobenzene self pairs. ChemBioChem,2008,9, 2619–2622.
[294] Morishita, T. Fluctuation formulas in molecular-dynamics simulations with the weak coupling heat bath. J.
Chem. Phys.,2000,113, 2976.
[295] Mudi, A.; Chakravarty, C. Effect of the Berendsen thermostat on the dynamical properties of water. Mol.
Phys.,2004,102, 681–685.
[296] Berendsen, H.J.C.; Postma, J.P.M.; van Gunsteren, W.F.; DiNola, A.; Haak, J.R. Molecular dynamics with
coupling to an external bath. J. Chem. Phys.,1984,81, 3684–3690.
[297] Harvey, S.C.; Tan, R.K.; Cheatham, T.E. III. The flying ice cube: Velocity rescaling in molecular dynamics
leads to violation of energy equipartition. J. Comput. Chem.,1998,19, 726–740.
[298] Andrea, T.A.; Swope, W.C.; Andersen, H.C. The role of long ranged forces in determining the structure and
properties of liquid water. J. Chem. Phys.,1983,79, 4576–4584.
[299] Andersen, H.C. Molecular dynamics simulations at constant pressure and/or temperature. J. Chem. Phys.,
1980,72, 2384–2393.
[300] Uberuaga, B.P.; Anghel, M.; Voter, A.F. Synchronization of trajectories in canonical molecular-dynamics
simulations: Observation, explanation, and exploitation. J. Chem. Phys.,2004,120, 6363–6374.
[301] Sindhikara, D.J.; Kim, S.; Voter, A.F.; Roitberg, A.E. Bad seeds sprout perilous dynamics: Stochastic
thermostat induced trajectory synchronization in biomolecules. J. Chem. Theory Comput.,2009,5, 1624–
1631.
[302] Pastor, R.W.; Brooks, B.R.; Szabo, A. An analysis of the accuracy of Langevin and molecular dynamics
algorithms. Mol. Phys.,1988,65, 1409–1419.
[303] Loncharich, R.J.; Brooks, B.R.; Pastor, R.W. Langevin dynamics of peptides: The frictional dependence of
isomerization rates of N-actylananyl-N’-methylamide. Biopolymers,1992,32, 523–535.
[304] Izaguirre, J.A.; Catarello, D.P.; Wozniak, J.M.; Skeel, R.D. Langevin stabilization of molecular dynamics.
J. Chem. Phys.,2001,114, 2090–2098.
[305] Zhang, Y.; Feller, S.E.; Brooks, B.R.; Pastor, R.W. Computer simulation of liquid/liquid interfaces. I. Theory
and application to octane/water. J. Chem. Phys.,1995,103, 10252–10266.
[306] Ryckaert, J.-P.; Ciccotti, G.; Berendsen, H.J.C. Numerical integration of the cartesian equations of motion
of a system with constraints: Molecular dynamics of n-alkanes. J. Comput. Phys.,1977,23, 327–341.
[307] Miyamoto, S.; Kollman, P.A. SETTLE: An analytical version of the SHAKE and RATTLE algorithm for
rigid water models. J. Comput. Chem.,1992,13, 952–962.
[308] Wu, X.; Subramaniam, S.; Case, D.A.; Wu, K.; Brooks, B.R. Targeted conformational search with map-
restrained self-guided langevin dynamics: application to flexible fitting into electron microscopic density
maps. J. Struct. Biology,2013,183, 429–440.
791
BIBLIOGRAPHY
[309] Ren, P.; Ponder, J.W. Consistent treatment of inter- and intramolecular polarization in molecular mechanics
calculations. J. Comput. Chem.,2002,23, 1497–1506.
[310] Ren, P.; Ponder, J.W. Temperature and pressure dependence of the AMOEBA water model. J. Phys. Chem.
B,2004,108, 13427–13437.
[311] Darden, T.; York, D.; Pedersen, L. Particle mesh Ewald–an Nlog(N) method for Ewald sums in large
systems. J. Chem. Phys.,1993,98, 10089–10092.
[312] Essmann, U.; Perera, L.; Berkowitz, M.L.; Darden, T.; Lee, H.; Pedersen, L.G. A smooth particle mesh
Ewald method. J. Chem. Phys.,1995,103, 8577–8593.
[313] Crowley, M.F.; Darden, T.A.; Cheatham, T.E. III; Deerfield, D.W. II. Adventures in improving the scaling
and accuracy of a parallel molecular dynamics program. J. Supercomput.,1997,11, 255–278.
[314] Sagui, C.; Darden, T.A. in Simulation and Theory of Electrostatic Interactions in Solution, Pratt, L.R.;
Hummer, G., Eds., pp 104–113. American Institute of Physics, Melville, NY, 1999.
[315] Toukmaji, A.; Sagui, C.; Board, J.; Darden, T. Efficient particle-mesh Ewald based approach to fixed and
induced dipolar interactions. J. Chem. Phys.,2000,113, 10913–10927.
[316] Sagui, C.; Pedersen, L.G.; Darden, T.A. Towards an accurate representation of electrostatics in classical
force fields: Efficient implementation of multipolar interactions in biomolecular simulations. J. Chem.
Phys.,2004,120, 73–87.
[317] Wu, X.; Brooks, B.R. Isotropic periodic sum: A method for the calculation of long-range interactions. J.
Chem. Phys.,2005,122, 044107.
[318] Klauda, J.B.; Wu, X.; Pastor, R.W.; Brooks, B.R. Long-Range Lennard-Jones and Electrostatic Interactions
in Interfaces. J. Phys. Chem. B,2007,111, 4393–4400.
[319] Takahashi, K.; Yasuoka, K.; Narumi, T. Cutoff radius effect of isotropic periodic sum method for transport.
J. Chem. Phys.,2007,127, 114511.
[320] Wu, X.; Brooks, B.R. Using the Isotropic Periodic Sum Method to Calculate Long-Range Interactions of
Heterogeneous Systems. J. Chem. Phys.,2008,129, 154115.
[321] Wu, X.; Brooks, B.R. Isotropic periodic sum of electrostatic interactions for polar systems. J. Chem. Phys.,
2009,131, 024107.
[322] Venable, R.M.; Chen, L.E.; Pastor, R.W. Comparison of the Extended Isotropic Periodic Sum and Particle
Mesh Ewald Methods for Simulations of Lipid Bilayers and Monolayers. J. Phys. Chem. B,2009,113,
5855–5862.
[323] Goetz, Andreas W; Williamson, Mark J; Xu, Dong; Poole, Duncan; Grand, Scott Le; Walker, Ross C.
Routine microsecond molecular dynamics simulations with AMBER - Part I: Generalized Born. J. Chem.
Theory Comput.,2012,8(5), 1542–1555.
[324] Salomon-Ferrer, Romelia; Goetz, Andreas W; Poole, Duncan; Grand, Scott Le; Walker, Ross C. Routine
microsecond molecular dynamics simulations with AMBER - Part 2: Explicit Solvent Particle Mesh Ewald
.J. Chem. Theory Comput.,2012,in review.
[325] Le Grand, S.; Götz, A.W.; Walker, R.C. SPFP: Speed without compromise–A mixed precision model for
GPU accelerated molecular dynamics simulations. Comput. Phys. Commun.,2013,184, 374–380.
[326] Ren, P.Y.; Ponder, J.W. Polarizable atomic multipole water model for molecular mechanics simulation. J.
Phys. Chem. B,2003,107, 5933–5947.
[327] Ren, P.Y.; Ponder, J.W. Tinker polarizable atomic multipole force field for proteins. to be published.,2006.
792
BIBLIOGRAPHY
[328] Ponder, J.W.; Wu, C.; Ren, P.; Pande, V.S.; Chodera, J.D.; Schieders, M.J.; Haque, I.; Mobley, D.L.;
Lambrecht, D.S.; DiStasio, R.A. Jr.; Head-Gordon, M.; Clark, G.N.I.; Johnson, M.E.; Head-Gordon, T.
Current status of the AMOEBA polarizable force field. J. Phys. Chem. B,2010,114, 2549–2564.
[329] Wu, X.; Brooks, B.R. Self-guided Langevin dynamics simulation method. Chem. Phys. Lett.,2003,381,
512–518.
[330] Wu, X.; Damjanovic, A.; Brooks, B. R. Efficient and unbiased sampling of biomolecular systems in the
canonical ensemble: a review of self-guided langevin dynamics. Adv. Chem. Phys.,2012,150, 255–326.
[331] Wu, X.; Brooks, B.R. Toward canonical ensemble distribution from self-guided Langevin dynamics simu-
lation. J. Chem. Phys.,2011,134, 134108.
[332] Wu, X.; Brooks, B.R. Force-momentum-based self-guided Langevin dynamics: a rapid sampling method
that approaches the canonical ensemble . J. Chem. Phys.,2011,135, 204101.
[333] Wu, X.; Hodoscek, M.; Brooks, B.R. Replica exchanging self-guided Langevin dynamics for efficient and
accurate conformational sampling. J. Chem. Phys.,2012,137, 044106.
[334] Hamelberg, Donald; Mongan, John; McCammon, J. Andrew. Accelerated molecular dynamics: A promis-
ing and efficient simulation method for biomolecules. J. Chem. Phys.,2004,120(24), 11919–11929.
[335] Hamelberg, Donald; de Oliveira, Cesar Augusto F.; McCammon, J.Andrew. Sampling of slow diffusive
conformational transitions with accelerated molecular dynamics. JOURNAL OF PHYSICAL CHEMISTRY,
2007,127(25), 155102–155109.
[336] Grant, Barry J.; Gorfe, Alemayehu A.; McCammon, J. Andrew. Ras conformational switching: Simulating
nucleotide-dependent conformational transitions with accelerated molecular dynamics. PLoS Computa-
tional Biology,2009,5(3), e1000325.
[337] de Oliveira, Cesar Augusto F.; Grant, Barry J.; Zhou, Michelle; McCammon, J. Andrew. Large-scale con-
formational changes of trypanosoma cruzi proline racemase predicted by accelerated molecular dynamics
simulation. PLoS Computational Biology,2011,7(10), e1002178.
[338] Pierce, Levi C.T.; Salomon-Ferrer, Romelia; de Oliveira, Cesar Augusto F; McCammon, J. Andrew; Walker,
Ross C. Routine access to milli-second time scales with accelerated molecular dynamics. J. Chem. Theory
Comput.,2012,8(9), 2997–3002.
[339] Doshi, Urmi; Hamelberg, Donald. Reoptimization of the amber forcefield for peptide bond (omega) torsions
using accelerated molecular dynamics. J. Chem. Phys. B,2009,113, 16590–16595.
[340] Mills, G.; Jönsson, H. Quantum and thermal effects in H2dissociative adsorption: Evaluation of free energy
barriers in multidimensional quantum systems. Phys. Rev. Lett.,1994,72, 1124–1127.
[341] Jönsson, H.; Mills, G.; Jacobsen, K.W. in Classical and Quantum Dynamics in Condensed Phase Simula-
tions, Berne, B.J.; Ciccoti, G.; Coker, D.F., Eds., pp 385–404. World Scientific, Singapore, 1998.
[342] Elber, R.; Karplus M, M. A method for determining reaction paths in large molecules: Application to
myoglobin. Chem. Phys. Lett.,1987,139, 375–380.
[343] Henkelman, G.; Jönsson, H. Improved tangent estimate in the nudged elastic band method for finding
minimum energy paths and saddle points. J. Chem. Phys.,2000,113, 9978–9985.
[344] Henkelman, G.; Uberuaga, B.P.; Jönsson, H. A climbing image nudged elastic band method for finding
saddle points and minimum energy paths. J. Chem. Phys.,2000,113, 9901–9904.
[345] Chu, J.; Trout, B.L.; Brooks, B.R. A super-linear minimization scheme for the nudged elastic band method.
J. Chem. Phys.,2003,119, 12708–12717.
793
BIBLIOGRAPHY
[346] Bergonzo, Christina; Campbell, Arthur J; Walker, Ross C; Simmerling, Carlos. A Partial Nudged Elastic
Band Implementation for Use with Large or Explicitly Solvated Systems. Int J Quantum Chem,2009,
109(15), 3781–3790.
[347] Mathews, D.H.; Case, D.A. Nudged Elastic Band calculation of minimal energy pathways for the confor-
mational change of a GG mismatch. J. Mol. Biol.,2006,357, 1683–1693.
[348] Kolossváry, I.; Guida, W.C. Low mode search. An efficient, automated computational method for confor-
mational analysis: Application to cyclic and acyclic alkanes and cyclic peptides. J. Am. Chem. Soc.,1996,
118, 5011–5019.
[349] Kolossváry, I.; Guida, W.C. Low-mode conformatinoal search elucidated: Application to C39H80 and flexi-
ble docking of 9-deazaguanine inhibitors into PNP. J. Comput. Chem.,1999,20, 1671–1684.
[350] Kolossváry, I.; Keserü, G.M. Hessian-free low-mode conformational search for large-scale protein loop
optimization: Application to c-jun N-terminal kinase JNK3. J. Comput. Chem.,2001,22, 21–30.
[351] Keserü, G.M.; Kolossváry, I. Fully flexible low-mode docking: Application to induced fit in HIV integrase.
J. Am. Chem. Soc.,2001,123, 12708–12709.
[352] Press, W.H.; Flannery, B.P.; Teukolsky, S.A.; Vetterling, W.T. Numerical Recipes: The Art of Scientific
Computing. Cambridge University Press, New York, 1989.
[353] Liu, D.C.; Nocedal, J. On the limited memory method for large scale optimization. Math. Programming B,
1989,45, 503–528.
[354] Nocedal, J.; L. Morales, J. Automatic preconditioning by limited memory quasi-Newton updating. SIAM J.
Opt.,2000,10, 1079–1096.
[355] Kollman, P. Free energy calculations: Applications to chemical and biochemical phenomena. Chem. Rev.,
1993,93, 2395–2417.
[356] Simonson, T. in Computational Biochemistry and Biophysics, Becker, O.; MacKerell, A.D.; Roux, B.;
Watanabe, M., Eds. Marcel Dekker, New York, 2001.
[357] Steinbrecher, T.; Case, D.A.; Labahn, A. A multistep approach to structure-based drug design: Studying
ligand binding at the human neutrophil elastase. J. Med.. Chem.,2006,49, 1837–1844.
[358] Steinbrecher, T.; Hrenn, A.; Dormann, K.; Merfort, I.; Labahn, A. Bornyl (3,4,5-trihydroxy)-cinnamate - An
optimized human neutrophil elastase inhibitor designed by free energy calculations. Bioorg. Med. Chem.,
2008,16, 2385–2390.
[359] Kaus, J.; Pierce, L.C.T.; Walker, R.C.; McCammon, J.A. PMEMD TI: Placeholder. J. Chem. Theory
Comput.,2013.
[360] Hummer, G.; Szabo, A. Calculation of free-energy differences from computer simulations of initial and
final states. J. Chem. Phys.,1996,105, 2004–2010.
[361] Steinbrecher, T.; Mobley, D.L.; Case, D.A. Non-linear scaling schemes for Lennard-Jones interactions in
free energy calculations. J. Chem. Phys.,2007,127, 214108.
[362] Steinbrecher, T.; Joung, I.; Case, D.A. Soft-core potentials in thermodynamic integration: Comparing one-
and two-step transformations. J. Comp. Chem.,2011,32, 3253–3263.
[363] Schilling, T.; Schmid, F. Computing absolute free energies of disordered structures by molecular simulation.
J. Chem. Phys., Dec 2009, 131(23), 231102.
[364] Schmid, Friederike; Schilling, Tanja. A method to compute absolute free energies or enthalpies of fluids.
Physics Procedia,2010,4, 131–143.
794
BIBLIOGRAPHY
[365] Berryman, Joshua T.; Schilling, Tanja. Free Energies by Thermodynamic Integration Relative to an Exact
Solution, Used to Find the Handedness-Switching Salt Concentration for DNA. J. Chem. Theory Comput.,
2013,9, 679–686.
[366] Berryman, Joshua T. Absolute Free Energies for Biomolecules in Implicit or Explicit Solvent. Physics
Procedia,2014,In Press.
[367] Frenkel, Daan; Ladd, Anthony J. C. New Monte Carlo method to compute the free energy of arbitrary
solids. Application to the fcc and hcp phases of hard spheres. J. Chem. Phys.,1984,81, 3188–3193.
[368] Vega, Carlos; Noya, Eva G. Revisiting the Frenkel-Ladd method to compute the free energy of solids: the
Einstein molecule approach. J. Chem. Phys.,2007,127, 154113.
[369] Assaraf, Roland; Caffarel, Michel; Kollias, A. C. Chaotic versus nonchaotic stochastic dynamics in monte
carlo simulations: A route for accurate energy differences in n-body systems. Phys. Rev. Lett., Apr 2011,
106, 150601.
[370] Valleau, J.P.; Torrie, G.M. in Modern Theoretical Chemistry, Vol. 5: Statistical Mechanics, Part A,, Berne,
B.J., Ed. Plenum Press, New York, 1977.
[371] Kottalam, J.; Case, D.A. Dynamics of ligand escape from the heme pocket of myoglobin. J. Am. Chem.
Soc.,1988,110, 7690–7697.
[372] Kästner, J.; Thiel, W. Bridiging the gap between thermodynamic integration and umbrella sampling provides
a novel analysis method: "Umbrella integration". J. Chem. Phys.,2005,123, 144104.
[373] Mitsutake, A.; Sugita, Y.; Okamoto, Y. Generalized-ensemble algorithms for molecular simulations of
biopolymers. Biopolymers,2001,60, 96–123.
[374] Nymeyer, H.; Gnanakaran, S.; García, A.E. Atomic simulations of protein folding using the replica ex-
change algorithm. Meth. Enzymol.,2004,383, 119–149.
[375] Cheng, X.; Cui, G.; Hornak, V.; Simmerling, C. Modified replica exchange simulation methods for local
structure refinement. J. Phys. Chem. B,2005,109, 8220–8230.
[376] Meng, Yilin; Sabri Dashti, Danial; Roitberg, Adrian E. Computing Alchemical Free Energy Differences
with Hamiltonian Replica Exchange Molecular Dynamics (H-REMD) Simulations. J. Chem. Theory Com-
put.,2011,7(9), 2721–2727.
[377] Itoh, Satoru G.; Damjanovic, Ana; Brooks, Bernard R. pH replica-exchange method based on discrete
protonation states. Proteins,2011,79, 3420–3436.
[378] Swails, Jason M.; Roitberg, Adrian E. Enhancing Conformation and Protonation State Sampling of Hen
Egg White Lysozyme Using pH Replica Exchange Molecular Dynamics. J. Chem. Theory Comput.,2012,
8(11), 4393–4404.
[379] Okur, A.; Roe, D.R.; Cui, G.; Hornak, V.; Simmerling, C. Improving convergence of replica-exchange
simulations through coupling to a high-temperature structure reservoir. J. Chem. Theory comput.,2007,3,
557–568.
[380] Roitberg, A.E.; Okur, A.; Simmerling, C. Coupling of replica exchange simulations to a non-Boltzmann
structure reservoir. J. Phys. Chem. B,2007,111, 2415–2418.
[381] Sabri Dashti, Danial; Roitberg, Adrian E. Calculating the pKa Shift of Titratable Group at Position 66 of
Staphylococcal Nuclease Mutant with the Replica Exchange Free Energy Perturbation method (REFEP). In
preparation,2012.
[382] Sabri Dashti, Danial; Roitberg, Adrian E. Optimization of Umbrella Sampling Replica Exchange Molecular
Dynamics by Replica Positioning. J. Chem. Theory Comput.,2013,9(11), 4692–4699.
795
BIBLIOGRAPHY
[383] Fajer, Mikolai; Hamelberg, Donald; McCammon, J. Andrew. Replica-Exchange Accelerated Molecular
Dynamics (REXAMD) Applied to Thermodynamic Integration. J. Chem. Theory Comput.,2008,4(10),
1565–1569.
[384] Arrar, Mehrnoosh; de Oliveira, Cesar Augusto F.; Fajer, Mikolai; Sinko, William; McCammon, J. An-
drew. w-REXAMD: A Hamiltonian Replica Exchange Approach to Improve Free Energy Calculations for
Systems with Kinetically Trapped Conformations. J. Chem. Theory Comput.,2013,9(1), 18–23.
[385] Shirts, Michael R; Chodera, John D. Statistically optimal analysis of samples from multiple equilibrium
states. J. Chem. Phys.,2008,129(12), 124105–124105–10.
[386] Pohorille, Andrew; Jarzynski, Christopher; Chipot, Christophe. Good practices in Free-Energy calculations.
J. Phys. Chem. B,2010,114(32), 10235–10253.
[387] Swails, Jason M. Free Energy Simulations of Complex Biological Systems at Constant pH. PhD thesis,
University of Florida, July 2013.
[388] Babin, V.; Roland, C.; Sagui, C. Adaptively biased molecular dynamics for free energy calculations. J.
Chem. Phys.,2008,128, 134101.
[389] Huber, Thomas; Torda, Andrew E.; van Gunsteren, Wilfred F. Local elevation: a method for improving the
searching properties of molecular dynamics simulation. J. Comput. Aided. Mol. Des.,1994,8, 695–708.
[390] Wang, Fugao; Landau, D. P. Efficient, multiple-range random walk algorithm to calculate the density of
states. Phys. Rev. Lett.,2001,86, 2050–2053.
[391] Darve, Eric; Pohorille, Andrew. Calculating free energies using average force. J. Chem. Phys.,2001,115,
9169–9183.
[392] Laio, A.; Parrinello, M. Escaping free-energy minima. Proc. Natl. Acad. Sci.,2002,99, 12562–12566.
[393] Iannuzzi, M.; Laio, A.; Parrinello, M. Efficient exploration of reactive potential energy surfaces using
car-parrinello molecular dynamics. Phys. Rev. Lett.,2003,90, 238302–1.
[394] Lelièvre, Tony; Rousset, Mathias; Stoltz, Gabriel. Computation of free energy profiles with parallel adaptive
dynamics. J. Chem. Phys.,2007,126, 134111.
[395] Raiteri, Paolo; Laio, Alessandro; Gervasio, Francesco Luigi; Micheletti, Cristian; Parrinello, Michele. Effi-
cient reconstruction of complex free energy landscapes by multiple walkers metadynamics. J. Phys. Chem.,
2006,110, 3533–3539.
[396] Sugita, Yuji; Kitao, Akio; Okamoto, Yuko. Multidimensional replica-exchange method for free-energy
calculations. J. Chem. Phys.,2000,113, 6042–6051.
[397] Bussi, Giovanni; Gervasio, Francesco Luigi; Laio, Alessandro; Parrinello, Michele. Free-energy landscape
for βhairpin folding from combined parallel tempering and metadynamics. J. Am. Chem. Soc.,2006,128,
13435–13441.
[398] Piana, S.; Laio, A. A bias-exchange approach to protein folding. J. Phys. Chem. B,2007,111, 4553–4559.
[399] Coutsias, E. A.; Seok, C.; Dill, K. A. Using quaternions to calculate RMSD. J. Comput. Chem.,2004,25,
1849–1857.
[400] Park, Sanghyun; Khalili-Araghi, Fatemeh; Tajkhorshid, Emad; Schulten, Klaus. Free energy calculation
from steered molecular dynamics simulations using Jarzynski’s equality. J. Chem. Phys.,2003,119, 3559–
3566.
[401] Matsumoto, Makoto; Nishimura, Takuji. Mersenne twister: a 623-dimensionally equidistributed uniform
pseudo-random number generator. ACM Trans. Model. Comput. Simul.,1998,8, 3–30.
796
BIBLIOGRAPHY
[402] Babin, Volodymyr; Sagui, Celeste. Conformational free energies of methyl-alpha-l-iduronic and methyl-
beta-d-glucuronic acids in water. J. Chem. Phys.,2010,132(10), 104108.
[403] Jensen, M.O.; Park, S.; d, E.Tajkhorshi; Schulten, K. Energetics of glycerol conduction through aquaglyc-
eroporin GlpF. Proc. Natl. Acad. Sci. USA,2002,99, 6731–6736.
[404] Crespo, A.; Marti, M.A.; Estrin, D.A.; Roitberg, A.E. Multiple-steering QM-MM calculation of the free
energy profile in chorismate mutase. J. Am. Chem. Soc.,2005,127, 6940–6941.
[405] Jarzynski, C. Nonequilibrium equality for free energy differences. Phys. Rev. Lett.,1997,78, 2690–2693.
[406] Hummer, G.; Szabo, A. Free energy reconstruction from nonequilibrium single-molecule pulling experi-
ments. Proc. Natl. Acad. Sci. USA,2001,98, 3658.
[407] Hummer, G.; Szabo, A. Kinetics from nonequilibrium single-molecule pulling experiments. Biophys. J.,
2003,85, 5–15.
[408] Mongan, J.; Case, D.A.; McCammon, J.A. Constant pH molecular dynamics in generalized Born implicit
solvent. J. Comput. Chem.,2004,25, 2038–2048.
[409] Swails, Jason M.; York, Darrin M.; Roitberg, Adrian E. Constant pH replica exchange molecular dynamics
in explicit solvent using discrete protonation states: implementation, testing, and validation. J. Chem. Theory
Comput.,2014,Just Accepted.
[410] Duggan, B.M.; Legge, G.B.; Dyson, H.J.; Wright, P.E. SANE (Structure Assisted NOE Evaluation): An
automated model-based approach for NOE assignment. J. Biomol. NMR,2001,19, 321–329.
[411] Kalk, A.; Berendsen, H.J.C. Proton magnetic relaxation and spin diffusion in proteins. J. Magn. Reson.,
1976,24, 343–366.
[412] Olejniczak, E.T.; Weiss, M.A. Are methyl groups relaxation sinks in small proteins? J. Magn. Reson.,1990,
86, 148–155.
[413] Cross, K.J.; Wright, P.E. Calibration of ring-current models for the heme ring. J. Magn. Reson.,1985,64,
220–231.
[414] Ösapay, K.; Case, D.A. A new analysis of proton chemical shifts in proteins. J. Am. Chem. Soc.,1991,113,
9436–9444.
[415] Case, D.A. Calibration of ring-current effects in proteins and nucleic acids. J. Biomol. NMR,1995,6,
341–346.
[416] Banci, L.; Bertini, I.; Gori-Savellini, G.; Romagnoli, A.; Turano, P.; Cremonini, M.A.; Luchinat, C.; Gray,
H.B. Pseudocontact shifts as constraints for energy minimization and molecular dynamics calculations on
solution structures of paramagnetic metalloproteins. Proteins,1997,29, 68.
[417] Sanders, C.R. II; Hare, B.J.; Howard, K.P.; Prestegard, J.H. Magnetically-oriented phospholipid micelles as
a tool for the study of membrane-associated molecules. Prog. NMR Spectr.,1994,26, 421–444.
[418] Tsui, V.; Zhu, L.; Huang, T.H.; Wright, P.E.; Case, D.A. Assessment of zinc finger orientations by residual
dipolar coupling constants. J. Biomol. NMR,2000,16, 9–21.
[419] Case, D.A. Calculations of NMR dipolar coupling strengths in model peptides. J. Biomol. NMR,1999,15,
95–102.
[420] Gippert, G.P.; Yip, P.F.; Wright, P.E.; Case, D.A. Computational methods for determining protein structures
from NMR data. Biochem. Pharm.,1990,40, 15–22.
[421] Case, D.A.; Wright, P.E. in NMR in Proteins, Clore, G.M.; Gronenborn, A., Eds., pp 53–91. MacMillan,
New York, 1993.
797
BIBLIOGRAPHY
[422] Case, D.A.; Dyson, H.J.; Wright, P.E. Use of chemical shifts and coupling constants in nuclear magnetic
resonance structural studies on peptides and proteins. Meth. Enzymol.,1994,239, 392–416.
[423] Brüschweiler, R.; Case, D.A. Characterization of biomolecular structure and dynamics by NMR cross-
relaxation. Prog. NMR Spectr.,1994,26, 27–58.
[424] Case, D.A. The use of chemical shifts and their anisotropies in biomolecular structure determination. Curr.
Opin. Struct. Biol.,1998,8, 624–630.
[425] Torda, A.E.; Scheek, R.M.; VanGunsteren, W.F. Time-dependent distance restraints in molecular dynamics
simulations. Chem. Phys. Lett.,1989,157, 289–294.
[426] Pearlman, D.A.; Kollman, P.A. Are time-averaged restraints necessary for nuclear magnetic resonance
refinement? A model study for DNA. J. Mol. Biol.,1991,220, 457–479.
[427] Torda, A.E.; Brunne, R.M.; Huber, T.; Kessler, H.; van Gunsteren, W.F. Structure refinement using time-
averaged J-coupling constant restraints. J. Biomol. NMR,1993,3, 55–66.
[428] Pearlman, D.A. How well to time-averaged J-coupling restraints work? J. Biomol. NMR,1994,4, 279–299.
[429] Pearlman, D.A. How is an NMR structure best defined? An analysis of molecular dynamics distance-based
approaches. J. Biomol. NMR,1994,4, 1–16.
[430] Brünger, A.T.; Adams, P.D.; Clore, G.M.; Delano, W.L.; Gros, P.; Grosse-Kunstleve, R.W.; Jiang, J.-S.;
Kuszewski, J.; Nilges, M.; Pannu, N.S.; Read, R.J.; Rice, L.M.; Simonson, T.; Warren, G.L. Crystallography
and NMR system (CNS): A new software system for macromolecular structure determination. Acta Cryst.
D,1998,54, 905–921.
[431] Yu, N.; Yennawar, H.P.; Merz, K.M. Jr. Refinement of protein crystal structures using energy restraints
derived from linear-scaling quantum mechanics . Acta Cryst. D,2005,61, 322–332.
[432] Yu, N.; Li, X.; Cui, G.; Hayik, S.; Merz, K.M. Jr. Critical assessment of quantum mechanics based energy
restraints in protein crystal structure refinement. Prot. Sci.,2006,15, 2773–2784.
[433] Yang, W.; Lee, T.-S. A density-matrix divide-and-conquer approach for electronic structure calculations of
large molecules. J. Chem. Phys.,1995,103, 5674–5678.
[434] Wu, X.; Milne, J. L.; Borgnia, M. J.; Rostapshov, A. V.; Subramaniam, S.; Brooks, B. R. A core-weighted
fitting method for docking atomic structures into low-resolution maps: application to cryo-electron mi-
croscopy. J Struct Biol,2003,141, 63–76.
[435] Milne, J. L.; Wu, X.; Borgnia, M. J.; Lengyel, J. S.; Brooks, B. R.; Shi, D.; Perham, R. N.; Subramaniam,
S. Molecular structure of a 9-MDa icosahedral pyruvate dehydrogenase subcomplex containing the E2 and
E3 enzymes using cryoelectron microscopy. J Biol Chem,2006,281, 4364–70.
[436] Wu, X.; Brooks, B. R. Modeling of Macromolecular assemblies with map objects. Proc. 2007 Int. Conf.
Bioinform. Comput. Biol.,2007,II, 411–417.
[437] Khursigara, C. M.; Wu, X.; Zhang, P.; Lefman, J.; Subramaniam, S. Role of HAMP domains in chemotaxis
signaling by bacterial chemoreceptors. PNAS,2008,105, 16555–60.
[438] Lengyel, J. S.; Stott, K. M.; Wu, X.; Brooks, A. B. R.and Balbo; Schuck, P.; Perham, R. N.; Subramaniam,
S.; Milne, J. L. Extended polypeptide linkers establish the spatial architecture of a pyruvate dehydrogenase
multienzyme complex. Structure,2008,16, 93–103.
[439] Khursigara, C. M.; Wu, X.; ; Subramaniam, S. Chemoreceptors in Caulobacter crescentus: trimers of
receptor dimers in a partially ordered hexagonally packed array. J Bacteriol,2008,190, 6805–10.
798
BIBLIOGRAPHY
[440] Elegheert, J.; Desfosses, A.; Shkumatov, A. V.; Wu, X.; Bracke, N.; Verstraete, K.; Van Craenenbroeck, K.;
Brooks, B. R.; Svergun, D. I.; Vergauwen, B.; Gutsche, I.; Savvides, S. N. Extracellular complexes of the
hematopoietic human and mouse CSF-1 receptor are driven by common assembly principles . Structure,
2011,19, 1762–72.
[441] Khursigara, C. M.; Lan, G.; Neumann, S.; Wu, X.; Ravindran, S.; Borgnia, M. J.; Sourjik, V.; Milne, J.; Tu,
Y.; Subramaniam, S. Lateral density of receptor arrays in the membrane plane influences sensitivity of the
E. coli chemotaxis response. Embo J,2011,30, 1719–29.
[442] Miranker, A.; Karplus, M. Functionality maps of binding sites: A multiple copy simultaneous search
method. Proteins: Str. Funct. Gen.,1991,11, 29–34.
[443] Cheng, X.; Hornak, V.; Simmerling, C. Improved conformational sampling through an efficient combination
of mean-field simulation approaches. J. Phys. Chem. B,2004,108.
[444] Simmerling, C.; Fox, T.; Kollman, P.A. Use of Locally Enhanced Sampling in Free Energy Calculations:
Testing and Application of the alpha to beta Anomerization of Glucose. J. Am. Chem. Soc.,1998,120,
5771–5782.
[445] Straub, J.E.; Karplus, M. Enery partitioning in the classical time-dependent Hartree approximation. J.
Chem. Phys.,1991,94, 6737.
[446] Ulitsky, A.; Elber, R. The thermal equilibrium aspects of the time-dependent Hartree and the locally en-
hanced sampling approximations: Formal properties, a correction, and computational examples for rare gas
clusters. J. Chem. Phys.,1993,98, 3380.
[447] Schulman, L.S. Techniques and Applications of Path Integration. Wiley & Sons, New York, 1996.
[448] Chandler, D.; Wolynes, P.G. Exploiting the isomorphism between quantum theory and classical statistical
mechanics of polyatomic fluids. J. Chem. Phys.,1981,74, 4078–4095.
[449] Ceperley, D.M. Path integrals in the theory of condensed helium. Rev. Mod. Phys.,1995,67, 279–355.
[450] Martyna, G.J.; Klein, M.L.; Tuckerman, M. Nosié-Hoover chains: The canonical ensemble via continuous
dynamics. J. Chem. Phys.,1992,97, 2635.
[451] Berne, B.J.; Thirumalai, D. On the simulation of quantum systems: path integral methods. Annu. Rev. Phys.
Chem.,1986,37, 401.
[452] Cao, J.; Berne, B.J. On energy estimators in path integral Monte Carlo simulations: Dependence of accuracy
on algorithm. J. Chem. Phys.,1989,91, 6359–6366.
[453] Martyna, G.J.; Hughes, A.; Tuckerman, M.E. Molecular dynamics algorithms for path integrals at constant
pressure. J. Chem. Phys.,1999,110, 3275.
[454] Voth, G.A. Path-integral centroid methods in quantum statistcal mechanics and dynamics. Adv. Chem.
Phys.,1996,93, 135.
[455] Craig, I.R.; Manolopoulos, D.E. Quantum statistics and classical mechnanics: Real time correlation func-
tions from ring polymer molecular dynamics. J. Chem. Phys.,2004,121, 3368.
[456] Cao, J.; Voth, G.A. The formulation of quantum statistical mechanics based on the Feynman path centroid
density. IV. Algorithms for centroid molecular dynamics. J. Chem. Phys.,1994,101, 6168.
[457] Miller, T.F.; Manolopoulos, D.E. Quantum diffusion in liquid water from ring polymer molecular dynamics.
J. Chem. Phys.,2005,123, 154504.
[458] Berne, B.J.; D. Harp, G. Adv. Chem. Phys.,1970,17, 63.
799
BIBLIOGRAPHY
[459] Miller, W.H.; Schwartz, S.D.; Tromp, J.W. Quantum mechanical rate constants for bimolecular reactions.
J. Chem. Phys.,1983,79, 4889–4898.
[460] Kubo, R.; Toda, M.; Hashitsume, N. Statistical Physics II: Nonequilibrium Statistical Mechanics, 2nd ed.
Springer-Verlag, Heidelberg, 1991.
[461] Miller, W.H. Adv. Chem. Phys.,1974,25, 69.
[462] Miller, W.H. Including quantum effects in the dynamics of complex (i.e., large) molecular systems. J. Chem.
Phys.,2006,125, 132305.
[463] Wang, H.; Sun, X.; Miller, W.H. Semiclassical approximations for the calculation of thermal rate constants
for chemical reactions in complex molecular systems. J. Chem. Phys.,1998,108, 9726.
[464] Sun, X.; Wang, H.; H. Miller, W. Semiclassical theory of electronically nonadiabatic dynamics: Results of
a linearized approximation to the initial value representation. J. Chem. Phys.,1998,109, 7064.
[465] Liu, J.; H. Miller, W. A simple model for the treatment of imaginary frequencies in chemical reaction rates
and molecular liquids. J. Chem. Phys.,2009,131, 074113.
[466] Liu, J.; H. Miller, W.; Paesani, F.; Zhang, W.; A. Case, D. Quantum dynamical effects in liquid water:
A semiclassical study on the diffusion and the infrared absorption spectrum. J. Chem. Phys.,2009,131,
164509.
[467] Liu, J.; Miller, W.H. Real time correlation function in a single phase space integral beyond the linearized
semiclassical initial value representation. J. Chem. Phys.,2007,126, 234110.
[468] Liu, J.; Miller, W.H. Test of the consistency of various linearized semiclassical initial value time correlation
functions in application to inelastic neutron scattering from liquid para-hydrogen. J. Chem. Phys.,2008,
128, 144511.
[469] Shi, Q.; Giva, E. J. Chem. Phys. A,2003,107, 9059.
[470] Voth, G.A.; Chandler, D.; Miller, W.H. Rigorous Formulation of Quantum Transition State Theory and Its
Dynamical Corrections. J. Chem. Phys.,1989,91, 7749–7760.
[471] Miller, W.H. Semiclassical limit of quantum mechanical transition state theory for nonseparable systems. J.
Chem. Phys.,1975,62, 1899.
[472] Miller, W.H.; Zhao, Y.; Ceotto, M.; Yang, S. Quantum instanton approximation for thermal rate constants
of chemical. J. Chem. Phys.,2003,119, 1329–1342.
[473] Yamamoto, T.; Miller, W.H. On the efficient path integral evaluation of thermal rate constants with the
quantum instanton approximation. J. Chem. Phys.,2004,120, 3086–3099.
[474] Vaníˇ
cek, J.; Miller, W.H.; Castillo, J.F.; Aoiz, F.J. Quantum-instanton evalution of the kinetic isotope effects.
J. Chem. Phys.,2005,123, 054108.
[475] Vaníˇ
cek, J.; Miller, W.H. Efficient estimators for quantum instanton evaluation of the kinetic isotope effects:
application to the intramolecular hydrogen transfer in pentadiene. J. Chem. Phys.,2007,127, 114309.
[476] Yamamoto, T.; Miller, W.H. Path integral evaluation of the quantum instanton rate constant for proton
transfer in a polar solvent. J. Chem. Phys.,2005,122, 044106.
[477] Cerutti, D.S.; Case, D.A. Multi-Level Ewald: A Hybrid Multigrid/Fast Fourier Transform Approach to the
Electrostatic Particle-Mesh Problem. J. Chem. Theory Comput.,2010,6, 443–458.
[478] Gohlke, H.; Kuhn, L. A.; Case, D. A. Change in protein flexibility upon complex formation: Analysis of
Ras-Raf using molecular dynamics and a molecular framework approach. Proteins,2004,56, 322–327.
800
BIBLIOGRAPHY
[479] Ahmed, A.; Gohlke, H. Multiscale modeling of macromolecular conformational changes combining con-
cepts from rigidity and elastic network theory. Proteins,2006,63, 1038–1051.
[480] Fulle, S.; Gohlke, H. Analyzing the flexibility of RNA structures by constraint counting. Biophys. J.,2008,
DOI:10.1529/biophysj.107.113415.
[481] Roe, Daniel R.; Cheatham, T.E. III. PTRAJ and CPPTRAJ: Software for Processing and Analysis of Molec-
ular Dynamics Trajectory Data. J. Chem. Theory Comput.,2013,9, 3084–3095.
[482] Lazaridis, T. Inhomogeneous Fluid Approach to Solvation Thermodynamics. 1 Theory. J. Phys. Chem. B,
1998,102, 3531–3541.
[483] Nguyen, C. N.; Kurtzman Young, T.; Gilson, M. K. Grid Inhomogeneous Solvation Theory: Hydration
Structure and Thermodynamics of the Miniature Receptor cucurbit[7]uril. J. Chem. Phys.,2012,137,
044101.
[484] Chatterjee, S.; Debenedetti, P. G.; Stillinger, F. H.; Lynden-Bell, R. M. A Computational Investigation of
Thermodynamics, Structure, Dynamics and Solvation Behavior in Modified Water Models. J. Chem. Phys.,
2008,128, 124511.
[485] Humphrey, W.; Dalke, A.; Schulten, K. VMD Visual Molecular Dynamics. J. Molec. Graph.,1996,14,
33–38.
[486] Sindhikara, D. J.; Yoshida, N.; Hirata, F. Placevent: An Algorithm for Prediction of Explicit Solvent Atom
Distribution-Application to HIV-1 Protease and F-ATP Synthase. J. Comput. Chem.,2012,33, 1536–1543.
[487] Chou, J.J.; Case, D.A.; Bax, A. Insights into the mobility of methyl-bearing side chains in proteins. J. Am.
Chem. Soc.,2003,125, 8959–8966.
[488] Perez, C.; Lohr, F.; Ruterjans, H.; Schmidt, J.M. Self-Consistent Karplus Parameterization of (3)J couplings
depending on the polypeptide side-chain torsion chi(1). J. Am. Chem. Soc.,2001,123, 7081–7093.
[489] Connolly, M.L. Analytical molecular surface calculation. J. Appl. Cryst.,1983,16, 548–558.
[490] Lu, XJ; Olson, WK. 3dna: a software package for the analysis, rebuilding and visualization of three-
dimensional nucleic acid structures. NUCLEIC ACIDS RESEARCH,2003,31(17), 5108–5121.
[491] Babcock, M.S.; Pednault, E.P.D.; Olson, W.K. Nucleic Acid Structure Analysis. J. Mol. Biol.,1994,237,
125–156.
[492] Olson, Wilma K.; Bansal, Manju; Burley, Stephen K.; Dickerson, Richard E.; Gerstein, Mark; Harvey,
Stephen C.; Heinemann, Udo; Lu, Xiang-Jun; Neidle, Stephen; Shakked, Zippora; Sklenar, Heinz; Suzuki,
Masashi; Tung, Chang-Shung; Westhof, Eric; Wolberger, Cynthia; Berman, Helen M. A standard reference
frame for the description of nucleic acid base-pair geometry. J. Mol. Biol.,2001,313, 229–237.
[493] Altona, C; Sundaralingam, M. Conformational analysis of the sugar ring in nucleosides and nucleotides. a
new description using the concept of pseudorotation. J Am Chem Soc,1972,94, 8205–8212.
[494] Harvey, SC; Prabhakaran, M. Ribose puckering - structure, dynamics, energetics, and the pseudorotation
cycle. J Am Chem Soc,1986,108, 6128–6136.
[495] Cremer, D; Pople, JA. A general definition of ring puckering coordinates. J Am Chem Soc,1975,97,
1354–1358.
[496] Wong, V.; Case, D.A. Evaluating rotational diffusion from protein md simulations. J. Phys. Chem. B,2008,
112(19), 6013–6024.
[497] Kabsch, W.; Sander, C. Dictionary of protein secondary structure: pattern recognition of hydrogen-bonded
and geometrical features. Biopolymers,1983,22, 2577–2637.
801
BIBLIOGRAPHY
[498] Prompers, J.J.; Brüschweiler, R. Dynamic and structural analysis of isotropically distributed molecular
ensembles. Proteins,2002,46, 177–189.
[499] Prompers, J.J.; Brüschweiler, R. General framework for studying the dynamics of folded and nonfolded
proteins by NMR relaxation spectroscopy and MD simulation. J. Am. Chem. Soc.,2002,124, 4522–4534.
[500] Schneider, B.; Neidle, S.; Berman, H. M. Conformations of the sugar-phosphate backbone in helical dna
crystal structures. Biopolymers,1997,42(1), 113–124.
[501] Schneider, B.; Moravek, Z.; Berman, H. M. Rna conformational classes. Nucleic Acids Res.,2004,32(5),
1666–1677.
[502] Ester, M.; Kriegel, H.; Sander, J.; Xu, X. A Density-Based Algorithm for Discovering Clusters in Large
Spatial Databases with Noise. Proceedings of the Second International Conference on Knowledge Discovery
and Data Mining (KDD-96),1996, pp 226–231.
[503] Bakan, A.; Meireles, L.M.; Bahar, I. ProDy: Protein Dynamics Inferred from Theory and Experiments.
Bioinformatics,2011,27(11), 1575–1577.
[504] Miller, Bill R.; McGee, T. Dwight; Swails, Jason M.; Homeyer, Nadine; Gohlke, Holger; Roitberg,
Adrian E. MMPBSA.py: An Efficient Program for End-State Free Energy Calculations. J. Chem. The-
ory Comput.,2012,8(9), 3314–3321.
[505] Konecny, Robert; Baker, Nathan A.; McCammon, J. Andrew. iAPBS: a programming interface to the
adaptive Poisson–Boltzmann solver. Comput. Sci. Disc.,2012,5(1), 15005–15013.
[506] Srinivasan, J.; Cheatham, T.E. III; Cieplak, P.; Kollman, P.; Case, D.A. Continuum solvent studies of the
stability of DNA, RNA, and phosphoramidate–DNA helices. J. Am. Chem. Soc.,1998,120, 9401–9409.
[507] Kollman, P.A.; Massova, I.; Reyes, C.; Kuhn, B.; Huo, S.; Chong, L.; Lee, M.; Lee, T.; Duan, Y.; Wang,
W.; Donini, O.; Cieplak, P.; Srinivasan, J.; Case, D.A.; Cheatham, T.E. III. Calculating structures and free
energies of complex molecules: Combining molecular mechanics and continuum models. Accts. Chem.
Res.,2000,33, 889–897.
[508] Homeyer, N.; Gohlke, H. Free energy calculations by the molecular mechanics poisson-boltzmann surface
area method. Mol. Informatics,2012,DOI: 10.1002/minf.201100135.
[509] Wang, W.; Kollman, P. Free energy calculations on dimer stability of the HIV protease using molecular
dynamics and a continuum solvent model. J. Mol. Biol.,2000,303, 567.
[510] Reyes, C.; Kollman, P. Structure and thermodynamics of RNA-protein binding: Using molecular dynamics
and free energy analyses to calculate the free energies of binding and conformational change. J. Mol. Biol.,
2000,297, 1145–1158.
[511] Lee, M.R.; Duan, Y.; Kollman, P.A. Use of MM-PB/SA in estimating the free energies of proteins: Appli-
cation to native, intermediates, and unfolded vilin headpiece. Proteins,2000,39, 309–316.
[512] Wang, J.; Morin, P.; Wang, W.; Kollman, P.A. Use of MM-PBSA in reproducing the binding free energies
to HIV-1 RT of TIBO derivatives and predicting the binding mode to HIV-1 RT of efavirenz by docking and
MM-PBSA. J. Am. Chem. Soc.,2001,123, 5221–5230.
[513] Marinelli, L.; Cosconati, S.; Steinbrecher, T.; Limongelli, V.; Bertamino, A.; Novellino, E.; Case, D.A.
Homology Modeling of NR2B Modulatory Domain of NMDA Receptor and Analysis of Ifenprodil Binding.
ChemMedChem,2007,2,, 1498–1510.
[514] The open babel package, version 1.6. 2004,http://openbabel.sourceforge.net.
[515] Homeyer, N.; Gohlke, H. FEW - A workflow tool for free energy calculations of ligand binding. J. Comput.
Chem.,2013,34(11), 965–973.
802
BIBLIOGRAPHY
[516] Bayly, C.I.; Cieplak, P.; Cornell, W.D.; Kollman, P.A. A well-Behaved electrostatic potential based method
using charge restraints for determining atom-centered charges: The RESP model. J. Phys. Chem.,1993,97,
10269–10280.
[517] Metz, A. Goethe University (Frankfurt am Main),2006.
[518] Åqvist, J.; Medina, C.; Samuelsson, J. E. A new method for predicting binding affinity in computer-aided
drug design. Protein Eng.,1994,7(3), 385–391.
[519] Åqvist, J.; Luzhkov, V. B.; Brandsdal, B. O. Ligand binding affinities from MD simulations. Acc. Chem.
Res.,2002,35(6), 358–365.
[520] van Lipzig, M. M.; ter Laak, A. M.; Jongejan, A.; Vermeulen, N. P.; Wamelink, M.; Geerke, D.; Meerman,
J. H. Prediction of ligand binding affinity and orientation of xenoestrogens to the estrogen receptor by
molecular dynamics simulations and the linear interaction energy method. J. Med. Chem.,2004,47(4),
1018–1030.
[521] Wallnoefer, H. G.; Liedl, K. R.; Fox, T. A challenging system: free energy prediction for factor Xa. J.
Comput. Chem.,2011,32(8), 1743–1752.
[522] Brandsdal, B. O.; Österberg, F.; Almlöf, M.; Feierberg, I.; Luzhkov, V. B.; Åqvist, J. Free energy calcula-
tions and ligand binding. Adv. Protein Chem.,2003,66, 123–158.
[523] Wang, W.; Wang, J.; Kollman, P. A. What determines the van der Waals coefficient beta in the LIE (lin-
ear interaction energy) method to estimate binding free energies using molecular dynamics simulations?
Proteins: Struct., Funct., Genet.,1999,34(3), 395–402.
[524] Jones-Hertzog, D. K.; Jorgensen, W. L. Binding affinities for sulfonamide inhibitors with human thrombin
using Monte Carlo simulations with a linear response method. J. Med. Chem.,1997,40(10), 1539–1549.
[525] Lamb, M. L.; Tirado-Rives, J.; Jorgensen, W. L. Estimation of the binding affinities of FKBP12 inhibitors
using a linear response method. Bioorg. Med. Chem.,1999,7(5), 851–860.
[526] Yang, W.; Bitetti-Putzer, R.; M., Karplus. Free energy simulations: Use of reverse cumulative averaging
to determine the equilibrated region and the time required for convergence. J. Chem. Phys.,2004,120(6),
2618–2628.
[527] Kruskal, J. B. On the shortest spanning subtree of a graph and the traveling salesman problem. Proc. Amer.
Math. Soc.,1956,7(1), 48–50.
[528] ROCS, OpenEye Scientific Software, Santa Fe,http://www.eyesopen.com.
[529] Hawkins, P. C. D.; Skillman, A. G.; Nicholls, A. Comparison of shape-matching and docking as virtual
screening tools. J. Med. Chem.,2007,50, 74–82.
[530] Janowski, P. A.; Cerutti, D.S.; Holton, J. M.; Case, D. A. Peptide crystal simulations reveal hidden dynam-
ics. J. Am. Chem. Soc.,2013,135, 7938–7948.
[531] Major, F.; Turcotte, M.; Gautheret, D.; Lapalme, G.; Fillon, E.; Cedergren, R. The Combination of Symbolic
and Numerical Computation for Three-Dimensional Modeling of RNA. Science,1991,253, 1255–1260.
[532] Gautheret, D.; Major, F.; Cedergren, R. Modeling the three-dimensional structure of RNA using discrete
nucleotide conformational sets. J. Mol. Biol.,1993,229, 1049–1064.
[533] Turcotte, M.; Lapalme, G.; Major, F. Exploring the conformations of nucleic acids. J. Funct. Program.,
1995,5, 443–460.
[534] Erie, D.A.; Breslauer, K.J.; Olson, W.K. A Monte Carlo Method for Generating Structures of Short Single-
Stranded DNA Sequences. Biopolymers,1993,33, 75–105.
803
BIBLIOGRAPHY
[535] Tung, C.-S.; Carter, E.S. II. Nucleic acid modeling tool (NAMOT): an interactive graphic tool for modeling
nucleic acid structures. CABIOS,1994,10, 427–433.
[536] Carter, E.S. II; Tung, C.-S. NAMOT2–a redesigned nucleic acid modeling tool: construction of non-
canonical DNA structures. CABIOS,1996,12, 25–30.
[537] Zhurkin, V.B.; P. Lysov, Yu.; Ivanov, V.I. Different Families of Double Stranded Conformations of DNA as
Revealed by Computer Calculations. Biopolymers,1978,17, 277–312.
[538] Lavery, R.; Zakrzewska, K.; Skelnar, H. JUMNA (junction minimisation of nucleic acids). Comp. Phys.
Commun.,1995,91, 135–158.
[539] Gabarro-Arpa, J.; Cognet, J.A.H.; Le Bret, M. Object Command Language: a formalism to build molecule
models and to analyze structural parameters in macromolecules, with applications to nucleic acids. J. Mol.
Graph.,1992,10, 166–173.
[540] Le Bret, M.; Gabarro-Arpa, J.; Gilbert, J.C.; Lemarechal, C. MORCAD an object-oriented molecular
modeling package. J. Chim. Phys.,1991,88, 2489–2496.
[541] Crippen, G.M.; Havel, T.F. Distance Geometry and Molecular Conformation. Research Studies Press,
Taunton, England, 1988.
[542] Spellmeyer, D.C.; Wong, A.K.; Bower, M.J.; Blaney, J.M. Conformational analysis using distance geometry
methods. J. Mol. Graph. Model.,1997,15, 18–36.
[543] Hodsdon, M.E.; Ponder, J.W.; Cistola, D.P. The NMR solution structure of intestinal fatty acid-binding
protein complexed with palmitate: Application of a novel distance geometry algorithm. J. Mol. Biol.,1996,
264, 585–602.
[544] Macke, T.; Chen, S.-M.; Chazin, W.J. in Structure and Function, Volume 1: Nucleic Acids, Sarma, R.H.;
Sarma, M.H., Eds., pp 213–227. Adenine Press, Albany, 1992.
[545] Potts, B.C.M.; Smith, J.; Akke, M.; Macke, T.J.; Okazaki, K.; Hidaka, H.; Case, D.A.; Chazin, W.J. The
structure of calcyclin reveals a novel homodimeric fold S100 Ca2+-binding proteins. Nature Struct. Biol.,
1995,2, 790–796.
[546] Love, J.J.; Li, X.; Case, D.A.; Giese, K.; Grosschedl, R.; Wright, P.E. DNA recognition and bending by the
architectural transcription factor LEF-1: NMR structure of the HMG domain complexed with DNA. Nature,
1995,376, 791–795.
[547] Gurbiel, R.J.; Doan, P.E.; Gassner, G.T.; Macke, T.J.; Case, D.A.; Ohnishi, T.; Fee, J.A.; Ballou, D.P.;
Hoffman, B.M. Active site structure of Rieske-type proteins: Electron nuclear double resonance studies of
isotopically labeled phthalate dioxygenase from Pseudomonas cepacia and Rieske protein from Rhodobac-
ter capsulatus and molecular modeling studies of a Rieske center. Biochemistry,1996,35, 7834–7845.
[548] Macke, T.J. NAB, a Language for Molecular Manipulation. Ph.D. thesis, The Scripps Research Institute,
1996.
[549] Dickerson, R.E. Definitions and Nomenclature of Nucleic Acid Structure Parameters. J. Biomol. Struct.
Dyn.,1989,6, 627–634.
[550] Tan, R.; Harvey, S. Molecular Mechanics Model of Supercoiled DNA. J. Mol. Biol.,1989,205, 573–591.
[551] Havel, T.F.; Kuntz, I.D.; Crippen, G.M. The theory and practice of distance geometry. Bull. Math. Biol.,
1983,45, 665–720.
[552] Havel, T.F. An evaluation of computational strategies for use in the determination of protein structure from
distance constraints obtained by nuclear magnetic resonance. Prog. Biophys. Mol. Biol.,1991,56, 43–78.
804
BIBLIOGRAPHY
[553] Kuszewski, J.; Nilges, M.; Brünger, A.T. Sampling and efficiency of metric matrix distance geometry: A
novel partial metrization algorithm. J. Biomolec. NMR,1992,2, 33–56.
[554] deGroot, B.L.; van Aalten, D.M.F.; Scheek, R.M.; Amadei, A.; Vriend, G.; Berendsen, H.J.C. Prediction of
protein conformational freedom from distance constraints. Proteins,1997,29, 240–251.
[555] Agrafiotis, D.K. Stochastic Proximity Embedding. J. Computat. Chem.,2003,24, 1215–1221.
[556] Saenger, W. in Principles of Nucleic Acid Structure, p 120. Springer-Verlag, New York, 1984.
[557] Brooks, C.; Brünger, A.; Karplus, M. Active site dynamics in protein molecules: A stochastic boundary
molecular-dynamics approach. Biopolymers,1985,24, 843–865.
[558] Nguyen, D.T.; Case, D.A. On finding stationary states on large-molecule potential energy surfaces. J. Phys.
Chem.,1985,89, 4020–4026.
[559] Shi, Z.J.; Shen, J. New inexact line search method for unconstrained optimization. J. Optim. Theory Appl.,
2005,127, 425–446.
[560] Anandakrishnan, Ramu; Onufriev, Alexey V. An N log N approximation based on the natural organization
of biomolecules for speeding up the computation of long range interactions. J. Comput. Chem.,2010,31(4),
691–706.
[561] Anandakrishnan, R.; Daga, M.; Onufriev, A.V. An n log n Generalized Born Approximation. J. Chem.
Theory Comput.,2011,7, 544–559.
[562] Wang, J.; Wang, W.; Kollman, P.A.; Case, D.A. Automatic atom type and bond type perception in molecular
mechanical. J. Mol. Graphics Model.,2006,25, 247–260.
[563] Chong, Lillian T.; Duan, Y.; Wang, L.; Massova, I.; Kollman, P.A. Molecular dynamics and free-energy
calculations applied to affinity maturation in antibody 48G7. Proc. Natl. Acad. Sci. USA,1999,96, 14330–
14335.
[564] Huo, S.; Massova, I.; Kollman, P.A. Computational Alanine Scanning of the 1:1 Human Growth Hormone-
Receptor Complex. J. Comput. Chem.,2002,23, 15–27.
[565] Hingerty, B.E.; Figueroa, Samuel; L. Hayden, Thomas; Broyde, Suse. Prediction of DNA Structure from
Sequence: A Build-up Technique. Biopolymers,1989,28, 1195–1222.
[566] Pearlman, D.A.; Kim, Sung-Hou. Conformational Studies of Nucleic Acids I. A Rapid and Direct Method
for Generating Coordinates from the Pseudorotation Angle. J. Biomol. Struct. Dyn.,1985,3, 85–98.
[567] Pearlman, D.A.; Kim, Sung-Hou. Conformational Studies of Nucleic Acids II. The Conformational Ener-
getics of Commonly Occurring Nucleosides. J. Biomol. Struct. Dyn.,1985,3, 99–125.
[568] Pearlman, D.A.; Kim, S.-H. Conformational Studies of Nucleic Acids: III. Empirical Multiple Correlation
Functions for Nucleic Acid Torsion Angles. J. Biomol. Struct. Dyn.,1986,4, 49–67.
[569] Pearlman, D.A.; Kim, S.-H. Conformational Studies of Nucleic Acids: IV. The Conformational Energetics
of Oligonucleotides: d(ApApApA) and ApApApA. J. Biomol. Struct. Dyn.,1986,4, 69–98.
[570] Pearlman, D.A.; Kim, S.-H. Conformational Studies of Nueleic Acids. V. Sequence Specificities of in the
Conformational Energetics of Oligonucleotides: The Homo-Tetramers. Biopolymers,1988,27, 59–77.
[571] Schlick, T. A Modular Strategy for Generating Starting Conformations and Data Structures of Polynu-
cleotide Helices for Potential Energy Calculations. J. Computat. Chem.,1988,9, 861–889.
[572] Lavery, R. in Unusual DNA Structures, Wells, R. D.; Harvey, S. C., Eds. Springer-Verlag, New York, 1988.
805
BIBLIOGRAPHY
[573] Shen, L.; Tinoco, I. The Structure of an RNA Pseudoknot that Causes Efficient Frameshift in Mouse
Mammary Tumor Virus. J. Mol. Biol.,1995,247, 963–978.
[574] Hubbard, J.M.; Hearst, J.E. Predicting the Three-Dimensional Folding of Transfer RNA with a Computer
Modeling Protocol. Biochemsitry,1991,30, 5458–5465.
[575] Chou, S.-H.; Zhu, L.; Reid, B.R. The Unusual Structure of the Human Centromere (GGA)2 Motif. J. Mol.
Biol.,1994,244, 259–268.
[576] Levitt, M. Detailed Molecular Model for Transfer Ribonucleic Acid. Nature,1969,224, 759–763.
[577] Hubbard, J.M.; Hearst, J.E. Computer Modeling 16S Ribosomal RNA. J. Mol. Biol.,1991,221, 889–907.
[578] Schlick, T.; Olson, W.K. Supercoiled DNA Energetics and Dynamics by Computer Simulation. J. Mol.
Biol.,1992,223, 1089–1119.
[579] Holbrook, S.R.; Sussman, J.L.; Warrant, R.W.; Kim, S.-H. Crystal Structure of Yeast Phenylalanine Transfer
RNA II. Structural Features and and Functional Implications. J. Mol. Biol.,1978,123, 631–660.
[580] Conner, B.N.; Yoon, C.; Dickerson, J.L; Dickerson, R.E. Helix Geometry and Hydration in an A-DNA
Tetramer: C-C-G-G. J. Mol. Biol.,1984,174, 663–695.
[581] Brünger, A.T. X-PLOR: A System for Cystallography and NMR, Version 3.1. Yale University, New Haven,
CT, 1992.
[582] Wyatt, J.R.; Puglisi, J.D.; Tinoco Jr., I. RNA Pseudoknots. Stability and Loop Size Requirements. J. Mol.
Biol.,1990,214, 455–470.
[583] Puglisi, J.D.; Wyatt, J.R.; Tinoco Jr., I. Conformation of an RNA Pseudoknot. J. Mol. Biol.,1990,214,
437–453.
[584] Kuila, G.; Fee, J.A.; Schoonover, J.R.; Woodruff, W.H. Resonance Raman Spectra of the [2Fe-2S] Clusters
of the Rieske Protein from Thermus and Phthalate Dioxygenase from Pseudomonas. J. Am. Chem. Soc.,
1987,109, 1559–1561.
[585] Lewin, B. in Genes IV, pp 409–425. Cell Press, Cambridge, Mass., 1990.
[586] Press, W.H.; Teukolsky, S.A.; Vettering, W.T.; Flannery, B.P. in Numerical Recipes in C, pp 113–117.
Cambridge, New York, 1992.
[587] Zhurkin, V.B.; Raghunathan, G.; Ulynaov, N.B.; Camerini-Otero, R.D.; Jernigan, R.L. A Parallel DNA
Triplex as a Model for the Intermediate in Homologous Recombination. Journal of Molecular Biology,
1994,239, 181–200.
[588] van Gunsteren, W.F.; Weiner, P.K.; Wilkinson, A.J. eds. Computer Simulations of Biomolecular Systems,
Vol. 2. ESCOM Science Publishers, Leiden, 1993.
[589] Åqvist, J.; Warshel, A. Computer simulation of the initial proton-transfer step in human carbonic anhydrase-
I. J. Mol. Biol.,1992,224, 7–14.
[590] Berendsen, H.J.C.; Postma, J.P.M.; van Gunsteren, W.F.; DiNola, A.; Haak, J.R. Molecular dynamics with
coupling to an external bath. J. Chem. Phys.,1984,81, 3684–3690.
[591] Wishart, D.S.; Case, D.A. Use of chemical shifts in macromolecular structure determination. Meth. Enzy-
mol.,2001,338, 3–34.
[592] Elber, R.; Karplus, M. Enhanced sampling in molecular dynamics. Use of the time-dependent Hartree
approximation for a simulation of carbon monoxide diffusion through myoglobin. J. Am. Chem. Soc.,1990,
112, 9161–9175.
806
BIBLIOGRAPHY
[593] Roitberg, A.; Elber, R. Modeling side chains in peptides and proteins: Application of the locally enhanced
sampling and the simulated annealing methods to find minimum energy conformations. J. Chem. Phys.,
1991,95, 9277.
[594] Simmerling, C.; Miller, J.L.; Kollman, P.A. Combined locally enhanced sampling and particle mesh Ewald
as a strategy to locate the experimental structure of a nonhelical nucleic acid. J. Am. Chem. Soc.,1998,120,
7149–7155.
[595] Simmerling, C.; Lee, M.R.; Ortiz, A.R.; Kolinski, A.; Skolnick, J.; Kollman, P.A. Combining MONSSTER
and LES/PME to Predict Protein Structure from Amino Acid Sequence: Application to the Small Protein
CMTI-1. J. Am. Chem. Soc.,2000,122, 8392–8402.
[596] Simmerling, C.; Elber, R. Hydrophobic "collapse" in a cyclic hexapeptide: Computer simulations of
CHDLFC and CAAAAC in water. J. Am. Chem. Soc.,1994,116, 2534–2547.
[597] Ross, W.S.; Hardin, C.C. Ion-induced stabilization of the G-DNA quadruplex: Free energy perturbation
studies. J. Am. Chem. Soc.,1994,116, 6070–6080.
[598] Vedani, A.; Huhta, D.W. A new force field for modeling metalloproteins. J. Am. Chem. Soc.,1990,112,
4759–4767.
[599] Veenstra, D.L.; Ferguson, D.M.; Kollman, P.A. How transferable are hydrogen parameters in molecular
mechanics calculations? J. Comput. Chem.,1992,13, 971–978.
[600] Allen, F.H.; Kennard, O.; Watson, D.G.; Brammer, L.; Orpen, A.G.; Taylor, R. J. Chem. Soc. Perkin Trans.
II,1987, pp S1–S19.
[601] Harmony, M.D.; Laurie, R.W.; Kuczkowski, R.L.; Schwendemann, R.H.; Ramsay, D.A.; Lovas, F.J.; Laf-
ferty, W.J.; Maki, A.G. J. Phys. Chem. Ref. Data,1979,8, 619.
[602] Hopfinger, A.J.; Pearlstein, R.A. Molecular mechanics force-field parameterization procedures. J. Comput.
Chem.,1985,5, 486–499.
[603] Cannon, J.F. AMBER force-field parameters for guanosine triphosphate and its imido and methylene
analogs. J. Comput. Chem.,1993,14, 995–1005.
[604] Cornell, W.D.; Cieplak, P.; Bayly, C.I.; Kollman, P.A. Application of RESP charges to calculate confor-
mational energies, hydrogen bond energies and free energies of solvation. J. Am. Chem. Soc.,1993,115,
9620–9631.
[605] Howard, A.E.; Cieplak, P.; Kollman, P.A. A molecular mechanical model that reproduces the relative
energies for chair and twist-boat conformations of 1,3-dioxanes. J. Comp. Chem.,1995,16, 243–261.
[606] St.-Amant, A.; Cornell, W.D.; Kollman, P.A.; Halgren, T.A. Calculation of molecular geometries, rela-
tive conformational energies, dipole moments, and molecular electrostatic potential fitted charges of small
organic molecules of biochemical interest by density functional theory. J. Comput. Chem.,1995,16, 1483–
1506.
[607] Halgren, T.A. Merck Molecular Force Field (MMFF94). Part I-V. J. Comput. Chem.,1996,17, 490–641.
[608] Beveridge, D.L.; DiCapua, F.M. Free energy simulation via molecular simulations: Applications to chemi-
cal and biomolecular systems. Annu. Rev. Biophys. Biophys. Chem.,1989,18, 431–492.
[609] Chipot, C.; Kollman, P.A.; Pearlman, D.A. Alternative approaches to potential of mean force calculations:
free energy perturbation versus thermodynamics integration. Case study of some representative nonpolar
interactions. J. Comput. Chem,1996,17, 1112–1131.
[610] Pearlman, D.A.; Kollman, P.A. The overlooked bond-stretching contribution in free energy perturbation
calculations. J. Chem. Phys.,1991,94, 4532–4545.
807
BIBLIOGRAPHY
[611] Pearlman, D.A. Determining the contributions of constraints in free energy calculations: Development,
characterization, and recommendations. J. Chem. Phys.,1993,98, 8946–8957.
[612] Pearlman, D.A. Free energy derivatives: A new method for probing the convergence problem in free energy
calculations. J. Comput. Chem.,1994,15, 105–123.
[613] Pearlman, D.A. A comparison of alternative approaches to free energy calculations. J. Phys. Chem.,1994,
98, 1487–1493.
[614] Pearlman, D.A.; Rao, B.G. in Encyclopedia of Computational Chemistry, von R. Schleyer, P.; Allinger,
N.L.; Clark, T.; Gasteiger, J.; Kollman, P.A.; H.F. Schaefer, III, Eds., pp 1036–1061. John Wiley, Chichester,
1998.
[615] Radmer, R.J.; Kollman, P.A. Free energy calculation methods: A theoretical and empirical comparison of
numerical errors and a new method for qualitative estimates of free energy changes. J. Comput. Chem.,
1997,18, 902–919.
[616] Pearlman, D.A.; Kollman, P.A. A new method for carrying out free energy perturbation calculations: dy-
namically modified windows. J. Chem. PHys.,1989,90, 2460–2470.
[617] Hummer, G. Fast-growth thermodynamic integration: Error and efficiency analysis. J. Chem. Phys.,2001,
114, 7330–7337.
[618] Fleischman, S.H.; Brooks, C.L. III. Thermodynamic calculations on biological systems: Solution properties
of alcohols and alkanes. J. Chem. Phys.,1988,87, 221–234.
[619] Vincent, J.J.; Merz, K.M. Jr. A highly portable parallel implementation of AMBER4 using the message
passing interface standard. J. Comput. Chem.,1995,16, 1420–1427.
[620] Radmer, R.; Kollman, P. The application of three approximate free energy calculations methods to structure
based ligand design: Trypsin and its complex with inhibitors. J. Comput.-Aided Mol. Design,1998,12,
215–228.
[621] Niketic, S.R.; Rasmussen, K. The Consistent Force Field: A Documentation. Springer-Verlag, New York,
1977.
[622] Cerjan, C.; Miller, W.H. On finding transition states. J. Chem. Phys.,1981,75, 2800.
[623] Nguyen, D.T.; Case, D.A. On finding stationary states on large-molecule potential energy surfaces. J. Phys.
Chem.,1985,89, 4020–4026.
[624] Lamm, G.; Szabo, A. Langevin modes of macromolecules. J. Chem. Phys.,1986,85, 7334–7348.
[625] Kottalam, J.; Case, D.A. Langevin modes of macromolecules: application to crambin and DNA hexamers.
Biopolymers,1990,29, 1409–1421.
[626] Darden, T.; Pearlman, D.; Pedersen, L.G. Ionic charging free energies: Spherical versus periodic boundary
conditions. J. Chem. Phys.,1998,109, 10921–10935.
[627] Levy, R.M.; Karplus, M.; Kushick, J.; Perahia, D. Evaluation of the configurational entropy for proteins:
Application to molecular dynamics simulations of an α-helix. Macromolecules,1984,17, 1370–1374.
[628] Arnott, S.; Campbell-Smith, P.J.; Chandrasekaran, R. in Handbook of Biochemistry and Molecular Biology,
3rd ed. Nucleic, Fasman, G.P., Ed., pp 411–422. CRC Press, Cleveland, 1976.
[629] Cheatham, T.E. III; Brooks, B.R.; Kollman, P.A. in Current Protocols in Nucleic Acid Chemistry, pp
Sections 7.5, 7.8, 7.9, 7.10. Wiley, New York, 1999.
[630] Press, W.H.; Flannery, B.P.; Teukolsky, S.A.; Vetterling, W.T. in Numerical Recipes: The Art of Scientific
Computing. Cambridge University Press, New York, 1989.
808
BIBLIOGRAPHY
[631] Beroza, P.; Case, D.A. Calculations of proton-binding thermodynamics in proteins. Meth. Enzymol.,1998,
295, 170–189.
[632] Madura, J.D.; Davis, M.E.; Gilson, M.K.; Wade, R.C.; Luty, B.A.; McCammon, J.A. Biological applications
of electrostatic calculations and brownian dynamics simulations. Rev. Computat. Chem.,1994,5, 229–267.
[633] Gilson, M.K. Theory of electrostatic interactions in macromolecules. Curr. Opin. Struct. Biol.,1995,5,
216–23.
[634] Scarsi, M.; Apostolakis, J.; Caflisch, A. Continuum electrostatic energies of macromolecules in aqueous
solutions. J. Phys. Chem. A,1997,101, 8098–8106.
[635] Simonson, T. Electrostatics and dynamics of proteins. Rep. Prog. Phys.,2003,66, 737–787.
[636] Bashford, D.; Karplus, M. p‘K sub a‘’s of ionizable groups in proteins: Atomic detail from a continuum
electrostatic model. Biochemistry,1990,29, 10219–10225.
[637] Ghosh, A.; Rapp, C.S.; Friesner, R.A. Generalized Born model based on a surface integral formulation. J.
Phys. Chem. B,1998,102, 10983–10990.
[638] Jackson, J.D. Classical Electrodynamics. Wiley and Sons, New York, 1975.
[639] Feig, M.; Karanicolas, J.; Brooks, C.L. III. MMTSB Tool Set: Enhanced sampling and multiscale modeling
methods for application in structural biology. J. Mol. Graphics Mod.,2004,22, 377–395.
[640] Simmerling, C.; Strockbine, B.; Roitberg, A.E. All-atom structure prediction and folding simulations of a
stable protein. J. Am. Chem. Soc.,2002,124, 11258–11259.
[641] García, A.E.; Sanbonmatsu, K.Y. α-helical stabilization by side chain shielding of backbone hydrogen
bonds. Proc. Natl. Acad. Sci. USA,2002,99, 2782–2787.
[642] Kirschner, K.N.; Woods, R.J. Quantum mechanical study of the nonbonded forces in water-methanol com-
plexes. J. Phys. Chem. A,2001,105, 4150–4155.
[643] Sharp, K.A.; Honig, B. Electrostatic interactions in macromolecules: Theory and experiment. Annu. Rev.
Biophys. Biophys. Chem.,1990,19, 301–332.
[644] Gao, J. Absolute free energy of solvation from Monte Carlo simulations using combined quantum and
molecular mechanical potentials. J. Phys. Chem.,1992,96, 537–540.
[645] Warshel, A.; Levitt, M. Theoretical studies of enzymic reactions: Dielectric, electrostatic and steric stabi-
lization of the carbonium ion in the reaction of lysozyme. J. Mol. Biol.,1976,103, 227–249.
[646] Field, M.J.; Bash, P.A.; Karplus, M. A combined quantum mechanical and molecular mechanical potential
for molecular dynamics simulations. J. Comput. Chem.,1990,11, 700–733.
[647] Stanton, R.V.; Hartsough, D.S.; Merz, K.M. Jr. An examination of a density functional/molecular mechani-
cal coupled potential. J. Comput. Chem.,1994,16, 113–128.
[648] Stanton, R.V.; Little, L.R.; Merz, K.M. Jr. An examination of a Hartree-Fock/molecular mechanical coupled
potential. J. Phys. Chem.,1995,99, 17344–17348.
[649] Stanton, R.V.; Hartsough, D.S.; Merz, K.M. Jr. Calculations of solvation free energies using a density
functional/molecular dynamics coupled potential. J. Phys. Chem.,1993,97, 11868–11870.
[650] Nocedal, J.; Wright, S.J. Numerical Optimization. Springer-Verlag, New York, 1999.
[651] Nash, S.G. A survey of truncated-Newton methods. J. of Computational and Applied Mathematics,2000,
124, 45–59.
809
BIBLIOGRAPHY
[652] Sorin, E.J.; Pande, V.S. Exploring the helix-coil transition via all-atom equilibrium ensemble simulations.
Biophys. J.,2005,88, 2472–2493.
[653] Rizzo, R.C.; Aynechi, T.; Case, D.A.; Kuntz, I.D. Estimation of absolute free energies of hydration using
continuum methods: Accuracy of partial charge models and optimization of nonpolar contributions. J.
Chem. Theory Comput.,2006,2, 128–139.
[654] Messiah, A. Quantum Mechanics. Wiley & Sons, New York, 1958.
[655] Storer, J.W.; Giesen, D.J.; Cramer, C.J.; Truhlar, D.G. Class IV charge models: A new semiempirical
approach in quantum chemistry. J. Comput.-Aided Mol. Design,1995,9, 87–110.
[656] Li, J.; Cramer, C.J.; Truhlar, D.G. New class IV charge model for extracting accurate partial charges from
Wave Functions. J. Phys. Chem. A.,1998,102, 1820–1831.
[657] van der Vaart, A.; Merz, K.M. Jr. Divide and conquer interaction energy decomposition. J. Phys. Chem. A,
1999,103, 3321–3329.
[658] Mitin, A.V. The dynamic level shift method for improving the convergence of the SCF procedure. J.
Comput. Chem.,1988,9, 107–110.
[659] Ermolaeva, M.D.; van der Vaart, A.; Merz, K.M. Jr. Implementation and testing of a frozen density matrix
- divide and conquer algorithm. J. Phys. Chem.,1999,103, 1868–1875.
[660] Wang, B.; Brothers, E.N.; van der Vaart, A.; Merz Jr., K.M. Fast semiempirical calculations for nuclear
magnetic resonance chemical shifts: A divide-and-conquer approach. J. Chem. Phys.,2004,120, 11392–
11400.
[661] Wang, B.; Raha, K.; Merz Jr., K.M. Pose scoring by NMR. J. Am. Chem. Soc.,2004,126, 11430–11431.
[662] Raha, K.; van der Vaart, A.; E. Riley, K.; B. Peters, M.; M. Westerhoff, L.; Kim, H.; Merz Jr., K.M. Pairwise
decomposition of residue interaction energies using semiempirical quantum mechanical methods in studies
of protein-ligand interaction. J. Am. Chem. Soc.,2005,127, 6583–6594.
[663] Luzhkov, A.; Warshel, A. Microscopic models for quantum-mechanical calculations of chemical processes
in solutions - Ld/Ampac and Scaas/Ampac calculations of solvation energies. J. Comp. Chem.,1992,13,
199–213.
[664] Singh, U.C.; Kollman, P.A. A combined Ab initio quantum-mechanical and molecular mechanical method
for carrying out simulations on complex molecular systems - Applications to the Ch3Cl + Cl- exchange-
reaction and gas-phase protonation of polyethers. J. Comp. Chem.,1986,7, 718–730.
[665] Bersuker, I.B.; Leong, M.K.; Boggs, J.E.; Pearlman, R.S. A method of combined quantum mechanical
(QM) molecular mechanics (MM) treatment of large polyatomic systems with charge transfer between the
QM and MM fragments. Int. J. Quant. Chem.,1997,63, 1051–1063.
[666] Maseras, F.; Morokuma, K. Imomm - a new integrated ab-initio plus molecular geometry optimization
scheme of equilibrium structures and transition-states. J. Comp. Chem.,1995,16, 1170–1179.
[667] Zhang, Y.K.; Lee, T.S.; Yang, W.T. A pseudobond approach to combining quantum mechanical and molec-
ular mechanical methods. J. Chem. Phys.,1999,110, 46–54.
[668] Gao, J.L.; Amara, P.; Alhambra, C.; Field, M.J. A generalized hybrid orbital (GHO) method for the treat-
ment of boundary atoms in combined QM/MM calculations. J Phys Chem A,1998,102, 4714–4721.
[669] Philipp, D.M.; Friesner, R.A. Mixed ab initio QM/MM modeling using frozen orbitals and tests with alanine
dipeptide and tetrapeptide. J. Comp. Chem.,1999,20, 1468–1494.
810
BIBLIOGRAPHY
[670] Field, M.J.; Albe, M.; Bret, C.; Proust-De Martin, F.; Thomas, A. The Dynamo library for molecular
simulations using hybrid quantum mechanical and molecular mechanical potentials. J. Comp. Chem.,2000,
21, 1088–1100.
[671] Levy, R.M.; Gallicchio, E. Computer simulations with explicit solvent: recent progress in the thermody-
namic decomposition of free energies and in modeling electrostatic effects. Annu. Rev. Phys. Chem.,1999,
49, 531–567.
[672] Hornak, V.; Okur, A.; Rizzo, R.; Simmerling, C. HIV-1 protease flaps spontaneously open and reclose in
molecular dynamics simulations. Proc. Nat. Acad. Sci. USA,2006,103, 915–920.
[673] Hornak, V.; Okur, A.; Rizzo, R.; Simmerling, C. HIV-1 protease flaps spontaneously close when an inhibitor
binds to the open state. J. Am. Chem. Soc.,2006,128, 2812–2813.
[674] Simmerling, C.; Elber, R. Hydrophobic "collapse" in a cyclic hexapeptide: Computer simulations of
CHDLFC and CAAAAC in water. J. Am. Chem. Soc.,1994,116, 2534–2547.
[675] Deng, Y.; Roux, B. Calculation of standard binding free energies: Aromatic molecules in the T4 lysozyme
L99A mutant. J. Chem. Theor. Comput.,2006,2, 1255–1273.
[676] Pettersen, E.F.; Goddard, T.D.; Huang, C.C.; Couch, G.S.; Greenblatt, D.M.; Meng, E.C.; Ferrin, T.E.
UCSF Chimera - A visualization system for exploratory research and analysis. J. Comput. Chem.,2004,25,
1605–1612.
[677] Sasaki, H.; Ochi, N.; Del, A.; Fukuda, M. Site-specific glycosylation of human recombinant erythropoietin:
Analysis of glycopeptides or peptides at each glycosylation site by fast atom bombardment mass spectrom-
etry. Biochemistry,1988,27, 8618–8626.
[678] Dube, S.; Fisher, J.W.; Powell, J.S. Glycosylation at specific sites of erythropoietin is essential for biosyn-
thesis, secretion, and biological function. J. Biol. Chem.,1988,263, 17516–17521.
[679] Darling, R.J.; Kuchibhotla, U.; Glaesner, W.; Micanovic, R.; Witcher, D.R.; Beals, J.M. Glycosylation of
erythropoietin effects receptor binding kinetics: Role of electrostatic interactions. Biochemistry,2002,41,
14524–14531.
[680] Cheetham, J.C.; Smith, D.M.; Aoki, K.H.; Stevenson, J.L.; Hoeffel, T.J.; Syed, R.S.; Egrie, J.; Harvey,
T.S. NMR structure of human erythropoietin and a comparison with its receptor bound conformation. Nat.
Struct. Biol.,1998,5, 861–866.
[681] Dormann, K.L.; Brueckner, R. Variable Synthesis of the Optically Active Thiotetronic Acid Antibiotics
Thiolactomycin, Thiotetromycin, and 834-B1. Angew. Chem. Int. Ed.,2007,46, 1160–1163.
[682] Shao, J.; Tanner, S.W.; Thompson, N.; Cheatham, T.E. III. Clustering molecular dynamics trajectories:
1. Characterizing the performance of different clustering algorithms. J. Chem. Theory Comput.,2007,3,
2312–2334.
[683] Brooks, B.R.; Bruccoleri, R.E.; Olafson, D.J.; States, D.J.; Swaminathan, S.; Karplus, M. CHARMM:
A Program for Macromolecular Energy, Minimization, and Dynamics Calculations. J. Computat. Chem.,
1983,4, 187–217.
[684] Brooks, B. R.; Brooks, C. L.; Mackerell, A. D.; Nilsson, L.; Petrella, R. J.; Roux, B.; Won, Y.; Archontis,
G.; Bartels, C.; Boresch, S.; Caflisch, A.; Caves, L.; Cui, Q.; Dinner, A. R.; Feig, M.; Fischer, S.; Gao, J.;
Hodoscek, M.; Im, W.; Kuczera, K.; Lazaridis, T.; Ma, J.; Ovchinnikov, V.; Paci, E.; Pastor, R. W.; Post,
C. B.; Pu, J. Z.; Schaefer, M.; Tidor, B.; Venable, R. M.; Woodcock, H. L.; Wu, X.; Yang, W.; York, D. M.;
Karplus, M. CHARMM: the biomolecular simulation program. J. Comput. Chem.,2009,30, 1545–1614.
[685] Hsieh, M.-J.; Luo, R. Balancing simulation accuracy and efficiency with the Amber united atom force field.
J. Phys. Chem. B,2010,114, 2886–2893.
811
BIBLIOGRAPHY
[686] Hirata, F., Ed. Molecular Theory of Solvation. Kluwer Academic Publishers, 2003.
[687] Li, D.W.; Brüschweiler, R. NMR-based protein potentials. Angew. Chem. Int. Ed.,2010,49, 6778–6780.
[688] Lindorff-Larsen, K.; Piana, S.; Palmo, K.; Maragakis, P.; Klepeis, J.; Dror, R.O.; Shaw, D.E. Improved
side-chain torsion potentials for the Amber ff99SB protein force field. Proteins,2010,78, 1950–1958.
[689] Cerutti, D.S.; Duke, R.E.; Darden, T.A.; Lybrand, T.P. Staggered Mesh Ewald: An Extension of the Smooth
Particle-Mesh Ewald Method Adding Great Versatility. J. Chem. Theory Computat.,2009,5, 2322–2338.
[690] Cerutti, D.S.; Freddolino, P.L.; Duke, R.E. Jr.; Case, D.A. Simulations of a Protein Crystal with a High
Resolution X-ray Structure: Evaluation of Force Fields and Water Models . J. Phys. Chem. B,2010, pp
12811–12824.
[691] Palmer, David S; Frolov, Andrey I; Ratkova, Ekaterina L; Fedorov, Maxim V. Towards a universal method
for calculating hydration free energies: a 3D reference interaction site model with partial molar volume
correction. J. Phys.: Condens. Matter,2010,22(49), 492101.
[692] Meng, Yilin; Roitberg, Adrian E. Constant pH replica exchange molecular dynamics in biomolecules using
a discrete protonation model. J. Chem. Theory Comput.,2010,6(4), 1401–1412.
[693] Sabri Dashti, Danial; Meng, Yilin; Roitberg, Adrian E. pH-Replica Exchange Molecular Dynamics in
Proteins Using a Discrete Protonation Method. J. Phys. Chem. B, June 2012, 116(30), 8805–8811.
[694] Karamertzanis, P.G.; Raiteri, P.; Galindo, A. The use of anisotropic potentials in modeling water and free
energies of hydration. J. Chem. Theory Comput.,2010,6, 3153–3161.
[695] Wang, J.; Cieplak, P.; Li, J.; Hou, T.; Luo, R.; Duan, Y. Development of Polarizable Models for Molecular
Mechanical Calculations I: Parameterization of Atomic Polarizability. J. Phys. Chem. B,2011,115, 3091–
3099.
[696] Wang, J.; Cieplak, P.; Li, J.; Wang, J.; Cai, Q.; Hsieh, M.; Lei, H.; Luo, R.; Duan, Y. Development of Po-
larizable Models for Molecular Mechanical Calculations II: Induced Dipole Models Significantly Improve
Accuracy of Intermolecular Interaction Energies. J. Phys. Chem. B,2011,115, 3100–3111.
[697] Wang, J.; Cieplak, P.; Li, J.; Cai, Q.; Hsieh, M.; Luo, R.; Duan, Y. Development of Polarizable Models
for Molecular Mechanical Calculations. 4. van der Waals Parametrization. J. Phys. Chem. B,2012,116,
7088–7101.
[698] Wang, J.; Cieplak, P.; Cai, Q.; Hsieh, M.; Wang, J.; Duan, Y.; Luo, R. Development of Polarizable Models
for Molecular Mechanical Calculations. 3. Polarizable Water Models Conforming to Thole Polarization
Screening Schemes. J. Phys. Chem. B,2012,116, 7999–8008.
[699] Thole, B.T. Molecular polarizabilities calculated with a modified dipole interaction. Chem. Phys.,1981,59,
341–350.
[700] Bosque, R.; Sales, J. Polarizabilities of solvents from the chemical composition. J. Chem. Inf. Comput. Sci.,
2002,42, 1154–1163.
[701] Wang, Z.X.; Wu, C.; Lei, H.X.; Duan, Y. Accurate ab initio study on the hydrogen-bond pairs in protein
secondary structures. J. Chem. Theory Comput.,2007,3, 1527–1537.
[702] Wang, J.; Hou, T. Application of Molecular Dynamics Simulations in Molecular Property Prediction. II.
Diffusion coefficient. J. Comput. Chem.,2011,32, 3509–3519.
[703] Fu, C.F.; Tian, S.X. A Comparative Study for Molecular Dynamics Simulations of Liquid Benzene. J.
Chem. Theory Comput.,2011,7, 2240–2252.
812
BIBLIOGRAPHY
[704] Tsuzuki, S.; Uchimaru, T.; Tanabe, K.; Kuwajima, S. Refinement of Nonbonding Interaction Potential
Parameters for Methane on the Basis of the Pair Potential Obtained by Mp3/6-311g(3d,3p)-Level Ab-Initio
Molecular-Orbital Calculations - the Anisotropy of H/H Interaction. J. Phys. Chem.,1994,98, 1830–1833.
[705] Kaminski, G.A.; Friesner, R.A.; Tirado-Rives, J.; Jorgensen, W.L. Evaluation and Reparametrization of
the OPLS-AA Force Field for Proteins via Comparison with Accurate Quantum Chemical Calculations on
Peptides. J. Phys. Chem. B,2001,105, 6474–6487.
[706] Chen, I.J.; Yin, D.; MacKerell, A.D. Combined Ab initio/Empirical Approach for Optimization of Lennard-
Jones Parameters for Polar-Neutral Compounds. J. Comput. Chem.,2002,23, 199–213.
[707] Cerutti, D.S.; Rice, J.E.; Swope, W.C.; Case, D.A. Derivation of fixed partial charges for amino acids
accommodating a specific water model and implicit polarization. J. Phys. Chem. B,2103,(submitted).
[708] Dupradeau, F.-Y.; Pigache, A.; Zaffran, T.; Savineau, C.; Lelong, R.; Grivel, N.; Lelong, D.; Rosanskia, W.;
Cieplak, P. The R.E.D. tools: advances in RESP and ESP charge derivation and force field library building.
PhysChemChemPhys,2010,12, 7821–7839.
[709] Warschawski, D.E.; Devaux, P.F. Order parameters of unsaturated phospholipids in membranes and the
effect of cholesterol: a 1H-13C solid-state NMR study at natural abundance. Eur. Biophys. J.,2005,34,
987–996.
[710] Showalter, S.A.; Brüschweiler, R. Validation of molecular dynamics simulations of biomolecules using
NMR spin relaxation as benchmarks: Application to the Amber99SB force field. J. Chem. Theory Comput.,
2007,3, 961–975.
[711] Best, R.B.; Buchete, N.-V.; Hummer, G. Are Current Molecular Dynamics Force Fields too Helical? Bio-
phys. J.,2008,95, L07–L09; 4494.
[712] Best, R.B.; Hummer, G. Optimized Molecular Dynamics Force Fields Applied to the Helix-Coil Transition
of Polypeptides. J. Phys. Chem. B,2009,113, 9904–9015.
[713] Best, R.B.; Mittal, J. Free-energy landscape of the GB1 hairpin in all-atom explicit solvent simulations with
different force fields: Similarities and differences. Proteins,2011,79, 1318–1328.
[714] Patapati, K.K.; Glykos, N.M. Three force fields views of the 3-10 helix. Biophys. J.,2011,101, 1766–1771.
[715] Salomon-Ferrer, R.; Case, D.A.; Walker, R.C. An overview of the Amber biomolecular simulation package.
WIREs Comput. Mol. Sci.,2013,3, 198–210.
[716] PDB Current Holdings Breakdown. 2013.
[717] Nguyen, Crystal N.; Kurtzman Young, Tom; Gilson, Mike K. Grid Inhomogeneous solvation theory: Hy-
dration structure and thermodynamics of the miniature receptor cucurbit[7]uril. J. Chem. Phys.,2012,137,
044101–044118.
[718] Onufriev, A. in Modeling Solvent Environments, Feig, M, Ed., (Wiley, USA). pp 127–165. 2010.
813
Index
1D-RISM, 89,90,95
3D-RISM, 89,91,98
A
abfqmmm, 162
accept, 72,705
acdoctor, 266
acos, 674
activeref, 494
adbcor, 97
add, 201
add\_pdb, 235
addAtomTypes, 202
addIons, 202
addIons2, 202
addIonsRand, 202
addPath, 203
addPdbAtomMap, 203
addPdbResMap, 203
addresidue, 643,676
addstrand, 643,676
adjust_q, 141
aexp, 415
alias, 204
alignframe, 649,683
allatom_to_dna3, 678
allocate, 663
alpb, 62
alpha, 354
am1bcc, 263
AmberStateDataReporter, 252
amoeba_verbose, 322
analout, 276
analyze, 276
andbounds, 692
angle, 513,679
anglep, 679
antechamber, 255
apply_rism_force, 708
apply_rism_force, 107
arad, 62
arange, 415
arcres, 71,705
arnoldi_dimension, 345
asin, 674
assert, 681
asympcorr, 105
asympfile, 706
atan, 674
atan2, 674
atmask, 435
atnam, 412
atof, 674
atoi, 674
atomicfluct, 514
atommap, 507
atomn, 305
atomtype, 263
average, 515
awt, 415
B
bar_intervall, 358
bar_l_incr, 358
bar_l_max, 358
bar_l_min, 358
barostat, 291
basepair, 649
basis, 147–149,151,152
bcopt, 73,705
bdna, 649,729
bdna(), 650
beeman_integrator, 322
bellymask, 288
blocksize, 709
bond, 204
bondByDistance, 204
bondtype, 264
bond_umb, 122
break, 669
bridge function, 90
buffer, 106,576,707
buffercharge, 162
buffermask, 162
C
calc_wbk, 158
cavity_offset, 574
cavity_surften, 574
cbasis, 151
814
INDEX
ccut, 421
ceil, 674
center, 508
center_type, 163
centering, 107,708
centermask, 164
charge, 166
charge density, 105
charge distribution, 105
charge_analysis, 153
charge_out, 169
check, 204,516
chelpg, 149
chgdist, 706
chkvir, 305
chngmask, 299
clambda, 350,359
closest, 508
closure, 95,105,576,706
closureorder, 576,706
cluster, 556
clusterdihedral, 516
cobsl, 421
column_fft, 298
combine, 205
comp, 291
complement, 649
conflib_filename, 345
conflib_size, 345
conjgrad, 701
connectres, 643,676
continue, 669
convkey, 151
convthre, 152
copy, 205
copymolecule, 676
core, 147
corecharge, 162
coremask, 162
corr, 551
cos, 674
cosh, 674
countmolatoms, 679
cphstats, 401
create, 494
createAtom, 206
createResidue, 206
createUnit, 206
crgmask, 354
csurften, 292
csv_format, 575
cter, 417
cut, 295,702
cut_bond_list_file, 164
cutcap, 293
cutfd, 73
cutnb, 74,705
cuv, 105
cuvfile, 706
cwt, 421
D
datafile, 494
dataset, 420
datasetc, 421
date, 682
dbfopt, 705
dbonds_umb, 122
dbuff1, 167
dbuff2, 167
dcut, 420
deallocate, 663
debug, 495,681
debug_printlevel, 572
dec_verbose, 575
decompopt, 74
del, 106,707
delete, 667
deleteBond, 206
density, 97
desc, 206,379
dftb_3rd_order, 128,140
dftb_chg, 128,140
dftb_disper, 128
dftb_maxiter, 128,140
dftb_telec, 128,140
dftd, 152
dftgrid, 152
dg_helix, 729
dg_options, 692
dgpt_alpha, 123
diag_routine, 129,140
dia_shift, 121
diel, 703
dielc, 295,575,703
dieps, 97
dihedral, 519
dij, 420
dim, 702
dipmass, 299
dipole, 147,149–151,153
dipole_scf_iter_max, 322
dipole_scf_tol, 322
diptau, 299
diptol, 299
direct correlation function, 89
815
INDEX
dist, 679
distance, 520
dist_gauss, 123
distp, 679
dna3, 678
dna3_to_allatom, 678
dobsl, 420
do_debugf, 305
do_vdw_longrange, 323
do_vdw_taper, 323
dprob, 70,705
dr, 96
drms, 289,345,575
drmsd, 521
dsum_tol, 297
dt, 289
dtfb_disper, 140
dumpatom, 681
dumpbounds, 681
dumpboundsviolations, 681
dumpfrc, 305
dumpmatrix, 681
dumpmolecule, 681
dumpresidue, 681
dvbips, 298
dvdl_norest, 354
dwt, 420
dx0, 289
dynamicgrid, 152
dynlmb, 354
E
e_debug, 702
ee_damped_cut, 322
eedmeth, 297
ee_dsum_cut, 322
eedtbdns, 297
egap_umb, 122
emap, 122
embed, 692
EMIL, 358
emil_do_calc, 358
emil_logfile, 359,361
emil_model_infile, 359
emil_model_outfile, 359
emil_paramfile, 359
emil_sc, 358
emix, 415
endframe, 572
ene_avg_sampling, 311
eneopt, 73,705
energy_window, 345
entropy, 572
epsext, 704
epsin, 70,704
epsmemb, 70
epsout, 70,704
eq_cmd, 453
errconv, 131
es_cutoff, 311
espgen, 265
evb_dyn, 120
ew_coeff, 297
exactdensity, 147
excess chemical potential, 92
exch_type, 379
exdi, 574
executable, 152
exit, 673
exp, 674
explored_low_modes, 346
ext_buffermask_subset, 164
ext_coremask_subset, 164
ext_qmmask_subset, 164
extdiel, 60
extra_precision, 97
F
fabs, 674
fcap, 293
FCE, 103
fcecrd, 107
fcenbasis, 107
fcestride, 107
fclose, 673
fcons, 435
fd_helix, 677
fft_grids_per_ang, 312
fillratio, 72,574,705
finalgrid, 151
fit_type, 147
fix_atom_list, 163
fixcom, 334
floor, 674
fmod, 674
fopen, 673
fprintf, 673
frameon, 299
frcopt, 73,705
freemolecule, 676
freeresidue, 676
freezemol, 420
frequency_eigenvector_recalc, 346
frequency_ligand_rotrans, 346
fscale, 72,705
fscanf, 673
816
INDEX
ftime, 682
full_traj, 573
fullscf, 168
G
gamma_ln, 163
gamma_ln_qm, 163
gamma_ten, 292
gamma_ln, 290,703
gammamap, 294
gauss, 674
Gaussian fluctuation, 92
gb, 704
gb2_debug, 702
gb_debug, 702
gbsa, 61,704
genmass, 703
geodesics, 692
getchivol, 692
getchivolp, 692
getcif, 679
getline, 673
getmatrix, 675
getpdb, 679
getpdb_prm, 701
getres, 644,649
getresidue, 643,644,679
getxv, 701
gigj, 420
gist, 522
gms_version, 148
gpu, 318
gpuids, 152
grdspc, 106,576,707
grid, 151
gridips, 298
grids, 435
grms_tol, 131
grnam1, 414
group, 378
groupSelectedAtoms, 207
gsub, 672
guv, 104
guvfile, 706
H
h1, 709
hamiltonian, 167
hbond, 528
hcp, 709
helix, 649,650
helixanal, 681
help, 496
hist, 552
HNC, 90,92
hot_spot, 165
huv, 105
huvfile, 706
hybridgb, 370
hypernetted-chain approximation, 90
I
ialtd, 412
iamoeba, 296
iat, 410
iatr, 416
ibelly, 288
icfe, 350,358
iconstr, 414
icsa, 420
id, 419
id2o, 416
idecomp, 288,351,575
iemap, 294
ievb, 112,296
ifit, 435
ifmbar, 358
ifntyp, 414
ifqnt, 296,573
ifsc, 354,358
ifvari, 412,413
ig, 290
igb, 59,296,573
igr1, 414
ihp, 415
image, 510
imin, 69,285
impose, 208
imult, 412
index, 672
indi, 574
indmeth, 299
ineb, 343
initial_selection_type, 163
inp, 69,574,704
intdiel, 60
integration, 147
interval, 572
intramolecular pair correlation matrix, 90
invwt1, 415
ioutfm, 287
ipb, 69,704
ipimd, 450,452,454
ipnlty, 294
ipol, 295
ipolyn, 168
817
INDEX
iprec, 168
iprob, 70,705
iprot, 417,418
ips, 298
iqmatoms, 138
ir6, 414
iresid, 412
irest, 286
irism,105,296,706
irstdip, 300
irstyp, 412
iscale, 294
isgend, 334
isgld, 334
isgsta, 334
istrng, 70,574,704
itgtmd, 339
itrmax, 130,140
ivcap, 293
iwrap, 287
ixpk, 414
J
jbasis, 151
jcoupling, 531
jfastw, 292
K
k4d, 702
kappa, 704
keep_files, 572
KH, 90,92
klambda, 350,359
kmaxqx, 139
Kovalenko-Hirata, 90
ksave, 96
ksqmaxq, 139
L
lambda, 169,359
lbfgs_memory_depth, 345
length, 672
lie, 532
ligand_mask, 572
ligcent_list, 347
ligstart_list, 347
linit, 574
link_na, 677
linkprot, 677
list, 209
lj1264, 296
lmod, 721
lmod_job_title, 346
lmod_minimize_grms, 346
lmod_relax_grms, 346
lmod_restart_frequency, 346
lmod_step_size_max, 346
lmod_step_size_min, 346
lmod_trajectory_filename, 346
lmod_verbosity, 346
lnk_atomic_no, 141
lnk_dis, 141
lnk_method, 141
loadAmberParams, 209
loadAmberPrep, 210
loadMol2, 210
loadOff, 210
loadPdb, 210
loadPdbUsingSeq, 211
log, 674
log10, 674
logdvdl, 354
logFile, 211
longrange, 168
long-range asymptotics, 105
M
mapfile, 434
mapfit, 435
mask, 533
match, 672
MAT_cube, etc, 684
matextract, 688
MAT_fprint, etc, 685
matgen, 686
matmerge, 688
matrix_vector_product_method, 345
max_bonds_per_atom, 164
maxarcdot, 705
maxcore, 151
maxcyc, 131,288,344,575
maxit, 148,152
maxiter, 151,299
maxitn, 72,705
maxsph, 75
maxstep, 97,106,707
mcbarint, 291
mctrdz, 71
md, 701
MdcrdReporter, 253
MDIIS, 91
mdiis_del, 97
mdiis_method, 707
mdiis_nvec, 97,707
mdiis_method, 106
mdiis_nvec, 106
818
INDEX
mdinfo_flush_interval, 311
mdout_flush_interval, 311
mean solvation force, 92
measureGeom, 211
membraneopt, 71,77
mergestr, 643,676
method, 148,150–152,166
min_heavy_mass, 164
min_xfile, 123
mipso, 298
mipsx, 298
mlimit, 297
mltpro, 418
mme, 701
mme_rism_max_memory, 682
mme_timer, 682
mme_init, 701
mme_rattle, 701
mm_options, 701
mm_set_checkpoint, 701
model, 97
modif, 167
modified direct inversion of the iterative subspace, 91
modvdw, 122
molfit, 435
molsurf, 533,574,681
mom_cons_region, 163
mom_cons_type, 163
monte_carlo_method, 346
morsify, 121
move, 435
MPI, 640
msoffset, 574
mthick, 71,77
mtmdforce, 340
mtmdform, 340
mtmdmask, 341
mtmdmult, 340
mtmdninc, 340
mtmdrmsd, 340
mtmdstep1, 340
mtmdvari, 340
MTS, 103
multi-dimensional replica exchange, 377
multipmemd, 307
multisander, 307
mutant_only, 575
mwords, 149
mxsub, 294
N
n_max_recursive, 164
n_partition, 158
NAB, 98,100
namr, 416
nastruct, 534
natr, 416
nbflag, 297
nbias, 120
nbtell, 297
nbuffer, 72
nchain, 163,452
nchk, 702
nchk2, 702
ncore, 167
ncsu_abmd, 386
ncsu_bbmd, 388
ncsu_pmd, 385
ncsu_smd, 384
ncyc, 288
ndiis_attempts, 131
ndiis_matrices, 131
ndip, 419,420
nearest_qm_solvent, 157
nearest_qm_solvent_center_id, 157
nearest_qm_solvent_fq, 157
nearest_qm_solvent_resname, 157
neglgdel, 305
netcdf, 573
NetCDFReporter, 253
netfrc, 297
nevb, 119
newbounds, 692
newmolecule, 643,676
newton, 714
newtransform, 648,683
nfft3, 296
nfocus, 72,705
ng, 576,707
ng3, 106
ngpus, 152
ngrdblkx, 76
ngrdblky, 76
ngrdblkz, 76
ninc, 412
ninterface, 292
nkout, 96
nleb, 148
nme, 418
nmendframe, 575
nminterval, 575
nmode, 714
nmode_igb, 575
nmode_istrng, 575
nmodvdw, 120
nmorse, 119
819
INDEX
nmpmc, 418
nmropt, 286
nmstartframe, 575
noeskp, 294
noexitonerror, 496
no_intermolecular_bonds, 311
noprogress, 496
noshakemask, 293,352
npbgrid, 72,705
npbopt, 72,705
npbverb, 74,705
npeak, 415
npropagate, 94,107,708
nprot, 417,418
nr, 96
nrad, 148
nranatm, 305
nrespa, 289
nring, 416
nrout, 96
nscm, 289,454,702
nsnb, 295,702
nsnba, 74
nsol, 168
nsp, 97
nstep1, 412
nstlim, 289
ntave, 287
ntb, 295
ntc, 292
nter, 417
ntf, 295
ntmin, 289,344
ntp, 291
ntpr, 131,147,149–151,153,286,702
ntprism, 709
ntpr_md, 703
ntr, 288
ntt, 163,289,450,452,454
ntwc, 169
ntwe, 287
ntw_evb, 119
ntwf, 287
ntwidrst, 165
ntwpdb, 165
ntwprt, 288
ntwr, 287
ntwrism, 108,708
ntwv, 287
ntwx, 287,703
ntx, 69,286
ntxo, 286
nuff, 120
num_threads, 147,148,150,151
number_free_rotrans_modes, 346
number_ligand_rotrans, 346
number_ligands, 346
number_lmod_iterations, 346
number_lmod_moves, 346
num_datasets, 420
numwatkeep, 370
nvec, 94
nxpk, 414
O
obs, 417,418
offset, 61,75
omega, 415
OMP_NUM_THREADS, 172,640
OpenMM Reporters, 252
OpenMM Support, 251
OpenMMAmberParm,251
OpenMMRst7,251
optkon, 418
optphi, 418
orbounds, 692
order, 296
Ornstein-Zernike, 89
oscale, 416
outlist, 96
outlvlset, 74
outmlvlset, 74
out_RCdot, 123
outtraj, 537
oxidation_number_list_file, 164
P
pair-distribution function, 89
param, 452
parameter_file, 140
parameterfle, 130
paramfit, 171
parm, 500
parmbox, 501
parmcal, 267
parmchk2, 258
ParmEd, 233
parminfo, 501
parmresinfo, 502
parmstrip, 501
parmwrite, 501
PBRadii, 213
pbtemp, 70
pdb_file, 165
pdbxyz, 276
pencut, 294
820
INDEX
peptcorr, 169
peptide_corr, 130,140
peptk, 169
phiform, 74,80
phiout, 80
pH-REMD, 375
plane, 681
point, 671
polarDecomp, 108
polardecomp, 94,576,709
poreradius, 71
poretype, 71,78
pow, 674
prbrad, 574
precision, 152,496
prepgen, 264
pres0, 291
print_eigenvalues, 130
print_qm_coords, 158
print_res, 576
printcharges, 130,140
printdipole, 140
printf, 673
probe, 574
profile_mpi, 300
progress, 96,108,709
ProgressReporter, 253
PSE-n, 90,92
pseudo_diag, 129,140
pseudo_diag_criteria, 129,140
pucker, 538
putbnd, 679
putcif, 679
putdist, 679
putmatrix, 676
putpdb, 679
putxv, 701
Q
qm_center_atom_id, 157
qm_residues, 573
qm_theory, 573
qmcharge, 128,140,162,574
qmcut, 138,574
qm_ewald, 138
qmgb, 139
qmmask, 138,162
qmmm_int, 131,139
qmmm_switch, 139
qm_pme, 139
qmqmdx, 129,140
qmshake, 140
qm_theory, 128,139,140
quvfile, 706
qxd, 130,140
R
r0, 413
r_buffer_in, 163
r_core_in, 162
r_core_out, 162,163
r_qm_in, 162
RA, 158
radgyr, 539
radial, 539
radiopt, 70,574,704
raips, 298
rand2, 674
random_seed, 347
ranseed, 305
rattle, 703
rbornstat, 61
rdt, 61
read_idrst_file, 165
readdata, 497
readinput, 497
readparm, 701
receptor_mask, 573
reference, 506
refin, 340
remove, 211
residuegen, 267
resolution, 435
respgen, 265
restart_pool_size, 347
RestartReporter, 253
restraint, 411
restraintmask, 288
restraint_wt, 288
restrt_cmd, 453
rgbmax, 61,704
rhow_effect, 75
RISM, 89,103
rism1d,89,95
rism_verbose, 576
RISMnRESPA,103
rismnrespa, 107
rjcoef, 413
rms2d, 561
rmsavgcorr, 560
rmsd, 540,679
rmsfrc, 305
rot4, 648,683
rot4p, 648,683
rotmin_list, 347
rseed, 674
821
INDEX
rstwt, 411
rsum_tol, 297
r_switch_hi, 139
r_switch_lo, 139
RT, 158
rtemperature, 347
runavg, 511
S
s11, 420
saltcon, 60,574
sander_apbs, 574
saopt, 71
sasopt, 71
saveAmberParm, 212
saveMol2, 212
saveOff, 212
savePdb, 212
ScaLAPACK, 640
scaldip, 300
scale, 574
scalec, 73
scalm, 294
scanf, 673
scf_conv, 147,148,150
scf_iter, 147
scfconv, 129,140,151
scmask, 354
scmask1, 355
scmask2, 355
screen, 169
search_path, 573
secstruct, 543
select, 498
selection_type, 163
selftest, 96
sequence, 212
set, 213
set container, 213
set default, 213
setbounds, 692
setboundsfromdb, 692
setchiplane, 692
setchivol, 692
setframe, 649,683
setframep, 649,683
setmol_from_xyz, 684
setmol_from_xyzw, 684
setpoint, 684
setseed, 674
setxyz_from_mol, 684
setxyzw_from_mol, 684
sgff, 334
sgft, 334
shcut, 417
showbounds, 692
shrang, 417
sin, 674
sinh, 674
skinnb, 297
skmax, 343
skmin, 343
smear, 97
smoothopt, 70,704
solute, 168
solvateBox, 215
solvateCap, 215
solvateOct, 215
solvateShell, 215
solvation, 89,92
solvation free energy, 92
solvbox, 106,576,707
solvcut,106,576,706
solvent_atom_number, 164
solvopt, 72,705
sor_coefficient, 322
space, 72,705
spin, 128,140
split, 672
sprintf, 673
sprob, 75,705
sqrt, 674
sscanf, 673
startframe, 573
static_arrays, 709
str, 416
strip, 512
strip_mask, 573
sub, 672
substr, 672
sugarpuckeranal, 679
superimpose, 679
surf, 544
surfoff, 574
surften, 61,75,574,704
system, 673
T
t, 289,703
tan, 674
tanh, 674
taumet, 415
taup, 292
taurot, 415
tausw, 294
tautp, 290,703
822
INDEX
temp0, 290,703
temp0les, 290
temperature, 97
Temperature REMD, 366
temperature_deriv, 96
tempi, 290,703
tempsg, 334
tgtfitmask, 339,343
tgtmdfrc, 339
tgtrmsd, 339
tgtrmsmask, 339,343
theory, 95
thermo, 576
thermodynamics, 92
threall, 152
tight_p_conv, 129,140
timask1, 351
timask2, 351
timeofday, 682
tishake, 350,352,354
tmode, 343
tol, 292
tolerance, 97,106,577,707
tolpro, 418
torsion, 679
torsionp, 679
total correlation function, 89
total_low_modes, 347
trajin, 502
trajout, 504
trans4, 648
trans4p, 648
transform, 207,216,689
transformmol, 648,684
transformres, 643,644,648,684
translate, 216
treflf, 334
triopt, 71
trmin_list, 347
tsgavg, 334
tsmooth, 692
ts_xfile, 123
type, 297
U
uff, 123
unlink, 673
unstrip, 512
use_dftb, 147
use_sander, 573
use_template, 147,149–152
use_axis_opt, 312
useboundsfrom, 692
use_rmin, 74
use_sav, 75
uuvfile, 706
V
vdw_cutoff, 311
vdwmeth, 297
verbose, 108,296,573,709
verbosity, 129,140,157,158,216
vfac, 343
vlimit, 291,703
volfmt, 108,706
vprob, 75
vrand, 291
vshift, 131
vsolv, 140
vv, 343
W
wc_basepair, 729
wc_basepair(), 652
wc_complement, 729
wc_complement(), 650
wc_helix, 729
wc_helix(), 654
wcons, 702
write_idrst_file, 165
write_thermo, 108
writepdb, 140
wt, 417,418
X
xc, 147
xch_cnst, 121
xch_exp, 121
xch_gauss, 121
xch_type, 120
xdg_xfile, 123
xmax, 76
xmin, 76,717
xmin_method, 345
xmin_verbosity, 345
xvv, 104
xvvfile, 706
Y
ymax, 76
ymin, 76
Z
zcap, 293
zerochg, 305
zerodip, 305
zerofrc, 107,708
823